WO2010100249A1 - 3h-imidazo [4, 5 -c] pyridine- 6 -carboxamides as anti- inflammatory agents - Google Patents
3h-imidazo [4, 5 -c] pyridine- 6 -carboxamides as anti- inflammatory agents Download PDFInfo
- Publication number
- WO2010100249A1 WO2010100249A1 PCT/EP2010/052799 EP2010052799W WO2010100249A1 WO 2010100249 A1 WO2010100249 A1 WO 2010100249A1 EP 2010052799 W EP2010052799 W EP 2010052799W WO 2010100249 A1 WO2010100249 A1 WO 2010100249A1
- Authority
- WO
- WIPO (PCT)
- Prior art keywords
- alkyl
- groups
- fluoro
- optionally substituted
- oci
- Prior art date
- Legal status (The legal status is an assumption and is not a legal conclusion. Google has not performed a legal analysis and makes no representation as to the accuracy of the status listed.)
- Ceased
Links
- WDFQBORIUYODSI-UHFFFAOYSA-N Nc(cc1)ccc1Br Chemical compound Nc(cc1)ccc1Br WDFQBORIUYODSI-UHFFFAOYSA-N 0.000 description 3
- DFPJZKCPOFREPN-UHFFFAOYSA-N C=COCC(F)F Chemical compound C=COCC(F)F DFPJZKCPOFREPN-UHFFFAOYSA-N 0.000 description 2
- MDNOAUDSYKTKJH-UHFFFAOYSA-N CCCN(CCC)S(C)(=O)=O Chemical compound CCCN(CCC)S(C)(=O)=O MDNOAUDSYKTKJH-UHFFFAOYSA-N 0.000 description 2
- 0 CCOC(c(c(F)c1C*(C)N)cc([N+]([O-])=O)c1N)=O Chemical compound CCOC(c(c(F)c1C*(C)N)cc([N+]([O-])=O)c1N)=O 0.000 description 2
- RNCROYMBTHIPDN-UHFFFAOYSA-N CS(N1CCC1)(=O)=O Chemical compound CS(N1CCC1)(=O)=O RNCROYMBTHIPDN-UHFFFAOYSA-N 0.000 description 2
- KHIUCLBVHWBRDZ-UHFFFAOYSA-N O=C(C1(CC1)C(F)(F)F)NCc(cc1)cc(N=C=S)c1Cl Chemical compound O=C(C1(CC1)C(F)(F)F)NCc(cc1)cc(N=C=S)c1Cl KHIUCLBVHWBRDZ-UHFFFAOYSA-N 0.000 description 2
- FIROBPASCPZGMX-UHFFFAOYSA-N CC1NC(Nc(cc(CNC(C2(CC2)C(F)(F)F)=O)cc2)c2Cl)NC1 Chemical compound CC1NC(Nc(cc(CNC(C2(CC2)C(F)(F)F)=O)cc2)c2Cl)NC1 FIROBPASCPZGMX-UHFFFAOYSA-N 0.000 description 1
- FUWDOFFTTDWWPN-UHFFFAOYSA-N CCOC(c(c(OC)c1)cc([N+]([O-])=O)c1NC(C)=O)=O Chemical compound CCOC(c(c(OC)c1)cc([N+]([O-])=O)c1NC(C)=O)=O FUWDOFFTTDWWPN-UHFFFAOYSA-N 0.000 description 1
- HKGIEPXOWGJFCW-UHFFFAOYSA-N CCOC(c(cc(c(F)c1)[N+]([O-])=O)c1F)=O Chemical compound CCOC(c(cc(c(F)c1)[N+]([O-])=O)c1F)=O HKGIEPXOWGJFCW-UHFFFAOYSA-N 0.000 description 1
- TYKFWYLLLJUGED-UHFFFAOYSA-N CCOC(c(cc(c(N)c1)N)c1OCC(F)F)=O Chemical compound CCOC(c(cc(c(N)c1)N)c1OCC(F)F)=O TYKFWYLLLJUGED-UHFFFAOYSA-N 0.000 description 1
- LJOJNKXBTGPPHF-UHFFFAOYSA-N CCOC(c(cc(c(N)c1)[N+]([O-])=O)c1OCC(F)F)=O Chemical compound CCOC(c(cc(c(N)c1)[N+]([O-])=O)c1OCC(F)F)=O LJOJNKXBTGPPHF-UHFFFAOYSA-N 0.000 description 1
- SYESVFUIXPVIAK-UHFFFAOYSA-N CNC(N)Nc(cc(CNC(C1(CC1)C(F)(F)F)=O)cc1)c1Cl Chemical compound CNC(N)Nc(cc(CNC(C1(CC1)C(F)(F)F)=O)cc1)c1Cl SYESVFUIXPVIAK-UHFFFAOYSA-N 0.000 description 1
- OWYQNSQVDORSDR-UHFFFAOYSA-N COc(cc(c(N)c1)N)c1C(Nc(cc1)ccc1Br)=O Chemical compound COc(cc(c(N)c1)N)c1C(Nc(cc1)ccc1Br)=O OWYQNSQVDORSDR-UHFFFAOYSA-N 0.000 description 1
- GUACHHCZKQJRLW-UHFFFAOYSA-N COc(cc(c([N+]([O-])=O)c1)N)c1C(Nc(cc1)ccc1Br)=O Chemical compound COc(cc(c([N+]([O-])=O)c1)N)c1C(Nc(cc1)ccc1Br)=O GUACHHCZKQJRLW-UHFFFAOYSA-N 0.000 description 1
- AOANPIGDKLHHIC-UHFFFAOYSA-N COc(cc(c([N+]([O-])=O)c1)N)c1C(O)=O Chemical compound COc(cc(c([N+]([O-])=O)c1)N)c1C(O)=O AOANPIGDKLHHIC-UHFFFAOYSA-N 0.000 description 1
- ZNWAHPGUOUXLOE-UHFFFAOYSA-N COc(cc1[nH]c(Nc(cc(CNC(C2(CC2)C(F)(F)F)=O)cc2)c2Cl)nc1c1)c1C(Nc(cc1)ccc1Br)=O Chemical compound COc(cc1[nH]c(Nc(cc(CNC(C2(CC2)C(F)(F)F)=O)cc2)c2Cl)nc1c1)c1C(Nc(cc1)ccc1Br)=O ZNWAHPGUOUXLOE-UHFFFAOYSA-N 0.000 description 1
Classifications
-
- C—CHEMISTRY; METALLURGY
- C07—ORGANIC CHEMISTRY
- C07D—HETEROCYCLIC COMPOUNDS
- C07D235/00—Heterocyclic compounds containing 1,3-diazole or hydrogenated 1,3-diazole rings, condensed with other rings
- C07D235/02—Heterocyclic compounds containing 1,3-diazole or hydrogenated 1,3-diazole rings, condensed with other rings condensed with carbocyclic rings or ring systems
- C07D235/04—Benzimidazoles; Hydrogenated benzimidazoles
- C07D235/24—Benzimidazoles; Hydrogenated benzimidazoles with hetero atoms or with carbon atoms having three bonds to hetero atoms with at the most one bond to halogen, e.g. ester or nitrile radicals, directly attached in position 2
- C07D235/30—Nitrogen atoms not forming part of a nitro radical
-
- A—HUMAN NECESSITIES
- A61—MEDICAL OR VETERINARY SCIENCE; HYGIENE
- A61P—SPECIFIC THERAPEUTIC ACTIVITY OF CHEMICAL COMPOUNDS OR MEDICINAL PREPARATIONS
- A61P11/00—Drugs for disorders of the respiratory system
-
- A—HUMAN NECESSITIES
- A61—MEDICAL OR VETERINARY SCIENCE; HYGIENE
- A61P—SPECIFIC THERAPEUTIC ACTIVITY OF CHEMICAL COMPOUNDS OR MEDICINAL PREPARATIONS
- A61P25/00—Drugs for disorders of the nervous system
- A61P25/04—Centrally acting analgesics, e.g. opioids
-
- A—HUMAN NECESSITIES
- A61—MEDICAL OR VETERINARY SCIENCE; HYGIENE
- A61P—SPECIFIC THERAPEUTIC ACTIVITY OF CHEMICAL COMPOUNDS OR MEDICINAL PREPARATIONS
- A61P29/00—Non-central analgesic, antipyretic or antiinflammatory agents, e.g. antirheumatic agents; Non-steroidal antiinflammatory drugs [NSAID]
-
- C—CHEMISTRY; METALLURGY
- C07—ORGANIC CHEMISTRY
- C07D—HETEROCYCLIC COMPOUNDS
- C07D401/00—Heterocyclic compounds containing two or more hetero rings, having nitrogen atoms as the only ring hetero atoms, at least one ring being a six-membered ring with only one nitrogen atom
- C07D401/02—Heterocyclic compounds containing two or more hetero rings, having nitrogen atoms as the only ring hetero atoms, at least one ring being a six-membered ring with only one nitrogen atom containing two hetero rings
- C07D401/12—Heterocyclic compounds containing two or more hetero rings, having nitrogen atoms as the only ring hetero atoms, at least one ring being a six-membered ring with only one nitrogen atom containing two hetero rings linked by a chain containing hetero atoms as chain links
-
- C—CHEMISTRY; METALLURGY
- C07—ORGANIC CHEMISTRY
- C07D—HETEROCYCLIC COMPOUNDS
- C07D403/00—Heterocyclic compounds containing two or more hetero rings, having nitrogen atoms as the only ring hetero atoms, not provided for by group C07D401/00
- C07D403/02—Heterocyclic compounds containing two or more hetero rings, having nitrogen atoms as the only ring hetero atoms, not provided for by group C07D401/00 containing two hetero rings
- C07D403/12—Heterocyclic compounds containing two or more hetero rings, having nitrogen atoms as the only ring hetero atoms, not provided for by group C07D401/00 containing two hetero rings linked by a chain containing hetero atoms as chain links
-
- C—CHEMISTRY; METALLURGY
- C07—ORGANIC CHEMISTRY
- C07D—HETEROCYCLIC COMPOUNDS
- C07D405/00—Heterocyclic compounds containing both one or more hetero rings having oxygen atoms as the only ring hetero atoms, and one or more rings having nitrogen as the only ring hetero atom
- C07D405/02—Heterocyclic compounds containing both one or more hetero rings having oxygen atoms as the only ring hetero atoms, and one or more rings having nitrogen as the only ring hetero atom containing two hetero rings
- C07D405/12—Heterocyclic compounds containing both one or more hetero rings having oxygen atoms as the only ring hetero atoms, and one or more rings having nitrogen as the only ring hetero atom containing two hetero rings linked by a chain containing hetero atoms as chain links
-
- C—CHEMISTRY; METALLURGY
- C07—ORGANIC CHEMISTRY
- C07D—HETEROCYCLIC COMPOUNDS
- C07D409/00—Heterocyclic compounds containing two or more hetero rings, at least one ring having sulfur atoms as the only ring hetero atoms
- C07D409/02—Heterocyclic compounds containing two or more hetero rings, at least one ring having sulfur atoms as the only ring hetero atoms containing two hetero rings
- C07D409/12—Heterocyclic compounds containing two or more hetero rings, at least one ring having sulfur atoms as the only ring hetero atoms containing two hetero rings linked by a chain containing hetero atoms as chain links
Definitions
- This invention relates to novel compounds, which are inhibitors of the microsomal prostaglandin E 2 synthase-1 (mPGES-1 ), pharmaceutical compositions containing them, and their use as medicaments for the treatment and/or prevention of inflammatory diseases and associated conditions.
- mPGES-1 microsomal prostaglandin E 2 synthase-1
- rheumatoid diseases e.g. rheumatoid arthritis, osteoarthritis, diseases of the visceral system e.g. inflammatory bowel syndrome, autoimmune diseases, e.g. lupus erythematodes, lung diseases like asthma and COPD.
- Current treatment with non-steroidal anti-inflammatory drugs (NSAIDs) and Cyclooxygenase (COX)-2 inhibitors are efficacious, but show a prevalence for gastrointestinal and cardiovascular side effects. There is a high need for new treatment options showing equivalent efficacy with an improved side effect profile.
- COX cyclooxygenase
- COX-1 cyclooxygenase
- COX-2 cyclooxygenase
- COX-1 cyclooxygenase
- COX-2 cyclooxygenase
- COX-1 cyclooxygenase
- COX-2 cyclooxygenase
- COX-1 cyclooxygenase
- COX-2 cyclooxygenase
- COXs metabolise arachidonic acid to the unstable intermediate prostaglandin H 2 (PGH 2 ).
- PGH 2 is further metabolized to other prostaglandins including PGE 2 , PGF 2 ⁇ , PGD 2 , prostacyclin and thromboxane A 2 .
- PGE 2 arachidonic acid metabolites are known to have pronounced physiological and pathophysiological activity including pro-inflammatory effects.
- PGE 2 in particular is known to be a strong pro-inflammatory mediator, and is also known to induce fever, inflammation and pain. Consequently, numerous drugs were developed with a view to inhibiting the formation of PGE 2 , including "NSAIDs” (non-steroidal antiinflammatory drugs) and “coxibs” (selective COX-2 inhibitors). These drugs act predominantly by inhibition of COX-1 and/or COX-2, thereby reducing the formation of PGE 2 .
- NSAIDs non-steroidal antiinflammatory drugs
- coxibs selective COX-2 inhibitors
- the non-selective inhibition of COXs by NSAIDs may give rise to gastrointestinal side-effects and affect platelet and renal function.
- Even the selective inhibition of COX-2 by coxibs, whilst reducing such gastrointestinal side-effects, is believed to give rise to cardiovascular problems.
- PGH 2 may be transformed to PGE 2 by prostaglandin E synthases (PGES).
- PGES prostaglandin E synthases
- mPGES-1 and mPGES-2 Two microsomal prostaglandin E synthases
- cPGES cytosolic prostaglandin E synthase
- the leukotrienes are formed from arachidonic acid by a set of enzymes distinct from those in the COX / PGES pathway.
- Leukotriene B 4 is known to be a strong proinflammatory mediator, while the cysteinyl-containing leukotrienes C 4 , D 4 and E 4 (CysLTs) are mainly very potent bronchoconstrictors and have thus been implicated in the pathobiology of asthma.
- the biological activities of the CysLTs are mediated through two receptors designated CySLT 1 and CysLT 2 .
- leukotriene receptor antagonists LTRas
- These drugs may be given orally, but do not control inflammation satisfactorily.
- the presently used LTRas are highly selective for CySLT 1 . It may be hypothesised that better control of asthma, and possibly also COPD, may be attained if the activity of both of the CysLT receptors could be reduced. This may be achieved by developing unselective LTRas, but also by inhibiting the activity of proteins, e.g. enzymes, involved in the synthesis of the CysLTs. Among these proteins, 5-lipoxygenase, 5-lipoxygenase-activating protein (FLAP), and leukotriene C 4 synthase may be mentioned. A FLAP inhibitor would also decrease the formation of the proinflammatory LTB 4 .
- mPGES-1 , FLAP and leukotriene C 4 synthase belong to the membrane-associated proteins in the eicosanoid and glutathione metabolism (MAPEG) family.
- Other members of this family include the microsomal glutathione S-transferases (MGST1 , MGST2 and MGST3).
- MGST1 , MGST2 and MGST3 microsomal glutathione S-transferases
- compounds prepared as antagonists to one of the MAPEGs may also exhibit inhibitory activity towards other family members, c.f. J. H Hutchinson et al in J. Med. Chem.
- mPGES-1 inhibitors are also known to be of potential use in treating or preventing a neoplasia, for example as described in international patent application WO 2007/124589.
- the rationale behind this may stem from the fact that the production of PGE2 is believed to promote the formation, growth and/or metastasis of neoplasias.
- mPGES-1 is often expressed with COX-2 in benign and cancerous neoplasias
- the inhibition of mPGES-1 (rather than COX-2) may cause the reduction of PGE2 and therefore mPGES-1 inhibitors may be useful for the treatment of benign or malignant neoplasias.
- Ci-3 alkyl, OCi -3 alkyl, which latter two groups are optionally substituted by one or more substituents selected from fluoro, -CN, 0, OH, -OCH 3 , -OCF 3 ;
- R a , R b independently represent hydrogen, Ci -3 alkyl, or both together with the carbon atom which they are bound to, form a C 3-7 cycloalkylene ring, or a 4-6 membered heterocycloalkylene ring;
- R c represents hydrogen or Ci -3 alkyl
- W represents -C(O)-, -S(O)-, -S(O) 2 -, -C(O)O-, or -C(0)NR d -, which groups are bound to the nitrogen of the -NR C - moiety via carbon or sulfur atom;
- R d represents hydrogen or Ci -3 alkyl
- M represents Ci -7 alkyl, C 3-7 cycloalkyl, both of which groups are optionally substituted by one or more groups selected from: fluoro, -OH, -CN, -NH 2 , -NH(Ci -3 alkyl), N(Ci -3 alkyl) 2 , -OCi -3 alkyl, -SCi -3 alkyl, aryl, heteroaryl [which latter two groups can be substituted by one or more substituents selected from halo, OH, -CN, Ci -3 alkyl, OCi -3 alkyl (which latter two alkyl groups are optionally substituted by one or more fluoro atoms)], Ci -7 alkyl, C 2-7 alkynyl, C 3-7 cycloalkyl-C 0-2 alkyl, 4-7 membered heterocycloalkyl-C 0-2 alkyl (which latter alkyl, alkynyl, heterocycloalkyl or cycloalkyl
- R 5 represents hydrogen; or Ci -3 alkyl
- each R 7 independently represents hydrogen, halo, -CN,
- Ci -7 alkyl, C 2-7 alkynyl, C 3-7 cycloalkyl, Ci -5 alkyl-O-, C 3-7 cycloalkyl- C 0-2 alkyl-O-, 4-7 membered heterocycloalkyl-C 0-2 alkyl-O-, (in which latter six groups the alkyl, alkynyl, cycloalkyl or heterocycloalkyl fragments are optionally substituted by one or more substituents selected from fluoro, -CN, 0, OH, -OCi -3 alkyl, -NH 2 , -NH-Ci -3 alkyl, N(Ci -3 alkyl) 2 or by one or more Ci -3 alkyl groups, which can be optionally substituted by one or more fluoro atoms); or aryl or heteroaryl, which latter two groups can be substituted by one or more substituents selected from halo, OH, -CN, Ci -3 alkyl,
- each R 8 independently represents hydrogen, or Ci -3 alkyl; each R 9a independently represents fluoro, -OH,
- -CN 0, -NH 2 , -NH(Ci -3 alkyl), -N(Ci -3 alkyl) 2 , -OC ⁇ alkyl, C 1-6 alkyl, (in which latter four groups the alkyl, fragments are optionally substituted by one or more substituents selected from fluoro, -CN,
- each R 9b represents independently halo, -OH, -CN, -NH 2 , -NH(Ci -3 alkyl),
- the salts thereof particularly the physiologically acceptable salts thereof with organic or inorganic acids or bases.
