WO2006021458A2 - Pyrimidine derivatives - Google Patents
Pyrimidine derivatives Download PDFInfo
- Publication number
- WO2006021458A2 WO2006021458A2 PCT/EP2005/009291 EP2005009291W WO2006021458A2 WO 2006021458 A2 WO2006021458 A2 WO 2006021458A2 EP 2005009291 W EP2005009291 W EP 2005009291W WO 2006021458 A2 WO2006021458 A2 WO 2006021458A2
- Authority
- WO
- WIPO (PCT)
- Prior art keywords
- pyrimidin
- phenyl
- ylamino
- compound
- pyridin
- Prior art date
- Legal status (The legal status is an assumption and is not a legal conclusion. Google has not performed a legal analysis and makes no representation as to the accuracy of the status listed.)
- Ceased
Links
- ODQWLCXYNUFGKU-UHFFFAOYSA-N COC(c1cccc(Nc2nc(-c3cc(NCCCO)ncc3)ccn2)c1)=O Chemical compound COC(c1cccc(Nc2nc(-c3cc(NCCCO)ncc3)ccn2)c1)=O ODQWLCXYNUFGKU-UHFFFAOYSA-N 0.000 description 1
- YXGHJSYHBPIPJB-UHFFFAOYSA-N Cc(c(Nc1nc(-c2cnccc2)ccn1)c1)ccc1NC(c1nc2ncccc2cc1)=O Chemical compound Cc(c(Nc1nc(-c2cnccc2)ccn1)c1)ccc1NC(c1nc2ncccc2cc1)=O YXGHJSYHBPIPJB-UHFFFAOYSA-N 0.000 description 1
- NZBGMLVZHPHCAR-UHFFFAOYSA-N Clc1cccc(Nc2nc(-c3cc(Cl)ncc3)ccn2)c1 Chemical compound Clc1cccc(Nc2nc(-c3cc(Cl)ncc3)ccn2)c1 NZBGMLVZHPHCAR-UHFFFAOYSA-N 0.000 description 1
- GKJNWJOONQQDTR-UHFFFAOYSA-N OCCCNc1nccc(-c2ccnc(NC(C3)=CC=CC3Cl)n2)c1 Chemical compound OCCCNc1nccc(-c2ccnc(NC(C3)=CC=CC3Cl)n2)c1 GKJNWJOONQQDTR-UHFFFAOYSA-N 0.000 description 1
- QLZMZSUHSDFUET-UHFFFAOYSA-N OCCCNc1nccc(-c2ccnc(Nc3cc(C(O)=O)ccc3)n2)c1 Chemical compound OCCCNc1nccc(-c2ccnc(Nc3cc(C(O)=O)ccc3)n2)c1 QLZMZSUHSDFUET-UHFFFAOYSA-N 0.000 description 1
Classifications
-
- C—CHEMISTRY; METALLURGY
- C07—ORGANIC CHEMISTRY
- C07D—HETEROCYCLIC COMPOUNDS
- C07D239/00—Heterocyclic compounds containing 1,3-diazine or hydrogenated 1,3-diazine rings
- C07D239/02—Heterocyclic compounds containing 1,3-diazine or hydrogenated 1,3-diazine rings not condensed with other rings
- C07D239/24—Heterocyclic compounds containing 1,3-diazine or hydrogenated 1,3-diazine rings not condensed with other rings having three or more double bonds between ring members or between ring members and non-ring members
- C07D239/28—Heterocyclic compounds containing 1,3-diazine or hydrogenated 1,3-diazine rings not condensed with other rings having three or more double bonds between ring members or between ring members and non-ring members with hetero atoms or with carbon atoms having three bonds to hetero atoms with at the most one bond to halogen, directly attached to ring carbon atoms
- C07D239/32—One oxygen, sulfur or nitrogen atom
- C07D239/42—One nitrogen atom
-
- A—HUMAN NECESSITIES
- A61—MEDICAL OR VETERINARY SCIENCE; HYGIENE
- A61P—SPECIFIC THERAPEUTIC ACTIVITY OF CHEMICAL COMPOUNDS OR MEDICINAL PREPARATIONS
- A61P1/00—Drugs for disorders of the alimentary tract or the digestive system
- A61P1/04—Drugs for disorders of the alimentary tract or the digestive system for ulcers, gastritis or reflux esophagitis, e.g. antacids, inhibitors of acid secretion, mucosal protectants
-
- A—HUMAN NECESSITIES
- A61—MEDICAL OR VETERINARY SCIENCE; HYGIENE
- A61P—SPECIFIC THERAPEUTIC ACTIVITY OF CHEMICAL COMPOUNDS OR MEDICINAL PREPARATIONS
- A61P11/00—Drugs for disorders of the respiratory system
-
- A—HUMAN NECESSITIES
- A61—MEDICAL OR VETERINARY SCIENCE; HYGIENE
- A61P—SPECIFIC THERAPEUTIC ACTIVITY OF CHEMICAL COMPOUNDS OR MEDICINAL PREPARATIONS
- A61P11/00—Drugs for disorders of the respiratory system
- A61P11/06—Antiasthmatics
-
- A—HUMAN NECESSITIES
- A61—MEDICAL OR VETERINARY SCIENCE; HYGIENE
- A61P—SPECIFIC THERAPEUTIC ACTIVITY OF CHEMICAL COMPOUNDS OR MEDICINAL PREPARATIONS
- A61P13/00—Drugs for disorders of the urinary system
- A61P13/10—Drugs for disorders of the urinary system of the bladder
-
- A—HUMAN NECESSITIES
- A61—MEDICAL OR VETERINARY SCIENCE; HYGIENE
- A61P—SPECIFIC THERAPEUTIC ACTIVITY OF CHEMICAL COMPOUNDS OR MEDICINAL PREPARATIONS
- A61P13/00—Drugs for disorders of the urinary system
- A61P13/12—Drugs for disorders of the urinary system of the kidneys
-
- A—HUMAN NECESSITIES
- A61—MEDICAL OR VETERINARY SCIENCE; HYGIENE
- A61P—SPECIFIC THERAPEUTIC ACTIVITY OF CHEMICAL COMPOUNDS OR MEDICINAL PREPARATIONS
- A61P15/00—Drugs for genital or sexual disorders; Contraceptives
- A61P15/10—Drugs for genital or sexual disorders; Contraceptives for impotence
-
- A—HUMAN NECESSITIES
- A61—MEDICAL OR VETERINARY SCIENCE; HYGIENE
- A61P—SPECIFIC THERAPEUTIC ACTIVITY OF CHEMICAL COMPOUNDS OR MEDICINAL PREPARATIONS
- A61P17/00—Drugs for dermatological disorders
- A61P17/06—Antipsoriatics
-
- A—HUMAN NECESSITIES
- A61—MEDICAL OR VETERINARY SCIENCE; HYGIENE
- A61P—SPECIFIC THERAPEUTIC ACTIVITY OF CHEMICAL COMPOUNDS OR MEDICINAL PREPARATIONS
- A61P19/00—Drugs for skeletal disorders
- A61P19/02—Drugs for skeletal disorders for joint disorders, e.g. arthritis, arthrosis
-
- A—HUMAN NECESSITIES
- A61—MEDICAL OR VETERINARY SCIENCE; HYGIENE
- A61P—SPECIFIC THERAPEUTIC ACTIVITY OF CHEMICAL COMPOUNDS OR MEDICINAL PREPARATIONS
- A61P25/00—Drugs for disorders of the nervous system
-
- A—HUMAN NECESSITIES
- A61—MEDICAL OR VETERINARY SCIENCE; HYGIENE
- A61P—SPECIFIC THERAPEUTIC ACTIVITY OF CHEMICAL COMPOUNDS OR MEDICINAL PREPARATIONS
- A61P25/00—Drugs for disorders of the nervous system
- A61P25/14—Drugs for disorders of the nervous system for treating abnormal movements, e.g. chorea, dyskinesia
-
- A—HUMAN NECESSITIES
- A61—MEDICAL OR VETERINARY SCIENCE; HYGIENE
- A61P—SPECIFIC THERAPEUTIC ACTIVITY OF CHEMICAL COMPOUNDS OR MEDICINAL PREPARATIONS
- A61P25/00—Drugs for disorders of the nervous system
- A61P25/14—Drugs for disorders of the nervous system for treating abnormal movements, e.g. chorea, dyskinesia
- A61P25/16—Anti-Parkinson drugs
-
- A—HUMAN NECESSITIES
- A61—MEDICAL OR VETERINARY SCIENCE; HYGIENE
- A61P—SPECIFIC THERAPEUTIC ACTIVITY OF CHEMICAL COMPOUNDS OR MEDICINAL PREPARATIONS
- A61P25/00—Drugs for disorders of the nervous system
- A61P25/28—Drugs for disorders of the nervous system for treating neurodegenerative disorders of the central nervous system, e.g. nootropic agents, cognition enhancers, drugs for treating Alzheimer's disease or other forms of dementia
-
- A—HUMAN NECESSITIES
- A61—MEDICAL OR VETERINARY SCIENCE; HYGIENE
- A61P—SPECIFIC THERAPEUTIC ACTIVITY OF CHEMICAL COMPOUNDS OR MEDICINAL PREPARATIONS
- A61P27/00—Drugs for disorders of the senses
- A61P27/02—Ophthalmic agents
-
- A—HUMAN NECESSITIES
- A61—MEDICAL OR VETERINARY SCIENCE; HYGIENE
- A61P—SPECIFIC THERAPEUTIC ACTIVITY OF CHEMICAL COMPOUNDS OR MEDICINAL PREPARATIONS
- A61P29/00—Non-central analgesic, antipyretic or antiinflammatory agents, e.g. antirheumatic agents; Non-steroidal antiinflammatory drugs [NSAID]
-
- A—HUMAN NECESSITIES
- A61—MEDICAL OR VETERINARY SCIENCE; HYGIENE
- A61P—SPECIFIC THERAPEUTIC ACTIVITY OF CHEMICAL COMPOUNDS OR MEDICINAL PREPARATIONS
- A61P3/00—Drugs for disorders of the metabolism
- A61P3/08—Drugs for disorders of the metabolism for glucose homeostasis
- A61P3/10—Drugs for disorders of the metabolism for glucose homeostasis for hyperglycaemia, e.g. antidiabetics
-
- A—HUMAN NECESSITIES
- A61—MEDICAL OR VETERINARY SCIENCE; HYGIENE
- A61P—SPECIFIC THERAPEUTIC ACTIVITY OF CHEMICAL COMPOUNDS OR MEDICINAL PREPARATIONS
- A61P31/00—Antiinfectives, i.e. antibiotics, antiseptics, chemotherapeutics
-
- A—HUMAN NECESSITIES
- A61—MEDICAL OR VETERINARY SCIENCE; HYGIENE
- A61P—SPECIFIC THERAPEUTIC ACTIVITY OF CHEMICAL COMPOUNDS OR MEDICINAL PREPARATIONS
- A61P31/00—Antiinfectives, i.e. antibiotics, antiseptics, chemotherapeutics
- A61P31/04—Antibacterial agents
- A61P31/06—Antibacterial agents for tuberculosis
-
- A—HUMAN NECESSITIES
- A61—MEDICAL OR VETERINARY SCIENCE; HYGIENE
- A61P—SPECIFIC THERAPEUTIC ACTIVITY OF CHEMICAL COMPOUNDS OR MEDICINAL PREPARATIONS
- A61P31/00—Antiinfectives, i.e. antibiotics, antiseptics, chemotherapeutics
- A61P31/12—Antivirals
-
- A—HUMAN NECESSITIES
- A61—MEDICAL OR VETERINARY SCIENCE; HYGIENE
- A61P—SPECIFIC THERAPEUTIC ACTIVITY OF CHEMICAL COMPOUNDS OR MEDICINAL PREPARATIONS
- A61P31/00—Antiinfectives, i.e. antibiotics, antiseptics, chemotherapeutics
- A61P31/12—Antivirals
- A61P31/14—Antivirals for RNA viruses
- A61P31/18—Antivirals for RNA viruses for HIV
-
- A—HUMAN NECESSITIES
- A61—MEDICAL OR VETERINARY SCIENCE; HYGIENE
- A61P—SPECIFIC THERAPEUTIC ACTIVITY OF CHEMICAL COMPOUNDS OR MEDICINAL PREPARATIONS
- A61P35/00—Antineoplastic agents
-
- A—HUMAN NECESSITIES
- A61—MEDICAL OR VETERINARY SCIENCE; HYGIENE
- A61P—SPECIFIC THERAPEUTIC ACTIVITY OF CHEMICAL COMPOUNDS OR MEDICINAL PREPARATIONS
- A61P37/00—Drugs for immunological or allergic disorders
-
- A—HUMAN NECESSITIES
- A61—MEDICAL OR VETERINARY SCIENCE; HYGIENE
- A61P—SPECIFIC THERAPEUTIC ACTIVITY OF CHEMICAL COMPOUNDS OR MEDICINAL PREPARATIONS
