2-AMINO-S-FUNCTIONALIZED TETRALIN DERIVATIVES AND RELATED GLYCOGEN PHOSPHORYLASE INHIBITORS
[0001] This application claims the benefit of U.S. Provisional Application No. 60/628,065, filed November 15, 2004, incorporated herein by reference in its entirety.
BACKGROUND OF THE INVENTION
[0002] Approximately 100 million people worldwide suffer from type II diabetes, which is typically characterized by hyperglycemia due to excessive hepatic glucose production and peripheral insulin resistance, the root causes for which are as yet unknown. Hyperglycemia is considered to be the major risk factor for the development of diabetic complications, such as retinopathy, neuropathy, nephropathy and macrovascular disease. [0003] Accordingly, hepatic glucose production is an important potential target for type II diabetes therapy. The liver produces glucose by glycogenolysis
(breakdown of the glucose polymer glycogen) and gluconeogenesis (synthesis of glucose from 2- and 3- carbon precursors). Particularly, glycogenolysis is catalyzed in the liver, muscle and brain by tissue-specific isoforms of the enzyme glycogen phosphorylase. Prior studies suggest that glycogenolysis may make an important contribution to hepatic glucose output in type II diabetes. See, for example, WO 96/39384; WO 96/39385; EP 978279; Proc. Natl. Acad. Sci. USA 1998, 95, 1776- 1781; J. Med. Chem. 1998, 41, 2934-2938; Exp. Opin. Invest. Drugs 2001, 10, 439- 454; EP 1136071; and WO 03/37864. Thus, glycogen phosphorylase inhibitors are believed to be useful therapeutic agents for treating type II diabetes and delaying the onset of diabetic complications by decreasing hepatic glucose production and lowering glycemia, while providing minimal risk of hypoglycemia and weight gain. See Id.
[0004] Based on the aforementioned references and additional references, for example, WO 96/39384; WO 96/39385; WO 00/47206; US 5,952,322; WO 99/43663; EP 1088824; US 2001/0046958; EP 1149580; WO 01/23347; EP 1177791; WO 99/26659; US 5,998,463; EP 1136071; US 2004/0002495 and EP 1041068, it is believed that glycogen phosphorylase inhibitors may be useful in treating, preventing
or slowing the progression of diseases such as diabetes and related conditions (such as hyperglycemia, impaired glucose tolerance, insulin resistance and hyperinsulinemia), the microvascular complications associated with diabetes (such as retinopathy, neuropathy, nephropathy and delayed wound healing), the macrovascular complications associated with diabetes (cardiovascular diseases such as atherosclerosis, abnormal heart function, myocardial ischemia and stroke), as well as Metabolic Syndrome and its component conditions including hypertension, obesity and dislipidemia (including hypertriglyceridemia, hypercholesterolemia and low HDL), and other maladies such as non-cardiac ischemia, infection and cancer.
SUMMARY OF THE INVENTION
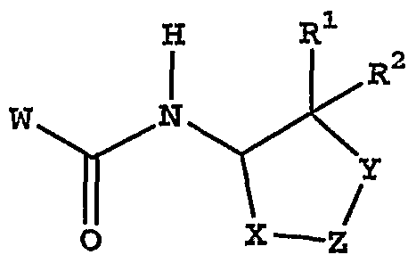
[0005] hi accordance with the present invention, 2-amino-3-functionalized tetralin and related compounds are provided that have the general structure of formula I:
I wherein W, R
1, R
2, X, Y and Z are defined below.
[0006] The compounds of the present invention inhibit the activity of the enzyme glycogen phosphorylase. Consequently, the compounds of the present invention may be used in the treatment of multiple diseases or disorders associated with glycogen phosphorylase activity, such as diabetes and related conditions (such as hyperglycemia, impaired glucose tolerance, insulin resistance and hyperinsulinemia), the microvascular complications associated with diabetes (such as retinopathy, neuropathy, nephropathy and delayed wound healing), the macrovascular complications associated with diabetes (cardiovascular diseases such as atherosclerosis, abnormal heart function, myocardial ischemia and stroke), as well as Metabolic Syndrome and its component conditions including hypertension, obesity and dislipidemia (including hypertriglyceridemia, hypercholesterolemia and low HDL), and other maladies such as non-cardiac ischemia, infection and cancer.
[0007] Inhibitors of the glycogen phosphorylase enzyme are also described in US patent applications Serial Nos. , and , titled "2-Amino-l-Functionalized Tetralin Derivatives and
Related Glycogen Phosphorylase Inhibitors", "2-Aminonaphthalene Derivatives and Related Glycogen Phosphorylase Inhibitors" and "2-Amino-4-Functionalized Tetralin Derivatives and Related Glycogen Phosphorylase Inhibitors", respectively, having the same assignee as the present invention and filed concomitantly herewith. [0008] The present invention provides for compounds of formula I, pharmaceutical compositions employing such compounds and for methods of using such compounds. In particular, the present invention provides a pharmaceutical composition comprising a therapeutically effective amount of a compound of formula I, alone or in combination with a pharmaceutically acceptable carrier. [0009] Further, in accordance with the present invention, a method is provided for preventing, inhibiting or treating the progression or onset of diseases or disorders associated with the activity of the enzyme glycogen phosphorylase, such as defined above and hereinafter, wherein a therapeutically effective amount of a compound of formula I is administered to a mammalian, i.e., human, patient in need of treatment. [0010] The compounds of the invention can be used alone, in combination with other compounds of the present invention, or in combination with one or more other agent(s).
[0011] Further, the present invention provides a method for preventing, inhibiting or treating the diseases as defined above and hereinafter, wherein a therapeutically effective amount of a combination of a compound of formula I and another compound of formula I and/or at least one other type of therapeutic agent, is administered to a mammalian, i.e., human, patient in need of treatment.
DETAILED DESCRIPTION OF THE INVENTION
[0012] hi one embodiment, the present invention discloses novel compounds of formula I:
or stereoisomers or prodrugs or pharmaceutically acceptable salts thereof, wherein: W is a bicyclic heteroaryl of the structure
X is -CH2-, -CH2CH2- or -CH2O- (wherein oxygen is bonded to Z); Y is -CH2-, -CH2CH2- or -CH2O- (wherein oxygen is bonded to Z), provided that one of X and Y must be -CH2-, or X and Y are together -CH-O-CH-; Z is an aryl or heteroaryl group of the following structure:
A is -CH- or -N-;
B is -O- or -S-;
R1 and R2 are each independently hydrogen, alkyl, aryl, arylalkyl, heteroarylalkyl, alkenyl, OR7A, OCO2R8, OCONR7AR7B, CN, CN4R7A (tetrazole), CO2R7A, CONR7AR7B, CONR7AOR7B, NR7ACOCO2R7B or another hydrogen bonding group, or R1 and R2 are together oxo (=0), =N0R7A or alkylidenyl, any of which may be optionally substituted with a hydrogen bonding group, and provided that R1 and R2 are not both hydroxy;
R3 and R4 are each independently hydrogen, halo, trifluoromethyl, cyano, alkyl or alkoxy;
R5 and R6 are each independently hydrogen, halo, trifluoromethyl, cyano, hydroxy, another hydrogen bonding group, alkyl, aryl, arylalkyl, heteroarylalkyl, alkoxy, aryloxy or alkenyl;
R7A and R7B are independently hydrogen, alkyl, arylalkyl, heteroarylalkyl or aryl, or R7A and R7B may optionally be cyclized together to form a ring, wherein said ring may further be substituted with one to three additional hydrogen bonding groups;
R8 is alkyl, aryl, arylalkyl or heteroarylalkyl; and wherein when R1, R2, R5 and R6 are alkyl, aryl, arylalkyl, heteroarylalkyl, alkenyl, a allkkooxxyy o orr a arryyllooxxyy,, R R11,, R R22,, R R55 a anndd R R6 may each independently be substituted with one to three hydrogen bonding groups.
[0013] Some preferred compounds are those in which W is:
[0014] Some more preferred compounds are those in which A is CH. [0015] Some preferred compounds are those in which: Z is an aryl or heteroaryl group of the structure
[0016] Some additional preferred compounds of the present invention are those in which: the hydrogen bonding group is preferably selected from the set of monovalent hydrogen bonding groups consisting of OR7A, OCO2R8, OCONR7AR7B, CN, NO2,
CN4R7A (tetrazole), COCF3, C0R7A, CO2R7A, CONR7AR7B, CONR7AOR7B, C(NR7A)NR7BR7C, CONR7ASO2R7B, SOR8, SO2R8, SO3H5 SO2NR7AR7B, SO2NR7ACOR7B, SO2NR7ACONR7BR7C, POR7AR7B, PO2R7AR7B, PO3R7AR7B, PO2R7ANR7BR7C, NR7AR7B, NR7ACOR7B, NR7AC(NR7B)R7C, NR7ACO2R8, NR7ACOCO2R7B, NR7ACONR7BR7C, NR7AC(NR7B)NR7CR7D, NR7ASO2R7B, NR7ACONR7BSO2R7C, NR7ASO2NR7BR7C, NR7APOR7BR7C, NR7APO2R7BR7C, NR7APO3R7BR7C and NR7APO2R7BNR7CR7D, or the set of divalent hydrogen bonding groups consisting of -O-, -CO-, -SO2-, -NR7A-5 -CO2-, -C0NR7A-, -SO2NR7A-, -OCONR7A-5 -NR7ACONR7B-, -N(C0R7A)-, -N(CO2R7A)-, -N(CONR7AR7B)- and -N(SO2NR7AR7B)-; wherein
R7C and R7D are each independently hydrogen, alkyl, arylalkyl, heteroarylalkyl or aryl; and wherein R7A, R7B, R7C, R7D or R8 may further be substituted with one to three additional hydrogen bonding groups; and wherein two of R7A, R7 , R7C or R7D within the same hydrogen bonding group may optionally be cyclized together to form a ring, wherein said ring may further be substituted with one to three additional hydrogen bonding groups.
[0017] Preferred compounds also include those compounds in which: at least one of R1 and R2 is substituted alkyl, OR7A, OCONR7AR7B, CN, CN4R7A (tetrazole), CO2R7A, CONR7AR7B or NR7ACOCO2R7B;
R7A and R7B are hydrogen or alkyl; X and Y are -CH2-;
W is
and Z is
[0018] Some particularly preferred compounds are those in which W is 5- chloroindol-2-yl.
[0019] Some more particularly preferred compounds are those in which the compound is selected from the compounds of Tables 1, 2 and/or 3. [0020] In another embodiment, the present invention relates to pharmaceutical compositions comprised of a therapeutically effective amount of a compound of the present invention, alone or, optionally, in combination with a pharmaceutically acceptable carrier and/or one or more other agent(s). The preferred, particularly preferred, and more particularly preferred compounds set forth above can be used in this embodiment. [0021] In another embodiment, the present invention relates to methods of inhibiting the activity of the enzyme glycogen phosphorylase comprising administering to a mammalian patient, preferably a human patient, in need thereof a therapeutically effective amount of a compound of the present invention, alone, or optionally, in combination with another compound of the present invention and/or at least one other type of therapeutic agent. The preferred, particularly preferred, and more particularly preferred compounds set forth above can be used in this embodiment.
[0022] In another embodiment, the present invention relates to a method for preventing, inhibiting or treating the progression or onset of diseases or disorders associated with the activity of the enzyme glycogen phosphorylase comprising administering to a mammalian patient, preferably a human patient, in need of prevention, inhibition or treatment a therapeutically effective amount of a compound of the present invention, alone, or, optionally, in combination with another compound
of the present invention and/or at least one other type of therapeutic agent. The preferred, particularly preferred, and more particularly preferred compounds set forth above can be used in this embodiment. (
[0023] Examples of diseases or disorders associated with the activity of the enzyme glycogen phosphorylase that can be prevented, inhibited, or treated according to the present invention include, but are not limited to, diabetes and related conditions (such as hyperglycemia, impaired glucose tolerance, insulin resistance and hyperinsulinemia), the microvascular complications associated with diabetes (such as retinopathy, neuropathy, nephropathy and delayed wound healing), the macrovascular complications associated with diabetes (cardiovascular diseases such as atherosclerosis, abnormal heart function, myocardial ischemia and stroke), as well as Metabolic Syndrome and its component conditions including hypertension, obesity and dislipidemia (including hypertriglyceridemia, hypercholesterolemia and low HDL), and other maladies such as non-cardiac ischemia, infection and cancer.
DEFINITIONS
[0024] The following abbreviations have the indicated meanings: min = minute(s) h or hr = hour(s) L = liter(s) mL = milliliter(s) μL = microliter(s) g = gram(s) mg = milligram(s) mol = mole(s) M = molar mmol = millimole(s)
HPLC = high performance liquid chromatography HPLC/MS or LC/MS = high performance liquid chromatography/mass spectrometry MS or Mass Spec = mass spectrometry [M+H]+ = parent plus a proton [M-H]" = parent minus a proton
[0025] The following definitions apply to the terms as used throughout this specification, unless otherwise limited in specific instances. [0026] The term "hydrogen bonding group(s)" describes functional groups that may form a hydrogen bond by either donating or accepting a hydrogen atom.
Examples of suitable "hydrogen bonding group(s)" include, but are not limited to the monovalent groups OR7A, OCO2R8, OCONR7AR7B, CN, NO2, CN4R7A (tetrazole), COCF3, COR7A, CO2R7A, CONR7AR7B, CONR7AOR7B 5 C(NR7A)NR7BR7C, CONR7ASO2R7B, SOR8, SO2R8, SO3H, SO2NR7AR7B, SO2NR7ACOR7B, SO2NR7ACONR7BR7C, POR7AR7B, PO2R7AR7B, PO3R7AR7B, PO2R7ANR7BR7C, NR7AR7B, NR7ACOR7B, NR7AC(NR7B)R7C, NR7ACO2R8, NR7ACOCO2R7B, NR7ACONR7BR7C, NR7AC(NR7B)NR7CR7D, NR7ASO2R7B, NR7ACONR7BSO2R7C 5 NR7ASO2NR7BR7C, NR7APOR7BR7C, NR7APO2R7BR7C, NR7APO3R7BR7C and NR7APO2R7BNR7CR7D, and the divalent groups -O-, -CO-, -SO2-, -NR7A-, -CO2-, -C0NR7A-, -SO2NR7A-, -0C0NR7A-, -NR7ACONR7B-, -N(COR7A)-5 -N(CO2R7A)-, -N(CONR7AR7B)- and -N(SO2NR7AR7B)-, and the like, wherein
R7A, R7B, R7C and R7D for each occurrence are each independently hydrogen, alkyl, arylalkyl, heteroarylalkyl or aryl; and
R8 is alkyl, arylalkyl, heteroarylalkyl, or aryl. [0027] Moreover, R7A"7D and R8 may be further substituted with one to three hydrogen bonding groups. For example, by substitution with the monovalent hydrogen bonding group OH, CONR7AR7B may represent CON(Me)CH2CH2OH. Optionally, two of R7A, R7B, R7C or R7D within the same hydrogen bonding group may be cyclized together to form a ring by joining the two R groups with either a bond or with a divalent hydrogen bonding group. For example, CONR7AR7B may represent CON(CH2CH2CH2CH2), N-acylated pyrrolidine, or CON(CH2CH2NHCH2CH2), N- acylated piperidine. Said ring may further be substituted with one to three additional hydrogen bonding groups, for example N-acylated hydroxyproline or N-acylated 3,4- dihydroxypyrrolidine. [0028] In addition, when an R group is itself equal to a hydrogen bonding group, said hydrogen bonding group is a monovalent hydrogen bonding group. However,
when an R group is substituted with a hydrogen bonding group, said hydrogen bonding group may be either a monovalent or a divalent hydrogen bonding group. [0029] Substitution of any single R group with a divalent hydrogen bonding group preferably forms a ring. For example, substitution of a 2-butyl group at the 1- and A- positions with -O- forms a 3-tetrahydrofuranyl group. Substitution of a 1-pentyl group at the 1- and 5- positions with -CO- forms a 2-oxocyclohexyl group. [0030] The term "alkyl" as employed herein, alone or as part of another group, includes straight chain, branched chain and saturated cyclic hydrocarbons, containing 1 to 20 carbons, preferably 1 to 10 carbons, more preferably 1 to 8 carbons, in the normal chain, such as methyl, ethyl, propyl, isopropyl, butyl, t-butyl, isobutyl, pentyl, hexyl, isohexyl, heptyl, 4,4-dimethylpentyl, octyl, 2,2,4-trimethylpentyl, nonyl, decyl, undecyl, dodecyl, cyclopropyl, cyclohexyl, and the like.
