WO2010004591A2 - Genetic variants for breast cancer risk assessment - Google Patents
Genetic variants for breast cancer risk assessment Download PDFInfo
- Publication number
- WO2010004591A2 WO2010004591A2 PCT/IS2009/000008 IS2009000008W WO2010004591A2 WO 2010004591 A2 WO2010004591 A2 WO 2010004591A2 IS 2009000008 W IS2009000008 W IS 2009000008W WO 2010004591 A2 WO2010004591 A2 WO 2010004591A2
- Authority
- WO
- WIPO (PCT)
- Prior art keywords
- seq
- breast cancer
- allele
- risk
- individual
- Prior art date
- Legal status (The legal status is an assumption and is not a legal conclusion. Google has not performed a legal analysis and makes no representation as to the accuracy of the status listed.)
- Ceased
Links
Classifications
-
- C—CHEMISTRY; METALLURGY
- C12—BIOCHEMISTRY; BEER; SPIRITS; WINE; VINEGAR; MICROBIOLOGY; ENZYMOLOGY; MUTATION OR GENETIC ENGINEERING
- C12Q—MEASURING OR TESTING PROCESSES INVOLVING ENZYMES, NUCLEIC ACIDS OR MICROORGANISMS; COMPOSITIONS OR TEST PAPERS THEREFOR; PROCESSES OF PREPARING SUCH COMPOSITIONS; CONDITION-RESPONSIVE CONTROL IN MICROBIOLOGICAL OR ENZYMOLOGICAL PROCESSES
- C12Q1/00—Measuring or testing processes involving enzymes, nucleic acids or microorganisms; Compositions therefor; Processes of preparing such compositions
- C12Q1/68—Measuring or testing processes involving enzymes, nucleic acids or microorganisms; Compositions therefor; Processes of preparing such compositions involving nucleic acids
- C12Q1/6876—Nucleic acid products used in the analysis of nucleic acids, e.g. primers or probes
- C12Q1/6883—Nucleic acid products used in the analysis of nucleic acids, e.g. primers or probes for diseases caused by alterations of genetic material
- C12Q1/6886—Nucleic acid products used in the analysis of nucleic acids, e.g. primers or probes for diseases caused by alterations of genetic material for cancer
-
- G—PHYSICS
- G16—INFORMATION AND COMMUNICATION TECHNOLOGY [ICT] SPECIALLY ADAPTED FOR SPECIFIC APPLICATION FIELDS
- G16B—BIOINFORMATICS, i.e. INFORMATION AND COMMUNICATION TECHNOLOGY [ICT] SPECIALLY ADAPTED FOR GENETIC OR PROTEIN-RELATED DATA PROCESSING IN COMPUTATIONAL MOLECULAR BIOLOGY
- G16B35/00—ICT specially adapted for in silico combinatorial libraries of nucleic acids, proteins or peptides
-
- G—PHYSICS
- G16—INFORMATION AND COMMUNICATION TECHNOLOGY [ICT] SPECIALLY ADAPTED FOR SPECIFIC APPLICATION FIELDS
- G16B—BIOINFORMATICS, i.e. INFORMATION AND COMMUNICATION TECHNOLOGY [ICT] SPECIALLY ADAPTED FOR GENETIC OR PROTEIN-RELATED DATA PROCESSING IN COMPUTATIONAL MOLECULAR BIOLOGY
- G16B99/00—Subject matter not provided for in other groups of this subclass
-
- G—PHYSICS
- G16—INFORMATION AND COMMUNICATION TECHNOLOGY [ICT] SPECIALLY ADAPTED FOR SPECIFIC APPLICATION FIELDS
- G16C—COMPUTATIONAL CHEMISTRY; CHEMOINFORMATICS; COMPUTATIONAL MATERIALS SCIENCE
- G16C20/00—Chemoinformatics, i.e. ICT specially adapted for the handling of physicochemical or structural data of chemical particles, elements, compounds or mixtures
- G16C20/60—In silico combinatorial chemistry
-
- C—CHEMISTRY; METALLURGY
- C12—BIOCHEMISTRY; BEER; SPIRITS; WINE; VINEGAR; MICROBIOLOGY; ENZYMOLOGY; MUTATION OR GENETIC ENGINEERING
- C12Q—MEASURING OR TESTING PROCESSES INVOLVING ENZYMES, NUCLEIC ACIDS OR MICROORGANISMS; COMPOSITIONS OR TEST PAPERS THEREFOR; PROCESSES OF PREPARING SUCH COMPOSITIONS; CONDITION-RESPONSIVE CONTROL IN MICROBIOLOGICAL OR ENZYMOLOGICAL PROCESSES
- C12Q2600/00—Oligonucleotides characterized by their use
- C12Q2600/106—Pharmacogenomics, i.e. genetic variability in individual responses to drugs and drug metabolism
-
- C—CHEMISTRY; METALLURGY
- C12—BIOCHEMISTRY; BEER; SPIRITS; WINE; VINEGAR; MICROBIOLOGY; ENZYMOLOGY; MUTATION OR GENETIC ENGINEERING
- C12Q—MEASURING OR TESTING PROCESSES INVOLVING ENZYMES, NUCLEIC ACIDS OR MICROORGANISMS; COMPOSITIONS OR TEST PAPERS THEREFOR; PROCESSES OF PREPARING SUCH COMPOSITIONS; CONDITION-RESPONSIVE CONTROL IN MICROBIOLOGICAL OR ENZYMOLOGICAL PROCESSES
- C12Q2600/00—Oligonucleotides characterized by their use
- C12Q2600/136—Screening for pharmacological compounds
-
- C—CHEMISTRY; METALLURGY
- C12—BIOCHEMISTRY; BEER; SPIRITS; WINE; VINEGAR; MICROBIOLOGY; ENZYMOLOGY; MUTATION OR GENETIC ENGINEERING
- C12Q—MEASURING OR TESTING PROCESSES INVOLVING ENZYMES, NUCLEIC ACIDS OR MICROORGANISMS; COMPOSITIONS OR TEST PAPERS THEREFOR; PROCESSES OF PREPARING SUCH COMPOSITIONS; CONDITION-RESPONSIVE CONTROL IN MICROBIOLOGICAL OR ENZYMOLOGICAL PROCESSES
- C12Q2600/00—Oligonucleotides characterized by their use
- C12Q2600/172—Haplotypes
-
- Y—GENERAL TAGGING OF NEW TECHNOLOGICAL DEVELOPMENTS; GENERAL TAGGING OF CROSS-SECTIONAL TECHNOLOGIES SPANNING OVER SEVERAL SECTIONS OF THE IPC; TECHNICAL SUBJECTS COVERED BY FORMER USPC CROSS-REFERENCE ART COLLECTIONS [XRACs] AND DIGESTS
- Y02—TECHNOLOGIES OR APPLICATIONS FOR MITIGATION OR ADAPTATION AGAINST CLIMATE CHANGE
- Y02A—TECHNOLOGIES FOR ADAPTATION TO CLIMATE CHANGE
- Y02A90/00—Technologies having an indirect contribution to adaptation to climate change
- Y02A90/10—Information and communication technologies [ICT] supporting adaptation to climate change, e.g. for weather forecasting or climate simulation
Definitions
- Breast cancer is by far the most common cancer in women worldwide. Current global incidence is in excess of 1,151,000 new cases diagnosed each year [Parkin, et al., (2005), CA Cancer J Clin, 55, 74-108]. Breast cancer incidence is highest in developed countries, particularly amongst populations of Northern European ethnic origin, and is increasing. In the United States the annual age-standardized incidence rate is approximately 125 cases per 100,000 populations, more than three times the world average. Rates in Northern European countries are similarly high. In the year 2008 it is estimated that 184,450 new cases of invasive breast cancer will be diagnosed in the U.S.A. and 40,930 people will die from the disease [Jemal, et al., (2008), CA Cancer J Clin, 58, 71-96].
- the two primary classes of known risk factors for breast cancer are endocrine factors and genetics. Regarding the latter, approximately 12% of breast cancer patients have one or more first degree relatives with breast cancer [(2001), Lancet, 358, 1389-99],
- the well known, dominant breast cancer predisposition genes BRCAl and BRCA2 confer greatly increased breast cancer risk to carriers, with lifetime penetrance estimates ranging from 40-80%.
- the presence of BRCAl and BRCA2 mutations can account for the majority of families with 6 or more cases of breast cancer and for a large proportion of families comprising breast and ovarian or male breast cancer. However such families are very rare indeed.
- BRCAl and BRCA2 mutations are found much less frequently in families with fewer cases or in families characterized by breast cancer cases only Together, mutations in BRCAl and BRCA2 can account for 15-20% of the ruk for familial breast cancer In non-founder populations, if all common BRCA mutations could be detected, between 2-3% of incident breast cancer patients would be expected to harbor a mutation [Gorski, et al., (2005), Breast Cancer Res Treat, 92, 19-24, (2000), Br J Cancer, 83, 1301-8] This low "chance to find" statistic precludes the responsible use of BRCA mutation testing outside families with an obvious hereditary predisposition (Anon[(2003), J Clin Oncol, 21, 2397-406]).
- Segregation analyses predict that the uncharacte ⁇ zed genetic risk for breast cancer is most likely to be polygenic in nature, with risk alleles that confer low to moderate risk and which may interact with each other and with hormonal risk factors. Nevertheless, these studies predict as much as 40-fold differences in relative risk between the highest and lowest quintiles of a distribution that could be defined by genetic profiling that captures these low to moderate risk alleles [Antoniou, et al., (2002), Br J Cancer, 86, 76-83; Pharoah, et al., (2002), Nat Genet, 31, 33-6].
- SNPs single nucleotide polymorphisms
- SNPs are located on average every 1000 base pairs in the human genome. Accordingly, a typical human gene containing 250,000 base pairs may contain 250 different SNPs. Only a minor number of SNPs are located in exons and alter the amino acid sequence of the protein encoded by the gene Most SNPs may have little or no effect on gene function, while others may alter transcription, splicing, translation, or stability of the mRNA encoded by the gene.
- Genetic polymorphisms in the human genome are caused by insertions, deletions, translocations or inversion of either short or long stretches of DNA. Genetic polymorphisms conferring disease risk may directly alter the amino acid sequence of proteins, may increase the amount of protein produced from the gene, or may decrease the amount of protein produced by the gene.
- apolipoprotein E testing to identify genetic carriers of the apoE4 polymorphism in dementia patients for the differential diagnosis of Alzheimer's disease, and of Factor V Leiden testing for predisposition to deep venous thrombosis. More importantly, in the treatment of cancer, diagnosis of genetic variants in tumor cells is used for the selection of the most appropriate treatment regime for the individual patient.
- Identification of cancer susceptibility genes may also reveal key molecular pathways that may be manipulated (e.g., using small or large molecular weight drugs) and may lead to more effective treatments.
- the present invention provides additional genetic variants for breast cancer than can be integrated in prevention programmes for breast cancer.
- the present invention relates to methods of assessing a susceptibility to breast cancer,
- the invention includes methods of diagnosing an increased susceptibility to breast cancer, as well as methods of diagnosing a decreased susceptibility to breast cancer or diagnosing a protection against cancer, by evaluating certain markers or haplotypes that have been found to be associated with increased or decreased susceptibility of breast cancer.
- the invention also relates to methods of assessing prognosis of individuals diagnosed with breast cancer, methods of assessing the probability of response to a breast cancer therapeutic agent or breast cancer therapy, as well as methods of monitoring progress of treatment of an individual diagnosed with breast cancer.
- the present invention relates to a method of diagnosing a susceptibility to breast cancer in a human individual, the method comprising determining the presence or absence of at least one allele of at least one polymorphic marker selected from the group consisting of rs999737 (SEQ ID NO:6), rs2005154 (SEQ ID NO: 1), rs2184380 (SEQ ID NO:2), rs2224696 (SEQ ID I ⁇ IO:3), rs2242503 (SEQ ID NO:4), rsl2291026 (SEQ ID NO:5), rs9956546 (SEQ ID NO:7), rsll912922 (SEQ ID NO:8), rs6001954 (SEQ ID NO:9) and markers in linkage disequilibrium therewith, in a nucleic acid sample obtained from the individual, wherein the presence of the at least one allele is indicative of a susceptibility to breast cancer.
- polymorphic marker selected from the group consisting of rs999737 (
- the invention also relates to a method of determining a susceptibility to breast cancer, by determining the presence or absence of at least one allele of at least one polymorphic selected from the group consisting of rs2005154 (SEQ ID NO: 1), rs2184380 (SEQ ID NO 2), rs2224696 (SEQ ID NO:3), rs2242503 (SEQ ID NO:4), rsl2291026 (SEQ ID NO:5), rs999737 (SEQ ID I ⁇ IO:6), rs9956546 (SEQ ID NO: 7), rsll912922 (SEQ ID NO:8), rs6001954 (SEQ ID NO:9) and markers in linkage disequilibrium therewith, wherein the determination of the presence of the at least one allele is indicative of a susceptibility to breast cancer
- the invention in another aspect, relates to a method of determining a susceptibility to breast cancer in a human individual, comprising determining whether at least one at-risk allele in at least one polymorphic marker is present in a genotype dataset derived from the individual, wharein the at least one polymorphic marker is selected from markers selected from the group consisting of rs2005154 (SEQ ID NO: 1), rs2184380 (SEQ ID NO:2), rs2224696 (SEQ ID NO:3), rs2242503 (SEQ ID NO:4), rsl2291026 (SEQ ID I ⁇ IO:5), rs999737 (SEQ ID NO:6), rs9956546 (SEQ ID NO:7), rsll912922 (SEQ ID NO:8), rs6001954 (SEQ ID NO:9) and markers in linkage disequilibrium therewith, and wherein determination of the presence of the at least one at- ⁇ sk allele is indicative of increased susceptibility
- the invention furthermore relates to a method for determining a susceptibility to breast cancer in a human individual, comprising determining whether at least one allele of at least one polymorphic marker is present in a nucleic acid sample obtained from the individual or in a genotype dataset derived from the individual, wherein the at least one polymorphic marker is selected from rs2005154 (5EQ ID NO: 1), rs2184380 (SEQ ID NO: 2), rs2224696 (SEQ ID NO:3), rs2242503 (SEQ ID NO'4), rsl2291026 (SEQ ID NO:5), rs999737 (SEQ ID NO:6), rs9956546 (SEQ ID NO:7), rsll912922 (SEQ ID NO:8), rs6001954 (SEQ ID NO:9) and markers in linkage' disequilibrium therewith, and wherein the presence of the at least one allele is indicative of a susceptibility to breast cancer for the individual,
- the genotype dataset comprises in one embodiment information about marker identity, and the allelic status of the individual, i.e. information about the identity of the two alleles carried by the individual for the marker.
- the genotype dataset may comprise allelic information about one or more marker, including two or more markers, three or more markers, five or more markers, one hundred or more markers, etc.
- the genotype dataset comprises genotype information from a whole-genome assessment of the individual that may include hundreds of thousands of markers, or even one million or more markers.
- the at least one polymorphic marker is associated with the PAX5 (PAIRED BOX GENE 5, also known as BSAP ) gene, the TUB (Tubby homolog (mouse, rd5)) gene, the SERPINHl (serpin peptidase inhibitor, clade H (heat shock protein 47), member 1, (collagen binding protein I)) gene, the RAD51L1 (REC2; R51H2; hREC2; RAD51B; MGC34245) gene, the FHOD3 (formin homology 2 domain containing 3, also known as FH0S2; Formactin2) gene or the TNRC6B (trinucleotide repeat containing 6B or KIAA1093) gene.
- PAX5 PAIRED BOX GENE 5
- TUB Teubby homolog (mouse, rd5)
- SERPINHl seerpin peptidase inhibitor, clade H (heat shock protein 47), member 1, (collagen binding protein I)
- the at least one polymorphic marker is in linkage disequilibrium with any one of the above-mentioned genes, i.e. any one of the PAX5 (PAIRED BOX GENE 5, also known as BSAP ) gene, the TUB (Tubby homolog (mouse, rd5)) gene, the SERPINHl (serpin peptidase inhibitor, clade H (heat shock protein 47), member 1, (collagen binding protein I)) gene, the RAD51L1 (REC2; R51H2; hREC2; RAD51B; MGC34245) gene, the FHOD3 (formin homology 2 domain containing 3, also known as FHOS2; Formactin2) gene and the TNRC6B (trinucleotide repeat containing 6B or KIAA1093) gene.
- PAX5 PAIRED BOX GENE 5
- TUB Teubby homolog (mouse, rd5)
- SERPINHl seerpin peptida
- Another aspect of the invention relates to a method of determining a susceptibility to breast * cancer in a human individual, the method comprising:
- nucleic acid marker changes the codon of a polypeptide encoded by the nucleic acid, then the marker will also result in alternate sequence at the amino acid level of the encoded polypeptide (polypeptide markers).
- Determination of the identity of particular alleles at polymorphic markers in a nucleic acid or particular alleles at polypeptide markers comprises whether particular alleles are present at a certain position in the sequence. Sequence data identifying a particular allele at a marker comprises sufficient sequence to detect the particular allele.
- sequence data can comprise sequence at a single position, i.e. the identity of a nucleotide or amino acid at EI single position within a sequence.
- Nucleic acid sequence data identifying particular alleles of polymorphic markers is sometimes also referred to as genotype data.
- Nucleic acid sequence data can be obtained for example by analyzing sequence of the at least one polymorphic marker in a biological sample from the individual. Alternatively, nucleic acid sequence data can be obtained in a genotype dataset from the human individual and analyzing sequence of the at least one polymorphic marker in the dataset.
- Such analysis in certain embodiments comprises determining the presence or absence of a particular allele of specific polymorphic markers. Identification of particular alleles in general terms should be taken to mean that determination of the presence or absence of the allele(s) is made Usually, determination of both allelic copies in the genome of an individual is performed, by determining the occurrence of all possible alleles of the particular polymorphism in a particular individual (for SNPs, each of the two possible nucleotides possible for the allelic site). It is also possible to determine whether only particular alleles are present or not. For example, in certain embodiments, determination of the presence or absence of certain alleles that have been shown to associate with risk of glaucoma is made, but not necessarily other alleles of the particular marker, and a determination of susceptibility is made based on such determination
- nucleic acid sequence for at least two polymorphic markers it may be useful to determine the nucleic acid sequence for at least two polymorphic markers. In other embodiments, the nucleic acid sequence for at least three, at least four or at least five or more polymorphic markers is determined.
- Haplotype information can be derived from an analysis of two or more polymorphic markers. Thus, in certain embodiments, a further step is performed, whereby haplotype information is derived based on sequence data for at least two polymorphic markers.
- the invention also provides a method of determining a susceptibility to breast cancer in a human individual, the method comprising obtaining nucleic acid sequence data about a human individual identifying both alleles of at least two polymorphic markers selected from rs2005154 (SEQ ID NO 1), rs2184380 (SEQ ID NO:2), rs2224696 (SEQ ID NO:3), rs2242503 (SEQ ID NO:4), rsl2291026 (SEQ ID NO:5), rs999737 (SEQ ID NO:6), rs9956546 (SEQ ID NO:7), rsll912922 (SEQ ID NO:8), rs6001954 (SEQ ID NO:9) and markers in linkage disequilibrium therewith, determine the identity of at least one haplotype based on the sequence data, and determine a susceptibility to breast cancer from the haplotype data.
- determination of a susceptibility comprises comparing the nucleic acid sequence data to a database containing correlation data between the at least one polymorphic marker and susceptibility to breast cancer.
- the database comprises at least one risk measure of susceptibility to breast cancer for the at least one marker.
- the sequence database can for example be provided as a look-up table that contains data that indicates the susceptibility of breast cancer for any one, or a plurality of, particular polymorphisms.
- the database may also contain data that indicates the susceptibility for a particular haplotype that comprises at least two polymorphic markers.
- Obtaining nucleic acid sequence data can in certain embodiments comprise obtaining a biological sample from the human individual and analyzing sequence of the at least one polymorphic marker in nucleic acid in the sample. Analyzing sequence can comprise determining the presence or absence of at least one allele of the at least one polymorphic marker. Determination of the presence of a particular susceptibility allele (e g., an at-nsk allele) is indicative of susceptibility to breast cancer in the human individual. Determination of the absence of a particular susceptibility allele is indicative that the particular susceptibility is not present in the individual.
- a particular susceptibility allele e g., an at-nsk allele
- obtaining nucleic acid sequence data comprises obtaining nucleic acid sequence information from a preexisting record.
- the preexisting record can for example be a computer file or database containing sequence data, such as genotype data, for the human individual, for at least one polymorphic marker.
- Susceptibility determined by the diagnostic methods of the invention can be reported to a particular entity.
- the at least one entity is selected from the group consisting of the individual, a guardian of the individual, a genetic service provider, a physician, a medical organization, and a medical insurer.
- determination of a susceptibility comprises comparing the nucleic acid sequence data to a database containing correlation data between the at least ⁇ one polymorphic marker and susceptibility to breast cancer.
- the database comprises at least one risk measure of susceptibility to breast cancer for the at least one polymorphic marker.
- the database comprises a look-up table containing at least one risk measure of the at least one condition for the at least one polymorphic marker.
- obtaining nucleic acid sequence data comprises obtaining a biological sample from the human individual and analyzing sequence of the at least one polymorphic marker in nucleic acid in the sample. Analyzing sequence of the at least one polymorphic marker can comprise determining the presence or absence of at least one allele of the at least one polymorphic marker. Obtaining nucleic acid sequence data can also comprise obtaining nucleic acid sequence information from a preexisting record. ;
- Certain embodiments of the invention relate to obtaining nucleic acid sequence data about at least two polymorphic markers selected from rs2005154 (SEQ ID NO: 1), rs2184380 (SEQ ID NO:2), rs2224696 (SEQ ID NO:3), rs2242503 (SEQ ID NO:4), rsl2291026 (SEQ ID NO:5), rs999737 (SEQ ID NO:6), rs9956546 (SEQ ID NO:7), rsll912922 (SEQ ID NO:8), rs6001954 (SEQ ID NO:9) and markers in linkage disequilibrium therewith.
- the at least one polymorphic marker is selected from the markers set forth in Table 4. In one embodiment, the at least one polymorphic marker is selected from the markers as set forth in SEQ ID NO: 1-562. In one embodiment, the at least one marker is in linkage disequilibrium with at least one of rs2005154, rs2184380, rs2224696, rs2242503, rsl2291026, rs999737, rs9956546, rsll912922 and rs6001954. In one embodiment, markers in linkage disequilibrium with rs999737 are selected from the group consisting of W
- markers in linkage disequilibrium with rs2005154 are selected from the group consisting of rs2005154, rs4878662, and rs4880019.
- markers in linkage disequilibrium with rs2184380 are selected from the group consisting of rs2184380, rsl0466295, rsl0508363, rsl0508364, rslO5O8365, rsl0795670, rsl0905411, rsl0905414, rsl0905415, rsl0905430, rsl0905437, rsl0905439, rsl0905440, rsl0905443, rslO9O5444, rsl0905445, rsl0905446, rsl0905447, rsl0905454, rsll255764, rsll255775, rsll255777, rsll255778, rsll255779, rsll255790, rsll255795, rsll255797, rsll
- markers in linkage disequilibrium with rs2224696 are selected from the group consisting of rs2224696, rsl0905509, rsll256045, rsl2761213, rsl2761461, rsl2766048, rsl2772042, rsl2776383, rsl2778120, rsl2780218, rsl2781427, rsl475189, rsl573109, rsl573110, rsl7145088, rsl7145095, rsl7145118, rsl7145120, rsl7145151, rsl7145164, rsl7145169, rsl7145188, rsl7145193, rsl7145221, rsl7363338, rsl775559, rsl857230, rsl891532, rs
- markers in linkage disequilibrium with rs2242503 are selected from the group consisting of rs2242503, rsl0431029, rslO55233, rsl0734629, rsl0743052, rsl0743053, rsl0743054, rsl0743055, rsl0769872, rsl0769873, rsl0769878, rsl0769882, rsl0839976, rsl0839984, rsllO4174O, rsll041742, rsllO41788, rsllO41791, rsllO41794, rsllO8277, rsl2146654, rsl2808387, rsl528125, rsl569128, rsl970880, rsl997262, rs2049684, rs2141321, rs2242501,
- markers in linkage disequilibrium with rsl2291026 are selected from the group consisting of rsl2291026, rsl004856, rsl0899091, rsll236449, rsll236452, rsll236454, rsl2362081, rsl540210, rsl540211, rsl557471, rsl631470, rsl783551, rsl783556, rsl783559, rsl790144, rsl790152, rsl790307, rsl793396, rsl793397, rsl793398; rsl793399, rsl793414, rsl938800, rs2853066, rs499613, rs504793, rs514477, rs549034, rs550881, r
- markers in linkage disequilibrium with rsl 1912922 are selected from the group consisting of rsll912922, rsllO89967, rsll704971, rsll705454, rsl7406385, rsl7406434, rs2071771, rs2958650, rs2958651, rs2958659, rs7284488, rs7285507, rs7291782, rs739145, rs9611246, and rs9611265.
- markers in linkage disequilibrium with rs6001954 are selected from the group consisting of rs6001954, rsl0483203, rsl0483204, rsl0483205, ,rsl0483206, rsl 106673, rsll913132, rsl2158399, rsl2158872, rsl2159200, rsl2159970, rsl2484697, rsl2627881, rsl33036, rsl33038, rsl6985899, rsl7001846, rsl7001868, rsl7001943, rsl7001974, rsl7001977, rsl7001993, rsl7001994, rsl7001997, rsl7002019, rsl7002020, rsl7002026, rsl7002027, rsl7002034,
- a further step of assessing the frequency of at least one haplotype in the individual is performed,
- two or more markers including three, four, five, six, seven, eight, nine or ten or more markers can be included in the haplotype.
