WO2010122504A1 - Thiazole derivatives and their use as p2y12 receptor antagonists - Google Patents
Thiazole derivatives and their use as p2y12 receptor antagonists Download PDFInfo
- Publication number
- WO2010122504A1 WO2010122504A1 PCT/IB2010/051742 IB2010051742W WO2010122504A1 WO 2010122504 A1 WO2010122504 A1 WO 2010122504A1 IB 2010051742 W IB2010051742 W IB 2010051742W WO 2010122504 A1 WO2010122504 A1 WO 2010122504A1
- Authority
- WO
- WIPO (PCT)
- Prior art keywords
- phenyl
- amino
- thiazole
- carboxylic acid
- piperazine
- Prior art date
- Legal status (The legal status is an assumption and is not a legal conclusion. Google has not performed a legal analysis and makes no representation as to the accuracy of the status listed.)
- Ceased
Links
- 0 **C(C(N(CC1)CCN1C(*)=O)=O)N Chemical compound **C(C(N(CC1)CCN1C(*)=O)=O)N 0.000 description 7
Classifications
-
- C—CHEMISTRY; METALLURGY
- C07—ORGANIC CHEMISTRY
- C07D—HETEROCYCLIC COMPOUNDS
- C07D417/00—Heterocyclic compounds containing two or more hetero rings, at least one ring having nitrogen and sulfur atoms as the only ring hetero atoms, not provided for by group C07D415/00
- C07D417/02—Heterocyclic compounds containing two or more hetero rings, at least one ring having nitrogen and sulfur atoms as the only ring hetero atoms, not provided for by group C07D415/00 containing two hetero rings
- C07D417/04—Heterocyclic compounds containing two or more hetero rings, at least one ring having nitrogen and sulfur atoms as the only ring hetero atoms, not provided for by group C07D415/00 containing two hetero rings directly linked by a ring-member-to-ring-member bond
-
- A—HUMAN NECESSITIES
- A61—MEDICAL OR VETERINARY SCIENCE; HYGIENE
- A61K—PREPARATIONS FOR MEDICAL, DENTAL OR TOILETRY PURPOSES
- A61K31/00—Medicinal preparations containing organic active ingredients
- A61K31/33—Heterocyclic compounds
- A61K31/395—Heterocyclic compounds having nitrogen as a ring hetero atom, e.g. guanethidine or rifamycins
- A61K31/495—Heterocyclic compounds having nitrogen as a ring hetero atom, e.g. guanethidine or rifamycins having six-membered rings with two or more nitrogen atoms as the only ring heteroatoms, e.g. piperazine or tetrazines
- A61K31/496—Non-condensed piperazines containing further heterocyclic rings, e.g. rifampin, thiothixene or sparfloxacin
-
- A—HUMAN NECESSITIES
- A61—MEDICAL OR VETERINARY SCIENCE; HYGIENE
- A61P—SPECIFIC THERAPEUTIC ACTIVITY OF CHEMICAL COMPOUNDS OR MEDICINAL PREPARATIONS
- A61P7/00—Drugs for disorders of the blood or the extracellular fluid
- A61P7/02—Antithrombotic agents; Anticoagulants; Platelet aggregation inhibitors
-
- A—HUMAN NECESSITIES
- A61—MEDICAL OR VETERINARY SCIENCE; HYGIENE
- A61P—SPECIFIC THERAPEUTIC ACTIVITY OF CHEMICAL COMPOUNDS OR MEDICINAL PREPARATIONS
- A61P9/00—Drugs for disorders of the cardiovascular system
-
- A—HUMAN NECESSITIES
- A61—MEDICAL OR VETERINARY SCIENCE; HYGIENE
- A61P—SPECIFIC THERAPEUTIC ACTIVITY OF CHEMICAL COMPOUNDS OR MEDICINAL PREPARATIONS
- A61P9/00—Drugs for disorders of the cardiovascular system
- A61P9/10—Drugs for disorders of the cardiovascular system for treating ischaemic or atherosclerotic diseases, e.g. antianginal drugs, coronary vasodilators, drugs for myocardial infarction, retinopathy, cerebrovascula insufficiency, renal arteriosclerosis
-
- C—CHEMISTRY; METALLURGY
- C07—ORGANIC CHEMISTRY
- C07F—ACYCLIC, CARBOCYCLIC OR HETEROCYCLIC COMPOUNDS CONTAINING ELEMENTS OTHER THAN CARBON, HYDROGEN, HALOGEN, OXYGEN, NITROGEN, SULFUR, SELENIUM OR TELLURIUM
- C07F9/00—Compounds containing elements of Groups 5 or 15 of the Periodic Table
- C07F9/02—Phosphorus compounds
- C07F9/28—Phosphorus compounds with one or more P—C bonds
- C07F9/38—Phosphonic acids [RP(=O)(OH)2]; Thiophosphonic acids ; [RP(=X1)(X2H)2(X1, X2 are each independently O, S or Se)]
- C07F9/3804—Phosphonic acids [RP(=O)(OH)2]; Thiophosphonic acids ; [RP(=X1)(X2H)2(X1, X2 are each independently O, S or Se)] not used, see subgroups
-
- C—CHEMISTRY; METALLURGY
- C07—ORGANIC CHEMISTRY
- C07F—ACYCLIC, CARBOCYCLIC OR HETEROCYCLIC COMPOUNDS CONTAINING ELEMENTS OTHER THAN CARBON, HYDROGEN, HALOGEN, OXYGEN, NITROGEN, SULFUR, SELENIUM OR TELLURIUM
- C07F9/00—Compounds containing elements of Groups 5 or 15 of the Periodic Table
- C07F9/02—Phosphorus compounds
- C07F9/547—Heterocyclic compounds, e.g. containing phosphorus as a ring hetero atom
- C07F9/6558—Heterocyclic compounds, e.g. containing phosphorus as a ring hetero atom containing at least two different or differently substituted hetero rings neither condensed among themselves nor condensed with a common carbocyclic ring or ring system
- C07F9/65583—Heterocyclic compounds, e.g. containing phosphorus as a ring hetero atom containing at least two different or differently substituted hetero rings neither condensed among themselves nor condensed with a common carbocyclic ring or ring system each of the hetero rings containing nitrogen as ring hetero atom
Definitions
- the present invention relates to certain thiazole derivatives and their use as P2Yi2 receptor antagonists in the treatment and/or prevention of peripheral vascular, of visceral-, hepatic- and renal- vascular, of cardiovascular and of cerebrovascular diseases or conditions associated with platelet aggregation, including thrombosis in humans and other mammals.
- Haemostasis is referred to as the natural balance of maintaining the fluidity of the blood in the vascular system and preventing excessive blood loss subsequent to blood vessel injury by rapid formation of a solid blood clot. After vascular damage, contraction of the vessels and platelet adhesion occur immediately followed by aggregation of the platelets, activation of the coagulation cascade and finally also of the fibrinolytic system. Haemostatic abnormalities can lead to excessive bleeding or thrombosis, both life -threatening situations.
- antiplatelet agents have been developed over the past several years based on different mechanisms of action.
- the most widely used agent in antiplatelet therapy is aspirin, which irreversibly inhibits cyclooxygenase-1 and thereby affecting the thromboxane pathway.
- aspirin Although not optimally efficacious, treatment with aspirin remains the standard therapy against which new therapeutics are compared and judged.
- GPIIb/IIIa receptor antagonists e.g. abciximab, eptifibatide, and tirofiban blocking platelet aggregation are available on the market.
- some orally active GPIIb/IIIa antagonists e.g. sibrafiban, xemilofiban or orbofiban have not been successful in clinical development so far.
- Adenosine 5 '-diphosphate is a key mediator in platelet activation and aggregation interfering with two platelet ADP receptors P2Yi and P2Yi2.
- Antagonists of the platelet ADP receptor have been identified and display inhibition of platelet aggregation and antithrombotic activity.
- the most effective antagonists known so far are the thienopyridines ticlopidine, clopidogrel and CS-747, which have been used clinically as antithrombotic agents. It could be shown that these drugs, via their reactive metabolites, irreversibly block the ADP receptor subtype P2Yi 2 .
- P2Yi 2 antagonists like AR-C69931MX (Cangrelor) or AZD6140 have reached clinical studies. These inhibitors are selective platelet ADP receptor antagonists, which inhibit ADP- dependent platelet aggregation, and are effective in vivo.
- Piperazino-carbonylmethylaminocarbonyl-naphtyl or -quinolyl derivatives have been described as ADP receptor antagonists in WO 02/098856 and WO 04/052366.
- WO 06/114774 describes 2-phenyl-4-(carbonylmethylaminocarbonyl)-pyrimidine derivatives as P2Yi2 receptor antagonists.
- 2-Aminocarbonyl-pyridine derivatives are described in WO 08/044217.
- R 1 represents (Ci-Ce)alkoxy
- Y represents a bond and Z represents hydrogen
- Y represents (Ci-C3)alkandiyl and Z represents hydrogen, hydroxy, -COOH, -COOR 5 , -P(O)(OH) 2 , -P(O)(OR 6 ) 2 , -P(O)(NHR 7 ) 2 or phenyl, wherein the phenyl is substituted with
- W represents a group selected from
- R represents hydrogen; halogen; (Ci-C4)alkyl which is monosubstituted with (Ci-C4)alkoxy, -COOH or -COOR 9 ; (C 2 -C 4 )alkenyl which is monosubstituted with (Ci-C 4 )alkoxy, -COOH or -COOR 9 ; phenyl which is unsubstituted or monosubstituted with halogen; (Ci-C4)alkyl-amino, wherein the alkyl-group is monosubstituted with hydroxy, (Ci-C4)alkoxy, -COOH or -COOR 9 ; di-(Ci-C4)alkyl-amino; heterocyclyl which is unsubstituted or monosubstituted with (C 1 - C4)alkyl or (Ci-C4)alkoxy; or 2-methoxymethyl-cycloprop-l-yl (notably (lS,2S)
- R represents aryl which is unsubstituted or mono- or di-substituted, wherein the substituents are independently selected from the group consisting of halogen, (Ci-C 4 )alkyl, (Ci-C 4 )alkoxy and phenoxy;
- R represents halogen; (Ci-C4)alkyl which is monosubstituted with (Ci-C4)alkoxy, -COOH, or -COOR 9 ; (C 2 -C 4 )alkenyl which is monosubstituted with (C r C 4 )alkoxy or -COOR 9 ; phenyl; or di-(Ci-C6)alkyl-amino;
- R 5 represents (Ci-C 4 )alkyl
- R 6 represents (Ci-C 4 )alkyl, (Ci-C 4 )alkyl-C(O)-OCH 2 - or (Ci-C 4 )alkoxy-C(O)-OCH 2 -;
- R 7 represents (Ci-C 4 )alkoxy-C(O)-(Ci-C 4 )alkyl-;
- R 8 represents (Ci-C 4 )alkyl;
- R 9 represents (Ci-C 4 )alkyl; and to the salts (in particular pharmaceutically acceptable salts) of such compounds.
- the compounds of formula I may contain one or more stereogenic or asymmetric centers, such as one or more asymmetric carbon atoms.
- the compounds of formula I may thus be present as mixtures of stereoisomers or preferably as pure stereoisomers. Mixtures of stereoisomers may be separated in a manner known to a person skilled in the art. Substituents at a double bond may be present in the (Z)- or ( ⁇ -configuration (preferably in ( ⁇ -configuration) unless indicated otherwise.
- the compounds of formula I are P2Yi 2 receptor antagonists. Accordingly, they are useful in therapy (including combination therapy), where they can be widely used as inhibitors of platelet activation, aggregation and degranulation, as promoters of platelet disaggregation or as anti-thrombotic agents.
- halogen refers to fluorine, chlorine, bromine or iodine.
- R represents halogen, the term preferably refers to chlorine or bromine and more preferably to chlorine.
- R 4 represents halogen
- the term preferably refers to chlorine or bromine and more preferably to bromine.
- the halogen is attached to a phenyl or to an aryl group the term preferably refers to fluorine, chlorine or bromine and more preferably to fluorine.
- alkyl refers to a saturated straight or branched chain alkyl group containing one to six carbon atoms.
- (C x -C y )alkyl (x and y each being an integer) refers to an alkyl group as defined before containing x to y carbon atoms.
- a (Ci-Ce)alkyl group contains from one to six carbon atoms.
- alkyl groups include methyl, ethyl, ⁇ -propyl, ⁇ o-propyl, n- butyl, /so-butyl, sec-butyl, ter ⁇ -butyl, «-pentyl, 1 -methyl-butyl, 2-methyl-butyl, 3-methyl- butyl, 1,1-dimethyl-propyl, 1 ,2-dimethyl-propyl, 2,2-dimethyl-propyl, 1 -ethyl-propyl, n- hexyl, 1-methyl-pentyl, 2-methyl-pentyl, 3-methyl-pentyl, 4-methyl-pentyl, 1 -ethyl-butyl, 2-ethyl-butyl, 1,1 -dimethyl-butyl, 1 ,2-dimethyl-butyl, 2,2-dimethyl-butyl, 1,3-dimethyl- butyl, 2,3-dimethyl-butyl,
- the alkyl group may be unsubstituted or substituted as explicitly defined.
- R 2 represents "(Ci -Chalky 1" the term refers to an (Ci-C4)alkyl group as defined above. Preferred examples are methyl, ethyl and ⁇ -propyl. More preferred are ethyl and n- propyl.