- A61P37/00—Drugs for immunological or allergic disorders
- A61P37/02—Immunomodulators
-
- A—HUMAN NECESSITIES
- A61—MEDICAL OR VETERINARY SCIENCE; HYGIENE
- A61P—SPECIFIC THERAPEUTIC ACTIVITY OF CHEMICAL COMPOUNDS OR MEDICINAL PREPARATIONS
- A61P37/00—Drugs for immunological or allergic disorders
- A61P37/02—Immunomodulators
- A61P37/06—Immunosuppressants, e.g. drugs for graft rejection
-
- A—HUMAN NECESSITIES
- A61—MEDICAL OR VETERINARY SCIENCE; HYGIENE
- A61P—SPECIFIC THERAPEUTIC ACTIVITY OF CHEMICAL COMPOUNDS OR MEDICINAL PREPARATIONS
- A61P37/00—Drugs for immunological or allergic disorders
- A61P37/08—Antiallergic agents
-
- A—HUMAN NECESSITIES
- A61—MEDICAL OR VETERINARY SCIENCE; HYGIENE
- A61P—SPECIFIC THERAPEUTIC ACTIVITY OF CHEMICAL COMPOUNDS OR MEDICINAL PREPARATIONS
- A61P43/00—Drugs for specific purposes, not provided for in groups A61P1/00-A61P41/00
-
- A—HUMAN NECESSITIES
- A61—MEDICAL OR VETERINARY SCIENCE; HYGIENE
- A61P—SPECIFIC THERAPEUTIC ACTIVITY OF CHEMICAL COMPOUNDS OR MEDICINAL PREPARATIONS
- A61P7/00—Drugs for disorders of the blood or the extracellular fluid
- A61P7/02—Antithrombotic agents; Anticoagulants; Platelet aggregation inhibitors
-
- A—HUMAN NECESSITIES
- A61—MEDICAL OR VETERINARY SCIENCE; HYGIENE
- A61P—SPECIFIC THERAPEUTIC ACTIVITY OF CHEMICAL COMPOUNDS OR MEDICINAL PREPARATIONS
- A61P7/00—Drugs for disorders of the blood or the extracellular fluid
- A61P7/08—Plasma substitutes; Perfusion solutions; Dialytics or haemodialytics; Drugs for electrolytic or acid-base disorders, e.g. hypovolemic shock
-
- A—HUMAN NECESSITIES
- A61—MEDICAL OR VETERINARY SCIENCE; HYGIENE
- A61P—SPECIFIC THERAPEUTIC ACTIVITY OF CHEMICAL COMPOUNDS OR MEDICINAL PREPARATIONS
- A61P9/00—Drugs for disorders of the cardiovascular system
-
- A—HUMAN NECESSITIES
- A61—MEDICAL OR VETERINARY SCIENCE; HYGIENE
- A61P—SPECIFIC THERAPEUTIC ACTIVITY OF CHEMICAL COMPOUNDS OR MEDICINAL PREPARATIONS
- A61P9/00—Drugs for disorders of the cardiovascular system
- A61P9/10—Drugs for disorders of the cardiovascular system for treating ischaemic or atherosclerotic diseases, e.g. antianginal drugs, coronary vasodilators, drugs for myocardial infarction, retinopathy, cerebrovascula insufficiency, renal arteriosclerosis
-
- A—HUMAN NECESSITIES
- A61—MEDICAL OR VETERINARY SCIENCE; HYGIENE
- A61P—SPECIFIC THERAPEUTIC ACTIVITY OF CHEMICAL COMPOUNDS OR MEDICINAL PREPARATIONS
- A61P9/00—Drugs for disorders of the cardiovascular system
- A61P9/12—Antihypertensives
-
- A—HUMAN NECESSITIES
- A61—MEDICAL OR VETERINARY SCIENCE; HYGIENE
- A61P—SPECIFIC THERAPEUTIC ACTIVITY OF CHEMICAL COMPOUNDS OR MEDICINAL PREPARATIONS
- A61P9/00—Drugs for disorders of the cardiovascular system
- A61P9/14—Vasoprotectives; Antihaemorrhoidals; Drugs for varicose therapy; Capillary stabilisers
-
- C—CHEMISTRY; METALLURGY
- C07—ORGANIC CHEMISTRY
- C07D—HETEROCYCLIC COMPOUNDS
- C07D401/00—Heterocyclic compounds containing two or more hetero rings, having nitrogen atoms as the only ring hetero atoms, at least one ring being a six-membered ring with only one nitrogen atom
- C07D401/02—Heterocyclic compounds containing two or more hetero rings, having nitrogen atoms as the only ring hetero atoms, at least one ring being a six-membered ring with only one nitrogen atom containing two hetero rings
- C07D401/04—Heterocyclic compounds containing two or more hetero rings, having nitrogen atoms as the only ring hetero atoms, at least one ring being a six-membered ring with only one nitrogen atom containing two hetero rings directly linked by a ring-member-to-ring-member bond
-
- C—CHEMISTRY; METALLURGY
- C07—ORGANIC CHEMISTRY
- C07D—HETEROCYCLIC COMPOUNDS
- C07D401/00—Heterocyclic compounds containing two or more hetero rings, having nitrogen atoms as the only ring hetero atoms, at least one ring being a six-membered ring with only one nitrogen atom
- C07D401/02—Heterocyclic compounds containing two or more hetero rings, having nitrogen atoms as the only ring hetero atoms, at least one ring being a six-membered ring with only one nitrogen atom containing two hetero rings
- C07D401/10—Heterocyclic compounds containing two or more hetero rings, having nitrogen atoms as the only ring hetero atoms, at least one ring being a six-membered ring with only one nitrogen atom containing two hetero rings linked by a carbon chain containing aromatic rings
-
- C—CHEMISTRY; METALLURGY
- C07—ORGANIC CHEMISTRY
- C07D—HETEROCYCLIC COMPOUNDS
- C07D401/00—Heterocyclic compounds containing two or more hetero rings, having nitrogen atoms as the only ring hetero atoms, at least one ring being a six-membered ring with only one nitrogen atom
- C07D401/14—Heterocyclic compounds containing two or more hetero rings, having nitrogen atoms as the only ring hetero atoms, at least one ring being a six-membered ring with only one nitrogen atom containing three or more hetero rings
Definitions
- the present invention relates to pyrimidine derivatives, methods for their synthesis, and the use of said pyrimidine derivatives as pharmaceutically active agents, especially for the prophylaxis and/or treatment of cell proliferation disorders, cancer, leukemia, erectile dysfunction, cardiovascular diseases and disorders, inflammatory diseases, transplant rejection, immunological diseases, neuroimmunological diseases, autoimmune diseases, infective diseases including opportunistic infections, prion diseases and/or neuro-degeneration. Furthermore, the present invention relates to pharmaceutical compositions containing at least one pyrimidine derivative and/or pharmaceutically acceptable salts thereof as an active ingredient together with at least one pharmaceutically acceptable carrier, excipient or diluents as well as to methods for prophylaxis and/or treatment of various diseases and disorders.
- diseases such as cell proliferation disorders, cancer, leukemia, erectile dysfunction, cardiovascular diseases and disorders, inflammatory diseases, transplant rejection, immunological diseases, neuroimmunological diseases, autoimmune diseases, infective diseases including opportunistic infections, prion diseases, neurodegenerative disorders, and/or neuro-degeneration
- diseases such as cell proliferation disorders, cancer, leukemia, erectile dysfunction, cardiovascular diseases and disorders, inflammatory diseases, transplant rejection, immunological diseases, neuroimmunological diseases, autoimmune diseases,
- R and R* represent independently of each other -H, -OCH 3 , -CF 3 , -CH 3 ,
- R 1 , R", R'" and R"" represent independently of each other -H, -F, -Cl, -Br, -I, -CN, -OH, -OCH 3 , -OC 2 H 5 , -OCF 3 , -NH 2 , -NO 2 , -N(CHs) 2 , -N(C 2 Hg) 2 , -SH, -SO 3 H, -COOH, -COOCH 3 , -COOC 2 H 5 , -CONH 2 ;
- R 1 , R 2 , R 3 , R 4 , R 1 ', R 2 ', and R 3 ' represent independently of each other -H, -R 1 , -OH, -SH, -OCH 3 , -OC 2 H 5 , -SCH 3 , -NH 2 , -NO 2 , -NH(CH 3 ), -N(CHs) 2 , -COOH, -COOCH 3 , -OCF 3 , -CH 3 , -C 2 H 5 , -C 3 H 7 ,
- R 5 represents -H, -R 4 , -CH 2 R 3 , -C 2 H 4 R 1 *, -C 3 H 6 R 0 , -C 4 H 8 R 0 , -CHR 0 R * , -CH 2 -CHR 3 R 4 , -C 2 H 4 -CHR 3 R 4 , -C 3 H ⁇ CHR 3 R 4 , -R 11 , -R 13 ,
- R 6 , R 7 , R 8 and R 9 represent independently of each other -H, -R', -R 1 , - CH 2 R 1 , -R 12 ;
- R 12 and R 13 represent independently of each other -H, -F, -Cl, -Br, -I, -CH 2 F 1 -CH 2 CI, -CH 2 Br, -CH 2 I, -CH 2 R 3 , -OH, -OCH 3 , -OC 2 H 5 , -NH 2 ,
- R 14 and R 15 represent independently of each other -H, -R 1 ', -F, -Cl, -Br, -I, -CH 2 F, -CH 2 CI, -CH 2 Br, -CH 2 I, -CH 2 R 3 , -OH, -OCH 3 , -OC 2 H 5 , -NH 2 , -NH(CH 3 ), -N(CHs) 2 , -N(C 2 Hs) 2 , -OCF 3 , -CH 3 , -C 2 H 5 , -C 3 H 7 , -R 18 , -NH(R 18 ) , -NH(R 19 ), -N(R 18 ) 2 , -NR 18 R 19 , -OR 18 , -CO-R 18 , -COOH, -COOCH 3 , -COOC 2 H 5 , -COOR 18 , -OOCR 18 , -SO 3 H
- Z represents -NH-CO-R 5 , -CO-NH-R 5 , -NH-CS-R 5 , -NH-SO 2 -R 5 , -NH 2 , -NO 2 , -OCH 3 , -SCH 3 , -CF 3 , -COOH, -COOCH 3 , -COOC 2 H 5 ,
- Another aspect of the present invention relates compounds of the general formula (I) wherein
- R represents -H, -CH 3 , -C 2 H 5 , -R', -R' ⁇ , -R >12. ;
- R* represents -H
- R', R" and R 1 represent independently of each other -H, -F, -Cl, -Br, -I, -CN;
- R 1 , R 2 , R 3 and R 4 represent independently of each other -H, -R', -OH, - OCH 3 , -NH 2 , -NO 2 , -N(CH 3 ) 2 , -COOH, -COOCH 3 , -OCF 3 , -CH 3 ,
- R 5 represents -H, -R , -CH 2 R , -C 2 H 4 R , — C3H6R , — R , — R ,
- R 6 , R 7 , R 8 and R 9 represent independently of each other -H, -R 1 , -R 1 , -CH 2 R 1 , -R 12 ;
- R 12 and R 13 represent independently of each other -CH 2 F, -CH 2 CI, -CH 2 Br, -CH 2 I, -CH 2 R 3 , -OH, -OCH 3 , -NH 2 , -NH(CH 3 ), -N(CHs) 2 , -OCF 3 , -CH 3 , -R 10 , -N(R 10 ) 2J -OR 10 , -COOH, -COOR 10 , -OOCR 10 , -CONH 2 , -CON(R 10 ) 2 ;
- Z represents -NH-CO-R 5 .