- R 1 represents halo, OH, -CN
- Ci-3 alkyl, C 2-6 alkynyl, OCi -3 alkyl, which latter three groups are optionally substituted by one or more substituents selected from fluoro, -CN, 0, OH, -OCH 3 , -OCF 3 ;
- R 2 , R 3 and R 4 independently represent hydrogen, halo, -CN;
- Ci-3 alkyl, OCi -3 alkyl, which latter two groups are optionally substituted by one or more substituents selected from fluoro, -CN, 0, OH, -OCH 3 , -OCF 3 ;
- R a , R b independently represent hydrogen, Ci -3 alkyl, or both together with the carbon atom which they are bound to, form a C 3-7 cycloalkylene ring, or a 4-6 membered heterocycloalkylene ring;
- R c independently represents hydrogen or Ci -3 alkyl
- W represents -C(O)-, -S(O)-, -S(O) 2 -, -C(O)O-, or -C(O)NR C -, which groups are bound to the nitrogen of the -NR C - moiety via carbon or sulfur atom;
- M represents Ci -7 alkyl, C 3-7 cycloalkyl, both of which groups are either unsubstituted or substituted by one or more fluoro atoms; or
- Ci- 7 alkyl, C 2-7 alkynyl, C 3-7 cycloalkyl, heterocycloalkyl (which latter alkyl, alkynyl, heterocycloalkyl or cycloalkyl groups are optionally substituted by one or more substituents selected from fluoro, -CN, 0, -NH 2 , -NH(Ci -3 alkyl), N(Ci -3 alkyl) 2 , -OH, -OCi -3 alkyl);
- R 5 represents hydrogen; or Ci -3 alkyl
- L represents -C(O)N(R 8 )-, -N(R 8 )C(O)-, -S(O) 2 N(R 8 )-, - N(R 8 )S(O) 2 -,
- V represents a bond, -CH 2 -, -CH 2 CH 2 -, -CH 2 CH 2 CH 2 -, wherein in each of the latter alkylene groups one methylene [-(CH 2 )-] unit can optionally be replaced by an oxygen atom, a -NH- or
- each R 8 independently represents hydrogen, or Ci -3 alkyl
- Ci -3 alkyl, -OCi -3 alkyl, -NH(Ci -3 alkyl), -N(Ci -3 alkyl) 2 in which latter three groups the alkyl fragments are optionally substituted by one or more substituents selected from fluoro, -CN, 0, -NH 2 ,
- each R ! 9b represents independently halo, -OH, -CN, -NH 2 , -NH(Ci -3 alkyl), -N(Ci -3 alkyl) 2 , -OCi -3 alkyl , -SCi -3 alkyl, aryl, heteroaryl [which latter two groups can be substituted by one or more substituents selected from halo, OH, -CN, Ci -3 alkyl, OCi -3 alkyl (which latter two alkyl groups are optionally substituted by one or more fluoro atoms)], Ci -7 alkyl, C 2-7 alkynyl, C 3-7 cycloalkyl, heterocycloalkyl (which latter alkyl, alkynyl, heterocycloalkyl or cycloalkyl groups are optionally substituted by one
- the salts thereof particularly the physiologically acceptable salts thereof with organic or inorganic acids or bases.
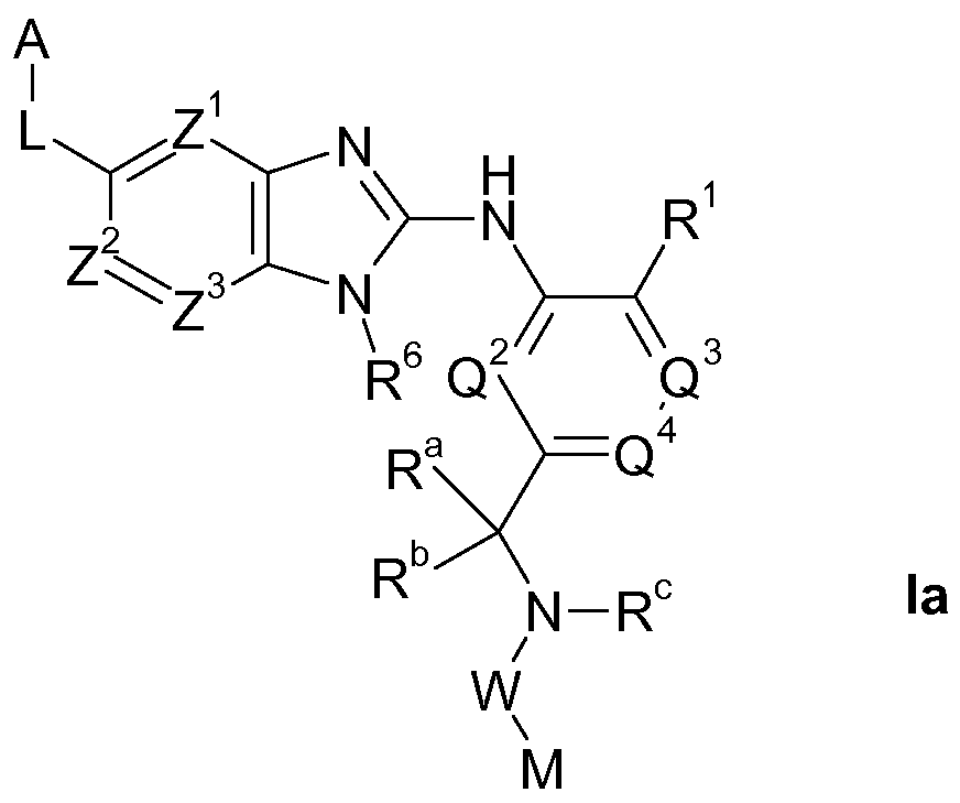
- a further embodiment of the present invention comprises compounds of the general formula I, namely compounds of formula Ia
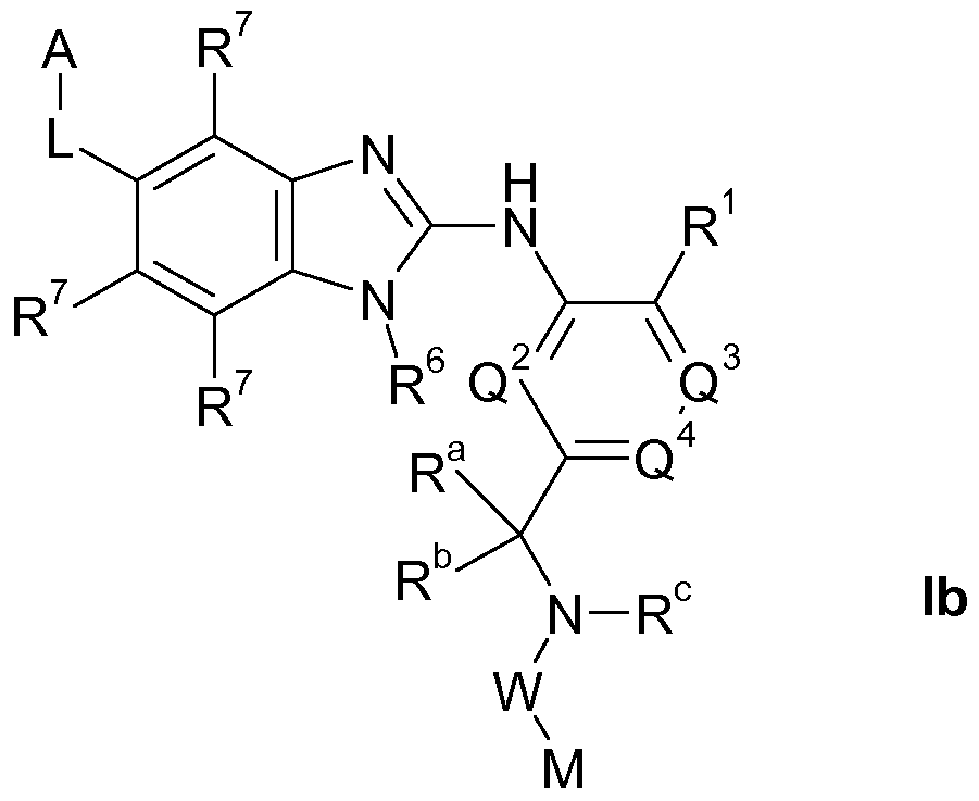
- a further embodiment of the present invention comprises compounds of the formula I, namely compounds of formula Ib
- A, L, M, Q 2 , Q 3 , Q 4 , R 1 , R 6 , R 7 , R a , R b , R c , W have the same meaning as defined in any of the preceding embodiments, the salts thereof, particularly the physiologically acceptable salts thereof with organic or inorganic acids or bases.
- a further embodiment of the present invention comprises compounds of the formula I, namely compounds of formula Ic
- a further embodiment of the present invention comprises compounds of the formula I, namely compounds of formula Id
- A, L, M, R 1 , R 2 , R 3 , R 4 , R 6 , R 7 , R a , R b , R c , W have the same meaning as defined in any of the preceding embodiments, the salts thereof, particularly the physiologically acceptable salts thereof with organic or inorganic acids or bases.
- A, L, M, Q 2 , Q 3 , Q 4 , R 1 , R 2 , R 3 , R 4 , R 5 , R 6 , R 7 , R a , R b , R c , X, Y, Z 1 , Z 2 , Z 3 have the same meaning as defined in any of the preceding embodiments and
- W represents -C(O)-, -S(O) 2 -, which groups are bound to the nitrogen of the -NR C - moiety via the carbon or sulfur atom;
- the salts thereof particularly the physiologically acceptable salts thereof with organic or inorganic acids or bases.
- A, L, Q 2 , Q 3 , Q 4 , R 1 , R 2 , R 3 , R 4 , R 5 , R 6 , R 7 , R a , R b , R c , W, X, Y, Z 1 , Z 2 , Z 3 have the same meaning as defined in any of the preceding embodiments and
- the salts thereof particularly the physiologically acceptable salts thereof with organic or inorganic acids or bases.
- A, L, M, Q 2 , Q 3 , Q 4 , R 1 , R 2 , R 3 , R 4 , R 5 , R 7 , R a , R b , R c , W, X, Y, Z 1 , Z 2 , Z 3 have the same meaning as defined in any of the preceding embodiments and
- R 6 represents hydrogen, Ci -5 alkyl, C 3-5 cycloalkyl-Co-i alkyl, which latter two groups are optionally substituted by one or more substituents selected from fluoro, -OCH 3 , -NH(Ci -3 alkyl), N(Ci -3 alkyl) 2 ; the salts thereof, particularly the physiologically acceptable salts thereof with organic or inorganic acids or bases.
- A, L, M, Q 2 , Q 3 , Q 4 , R 1 , R 5 , R 6 , R 7 , R 9a , R 9b , R a , R b , R c , W, X, Y, Z 1 , Z 2 , Z 3 have the same meaning as defined in any of the preceding embodiments and
- R 2 , R 3 and R 4 independently represent hydrogen, fluoro, chloro- or -CH 3 optionally substituted by one or more fluorine atoms;
- the salts thereof particularly the physiologically acceptable salts thereof with organic or inorganic acids or bases.
- A, L, M, Q 2 , Q 3 , Q 4 , R 1 , R 2 , R 3 , R 4 , R 5 , R 6 , R 7 , R a , R b , R c , W, X, Y, Z 1 , Z 2 , Z 3 have the same meaning as defined in any of the preceding embodiments and
- each R 9a independently represents fluoro, -CN, Ci ⁇ alkyl, -OC-i- ⁇ alkyl in which latter two groups the alkyl fragments are optionally substituted by one or more fluoro atoms;
- each R 9b represents independently halo, -CN, -OCi -3 alkyl, Ci -7 alkyl (which latter two groups are optionally substituted by one or more fluoro atoms;
- the salts thereof particularly the physiologically acceptable salts thereof with organic or inorganic acids or bases.
- A, L, M, Q 2 , Q 3 , Q 4 , R 1 , R 2 , R 3 , R 4 , R 5 , R 6 , R 7 , R a , R b , R c , W, X, Y, Z 1 , Z 2 , Z 3 have the same meaning as defined in any of the preceding embodiments and
- each R 9a independently represents fluoro, -CN, Ci -3 alkyl, -OCi -3 alkyl in which latter two groups the alkyl fragments are optionally substituted by one or more fluoro atoms;
- each R 9b represents independently halo, -CN, -OCi -3 alkyl, Ci -7 alkyl (which latter two groups are optionally substituted by one or more fluoro atoms;
- the salts thereof particularly the physiologically acceptable salts thereof with organic or inorganic acids or bases.
- A, M, Q 2 , Q 3 , Q 4 , R 1 , R 2 , R 3 , R 4 , R 5 , R 6 , R 7 , R a , R b , R c , W, X, Y, Z 1 , Z 2 , Z 3 have the same meaning as defined in any of the preceding embodiments and
- L represents -C(O)N(R 8 )- or -S(O) 2 N(R 8 )-, which groups are bound to the 9-membered fused heteroaromatic scaffold via the carbon or sulfur atom, respectively; or A-L- together represent one of the following groups
- V represents a bond, -CH 2 -, -CH 2 CH 2 -, -CH 2 CH 2 CH 2 -, which latter alkylene groups can optionally be substituted by one or two of the following groups: fluoro, -CN, -OCi -3 alkyl); the salts thereof, particularly the physiologically acceptable salts thereof with organic or inorganic acids or bases.
- A, M, Q 2 , Q 3 , Q 4 , R 1 , R 2 , R 3 , R 4 , R 5 , R 6 , R 7 , R a , R b , R c , W, X, Y, Z 1 , Z 2 , Z 3 have the same meaning as defined in any of the preceding embodiments and
- L represents -C(O)NH- or -S(O) 2 NH-, which groups are bound to the 9- membered fused heteroaromatic scaffold via the carbon or sulfur atom, respectively;
- the salts thereof particularly the physiologically acceptable salts thereof with organic or inorganic acids or bases.
- L, A, M, Q 2 , Q 3 , Q 4 , R 1 , R 2 , R 3 , R 4 , R 5 , R 6 , R a , R b , R c , W, X, Y, Z 1 , Z 2 , Z 3 have the same meaning as defined in any of the preceding embodiments and
- each R 7 represents hydrogen, halo, Ci -5 alkyl-O-, C 3 -5cycloalkyl-C 0 - 2 alkyl-O-,
- A represents hydrogen, Ci -6 alkyl, C 3-6 alkynyl, phenyl, 5-6-membered heteroaryl,
- each R 9a independently represents fluoro, phenyl, Ci ⁇ alkylrOCi ⁇ alkyl which latter two groups are optionally substituted by one to three fluoro atoms;
- each R 9b represents independently fluoro, chloro, bromo, Ci -2 alkyl, -OCi- 2 alkyl which latter two groups are optionally substituted by one or more fluoro;
- the salts thereof particularly the physiologically acceptable salts thereof with organic or inorganic acids or bases.
- A, L, Q 2 , Q 3 , Q 4 , R 1 , R 2 , R 3 , R 4 , R 5 , R 6 , R 7 , R a , R b , R c , W, X, Y, Z 1 , Z 2 , Z 3 have the same meaning as defined in any of the preceding embodiments and M represents Ci -6 alkyl, C 3- 6 cycloalkyl, 4-6-membered heterocycloalkyl, all of which groups are optionally substituted by one or more groups selected from fluoro, -OH, -CN, -NH 2 , phenyl, -CF 3 , Ci -2 alkyl, C3-5 cycloalkyl-Co-1 alkyl; or phenyl, 5-6-membered heteroaryl both of which are optionally substituted by one or more substituents independently selected from fluoro, chloro, methyl, -CF 3 , methoxy
- the salts thereof particularly the physiologically acceptable salts thereof with organic or inorganic acids or bases.
- A, L, M, Q 2 , Q 3 , Q 4 , R 2 , R 3 , R 4 , R 5 , R 6 , R 7 , R a , R b , R c , W, X, Y, Z 1 , Z 2 , Z 3 have the same meaning as defined in the any of the preceding embodiments and
- R 1 represents fluoro, chloro, bromo, Ci -2 alkyl, Ci -2 alkoxy, the latter two groups of which are optionally substituted by one ore more fluoro;
- the salts thereof particularly the physiologically acceptable salts thereof with organic or inorganic acids or bases.
- A, L, M, Q 2 , Q 3 , Q 4 , R 1 , R 2 , R 3 , R 4 , R 5 , R 6 , R 7 , W, X, Y, Z 1 , Z 2 , Z 3 have the same meaning as defined in any of the preceding embodiments and
- R a , R b and R c represent hydrogen
- a further embodiment of the present invention comprises compounds of the formula I, namely compounds of formula Ie
- each R 9a independently represents fluoro, Ci -2 alkyl, -OCi -4 alkyl in which latter two groups the alkyl fragments are optionally substituted by one or more fluoro atoms;
- each R ! 9b represents independently fluoro, chloro, bromo,
- W represents -C(O)-, -S(O) 2 -;
- M represents Ci -4 alkyl, C 3- 6 cycloalkyl which latter two groups are optionally substituted by one or more groups selected from fluoro, -OH, -CN, -NH 2 , phenyl, CF 3 , Ci -2 alkyl, cyclopropyl-methyl; or represents oxetanyl or tetrahydrofuranyl, both of which groups are optionally substituted by a CH 3 -group; or phenyl, thienyl both of which are optionally substituted by one or two substituents independently selected from fluoro or chloro,
- R 1 represents fluoro, chloro, bromo, CH 3 , CH 2 F, CHF 2 , CF 3 , -OCH 3 ;
- R 4 represents hydrogen or fluoro
- R 6 represents hydrogen; Ci -3 alkyl, C 3-5 cycloalkyl-Co-i alkyl, which latter two groups are optionally substituted by one or more substituents selected from fluoro, -OCH 3 , -NH(Ci -3 alkyl), N(Ci -3 alkyl) 2 ;
- R 7"Z2 represents hydrogen, halo, -OCi -5 alkyl, in which latter group the alkyl is optionally substituted by one or more fluoro atoms;
- R 7"Z1 and R 7"Z3 independently represent hydrogen or fluoro; the salts thereof, particularly the physiologically acceptable salts thereof with organic or inorganic acids or bases.
- phrases "pharmaceutically acceptable” is employed herein to refer to those compounds, materials, compositions, and/or dosage forms which are, within the scope of sound medical judgment, suitable for use in contact with the tissues of human beings and animals without excessive toxicity, irritation, allergic response, or other problem or complication commensurate with a reasonable benefit/risk ratio.
- pharmaceutically acceptable salts refer to derivatives of the disclosed compounds wherein the parent compound is modified by making acid or base salts thereof.
- examples of pharmaceutically acceptable salts include, but are not limited to, mineral or organic acid salts of basic residues such as amines; alkali or organic salts of acidic residues such as carboxylic acids; and the like.
- the pharmaceutically acceptable salts include the conventional non-toxic salts or the quaternary ammonium salts of the parent compound formed, for example, from non-toxic inorganic or organic acids.
- the pharmaceutically acceptable salts of the present invention can be synthesized from the parent compound which contains a basic or acidic moiety by conventional chemical methods.
- such salts can be prepared by reacting the free acid or base forms of theses compounds with a stoichiometric amount of the appropriate base or acid in water or in an organic solvent, or in a mixture of the two; generally, nonaqueous media like ether, ethyl acetate, ethanol isopropanol, or acetonitrile are preferred. Lists of suitable salts are found in Remington's Pharmaceutical Sciences, 17th ed., Mack Publishing Company, Easton, Pa., 1985, p. 1418, the disclosure of which is hereby incorporated by reference.
- Examples of pharmaceutically active salts for each of the compounds which are the subject of this description include, without being restricted thereto, salts which are prepared from pharmaceutically acceptable acids or bases, including organic and inorganic acids and bases. If the preferred compound is basic, salts may be prepared from pharmaceutically acceptable acids. When selecting the most preferred salt, or to clarify whether a salt or the neutral compound is used, properties such as bioavailability, ease of manufacture, workability and shelf life are taken into consideration, inter alia.
- Suitable pharmaceutically acceptable acids include acetic acid, benzenesulphonic acid (besylate), benzoic acid, p-bromophenylsulphonic acid, camphorsulphonic acid, carbonic acid, citric acid, ethanesulphonic acid, fumaric acid, gluconic acid, glutamic acid, hydrobromic acid, hydrochloric acid, hydriodic acid, isethionic acid, lactic acid, maleic acid, malic acid, mandelic acid, methanesulphonic acid (mesylate), mucinic acid, nitric acid, oxalic acid, pamoic acid, pantothenic acid, phosphoric acid, succinic acid, sulphuric acid, tartaric acid, p-toluenesulphonic acid and the like.
- Examples of pharmaceutically acceptable salts include, without being restricted thereto, acetate, benzoate, hydroxybutyrate, bisulphate, bisulphite, bromide, butyne-1 ,4-dioate, caproate, chloride, chlorobenzoate, citrate, dihydrogen phosphate, dinitrobenzoate, fumarate, glutaminate, glycollate, heptanoate, hexyne-1 ,6-dioate, hydroxybenzoate, iodide, lactate, maleate, malonate, mandelate, metaphosphate, methanesulphonate, methoxybenzoate, methylbenzoate, monohydrogen phosphate, naphthalene-1-sulphonate, naphthalene-2- sulphonate, oxalate, phenylbutyrate, phenylproprionate, phosphate, phthalate, phenylacetate, propanesulphonate, propiolate, propionat
- an enantiomer or a diastereomer of a compound of Formula I may display superior activity compared with the other.
- diastereomers may be separated from diastereomeric mixture of the compounds using conventional, e.g. fractional crystallisation or HPLC techniques.
- the desired enantiomers may be obtained by methods well known to the skilled man in the art i.e. by reaction of the appropriate optically active starting materials under conditions which will not cause racemisation or epimerisation (i.e. a 'chiral pool' method), by reaction of the appropriate starting material with a 'chiral auxiliary' which can subsequently be removed at a suitable stage, by derivatisation (i.e.