[0031] Unless otherwise indicated, the term "alkenyl" as used herein by itself or as part of another group refers to straight or branched chain radicals of 2 to 20 carbons, preferably 2 to 12 carbons, and more preferably 2 to 8 carbons in the normal chain, that include one or more double bonds in the normal chain, such as vinyl, 2-propenyl, 3-butenyl, 2-butenyl, 4-pentenyl, 3-pentenyl, 2-hexenyl, 3-hexenyl, 2-heptenyl, 3- heptenyl, 4-heptenyl, 3-octenyl, 3-nonenyl. [0032] Unless otherwise indicated, the term "alkylidenyl" as used herein by itself or as part of another group refers to straight or branched chain geminally divalent radicals of 2 to 20 carbons, preferably 2 to 12 carbons, and more preferably 2 to 8 carbons in the normal chain, that are attached via a double bond, such as methylidenyl, isopropylidenyl, pentylidenyl, and the like. [0033] Unless otherwise indicated, the term "aryl" or "Ar" as employed herein alone or as part of another group refers to monocyclic and bicyclic aromatic groups containing 6 to 10 carbons in the ring portion (such as phenyl or naphthyl including 1- naphthyl and 2-naphthyl) and may optionally include one additional fused heterocyclic ring, for example:
[0034] Aryl groups as defined above may optionally be substituted with alkyl groups containing up to six carbons and/or with halogen groups.
[0035] The term "arylalkyl" as used alone or as part of another group refers to an alkyl as defined herein, having an aryl substiruent. Representative examples of arylalkyl include, but are not limited to, benzyl, 2-phenylethyl, 3-phenylpropyl, benzhydryl, naphthylmethyl, 4-trifluoromethylphenylpropyl and the like. [0036] The term "halogen" or "halo" as used herein alone or as part of another group refers to chlorine, bromine, fluorine and iodine and also to pseudohalogen groups such as trifluoromethyl, trifluoromethoxy and difluoromethoxy. [0037] Unless otherwise indicated, the term "alkoxy " or "aryloxy" as employed herein alone or as part of another group refers to an alkyl or aryl group, as defined herein, linked to an oxygen atom.
[0038] Unless otherwise indicated, the term "heteroaryl" as used herein alone or as part of another group refers to a 5- or 6- membered aromatic ring which includes 1, 2, 3 or 4 heteroatoms such as nitrogen, oxygen or sulfur, and includes possible N- oxides. Examples of heteroaryl groups include the following:
and the like.
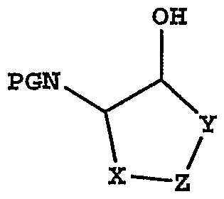
[0039] Heteroaryl groups as defined above may optionally be substituted with alkyl groups containing up to six carbons and/or with halogen groups. [0040] As used herein, the term "heteroarylalkyl" means an alkyl group having a heteroaryl substituent.
[0041] The term "cyano" as used herein, refers to a -CN group. [0042] An administration of a therapeutic agent of the invention includes administration of a therapeutically effective amount of the agent of the invention. The term "therapeutically effective amount" as used herein refers to an amount of a therapeutic agent to treat or prevent a condition treatable by administration of a composition of the invention. That amount is the amount sufficient to exhibit a detectable therapeutic or preventative or ameliorative effect. The effect may include, for example, treatment or prevention of the conditions listed herein. The precise effective amount for a subject will depend upon the subject's size and health, the nature and extent of the condition being treated, recommendations of the treating physician, and the therapeutics or combination of therapeutics selected for administration. Thus, it is not useful to specify an exact effective amount in advance. [0043] The compounds of formula I can be present as salts, which are also within the scope of this invention. Pharmaceutically acceptable (i.e., non-toxic, physiologically acceptable) salts are preferred. If the compounds of formula I have, for example, at least one basic center, they can form acid addition salts. These are formed, for example, with strong inorganic acids, such as mineral acids, for example sulfuric acid, phosphoric acid or a hydrohalic acid, with organic carboxylic acids, such as alkanecarboxylic acids of 1 to 4 carbon atoms which are unsubstituted or substituted, for example, by halogen, for example acetic acid, such as saturated or unsaturated dicarboxylic acids, for example oxalic, malonic, succinic, maleic, fumaric, phthalic or terephthalic acid, such as hydroxycarboxylic acids, for example ascorbic, glycolic, lactic, malic, tartaric or citric acid, such as amino acids, (for example aspartic or glutamic acid or lysine or arginine), or benzoic acid, or with organic sulfonic acids, such as (C1-C4) alkyl or arylsulfonic acids which are unsubstiruted or substituted, for example by halogen, for example methyl- or p- toluenesulfonic acid. Corresponding acid addition salts can also be formed having, if
desired, an additionally present basic center. The compounds of formula I having at least one acid group (for example COOH) can form salts with bases. Suitable salts with bases are, for example, metal salts, such as alkali metal or alkaline earth metal salts, for example sodium, potassium or magnesium salts, or salts with ammonia or an organic amine, such as morpholine, thiomorpholine, piperidine, pyrrolidine, a mono-, di- or tri-lower alkylamine, for example ethyl, fø't-butyl, diethyl, diisopropyl, triethyl, tributyl or dimethylpropylamine, or a mono-, di- or trihydroxy lower alkylamine, for example mono-, di- or triethanolamine. Corresponding internal salts may furthermore be formed. Salts which are unsuitable for pharmaceutical uses but which can be employed, for example, for the isolation or purification of free compounds of formula I or their pharmaceutically acceptable salts, are also included. [0044] Preferred salts of the compounds of formula I which contain a basic group include monohydrochloride, hydrogensulfate, methanesulfonate, phosphate or nitrate salts. [0045] Preferred salts of the compounds of formula I which contain an acid group include sodium, potassium and magnesium salts and pharmaceutically acceptable organic amine salts.
[0046] Any compound that can be converted in vivo to provide the bioactive agent (i.e., the compound of formula I) is a prodrug within the scope and spirit of the invention.
[0047] The term "prodrug esters" as employed herein includes esters and carbonates formed by reacting one or more hydroxyls of compounds of formula I with alkyl, alkoxy, or aryl substituted acylating agents employing procedures known to those skilled in the art to generate acetates, pivalates, methylcarbonates, benzoates and the like.
[0048] Various forms of prodrugs are well known in the art and are described in: a) The Practice of Medicinal Chemistry, Camille G. Wermuth et al., Ch 31, (Academic Press, 1996); b) Design of Prodrugs, edited by H. Bundgaard, (Elsevier, 1985); c) A Textbook of Drug Design and Development, P. Krogsgaard-Larson and H. Bundgaard, eds. Ch. 5, pgs 113-191 (Harwood Academic Publishers, 1991); and
d) Hydrolysis in Drug and Prodrug Metabolism, Bernard Testa and Joachim M. Mayer, (Wiley-VCH, 2003). Said references are incorporated herein by reference.
[0049] In addition, compounds of the formula I are, subsequent to their preparation, preferably isolated and purified to obtain a composition containing an amount by weight equal to or greater than 99% formula I compound ("substantially pure" compound I), which is then used or formulated as described herein. Such "substantially pure" compounds of the formula I are also contemplated herein as part of the present invention.
[0050] AU stereoisomers and polymorphs of the compounds of the instant invention are contemplated, either in admixture or in pure or substantially pure form. The compounds of the present invention can have asymmetric centers at any of the carbon atoms including any one of the R substituents and/or exhibit polymorphism. Consequently, compounds of formula I can exist in enantiomeric, diastereomeric, or polymorphic forms or in mixtures thereof. The processes for preparation can utilize racemates, enantiomers, diastereomers or polymorphs as starting materials. When diastereomeric or enantiomeric products are prepared, they can be separated by conventional methods for example, chromatographic or fractional crystallization.
SYNTHESIS
[0051] The compounds of formula I of the invention can be prepared as shown below in the following reaction schemes and description thereof, as well as by using relevant published literature procedures that may be used by one skilled in the art. Exemplary reagents and procedures for these reactions appear hereinafter and in the working Examples.
[0052] Compounds of formula I may be prepared by coupling carboxylic acids of formula II with amines of formula UI using standard methods for amide bond formation, as known to those skilled in the art, for example, by treating equimolar amounts of compounds II and III in N,N-dimethylformamide solution at room temperature with equimolar amounts of l-hydroxy-7-azabenzotriazole and l-[3- dimethylamino)propyl] -3 -ethylcarbodiimide hydrochloride.
II
III
[0053] Carboxylic acids II may be prepared according to the routes and procedures described in WO 9639384, WO 9926659, and EP 1088824. [0054] Amines III may be prepared by deprotection of the corresponding protected amines IV, in which the amino group is protected (PGN) as a carbamate, amide, phthalimide, N-benzyl derivative, or other standard amine protecting group, such as described in Protective Groups in Organic Synthesis (2nd Edition, T. W. Greene and P.G.M. Wuts, John Wiley & Sons, 1991).
[0055] Also included in the definition of protected amine IV are compounds in which the amino group is masked (PGN), i.e., the latent amino group may not fall into the strict definition of a protecting group, such as an azido or nitro group. Protected amines IV wherein the amino group is masked as a carbamate, amide, phthalimide, N- benzyl derivative, or other standard amine protecting group may be prepared from the amines III as described in Protective Groups in Organic Synthesis. A reason for converting an amine El to a protected amine IV would be to modify R1, R2, R5 and/or R6 prior to deprotection to regenerate a different amine IH. Azido, nitro, and some protected amino groups, such as benzylamino, may be introduced by other means, such as displacement (azido and benzylamino). Carbamates may be prepared not only
from the corresponding amine, but also from carboxylic acids by Curtius rearrangement, via the acid chloride, acyl azide and isocyanate (see Comprehensive Organic Synthesis, Editor B. M. Trost, Pergamon Press, 1991). [0056] Synthetic schemes 1 to 16 provide general synthetic routes for the syntheses of amines HI and protected amines IV. The reaction steps are subject to the constraints noted. For example, a reaction step noted "for products wherein R2 is OH" is subject to the constraint that only products in which R2 is OH may be prepared. [0057] Schemes 1, 4, 5, 9 and 16 show different last steps useful for the preparation of amines IE. Schemes 1, 13, and 16 show different last steps useful for the preparation of protected amines IV. Schemes 2, 3, 6, 7, 8, 10, 11, 12, 14 and 15 show reaction steps useful for the preparation of intermediates leading to amines III and protected amines IV. Scheme 16 shows amine and protected amine intermediates that may be converted into one another using standard amine protecting group chemistry as described in Protective Groups in Organic Synthesis.
SCHEME1
reagents: mCPBA or H2O2 see US 4076843, US 4656167
(Z is benzene, X and Y are CH2, R1 is H)
cts wherein
HH
3
see US 5106861 (Z is benzene,
X and Y are CH2, R1 is H) III
6167 are CH2, R1 is H)
foir products wherein for products wherein
X is CH2CH2 and Y is CH2 X is CH2 and Y is CH2CH2 reagents: heat reagents: heat see Maas (Z is pyridine see Maas (Z is pyridine or thiophene, R1 is H), or thiophene, R1 is H),
Marvell (Z is benzene, R1 is H) Marvell (Z is benzene, R1 is H)
in
is H), is benzene)
rein
reagents: a. HaN
3, NH
4Cl b. Ph
3P
see Kawahata
(Z is benzene, X and Y are CH2, R2 is CO2R)
for products wherein
R1 is H and R2 is an electron withdrawing group such as CO2R reagents: SmI2 see Kawahata (Z is benzene,
X and Y are CH2, R2 is CO2R)
reagents: SO2Cl2 or Br2 or I2 optionally with TMSI
reagents: a. KOEt, BuONO or HCl, BuONO b. H2, Pd cat.
reagents: NH3
see Schemes 2 and 3 allowing R to be H
agents: a. HBR2 b. oxidant
eagents: oxidant
reagents: HCl, H
2O see Huckle
(Z is benzene, X is CH
2, Y is CH
2O)
SCHEME 7
X and Y are CH
2 and Z is a benzene ring reagents: Na, UH
3
see Przhiyalgovskaya reagents: MeOMgOCO
2Me, MeOCOCl
(Z is benzene, X and Y are CH2) seθ Btnziger, seres s benzene, X and Y are CH2)
reagent: oxidant
X and Y together are not CH-O-CH reagents: NaH see Boussard (Z is benzene, X is CH
2, Y is CH
2CH
2).
Lachapelle (Z is benzene, X is CH2, Y is CH2O)
wherein
, H2O
, R1 is H, X is CH2O, Y is CH2)
reagents: AcOH, NH3, NaBH4 or a. H2NOH b. LAH see Banziger (Z is benzene, R1 is H, R2 is CO2R, X and Y are CH2),
Huckle (Z is benzene, R1 and R2 are H, X is CH2O, Y is CH2)
for products wherein
R2 is an electron withdrawing group such as CO2R and X and Y together are not CH-O-CH reagents: NaH see Boussard (Z is benzene, R1 is H, R2 is CO2R, X is CH2CH2, Y is CH2),
Lachapelle (Z is benzene, R1 is H, R2 is CO2R, X is CH2O, Y is CH2)
reagents: oxidant
Y are CH2, R2 is CO2R)
PG is Ac and R1 is H and X is CH2 and Y is CH2 and Z is pyridine reagents: H2, PtO2, TPA for products wherein see Skupinska (R is H) PG is RO2C reagents: a. NaOH b. Curtius rearrangement
reagents: MR
1 such as NaBH
4 for products wherein for R
1 is H or LiCH
2CO
2Et PG is Bn optionally with CeCl
3 for R
1 is reagents: AcOH, BnNH
2, NaBH
4
see Schemes 14 and 16 see Schemes 10 and 11
SCHEME 14
for products wherein
PG is RO2C for products wherein reagents: a. NaOH PGN is N3 b. Curtius rearrangement reagents: NaN3
reagents: PDC or Dess-Martin periodinane see US 5106861
(PG is Boc, Z is benzene, X and Y are CH2)
see XV in Schemes 1, 13, and 16 allowing R
1 to be H and R
2 to be OH
SCHEME 15
for products wherein reagents: HOCH2SO2Na-2H2O
X and Y are CH2 see Zhu (Z is benzene) reagents : Bu4NF, RO2CH=CR1R2 see Van Leusen
(Z is thiophene, R1 is H, R2 is CO2R),
Ito (Z is benzene, R1 is H, R2 is CO2R and
Z is pyridine, R1 is H, R2 is H)
for products wherein
X and Y are together CH-O-CH reagents: AcOH, RO2CH=CR1R2 see Smith (Z is benzene, R1 is H, R2 is CO2R)
CH(OMe)2
/
HO
SCHEME 16 reagents: HCl see US 5106861
see Scheme 14 see Scheme 5
reagents: H2, PtO2 or H2, Pd see US 4076843, US 4656167 (PGN is N3,
Z is benzene, X and Y are CH2, R1 is H, R2 is OH) reagents: TFΛ see Kawahata (PG is Boc, Z is benzene,
X and Y are CH2, R1 is H, R2 is CO2R) reagents: HCl see Skupinska (PG is Ac, Z is pyridine,
X and Y are CH2, R1 and R2 are H)
for products wherein see Schemes PG is Boc see Schemes 1, 1 and 13 4, 5 and 9 reagents: (Boc)
2O see US 5106861 (Z is benzene,
X and Y are CH2, R1 is H, R2 is OH),
Kawahata (Z is benzene, X and Y are CH2,
R1 is H, R2 is CO2R)
[0058] In the synthetic schemes set forth above, the reagent lists are abbreviated. References cited provide full details and in some cases alternative reagents. It is understood that the reagents shown in the synthetic schemes are example reagents, not meant to be limiting. Those skilled in the art will recognize that there are many acids (hydrochloric acid, polyphosphoric acid, etc.), many bases (sodium hydride,
potassium methoxide, etc.), many oxidants (hydrogen peroxide, 3- chloroperoxybenzoic acid, Dess-Martin periodinane, etc.), many hydrogenation
® catalysts (palladium, platinum oxide, Raney Nickel, etc.), and so on that may be employed to synthesize the compounds of the invention. In some cases alternative reagents known to those skilled in the art will be superior to those listed in the synthetic schemes. Alternative reagents may be found in Reagents For Organic Synthesis (Fieser and Fieser, John Wiley & Sons) and Compendium of Organic Synthetic Methods (John Wiley & Sons). These references will also provide guidance in cases where the synthetic schemes designate only a class of reagent rather than a specific reagent (for example oxidant rather than hydrogen peroxide). In some instances the synthetic schemes refer not to specific reagents or reagent classes, but rather to name reactions, for example Birch reduction (sodium, liquid ammonia; used for reduction of benzene rings to 1,4-cyclohexadienes) and Curtius rearrangement (diphenylphosphoryl azide, alkanol, heat or a. thionyl chloride b. sodium azide c. alkanol, heat; used for conversion of carboxyl groups to alkoxycarbonylamino groups). These name reactions and their experimental details are well-known to those skilled in the art (see, for example, Organic Syntheses Based on Name Reactions and Unnamed Reactions, A. Hassner and C. Stumer, Pergamon Press, 1994). [0059] The references provided within the synthetic schemes are not intended to constrain the applicability of the reaction steps, but rather to exemplify the reactions and provide further experimental detail. The references are designated by either a patent/publication number or the first author of a scientific journal publication. Full scientific journal publication references according to first author are as follows:
Banziger, Org. Process, Res. & Dev. 2000, 4, 460-466; Beres, Synth. Comm. 1979, 9, 819-824;
Boussard, Arzneim.-Forsh. 2000, 50, 1084-1092; Huckle, J. Chem. Soc. Perkin Trans. 1 1972, 2425-2428; Ito, J. Am. Chem. Soc. 1982, 104, 7609-7622; Kawahata, Tet. Lett. 1999, 40, 2271-2274; Lachapelle, Can. J. Chem. 1987, 65, 2575-2594;
Maas, Chem. Ber. 1980, 113, 3679-3696;
Marvell, J. Am. Chem. Soc. 1978, 100, 877-881;
Przhiyalgovskaya, Zh. Org. Khinα. 1970, 6, 2310-2311;
Remers, J. Org. Chem. 1971, 36, 279-284;
Skupinska, J. Org. Chem. 2002, 67, 7890-7893; Smith, J. Org. Chem. 1983, 48, 5361-5362;
Van Leusen, Tet. Lett. 1988, 29, 2689-2692;
Wang, Heterocycles 2002, 57, 1997-2010;
Yamaguchi, Tet. Lett. 2000, 41, 4787-4790;
Zhu, J. Org. Chem. 1998, 63, 977-983.