- the at least one haplotype comprises markers that are all in LD with at least one of rs2005154 (SEQ ID NO:1), rs2184380 (SEQ ID NO:2), rs2224696 (SEQ ID NO:3), rs2242503 (SEQ ID NO:4), rsl2291026 (SEQ ID NO:5), rs999737 (SEQ ID NO:6), , rs9956546 (SEQ ID NO:7), rsll912922 (SEQ ID NO:8) and rs6001954 (SEQ ID NO:9).
- the at least one haplotype is representative of the genomic structure of a particular genomic region (LD block) to which any one of the above-mentioned markers reside.
- the haplotype comprises markers in linkage disequilibrium with rs999737.
- markers conferring risk of breast cancer can be combined with other • genetic markers for breast cancer.
- markers are typically not in linkage disequilibrium with any one of the markers described herein, in particular markers rs2005154 (SEQ ID ' NO: 1), rs2184380 (SEQ ID NO:2), rs2224696 (SEQ ID NO:3), rs2242503 (SEQ ID NO:4), rsU2291026 (SEQ ID NO:5), rs999737 (SEQ ID NO:6), rs9956546 (SEQ ID NO:7), rsll912922 (SGQ ID NO:8), rs6001954 (SEQ ID NO:9) and markers in linkage disequilibrium therewith. Any of the methods described herein can be practiced by combining the genetic risk factors described herein with additional genetic risk factors for breast cancer.
- a further step comprising determining whether at least one at-risk allele of at least one at-risk variant for breast cancer not in linkage disequilibrium with any one of the markers set forth in Table 1 and/or Table 4 is present in an individual.
- genetic markers in other locations in the genome can be useful in combination with the markers of the present invention, so as to determine overall risk of breast cancer based on multiple genetic factors.
- Selection of markers that are not in linkage disequilibrium can be based on a suitable measure for linkage disequilibrium, as described further herein.
- markers that are not in linkage disequilibrium have values for the LD measure r 2 between the markers of less than 0.2.
- markers that are not in LD have values for r 2 between the markers of less than 0.15, including less than 0.10, less than 0.05, less than 0.02 and less than 0.01.
- Other suitable cutoff values for establishing that markers are not in LD are contemplated, including values bridging any of these values.
- genetic risk factors include markers on chromosome 5pl2 and chromosome 10q26, e.g., marker rslO941679 and marker rsl219648.
- markers in LD with any one of these markers could be assessed.
- markers known to confer risk of breast cancer can also be assessed together with the markers described herein, include markers on chromosome 2ql4 (e.g., marker rs4848543 or markers in linkage disequilibrium therewith), 2q35 (e.g., marker rsl3387042, or markers in linkage disequilibrium therewith), and chromosome 16 (e.g., marker rs3803662, or markers in linkage disequilibrium ' therewith).
- markers on chromosome 2ql4 e.g., marker rs4848543 or markers in linkage disequilibrium therewith
- 2q35 e.g., marker rsl3387042, or markers in linkage disequilibrium therewith
- chromosome 16 e.g., marker rs3803662, or markers in linkage disequilibrium ' therewith.
- multiple markers as described herein are determined to determine overall risk of breast cancer.
- an additional step is included, the step comprising determining whether at least one allele in each of at least two polymorphic markers is present in a sample comprising genomic DNA from a human individual or a genotype dataset derived from a human individual, wherein the presence of the at least one allele in the at least two polymorphic markers is indicative of an increased susceptibility to breast cancer.
- the markers are selected from rs2005154 (SEQ ID NO 1 I), rs2184380(SEQ ID NO:2), rs2224696 (SEQ ID NO:3), rs2242503 (SEQ ID NO'4), rsl2291026 (SEQ ID NO.5), rs999737 (SEQ ID NO:6), rs9956546 (SEQ ID NO: 7), rsll912922 (SEQ ID NO:8) and rs6001954 (SEQ ID NO:9) and markers in linkage disequilibrium therewith.
- Risk assessment based on the markers of the present invention can also be combined with assessment for the presence of absence of at least one high penetrant genetic factor for breast cancer in a nucleic acid sample obtained from the individual or in a genotype dataset derived from the individual.
- the high penetrant genetic factor for breast cancer can for example be a BRCAl mutation, a BRCA2 mutation, a TP53 mutation or a PTEN mutation.
- mutations in BRCAl and BRCA2 can account for 15-20% of the risk for familial breast cancer, and these can account for between 2-3% of incident breast cancer patients fGorski, et al., (2005), Breast Cancer Res Treat, 92, 19-24; (2000), Br J Cancer, 83, 1301-8]
- Known mutations in the TP53 - and PTEN genes account for about 5% of the total genetic risk for breast cancer [Easton, (1999), Breast Cancer Res, 1, 14-7]
- the high penetrant genetic factor is BRCA2 999del5.
- the genetic markers of the invention can also be combined with non-genetic information to establish overall risk for an individual.
- a further step is included, comprising analyzing non-genetic information to make risk assessment, diagnosis, or prognosis of the individual.
- the non-genetic information can be any information pertaining to the disease status of the individual or other information that can influence the estimate of overall risk of breast cancer for the individual.
- the non-genetic information is selected from age, gender, ethnicity, socioeconomic status, previous disease diagnosis, medical history of subject, family history of breast cancer, biochemical measurements, and clinical measurements
- the invention in another aspect, relates to a method of assessing risk of developing at least a second primary tumor in an individual previously diagnosed with breast cancer, the method comprising determining the presence or absence of at least one allele of at least one polymorphic marker in a nucleic acid sample obtained from the individual, wherein the at least one polymorphic marker is selected from the group consisting of the polymorphic markers listed in Tables 1 and 4, and markers in linkage disequilibrium therewith, wherein the presence of the at least one allele is indicative of risk of developing at least a second primary tumor.
- the invention relates to a method of determining risk of developing at least a second primary tumor in an individual previously diagnosed with breast cancer, the method comprising determining whether at least one allele of at least one polymorphic marker is present in a nucleic acid sample obtained from the individual, or in a genotype dataset derived from the individual, wherein the at least one polymorphic marker is selected from rs2005154 (SEQ ID NO:1), rs2184380(SEQ ID NO:2), rs2224696 (SEQ ID NO:3), rs2242503 (SEQ ID NO:4), rsl2291026 (SEQ ID NO:5), rs999737 (SEQ ID NO:6), rs9956546 (SEQ ID NO: 7), rsll912922 (SEQ ID NO:8) and rs6001954 (SEQ ID NO:9) and markers in linkage disequilibrium therewith, and wherein the presence of the at least one allele is indicative of risk of developing at least a poly
- the invention also provides computer-implemented aspects.
- the invention provides a computer-readable medium having computer executable instructions for determining susceptibility to breast cancer in an individual, the computer readable medium comprising: data representing at least one polymorphic marker; and a routine stored on the computer readable medium and adapted to be executed by a processor to determine susceptibility to breast cancer in an individual based on the allelic status of at least one allele of said at least one polymorphic marker in the individual.
- said data representing at least one polymorphic marker comprises at least one parameter indicative of the susceptibility to breast cancer linked to said at least one polymorphic marker.
- said data represents at least one polymorphic marker comprises data indicative of the allelic status of at least one allele of said at least one allelic marker in said individual.
- said routine is adapted to receive input data indicative of the allelic status for at least one allele of said at least one allelic marker in said individual.
- the at least one marker is selected from rs2005154 (SEQ ID IMO:1), rs2184380 (SEQ ID NO:2), rs2224696 (SEQ ID IMO:3), rs2242503 (SEQ ID NO:4), rsl2291026 (SEQ ID NO'5), rs999737 (SEQ ID NO:6), rs9956546 (SEQ ID NO:7), rsll912922 (SEQ ID NO:8), rs6001954 (SEQ ID NO:9) and markers in linkage disequilibrium therewith.
- the at least one polymorphic marker is selected from the markers set forth in Table 4.
- the invention further provides an apparatus for determining a genetic indicator for breast cancer in a human individual, comprising:
- a computer readable memory having computer executable instructions adapted to be executed on the processor to analyze marker and/or haplotype information for at least one human individual with respect to breast cancer
- the computer readable memory comprises data indicative of the frequency of at least one allele of at least one polymorphic marker or at least one haplotype in a plurality of individuals diagnosed with breast cancer, and data indicative of , the frequency of at the least one allele of at least one polymorphic marker or at least one haplotype in a plurality of reference individuals, and wherein a risk measure is based on a comparison of the at least one marker and/or haplotype status for the human individual to the data indicative of the frequency of the at least one marker and/or haplotype information for the plurality of individuals diagnosed with breast cancer.
- the computer readable memory further comprises data indicative of the risk of developing breast cancer associated with at least one allele of at least one polymorphic marker or at least one haplotype, and wherein a risk measure for the human individual is based on a comparison of the genotype status for the human individual to the risk associated with the at least one allele of the at least one polymorphic marker or the at least one haplotype.
- the t computer readable memory further comprises data indicative ⁇ the frequency of at least one allele of at least one polymorphic marker or at least one haplotype in a plurality of individuals diagnosed with breast cancer, and data indicative of the frequency of at the least one allele of at least one polymorphic marker or at least one haplotype in a plurality of reference individuals, , and wherein risk of developing breast cancer is based on a comparison of the frequency of the at least one allele or haplotype in individuals diagnosed with breast cancer, and reference individuals.
- the at least one marker is selected from rs2005154 (SEQ ID NO: 1), rs2184380 (SEQ ID NO:2), rs2224696 (SEQ ID NO:3), rs2242503 (SEQ ID NO:4), rsl2291026 (SEQ ID NO:5), rs999737 (SEQ ID NO:6), r ⁇ 9956546 (SEQ ID NO:7), rsll912922 (SEQ ID IMO:8), rs6001954 (SEQ ID NO:9) and markers in linkage disequilibrium therewith.
- the at least one polymorphic marker is selected from the markers set forth in Tables 4.
- the invention in another aspect, relates to a method of identification of a marker for use in assessing susceptibility to breast cancer, the method comprising: identifying at least one polymorphic marker in linkage disequilibrium with at least one of rs2005154 (SEQ ID NO: 1), rs2184380(SEQ ID NO:2), rs2224696 (SEQ ID NO:3), rs2242503 (SEQ ID NO:4), rsl2291026 (SEQ ID NO:5), rs999737 (SEQ ID NO:6), rs9956546 (SEQ ID NO:7), rsll912922 (SEQ ID NO:8) and rs6001954 (SEQ ID NO:9); determining the genotype status of a sample of individuals diagnosed with, or having a susceptibility to, breast cancer; and determining the genotype status of a sample of control individuals; wherein a significant difference in frequency of at least one allele in at least one polymorphism in individuals diagnosed with,
- control sample is indicative of the at least one polymorphism being useful for assessing susceptibility to breast cancer.
- Significant difference can be estimated on statistical analysis of allelic counts at certain polymorphic markers in breast cancer patients and controls.
- a significant difference is based on a calculated P-value between breast cancer patients and controls of less than 0.05.
- a significant difference is based on a lower value of the calculated P-value, such as less than 0.005, 0.0005, or 0.00005.
- an increase in frequency of the at least one allele in the at least one polymorphism in individuals diagnosed with, or having a susceptibility to, breast cancer, as compared with the frequency of the at least one allele in the control sample is indicative of the at least one polymorphism being useful for assessing increased susceptibility to breast cancer.
- a decrease in frequency of the at least one allele in the at least one polymorphism in individuals diagnosed with, or having a susceptibility to, breast cancer, as compared with the frequency of the at least one allele in the control sample is indicative of the at least one polymorphism being useful for assessing decreased susceptibility to, or protection against, breast cancer.
- the invention also relates to a method of genotyping a nucleic acid sample obtained from a human individual comprising determining whether at least one allele of at least one polymorphic marker is present in a nucleic acid sample from the individual sample, wherein the at least one marker is selected from rs2005154 (SEQ ID NO: 1), rs2184380(SEQ ID NO: 2), rs2224696 (SEQ ID NO:3), rs2242503 (SEQ ID NO:4), rsl2291026 (SEQ ID NO: 5), rs999737 (SEQ ID NO:6), * rs9956546 (SEQ ID NO:7), rsll912922 (SEQ ID NO:8) and rs6001954 (SEQ ID NO:9) and markers in linkage disequilibrium therewith, and wherein determination of the presence of the at least one allele in the sample is indicative of a susceptibility to breast cancer in the individual.
- genotyping comprises amplifying a segment of a nucleic acid that comprises the at least one polymorphic marker by Polymerase Chain Reaction (PCR), using a nucleotide primer pair flanking the at least one polymorphic marker.
- PCR Polymerase Chain Reaction
- genotyping is performed using a process selected from allele-specific probe hybridization, allele-specific primer extension, allele-specific amplification, nucleic acid sequencing, 5'-exonuclease digestion, molecular beacon assay, oligonucleotide ligation assay, size analysis, single-stranded conformation analysis and microarray technology.
- the microarray technology is Molecular Inversion Probe array technology or BeadArray Technologies.
- the process comprises allele-specific probe ⁇ • ⁇ hybridization.
- the process comprises microrray technology.
- One preferred embodiment comprises the steps of (1) contacting copies of the nucleic acid with a ,, detection oligonucleotide probe and an enhancer oligonucleotide probe under conditions for , specific hybridization of the oligonucleotide probe with the nucleic acid; wherein (a) the detection oligonucleotide probe is from 5-100 nucleotides in length and specifically hybridizes to a first segment of a nucleic acid whose nucleotide sequence is given by any one of SEQ ID NO: 1-562;', (b) the detection oligonucleotide probe comprises a detectable label at its 3' terminus and a quenching moiety at its 5' terminus; (c) the enhancer oligonucleotide is from 5-100 nucleotides in length and is complementary to a second segment of the nucleotide sequence that is 5' relative to the oligonucleotide probe, such that the enhancer oligonucleotide is
- a further aspect of the invention pertains to a method of assessing an individual for probability of response to a breast cancer therapeutic agent, comprising: determining whether at least one allele of at least one polymorphic marker is present in a nucleic acid sample obtained from the individual, or in a genotype dataset derived from the individual, wherein the at least one polymorphic marker is selected from rs2005154 (SEQ ID NO:1), rs2184380(SEQ ID NO:?.), rs2224696 (SEQ ID NO:3), rs2242503 (SEQ ID NO:4), rsl2291026 (SEQ ID NO:5), rs999737 (SEQ ID NO:6), rs9956546 (SEQ ID NO:7), rsll912922 (SEQ ID NO:8) and rs6001954 (SEQ ID NO:9) and markers in linkage disequilibrium therewith, wherein the presence of the at least one allele of the at least one marker is indicative of a probability of
- the invention in another aspect relates to a method of predicting prognosis of an individual diagnosed with breast cancer, the method comprising determining whether at least one allele of at least one polymorphic marker is present in a nucleic acid sample obtained from the individual, or in a genotype dataset derived from the individual, wherein the at least one polymorphic marker is selected from rs2005154 (SEQ ID NO: 1), rs2184380(SEQ ID NO:2), rs2224696 (SEQ ID NO:3), rs2242503 (SEQ ID NO:4), rsl2291026 (SEQ ID NO:5), rs999737 (SEQ ID NO:6), , rs9956546 (SEQ ID NO:7), rsll912922 (SEQ ID NO:8) and rs6001954 (SEQ ID NO:9), and markers in linkage disequilibrium therewith, wherein the presence of the at least one allele is indicative of a worse prognosis of the breast
- Yet another aspect of the invention relates to a method of monitoring progress of treatment of an individual undergoing treatment for breast cancer, the method comprising determining whether at least one allele of at least one polymorphic marker is present in a nucleic acid sample obtained from the individual, or in a genotype dataset derived from the individual, wherein the at least one polymorphic marker is selected rs2005154 (SEQ ID NO: 1), rs2184380(SEQ ID NO:2), rs2224696 (SEQ ID NO:3), rs2242503 (SEQ ID NO:4), rsl2291026 (SEQ ID NO:5), rs999737 (SEQ ID NO:6), rs9956546 (SEQ ID NO:7), rsl 1912922 (SEQ ID NO:8) and rs6001954 (SEQ ID NO:9) and markers in linkage disequilibrium therewith, wherein the presence of the at least one allele is indicative of the treatment outcome of the individual.
- the treatment is treatment by surgery, treatment by radiation therapy, or treatment by drug administration.
- the invention also relates to the use of an oligonucleotide probe in the manufacture of a reagent for diagnosing and/or assessing susceptibility to breast cancer in a human individual, wherein the probe hybridizes to a segment of a nucleic acid with nucleotide sequence as set forth in any one of SEQ ID NO: 1-562, wherein the probe is 15-500 nucleotides in length.
- the probe is about 16 to about 100 nucleotides in length.
- the probe is about 20 to about 50 nucleotides in length.
- the probe is about 20 to about 30 nucleotides in length.
- breast cancer in certain embodiments, includes any clinical diagnosis of breast cancer, including, but not limited to: invasive ductal, invasive lobular, tubular, or as otherwise invasive or mixed invasive, medullary, DCIS (Ductal Carcinoma In-Situ), LCIS (Lobular Carcinoma In-Situ), or otherwise non-invasive; Invasive breast cancer, including stage 0, stage 1, stage 2 (including stage 2a and stage 2b), stage 3 (including stage 3a, stage 3b and stage 3c) and stage 4 breast cancer.
- the breast cancer phenotype is selected from All Breast
- the markers of the invention are associated with risk of breast cancer in individuals with a family history of breast cancer.
- the summed family history (FHS) is the phenotype associated with breast cancer.
- the breast cancer associated with the variants of the invention is estrogen receptor (ER) positive and/or progesterone receptor (PR) positive breast cancer.
- the breast cancer associated with the variants of the invention is estrogen receptor (ER) positive.
- the breast cancer associated with the variants of the invention is progesterone receptor (ER) positive.
- ER estrogen receptor
- ER progesterone receptor
- the markers described herein to be associated with increased risk or j susceptibility of breast cancer confers increased risk or susceptibility of ER-positive and/or PR- positive breast cancer.
- presence of at least one of the at-risk variants of the invention is predictive of ER positive or PR positive breast cancer in the individual.
- the susceptibility determined in the method is increased susceptibility.
- the increased susceptibility is characterized by a relative risk (RR) of at least 1.10.
- the increased susceptibility is characterized by a relative risk of at least 1.20.
- the increased susceptibility is characterized by a relative risk of at least 1.30.
- the increased susceptibility is characterized by a relative risk of at least 1.40.
- the increased susceptibility is characterized by a relative risk of at least 1.50
- the increased susceptibility is characterized by a relative risk of at least 1.70.
- the increased susceptibility is characterized by a relative risk of at least 2.0.
- the susceptibility determined in the method is decreased susceptibility.
- the decreased susceptibility is -, characterized by a relative risk (RR) of less than 0.9.
- the decreased susceptibility is characterized by a relative risk (RR) of less than 0.8.
- the decreased susceptibility is characterized by a relative risk (RR) of less than 0.7.
- the decreased susceptibility is characterized by a relative risk (RR) of less than 0.5.
- cutoffs such as relative risk of less than 0.89, 0.88, 0.87, 0.86, 0.85, 0.84, 0.83, 0.82, 0.81, 0.80, 0.79, 0.78, 0.77, 0.76, 0.75, 0.74, 0.73, 0.72, 0.71, 0.70, and so on, are within scope of the invention.
- kits for assessing susceptibility to breast cancer in a human individual, the kit comprising reagents necessary for selectively detecting at least one allele of at least one polymorphic marker selected from rs2005154 (SEQ ID NO: 1), rs2184380 (SEQ ID NO: 2), rs2224696 (SEQ ID NO:3), rs2242503 (SEQ ID NO:4), rsl2291026 (SEQ ID NO: 5), rs999737 (SEQ ID NO:6), rs9956546 (SEQ ID NO: 7), rsll912922 (SEQ ID NO:8), rs6001954 (SEQ ID NO:9) and markers in linkage disequilibrium therewith, in the genome of the individual, wherein the presence of the at least one allele is indicative of increased susceptibility to breast cancer.
- rs2005154 SEQ ID NO: 1
- rs2184380 SEQ ID NO: 2
- rs2224696 SEQ ID NO:
- the kit further comprises a collection of data comprising correlation data between the at least one polymorphism and susceptibility to breast cancer.
- the correlation data may be in any suitable formation, for example as a Relative Risk measure (RR), odds ratio (OR), or other convenient . measure known to the skilled person.
- the collection of data is on a computer-readable medium.
- the invention in another aspect, relates to a kit for assessing susceptibility to breast cancer in a human individual, the kit comprising reagents for selectively., detecting at least one allele of at least one polymorphic marker in the genome of the individual, wherein the polymorphic marker is selected from rs2005154 (SEQ ID NO: 1), rs2184380(SEQ ID NO:2), rs2224696 (SEQ ID NO:3), rs2242503 (SEQ ID NO:4), rsl2291026 (SEQ ID NO:5), , rs999737 (SEQ ID NO:6), rs9956546 (SEQ ID NO:7), rsll912922 (SEQ ID NO:8) and rs6001954 (SEQ ID NO:9), and wherein the presence of the at least one allele is indicative of a susceptibility to breast cancer.
- the at least one polymorphic marker is selected from the markers set forth in Table 4.
- Kit reagents may in one embodiment comprise at least one contiguous oligonucleotide that hybridizes to a fragment of the genome of the individual comprising the at least one polymorphic marker.
- the kit comprises at least one pair of oligonucleotides that hybridize to opposite strands of a genomic segment obtained from the subject, wherein each oligonucleotide primer pair is designed to selectively amplify a fragment of the genome of the individual that includes one polymorphism, wherein the polymorphism is selected from the group consisting of the polymorphisms as defined in Table 4, and wherein the fragment is at least 20 base pairs in size.
- the oligonucleotide is completely complementary to the genome of the individual.
- the kit further contains buffer and enzyme for amplifying said segment.
- the reagents further comprise a label for detecting said fragment.
- the kit comprises: a detection oligonucleotide probe that is from 5-100 nucleotides in length; an enhancer oligonucleotide probe that is from 5-100 nucleotides in length; and an endonuclease enzyme; wherein the detection oligonucleotide probe specifically hybridizes to a first segment of the nucleic acid whose nucleotide sequence Is set forth in any one of SEQ ID NO: 1-562, and wherein the detection oligonucleotide probe comprises a detectable label at its 3' terminus and a quenching moiety at its 5' terminus; wherein the enhancer oligonucleotide is from 5-100 nucleotides in length and is complementary to a second segment of the nucleotide sequence that is 5' relative to the oligonucleotide probe, such that the enhancer oligonucleotide is located 3' relative to the detection oligonucleotide probe when both oli
- Kits according to the present invention may also be used in the other methods of the invention, including methods of assessing risk of developing at least a second primary tumor in an individual previously diagnosed with breast cancer, methods of assessing an individual for probability of response to a breast cancer therapeutic agent, and methods of monitoring progress of a treatment of an individual diagnosed with breast cancer and given a treatment for the disease.
- the markers that are described herein to be associated with breast cancer can all be used in the various aspects of the invention, including the methods, kits, uses, apparatus, procedures described herein.
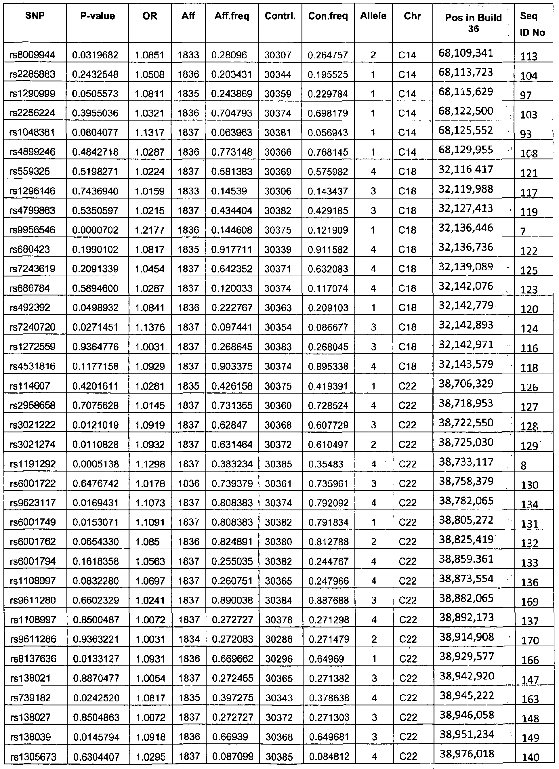
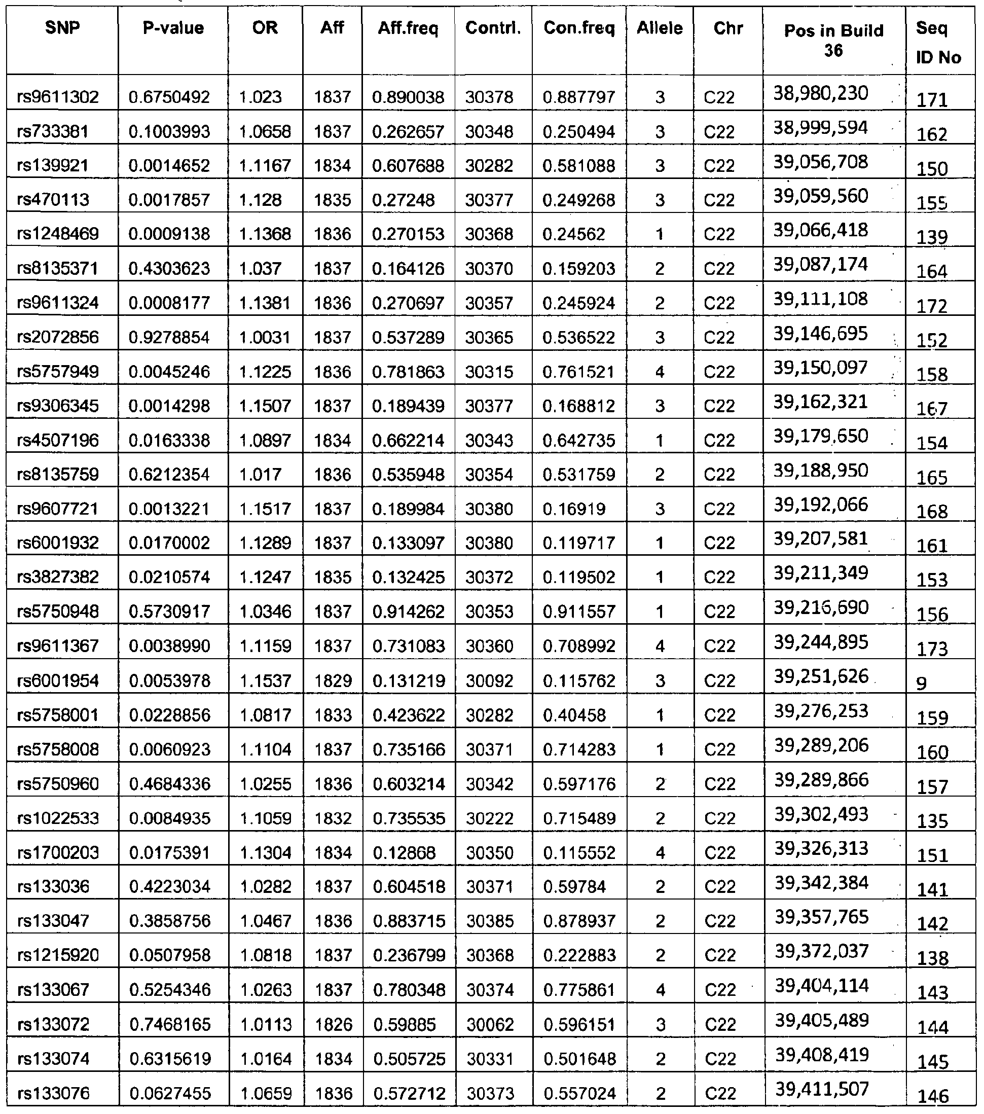
- the invention relates to markers associated with any one of LD block C09, LD block ClOA, LD block 1OB, LD block CI lA, LD block CIlB, LD block C 14, LD block C18, LD block C22A, and LD block C22B as defined herein.