- a resolution including a dynamic resolution
- a resolution for example with a homochiral acid followed by separation of the diastereomeric derivatives by conventional means such as chromatography (see for example Thomas J. Tucker, et al, J. Med. Chem. 1994, 37, 2437-2444), or by reaction with an appropriate chiral reagent or chiral catalyst all under conditions known to the skilled person (e.g. Mark A. Huffman, et al, J. org. Chem. 1995, 60 1590-1594).
- Compounds of the invention may contain double bonds and may thus exist as E (ent ought) and Z (zusammen) geometric isomers about each individual double bond. All such isomers and mixtures thereof are included within the scope of the invention. Compounds of the invention may also exhibit tautomerism. All tautomeric forms and mixtures thereof are included within the scope of the invention. For instance, a compound containing the moiety "1H-benzimidazole” may be considered to be identical to a corresponding compound containing a "3H-benzimidazole” moiety.
- the subject-matter of this invention also includes deuterated compounds of general formula I, i.e. in which one or more hydrogen atoms, for example one, two, three, four or five hydrogen atoms, are replaced by the hydrogen isotope deuterium.
- C 1-3 -alkyl (including those which are part of other groups) means alkyl groups with 1 to 3 carbon atoms
- C- M -alkyl means branched and unbranched alkyl groups with 1 to 4 carbon atoms
- C 1-6 -alkyl means branched and unbranched alkyl groups with 1 to 6 carbon atoms
- d-s-alkyl means branched and unbranched alkyl groups with 1 to 8 carbon atoms.
- Examples include: methyl, ethyl, n- propyl, /so-propyl, n-butyl, /so-butyl, sec-butyl, te/f-butyl, n-pentyl, neopentyl, n-hexyl, n-heptyl and n-octyl.
- the abbreviations Me, Et, n-Pr, /-Pr, n-Bu, /-Bu, t-Bu, etc. may optionally also be used for the groups mentioned above. Unless stated otherwise, the definitions propyl and butyl include all the possible isomeric forms of the groups in question.
- propyl includes n-propyl and /so-propyl
- butyl includes iso- butyl, sec-butyl and te/f-butyl.
- alkyl also includes alkyl groups wherein 1-3 hydrogen atoms are replaced by fluorine atoms.
- Ci -n -alkylene wherein n is an integer 1 to n, either alone or in combination with another radical, denotes an acyclic, straight or branched chain divalent alkyl radical containing from 1 to n carbon atoms.
- d- 4 -alkylene includes -(CH 2 )-, -(CH 2 -CH 2 )-, -(CH(CH 3 ))-, -(CH 2 -CH 2 -CH 2 )-, -(C(CH 3 ) 2 )-, -(CH(CH 2 CH 3 ))-, -(CH(CH 3 )- CH 2 )-, -(CH 2 -CH(CH 3 ))-, -(CH 2 -CH 2 -CH 2 -CH 2 )-, -(CH 2 -CH 2 -CH(CH 3 ))-, -(CH(CH 3 )-CH 2 - CH 2 )-, -(CH 2 -CH(CH 3 )-CH 2 )-, -(CH 2 -CH(CH 3 )-CH 2 )-, -(CH 2 -C(CH 3 ),)-, -(C (CH 3 ) 2 -CH 2 )
- Cs-s-cycloalkyl (including those which are part of other groups) means cyclic alkyl groups with 3 to 8 carbon atoms and the term “C 3-6 -cycloalkyl” means cyclic alkyl groups with 3 to 6 carbon atoms. Examples include: cyclopropyl, cyclobutyl, cyclopentyl, cyclohexyl, cycloheptyl or cyclooctyl and also include the following structures
- the cyclic alkyl groups may be substituted by one or more groups selected from among methyl, ethyl, /so-propyl, te/f-butyl, hydroxy, fluorine, chlorine, bromine and iodine.
- These cycloalkyls may additionally be annelated (i.e. fused) to a benzene ring, so that nine- to twelve-membered bicyclic heterocycles are formed.
- C 2-6 -alkenyl (including those which are part of other groups) means branched and unbranched alkenyl groups with 2 to 6 carbon atoms, provided that they have at least one double bond. Alkenyl groups with 2 to 4 carbon atoms are preferred. Examples include: ethenyl or vinyl, propenyl, butenyl, pentenyl, or hexenyl. Unless stated otherwise, the definitions propenyl, butenyl, pentenyl and hexenyl include all the possible isomeric forms of the groups in question.
- propenyl includes 1 -propenyl and 2- propenyl
- butenyl includes 1-butenyl, 2-butenyl and 3-butenyl, 1-methyl-1-propenyl, 1- methyl-2-propenyl etc.
- C 2 - 7 -alkynyl (including those which are part of other groups) means branched and unbranched alkynyl groups with 2 to 7 carbon atoms, provided that they have at least one triple bond. Alkynyl groups with 2 to 4 carbon atoms are preferred. Examples of these include: ethynyl, propynyl, butynyl, pentynyl or hexynyl. Unless stated otherwise, the definitions propynyl, butynyl, pentynyl and hexynyl include all the possible isomeric forms of the groups in question.
- propynyl includes 1 -propynyl and 2- propynyl
- butynyl includes 1 -butynyl, 2-butynyl and 3-butynyl, 1-methyl-1 -propynyl, 1- methyl-2-propynyl etc.
- halo or halogen
- fluoro chloro, bromo and iodo. Unless stated otherwise, fluorine, chlorine and bromine are regarded as preferred halogens.
- 4-, 5-, 6- or 7-membered monocyclic heterocyclic ring systems which may be both saturated and monounsaturated.
- One or two of the ring carbon atoms may independently be replaced by heteroatoms which are selected from among oxygen, nitrogen and sulphur, the latter two of which heteroatoms may optionally be oxidised (so forming N-oxide, sulfoxide or sulfon).
- the previously mentioned heterocycles may be linked to the rest of the molecule via a carbon atom or a nitrogen atom.
- Examples for the 4-, 5-, 6- or 7-membered heterocyclic ring systems include:
- heterocycloalkyls may additionally be annelated (i.e. fused) to a benzene ring, so that eight- or eleven-membered bicyclic heterocycles are formed.
- aryl means aromatic ring systems with 6 or 14 carbon atoms (e.g. C 6- io aryl). Such groups may be monocyclic, bicyclic or tricyclic and have between 6 and 14 ring carbon atoms. Examples include phenyl, 1-naphthyl or 2-naphthyl. The preferred aryl group is phenyl.
- the aromatic groups may be substituted by one or more groups selected from among methyl, ethyl, n-propyl, /so-propyl, te/f-butyl, hydroxy, methoxy, trifluoromethoxy, fluorine, chlorine, bromine and iodine, while the groups may be identical or different.
- heteroaryl means five- or six-membered heterocyclic aromatic groups which may contain one, two, three or four heteroatoms, selected from among oxygen, sulphur and nitrogen, and which additionally contain a sufficient number of conjugated double bonds to form an aromatic system. These heteroaryls may additionally be annelated (i.e. fused) to a benzene ring, so that nine- or ten-membered bicyclic heteroaryls are formed. Examples for the five- or six-membered heterocyclic aromatic groups include:
- the heteroaryls mentioned previously may be substituted by one or more groups selected from among methyl, ethyl, n-propyl, /so-propyl, te/f-butyl, hydroxy, methoxy, trifluoromethoxy, fluorine, chlorine, bromine and iodine, while the groups may be identical or different.
- a nitrogen atom present in the heteroaryl group may be oxidised, thus forming an N-oxide.
- the two -N(Ci -3 alkyl) 2 moieties may be the same or different.
- the Ci -3 alkyl groups within one particular -N(Ci -3 alkyl) 2 group are independent of one another, i.e. they may be the same or different from each other.
- compounds of formula I that are the subject of this invention include those that are stable. That is, compounds of the invention include those that are sufficiently robust to survive isolation from e.g. a reaction mixture to a useful degree of purity.
- the protecting group PG which is introduced in step a) is a standard nitrogen protecting group, well known to those skilled in the art, for example a nitrogen protecting group as described in "Protective Groups in Organic Synthesis", 3 rd edition, T. W. Greene & P. G. M. Wutz, Wiley-lnterscience (1999), for example a tert-butoxycarbonyl-, benzyloxycarbonyl-, ethoxycarbonyl-, methoxycarbonyl-, allyloxycarbonyl- or trifluormethylcarbonyl group.
- Step a) can be performed according to literature procedures as described in "Protective Groups in Organic Synthesis", 3 rd edition, T. W. Greene & P. G. M. Wutz, Wiley-lnterscience (1999) for example with reagents like 2-(tert-Butoxycarbonyloxyimino)-2-phenylacetonitrile (BOC-ON), Di-tert-butyl dicarbonate (BOC 2 O), Di-methyl dicarbonate, Di-ethyl dicarbonate, Ethyl chloroformate, Methyl chloroformate, AIIyI chloroformate, Benzyl chloroformate or Trifluoroacetic acid chloride under conditions which are known from the literature preferably in presence of a base for example sodium hydroxide, triethylamine, diisopropyl ethyl amine, 4-dimethylamino-pyridine.
- BOC-ON 2-(tert-Butoxycarbonyloxyimino)-2-phen
- Appropriate solvent for this step is for example dichloromethane, tetrahydrofuran (THF), acetonitrile, dimethylformamide (DMF), dimethylacetamide, N methylpyrrolidone or mixtures of the above mentioned solvents.
- Step b) can be performed with H 2 /Raney-Nickel, H 2 /Palladium on carbon, Fe- powder/aqueous NH 4 CI, Fe/HCI, Zn/HCI, Na 2 S 2 O 4 , SnCI 2 /HCI, Zn/HCI or NaBH 4 /CuCI or according to procedures described in the literature for example R. Larock, Comprehensive Organic Transformations, VCH Verlagstician, Weinheim (1989).
- Appropriate solvent for this step is for example dichloromethane, tetrahydrofuran (THF), acetonitrile, dimethylformamide (DMF), dimethylacetamide, N methylpyrrolidone, ethanol, methanol, isopropanol or mixtures of the above mentioned solvents.
- Step c) can be performed according to standard literature procedures for example with reagents such as 1 ,1 '-thiocarbonyldi-2-pyridone or 1 ,1 '-thiocarbonyldiimidazole or with thiophosgene in a solvent as for example dichloromethane or dimethylformamide and optionally under addition of a base like 4-dimethylamino-pyridine or triethylamine.
- reagents such as 1 ,1 '-thiocarbonyldi-2-pyridone or 1 ,1 '-thiocarbonyldiimidazole or with thiophosgene in a solvent as for example dichloromethane or dimethylformamide and optionally under addition of a base like 4-dimethylamino-pyridine or triethylamine.
- Step d) can be performed under standard conditions known to those skilled in the art in presence of a suitable solvent such as diethyl ether, dimethylformamide, dichloromethane, acetononitrile and/or tetrahydrofuran.
- a suitable solvent such as diethyl ether, dimethylformamide, dichloromethane, acetononitrile and/or tetrahydrofuran.
- the coupling reaction is preferably performed in the presence of a base such as NaOH, KOH, NaHCO 3 , triethylamine, N- ethyldiisopropylamine, 4-dimethylamino-pyridine or other appropriate bases.
- Step e) is preferably performed in the presence of a suitable 'coupling' reagent.
- a suitable 'coupling' reagent for instance a carbodiimide based compound such as dicyclohexylcarbodiimide (DCC), 1-ethyl-3-(3-dimethylaminopropyl) carbodiimide (or salt, e.g. hydrochloride, thereof) or N,N-diisopropylcarbodiimide (DIC) can be used.
- DCC dicyclohexylcarbodiimide
- 1-ethyl-3-(3-dimethylaminopropyl) carbodiimide (or salt, e.g. hydrochloride, thereof) or N,N-diisopropylcarbodiimide (DIC) can be used.
- the reaction may proceed at any suitable temperature (e.g.
- ⁇ one between about 0 0 C to about 200 0 C
- an additive such as 2,2,2-trifluoro- N,O-bis-(trimethylsilyl)-acetamide
- co-solvent for this step is for example dichloromethane, tetrahydrofuran (THF), acetonitrile, dimethylformamide (DMF), dimethylacetamide, N methylpyrrolidone or mixtures of the above mentioned solvents.
- Step d and e can be performed in a step-wise reaction under isolation of the intermediate XV or without isolation of XV.
- Step f) Protecting groups may be removed in accordance with techniques that are well known to those skilled in the art and as described hereinafter.
- protected compounds/intermediates described herein may be converted chemically to unprotected compounds using HCI or H 2 SO 4 solutions, trifluoro acetic acid, KOH; Ba(OH) 2 , Pd on carbon, trimethylsilyl iodide or other conditions as described in "Protective Groups in Organic Synthesis", 3 rd edition, T.W. Greene & P. G. M. Wutz, Wiley-lnterscience (1999).
- Appropriate co-solvent for this step is for example dichloromethane, tetrahydrofuran (THF), acetonitrile, dimethylformamide (DMF), dimethylacetamide, N methylpyrrolidone or mixtures of the above mentioned solvents.
- Step g): The coupling of the amine XVII with the acid XXa can be performed with an additional in-situ activating agent like 1-propylphosphonic acid cyclic anhydride, O- (benzotriazol-1 -yl)- ⁇ /, ⁇ /, ⁇ /', ⁇ /'-tetramethyluronium tetrafluoroborate or hexafluorophosphate, N,N'-dicyclohexylcarbodiimide, 1-(3-dimethylaminopropyl)-3- ethylcarbodiimide, carbonyldiimidazole, oxalyl chloride or other activating agents of the state of the art.
- an additional in-situ activating agent like 1-propylphosphonic acid cyclic anhydride, O- (benzotriazol-1 -yl)- ⁇ /, ⁇ /, ⁇ /', ⁇ /'-tetramethyluronium tetrafluoroborate or
- the coupling reaction is preferably performed in the presence of a base such as NaOH, KOH, NaHCO 3 , triethylamine, N-ethyldiisopropylamine, N,N,-dimethylaminopyridine or other appropriate bases of the state of the art and for example described in described in Houben-Weyl, "Methods in Organic Synthesis", Vol. E22a, p 425ff.
- the coupling of the amine XVII can be performed with an activated acid derivative XXb, where the leaving group LG can be for example, a fluorine, chlorine, bromine, azide or an isopropyloxy-C(O)-O anion.
- the coupling reaction is preferably performed in the presence of a base such as NaOH, KOH, NaHCO 3 , triethylamine, N- ethyldiisopropylamine, 4-dimethylamino-pyridine or other appropriate bases under conditions which are for example described in Houben-Weyl, "Methods in Organic Synthesis", Vol. E22a, p 425ff.
- a base such as NaOH, KOH, NaHCO 3 , triethylamine, N- ethyldiisopropylamine, 4-dimethylamino-pyridine or other appropriate bases under conditions which are for example described in Houben-Weyl, "Methods in Organic Synthesis", Vol. E22a, p 425ff.
- step g) is carried out in presence of trimethylaluminium or triethylaluminium
- the leaving group in XXb can also be a methoxy or ethoxy group.
- the above mentioned coupling reactions are performed in an appropriate solvent for example like dichloromethane, tetrahydrofuran (THF), acetonitrile, dimethylformamide (DMF), dimethylacetamide, N methylpyrrolidone or in mixtures of the above mentioned solvents.
- Step h) The reductive amination is performed according to known procedures for example with sodium triacetoxyborohydride, sodium borohydride or sodium cyanoborhydride in an appropriate solvent like tetrahydrofuran or dichlormethane under addition of acetic acid or trifluoro acetic acid if appropriate, or with Palladium on charcoal under a hydrogen atmosphere in tetrahydrofuran or ethanol or methanol or isopropanol or dimethyl- formamide, preferably in the presence of acetic acid or trifluoro acetic acid.
- Step i) can be performed according to standard literature procedures for example with reagents such as thiophosgene in an appropriate solvent as for example dichloromethane or dimethylformamide optionally under addition of a base like 4-dimethylamino-pyridine or triethylamine.
- reagents such as thiophosgene in an appropriate solvent as for example dichloromethane or dimethylformamide
- a base like 4-dimethylamino-pyridine or triethylamine.
- Step j) can be performed under standard conditions known to those skilled in the art in presence of a suitable solvent such as diethyl ether, dimethylformamide, dichloromethane, acetononitrile and/or tetrahydrofuran).
- a suitable solvent such as diethyl ether, dimethylformamide, dichloromethane, acetononitrile and/or tetrahydrofuran.
- the coupling reaction is preferably performed in the presence of a base such as NaOH, KOH, NaHCO 3 , triethylamine, N-ethyldiisopropyl- amine, 4-dimethylamino-pyridine or other appropriate bases.
- Step k) is preferably performed in the presence of a suitable coupling reagent as for example a carbodiimide based compound such as dicyclohexylcarbodiimide (DCC), 1- ethyl-3-(3-dimethylaminopropyl) carbodiimide (or salt, e.g. hydrochloride, thereof) or N, N- diisopropylcarbodiimide (DIC).
- DCC dicyclohexylcarbodiimide
- DIC N, N- diisopropylcarbodiimide
- the reaction may proceed at any suitable temperature (e.g. one between about 0 0 C to about 200 0 C), and may also be performed in the presence of an additive (such as 2,2,2-trifluoro-N,O-bis-(trimethylsilyl)-acetamide).
- Appropriate co- solvent for this step is for example dichloromethane, tetrahydrofuran, acetonitrile, dimethylformamide, dimethylacetamide, N methylpyrrolidone or mixtures of the above mentioned solvents.
- Step j and k can be performed in a step-wise reaction under isolation of the intermediate XXI or without isolation of XXI.
- Step I) Protecting groups may be removed in accordance with techniques that are well known to those skilled in the art and as described hereinafter.
- protected compounds/intermediates described herein may be converted chemically to unprotected compounds using HCI or H 2 SO 4 solutions, trifluoro acetic acid, KOH; Ba(OH) 2 , Pd on carbon, trimethylsilyl iodide or other conditions as described in "Protective Groups in Organic Synthesis", 3 rd edition, T.W. Greene & P. G. M. Wutz, Wiley-lnterscience (1999).
- T Appropriate co-solvent for this step is for example dichloromethane, tetrahydrofuran, acetonitrile, dimethylformamide, dimethylacetamide, N methylpyrrolidone, methanol, ethanol or mixtures of the above mentioned solvents.
- Step m): The coupling of the amine XXIII with the acid XXa can be performed with an additional in-situ activating agent like 1-propylphosphonic acid cyclic anhydride, O-(benzo- triazol-1-yl)- ⁇ /, ⁇ /, ⁇ /', ⁇ /'-tetramethyluronium tetrafluoroborate or hexafluorophosphate, N, N'- dicyclohexylcarbodiimide, 1 -(3-dimethylaminopropyl)-3-ethylcarbodiimide, carbonyldi- imidazole, oxalyl chloride or other activating agents of the state of the art.
- an additional in-situ activating agent like 1-propylphosphonic acid cyclic anhydride, O-(benzo- triazol-1-yl)- ⁇ /, ⁇ /, ⁇ /', ⁇ /'-tetramethyluronium tetrafluorobo
- the coupling reaction is preferably performed in the presence of a base such as NaOH, KOH, NaHCO 3 , triethylamine, N-ethyldiisopropylamine, N,N,-dimethylaminopyridine or other appropriate bases of the state of the art and for example described in described in Houben-Weyl, "Methods in Organic Synthesis", Vol. E22a, p 425ff.
- the coupling of the amine XXIII can be performed with an activated acid derivative XXb, where the leaving group LG can be for example, a fluorine, chlorine, bromine, azide or an isopropyloxy-C(O)-O anion.
- the coupling reaction is preferably performed in the presence of a base such as NaOH, KOH, NaHCO 3 , triethylamine, N- ethyldiisopropylamine, 4-dimethylamino-pyridine or other appropriate bases under conditions which are for example described in Houben-Weyl, "Methods in Organic Synthesis", Vol. E22a, p 425ff. If step g) is carried out in presence of trimethylaluminium or triethylaluminium the leaving group in XXb can also be a methoxy or ethoxy group.