[0060] Since those skilled in the art recognize that the efficiency of a planned chemical reaction is often related to the degree of structural similarity between the substrates in the planned reaction and those in a literature procedure being followed, in the synthetic schemes the structural contexts of the relevant transformations described in the references are provided parenthetically.
[0061] In the synthetic schemes LG1 and LG2 represent leaving groups, especially chloride, bromide, iodide, methanesulfonate and trifluoromethanesulfonate, which are useful in nucleophilic displacement and palladium catalyzed coupling reactions. The group M as utilized in the above schemes represents a monovalent metal atom or group that renders nucleophilic the group to which it is attached. For example M may be lithium as in butyl lithium, chloromagnesium as in benzylmagnesium chloride, etc. The group R as utilized in the above schemes, (lacking a superscripted numeral) represents an alkyl or benzyl group.
[0062] In the synthetic schemes the substituents R and R are meant to have interchangeable meanings and to differ only as required by their relationship to one another. For example, if a particular reaction scheme shows the synthesis of intermediate IV wherein R1 is hydrogen and R2 is a hydroxyl group, then it is equivalent to say that R1 is the hydroxyl group and R2 is hydrogen, but exactly one of the two must be hydrogen and the other must be a hydroxyl group. The choice of designating a substituent as R1 or R2 in the reaction schemes is generally arbitrary and is not meant to convey stereochemical information.
[0063] In general, the interchange of functional groups within R1, R2, R5 and R6, including the formation of various hydrogen bonding groups, maybe accomplished according to the methods and procedures described in Compendium of Organic Synthetic Methods (John Wiley & Sons), Comprehensive Organic Functional Group Transformations (Editors A. R. Katritzky, O. Meth-Cohn and C. W. Rees, Pergamon Press) and Comprehensive Organic Transformations - A Guide To Functional Group Preparations (R. C. Larock, VCH Publishers, 1989). For example, a protected amine IV in which R1 is 2-hydroxyethylaminocarbonyl may be prepared from the corresponding compound in which R1 is a carboxyl group by standard amide coupling chemistry using 2-hydroxyethylamine. As another example, a protected amine IV in which R1 is an acylated amino group such as carboxycarbonylamino may be prepared from the corresponding compound in which R1 is a carboxyl group by Curtius rearrangement followed by acylation with methyl oxalyl chloride and ester hydrolysis with sodium hydroxide. It is understood that during the course of manipulating any functional group within R1, R2, R5 and R6, standard protecting groups, as described in Protective Groups in Organic Synthesis, may be employed to avoid undesired reaction of any other functional group, or of the indole ring or other bicyclic heterocycle W, particularly at its nitrogen, or of the amide linking W to the rest of the molecule. [0064] Standard protecting groups may be used at any stage of the synthesis, for example in manipulating a functional group to convert one compound of formula I to another compound of formula I, or in manipulating a functional group to convert one protected amine IV to another protected amine IV, or to avoid undesired reaction during the coupling of carboxylic acid II and amine IE, or during the sequence of steps leading to the formation of either carboxylic acid II or protected amine IV. [0065] Protected amines IV in which R1 or R2 is a hydroxyl group of desired stereochemistry, for instance cis to the PGN group, may be prepared from the corresponding protected amines IV in which the hydroxyl group has undesired stereochemistry, for instance trans to the PGN group, by Mitsunobu inversion as known to those skilled in the art. [0066] Amines HI in which R1 or R2 is a hydroxyl group that is cis to the amino group may be prepared from the corresponding amines IH in which the hydroxyl group is trans to the amino group by treatment with benzoyl chloride and sodium
hydroxide, followed by thionyl chloride, followed by aqueous hydrochloric acid (as described in US 4076843, where R1 is H, R2 is OH, X and Y are CH2, Z is benzene). [0067] Protected amines IV in which R1 or R2 is hydrogen may be prepared from the corresponding protected amines YV in which R1 or R2 is a hydroxyl group by Barton radical deoxygenation as known to those skilled in the art.
[0068] The ketone intermediate denoted # (a subset of protected amine IV with R1 and R2 together being oxo) is a particularly useful intermediate owing to the myriad of methods available for elaboration of ketone carbonyl groups that are known to those skilled in the art. The reader is directed to Compendium of Organic Synthetic Methods, Comprehensive Organic Functional Group Transformations and Comprehensive Organic Transformations - A Guide To Functional Group Preparations to fully appreciate the utility of intermediate # because the number of useful transformations of intermediate # by reaction of its ketone carbonyl group is too large to be listed in the synthetic schemes. For example, an additional way in which to use intermediate # is by Wittig or Horner-Emmons olefination (sodium hydride and triethyl phosphonoacetate) followed by optional catalytic hydrogenation (hydrogen and palladium on carbon) to provide protected amines IV in which R1 and R2 are together carboethoxymethylidene or R1 is hydrogen and R2 is carboethoxymethyl. Alternatively, intermediate # may be treated with benzyloxyamine to provide the protected amine IV in which R and R are together benzyloxyimino. Compounds of formula I in which R1 and R2 are together oxo may likewise be transformed into other compounds of formula I by elaboration at the ketone carbonyl group using chemistry known to those skilled in the art. [0069] The intermediate denoted $ in which R2 is an electron withdrawing group such as carbomethoxy and in which R1 is an unsubstituted or substituted alkyl, arylalkyl, heteroarylalkyl or alkenyl group may be prepared from the corresponding intermediate $ in which R1 is hydrogen by treatment with a base such as sodium hydride and the appropriate unsubstituted or substituted alkylating, arylalkylating, heteroarylalkylating or alkenylating agent. [0070] Compounds of formula I and protected amines IV wherein R5 or R6 is cyano, alkyl, aryl, arylalkyl, heteroarylalkyl, alkoxy, aryloxy or alkenyl may be prepared from compounds of formula I and protected amines TV wherein R5 or R6,
respectively, is halo or hydroxy, using various palladium catalyzed coupling procedures as described in Aranyos, et al, J. Am. Chem. Soc. 1999, 121, 4369-4378 and Hamann, et al., J. Am. Chem. Soc. 1998, 120, 7369-7370 and references contained therein, and in recent papers authored by Gregory C. Fu, Stephen L. Buchwald, or John F. Hartwig. These procedures are directly applicable when R5 or R6 is halo. When R5 or R6 is hydroxy, prior activation by conversion of the hydroxyl group to a trifluoromethylsulfonyloxy group, as described in the aforementioned references, is required. [0071] Compounds of formula I and protected amines IV in which R1 or R2 is OR7A, OCO2R8 or OCONR7AR7B, or wherein R5 or R6 is substituted or unsubstituted alkoxy or aryloxy, may be prepared by elaboration of the analogous compounds of formula I and protected amines IV wherein R , R , R or R , respectively, is hydroxy. For instance, a compound wherein R1 is benzyloxy may be prepared by benzylation of the compound wherein R1 is hydroxy with benzyl bromide. A compound wherein R5 is carbomethoxymethoxy may prepared be from the compound in which R5 is hydroxy by alkylation with methyl bromoacetate. A compound wherein R5 is carboxymethoxy may be prepared by hydrolysis of the compound wherein R5 is carbomethoxymethoxy or carbo-t-butyloxymethoxy. A compound wherein R5 is 2-hydroxyethoxy may be prepared by reduction of the compound wherein R5 is carbomethoxymethoxy or carboxymethoxy. A compound wherein R6 is 2,3-dihydroxypropyloxy may be prepared from the compound wherein R6 is hydroxy by alkylation with glycidyl 3- nitrobenzenesulfonate, followed by epoxide hydrolysis. A compound wherein R5 is aryloxy may be prepared from the compound in which R is hydroxy and an aryl halide by various palladium catalyzed coupling procedures as described in Aranyos, et al., J. Am. Chem. Soc. 1999, 121, 4369-4378 and references contained therein, and in recent papers authored by Stephen L. Buchwald.
[0072] During the course of synthesis, oxidation of pyridine containing intermediates may at times cause unwanted or premature formation of the pyridine N- oxide. In these instances subsequent reduction of the N-oxide may be accomplished using standard reducing agents as known to those skilled in the art. [0073] The references above are incorporated herein by reference.
UTILITIES AND COMBINATIONS A. Utilities
[0074] The compounds of the present invention possess activity as inhibitors of the enzyme glycogen phosphorylase and therefore may be used in the treatment of diseases associated with glycogen phosphorylase activity. Via the inhibition of glycogen phosphorylase, the compounds of the present invention may preferably be employed to inhibit glycogenolysis, thereby interrupting or modulating hepatic glucose production. [0075] Accordingly, the compounds of the present invention can be administered to mammals, preferably humans, for the treatment of a variety of conditions and disorders, including, but not limited to, treating, preventing or slowing the progression of diabetes and related conditions (such as hyperglycemia, impaired glucose tolerance, insulin resistance and hyperinsulinemia), the microvascular complications associated with diabetes (such as retinopathy, neuropathy, nephropathy and delayed wound healing), the macrovascular complications associated with diabetes (cardiovascular diseases such as atherosclerosis, abnormal heart function, myocardial ischemia and stroke), as well as Metabolic Syndrome and its component conditions including hypertension, obesity and dislipidemia (including hypertriglyceridemia, hypercholesterolemia and low HDL), and other maladies such as non-cardiac ischemia, infection and cancer.
[0076] Metabolic Syndrome or "Syndrome X" is described in Ford, et al, J. Am. Med. Assoc. 2002, 257, 356-359 and Arbeeny, et al., Curr. Med. Chem. - Imm., Endoc. & Metab. Agents 2001, 1, 1-24.
B. Combinations
[0077] The present invention includes within its scope pharmaceutical compositions comprising,- as an active ingredient, a therapeutically effective amount of at least one of the compounds of formula I, alone or in combination with a pharmaceutical carrier or diluent. Optionally, compounds of the present invention can be used alone, in combination with other compounds of the invention, or in combination with one or more other therapeutic agent(s), e.g., an antidiabetic agent or other pharmaceutically active material.
[0078] The compounds of the present invention may employed in combination with other glycogen phosphorylase inhibitors or one or more other suitable therapeutic agents useful in the treatment of the aforementioned disorders including: anti-diabetic agents; anti-atherosclerotic agents; anti-ischemic agents; anti-infective agents; anti- cancer and cytotoxic agents; anti-hyperglycemic agents; lipid lowering agents; anti¬ hypertensive agents; anti-obesity agents and appetite suppressants. [0079] Examples of suitable anti-diabetic agents for use in combination with the compounds of the present invention include insulin and insulin analogs: LysPro insulin, inhaled formulations comprising insulin; glucagon-like peptides; sulfonylureas and analogs: chlorpropamide, glibenclamide, tolbutamide, tolazamide, acetohexamide, glypizide, glyburide, glimepiride, repaglinide, meglitinide; biguanides: metformin, phenformin, buformin; alpha2-antagonists and imidazolines: midaglizole, isaglidole, deriglidole, idazoxan, efaroxan, fluparoxan; other insulin secretagogues: linogliride, insulinotropin, exendin-4, BTS-67582, A-4166; thiazolidinediones: ciglitazone, pioglitazone, troglitazone, rosiglitazone; PPAR- gamma agonists; PPAR-alpha agonists; PPAR alpha/gamma dual agonists; SGLT2 inhibitors; dipeptidyl peptidase-IV (DPP4) inhibitors; aldose reductase inhibitors; RXR agonists: JTT-501, MCC-555, MX-6054, DRF2593, GI-262570, KRP-297, LG100268; fatty acid oxidation inhibitors: clomoxir, etomoxir; α-glucosidase inhibitors: precose, acarbose, miglitol, emiglitate, voglibose, MDL-25,637, camiglibose, MDL-73,945; beta-agonists: BRL 35135, BRL 37344, Ro 16-8714, ICI D7114, CL 316,243, TAK-667, AZ40140; phosphodiesterase inhibitors, both cAMP and cGMP type: sildenafil, L686398: L-386,398; amylin antagonists: pramlintide, AC-137; lipoxygenase inhibitors: masoprocal; somatostatin analogs: BM-23014, seglitide, octreotide; glucagon antagonists: BAY 276-9955; insulin signaling agonists, insulin mimetics, PTPlB inhibitors: L-783281, TER17411, TER17529; gluconeogenesis inhibitors: GP3034; somatostatin analogs and antagonists; antilipolytic agents: nicotinic acid, acipimox, WAG 994; glucose transport stimulating agents: BM-130795; glucose synthase kinase inhibitors: lithium chloride, CT98014, CT98023 and galanin receptor agonists.
[0080] Other suitable thiazolidinediones include Mitsubishi's MCC-555 (disclosed in U.S. Patent No. 5,594,016), Glaxo-Welcome's GL-262570, englitazone
(CP-68722, Pfizer) or darglitazone (CP-86325, Pfizer, isaglitazone (MIT/J&J), JTT-
501 (JPNT/P&U), L-895645 (Merck), R-119702 (Sankyo/WL), NN-2344 (Dr.
Reddy/NN), or YM-440 (Yamanouchi).
[0081] Suitable PPAR alpha/gamma dual agonists include AR-HO39242 (Astra/Zeneca), GW-409544 (Glaxo- Wellcome), KRP297 (Kyorin Merck) as well as those disclosed by Murakami et al, "A Novel Insulin Sensitizer Acts As a Coligand for Peroxisome Proliferation - Activated Receptor Alpha (PPAR alpha) and PPAR gamma; Effect of PPAR alpha Activation on Abnormal Lipid Metabolism in Liver of
Zucker Fatty Rats", Diabetes 47, 1841-1847 (1998), and WO 01/21602, the disclosure of which is incorporated herein by reference, employing dosages as set out therein, which compounds designated as preferred are preferred for use herein.
[0082] Suitable alpha2 antagonists also include those disclosed in WO 00/59506, employing dosages as set out herein.
[0083] Suitable SGLT2 inhibitors include T-1095, phlorizin, WAY- 123783 and those described in WO 01/27128.
[0084] Suitable DPP4 inhibitors include those disclosed in WO99/38501,
WO99/46272, WO99/67279 (PROBIODRUG), WO99/67278 (PROBIODRUG),
WO99/61431 (PROBIODRUG), NVP-DPP728A (l-[[[2-[(5-cyanopyridin-2- yl)amino] ethyl] amino] acetyl] -2-cyano-(S)-pyrrolidine) (Novartis) as disclosed by Hughes et al, Biochemistry, 38 (36), 11597-11603, 1999, TSL-225 (tryptophyl- l,2,3,4-tetrahydroisoquinoline-3-carboxylic acid (disclosed by Yamada et al, Bioorg.
& Med. Chem. Lett. 8 (1998) 1537-1540, 2-cyanoρyrrolidides and 4- cyanopyrrolidides, as disclosed by Ashworth et al, Bioorg. & Med. Chem. Lett., Vol.
6, No. 22, pp 1163-1166 and 2145-214% (1996) employing dosages as set out in the above references.
[0085] Suitable aldose reductase inhibitors include those disclosed in WO
99/26659.