- the above-mentioned (Ci-C4)alkyl groups are monosubstituted with (Ci- C 4 )alkoxy, -COOH or -COOR 9 (and preferably with methoxy and -COOH).
- R 2 represents "heterocyclyl which is monosubstituted with (Ci-C4)alkyl"
- (Ci-C4)alkyl refers to an (Ci-C4)alkyl group as defined above.
- Preferred examples are methyl and ethyl. More preferred is methyl.
- R 3 represents "aryl which is substituted with (Ci-C 4 )alkyl"
- (Ci-C 4 )alkyl refers to an (Ci-C4)alkyl group as defined above. Preferred examples are methyl and ethyl. More preferred is methyl.
- R 4 represents "(Ci-C4)alkyl” the term refers to an (Ci-C4)alkyl group as defined above. Preferred examples are methyl, ethyl and ⁇ -propyl. More preferred are ethyl and n- propyl.
- (Ci-C4)alkyl groups are monosubstituted with (C 1 - C 4 )alkoxy, -COOH or -COOR 9 (and preferably with methoxy and -COOH).
- R 5 represents "(Ci -Chalky 1" the term refers to an (Ci-C4)alkyl group as defined above.
- Preferred examples are methyl, ethyl, ⁇ -propyl, ⁇ o-propyl and tert-butyl. More preferred is tert-butyl.
- R 6 represents "(Ci -Chalky 1" the term refers to an (Ci-C4)alkyl group as defined above. Preferred examples are methyl and ethyl. More preferred is ethyl.
- R 6 represents "(Ci-C 4 )alkyl-C(O)-OCH 2 -” the term (Ci-C 4 )alkyl refers to an (Ci- C4)alkyl group as defined above. Preferred examples are methyl and ethyl. More preferred is methyl.
- R 8 represents "(Ci -Chalky 1" the term refers to an (Ci-C4)alkyl group as defined above. Preferred examples are methyl and ethyl. More preferred is ethyl.
- R 9 represents "(Ci-C4)alkyl” the term refers to an (Ci-C4)alkyl group as defined above. Preferred examples are methyl and ethyl. ⁇ ⁇
- the term "(Ci-C3)alkandiyl" as used in Y refers to a carbon chain containing from one to three carbon atoms, which is attached to the substituent Z and to the ⁇ -carbon atom of the amino acid part of the rest of the molecule as depicted in formula I.
- the respective two residues may be attached to the same or to different carbon atoms of the alkandiyl group.
- Preferred examples of (Ci-C3)alkandiyl groups are methandiyl, ethan-l,2-diyl and propan- 2,2-diyl. More preferred are methandiyl and ethan-1 ,2-diyl. Most preferred is methandiyl.
- alkenyl refers to a straight or branched chain alkenyl group containing two to four carbon atoms.
- (C x -C y )alkenyl refers to an alkenyl group as defined before containing x to y carbon atoms.
- a (C2-C4)alkenyl group contains from two to four carbon atoms.
- Representative examples of alkenyl groups include vinyl, allyl, 2-methyl-propenyl and butenyl. The alkenyl group may be unsubstituted or substituted as explicitly defined.
- R represents "(C 2 -C 4 )alkenyl" the term refers to an (C 2 -C 4 )alkenyl group as defined above.
- Preferred examples are vinyl and allyl.
- C4)alkenyl groups are monosubstituted with (Ci-C4)alkoxy, -COOH or -COOR 9 (and preferably with methoxy and -COOH).
- Vinyl groups are most preferably substituted in 2- position with -COOH; allyl groups are most preferably substituted in 3-position with methoxy.
- R 4 represents "(C 2 -C 4 )alkenyl" the term refers to an (C 2 -C 4 )alkenyl group as defined above.
- Preferred examples are vinyl and allyl.
- the above-mentioned (C 2 - C4)alkenyl groups are monosubstituted with (Ci-C4)alkoxy or -COOR 9 (and preferably with methoxy).
- Vinyl groups are most preferably substituted in 2-position with -COOR 9 ; allyl groups are most preferably substituted in 3-position with methoxy.
- alkoxy refers to a saturated straight or branched chain alkoxy group containing one to four carbon atoms.
- (C x -C y )alkoxy (x and y each being an integer) refers to an alkoxy group as defined before containing x to y carbon atoms.
- a (Ci-Ce)alkoxy group contains from one to six carbon atoms.
- alkoxy groups include methoxy, ethoxy, «-propoxy, ⁇ o-propoxy, «-butoxy, ⁇ o-butoxy, sec-butoxy, tert-butoxy, «-pentoxy, 1 -methyl-butoxy, 2-methyl-butoxy, 3 -methyl-butoxy, 1,1-dimethyl-propoxy, 1,2-dimethyl-propoxy, 2,2- dimethyl-propoxy and «-hexyloxy (notably methoxy, ethoxy, «-propoxy, ⁇ o-propoxy, n- butoxy, ⁇ o-butoxy, sec-butoxy and tert-butoxy).
- R 1 represents "(Ci-Ce)alkoxy” the term refers to an (Ci-Ce)alkoxy group as defined above. Preferred examples are methoxy, ethoxy, «-propoxy, «-butoxy, «-pentoxy and n- hexyloxy. More preferred are ethoxy and «-butoxy and most preferred is «-butoxy.
- R 1 represents "(Ci-C4)alkoxy” the term refers to an (Ci-C4)alkoxy group as defined above. Preferred examples are ethoxy and «-butoxy. More preferred is «-butoxy.
- R 2 represents "(Ci-C4)alkyl which is monosubstituted with (Ci-C4)alkoxy” the term “(Ci-C4)alkoxy” refers to an (Ci-C4)alkoxy group as defined above. Preferred examples are methoxy and ethoxy. More preferred is methoxy.
- R 2 represents "(C2-C4)alkenyl which is monosubstituted with (Ci-C4)alkoxy” the term “(Ci-C4)alkoxy” refers to an (Ci-C4)alkoxy group as defined above. Preferred examples are methoxy and ethoxy. More preferred is methoxy.
- R 2 represents "(Ci-C4)alkyl-amino which is monosubstituted with (Ci-C4)alkoxy"
- (Ci-C4)alkoxy refers to an (Ci-C4)alkoxy group as defined above. Preferred examples are methoxy and ethoxy. More preferred is methoxy.
- R represents "heterocyclyl which is monosubstituted with (Ci-C4)alkoxy" the term
- (Ci-C4)alkoxy refers to an (Ci-C4)alkoxy group as defined above. Preferred examples are methoxy and ethoxy. More preferred is methoxy.
- R 3 represents "aryl which is substituted with (Ci-C4)alkoxy"
- (C 1 - C4)alkoxy refers to an (Ci-C4)alkoxy group as defined above.
- Preferred examples are methoxy and ethoxy. More preferred is methoxy.
- R 4 represents "(Ci-C4)alkyl which is monosubstituted with (Ci-C4)alkoxy" the term
- (Ci-C4)alkoxy refers to an (Ci-C4)alkoxy group as defined above. Preferred examples are methoxy and ethoxy. More preferred is methoxy.
- R 4 represents "(C2-C4)alkenyl which is monosubstituted with (Ci-C4)alkoxy”
- (Ci-C4)alkoxy” refers to an (Ci-C4)alkoxy group as defined above. Preferred examples are methoxy and ethoxy. More preferred is methoxy.
- (Ci-C4)alkoxy group as defined above Preferred examples are methoxy and ethoxy. More preferred is ethoxy.
- (Ci-C4)alkyl-amino refers to an amino group which is monoubstituted with a (Ci-C4)alkyl group as defined above.
- Representative examples of (Ci-C4)alkyl-amino groups include methyl-amino, ethyl-amino, «-propyl- amino, ⁇ -propyl- amino, «-butyl-amino, ⁇ -butyl-amino, sec-butyl-amino and tert-butyl- amino.
- the (Ci-C4)alkyl-amino group may be unsubstituted or monosubstituted in the (C 1 -
- R 2 represents "(Ci-C4)alkyl-amino" the term refers to a (Ci-C4)alkyl-amino group as defined above. Preferred examples are methyl-amino, ethyl-amino and « -propyl-amino. More preferred are ethyl-amino and « -propyl-amino.
- the (Ci-C4)alkyl group of the above - mentioned (Ci-C4)alkyl-amino groups is monosubstituted with hydroxy, (Ci-C4)alkoxy,
- di-alkyl-amino refers to an amino group which is substituted by two alkyl groups as defined above, wherein the two alkyl groups are each containing one to six carbon atoms and may be the same or different.
- di-(C x - Cy)alkyl-amino (x and y each being an integer) refers to an amino group which is substituted by two (C x -C y )alkyl groups as defined above, wherein the two (C x -C y )alkyl groups may be the same or different.
- di-alkyl-amino groups include di-methyl-amino, ethyl-methyl-amino, methyl- «-propyl-amino, methyl- ⁇ o-propyl- amino, «-butyl-methyl-amino, ⁇ o-butyl-methyl- amino, sec-butyl-methyl-amino, tert- butyl-methyl-amino, methyl- «-pentyl-amino, «-hexyl-methyl-amino, di-ethyl-amino, ethyl- «-propyl-amino, ethyl- ⁇ o-propyl-amino, «-butyl-ethyl-amino, ⁇ o-butyl-ethyl-amino, sec-butyl-ethyl-amino, ⁇ er ⁇ -butyl-ethyl-amino, ethyl- «-pent
- R 2 represents "di-(Ci-C4)alkyl-amino" the term refers to an amino group which is substituted by two (Ci-C4)alkyl groups as defined above, wherein the two (Ci-C4)alkyl groups may be the same or different.
- Preferred examples are di-methyl-amino, ethyl- methyl-amino, methyl- «-propyl-amino and «-butyl-methyl-amino. More preferred is n- butyl-methyl-amino .
- R represents "di-(Ci-C6)alkyl-amino"
- the term refers to an amino group which is substituted by two (Ci-Ce)alkyl groups as defined above, wherein the two (Ci-Ce)alkyl groups may be the same or different.
- Preferred examples are di-methyl-amino, ethyl- methyl-amino, methyl- «-propyl-amino, «-butyl-methyl-amino, methyl- «-pentyl- amino and «-hexyl-methyl- amino. More preferred is «-hexyl-methyl-amino.
- (Ci-C4)alkoxy-C(O)- refers to an (Ci-C4)alkoxy- group as defined above.
- the (Ci-C4)alkoxy-C(O)- group is attached to the same carbon atom of the (Ci-C4)alkyl-group as the nitrogen atom of the -P(O)(NHR 7 ) 2 group.
- Preferred examples of (Ci-C 4 )alkoxy-C(O)-(Ci-C 4 )alkyl- groups are methoxycarbonyl- methyl, 1 -methoxycarbonyl-ethyl, ethoxycarbonyl-methyl and 1 -ethoxycarbonyl-ethyl.
- aryl refers to phenyl (preferred) or naphthyl.
- the aryl group is unsubstituted or mono- or di- substituted (preferably unsubstituted or mono-substituted), wherein the substituents are independently selected from the group consisting of halogen (preferred), (Ci-C4)alkyl, (Ci-C4)alkoxy and phenoxy.
- halogen preferred
- Ci-C4alkyl Ci-C4alkoxy
- Examples are phenyl, 2-methylphenyl, 2-methoxyphenyl, 3-methoxyphenyl, 4- fluorophenyl and 2-phenoxyphenyl.
- Preferred examples are phenyl and 4-fluorophenyl. Most preferred is phenyl.
- heterocyclyl refers to a 4- to 6-membered saturated monocyclic ring containing 1 or 2 heteroatoms independently selected from the group consisting of sulfur, oxygen and nitrogen (preferably oxygen and nitrogen).
- heterocyclyl groups are azetidinyl, oxetanyl, pyrrolidinyl, tetrahydrofuranyl, tetrahydrothiophenyl, oxazolidinyl, thiazolidinyl, piperidinyl, piperazinyl, morpholinyl, thiomorpholinyl and dioxanyl.
- the heterocyclyl group may be unsubstituted or substituted as explicitly defined.
- R 2 represents "heterocyclyl” the term refers to a heterocyclyl group as defined above.
- the heterocyclyl group is unsubstituted or monosubstituted with (Ci-C4)alkyl or (Ci-C 4 )alkoxy.
- Preferred examples are pyrrolidinyl, 3-methoxy-pyrrolidinyl (notably (S)- 3-methoxy-pyrrolidinyl), 4-methyl-piperazinyl and morpholinyl. More preferred are pyrrolidinyl and (S)-3-methoxy -pyrrolidinyl.
- a dotted line shows the point of attachment of the radical drawn.
- pharmaceutically acceptable salts refers to non-toxic, inorganic or organic acid and/or base addition salts. Reference can be made to "Salt selection for basic drugs", Int. J. Pharm. (1986), 33, 201-217.
- room temperature refers to a temperature of around 25°C.
- the term “about” (or alternatively the term “around”) placed before a numerical value "X” refers in the current application to an interval extending from X minus 10% of X to X plus 10% of X, and preferably to an interval extending from X minus 5% of X to X plus 5% of X.
- the term “about” (or alternatively the term “around”) placed before a temperature "Y” refers in the current application to an interval extending from the temperature Y minus 10 0 C to Y plus 10 0 C, and preferably to an interval extending from Y minus 5 0 C to Y plus 5 0 C.