- the invention relates to the markers set forth in Table 1 or Table 4, and markers in linkage disequilibrium therewith.
- the invention relates to the markers set forth in Table 4.
- the invention relates to markers rs2005154, rs2184380, rs2224696, rs2242503, rsl2291026, rs999737, rs9956546, rsl 1912922 and rs6001954, and markers in linkage disequilibrium therewith.
- the invention relates to any one of rs2005154 (SEQ ID NO: 1), rs2184380 (SEQ ID NO:2), rs2224696 (SEQ ID NO:3), rs2242503 (SEQ ID NO:4), rsl2291026 (SEQ ID NO:5), rs999737 (SEQ ID NO:6), rs9956546 (SEQ ID NO:7), rsll912922 (SEQ ID NO:8) and rs6001954 (SEQ ID NO:9).
- the at least one marker allele conferring increased risk of breast cancer is selected from rs2005154 allele T , rs2184380 allele G, rs2224696 allele T, rs2242503 allele C, rsl2291026 allele G, rs999737 allele C, rs9956546 allele A, rsll912922 allele T and rs6001954 allele G.
- the presence of the allele is indicative of increased risk of breast cancer.
- linkage disequilibrium is determined using the linkage disequilibrium measures r 2 and
- linkage disequilibrium between markers ⁇ i.e., LD values indicative of the markers being in linkage disequilibrium) is defined as r 2 > 0.1.
- linkage disequilibrium is defined as r 2 > 0.2.
- Linkage disequilibrium can in certain embodiments also be defined as
- linkage disequilibrium is defined as fulfilling two criteria of r 2 and
- are also possible and within scope of the present invention, including but not limited to the" values for these parameters set forth in the above.
- FIG 1 provides a diagram illustrating a computer-implemented system utilizing risk variants as described herein.
- the present invention discloses polymorphic variants and haplotypes that have been found to be associated with breast cancer. Particular alleles at polymorphic markers on chromosomes 9, 10, 11, 14, 18 and 22 have been found to be associated with risk of developing breast cancer. Such markers and haplotypes are useful for diagnostic purposes, for methods of predicting drug response, and methods for predicting treatment progress, as described in further detail herein. Further applications of the present invention includes methods for assessing response to breast cancer therapy by surgery or radiation utilizing the polymorphic markers of the invention, as well as kits for use in the methods of the invention.
- nucleic acid sequences are written left to right in a 5' to 3' orientation.
- Numeric ranges recited within the specification are inclusive of the numbers defining the range and include each integer or any non-integer fraction within the defined range.
- all technical and scientific terms used herein have the same meaning as commonly understood by the ordinary person skilled in the art to which the invention pertains.
- the marker can comprise any allele of any variant type found in the genome, including single nucleotide polymorphisms (SNPs), mini- or microsatellites, translocations and copy number variations (insertions, deletions, duplications). Polymorphic ' markers can be of any measurable frequency in the population.
- polymorphic markers with population frequency higher than 5-10% are in general most useful. However, polymorphic markers may also have lower population frequencies, such as 1-5% frequency, or even lower frequency, in particular copy number variations (CNVs).
- CNVs copy number variations
- An "allele” refers to the nucleotide sequence of a given locus (position) on a chromosome. A polymorphic marker allele thus refers to the composition (i.e., sequence) of the marker on a chromosome. Genomic DNA from an individual contains two alleles for any given polymorphic marker, representative of each copy of the marker on each chromosome.
- the CEPH sample (Centre d'Etudes du Polymorphisme Humain, genomics repository, CEPH sample 1347- 02) is used as a reference, the shorter allele of each microsatellite in this sample is set as 0 and all other alleles in other samples are numbered in relation to this reference.
- allele 1 is 1 bp longer than the shorter allele in the CEPH sample
- allele 2 is 2 bp longer than the shorter allele in the CEPH sample
- allele 3 is 3 bp longer than the lower allele in the CEPH sample
- * and allele -1 is 1 bp shorter than the shorter allele in the CEPH sample
- allele -2 is 2 bp shorten than the shorter allele in the CEPH sample, etc.
- a "Single Nucleotide Polymorphism” or "SNP” is a DNA sequence variation occurring when a single nucleotide at a specific location in the genome differs between members of a species or between paired chromosomes in an individual. Most SNP polymorphisms have two alleles. Each individual is in this instance either homozygous for one allele of the polymorphism (i.e. both chromosomal copies of the individual have the same nucleotide at the SNP location), or the individual is heterozygous (i.e. the two sister chromosomes of the individual contain different nucleotides).
- the SNP nomenclature as reported herein refers to the official Reference SNP (rs) ID identification tag as assigned to each unique SNP by the National Center for Biotechnological Information (NCBI).
- Sequence conucleotide ambiguity as described herein is as proposed by IUPAC-IUB. These codes are compatible with the codes used by the EMBL, GenBank, and PIR databases.
- sequence listing presented herein provides flanking sequence for the polymorphic markers, shown herein in Tables 1-4, with the polymorphic site indicated in the sequence using the , sequence conucleotide ambiguity code as shown above.
- a nucleotide position at which more than one sequence is possible in a population is referred to herein as a "polymorphic site”.
- a “variant”, as described herein, refers to a segment of DNA that differs from the reference DNA.
- a “marker” or a “polymorphic marker”, as defined herein, is a variant. Alleles that differ from the reference are referred to as “variant” alleles.
- a "microsatellite” is a polymorphic marker that has multiple small repeats of bases that are 2-8 nucleotides in length (such as CA repeats) at a particular site, in which the number of repeat lengths varies in the general population.
- An “indel” is a common form of polymorphism comprising a small insertion or deletion that is typically only a few nucleotides long.
- haplotype refers to a segment of genomic DNA within one strand of DNA that is characterized by a specific combination of alleles arranged along the segment.
- a haplotype comprises one member of the pair of alleles for each polymorphic marker or locus.
- the haplotype can comprise two or more alleles, three or more alleles, four or more alleles, or five or more alleles.
- susceptibility encompasses both increased susceptibility and , decreased susceptibility.
- particular polymorphic markers and/or haplotypes of the invention may be characteristic of increased susceptibility (i.e., increased risk) of breast cancer, as characterized by a relative risk (RR) of greater than one, or as an odds ratio (OR) of greater ' than one.
- the markers and/or haplotypes of the invention are characteristic of decreased susceptibility (i.e., decreased risk) of breast cancer, as characterized by a relative risk of less than one, or an odds ratio of less than one.
- Haplotypes are described herein in the context of the marker name and the allele of the marker in that haplotype, e.g., "A rs9956546” refers to the A allele of marker rs9956546 being in the haplotype, and this nomenclature is equivalent to "rs9956546 allele A” and "A- rs9956546".
- susceptibility refers to the proneness of an Individual towards the development of a certain state (e.g., a certain trait, phenotype or disease, e.g., breast cancer), or towards being less able to resist a particular state than the average individual.
- the term encompasses both increased susceptibility and decreased susceptibility.
- particular alleles at polymorphic markers and/or haplotypes of the invention as described herein may be • - characteristic of increased susceptibility (i.e., increased risk) of breast cancer, as characterized by a relative risk (RR) or odds ratio (OR) of greater than one for the particular allele or haplotype.
- the markers and/or haplotypes of the invention are characteristic of decreased susceptibility (i.e., decreased risk) of breast cancer, as characterized by a relative risk of less than one.
- look-up table is a table that correlates one form of data to another form, or one or more forms of data to a predicted outcome to which the data is relevant, such as phenotype or trait.
- a look-up table can comprise a correlation between allelic data for at least one polymorphic marker and a particular trait or phenotype, such as a particular disease diagnosis, that an individual who comprises the particular allelic data is likely to display, or is more likely to display than individuals who do not comprise the particular allelic data.
- Look-up tables can be multidimensional, i.e. they can contain information about multiple alleles for single markers simultaneously, or they can contain information about multiple markers, and they may also comprise other factors, such as particulars about diseases diagnoses, racial information, biomarkers, biochemical measurements, therapeutic methods or drugs, etc.
- a "computer-readable medium” is an information storage medium that can be accessed by a computer using a commercially available or custom-made interface.
- Exemplary computer- readable media include memory ⁇ e.g., RAM, ROM, flash memory, etc.), optical storage media (e.g., CD-ROM), magnetic storage media ⁇ e.g., computer hard drives, floppy disks, etc.), punch cards, or other commercially available media.
- Information may be transferred between a system of interest and a medium, between computers, or between computers and the computer- readable medium for storage or access of stored information. Such transmission can be electrical, or by other available methods, such as IR links, wireless connections, etc.
- nucleic acid sample is a sample obtained from an individual that contains nucleic acid (DNA or RNA).
- the nucleic acid sample comprises genomic DNA.
- Such a nucleic acid sample can be obtained from any source that contains genomic DNA, including as a blood sample, sample of amniotic fluid, sample of cerebrospinal fluid, or tissue sample from skin, muscle, buccal or conjunctival mucosa, placenta, gastrointestinal tract or other organs. '
- breast cancer therapeutic agent refers to an agent that can be used to ameliorate or prevent symptoms associated with breast cancer.
- breast cancer-associated nucleic acid refers to a nucleic acid that has been found to be associated to breast cancer. This includes, but is not limited to, the markers and haplotypes described herein and markers and haplotypes in strong linkage disequilibrium (LD) therewith.
- Breast Cancer refers to any clinical diagnosis of breast cancer, and includes any and all particular subphenotypes of breast cancer.
- breast cancer is sometimes categorized as estrogen receptor (ER) positive breast or estrogen receptor negative breast cancer; breast cancer is sometimes also categorized as progesterone receptor (PR) positive or negative.
- ER estrogen receptor
- PR progesterone receptor
- Breast cancer is furthermore sometimes diagnosed as invasive ductal, as invasive lobular, as tubular, or as otherwise invasive or mixed invasive.
- Breast cancer can also ' - be categorized as medullary DCIS (Ductal Carcinoma In-Situ) or LCIS (Lobular Carcinoma In- situ, or otherwise non-invasive.
- Invasive breast cancer can also be defined as stage 0, stage 1, stage 2 (including stage 2a and stage 2b), stage 3 (including stage 3a, stage 3b and stage 3c) or stage 4 breast cancer.
- stage cancer can include any of these subphenotypes of breast cancer, and also includes any other clinically applicable subphenotypes of breast cancer.
- All Breast Cancer refers to all individuals diagnosed with breast cancer.
- the term "Medium Predisposition” breast cancer or “MedPre” breast cancer refers to a sub- phenotype of breast cancer.
- the definition of this phenotype requires that the proband fulfills at least one of the following criteria:
- the proband is a member of a cluster of breast cancer cases containing 3 or more affected relatives within a genetic distance of 3 meiotic events (3M).
- the proband is a member of an affected pair related within 3M, one of whom was diagnosed when aged 50 or younger.
- the proband is a member of an affected pair related within 3M, one of whom was * ⁇ diagnosed with a second primary tumor of any type.
- the proband has been diagnosed with a second primary tumor of any type.
- Multiple Primary Breast Tumor refers to cases where at least one Primary tumor is diagnosed in addition to the first breast cancer diagnosis, and the two tumors confirmed both clinically and by histology to be independent primary tumors, arising simultaneously or subsequently to the first breast cancer and occurring in the contralateral or ; ipsilateral breast.
- family history score or “FHS”, as described herein, is defined based on the number of relatives affected with breast cancer for a proband with the disease. For each proband, a score of 1 is assigned for each affected first-degree relative, 0.5 for each affected second degree relative, and 0.25 for each third-degree relative. The total sum thus obtained over all affected relatives represents the summed family history score or FHS.
- estrogen receptor positive breast cancer refers to tumors determined to be positive for estrogen receptor.
- ER levels of greater than or equal to 10 fmol/mg and/or an immunohistochemical observation of greater than or equal to 10% positive nuclei is considered to be ER positive.
- Breast cancer that does not fulfill the criteria of being ER positive is defined herein as "ER negative” or "estrogen receptor negative”.
- progesterone receptor positive breast cancer refers to tumors determined to be positive for progesterone receptor.
- PR levels of greater than or equal to 10 fmol/mg and/or an immunohistochemical observation of greater than or equal to 10% positive nuclei is considered to be PR positive.
- Breast cancer that does not fulfill the criteria of being PR positive is defined herein as "PR negative” or "progesterone receptor negative”.
- PAX5 refers to the PAIRED BOX GENE 5 gene, also known as BSAP on human chromosome 9pl3.
- TDB tubby homolog (mouse) gene' on human chromosome Ilpl5.5.
- SERPINHl refers to serpin peptidase inhibitor, clade H (heat shock protein 47), member 1, (collagen binding protein 1) gene on human chromosome 11.
- RAD51L1 X-gene also termed; "REC2; R51H2; hREC2; RAD51B or MGC34245" as described herein, refers to a protein coding gene located on human chromosome 14q23-24.
- FHOD3gene also known as “FHOS2gene” or “Formactin2” as described herein, stands for formin homology 2 domain containing 3 gene, a protein coding gene located on human chromosome 18ql2.
- TNRC6B or"TNRC6B gene
- KIAA1093 a protein coding gene located on human chromosome 22ql3.
- chromosome 10 between positions 8,643,001 and 8,817,001 (LD block ClOA);
- chromosome 10 between positions 9,077,001 and 9,264,001 (LD block ClOB);
- chromosome 11 between positions 8,053,258 and 8,191,268 (LD block CIlA); ;'
- chromosome 11 between positions 74,886,341 and 74,971,341 (LD block CIlB);
- chromosome 14 between positions 68,035,712 and 68,130,712 (LD block C14);
- chromosome 18, between positions 32,110,012 and 32,145,012 (LD block C18);
- markers in LD with any of the nine anchor markers rs2005154, rs2184380, rs2224696, rs2242503, rsl2291026, rs999737, rs9956546, rsll912922 and rs6001954 can be located outside the LD blocks as defined herein. This is a consequence bf the fact that LD can extend beyond the apparent physical boundaries of LD blocks as usually defined (boundaries usually defined by regions of high recombination rates). Such surrogate markers in LD with these nine markers are specifically also contemplated to be useful for the present invention, and are therefore also within scope of the present invention.
- the genomic sequence within populations is not identical when individuals are compared. Rather, the genome exhibits sequence variability between individuals at many locations in the genome. Such variations in sequence are commonly referred to as polymorphisms, and there are many such sites within each genome.
- the human genome exhibits sequence variations which occur on average every 500 base pairs.
- the most common sequence variant consists of base variations at a single base position in the genome, and such sequence variants, or polymorphisms, are commonly called Single Nucelotide Polymorphisms ("SNPs"). These SNPs are believed to have arisen by a single mutational event, and therefore there are usually two ⁇ possible alleles possible at each SNPsite; the original allele and the mutated (alternate) allele.
- a polymorphic microsatellite has multiple small repeats of bases (such as CA repeats, TG on the complimentary strand) at a particular site in which the number of repeat lengths varies in the general population.
- each version of the sequence with respect to the polymorphic site represents a specific allele of the polymorphic site.
- polymorphisms can comprise any number of specific alleles within the population, although each human individual has two alleles at each polymorphic site - one maternal and one paternal allele.
- the polymorphism is characterized by the presence of two or more alleles in a population. In another embodiment, the polymorphism is characterized by the presence of three or more alleles.
- the polymorphism is characterized by four or more alleles, five or more alleles, six or more alleles, seven or more alleles, nine or more alleles, or ten or more alleles. All such polymorphisms can be utilized in the methods and kits of the present invention, and are thus within the scope of the invention.
- SNPs Due to their abundance, SNPs account for a majority of sequence variation in the human genome. Over 6 million human SNPs have been validated to date
- CNVs are receiving - increased attention.
- These large-scale polymorphisms (typically lkb or larger) account for polymorphic variation affecting a substantial proportion of the assembled human genome; known CNVs covery over 15% of the human genome sequence (Estivill, X Armengol; L., PIoS Genetics 3: 1787-99 (2007). http://projects.tcag. ca/variation/).
- Most of these polymorphisms are however very rare, and on average affect only a fraction of the genomic sequence of each f individual.
- CNVs are known to affect gene expression, phenotypic variation and adaptation by ' disrupting gene dosage, and are also known to cause disease (microdeletion and microduplication disorders) and confer risk of common complex diseases, including HIV-I infection and glomerulonephritis (Redon, R., et al. Nature 23:444-454 (2006)). It is thus possible that either previously described or unknown CNVs represent causative variants in linkage disequilibrium with the disease-associated markers described herein.
- Methods for detecting CNVs include comparative genomic hybridization (CGH) and genotyping, including use of genotyping arrays, as described by Carter (Nature Genetics 39:S16-S21 (2007)).
- the Database of Genomic Variants http://projects.tcag.ca/variation/) contains updated information about the location, type and size of described CNVs. The database currently contains data for over 21,000 CNVs.
- reference is made to different alleles at a polymorphic site without choosing a reference allele.
- a reference sequence can be referred to for a particular polymorphic site.
- the reference allele is sometimes referred to as the "wild-type” allele and it usually is chosen as either the first sequenced allele or as the allele from a "non-affected" >> individual (e.g., an individual that does not display a trait or disease phenotype).
- Alleles for SNP markers as referred to herein refer to the bases A, C, G or T as they occur at the polymorphic site.
- variant sequence refers to a sequence that differs from the reference sequence but is otherwise substantially similar. Alleles at the polymorphic genetic markers described herein are variants. Variants can include changes that affect a polypeptide.
- Sequence differences when compared to a reference nucleotide sequence, can include the insertion or deletion of a single nucleotide, or of more than one nucleotide, resulting in a frame shift; the change of at least one nucleotide, resulting in a change in the encoded amino acid; the change of at least one nucleotide, resulting in the generation of a premature stop codon; the deletion of several nucleotides, resulting in a deletion of one or more amino acids encoded by the nucleotides; the insertion of one or several nucleotides, such as by unequal recombination or gene conversion, resulting in an interruption of the coding sequence of a reading frame; duplication of all or a part of a sequence; transposition; or a rearrangement of a nucleotide sequence.
- sequence changes can alter the polypeptide encoded by the nucleic acid.
- the change in the nucleic acid sequence causes a . frame shift
- the frame shift can result in a change in the encoded amino acids, and/or can result in the generation of a premature stop codon, causing generation of a truncated polypeptide.
- a polymorphism can be a synonymous change in one or more nucleotides ( ⁇ e., a change that does not result in a change in the amino acid sequence).
- Such a polymorphism can, for example, alter splice sites, affect the stability or transport of mRNA, or otherwise affect the transcription or translation of an encoded polypeptide.
- polypeptide encoded by the reference nucleotide sequence is the "reference” polypeptide , with a particular reference amino acid sequence, and polypeptides encoded by variant alleles are referred to as "variant" polypeptides with variant amino acid sequences.
- a haplotype refers to a single-stranded segment of DNA that is characterized by a specific combination of alleles arranged along the segment.
- a haplotype comprises one member of the pair of alleles for each polymorphic marker or locus .
- the haplotype can comprise two or more alleles, three or more alleles, four or more alleles, or five or more alleles, each allele corresponding to a specific polymorphic marker along the segment.
- Haplotypes can comprise a combination of various polymorphic ;, markers, e.g., SNPs and microsatellites, having particular alleles at the polymorphic sites. The haplotypes thus comprise a combination of alleles at various genetic markers.
- Detecting specific polymorphic markers and/or haplotypes can be accomplished by methods ': known in the art for detecting sequences at polymorphic sites.
- standard techniques for genotyping for the presence of SNPs and/or microsatellite markers can be used, such as fluorescence-based techniques (Chen, X. et al., Genome Res. 9(5): 492-98 (1999)), utilizing PCR, LCR, Nested PCR and other techniques for nucleic acid amplification.
- SNP genotyping include, but are not limited to, TaqMan genotyping assays and SNPIex platforms (Applied Biosystems), gel electrophoresis (Applied Biosystems), mass spectrometry (e.g., MassARRAY system from Sequenom), minisequencing methods, real-time PCR, Bio-Plex system (BioRad), CEQ and SNPstream systems (Beckman), array hybridization technology (e.g., Affymetrix GeneChip; Perlegen), BeadArray Technologies (e.g., Illumina GoldenGate and Infinium assays), array tag technology ⁇ e.g., Parallele), and endonuclease-based fluorescence hybridization technology (Invader; Third Wave).
- Some of the available array platforms including Affymetrix SNP Array 6.0 and Illumina CI ⁇ IV370-Duo and IM BeadChips, include SIMPs that tag certain CNVs. This allows detection of CINVs via surrogate SNPs included in these platforms.
- SIMPs that tag certain CNVs. This allows detection of CINVs via surrogate SNPs included in these platforms.
- polymorphic markers are detected by sequencing technologies. Obtaining sequence information about an individual identifies particular nucleotides in the context of a sequence. For SNPs, sequence information about a single unique sequence site is sufficient to identify alleles at that particular SNP. For markers comprising more than one nucleotide, sequence information about the nucleotides of the individual that contain the polymorphic site identifies the alleles of the individual for the particular site. The sequence information can be obtained from a sample from the individual. In certain embodiments, the sample is a nucleic acid sample. In certain other embodiments, the sample is a protein sample. i
- nucleic acid sequence Various methods for obtaining nucleic acid sequence are known to the skilled person, and all such methods are useful for practicing the invention.
- Sanger sequencing is a well-known method for generating nucleic acid sequence information.
- Recent methods for obtaining large amounts of sequence data have been developed, and such methods are also contemplated to be useful for obtaining sequence information.
- These include pyrosequencing technology (Ronaghi, M. er a/. Anal Biochem 267:65-71 (1999); Ronaghi, et al. Biotechniq ⁇ es 25:876-873 (1998)), e.g. 454 pyrosequencing (INIyren, P., et al.
- genotypes for un-genotyped relatives of genotyped individuals. For every un-genotyped case, it is possible to calculate the probability of the genotypes of its '* relatives given its four possible phased genotypes. In practice it may be preferable to include only the genotypes of the case's parents, children, siblings, half-siblings (and the half-sibling's * parents), grand-parents, grand-children (and the grand-children's parents) and spouses. It will be assumed that the individuals in the small sub-pedigrees created around each case are not ⁇ related through any path not included in the pedigree.
- Pr(genotypesof relatives; ⁇ ) ⁇ Pr(A;#) Pr(genotypes of relatives
- ⁇ denotes the A allele's frequency in the cases. Assuming the genotypes of each set of relatives are independent, this allows us to write down a likelihood function for ⁇ ;
- the likelihood function in (*) may be thought of as a pseudolikelihood approximation of the full likelihood function for ⁇ which properly accounts for all dependencies.
- the genotvped cases and controls in a case-control association study are not independent and applying the case-control • method to related cases and controls is an analogous approximation.
- the method of genomic control (Devlin, B. et al., Nat Genet 36, 1129-30; author reply 1131 (2004)) has proven to be ' successful at adjusting case-control test statistics for relatedness. We therefore apply the method of genomic control to account for the dependence between the terms in our pseudolikelihood and produce a valid test statistic.
- an individual who is at an increased susceptibility (i.e., increased risk) for a disease is an Individual in whom at least one specific allele at one or more polymorphic marker or haplotype conferring increased susceptibility (increased risk) for the disease is identified (i.e., at-risk marker alleles or haplotypes).
- the at-risk marker or haplotype is one that confers an increased risk (increased susceptibility) of the disease.
- significance associated with a marker or haplotype is measured by a relative risk (RR).
- significance associated with a marker or haplotye is measured by an odds ratio (OR).
- the significance is measured by a percentage.
- a significant increased risk is measured as a risk (relative risk and/or odds ratio) of at least 1.2, including but not limited to: at least 1.2, at least 1.3, at least 1.4, at least 1.5, at least 1.6, at least 1.7, 1.8, at least 1.9, at least 2.0, at least 2.5, at least 3.0, at least 4.0, and at least 5.0.
- a risk (relative risk and/or odds ratio) of at least 1.2 is significant.
- a risk of at least 1.3 is significant.
- a risk of at least 1.4 is significant.