[0086] Suitable meglitinides include nateglinide (Novartis) or KAD 1229
(PF/Kissei). [0087] Examples of glucagon-like peptide- 1 (GLP- 1 ) include GLP- 1(1-36) amide,
GLP-l(7-36) amide, GLP-l(7-37) (as disclosed in U.S. Patent No. 5,614,492 to
Habener), as well as AC2993 (Amylen) and LY-315902 (Lilly).
[0088] Other anti-diabetic agents that can be used in combination with compounds of the invention include ergoset and D-chiroinositol. [0089] Suitable anti-ischemic agents include, but are not limited to, those described in the Physicians' Desk Reference and NHE inhibitors, including those disclosed in WO 99/43663.
[0090] Examples of suitable anti-infective agents are antibiotic agents, including, but not limited to, those described in the Physicians' Desk Reference. [0091] Examples of suitable lipid lowering agents for use in combination with the compounds of the present invention include one or more MTP inhibitors, HMG CoA reductase inhibitors, squalene synthetase inhibitors, fibric acid derivatives, ACAT inhibitors, lipoxygenase inhibitors, cholesterol absorption inhibitors, ileal Na /bile acid cotransporter inhibitors, upregulators of LDL receptor activity, bile acid sequestrants, cholesterol ester transfer protein inhibitors (e.g., CP-529414 (Pfizer)) and/or nicotinic acid and derivatives thereof. [0092] MTP inhibitors which may be employed as described above include those disclosed in U.S. Patent No. 5,595,872, U.S. Patent No. 5,739,135, U.S. Patent No. 5,712,279, U.S. Patent No. 5,760,246, U.S. Patent No. 5,827,875, U.S. Patent No. 5,885,983 and U.S. Patent No. 5,962,440. [0093] The HMG CoA reductase inhibitors which may be employed in combination with one or more compounds of formula I include mevastatin and related compounds, as disclosed in U.S. Patent No. 3,983,140, lovastatin (mevinolin) and related compounds, as disclosed in U.S. Patent No. 4,231,938, pravastatin and related compounds, such as disclosed in U.S. Patent No. 4,346,227, simvastatin and related compounds, as disclosed in U.S. Patent Nos. 4,448,784 and 4,450,171. Other HMG CoA reductase inhibitors which may be employed herein include, but are not limited to, fluvastatin, disclosed in U.S. Patent No. 5,354,772, cerivastatin, as disclosed in U.S. Patent Nos. 5,006,530 and 5,177,080, atorvastatin, as disclosed in U.S. Patent Nos. 4,681,893, 5,273,995, 5,385,929 and 5,686,104, atavastatin (Nissan/Sankyo's nisvastatin (NK-104)), as disclosed in U.S. Patent No. 5,011,930, visastatin (Shionogi-Astra/Zeneca (ZD-4522)), as disclosed in U.S. Patent No. 5,260,440, and related statin compounds disclosed in U.S. Patent No. 5,753,675, pyrazole analogs of mevalonolactone derivatives, as disclosed in U.S. Patent No. 4,613,610, indene
analogs of mevalonolactone derivatives, as disclosed in PCT application WO 86/03488, 6-[2-(substituted-pyrrol-l-yl)alkyl)pyran-2-ones and derivatives thereof, as disclosed in U.S. Patent No. 4,647,576, Searle's SC-45355 (a 3-substituted pentanedioic acid derivative) dichloroacetate, imidazole analogs of mevalonolactone, as disclosed in PCT application WO 86/07054, 3-carboxy-2~hydroxy-propane- phosphonic acid derivatives, as disclosed in French Patent No. 2,596,393, 2,3- disubstituted pyrrole, furan and thiophene derivatives, as disclosed in European Patent Application No. 0221025, naphthyl analogs of mevalonolactone, as disclosed in U.S. Patent No. 4,686,237, octahydronaphthalenes, such as disclosed in U.S. Patent No. 4,499,289, keto analogs of mevinolin (lovastatin), as disclosed in European Patent Application No.0142146 A2, and quinoline and pyridine derivatives, as disclosed in U.S. Patent No. 5,506,219 and 5,691,322.
[0094] Preferred hypolipidemic agents are pravastatin, lovastatin, simvastatin, atorvastatin, fluvastatin, cerivastatin, atavastatin and ZD-4522. [0095] In addition, phosphinic acid compounds useful in inhibiting HMG CoA reductase, such as those disclosed in GB 2205837, are suitable for use in combination with the compounds of the present invention.
[0096] The squalene synthetase inhibitors suitable for use herein include, but are not limited to, α-phosphono-sulfonates disclosed in U.S. Patent No. 5,712,396, those disclosed by Biller et al, J. Med. Chem., 1988, Vol. 31, No. 10, pp 1869-1871, including isoprenoid (phosphinyl-methyl)phosphonates, as well as other known squalene synthetase inhibitors, for example, as disclosed in U.S. Patent No. 4,871,721 and 4,924,024 and in Biller, S. A., Neuenschwander, K., Ponpipom, M.M., and Poulter, CD., Current Pharmaceutical Design, 2, 1-40 (1996). [0097] In addition, other squalene synthetase inhibitors suitable for use herein include the terpenoid pyrophosphates disclosed by P. Ortiz de Montellano et al, J. Med. Chem., 1977, 20, 243-249, the farnesyl diphosphate analog A and presqualene pyrophosphate (PSQ-PP) analogs as disclosed by Corey and Volante, J. Am. Chem. Soc, 1976, 98, 1291-1293, phosphinylphosphonates reported by McClard, R. W. et al, J.A.C.S., 1987, 109, 5544 and cyclopropanes reported by Capson, T.L., Ph.D. dissertation, June, 1987, Dept. Med. Chem. U of Utah, Abstract, Table of Contents, pp. 16, 17, 40-43, 48-51, Summary.
[0098] The fibric acid derivatives which may be employed in combination with one or more compounds of formula I include fenofibrate, gemfibrozil, clofibrate, bezafibrate, ciprofibrate, clinofibrate and the like, probucol, and related compounds, as disclosed in U.S. Patent No. 3,674,836, probucol and gemfibrozil being preferred, bile acid sequestrants, such as cholestyramine, colestipol and DEAE-Sephadex
(Secholex®, Policexide®), as well as lipostabil (Rhone-Poulenc), Eisai E-5050 (an N- substituted ethanolamine derivative), imanixil (HOE-402), tetrahydrolipstatin (THL)5 istigmastanylphosphorylcholine (SPC3 Roche), aminocyclodextrin (Tanabe Seiyoku), Ajinomoto AJ-814 (azulene derivative), melinamide (Sumitomo), Sandoz 58-035, American Cyanamid CL-277,082 and CL-283,546 (disubstituted urea derivatives), nicotinic acid, acipimox, acifran, neomycin, p-aminosalicylic acid, aspirin, poly(diallylmethylamine) derivatives, such as disclosed in U.S. Patent No. 4,759,923, quaternary amine poly(diallyldimethylammonium chloride) and ionenes, such as disclosed in U.S. Patent No. 4,027,009, and other known serum cholesterol lowering agents.
[0099] The ACAT inhibitor which may be employed in combination with one or more compounds of formula I include those disclosed in Drugs of the Future 24, 9-15 (1999), (Avasimibe); "The ACAT inhibitor, Cl-1011 is effective in the prevention and regression of aortic fatty streak area in hamsters", Nicolosi et al, Atherosclerosis (Shannon, Irel). (1998), 137(1), 77-85; "The pharmacological profile of FCE 27677: a novel ACAT inhibitor with potent hypolipidemic activity mediated by selective suppression of the hepatic secretion of ApoBlOO-containing lipoprotein", Ghiselli, Giancarlo, Cardiovasc. Drug Rev. (1998), 16(1), 16-30; "RP 73163: a bioavailable alkylsulfinyl-diphenylimidazole ACAT inhibitor", Smith, C, et al, Bioorg. Med. Chem. Lett. (1996), 6(1), 47-50; "ACAT inhibitors: physiologic mechanisms for hypolipidemic and anti-atherosclerotic activities in experimental animals", Krause et al, Editor(s): Ruffolo, Robert R., Jr.; HoUinger, Mannfred A., hiflammation: Mediators Pathways (1995), 173-98, Publisher: CRC, Boca Raton, FIa.; "ACAT inhibitors: potential anti-atherosclerotic agents", Sliskovic et al, Curr. Med. Chem. (1994), 1(3), 204-25; "Inhibitors of acyl-Co A: cholesterol O-acyl transferase (ACAT) as hypocholesterolemic agents. 6. The first water-soluble ACAT inhibitor with lipid- regulating activity. Inhibitors of acyl-Co A: cholesterol acyltransferase (ACAT). 7.
Development of a series of substituted N-phenyl-N'-[(l~ phenylcyclopentyl)methyl]ureas with enhanced hypocholesterolemic activity", Stout et al, Chemtracts: Org. Chem. (1995), 8(6), 359-62, or TS-962 (Taisho Pharmaceutical Co. Ltd.). [00100] The hypolipidemic agent may be an upregulator of LD2 receptor activity, such as MD-700 (Taisho Pharmaceutical Co. Ltd) and LY295427 (Eli Lilly). [00101] Examples of suitable cholesterol absorption inhibitor for use in combination with the compounds of the invention include SCH48461 (Schering- Plough), as well as those disclosed in Atherosclerosis 115, 45-63 (1995) and J. Med. Chem. 41, 973 (1998).
[00102] Examples of suitable ileal Na+/bile acid cotransporter inhibitors for use in combination with the compounds of the invention include compounds as disclosed in Drugs of the Future, 24, 425-430 (1999). [00103] The lipoxygenase inhibitors which may be employed in combination with one or more compounds of formula I include 15 -lipoxygenase (15-LO) inhibitors, such as benzimidazole derivatives, as disclosed in WO 97/12615, 15-LO inhibitors, as disclosed in WO 97/12613, isothiazolones, as disclosed in WO 96/38144, and 15-LO inhibitors, as disclosed by Sendobry et al "Attenuation of diet-induced atherosclerosis in rabbits with a highly selective 15 -lipoxygenase inhibitor lacking significant antioxidant properties", Brit. J. Pharmacology (1997) 120, 1199-1206, and Cornicelli et al, "15-Lipoxygenase and its Inhibition: A Novel Therapeutic Target for Vascular Disease", Current Pharmaceutical Design, 1999, 5, 11-20.
[00104] Examples of suitable anti-hypertensive agents for use in combination with the compounds of the present invention include beta adrenergic blockers, calcium channel blockers (L-type and T-type; e.g. diltiazem, verapamil, nifedipine, amlodipine and mybefradil), diuretics (e.g., chlorothiazide, hydrochlorothiazide, flumethiazide, hydroflumethiazide, bendroflumethiazide, methylchlorothiazide, trichloromethiazide, polythiazide, benzthiazide, ethacrynic acid tricrynafen, chlorthalidone, furosemide, musolimine, bumetanide, triamtrenene, amiloride, spironolactone), renin inhibitors, ACE inhibitors (e.g., captopril, zofenopril, fosinopril, enalapril, ceranopril, cilazopril, delapril, pentopril, quinapril, ramipril, lisinopril), AT-I receptor antagonists (e.g., losartan, irbesartan, valsartan), ET receptor antagonists (e.g., sitaxsentan, atrsentan
and compounds disclosed in U.S. Patent Nos. 5,612,359 and 6,043,265), Dual ET/AII antagonist (e.g., compounds disclosed in WO 00/01389), neutral endopeptidase (NEP) inhibitors, vasopepsidase inhibitors (dual NEP-ACE inhibitors) (e.g., omapatrilat and gemopatrilat), and nitrates. [00105] Examples of suitable anti-obesity agents for use in combination with the compounds of the present invention include a cannabinoid receptor 1 antagonist or inverse agonist, a beta 3 adrenergic agonist, a lipase inhibitor, a serotonin (and dopamine) reuptake inhibitor, a thyroid receptor beta drug and/or an anorectic agent. [00106] Cannabinoid receptor 1 antagonists and inverse agonists which may be optionally employed in combination with compounds of the present invention include rimonabant, SLV 319 and those discussed in D. L. Hertzog, Expert Opin. Ther. Patents 2004, 14, 1435-1452.
[00107] The beta 3 adrenergic agonists which may be optionally employed in combination with compounds of the present invention include AJ9677 (Takeda/Dainippon), L750355 (Merck), or CP331648 (Pfizer,) or other known beta 3 agonists, as disclosed in U.S. Patent Nos. 5,541,204, 5,770,615, 5,491,134, 5,776,983 and 5,488,064, with AJ9677, L750,355 and CP331648 being preferred. [00108] Examples of lipase inhibitors which may be optionally employed in combination with compounds of the present invention include orlistat or ATL-962 (Alizyme), with orlistat being preferred.
[00109] The serotonin (and dopoamine) reuptake inhibitor which may be optionally employed in combination with a compound of formula I may be sibutramine, topiramate (Johnson & Johnson) or axokine (Regeneron), with sibutramine and topiramate being preferred. [00110] Examples of thyroid receptor beta compounds which may be optionally employed in combination with compounds of the present invention include thyroid receptor ligands, such as those disclosed in WO97/21993 (U. CaI SF) and WO99/00353 (KaroBio), with compounds of the KaroBio applications being preferred. [00111] The anorectic agent which may be optionally employed in combination with compounds of the present invention include dexamphetamine, phentermine, phenylpropanolamine or mazindol, with dexamphetamine being preferred.
[00112] Other compounds that can be used in combination with the compounds of the present invention include CCK receptor agonists (e.g., SR-27897B); galanin receptor antagonists; MCR-4 antagonists (e.g., HP-228); leptin or mimentics; 11-beta- hydroxysteroid dehydrogenase type-1 inhibitors; urocortin mimetics, CRF antagonists, and CRF binding proteins (e.g., RU-486, urocortin).
[00113] Further, the compounds of the present invention may be used in combination with anti-cancer and cytotoxic agents, including but not limited to alkylating agents such as nitrogen mustards, alkyl sulfonates, nitrosoureas, ethylenimines, and triazenes; antimetabolites such as folate antagonists, purine analogues, and pyrimidine analogues; antibiotics such as anthracyclines, bleomycins, mitomycin, dactinomycin, and plicamycin; enzymes such as L-asparaginase; farnesyl- protein transferase inhibitors; 5α reductase inhibitors; inhibitors of 17β-hydroxy steroid dehydrogenase type 3; hormonal agents such as glucocorticoids, estrogens/ antiestrogens, androgens/ antiandrogens, progestins, and luteinizing hormone- releasing hormone antagonists, octreotide acetate; microtubule-disruptor agents, such as ecteinascidins or their analogs and derivatives; microtubule-stabilizing agents such as taxanes, for example, paclitaxel (Taxol®), docetaxel (Taxotere®), and their analogs, and epothilones, such as epothilones A-F and their analogs; plant-derived products, such as vinca alkaloids, epipodophyllotoxins, taxanes; and topiosomerase inhibitors; prenyl-protein transferase inhibitors; and miscellaneous agents such as hydroxyurea, procarbazine, mitotane, hexamethyknelamine, platinum coordination complexes such as cisplatin and carboplatin; and other agents used as anti-cancer and cytotoxic agents such as biological response modifiers, growth factors; immune modulators and monoclonal antibodies. Additional anti-cancer agents are disclosed in EP 1177791. The compounds of the invention may also be used in conjunction with radiation therapy.
[00114] The aforementioned patents and patent applications are incorporated herein by reference. [00115] The above other therapeutic agents, when employed in combination with the compounds of the present invention may be used, for example, in those amounts indicated in the Physician's Desk Reference, as in the patents set out above or as otherwise determined by one of ordinary skill in the art.
[00116] The compounds of the formula I can be administered for any of the uses described herein by any suitable means, for example, orally, such as in the form of tablets, capsules, granules or powders; sublingually; bucally; parenterally, such as by subcutaneous, intravenous, intramuscular, or intrasternal injection or infusion techniques (e.g., as sterile injectable aqueous or non-aqueous solutions or suspensions); nasally, including administration to the nasal membranes, such as by inhalation spray; topically, such as in the form of a cream or ointment; or rectally such as in the form of suppositories; in dosage unit formulations containing non-toxic, pharmaceutically acceptable vehicles or diluents. [00117] In carrying out the method of the invention for treating diabetes and related diseases, a pharmaceutical composition will be employed containing the compounds of formula I, with or without other antidiabetic agent(s) and/or antihyperlipidemic agent(s) and/or other type therapeutic agents in association with a pharmaceutical vehicle or diluent. The pharmaceutical composition can be formulated employing conventional solid or liquid vehicles or diluents and pharmaceutical additives of a type appropriate to the mode of desired administration, such as pharmaceutically acceptable carriers, excipients, binders and the like. The compounds can be administered to a mammalian patient, including humans, monkeys, dogs, etc. by an oral route, for example, in the form of tablets, capsules, beads, granules or powders. Typical solid formulations will contain from about 1 to about 1000 mg of a compound of formula I. The dose for adults is preferably between 1 and 2,000 mg per day, which can be administered in a single dose or in the form of individual doses from 1-4 times per day. [00118] It will be understood that the specific dose level and frequency of dosage for any particular subject can be varied and will depend upon a variety of factors including the potency of the specific compound employed, the metabolic stability and length of action of that compound, the species, age, body weight, general health, sex and diet of the subject, the mode and time of administration, rate of excretion, drug combination, and severity of the particular condition. [00119] Glycogen phosphorylase inhibitor activity of the compounds of the invention may be determined by use of an assay system as set out below.