- a further embodiment of the invention relates to thiazole derivatives of formula I according to embodiment 1) which are also compounds of formula Ip,
- R 1 represents (Ci-C4)alkoxy
- Y represents a bond and Z represents hydrogen
- Y represents (Ci-C3)alkandiyl and Z represents hydrogen, hydroxy, -COOH, -COOR 5 , -P(O)(OH) 2 , -P(O)(OR 6 ) 2 , -P(O)(NHR 7 ) 2 or phenyl, wherein the phenyl is substituted with
- W represents a group selected from
- R 2 represents hydrogen; halogen; (Ci-C4)alkyl which is monosubstituted with (Ci-C4)alkoxy, -COOH or -COOR 9 ; (C 2 -C 4 )alkenyl which is monosubstituted with (Ci-C 4 )alkoxy, -COOH or -COOR 9 ; phenyl which is unsubstituted or monosubstituted with halogen; (Ci-C4)alkyl-amino, wherein the alkyl-group is monosubstituted with hydroxy, (Ci-C4)alkoxy, -COOH or -COOR 9 ; di-(Ci-C4)alkyl-amino; heterocyclyl which is unsubstituted or monosubstituted with (C 1 - C4)alkyl or (Ci-C4)alkoxy; or 2-methoxymethyl-cycloprop-l-yl (notably (lS,2S
- R represents aryl which is unsubstituted or mono- or di-substituted, wherein the substituents are independently selected from the group consisting of halogen, (Ci-C 4 )alkyl, (Ci-C 4 )alkoxy and phenoxy;
- R 4 represents halogen; (Ci-C4)alkyl which is monosubstituted with (Ci-C4)alkoxy, -COOH, or -COOR 9 ; (C2-C4)alkenyl which is monosubstituted with (Ci-C4)alkoxy or -COOR 9 ; phenyl; or di-(Ci-C6)alkyl-amino;
- R 5 represents (d-C 4 )alkyl
- R 6 represents (Ci-C 4 )alkyl, (Ci-C 4 )alkyl-C(O)-OCH 2 - or (Ci-C 4 )alkoxy-C(O)-OCH 2 -;
- R 7 represents (Ci-C 4 )alkoxy-C(O)-(Ci-C 4 )alkyl-;
- R 8 represents (Ci-C 4 )alkyl
- R 9 represents (Ci-C 4 )alkyl
- a further embodiment of the invention relates to thiazole derivatives of formula I according to any one of embodiments 1) or 2), wherein
- R 1 represents (Ci-C4)alkoxy
- Y represents a bond and Z represents hydrogen; or Y represents (Ci-C3)alkandiyl and Z represents hydrogen, hydroxy, -COOH or -COOR 5 ;
- W represents a group selected from Gl or G2;
- R 2 represents hydrogen; halogen; (Ci-C4)alkyl which is monosubstituted with (Ci-C4)alkoxy, -COOH or -COOR 9 ; (C 2 -C 4 )alkenyl which is monosubstituted with (Ci-C 4 )alkoxy, -COOH or -COOR ; phenyl which is unsubstituted or monosubstituted with halogen; (Ci-C4)alkyl-amino, wherein the alkyl-group is monosubstituted with hydroxy, (Ci-C4)alkoxy, -COOH or -COOR ; di-(Ci-C4)alkyl-amino; heterocyclyl which is unsubstituted or monosubstituted with (C 1 - C4)alkyl or (Ci-C4)alkoxy; or 2-methoxymethyl-cycloprop- 1 -yl (notably (lS,2S)
- R represents aryl which is unsubstituted or mono- or di-substituted, wherein the substituents are independently selected from the group consisting of halogen, (Ci-C 4 )alkyl, (Ci-C 4 )alkoxy and phenoxy;
- R represents halogen; (Ci-C4)alkyl which is monosubstituted with (Ci-C4)alkoxy, -COOH, or -COOR 9 ; (C 2 -C 4 )alkenyl which is monosubstituted with (Ci-C 4 )alkoxy or -COOR 9 ; phenyl; or di-(Ci-C6)alkyl-amino; R 5 represents (C r C 4 )alkyl; R 9 represents (Ci-C 4 )alkyl; and to the salts (in particular pharmaceutically acceptable salts) of such compounds.
- a further embodiment of the invention relates to thiazole derivatives of formula I according to any one of embodiments 1) or 2), wherein R 1 represents (Ci-C 4 )alkoxy;
- Y represents (Ci-C 3 )alkandiyl and Z represents -P(O)(OH) 2 , -P(O)(OR 6 ) 2 , -P(O)(NHR 7 ) 2 or phenyl, wherein the phenyl is substituted with -P(O)(OH) 2 or -P(O)(OR 8 ) 2 ;
- W represents a group selected from Gl or G2;
- R 2 represents hydrogen; halogen; (Ci-C4)alkyl which is monosubstituted with (Ci-C4)alkoxy, -COOH or -COOR 9 ; (C 2 -C 4 )alkenyl which is monosubstituted with (Ci-C 4 )alkoxy, -COOH or -COOR ; phenyl which is unsubstituted or monosubstituted with halogen; (Ci-C4)alkyl-amino, wherein the alkyl-group is monosubstituted with hydroxy, -COOH or -COOR 9 ; di-(Ci -Chalky 1-amino; heterocyclyl which is unsubstituted or monosubstituted with (C 1 - C4)alkyl or (Ci-C4)alkoxy; or 2-methoxymethyl-cycloprop-l-yl (notably (lS,2S)-2- methoxymethyl-cycloprop-
- R 3 represents aryl which is unsubstituted or mono- or di-substituted, wherein the substituents are independently selected from the group consisting of halogen, (Ci-C 4 )alkyl, (Ci-C 4 )alkoxy and phenoxy;
- R 4 represents halogen; (Ci-C4)alkyl which is monosubstituted with (Ci-C4)alkoxy, -COOH, or -COOR 9 ; (C 2 -C 4 )alkenyl which is monosubstituted with (Ci-C 4 )alkoxy or -COOR 9 ; phenyl; or di-(Ci-C6)alkyl-amino; R 6 represents (Ci-C 4 )alkyl, (Ci-C 4 )alkyl-C(O)-OCH 2 - or (Ci-C 4 )alkoxy-C(O)-OCH 2 -; R 7 represents (Ci-C 4 )alkoxy-C(O)-(Ci-C 4 )alkyl-; R 8 represents (d-C 4 )alkyl; R 9 represents (d-C 4 )alkyl; and to the salts (in particular pharmaceutically acceptable salts) of such compounds.
- a further embodiment of the invention relates to thiazole derivatives of formula I according to any one of embodiments 1) or 2), wherein
- R 1 represents (Ci-C4)alkoxy
- Y represents (d-C 3 )alkandiyl and Z represents -P(O)(OH) 2 , -P(O)(OR 6 ) 2 , -P(O)(NHR 7 ) 2 or phenyl, wherein the phenyl is substituted with -P(O)(OH) 2 or -P(O)(OR 8 ) 2 ;
- W represents a group selected from Gl or G2;
- R 2 represents hydrogen; phenyl; di-(Ci -Chalky 1-amino; or heterocyclyl which is mono- substituted with (Ci-C 4 )alkyl;
- R represents aryl which is unsubstituted or mono-substituted with halogen;
- R 4 represents halogen or phenyl;
- R 6 represents (Ci-C 4 )alkyl, (Ci-C 4 )alkyl-C(O)-OCH 2 - or (Ci-C 4 )alkoxy-C(O)-OCH 2 -;
- R 7 represents (Ci-C 4 )alkoxy-C(O)-(Ci-C 4 )alkyl-;
- R 8 represents (Ci-C 4 )alkyl; and to the salts (in particular pharmaceutically acceptable salts) of such compounds.
- a further embodiment of the invention relates to thiazole derivatives of formula I according to any one of embodiments 1) or 2), wherein
- R 1 represents (Ci-C 4 )alkoxy
- Y represents (Ci-C3)alkandiyl (preferably methandiyl) and Z represents -P(O)(OH) 2 or phenyl, wherein the phenyl is substituted with -P(O)(OH) 2 ;
- W represents a group Gl;
- R 2 represents hydrogen; phenyl; or di-(Ci-C 4 )alkyl-amino;
- R 3 represents phenyl which is unsubstituted or mono-substituted with halogen; and to the salts (in particular pharmaceutically acceptable salts) of such compounds.
- a further embodiment of the invention relates to thiazole derivatives of formula I according to any one of embodiments 1) to 6) and to the salts (in particular pharmaceutically acceptable salts) of such compounds, which have a configuration as depicted in formula I STI
- a further embodiment of the invention relates to thiazole derivatives of formula I according to any one of embodiments 1) to 7), wherein R 1 represents ethoxy or «-butoxy (preferably «-butoxy); and to the salts (in particular pharmaceutically acceptable salts) of such compounds.
- a further embodiment of the invention relates to thiazole derivatives of formula I according to any one of embodiments 1), 2), 3), 7) or 8), wherein
- Y represents a bond and Z represents hydrogen; and to the salts (in particular pharmaceutically acceptable salts) of such compounds.
- a further embodiment of the invention relates to thiazole derivatives of formula I according to any one of embodiments 1), 2), 3), 7) or 8)), wherein
- Y represents (Ci-C3)alkandiyl and Z represents hydroxy or -COOH; and to the salts (in particular pharmaceutically acceptable salts) of such compounds.
- a further embodiment of the invention relates to thiazole derivatives of formula I according to any one of embodiments 1), 2), 3), 7) or 8), wherein
- Y represents methandiyl and Z represents hydroxy; and to the salts (in particular pharmaceutically acceptable salts) of such compounds.
- a further embodiment of the invention relates to thiazole derivatives of formula I according to any one of embodiments 1), 2), 3), 7) or 8), wherein Y represents ethan-l,2-diyl and Z represents -COOH; and to the salts (in particular pharmaceutically acceptable salts) of such compounds.
- a further embodiment of the invention relates to thiazole derivatives of formula I according to any one of embodiments 1), 2), 4), 5), 7) or 8), wherein
- Y represents (Ci-C 3 )alkandiyl and Z represents -P(O)(OH) 2 , -P(O)(OR 6 ) 2 , -P(O)(NHR 7 ) 2 or phenyl, wherein the phenyl is substituted with -P(O)(OH) 2 or -P(O)(OR 8 ) 2 ; and to the salts (in particular pharmaceutically acceptable salts) of such compounds.
- a further embodiment of the invention relates to thiazole derivatives of formula I according to any one of embodiments 1), 2), 4), 5), 7) or 8), wherein
- Y represents (Ci-C3)alkandiyl (preferably methandiyl) and Z represents -P(O)(OR 6 ) 2 , -P(O)(NHR 7 ) 2 or phenyl, wherein the phenyl is substituted with -P(O)(OR 8 ) 2 ; and to the salts (in particular pharmaceutically acceptable salts) of such compounds.
- a further embodiment of the invention relates to thiazole derivatives of formula I according to any one of embodiments 1), 2) or 4) to 8), wherein
- Y represents (Ci-C3)alkandiyl (preferably methandiyl) and Z represents -P(O)(OH) 2 or phenyl, wherein the phenyl is substituted with -P(O)(OH) 2 ; and to the salts (in particular pharmaceutically acceptable salts) of such compounds.
- a further embodiment of the invention relates to thiazole derivatives of formula I according to any one of embodiments 1), 2) or 4) to 8), wherein
- a further embodiment of the invention relates to thiazole derivatives of formula I according to any one of embodiments 1), 2) or 4) to 8), wherein
- Y represents methandiyl and Z represents phenyl, wherein the phenyl is substituted with -P(O)(OH) 2 (preferably attached to the phenyl group inp ⁇ r ⁇ -position); and to the salts (in particular pharmaceutically acceptable salts) of such compounds.
- a further embodiment of the invention relates to thiazole derivatives of formula I according to any one of embodiments 1) to 17), wherein W represents the group Gl; and to the salts (in particular pharmaceutically acceptable salts) of such compounds.
- a further embodiment of the invention relates to thiazole derivatives of formula I according to any one of embodiments 1) to 5) or 7) to 17), wherein
- W represents the group G2; and to the salts (in particular pharmaceutically acceptable salts) of such compounds.
- a further embodiment of the invention relates to thiazole derivatives of formula I according to any one of embodiments 1) to 4) or 7) to 18), wherein
- R 2 represents hydrogen; halogen; (Ci-C4)alkyl which is monosubstituted with (Ci-C4)alkoxy or -COOH; (C 2 -C 4 )alkenyl which is monosubstituted with (Ci-C 4 )alkoxy or -COOH; phenyl; (Ci-C4)alkyl-amino, wherein the alkyl-group is monosubstituted with hydroxy, (Ci-C4)alkoxy or -COOH; di-(Ci-C4)alkyl-amino; heterocyclyl which is unsubstituted or monosubstituted with (Ci-C4)alkyl or (Ci-C4)alkoxy; or (i5',25)-2-methoxymethyl-cycloprop- 1 -yl; and to the salts (in particular pharmaceutically acceptable salts) of such compounds.