- a relative risk of at . least 1.5 is significant.
- a significant increase in risk is at least ' 1.7 is significant.
- other cutoffs are also contemplated, e.g., at least 1.15, 1.25, 1.35, and so on, and such cutoffs are also within scope of the present invention.
- a significant increase in risk is at least about 20%, including but not limited to about 25%, 30%, 35%, 40%, 45%, 50%, 55%, 60%, 65%, 70%, 75%, 80%, 85%, 90%, 95%, 100%, 150%, 200%, 300%, and 500%.
- a significant increase in risk is at least 20%.
- a significant increase in risk is at least 30%, at least 40%, at least 50%, at least 60%, at least 70%, at least 80%, at least 90% and at least 100%.
- Other cutoffs or ranges as deemed suitable by the person skilled in the art to characterize the invention are however also contemplated, and those are also within scope of the present . . invention.
- a significant increase in risk is characterized by a p-value, . such as a p-value of less than 0.05, less than 0.01, less than 0.001, less than 0.0001, less than 0.00001, less than 0.000001, less than 0.0000001, less than 0.00000001, or less than 0.000000001.
- An at-risk polymorphic marker or haplotype of the present invention is one where at least one allele of at least one marker or haplotype is more frequently present in an individual at risk for : the disease or trait (affected), or diagnosed with the disease or trait, compared to the frequency of its presence in a comparison group (control), such that the presence of the marker or haplotype is indicative of susceptibility to the disease or trait (e.g., breast cancer).
- the control group may in one embodiment be a population sample, i.e. a random sample from the general . population.
- the control group is represented by a group of individuals; who are disease-free, i.e. individuals who have not been diagnosed with breast cancer.
- disease-free control may in one embodiment be characterized by the absence of one or more specific disease-associated symptoms.
- the disease-free control group is characterized by the absence of one or more disease-specific risk factors.
- risk factors are in one embodiment at least one environmental risk factor.
- Representative environmental factors are natural products, minerals or other chemicals which are known to affect, or contemplated to affect, the risk of developing the specific disease or trait.
- Other environmental risk factors are ' ⁇ risk factors related to lifestyle, including but not limited to food and drink habits, geographical location of main habitat, and occupational risk factors.
- the risk factors are at least one genetic risk factor.
- a simple test for correlation would be a Fisher-exact test on a two by two table.
- the two by two table is constructed out of the number of chromosomes that include both of the markers or haplotypes, one of the markers or haplotypes but not the other and neither of the markers or haplotypes.
- Other statistical tests of association known to the skilled person are also contemplated and are also within scope of the invention.
- markers with two alleles present in the population being studied such as SNPs
- the other allele of the marker will be found in decreased frequency in the group of individuals with the trait or disease, compared with controls.
- one allele of the marker (the one found in increased frequency in individuals with the trait or disease) will be the at- ⁇ sk allele, while the other allele will be a protective allele.
- an individual who is at a decreased susceptibility (i.e., at a decreased risk) for a disease or trait is an individual in whom at least one specific allele at one or more polymorphic marker or haplotype conferring decreased susceptibility for the disease or trait is identified.
- the marker alleles and/or haplotypes conferring decreased risk are also said to be protective.
- the protective marker or haplotype is one that confers a significant decreased risk (or susceptibility) of the disease or trait.
- significant decreased risk is measured as a relative risk of less than 0 90, including but not limited to less than 0.85, less than 0.80, less than 0.75, less than 0.7, less than 0.6, less than 0.5, less than 0.4, less than 0.3, less than 0.2 and less than 0.1. In one particular embodiment, significant decreased risk is less than 0.90. In another embodiment, significant decreased risk is less than 0.85. In yet another embodiment, significant decreased risk is less than 0.80.
- the decrease in risk is at least 10%, including but not limited to at least 15%, at least 20%, at least 25%, at least 30%, at least 35%, at least 40%, at least 45%, at least 50%, at least 55%, at least 60%, at least 65%, at least 70%, at least 80%, at least 85%, at least 90%, at least 95% and at least 98%.
- a significant decrease in risk is at least about 15%.
- a significant decrease in risk at least about 20%.
- the decrease in risk is at least about 25%.
- Other cutoffs or ranges as deemed suitable by the person skilled in the art to characterize the invention are however also contemplated, and those are also within scope of the present invention.
- a genetic variant associated with a disease or a trait can be used alone to predict the risk of the disease for a given genotype.
- a biallelic marker such as a SNP
- Risk associated with variants at multiple loci can be used to estimate overall risk
- there are k possible genotypes k 3" x 2"; where ⁇ is the number autosomal loci and p the number of gonosomal (sex chromosomal) loci.
- Overall risk assessment calculations usually assume that the relative risks of different genetic variants multiply, / e.
- the overall risk (e.g., RR or OR) associated with a particular genotype combination is the product of the risk values for the genotype at each locus. If the risk presented is the relative risk for a person, or a specific genotype for a person, compared to a reference population with matched gender and ethnicity, then the combined risk is the product of the locus specific risk values and also corresponds to an overall risk estimate compared with the population. If the risk for a person is based on a comparison to non-car ⁇ ers of the at risk allele, then the combined risk corresponds to an estimate that compares the person with a given combination of genotypes at all loci to a group of individuals who do not carry risk variants at . any of those loci.
- the risk presented is the relative risk for a person, or a specific genotype for a person, compared to a reference population with matched gender and ethnicity
- the combined risk is the product of the locus specific risk values and also corresponds to an overall risk estimate compared with the population. If the risk
- the group of non-carriers of any at risk variant has the lowest estimated risk and has a combined risk , compared with itself (i.e., non-carriers) of 1.0, but has an overall risk, ' compare with the population, of less than 1.0, It should be noted that the group of non-carriers can potentially be very small, especially for large number of loci, and in that case, its relevance, is correspondingly small.
- the multiplicative model is a parsimonious model that usually fits the data of complex traits reasonably well. Deviations from multiplicity have been rarely described in the context of common variants for common diseases, and if reported are usually only suggestive since very • large sample sizes are usually required to be able to demonstrate statistical interactions between loci.
- multiplicative model applied in the case of multiple genetic variant will also be valid in conjugation with non-genetic risk variants assuming that the genetic variant does not clearly correlate with the "environmental" factor.
- genetic and non-genetic at-risk variants can be assessed under the multiplicative vi model to estimate combined risk, assuming that the non-genetic and genetic risk factors do not interact.
- the combined or overall risk associated with any plurality of these and other variants associated with breast cancer may be assessed. This includes the variants that are shown and claimed herein to be predictive of breast cancer risk.
- Linkage Disequilibrium refers to a non-random assortment of two genetic elements. For example, if a particular genetic element (e.g., an allele of a polymorphic marker, or a haplotype) occurs in a population at a frequency of 0.50 (50%) and another element occurs at a frequency of 0.50 (50%), then the predicted occurrance of a person's having both elements is 0.25 (25%), assuming a random distribution of the elements. However, if it is discovered that the two elements occur together at a frequency higher than 0.125, then the elements are said to be in ,.
- a particular genetic element e.g., an allele of a polymorphic marker, or a haplotype
- Allele or haplotype frequencies can be determined in a population by genotyping individuals in a population and determining the frequency of the occurence of each allele or haplotype in the population. For populations of diploids, e.g., human populations, individuals will typically have two alleles for each genetic element (e.g., a marker, haplotype or gene).
- that is ⁇ 1 Indicates that historical recombination may have occurred between two sites (recurrent mutation can also cause
- the measure r 2 represents the statistical correlation between two sites, and takes the value of 1 if only two haplotypes are present.
- the r 2 measure is arguably the most relevant measure for association mapping, because there is a simple inverse relationship between r 2 and the sample size required to detect association between susceptibility loci and particular SNPs. These measures are defined for pairs of sites, j but for some applications a determination of how strong LD is across an entire region that contains many polymorphic sites might be desirable (e.g., testing whether the strength of LD ⁇ • differs significantly among loci or across populations, or whether there is more or less LD in a region than predicted under a particular model ⁇ . Roughly speaking, r measures how much recombination would be required under a particular population model to generate the LD that is seen in the data.
- a significant r 2 value between markers indicative of the markers bein in linkage disequilibrium can be at least 0.1, such as at least 0.15, 0.20, 0.25, 0.30, 0.35, 0.40, 0.45, 0.50, 0.55, 0.60, 0.65, 0.70, 0.75, 0.80, 0.85, 0.90, 0.91, 0.92, 0.93, 0.94, 0.95, 0.96, 0.97, 0.98, or at least 0.99.
- the significant r 2 value can be at least 0.2.
- markers in linkage disequilibrium are characterized by values of
- linkage disequilibrium represents a correlation between alleles of distinct markers.
- linkage disequilibrium is defined in terms of values for both the r 2 and
- a significant linkage disequilibrium is defined as r 2 > 0.1 and
- a significant ' ⁇ linkage disequilibrium is defined as r 2 > 0.2 and
- for determining linkage disequilibrium are also contemplated, and are also within the scope of the invention.
- Linkage disequilibrium can be determined in a single human population, as defined herein, or it can be determined in a collection of samples comprising individuals from more than one human population.
- LD is determined in a sample from one or more of the HapMap populations (Caucasian, African (Yuroban), Japanese, Chinese), as defined (http://www.hapmap.org).
- LD is determined in the CEU population of the HapMap samples (Utah residents with ancestry from northern and western Europe). In another embodiment, LD is determined in the YRI population of the HapMap samples (Yuroba in Ibadan, Nigeria). . In another embodiment, LD is determined in the CHB population of the , HapMap samples (Han Chinese from Beijing, China). In another embodiment, LD is determined. in the JPT population of the HapMap samples (Japanese from Tokyo, Japan). In yet another embodiment, LD is determined in samples from the Icelandic population.
- Genomic LD maps have been generated across the genome, and such LD maps have been proposed to serve as framework for mapping disease-genes (Risch, N. & Merkiangas, K, Science 273: 1516-1517 (1996); Maniatis, N., er a/., Pr ⁇ c Natl Acad Sci USA 99:2228-2233 (2002); Reich, DE et al, Nature 411 : 199-204 (2001)).
- blocks can be defined as regions of DNA that have limited haplotype diversity (see, e.g., Daly, M. et al., Nature Genet. 29:229-232 (2001); Patil, N. et al., Science 294:1719-1723 (2001); Dawson, E. et al., Nature ⁇ 4JS:544-548 (2002); Zhang, K. et al., Proc. Natl. Acad. Sci. USA 99:7335-7339 (2002)), or as regions between transition zones having extensive historical recombination, identified using linkage disequilibrium (see, e.g., Gabriel, S. B.
- the map reveals the enormous variation in recombination across the genome, with recombination rates as high as 10-60 cM/Mb in hotspots, while closer to 0 in intervening regions, which thus represent regions of limited haplotype diversity and high LD.
- the map can therefore be used to define haplotype blocks/LD blocks as regions flanked by ' recombination hotspots.
- haplotype block or "LD block” includes blocks defined by any of the above described characteristics, or other alternative methods used by the person skilled in the art to define such regions.
- LD block C09 refers to the Linkage Disequilibrium (LD) block on Chromosome 9 between positions 36,806,001 and 36,859,001 of NCBI (National Center for Biotechnology Information) Build 36.
- LD Linkage Disequilibrium
- Haplotype blocks can be used to map associations between phenotype and haplotype status, using single markers or haplotypes comprising a plurality of markers.
- the main haplotypes can be identified in each haplotype block, and then a set of "tagging" SNPs or markers (the smallest set of SNPs or markers needed to distinguish among the haplotypes) can then be identified.
- These tagging SNPs or markers can then be used in assessment of samples from groups of individuals, in order to identify association between phenotype and haplotype. Markers shown herein to be associated with breast cancer are such tagging markers.
- neighboring haplotype blocks can be assessed concurrently, as there may also exist linkage disequilibrium among the haplotype blocks.
- markers used to detect association thus in a sense represent "tags" for a genomic region (i.e., a haplotype block or LD block) that is associating with a given disease or trait.
- a genomic region i.e., a haplotype block or LD block
- One or more causative (functional) variants or mutations may reside within the region found to be associating to the disease or trait. The functional variant .
- markers in LD with the variants described herein may confer a higher relative risk (RR) or odds ratio (OR) than observed for the tagging markers used to detect the association.
- the present invention thus refers to the markers used for detecting association to the disease, as described herein, as well as markers in linkage disequilibrium with the markers.
- markers that are in LD with the markers originally used to detect an association may be used as surrogate markers.
- the surrogate markers have in one embodiment relative risk (RR) and/or odds ratio (OR) values smaller than originally detected. In other embodiments, the surrogate markers have RR or OR values greater than those initially determined for the markers initially found to be associating with the disease.
- An example of such an embodiment would be a rare, or relatively rare ( ⁇ 10% allelic population frequency) variant in LD with a more common variant (> 10% population frequency) initially found to be associating with the disease. Identifying and using such surrogate markers for detecting the association can be performed by routine methods well known to the person skilled in the art, and are therefore within the scope of the present invention.
- the frequencies of haplotypes in patient and control groups can be estimated using an expectation-maximization algorithm (Dempster A. et a/., J. R. Stat. Soc. B 1 39: 1-38 (1977)).
- An implementation of this algorithm that can handle missing genotypes and uncertainty with the phase can be used.
- the patients and the controls are assumed to have identical frequencies.
- a likelihood approach an alternative hypothesis is tested, where a candidate at-risk-haplotype, which can include the markers described herein, is allowed to have a higher frequency in patients than controls, while the ratios of the frequencies cf other, haplotypes are assumed to be the same in both groups.
- Likelihoods are maximized separately under both hypotheses and a corresponding 1-df likelihood ratio statistic is used to evaluate the statistical significance.
- a susceptibility region for example, within an LD block region
- association of all possible combinations of genotyped markers within the region is studied.
- the combined patient and control groups can be randomly divided into two sets, equal in size to the original group of patients and controls.
- the marker and haplotype analysis is then repeated and the most significant p-value registered is determined.
- This randomization scheme can be repeated, for example, over 100 times to construct an empirical distribution of p-values.
- a p-value of ⁇ 0.05 is indicative of an significant marker and/or haplotype association.
- haplotype analysis involves using likelihood-based inference applied to NEsted MOdels (Gretarsdottir S., et al., Nat. Genet. 35:131-38 (2003)).
- the method is ' implemented in the program NEMO, which allows for many polymorphic markers, SNPs and microsatellites.
- the method and software are specifically designed for case-control studies where the purpose is to identify haplotype groups that confer different risks. It is also a tool for studying LD structures.
- maximum likelihood estimates, likelihood ratios and p-values are calculated directly, with the aid of the EM algorithm, for the observed data treating it as a •' missing-data problem.
- the Fisher exact test can be used to calculate two- : sided p-values for each individual allele. Correcting for relatedness among patients can be done by extending a variance adjustment procedure previously described (Risch, N. & Teng, J. Genome Res., 8: 1273-1288 (1998)) for sibships so that it can be applied to general familial relationships.
- the method of genomic controls (Devlin, B. & Roeder, K. Biometrics 55:997 (1999)) can also be used to adjust for the relatedness of the individuals and possible stratification.
- relative risk and the population attributable risk (PAR) can be calculated assuming a multiplicative model (haplotype relative risk model) (Terwilliger, J. D. & Ott, J., Hum. Hered. 42:337-46 (1992) and FaIk, CT. & Rubinstein, P, Ann. Hum. Genet. 51 (Pt 3):227-33 (1987)), i.e., that the risks of the two alleles/haplotypes a person carries multiply.
- a multiplicative model haplotype relative risk model
- RR is the risk of A relative to a
- the risk of a person homozygote AA will be RR times that of a heterozygote Aa and RR 2 times that of a homozygote- aa.
- the multiplicative model has a nice property that simplifies analysis and computations — haplotypes are independent, i.e., in Hardy-Wei nberg equilibrium, within the affected population as well as within the control population.
- An association signal detected in one association study may be replicated in a second cohort, J ideally from a different population (e.g., different region of same country, or a different country) of the same or different ethnicity.
- the advantage of replication studies is that the number of tests performed in the replication study is usually quite small, and hence the less stringent the statistical measure that needs to be applied. For example, for a genome-wide search for susceptibility variants for a particular disease or trait using 300,000 SNPs, a correction for the . 300,000 tests performed (one for each SNP) can be performed. Since many SNPs on the arrays typically used are correlated (i.e., in LD), they are not independent. Thus, the correction is conservative.
- the appropriate statistical test for significance is that for a single statistical test, i.e., P-value less than 0.05.
- Replication studies in one or even several additional case-control cohorts have the added advantage of providing assessment of the association signal in additional populations, thus simultaneously confirming the initial finding and providing an assessment of the overall significance of the genetic variant(s) being tested in human populations in general. i The results from several case-control cohorts can also be combined to provide an overall assessment of the underlying effect.
- the methodology commonly used to combine results from multiple genetic association studies is the Mantel-Haenszel model (Mantel and Haenszel, J Natl Cancer Inst 22:719-48 (1959)).
- the model is designed to deal with the situation where association results from different populations, with each possibly having a different population , frequency of the genetic variant, are combined.
- the model combines the results assuming that the effect of the variant on the risk of the disease, a measured by the OR or RR, is the same in all populations, while the frequency of the variant may differ between the populations.
- Combining the results from several populations has the added advantage that the overall power to detect a real underlying association signal is Increased, due to the increased statistical power provided by the combined cohorts.
- any deficiencies in individual studies, for example due to unequal matching of cases and controls or population stratification will tend to > balance out when results from multiple cohorts are combined, again providing a better estimate of the true underlying genetic effect.
- an absolute risk of developing a disease or trait defined as the chance of a person developing the specific disease or trait over a specified time-period.
- a woman's lifetime absolute risk of breast cancer is one in nine. That is to say, one woman in every nine will develop breast cancer at some point in their lives.
- Risk is typically measured by looking at very large numbers of people, rather than at a particular individual. Risk is often presented in terms of Absolute Risk (AR) and Relative Risk (RR).
- AR Absolute Risk
- RR Relative Risk
- Relative Risk is used to compare risks associating with two variants or the risks of two different groups of people. For example, it can be used to compare a group of people with a certain genotype with another group having a different genotype.
- a relative risk of 2 means that one group has twice the chance of developing a disease as the other group.
- the creation of a model to calculate the overall genetic risk involves two steps: i) conversion of- odds-ratios for a single genetic variant into relative risk and ii) combination of risk from multiple variants in different genetic loci into a single relative risk value. /
- allelic odds ratio equals the risk factor:
- RR(aa) Pr(A
- aa)/Pr(A) (Pr(A
- bb))
- p and “q” are the allele frequencies of “a” and “b” respectively.
- the allele frequency estimates may be obtained from the publications that report the odds-ratios and from the HapMap database. Note that in the case , l where we do not know the genotypes of an individual, the relative genetic risk for that test or marker is simply equal to one. As an example, for marker rs999737 on chromosome 14, allele C has an allelic OR for breast cancer of 1.15 and a frequency (p) around 0.76 in Caucasian populations. The genotype relative risk compared to genotype TT are estimated based on the multiplicative model.
- the average population risk relative to genotype TT (which is defined to have a risk of one) is:
- RR(gl,g2) RR(gl)RR(g2)
- gl,g2) Pr(A
- g2)/Pr(A) and Pr(gl,g2) Pr(gl)Pr(g2)
- Obvious violations to this assumption are markers that are closely spaced on the genome, i.e. in linkage disequilibrium, such that the concurrence of two or more risk alleles is correlated.
- the model applied is not expected to be exactly true since it is not based on an underlying bio-physical model.
- the multiplicative model has so far been found to fit the data adequately, i.e. no significant deviations are detected for many common diseases for which many risk variants have been discovered.
- overall risk for any plurality of markers (or haplotypes) may be assessed.
- the lifetime risk of an individual is derived by multiplying the overall genetic risk relative to the population with the average life-time risk of the disease in the general population of the same ethnicity and gender and in the region of the individual's geographical origin. As there are usually several epidemiologic studies to choose from when defining the general population risk, we will pick studies that are well-powered for the disease definition that has been used for the genetic variants.
- certain polymorphic markers and haplotypes comprising such markers are ⁇ ( found to be useful for risk assessment of breast cancer.
- Risk assessment can involve the use of the markers for diagnosing a susceptibility to breast cancer.
- Particular alleles of certain polymorphic markers are found more frequently in individuals with breast cancer, than in individuals without diagnosis of breast cancer. Therefore, these marker alleles have predictive value for detecting breast cancer, or a susceptibility to breast cancer, in an individual.
- Tagging markers in linkage disequilibrium with at- ⁇ sk variants (or protective variants) described herein can be used as surrogates for these markers (and/or haplotypes).
- Such surrogate markers can be located within a particular haplotype block or LD block.
- Such surrogate markers can also sometimes be located outside the physical boundaries of such a haplotype block or LD block, either in close vicinity of the LD block/haplotype block, but possibly also located in a more distant genomic location.
- Long-distance LD can for example arise if particular genomic regions (e.g., genes) are in a functional relationship. For example, if two genes encode proteins that play a role in a shared metabolic pathway, then particular variants in one gene may have a direct impact on observed variants for the other gene. Let us consider the case where a variant in one gene leads to increased expression of the gene product. To counteract this effect and preserve overall flux of the particular pathway, this variant may have led to selection of one (or more) variants at a second gene that confers decreased expression levels of that gene.
- genomic regions e.g., genes
- Markers with values of r 2 equal to 1 are perfect surrogates for the at-risk variants (anchor variants), i.e. genotypes for one marker perfectly predicts genotypes for the other. Markers with smaller values of r 2 than 1 can also be surrogates for the at-risk variant, or alternatively represent variants with relative risk values as high as or possibly even higher than the at-rlsk ' variant. In certain preferred embodiments, markers with values of r 2 to the at-risk anchor variant are useful surrogate markers.
- the at-risk variant identified may not be the functional variant itself, but is In this instance in linkage disequilibrium with the true functional variant.
- the functional variant may be a SNP, but may also for example be a tandem repeat, such as a minisatellite or a microsatellite, a transposable element (e.g., an AIu element), or a structural alteration, such as a deletion, Insertion or inversion (sometimes also called copy number variations, or CNVs).
- the present invention encompasses the assessment of such surrogate markers for the markers as disclosed herein. Such markers are annotated, mapped and listed in public databases, as well known to the skilled person, or can alternatively be readily identified by sequencing the region or a part of the region identified by the markers of the present invention In a group of individuals, and identify polymorphisms in the resulting group of sequences.
- the person skilled in the art can readily and without undue experimentation identify and genotype surrogate markers in linkage disequilibrium with the markers and/or haplotypes as described herein.
- the tagging or surrogate markers in LD with the at- ⁇ sk variants detected also have predictive value.
- the present invention can in certain embodiments be practiced by assessing a sample comprising genomic DNA from an individual for the presence of certain variants described herein to be associated with breast cancer.
- Such assessment includes steps of detecting the presence or absence of at least one allele of at least one polymorphic marker, using methods well known to the skilled person and further described herein, and based on the outcome of such assessment, determine whether the individual from whom the sample is derived is at increased or decreased risk (increased or decreased susceptibility) of breast cancer.
- the invention can be practiced utilizing a dataset comprising information about the genotype status* of at least one polymorphic marker described herein to be associated with breast cancer (or markers in linkage disequilibrium with at least one marker shown herein to be associated with breast cancer).
- a dataset containing information about such genetic status for example in the form of genotype counts at a certain polymorphic marker, or a plurality of markers (e.g., an indication of the presence or absence of certain at- ⁇ sk alleles), or actual genotypes for one or more markers, can be queried for the presence or absence of certain at- ⁇ sk alleles at certain polymorphic markers shown by the present inventors to be associated with ' breast cancer.
- a positive result for a variant ⁇ e.g., marker allele) associated with increased risk of breast cancer, as shown herein, is indicative of the individual from which the dataset is derived is at increased susceptibility (increased risk) of breast cancer.
- a polymorphic marker is correlated to breast cancer by referencing genotype data for the polymorphic marker to a database, such as a look-up table that comprises correlations datas between at least one allele of the polymorphism and breast cancer.
- the table comprises a correlation for one polymorphism.
- the table comprises a correlation for a plurality of polymorphisms. In both scenarios, by referencing to a look-up table that gives an indication of a correlation between a marker and breast cancer, a risk for breast cancer, or a susceptibility to breast cancer, can be identified in the individual from whom the sample is derived.
- the correlation is reported as a statistical measure.
- the statistical measure may be reported as a risk measure, such as a relative risk (RR), an absolute risk (AR) or an odds ratio (OR).
- Risk markers may be useful for risk assessment and diagnostic purposes, either alone or in combination. Results of disease risk assessment based on the markers described herein can also be combined with data for other genetic markers or risk factors for the disease, to establish overall risk. Thus, even in cases where the increase in risk by individual markers is relatively modest, e.g. on the order of 10-30%, the association may have significant implications when combined with other risk markers. Thus, relatively common variants may have significant contribution to the overall risk (Population Attributable Risk is high), or combination of markers can be used to define groups of individual who, based on the combined risk of the markers, is at significant combined risk of developing the disease.
- combined risk can be assessed based on genotype results for any one of, or combinations of rs2005154, rs2184380, rs2224696, rs2242503, rsl2291026, rs999737, rs9956546, rsll912922, and rs6001954.
- Such combinations can also include other susceptibility markers for breast cancer, such as markers on chromosome 5pl2 and chromosome 10q26, e.g., marker rslO941679 and marker rsl219648 (Stacey, S, N. et a! Nat Genet 40:703-6 (2008)).
- markers in LD with any one of these markers could be assessed.
- markers known to confer risk of breast cancer can also be assessed together with the markers described herein, such as markers on chromosome 2ql4 (e.g., marker rs4848543 or markers in linkage disequilibrium therewith), 2q35 (e.g., marker rsl3387042, or markers in linkage disequilibrium therewith), and chromosome 16 (e.g., marker rs3803662, or markers in linkage disequilibrium therewith) (Stacey, S.N. et al. Nat Genet 39:865-9 (2007)).