ASSAY FOR GLYCOGEN PHOSPHORYLASE ACTIVITY
[00120] The utility of the compounds of the invention for use in the treatment of diabetes and the other conditions that may be treated with a glycogen phosphorylase inhibitor may be demonstrated in assays for glycogen phosphorylase inhibition in vitro (US 6,107,329), effects on blood sugar and insulin in vivo (US 6,107,329), effects on ischemic tissue damage in vitro (US 6,107,329), and effects on weight and food intake in vivo (WO 00/47206). Compounds deemed herein to possess activity as inhibitors of the enzyme glycogen phosphorylase demonstrate an IC50 of 10 μM or lower when measured in the aforementioned glycogen phosphorylase inhibition in vitro assay.
EXAMPLES
[00121] The following working Examples serve to better illustrate, but not limit, some of the preferred embodiments of the present invention.
General
[00122] Reverse phase preparative HPLC separation employed an octadecyl sulfate (C- 18) column eluting with a solvent gradient of solvents A and B, starting with 20% or more of solvent B and finishing with 100% of solvent B. Solvent A was 10% methanol in water, and solvent B was 90% methanol in water, hi many cases both solvents A and B contained 0.1% of trifluoroacetic acid, as noted. Reverse phase analytical HPLC employed the same type of column and solvents, except that the solvents contained 0.2% phosphoric acid.
Preparation of Resin Bound Activated Ester
[00123] To a suspension of triphenylphosphine (3.9 g) and 5-chloroindole-2- carboxylic acid (2.9 g) in tetrahydrofuran (100 mL) at room temperature, was added trichloroacetonitrile (2.2 g). The resulting yellow mixture was shaken for 2 h before diisopropylethylamine (2.0 g) and polymer-supported tetrafluorophenol (5.0 g, see J. M. Salvino, et al, J. Combinatorial Chem. 2000, 2, 691-697) were added, followed by additional tetrahydrofuran (100 mL). After shaking for 5 h, the solution was drained from the now light brown mixture, and the resin was washed sequentially with N5N-
dimethylformamide (50 mL twice), tetrahydrofuran (50 mL twice), and dichloromethane (50 mL twice). Mixed with the resin was a small amount of a yellow, insoluble solid, which was removed by separation in dichloromethane, in which the insoluble solid sank and the resin floated. Resin bound activated ester (5.9 g) was obtained after drying under vacuum. Loading was determined to be 1.0 mmol/g by measurement of the amount of 5-cMoro-N-isopropyl-mdolecarboxarnide obtained after reaction with a large excess of isopropylamhie in dichloromethane.
Resin Capture Procedure [00124] A mixture of amine (about 0.04 mmol) and the resin bound activated ester prepared above (about 0.05 mmol, always in excess) in tetrahydrofuran (1-2 mL) was shaken at room temperature for 1-2 days. The mixture was filtered and the resin was rinsed with tetrahydrofuran (1 mL). The combined filtrate and rinses were evaporated under vacuum and analyzed by HPLC/MS. Starting amines used were free bases unless otherwise noted. In cases where an amine salt was used, a scavenger base was also present, as noted. [00125] For Examples 1 to 12 see Table 1:
TABLEl
EXAMPLE l
Trans 3-(5-chloroindole-2-carbonylamino)-2-hydroxy-l,2,3,4- tetrahydronaphthalene [00126] The title compound was prepared by reaction of resin bound activated ester with trans 3-amino-2-hydroxy-l,2,3,4-tetrahydronaphthalene (prepared in the manner disclosed in US 5106861) according to Resin Capture Procedure. HPLC/MS [M+H]+, 341; [M-H]-, 339.
EXAMPLE 2 AND EXAMPLE 3
Trans 3-(5-chIoroindole-2-carbonyIamino)-2,5-dihydroxy-l,2,3,4- tetrahydronaphthalene and trans 3-(5-chloroindoIe-2-carbonylamino)-2,8- dihydroxy-l,2,3,4-tetrahydronaphthalene, respectively
[00127] A mixture of trans 3-amino-2,5-dihydroxy-l,2,3,4-tetrahydronaphthalene and trans 3-amino-2,8-dihydroxy-l,2,3,4-tetrahydronaphthalene (278 mg, prepared in the manner disclosed in GB 1442851) was dissolved at room temperature with stirring under argon in N,N-dimethylformamide (2 mL) along with 5-chloroindole-2- carboxylic acid (315 mg), l-hydroxy-7-azabenzotriazole (230 mg), and l-[3- (dimethylamino)propyl]-3-ethylcarbodiimide hydrochloride (330 mg). After 3 days the reaction mixture was purified without work-up by reverse phase preparative HPLC to provide the two isomers as off-white solids, trans 3-(5-chloroindole-2- carbonylamino)-255-dihydroxy-l,2,3,4-tetrahydronaphthalene, Example 2 (eluted first, 130 mg) and trans 3-(5-chloroindole-2-carbonylamino)-2,8-dihydroxy-l,2,3,4- tetrahydronaphthalene, Example 3 (eluted second, 104 mg). HPLC/MS for both isomers [M+H]+, 357; [M-H]", 355.
EXAMPLE 4 AND EXAMPLE 5
(2R,3R)-3-(5-chloroindoIe-2-carbonyIamino)-2,5-dihydroxy-l,2,3,4- tetrahydronaphthalene and (2S,3S)-3-(5-chloroindole-2-carbonyIamino)-2,5- dihydroxy-l,2,3,4-tetrahydronaphthalene, respectively [00128] Example 2 was separated into its component enantiomers by chiral noimal phase preparative HPLC (Chiralcel OD column, 20% ethanol in hexane was used or Chiralcel AD column, 40% isopropanol in hexane was used). Analysis by chiral normal phase analytical HPLC on a Chiralcel OD column with 20% ethanol in hexane eluted Example 5 first. Analysis by chiral normal phase analytical HPLC on a Chiralcel AD column with 50% isopropanol in hexane eluted Example 4 first.
HPLC/MS for both isomers [M+H]+, 357; [M-H]", 355. Absolute stereochemistry was assigned by x-ray crystal structure.
EXAMPLE 6 AND EXAMPLE 7 Trans 3-(5-chloroindole-2-carbonyIamino)-2,8-dihydroxy-l,2,3,4- tetrahydronaphthalene isomers
[00129] Example 3 was separated into its component enantiomers by chiral normal phase preparative HPLC (Chiralcel OD column, 20% ethanol in hexane was used). Example 6 eluted before Example 7. The absolute stereochemistry of these compounds was not assigned. HPLC/MS for both isomers [M+H]+, 357; [M-H]", 355.
EXAMPLE 8
R/S-(2R*.3R*)-2'S-3-(5-chIoroindoIe-2-carbonylamino)-5-(2',3'- dihydroxypropoxy)-2-hydroxy-l,2,3,4-tetrahydronaphthalene [00130] Example 2 (10.2 mg) was dissolved in N,N-dimethylformamide (0.5 mL) at room temperature under argon. To the stirring solution was added potassium carbonate (16 mg) and (2S)-(+)-glycidyl 3-nitrobenzenesulfonate (10.5 mg). After 16 h, water (3 mL) was added to dissolve inorganic salts and precipitate the product epoxide. The mixture was centrifuged and the supernatant was discarded. The precipitate was washed with water and dried under vacuum to provide crude epoxide product. Crude epoxide was dissolved in 1,4-dioxane (1.0 mL) at room temperature and 1.0 M aqueous sodium hydroxide solution (0.2 mL) was added. The resulting
solution was heated to 75°C for 1 day. Without work-up, the reaction mixture was purified by reverse phase preparative HPLC to provide Example 8 (1.1 mg). HPLC/MS [M+H]+, 331; [M-H]', 329.
EXAMPLE 9
Trans 3-(5-chIoroindoIe-2-carbonylamino)-2-hydroxy-5-(2-hydroxyethoxy)-
1,2,3,4-tetrahydronaphthalene
[00131] Example 2 (20.3 mg) was dissolved in N,N-dimethylformamide (0.5 mL) at room temperature under argon. To the stirring solution was added potassium carbonate (28 mg) and methyl bromoacetate (9.9 mg). After 16 h, more methyl bromoacetate (6.5 mg) was added. After 2 h more, half of this mixture was diluted with methanol (0.5 mL) at room temperature. To the stirring solution was added sodium borohydride (50 mg). After 20 min the reaction mixture was purified without work-up by reverse phase preparative HPLC to provide Example 9 (10.6 mg). HPLC/MS [M+H]+, 401 ; [M-H]', 399.
EXAMPLE 10
Trans 5-carboxymethoxy-3-(5-chloroindoIe-2-carbonylamino)-2-hydroxy-l,2,3,4- tetrahydronaphthalene [00132] Example 2 (20.3 mg) was dissolved in N,N-dimethylformamide (0.5 mL) at room temperature under argon. To the stirring solution was added potassium carbonate (28 mg) and methyl bromoacetate (9.9 mg). After 16 h, more methyl bromoacetate (6.5 mg) was added. After 2 h more, half of this mixture was diluted with methanol (0.2 mL) at room temperature. To this was added 1.0 M aqueous sodium hydroxide solution (0.1 mL). After 20 min the reaction mixture was acidified to pH less than 1 by addition of methanol (0.5 mL), water (0.1 mL) and a few drops of trifluoroacetic acid. Without further work-up, injection to reverse phase preparative HPLC (trifluoroacetic acid containing solvents were used) provided Example 10 (7.6 mg). HPLC/MS [M+H]+, 415; [M-H]', 413.
EXAMPLE 11 AND EXAMPLE 12 Trans 5-aminocarbonylmethoxy-3-(5-chIoroindole-2-carbonylamino)-2-hydroxy-
1,2,3,4-tetrahydronaphthaIene and trans 5-carbomethoxymethoxy-3-(5- chloroindoIe-2-carbonylamino)-2-hydroxy-l,2,3,4-tetrahydronaphthaIene, respectively
Part I: Trans 3-benzylamino-2,5-dihydroxy-l,2,3,4-tetrahydronaphthalene
[00133] A mixture of 5-acetoxy-2,3-epoxy-l ,2,3,4-tetrahydronaphthalene (prepared in the manner disclosed in US 4076843, 20.4 g) and benzylamine (85 niL) was heated in a bomb at 120° C for 18 h. After cooling, excess amine was distilled off under high vacuum using a 70° C bath. The semi-solid residue was triturated with chloroform (70 mL) and filtered. The filtercake was washed with chloroform, then with diethyl ether, and dried under vacuum to provide crude product. The crude product was recrystallized from a mixture of methanol and ethyl acetate to yield the title product (10 g) as a white solid. The regioisomeric product (trans 3-benzylamino- 2,8-dihydroxy-l,2,3,4-tetrahydronaphthalene) was largely contained in the chloroform extract and wash.
Part II: Trans 3-benzyIamino-5-carboethoxymethoxy-2-hydroxy-l,2,3,4- tetrahydronaphthalene

[00134] To a stirring solution of trans 3-benzylamino-2,5-dihydroxy-l, 2,3,4- tetrahydronaphthalene (14 g) in dry dimethylsulfoxide (150 mL) was added sodium methoxide (3.05 g). This was stirred for 10 min at room temperature, then cooled in a 10 °C bath while ethyl bromoacetate (9.1 g) was added over 3 min, during which the temperature of the mixture remained below 25 °C. The cooling bath was removed, and the reaction mixture was stirred for 4.5 h at room temperature under nitrogen. Dilution with a half-saturated aqueous sodium bicarbonate solution (800 mL) was followed by extraction with diethyl ether (250 mL four times). The combined extracts were washed sequentially with cold 5% aqueous sodium hydroxide solution, water (300 mL twice), and brine and dried over anhydrous sodium sulfate. The solvent was evaporated under vacuum to provide crude product. The crude product was recrystallized from 50% ethyl acetate in hexane (100 mL) to yield the title product (13 g) as a white solid (mp 93-97
0C).
Part III: Trans 3-amino-5-carboethoxymethoxy-2-hydroxy-l,2,3,4- tetrahydronaphthalene hydrochloride
OH
[00135] To a solution of trans 3-benzylamino-5-carboethoxymethoxy-2-hydroxy- 1,2,3,4-tetrahydronaphthalene (10 g) in 95% aqueous ethanol (200 mL) was added dropwise concentrated aqueous hydrochloric acid solution to bring the pH to 6. Addition of 5% palladium on carbon was followed by hydrogenation on a Parr apparatus at 50 psi for 1 day. The mixture was filtered, rinsing the catalyst with 95% aqueous ethanol and methanol. The filtrate was evaporated to yield a residue. The residue was recrystallized from a mixture of methanol and absolute ethanol to provide the title product (5.2 g, m.ρ. 210-211 °C).
Part IV: Trans 3-amino~5-carboethoxymethoxy-2-hydroxy-l,2,3,4- tetrahydronaphthalene
OH
[00136] Trans 3-amino-5-carboethoxymethoxy-2-hydroxy-l, 2,3,4- tetrahydronaphthalene hydrochloride was converted to the free base by ion exchange on an SCX column (United Chemical Technologies, CLEAN-UP Extraction Column, sorbent CUBCXlHL, Synthesis 1997, 553-558) by loading in methanol and eluting with methanol, followed by 2 M methanolic ammonia. The ammonia containing eluant was evaporated to provide the title product as a mixture with the methyl ester and primary amide.
Part V: Examples 11 and 12
[00137] Trans 3-amino-5-carboethoxymethoxy-2-hydroxy- 1,2,3,4- tetrahydronaphthalene was reacted with resin bound activated ester according to the Resin Capture Procedure set forth above and then treated with a mixture of 2.0 M methanolic ammonia and tetrahydrofuran. The resulting mixture was evaporated under vacuum and then purified by reverse phase preparative HPLC to yield Example 11 [M+H]+, 414; [M-H]", 412 and Example 12 [M+H]+, 429; [M-H]', 427.
[00138] For Examples 13 to 30 see Table 2:
TABLE 2
This stereocenter is arbitrarily drawn. stereocenter.
EXAMPLE 13 AND EXAMPLE 14 Part I: l,4-Dihydro-2,3-benzoxathiin 3-oxide
[00139] To a stirred solution of l,2-bis(bromomethyl)benzene (15 g, 56.8 mmol) in N,N-drmethylformamide (100 mL) at 0
0C was added tetrabutylammonium bromide (3.66 g, 11.4 mmol), followed by sodium hydroxymethane sulfinate dihydrate (17.5 g, 113.6 mmol) in one portion. The resulting suspension was stirred at 0
0C for 7 h under nitrogen and then at room temperature for 1O h. Water (250 mL) was added and after 30 min the reaction mixture was diluted with diethyl ether. The organic layer was washed with water twice. The aqueous layer was extracted with diethyl ether twice more. The combined organic layers were dried over anhydrous magnesium sulfate and evaporated under vacuum to yield the title compound (purity 80%).
13C NMR (400 MHz, CDCl
3) δ 133.8, 130.0, 128.6, 127.9, 125.9, 125.7, 63.0, 57.0.
1H NMR (400 MHz, CDCl
3) δ 7.20-7.41 (m, 4H), 5.31 (d, J = 13.6 Hz
5 IH), 4.97 (d, J = 13.6 Hz, IH)
5 4.42 (d, J = 15.4 Hz
5 IH), 3.56 (d, J = 15.4 Hz
5 IH). MS [M+H]
+ 5 169.