- a further embodiment of the invention relates to thiazole derivatives of formula I according to any one of embodiments 1) to 4) or 7) to 18), wherein R 2 represents hydrogen; halogen (preferably chlorine or bromine); (Ci-C4)alkyl (preferably ethyl or ⁇ -propyl) which is monosubstituted with methoxy or -COOH; (C 2 -C 4 )alkenyl (preferably vinyl) which is monosubstituted with methoxy or -COOH; phenyl; (Ci-C 4 )alkyl- amino, wherein the alkyl-group is monosubstituted with hydroxy, methoxy or -COOH (preferably hydroxy or methoxy); di-(Ci-C4)alkyl-amino (preferably «-butyl-methyl-amino); heterocyclyl (preferably pyrrolidinyl, piperazinyl or morpholinyl) which is unsubstituted or monosubstituted
- a further embodiment of the invention relates to thiazole derivatives of formula I according to any one of embodiments 1) to 5) or 7) to 18), wherein
- R 2 represents hydrogen; phenyl; di-(Ci-C4)alkyl-amino; or heterocyclyl which is mono- substituted with (Ci-C 4 )alkyl; and to the salts (in particular pharmaceutically acceptable salts) of such compounds.
- a further embodiment of the invention relates to thiazole derivatives of formula I according to any one of embodiments 1) to 18), wherein
- R 2 represents hydrogen; phenyl; or di-(Ci-C4)alkyl-amino; and to the salts (in particular pharmaceutically acceptable salts) of such compounds.
- a further embodiment of the invention relates to thiazole derivatives of formula I according to any one of embodiments 1) to 18), wherein R 2 represents hydrogen; and to the salts (in particular pharmaceutically acceptable salts) of such compounds.
- a further embodiment of the invention relates to thiazole derivatives of formula I according to any one of embodiments 1) to 24), wherein
- R 3 represents aryl (preferably phenyl) which is unsubstituted or mono-substituted with halogen (preferably fluorine); and to the salts (in particular pharmaceutically acceptable salts) of such compounds.
- halogen preferably fluorine
- a further embodiment of the invention relates to thiazole derivatives of formula I according to any one of embodiments 1) to 24), wherein
- R 3 represents phenyl; and to the salts (in particular pharmaceutically acceptable salts) of such compounds.
- a further embodiment of the invention relates to thiazole derivatives of formula I according to any one of embodiments 1) to 5), 7) to 17), 19), 25) or 26), wherein R 4 represents halogen (preferably bromine) or phenyl; and to the salts (in particular pharmaceutically acceptable salts) of such compounds.
- a further embodiment of the invention relates to thiazole derivatives of formula I according to any one of embodiments 1), 2), 4), 5), 7), 8), 13), 14) or 18) to 27), wherein
- R 6 represents (Ci-C 4 )alkyl (preferably ethyl), CH 3 -C(O)-OCH 2 - or CH 3 CH 2 O-C(O)-OCH 2 -; and to the salts (in particular pharmaceutically acceptable salts) of such compounds.
- a further embodiment of the invention relates to thiazole derivatives of formula I according to any one of embodiments 1), 2), 4), 5), 7), 8), 13), 14) or 18) to 27), wherein
- R 7 represents CH 3 CH 2 O-C(O)-CH(CH 3 )-; and to the salts (in particular pharmaceutically acceptable salts) of such compounds.
- a further embodiment of the invention relates to thiazole derivatives of formula I according to any one of embodiments 1), 2), 4), 5), 7), 8), 13), 14) or 18) to 27), wherein R 8 represents ethyl; and to the salts (in particular pharmaceutically acceptable salts) of such compounds.
- Preferred compounds of formula (I) as defined in embodiment 1) are selected from the group consisting of:
- a further object of the invention is the compounds of formula I as defined in one of embodiments 1) to 31) above, or their pharmaceutically acceptable salts, as medicaments.
- the compounds of formula I and their pharmaceutically acceptable salts can be used as medicaments, e.g. in the form of pharmaceutical compositions for enteral or parenteral administration.
- the invention thus also relates to pharmaceutical compositions containing at least one compound according to one of embodiments 1) to 31) above, or a pharmaceutically acceptable salt thereof, and a pharmaceutically acceptable carrier, diluent or excipient.
- the invention relates to pharmaceutical compositions containing at least one compound of formula I and one or more pharmaceutically acceptable carriers, diluents or excipients.
- compositions can be effected in a manner which will be familiar to any person skilled in the art (see for example Remington, The Science and Practice of Pharmacy, 21st Edition (2005), Part 5, "Pharmaceutical Manufacturing” [published by Lippincott Williams & Wilkins]) by bringing the described compounds of formula I or their pharmaceutically acceptable salts, optionally in combination with other therapeutically valuable substances, into a galenical administration form together with suitable, non-toxic, inert, therapeutically compatible solid or liquid carrier materials and, if desired, usual pharmaceutical adjuvants.
- ⁇ ⁇ ⁇ for the treatment or prophylaxis of diseases including stable angina, unstable angina, myocardial infarction, embolism (including complications of atherosclerosis, notably embolic stroke), arterial thrombosis (including primary arterial thrombotic complications of atherosclerosis, notably thrombotic stroke), venous thrombosis (notably deep vein thrombosis), thrombosis secondary to vascular damage or to inflammation (including vasculitis, arteritis and glomerulonephritis), venoocclusive diseases, transient ischaemic attacks, peripheral vascular diseases, myocardial infarction with or without thrombolysis, myeloproliferative disease, thrombocythaemia, sickle cell disease, inflammatory bowel disease, thrombotic thrombocytopaenic purpura, haemolytic uraemic syndrome; ⁇ ⁇ for preventing thrombotic complications of septicaemia, adult respiratory distress syndrome, anti-phospholipid
- a particular object of this invention is the use of a compound of formula I as defined in one of embodiments 1) to 31) above, or of a pharmaceutically acceptable salt thereof, for the manufacture of a medicament for the uses listed in embodiment 34) above, and for the manufacture of a medicament for the treatment of occlusive vascular disorders in general.
- the invention relates to the use of a compound of formula I as defined in one of embodiments 1) to 31) above, or of a pharmaceutically acceptable salt thereof, for the manufacture of a medicament for the treatment and/or prevention of occlusive vascular disorders as well as to the use of a compound of formula I for the manufacture of a medicament for the treatment and/or prevention of peripheral vascular, of visceral-, hepatic- and renal-vascular, of cardiovascular and of cerebrovascular diseases or conditions associated with platelet aggregation, including thrombosis in humans and other mammals.
- the invention further relates to the use of a compound of formula I according to one of embodiments 1) to 31) above, or of a pharmaceutically acceptable salt thereof, for the preservation of blood products in vitro (e.g. the preservation of platelet concentrates), or for the prevention of occlusion in extra-corporeal blood or blood product treatment machines (such as renal dialysis machines or plasmapheresis machines).
- a compound of formula I according to one of embodiments 1) to 31) above, or of a pharmaceutically acceptable salt thereof, for the preservation of blood products in vitro (e.g. the preservation of platelet concentrates), or for the prevention of occlusion in extra-corporeal blood or blood product treatment machines (such as renal dialysis machines or plasmapheresis machines).
- the invention also relates to methods of treatment for the disorders mentioned in embodiment 34) above, said methods comprising the administration to a patient in need thereof of an effective amount of a compound of formula I according to one of embodiments 1) to 31), or of a pharmaceutically acceptable salt of such a compound.
- the present invention also includes isotopically labelled, especially 2 H (deuterium) labelled compounds of formula I, which compounds are identical to the compounds of formula I except that one or more atoms have each been replaced by an atom having the same atomic number but an atomic mass different from the atomic mass usually found in nature.
- Isotopically labelled, especially 2 H (deuterium) labelled compounds of formula I and salts thereof are within the scope of the present invention. Substitution of hydrogen with the heavier isotope 2 H (deuterium) may lead to greater metabolic stability, resulting e.g. in increased in-vivo half-life or reduced dosage requirements, or may lead to reduced inhibition of cytochrome P450 enzymes, resulting e.g. in an improved safety profile.
- the compounds of formula I are not isotopically labelled, or they are labelled only with one or more deuterium atoms. In a sub-embodiment, the compounds of formula I are not isotopically labelled at all. Isotopically labelled compounds of formula I may be prepared in analogy to the methods described hereinafter, but using the appropriate isotopic variation of suitable reagents or starting materials.
- any reference to a compound of formula I, I P or I STI in this text is to be understood as referring also to the salts (and especially the pharmaceutically acceptable salts) of such compounds, as appropriate and expedient.
- the preferences indicated for the compounds of formula I of course apply mutatis mutandis to the compounds of formula I P and to the compounds of formula I STI , as well as to the salts and pharmaceutically acceptable salts of the compounds of formula I, of formula I P or of formula I STI .
- a further aspect of the invention is a process for the preparation of compounds of formula (I).
- Compounds of formula (I) of the present invention can be prepared according to the general sequence of reactions outlined in the schemes below wherein Gl, G2, W, Y, Z, R 1 , R 2 , R 3 , R , R 5 , R , R 7 , R and R are as defined for formula (I).
- the compounds obtained may also be converted into pharmaceutically acceptable salts thereof in a manner known per se.
- all chemical transformations can be performed according to well-known standard methodologies as described in the literature or as described in the procedures below or in the experimental part. It is to be understood that any chiral starting material used in any procedure described below may also be used in enantiopure form.
- the compounds of formula I.I can be obtained by hydrolysis of the corresponding compounds of formula II wherein Z' is -COOR 5 either under basic conditions using standard reagents such as NaOH or LiOH in a mixture of water and a suitable organic solvent such as THF, MeOH or EtOH, or under acidic conditions using standard reagents such as TFA in a suitable organic solvent such as CH 2 Cl 2 .
- the compounds of formula 1.2 can be prepared by treating the compounds of formula II wherein Z' is -P(O)(OR 6 ) 2 , wherein R 6 represents (d-C 4 )alkyl, with HCl optionally in the presence of H 2 O, in a suitable organic solvent such as THF, EtOAc, dioxane or Et 2 O and preferably at a temperature around RT, or with trimethylsilyl bromide or trimethylsilyl iodide in a suitable solvent such as CH 2 Cl 2 or CH3CN and preferably at a temperature around RT.
- a suitable organic solvent such as THF, EtOAc, dioxane or Et 2 O and preferably at a temperature around RT
- trimethylsilyl bromide or trimethylsilyl iodide in a suitable solvent such as CH 2 Cl 2 or CH3CN and preferably at a temperature around RT.
- P(O)(OH) 2 can be prepared from compounds of formula II, wherein Z' is phenyl, wherein the phenyl is substituted with P(O)(OR 8 ) 2 in analogy to the compounds of formula 1.2.
- the compounds of formula 1.3 wherein R 6 represents (Ci-C 4 )alkyl-C(O)-OCH 2 - or (Ci- C 4 )alkoxy-C(O)-OCH 2 -, can be prepared by the reaction between a phosphonic acid of formula 1.2 and an appropriate compound of formula (Ci-C 4 )alkyl-C(O)-OCH 2 -X or (Ci- C 4 )alkoxy-C(O)-OCH 2 -X, X being a leaving group such as chloride, bromide or iodide, in the presence of a suitable base (e.g. NEt 3 , DIPEA) in a suitable solvent such as DMF, NMP or DMPU, optionally in the presence of NaI and preferably at a temperature between 45 and 90 0 C.
- a suitable base e.g. NEt 3 , DIPEA
- a suitable solvent such as DMF, NMP or DMPU
- the compounds of formula 1.4 can be prepared by the reaction between a phosphonic acid of formula 1.2 and an appropriate amino acid alkyl ester (preferably an ⁇ -amino acid alkyl ester) of formula (Ci-C 4 )alkoxy-C(O)-(Ci-C 4 )alkyl-NH 2 in the presence of a suitable base (e.g. NEt 3 ) and an activating mixture of reagents such as a combination of 2,2'-dipyridyl disulfide and PPh 3 in a suitable solvent such as anhydrous pyridine and preferably at a temperature of about 6O 0 C.
- a suitable base e.g. NEt 3
- an activating mixture of reagents such as a combination of 2,2'-dipyridyl disulfide and PPh 3
- a suitable solvent such as anhydrous pyridine and preferably at a temperature of about 6O 0 C.
- the compounds of formula I or II, wherein R represents (C 2 -C 4 )alkenyl which is monosubstituted with (Ci-C4)alkoxy, -COOH or -COOR can be hydrogenated to lead to the compounds of formula I or II, wherein R represents (C2-C4)alkyl which is monosubstituted with (Ci-C4)alkoxy, -COOH or -COOR , using standard conditions for the hydrogenation of a double bond such as palladium on charcoal in a suitable solvent such as EtOH or MeOH, at a temperature preferably around RT and under hydrogen.