- a base such as NaOH, KOH, NaHCO 3 , triethylamine, N- ethyldiisopropylamine, 4-dimethylamino-pyridine or other appropriate bases under conditions which are for example described in Houben-Weyl, "Methods in Organic Synthesis", Vol. E22a, p 425ff.
- Step n) can be performed according to standard literature procedures for example with reagents such as 1 ,1 '-thiocarbonyldi-2-pyridone or 1 ,1 '-thiocarbonyldiimidazole or with thiophosgene in a solvent as for example dichloromethane or dimethylformamide and optionally under addition of a base like 4-dimethylamino-pyridine or triethylamine.
- reagents such as 1 ,1 '-thiocarbonyldi-2-pyridone or 1 ,1 '-thiocarbonyldiimidazole or with thiophosgene in a solvent as for example dichloromethane or dimethylformamide and optionally under addition of a base like 4-dimethylamino-pyridine or triethylamine.
- Step o) can be performed under standard conditions known to those skilled in the art in presence of a suitable solvent such as diethyl ether, dimethylformamide, dichloromethane, acetononitrile and/or tetrahydrofuran.
- a suitable solvent such as diethyl ether, dimethylformamide, dichloromethane, acetononitrile and/or tetrahydrofuran.
- the coupling reaction is preferably performed in the presence of a base such as NaOH, KOH, NaHCO 3 , triethylamine, N-ethyldiisopropyl- amine, 4-dimethylamino-pyridine or other appropriate bases.
- Step p) is preferably performed in the presence of a suitable 'coupling' reagent.
- a carbodiimide based compound such as dicyclo- hexylcarbodiimide (DCC), 1-ethyl-3-(3-dimethylaminopropyl) carbodiimide (or salt, e.g. hydrochloride, thereof) or N,N-diisopropylcarbodiimide (DIC) can be used.
- DCC dicyclo- hexylcarbodiimide
- 1-ethyl-3-(3-dimethylaminopropyl) carbodiimide (or salt, e.g. hydrochloride, thereof) or N,N-diisopropylcarbodiimide (DIC) can be used.
- the reaction may proceed at any suitable temperature (e.g. one between about 0 0 C to about
- 200 0 C 200 0 C
- an additive such as 2,2,2-trifluoro- N,O-bis-(trimethylsilyl)-acetamide
- co-solvent for this step is for example dichloromethane, tetrahydrofuran (THF), acetonitrile, dimethylformamide (DMF), dimethyl- acetamide, N methylpyrrolidone or mixtures of the above mentioned solvents.
- Step o and p can be performed in a step-wise reaction under isolation of the intermediate XXV or without isolation of XXV.
- the protecting group PG 1 is a standard nitrogen protecting group, well known to those skilled in the art, for example a nitrogen protecting group as described in "Protective Groups in Organic Synthesis", 3 rd edition, T. W. Greene & P. G. M. Wutz, Wiley-lnterscience (1999), for example a tert-butoxycarbonyl-, benzyloxycarbonyl-, ethoxycarbonyl-, methoxycarbonyl-, allyloxycarbonyl- or trifluormethylcarbonyl group.
- Step q) can be performed under standard conditions known to those skilled in the art in presence of a suitable solvent such as diethyl ether, dimethylformamide, dichloromethane, acetononitrile and/or tetrahydrofuran.
- a suitable solvent such as diethyl ether, dimethylformamide, dichloromethane, acetononitrile and/or tetrahydrofuran.
- the coupling reaction is preferably performed in the presence of a base such as NaOH, KOH, NaHCO 3 , triethylamine, N-ethyldiisopropyl- amine, 4-dimethylamino-pyridine or other appropriate bases.
- Step r) is preferably performed in the presence of a suitable 'coupling' reagent.
- a suitable 'coupling' reagent for instance a carbodiimide based compound such as dicyclohexyl- carbodiimide (DCC), 1-ethyl-3-(3-dimethylaminopropyl) carbodiimide (or salt, e.g. hydrochloride, thereof) or N,N-diisopropylcarbodiimide (DIC) can be used.
- DCC dicyclohexyl- carbodiimide
- 1-ethyl-3-(3-dimethylaminopropyl) carbodiimide (or salt, e.g. hydrochloride, thereof) or N,N-diisopropylcarbodiimide (DIC) can be used.
- the reaction may proceed at any suitable temperature (e.g. one between about 0 0 C to about
- 200 0 C 200 0 C
- an additive such as 2,2,2-trifluoro- N,O-bis-(trimethylsilyl)-acetamide
- co-solvent for this step is for example dichloromethane, tetrahydrofuran (THF), acetonitrile, dimethylformamide (DMF), dimethyl- acetamide, N methylpyrrolidone or mixtures of the above mentioned solvents.
- Step q and r can be performed in a step-wise reaction under isolation of the intermediate XXVII or without isolation of XXVII.
- the protecting group PG1 may be removed in accordance with techniques that are well known to those skilled in the art and as described hereinafter.
- protected compounds/intermediates described herein may be converted chemically to unprotected compounds using HCI or H 2 SO 4 solutions, trifluoro acetic acid, KOH; Ba(OH) 2 , Pd on carbon, trimethylsilyl iodide or other conditions as described in "Protective Groups in Organic Synthesis", 3 rd edition, T.W. Greene & P. G. M. Wutz, Wiley-lnterscience (1999).
- Appropriate co-solvent for this step is for example dichloromethane, tetrahydrofuran (THF), acetonitrile, dimethylformamide (DMF), dimethylacetamide, N methylpyrrolidone, methanol, ethanol or mixtures of the above mentioned solvents.
- an additional in-situ activating agent like 1-propylphosphonic acid cyclic anhydride, O-(benzo- triazol-1-yl)- ⁇ /, ⁇ /, ⁇ /', ⁇ /'-tetramethyluronium tetrafluorobo
- the coupling reaction is preferably performed in the presence of a base such as NaOH, KOH, NaHCOs, triethylamine, N-ethyldiisopropylamine, N,N,-dimethylaminopyridine or other appropriate bases of the state of the art and for example described in described in Houben-Weyl, "Methods in Organic Synthesis", Vol. E22a, p 425ff.
- a base such as NaOH, KOH, NaHCOs, triethylamine, N-ethyldiisopropylamine, N,N,-dimethylaminopyridine or other appropriate bases of the state of the art and for example described in described in Houben-Weyl, "Methods in Organic Synthesis", Vol. E22a, p 425ff.
- the coupling of the amine XXVIII can be performed with an activated acid derivative A-C(O)-LG, where the leaving group LG can be for example, a fluorine, chlorine, bromine, azide or an isopropyloxy-C(O)-O anion or with A-SO 2 -CI.
- the coupling reaction is preferably performed in the presence of a base such as NaOH, KOH, NaHCO 3 , triethylamine, N-ethyldiisopropylamine, N,N,-dimethylaminopyridine or other appropriate bases under conditions which are for example described in Houben-Weyl, "Methods in Organic Synthesis", Vol. E22a, p 425ff.
- the above mentioned coupling reactions are performed in an appropriate solvent for example like dichloromethan, tetrahydrofurane (THF), acetonitrile, dimethylformamide (DMF), dimethylacetamide, N methylpyrrolidone or in mixtures of the above mentioned solvents.
- an appropriate solvent for example like dichloromethan, tetrahydrofurane (THF), acetonitrile, dimethylformamide (DMF), dimethylacetamide, N methylpyrrolidone or in mixtures of the above mentioned solvents.
- Step u) can be performed under standard conditions known to those skilled in the art in presence of a suitable solvent such as diethyl ether, dimethylformamide, dichloromethane, acetononitrile and/or tetrahydrofuran.
- a suitable solvent such as diethyl ether, dimethylformamide, dichloromethane, acetononitrile and/or tetrahydrofuran.
- the coupling reaction is preferably performed in the presence of a base such as NaOH, KOH, NaHCO 3 , triethylamine, N-ethyldiisopropyl- amine, 4-dimethylamino-pyridine or other appropriate bases.
- Step v) is preferably performed in the presence of a suitable 'coupling' reagent.
- a suitable 'coupling' reagent for instance a carbodiimide based compound such as dicyclohexyl- carbodiimide (DCC), 1-ethyl-3-(3-dimethylaminopropyl) carbodiimide (or salt, e.g. hydrochloride, thereof) or N,N-diisopropylcarbodiimide (DIC) can be used.
- DCC dicyclohexyl- carbodiimide
- 1-ethyl-3-(3-dimethylaminopropyl) carbodiimide (or salt, e.g. hydrochloride, thereof) or N,N-diisopropylcarbodiimide (DIC) can be used.
- the reaction may proceed at any suitable temperature (e.g. one between about 0 0 C to about
- 200 0 C 200 0 C
- an additive such as 2,2,2-trifluoro- N,O-bis-(trimethylsilyl)-acetamide
- co-solvent for this step is for example dichloromethane, tetrahydrofuran (THF), acetonitrile, dimethylformamide (DMF), dimethyl- acetamide, N methylpyrrolidone or mixtures of the above mentioned solvents.
- Step u and v can be performed in a step-wise reaction under isolation of the intermediate XXXI or without isolation of XXXI.
- Step w) can be performed under known saponification methods for example with aquous NaOH or KOH in ethanol, methanol or dioxane.
- Step x) The coupling of the amine XXXIV with the acid XXXIII can be performed with an additional in-situ activating agent like 1-propylphosphonic acid cyclic anhydride, O- (benzotriazol-1-yl)- ⁇ /, ⁇ /, ⁇ /', ⁇ /'-tetramethyluronium tetrafluoroborate or hexafluorophos- phate, N,N'-dicyclohexylcarbodiimide, 1-(3-dimethylaminopropyl)-3-ethylcarbodiimide, carbonyldiimidazole, oxalyl chloride or other activating agents of the state of the art.
- an additional in-situ activating agent like 1-propylphosphonic acid cyclic anhydride, O- (benzotriazol-1-yl)- ⁇ /, ⁇ /, ⁇ /', ⁇ /'-tetramethyluronium tetrafluo
- the coupling reaction is preferably performed in the presence of a base such as NaOH, KOH, NaHCO 3 , triethylamine, N-ethyldiisopropylamine, N,N,-dimethylaminopyridine or other appropriate bases of the state of the art and for example described in described in Houben-Weyl, "Methods in Organic Synthesis", Vol. E22a, p 425ff.
- the above mentioned coupling reaction is performed in an appropriate solvent for example dichloromethane, tetrahydrofuran (THF), acetonitrile, dimethylformamide (DMF), dimethylacetamide, N methylpyrrolidone or in mixtures of the above mentioned solvents.
- THF tetrahydrofuran
- DMF dimethylformamide
- N methylpyrrolidone dimethylacetamide
- the functional groups of intermediate compounds may need to be protected by protecting groups.
- the protection and deprotection of functional groups may take place before or after a reaction in the above-mentioned schemes.
- Protecting groups may be removed in accordance with techniques that are well known to those skilled in the art and as described hereinafter. For example, protected compounds/intermediates described herein may be converted chemically to unprotected compounds using standard deprotection techniques.
- the basis of the assay used is to measure the inhibition of microsomal prostaglandin E 2 synthase-1 (mPGES-1 ) dependent prostaglandin (PG) E 2 formation from PGH 2 by different compounds.
- mPGES-1 microsomal prostaglandin E 2 synthase-1
- PG prostaglandin
- HTRF time resolved fluorescent
- the plate is covered with adhesive sealing film. • The plate can now be centrifuged at 1200 rpm for 1 minute.
- the plate can now be centrifuge at 1200 rpm for 1 minute and place at 4 0 C overnight.
- Table 1 demonstrates the mPGES-1 inhibitory effect (in %-inhibition) measured for selected compounds at a concentration of 10 ⁇ M (unless otherwise specified) in the HTRF assay as described above.
- the examples show that 10 ⁇ M of the compound inhibit PGE 2 production to the indicated degree.
- Table 2 demonstrates the mPGES-1 inhibitory effect (IC 50 ) measured for selected examples in the HTRF assay as described above. These data reflect a successful mPGES-1 inhibition for the given compound examples.
- the present invention relates to compounds of formula I which are useful in the prevention and/or treatment of a disease and/or condition in which the inhibition of prostaglandin E synthases, in particular that of the microsomal prostaglandin E 2 synthase-1 (mPGES-1 ) is of therapeutic benefit, including but not limited to the treatment and/or prevention of inflammatory diseases and/or associated conditions.
- mPGES-1 microsomal prostaglandin E 2 synthase-1
- inflammation will be understood to include any inflammatory disease, disorder or condition per se, any condition that has an inflammatory component associated with it, and/or any condition characterised by inflammation as a symptom, including inter alia acute, chronic, ulcerative, specific, allergic and necrotic inflammation, and other forms of inflammation known to those skilled in the art.
- the term thus also includes, for the purposes of this invention, inflammatory pain, pain generally and/or fever.
- a condition has an inflammatory component associated with it, or a condition characterised by inflammation as a symptom, the skilled person will appreciate that compounds of the invention may be useful in the treatment of the inflammatory symptoms and/or the inflammation associated with the condition.
- Compounds of the invention may also have effects that are not linked to inflammatory mechanisms, such as in the reduction of bone loss in a subject.
- Such conditions include osteoporosis, osteoarthritis, Paget's disease and/or periodontal diseases.
- a further aspect of the present invention relates to a compound of formula I as a medicament.
- Another aspect of the present invention is the use of compounds of formula I for the treatment and/or prevention of a disease and/or condition in which the inhibition of the mPGES-1 is of therapeutic benefit.
- a further aspect of the present invention is the use of a compound of formula I for the treatment and/or prevention of inflammatory diseases and/or associated conditions.
- the present invention also relates to the use of compounds of formula I for the treatment and/or prevention of the following diseases and conditions: 1.
- Rheumatic diseases or autoimmune diseases or muscoskeletal diseases all forms of rheumatic diseases including e.g. soft tissue rheumatism, rheumatoid arthritis, polymyalgia rheumatica, reactive arthritis, , tenosynovitis, gout or metabolic arthritis, bursitis, tendonitis, juvenile arthritis, spondyloarthropathies like e.g.
- spondylitis ankylosing spondylitis, psoriatric arthropathy
- sarcoidosis fibromyalgia, myositis, polymyositis, osteoarthritis, traumatic arthritis, collagenoses of any origin e.g.
- Headaches such as migraines with and without aura, tension-type headaches, cluster headaches and headaches with different origins;
- Neuropathic pain such as low back pain, hip pain, leg pain, non-herpetic neuralgia, post herpetic neuralgia, diabetic neuropathy, nerve injury-induced pain, acquired immune deficiency syndrome (AIDS) related neuropathic pain, head trauma, toxin and chemotherapy caused nerve injuries, phantom limb pain, multiple sclerosis, root avulsions, painful traumatic mononeuropathy, painful polyneuropathy, thalamic pain syndrome, post-stroke pain, central nervous system injury, post surgical pain, carpal tunnel syndrome, trigeminal neuralgia, post mastectomy syndrome, postthoracotomy syndrome, stump pain, repetitive motion pain, neuropathic pain associated hyperalgesia and allodynia, alcoholism and other drug-induced pain;
- Neuropathic pain such as low back pain, hip pain, leg pain, non-herpetic neuralgia, post herpetic neuralgia, diabetic neuropathy, nerve injury-induced pain, acquired immune deficiency syndrome (AIDS) related neur
- tumors such as bone tumors, lymphatic leukemia; Hodgkin's disease, malignant lymphoma; lymphogranulomatoses; lymphosarcoma; solid malignant tumors; extensive metastases
- Visceral disorders such as chronic pelvic pain, pancreatitis, peptic ulcer, interstitial cystitis, cystitis, renal colic, angina, dysmenorrhoea, menstruation, gynaecological pain, irritable bowel disease (IBS), inflammatory bowel disease, Crohn's disease and ulcerative colitis, nephritis, prostatitis, vulvodynia, non-ulcer dyspepsia, non-cardiac chest pain, myocardial ischemia; 7.
- IBS irritable bowel disease
- nephritis inflammatory bowel disease
- Crohn's disease and ulcerative colitis nephritis
- vulvodynia non-ulcer dyspepsia
- non-cardiac chest pain myocardial ischemia
- Inflammation associated diseases of ear, nose, mouth and throat like influenza and viral/bacterial infections such as the common cold, allergic rhinitis (seasonal and perennial), pharyngitis, tonsillitis, gingivitis, larhyngitis, sinusitis, and vasomotor rhinitis, fever, hay fever, thyroiditis, otitis, dental conditions like toothache, perioperative and post- operative conditions, trigeminal neuralgia, uveitis; ulceris, allergic keratitis, conjunctivitis, blepharitis, neuritis nervi optici, choroiditis, glaucoma and sympathetic opthalmia, as well as pain thereof.
- Neurological diseases such as cerebral oedema and angioedema, cerebral dementia like e.g. Parkinson's and Alzheimers disease, senile dementia; multiple sclerosis, stroke, myasthenia gravis, brain and meningeal infections like encephalomyelitis, meningitis, including HIV as well as schizophrenia, delusional disorders, autism, affective disorders and tic disorders;
- Air-related diseases like pneumoconiosis, including aluminosis, anthracosis, asbestosis, chalicosis, ptilosis, siderosis, silicosis, tabacosis and byssinosis; 10.
- Lung diseases such as asthma including allergic asthma (atopic or non-atopic) as well as exercise-induced bronchoconstriction, occupational asthma, viral- or bacterial exacerbation of asthma, other non-allergic asthmas and "whez-infant syndrome", Chronic obstructive pulmonary disease (COPD) including emphysema, adult respiratory distress syndrome, bronchitis, pneumonia, adult respiratory distress syndrome (ARDS), pigeon fancier's disease, farmers lung;
- COPD chronic obstructive pulmonary disease
- Skin diseases such as psoriasis and eczema, dermatitis, sunburn, burns as well as aprains and strains and tissue trauma;
- Vascular and heart diseases which are inflammation- related like artheriosclerosis including cardiac transplant atherosclerosis, panarteritis nodosa, periarteritis nodosa, arteritis temporalis, Wegner granulomatosis, giant cell arthritis, reperfusion injury and erythema nodosum, thrombosis (e.g.
- deep vein thrombosis renal, hepathic, portal vein thrombosis
- coronary artery disease aneurysm, vascular rejection, myocardial infarction, embolism, stroke, thrombosis including venous thrombosis, angina including unstable angina, coronary plaque inflammation, bacterial-induced inflammation including Chlamydia-induced inflammation, viral induced inflammation, and inflammation associated with surgical procedures
- vascular grafting including coronary artery bypass surgery, revascularization procedures including angioplasty, stent placement, endarterectomy, or other invasive procedures involving arteries, veins and capillaries, artery restenosis
- vascular grafting including coronary artery bypass surgery, revascularization procedures including angioplasty, stent placement, endarterectomy, or other invasive procedures involving arteries, veins and capillaries, artery restenosis
- revascularization procedures including angioplasty, stent placement, endarterectomy, or other invasive procedures involving arteries
- Diabetes-associated symptoms such as diabetic vasculopathy, diabetic neuropathy, diabetic retinopathy, post capillary resistance or diabetic symptoms associated with insulitis (e.g. hyperglycemia, diuresis, proteinuria and increased nitrite and kallikrein urinary excretion);
- Benign and malignant tumors and neoplasia including cancer, such as colorectal cancer, brain cancer, bone cancer, epithelial cell-derived neoplasia (epithelial carcinoma) such as basal cell carcinoma, adenocarcinoma, gastrointestinal cancer such as lip cancer, mouth cancer, esophageal cancer, small bowel cancer, stomach cancer, colon cancer, liver cancer, bladder cancer, pancreas cancer, ovary cancer, cervical cancer, lung cancer, breast cancer, skin cancer such as squamous cell and basal cell cancers, prostate cancer, renal cell carcinoma, and other known cancers effecting epithelial cells throughout the body; neoplasias like gastrointestinal cancer, Barrett's esophagus, liver cancer, bladder cancer, pancreatic cancer, ovarian cancer, prostate cancer, cervical cancer, lung cancer, breast cancer and skin cancer; adenomatous polyps, including familial adenomatous polyposis (FAP) as well preventing polyps from forming in
- septic shock e.g. as antihypovolemic and/or antihypotensive agents, sepsis, osteoporosis, benign prostatic hyperplasia and hyperactive bladder, nephritis, pruritis, vitiligo, disturbances of visceral motility at respiratory, genitourinary, gastrointestinal or vascular regions, wounds, allergic skin reactions, mixed-vascular and non-vascular syndromes, septic shock associated with bacterial infections or with trauma, central nervous system injury, tissue damage and postoperative fever, syndromes associated with itching.