Part II: Trans 2,3-dicarboethoxy-l,2,3,4-tetrahydronaphthalene
CO2Et
[00140] To a stirred solution of 1 ,4-dihydro-2,3-benzoxathiin 3-oxide (2.0 g, 11.9 mmol) in toluene (20 mL) was added diethyl fumarate (3.9 mL, 23.8 mmol). Upon completion of addition, the reaction mixture was heated to 110 °C for 16 h under nitrogen. The solvent was removed under vacuum to yield a residue. The residue was purified by silica gel chromatography eluting with 10% ethyl acetate in hexane to yield the title compound (2.1 g, 64%). 13C NMR (400 MHz, CDCl3) δ 174.1, 133.7, 128.3, 126.1, 60.5, 42.3, 42.0, 31.6, 14.3, 14.0. 1HNMR (400 MHz, CDCl3) δ 7.04- 7.15 (m, 4H), 4.18 (m, 4H), 3.12 (dd, J = 2.6, 12.4 Hz, 2H), 2.87-3.03 (m, 4H), 1.27 (t, J = 7.5 Hz, 6H). MS [M+Na]+, 299.
Part III: Trans 2-carboethoxy-3-carboxy-l,2,3,4-tetrahydronaphthalene
CO2Et
[00141] To a stirred solution of trans 2,3-dicarboethoxy-l,2,3,4- tetrahydronaphthalene (2.1 g, 7.6 mmol) in ethanol (10 mL) at room temperature under nitrogen was added 1.0 M aqueous sodium hydroxide solution (7.6 mL, 7.6 mmol). After 16 h, 1.0 M aqueous hydrochloric acid solution (10 mL) was added to quench the reaction mixture. Upon completion of addition, the reaction mixture was concentrated under vacuum to yield a residue. The residue was diluted with ethyl acetate. The organic layer was washed with 1.0 M aqueous hydrochloric acid solution, saturated aqueous ammonium chloride solution and brine, dried over anhydrous magnesium sulfate, and concentrated under vacuum to yield a residue. The
residue was purified by silica gel chromatography (50% ethyl acetate in hexane was used) to yield the title compound (1.37 g, 73%).
13C NMR (400 MHz, (CD
3)
2CO) δ 175.7, 174.7, 135.0, 134.9, 129.3, 129.2, 127.0, 61.0, 42.8, 42.5, 32.2, 14.4.
1H NMR (400 MHz, (CD
3)
2CO) δ 7.02 (s, 4H), 4.03 (m, 2H), 2.74-3.09 (m, 6H), 1.13 (t, J = 7.0 Hz, 6H). MS [M+Na]
+, 271.
Part IV: Trans 2-benzyloxycarbonylamino-3-carboethoxy-l,2,3,4- tetrahydronaphthalene
[00142] To a stirred solution of trans 2-carboethoxy-3-carboxy- 1,2,3,4- tetrahydronaphthalene (546 mg, 2.2 mmol) in toluene (15 mL) under nitrogen was added diphenylphosphoryl azide (0.62 mL, 2.86 mmol), triethylamine (0.4 mL, 2.86 mmol) and benzyl alcohol (1.14 mL, 11 mmol). The reaction mixture was heated to 100 °C for 19 h. The toluene was removed under vacuum to yield a residue. The residue was diluted with ethyl acetate and aqueous ammonium chloride solution. The organic layer was washed with 1.0 M aqueous hydrochloric acid solution, saturated aqueous sodium carbonate solution and brine, dried over anhydrous magnesium sulfate, and concentrated under vacuum to yield a residue. The residue was purified by silica gel chromatography (10% ethyl acetate in hexane was used) to obtain the title compound (800 mg, containing some benzyl alcohol).
13C NMR (500 MHz, CDCl
3) δ 173.2, 155.5, 136.3, 133.5, 133.2, 129.0, 128.5, 128.1, 127.6, 126.9, 126.4, 126.3, 66.7, 65.3, 48.7, 45.3, 35.0, 30.4, 14.1.
1H NMR (400 MHz, CDCl
3) δ 7.02-7.38 (m, 9H), 5.10 (s, 2H), 4.29 (m, IH), 4.14 (m, 2H), 3.22 (m, 2H), 3.02 (dd, J = 5.7, 17.2 Hz, IH), 2.88 (m, IH), 2.76 (dd, J = 7.2, 16.8 Hz, IH), 1.23 (t, J = 7.0 Hz, 3H).
Part V: Trans 2-amino-3-carboethoxy-l,2,3,4-tetrahydronaphthaIene trifluoroacetic acid salt
[00143] To a stirred solution of trans 2-benzyloxycarbonylamino-3-carboethoxy- 1,2,3,4-tetrahydronaphthalene (800 mg containing some benzyl alcohol) in methanol at room temperature (15 mL) was added 20% palladium on carbon (70 mg) and 1.0 M aqueous hydrochloric acid solution (2.2 mL, 2.2 mmol). The reaction mixture was stirred under a hydrogen balloon for 16 h. After this time, the reaction mixture was filtered through a plug of Celite® and the filtrate was concentrated and purified by reverse phase preparative HPLC (trifluoroacetic acid containing solvents were used) to obtain the title compound (630 mg, 87% for 2 steps). 13C NMR (400 MHz, CD3OD) 5 173.8, 134.2, 133.0, 129.7, 129.4, 128.1, 127.9, 62.8, 44.5, 33.7, 31.9, 14.4. 1H NMR (400 MHz, CD3OD) δ 7.10-7.19 (m, 4H), 4.25 (q, J = 7.0 Hz, 2H), 3.81 (m, IH), 3.20-3.32 (m, 2H), 2.89-3.08 (m, 3H), 1.30 (t, J = 7.0 Hz, 3H). MS [M+H]+, 220.
Part VI: Trans 3-[(5-Chloro-lH-indole-2-carbonyl)amino]-l,2,3,4- tetrahydronaphthalene-2-carboxyIic acid ethyl ester
[00144] To a stirred solution of trans 2-amino-3-carboethoxy- 1 ,2,3,4- tetrahydronaphthalene trifluoroacetic acid salt (130 mg, 0.39 mmol) and 5-
chloroindole-2-carboxylic acid (92 mg, 0.47 mmol) in tetrahydrofuran (8 mL) at room temperature under nitrogen was added l-[3-dimethylamino)propyl]-3- ethylcarbodiimide hydrochloride (153 mg, 0.78 mmol), l-hydroxy-7-azabenzotriazole (106, 0.78 mmol), and diisopropylethylamine (0.14 mL, 0.78 mmol). After 2 h, the reaction mixture was diluted with ethyl acetate. The organic layer was washed with 1.0 M aqueous hydrochloric acid solution, 1.0 M aqueous sodium hydroxide solution and brine, dried over anhydrous magnesium sulfate, and concentrated under vacuum. The resulting residue was suspended in methanol. The suspension was filtered and the solid was washed with methanol to obtain the title compound (120 mg, 77%).
13C NMR (400 MHz, d
8-tetrahydrofuran) 5 173.5, 161.3, 136.1, 135.2, 135.0, 134.6,
129.8, 129.5, 129.1, 126.9, 126.8, 126.0, 124.4, 121.5, 114.0, 101.8, 61.1, 48.5, 46.5, 36.0, 32.5, 14.5. 1H NMR (400 MHz, d8-tetrahydroruran) δ 11.18 (s, IH), 7.82 (d, J =
8.4 Hz, IH), 7.56 (s, IH), 7.38 (d, J = 7.8 Hz, IH), 7.04-7.17 (m, 4H), 6.89 (s, IH), 4.62 (m, IH), 4.05 (q, J = 7.0 Hz, 2H), 3.15-3.26 (m, 2H), 2.87-3.09 (m, 3H), 1.11 (t, J = 7.0 Hz, 3H). MS [M+H]+, 397; [M-H]", 395.
Part VII: Examples 13 and 14
[00145] To a stirred solution of trans 3-[(5-chloro-lH-indole-2-carbonyl)amino]- l,2,3,4-tetrahydronaphthalene-2-carboxylic acid ethyl ester (740 mg, 1.86 mmol) in tetrahydrofuran (8 mL), water (4 mL) and methanol (8 mL) under nitrogen at room temperature was added lithium hydroxide monohydrate (100 mg, 2.38 mmol). After 4 h, 1.0 M aqueous hydrochloric acid solution was added to adjust the pH to 3. The organic solvents were removed under vacuum to yield a residue. The residue was filtered and rinsed with water to collect a solid (630 mg) containing a 10: 1 mixture of the trans and cis product acids, respectively. About 50 mg of this mixture was purified by reverse phase preparative HPLC (trifmoroacetic acid containing solvents were used) to yield Example 13 (trans acid) and Example 14 (cis acid). Example 13: 13C NMR (400 MHz, CD3OD) 5 177.2, 163.1, 136.6, 135.2, 135.1, 133.8, 129.9, 129.8, 129.4, 127.4, 127.3, 126.7, 125.2, 121.8, 114.4, 103.9, 46.6, 36.0, 33.1, 24.3. 1H NMR (400 MHz, CD3OD) δ 11.22 (s, IH), 7.58 (d, J = 2.2 Hz, IH), 7.40 (d, J =
7.5 Hz, IH), 7.03-7.19 (m, 6H), 4.60 (m, IH), 3.12-3.23 (m, 3H), 2.98-3.06 (m, IH),
2.94 (dd, J = 7.0, 12.6 Hz, IH). MS [M+H]+, 369; [M-H]; 367. Example 14: HPLC/MS [M+H]+, 369; [M-H]-, 367.
EXAMPLE 15 [00146] To a stirred solution of Example 13 (15 mg, 0.04 mmol) in N,N- dimethylformamide (2 mL) at room temperature under nitrogen was added benzotriazolyloxy-tris [pyrrolidino] -phosphonium hexafluorophosphate ("PyBOP", Aldrich, 32 mg, 0.06 mmol), 1-hydroxybenzotriazole hydrate (8 mg, 0.06 mmol), ammonium chloride (4.3 mg, 0.08 mmol) and diisopropylethylamine (0.030 mL, 0.16 mmol). After 2 h, the reaction mixture was diluted with ethyl acetate and washed with 1.0 M aqueous sodium hydroxide solution, 1.0 M aqueous hydrochloric acid solution and brine, dried over anhydrous magnesium sulfate, and concentrated under vacuum to yield a residue. The residue was suspended in methanol, and Example 15 (7 mg, 50%), a white solid, was collected by filtration. 1H NMR (400 MHz5 d8-tetrahydrofuran) δ 11.21 (s, IH), 8.01 (d, J = 7.9 Hz, IH), 7.56 (d, J = 1.3 Hz, IH), 7.38 (d, J = 8.0 Hz, IH), 7.14 (dd, J = 2.2, 7.8 Hz, IH), 7.07 (m, 3H), 6.90 (d, J = 2.2 Hz, IH), 6.84 (s, IH), 6.31 (s, IH), 4.38 (m, IH), 2.96-3.18 (m, 5H). HPLC/MS [M+H]+, 368; [M-H]', 366.
EXAMPLE 16
[00147] To a stirred solution of Example 13 (17 mg, 0.05 mmol) in tetrahydrofuran (2 mL) at room temperature under nitrogen was added 2.0 M oxalyl chloride in dichloromethane solution (0.070 mL, 0.08 mmol) and N,N-dimethylformamide (0.001 mL). After 1.5 h, the reaction mixture was concentrated under vacuum to obtain the acid chloride as a light yellow solid. Under nitrogen, the light yellow solid was dissolved in tetrahydrofuran (4 mL) and stirred at room temperature. To the resulting solution was added hydroxylamine hydrochloride (5 mg, 0.10 mmol) followed by diisopropylethylamine (0.040 mL, 0.25 mmol). After 2 h, the reaction mixture was diluted with ethyl acetate and washed with 1.0 M aqueous sodium hydroxide solution, 1.0 M aqueous hydrochloric acid solution and brine, dried over anhydrous magnesium sulfate, and concentrated under vacuum to yield a residue. The residue was
suspended in methanol, and Example 16 (5 mg, 28%), a white solid, was collected by filtration. HPLC/MS [M+H]+, 384.
EXAMPLE 17 [00148] Example 13 (15 mg, 0.04 mmol), methylamine hydrochloride (5 mg, 0.06 mmol), 1-hydroxybenzotriazole hydrate (11 mg, 0.08 mmol), l-[3- dimethylarnino)propyl]-3-ethylcarbodiimide hydrochloride (16 mg, 0.08 mmol) and diisopropylethylamine (0.035 mL, 0.20 mmol) were dissolved in tetrahydrofuran (1.5 mL) and N,N-dimethylformamide (0.5 mL) stirring under nitrogen at room temperature. After 4 d, the reaction mixture was quenched by addition of 1.0 M aqueous hydrochloric acid solution and diluted with ethyl acetate. The organic layer was washed with 1.0 M aqueous hydrochloric acid solution, 1.0 M aqueous sodium hydroxide solution and brine, dried over anhydrous magnesium sulfate, and concentrated under vacuum to yield a residue. The residue was suspended in methanol, and Example 17 (7.5 mg, 50%), a white solid, was collected by filtration. HPLC/MS [MH-H]+, 382; [M-H]", 380.
EXAMPLES 18 TO 24
[00149] Examples 18 to 24 were prepared as follows: [00150] Example 13 (15 mg, 0.04 mmol), the requisite amine (sometimes as the hydrochloride salt, 0.05 mmol), l-hydroxy-7-azabenzotriazole (11 mg, 0.08 mmol), 1- [3-dimethylamino)propyl]-3-ethylcarbodiimide hydrochloride (16 mg, 0.08 mmol) and diisopropylethylamine (0.014 mL, 0.08 mmol) were dissolved in tetrahydrofuran (3 mL) by stirring under nitrogen at room temperature. After 3 h, the reaction mixture was quenched by addition of 1.0 M aqueous hydrochloric acid solution and diluted with ethyl acetate. The organic layer was washed with LO M aqueous hydrochloric acid solution, 1.0 M aqueous sodium hydroxide solution and brine, dried over anhydrous magnesium sulfate, and concentrated under vacuum to provide a residue. The residue was purified by reverse phase preparative HPLC (trifluoroacetic acid containing solvents were used) to afford the coupled product (55-95%). In the cases of Example 23 and Example 24, the requisite amines, glycine methyl ester hydrochloride and azetidine-3-carboxylic acid methyl ester (prepared from azetidine-
3-carboxylic acid with chlorotrimethylsilane, methanol, heat), respectively, were used to prepare the methyl esters of the final products, and an additional step of ester hydrolysis (lithium hydroxide monohydrate, tetrahydrofuran, water) was performed prior to the reaction mixture being purified by reverse phase preparative HPLC (trifluoroacetic acid containing solvents were used) to obtain the final products.
EXAMPLE 25
Part I: tert-Butyl (3R,5S)-6-(toluene-4-suIfonyIoxy)-3,5-0-isopropylidene-3,5- dihydroxyhexanoate
[00151] To a solution of ferf-butyl (3R,5S)-6-hydroxy-3,5-O-isopropylidene-3,5- dihydroxyhexanoate (Kaneka Corporation, 200 mg) in pyridine (8 mL) stirring under nitrogen at room temperature was added p-toluenesulfonyl chloride (440 mg). After 1.5 h, the reaction mixture was diluted with ethyl acetate and washed with water, saturated aqueous sodium bicarbonate solution, and brine. The organic layer was dried over anhydrous magnesium sulfate, evaporated under vacuum and purified by silica gel chromatography eluting with a step-wise 20-30% gradient of ethyl acetate in hexane to provide the title compound (264 mg) as a white solid.
Part II: tert-Butyl (3R,5S)-6-azido-3,5-0-isopropylidene-3,5- dihy dr oxyhexano ate
[00152] To a solution of tert-butyl (3R,5S)-6-(toluene-4-sulfonyloxy)-3,5-O- isopropylidene-3,5-dihydroxyhexanoate (264 mg) in N,N-dimethylformamide (3 mL) stirring under nitrogen was added sodium azide and the whole was heated to 80 0C for 9 h. After cooling to room temperature, the reaction mixture was diluted with ethyl acetate and washed with 1.0 M aqueous hydrochloric acid solution until no N5N- dimethylformamide was detected in the organic layer by TLC analysis. The organic layer was dried over anhydrous magnesium sulfate and evaporated under vacuum to yield the title compound (161 mg) as a clear oil.
Part III: tert-Butyl (3R,5S)-6-ammo-3,5-0-isopropylidene-3,5- dihydroxyhexano ate
[00153] tert-Butyl (3R,5S)-6-azido-3,5-O-isopropylidene-3,5-dihydroxyhexanoate (161 mg) was dissolved in methanol (2 mL) containing 10% palladium on carbon (60 mg). The resulting mixture was stirred under a hydrogen balloon for 2 h at room temperature. After this time, the reaction mixture was filtered through Celite®, rinsing the filtercake with methanol. The filtrate was evaporated under vacuum to provide the title compound (140 mg) as a pale yellow oil.