- the residue R is preferably hydrogen or a methyl group. Furthermore, R is preferably in ortho position to the pyrimidinylamino group and/or in para position to the amino carbonyl group. Consequently, the amino carbonyl group is preferably in meta position to the pyrimidinylamino residue. Nevertheless, the para position of the amino carbonyl group to the pyrimidinylamino residue is also preferred.
- X' represents one of the following residues
- Z" represents -CO-R 7 , -CO-R 12 , -SO 2 -R 7 , -SO 2 -R 12 ; and R, R 7 , and R 12 have the meanings as disclosed above.
- Z" represents -CO-R 7 , -CO-R 12 , -SO 2 -R 7 , -SO 2 -R 12 ; and R, R 7 , and R 12 have the meanings as disclosed above.
- Z" represents -R 1 , -R 5 , and -R 13 , provided that Z" is not -H or C n H 2n+ I with n being an integer between 1 and 6, and wherein the substituents R, R 1 , R 5 , and R 13 have the meanings as disclosed above.
- the residue R is preferably hydrogen or a methyl group. Furthermore, R is preferably in ortho position to the pyrimidinylamino group and/or in para position to the amino carbonyl group. Consequently, the amino carbonyl group is preferably in meta position to the pyrimidinylamino residue. Nevertheless, the para position of the amino carbonyl group to the pyrimidinylamino residue is also preferred.
- R, R 1 , R 2 , R 3 , and R 4 have the meanings as disclosed above and
- R 1 , R 2 , R 3 , and R 4 are preferred which comprise a heteroatom and more preferably comprise oxygen or nitrogen and most preferably comprise oxygen.
- R and Z have the meanings as disclosed above.
- the residue R is preferably hydrogen or a methyl group. Furthermore, R is preferably in ortho position to the pyrimidinylamino group and/or in para position to the -NHZ 1 group and the -Z group respectively. Consequently, the -NHZ 1 or the -Z group is preferably in meta position to the pyrimidinylamino residue. Nevertheless, the para position of the - NHZ 1 or the -Z group to the pyrimidinylamino residue is also preferred.
- the para position of the residue Z is preferred.
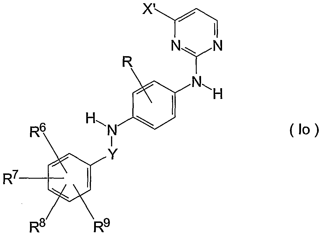
- X', Y, R, R 6 , R 7 , R 8 , and R 9 have the meanings as disclosed above, provided that x is not 3-pyridyl.
- substituent R represents hydrogen.
- heterocyclic substituents and especially heteroaromatic substituents are preferred as residue X 1 .
- R 6 , R 7 , R 8 , and R 9 have the meanings as disclosed above, provided that x is not 3- pyridyl.
- X 1 and R have the meanings as disclosed above and
- substituent R represents hydrogen or a methyl group.
- heterocyclic substituents and especially heteroaromatic substituents are preferred as residue X 1 .
- R has the meanings as disclosed above.
- a further preferred subgroup of inventive compounds can be represented by the following general formulas (Iu), (Iv), (Iw), and (Ix) as shown below:
- X has the meanings as described in general formula (I) and X 1 represents -H,
- the pyrimidine compounds of the present invention are basic and form pharmaceutically acceptable salts with organic and inorganic acids.
- suitable acids for such acid addition salt formation are hydrochloric acid, hydrobromic acid, sulfuric acid, phosphoric acid, acetic acid, citric acid, oxalic acid, malonic acid, salicylic acid, p-aminosalicylic acid, malic acid, fumaric acid, succinic acid, ascorbic acid, maleic acid, sulfonic acid, phosphonic acid, perchloric acid, nitric acid, formic acid, propionic acid, gluconic acid, lactic acid, tartaric acid, hydroxymaleic acid, pyruvic acid, phenylacetic acid, benzoic acid, p-aminobenzoic acid, p-hydroxybenzoic acid, methanesulfonic acid, ethanesulfonic acid, nitrous acid, hydroxyethanesulfonic acid, ethylenesulfonic acid, p-
- salts may be formed with inorganic as well as organic bases such as, for example, LiOH, NaOH, KOH, CaCO 3 , NH 4 OH, tetraalkylammonium hydroxide, and the like.
- Compound list Compound 1 (2-Methyl-5-nitro-phenyl)-(4-pyridin-2-yl-pyrimidin-2-yl)-amine
- Compound 2 (3-Nitro-phenyl)-(4-pyridin-3-yl-pyrimidin-2-yl)-amine
- Compound 213 4-(4-Methyl-piperazin-1-ylmethyl)-N-[4-methyl-3-(4-pyrid ⁇ n-4-yl- pyrimidin-2-ylamino)-phenyl]-benzamide
- Compound 214 1- ⁇ [4-Methyl-3-(4-pyridin-2-yl-pyrimidin-2-ylamino)- phenylcarbamoyl]-methyl ⁇ -piperidine-4-carboxylic acid ethyl ester
- Compound 215 4- ⁇ [4-Methyl-3-(4-pyridin-2-yl-pyrimidin-2-ylamino)-phenyl- carbamoyl]-methyl ⁇ -piperazine-1-carboxylic acid ethyl ester
- Compound 216 4-ChIoro-N-[4-(4-pyridin-2-yl-pyrimidin-2-ylamino)-phenyl]- benzenesul
- one aspect of the present invention is directed to the compounds of general formula (I) or (Ia) - (Ix) and or pharmaceutically acceptable salts thereof for use as pharmaceutically active agent. Furthermore, it was found that the inventive compounds are inhibitors of kinases and phosphatases, especially human protein kinases.
- pyrimidine derivatives of the general formula (I) or any one of the general formulas (Ia) - (Ix) as new pharmaceutically active agents especially for the preparation of a pharmaceutical composition for the treatment of diseases and disorders which are cured or relieved or which can be cured or relieved by the inhibition of a kinase and/or phosphatase.
- the compounds of the general formulas (I), (Ia) - (Ix) were surprisingly identified as potent inhibitors for especially human but also viral kinases.
- target kinases are for example AbI, Akt, c-kit, EGF-R, GSK3b, JNK, Lck, PDGF-R, PknG, and ROCK2.
- inhibitor refers to any compound capable of downregulating, decreasing, suppressing or otherwise regulating the amount and/or activity of the human cellular protein kinase AbI, Akt, c-kit, EGF-R, GSK3b, JNK, Lck, PDGF-R, PknG, or ROCK2.
- a method for preventing and/or treating diseases which are cured or relieved by the inhibition of kinases and/or phosphatases in a mammal, including a human, which method comprises administering to the mammal an amount of at least one compound of general formula (I), (Ia) - (Ix) and/or pharmaceutically acceptable salts thereof, effective to prevent and/or treat said diseases which are cured or relieved by the inhibition of a kinase and/or phosphatase.
- a preferred embodiment of said method involves one of the following kinases: AbI, Akt, c-kit, EGF-R, GSK3b, JNK, Lck, PDGF-R, PknG, or ROCK2.
- the nucleoside sequences of the genes coding for the human cellular protein kinases AbI, Akt, c-kit, EGF-R, GSK3b, JNK, Lck, PDGF-R, PknG, and ROCK2 as well as their amino acid sequences can be obtained from NCBI (National Library of Medicine: PubMed), SwissPort, GenBank, or EMBL.
- accession numbers for said kinases are:
- AbI (Accession Number: M14752), Akt1 (Accession Number: M63167), c-kit (Accession Number: GenBank X06182), EGF-R (Accession Number: AF288738), GSK3 ⁇ (Accession Number: SwissProt P49841 ), JNK (Accession Number: Jnk1a1 : EMBL L26318), Lck (Accession Number: SwissProt P06239), PDGF-R ⁇ (Accession Number: GenBank J03278), PknG (Accession Number: NC000962, not the complete genome), and ROCK2 (Accession Number: NM004850).
- the present invention discloses the use of compounds of any one of the general formulas (I), (Ia) - (Ix) and/or pharmaceutically acceptable salts thereof for prophylaxis and/or treatment of proliferation disorder and cancer.
- the proliferation disorders and cancers are preferably selected from the group comprising adenocarcinoma, choroidal melanoma, acute leukemia, acoustic neurinoma, ampullary carcinoma, anal carcinoma, astrocytoma, basal cell carcinoma, pancreatic cancer, desmoid tumor, bladder cancer, bronchial carcinoma, breast cancer, Burkitt's lymphoma, corpus cancer, CUP-syndrome (carcinoma of unknown primary), colorectal cancer, small intestine cancer, small intestinal tumors, ovarian cancer, endometrial carcinoma, ependymoma, epithelial cancer types, Ewing's tumors, gastrointestinal tumors, gallbladder cancer, gall bladder carcinomas, uterine cancer, cervical cancer, glioblastomas, gynecologic tumors, ear, nose and throat tumors, hematologic neoplasias, hairy cell leukemia, urethral cancer, skin cancer
- Another aspect of the present invention is directed to the use of at least one compound of any one of the general formulas (I), (Ia) - (Ix) and/or pharmaceutically acceptable salts thereof for prophylaxis and/or treatment of cardiovascular diseases and cardiovascular disorders.