- septic shock e.g. as antihypovolemic and/or antihypotensive agents, sepsis, osteoporosis, benign prostatic hyperplasia and hyperactive bladder, nephritis, pruritis, vitiligo, disturbances of visceral motility at respiratory, genitourinary, gastrointestinal or vascular regions, wounds, allergic skin reactions, mixed-vascular and non-vascular syndrome
- Preferred according to the present invention is the use of a compound of formula I for the treatment and/or prevention of pain; in particular pain that is associated with any one of the diseases or conditions listed above.
- Another aspect of the present invention is a method for the treatment and/or prevention of above mentioned diseases and conditions, which method comprises the administration of an effective amount of a compound of formula I to a human being.
- Compounds of the invention may also have the advantage that they may be more efficacious than, be less toxic than, be longer acting than, be more potent than, produce fewer side effects than, be more easily absorbed than, and/or have a better pharmacokinetic profile (e.g. higher oral bioavailability and/or lower clearance) than, and/or have other useful pharmacological, physical, or chemical properties over, compounds known in the prior art, whether for use in the above-stated indications or otherwise.
- DOSAGE refers to an amount of a compound, which confers a therapeutic effect on the treated patient.
- the effect may be objective (i.e. measurable by some test or marker) or subjective (i.e. the subject gives an indication of or feels an effect).
- Compounds of the invention may be administered at varying doses.
- Oral, pulmonary and topical dosages may range from between about 0.01 mg/kg of body weight per day
- compositions typically contain between about 0.01 mg to about 5000 mg, and preferably between about 1 mg to about 2000 mg, of the active ingredient.
- the most preferred doses will range from about 0.001 to about 10 mg/kg/hour during constant rate infusion.
- compounds may be administered in a single daily dose, or the total daily dosage may be administered in divided doses of two, three or four times daily.
- the physician or the skilled person, will be able to determine the actual dosage which will be most suitable for an individual patient, which is likely to vary with the route of administration, the type and severity of the condition that is to be treated, as well as the species, age, weight, sex, renal function, hepatic function and response of the particular patient to be treated.
- the above-mentioned dosages are exemplary of the average case; there can, of course, be individual instances where higher or lower dosage ranges are merited, and such are within the scope of this invention.
- Suitable preparations for administering the compounds of formula will be apparent to those with ordinary skill in the art and include for example tablets, pills, capsules, suppositories, lozenges, troches, solutions, syrups, elixirs, sachets, injectables, inhalatives and powders etc. Such formulations may be prepared in accordance with standard and/or accepted pharmaceutical practice.
- the content of the pharmaceutically active compound(s) should be in the range from 1 to 99 wt.-%, preferably 10 to 90 wt.-%, more preferably 20 to 70 wt- %, of the composition as a whole.
- Suitable tablets may be obtained, for example, by mixing one or more compounds according to formula I with known excipients, for example inert diluents, carriers, disintegrants, adjuvants, surfactants, binders and/or lubricants .
- the tablets may also consist of several layers.
- a further aspect of the invention is a pharmaceutical formulation including a compound of formula I in admixture with a pharmaceutically acceptable adjuvant, diluent or carrier.
- the compounds according to the present invention can be combined with other treatment options known to be used in the art in connection with a treatment of any of the indications the treatment of which is in the focus of the present invention.
- NSAIDs non-steroidal antiinflammatory drugs
- COX-2 inhibitors COX-2 inhibitors
- Non-steroidal antiinflammatory drugs including COX-2 inhibitors :propionic acid derivatives (alminoprofen, benoxaprofen, bucloxic acid, carprofen, fenhufen, fenoprofen, flubiprofen, ibuprofen, indoprofen, ketoprofen, miroprofen, naproxen, oxaprozin, pirprofen, pranoprofen, suprofen, tiaprofenic acid, and tioxaprofen), acetic acid derivatives (indomethacin, acemetacin, alclofenac, clidanac, diclofenac, fenclofenac, fenclozic acid, fentiazac, furofenac, ibufenac, isoxepac, oxpinac, sulindac,
- NSAIDs including COX-2 inhibitors :propionic acid derivative
- Antibiotic drugs like gentamicin, streptomycin, geldanamycin, doripenem, cephalexin, cefaclor, ceftazichine, cefepime, erythromycin, vancomycin, aztreonam, amoxicillin, bacitracin, enoxacin, mafenide, doxycycline, chloramphenicol and the like;
- Opiate receptor agonists morphine, propoxyphene (Darvon), tramadol , buprenorphin and the like.
- Glucocorticosteroids such as bethamethasone, budesonide, dexamethasone, hydrocortisone, methylprednisolone, prednisolone, prednisone, triamcinolone and deflazacort;
- immunosuppressive, immunomodulatory, or cytsostatic drugs inlcuding but not limited to hydroxychlorquine, D-penicillamine, sulfasalizine, auranofin, gold mercaptopurine, tacrolimus, sirolimus, mycophenolate mofetil, cyclosporine, leflunomide, methotrexate, azathioprine, cyclophosphamide and glatiramer acetate and novantrone, fingolimod (FTY720), minocycline and thalidomide and the like;
- anti-TNF antibodies or TNF-receptor antagonists such as but not limited to Etanercept, Infliximab, Adalimumab (D2E7), CDP 571 , and Ro 45-2081 (Lenercept), or biologic agents directed against targets such as but not limited to CD-4, CTLA-4, LFA-1 , IL-6, ICAM-1 , C5 and Natalizumab and the like;
- IL-1 receptor antagonists such as but not limited to Kineret
- Sodium channel blockers carbamazepine, mexiletine, lamotrigine, tectin, lacosamide and the like.
- N-type calcium channel blockers Ziconotide and the like.
- Serotonergic and noradrenergic modulators paroxetine, duloxetine, clonidine, amitriptyline, citalopram;
- Histamine H1 receptor antagonists bromophtniramint, chlorpheniramine, dexchlorpheniramine, triprolidine, clemastine, diphenhydramine, diphenylpyraline, tripelennamine, hydroxyzine, methdiJazine, promethazine, trimeprazine, azatadine, cyproheptadine, antazoline, pheniramine pyrilamine, astemizole, terfenadine, loratadine, cetirizine, deslo- ratadine, fexofenadine and levocetirizine and the like; • Histamine H2 receptor antagonists: cimetidine, famotidine and ranitidine and the like;
- Proton pump inhibitors omeprazole, pantoprazole and esomeprazole and the like; • Leukotriene antagonists and 5-lipoxygenase inhibitors: zafirlukast, mon- telukast, pranlukast and zileuton and the like;
- GABA modulators lacosamide, pregabalin, gabapentin and the like; • Anti-migraine drugs: sumatriptan, zolmitriptan, naratriptan, eletriptan, telcegepant and the like;
- NGF antibodies such as RI-724 and the like.
- Combination therapy is also possible with new principles for the treatment of pain e.g. P2X3 antagonists, VR1 antagonists, NK1 and NK2 antagonists, NMDA antagonists, mGluR antagonists and the like.
- the combination of compounds is preferably a synergistic combination.
- Synergy as described for example by Chou and Talalay, Adv. Enzyme Regul. 22:27-55 (1984), occurs when the effect of the compounds when administered in combination is greater than the additive effect of the compounds when administered alone as a single agent. In general, a synergistic effect is most clearly demonstrated at suboptimal concentrations of the compounds. Synergy can be in terms of lower cytotoxicity, increased pharmacological effect, or some other beneficial effect of the combination compared with the individual components.
- the TLC data was obtained by using the following tic plates a) Silica gel plates 60 F254 Merck No 1.05714.0001 abbreviated in the experimental part as “silica gel” b) Reversed phase plates: RP-8 F 254s Merck No: 1.15684.0001 abbreviated in the experimental part as “RP-8”. c) Aluminiumoxide plates 60 F254 Merck 1.05713.0001 abbreviated in the experimental part as "Alox" The R f values given were determined without chamber saturation.
- the sub-title compound was prepared from 2-chloro- ⁇ /-cyclopentyl-4-methylamino-5- nitrobenzamide in accordance with Example 2 , step (b).
- the sub-title compound was prepared from tert-butyl 2-chloro-5-(methylamino)-4- nitrophenylcarbamate in accordance with Example 2, step (b).
- the sub-title compound was prepared from 4-chloro- ⁇ /-cyclopentyl-3-nitro-benzenesulfon- amide and methylamine in accordance with Example 3, step (b).
- the sub-title compound was prepared from ⁇ /-cyclopentyl-4-methylamino-3-nitro- benzenesulfonamide in accordanced with Example 2, step (b).
- step (d) /V- ⁇ -Chloro-S-r ⁇ -f/V-cvclopentylsulfamovO-i-methyl ⁇ -benzimidazolyl- aminolbenzylM-methylcyclohexylamide
- the sub-title compound was prepared from te/f-butyl 4-chloro-3-isothiocyanato- benzylcarbamate (see Example 2d) and methyl 3-amino-4-methylaminobenzoate according to Example 3, step (g).
- step (e) Methyl 2-[5-(aminomethyl)-2-chlorophenylamino1-1-methylbenzo[d1imidazole-5- carboxylate
- the sub-title compound was prepared from methyl 2- ⁇ 5-[(te/f-butoxycarbonyl- amino)methyl]-2-chlorophenylamino ⁇ -1 -methylbenzimidazole-5-carboxylate in accordance with the procedure in Example 10, step (a).
- the sub-title compound was prepared from methyl 2-[5-(aminomethyl)-2-chloro- phenylamino]-1-methylbenzo[d]imidazole-5-carboxylate, and 1-trifluoromethylcyc- lopropylcarboxylic acid and TBTU in accordance with the procedure in Example 3, step (e).
- Me ⁇ AI in toluene (0.870 ml_; 2 M; 1.74 mmol) was added to a solution of 4-bromoaniline (0.180 g; 1.05 mmol) in 1 ,4-dioxane (5 ml.) and the mixture was stirred for 20 min at rt.
- the title compound was prepared from 2-(2-chloro-5- ⁇ [(1-trifluoromethyl- cyclopropanecarbony ⁇ -aminol-methylj-phenylamino ⁇ -methoxy-i-methyl-i /-/- benzimidazole-5-carboxylic acid (92 mg; 0.19 mmol) and 4-bromoaniline (33 mg; 0.19 mmol) in accordance with Example 59, step (a). Yield: 73 mg (59%).
- the sub-title compound was prepared in accordance with the procedure in Example 72, step (c) using (4-fluoro-3-nitrophenyl)methylamine hydrochloride (3.0 g; 14.5 mmol), 1- (trifluoromethyl)-cyclopropanecarboxylic acid (2.5 g; 16.0 mmol), HBTU (6.07 g; 16.0 mmol), TEA (5.88 g; 58.1 mmol) and DMF (50 ml_). Yield: 3.8 g (85%).
- the sub-title compound was prepared in accordance with the procedure in Example 2, step (b) using N-(4-fluoro-3-nitrobenzyl)-1-(trifluoromethyl)-cyclopropanecarboxamide (3.77 g; 12.3 mmol), Fe (3.45 g; 61.6 mmol), NH 4 CI (aq, sat, 30 mL) and EtOH (30 ml_). Yield: 3.2 g (76%).
- the sub-title compound was prepared in accordance with Example 59 (g) using ethyl 4- amino-2-(2,2-difluoroethoxy)-5-nitrobenzoate (1.00 g; 3.44 mmol), Ra-Ni (1.0 g) and THF (50 ml_). The sub-title compound was used in the next step without further purification.
- the sub-title compound was prepared in accordance with Example 59 (h) using ethyl 4,5- diamino-2-(2,2-difluoroethoxy)benzoate (0.466 g; 1.79 mmol; crude material from step (c)), N-(4-chloro-3-isothiocyanatobenzyl)-1-(trifluoromethyl)cyclopropane carboxamide (0.600 g; 1.79 mmol), DIC (0.226 g; 1.79 mmol) and THF (40 ml_). Yield: 0.620 g (62%).
- the sub-title compound was prepared in accordance with the procedure in Example 59, step (a) using 4-amino-2-methoxy-5-nitrobenzoic acid (2.0 g; 9.43 mmol), TBTU (3.33 g; 10.4 mmol), TEA (2.9 ml_; 20.8 mmol), 4-bromoaniline (1.62 g; 9.43 mmol) and DMF (70 ml_). Yield: 3.41 g (99%).
- the sub-title compound was prepared in accordance with the procedure in Example 2, step (b) using N-(4-bromophenyl)-4-(2-(dimethylamino)ethylamino)-3-nitrobenzamide (560 mg; 1.38 mmol), Fe (384 mg; 6.88 mmol), NH 4 CI (aq, sat, 10 ml.) and EtOH (10 ml_). Yield: 475 mg (91 %).
- the sub-title compound was prepared in accordance with the procedure in Example 59, step (g) using tert-butyl N-[5-cyano-2-(trifluoromethyl)phenyl]-carbamate (8.5 g; 29.7 mmol), Ra-Ni (174 mg; 2.97 mmol), H 2 (5 atm) and THF (60 ml_). Yield: 8 g (93%).
- the sub-title compound was prepared in accordance with the procedure in Example 72, step (a) using 4-chloro-2-fluoro-5-isothiocyanatobenzonitrile (270 mg; 1.27 mmol), 5- amino-2-(2,2-difluoroethoxy)-4-(methylamino)-N-((trans)-4-
- the sub-title compound was prepared from crude 3-nitro-4-trifluoromethyl-benzylamine with di-tertbutyl-dicarbonate in analogy to example 2a.
- the sub-title compound was prepared from tert.-butyl-N-(3-nitro-4-trifluoromethyl- benzyl)carbamate with powdered iron in analogy to example 2b.
- the title compound was prepared from 2-(5-aminomethyl-2-trifluoromethyl-phenylamino)- ⁇ -methoxy-N- ⁇ rans ⁇ -trifluoromethyl-cyclohex-i-yO-I H-benzotdlimidazole- ⁇ -carboxamide and 2-tert.butoxycarbonylamino-3,3,3-trifluoro-propionic acid with TBTU, and TEA in THF in analogy to example 3e..
- the title compound was prepared from 2-(5- ⁇ [(2-tert.Butoxycarbonylamino-3,3,3-trifluoro- propionyl)amino]methyl ⁇ -2-trifluoromethyl-phenylamino)-6-methoxy-N-(trans-4- trifluoromethyl-cyclohex-i-yO-I H-benzofdlimidazole-S-carboxamide and_6M HCI in THF in analogy to example 2e L
- the sub-title compound was prepared from 5-nitro-2-(2,2-difluoroethoxy)-4-(methylamino)- N-(trans-4-trifluoromethyl-cyclohex-1-yl)-benzamide, hydrogen and Pd /C in analogy to example 86c.
- the sub-title compound was prepared from N-(3-amino-4-methoxy-benzyl)-pivaloyl amide with 1 ,1 '-thiocarbonyldi-2-pyridone in analogy to example 1 d. Yield: 99%; MS m/z: 279 [M+H]+.