- Y represents a bond and Z' represents hydrogen
- Y represents (Ci-C 3 )alkandiyl and Z' represents hydrogen, hydroxy, -COOR 5 , -P(O)(OR 6 ) 2 [R 6 being (Ci-C 4 )alkyl] or phenyl, wherein the phenyl is substituted with -P(O)(OR 8 ) 2 , can be prepared according to Scheme 2, Scheme 2a or Scheme 2b below. Preparation of the compounds of formula II
- R represents R a
- R a being hydrogen or halogen (notably hydrogen, chlorine or bromine)
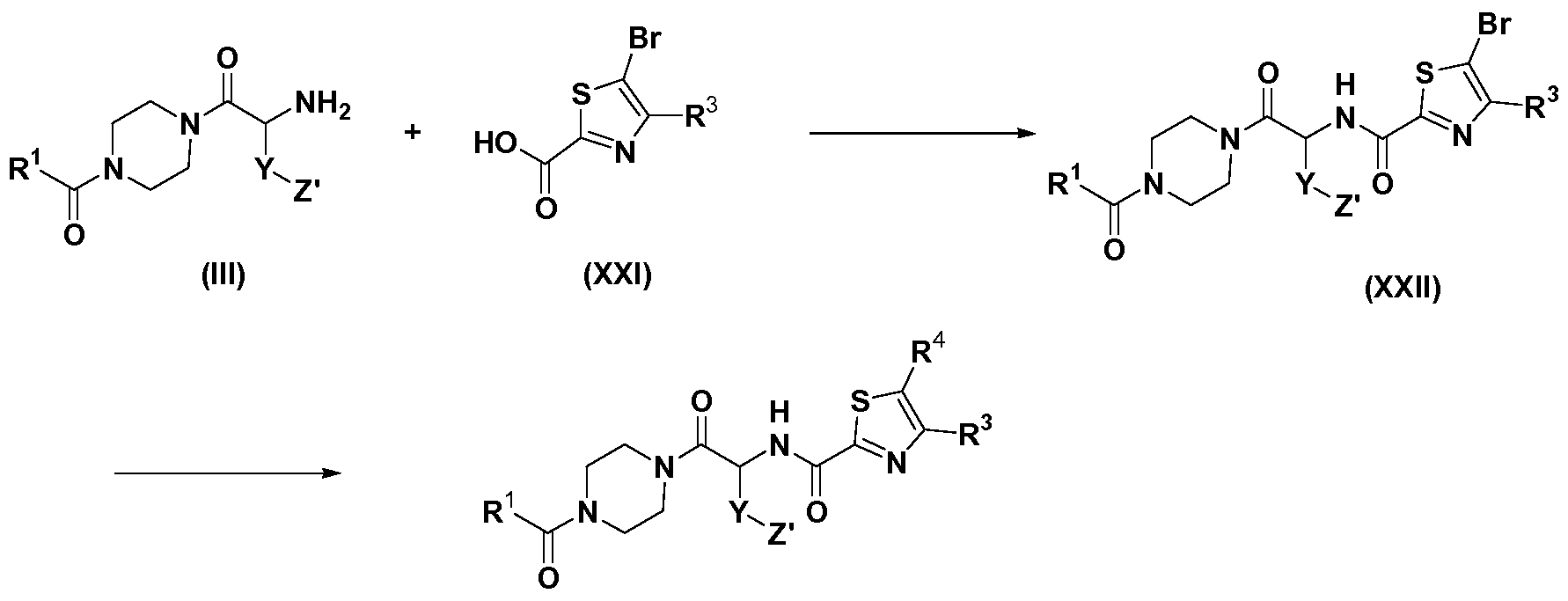
- Scheme 2 by coupling a compound of formula III with a compound of formula IV wherein R a represents hydrogen or halogen (notably hydrogen, chlorine or bromine) using standard peptide coupling reagents such as TBTU, HOBT, EDCI hydrochloride, HATU, PyBOP, in the presence of a suitable base such as NEt3 or DIPEA and in a suitable solvent such as CH 2 Cl 2 , THF or DMF, preferably at a temperature around RT.
- a suitable base such as NEt3 or DIPEA
- suitable solvent such as CH 2 Cl 2 , THF or DMF
- the compounds of formula ILl can be converted into compounds of formula II wherein R 2 is an amino group by aromatic substitution reaction with the respective amine in the presence of a suitable base such as cesium carbonate, optionally in a suitable solvent such as THF or CH3CN and preferably heating between 6O 0 C and 8O 0 C; said amino groups are defined by di- (Ci-C4)alkyl-amino; or heterocyclyl which is unsubstituted or mono substituted with (Ci- C4)alkyl or (Ci-C4)alkoxy.
- a suitable base such as cesium carbonate
- a suitable solvent such as THF or CH3CN
- compounds of formula II wherein R represents (Ci- C4)alkyl-amino wherein the alkyl group is monosubstituted with hydroxy or (Ci-C4)alkoxy, can be obtained by heating compounds of formula ILl, wherein R a represents bromine, at a temperature of around 80 to 120 0 C in the respective amine as solvent.
- R 2 represents (Ci-C4)alkyl-amino wherein the alkyl group is monosubstituted with -COOH
- R 2 represents (Ci-C4)alkyl-amino wherein the alkyl group is monosubstituted with -COOH
- R 2 represents (Ci-C4)alkyl-amino wherein the alkyl group is monosubstituted with -COOH
- R 2 represents (Ci-C4)alkyl-amino wherein the alkyl group is monosubstituted with -COOH
- the intermediates of formula ILl, wherein R a represents bromine, can furthermore be converted into compounds of formula II, wherein R 2 represents (C 2 -C 4 )alkenyl which is monosubstituted with (Ci-C4)alkoxy or -COOR 9 ; or phenyl which is unsubstituted or monosubstituted with halogen, using a reagent of formula R 2 -B(OR b )2, wherein OR b represents hydroxy or (Ci-C4)alkoxy or the group B(OR b )2 represents a dioxaborolane ring which ring is unsubstituted or substituted with up to four methyl groups.
- the reaction is performed using standard conditions for a Suzuki reaction, and preferably with a boronic acid or ester derivative as mentioned above in the presence of a suitable base such as K2CO3, in the presence of a suitable palladium catalyst such as Pd(PPli 3 ) 4 , in a suitable solvent such as a DME, dioxane/L ⁇ O, EtOH/toluene/L ⁇ O or CH3CN/H2O mixture, and preferably heating between 8O 0 C and 100 0 C.
- a suitable base such as K2CO3
- Pd(PPli 3 ) 4 palladium catalyst
- a suitable solvent such as a DME, dioxane/L ⁇ O, EtOH/toluene/L ⁇ O or CH3CN/H2O mixture, and preferably heating between 8O 0 C and 100 0 C.
- the intermediate of formula ILl can also be converted into a compound of formula II wherein R represents for instance 2-methoxymethyl-cycloprop- 1 -yl using a reagent of formula R -SnBu 3 , using standard conditions for a Stille reaction, and preferably a tributylstannyl derivative, in presence of a suitable catalyst such as tetrakis(triphenylphosphine)palladium in a suitable solvent such as toluene, and preferably heating at about 120 0 C.
- a suitable catalyst such as tetrakis(triphenylphosphine)palladium
- the compounds of formula II, wherein R represents hydrogen can be prepared (Scheme 2b) from intermediates of formula II.2, wherein R represents hydrogen, using a reagent of formula R -B(OR )2, wherein B(OR )2 has the meaning as defined above, using standard conditions for a Suzuki reaction, and preferably a boronic acid derivative as mentioned above in the presence of a suitable base such as Na 2 CO 3 , in the presence of a suitable palladium catalyst such as Pd(PPh 3 ) ⁇ in a suitable solvent such as a toluene/EtOH mixture, and preferably heating around 75°C.
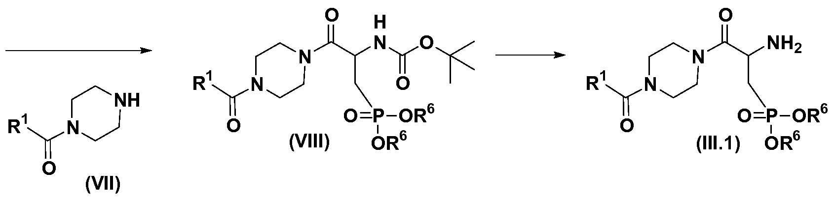
- the compounds of formula VIII can be obtained in three steps starting from commercially available Boc-3-iodo-Ala-OMe IX in an Arbuzov reaction e.g. using P(OR 6 )3, R 6 being (C 1 - C 4 )alkyl and preferably ethyl, at reflux to give compound X followed by a saponification reaction using standard basic conditions such as those already described for Scheme 1 to give XI, which finally is coupled with a compound of formula VII using standard peptide coupling methods such as those described for the synthesis of compounds of formula II (see Scheme 2).
- the compounds of formula III.1 can then be obtained by standard acidic conditions for the removal of a Boc group that are well known to one skilled in the art.
- the compounds of formula VII can be prepared using the route described in WO06114774 (preparation of the compounds of formula V, Schemes 5 and 5a).
- Boc protected iodophenylalanine derivatives if not commercially available, can be prepared starting from the iodophenylalanine compounds using standard conditions for Boc protections known to one skilled in the art.
- the compounds XII thus obtained can then be coupled with compounds of formula VII using conditions already described in Scheme 3.
- the iodinated intermediates XIII can be converted into the phosphonic ester derivatives XIV using HP(O)(OR 8 ) 2 (preferably HP(O)(OEt) 2 ), in the presence of a suitable base such as NEt 3 and of a suitable palladium catalyst such as Pd(PPh 3 ) ⁇ in a suitable solvent such as CH 3 CN or toluene, and preferably heating around reflux temperature.
- HP(O)(OR 8 ) 2 preferably HP(O)(OEt) 2
- a suitable base such as NEt 3
- a suitable palladium catalyst such as Pd(PPh 3 ) ⁇
- a suitable solvent such as CH 3 CN or toluene
- Homoserine is first protected on the nitrogen atom with a Cbz group using standard conditions known to one skilled in the art (eg. Cbz-Cl, aq. NaOH in dioxane).
- the dicyclohexylamine salt of the obtained molecule is prepared and the methyl ester is formed using MeI in DMF at a temperature around RT.
- the hydroxy function is then substituted by a bromide using standard conditions such as PPI13 and CBr4, in a suitable solvent such as CH 2 Cl 2 , preferably between O 0 C and RT.
- the next three steps are performed using conditions such as those already described for the synthesis of the compounds of formula VIII (see Scheme 3).
- the compounds of formula III.3 can then be obtained by cleaving the Cbz protecting group using standard conditions known to one skilled in the art (e.g. hydrogen, Pd/C in MeOH).
- the hydroxy compound can be obtained by forming the mixed anhydride on the acid function of Cbz-Glu-OMe using a chloroformate reagent, in the presence of a suitable base such as N-methylmorpholine, in a suitable solvent such as THF, and preferably at about -15°C.
- the mixed anhydride is reduced by using a suitable reducing agent such as NaBH4 in presence of MeOH, at a temperature around -15°C.
- the hydroxy function can then be substituted by an iodide using standard conditions such as imidazole, PPI13 and I 2 , in a suitable solvent such as THF, preferably between 0 0 C and RT.
- R a represents halogen (notably chlorine or bromine)
- R a represents halogen (notably chlorine or bromine)
- R a represents bromine
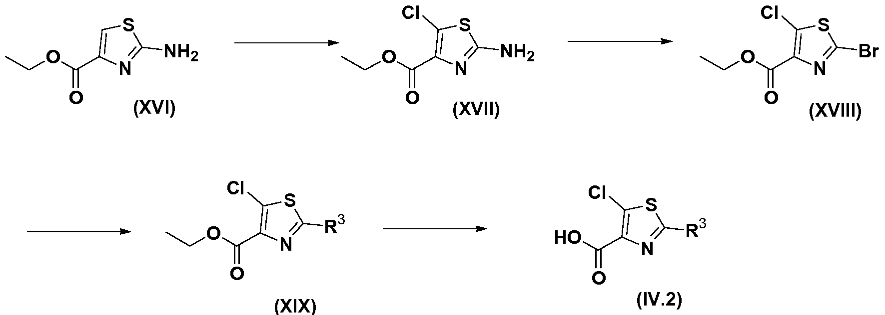
- direct bromination of commercially available compounds XV using a base such as n- BuLi and a brominating agent such as NBS in a solvent like THF, preferably at a temperature around -78°C gives access to compounds IV.1.
- the compounds of formula IV.2 can be synthesized by chlorination of compound XVI using a chlorinating agent such as N-chlorosuccinimide in a solvent like CH 3 CN.
- a chlorinating agent such as N-chlorosuccinimide
- the conversion to the brominated intermediate XVIII can be achieved through a CuBr2-mediated reaction in a solvent like CH3CN in the presence of e.g. isopentyl nitrite at a temperature of around 65°C.
- Compounds of formula XIX can be prepared from the bromide XVIII using a reagent of formula R 3 -B(OR b )2, wherein OR b represents hydroxy or (Ci-C4)alkoxy or the group B(OR b )2 represents a dioxaborolane ring which ring is unsubstituted or substituted with up to four methyl groups.
- the reaction may be performed using standard conditions for a Suzuki reaction, and preferably with a boronic acid or ester derivative as mentioned above in the presence of a suitable base such as K2CO3, in the presence of a suitable palladium catalyst such as Pd(PPli3)4, in a suitable solvent such as a DME/H2O mixture, and preferably heating between RT and 8O 0 C.
- a suitable base such as K2CO3
- a suitable palladium catalyst such as Pd(PPli3)4
- a suitable solvent such as a DME/H2O mixture
- the compounds of formula IV.2 can be prepared by saponification of the compounds of formula XIX using standard basic conditions such as those already described for Scheme 1.