- cardiovascular diseases and disorders are: aneurysm, stable angina, unstable angina, angina pectoris, angioneurotic edema, stenosis, restenosis, aortic valve stenosis, aortic aneurysm, arrhythmia, arrhythmogenic right ventricular dysplasia, arteriosclerosis, arteriovenous malformations, atrial fibrillation, Behcet syndrome, bradycardia, cardiac tamponade, cardiomegaly, congestive cardiomyopathy, hypertrophic cardiomyopathy, restrictive cardiomyopathy, carotid stenosis, cerebral hemorrhage, Churg-Strauss syndrome, diabetes, Ebstein's Anomaly, Eisenmenger complex, cholesterol embolism, bacterial endocarditis, fibromuscular dysplasia, congenital heart defects, heart diseases, congestive heart failure, heart valve diseases, heart attack, epidural hematoma, hematoma, subdural, Hippel-L
- Another aspect of the present invention is directed to the use of at least one compound of any one of the general formulas (I), (Ia) - (Ix) and/or pharmaceutically acceptable salts thereof for prophylaxis and/or treatment of inflammatory diseases.
- inventive compounds according to any one of the formulas (I), (Ia) - (Ix) are useful for prophylaxis and/or treatment of diseases which are associated with overexpression / overproduction of the protein amyloid A, such as arthritides, rheumatoid arthritis, asthma, lupus, bleeding disorders (thrombocytopenia), chronic inflammatory lung diseases, atherosclerosis, kidney inflammation (nephritis), psoriasis, allergies, Crohn's disease, ischemia / reperfusion injury, endotoxemic liver injury, inflammatory bowel disease, tuberculosis, chronic infections, familial Mediterranean fever, interstitial cystitis and skin sunburn.
- diseases which are associated with overexpression / overproduction of the protein amyloid A such as arthritides, rheumatoid arthritis, asthma, lupus, bleeding disorders (thrombocytopenia), chronic inflammatory lung diseases, atherosclerosis, kidney inflammation (nephritis), psori
- Another aspect of the present invention is directed to the use of at least one compound of any one of the general formulas (I), (Ia) - (Ix) and/or pharmaceutically acceptable salts thereof for prophylaxis and/or treatment of neuro-degeneration and neurodegenerative disorders.
- Neurodegenerative disorders of the central nervous system can be grouped into diseases of the cerebral cortex (Alzheimer disease), the basal ganglia (Parkinson disease), the brain-stem and cerebellum, or the spinal cord (amyotrophic lateral sclerosis).
- neurodegeneration and neurodegenerative disorders are Alzheimer disease, Parkinson disease, Huntington disease, amyotrophic lateral sclerosis, AIDS-related dementia, retinitis pigmentosa, spinal muscular atrophy and cerebrellar degeneration, fragile X-associated tremor/ataxia syndrome (FXTAS), progressive supranuclear palsy (PSP), and striatonigral degeneration (SND), which is included with olivopontocerebellar degeneration (OPCD), and Shy Drager syndrome (SDS) in a syndrome known as multiple system atrophy (MSA).
- FXTAS fragile X-associated tremor/ataxia syndrome
- PSP progressive supranuclear palsy
- SND striatonigral degeneration
- OPCD olivopontocerebellar degeneration
- SDS Shy Drager syndrome
- Another aspect of the present invention is directed to the use of at least one compound of any one of the general formulas (I), (Ia) - (Ix) and/or pharmaceutically acceptable salts thereof for prophylaxis and/or treatment of immunological diseases, neuroimmunological diseases, autoimmune diseases.
- Immunological diseases are, for instance, asthma and diabetes, rheumatic and autoimmune diseases, AIDS, rejection of transplanted organs and tissues (cf. below), rhinitis, chronic obstructive pulmonary diseases, osteoporisis, ulcerative colitis, sinusitis, lupus erythematosus, recurrent infections, atopic dermatitis / eczema and occupational allergies, food allergies, drug allergies, severe anaphylactic reactions, anaphylaxis, and other manifestations of allergic disease, as well as uncommon problems such as primary immunodeficiencies, including antibody deficiency states, cell mediated immunodeficiencies (e.g., severe combined immunodeficiency, DiGeorge syndrome, Hyper-lgE syndrome, Wiskott- Aldrich syndrome, ataxia- telangiectasia), immune mediated cancers, and white cell defects.
- primary immunodeficiencies including antibody deficiency states, cell mediated immunodeficiencies (e.g., severe
- autoimmune diseases such as systemic lupus erythematosus, rheumatoid arthritis (RA), multiple sclerosis (MS), immune-mediated or type 1 diabetes mellitus, immune mediated glomerulonephritis, scleroderma, pernicious anemia, alopecia, pemphigus, pemphigus vulgaris, myasthenia gravis, inflammatory bowel diseases, Crohn's disease, psoriasis, autoimmune thyroid diseases, and Hashimoto's disease, dermatomyositis, goodpastture syndrome, myasthenia gravis pseudoparalytica, ophtalmia sympatica, phakogene uveitis, chronical agressivce hepatitis, primary billiary cirrhosis, autoimunehemolytic anemy, Werlof disease, specific cells uncontrollably attack the body's own tissues and organs (autoimmunity), producing inflammatory reactions and other serious symptoms and
- Hashimoto's thyroiditis is one of the most common autoimmune diseases. "Autoimmune disease” refers to a category of more than 80 chronic illnesses, each very different in nature, that can affect everything, from the endocrine glands (like the thyroid) to organs like the kidneys, as well as to the digestive system.
- autoimmune diseases There are many different autoimmune diseases, and they can each affect the body in different ways.
- the autoimmune reaction is directed against the brain in multiple sclerosis and the gut in Crohn's disease.
- autoimmune diseases such as systemic lupus erythematosus (lupus)
- affected tissues and organs may vary among individuals with the same disease.
- One person with lupus may have affected skin and joints whereas another may have affected skin, kidney, and lungs.
- damage to certain tissues by the immune system may be permanent, as with destruction of insulin-producing cells of the pancreas in Type 1 diabetes mellitus.
- Another aspect of the present invention is directed to the use of at least one compound of any one of the general formulas (I), (Ia) - (Ix) and/or pharmaceutically acceptable salts thereof for prophylaxis and/or treatment of infective diseases including opportunistic infections.
- infective diseases are AIDS, Alveolar Hydatid Disease (AHD, Echinococcosis), Amebiasis (Entamoeba histolytica Infection), Angiostrongylus Infection, Anisakiasis, Anthrax, Babesiosis (Babesia Infection), Balantidium Infection (Balantidiasis), Baylisascaris Infection (Raccoon Roundworm), Bilharzia (Schistosomiasis), Blastocystis hominis Infection (Blastomycosis), Boreliosis, Botulism, Brainerd Diarrhea, Brucellosis, BSE (Bovine Spongiform Encephalopathy), Candidiasis, Capillariasis (Capillaria Infection), CFS (Chronic Fatigue Syndrome), Chagas Disease (American Trypanosomiasis), Chickenpox (Varicella-Zoster virus), Chlamydia pneumoniae Infection, Cho
- Transplant rejection Another aspect of the present invention is directed to the use of at least one compound of any one of the general formulas (I), (Ia) - (Ix) and/or pharmaceutically acceptable salts thereof for prophylaxis and/or treatment of transplant rejection.
- Transplant rejection is when a transplant recipient's immune system attacks a transplanted organ or tissue. No two people (except identical twins) have identical tissue antigens. Therefore, in the absence of immunosuppressive drugs, organ and tissue transplantation would almost always cause an immune response against the foreign tissue (rejection), which would result in destruction of the transplant. Though tissue typing ensures that the organ or tissue is as similar as possible to the tissues of the recipient, unless the donor is an identical twin, no match is perfect and the possibility of organ/tissue rejection remains.
- inventive compounds of any one of the general formulas (I), (Ia) - (Ix) are used as immunosuppressive drugs and/or anti-rejection drugs in order to prevent transplant rejection.
- transplant rejection is the graft-versus-host-disease (GVHD) that can occur following bone marrow transplant.
- GVHD graft-versus-host-disease
- the donor's immune cells in the transplanted marrow make antibodies against the host's (transplant patient's) tissues and attack the patient's vital organs.
- Transplant rejections also known as graft rejection or tissue/organ rejection
- Said organs comprise especially inner organs such as heart, heart-lungs, lungs, liver, kidney, pancreas, spleen, skin, tissue, bone marrow, spinal marrow, hormone producing glands, gonads and gonadal glands.
- Another aspect of the present invention is directed to the use of at least one compound of any one of the general formulas (I), (Ia) - (Ix) and/or pharmaceutically acceptable salts thereof for prophylaxis and/or treatment of prion diseases.
- Prions are infectious agents which do not have a nucleic acid genome. It seems that a protein alone is the infectious agent. A prion has been defined as "small proteinaceous infectious particle which resists inactivation by procedures that modify nucleic acids". The discovery that proteins alone can transmit an infectious disease has come as a considerable surprise to the scientific community. Prion diseases are often called “transmissible spongiform encephalopathies", because of the post mortem appearance of the brain with large vacuoles in the cortex and cerebellum. Probably most mammalian species develop these diseases. Prion diseases are a group of neurodegenerative disorders of humans and animals and the prion diseases can manifest as sporadic, genetic or infectious disorders.
- Examples for prion diseases acquired by exogenous infection are the Bovine spongiform encephalitis (BSE) of cattle and the new variant of Creutzfeld-Jakob disease (vCJD) caused by BSE as well as scrapie of animals.
- BSE Bovine spongiform encephalitis
- vCJD Creutzfeld-Jakob disease
- human prion diseases include kuru, sporadic Creutzfeldt-Jakob disease (sCJD), familial CJD (fCJD), iatrogenic CJD (iCJD), Gerstmann-Straussler-Scheinker (GSS) disease, fatal familial insomnia (FFI), and especially the new variant CJD (nvCJD or vCJD).
- prion is used to describe the causative agents which underlie the transmissible spongiform encephalopathies.
- a prion is proposed to be a novel infectious particle that differs from viruses and viroids. It is composed solely of one unique protein that resists most inactivation procedures such as heat, radiation, and proteases. The latter characteristic has led to the term protease- resistant isoform of the prion protein. The protease-resistant isoform has been proposed to slowly catalyze the conversion of the normal prion protein into the abnormal form.
- isoform in the context of prions means two proteins with exactly the same amino acid sequence that are folded into molecules with dramatically different tertiary structures.
- the normal cellular isoform of the prion protein (PrP c ) has a high ⁇ -helix content, a low ⁇ -sheet content, and is sensitive to protease digestion.
- the abnormal, disease-causing isoform (PrP Sc ) has a lower ⁇ - helix content, a much higher ⁇ -sheet content, and is much more resistant to protease digestion.
- prion diseases refers to transmissible spongiform encephalopathies.