Landscapes
- Chemical & Material Sciences (AREA)
- Organic Chemistry (AREA)
- Health & Medical Sciences (AREA)
- General Health & Medical Sciences (AREA)
- Veterinary Medicine (AREA)
- General Chemical & Material Sciences (AREA)
- Medicinal Chemistry (AREA)
- Nuclear Medicine, Radiotherapy & Molecular Imaging (AREA)
- Chemical Kinetics & Catalysis (AREA)
- Pharmacology & Pharmacy (AREA)
- Life Sciences & Earth Sciences (AREA)
- Animal Behavior & Ethology (AREA)
- Public Health (AREA)
- Pain & Pain Management (AREA)
- Engineering & Computer Science (AREA)
- Bioinformatics & Cheminformatics (AREA)
- Rheumatology (AREA)
- Biomedical Technology (AREA)
- Neurology (AREA)
- Neurosurgery (AREA)
- Pulmonology (AREA)
- Pharmaceuticals Containing Other Organic And Inorganic Compounds (AREA)
- Nitrogen Condensed Heterocyclic Rings (AREA)
- Plural Heterocyclic Compounds (AREA)
- Macromolecular Compounds Obtained By Forming Nitrogen-Containing Linkages In General (AREA)
Abstract
Description
Claims
Priority Applications (23)
| Application Number | Priority Date | Filing Date | Title |
|---|---|---|---|
| SG2011063765A SG174250A1 (en) | 2009-03-05 | 2010-03-05 | 3h-imidazo [4, 5 -c] pyridine- 6 -carboxamides as anti- inflammatory agents |
| MX2011008948A MX2011008948A (en) | 2009-03-05 | 2010-03-05 | 3h-imidazo [4, 5 -c] pyridine- 6 -carboxamides as anti- inflammatory agents. |
| CN201080010352.5A CN102341395B (en) | 2009-03-05 | 2010-03-05 | 3H-imidazo [4,5-c ] pyridine-6-carboxamides as anti-inflammatory agents |
| EP10706659.9A EP2403852B8 (en) | 2009-03-05 | 2010-03-05 | 2-aminobenzimidazole-5-carboxamides as anti-inflammatory agents |
| HK12103284.5A HK1163064B (en) | 2009-03-05 | 2010-03-05 | 3h-imidazo[4,5-c]pyridine-6-carboxamides as anti-inflammatory agents |
| AP2011005807A AP2806A (en) | 2009-03-05 | 2010-03-05 | 3H-imidazo[4,5-C] pyridine-6-carboxamides as anti-infammatory agents |
| AU2010220263A AU2010220263B2 (en) | 2009-03-05 | 2010-03-05 | 3H-imidazo [4, 5 -C] pyridine- 6 -carboxamides as anti- inflammatory agents |
| NZ594589A NZ594589A (en) | 2009-03-05 | 2010-03-05 | 3h-imidazo [4, 5 -c] pyridine- 6 -carboxamides as anti- inflammatory agents |
| MA34131A MA33239B1 (en) | 2009-03-05 | 2010-03-05 | 3h Imidazo - [4,5-c] pyridine-6-carboxamide as an anti-inflammatory |
| EA201101243A EA020282B1 (en) | 2009-03-05 | 2010-03-05 | Benzimidazole derivatives as anti- inflammatory agents |
| MEP-2015-11A ME02117B (en) | 2009-03-05 | 2010-03-05 | 2-aminobenzimidazole-5-carboxamides as anti-inflammatory agents |
| DK10706659.9T DK2403852T3 (en) | 2009-03-05 | 2010-03-05 | 2-aminobenzimidazole-5-carboxamides as anti-INFLAMMATORY AGENTS |
| ES10706659.9T ES2528730T3 (en) | 2009-03-05 | 2010-03-05 | 2-aminobenzoimidazol-5-carboxamides as anti-inflammatory agents |
| JP2011552460A JP5433708B2 (en) | 2009-03-05 | 2010-03-05 | 3H-imidazo [4,5-C] pyridine-6-carboxamide as anti-inflammatory agent |
| HRP20150096AT HRP20150096T1 (en) | 2009-03-05 | 2010-03-05 | 2-AMINOBENZIMIDAZOL-5-CARBOXAMIDES AS ANTI-INFLAMMATION AGENTS |
| PL10706659T PL2403852T3 (en) | 2009-03-05 | 2010-03-05 | 2-aminobenzimidazole-5-carboxamides as anti-inflammatory agents |
| BRPI1009118A BRPI1009118A2 (en) | 2009-03-05 | 2010-03-05 | 3h-imidazo [4,5-c] pyridine-6-carboxamides as anti-inflammatory agents |
| CA2753149A CA2753149A1 (en) | 2009-03-05 | 2010-03-05 | 3h-imidazo [4, 5 -c] pyridine-6-carboxamides as anti-inflammatory agents |
| SI201030855T SI2403852T1 (en) | 2009-03-05 | 2010-03-05 | 2-aminobenzimidazole-5-carboxamides as anti-inflammatory agents |
| RS20150066A RS53757B1 (en) | 2009-03-05 | 2010-03-05 | 2-AMINOBENZIMIDAZOL-5-KARBOKSAMIDI KAO ANTI-INFLAMATORN AGENT |
| IL214033A IL214033A0 (en) | 2009-03-05 | 2011-07-12 | 3h-imidazo[4,5-c]pyridine-6-caboxamides as anti-inflammatory agents |
| TN2011000446A TN2011000446A1 (en) | 2009-03-05 | 2011-09-02 | 3h-imidazo [4,5-c]pyridine-6-carboxamides as anti-inflammatory agents |
| SM201500053T SMT201500053B (en) | 2009-03-05 | 2015-03-09 | 2-Aminobenzimidazol-5-carboxamides as native-inflammatory agents |
Applications Claiming Priority (4)
| Application Number | Priority Date | Filing Date | Title |
|---|---|---|---|
| EP09154414.8 | 2009-03-05 | ||
| EP09154414 | 2009-03-05 | ||
| EP09179618 | 2009-12-17 | ||
| EP09179618.5 | 2009-12-17 |
Publications (1)
| Publication Number | Publication Date |
|---|---|
| WO2010100249A1 true WO2010100249A1 (en) | 2010-09-10 |
Family
ID=42111729
Family Applications (1)
| Application Number | Title | Priority Date | Filing Date |
|---|---|---|---|
| PCT/EP2010/052799 Ceased WO2010100249A1 (en) | 2009-03-05 | 2010-03-05 | 3h-imidazo [4, 5 -c] pyridine- 6 -carboxamides as anti- inflammatory agents |
Country Status (36)
| Country | Link |
|---|---|
| US (3) | US20100256188A1 (en) |
| EP (1) | EP2403852B8 (en) |
| JP (1) | JP5433708B2 (en) |
| KR (1) | KR20110123764A (en) |
| CN (1) | CN102341395B (en) |
| AP (1) | AP2806A (en) |
| AR (1) | AR075789A1 (en) |
| AU (1) | AU2010220263B2 (en) |
| BR (1) | BRPI1009118A2 (en) |
| CA (1) | CA2753149A1 (en) |
| CL (1) | CL2011002180A1 (en) |
| CO (1) | CO6450668A2 (en) |
| CY (1) | CY1115959T1 (en) |
| DK (1) | DK2403852T3 (en) |
| EA (1) | EA020282B1 (en) |
| EC (1) | ECSP11011324A (en) |
| ES (1) | ES2528730T3 (en) |
| GE (1) | GEP20146034B (en) |
| HR (1) | HRP20150096T1 (en) |
| IL (1) | IL214033A0 (en) |
| MA (1) | MA33239B1 (en) |
| ME (1) | ME02117B (en) |
| MX (1) | MX2011008948A (en) |
| MY (1) | MY161092A (en) |
| NZ (1) | NZ594589A (en) |
| PE (1) | PE20120589A1 (en) |
| PL (1) | PL2403852T3 (en) |
| PT (1) | PT2403852E (en) |
| RS (1) | RS53757B1 (en) |
| SG (1) | SG174250A1 (en) |
| SI (1) | SI2403852T1 (en) |
| SM (1) | SMT201500053B (en) |
| TN (1) | TN2011000446A1 (en) |
| TW (1) | TWI466869B (en) |
| UY (1) | UY32470A (en) |
| WO (1) | WO2010100249A1 (en) |
Cited By (66)
| Publication number | Priority date | Publication date | Assignee | Title |
|---|---|---|---|---|
| WO2012022792A1 (en) * | 2010-08-20 | 2012-02-23 | Boehringer Ingelheim International Gmbh | 2-(arylamino)-3h-imidazo[4,5-b]pyridine-6-carboxamide derivatives and their use as mpges-1 inhibitors |
| WO2012055995A1 (en) | 2010-10-29 | 2012-05-03 | Glenmark Pharmaceuticals S.A. | Tricyclic compounds as mpges-1 inhibitors |
| WO2012076673A1 (en) | 2010-12-10 | 2012-06-14 | Boehringer Ingelheim International Gmbh | 6-amino-2-phenylamino-1h-benzimidazole-5-carboxamide- derivatives and their use as microsomal prostaglandin e2 synthase-1 inhibitors |
| WO2012076674A1 (en) | 2010-12-10 | 2012-06-14 | Boehringer Ingelheim International Gmbh | Imidazo(4,5-b)pyridine-6-carboxamides as anti-inflammatory agents |
| WO2012076672A1 (en) | 2010-12-10 | 2012-06-14 | Boehringer Ingelheim International Gmbh | 2 -aminobenz imidazole derivatives useful in the treatment of inflammation |
| US8252831B2 (en) | 2010-12-21 | 2012-08-28 | Eli Lilly And Company | Imidazole-2-benzamide compounds useful for the treatment of osteoarthritis |
| WO2013038308A1 (en) | 2011-09-15 | 2013-03-21 | Glenmark Pharmaceuticals S.A. | SUBSTITUTED BICYCLIC HETEROARYL COMPOUNDS AS mPGES-1 INHIBITORS |
| CN103097359A (en) * | 2010-08-20 | 2013-05-08 | 贝林格尔.英格海姆国际有限公司 | New compounds |
| WO2013072825A1 (en) | 2011-11-16 | 2013-05-23 | Glenmark Pharmaceuticals S.A. | Phtalazinone derivatives as mpegs -1 inhibitors |
| WO2013153535A1 (en) | 2012-04-13 | 2013-10-17 | Glenmark Pharmaceuticals S.A. | TRICYCLIC COMPOUNDS AS mPGES-1 INHIBITORS |
| US8598190B2 (en) | 2008-09-25 | 2013-12-03 | Boehringer Ingelheim International Gmbh | 3H-imidazo [4, 5-C] pyridine-6-carboxamides as anti-inflammatory agents |
| WO2013186692A1 (en) | 2012-06-15 | 2013-12-19 | Glenmark Pharmaceuticals S.A. | TRIAZOLONE COMPOUNDS AS mPGES-1 INHIBITORS |
| US8648200B2 (en) | 2011-05-26 | 2014-02-11 | Eli Lilly And Company | Imidazole derivatives useful for the treatment of arthritis |
| CN104066730A (en) * | 2011-10-14 | 2014-09-24 | 埃姆比特生物科学公司 | Heterocyclic compounds and their use as modulators of type III receptor tyrosine kinases |
| WO2014167444A1 (en) | 2013-04-08 | 2014-10-16 | Glenmark Pharmaceuticals S.A. | SUBSTITUTED BICYCLIC COMPOUNDS AS mPGES-1 INHIBITORS |
| WO2014204370A1 (en) * | 2013-06-20 | 2014-12-24 | Cadila Pharmaceuticals Ltd. | Novel piperidinyl benzoimidazole derivatives as mpges-1 inhibitors |
| US8921405B2 (en) | 2009-03-05 | 2014-12-30 | Orexo Ab | Compounds |
| US20150079035A1 (en) * | 2012-04-02 | 2015-03-19 | The Trustees Of Columbia University In The City Of New York | Compounds, Compositions, and Methods For Modulating Ferroptosis and Treating Excitotoxic Disorders |
| US9006257B2 (en) | 2012-02-09 | 2015-04-14 | Glenmark Pharmaceuticals S.A. | Bicyclic compounds as mPGES-1 inhibitors |
| WO2015059618A1 (en) | 2013-10-22 | 2015-04-30 | Glenmark Pharmaceuticals S.A. | SUBSTITUTED PYRIMIDINE COMPOUNDS AS mPGES-1 INHIBITORS |
| WO2016016861A1 (en) | 2014-08-01 | 2016-02-04 | Glenmark Pharmaceuticals S.A. | Nanoparticulate formulation comprising a mpges-1 inhibitor |
| WO2016198322A1 (en) | 2015-06-08 | 2016-12-15 | Bayer Pharma Aktiengesellschaft | N-menthylbenzimidazoles as midh1 inhibitors |
| WO2017009325A1 (en) | 2015-07-16 | 2017-01-19 | Bayer Pharma Aktiengesellschaft | 5-hydroxyalkylbenzimidazoles as midh1 inhibitors |
| WO2017144909A1 (en) * | 2016-02-25 | 2017-08-31 | Gesynta Pharma Ab | Methods of treating diseases characterised by vasoconstriction |
| US9951027B2 (en) | 2014-02-11 | 2018-04-24 | Bayer Pharma Aktiengesellschaft | Benzimidazol-2-amines as MIDH1 inhibitors |
| US9957235B2 (en) | 2014-02-11 | 2018-05-01 | Bayer Pharma Aktiengesellschaft | Benzimidazol-2-amines as mIDH1 inhibitors |
| US10138226B2 (en) | 2014-10-23 | 2018-11-27 | Bayer Pharma Aktiengesellschaft | Benzimidazol-2-amines as MIDH1 inhibitors |
| US10137110B2 (en) | 2014-10-23 | 2018-11-27 | Bayer Pharma Aktiengesellschaft | 1-cyclohexyl-2-phenylaminobenzimidazoles as mIDH1 inhibitors for the treatment of tumors |
| WO2019101826A1 (en) | 2017-11-22 | 2019-05-31 | Khondrion Ip B.V. | Compounds as mpges-1 inhibitors |
| WO2020263830A1 (en) | 2019-06-25 | 2020-12-30 | Gilead Sciences, Inc. | Flt3l-fc fusion proteins and methods of use |
| WO2021076908A1 (en) | 2019-10-18 | 2021-04-22 | Forty Seven, Inc. | Combination therapies for treating myelodysplastic syndromes and acute myeloid leukemia |
| WO2021087064A1 (en) | 2019-10-31 | 2021-05-06 | Forty Seven, Inc. | Anti-cd47 and anti-cd20 based treatment of blood cancer |
| WO2021096860A1 (en) | 2019-11-12 | 2021-05-20 | Gilead Sciences, Inc. | Mcl1 inhibitors |
| WO2021130638A1 (en) | 2019-12-24 | 2021-07-01 | Carna Biosciences, Inc. | Diacylglycerol kinase modulating compounds |
| WO2021163064A2 (en) | 2020-02-14 | 2021-08-19 | Jounce Therapeutics, Inc. | Antibodies and fusion proteins that bind to ccr8 and uses thereof |
| WO2021222522A1 (en) | 2020-05-01 | 2021-11-04 | Gilead Sciences, Inc. | Cd73 inhibiting 2,4-dioxopyrimidine compounds |
| WO2022221304A1 (en) | 2021-04-14 | 2022-10-20 | Gilead Sciences, Inc. | CO-INHIBITION OF CD47/SIRPα BINDING AND NEDD8-ACTIVATING ENZYME E1 REGULATORY SUBUNIT FOR THE TREATMENT OF CANCER |
| WO2022245671A1 (en) | 2021-05-18 | 2022-11-24 | Gilead Sciences, Inc. | Methods of using flt3l-fc fusion proteins |
| WO2022271650A1 (en) | 2021-06-23 | 2022-12-29 | Gilead Sciences, Inc. | Diacylglyercol kinase modulating compounds |
| WO2022271677A1 (en) | 2021-06-23 | 2022-12-29 | Gilead Sciences, Inc. | Diacylglyercol kinase modulating compounds |
| WO2022271659A1 (en) | 2021-06-23 | 2022-12-29 | Gilead Sciences, Inc. | Diacylglyercol kinase modulating compounds |
| WO2022271684A1 (en) | 2021-06-23 | 2022-12-29 | Gilead Sciences, Inc. | Diacylglyercol kinase modulating compounds |
| WO2023077030A1 (en) | 2021-10-29 | 2023-05-04 | Gilead Sciences, Inc. | Cd73 compounds |
| WO2023122615A1 (en) | 2021-12-22 | 2023-06-29 | Gilead Sciences, Inc. | Ikaros zinc finger family degraders and uses thereof |
| WO2023122581A2 (en) | 2021-12-22 | 2023-06-29 | Gilead Sciences, Inc. | Ikaros zinc finger family degraders and uses thereof |
| WO2023147418A1 (en) | 2022-01-28 | 2023-08-03 | Gilead Sciences, Inc. | Parp7 inhibitors |
| EP4245756A1 (en) | 2022-03-17 | 2023-09-20 | Gilead Sciences, Inc. | Ikaros zinc finger family degraders and uses thereof |
| WO2023183817A1 (en) | 2022-03-24 | 2023-09-28 | Gilead Sciences, Inc. | Combination therapy for treating trop-2 expressing cancers |
| WO2023196784A1 (en) | 2022-04-05 | 2023-10-12 | Gilead Sciences, Inc. | Combinations of antibody therapies for treating colorectal cancer |
| WO2023205719A1 (en) | 2022-04-21 | 2023-10-26 | Gilead Sciences, Inc. | Kras g12d modulating compounds |
| WO2024006929A1 (en) | 2022-07-01 | 2024-01-04 | Gilead Sciences, Inc. | Cd73 compounds |
| WO2024064668A1 (en) | 2022-09-21 | 2024-03-28 | Gilead Sciences, Inc. | FOCAL IONIZING RADIATION AND CD47/SIRPα DISRUPTION ANTICANCER COMBINATION THERAPY |
| US11993613B2 (en) | 2022-03-31 | 2024-05-28 | Abbvie Inc. | Thiazolo[5,4-b]pyridine MALT-1 inhibitors |
| WO2024137852A1 (en) | 2022-12-22 | 2024-06-27 | Gilead Sciences, Inc. | Prmt5 inhibitors and uses thereof |
| WO2024215754A1 (en) | 2023-04-11 | 2024-10-17 | Gilead Sciences, Inc. | Kras modulating compounds |
| WO2024220917A1 (en) | 2023-04-21 | 2024-10-24 | Gilead Sciences, Inc. | Prmt5 inhibitors and uses thereof |
| WO2025006720A1 (en) | 2023-06-30 | 2025-01-02 | Gilead Sciences, Inc. | Kras modulating compounds |
| WO2025024663A1 (en) | 2023-07-26 | 2025-01-30 | Gilead Sciences, Inc. | Parp7 inhibitors |
| WO2025024811A1 (en) | 2023-07-26 | 2025-01-30 | Gilead Sciences, Inc. | Parp7 inhibitors |
| WO2025054530A1 (en) | 2023-09-08 | 2025-03-13 | Gilead Sciences, Inc. | Pyrimidine-containing polycyclic derivatives as kras g12d modulating compounds |
| WO2025054347A1 (en) | 2023-09-08 | 2025-03-13 | Gilead Sciences, Inc. | Kras g12d modulating compounds |
| WO2025096589A1 (en) | 2023-11-03 | 2025-05-08 | Gilead Sciences, Inc. | Prmt5 inhibitors and uses thereof |
| WO2025137640A1 (en) | 2023-12-22 | 2025-06-26 | Gilead Sciences, Inc. | Azaspiro wrn inhibitors |
| WO2025245003A1 (en) | 2024-05-21 | 2025-11-27 | Gilead Sciences, Inc. | Prmt5 inhibitors and uses thereof |
| WO2026039365A1 (en) | 2024-08-12 | 2026-02-19 | Gilead Sciences, Inc. | Kras modulating compounds |
| US12599589B2 (en) | 2019-12-25 | 2026-04-14 | Nippon Shinyaku Co., Ltd. | Prophylactic and/or therapeutic agent for chronic prostatitis/chronic pelvic pain syndrome |
Families Citing this family (18)
| Publication number | Priority date | Publication date | Assignee | Title |
|---|---|---|---|---|
| CN103450329B (en) * | 2012-05-29 | 2015-05-27 | 首都医科大学 | 3H-imidazo[4,5-c]pyridine-6-formyl-amido acid benzyl esters and their synthesis, anti-tumor activity and use |
| CN105198959B (en) * | 2014-06-13 | 2018-09-07 | 首都医科大学 | Imidazopyridine -6- formyls-Met-Glu (OBzl)2, synthesis, active and application |
| CN105198960B (en) * | 2014-06-13 | 2018-10-19 | 首都医科大学 | Imidazopyridine -6- formyl-Met-AA-OBzl, synthesis, activity and application |
| CN105294829B (en) * | 2014-06-13 | 2018-07-27 | 首都医科大学 | Imidazopyridine -6- formyls-amino-acid benzyl ester, synthesis, activity and application |
| CN105315326A (en) * | 2014-07-10 | 2016-02-10 | 首都医科大学 | Imidazopyridly-6-formyl-aminoacid benzyl ester, and synthesis, activity and application thereof |
| CN105315335A (en) * | 2014-07-10 | 2016-02-10 | 首都医科大学 | Imidazopyridly-6-formyl-Met-Gln-OBzl, and synthesis, activity and application thereof |
| CN105315325A (en) * | 2014-07-10 | 2016-02-10 | 首都医科大学 | Imidazopyridine-6-formyl-Met-Arg(NO2)-OBzl, Its Synthesis, Activity and Application |
| TW201627299A (en) | 2014-10-29 | 2016-08-01 | 美國禮來大藥廠 | Novel carboxylic acid compound for inhibiting microsomal prostaglandin E synthetase 1 |
| JO3581B1 (en) * | 2014-10-29 | 2020-07-05 | Lilly Co Eli | Novel Methyl-Piperidine Compounds Useful for Inhibiting Microsomal Prostaglandin E2 Synthase-1 |
| EP3877371A4 (en) | 2018-11-07 | 2022-07-27 | Dana-Farber Cancer Institute, Inc. | IMIDAZOPYRIDINE DERIVATIVES AND AZA-IMIDAZOPYRIDINE DERIVATIVES USED AS JANUS KINASE 2 INHIBITORS AND ASSOCIATED USES |
| WO2020097398A1 (en) | 2018-11-07 | 2020-05-14 | Dana-Farber Cancer Institute, Inc. | Benzothiazole derivatives and 7-aza-benzothiazole derivatives as janus kinase 2 inhibitors and uses thereof |
| WO2020097396A1 (en) | 2018-11-07 | 2020-05-14 | Dana-Farber Cancer Institute, Inc. | Benzimidazole derivatives and aza-benzimidazole derivatives as janus kinase 2 inhibitors and uses thereof |