Part IV: {6-[({3-[(5-Chloro-lH-indoIe-2-carbonyI)amino]-l,2,3,4- tetrahydronaphthalene-2-carbonyI}amino)methyl]-2,2-dimethyl[l,3]dioxan-4- yl}acetic acid tert-butyl ester (1:1 mixture of the two depicted stereoisomers of sixteen possible)
[00154] To a stirred solution of Example 13 (containing 15% of its cis isomer, 36 mg gross, 0.1 mmol) and tert-butyl (3R,5S)-6-amino-3,5-O-isopropylidene-3,5- dihydroxyhexanoate (31 mg, 0.12 mmol) in tetrahydrofuran (4 mL) at room temperature under nitrogen was added 1 -[3-dimethylamino)propyl]-3- ethylcarbodiimide hydrochloride (40 mg, 0.2 mmol), l-hydroxy-7-azabenzotriazole (27 mg, 0.2 mmol) and diisopropylethylamine (0.052 mL, 0.3 mmol). After 1 h, the reaction mixture was quenched by addition of 1.0 M aqueous hydrochloric acid solution and diluted with ethyl acetate. The organic layer was washed with 1.0 M aqueous hydrochloric acid solution, 1.0 M aqueous sodium hydroxide solution and brine, dried over anhydrous magnesium sulfate, and concentrated under vacuum to yield a residue. The residue was purified by reverse phase preparative HPLC to obtain the title compound (41 mg). HPLC/MS [M+H]+, 610; [M-H]", 608.
Part V: Example 25
[00155] To {6-[({3-[(5-Chloro-lH-indole-2-carbonyl)-amino]-l,2,3,4- tetrahydronaphthalene-2-carbonyl}amino)-methyl]-2,2-dimethyl[l,3]dioxan-4- yl} acetic acid tert-butyl ester (1:1 mixture of the two stereoisomers depicted in Part TV, 20 mg, 0.03 mmol) in water (5 mL) under nitrogen at room temperature was added trifluoroacetic acid (0.20 mL). The reaction mixture was stirred for 17 h. After this time, the reaction mixture was diluted with ethyl acetate. The organic layer was washed with saturated aqueous sodium bicarbonate solution and brine, dried over anhydrous magnesium sulfate, and concentrated under vacuum to yield a residue. The residue was dissolved in methanol (5 mL) and then sodium hydroxide (6 mg, 0.15 mmol) was added. Upon completion of addition, the reaction mixture was heated to 50 °C for 30 min and then concentrated under vacuum to yield a residue. The residue was chromatographed on SP207 polystyrene size exclusion resin by eluting with water, 10% methanol in water, 50% methanol in water and then 100% methanol. Example 25, as the sodium salt, was obtained as a white solid (10 mg, 57%). MS [M+H]+, 514; [M-HT, 512.
EXAMPLE 26 [00156] To a stirred solution of the compound of Example 13 (14 mg, 0.04 mmol) in tetrahydrofuran (2 mL) at room temperature under nitrogen was added ethyl chloroformate (0.010 mL, 0.08 mmol) followed by triethylamine (0.053 mL, 0.4 mmol). White precipitate formation was observed after 5 min. After 45 min, the reaction mixture was quickly filtered through cotton using tetrahydrofuran (1 mL) to rinse the precipitate. To the filtrate was added sodium borohydride (7 mg, 0.19 mmol) and water (0.5 mL). After 30 min of stirring under nitrogen at room temperature, the reaction mixture was quenched with 1.0 M aqueous hydrochloric acid solution and diluted with ethyl acetate. The organic layer was washed with 1.0 M aqueous hydrochloric acid solution and brine, dried over anhydrous magnesium sulfate, and concentrated under vacuum to yield a residue. The residue was suspended in methanol, and Example 26 (12 mg, 95%), a light yellow solid, was collected by filtration. 13C NMR (400 MHz, d8-tetrahydrofuran) δ 162.65, 136.97, 136.21, 135.59,
134.13, 129.78, 129.34, 129.27, 126.71, 126.29, 126.18, 124.64, 121.50, 114.03, 102.24, 63.6, 48.60, 43.61, 36.61, 32.80. 1H NMR (400 MHz, d8-tetrahydrofuran) δ 11.24 (s, IH), 7.87 (d, J = 6.6 Hz, IH), 7.59 (s, IH), 7.41 (d, J = 7.0 Hz, IH), 7.27 (d, J = 7.0 Hz, IH), 7.06 (m, 3H), 6.97 (s, IH)5 4.27 (m, IH), 4.01 (br s, IH), 3.69 (m5 IH), 3.52 (m, IH), 3.19 (dd, J = 4.2, 10.8 Hz, IH), 3.05 (m, IH), 2.90 (m, 2H). MS [M+H]+, 355; [M-H]", 353.
EXAMPLE 27 Part I: Trans 3-azido-2-hydroxy-l,2,3,4-tetrahydronaphthaIene
[00157] To a stirred solution of 2,3-epoxy-l,2,3,4-tetrahydronaphthalene (prepared in the manner disclosed in US 4076843, 1.7 g, 11.6 mmol) in dimethyl sulfoxide (20 mL) at room temperature under nitrogen was added sodium azide (6.7 g, 0.10 mol) and concentrated sulfuric acid (0.2 mL). After 60 h, the reaction mixture was diluted with ethyl acetate. The organic layer was washed with brine three times, dried over anhydrous magnesium sulfate, and concentrated under vacuum to yield a residue. The residue was purified by silica gel chromatography (10% ethyl acetate in hexane was used) to obtain the title compound (0.43 g, 38%) and recovered starting material. 1H NMR (400 MHz, CDCl3) δ 7.07-7.18 (m, 4H), 3.92 (m, IH), 3.73 (m, IH), 3.22 (m, 2H), 2.87 (m, 2H), 2.35 (s, IH).
Part II: Trans 3-azido-2-carbo-t-butoxymethoxy-l,2,3,4-tetrahydronaphthalene O2t-Bu
[00158] To a stirred solution of trans 3-azido-2-hydroxy-l,2,3,4- tetrahydronaphthalene (95 mg, 0.55 mmol) in tetrahydrofuran (5 mL) at 0 0C under nitrogen was added sodium hydride (60% oil dispersion, 26 mg, 0.66 mmol). Gas evolution was observed and the reaction mixture turned cloudy. After slowly warming up to room temperature for 20 rnin, t-butyl bromoacetate (0.12 mL, 0.83 mmol) was added. After 2 h, the reaction mixture was quenched by addition of saturated aqueous ammonium chloride solution and diluted with ethyl acetate. The organic layer was washed with aqueous ammonium chloride solution and brine, dried over anhydrous magnesium sulfate, and concentrated under vacuum to yield a residue. The residue was purified by silica gel chromatography (7% ethyl acetate in hexane was used) to obtain the title compound (90 mg). 13C NMR (400 MHz, CDCl3) δ 169.59, 133.18, 132.59, 128.88, 128.45, 126.50, 126.37, 81.76, 78.89, 67.99, 61.40, 33.95, 33.51, 28.08. 1H NMR (400 MHz, CDCl3) δ 7.03-7.17 (m, 4H), 4.20 (s, 2H), 3.91 (m, IH), 3.73 (m, IH), 3.29 (dd, J = 5.7, 16.8 Hz, IH), 3.16 (dd, J = 5.7, 16.8 Hz, IH), 2.90 (dd, J = 8.4, 17.0 Hz, IH), 2.80 (dd, J = 8.4, 17.0 Hz, 1H),1.48 (s, 9H).
Part III: Trans 3-amino-2-carbo-t-butoxymethoxy-l,2,3,4- tetrahydronaphthalene t-Bu
[00159] To a solution of trans 3 -azido-2-carbo-t-butoxymethoxy- 1 ,2,3 ,4- tetrahydronaphthalene (750 mg, 2.47 mmol) in methanol (10 mL) at room temperature was added 20% palladium on carbon (60 mg). The resulting mixture was stirred under a hydrogen balloon. After 16 h, the reaction mixture was filtered through a plug of Celite
® and the filtrate was concentrated under vacuum to obtain the title compound (730 mg, 100%).
1H NMR (400 MHz
5 CDCl
3) δ 7.04-7.17 (m, 4H), 4.25 (d, J = 16.7 Hz, IH), 4.11 (d, J = 16.7 Hz, IH), 4.68 (m, IH), 3.32-3.47 (m, 2H), 3.25 (dd, J = 6.7, 16.5 Hz, IH), 3.02 (m, IH), 2.85 (dd, J = 10.7, 16.5 Hz, IH), 1.49 (s, 9H).
Part IV: Trans {3-[(5-Chloro-lH-indoIe-2-carbonyl)amino]-l,2,3,4- tetrahydronaphthalen-2-yloxy} acetic acid t-butyl ester
[00160] To a stirred solution of trans 3-amino-2-carbo-t-butoxymethoxy-l,2,3,4- tetrahydronaphthalene (550 mg, 1.98 mmol) and 5-chloroindole-2-carboxylic acid (466 mg, 2.39 mmol) in tetrahydrofuran (12 mL) at room temperature under nitrogen was added l-[3-dimemylammo)propyl]-3-ethylcarbodiimide hydrochloride (760 mg, 2.39 mmol), l-hydroxy-7-azabenzotriazole (540, 2.39 mmol), and diisopropylethylamine (0.4 mL). After 1 h, the reaction mixture was diluted with ethyl acetate. The organic layer was washed with 1.0 M aqueous hydrochloric acid solution, 1.0 M aqueous sodium hydroxide solution and brine and dried over anhydrous magnesium sulfate. The solvent was evaporated and the resulting residue was purified by silica gel chromatography (20% ethyl acetate in hexane was used) to obtain the title compound (653 mg, 72%). 13C NMR (400 MHz, CDCl3) δ 172.31, 162.11, 134.72, 133.82, 132.8, 132.7, 128.8, 128.7, 126.6, 126.3, 125.7, 124.3, 121.0, 113.2, 102.6,
83.3, 77.6, 66.1, 51.7, 35.8, 34.4, 28.2. 1H NMR (400 MHz, CDCl3) δ 9.22 (s, IH), 8.92 (d, J = 4.0 Hz, IH), 7.60 (s, IH), 7.35 (d, J = 8.0 Hz, IH), 7.22 (dd, J = 2.2, 7.8 Hz, IH), 7.07-7.19 (m, 3H), 4.27 (d, J = 17.6 Hz, IH), 4.20 (m, IH), 4.12 (d, J = 17.6 Hz, IH), 3.91 (dd, J = 4.5, 16.8 Hz, IH), 3.76 (dt, J = 5.3, 8.0 Hz, IH), 3.24 (dd, J = 5.2, 16.8 Hz5 IH), 2.92 (dd, J = 9.5, 15.0 Hz, IH), 2.77 (dd, J = 9.5, 15.0 Hz, IH). MS [M+H]+, 455; [M-H]; 453.
Part V: Example 27
[00161] To a stirred solution of trans {3-[(5-chloro-lH-indole-2-carbonyl)amino]- 1 ,2,3, 4-tetrahydronaphthalen-2-yloxy} acetic acid t-butyl ester (90 mg, 0.2 mmol) in tetrahydrofuran (2 mL) at room temperature under nitrogen was added trifluoroacetic acid (2.5 mL). The reaction mixture was heated to 60 °C for 2 h and then concentrated under vacuum to yield a residue. The residue was purified by silica gel chromatography (100% ethyl acetate was used) to obtain Example 27 (46 mg, 58%). 13C NMR (400 MHz, d8-tetrahydrofuran) δ 175.2, 162.2, 136.0, 135.1, 134.9, 134.5, 129.9, 129.5, 129.3, 126.9, 126.8, 125.9, 124.2, 121.2, 114.1, 102.2, 78.3, 66.1, 52.3, 36.5, 35.2. 1HNMR (400 MHz, d8-tetrahydrofuran) δ 11.25 (s, IH), 8.89 (s, IH), 7.52 (s, IH), 7.42 (d, J = 9.1 Ha, IH), 7.01-7.18 (m, 5H), 4.33 (s, 2H), 4.27 (m, IH), 3.74-3.90 (m, 2H), 3.25 (dd, J = 5.2, 16.3 Hz, IH), 2.82 (dd, J = 9.7, 15.8 Hz, IH), 2.67 (dd, J = 10.0, 15.8 Hz, IH). MS [M+H]+, 399; [M-H]", 397.
EXAMPLE 28 Part I: Trans 3-amino-2-hydroxyethoxy-l,2,3,4-tetrahydronaphthalene
[00162] To a stirred solution of trans 3-azido-2-carbo-t-butoxymethoxy-l, 2,3,4- tetrahydronaphthalene (137 mg, 0.45 mmol) in tetrahydrofuran (3 mL) at room temperature under nitrogen was added lithium aluminum hydride (100 mg, 2.63
mmol). After 2 h, the reaction mixture was quenched by sequential addition of water (0.1 mL), 15% aqueous sodium hydroxide solution (0.3 mL) and water (0.1 mL). The resulting mixture was stirred vigorously for 16 h, dried over anhydrous magnesium sulfate, filtered and concentrated under vacuum to provide the title compound (100 mg, 100%). HPLC/MS [M+H]
+, 208.
Part II: Example 28
[00163] To a stirred solution of trans 3-amino-2-hydroxyethoxy-l,2,3,4- tetrahydronaphthalene (100 mg, 0.48 mmol) and S-chloroindole^-carboxylic acid (104 mg, 0.53 mmol) in tetrahydrofuran (5 mL) at room temperature under nitrogen was added l-[3-dimethylamino)propyl]-3-ethylcarbodiimide hydrochloride (189 mg, 0.96 mmol), l-hydroxy-7-azabenzotriazole (131, 0.96 mmol), and diisopropylethylamine (0.42 mL, 2.4 mmol). After 2 h, the reaction mixture was diluted with ethyl acetate (which caused the formation of some of the acetate of the desired product). The organic layer was washed with 1.0 M aqueous hydrochloric acid solution, 1.0 M aqueous sodium hydroxide solution and brine and then dried over anhydrous magnesium sulfate. The solvent was evaporated and the resulting residue was purified by silica gel chromatography (50% ethyl acetate in hexane was used) to obtain Example 28. 13C NMR (400 MHz, CDCl3) δ 163.8, 136.6, 135.1, 135.0, 133.9, 130.0, 129.5, 127.3, 127.2, 126.7, 125.2, 121.8, 114.4, 104.0, 78.6, 71.9, 62.7, 51.9, 48.0, 35.3. 1H NMR (400 MHz, CDCl3) δ 9.49 (s, IH), 7.57 (s, IH), 7.36 (d, J = 7.8 Hz, IH), 7.11-7.24 (m, 4H), 6.77 (s, IH), 6.69 (d, J = 6.1 Hz, IH), 4.46 (m, IH), 3.94 (m, IH), 3.87 (m, IH), 3.80 (m, 2H), 3.71 (m, IH), 3.57 (dd, J = 5.6, 16.7 Hz, IH), 3.22 (dd, J = 5.3, 16.7 Hz, IH), 2.94 (dd, J = 7.2, 16.7 Hz, IH), 2.81 (dd, J = 7.4, 16.7 Hz, IH). MS [M+H]+, 385; [M-H]", 383.
EXAMPLE 29
R/S-(2S*,3R*)-{3-[(5-chloro-lH-indole-2-carbonyI)amino]-2-hydroxy-l,2,3,4- tetrahydronaphthalen-2-yI} acetic acid
Part I: Trans 3-amino-2-hydroxy-l,2,3,4-tetrahydronaphthalene
[00164] A stirring mixture of trans 3-azido-2-hydroxy-l,2,3,4- tetrahydronaphthalene (2.5 g, about 75% pure) dissolved in methanol (132 mL) and 10% palladium on carbon (250 mg) was hydrogenated for 2 h under a hydrogen balloon at room temperature. The reaction mixture was filtered through Celite®, rinsing with methanol, and then evaporated under vacuum to provide the title compound (2.2 g, 72% pure).
Part II: Trans 3-benzyloxycarbonyIamino-2-hydroxy-l,2,3,4- tetrahydronaphthalene
[00165] To a solution of trans 3-amino-2-hydroxy-l,2;>3,4-tetrahydronaphthalene (2.2 g, 72% pure) in ethanol (135 mL) stirring at room temperature under nitrogen was added sodium bicarbonate (2.2 g) and benzyl chloroformate (2.12 mL). After 4 h, the reaction mixture was concentrated under reduced pressure and purified by silica gel chromatography eluting with a step- wise gradient of 30-70% ethyl acetate in hexane to provide the title compound (2.0 g) as a white solid.
Part III: 3-Benzyloxycarbonylamino-2-oxo-l,2,3,4-tetrahydronaphthalene
[00166] To a solution of trans S-benzyloxycarbonylarnino^-hydroxy- 1 ,2,3,4- tetrahydronaphthalene (850 mg) in dichloromethane (29 mL) stirring under nitrogen at room temperature was added pyridinium chlorochromate (740 mg). After 3 h, the reaction mixture was evaporated under vacuum onto silica gel and then purified by silica gel chromatography eluting with a step- wise gradient of 30-75% ethyl acetate in hexane to obtain the title compound (300 mg) as a white solid and starting material (350 mg).