- the enantiomers can be separated using methods known to one skilled in the art: e.g. by formation and separation of diastereomeric salts or by HPLC over a chiral stationary phase such as a Regis Whelk-01 (R,R) (10 ⁇ m) column, a Daicel ChiralCel OD-H (5-10 ⁇ m) column, or a Daicel ChiralPak IA (10 ⁇ m) or AD-H (5 ⁇ m) column.
- a chiral stationary phase such as a Regis Whelk-01 (R,R) (10 ⁇ m) column, a Daicel ChiralCel OD-H (5-10 ⁇ m) column, or a Daicel ChiralPak IA (10 ⁇ m) or AD-H (5 ⁇ m) column.
- Typical conditions of chiral HPLC are an isocratic mixture of eluent A (EtOH, in presence or absence of an amine such as triethylamine or diethylamine) and eluent B (hexane), at a flow rate of 0.8 to 150 mL/min.
- eluent A EtOH, in presence or absence of an amine such as triethylamine or diethylamine
- eluent B hexane
- LC-MS Thermo Finnigan MSQ or Dionex MSQPlus with HP 1100 Binary Pump and DAD, column: 4.6x50 mm, Zorbax SB-AQ, 5 ⁇ m, gradient: 5-95% CH 3 CN in H 2 O, runtime: 1.45 min, with 0.04% TFA, flow: 4.5 mL/min.
- LC-MS marked with * refer to an LC run under basic conditions: Waters XBridge Cl 8 5 ⁇ m, 4.6 x 50 mm with a gradient of 5-95% CH 3 CN in H 2 O, runtime: 1.45 min, with 13 mM Of NH 4 OH, flow: 4.5 mL/min.
- Example 1 4- ⁇ 2-[(2-Phenyl-thiazole-4-carbonyl)-amino]-acetyl ⁇ -piperazine-l-carboxylic acid ethyl ester
- Example 6 4- ⁇ (S)-4-Carboxy-2-[(2- ⁇ -tolyl-thiazole-4-carbonyl)-amino]-butyryl ⁇ - piperazine-1-carboxylic acid butyl ester This compound was prepared using a method analogous to that of Example 3, step 3.5, 2- methylphenylboronic acid replacing 2-phenoxyphenylboronic acid.
- LC-MS*: t R 0.66 min; [M+H] + : 516.89.
- Boc-3-iodo-L- AIa-OMe (9.4 g) was dissolved in triethyl phosphite (100 mL). The mixture was heated at 130 0 C overnight and evaporated to dryness to give a yellow oil (8.37 g). The compound was used in the next step without further purification.
- Example 9 4- ⁇ (R)-2- [(2-Phenyl-thiazole-4-carbonyl)-amino] -3-phosphono-propionyl ⁇ - piperazine-1-carboxylic acid butyl ester
- a solution of intermediate 8.5 (424 mg) in CH 3 CN (14 mL) was added at 0 0 C TMSBr (1.9 mL) and the mixture stirred at RT until completion of the reaction. H 2 O was added and the mixture further stirred up to 60 min.
- the org. solvent was evaporated and the aq. layer extracted with EtOAc (2x). The combined org. layers were evaporated to give 193 mg of the desired product.
- a pure analytical sample was obtained by purification with preparative HPLC (I).
- Example 10 4- ⁇ (S)-3-[4-(Diethoxy-phosphoryl)-phenyl]-2-[(2-phenyl-thiazole-4- carbony ⁇ -aminol-propionylj-piperazine-l-carboxylic acid butyl ester 10.1. 4-[(S)-2-tert-Butoxycarbonylamino-3-(4-iodo-phenyl)-propionyl]-piperazine-l- carboxylic acid butyl ester
- This compound was prepared using a method analogous to that of Example 8, step 8.3, intermediate 10.2 replacing intermediate 8.3.
- the crude was purified by CC (eluent: CH 2 Cl 2 MeOH + 0.1% NEt 3 18:1 then 9:1) to give 3.9 g of the desired product as a pale yellow foam.
- Example 12 4- ⁇ (S)-3- [4-(Diethoxy-phosphoryl)-phenyl] -2- [(2-phenyl-thiazole-4- carbony ⁇ -aminol-propionylj-piperazine-l-carboxylic acid ethyl ester
- Example 13 4- [(S)-2- [(2-Phenyl-thiazole-4-carbonyl)-amino] -3-(4-phosphono-phenyl)- propionyl]-piperazine-l-carboxylic acid ethyl ester This compound was prepared using a method analogous to that of Example 9, intermediate 12.4 replacing intermediate 8.5.
- LC-MS: t R 0.84 min; [M+H] + : 573.51.
- Example 15 4- ⁇ (S)-2-[(5-Bromo-2-phenyl-thiazole-4-carbonyl)-amiiio]-4-carboxy- butyryl ⁇ -piperazine-l-carboxylic acid butyl ester
- TFA 0.25 mL
- the reaction mixture was diluted with toluene and evaporated to dryness. The residue was taken up in H 2 O/sat. aq. NaHCO 3 and EtOAc and the aq. phase extracted with EtOAc (2x). The combined org. phases were dried over MgS ⁇ 4 and evaporated to dryness.
- Preparative HPLC (I) gave the desired product (10 mg) as yellow oil.
- Example 18 4-((S)-4-Carboxy-2- ⁇ [5-((lS,2S)-2-methoxymethyl-cyclopropyl)-2-phenyl- thiazole ⁇ -carbonylj-aminoj-butyry ⁇ -piperazine-l-carboxylic acid butyl ester
- Example 15 To a mixture of Example 15 (152 mg) in dioxane (1.5 mL) was added 2- ethoxycarbonylvinylboronic acid pinacol ester (64 mg) followed by [Pd(PPri3)4] (32 mg) and a solution Of K 2 COs (50 mg) in H 2 O (1.0 mL) and the reaction mixture was stirred at 90 0 C for 1.5 h. The crude mixture was evaporated and the residue taken up in EtOH (2 mL). LiOH (50 mg) in MeOHZH 2 O (7:3, 1 mL) was added and the reaction mixture stirred at RT for 1 h. The reaction mixture was acidified to pH 3 with IN HCl and extracted with CH 2 Cl 2 (3x). The combined org.
- Example 20 4-((S)-4-Carboxy-2- ⁇ [5-(2-carboxy-ethyl)-2-phenyl-thiazole-4-carbonyl]- amino ⁇ -butyryl)-piperazine-l-carboxylic acid butyl ester
- a suspension of Example 19 (53 mg) and Pd/C (10%, 62 mg) in MeOH (2 mL) was stirred at RT under H 2 atmosphere until reaction completion. The reaction mixture was filtrated over celite and the filtrate evaporated to dryness. Preparative HPLC (I) gave 18 mg of the desired product as yellow foam.
- LC-MS: t R 0.96 min; [M+H] + : 574.92.
- This compound was prepared using a method analogous to that of Example 17, step 17.1, intermediate 21.1 replacing intermediate 17.1. However, a preparative HPLC (I) purification was carried out instead of CC.
- This compound was prepared using a method analogous to that of Example 23, pyrrolidine replacing morpholine.
- Example 27 4-(2- ⁇ [5-(3-Hydroxy-propylamino)-2-phenyl-thiazole-4-carbonyl]-amino ⁇ - acetyl)-piperazine-l-carboxylic acid butyl ester 27.1. 4- ⁇ 2-[(5-Bromo-2-phenyl-thiazole-4-carbonyl)-amino]-acetyl ⁇ -piperazine-l-carboxylic acid butyl ester
- This compound was prepared using a method analogous to that of Example 14, step 14.3, intermediate 26.3 replacing (S)-4-(2-Amino-4-ter ⁇ -butoxycarbonyl-butyryl)-piperazine-l- carboxylic acid butyl ester.
- Example 28 4-(2- ⁇ [5-(3-Methoxy-propylamino)-2-phenyl-thiazole-4-carbonyl]-amino ⁇ - acetyl)-piperazine-l-carboxylic acid butyl ester
- Example 31 4-(2- ⁇ [5-((E)-2-Carboxy-vinyl)-2-phenyl-thiazole-4-carbonyl] -amino ⁇ - acetyl)-piperazine-l-carboxylic acid butyl ester
- Example 32 4-(2- ⁇ [5-(2-Ethoxycarbonyl-ethyl)-2-phenyl-thiazole-4-carbonyl]-amino ⁇ - acetyl)-piperazine-l-carboxylic acid butyl ester
- Example 33 4-(2- ⁇ [5-(2-Carboxy-ethyl)-2-phenyl-thiazole-4-carbonyl]-amino ⁇ -acetyl)- piperazine-1-carboxylic acid butyl ester This compound was prepared using a method analogous to that of Example 28, Example 32 replacing intermediate 27.2.
- Example 34 4-(2- ⁇ [5-(3-Methoxy-propenyl)-2-phenyl-thiazole-4-carbonyl]-amino ⁇ - acetyl)-piperazine-l-carboxylic acid butyl ester
- This compound was prepared using a method analogous to that of Example 8, step 8.3, 4-((S)- 2-amino-3-methyl-butyryl)-piperazine-l-carboxylic acid butyl ester (prepared as described in WO2008044217) replacing piperazine-1-carboxylic acid butyl ester, phenyl- 1,3 -thiazole-4- carboxylic acid replacing intermediate 8.2 and using CH 2 Cl 2 instead of CH 2 C1 2 /THF.
- the compound was however purified by CC (EtOAc/Hept 0: 1 to EtOAc/Hept 1 :0).
- LC-MS: t R 1.09 min; [M+H] + : 473.25.
- Example 37 4- ⁇ (S)-2-[(5-Bromo-2-phenyl-thiazole-4-carbonyl)-amino]-3-hydroxy- propionyl ⁇ -piperazine-l-carboxylic acid butyl ester 37.1. 4-(2-Amino-3-hydroxy-propionyl)-piperazine-l-carboxylic acid butyl ester hydrochloride
- This compound was prepared using a method analogous to that of Example 37, 2 -phenyl- 1,3- thiazole-4-carboxylic acid replacing intermediate 14.1 and using preparative HPLC (III) instead of CC.
- Example 39 4-((S)-2- ⁇ [5-((E)-2-Carboxy-vinyl)-2-phenyl-thiazole-4-carbonyl]-amino ⁇ -3- hydroxy-propionyl)-piperazine-l-carboxylic acid butyl ester
- Example 40 4-((S)-2- ⁇ [5-(2-Carboxy-ethyl)-2-phenyl-thiazole-4-carbonyl]-amino ⁇ -3- hydroxy-propionyl)-piperazine-l-carboxylic acid butyl ester
- Example 43 4- ⁇ (R)-2- [(2,5-Diphenyl-thiazole-4-carbonyl)-amino] -3-phosphono- propionyl ⁇ -piperazine-l-carboxylic acid butyl ester
- This compound was prepared using a method analogous to that of Example 9, intermediate 42.2 replacing intermediate 8.5.
- Purification with preparative HPLC (III) instead of (I) gave the desired compound.
- LC-MS: t R 0.96 min; [M+H] + : 601.13.
- Example 44 4-((R)-3-(Diethoxy-phosphoryl)-2- ⁇ [5-(4-methyl-piperazin-l-yl)-2-phenyl- thiazole ⁇ -carbonylj-aminoj-propiony ⁇ -piperazine-l-carboxylic acid butyl ester
- Example 45 4-((R)-2- ⁇ [5-(4-Methyl-piperazin-l-yl)-2-phenyl-thiazole-4-carbonyl]- amino ⁇ -3-phosphono-propionyl)-piperazine-l-carboxylic acid butyl ester; hydrochloride
- This compound was prepared using a method analogous to that of Example 9, Example 44 replacing intermediate 8.5. Purification with preparative HPLC (III) instead of (I) gave the desired compound. The residue was taken up in HCl (4M in dioxane) and evaporated to dryness to give the corresponding HCl salt.
- LC-MS: t R 0.75 min; [M+H] + : 622.86.
- Example 47 4-((R)-2- ⁇ [5-(Butyl-methyl-amino)-2-phenyl-thiazole-4-carbonyl]-amino ⁇ -3- phosphono-propionyl)-piperazine-l-carboxylic acid butyl ester
- This compound was prepared using a method analogous to that of Example 9, Example 46 replacing intermediate 8.5. Purification with preparative HPLC (III) instead of (I) gave the desired compound.
- LC-MS: t R 0.98 min; [M+H] + : 610.65.
- Example 48 4- ⁇ (R)-2-[(5-Bromo-4-phenyl-thiazole-2-carbonyl)-amino]-3-phosphono- propionyl ⁇ -piperazine-l-carboxylic acid butyl ester
- Example 49 4- ⁇ (R)-2- [(4,5-Diphenyl-thiazole-2-carbonyl)-amino] -3-phosphono- propionyl ⁇ -piperazine-l-carboxylic acid butyl ester
- Example 51 4-(2- ⁇ [5-((E)-3-Methoxy-propenyl)-4-phenyl-thiazole-2-carbonyl]-amino ⁇ - acetyl)-piperazine-l-carboxylic acid butyl ester
- Example 53 4-(2- ⁇ [5-((E)-2-Ethoxycarbonyl-vinyl)-4-phenyl-thiazole-2-carbonyl] - amino ⁇ -acetyl)-piperazine-l-carboxylic acid butyl ester
- 2- ethoxycarbonylvinylboronic acid pinacol ester replacing (E)-2-(3-methoxy-l-propen-l-yl)- 4,4,5,5-tetramethyl-l,3,2-dioxaborolane.