- markers on chromosome 2ql4 e.g., marker rs4848543 or markers in linkage disequilibrium therewith
- 2q35 e.g., marker rsl3387042, or markers in linkage disequilibrium therewith
- chromosome 16 e.g., marker rs3803662, or markers in linkage disequilibrium therewith
- a plurality of variants is used for overall risk assessment.
- These variants are in one embodiment selected from the variants as disclosed herein.
- Other embodiments include the use of the variants of the present invention in combination with other variants known to be useful for diagnosing a susceptibility to breast cancer
- the genotype status of a plurality of markers and/or haplotypes is determined in an individual, and the status of the individual compared with the population frequency of the associated variants, or the frequency of the variants in clinically healthy subjects, such as age-matched and sex-matched subjects.
- Methods known in the art such as multivariate analyses or joint risk analyses, such as those described herein, or other methods known to the skilled person, may subsequently be used to determine the overall risk conferred based on the genotype status at the multiple loci. Assessment of risk based on such , analysis may subsequently be used in the methods, uses and kits of the invention, as described herein.
- the methods and kits described herein can be utilized from samples containing nucleic acid material (D(MA or RNA) from any source and from any individual, or from genotype or sequence data derived from such samples.
- the individual is a human individual.
- the individual can be an adult, child, or fetus.
- the nucleic acid source may be any sample comprising nucleic acid material, including biological samples, or a sample comprising nucleic acid material derived there from.
- the present invention also provides for assessing markers and/or haplotypes in individuals who are members of a target population.
- Such a target population is in one embodiment a population or group of individuals at risk of developing the disease, based on other genetic factors, biomarkers, biophysical parameters (e.g., weight, BMD, blood pressure), or general health and/or lifestyle parameters (e.g., history of cancer, history of breast cancer, previous diagnosis of disease, family history of cancer, family history of breast cancer).
- biomarkers e.g., weight, BMD, blood pressure
- general health and/or lifestyle parameters e.g., history of cancer, history of breast cancer, previous diagnosis of disease, family history of cancer, family history of breast cancer.
- the invention provides for embodiments that include Individuals from specific age subgroups, such as those over the age of 40, over age of 45, or over age of 50, 55, 60, 65, 70, 75, 80, or 85.
- Other embodiments of the invention pertain to other age groups, such as individuals aged less than 85, such as less than age 80, less than age 75, or less than age 70, 65, 60, 55, 50, 45, 40, 35, or age 30.
- Other embodiments relate to individuals with age at onset of breast cancer in any of the age ranges described in the above. It is also contemplated that a range of ages may be relevant in certain embodiments, such as age at onset at more than age 45 but less than age 60. Other age ranges are however also contemplated, including all age ranges bracketed by the age values listed in the above.
- the invention furthermore relates to individuals of either gender, males or females.
- the Icelandic population is a Caucasian population of Northern European ancestry.
- a large number of studies reporting results of genetic linkage and association in the Icelandic population have been published in the last few years. Many of those studies show replication of variants, originally identified in the Icelandic population as being associating with a particular disease, in other populations (Sulem, P., et al. Nat Genet May 17 2009 (Epub ahead of print); Rafnar, T., et al. Nat Genet 41:221-7 (2009); Gretarsdottir, S., er a/. Ann Neurol 64:402-9 (2008); Stacey, S. N., et al. Nat Genet 40: 1313-18 (2008); Gudbjartsson, D.
- Such embodiments relate to human subjects that are from one or more human population including, but not limited to, Caucasian populations, European populations, American populations, Eurasian populations, Asian populations, Central/South Asian populations, East Asian populations, Middle Eastern populations, African populations, Hispanic populations, and Oceanian populations.
- European populations include, but are not limited to, Swedish, Norwegian, Finnish, Russian, Danish, Icelandic, Irish, Kelt, English, Scottish, Dutch, Belgian, French, German, Spanish, Portuguese, Italian, Polish, Bulgarian, Slavic, Serbian, Laun, Czech, Greek and Turkish populations.
- the invention relates to individuals of Caucasian origin.
- the racial contribution in individual subjects may also be determined by genetic analysis. Genetic analysis of ancestry may be carried out using unlinked microsatellite markers such as those set out in Smith ef al. (Am J Hum Genet 74, 1001-13 (2004)). In certain embodiments, the invention relates to markers and/or haplotypes identified in specific populations, as described in the above. The person skilled in the art will appreciate that measures of linkage disequilibrium (LD) may give different results when applied to different populations This is due to different population history of different human populations as well as differential selective pressures that may have led to differences in LD in specific genomic regions. It is also well known to the person skilled in the art that certain markers, e.g. SNP markers, are polymorphic in one population but not in another.
- LD linkage disequilibrium
- the person skilled in the art will however apply the methods available and as thought herein to practice the present invention in any given human population.
- This may include assessment of polymorphic markers in the LD region of the present invention, so as to identify those markers that give strongest association within the specific population.
- the at- ⁇ sk variants of the present invention may reside on different haplotype background and in different frequencies in various human populations.
- the invention can be practiced in any given human population
- the goal of breast cancer risk assessment is to provide a rational framework for the development of personalized medical management strategies for all women with the aim of increasing survival and quality of life in high-risk women while minimizing costs, unnecessary interventions and anxiety in women at lower risk.
- Risk prediction models attempt to estimate the risk for breast ' cancer in an individual who has a given set of congenital risk characteristics (e.g., family history, prior benign breast lesion, previous breast tumor).
- the breast cancer risk assessment models most commonly employed in clinical practice estimate inherited risk factors by considering family history.
- the risk estimates are based on the observations of increased risk to individuals with one or more close relatives previously diagnosed with breast cancer. They do not take into account complex pedigree structures. These models have the further disadvantage of not being able to differentiate between carriers and non-carriers of genes with breast cancer predisposing mutations.
- BOADICEA Breast and Ovarian Analysis of Disease Incidence and Carrier Estimation Algorithm
- MENDEL Information on known BRCAl and BRCA2 status is also taken into account.
- the main limitations of the BOADICEA and all other breast cancer risk models currently in use are that they do not incorporate genotypic information from other predisposition genes. Current models depend strongly on family history to act as a surrogate to compensate for the lack of knowledge of non-BRCA genetic determinants of risk.
- chemopreventatlve or hormonal
- prophylactic surgery Patients identified as high risk can be prescribed long-term courses of chemopreventative therapies. This concept is well accepted in ; the field of cardiovascular medicine, but is only now beginning to make an impact in clinical oncology.
- the most widely used oncology chemopreventative is Tamoxifen, a Selective Estrogen Receptor Modulator (SERM).
- SERM Selective Estrogen Receptor Modulator
- Tamoxifen now has proven efficacy as a breast cancer preventative agent [Cuzick, et al., (2003), Lancet, 361, 296-300][Martino, et al., (2004), Oncologist, 9, 116-25].
- the FDA has approved the use of Tamoxifen as a chemopreventative agent in certain high risk women.
- Tamoxifen use increases risks for endometrial cancer approximately ' 2.5-fold, the risk of venous thrombosis approximately 2.0-fold. Risks for pulmonary embolism,- stroke, and cataracts are also increased [Cuzick, et al., (2003), Lancet, 361, 296-300], ; Accordingly, the benefits in Tamoxifen use for reducing breast cancer incidence may not be : ' ⁇ easily translated into corresponding decreases in overall mortality. Another SERM called Raloxifene may be more efficacious in a preventative mode, and does not carry the same risks for endometrial cancer.
- chemo-preventative therapies that may ;. become available, such as the aromatase inhibitors.
- chemopreventative therapies become safer, there is an increased need to identify patients who are genetically predisposed, but do not have massively elevated risks associated with BRCAl & 2 mutation carriers.
- mammographic screening is not without shortcomings and it is conceivable that genetic testing should be used to select people for augmented screening programs.
- One of the drawbacks of mammographic screening is that Is has thus far not been possible to demonstrate a significant effect on improved survival for women . screened under 50 years of age.
- mammography is less effective in women under 50 may be that the density of breast tissue is higher in younger women, making mammographic detection of tumors more difficult.
- breast cancers in predisposed individuals tend to occur at early ages groups and there is a clear association between high breast density and breast cancer risk. Therefore there is a problem with simple increases in mammographic screening for individuals with high predisposition because they would be managed by a technique that performs sub-optimally in the group at highest risk.
- CE-MRI contrast-enhanced magnetic resonance imaging
- infiltrating lobular breast carcinoma is known to have a strong familial component but the genetic variants involved have not yet been identified.
- Patients with ILBC demonstrate poorer responses to common chemotherapy regimes [Mathieu, et al., (2004), Eur J Cancer, 40, 342-51].
- Genetic predisposition models may not only aid in the individualization of treatment strategies, but may play an integral role in the design of these strategies.
- BRCAl and BRCA2 mutant tumor cells have been found to be profoundly sensitive to poly (ADP-ribose) polymerase (PARP) inhibitors as a result of their defective DNA repair pathway [Farmer, et al., (2005), Nature, 434, 917-21], This has stimulated development of small molecule drugs targeted on PARP with a view to their use specifically in BRCA carrier patients. From this example it is clear that knowledge of genetic predisposition may identify drug targets that lead to the development of personalized chemotherapy regimes to be used in combination with genetic risk profiling. Similarly, the markers of the present invention may aid in the identification of novel drugs that target, for example, one or more of the PAXS, TUB, SERPINHl, RAD51L1, FH0D3 and/or TNRC6B genes.
- Cancer chemotherapy has well known, dose-limiting side effects on normal tissues particularly the highly proliferative hemopoetic and gut epithelial cell compartments. It can be anticipated ,.. that genetically-based individual differences exist in sensitivities of normal tissues to cytotoxic drugs. An understanding of these factors might aid in rational treatment planning and in the development of drugs designed to protect normal tissues from the adverse effects of chemotherapy.
- Genetic profiling may also contribute to improved radiotherapy approaches: Within groups of breast cancer patients undergoing standard radiotherapy regimes, a proportion of patients will experience adverse reactions to doses of radiation that are normally tolerated. Acute reactions include erythema, moist desquamation, edema and radiation pneumatitis. Long term reactions ⁇ including telangiectasia, edema, pulmonary fibrosis and breast fibrosis may arise many years • after radiotherapy. Both acute and long-term reactions are considerable sources of morbidity and can be fatal.
- such profiling may include one or several other known genetic risk factors for breast cancer.
- risk factors may be well established high-penetrant risk factors, or they may be one or more of the common, lower penetrance risk factors that have been previously described (e.g., markers rs2005154, rs2184380, rs2224696, rs2242503, rsl2291026, rs999737, rs9956546, rsl 1912922 and rs6001954 or markers in linkage disequilibrium therewith, e.g. markers in Table 4).
- patients with a primary tumor diagnosis are at risk for second primary tumors at a constant annual incidence of 0.7% [Peto and Mack, (2000), Nat Genet, 26, 411-4].
- Patients with BRCA mutations are at significantly greater risks for second primary tumors than most breast :; cancer patients, with absolute risks in the range 40-60%[Easton, (1999), Breast Cancer Res, 1, 14-7], Carriers of BRCA mutations have a greatly increased risk for second primary tumors ...
- kits for use in the various methods presented herein are also encompassed by the invention.
- the present invention pertains to methods of diagnosing, or aiding in the diagnosis of, breast cancer or a susceptibility to breast cancer, by detecting particular allele's at genetic markers that appear more frequently in breast cancer subjects or subjects who are j susceptible to breast cancer.
- the invention is a method of : determining a susceptibility to breast cancer by detecting at least one allele of at least one polymorphic marker (e.g., the markers described herein).
- the invention relates to a method of diagnosing a susceptibility to breast cancer by detecting at least one allele of at least one polymorphic marker.
- the present invention describes methods whereby detection of particular alleles of particular markers or haplotypes is indicative of a susceptibility to breast cancer.
- Such prognostic or predictive assays can also be used to determine prophylactic treatment of a subject prior to the onset of symptoms associated with breast cancer.
- the present invention pertains in some embodiments to methods of clinical applications of diagnosis, e.g., diagnosis performed by a medical professional.
- the invention pertains to methods of diagnosis or determination of a susceptibility performed by a layman.
- the layman can be the customer of a genotyping service,
- the layman may also be a genotype service provider, who performs genotype analysis on a DNA sample from an individual, in order to provide service related to genetic risk factors for particular traits or diseases, based, on the genotype status of the individual (i.e., the customer).
- genotyping technologies including high-throughput genotyping of SNP markers, such as '
- Molecular Inversion Probe array technology e.g., Affymetrix GeneChip
- BeadArray Technologies e.g., Illumina GoldenGate and Infinium assays
- the diagnostic application of disease-associated alleles as described herein can thus for example be performed by the individual, through analysis of his/her genotype data, by a health professional based on , results of a clinical test, or by a third party, including the genotype service provider.
- the third party may also be service provider who interprets genotype information from the customer to provide service related to specific genetic risk factors, including the genetic markers described herein.
- diagnosis or determination of a susceptibility of genetic risk can be made by health professionals, genetic counselors, third parties providing genotyping service, , ( third parties providing risk assessment service or by the layman (e.g., the individual), based on information about the genotype status of an individual and knowledge about the risk conferred by particular genetic risk factors (e.g., particular SNPs).
- diagnosis or determination of a susceptibility of genetic risk can be made by health professionals, genetic counselors, third parties providing genotyping service, , ( third parties providing risk assessment service or by the layman (e.g., the individual), based on information about the genotype status of an individual and knowledge about the risk conferred by particular genetic risk factors (e.g., particular SNPs).
- diagnosis is meant to refer to any available diagnostic method, including those mentioned above.
- a sample containing genomic DNA from an individual is collected.
- Such sample can for example be a buccal swab, a saliva sample, a blood sample, or other suitable ; ' samples containing genomic DNA, as described further herein.
- the genomic DNA is then analyzed using any common technique available to the skilled person, such as high-throughput array technologies. Results from such ge ⁇ oryping are stored in a convenient data storage unit, such as a data carrier, including computer databases, data storage disks, or by other convenient data storage means.
- the computer database is an object database, a • ⁇ ' relational database or a post-relational database.
- the genotype data is subsequently analyzed for the presence of certain variants known to be susceptibility variants for a particular human conditions, such as the genetic variants described herein.
- Genotype data can be retrieved from! the data storage unit using any convenient data query method.
- Calculating risk conferred by a particular genotype for the individual can be based on comparing the genotype of the individual to previously determined risk (expressed as a relative risk (RR) or and odds ratio (OR), for example) for the genotype, for example for an heterozygous carrier of an at-risk variant for a ,. particular disease or trait.
- the calculated risk for the individual can be the relative risk for a person, or for a specific genotype of a person, compared to the average population with matched gender and ethnicity.
- the average population risk can be expressed as a weighted average of • the risks of different genotypes, using results from a reference population, and the appropriate ' calculations to calculate the risk of a genotype group relative to the population can then be performed.
- the risk for an individual is based on a comparison of particular genotypes, for example heterozygous carriers of an at-risk allele of a marker compared with non-carriers of the at-risk allele.
- Using the population average may in certain embodiments be ; more convenient, since it provides a measure which is easy to interpret for the user, i.e. a measure that gives the risk for the individual, based on his/her genotype, compared with the average in the population.
- the calculated risk estimated can be made available to the customer via a website, preferably a secure website. .'
- a service provider will include in the provided service all of the steps qf isolating genomic DNA from a sample provided by the customer, performing genotyping of the isolated DNA, calculating genetic risk based on the genotype data, and report the risk to the customer.
- the service provider will include in the service the interpretation of genotype data for the individual, i.e. , risk estimates for particular genetic variants based on the genotype data for the individual.
- the service provider may include service that includes genotyping service and interpretation of the genotype data, starting from a sample of isolated DNA from the individual (the customer).
- Overall risk for multiple risk variants can be performed using standard methodology. For example, assuming a multiplicative model, i.e. assuming that the risk of individual risk variants' multiply to establish the overall effect, allows for a straight-forward calculation of the overall risk for multiple markers.
- the present invention pertains to methods of diagnosing, or aiding in the diagnosis of, a decreased susceptibility to breast cancer, by detecting particular genetic marker alleles or haplotypes that appear less frequently in breast cancer patients than in individual not diagnosed with breast cancer or in the general population.
- particular marker alleles or haplotypes are associated with risk of breast cancer.
- the marker allele or haplotype is one that confers a significant risk or susceptibility to breast cancer.
- the invention relates to a method of determining a susceptibility to breast cancer in a human individual, the method comprising determining the presence or absence of at least one allele of at least one polymorphic marker in a nucleic acid sample obtained from the individual.
- the invention pertains to methods of determining a susceptibility to breast cancer in a human individual, by screening for at least one marker allele or haplotype as described herein.
- the marker allele or haplotype is more frequently present in a subject having, or who is susceptible to, breast cancer (affected), as compared to the frequency of its presence in a healthy subject (control, such as population controls).
- the significance of association of the at least one marker allele or haplotype is characterized by a p value ⁇ 0.05.
- the significance of association is characterized by smaller p-values, such as ⁇ 0.01, ⁇ 0.001, ⁇ 0.0001, ⁇ 0.00001, ⁇ 0.000001, ⁇ 0.0000001, ⁇ 0.00000001 or ⁇ 0.000000001.
- determination of the presence of the at least one marker allele or ' haplotype is indicative of a susceptibility to breast cancer.
- These diagnostic methods involve detecting the presence or absence of at least one marker allele or haplotype that is associated with breast cancer.
- the detection of the particular genetic marker alleles that make up the particular haplotypes can be performed by a variety of methods described herein and/or known ; in the art.
- genetic markers can be detected at the nucleic acid level (e.g., by direct nucleotide sequencing or by other means known to the skilled in the art) or at the amino acid level if the genetic marker affects the coding sequence of a protein encoded by a breast cancer - associated nucleic acid (e.g., by protein sequencing or by immunoassays using antibodies that recognize such a protein).
- the marker alleles or haplotypes correspond to fragments of a genomic DNA sequence associated with breast cancer. Such fragments encompass the DNA sequence of the polymorphic marker or haplotype in question, but may also include DNA segments in strong LD (linkage disequilibrium) with the marker or haplotype.
- such segments comprises segments in LD with the marker or haplotype (as determined by a value of r 2 greater than 0.1 and/or
- diagnosis of a susceptibility to breast cancer can be accomplished using hybridization methods (see Current Protocols in Molecular Biology, Ausubel, F. et a!., eds., John Wiley & Sons, including all supplements).
- a biological sample from a test subject or individual (a "test sample") of genomic DNA, RNA, or cDNA is obtained from a subject suspected of having, being susceptible to, or predisposed for breast cancer (the "test subject"). The subject can be an adult, child, or fetus.
- the test sample can be from any source that contains genomic DNA, such as a blood sample, sample of amniotic fluid, sample of cerebrospinal fluid, or tissue sample from skin, muscle, buccal or conjunctival mucosa, placenta, gastrointestinal tract or other organs.
- genomic DNA such as a blood sample, sample of amniotic fluid, sample of cerebrospinal fluid, or tissue sample from skin, muscle, buccal or conjunctival mucosa, placenta, gastrointestinal tract or other organs.
- a test sample of DNA from fetal cells or tissue can be obtained by appropriate methods, such as by amniocentesis or chorionic villus sampling.
- the DNA, RNA, or cDNA sample is then examined.
- the presence of a specific marker allele can be indicated by sequence-specific hybridization of a nucleic acid probe specific for the particular allele.
- a haplotype can be indicated by a single nucleic acid probe that is specific for the specific haplotype (i.e., hybridizes specifically to a DNA strand comprising the specific marker alleles characteristic of the haplotype).
- a sequence-specific probe can be directed to hybridize to genomic DNA, RNA, or cDNA.
- a "nucleic acid probe”, as used herein, can be a DNA probe or an RNA probe that hybridizes to a complementary sequence.
- a hybridization sample can be formed by contacting the test sample, such as a genomic DNA sample, with at least one nucleic acid probe.
- a probe for detecting mRNA or genomic DNA is a labeled nucleic acid probe that is capable of hybridizing to mRNA or genomic DNA sequences described herein.
- The, nucleic acid probe can be, for example, a full-length nucleic acid molecule, or a portion thereof, such as an oligonucleotide of at least 15, 30, 50, 100, 250 or 500 nucleotides in length that is sufficient to specifically hybridize under stringent conditions to appropriate mRNA or genomic DNA,
- the oligonucleotide is from about 15 to about 100 nucleotides in ' length. In certain other embodiments, the oligonucleotide is from about 20 to about 50 nucleotides in length.
- the nucleic acid probe can comprise all or a portion of a nucleotide sequence of any one of LD block C09, LD block ClOA, LD block 1OB, LD block CIlA, LD block CIlB, LD block C14, LD block C18, LD block C22A, and LD block C22B as defined herein; alternatively, the nucleic acid probe can comprise all or a portion of a nucleotide sequence comprising the markers set forth in Tables 1 and 4 herein (SEQ ID NO: 1-562), or a nucleotide sequence comprising any one of the PAX5, TUB, SERPINHl , RADSlLl, FHOD3 and TNRC6B genes, as described herein, optionally comprising at least one allele of a marker described herein, or at least one haplotype described herein, or the probe can be the complementary sequence of such a sequence.
- the nucleic acid probe is a portion of the nucleotide sequence of comprising the markers listed in any one of Tables 1, 2, 3 and 4 (SEQ ID NO: 1-562), or a nucleotide sequence comprising any one of the PAX5, TUB, SERPINHl , RAD51L1, FHOD3 and TNRC6B genes or fragments thereof, as described herein, optionally comprising at least one allele of a marker described herein, or at least one allele of one polymorphic marker or haplotype comprising at least one polymorphic marker described herein 1 , or the probe can be the complementary sequence of such a sequence.
- Other suitable probes for use in the diagnostic assays of the invention are described herein.
- Hybridization can be performed by methods well known to the person skilled in the art (see, e.g. , Current Protocols in Molecular Biology, Ausubel, F. et al., eds., John Wiley & Sons, including all supplements).
- hybridization refers to specific hybridization, i.e., hybridization with no mismatches (exact hybridization).
- the hybridization conditions for specific hybridization are high stringency.
- Specific hybridization if present, is detected using standard methods. If specific hybridization • occurs between the nucleic acid probe and the nucleic acid in the test sample, then the sample . contains the allele that is complementary to the nucleotide that is present in the nucleic acid probe.
- the process can be repeated for any markers of the present invention, or markers that , make up a haplotype of the present invention, or multiple probes can be used concurrently to detect more than one marker alleles at a time. It is also possible to design a single probe containing more than one marker alleles of a particular haplotype (e.g., a probe containing alleles complementary to 2, 3, 4, 5 or all of the markers that make up a particular haplotype). Detection of the particular markers of the haplotype in the sample is indicative that the source of the sample has the particular haplotype (e.g., a haplotype) and therefore is susceptible to breast cancer. (i)
- a method utilizing a detection oligonucleotide probe comprising a fluorescent moiety or group at its 3' terminus and a quencher at its 5' terminus, and an enhancer oligonucleotide, is employed, as described by Kutyavin et al. (Nucleic Acid Res. 34:el28 (2006)).
- the fluorescent moiety can be Gig Harbor Green or Yakima Yellow, or other suitable fluorescent moieties.
- the detection probe is designed to hybridize to a short nucleotide sequence that includes the SNP polymorphism to be detected.
- the SNP is anywhere from the terminal residue to -6 residues from the 3' end of the detection probe
- the enhancer is a short oligonucleotide probe which hybridizes to the DNA template 3' relative to the detection probe.
- the probes are designed such that a single nucleotide gap exists between the detection probe , and the enhancer nucleotide probe when both are bound to the template.
- the gap creates a synthetic abasic site that is recognized by an endonuclease, such as Endonuclease IV.
- the enzyme cleaves the dye off the fully complementary detection probe, but cannot cleave a detection probe containing a mismatch. Thus, by measuring the fluorescence of the released ,.
- the detection probe can be of any suitable size, although preferably the probe is relatively short. In one embodiment, the probe is from 5-100 nucleotides in length. In another embodiment, the probe is from 10-50 nucleotides in length, and in another embodiment, the probe is from 12-30 nucleotides in length. Other lengths of the probe are possible and within scope of the skill of the average person skilled in the art.
- the DNA template containing the SNP polymorphism is amplified by Polymerase Chain Reaction (PCR) prior to detection.
- PCR Polymerase Chain Reaction
- the amplified DNA serves as the template for the detection probe and the enhancer probe.
- Certain embodiments of the detection probe, the enhancer probe, and/or the primers used for . amplification of the template by PCR include the use of modified bases, including modified A and modified G.
- modified bases can be useful for adjusting the melting temperature of the nucleotide molecule (probe and/or primer) to the template DNA, for example for increasing, the melting temperature in regions containing a low percentage of G or C bases, in which modified A with the capability of forming three hydrogen bonds to its complementary T can be - used, or for decreasing the melting temperature in regions containing a high percentage of G or C bases, for example by using modified G bases that form only two hydrogen bonds to their complementary C base in a double stranded DNA molecule.
- modified bases are used in the design of the detection nucleotide probe. Any modified base known to the skilled person can be selected in these methods, and the selection of suitable bases is well within the scope of the skilled person based on the teachings herein and known bases available from commercial sources as known to the skilled person. ,
- a peptide nucleic acid (PNA) probe can be used in addition to, or instead of, a nucleic acid probe in the hybridization methods described herein.
- a PNA is a DNA mimic having a peptide-like, inorganic backbone, such as N-(2-aminoethyl)glycine units, with an organic base (A, G, C, T or U) attached to the glycine nitrogen via a methylene carbonyl linker -, (see, for example, Nielsen, P., et al., Bioconjug. Chem. 5:3-7 (1994)).
- the PNA probe can be / designed to specifically hybridize to a molecule in a sample suspected of containing one or more of the marker alleles or haplotypes that are associated with breast cancer.
- a test sample containing genomic DNA obtained from the subject is collected and the polymerase chain reaction (PCR) is used to amplify a fragment comprising one or more markers or haplotypes of the present invention.