- Examples for prion diseases comprise Scrapie (sheep, goat), TME (transmissible mink encephalopathy; mink), CWD (chronic wasting disease; muledeer, deer, elk), BSE (bovine spongiform encephalopathy; cows, catties), CJD (Creutzfeld-Jacob Disease), vCJD, GSS (Gerstmann-Straussler-Scheinker syndrome), FFI (Fatal familial Insomnia), Kuru, and Alpers Syndrome.
- BSE vCJD
- CJD transmissible spongiform encephalopathies.
- CJD chronic wasting disease
- muledeer deer
- elk chronic wasting disease
- BSE bovine spongiform encephalopathy
- cows, catties CJD (Creutzfeld-Ja
- a further aspect of the present invention relates to a method for detecting prion infections and/or prion diseases in a sample comprising: a) providing a sample from an individual; and b) adding to said sample at least one compound of the general formula (I), (Ia) - (Ix) and/or pharmaceutically active salts thereof; and c) detecting activity in said sample of the human cellular protein kinase AbI.
- sample refers to any sample that can be taken from a living animal or human for diagnostic purposes, especially said sample comprises blood, milk, saliva, sputum, excrement, urine, spinal cord liquid, liquor, cerebral extract, lachrymal gland liquid, and biopsies.
- the term "individual” preferably refers to mammals, especially humans or ruminants.
- ruminants refers to an animal, for instance, cattle, cow, sheep, goat, deer, elk, muledeer, or buffalo that has four separate stomach chambers, and is therefore able to digest a wide range of organic and plant foods.
- ruminants refers also to exotic ruminants, like captive nyala, gemsbok,
- Minks are an example for mammals which do not belong to the species of ruminants.
- Still a further aspect of the present invention is directed to pharmaceutical compositions comprising at least one pyrimidine compound of the general formula (I), (Ia) - (Ix) as an active ingredient together with at least one pharmaceutically acceptable carrier, excipient or diluents.
- Said pharmaceutical compositions may be formulated as pills, tablets, tabs, film tablets, coated tablets (dragees), multi-layer tablets, capsules, powders, granulates, deposits, sustained release formulations, controlled release formulations, mini- and micro-formulations, nano-formulations, liposomal formulations, dispersions, suspensions, liquid formulations, drops, injections, sprays, ointments, creams, pastes, syrup, lotions, gels, chayavanprashes.
- the compounds of the general formula (I), (Ia) - (Ix) can also be administered in form of their pharmaceutically active salts optionally using substantially nontoxic pharmaceutically acceptable carriers, excipients or diluents.
- the medications of the present invention are prepared in a conventional solid or liquid carrier or diluents and a conventional pharmaceutically-made adjuvant at suitable dosage level in a known way.
- the preferred preparations are in administratable form which is suitable for oral application. These administratable forms, for example, include pills, tablets, film tablets, coated tablets, capsules, powders and deposits as well as mini- or micro formulations.
- the subject of the present invention also includes pharmaceutical preparations for parenteral, including dermal, intradermal, intragastrical, intracutaneous, intravasal, intravenous, intramuscular, intraperitoneal, intranasal, intravaginal, intrabuccal, percutaneous, intraocular, rectal, subcutaneous, sublingual, topical or transdermal application, which in addition to typical vehicles and diluents contain at least one pyrimidine compound of the general formula (I), (Ia) - (Ix) and/or a pharmaceutically acceptable salt thereof as active ingredient.
- compositions of the present invention containing pyrimidine derivatives of any one of the general formulas (I), (Ia) - (Ix), will typically be administered in admixture with suitable carrier materials selected with respect to the intended form of administration, i.e. oral tablets, capsules (either solid-filled, semi-solid filled or liquid filled), powders for constitution, oral gels, elixirs, dispersible granules, syrups, suspensions, and the like, and are consistent with conventional pharmaceutical practices.
- suitable carrier materials selected with respect to the intended form of administration, i.e. oral tablets, capsules (either solid-filled, semi-solid filled or liquid filled), powders for constitution, oral gels, elixirs, dispersible granules, syrups, suspensions, and the like, and are consistent with conventional pharmaceutical practices.
- the active drug component may be combined with any oral nontoxic pharmaceutically acceptable inert carrier, such as lactose, starch, sucrose, cellulose, magnesium stearate, dicalcium phosphate, calcium sulfate, talc, mannitol, ethyl alcohol (liquid forms) and the like.
- suitable binders, lubricants, disintegrating agents and coloring agents may also be incorporated in the mixture.
- Powders and .tablets may be comprised of from about 5 to about 95 percent inventive composition.
- Suitable binders include starch, gelatin, natural sugars, com sweeteners, natural and synthetic gums such as acacia, sodium alginate, carboxymethylcellulose, polyethylene glycol and waxes.
- lubricants there may be mentioned for use in these dosage forms, boric acid, sodium benzoate, sodium acetate, sodium chloride, and the like.
- Disintegrants include starch, methylcellulose, guar gum and the like. Sweetening and flavoring agents and preservatives may also be included where appropriate.
- compositions of the present invention may be formulated in sustained release form to provide the rate controlled release of any one or more of the components or active ingredients to optimize the therapeutic effects, i.e. antihistaminic activity and the like.
- Suitable dosage forms for sustained release include layered tablets containing layers of varying disintegration rates or controlled release polymeric matrices impregnated with the active components and shaped in tablet form or capsules containing such impregnated or encapsulated porous polymeric matrices.
- Liquid form preparations include solutions, suspensions and emulsions. As an example may be mentioned water or water-propylene glycol solutions for parenteral injections or addition of sweeteners and opacifiers for oral solutions, suspensions and emulsions. Liquid form preparations may also include solutions for intranasal administration.
- Aerosol preparations suitable for inhalation may include solutions and solids in powder form, which may be in combination with a pharmaceutically acceptable carrier such as inert compressed gas, e.g. nitrogen.
- a pharmaceutically acceptable carrier such as inert compressed gas, e.g. nitrogen.
- a low melting wax such as a mixture of fatty acid glycerides such as cocoa butter is first melted, and the active ingredient is dispersed homogeneously therein by stirring or similar mixing. The molten homogeneous mixture is then poured into convenient sized molds, allowed to cool and thereby solidifies.
- solid form preparations which are intended to be converted, shortly before use, to liquid form preparations for either oral or parenteral administration.
- liquid forms include solutions, suspensions and emulsions.
- the inventive pyrimidine compounds of the present invention may also be deliverable transdermally.
- the transdermal compositions may take the form of creams, lotions, aerosols and/or emulsions and can be included in a transdermal patch of the matrix or reservoir type as are conventional in the art for this purpose.
- capsule refers to a special container or enclosure made of methyl cellulose, polyvinyl alcohols, or denatured gelatins or starch for holding or containing compositions comprising the active ingredients.
- Hard shell capsules are typically made of blends of relatively high gel strength bone and pork skin gelatins.
- the capsule itself may contain small amounts of dyes, opaquing agents, plasticizers and preservatives.
- Tablet means compressed or molded solid dosage form containing the active ingredients with suitable diluents.
- the tablet can be prepared by compression of mixtures or granulations obtained by wet granulation, dry granulation or by compaction well known to a person skilled in the art.
- Oral gels refers to. the active ingredients dispersed or solubilized in a hydrophillic semi-solid matrix.
- Powders for constitution refers to powder blends containing the active ingredients and suitable diluents which can be suspended in water or juices.
- Suitable diluents are substances that usually make up the major portion of the composition or dosage form. Suitable diluents include sugars such as lactose, sucrose, mannitol and sorbitol, starches derived from wheat, corn rice and potato, and celluloses such as microcrystalline cellulose.
- the amount of diluents in the composition can range from about 5 to about 95% by weight of the total composition, preferably from about 25 to about 75%, more preferably from about 30 to about 60% by weight.
- disintegrants refers to materials added to the composition to help it break apart (disintegrate) and release the medicaments.
- Suitable disintegrants include starches, "cold water soluble” modified starches such as sodium carboxymethyl starch, natural and synthetic gums such as locust bean, karaya, guar, tragacanth and agar, cellulose derivatives such as methylcellulose and sodium carboxymethylcellulose, microcrystalline celluloses and cross-linked microcrystalline celluloses such as sodium croscarmellose, alginates such as alginic acid and sodium alginate, clays such as bentonites, and effervescent mixtures.
- the amount of disintegrant in the composition can range from about 2 to about 20% by weight of the composition, more preferably from about 5 to about 10% by weight.
- Binders characterize substances that bind or "glue” powders together and make them cohesive by forming granules, thus serving as the "adhesive" in the formulation. Binders add cohesive strength already available in the diluents or bulking agent. Suitable binders include sugars such as sucrose, starches derived from wheat, corn rice and potato; natural gums such as acacia, gelatin and tragacanth; derivatives of seaweed such as alginic acid, sodium alginate and ammonium calcium alginate; cellulosic materials such as methylcellulose and sodium carboxymethylcellulose and hydroxypropylmethylcellulose; polyvinylpyrrolidone; and inorganics such as magnesium aluminum silicate.
- the amount of binder in the composition can range from about 2 to about 20% by weight of the composition, more preferably from about 3 to about 10% by weight, even more preferably from about 3 to about 6% by weight.
- “Lubricant” refers to a substance added to the dosage form to enable the tablet, granules, etc. after it has been compressed, to release from the mold or die by reducing friction or wear.
- Suitable lubricants include metallic stearates such as magnesium stearate, calcium stearate or potassium stearate; stearic acid; high melting point waxes; and water soluble lubricants such as sodium chloride, sodium benzoate, sodium acetate, sodium oleate, polyethylene glycols and D,L-leucine. Lubricants are usually added at the very last step before compression, since they must be present on the surfaces of the granules and in between them and the parts of the tablet press.
- the amount of lubricant in the composition can range from about 0.2 to about 5% by weight of the composition, preferably from about 0.5 to about 2%, more preferably from about 0.3 to about 1.5% by weight.
- glidents are materials that prevent caking and improve the flow characteristics of granulations, so that flow is smooth and uniform. Suitable glidents include silicon dioxide and talc. The amount of glident in the composition can range from about 0.1% to about 5% by weight of the total composition, preferably from about 0.5 to about 2% by weight.
- Coloring agents are excipients that provide coloration to the composition or the dosage form. Such excipients can include food grade dyes and food grade dyes adsorbed onto a suitable adsorbent such as clay or aluminum oxide. The amount of the coloring agent can vary from about 0.1 to about 5% by weight of the composition, preferably from about 0.1 to about 1%.
- Source block temp 120 0 C Desolvation temp: 350 0 C Desolvation Gas: 400 L/min Cone Gas: 100 L/min Capillary: 3000 V Cone: 25 V Extractor: 3 V Rf Lens: 0.2 V
- Solvent A Water/ 0.05% HCOOH
- Solvent B AcCN/ 0.05% HCOOH
- Rf Lens 0.2 V Scan: 120 to 1000 m/z in 1 sec. Inter-scan delay: 0.1 s
- N dimethylformamide 0.50 mmol of corresponding amino derivative and 0.75 mmol of carbonyl chloride or sulfonyl chloride in 10 cm 3 N, N dimethylformamide was stirred at 0 0 C for 3 hours. Then 100 g of crashed ice and 20 cm 3 of saturated NaHCO 3 solution was added and stirred for another one hour. The precipiate was filtered off, washed with cold water and dried at room temperature. Crude materials were recristallized from ethylalcohol, washed with diethyl ether and and dried at room temperature.