- LC-MS: t R 1.16 min; [M+H] + : 529.53.
- Example 54 4-(2- ⁇ [5-(2-Methoxycarbonyl-ethyl)-4-phenyl-thiazole-2-carbonyl]-amino ⁇ - acetyl)-piperazine-l-carboxylic acid butyl ester
- This compound was prepared using a method analogous to that of Example 52, Example 53 replacing Example 51.
- the crude was dissolved in MeOH (ca 0.1 mM) and stirred at 50 0 C for 30 min.
- the reaction mixture was evaporated to dryness to give the desired product.
- Example 55 4-(2- ⁇ [5-(2-Carboxy-ethyl)-4-phenyl-thiazole-2-carbonyl]-amino ⁇ -acetyl)- piperazine-1-carboxylic acid butyl ester
- MeOH MeOH
- IM aq. NaOH
- IM aq. NaOH
- the reaction mixture was diluted with H 2 O and extracted with 3x EtOAc. The combined org layers were dried over MgSO4, and concentrated to dryness. Purification by preparative TLC (CH 2 CVMeOH 7:3) gave 13 mg of the desired product.
- LC-MS: t R 0.98 min; [M+H] + : 503.31.
- Example 57 4- ⁇ (R)-3-[Bis-(acetoxymethoxy)-phosphoryl]-2-[(2-phenyl-thiazole-4- carbony ⁇ -aminol-propionylj-piperazine-l-carboxylic acid butyl ester
- Example 58 N,N'-Bis-((S)-l-Ethoxycarbonylethyl)-(R)-2-[(2-phenyl-thiazole-4- carbonyl)-amino]-3-oxo-3-(4-butoxy-carbonyl-piperazin-l-yl)-propyl-phosphonic acid diamide
- Example 9 A mixture of Example 9 (100 mg), L-alanine ethyl ester hydrochloride (88 mg), NEt 3 (0.159 mL) in anh. pyridine (0.57 mL) was heated to 60 0 C for 10 min. A freshly prepared yellow solution of 2,2'-dipyridyl disulfide (147 mg) and triphenylphosphine (175 mg) in anh. pyridine (0.57 mL) was added to the above mixture. The reaction mixture was stirred at 60 0 C overnight, cooled to RT and concentrated. The residue was partitioned between CH 2 Cl 2 and sat. aq. NaHCO 3 .
- Example 59 4- ⁇ (R)-3-[Bis-(ethoxycarbonyloxymethoxy)-phosphoryl]-2-[(2-pheiiyl- thiazole ⁇ -carbony ⁇ -aminoj-propionylj-piperaziiie-l-carboxylic acid butyl ester
- NEt 3 0.05 mL
- DMPU DMPU
- NaI 35 mg
- carbonic acid chloromethyl ester ethyl ester (0.76 mg, prepared as described in WO2004092189
- Example 60 4-(2- ⁇ [5-(Hexyl-methyl-amino)-4-phenyl-thiazole-2-carbonyl] -amino ⁇ - acetyl)-piperazine-l-carboxylic acid butyl ester
- Example 61 4-(2- ⁇ [5-(2-Carboxy-ethylamino)-2-phenyl-thiazole-4-carbonyl]-amino ⁇ - acetyl)-piperazine-l-carboxylic acid butyl ester
- Example 27 To a suspension of Example 27 (25 mg) in H 2 O/CH 3 CN (0.2 mL, 1 :1) was added at 0 0 C diacetoxyiodobenzene (35 mg) and 2,2,6,6-tetramethylpiperidine-l-oxyl (3 mg), and the reaction mixture was stirred at 0 0 C for 2 h.
- the reaction mixture was diluted with H 2 O, acified with aq. HCl (IM, 0.5 mL) and extracted with EtOAc (3x5 mL) The combined organic layers were dried over Na 2 S ⁇ 4 and concentrated to dryness. Purification by CC (CH 2 Cl 2 ZMeOH 97:3) gave 8 mg of the desired product.
- LC-MS: t R 0.59 min; [M+H] + : 518.26.
- Example 62 4-(2- ⁇ [5-(2-Ethoxycarbonyl-ethylamino)-2-phenyl-thiazole-4-carbonyl]- amino ⁇ -acetyl)-piperazine-l-carboxylic acid butyl ester
- CHO cells with recombinant expression of the human P2Yi 2 receptor were cultured in 24 well cell-culture plates. Cells were washed three times with binding buffer (50 mM Tris pH 7.4, 100 mM NaCl, 1 mM EDTA, 0.5 % BSA). The cells were then incubated with 0.5 ml per well binding buffer containing tritium-labeled 2-methyl- thio-adenosine 5 '-diphosphate (2-methyl-S-ADP) (between 100'0OO and 300O00 dpm per well) and various concentrations of test compounds. After incubation at RT for 2 hours, cells were washed three times with binding buffer.
- binding buffer 50 mM Tris pH 7.4, 100 mM NaCl, 1 mM EDTA, 0.5 % BSA.
- the cells were then incubated with 0.5 ml per well binding buffer containing tritium-labeled 2-methyl- thio-adenosine 5 '
Landscapes
- Chemical & Material Sciences (AREA)
- Organic Chemistry (AREA)
- Health & Medical Sciences (AREA)
- Life Sciences & Earth Sciences (AREA)
- General Health & Medical Sciences (AREA)
- Bioinformatics & Cheminformatics (AREA)
- Biochemistry (AREA)
- Animal Behavior & Ethology (AREA)
- Pharmacology & Pharmacy (AREA)
- Public Health (AREA)
- Veterinary Medicine (AREA)
- Engineering & Computer Science (AREA)
- Medicinal Chemistry (AREA)
- Molecular Biology (AREA)
- General Chemical & Material Sciences (AREA)
- Chemical Kinetics & Catalysis (AREA)
- Nuclear Medicine, Radiotherapy & Molecular Imaging (AREA)
- Heart & Thoracic Surgery (AREA)
- Cardiology (AREA)
- Epidemiology (AREA)
- Urology & Nephrology (AREA)
- Vascular Medicine (AREA)
- Diabetes (AREA)
- Hematology (AREA)
- Pharmaceuticals Containing Other Organic And Inorganic Compounds (AREA)
- Plural Heterocyclic Compounds (AREA)
- Thiazole And Isothizaole Compounds (AREA)
Abstract
Description
Claims
Priority Applications (14)
| Application Number | Priority Date | Filing Date | Title |
|---|---|---|---|
| MA34354A MA33277B1 (en) | 2009-04-22 | 2010-04-21 | THIAZOLE DERIVATIVES AND THEIR USE AS ANTAGONISTS OF P2Y12 RECEPTORS |
| KR1020117026192A KR101728180B1 (en) | 2009-04-22 | 2010-04-21 | Thiazole derivatives and their use as p2y12 receptor antagonists |
| MX2011010811A MX2011010811A (en) | 2009-04-22 | 2010-04-21 | Thiazole derivatives and their use as p2y12 receptor antagonists. |
| SG2011077203A SG175297A1 (en) | 2009-04-22 | 2010-04-21 | Thiazole derivatives and their use as p2y12 receptor antagonists |
| AU2010240527A AU2010240527A1 (en) | 2009-04-22 | 2010-04-21 | Thiazole derivatives and their use as P2Y12 receptor antagonists |
| CN201080017552.3A CN102405220B (en) | 2009-04-22 | 2010-04-21 | Thiazole derivatives and their use as P2Y12 receptor antagonists |
| CA2756654A CA2756654C (en) | 2009-04-22 | 2010-04-21 | Thiazole derivatives and their use as p2y12 receptor antagonists |
| ES10719097.7T ES2469847T3 (en) | 2009-04-22 | 2010-04-21 | Thiazole derivatives and their use as P2Y12 receptor antagonists |
| NZ596388A NZ596388A (en) | 2009-04-22 | 2010-04-21 | Thiazole derivatives and their use as p2y12 receptor antagonists |
| EP10719097.7A EP2421859B1 (en) | 2009-04-22 | 2010-04-21 | Thiazole derivatives and their use as p2y12 receptor antagonists |
| JP2012506624A JP5536876B2 (en) | 2009-04-22 | 2010-04-21 | Thiazole derivatives and their use as P2Y12 receptor antagonists |
| US13/265,493 US8664203B2 (en) | 2009-04-22 | 2010-04-21 | Thiazole derivatives and their use as P2Y12 receptor antagonists |
| BRPI1015145A BRPI1015145A2 (en) | 2009-04-22 | 2010-04-21 | thiazole derivatives and their use as p2y12 antagonist receptors |
| IL215690A IL215690A0 (en) | 2009-04-22 | 2011-10-11 | Thiazole derivatives and their use as p2y12 receptor antagonists |
Applications Claiming Priority (2)
| Application Number | Priority Date | Filing Date | Title |
|---|---|---|---|
| IB2009051647 | 2009-04-22 | ||
| IBPCT/IB2009/051647 | 2009-04-22 |
Publications (1)
| Publication Number | Publication Date |
|---|---|
| WO2010122504A1 true WO2010122504A1 (en) | 2010-10-28 |
Family
ID=42261943
Family Applications (1)
| Application Number | Title | Priority Date | Filing Date |
|---|---|---|---|
| PCT/IB2010/051742 Ceased WO2010122504A1 (en) | 2009-04-22 | 2010-04-21 | Thiazole derivatives and their use as p2y12 receptor antagonists |
Country Status (15)
| Country | Link |
|---|---|
| US (1) | US8664203B2 (en) |
| EP (1) | EP2421859B1 (en) |
| JP (1) | JP5536876B2 (en) |
| KR (1) | KR101728180B1 (en) |
| CN (1) | CN102405220B (en) |
| AU (1) | AU2010240527A1 (en) |
| BR (1) | BRPI1015145A2 (en) |
| CA (1) | CA2756654C (en) |
| ES (1) | ES2469847T3 (en) |
| IL (1) | IL215690A0 (en) |
| MA (1) | MA33277B1 (en) |
| MX (1) | MX2011010811A (en) |
| NZ (1) | NZ596388A (en) |
| SG (1) | SG175297A1 (en) |
| WO (1) | WO2010122504A1 (en) |
Cited By (11)
| Publication number | Priority date | Publication date | Assignee | Title |
|---|---|---|---|---|
| US8044055B2 (en) | 2006-10-25 | 2011-10-25 | Actelion Pharmaceuticals Ltd. | 2-phenyl-6-aminocarbonyl-pyrimidine derivatives and their use as P2Y12 receptor |
| US8048881B2 (en) | 2005-04-28 | 2011-11-01 | Actelion Pharmaceuticals Ltd. | Pyrimidine derivatives and their use as P2Y12 receptor antagonists |
| US8058263B2 (en) | 2008-04-11 | 2011-11-15 | Actelion Pharmaceuticals Ltd | Substituted 2-phenyl-pyridine derivatives |
| US8093250B2 (en) | 2006-10-13 | 2012-01-10 | Actelion Pharmaceuticals Ltd. | 2-aminocarbonyl-pyridine derivatives |
| US8288385B2 (en) | 2009-04-08 | 2012-10-16 | Actelion Pharmaceuticals Ltd. | 6-(3-aza-bicyclo[3.1.0]hex-3-yl)-2-phenyl-pyrimidines |
| US8466156B2 (en) | 2008-04-11 | 2013-06-18 | Actelion Pharmaceuticals Ltd. | 2-phenyl-4-cyclopropyl-pyrimidine derivatives |
| DE102014108210A1 (en) | 2014-06-11 | 2015-12-17 | Dietrich Gulba | rodenticide |
| US10301272B2 (en) | 2012-05-31 | 2019-05-28 | Phenex Pharmaceuticals Ag | Carboxamide or sulfonamide substituted thiazoles and related derivatives as modulators for the orphan nuclear receptor ROR[γ] |
| US10730896B2 (en) | 2016-09-22 | 2020-08-04 | Idorsia Pharmaceuticals Ltd | Crystalline forms |
| US11179390B2 (en) | 2017-03-15 | 2021-11-23 | Idorsia Pharmaceuticals Ltd | Subcutaneous administration of a P2Y12 receptor antagonist |
| EP4070658A1 (en) | 2021-04-06 | 2022-10-12 | BIORoxx GmbH | Use of anticoagulant active compounds as rodenticide |
Families Citing this family (8)
| Publication number | Priority date | Publication date | Assignee | Title |
|---|---|---|---|---|
| CN101868469B (en) * | 2007-11-29 | 2014-04-02 | 埃科特莱茵药品有限公司 | Phosphonic acid derivatives and their use as P2Y12 receptor antagonists |
| CN106831867A (en) * | 2017-02-09 | 2017-06-13 | 广东赛博科技有限公司 | A kind of aryl oxidized phosphine P2Y12 receptor antagonists of cyano-thiophene and application thereof |
| CN106831868A (en) * | 2017-02-09 | 2017-06-13 | 广东赛博科技有限公司 | A kind of aryl oxidized phosphine P2Y12 receptor antagonists of amido thiophene and application thereof |
| CN106831871A (en) * | 2017-02-09 | 2017-06-13 | 广东赛博科技有限公司 | Aryl oxidized phosphine P2Y12 receptor antagonists of one class nitrothiophene and application thereof |
| CN106749408A (en) * | 2017-02-09 | 2017-05-31 | 广东赛博科技有限公司 | A kind of aryl oxidized phosphine P2Y12 receptor antagonists of nitrothiophene and application thereof |
| CN106831869A (en) * | 2017-02-09 | 2017-06-13 | 广东赛博科技有限公司 | Aryl oxidized phosphine P2Y12 receptor antagonists of amido thiophene and application thereof |