- PCR polymerase chain reaction
- identification of a particular marker allele or haplotype associated with breast cancer can be accomplished using a variety of methods (e.g., sequence analysis, analysis by restriction digestion, specific hybridization, single stranded conformation polymorphism assays (SSCP), electrophoretic . analysis, etc.).
- diagnosis is accomplished by expression analysis, for example by using quantitative PCR (kinetic thermal cycling).
- This technique can, for example, utilize commercially available technologies, such as TaqMan ® (Applied Biosystems, Foster City, CA).
- TaqMan ® Applied Biosystems, Foster City, CA.
- the technique can assess the presence of an alteration in the expression or composition of a polypeptide or splicing variant(s) that is encoded by a nucleic acid associated with breast cancer. Further, the expression of the variant(s) can be quantified as physically or functionally different.
- restriction digestion in another method of the invention, analysis by restriction digestion can be used to detect a particular allele if the allele results in the creation or elimination of a restriction site relative to a reference sequence.
- Restriction fragment length polymorphism (RFLP) analysis can be conducted, e.g., as described in Current Protocols in Molecular Biology, supra. The digestion pattern of the relevant DNA fragment indicates the presence or absence of the particular allele in the sample.
- Sequence analysis can also be used to detect specific alleles or haplotypes. Therefore, in one embodiment, determination of the presence or absence of a particular marker alleles or haplotypes comprises sequence analysis of a test sample of DNA or RNA obtained from a subject or individual. PCR or other appropriate methods can be used to amplify a portion of a nucleic acid associated with breast cancer, and the presence of a specific allele can then be detected directly by sequencing the polymorphic site (or multiple polymorphic sites in a haplotype) of the genomic DNA in the sample.
- arrays of oligonucleotide probes that are complementary to target nucleic acid sequence segments from a subject can be used to identify particular alleles at polymorphic sites.
- an oligonucleotide array can be used.
- Oligonucleotide arrays typically comprise a plurality of different oligonucleotide probes that are coupled to a surface of a substrate in different known locations. These arrays can generally be produced using mechanical synthesis methods or light directed synthesis methods that incorporate a combination of photolithographic methods and solid phase oligonucleotide synthesis methods, or by other methods known to the person skilled in the art (see, e.g., Bier, F, F., et al.
- nucleic acid analysis can be used to detect a particular allele at a polymorphic site associated with breast cancer.
- Representative methods include, for example, direct manual sequencing (Church and Gilbert, Proc. Natl. Acad. Sci. USA, 81: 1991-1995 (1988); Sanger, F., et al., Proc. Natl. Acad. Sci. USA, 74:5463-5467 (1977); Beavis, et al. , U.S. Patent No.
- CMC chemical mismatch cleavage
- RNase protection assays Myers, R., et al., Science, 230:1242-1246 (1985); use of polypeptides that recognize nucleotide mismatches, such as E. coli mutS protein; and allele-specific PCR.
- determination of a susceptibility to breast cancer can , be made by examining expression and/or composition of a polypeptide encoded by a nucleic acid associated with breast cancer in those instances where the genetic marker(s) or haplotype(s) of the present invention result in a change in the composition or expression of the polypeptide.
- diagnosis of a susceptibility to breast cancer can be made by examining expression and/or composition of one of these polypeptides, or another polypeptide encoded by a nucleic acid associated with breast cancer, in those instances where the genetic marker or haplotype of the present invention results in a change in the composition or expression of the polypeptide (e.g., one or more of the PAX5, TUB, SERPINHl, RAD51L1, FHOD3 and TNRC6B genes).
- the markers described herein that show association to breast cancer may also affect expression of nearby genes. It is well known that regulatory element affecting gene expression may be located far away, even as far as tenths or hundreds of kilobases away, from the promoter region of a gene.
- a variety of methods can be used for detecting protein expression levels, including enzyme linked immunosorbent assays (ELISA), Western blots, immunoprecipitations and immunofluorescence.
- ELISA enzyme linked immunosorbent assays
- a test sample from a subject is assessed for the presence of an alteration in the expression and/or an alteration in composition of the polypeptide encoded by a nucleic acid associated with breast cancer.
- An alteration in expression of a polypeptide encoded by a nucleic acid associated with breast cancer can be, for example, an alteration in the quantitative polypeptide expression (i.e., the amount of polypeptide produced).
- An alteration in the composition of a polypeptide encoded by a nucleic acid associated with breast cancer is an alteration in the qualitative polypeptide expression (e.g., expression of a mutant polypeptide or of a different splicing variant).
- diagnosis of a susceptibility to breast cancer is made by detecting a particular splicing variant encoded by a nucleic acid associated with breast cancer, or a particular pattern of splicing variants (e.g., the nucleic acids encoding the PAX5, TUB, SERPINHl, RAD51L1, FHOD3 and TNRC6B genes).
- An "alteration" in the '• polypeptide expression or composition refers to an alteration in expression or composition in a test sample, as compared to the expression or composition of the polypeptide in a control sample.
- a control sample is a sample that corresponds to the test sample (e.g., is from the same type of cells), and is from a subject who is not affected by, and/or who does not have a susceptibility to, breast cancer. In one embodiment, the control sample is from a subject that does not possess a marker allele or haplotype as described herein.
- the presence of one or more different splicing variants in the test sample, or the presence of significantly different amounts of different splicing variants in the test sample, as compared with the control sample can be indicative of a susceptibility to breast cancer.
- An alteration in the expression or composition of the polypeptide in the test sample, as compared with the control sample can be indicative of a specific allele in the instance where the allele alters a splice site relative to the reference in the control sample.
- Various means of examining expression or composition of a polypeptide encoded by a nucleic acid are known to the person skilled in the art and can be used, including spectroscopy, colorimetry, electrophoresis, isoelectric focusing, and immunoassays (e.g., David er a/., U.S. Pat. No. 4,376,110) such as immunoblotting (see, e.g., > Current Protocols in Molecular Biology, particularly chapter 10, supra).
- an antibody e.g., an antibody with a detectable label
- Antibodies can be polyclonal or monoclonal.
- An intact antibody, or a fragment thereof e.g., Fv, Fab, Fab', F(ab') 2
- the term "labeled", with regard to the probe or ; antibody, is intended to encompass direct labeling of the probe or antibody by coupling (i.e., physically linking) a detectable substance to the probe or antibody, as well as indirect labeling of the probe or antibody by reactivity with another reagent that is directly labeled.
- indirect labeling examples include detection of a primary antibody using a labeled secondary antibody (e.g., a fluorescently-labeled secondary antibody) and end-labeling of a DNA probe with biotin • such that it can be detected with fluorescently-labeled streptavidin.
- a labeled secondary antibody e.g., a fluorescently-labeled secondary antibody
- the level or amount of polypeptide encoded by a nucleic acid associated with breast cancer is compared with the level or amount of the polypeptide in a control sample.
- a level or amount of the polypeptide in the test sample that is higher or lower than the level or amount of the polypeptide in the control sample, such that the difference is statistically significant is indicative of an alteration in the expression of the polypeptide encoded by the nucleic acid, and is diagnostic for a particular allele or haplotype responsible for causing the difference in expression.
- composition of the polypeptide in a test sample is , compared with the composition of the polypeptide in a control sample.
- both the level or amount and the composition of the polypeptide can be assessed in the test sample and in the control sample.
- determination of a susceptibility to breast cancer is made by detecting at least one marker or haplotype of the present invention, in combination with an additional protein-based, RNA-based or DNA-based assay.
- Kits useful in the methods of the invention comprise components useful in any of the methods described herein, including for example, primers for nucleic acid amplification, hybridization probes, restriction enzymes ⁇ e.g., for RFLP analysis), allele-specific oligonucleotides, antibodies 1 that bind to an altered polypeptide encoded by a nucleic acid of the invention as described herein (e.g., a genomic segment comprising at least one polymorphic marker and/or haplotype of the ' present invention) or to a non-altered (native) polypeptide encoded by a nucleic acid of the invention as described herein, means for amplification of a nucleic acid associated with breast cancer, means for analyzing the nucleic acid sequence of a nucleic acid associated with breast cancer, means for analyzing the amino acid sequence of a polypeptide encoded by a nucleic acid associated with breast cancer, etc.
- kits can for example include necessary buffers, nucleic acid primers for amplifying nucleic acids of the invention (e.g. , one or more of the polymorphic ⁇ markers as described herein), and reagents for allele-specific detection of the fragments amplified using such primers and necessary enzymes (e.g., DNA polymerase). Additionally, kits can provide reagents for assays to be used in combination with the methods of the present invention, e.g., reagents for use with breast cancer diagnostic assays.
- the invention is a kit for assaying a sample from a subject to detect the ' , presence of a breast cancer or a susceptibility breast cancer in a subject, wherein the kit comprises reagents necessary for selectively detecting at least one allele of at least one polymorphism of the present invention in the genome of the individual.
- the reagents comprise at least one contiguous oligonucleotide that hybridizes to a 1 fragment of the genome of the individual comprising at least one polymorphism of the present invention.
- the reagents comprise at least one pair of oligonucleotides that hybridize to opposite strands of a genomic segment obtained from a subject, wherein each oligonucleotide primer pair is designed to selectively amplify a fragment of the genome of the , individual that includes at least one polymorphism, wherein the polymorphism is selected from the group consisting of the polymorphisms as listed in Tables 1 and 4 (SEQ ID NO: 1-56.2), and polymorphic markers in linkage disequilibrium therewith,
- the fragment is at least 20 base pairs in size.
- kits can be designed using portions of the nucleic acid sequence flanking polymorphisms (e.g., SNPs or microsatellites) that are indicative of breast cancer.
- the kit comprises one or more labeled nucleic acids capable of allele-specific detection of one or more specific polymorphic markers or haplotypes associated with breast i cancer, and reagents for detection of the label.
- Suitable labels include, e.g., a radioisotope, a • fluorescent label, an enzyme label, an enzyme co-factor label, a magnetic label, a spin label, an epitope label.
- the polymorphic marker or haplotype to be detected by the reagents of the kit comprises one or more markers, two or more markers, three or more markers, four or more markers or five or more markers selected from the group consisting of the markers in Tables 1 and 4.
- the marker or haplotype to be detected comprises at least one marker from the group of markers in strong linkage disequilibrium, as defined by values of r 2 greater than 0.2, to at least one of the group of markers consisting of the markers ⁇ listed in Tables 1, 2, 3 and 4.
- the marker or haplotype to be detected comprises at least one marker selected from the group of markers consisting of markers rs2005154, rs2184380, rs2224696, rs2242503, rsl2291026, rs999737, rs9956546, rsll912922 and rs6001954.
- the DNA template containing the SNP polymorphism is amplified by Polymerase Chain Reaction (PCR) prior to detection, and primers for such amplification are included in the reagent kit.
- PCR Polymerase Chain Reaction
- the amplified DNA serves as the template for the detection probe and the enhancer probe.
- the DNA template is amplified by means of Whole Genome Amplification (WGA) methods, prior to assessment for the presence of specific polymorphic markers as described herein. Standard methods well known to the skilled person for performing WGA may be utilized, and are within scope of the invention.
- reagents for performing WGA are included in the reagent kit. '
- determination of the presence of a particular marker allele or haplotype is indicative of a susceptibility (increased susceptibility or decreased susceptibility) to breast cancer.
- determination of the presence of the marker allele or haplotype is Indicative of response to a therapeutic agent for breast cancer.
- the ; presence of the marker allele or haplotype is indicative of breast cancer prognosis.
- the presence of the marker allele or haplotype is indicative of progress of breast cancer treatment. Such treatment may include intervention by surgery, medication or by other means (e.g., lifestyle changes).
- a pharmaceutical pack comprising a therapeutic agent and a set of instructions for administration of the therapeutic agent to humans diagnostically tested for one or more variants of the present invention, as disclosed herein.
- the therapeutic agent can be a small molecule drug, an antibody, a peptide, an antisense or rnai molecule, or other therapeutic molecules.
- an individual identified as a carrier of at least one variant of the present invention is instructed to take a prescribed dose of the therapeutic agent.
- an individual identified as a homozygous carrier of at least one variant of the present invention is instructed to take a prescribed dose of the therapeutic agent.
- an individual identified as a non-carrier of at least one variant of the present invention is instructed to take a prescribed dose of the therapeutic agent.
- the kit further comprises a set of instructions for using the reagents comprising the kit.
- the kit further comprises a collection of data comprising correlation data between the polymorphic markers assessed by the kit and susceptibility to breast cancer.
- genes containing, or in linkage disequilibrium with, variants (markers and/or haplotypes) associated with breast cancer e.g., one or more of the PAX5, TUB, SERPlNHl, RAD51L1, FHOD3 and TNRC6B genes, or their products, as well as genes or their products that are directly or indirectly regulated by or interact with these variant genes or their products, can be targeted for the development of therapeutic t agents to treat breast cancer, or prevent or delay onset of symptoms associated with breast cancer.
- Therapeutic agents may comprise one or more of, for example, small non-protein and non-nucleic acid molecules, proteins, peptides, protein fragments, nucleic acids (DNA, RNA), PNA (peptide nucleic acids), or their derivatives or mimetics which can modulate the function and/or levels of the target genes or their gene products.
- small non-protein and non-nucleic acid molecules proteins, peptides, protein fragments, nucleic acids (DNA, RNA), PNA (peptide nucleic acids), or their derivatives or mimetics which can modulate the function and/or levels of the target genes or their gene products.
- nucleic acids and/or variants described herein, or nucleic acids comprising their complementary sequence may be used as antisense constructs to control gene expression in cells, tissues or organs.
- the methodology associated with antisense techniques is well known to the skilled artisan, and is for example described and reviewed in A ⁇ tisenseDrug Technology: Principles, Strategies, and Applications, Crooke, ed., Marcel Dekker Inc., New York (2001).
- antisense agents are comprised of single stranded oligonucleotides (RNA or DNA) that are capable of binding to a complimentary nucleotide » segment.
- RNA-RNA, DNA-DNA or RNA-DNA duplex By binding the appropriate target sequence, an RNA-RNA, DNA-DNA or RNA-DNA duplex is formed.
- the antisense oligonucleotides are complementary to the sense or coding . strand of a gene. It is also possible to form a triple helix, where the antisense oligonucleotide c binds to duplex DNA.
- Several classes of antisense oligonucleotide are known to those skilled in the art, including cleavers and blockers. The former bind to target RNA sites, activate intracellular nucleases ⁇ e.g., RnaseH or Rnase L), that cleave the target RNA.
- Blockers bind to target RNA, inhibit protein translation by steric hindrance of the ribosomes.
- blockers include nucleic acids, morpholino compounds, locked nucleic acids and methylphosphonates (Thompson, Drug Discovery Today, 7:912-917 (2002)).
- Antisense oligonucleotides are useful directly as therapeutic agents, and are also useful for determining and validating gene function, for example by gene knock-out or gene knock-down experiments. Antisense technology is further described in Lavery et al., Curr. Opin. Drug Discov. Devel. 6:561-569 (2003), Stephens et al., Curr. Opin. MoI. Ther. 5: 118-122 (2003), Kurreck, Eur.
- the antisense agent is an oligonucleotide that is capable of binding to a particular nucleotide segment.
- the nucleotide segment comprises any of the PAX5, TUB, SERPINHl , RAD51L1, FH0D3 and TNRC6B genes.
- the antisense nucleotide is capable of binding to a nucleotide segment of as set . forth in SEQ ID NO: 1-562.
- Antisense nucleotides can be from 5-500 nucleotides in length, including 5-200 nucleotides, 5-100 nucleotides, 10-50 nucleotides, and 10-30 nucleotides. In !
- the antisense nucleotides are from 14-50 nucleotides in length, including 14-40 nucleotides and 14-30 nucleotides.
- the variants described herein can also be ⁇ used for the selection and design of antisense reagents that are specific for particular variants. ., Using information about the variants described herein, antisense oligonucleotides or other r ! antisense molecules that specifically target mRNA molecules that contain one or more variants of the invention can be designed. In this manner, expression of mRNA molecules that contain one or more variant of the present invention (i.e. certain marker alleles and/or haplotypes) can be inhibited or blocked.
- the antisense molecules are designed to specifically bind a particular allelic form (i.e., one or several variants (alleles and/or haplotypes)) of the target nucleic acid, thereby inhibiting translation of a product originating from this specific allele or haplotype, but which do not bind other or alternate variants at the specific polymorphic sites , of the target nucleic acid molecule.
- allelic form i.e., one or several variants (alleles and/or haplotypes)
- the molecules can be used for disease treatment.
- the methodology can involve cleavage by means of ribozymes containing nucleotide sequences complementary to one or more regions in the mRNA that attenuate the ability of the mRNA to be translated.
- Such mRNA regions include, for example, protein-coding regions, in ⁇ particular protein-coding regions corresponding to catalytic activity, substrate and/or ligand binding sites, or other functional domains of a protein.
- RNA interference also called gene silencing, is 1 based on using double-stranded RNA molecules (dsRNA) to turn off specific genes.
- dsRNA double-stranded RNA molecules
- siRNA small interfering RNA
- the siRNA molecules are typically about 20, 21, 22 or 23 nucleotides in length.
- one aspect of the invention relates to isolated nucleic acid molecules, and the use of those molecules for RNA interference, i.e. as small interfering RNA molecules (siRNA).
- the Isolated nucleic acid molecules are 18-26 nucleotides in length, preferably 19-25 nucleotides in length, more preferably 20-24 nucleotides in length, and more preferably , 21, 22 or 23 nucleotides in length. ;'
- RNAi-mediated gene silencing originates in endogenously encoded primary microRNA (pri-miRNA) transcripts, which are processed in the cell to generate precursor miRNA (pre-mlRNA). These miRNA molecules are exported from the nucleus to the cytoplasm, where they undergo processing to generate mature miRNA molecules (miRNA), which direct translational inhibition by recognizing target sites in the 3' untranslated regions of mRNAs, and. subsequent mRNA degradation by processing P-bodies (reviewed in Kim & Rossi, Nature Rev. Genet. 8:173-204 (2007)).
- pri-miRNA primary microRNA
- pre-mlRNA precursor miRNA
- RNAi Clinical applications of RNAi include the incorporation of synthetic siRNA duplexes, which preferably are approximately 20-23 nucleotides in size, and preferably have 3' overlaps of 2 nucleotides. Knockdown of gene expression is established by sequence-specific design f ⁇ r the • target mRNA. Several commercial sites for optimal design and synthesis of such molecules are known to those skilled in the art.
- siRNA molecules typically 25-30 nucleotides in length, preferably about 27 nucleotides
- shRNAs small hairpin RNAs
- the latter are naturally expressed, as described in Amarzguioui et al. [FEBS Lett. 579:5974-81 (2005)).
- Chemically synthetic SiRNAs and shRNAs are substrates for in vivo processing, and in some cases provide more potent gene-silencing than shorter designs (Kim et al., Nature Biotech ⁇ ol. 23:222-226 (2005); Siolas et al,, Nature Biotechnol. 23: 227-231 (2005)).
- siRNAs provide for transient silencing of gene expression, because their intracellular concentration is diluted by subsequent cell divisions.
- expressed shRNAs mediate long-term, stable knockdown of target transcripts, for as long as transcription of the shRNA takes place (Marques et al., Nature Biotechnol. 23:559-565 (2006); Brummelkamp et al., Science 296: 550-553 (2002)).
- RNAi molecules including siRNA, miRNA and shRNA
- the variants presented herein can be used to design RNAi reagents that recognize specific nucleic acid molecules comprising specific alleles and/or haplotypes (e.g., the alleles and/or haplotypes of the present invention), while not recognizing nucleic acid molecules comprising other alleles or haplotypes.
- RNAi reagents can thus recognize and destroy the target nucleic acid molecules.
- RNAI reagents can be useful as therapeutic agents (i.e., for turning off disease-associated genes or disease-associated gene variants), but may also be useful for characterizing and validating gene function (e.g., by gene knock-out or gene knockdown experiments).
- RNAi may be performed by a range of methodologies known to those skilled in the art. Methods utilizing non-viral delivery include cholesterol, stable nucleic acid-lipid particle (SNALP), heavy-chain antibody fragment (Fab), aptamers and nanoparticles. Viral delivery methods include use of lentivirus, adenovirus and adeno-associated virus.
- the siRNA molecules are in some embodiments chemically modified to increase their stability. This can include modifications at the 2' position of the ribose, including 2'-O-methylpu ⁇ es and T- fluoropyrimidines, which provide resistance to Rnase activity. Other chemical modifications are possible and known to those skilled in the art.
- a genetic defect leading to increased predisposition or risk for development of breast cancer, or a defect causing breast cancer may be corrected permanently by administering to a subject carrying the defect a nucleic acid fragment that incorporates a repair sequence that supplies the normal/wild-type nucleot ⁇ de(s) at the site of the genetic defect.
- site-specific repair sequence may concompass an RNA/DNA oligonucleotide that operates to promote endogenous . repair of a subject's genomic DNA.
- the administration of the repair sequence may be performed by an appropriate vehicle, such as a complex with polyethelenimme, encapsulated in anionic liposomes, a viral vector such as an adenovirus vector, or other pharmaceutical compositions ' suitable for promoting intracellular uptake of the administered nucleic acid.
- an appropriate vehicle such as a complex with polyethelenimme, encapsulated in anionic liposomes, a viral vector such as an adenovirus vector, or other pharmaceutical compositions ' suitable for promoting intracellular uptake of the administered nucleic acid.
- the genetic defect may then be overcome, since the chimeric oligonucleotides induce the incorporation of the normal sequence into the genome of the subject, leading to expression of the normal/wild-type. gene product.
- the replacement is propagated, thus rendering a permanent repair and alleviation of the symptoms associated with the disease or condition.
- the present invention provides methods for identifying compounds or agents that can be used to treat breast cancer.
- the variants of the invention are useful as targets for the identification and/or development of therapeutic agents.
- such methods include assaying the ability of an agent or compound to modulate the activity and/or expression of a nucleic acid that includes at least one of the variants (markers and/or haplotypes) of the , present invention, or the encoded product of the nucleic acid.
- a nucleic acid that includes at least one of the variants (markers and/or haplotypes) of the , present invention, or the encoded product of the nucleic acid.
- This includes, for example, one or more of the FGFlO, MRPS30, HCNl and FGFR2 genes, and their gene products. This in turn can be used to identify agents or compounds that inhibit or alter the undesired activity or expression of the encoded nucleic acid product.
- Cell-based systems include cells naturally expressing the nucleic acid molecules of interest, or recombinant cells that have been genetically modified so as to express a certain desired nucleic acid molecule.
- Variant gene expression in a patient can be assessed by expression of a variant-containing nucleic acid sequence (for example, a gene containing at least one variant of the present invention, which can be transcribed into RNA containing the at least one variant, and in turn translated into protein), or by altered expression of a normal/wild-type nucleic acid sequence due to variants affecting the level or pattern of expression of the normal transcripts, for example variants in the regulatory or control region of the gene.
- Assays for gene expression include > direct nucleic acid assays (mRNA), assays for expressed protein levels, or assays of collateral compounds involved in a pathway, for example a signal pathway.
- the expression, of genes that are up- or down-regulated in response to the signal pathway can also be assayed,
- One embodiment includes operably linking a reporter gene, such as luciferase, to the regulatory region of the gene(s) of interest.
- Modulators of gene expression can in one embodiment be identified when a cell is contacted with a candidate compound or agent, and the expression of mRNA is determined. The expression level of mRNA in the presence of the candidate compound or agent is compared to the expression level in the absence of the compound or agent. Based on this comparison, candidate compounds or agents for treating breast cancer can be identified as those modulating the gene expression of the variant gene.
- candidate compounds or agents for treating breast cancer can be identified as those modulating the gene expression of the variant gene.
- expression of mRNA or the encoded protein is statistically significantly greater in the presence of the candidate compound or agent than in its absence, then the candidate compound or agent is identified as a stimulator or up-regulator of expression of the nucleic acid.
- nucleic acid expression or protein level is statistically significantly less in the presence of the candidate compound or agent than in its absence, then the candidate compound is identified as an inhibitor or down-regulator of the nucleic acid expression.
- the invention further provides methods of treatment using a compound identified through drug (compound and/or agent) screening as a gene modulator (i.e. stimulator and/or inhibitor of gene expression).
- a gene modulator i.e. stimulator and/or inhibitor of gene expression.
- the basis of the differential response may be genetically determined in part.
- Pharmacogenomics addresses the issue of how genetic variations (e.g., the variants (markers and/or haplotypes) of the present invention) affect drug response, due to altered drug disposition and/or abnormal or altered action of the drug.
- the basis of the differential response may be genetically determined in part.
- Clinical outcomes due to genetic variations affecting drug response may result in toxicity of the drug in certain individuals (e.g., carriers or non-carriers of the genetic variants of the present invention), or therapeutic failure of the drug. Therefore, the variants of the present invention may determine the manner in which/a therapeutic agent and/or method acts on the body, or the way in which the body metabolizes the therapeutic agent.
- the presence of a particular allele at a polymorphic site or haplotype is indicative of a different response rate to a particular treatment modality.
- a patient diagnosed with breast cancer, and carrying a certain allele at a polymorphic or haplotype of the present invention e.g., the at-risk and protective alleles and/or haplotypes of the invention
- the presence of a marker or haplotype of the present invention may be assessed (e.g., through testing DNA derived from a blood sample, as described herein). If (the patient is positive for a marker allele or haplotype (that is, at least one specific allele of the _ marker, or haplotype, is present), then the physician recommends one particular therapy, while if the patient is negative for the at least one allele of a marker, or a haplotype, then a different ; course of therapy may be recommended (which may include recommending that no immediate ' therapy, other than serial monitoring for progression of the disease, be performed).
- the , patient's carrier status could be used to help determine whether a particular treatment modality should be administered. The value lies within the possibilities of being able to diagnose the disease at an early stage, to select the most appropriate treatment, and provide information to the clinician about prognosis/aggressiveness of the disease in order to be able to apply the most appropriate treatment.