| KR102711104B1 (en) * | 2019-08-26 | 2024-09-27 | 국제약품 주식회사 | Indole Carboxamide Derivative and Pharmaceutical Composition Comprising the Same |
| CA3181537A1 (en) | 2020-05-06 | 2021-11-11 | Ajax Therapeutics, Inc. | 6-heteroaryloxy benzimidazoles and azabenzimidazoles as jak2 inhibitors |
| EP4267574B1 (en) | 2020-12-23 | 2025-04-23 | Ajax Therapeutics, Inc. | 6-heteroaryloxy benzimidazoles and azabenzimidazoles as jak2 inhibitors |
| US20220378771A1 (en) * | 2021-05-25 | 2022-12-01 | Louis Habash | Modifying the expression level of a gene encoding an cyclooxygenase enzyme by treating a human subject with a nitroxide |
| JP7782035B2 (en) | 2021-11-09 | 2025-12-08 | エイジャックス セラピューティクス, インコーポレイテッド | 6-Heteroaryloxybenzimidazoles and azabenzimidazoles as JAK2 inhibitors |
| TW202325289A (en) | 2021-11-09 | 2023-07-01 | 美商雅捷可斯治療公司 | Forms and compositions of inhibitors of jak2 |
Citations (17)
| Publication number | Priority date | Publication date | Assignee | Title |
|---|---|---|---|---|
| WO2000049005A1 (en) * | 1999-02-16 | 2000-08-24 | Aventis Pharma Limited | Bicyclic compounds and their use as integrin receptor ligands |
| WO2000061580A1 (en) * | 1999-04-12 | 2000-10-19 | Aventis Pharma Limited | Substituted bicyclic heteroaryl compounds as integrin antagonists |
| WO2000068213A1 (en) * | 1999-05-05 | 2000-11-16 | Aventis Pharma Limited | Substituted bicyclic compounds |
| WO2001025238A2 (en) * | 1999-10-06 | 2001-04-12 | Boehringer Ingelheim Pharmaceuticals, Inc. | Heterocyclic compounds useful as inhibitors of tyrosine kinases |
| WO2003053939A1 (en) * | 2001-12-21 | 2003-07-03 | Societe De Conseils De Recherches Et D'applications Scientifiques (S.C.R.A.S.) | Benzimidazole derivatives and their use as gnrh antagonists |
| FR2851563A1 (en) * | 2003-02-26 | 2004-08-27 | Sod Conseils Rech Applic | Benzimidazole and imidazo-pyridine derivatives, useful in treatment of obesity, cachexia, anorexia, anxiety, depression, pain, and erectile dysfunction, have affinity for melanocortin receptors |
| FR2852957A1 (en) * | 2003-03-31 | 2004-10-01 | Sod Conseils Rech Applic | NOVEL IMIDAZO-PYRIDINE DERIVATIVES AND THEIR USE AS A MEDICINAL PRODUCT |
| WO2005070906A1 (en) * | 2004-01-21 | 2005-08-04 | Novartis Ag | Organic compounds |
| WO2005070920A1 (en) * | 2004-01-21 | 2005-08-04 | Bristol-Myers Squibb Company | Amino-benzazoles as p2y1 receptor inhibitors |
| WO2006077366A1 (en) * | 2005-01-19 | 2006-07-27 | Biolipox Ab | Indoles useful in the treatment of inflammation |
| US20060287344A1 (en) * | 2005-01-13 | 2006-12-21 | Albers Ronald J | Haloaryl substituted aminopurines, compositions thereof, and methods of treatment therewith |
| US20070060598A1 (en) * | 2005-01-13 | 2007-03-15 | Albers Ronald J | Haloaryl substituted aminopurines, compositions thereof, and methods of treatment therewith |
| WO2007095124A2 (en) * | 2006-02-10 | 2007-08-23 | Transtech Pharma, Inc. | Benzazole derivatives, compositions, and methods of use as aurora kinase inhibitors |
| WO2007124589A1 (en) | 2006-05-02 | 2007-11-08 | Merck Frosst Canada Ltd. | Methods for treating or preventing neoplasias |
| WO2008009924A2 (en) * | 2006-07-18 | 2008-01-24 | Biolipox Ab | Indoles useful in the treatment of inflammation |
| WO2008071944A1 (en) * | 2006-12-14 | 2008-06-19 | Boehringer Ingelheim International Gmbh | Benzoxazoles useful in the treatment of inflammation |
| WO2010034796A1 (en) * | 2008-09-25 | 2010-04-01 | Boehringer Ingelheim International Gmbh | 1h-benz imidazole-5-carboxamides as anti-inflammatory agents |
Family Cites Families (23)
| Publication number | Priority date | Publication date | Assignee | Title |
|---|---|---|---|---|
| DE3006671A1 (en) | 1980-02-22 | 1981-08-27 | Dr. Karl Thomae Gmbh, 7950 Biberach | NEW BENZOXAZOLES, THEIR PRODUCTION AND THEIR USE AS MEDICINAL PRODUCTS |
| FI91859C (en) | 1987-06-17 | 1994-08-25 | Eisai Co Ltd | Analogue method for the preparation of an active benzothiazole derivative as an antiallergic agent |
| JPH06759B2 (en) | 1989-09-22 | 1994-01-05 | ファイザー製薬株式会社 | Novel benzimidazole compound |
| WO2000015612A1 (en) | 1998-08-26 | 2000-03-23 | Aventis Pharma Limited | Aza-bicycles which modulate the inhibition of cell adhesion |
| US6340681B1 (en) | 1999-07-16 | 2002-01-22 | Pfizer Inc | 2-benzimidazolylamine compounds as ORL-1-receptor agonists |
| AU2003220970A1 (en) | 2002-03-01 | 2003-09-16 | Smithkline Beecham Corporation | Diamino-pyrimidines and their use as angiogenesis inhibitors |
| NZ535985A (en) | 2002-03-29 | 2007-04-27 | Chiron Corp | Substituted benzazoles and use thereof as RAF kinase inhibitors |
| US7037902B2 (en) | 2002-07-03 | 2006-05-02 | Receptron, Inc. | Affinity small molecules for the EPO receptor |
| WO2004035740A2 (en) | 2002-10-15 | 2004-04-29 | Synta Pharmaceuticals Corp. | Aromatic bicyclic heterocyles to modulate 1l - 12 production |
| US7265138B2 (en) | 2003-02-10 | 2007-09-04 | Amgen Inc. | Vanilloid receptor ligands and their use in treatments |
| US7531553B2 (en) | 2003-03-21 | 2009-05-12 | Amgen Inc. | Heterocyclic compounds and methods of use |
| US7329682B2 (en) * | 2003-04-03 | 2008-02-12 | Ewha University-Industry Collaboration Foundation | Method for inhibiting 5-lipoxygenase using a benzoxazole derivative |
| CA2543707A1 (en) | 2003-10-31 | 2005-05-19 | Takeda Pharmaceutical Company Limited | Nitrogen-containing fused heterocyclic compounds |
| RU2007101703A (en) | 2004-06-18 | 2008-07-27 | Биолипокс Аб (Se) | INDOS USEFUL IN TREATING INFLAMMATION |
| AU2006217742A1 (en) | 2005-02-25 | 2006-08-31 | Kudos Pharmaceuticals Limited | Hydrazinomethyl, HYDR zonomethyl and 5-membered heterocylic compounds which act as MTOR inhibitors and their use as anti cancer agents |
| WO2008035956A1 (en) | 2006-09-22 | 2008-03-27 | Ewha University - Industry Collaboration Foundation | New benzoxazole derivative, process for the preparation thereof and pharmaceutical composition comprising the same |
| WO2008129276A1 (en) | 2007-04-19 | 2008-10-30 | Boehringer Ingelheim International Gmbh | Disulfonamides useful in the treatment of inflammation |
| UY32470A (en) | 2009-03-05 | 2010-10-29 | Boehringer Ingelheim Int | DERIVATIVES OF 2- {2-CHLORINE-5 - [(REPLACED) METHYL] PHENYLAMINE} -1-METHYL] PHENYLAMINE} -1-METHYLBENCIMIDAZOL-5-CARBOXAMIDES-N- (SUBSTITUTED) AND ITS PHYSIOLOGICALLY ACCEPTABLE SALTS, COMPOSITIONS AND APPLIANCE |
| US8586604B2 (en) | 2010-08-20 | 2013-11-19 | Boehringer Ingelheim International Gmbh | Inhibitors of the microsomal prostaglandin E2 synthase-1 |
| US8759537B2 (en) | 2010-08-20 | 2014-06-24 | Boehringer Ingelheim International Gmbh | 3H-imidazo [4, 5-C] pyridine-6-carboxamides as anti-inflammatory agents |
| US8486968B2 (en) | 2010-12-10 | 2013-07-16 | Boehringer Ingelheim International Gmbh | Compounds |
| US8466186B2 (en) | 2010-12-10 | 2013-06-18 | Boehringer Ingelheim International Gmbh | Compounds |
| UY33779A (en) | 2010-12-10 | 2012-07-31 | Boehringer Ingelheim Int | ? 2- (Phenylamino) -1H-benzimidazol-5-carboxamides novel? |
-
2010
- 2010-03-03 UY UY0001032470A patent/UY32470A/en not_active Application Discontinuation
- 2010-03-04 AR ARP100100651A patent/AR075789A1/en unknown
- 2010-03-04 TW TW99106302A patent/TWI466869B/en not_active IP Right Cessation
- 2010-03-04 US US12/717,407 patent/US20100256188A1/en not_active Abandoned
- 2010-03-05 EA EA201101243A patent/EA020282B1/en not_active IP Right Cessation
- 2010-03-05 RS RS20150066A patent/RS53757B1/en unknown
- 2010-03-05 JP JP2011552460A patent/JP5433708B2/en not_active Expired - Fee Related
- 2010-03-05 AU AU2010220263A patent/AU2010220263B2/en not_active Ceased
- 2010-03-05 DK DK10706659.9T patent/DK2403852T3/en active
- 2010-03-05 PT PT107066599T patent/PT2403852E/en unknown
- 2010-03-05 MY MYPI2011004122A patent/MY161092A/en unknown
- 2010-03-05 GE GEAP201012405A patent/GEP20146034B/en unknown
- 2010-03-05 KR KR1020117020598A patent/KR20110123764A/en not_active Ceased
- 2010-03-05 AP AP2011005807A patent/AP2806A/en active
- 2010-03-05 WO PCT/EP2010/052799 patent/WO2010100249A1/en not_active Ceased
- 2010-03-05 ME MEP-2015-11A patent/ME02117B/en unknown
- 2010-03-05 SI SI201030855T patent/SI2403852T1/en unknown
- 2010-03-05 BR BRPI1009118A patent/BRPI1009118A2/en not_active IP Right Cessation
- 2010-03-05 CN CN201080010352.5A patent/CN102341395B/en not_active Expired - Fee Related
- 2010-03-05 NZ NZ594589A patent/NZ594589A/en not_active IP Right Cessation
- 2010-03-05 EP EP10706659.9A patent/EP2403852B8/en active Active
- 2010-03-05 ES ES10706659.9T patent/ES2528730T3/en active Active
- 2010-03-05 MA MA34131A patent/MA33239B1/en unknown
- 2010-03-05 PL PL10706659T patent/PL2403852T3/en unknown
- 2010-03-05 PE PE2011001560A patent/PE20120589A1/en not_active Application Discontinuation
- 2010-03-05 MX MX2011008948A patent/MX2011008948A/en active IP Right Grant
- 2010-03-05 SG SG2011063765A patent/SG174250A1/en unknown
- 2010-03-05 HR HRP20150096AT patent/HRP20150096T1/en unknown
- 2010-03-05 CA CA2753149A patent/CA2753149A1/en not_active Abandoned
-
2011
- 2011-07-12 IL IL214033A patent/IL214033A0/en unknown
- 2011-09-02 TN TN2011000446A patent/TN2011000446A1/en unknown
- 2011-09-05 CL CL2011002180A patent/CL2011002180A1/en unknown
- 2011-09-12 CO CO11117866A patent/CO6450668A2/en active IP Right Grant
- 2011-09-13 EC EC2011011324A patent/ECSP11011324A/en unknown
-
2012
- 2012-04-06 US US13/441,085 patent/US20120196897A1/en not_active Abandoned
-
2013
- 2013-07-15 US US13/942,077 patent/US8921405B2/en active Active
-
2015
- 2015-01-27 CY CY20151100083T patent/CY1115959T1/en unknown
- 2015-03-09 SM SM201500053T patent/SMT201500053B/en unknown
Patent Citations (20)
| Publication number | Priority date | Publication date | Assignee | Title |
|---|---|---|---|---|
| WO2000049005A1 (en) * | 1999-02-16 | 2000-08-24 | Aventis Pharma Limited | Bicyclic compounds and their use as integrin receptor ligands |
| WO2000061580A1 (en) * | 1999-04-12 | 2000-10-19 | Aventis Pharma Limited | Substituted bicyclic heteroaryl compounds as integrin antagonists |
| WO2000068213A1 (en) * | 1999-05-05 | 2000-11-16 | Aventis Pharma Limited | Substituted bicyclic compounds |
| WO2001025238A2 (en) * | 1999-10-06 | 2001-04-12 | Boehringer Ingelheim Pharmaceuticals, Inc. | Heterocyclic compounds useful as inhibitors of tyrosine kinases |
| WO2003053939A1 (en) * | 2001-12-21 | 2003-07-03 | Societe De Conseils De Recherches Et D'applications Scientifiques (S.C.R.A.S.) | Benzimidazole derivatives and their use as gnrh antagonists |
| FR2851563A1 (en) * | 2003-02-26 | 2004-08-27 | Sod Conseils Rech Applic | Benzimidazole and imidazo-pyridine derivatives, useful in treatment of obesity, cachexia, anorexia, anxiety, depression, pain, and erectile dysfunction, have affinity for melanocortin receptors |
| FR2852957A1 (en) * | 2003-03-31 | 2004-10-01 | Sod Conseils Rech Applic | NOVEL IMIDAZO-PYRIDINE DERIVATIVES AND THEIR USE AS A MEDICINAL PRODUCT |
| WO2005070906A1 (en) * | 2004-01-21 | 2005-08-04 | Novartis Ag | Organic compounds |
| WO2005070920A1 (en) * | 2004-01-21 | 2005-08-04 | Bristol-Myers Squibb Company | Amino-benzazoles as p2y1 receptor inhibitors |
| US20060287344A1 (en) * | 2005-01-13 | 2006-12-21 | Albers Ronald J | Haloaryl substituted aminopurines, compositions thereof, and methods of treatment therewith |
| US20070060598A1 (en) * | 2005-01-13 | 2007-03-15 | Albers Ronald J | Haloaryl substituted aminopurines, compositions thereof, and methods of treatment therewith |
| WO2006077366A1 (en) * | 2005-01-19 | 2006-07-27 | Biolipox Ab | Indoles useful in the treatment of inflammation |
| WO2007095124A2 (en) * | 2006-02-10 | 2007-08-23 | Transtech Pharma, Inc. | Benzazole derivatives, compositions, and methods of use as aurora kinase inhibitors |
| WO2007124589A1 (en) | 2006-05-02 | 2007-11-08 | Merck Frosst Canada Ltd. | Methods for treating or preventing neoplasias |
| WO2008009924A2 (en) * | 2006-07-18 | 2008-01-24 | Biolipox Ab | Indoles useful in the treatment of inflammation |
| WO2008071944A1 (en) * | 2006-12-14 | 2008-06-19 | Boehringer Ingelheim International Gmbh | Benzoxazoles useful in the treatment of inflammation |
| WO2010034796A1 (en) * | 2008-09-25 | 2010-04-01 | Boehringer Ingelheim International Gmbh | 1h-benz imidazole-5-carboxamides as anti-inflammatory agents |
| WO2010034797A1 (en) * | 2008-09-25 | 2010-04-01 | Boehringer Ingelheim International Gmbh | 1h-benzimidazole-5-carboxamides as anti-inflammatory agents |
| WO2010034798A1 (en) * | 2008-09-25 | 2010-04-01 | Boehringer Ingelheim International Gmbh | 3h-imidazo [4, 5-c] pyridine-6-carboxamides as anti -inflammatory agents |
| WO2010034799A1 (en) * | 2008-09-25 | 2010-04-01 | Boehringer Ingelheim International Gmbh | 3h-imidaz0 [4, 5-b] pyridine- 6 -carboxamides as anti -inflammatory agents |
Non-Patent Citations (15)
| Title |
|---|
| "Protective Groups in Organic Chemistry", 1973, PLENUM PRESS |
| "Protective Groups in Organic Synthesis", 1999, WILEY-INTERSCIENCE |
| "Remington's Pharmaceutical Sciences", 1985, MACK PUBLISHING COMPANY, pages: 1418 |
| CHOU; TALALAY, ADV. ENZYME REGUL., vol. 22, 1984, pages 27 - 55 |
| COTE, B.; L. BOULET; C. BRIDEAU; D. CLAVEAU; D. ETHIER; R. FRENETTE; M. GAGNON; A. GIROUX; J. GUAY; S. GUIRAL: "Substituted phenanthrene imidazoles as potent, selective, and orally active mPGES-1 inhibitors", BIOORG MED CHEM LETT, vol. 17, no. 24, 2007, pages 6816 - 6820 |
| D. CLAVEAU ET AL., J. IMMUNOL., vol. 170, 2003, pages 4738 |
| J. H HUTCHINSON ET AL., J. MED. CHEM., vol. 38, 1995, pages 4538 |
| MARK A. HUFFMAN ET AL., J. ORG. CHEM., vol. 60, 1995, pages 1590 - 1594 |
| P.-J. JACOBSSON ET AL., AM. J. RESPIR. CRIT. CARE MED., no. 161, 2000, pages S20 |
| R. D. CARPENTER ET AL.: "Carbodiimide-based benzimidazole library method", JOURNAL OF COMBINATORIAL CHEMISTRY, vol. 8, no. 6, 27 October 2006 (2006-10-27), pages 907 - 914, XP002557183 * |
| R. LAROCK: "Comprehensive Organic Transformations", 1989, VCH VERLAGSGEMEINSCHAFT |
| RIENDEAU, D.; R. ASPIOTIS; D. ETHIER; Y. GAREAU; E. GRIMM; J. GUAY; S. GUIRAL; H. JUTEAU; J. MANCINI; N. METHOT: "Inhibitors of the inducible microsomal prostaglandin E2 synthase (mPGES-1) derived from MK-886", BIOORG MED CHEM LETT, vol. 15, no. 14, 2005, pages 3352 - 3355 |
| T.W. GREENE; P.G.M. WUTZ, WILEY: "Protective Groups in Organic Synthesis", 1999, INTERSCIENCE |
| T.W. GREENE; P.G.M. WUTZ: "Protective Groups in Organic Synthesis", 1999, WILEY-INTERSCIENCE |
| THOMAS J. TUCKER ET AL., J. MED. CHEM., vol. 37, 1994, pages 2437 - 2444 |
Cited By (108)
| Publication number | Priority date | Publication date | Assignee | Title |
|---|---|---|---|---|
| US8916599B2 (en) | 2008-09-25 | 2014-12-23 | Orexo Ab | 1H-benz imidazole-5-carboxamides as anti-inflammatory agents |
| US8703796B2 (en) | 2008-09-25 | 2014-04-22 | Boehringer Ingelheim International Gmbh | 3H-imidazo [4, 5-B] pyridine-6-carboxamides as anti-inflammatory agents |
| US9040565B2 (en) | 2008-09-25 | 2015-05-26 | Orexo Ab | 1H-benzimidazole-5-carboxamides as anti-inflammatory agents |
| US8598190B2 (en) | 2008-09-25 | 2013-12-03 | Boehringer Ingelheim International Gmbh | 3H-imidazo [4, 5-C] pyridine-6-carboxamides as anti-inflammatory agents |
| US8921405B2 (en) | 2009-03-05 | 2014-12-30 | Orexo Ab | Compounds |
| US8759537B2 (en) | 2010-08-20 | 2014-06-24 | Boehringer Ingelheim International Gmbh | 3H-imidazo [4, 5-C] pyridine-6-carboxamides as anti-inflammatory agents |
| US8586604B2 (en) | 2010-08-20 | 2013-11-19 | Boehringer Ingelheim International Gmbh | Inhibitors of the microsomal prostaglandin E2 synthase-1 |
| CN103097359B (en) * | 2010-08-20 | 2016-08-17 | 贝林格尔.英格海姆国际有限公司 | Compounds as inhibitors of microsomal prostaglandin E2 synthase-1 |
| CN103097359A (en) * | 2010-08-20 | 2013-05-08 | 贝林格尔.英格海姆国际有限公司 | New compounds |
| WO2012022792A1 (en) * | 2010-08-20 | 2012-02-23 | Boehringer Ingelheim International Gmbh | 2-(arylamino)-3h-imidazo[4,5-b]pyridine-6-carboxamide derivatives and their use as mpges-1 inhibitors |
| WO2012055995A1 (en) | 2010-10-29 | 2012-05-03 | Glenmark Pharmaceuticals S.A. | Tricyclic compounds as mpges-1 inhibitors |
| US8519149B2 (en) | 2010-10-29 | 2013-08-27 | Glenmark Pharmaceuticals S.A. | Tricyclic compounds as mPGES-1 inhibitors |
| US8486968B2 (en) | 2010-12-10 | 2013-07-16 | Boehringer Ingelheim International Gmbh | Compounds |
| JP2013544867A (en) * | 2010-12-10 | 2013-12-19 | ベーリンガー インゲルハイム インターナショナル ゲゼルシャフト ミット ベシュレンクテル ハフツング | 2-Aminobenzimidazole derivatives useful in the treatment of inflammation |
| WO2012076673A1 (en) | 2010-12-10 | 2012-06-14 | Boehringer Ingelheim International Gmbh | 6-amino-2-phenylamino-1h-benzimidazole-5-carboxamide- derivatives and their use as microsomal prostaglandin e2 synthase-1 inhibitors |