- PrP Sc - and PrP c -transfected mouse neuronal cells were cultured in MEM (Minimum Essential Medium, Life Technologies) supplemented with 10% fetal calf serum at 37°C and 5% CO 2 to obtain ⁇ 6x10 6 cells per tissue culture flask.
- MEM Minimum Essential Medium, Life Technologies
- the mouse neuroblastoma cell line 3F4-ScN2a represents a stably transfected clone of ScN2a cells (PrP Sc infected N2a cells) which overexpress 3F4-epitope- tagged murine PrP.
- Residues 109 and 112 of murine PrP were replaced by methionine to introduce the epitope for reactivity with the monoclonal anti-PrP antibody 3F4.
- Ceils were maintained in Dulbecco's modified Eagle's (DMEM) or Opti-MEM medium containing 10 % fetal calf serum, antibiotics and glutamin.
- DMEM Dulbecco's modified Eagle's
- Opti-MEM medium containing 10 % fetal calf serum, antibiotics and glutamin.
- Lipofection of cells with recombinant plasmids was done using standard procedures and recombinant clones were selected by addition of 300 ⁇ g Zeocin/ml medium.
- Confluent cell cultures were lysed in cold lysis buffer (10 mM Tris-HCI, pH 7.5; 100 mM NaCI; 10 mM EDTA; 0.5 % Triton X-100; 0.5 % DOC) (EDTA: ethylene diamine tetraacetate; Triton X-100: t-octylphenoxypolyethoxyethanol; DOC: deoxycholic acid).
- Postnuclear lysates were split between those with and without proteinase K digestion.
- Samples without proteinase K digestion were supplemented with proteinase inhibitors (5 mM PMSF, 0.5 mM Pefabloc, and aprotinin) (PMSF: phenylmethylsulfonyl fluoride) and directly precipitated with ethanol.
- PMSF proteinase inhibitors
- Samples for proteinase K digestion were incubated with 20 ⁇ g/ml proteinase K for 30 min at 37°C; digestion was stopped with proteinase inhibitors, and samples were ethanol precipitated. After centrifuging for 30 min at 3,500 rpm the pellets were redissolved in TNE buffer (10 mM Tris-HCI pH7.5, 100 mM NaCI, 1mM EDTA) and gel loading buffer was then added.
- TNE buffer 10 mM Tris-HCI pH7.5, 100 mM NaCI, 1mM EDTA
- TSE transmissible spongiform encephalitis
- BSE Bovine spongiform encephalitis
- vCJK Creutzfeld Jakob disease
Landscapes
- Health & Medical Sciences (AREA)
- Organic Chemistry (AREA)
- Chemical & Material Sciences (AREA)
- Life Sciences & Earth Sciences (AREA)
- Chemical Kinetics & Catalysis (AREA)
- General Chemical & Material Sciences (AREA)
- Medicinal Chemistry (AREA)
- Nuclear Medicine, Radiotherapy & Molecular Imaging (AREA)
- Pharmacology & Pharmacy (AREA)
- Animal Behavior & Ethology (AREA)
- General Health & Medical Sciences (AREA)
- Public Health (AREA)
- Veterinary Medicine (AREA)
- Bioinformatics & Cheminformatics (AREA)
- Engineering & Computer Science (AREA)
- Immunology (AREA)
- Neurosurgery (AREA)
- Biomedical Technology (AREA)
- Neurology (AREA)
- Pulmonology (AREA)
- Diabetes (AREA)
- Communicable Diseases (AREA)
- Heart & Thoracic Surgery (AREA)
- Cardiology (AREA)
- Oncology (AREA)
- Virology (AREA)
- Hematology (AREA)
- Urology & Nephrology (AREA)
- Endocrinology (AREA)
- Vascular Medicine (AREA)
- Rheumatology (AREA)
- Psychology (AREA)
- Obesity (AREA)
- Hospice & Palliative Care (AREA)
- Psychiatry (AREA)
- Ophthalmology & Optometry (AREA)
- AIDS & HIV (AREA)
- Tropical Medicine & Parasitology (AREA)
- Molecular Biology (AREA)
- Emergency Medicine (AREA)
Abstract
Description
Claims
Priority Applications (4)
| Application Number | Priority Date | Filing Date | Title |
|---|---|---|---|
| EP05785583A EP1786781A2 (en) | 2004-08-27 | 2005-08-29 | Pyrimidine derivatives |
| US11/661,041 US20080187575A1 (en) | 2004-08-27 | 2005-08-29 | Pyrimidine Derivatives |
| CA002578122A CA2578122A1 (en) | 2004-08-27 | 2005-08-29 | Pyrimidine derivatives |
| JP2007528759A JP2008510766A (en) | 2004-08-27 | 2005-08-29 | Pyrimidine derivatives |
Applications Claiming Priority (2)
| Application Number | Priority Date | Filing Date | Title |
|---|---|---|---|
| US60468504P | 2004-08-27 | 2004-08-27 | |
| US60/604,685 | 2004-08-27 |
Publications (2)
| Publication Number | Publication Date |
|---|---|
| WO2006021458A2 true WO2006021458A2 (en) | 2006-03-02 |
| WO2006021458A3 WO2006021458A3 (en) | 2007-04-12 |
Family
ID=35967901
Family Applications (1)
| Application Number | Title | Priority Date | Filing Date |
|---|---|---|---|
| PCT/EP2005/009291 Ceased WO2006021458A2 (en) | 2004-08-27 | 2005-08-29 | Pyrimidine derivatives |
Country Status (5)
| Country | Link |
|---|---|
| US (1) | US20080187575A1 (en) |
| EP (1) | EP1786781A2 (en) |
| JP (1) | JP2008510766A (en) |
| CA (1) | CA2578122A1 (en) |
| WO (1) | WO2006021458A2 (en) |
Cited By (38)
| Publication number | Priority date | Publication date | Assignee | Title |
|---|---|---|---|---|
| WO2006071130A3 (en) * | 2004-12-30 | 2006-09-28 | Inst Farmaceutyczny | A process for preparation of imatinib base |
| WO2007060028A1 (en) * | 2004-12-31 | 2007-05-31 | Gpc Biotech Ag | Napthyridine compounds as rock inhibitors |
| WO2007089768A3 (en) * | 2006-01-30 | 2007-09-20 | Exelixis Inc | 4-aryl-2-amino-pyrimidines or 4-aryl-2-aminoalkyl-pyrimidines as jak-2 modulators and pharmaceutical compositions containing them |
| WO2008057402A3 (en) * | 2006-11-02 | 2008-10-02 | Cytovia Inc | N-aryl-isoxazolopyrimidin-4-amines and related compounds as activators of caspases and inducers of apoptosis and the use thereof |
| WO2009036753A3 (en) * | 2007-09-20 | 2009-05-07 | Schebo Biotech Ag | Novel pharmaceuticals, method for the production thereof and use thereof in medical therapy |
| JP2010502726A (en) * | 2006-09-05 | 2010-01-28 | エモリー・ユニバーシティ | Tyrosine kinase inhibitors for the prevention or treatment of infection |
| WO2009118567A3 (en) * | 2008-03-26 | 2010-03-11 | The University Of Nottingham | Pyrimidines, triazines and their use as kinase inhibitors |
| JP2010514689A (en) * | 2006-12-22 | 2010-05-06 | ノバルティス アーゲー | Heteroaryl-heteroaryl compounds as CDK inhibitors for the treatment of cancer, inflammation and viral infections |
| JP2010529132A (en) * | 2007-06-07 | 2010-08-26 | イントラ−セルラー・セラピーズ・インコーポレイテッド | Novel heterocyclic compounds and uses thereof |
| JP2010529131A (en) * | 2007-06-07 | 2010-08-26 | イントラ−セルラー・セラピーズ・インコーポレイテッド | Novel heterocyclic compounds and uses thereof |
| JP2010538076A (en) * | 2007-09-04 | 2010-12-09 | ザ スクリプス リサーチ インスティチュート | Substituted pyrimidinyl-amines as protein kinase inhibitors |
| WO2011008788A1 (en) * | 2009-07-14 | 2011-01-20 | Dawei Zhang | Fluoro-substituted compounds as kinase inhibitors and methods of use thereof |
| WO2011095835A1 (en) * | 2010-02-02 | 2011-08-11 | Actavis Group Ptc Ehf | Highly pure imatinib or a pharmaceutically acceptable salt thereof |
| WO2012101013A1 (en) | 2011-01-28 | 2012-08-02 | Boehringer Ingelheim International Gmbh | Substituted pyridinyl-pyrimidines and their use as medicaments |
| US8242271B2 (en) | 2007-06-04 | 2012-08-14 | Avila Therapeutics, Inc. | Heterocyclic compounds and uses thereof |
| US8309566B2 (en) | 2008-02-15 | 2012-11-13 | Rigel Pharmaceuticals, Inc. | Pyrimidine-2-amine compounds and their use as inhibitors of JAK kinases |
| US8414918B2 (en) | 2007-09-25 | 2013-04-09 | Teva Pharmaceutical Industries Ltd. | Stable imatinib compositions |
| US8697715B2 (en) | 2012-03-01 | 2014-04-15 | Array Biopharma, Inc. | Serine/threonine kinase inhibitors |
| WO2014206563A3 (en) * | 2013-06-26 | 2015-03-19 | Xigen Inflammation Ltd. | New use of cell-permeable peptide inhibitors of the jnk signal transduction pathway for the treatment of various diseases |
| CN104860941A (en) * | 2014-02-25 | 2015-08-26 | 上海海雁医药科技有限公司 | 2,4-disubstituted phenyl-1,5-diamine derivatives and use thereof, and pharmaceutical composition and medicinal composition prepared from 2,4-disubstituted phenyl-1,5-diamine derivative |
| US9133187B2 (en) | 2011-02-28 | 2015-09-15 | Array Biopharma Inc. | Serine/threonine kinase inhibitors |
| US9150618B2 (en) | 2010-10-14 | 2015-10-06 | Xigen Inflammation Ltd. | Use of cell-permeable peptide inhibitors of the JNK signal transduction pathway for the treatment of chronic or non-chronic inflammatory eye diseases |
| US9180159B2 (en) | 2008-05-30 | 2015-11-10 | Xigen Inflammation Ltd. | Use of cell-permeable peptide inhibitors of the JNK signal transduction pathway for the treatment of chronic or non-chronic inflammatory digestive diseases |
| US9187462B2 (en) | 2011-08-04 | 2015-11-17 | Array Biopharma Inc. | Substituted quinazolines as serine/threonine kinase inhibitors |
| US9290538B2 (en) | 2005-09-12 | 2016-03-22 | Xigen Inflammation Ltd. | Cell-permeable peptide inhibitors of the JNK signal transduction pathway |
| US9388171B2 (en) | 2012-08-27 | 2016-07-12 | Genetech, Inc. | Serine/threonine kinase inhibitors |
| US9433622B2 (en) | 2013-02-21 | 2016-09-06 | Case Western Reserve University | Pyrimidine compounds useful in the treatment of diseases mediated by IKKE and/or TBK1 mechanisms |