- chemopreventive chemotherapy, or hormonal therapy
- prophylactic surgery mainly chemopreventive (chemotherapy, or hormonal therapy) and prophylactic surgery.
- chemopreventive is Tamoxifen and Raloxifene
- other options include other Selective ⁇ Estrogen Receptor Modulator (SERM) and aromatase inhibitors.
- Treatment options also include radiation therapy, for which a proportion of patients experience adverse symptoms.
- the markers of the invention, as described herein, may be used to assess response to these therapeutic options, or to predict the progress of therapy using any one of these treatment options.
- genetic profiling can be used to select the appropriate treatment strategy based" on the genetic status of the individual, or it may be used to predict the outcome of the particular treatment option, and thus be useful in the strategic selection of treatment options or a combination of available treatment options.
- the present invention also relates to methods of monitoring progress or effectiveness of a treatment for a breast cancer. This can be done based on the genotype and/or haplotype status of the markers and haplotypes of the present invention, i.e., by assessing the absence or presence of at least one allele of at least one polymorphic marker as disclosed herein, or by monitoring expression of genes that are associated with the variants (markers and haplotypes) of the present invention.
- the risk gene mRNA or the encoded polypeptide can be measured in a tissue sample (e.g., a peripheral blood sample, or a biopsy sample). Expression levels and/or mRNA levels can thus be determined before and during treatment to monitor its effectiveness.
- the genotype and/or haplotype status of at least one risk variant for breast cancer as presented herein is determined before and during treatment to monitor its effectiveness.
- biological networks or metabolic pathways related to the markers and haplotypes of the present invention can be monitored by determining mRNA and/or polypeptide levels. This can be done for example, by monitoring expression levels or polypeptides for several genes belonging to the network and/or pathway, in samples taken before and during treatment. Alternatively, metabolites belonging to the biological network or metabolic pathway can be determined before and during treatment. Effectiveness of the treatment is determined by comparing observed changes in expression levels/metabolite levels during treatment to corresponding data from healthy subjects.
- the markers of the present invention can be used to increase power and effectiveness of clinical trials.
- individuals who are carriers of the at-risk variants of the present invention i.e. individuals who are carriers of at least one allele of at least one polymorphic marker conferring increased risk of developing breast cancer may be more likely to respond to a particular treatment modality.
- individuals who carry at-risk variants for gene(s) in a pathway and/or metabolic network for which a particular treatment (e.g., small molecule drug) is targeting are more likely to be responders to the treatment.
- individuals who carry at-risk variants for a gene, which expression and/or function is altered by the at-risk variant are more likely to be responders to a treatment modality targeting that gene, its expression or its gene product.
- the markers and haplotypes of the present invention can be used for targeting the selection of pharmaceutical agents for specific individuals. Personalized selection of treatment modalities, lifestyle changes or combination of the two, can be realized by the utilization of the at-risk variants of the present invention.
- the knowledge of an individual's status for particular markers of the present invention can be useful for selection of treatment ⁇ options that target genes or gene products affected by the at- ⁇ sk variants of the invention.
- Certain combinations of variants may be suitable for one selection of treatment options, while other gene variant combinations may target other treatment options.
- Such combination of variant may include one variant, two variants, three variants, or four or more variants, as needed to determine with clinically reliable accuracy the selection of treatment module.
- the methods and information described herein may be implemented, in all or in part, as computer executable instructions on known computer readable media.
- the methods described herein may be implemented in hardware.
- the method may be implemented in software stored in, for example, one or more memories or other computer readable medium and implemented on one or more processors.
- the processors may be associated with one or more controllers, calculation units and/or other units of a computer system, or implanted in firmware as desired.
- the routines may be stored in any computer readable memory such as in RAM, ROM, flash memory, a magnetic disk, a laser disk, or other storage medium, as is also known.
- this software may be delivered to a computing device via any known delivery method including, for example, over a communication channel such as a telephone line, the Internet, a wireless connection, etc., or via a transportable medium, such as a computer readable disk, flash drive, etc.
- a communication channel such as a telephone line, the Internet, a wireless connection, etc.
- a transportable medium such as a computer readable disk, flash drive, etc.
- the various steps described above may be implemented as various blocks, operations, tools, modules and techniques which, in turn, may be implemented in hardware, firmware, software, or any ,, combination of hardware, firmware, and/or software.
- some or all of the blocks, operations, techniques, etc. may be implemented in, for example, a custom integrated circuit (IC), an application specific integrated circuit (ASIC), a field programmable ' logic array (FPGA), a programmable logic array (PLA), etc.
- the software When implemented in software, the software may be stored in any known computer readable ; medium such as on a magnetic disk, an optical disk, or other storage medium, in a RAM or ROM or flash memory of a computer, processor, hard disk drive, optical disk drive, tape drive, etc.
- the software may be delivered to a user or a computing system via any known delivery method including, for example, on a computer readable disk or other transportable computer storage mechanism.
- Fig. 1 illustrates an example of a suitable computing system environment 100 on which a system for the steps of the claimed method and apparatus may be implemented.
- the computing system environment 100 is only one example of a suitable computing environment and is not intended to suggest any limitation as to the scope of use or functionality of the method or apparatus of the claims. Neither should the computing environment 100 be interpreted as having any dependency or requirement relating to any one or combination of components illustrated in the exemplary operating environment 100. .
- the steps of the claimed method and system are operational with numerous other general purpose or special purpose computing system environments or configurations.
- Examples of well known computing systems, environments, and/or configurations that may be suitable for use with the methods or system of the claims include, but are not limited to, personal computers, server computers, hand-held or laptop devices, multiprocessor systems, microprocessor-based systems, set top boxes, programmable consumer electronics, network PCs, minicomputers, mainframe computers, distributed computing environments that include any of the above systems or devices, and the like.
- program modules include routines, programs, objects, components, data structures, . etc. that performs particular tasks or implement particular abstract data types.
- the methods and apparatus may also be practiced in distributed computing environments where tasks are performed by remote processing devices that are linked through a communications network.
- program modules may be located in ⁇ ⁇ both local and remote computer storage media including memory storage devices.
- an exemplary system for implementing the steps of the claimed method and system includes a general purpose computing device in the form of a computer 110.
- Components of computer 110 may include, but are not limited to, a processing unit 120, a system memory 130, and a system bus 121 that couples various system components including the system memory to the processing unit 120.
- the system bus 121 may be any of several types of bus structures including a memory bus or memory controller, a peripheral bus, and a local bus using any of a variety of bus architectures.
- Computer 110 typically includes a variety of computer readable media.
- Computer readable media can be any available media that can be accessed by computer 110 and includes both volatile and nonvolatile media, removable and non-removable media.
- computer readable media may comprise computer storage media and communication media.
- Computer storage media includes both volatile and nonvolatile, removable and non-removable media implemented in any method or technology for storage of information such as computer readable instructions, data structures, program modules or other data.
- Computer storage media includes, but is not limited to, RAM, ROM, EEPROM, flash memory or other memory technology, CD-ROM, digital versatile disks (DVD) or other optical disk storage, magnetic cassettes, magnetic tape, magnetic disk storage or other magnetic storage ⁇ devices, or any other medium which can be used to store the desired information and which can accessed by computer 110.
- Communication media typically embodies computer readable instructions, data structures, program modules or other data in a modulated data signal such as a carrier wave or other transport mechanism and includes any information delivery media.
- modulated data signal means a signal that has one or more of its characteristics set or changed in such a manner as to encode information in the signal.
- communication media includes wired media such as a wired network or direct-wired connection, and wireless media such as acoustic, RF, infrared and other wireless media. Combinations of the any of the above should also be included within the scope of computer readable media.
- the system memory 130 includes computer storage media in the form of volatile and/or nonvolatile memory such as read only memory (ROM) 131 and random access memory (RAM) 132.
- ROM read only memory
- RAM random access memory
- BIOS basic input/output system
- RAM 132 typically contains data and/or program modules that are immediately accessible to and/or presently being operated on by processing unit 120.
- Fig. 1 illustrates operating system 134, application programs 135, other program modules 136, and program data 137.
- the computer 110 may also include other removable/non-removable, volatile/nonvolatile computer storage media.
- Fig. l illustrates a hard disk drive 140 that reads from or writes to non-removable, nonvolatile magnetic media, a magnetic disk drive 151 that reads from or writes to a removable, nonvolatile magnetic disk 152, and an optical disk drive 155 that reads from or writes to a removable, nonvolatile optical disk 156 such as a CD ROM or other optical media.
- removable/non-removable, volatile/nonvolatile computer storage media that can be used in the exemplary operating environment include, but are not limited to, magnetic tape cassettes, flash memory cards, digital versatile disks, digital video tape, solid state RAM, solid state ROM, and the like.
- the hard disk drive 141 is typically connected to the system bus 121 through a non-removable memory interface such as interface, 140, and magnetic disk drive 151 and optical disk drive 155 are typically connected to the system bus 121 by a removable memory interface, such as interface 150.
- hard disk drive 141 is illustrated as storing operating system 144, application programs 145, other program modules 146, and program data 147. Note that these components can either be the same as or different from operating system 134, application programs 135, other program modules 136, and program data 137. Operating system 144, application programs 145, other program modules 146, and program data 147 are given different numbers here to illustrate that, at a minimum, they are different copies.
- a user may enter commands and information into the computer 20 through input devices such as a keyboard 162 and pointing device 161, commonly referred co as a mouse, trackball or touch pad.
- Other input devices may include a microphone, joystick, game pad, satellite dish, scanner, or the like.
- These and other input devices are often connected to the processing unit 120 through a user input interface 160 that is coupled to the system bus, but may be connected by other interface and bus structures, such as a parallel port, game port or a universal serial bus (USB).
- a monitor 191 or other type of display device is also connected to the system bus 121 via an interface, such as a video interface 190.
- computers may also include other peripheral output devices such as speakers 197 and printer 196, which may be connected through an output peripheral interface 190.
- the computer 110 may operate in a networked environment using logical connections to one or more remote computers, such as a remote computer 180.
- the remote computer 180 may be a personal computer, a server, a router, a network PC, a peer device or other common network , node, and typically includes many or all of the elements described above relative to the computer 110, although only a memory storage device 181 has been illustrated in Fig. 1.
- the logical connections depicted in Fig. 1 include a local area network (LAN) 171 and a wide area network (WAN) 173, but may also include other networks.
- LAN local area network
- WAN wide area network
- Such networking environments are commonplace in offices, enterprise-wide computer networks, intranets and the Internet.
- the computer 110 When used in a LAN networking environment, the computer 110 is connected to the LAN 171 through a network interface or adapter 170. When used in a WAN networking environment, the computer 110 typically includes a modem 172 or other means for establishing communications over the WAN 173, such as the Internet.
- the modem 172 which may be internal or external, may be connected to the system bus 121 via the user input interface 160, or other appropriate mechanism.
- program modules depicted relative to the computer 110, or portions thereof may be stored in the remote memory storage device.
- Fig. 1 illustrates remote application programs 185 as residing on memory device 181.
- the risk evaluation system and method, and other elements have been described as preferably being implemented in software, they may be implemented in hardware, firmware, etc., and may be implemented by any other processor.
- the elements described herein may be implemented in a standard multi-purpose CPU or on specifically designed hardware or firmware such as an application-specific integrated circuit (ASIC) or other hard-wired device as desired, including, but not limited to, the computer 110 of Fig. 1,
- the software routine may be stored in any computer readable memory such as on a magnetic disk, a laser disk, or other storage medium, in a RAIM or ROM of a computer or processor, in any database, etc.
- this software may be delivered to a user or a diagnostic system via any known or desired delivery method including, for example, on a computer readable disk or other transportable computer storage mechanism or over a communication channel such as a telephone line, the internet, wireless communication, etc. (which are viewed as being the same as or interchangeable with providing such software via a transportable storage medium).
- the invention relates to computer-implemented applications of the polymorphic i markers and haplotypes described herein to be associated with breast cancer.
- Such applications can be useful for storing, manipulating or otherwise analyzing genotype data that is useful in the methods of the invention.
- One example pertains to storing genotype information derived from an individual on readable media, so as to be able to provide the genotype information to a third party (e.g., the individual, a guardian of the individual, a health care provider or genetic analysis service provider), or for deriving information from the genotype data, e.g., by comparing the genotype data to information about genetic risk factors contributing to increased susceptibility to the cancer, and reporting results based on such comparison.
- a third party e.g., the individual, a guardian of the individual, a health care provider or genetic analysis service provider
- computer-readable media has capabilities of storing (i) identifier information for at least one polymorphic marker or a haplotype, as described herein; (ii) an indicator of the frequency of at least one allele of said at least one marker, or the frequency of a haplotype, in individuals with the disease; and an indicator of the frequency of at least one allele of said at least one marker, or the frequency of a haplotype, in a reference population.
- the reference population can be a disease-free population of individuals. Alternatively, the reference population is a random sample from the general population, and is thus representative of the i population at large.
- the frequency indicator may be a calculated frequency, a count of alleles . and/or haplotype copies, or normalized or otherwise manipulated values of the actual frequencies that are suitable for the particular medium.
- the markers and haplotypes described herein to be associated with increased susceptibility ) (increased risk) of breast cancer are in certain embodiments useful for interpretation and/or analysis of genotype data.
- determination of the presence of an at- risk allele for breast cancer, as shown herein, or determination of the presence of an allele at a polymorphic marker in LD with any such risk allele is indicative of the individual from whom the genotype data originates is at increased risk of breast cancer.
- genotype data is generated for at least one polymorphic marker shown herein to be associated with breast cancer, or a marker in linkage disequilibrium therewith.
- the genotype data is subsequently made available to a third party, such as the individual from whom the data originates, his/her guardian or representative, a physician or health care worker, genetic counsellor, or insurance agent, for example via a user interface accessible over the internet, together with an interpretation of the genotype data, e.g., in the form of a risk measure (such as an absolute risk (AR), risk ratio (RR) or odds ratio (OR)) for the disease.
- a risk measure such as an absolute risk (AR), risk ratio (RR) or odds ratio (OR)
- at-risk markers identified in a genotype dataset derived from an individual are assessed and results from the assessment of the risk conferred by the presence of such at-risk variants in the dataset are made available to the third party, for example via a secure web interface, or by other communication means.
- results of such risk assessment can be : reported in numeric form (e.g., by risk values, such as absolute risk, relative risk, and/or an odds ratio, or by a percentage increase in risk compared with a reference), by graphical means,! or by other means suitable to illustrate the risk to the individual from whom the genotype data is derived. ,
- nucleic acids and polypeptides described herein can be used in methods and kits of the present invention, as described in the above.
- An "isolated" nucleic acid molecule is one that is separated from nucleic acids that normally flank the gene or nucleotide sequence (as in genomic sequences) and/or has been completely or partially purified from other transcribed sequences (e.g., as in an RNA library).
- an isolated nucleic acid of the invention can be substantially isolated with respect to the complex cellular milieu in which it naturally occurs, or culture medium when produced by recombinant techniques, or chemical precursors or other chemicals when chemically synthesized.
- the isolated material will form part of a composition (for example, a crude extract containing other substances), buffer system or reagent mix.
- the material can be purified to essential homogeneity, for example as determined by polyacrylamide gel electrophoresis (PAGE) or column chromatography (e.g., HPLC).
- An isolated nucleic acid molecule of the invention can comprise at least about 50%, at least about 80% or at least about 90% (on a molar basis) of all macromolecular species present.
- genomic DNA the term "isolated" also can refer to nucleic acid molecules that are separated from the chromosome with which the genomic DNA is naturally associated.
- the isolated nucleic acid molecule can contain less than about 250 kb, 200 kb, 150 kb, 100 kb, 75 kb, 50 kb, 25 kb, 10 kb, 5 kb, 4 kb, 3 kb, 2 kb, 1 kb, 0.5 kb or 0.1 kb of the nucleotides that flank the nucleic acid molecule in the genomic DNA of the cell from which the nucleic acid molecule is derived.
- nucleic acid molecule can be fused to other coding or regulatory sequences and still be considered isolated.
- recombinant DNA contained in a vector is included in the definition of "isolated” as used herein.
- isolated nucleic acid molecules include recombinant DNA molecules in heterologous host cells or heterologous organisms, as well as partially or substantially purified DNA molecules in solution.
- isolated nucleic acid molecules also encompass in vivo and in vitro RNA transcripts of the DNA molecules of the present invention.
- An isolated nucleic acid molecule or nucleotide sequence can include a nucleic acid molecule or nucleotide sequence that is synthesized chemically or by recombinant means.
- Such isolated nucleotide sequences are useful, for example, in the manufacture of the encoded polypeptide, as probes for isolating homologous sequences (e.g., from other mammalian species), for gene mapping (e.g., by in situ hybridization with chromosomes), or for detecting expression of the . gene in tissue (e.g., human tissue), such as by Northern blot analysis or other hybridization techniques.
- homologous sequences e.g., from other mammalian species
- gene mapping e.g., by in situ hybridization with chromosomes
- tissue e.g., human tissue
- the invention also pertains to nucleic acid molecules that hybridize under high stringency hybridization conditions, such as for selective hybridization, to a nucleotide sequence described herein (e.g., nucleic acid molecules that specifically hybridize to a nucleotide sequence containing a polymorphic site associated with a marker or haplotype described herein).
- nucleic acid molecules can be detected and/or isolated by allele- or sequence-specific hybridization (e.g., under high stringency conditions).
- Stringency conditions and methods for nucleic acid hybridizations are well known to the skilled person (see, e.g., Current Protocols in ' Molecular Biology, Ausubel, F. et al, John Wiley & Sons, (1998), and Kraus, M. and Aaronson, S., Methods Enzymol., 200: 546-556 (1991), the entire teachings of which are incorporated by reference herein.
- the length of a sequence aligned for comparison purposes is at least 30%, at least 40%, at least 50%, at least 60%, at least 70%, at least 80%, at least 90%,- or at least 95%, of the length of the reference sequence.
- Another example of an algorithm is BLAT (Kent, WJ. Genome Res. 12:656-64 (2002)).
- the percent identity between two amino acid sequences can be accomplished using the GAP program in the GCG software package (Accelrys, Cambridge, UK).
- the present invention also provides isolated nucleic acid molecules that contain a fragment or portion that hybridizes under highly stringent conditions to a nucleic acid that comprises, or consists of, a nucleotide sequence comprising all or a portion of I-D block C09, LD block ClOA, LD block 1OB, LD block CIlA, LD block CIlB, LD block C14, LD block C18, LD block C22A, and LD " block C22B, as defined herein; or a nucleic acid that comprises at least one of the polymorphic markers listed in and Table 4 herein (SEQ ID NO: 1-562); or a nucleotide sequence of any one of the PAXS, TUB, SERPINHl, RAD51L1, FHOD3 and TNRC6B genes; or a nucleotide sequence comprising, or consisting of, the complement of a nucleotide sequence comprising all or a portion of LD block C09, LD block ClOA,
- the nucleic acid fragments of the invention are at least about 15, at least about 18, 20, 23 or 25 nucleotides, and can be 30, 40, 50, 100, 200, 500, 1000, 10,000 or more nucleotides in length.
- the nucleic acid fragments of the invention are used as probes or primers in assays such as those described herein.
- Probes or “primers” are oligonucleotides that hybridize in a base- specific manner to a complementary strand of a nucleic acid molecule.
- probes and primers include polypeptide nucleic acids (PNA), as described in Nielsen, , P. et al., Science 254: 1497-1500 (1991).
- a probe or primer comprises a region of nucleotide sequence that hybridizes to at least about 15, typically about 20-25, and in certain embodiments about 40, 50 or 75, consecutive nucleotides of a nucleic acid molecule.
- the probe or primer comprises at least one allele of at least one polymorphic marker or at least one haplotype described herein, or the complement thereof.
- a probe or primer can comprise 100 or fewer nucleotides; for example, in certain embodiments from 6 to 50 nucleotides, or, for example, from 12 to 30 nucleotides.
- the probe or primer is at least 70% identical, at least 80% identical, at least 85% identical, at least 90% identical, or at least 95% identical, to the contiguous nucleotide sequence or to the complement of the contiguous nucleotide sequence.
- the probe or primer is capable of selectively hybridizing to the contiguous nucleotide sequence or to the complement of the contiguous nucleotide sequence.
- the probe or primer further comprises a label, e.g., a radioisotope, a fluorescent label, an enzyme label, an enzyme co-factor label, a magnetic label, a spin label, an epitope label.
- the nucleic acid molecules of the invention can be identified and isolated using standard molecular biology techniques well known to the skilled person.
- the amplified DNA can be labeled (e.g., radiolabeled) and used as a probe for screening a cDNA library derived from human cells.
- the cDNA can be derived from mRNA and contained in a suitable vector.
- Corresponding clones can be isolated, DNA can obtained following in vivo excision, and the cloned insert can be sequenced in either or both orientations by art-recognized methods to identify the correct reading frame encoding a polypeptide of the appropriate molecular weight. Using these or similar methods, the polypeptide and the DNA encoding the polypeptide can be isolated, sequenced and further characterized.
- the invention also provides antibodies which bind to an epitope comprising either a variant amino acid sequence (e.g., comprising an ammo acid substitution) encoded by a variant allele or the reference amino acid sequence encoded by the corresponding non-variant or wild-type allele.
- antibody refers to immunoglobulin molecules and immunologically active portions of immunoglobulin molecules, i.e., molecules that contain antigen-binding sites ' that specifically bind an antigen.
- a molecule that specifically binds to a polypeptide of the invention is a molecule that binds to that polypeptide or a fragment thereof, but does not substantially bind other molecules in a sample, e.g.
- the invention provides polyclonal and monoclonal antibodies that bind to a polypeptide of the invention.
- the term "monoclonal antibody” or “monoclonal antibody composition”, as used herein, refers to a population of antibody molecules that contain only one species of an antigen binding site capable of immunoreacting with a particular epitope of a polypeptide of the invention. A monoclonal antibody composition thus typically displays a single binding affinity for a particular polypeptide of the invention with which it immunoreacts.
- Polyclonal antibodies can be prepared as described above by immunizing a suitable subject with a desired immunogen, e.g., polypeptide of the invention or a fragment thereof.
- a desired immunogen e.g., polypeptide of the invention or a fragment thereof.
- the antibody titer in the immunized subject can be monitored over time by standard techniques, such as with an enzyme linked immunosorbent assay (ELISA) using immobilized polypeptide.
- ELISA enzyme linked immunosorbent assay
- the, antibody molecules directed against the polypeptide can be isolated from the mammal (e.g., from the blood) and further purified by well-known techniques, such as protein A chromatography to obtain the IgG fraction.
- antibody-producing cells can be obtained from the subject and used to prepare monoclonal antibodies by standard techniques, such as the hyb ⁇ doma technique originally described by Kohler and Milstein, Nature 256:495-497 (1975), the human B cell hybridoma technique (Kozbor et al., Immunol. Today 4: 72 (1983)), the EBV-hyb ⁇ doma technique (Cole et al., Monoclonal Antibodies and Cancer Therapy, Alan R. Llss,1985, Inc., pp. , 77-96) or trioma techniques.
- standard techniques such as the hyb ⁇ doma technique originally described by Kohler and Milstein, Nature 256:495-497 (1975), the human B cell hybridoma technique (Kozbor et al., Immunol. Today 4: 72 (1983)), the EBV-hyb ⁇ doma technique (Cole et al., Monoclonal Antibodies and Cancer Therapy, Alan R. Llss,1985, Inc.
- hybridomas The technology for producing hybridomas is well known (see generally Current Protocols in Immunology (1994) Coligan ef al., (eds.) John Wiley & Sons, Inc., New York, NY). Briefly, an immortal cell line (typically a myeloma) is fused to lymphocytes (typically splenocytes) from a mammal immunized with an immunogen as described above, and the culture supernatants of the resulting hybridoma cells are screened to identify a hybridoma ; , producing a monoclonal antibody that binds a polypeptide of the invention.
- lymphocytes typically splenocytes
- a monoclonal antibody to a polypeptide of the invention can be identified and isolated by screening a recombinant combinatorial immunoglobulin library (e.g., an antibody phage display library) with the polypeptide to thereby isolate immunoglobulin library members that bind the polypeptide.
- Kits for generating and screening phage display libraries are commercially available (e.g., the ; Pharmacia Recombinant Phage Antibody System, Catalog No. 27-9400-01 ; and the Stratagene St/rfZAPTM Phage Display Kit, Catalog No. 240612).
- examples of methods and reagents particularly amenable for use in generating and screening antibody display library can be found in, for example, U.S. Patent No. 5,223,409; PCT Publication No. WO 92/18619; PCT Publication No. WO 91/17271; PCT Publication No. WO 92/20791 ; PCT Publication No. WO 92/15679; PCT Publication No. WO 93/01288; PCT Publication No. WO 92/01047; PCT Publication No. WO 92/09690; PCT Publication No. WO 90/02809; Fuchs et al., Bio/Technology ⁇ .
- recombinant antibodies such as chimeric and humanized monoclonal antibodies, comprising both human and non-human portions, which can be made using standard recombinant DNA techniques, are within the scope of the invention.
- chimeric and '; humanized monoclonal antibodies can be produced by recombinant DIMA techniques known in the art.
- antibodies of the invention can be used to isolate a polypeptide of the invention (e.g. a polypetide encoded by any one of the PAX5, TUB, SERPINHl, RAD51L1, FHOD3 and TNRC6B genes) by standard techniques, such as affinity chromatography or immunoprecipitation.
- a polypeptide-specific antibody can facilitate the purification of natural polypeptide from cells and of recombinants produced polypeptide expressed in host cells.
- an antibody specific for a polypeptide of the invention can be used to detect the i p polypeptide (e.g.
- Antibodies can be used diagnostically to monitor protein levels in tissue as part of a clinical testing procedure, e.g., to, for example, determine the efficacy of a given treatment regimen.
- the antibody can be coupled to a detectable substance to facilitate its detection. Examples of detectable substances include various enzymes, prosthetic groups, fluorescent materials, luminescent materials, bioluminescent materials, and radioactive materials.