| CN106831870A (en) * | 2017-02-09 | 2017-06-13 | 广东赛博科技有限公司 | Aryl oxidized phosphine P2Y12 receptor antagonists of one class cyano-thiophene and application thereof |
| CN106831866A (en) * | 2017-02-09 | 2017-06-13 | 广东赛博科技有限公司 | One aryl oxidized phosphine P2Y12 receptor antagonists of class alcoxyl thiophene and application thereof |
Citations (3)
| Publication number | Priority date | Publication date | Assignee | Title |
|---|---|---|---|---|
| WO2006114774A2 (en) * | 2005-04-28 | 2006-11-02 | Actelion Pharmaceuticals Ltd | Pyrimidine derivatives and their use as p2y12 receptor antagonists |
| WO2008044217A2 (en) * | 2006-10-13 | 2008-04-17 | Actelion Pharmaceuticals Ltd | 2-aminocarbonyl-pyridine derivatives |
| WO2009080227A2 (en) * | 2007-12-26 | 2009-07-02 | Sanofi-Aventis | Pyrazole-carboxamide derivatives as p2y12 antagonists |
Family Cites Families (13)
| Publication number | Priority date | Publication date | Assignee | Title |
|---|---|---|---|---|
| US6861424B2 (en) | 2001-06-06 | 2005-03-01 | Schering Aktiengesellschaft | Platelet adenosine diphosphate receptor antagonists |
| WO2004052366A1 (en) | 2002-12-11 | 2004-06-24 | Schering Aktiengesellschaft | 2-aminocarbonyl-quinoline compounds as platelet adenosine diphosphate receptor antagonists |
| US7056889B2 (en) * | 2002-12-16 | 2006-06-06 | Kimberly-Clark, Worldwide, Inc. | Compounds that bind P2Y2 or P2Y1 receptors |
| CA2623213C (en) | 2005-10-21 | 2014-01-14 | Actelion Pharmaceuticals Ltd | Piperazine derivatives as antimalarial agents |
| TWI391378B (en) * | 2006-03-16 | 2013-04-01 | Astellas Pharma Inc | Quinolone derivative or pharmaceutically acceptable salt thereof |
| CL2007003038A1 (en) | 2006-10-25 | 2008-06-06 | Actelion Pharmaceuticals Ltd | COMPOUNDS DERIVED FROM 2-PHENYL-6-AMINOCARBONIL-PYRIMIDINE; PHARMACEUTICAL COMPOSITION; AND USE IN THE TREATMENT OF OCLUSIVE VASCULAR DISORDERS. |
| KR20100015886A (en) | 2007-04-23 | 2010-02-12 | 사노피-아벤티스 | Quinoline-carboxamide derivatives as p2y12 antagonists |
| MX2009012847A (en) * | 2007-06-13 | 2009-12-08 | Bristol Myers Squibb Co | Dipeptide analogs as coagulation factor inhibitors. |
| CN101868469B (en) | 2007-11-29 | 2014-04-02 | 埃科特莱茵药品有限公司 | Phosphonic acid derivatives and their use as P2Y12 receptor antagonists |
| EP2238128B1 (en) | 2007-12-26 | 2012-08-22 | Sanofi | Heterocyclic pyrazole-carboxamides as p2y12 antagonists |
| AR071652A1 (en) | 2008-04-11 | 2010-07-07 | Actelion Pharmaceuticals Ltd | DERIVATIVES 2- SUBSTITUTED PHENYL-PYRIDINE |
| AR071653A1 (en) | 2008-04-11 | 2010-07-07 | Actelion Pharmaceuticals Ltd | DERIVATIVES 2-FENIL-4-CICLOPROPIL-PYRIMIDINE |
| CA2756542C (en) | 2009-04-08 | 2017-08-22 | Actelion Pharmaceuticals Ltd | 6-(3-aza-bicyclo[3.1.0]hex-3-yl)-2-phenyl-pyrimidines |
-
2010
- 2010-04-21 MX MX2011010811A patent/MX2011010811A/en not_active Application Discontinuation
- 2010-04-21 CN CN201080017552.3A patent/CN102405220B/en not_active Expired - Fee Related
- 2010-04-21 JP JP2012506624A patent/JP5536876B2/en not_active Expired - Fee Related
- 2010-04-21 CA CA2756654A patent/CA2756654C/en active Active
- 2010-04-21 ES ES10719097.7T patent/ES2469847T3/en active Active
- 2010-04-21 WO PCT/IB2010/051742 patent/WO2010122504A1/en not_active Ceased
- 2010-04-21 BR BRPI1015145A patent/BRPI1015145A2/en not_active IP Right Cessation
- 2010-04-21 NZ NZ596388A patent/NZ596388A/en not_active IP Right Cessation
- 2010-04-21 MA MA34354A patent/MA33277B1/en unknown
- 2010-04-21 US US13/265,493 patent/US8664203B2/en active Active
- 2010-04-21 AU AU2010240527A patent/AU2010240527A1/en not_active Abandoned
- 2010-04-21 KR KR1020117026192A patent/KR101728180B1/en not_active Expired - Fee Related
- 2010-04-21 EP EP10719097.7A patent/EP2421859B1/en active Active
- 2010-04-21 SG SG2011077203A patent/SG175297A1/en unknown
-
2011
- 2011-10-11 IL IL215690A patent/IL215690A0/en unknown
Patent Citations (3)
| Publication number | Priority date | Publication date | Assignee | Title |
|---|---|---|---|---|
| WO2006114774A2 (en) * | 2005-04-28 | 2006-11-02 | Actelion Pharmaceuticals Ltd | Pyrimidine derivatives and their use as p2y12 receptor antagonists |
| WO2008044217A2 (en) * | 2006-10-13 | 2008-04-17 | Actelion Pharmaceuticals Ltd | 2-aminocarbonyl-pyridine derivatives |
| WO2009080227A2 (en) * | 2007-12-26 | 2009-07-02 | Sanofi-Aventis | Pyrazole-carboxamide derivatives as p2y12 antagonists |
Non-Patent Citations (1)
| Title |
|---|
| "Salt selection for basic drugs", INT. J. PHARM., vol. 33, 1986, pages 201 - 217 |
Cited By (15)
| Publication number | Priority date | Publication date | Assignee | Title |
|---|---|---|---|---|
| US8048881B2 (en) | 2005-04-28 | 2011-11-01 | Actelion Pharmaceuticals Ltd. | Pyrimidine derivatives and their use as P2Y12 receptor antagonists |
| US8093250B2 (en) | 2006-10-13 | 2012-01-10 | Actelion Pharmaceuticals Ltd. | 2-aminocarbonyl-pyridine derivatives |
| US8044055B2 (en) | 2006-10-25 | 2011-10-25 | Actelion Pharmaceuticals Ltd. | 2-phenyl-6-aminocarbonyl-pyrimidine derivatives and their use as P2Y12 receptor |
| US8058263B2 (en) | 2008-04-11 | 2011-11-15 | Actelion Pharmaceuticals Ltd | Substituted 2-phenyl-pyridine derivatives |
| US8466156B2 (en) | 2008-04-11 | 2013-06-18 | Actelion Pharmaceuticals Ltd. | 2-phenyl-4-cyclopropyl-pyrimidine derivatives |
| US8288385B2 (en) | 2009-04-08 | 2012-10-16 | Actelion Pharmaceuticals Ltd. | 6-(3-aza-bicyclo[3.1.0]hex-3-yl)-2-phenyl-pyrimidines |
| US10301272B2 (en) | 2012-05-31 | 2019-05-28 | Phenex Pharmaceuticals Ag | Carboxamide or sulfonamide substituted thiazoles and related derivatives as modulators for the orphan nuclear receptor ROR[γ] |
| DE102014108210A1 (en) | 2014-06-11 | 2015-12-17 | Dietrich Gulba | rodenticide |
| US11678659B2 (en) | 2014-06-11 | 2023-06-20 | Dietrich Gulba | Use as rodenticides of compounds that inhibit blood coagulation |
| US10730896B2 (en) | 2016-09-22 | 2020-08-04 | Idorsia Pharmaceuticals Ltd | Crystalline forms |
| US11365209B2 (en) | 2016-09-22 | 2022-06-21 | Idorsia Pharmaceuticals Ltd | Crystalline forms |
| US12227532B2 (en) | 2016-09-22 | 2025-02-18 | Viatris Asia Pacific Ptd. Ltd. | Crystalline forms |
| US11179390B2 (en) | 2017-03-15 | 2021-11-23 | Idorsia Pharmaceuticals Ltd | Subcutaneous administration of a P2Y12 receptor antagonist |
| EP4070658A1 (en) | 2021-04-06 | 2022-10-12 | BIORoxx GmbH | Use of anticoagulant active compounds as rodenticide |
| WO2022214485A1 (en) | 2021-04-06 | 2022-10-13 | Bioroxx Gmbh | Use of anti-clotting compounds as rodenticides |
Also Published As
| Publication number | Publication date |
|---|---|
| IL215690A0 (en) | 2012-01-31 |
| MX2011010811A (en) | 2011-10-28 |
| CN102405220B (en) | 2015-05-27 |
| EP2421859A1 (en) | 2012-02-29 |
| JP5536876B2 (en) | 2014-07-02 |
| KR101728180B1 (en) | 2017-04-18 |
| SG175297A1 (en) | 2011-12-29 |
| EP2421859B1 (en) | 2014-04-09 |
| ES2469847T3 (en) | 2014-06-20 |
| US20130281406A2 (en) | 2013-10-24 |
| US20120053149A1 (en) | 2012-03-01 |
| BRPI1015145A2 (en) | 2018-01-30 |
| CA2756654C (en) | 2017-08-22 |
| CN102405220A (en) | 2012-04-04 |
| AU2010240527A1 (en) | 2011-12-01 |
| KR20120016626A (en) | 2012-02-24 |
| CA2756654A1 (en) | 2010-10-28 |
| MA33277B1 (en) | 2012-05-02 |
| JP2012524774A (en) | 2012-10-18 |
| NZ596388A (en) | 2013-05-31 |
| US8664203B2 (en) | 2014-03-04 |
Similar Documents
| Publication | Publication Date | Title |
|---|---|---|
| EP2421859B1 (en) | Thiazole derivatives and their use as p2y12 receptor antagonists | |
| EP2225253B1 (en) | Phosphonic acid derivates and their use as p2y12 receptor antagonists | |
| US8288385B2 (en) | 6-(3-aza-bicyclo[3.1.0]hex-3-yl)-2-phenyl-pyrimidines | |
| US8058263B2 (en) | Substituted 2-phenyl-pyridine derivatives | |
| AU2007269557A1 (en) | Modulators of toll-like receptor 7 | |
| AU2014268040A1 (en) | Phosphoric acid/phosphonic acid derivatives and medicinal uses thereof | |
| HK1148287B (en) | Phosphonic acid derivates and their use as p2y12 receptor antagonists |
Legal Events
| Date | Code | Title | Description |
|---|---|---|---|
| WWE | Wipo information: entry into national phase |
Ref document number: 201080017552.3 Country of ref document: CN |
|
| 121 | Ep: the epo has been informed by wipo that ep was designated in this application |
Ref document number: 10719097 Country of ref document: EP Kind code of ref document: A1 |
|
| WWE | Wipo information: entry into national phase |
Ref document number: 2010719097 Country of ref document: EP |
|
| WWE | Wipo information: entry into national phase |
Ref document number: 2756654 Country of ref document: CA |
|
| WWE | Wipo information: entry into national phase |
Ref document number: 215690 Country of ref document: IL |
|
| WWE | Wipo information: entry into national phase |
Ref document number: MX/A/2011/010811 Country of ref document: MX |
|
| WWE | Wipo information: entry into national phase |
Ref document number: 13265493 Country of ref document: US |
|
| WWE | Wipo information: entry into national phase |
Ref document number: 2011002626 Country of ref document: CL Ref document number: 2012506624 Country of ref document: JP |
|
| NENP | Non-entry into the national phase |
Ref country code: DE |
|
| ENP | Entry into the national phase |
Ref document number: 20117026192 Country of ref document: KR Kind code of ref document: A |
|
| WWE | Wipo information: entry into national phase |
Ref document number: 596388 Country of ref document: NZ Ref document number: 2010240527 Country of ref document: AU |
|
| WWE | Wipo information: entry into national phase |
Ref document number: 8495/CHENP/2011 Country of ref document: IN |
|
| ENP | Entry into the national phase |
Ref document number: 2011147103 Country of ref document: RU Kind code of ref document: A |
|
| ENP | Entry into the national phase |
Ref document number: 2010240527 Country of ref document: AU Date of ref document: 20100421 Kind code of ref document: A |
|
| REG | Reference to national code |
Ref country code: BR Ref legal event code: B01A Ref document number: PI1015145 Country of ref document: BR |
|
| ENP | Entry into the national phase |
Ref document number: PI1015145 Country of ref document: BR Kind code of ref document: A2 Effective date: 20111024 |




