Part IV: Mixture of R/S-(2S*,3R*)-3-benzyIoxycarbonyIamino-2- carboethoxymethyl-2-hydroxy-l,2,3,4-tetrahydronaphtha!ene and R/S- (2R*,3R*)-3-ben2yloxycarbonylamino-2-carboethoxymethyl-2-hydroxy-l,2,3,4- tetrahydronaphthalene
[00167] A solution of lithium diisopropylamide was prepared by adding n- butyllithium (2.17 M, 0.78 mL) to a stirring solution of diisopropylamine (0.24 mL) in tetrahydrofuran (2 mL) at -78 0C under nitrogen. To this was added ethyl acetate (0.17 mL) and the whole was stirred at -78 0C for 25 min. The resulting solution was added by cannula to a mixture of eerie chloride (419 mg) in tetrahydrofuran (5.7 mL) which had been stirred under nitrogen at room temperature for 2 h before it was cooled to -78 0C. The whole was stirred at -78 °C for 2 h before a solution of 3-
benzyloxycarbonylamino-2-oxo-l,2,3,4-tetrahydronaphthalene (100 mg) in tetrahydrofuran (1 mL) was added. This reaction mixture was stirred for 3 h at -78°C, then quenched with saturated aqueous ammonium chloride solution and extracted with 50% ethyl acetate in hexane. The organic layer was dried over anhydrous magnesium sulfate and evaporated under vacuum to yield a residue. The residue was purified by reverse phase preparative HPLC (trifluoroacetic acid containing solvents were used) to provide starting material (10 mg) and the two diastereomeric addition products, R7S-(2S*3R*)-3-ben2yloxycarbonylarriino-2-carboethoxymethyl-2- hydroxy-l,2,3,4-tetrahydronaphthalene (eluted first, 36 mg) and R/S-(2R*,3R*)-3- ben2yloxycarbonylamrno-2-carboethoxymethyl-2-hydroxy-l,2,3,4- tetrahydronaphthalene (eluted second, 39 mg). Stereochemical assignment was based on NOE studies.
Part V: Mixture of R/S-(2S*,3R*)-3-amino-2-carboethoxymethyI-2-hydroxy- 1,2,3,4-tetrahydronaphthaIene and lactam side-product
[00168] A solution of R/S-(2S*,3R*)-3-benzyloxycarbonylamino-2- carboethoxymethyl-2-hydroxy-l,2,3,4-tetrahydronaphthalene (36 mg) in ethanol (2 mL) stirring at room temperature was hydrogenated (balloon) in the presence of 10% palladium on carbon for 5 h. The reaction mixture was filtered through Celite® and evaporated under vacuum to provide a 1 :2 mixture of desired R/S-(2S*,3R*)-3- amino-2-carboethoxymethyl-2-hydroxy-l:>2,3,4-tetrahydronaphthalene and lactam side-product (23 mg).
Part VI: R/S-(2S*,3R*)-{3-[(5-chϊoro-lH-indole-2-carbonyI)amino]-2-hydroxy- l,2,3,4-tetrahydronaphthalen-2-yl}acetic acid ethyl ester
[00169] RyS-(2S*,3R*)-3-amino-2-carboethoxymethyl-2-hydroxy-l,2,3,4- tetrahydronaphthalene (as a 1 :2 mixture with lactam side-product, 23 mg) and 5- chloroindole-2-carboxylic acid (19.5 mg) were coupled in the manner described in Part VI, Examples 13 and 14. Upon completion of coupling, the reaction mixture was purified by reverse phase preparative HPLC (trifluoroacetic acid containing solvents were used) to provide the title compound (6.4 mg) as a white solid.
Part VII: Example 29
[00170] PJS-(2S*,3R*)-{3-[(5-chloro-m-mdole-2-carbonyl)-amino]-2-hydroxy- 1, 2,3, 4-tetrahydronaphthalen-2-yl} -acetic acid ethyl ester (6.4 mg) was dissolved in tetrahydrofuran and water (1:1) along with lithium hydroxide monohydrate (excess). The resulting solution was stirred at room temperature under nitrogen for 2 h. The tetrahydrofuran was evaporated under vacuum and the resulting mixture was acidified to pH 1 with 1.0 M aqueous hydrochloric acid solution and then extracted with ethyl acetate. The organic extracts were washed with brine, dried over anhydrous magnesium sulfate and evaporated under vacuum to yield a residue. The residue was purified by reverse phase preparative HPLC (trifluoroacetic acid containing solvents were used) to provide Example 29 (3.7 mg) as a white solid. MS [M-H]", 397.
EXAMPLE 30 R/S-(2R*,3R*)-{3-[(5-Chloro-lH-indole-2-carbonyl)amino]-2-hydroxy-l,2,3,4- tetrahydronaphthaIen-2-yI}acetic acid
[00171] Example 30 (14 mg) was prepared from R/S-(2R*,3R*)-3- ben2yloxycarbonylamino-2-carboethoxymetih.yl-2-hydroxy- 1 ,2,3 ,4- tetrahydronaphthalene (as prepared in Part IV, Example 29 (39 mg) following procedures analogous to those used to prepare Example 29 from R/S-(2S*,3R*)-3- benzyloxycarbonylamino-2-carboethoxymethyl-2-hydroxy-l,2,3,4- tetrahydronaphthalene. MS [M-H]", 397. In this instance no lactam side-product was formed in the hydrogenation step. [00172] For Examples 31 to 34 see Table 3:
TABLE 3
EXAMPLE 31 S-Chloro-lH-indole-l-carboxylic acid (2,3,4,5-tetrahydro-benzo [b] oxepin-4- yl)amide
[00173] Example 31 was prepared by reaction of the resin bound activated ester with 4-amino-2,3,4,5-tetrahydro-l-benzoxepine (prepared in the manner disclosed in Huckle, J. Chem. Soc. (C) 1971, 2252-2260) according to Resin Capture Procedure. HPLC/MS [M-H]", 339.
EXAMPLE 32
Trans-2-carboethoxy-3-[(5-chloro-lH-indole-2-carbonyl)-amino]-l,4-epoxy-
1,2,3,4-tetrahydronaphthaIene
Part I: Trans 2,3-dicarboethoxy-l,4-epoxy-l,2,3,4-tetrahydronaphthalene
CO2Et
[00174] To a stirred solution of 2-(dimethoxymethyl)benzyl alcohol (prepared in the manner disclosed by J. G. Smith, J. Org. Chem. 1983, 48, 5361-5362; 1.5 g, 8.23 mmol) in acetic acid (15 mL) was added diethyl fumarate (2.0 mL, 12.35 mmol). The reaction mixture was heated to 100 °C for 17 h under nitrogen and then was concentrated under vacuum. The resulting residue was purified by silica gel chromatography (10-15% ethyl acetate in hexane was used) to obtain the title compound (2.0 g, 83%). 1H NMR (400 MHz, CD3OD) δ 7.36 (d, J = 7.0 Hz, IH), 7.11-7.23 (m, 3H), 5.68 (s, IH), 5.62 (d, J = 5.7 Hz, IH), 4.25 (q, J = 7.0 Hz, 2H), 3.98 (m, 2H)3 3.89 (t, J = 5.4 Hz, IH), 3.04 (d, J = 4.0 Hz, IH), 1.33 (t, J = 7.0 Hz, 3H), 1.19 (t, 3H). HPLC/MS [M+Na]+, 313.
Part II: Trans-2-carboethoxy-3-carboxy-l,4-epoxy-l,2,3,4- tetrahydronaphthalene
[00175] To a stirred solution of trans 2,3-dicarboethoxy-l,4-epoxy-l,2,3,4- tetrahydronaphthalene (313 mg, 1.08 mmol) in ethanol (4 mL) under nitrogen was added 1.0 M aqueous sodium hydroxide solution (1.0 mL, 1.0 mmol). The reaction
mixture was maintained at room temperature for 20 h and then diluted with ethyl acetate. The organic layer was washed with 1.0 M aqueous hydrochloric acid solution, aqueous ammonium chloride solution and brine, dried over anhydrous magnesium sulfate, and concentrated under vacuum to provide the title compound (282 mg, 100%), as a single isomer as judged by 1H NMR. The stereochemistry of the product was assigned based on analysis of the amine intermediate two steps hence. HPLC/MS [M+NH4]+, 280.
Part III: Trans-2-carboethoxy-3-benzyloxycarbonylamino-l,4-epoxy-l,2,3,4- tetrahydronaphthalene
CO2Et
[00176] To a stirred solution of trans-2-carboethoxy-3-carboxy-l,4-epoxy-l,2,3,4- tetrahydronaphthalene (282 mg, 1.08 mmol) in toluene (7 mL) was added diphenylphosphoryl azide (0.3 mL, 1.4 mmol), benzyl alcohol (0.56 mL, 5.4 mmol) and triethyl amine (0.2 mL, 1.4 mmol). The reaction mixture was heated to 100 °C for 5 h under nitrogen and then concentrated under vacuum to yield a residue. The residue was diluted with ethyl acetate. The organic layer was washed with 1.0 M aqueous hydrochloric acid solution, saturated aqueous sodium bicarbonate solution and brine, dried over anhydrous magnesium sulfate, and concentrated under vacuum to yield a residue. The residue was purified by silica gel chromatography to obtain the title compound (233 mg, 61%). 13C NMR (400 MHz, CDCl3) δ 168.8, 155.7, 142.3, 142.1, 136.2, 128.5, 128.1, 127.7, 127.2, 120.6, 120.5, 85.7, 80.0, 66.9, 60.9, 55.8, 54.7, 14.0. 1H NMR (400 MHz, CDCl3) δ 7.28-7.38 (m, 6H), 7.11-7.22 (m, 3H), 5.55 (d, J = 4.6 Hz, IH), 5.41 (d, J = 7.0 Hz, IH), 5.09 (s, 2H), 4.31 (d, J = 7.0 Hz, IH), 3.92 (m, 2H), 3.02 (m, IH), 1.07 (t, J = 7.0 Hz, 3H). HPLC/MS [M+H]+, 368.
Part IV: Trans-2-carboethoxy-3-amino-l,4-epoxy-l,2,3,4- tetrahydronaphthalene
[00177] To a stirred solution of trans-2-carboetiioxy-3-benzyloxycarbonylamino- l,4-epoxy-l,2,3,4-tetrahydronaphthalene (233 mg, 0.63 mmol) in methanol (6 mL) was added 20% palladium on carbon (40 mg). The reaction mixture was stirred at room temperature under a hydrogen balloon for 3 h. After this time, the reaction mixture was filtered through a plug of Celite and the filtrate was concentrated under vacuum to obtain the title compound (133 mg, 90%). 13C NMR (400 MHz5 CD3OD) δ 170.9, 144.4, 143.8, 128.6, 128.1, 121.9, 121.1, 87.4, 81.5, 61.9, 57.2, 56.3, 14.5. 1H NMR (400 MHz, CD3OD) δ 7.34 (d, J = 7.0 Hz, IH), 7.12-7.23 (m, 3H), 5.54 (d, J = 5.3 Hz, IH)5 5.18 (s, IH)5 3.93 (dq5 J = 1.3, 7.0 Hz5 2H)5 3.44 (d, J = 2.6 Hz5 IH)5 3.09 (dd, J = 2.6, 5.2 Hz5 IH)5 1.10 (t5 J = 7.0 Hz5 3H). HPLC/MS [M+H]+, 234. The relative stereochemistry was established by a combination of NOE experiments and 1H NMR coupling constants.
Part V: Example 32
[00178] To a stirred solution of trans-2-carboethoxy-3 -amino- 1,4-epoxy- 1,2,3 ,4- tetrahydronaphthalene (77 mg, 0.33 mmol) and 5-chloroindole-2-carboxylic acid (77 mg, 0.40 mmol) in tetrahydrofuran (6 mL) at room temperature under nitrogen was added l-[3-dimethylamino)propyl]-3-ethylcarbodiimide hydrochloride (130 mg, 0.66 mmol), l-hydroxy-7-azabenzotriazole (90, 0.66 mmol), and diisopropylethylamine (0.12 mL, 0.66 mmol). After 1.5 h, the reaction mixture was diluted with ethyl acetate. The organic layer was washed with 1.0 M aqueous hydrochloric acid solution, 1.0 M aqueous sodium hydroxide solution and brine and then dried over anhydrous magnesium sulfate. The solvent was evaporated, and the resulting residue was purified by reverse phase preparative HPLC (trifluoroacetic acid containing solvents
were used) to obtain Example 32. 13C NMR (400 MHz, (CD3)2CO) δ 169.8, 161.9, 144.5, 143.9,136.0, 133.9, 130.1, 128.3, 127.8, 126.1, 124.8, 121.7, 121.6, 120.9, 114.6, 103.2, 86.3, 80.7, 61.2, 55.8, 53.8, 14.5. 1H NMR (400 MHz, CD3OD) δ 8.19 (d, J = 7.0 Hz, IH), 7.64 (s, IH), 7.55 (d, J = 8.8 Hz, IH), 7.45 (d, J = 7.0 Hz, IH), 7.16-7.30 (m, 4H), 5.60 (d, J = 5.7 Hz, IH), 5.35 (s, IH), 4.56 (dd, J = 3.1, 7.0 Hz, IH), 3.94 (q, J = 7.0 Hz, 2H), 3.48 (dd, J = 3.5, 5.3 Hz, IH), 1.13 (t, J = 7.0 Hz, 3H). HPLC/MS [M+H]+ 5 411; [M-H]", 409.
EXAMPLE 33 Trans-2-carboxy-3-[(5-chloro-lH-indole-2-carbonyl)amino]-l,4-epoxy-l,2,3,4- tetrahydronaphthalene
[00179] To a stirred solution of Example 32 (70 mg, 0.17 mmol) in a mixture of ethanol (3 mL), water (0.5 mL) and tetrahydrofuran (3 mL) at room temperature under nitrogen was added 1.0 M aqueous sodium hydroxide solution (0.51 mL, 0.51 mmol). After 3 h, 1.0 M aqueous hydrochloric acid solution (1.0 mL) was added to quench the reaction mixture. The resulting mixture was partially evaporated under vacuum and precipitate that had formed was filtered, washing with water and methanol, to obtain Example 33 (40 mg, 62%) as a white solid. HPLC/MS [M+H]+, 383; [M-H]", 381.
EXAMPLE 34
5-Chloro-lH-indole-2-carboxylic acid (5,6,7,8-tetrahydro-quinolin-6-yl)amide [00180] To a stirred solution of 6-amino-5,6,7,8-tetrahydroquinoline (prepared in the manner disclosed by Skupinska, J. Org. Chem. 2002, 67, 7890-7893, 12.2 mg, 0.082 mmol) and 5-chloroindole-2-carboxylic acid (17.7 mg, 0.091 mmol) in tetrahydrofuran (1.0 mL) at room temperature under nitrogen was added 1 -[3- dήiiethylamino)propyl]-3-ethylcarbodiimide hydrochloride (31.5 mg, 0.165 mmol), 1- hydroxy-7-azabenzotriazole (22.4 mg, 0.165 mmol), and diisopropylethylamine (21.3 mg, 0.165 mmol). After 2 h, the reaction mixture was diluted with ethyl acetate. The organic layer was washed with 1.0 M aqueous hydrochloric acid solution, 1.0 M aqueous sodium hydroxide solution and brine and then dried over anhydrous magnesium sulfate. The solvent was evaporated, and the resulting residue was purified by reverse phase preparative HPLC (trifluoroacetic acid containing solvents
were used) to obtain Example 34 (11.5 mg, 43%) as a white solid. 13C NMR (400 MHz, (CD3)2SO) δ 160.1, 155.0, 146.6, 136.8, 135.3, 133.8, 130.6, 128.5, 123.3, 123.0, 121.1, 120.4, 113.8, 102.3, 44.4, 33.8, 30.5, 28.4. 1H NMR (400 MHz, (CD3)2SO) 5 11.84 (s, IH), 8.59 (d, J = 7.5 Hz, IH), 8.32 (d, J = 4.4 Hz, IH), 7.69 (d, J = 1.8 Hz, IH), 7.52 (d, J = 7.5 Hz, IH), 7.43 (d, J = 8.8 Hz, IH)5 7.18 (m, 2H), 4.24 (m, IH), 3.08 (dd, J = 4.2, 16.8 Hz, IH), 2.97 (m, 2H), 2.88 (dd, J = 9.0, 15.2 Hz, IH), 2.10 (m, IH), 1.93 (m, IH). HPLC/MS [M+H]+, 328.