- suitable enzymes include horseradish peroxidase, alkaline phosphatase, beta-galactosidase, or acetylcholinesterase;
- suitable prosthetic group complexes include streptavidin/biotin and avidin/biotin; .
- suitable fluorescent materials include umbelliferone, fluorescein, fluorescein isothiocya ⁇ ate, rhodamme, dichlorotriazinylamine fluorescein, dansyl chloride or phycoerythrin; an example of a luminescent material includes luminol; examples of bioluminescent materials ⁇ include luciferase, luciferin, and aequorin, and examples of suitable radioactive material include 125 I, 131 I, 35 S or 3 H. ,
- Antibodies may also be useful in pharmacogenomic analysis.
- antibodies against variant proteins encoded by nucleic acids according to the invention such as variant proteins that are encoded by nucleic acids that contain at least one polymorphic marker of the invention, can be used to identify individuals that require modified treatment modalities, Antibodies can furthermore be useful for assessing expression of variant proteins in disease states, such as in active stages of a disease, or in an individual with a predisposition to a disease related to the function of the protein, in particular breast cancer.
- Antibodies specific for a variant protein of the present invention that is encoded by a nucleic acid that comprises at least one polymorphic marker or haplotype as described herein can be used to screen for the presence of the variant protein, for example to screen for a predisposition to breast cancer as indicated by % the presence of the variant protein.
- Antibodies can be used in other methods. Thus, antibodies are useful as diagnostic tools for evaluating proteins, such as variant proteins of the invention in conjunction with analysis by electrophoretic mobility, isoelectric point, tryptic or other protease digest, or for use in other physical assays known to those skilled in the art. Antibodies may also be used in tissue typing. In one such embodiment, a specific variant protein has been correlated with expression in a specific tissue type, and antibodies specific for the variant protein can then be used to identify the specific tissue type.
- Subcellular localization of proteins can also be determined using antibodies, and can be applied to assess aberrant subcellular localization of the protein in cells in various tissues. Such use can be applied in genetic testing, but also in monitoring a particular treatment modality. In the case where treatment is aimed at correcting the expression level or presence of the variant protein or aberrant tissue distribution or developmental expression of the variant protein, antibodies specific for the variant protein or fragments thereof can be used to monitor therapeutic efficacy.
- Antibodies are further useful for inhibiting variant protein function, for example by blocking the binding of a variant protein to a binding molecule or partner. Such uses can also be applied in a therapeutic context in which treatment involves inhibiting a variant protein's function.
- An antibody can be for example be used to block or competitively inhibit binding, thereby modulating (i.e., agonizing or antagonizing) the activity of the protein.
- Antibodies can be prepared against specific protein fragments containing sites required for specific function or against an intact protein that is associated with a cell or cell membrane.
- an antibody may be linked with an additional therapeutic payload, such as radionuclide, an enzyme, an immunogenic epitope, or a cytotoxic agent, including bacterial toxins (diphtheria or plant toxins, such as nan).
- an additional therapeutic payload such as radionuclide, an enzyme, an immunogenic epitope, or a cytotoxic agent, including bacterial toxins (diphtheria or plant toxins, such as nan).
- bacterial toxins diphtheria or plant toxins, such as nan
- kits for using antibodies in the methods described herein This includes, but is not limited to, kits for detecting the presence of a variant protein in a test sample.
- kits for detecting the presence of a variant protein in a test sample comprises antibodies such as a labeled or labelable antibody and a compound or agent for detecting variant proteins in a biological sample, means for determining the amount or the presence and/or absence of variant protein in the sample, and means for comparing the amount of variant protein in the sample with a standard, as well as instructions for use of the kit.
- the ICR contains all cases of invasive breast tumours and ductal or lobular carcinoma in- situ diagnosed in Iceland from January 1 st 1955. All prevalent cases living in Iceland who had a diagnosis entered into the ICR up to the end of December 2006 were eligible to participate in the study.
- the ICR contained records of 4785 individuals diagnosed during this period. Consent, samples and successful genotypes were obtained from approximately 2280 patients. Of these, genotypes were derived from Illumina Hap300 chips for 1835 patients and from Centaurus assays for 445 patients. The roughly 35500 Icelandic controls consisted of individuals selected from ongoing Illumina-based genome-wide association studies at deCODE genetics.
- the Swedish sample sets consisted of Familial and Consecutive patient series.
- the Familial breast cancer recruitment group consisted of 347 breast cancer patients who had been referred to the oncogenetic counseling clinic of the Karolinska University Hospital, Sweden for investigation of a family history of breast cancer. Each patient came from a distinct family. All cases who met the current criteria for BRCA mutation screening had tested negative.
- the Consecutive breast cancer recruitment group was comprised of 482 consecutively recruited patients who were treated surgically for primary invasive breast cancer at the Departments of Oncology at Huddinge and Soder Hospitals (covering the population of southern Swedish) from October 1998 to May 2000. Family history was not taken into account in the selection of patients for recruitment. Controls were 1302 blood donors and 448 cancer-free individuals of both genders. All controls were collected at the Karolinska University Hospital, Sweden. There was no evidence of significant heterogeneity between the Familial and Consecutive series for any of the SNPs tested.
- CGEMS The Cancer Genetics Markers of Susceptibility: Is a project of the U.S. National Cancer Institute that has released data to the public domain on a genome-wide SNP association study for breast cancer susceptibility based on 1145 patients and 1142 controls genotyped with approximately 530,000 SNPs using the Illumina platform. These data are available at: http ⁇ ://caintegrator.nci.nih,gov/cgems/.
- DNA samples were genotyped according to the manufacturer's instructions on Illumina Infinium HumanHap300 SNP bead microarrays (Illumina, San Diego, CA, USA), containing 317,503 SNPs derived from Phase I of the International HapMap project.
- This chip provides about 75% genomic coverage in the Utah CEPH (CEU) HapMap samples for common SNPs at r 2 > . 0.8 [Barrett and Cardon, (2006), Nat Genet, 38, 659-62].
- CEU Colott and Cardon, (2006), Nat Genet, 38, 659-62.
- 5979 were deemed unsuitable either because they were monomorphic (i.e.
- Centaurus assays [Kutyavin, et al., (2006), Nucleic Acids Res, 34, el28] were designed for all nine variants: e. g.rs2005154, rs2184380, rs2224696, rs2242503, rsl2291026, rs999737, rs9956546, rsll912922 and rs6001954 and validated by genotyping the HapMap CEU sample and comparing the genotypes with published data. The assays gave ⁇ 1.5% mis-matches with ' HapMap data.
- Table 2 shows the Seq ID Number reference for the sequence context for these SNPs, e.g. Seq ID No 1, Seq ID No 2, Seq ID No 3, Seq ID No 4, Seq ID No 5, Seq ID No 6, Seq ID No 7, Seq ID No 8 and Seq ID No 9.
- Table 2 Anchor SNPs resulting from the Illumina Infinium HumanHap300 chip found in association to breast cancer in Icelandic case- and control-samples and found to replicate in several Caucasian cohorts. Icelandic data shown in the table are from analysis of data using Illumina and Centaurus assays combined.
- Table 3 Association with breast cancer for nine variants on Chromosomes;9,10,ll, 14,18 and 22 shown for individual and combined Caucasian cohorts.
- Table 4 Surrogate markers for the nine Anchor SNPs. Markers with values of R 2 greater than 0.2 to an Anchor marker in the HapMap CEU dataset (http://www.hapmap.org) in a 1Mb interval flanking the marker were selected. Shown is the name of the correlated SNP, values for R 2 and D' to that marker and the corresponding P-value, as well as the position of the surrogate marker in NCBI Build 36 and a reference to the sequence ID containing flanking sequences for that marker.
- Table 5 Association with breast cancer for rs 6001954 on Chromosome 22 is shown for individual cohorts including Taiwanese . Also presented are combined European results as well as results of all combined cohorts
Landscapes
- Chemical & Material Sciences (AREA)
- Health & Medical Sciences (AREA)
- Life Sciences & Earth Sciences (AREA)
- Engineering & Computer Science (AREA)
- Organic Chemistry (AREA)
- Proteomics, Peptides & Aminoacids (AREA)
- Immunology (AREA)
- Zoology (AREA)
- Genetics & Genomics (AREA)
- Wood Science & Technology (AREA)
- Analytical Chemistry (AREA)
- Pathology (AREA)
- Bioinformatics & Cheminformatics (AREA)
- General Health & Medical Sciences (AREA)
- Physics & Mathematics (AREA)
- Biotechnology (AREA)
- Biochemistry (AREA)
- Molecular Biology (AREA)
- Biophysics (AREA)
- Microbiology (AREA)
- Hospice & Palliative Care (AREA)
- Oncology (AREA)
- General Engineering & Computer Science (AREA)
- Bioinformatics & Computational Biology (AREA)
- Theoretical Computer Science (AREA)
- Spectroscopy & Molecular Physics (AREA)
- Evolutionary Biology (AREA)
- Medical Informatics (AREA)
- Library & Information Science (AREA)
- Medicinal Chemistry (AREA)
- Crystallography & Structural Chemistry (AREA)
- Computing Systems (AREA)
- Measuring Or Testing Involving Enzymes Or Micro-Organisms (AREA)
- Investigating Or Analysing Biological Materials (AREA)
Abstract
Description
Claims
Priority Applications (8)
| Application Number | Priority Date | Filing Date | Title |
|---|---|---|---|
| NZ590833A NZ590833A (en) | 2008-07-07 | 2009-07-03 | Genetic variants for breast cancer risk assessment |
| AU2009269542A AU2009269542A1 (en) | 2008-07-07 | 2009-07-03 | Genetic variants for breast cancer risk assessment |
| EP09787620A EP2313525A2 (en) | 2008-07-07 | 2009-07-03 | Genetic variants for breast cancer risk assessment |
| CA2729934A CA2729934A1 (en) | 2008-07-07 | 2009-07-03 | Genetic variants for breast cancer risk assessment |
| JP2011517318A JP2011527565A (en) | 2008-07-07 | 2009-07-03 | Genetic variation for breast cancer risk assessment |
| CN200980134453.0A CN102144036B (en) | 2008-07-07 | 2009-07-03 | Genetic variants for breast cancer risk assessment |
| US13/002,619 US8951735B2 (en) | 2008-07-07 | 2009-07-03 | Genetic variants for breast cancer risk assessment |
| IL210504A IL210504A0 (en) | 2008-07-07 | 2011-01-06 | Genetic variants for breast cancer risk assessment |
Applications Claiming Priority (2)
| Application Number | Priority Date | Filing Date | Title |
|---|---|---|---|
| IS8746 | 2008-07-07 | ||
| IS8746 | 2008-07-07 |
Publications (2)
| Publication Number | Publication Date |
|---|---|
| WO2010004591A2 true WO2010004591A2 (en) | 2010-01-14 |
| WO2010004591A3 WO2010004591A3 (en) | 2010-03-18 |
Family
ID=41110719
Family Applications (1)
| Application Number | Title | Priority Date | Filing Date |
|---|---|---|---|
| PCT/IS2009/000008 Ceased WO2010004591A2 (en) | 2008-07-07 | 2009-07-03 | Genetic variants for breast cancer risk assessment |
Country Status (10)
| Country | Link |
|---|---|
| US (1) | US8951735B2 (en) |
| EP (1) | EP2313525A2 (en) |
| JP (1) | JP2011527565A (en) |
| KR (1) | KR20110036608A (en) |
| CN (1) | CN102144036B (en) |
| AU (1) | AU2009269542A1 (en) |
| CA (1) | CA2729934A1 (en) |
| IL (1) | IL210504A0 (en) |
| NZ (1) | NZ590833A (en) |
| WO (1) | WO2010004591A2 (en) |
Cited By (4)
| Publication number | Priority date | Publication date | Assignee | Title |
|---|---|---|---|---|
| WO2011095999A1 (en) * | 2010-02-05 | 2011-08-11 | Decode Genetics Ehf | Genetic variants for predicting risk of breast cancer |
| EP2721180A4 (en) * | 2011-06-16 | 2015-09-02 | Decode Genetics Ehf | Genetic variants for predicting risk of breast cancer |
| CN106676169A (en) * | 2016-11-15 | 2017-05-17 | 上海派森诺医学检验所有限公司 | Hybrid capture kit and method for detecting mutation of breast cancer susceptibility genes BRCA1 and BRCA2 |
| WO2018136995A1 (en) * | 2017-01-24 | 2018-08-02 | Genetic Technologies Limited | Improved methods for assessing risk of developing breast cancer |
Families Citing this family (16)
| Publication number | Priority date | Publication date | Assignee | Title |
|---|---|---|---|---|
| CN102643905B (en) * | 2012-04-01 | 2014-06-11 | 周宏灏 | Kit and method for detecting tamoxifen personalized medicine genetic polymorphism by use of pyrosequencing technique |
| KR101770962B1 (en) * | 2013-02-01 | 2017-08-24 | 에스케이텔레콤 주식회사 | A method and apparatus of providing information on a genomic sequence based personal marker |
| WO2014119914A1 (en) * | 2013-02-01 | 2014-08-07 | 에스케이텔레콤 주식회사 | Method for providing information about gene sequence-based personal marker and apparatus using same |
| WO2014145705A2 (en) | 2013-03-15 | 2014-09-18 | Battelle Memorial Institute | Progression analytics system |
| CN103981273B (en) * | 2014-05-30 | 2017-01-18 | 复旦大学附属肿瘤医院 | A group of mutation gene groups and detection kits for assessing breast cancer risk |
| US10395759B2 (en) | 2015-05-18 | 2019-08-27 | Regeneron Pharmaceuticals, Inc. | Methods and systems for copy number variant detection |
| CN105069322B (en) * | 2015-07-24 | 2018-01-12 | 上海尔云信息科技有限公司 | Disease-susceptible humans risk profile device |
| US12071669B2 (en) | 2016-02-12 | 2024-08-27 | Regeneron Pharmaceuticals, Inc. | Methods and systems for detection of abnormal karyotypes |
| CN105586427B (en) * | 2016-03-10 | 2020-06-19 | 厦门艾德生物医药科技股份有限公司 | Primers, kit and method for detecting human BRCA1 and BRCA2 gene mutation |
| US11332530B2 (en) | 2016-09-23 | 2022-05-17 | Memorial Sloan Kettering Cancer Center | Determinants of cancer response to immunotherapy |
| CN107341347A (en) * | 2017-06-27 | 2017-11-10 | 天方创新(北京)信息技术有限公司 | The method and device of risk score is carried out to breast cancer based on Rating Model |
| US11674187B2 (en) * | 2018-06-29 | 2023-06-13 | The Jackson Laboratory | Breast cancer splice variants |
| CN108676890B (en) * | 2018-07-12 | 2022-01-28 | 吉林大学 | Female breast malignant tumor susceptibility prediction kit and system |
| EP4139508A4 (en) * | 2020-04-20 | 2024-08-28 | Myriad Genetics, Inc. | Comprehensive polygenic risk prediction for breast cancer |
| WO2024085660A1 (en) * | 2022-10-18 | 2024-04-25 | 제노플랜 인크 | Device and method for predicting risk of disease incidence |
| EP4646208A1 (en) | 2023-01-06 | 2025-11-12 | Ideaya Biosciences, Inc. | Treatment of er+ breast cancer comprising homologous recombination deficiency using parg inhibitor |
Family Cites Families (29)
| Publication number | Priority date | Publication date | Assignee | Title |
|---|---|---|---|---|
| US4376110A (en) | 1980-08-04 | 1983-03-08 | Hybritech, Incorporated | Immunometric assays using monoclonal antibodies |
| GB8810400D0 (en) | 1988-05-03 | 1988-06-08 | Southern E | Analysing polynucleotide sequences |
| US6054270A (en) | 1988-05-03 | 2000-04-25 | Oxford Gene Technology Limited | Analying polynucleotide sequences |
| US5700637A (en) | 1988-05-03 | 1997-12-23 | Isis Innovation Limited | Apparatus and method for analyzing polynucleotide sequences and method of generating oligonucleotide arrays |
| US5223409A (en) | 1988-09-02 | 1993-06-29 | Protein Engineering Corp. | Directed evolution of novel binding proteins |
| AU4308689A (en) | 1988-09-02 | 1990-04-02 | Protein Engineering Corporation | Generation and selection of recombinant varied binding proteins |
| US5143854A (en) | 1989-06-07 | 1992-09-01 | Affymax Technologies N.V. | Large scale photolithographic solid phase synthesis of polypeptides and receptor binding screening thereof |
| US5744101A (en) | 1989-06-07 | 1998-04-28 | Affymax Technologies N.V. | Photolabile nucleoside protecting groups |
| US5288644A (en) | 1990-04-04 | 1994-02-22 | The Rockefeller University | Instrument and method for the sequencing of genome |
| US5427908A (en) | 1990-05-01 | 1995-06-27 | Affymax Technologies N.V. | Recombinant library screening methods |
| GB9015198D0 (en) | 1990-07-10 | 1990-08-29 | Brien Caroline J O | Binding substance |
| ES2139598T3 (en) | 1990-07-10 | 2000-02-16 | Medical Res Council | PROCEDURES FOR THE PRODUCTION OF SPECIFIC UNION COUPLE MEMBERS. |
| WO1992009690A2 (en) | 1990-12-03 | 1992-06-11 | Genentech, Inc. | Enrichment method for variant proteins with altered binding properties |
| ES2330052T3 (en) | 1991-03-01 | 2009-12-03 | Dyax Corporation | CHEMICAL PROTEIN THAT INCLUDES MICRO-PROTEINS THAT HAVE TWO OR MORE DISULFURENT BRIDGES AND RELATIONSHIPS OF THE SAME. |
| ATE414768T1 (en) | 1991-04-10 | 2008-12-15 | Scripps Research Inst | LIBRARIES OF HETERODIMER RECEPTORS USING PHAGEMIDS |
| DE4122599C2 (en) | 1991-07-08 | 1993-11-11 | Deutsches Krebsforsch | Phagemid for screening antibodies |
| DE69527585T2 (en) | 1994-06-08 | 2003-04-03 | Affymetrix, Inc. | Method and device for packaging chips |
| US6287850B1 (en) | 1995-06-07 | 2001-09-11 | Affymetrix, Inc. | Bioarray chip reaction apparatus and its manufacture |
| US6300063B1 (en) | 1995-11-29 | 2001-10-09 | Affymetrix, Inc. | Polymorphism detection |
| EP0912761A4 (en) | 1996-05-29 | 2004-06-09 | Cornell Res Foundation Inc | DETECTION OF DIFFERENCES IN NUCLEIC ACID SEQUENCES USING A COMBINATION OF LIGASE DETECTION AND POLYMERASE CHAIN AMPLIFICATION REACTIONS |
| US6429027B1 (en) | 1998-12-28 | 2002-08-06 | Illumina, Inc. | Composite arrays utilizing microspheres |
| US20040009481A1 (en) * | 2001-06-11 | 2004-01-15 | Millennium Pharmaceuticals, Inc. | Compositions, kits, and methods for identification, assessment, prevention, and therapy of human prostate cancer |
| DE10228081A1 (en) * | 2002-06-18 | 2004-01-08 | InViTek Gesellschaft für Biotechnik & Biodesign mbH | Procedure for the detection of an increased tumor susceptibility |
| KR100763902B1 (en) * | 2004-02-20 | 2007-10-05 | 삼성전자주식회사 | Breast cancer specific protein, gene encoding the same, and method for diagnosing breast cancer using the protein or gene |
| WO2006063285A2 (en) * | 2004-12-10 | 2006-06-15 | Sequenom, Inc. | Methods for identifying risk of breast cancer or prostate cancer and treatments thereof |
| CN101037690B (en) * | 2006-03-16 | 2011-07-20 | 国家人口计生委科学技术研究所 | BRCA1 gene variants with novel single nucleotide polymorphisms and protein variants encoded thereby |
| SG175680A1 (en) * | 2006-10-27 | 2011-11-28 | Decode Genetics Ehf | Cancer susceptibility variants on chr8q24.21 |
| AU2008231425B2 (en) | 2007-03-26 | 2014-03-20 | Decode Genetics Ehf | Genetic variants on Chr2 and Chr16 as markers for use in breast cancer risk assessment, diagnosis, prognosis and treatment |
| EA018444B1 (en) | 2007-05-25 | 2013-08-30 | Декоуд Дженетикс Ехф. | GENETIC VARIANTS ON Chr 5p12 AND 10q26 AS MARKERS FOR USE IN BREAST CANCER RISK ASSESSMENT, DIAGNOSIS, PROGNOSIS AND TREATMENT |
-
2009
- 2009-07-03 US US13/002,619 patent/US8951735B2/en not_active Expired - Fee Related
- 2009-07-03 EP EP09787620A patent/EP2313525A2/en not_active Withdrawn
- 2009-07-03 CA CA2729934A patent/CA2729934A1/en not_active Abandoned
- 2009-07-03 KR KR1020117002889A patent/KR20110036608A/en not_active Ceased
- 2009-07-03 AU AU2009269542A patent/AU2009269542A1/en not_active Abandoned
- 2009-07-03 WO PCT/IS2009/000008 patent/WO2010004591A2/en not_active Ceased
- 2009-07-03 CN CN200980134453.0A patent/CN102144036B/en not_active Expired - Fee Related
- 2009-07-03 NZ NZ590833A patent/NZ590833A/en not_active IP Right Cessation
- 2009-07-03 JP JP2011517318A patent/JP2011527565A/en active Pending
-
2011
- 2011-01-06 IL IL210504A patent/IL210504A0/en unknown
Cited By (5)
| Publication number | Priority date | Publication date | Assignee | Title |
|---|---|---|---|---|
| WO2011095999A1 (en) * | 2010-02-05 | 2011-08-11 | Decode Genetics Ehf | Genetic variants for predicting risk of breast cancer |
| EP2721180A4 (en) * | 2011-06-16 | 2015-09-02 | Decode Genetics Ehf | Genetic variants for predicting risk of breast cancer |
| CN106676169A (en) * | 2016-11-15 | 2017-05-17 | 上海派森诺医学检验所有限公司 | Hybrid capture kit and method for detecting mutation of breast cancer susceptibility genes BRCA1 and BRCA2 |
| WO2018136995A1 (en) * | 2017-01-24 | 2018-08-02 | Genetic Technologies Limited | Improved methods for assessing risk of developing breast cancer |
| CN110382712A (en) * | 2017-01-24 | 2019-10-25 | 基因技术有限公司 | The improved method of risk for assessment development breast cancer |
Also Published As
| Publication number | Publication date |
|---|---|
| JP2011527565A (en) | 2011-11-04 |
| IL210504A0 (en) | 2011-03-31 |
| KR20110036608A (en) | 2011-04-07 |
| CN102144036A (en) | 2011-08-03 |
| CN102144036B (en) | 2014-07-16 |
| CA2729934A1 (en) | 2010-01-14 |
| WO2010004591A3 (en) | 2010-03-18 |
| EP2313525A2 (en) | 2011-04-27 |
| NZ590833A (en) | 2013-01-25 |
| US20110294673A1 (en) | 2011-12-01 |
| AU2009269542A1 (en) | 2010-01-14 |
| US8951735B2 (en) | 2015-02-10 |
Similar Documents
| Publication | Publication Date | Title |
|---|---|---|
| US8580501B2 (en) | Genetic variants on chr 5p12 and 10q26 as markers for use in breast cancer risk assessment, diagnosis, prognosis and treatment | |
| US8951735B2 (en) | Genetic variants for breast cancer risk assessment | |
| US20110117545A1 (en) | Genetic variants on chr2 and chr16 as markers for use in breast cancer risk assessment, diagnosis, prognosis and treatment | |
| EP2247755B1 (en) | Susceptibility variants for lung cancer | |
| US20110269143A1 (en) | Genetic Variants as Markers for Use in Urinary Bladder Cancer Risk Assessment, Diagnosis, Prognosis and Treatment | |
| WO2010004589A2 (en) | Genetic variants predictive of cancer risk in humans | |
| US20110020320A1 (en) | Genetic Variants Contributing to Risk of Prostate Cancer | |
| WO2013065072A1 (en) | Risk variants of prostate cancer | |
| AU2008331069B2 (en) | Genetic variants on CHR HQ and 6Q as markers for prostate and colorectal cancer predisposition | |
| WO2010131268A1 (en) | Genetic variants for basal cell carcinoma, squamous cell carcinoma and cutaneous melanoma | |
| WO2011095999A1 (en) | Genetic variants for predicting risk of breast cancer |
Legal Events
| Date | Code | Title | Description |
|---|---|---|---|
| WWE | Wipo information: entry into national phase |
Ref document number: 200980134453.0 Country of ref document: CN |
|
| 121 | Ep: the epo has been informed by wipo that ep was designated in this application |
Ref document number: 09787620 Country of ref document: EP Kind code of ref document: A2 |
|
| ENP | Entry into the national phase |
Ref document number: 2729934 Country of ref document: CA |
|
| WWE | Wipo information: entry into national phase |
Ref document number: 13002619 Country of ref document: US |
|
| ENP | Entry into the national phase |
Ref document number: 2011517318 Country of ref document: JP Kind code of ref document: A |
|
| NENP | Non-entry into the national phase |
Ref country code: DE |
|
| WWE | Wipo information: entry into national phase |
Ref document number: 2009269542 Country of ref document: AU |
|
| WWE | Wipo information: entry into national phase |
Ref document number: 590833 Country of ref document: NZ |
|
| WWE | Wipo information: entry into national phase |
Ref document number: 2009787620 Country of ref document: EP |
|
| ENP | Entry into the national phase |
Ref document number: 20117002889 Country of ref document: KR Kind code of ref document: A |
|
| WWE | Wipo information: entry into national phase |
Ref document number: 238/MUMNP/2011 Country of ref document: IN |
|
| ENP | Entry into the national phase |
Ref document number: 2009269542 Country of ref document: AU Date of ref document: 20090703 Kind code of ref document: A |



