| US9610330B2 (en) | 2008-05-30 | 2017-04-04 | Xigen Inflammation Ltd. | Use of cell-permeable peptide inhibitors of the JNK signal transduction pathway for the treatment of various diseases |
| US9624267B2 (en) | 2010-06-21 | 2017-04-18 | Xigen Inflammation Ltd. | JNK inhibitor molecules |
| CN107531685A (en) * | 2015-02-05 | 2018-01-02 | Ab科学有限公司 | Compound with antitumor activity |
| US10023615B2 (en) | 2008-12-22 | 2018-07-17 | Xigen Inflammation Ltd. | Efficient transport into white blood cells |
| CN109305961A (en) * | 2018-11-20 | 2019-02-05 | 淄博职业学院 | Imaamine derivative with pharmaceutical activity and preparation method thereof |
| CN109438365A (en) * | 2018-12-06 | 2019-03-08 | 华南师范大学 | N- (3- ((4- trifluoromethyl) -2- pyrimidine radicals) aminophenyl) -2,6- difluorobenzenesulfonamide derivative |
| US10596223B2 (en) | 2011-12-21 | 2020-03-24 | Xigen Inflammation Ltd. | JNK inhibitor molecules for treatment of various diseases |
| US11058686B2 (en) | 2017-02-23 | 2021-07-13 | Domainex Limited | 5-(pyrimidin-4-yl)-2-(pyrrolidin-1-yl)nicotinonitrile compounds as IKKE, TBK1 and/or SIK2 kinases inhibitors |
| US11331364B2 (en) | 2014-06-26 | 2022-05-17 | Xigen Inflammation Ltd. | Use for JNK inhibitor molecules for treatment of various diseases |
| WO2023150197A1 (en) * | 2022-02-03 | 2023-08-10 | Nexys Therapeutics, Inc. | Aryl hydrocarbon receptor agonists and uses thereof |
| US11779628B2 (en) | 2013-06-26 | 2023-10-10 | Xigen Inflammation Ltd. | Use of cell-permeable peptide inhibitors of the JNK signal transduction pathway for the treatment of various diseases |
Families Citing this family (14)
| Publication number | Priority date | Publication date | Assignee | Title |
|---|---|---|---|---|
| CA2732806A1 (en) * | 2008-08-04 | 2010-02-11 | John Wityak | Certain kynurenine-3-monooxygenase inhibitors, pharmaceutical compositions, and methods of use thereof |
| PH12012501480A1 (en) | 2010-01-25 | 2012-10-22 | Chdi Foundation Inc | Certain kynurenine-3-monooxygenase inhibitors, pharmaceutical compositions, and methods of use thereof |
| US8628554B2 (en) | 2010-06-13 | 2014-01-14 | Virender K. Sharma | Intragastric device for treating obesity |
| US10010439B2 (en) | 2010-06-13 | 2018-07-03 | Synerz Medical, Inc. | Intragastric device for treating obesity |
| US9526648B2 (en) | 2010-06-13 | 2016-12-27 | Synerz Medical, Inc. | Intragastric device for treating obesity |
| US10420665B2 (en) | 2010-06-13 | 2019-09-24 | W. L. Gore & Associates, Inc. | Intragastric device for treating obesity |
| JP2014500303A (en) * | 2010-12-22 | 2014-01-09 | パーデュー、ファーマ、リミテッド、パートナーシップ | Substituted pyridines as sodium channel blockers |
| SI2750677T1 (en) | 2011-08-30 | 2017-10-30 | Chdi Foundation, Inc. | Kynurenine-3-monooxygenase inhibitors, pharmaceutical compositions, and methods of use thereof |
| WO2013033068A1 (en) | 2011-08-30 | 2013-03-07 | Stephen Martin Courtney | Kynurenine-3-monooxygenase inhibitors, pharmaceutical compositions, and methods of use thereof |
| MX2015007205A (en) | 2012-12-06 | 2016-03-31 | Quanticel Pharmaceuticals Inc | Histone demethylase inhibitors. |
| US10258621B2 (en) | 2014-07-17 | 2019-04-16 | Chdi Foundation, Inc. | Methods and compositions for treating HIV-related disorders |
| US10779980B2 (en) | 2016-04-27 | 2020-09-22 | Synerz Medical, Inc. | Intragastric device for treating obesity |
| AR108665A1 (en) * | 2016-06-02 | 2018-09-12 | Celgene Corp | AMINOPURINE DERIVATIVES AS ANTI-TRIPANOSOMIC AND ANTI-LEISHMANIA AGENTS |
| CN113230239B (en) * | 2021-01-29 | 2023-08-29 | 江西亿森傲游医药科技有限公司 | Application of learning and memory capacity medicine for treating Alzheimer's disease |
Family Cites Families (6)
| Publication number | Priority date | Publication date | Assignee | Title |
|---|---|---|---|---|
| TW225528B (en) * | 1992-04-03 | 1994-06-21 | Ciba Geigy Ag | |
| ATE325113T1 (en) * | 1993-10-01 | 2006-06-15 | Novartis Pharma Gmbh | PHARMACOLOGICALLY ACTIVE PYRIMIDINE DERIVATIVES AND METHOD FOR THE PRODUCTION THEREOF |
| JP2983636B2 (en) * | 1993-10-01 | 1999-11-29 | ノバルティス アクチェンゲゼルシャフト | Pharmacologically active pyridine derivative and method for producing the same |
| GB0108606D0 (en) * | 2001-04-05 | 2001-05-23 | Novartis Ag | Organic compounds |
| AU2002342878A1 (en) * | 2001-05-16 | 2002-11-25 | Axxima Pharmaceuticals Ag | Pyridylpyrimidine derivatives as effective compounds against prion diseases |
| WO2004099186A1 (en) * | 2003-05-06 | 2004-11-18 | Il Yang Pharm Co., Ltd. | N-phenyl-2-pyrimidine-amine derivatives and process for the preparation thereof |
-
2005
- 2005-08-29 JP JP2007528759A patent/JP2008510766A/en active Pending
- 2005-08-29 WO PCT/EP2005/009291 patent/WO2006021458A2/en not_active Ceased
- 2005-08-29 CA CA002578122A patent/CA2578122A1/en not_active Abandoned
- 2005-08-29 US US11/661,041 patent/US20080187575A1/en not_active Abandoned
- 2005-08-29 EP EP05785583A patent/EP1786781A2/en not_active Withdrawn
Cited By (70)
| Publication number | Priority date | Publication date | Assignee | Title |
|---|---|---|---|---|
| WO2006071130A3 (en) * | 2004-12-30 | 2006-09-28 | Inst Farmaceutyczny | A process for preparation of imatinib base |
| WO2007060028A1 (en) * | 2004-12-31 | 2007-05-31 | Gpc Biotech Ag | Napthyridine compounds as rock inhibitors |
| US9290538B2 (en) | 2005-09-12 | 2016-03-22 | Xigen Inflammation Ltd. | Cell-permeable peptide inhibitors of the JNK signal transduction pathway |
| US8440663B2 (en) | 2006-01-30 | 2013-05-14 | Exelixis, Inc. | 4-aryl-2-amino-pyrimidines or 4-aryl-2-aminoalkyl-pyrimidines as JAK-2 modulators and methods of use |
| WO2007089768A3 (en) * | 2006-01-30 | 2007-09-20 | Exelixis Inc | 4-aryl-2-amino-pyrimidines or 4-aryl-2-aminoalkyl-pyrimidines as jak-2 modulators and pharmaceutical compositions containing them |
| JP2010502726A (en) * | 2006-09-05 | 2010-01-28 | エモリー・ユニバーシティ | Tyrosine kinase inhibitors for the prevention or treatment of infection |
| EP2364702A3 (en) * | 2006-09-05 | 2012-01-25 | Emory University | Kinase inhibitors for preventing or treating pathogen infection and method of use thereof |
| US8268809B2 (en) | 2006-09-05 | 2012-09-18 | Emory University | Kinase inhibitors for preventing or treating pathogen infection and method of use thereof |
| WO2008057402A3 (en) * | 2006-11-02 | 2008-10-02 | Cytovia Inc | N-aryl-isoxazolopyrimidin-4-amines and related compounds as activators of caspases and inducers of apoptosis and the use thereof |
| JP2010514689A (en) * | 2006-12-22 | 2010-05-06 | ノバルティス アーゲー | Heteroaryl-heteroaryl compounds as CDK inhibitors for the treatment of cancer, inflammation and viral infections |
| US9067929B2 (en) | 2007-06-04 | 2015-06-30 | Celgene Avilomics Research, Inc. | Heterocyclic compounds and uses thereof |
| US8586600B2 (en) | 2007-06-04 | 2013-11-19 | Celgene Avilomics Research, Inc. | Heterocyclic compounds and uses thereof |
| US8242271B2 (en) | 2007-06-04 | 2012-08-14 | Avila Therapeutics, Inc. | Heterocyclic compounds and uses thereof |
| JP2010529132A (en) * | 2007-06-07 | 2010-08-26 | イントラ−セルラー・セラピーズ・インコーポレイテッド | Novel heterocyclic compounds and uses thereof |
| US8367686B2 (en) | 2007-06-07 | 2013-02-05 | Intra-Cellular Therapies, Inc. | Heterocycle compounds and uses thereof |
| US9056837B2 (en) | 2007-06-07 | 2015-06-16 | Intra-Cellular Therapies, Inc. | Heterocycle compounds and uses thereof |
| EP2166858A4 (en) * | 2007-06-07 | 2011-08-03 | Intra Cellular Therapies Inc | NOVEL HETEROCYCLIC COMPOUNDS AND USES THEREOF |
| JP2015007075A (en) * | 2007-06-07 | 2015-01-15 | イントラ−セルラー・セラピーズ・インコーポレイテッドIntra−Cellular Therapies, Inc. | Novel heterocyclic compounds and uses thereof |
| JP2014193912A (en) * | 2007-06-07 | 2014-10-09 | Intra-Cellular Therapies Inc | Novel heterocycle compound and use thereof |
| US9062023B2 (en) | 2007-06-07 | 2015-06-23 | Intra-Cellular Therapies, Inc. | Heterocycle compounds and uses thereof |
| JP2010529131A (en) * | 2007-06-07 | 2010-08-26 | イントラ−セルラー・セラピーズ・インコーポレイテッド | Novel heterocyclic compounds and uses thereof |
| JP2010538076A (en) * | 2007-09-04 | 2010-12-09 | ザ スクリプス リサーチ インスティチュート | Substituted pyrimidinyl-amines as protein kinase inhibitors |
| JP2015007102A (en) * | 2007-09-04 | 2015-01-15 | ザ スクリプス リサーチ インスティテュート | Substituted pyrimidinyl-amines as protein kinase inhibitors |
| US9018205B2 (en) | 2007-09-04 | 2015-04-28 | The Scripps Research Institute | Substituted pyrimidinyl-amines as protein kinase inhibitors |
| US8530480B2 (en) | 2007-09-04 | 2013-09-10 | The Scripps Research Institute | Substituted pyrimidinyl-amines as protein kinase inhibitors |
| EP2200436A4 (en) * | 2007-09-04 | 2011-12-28 | Scripps Research Inst | Substituted pyrimidinyl-amines as protein kinase inhibitors |