| US20120309755A1 (en) * | 2010-12-10 | 2012-12-06 | Boehringer Ingelheim International Gmbh | Novel compounds |
| CN103402987A (en) * | 2010-12-10 | 2013-11-20 | 勃林格殷格翰国际有限公司 | 6-Amino-2-phenylamino-1H-benzimidazole-5-carboxamide derivatives and their use as microsomal prostaglandin E2 synthase-1 inhibitors |
| US20120309738A1 (en) * | 2010-12-10 | 2012-12-06 | Boehringer Ingelheim International Gmbh | Novel compounds |
| JP2013544868A (en) * | 2010-12-10 | 2013-12-19 | ベーリンガー インゲルハイム インターナショナル ゲゼルシャフト ミット ベシュレンクテル ハフツング | Imidazo (4,5-B) pyridine-6-carboxamide as an anti-inflammatory agent |
| US8466186B2 (en) | 2010-12-10 | 2013-06-18 | Boehringer Ingelheim International Gmbh | Compounds |
| WO2012076674A1 (en) | 2010-12-10 | 2012-06-14 | Boehringer Ingelheim International Gmbh | Imidazo(4,5-b)pyridine-6-carboxamides as anti-inflammatory agents |
| JP2014502281A (en) * | 2010-12-10 | 2014-01-30 | ベーリンガー インゲルハイム インターナショナル ゲゼルシャフト ミット ベシュレンクテル ハフツング | 6-amino-2-phenylamino-1H-benzimidazole-5-carboxamide derivatives and their use as microsomal prostaglandin E2 synthase-1 inhibitors |
| WO2012076672A1 (en) | 2010-12-10 | 2012-06-14 | Boehringer Ingelheim International Gmbh | 2 -aminobenz imidazole derivatives useful in the treatment of inflammation |
| US8674113B2 (en) | 2010-12-10 | 2014-03-18 | Boehringer Ingelheim International Gmbh | Compounds |
| US8252831B2 (en) | 2010-12-21 | 2012-08-28 | Eli Lilly And Company | Imidazole-2-benzamide compounds useful for the treatment of osteoarthritis |
| US8648200B2 (en) | 2011-05-26 | 2014-02-11 | Eli Lilly And Company | Imidazole derivatives useful for the treatment of arthritis |
| WO2013038308A1 (en) | 2011-09-15 | 2013-03-21 | Glenmark Pharmaceuticals S.A. | SUBSTITUTED BICYCLIC HETEROARYL COMPOUNDS AS mPGES-1 INHIBITORS |
| CN104066730A (en) * | 2011-10-14 | 2014-09-24 | 埃姆比特生物科学公司 | Heterocyclic compounds and their use as modulators of type III receptor tyrosine kinases |
| JP2014528482A (en) * | 2011-10-14 | 2014-10-27 | アムビト ビオスシエンセス コルポラチオン | Heterocyclic compounds and modulators thereof as modulators of type III receptor tyrosine kinases |
| US9938261B2 (en) | 2011-10-14 | 2018-04-10 | Ambit Biosciences Corporation | Heterocyclic compounds and methods of use thereof |
| CN104066730B (en) * | 2011-10-14 | 2017-03-08 | 埃姆比特生物科学公司 | Heterocyclic compounds and their use as modulators of type III receptor tyrosine kinases |
| US8952058B2 (en) | 2011-10-14 | 2015-02-10 | Ambit Biosciences Corporation | Heterocyclic compounds and methods of use thereof |
| US9452167B2 (en) | 2011-10-14 | 2016-09-27 | Ambit Biosciences Corporation | Heterocyclic compounds and methods of use thereof |
| WO2013072825A1 (en) | 2011-11-16 | 2013-05-23 | Glenmark Pharmaceuticals S.A. | Phtalazinone derivatives as mpegs -1 inhibitors |
| US9006257B2 (en) | 2012-02-09 | 2015-04-14 | Glenmark Pharmaceuticals S.A. | Bicyclic compounds as mPGES-1 inhibitors |
| US20150079035A1 (en) * | 2012-04-02 | 2015-03-19 | The Trustees Of Columbia University In The City Of New York | Compounds, Compositions, and Methods For Modulating Ferroptosis and Treating Excitotoxic Disorders |
| US10233171B2 (en) | 2012-04-02 | 2019-03-19 | The Trustees Of Columbia University In The City Of New York | Compounds, compositions, and methods for modulating ferroptosis and treating excitotoxic disorders |
| US9580398B2 (en) * | 2012-04-02 | 2017-02-28 | The Trustees Of Columbia University In The City Of New York | Compounds, compositions, and methods for modulating ferroptosis and treating excitotoxic disorders |
| US10597381B2 (en) | 2012-04-02 | 2020-03-24 | The Trustees Of Columbia University In The City Of New York | Compounds, compositions, and methods for modulating ferroptosis and treating excitotoxic disorders |
| WO2013153535A1 (en) | 2012-04-13 | 2013-10-17 | Glenmark Pharmaceuticals S.A. | TRICYCLIC COMPOUNDS AS mPGES-1 INHIBITORS |
| US9439890B2 (en) | 2012-06-15 | 2016-09-13 | Glenmark Pharmaceuticals S.A. | Triazolone compounds as mPGES-1 inhibitors |
| US10391083B2 (en) | 2012-06-15 | 2019-08-27 | Glenmark Pharmaceuticals S.A | Triazolone compounds as MPGES-1 inhibitors |
| US10821100B2 (en) | 2012-06-15 | 2020-11-03 | Ichnos Sciences SA | Triazolone compounds as mPGES-1 inhibitors |
| WO2013186692A1 (en) | 2012-06-15 | 2013-12-19 | Glenmark Pharmaceuticals S.A. | TRIAZOLONE COMPOUNDS AS mPGES-1 INHIBITORS |
| TWI568722B (en) * | 2012-06-15 | 2017-02-01 | 葛蘭馬克製藥公司 | Triazolone compounds as mpges-1 inhibitors |
| US9096545B2 (en) | 2012-06-15 | 2015-08-04 | Glenmark Pharmaceuticals S.A. | Triazolone compounds as mPGES-1 inhibitors |
| US9949955B2 (en) | 2012-06-15 | 2018-04-24 | Glenmark Pharmaceuticals S.A. | Triazolone compounds as mPGES-1 inhibitors |
| WO2014167444A1 (en) | 2013-04-08 | 2014-10-16 | Glenmark Pharmaceuticals S.A. | SUBSTITUTED BICYCLIC COMPOUNDS AS mPGES-1 INHIBITORS |
| WO2014204370A1 (en) * | 2013-06-20 | 2014-12-24 | Cadila Pharmaceuticals Ltd. | Novel piperidinyl benzoimidazole derivatives as mpges-1 inhibitors |
| WO2015059618A1 (en) | 2013-10-22 | 2015-04-30 | Glenmark Pharmaceuticals S.A. | SUBSTITUTED PYRIMIDINE COMPOUNDS AS mPGES-1 INHIBITORS |
| US10442772B2 (en) | 2014-02-11 | 2019-10-15 | Bayer Pharma Aktiengesellschaft | Benzimidazol-2-amines as mIDH1 inhibitors |
| US9957235B2 (en) | 2014-02-11 | 2018-05-01 | Bayer Pharma Aktiengesellschaft | Benzimidazol-2-amines as mIDH1 inhibitors |
| US9951027B2 (en) | 2014-02-11 | 2018-04-24 | Bayer Pharma Aktiengesellschaft | Benzimidazol-2-amines as MIDH1 inhibitors |
| EP3517104A1 (en) | 2014-08-01 | 2019-07-31 | Glenmark Pharmaceuticals S.A. | Nanoparticulate formulation comprising a mpges-1 inhibitor |
| WO2016016861A1 (en) | 2014-08-01 | 2016-02-04 | Glenmark Pharmaceuticals S.A. | Nanoparticulate formulation comprising a mpges-1 inhibitor |
| US10137110B2 (en) | 2014-10-23 | 2018-11-27 | Bayer Pharma Aktiengesellschaft | 1-cyclohexyl-2-phenylaminobenzimidazoles as mIDH1 inhibitors for the treatment of tumors |
| US10138226B2 (en) | 2014-10-23 | 2018-11-27 | Bayer Pharma Aktiengesellschaft | Benzimidazol-2-amines as MIDH1 inhibitors |
| US10370339B2 (en) | 2015-06-08 | 2019-08-06 | Bayer Pharma Aktiengesellschaft | N-Methylbenzimidazoles as mIDH1 inhibitors |
| WO2016198322A1 (en) | 2015-06-08 | 2016-12-15 | Bayer Pharma Aktiengesellschaft | N-menthylbenzimidazoles as midh1 inhibitors |
| WO2017009325A1 (en) | 2015-07-16 | 2017-01-19 | Bayer Pharma Aktiengesellschaft | 5-hydroxyalkylbenzimidazoles as midh1 inhibitors |
| AU2017222406B2 (en) * | 2016-02-25 | 2022-06-02 | Gesynta Pharma Ab | Methods of treating diseases characterised by vasoconstriction |
| WO2017144909A1 (en) * | 2016-02-25 | 2017-08-31 | Gesynta Pharma Ab | Methods of treating diseases characterised by vasoconstriction |
| WO2019101826A1 (en) | 2017-11-22 | 2019-05-31 | Khondrion Ip B.V. | Compounds as mpges-1 inhibitors |
| US11672787B2 (en) | 2017-11-22 | 2023-06-13 | Khondrion Ip B.V. | Compounds as mPGES-1 inhibitors |
| WO2020263830A1 (en) | 2019-06-25 | 2020-12-30 | Gilead Sciences, Inc. | Flt3l-fc fusion proteins and methods of use |
| WO2021076908A1 (en) | 2019-10-18 | 2021-04-22 | Forty Seven, Inc. | Combination therapies for treating myelodysplastic syndromes and acute myeloid leukemia |
| EP4349413A2 (en) | 2019-10-18 | 2024-04-10 | Forty Seven, Inc. | Combination therapies for treating myelodysplastic syndromes and acute myeloid leukemia |
| WO2021087064A1 (en) | 2019-10-31 | 2021-05-06 | Forty Seven, Inc. | Anti-cd47 and anti-cd20 based treatment of blood cancer |
| WO2021096860A1 (en) | 2019-11-12 | 2021-05-20 | Gilead Sciences, Inc. | Mcl1 inhibitors |
| WO2021130638A1 (en) | 2019-12-24 | 2021-07-01 | Carna Biosciences, Inc. | Diacylglycerol kinase modulating compounds |
| EP4445902A2 (en) | 2019-12-24 | 2024-10-16 | Carna Biosciences, Inc. | Diacylglycerol kinase modulating compounds |
| US12599589B2 (en) | 2019-12-25 | 2026-04-14 | Nippon Shinyaku Co., Ltd. | Prophylactic and/or therapeutic agent for chronic prostatitis/chronic pelvic pain syndrome |
| WO2021163064A2 (en) | 2020-02-14 | 2021-08-19 | Jounce Therapeutics, Inc. | Antibodies and fusion proteins that bind to ccr8 and uses thereof |
| US11692038B2 (en) | 2020-02-14 | 2023-07-04 | Gilead Sciences, Inc. | Antibodies that bind chemokine (C-C motif) receptor 8 (CCR8) |
| US12297282B2 (en) | 2020-02-14 | 2025-05-13 | Gilead Sciences, Inc. | Nucleic acids encoding, and methods of producing, antibodies that bind human chemokine (C—C motif) receptor 8 (CCR8) |
| WO2021222522A1 (en) | 2020-05-01 | 2021-11-04 | Gilead Sciences, Inc. | Cd73 inhibiting 2,4-dioxopyrimidine compounds |
| WO2022221304A1 (en) | 2021-04-14 | 2022-10-20 | Gilead Sciences, Inc. | CO-INHIBITION OF CD47/SIRPα BINDING AND NEDD8-ACTIVATING ENZYME E1 REGULATORY SUBUNIT FOR THE TREATMENT OF CANCER |
| WO2022245671A1 (en) | 2021-05-18 | 2022-11-24 | Gilead Sciences, Inc. | Methods of using flt3l-fc fusion proteins |
| WO2022271684A1 (en) | 2021-06-23 | 2022-12-29 | Gilead Sciences, Inc. | Diacylglyercol kinase modulating compounds |
| WO2022271659A1 (en) | 2021-06-23 | 2022-12-29 | Gilead Sciences, Inc. | Diacylglyercol kinase modulating compounds |
| WO2022271677A1 (en) | 2021-06-23 | 2022-12-29 | Gilead Sciences, Inc. | Diacylglyercol kinase modulating compounds |
| WO2022271650A1 (en) | 2021-06-23 | 2022-12-29 | Gilead Sciences, Inc. | Diacylglyercol kinase modulating compounds |
| WO2023077030A1 (en) | 2021-10-29 | 2023-05-04 | Gilead Sciences, Inc. | Cd73 compounds |
| EP4667056A1 (en) | 2021-12-22 | 2025-12-24 | Gilead Sciences, Inc. | Ikaros zinc finger family degraders and uses thereof |
| WO2023122581A2 (en) | 2021-12-22 | 2023-06-29 | Gilead Sciences, Inc. | Ikaros zinc finger family degraders and uses thereof |
| WO2023122615A1 (en) | 2021-12-22 | 2023-06-29 | Gilead Sciences, Inc. | Ikaros zinc finger family degraders and uses thereof |
| WO2023147418A1 (en) | 2022-01-28 | 2023-08-03 | Gilead Sciences, Inc. | Parp7 inhibitors |
| EP4245756A1 (en) | 2022-03-17 | 2023-09-20 | Gilead Sciences, Inc. | Ikaros zinc finger family degraders and uses thereof |
| EP4464703A2 (en) | 2022-03-17 | 2024-11-20 | Gilead Sciences, Inc. | Ikaros zinc finger family degraders and uses thereof |
| WO2023178181A1 (en) | 2022-03-17 | 2023-09-21 | Gilead Sciences, Inc. | Ikaros zinc finger family degraders and uses thereof |
| WO2023183817A1 (en) | 2022-03-24 | 2023-09-28 | Gilead Sciences, Inc. | Combination therapy for treating trop-2 expressing cancers |
| US11993613B2 (en) | 2022-03-31 | 2024-05-28 | Abbvie Inc. | Thiazolo[5,4-b]pyridine MALT-1 inhibitors |
| WO2023196784A1 (en) | 2022-04-05 | 2023-10-12 | Gilead Sciences, Inc. | Combinations of antibody therapies for treating colorectal cancer |
| WO2023205719A1 (en) | 2022-04-21 | 2023-10-26 | Gilead Sciences, Inc. | Kras g12d modulating compounds |
| WO2024006929A1 (en) | 2022-07-01 | 2024-01-04 | Gilead Sciences, Inc. | Cd73 compounds |
| WO2024064668A1 (en) | 2022-09-21 | 2024-03-28 | Gilead Sciences, Inc. | FOCAL IONIZING RADIATION AND CD47/SIRPα DISRUPTION ANTICANCER COMBINATION THERAPY |
| WO2024137852A1 (en) | 2022-12-22 | 2024-06-27 | Gilead Sciences, Inc. | Prmt5 inhibitors and uses thereof |
| WO2024215754A1 (en) | 2023-04-11 | 2024-10-17 | Gilead Sciences, Inc. | Kras modulating compounds |
| WO2024220917A1 (en) | 2023-04-21 | 2024-10-24 | Gilead Sciences, Inc. | Prmt5 inhibitors and uses thereof |
| WO2025006720A1 (en) | 2023-06-30 | 2025-01-02 | Gilead Sciences, Inc. | Kras modulating compounds |
| WO2025024811A1 (en) | 2023-07-26 | 2025-01-30 | Gilead Sciences, Inc. | Parp7 inhibitors |
| WO2025024663A1 (en) | 2023-07-26 | 2025-01-30 | Gilead Sciences, Inc. | Parp7 inhibitors |
| WO2025054347A1 (en) | 2023-09-08 | 2025-03-13 | Gilead Sciences, Inc. | Kras g12d modulating compounds |
| WO2025054530A1 (en) | 2023-09-08 | 2025-03-13 | Gilead Sciences, Inc. | Pyrimidine-containing polycyclic derivatives as kras g12d modulating compounds |
| WO2025096589A1 (en) | 2023-11-03 | 2025-05-08 | Gilead Sciences, Inc. | Prmt5 inhibitors and uses thereof |
| WO2025137640A1 (en) | 2023-12-22 | 2025-06-26 | Gilead Sciences, Inc. | Azaspiro wrn inhibitors |
| WO2025245003A1 (en) | 2024-05-21 | 2025-11-27 | Gilead Sciences, Inc. | Prmt5 inhibitors and uses thereof |
| WO2026039365A1 (en) | 2024-08-12 | 2026-02-19 | Gilead Sciences, Inc. | Kras modulating compounds |
Also Published As
Similar Documents
| Publication | Publication Date | Title |
|---|---|---|
| AU2010220263B2 (en) | 3H-imidazo [4, 5 -C] pyridine- 6 -carboxamides as anti- inflammatory agents | |
| EP2649052B1 (en) | 2-aminobenzimidazole derivatives useful in the treatment of inflammation | |
| EP2606036B1 (en) | 2-anilinobenzimidazole-6-carboxamides as anti-inflammatory agents | |
| EP2491007B1 (en) | Inhibitors of the microsomal prostaglandin E2 synthase-1 | |
| AU2011290724B2 (en) | 2-(arylamino)-3H-imidazo[4,5-b]pyridine-6-carboxamide derivatives and their use as mPGES-1 inhibitors | |
| WO2012076673A1 (en) | 6-amino-2-phenylamino-1h-benzimidazole-5-carboxamide- derivatives and their use as microsomal prostaglandin e2 synthase-1 inhibitors | |
| EP2649071B1 (en) | Imidazo(4,5-b)pyridine-6-carboxamides as anti-inflammatory agents | |
| HK1163064B (en) | 3h-imidazo[4,5-c]pyridine-6-carboxamides as anti-inflammatory agents |
Legal Events
| Date | Code | Title | Description |
|---|---|---|---|
| WWE | Wipo information: entry into national phase |
Ref document number: 201080010352.5 Country of ref document: CN |
|
| 121 | Ep: the epo has been informed by wipo that ep was designated in this application |
Ref document number: 10706659 Country of ref document: EP Kind code of ref document: A1 |
|
| WWE | Wipo information: entry into national phase |
Ref document number: 2010220263 Country of ref document: AU |
|
| ENP | Entry into the national phase |
Ref document number: 2010220263 Country of ref document: AU Date of ref document: 20100305 Kind code of ref document: A |
|
| WWE | Wipo information: entry into national phase |
Ref document number: 594589 Country of ref document: NZ |
|
| WWE | Wipo information: entry into national phase |
Ref document number: 2753149 Country of ref document: CA |
|
| WWE | Wipo information: entry into national phase |
Ref document number: MX/A/2011/008948 Country of ref document: MX |
|
| WWE | Wipo information: entry into national phase |
Ref document number: 001560-2011 Country of ref document: PE |
|
| ENP | Entry into the national phase |
Ref document number: 20117020598 Country of ref document: KR Kind code of ref document: A |
|
| WWE | Wipo information: entry into national phase |
Ref document number: 2011552460 Country of ref document: JP |
|
| NENP | Non-entry into the national phase |
Ref country code: DE |
|
| WWE | Wipo information: entry into national phase |
Ref document number: 2011002180 Country of ref document: CL Ref document number: 6763/DELNP/2011 Country of ref document: IN Ref document number: 12011501761 Country of ref document: PH |
|
| WWE | Wipo information: entry into national phase |
Ref document number: 2010706659 Country of ref document: EP |
|
| WWE | Wipo information: entry into national phase |
Ref document number: 11117866 Country of ref document: CO |
|
| WWE | Wipo information: entry into national phase |
Ref document number: 201101243 Country of ref document: EA |
|
| WWE | Wipo information: entry into national phase |
Ref document number: DZP2011000681 Country of ref document: DZ |
|
| WWE | Wipo information: entry into national phase |
Ref document number: 12405 Country of ref document: GE |
|
| REG | Reference to national code |
Ref country code: BR Ref legal event code: B01A Ref document number: PI1009118 Country of ref document: BR |
|
| WWE | Wipo information: entry into national phase |
Ref document number: P-2015/0066 Country of ref document: RS |
|
| REG | Reference to national code |
Ref country code: BR Ref legal event code: B01E Ref document number: PI1009118 Country of ref document: BR Free format text: IDENTIFIQUE O SIGNATARIO DA PETICAO NO 020110091919 DE 02/09/2011 E COMPROVE, CASO NECESSARIO, QUE O MESMO TEM PODERES PARA ATUAR EM NOME DO DEPOSITANTE, UMA VEZ QUE BASEADO NO ARTIGO 216 DA LEI 9.279/1996 DE 14/05/1996 (LPI) "OS ATOS PREVISTOS NESTA LEI SERAO PRATICADOS PELAS PARTES OU POR SEUS PROCURADORES, DEVIDAMENTE QUALIFICADOS.". |
|
| ENP | Entry into the national phase |
Ref document number: PI1009118 Country of ref document: BR Kind code of ref document: A2 Effective date: 20110902 |














































































