| WO2009036753A3 (en) * | 2007-09-20 | 2009-05-07 | Schebo Biotech Ag | Novel pharmaceuticals, method for the production thereof and use thereof in medical therapy |
| US8414918B2 (en) | 2007-09-25 | 2013-04-09 | Teva Pharmaceutical Industries Ltd. | Stable imatinib compositions |
| US8735418B2 (en) | 2008-02-15 | 2014-05-27 | Rigel Pharmaceuticals, Inc. | Pyrimidine-2-amine compounds and their use as inhibitors of JAK kinases |
| US8309566B2 (en) | 2008-02-15 | 2012-11-13 | Rigel Pharmaceuticals, Inc. | Pyrimidine-2-amine compounds and their use as inhibitors of JAK kinases |
| US9624229B2 (en) | 2008-02-15 | 2017-04-18 | Rigel Pharmaceuticals, Inc. | Pyrimidine-2-amine compounds and their use as inhibitors of JAK kinases |
| WO2009118567A3 (en) * | 2008-03-26 | 2010-03-11 | The University Of Nottingham | Pyrimidines, triazines and their use as kinase inhibitors |
| US9180159B2 (en) | 2008-05-30 | 2015-11-10 | Xigen Inflammation Ltd. | Use of cell-permeable peptide inhibitors of the JNK signal transduction pathway for the treatment of chronic or non-chronic inflammatory digestive diseases |
| US9610330B2 (en) | 2008-05-30 | 2017-04-04 | Xigen Inflammation Ltd. | Use of cell-permeable peptide inhibitors of the JNK signal transduction pathway for the treatment of various diseases |
| US10023615B2 (en) | 2008-12-22 | 2018-07-17 | Xigen Inflammation Ltd. | Efficient transport into white blood cells |
| CN102548987A (en) * | 2009-07-14 | 2012-07-04 | 江苏迈度药物研发有限公司 | Fluoro-substituted compounds as kinase inhibitors and methods of use thereof |
| WO2011008788A1 (en) * | 2009-07-14 | 2011-01-20 | Dawei Zhang | Fluoro-substituted compounds as kinase inhibitors and methods of use thereof |
| CN102548987B (en) * | 2009-07-14 | 2014-04-16 | 江苏迈度药物研发有限公司 | Fluoro-substituted compounds as kinase inhibitors and methods of use thereof |
| WO2011095835A1 (en) * | 2010-02-02 | 2011-08-11 | Actavis Group Ptc Ehf | Highly pure imatinib or a pharmaceutically acceptable salt thereof |
| US9624267B2 (en) | 2010-06-21 | 2017-04-18 | Xigen Inflammation Ltd. | JNK inhibitor molecules |
| US9150618B2 (en) | 2010-10-14 | 2015-10-06 | Xigen Inflammation Ltd. | Use of cell-permeable peptide inhibitors of the JNK signal transduction pathway for the treatment of chronic or non-chronic inflammatory eye diseases |
| WO2012101013A1 (en) | 2011-01-28 | 2012-08-02 | Boehringer Ingelheim International Gmbh | Substituted pyridinyl-pyrimidines and their use as medicaments |
| US9133187B2 (en) | 2011-02-28 | 2015-09-15 | Array Biopharma Inc. | Serine/threonine kinase inhibitors |
| US9187462B2 (en) | 2011-08-04 | 2015-11-17 | Array Biopharma Inc. | Substituted quinazolines as serine/threonine kinase inhibitors |
| US10596223B2 (en) | 2011-12-21 | 2020-03-24 | Xigen Inflammation Ltd. | JNK inhibitor molecules for treatment of various diseases |
| US9708290B2 (en) | 2012-03-01 | 2017-07-18 | Array Biopharma Inc. | Serine/threonine kinase inhibitors |
| US10519126B2 (en) | 2012-03-01 | 2019-12-31 | Array Biopharma Inc. | Serine/threonine kinase inhibitors |
| US8697715B2 (en) | 2012-03-01 | 2014-04-15 | Array Biopharma, Inc. | Serine/threonine kinase inhibitors |
| US9259470B2 (en) | 2012-03-01 | 2016-02-16 | Array Biopharma Inc. | Serine/threonine kinase inhibitors |
| US9388171B2 (en) | 2012-08-27 | 2016-07-12 | Genetech, Inc. | Serine/threonine kinase inhibitors |
| US9433622B2 (en) | 2013-02-21 | 2016-09-06 | Case Western Reserve University | Pyrimidine compounds useful in the treatment of diseases mediated by IKKE and/or TBK1 mechanisms |
| WO2014206563A3 (en) * | 2013-06-26 | 2015-03-19 | Xigen Inflammation Ltd. | New use of cell-permeable peptide inhibitors of the jnk signal transduction pathway for the treatment of various diseases |
| US11779628B2 (en) | 2013-06-26 | 2023-10-10 | Xigen Inflammation Ltd. | Use of cell-permeable peptide inhibitors of the JNK signal transduction pathway for the treatment of various diseases |
| US10624948B2 (en) | 2013-06-26 | 2020-04-21 | Xigen Inflammation Ltd. | Use of cell-permeable peptide inhibitors of the JNK signal transduction pathway for the treatment of various diseases |
| CN104860941A (en) * | 2014-02-25 | 2015-08-26 | 上海海雁医药科技有限公司 | 2,4-disubstituted phenyl-1,5-diamine derivatives and use thereof, and pharmaceutical composition and medicinal composition prepared from 2,4-disubstituted phenyl-1,5-diamine derivative |
| CN105934432B (en) * | 2014-02-25 | 2017-09-05 | 上海海雁医药科技有限公司 | The diamine derivative of 2,4 disubstituted benzenes 1,5 and its application and pharmaceutical composition prepared therefrom and Pharmaceutical composition |
| AU2015222584B2 (en) * | 2014-02-25 | 2017-05-25 | Shanghai Haiyan Pharmaceutical Technology Co., Ltd. | 2,4-disubstituted phenylene-1,5-diamine derivatives and applications thereof, and pharmaceutical compositions and pharmaceutically acceptable compositions prepared therefrom |
| RU2649001C1 (en) * | 2014-02-25 | 2018-03-29 | Шанхай Хайянь Фармасьютикал Текнолоджи Ко., Лтд. | Derivatives of 2,4-substituted phenylene-1,5-diamine and their uses, pharmaceutical compositions and pharmaceutically acceptable compositions obtained from them |
| WO2015127872A1 (en) * | 2014-02-25 | 2015-09-03 | 上海海雁医药科技有限公司 | 2,4-disubstituted phenylene-1,5-diamine derivatives and applications thereof, and pharmaceutical compositions and pharmaceutically acceptable compositions prepared therefrom |
| US10435400B2 (en) | 2014-02-25 | 2019-10-08 | Shanghai Haiyan Pharmaceutical Technology Co. Ltd. | 2,4-disubstituted phenylene-1,5-diamine derivatives and applications thereof, and pharmaceutical compositions and pharmaceutically acceptable compositions prepared therefrom |
| CN105934432A (en) * | 2014-02-25 | 2016-09-07 | 上海海雁医药科技有限公司 | 2,4-disubstituted phenylene-1,5-diamine derivatives and applications thereof, and pharmaceutical compositions and pharmaceutically acceptable compositions prepared therefrom |
| US11331364B2 (en) | 2014-06-26 | 2022-05-17 | Xigen Inflammation Ltd. | Use for JNK inhibitor molecules for treatment of various diseases |
| US10570122B2 (en) | 2015-02-05 | 2020-02-25 | Ab Science | Compounds with anti-tumoral activity |
| EP3253749B1 (en) * | 2015-02-05 | 2021-12-08 | AB Science | Compounds with anti-tumoral activity |
| CN107531685A (en) * | 2015-02-05 | 2018-01-02 | Ab科学有限公司 | Compound with antitumor activity |
| US11058686B2 (en) | 2017-02-23 | 2021-07-13 | Domainex Limited | 5-(pyrimidin-4-yl)-2-(pyrrolidin-1-yl)nicotinonitrile compounds as IKKE, TBK1 and/or SIK2 kinases inhibitors |
| CN109305961A (en) * | 2018-11-20 | 2019-02-05 | 淄博职业学院 | Imaamine derivative with pharmaceutical activity and preparation method thereof |
| CN109438365B (en) * | 2018-12-06 | 2022-04-05 | 华南师范大学 | N- (3- ((4-trifluoromethyl) -2-pyrimidinyl) aminophenyl) -2, 6-difluorobenzenesulfonamide derivative |
| CN109438365A (en) * | 2018-12-06 | 2019-03-08 | 华南师范大学 | N- (3- ((4- trifluoromethyl) -2- pyrimidine radicals) aminophenyl) -2,6- difluorobenzenesulfonamide derivative |
| WO2023150197A1 (en) * | 2022-02-03 | 2023-08-10 | Nexys Therapeutics, Inc. | Aryl hydrocarbon receptor agonists and uses thereof |
Also Published As
| Publication number | Publication date |
|---|---|
| CA2578122A1 (en) | 2006-03-02 |
| JP2008510766A (en) | 2008-04-10 |
| WO2006021458A3 (en) | 2007-04-12 |
| US20080187575A1 (en) | 2008-08-07 |
| EP1786781A2 (en) | 2007-05-23 |
Similar Documents
| Publication | Publication Date | Title |
|---|---|---|
| EP1786781A2 (en) | Pyrimidine derivatives | |
| AU2002220195B2 (en) | Anilinopyrimidine derivatives as IKK inhibitors and compositions and methods related thereto | |
| US8268822B2 (en) | 2-(amino-substituted)-4-aryl pyrimidines and related compounds useful for treating inflammatory diseases | |
| CN1328277C (en) | Substituted pyrimidinone and pyridinone compounds and their use | |
| US8198308B2 (en) | Chemical compounds | |
| US7241769B2 (en) | Pyrimidines as PLK inhibitors | |
| CA2582029C (en) | Aryl nitrogen-containing bicyclic compounds and methods of use | |
| US8623887B2 (en) | Compounds | |
| US9067888B2 (en) | Inhibitors of protein kinases | |
| EA026917B1 (en) | Pharmaceutically active disubstituted triazine derivatives | |
| US20060089371A1 (en) | Phenyl or heteroaryl amino alkane derivatives as ip receptor antagonist | |
| WO2005058876A1 (en) | Pyrazine derivatives as effective compounds against infectious diseases | |
| BR112014021189B1 (en) | COMPOUND, ITS USE FOR THE PREPARATION OF A PHARMACEUTICAL COMPOSITION, AND PHARMACEUTICAL COMPOSITION CONTAINING THE SAME | |
| US20070004684A1 (en) | Alpha-Carbolines as CDK-1 inhibitors | |
| KR101947152B1 (en) | Novel benzenesulfonamide derivatives and uses thereof | |
| AU2006335967B2 (en) | Novel heterocycles | |
| JP2009520811A (en) | Aminopyrimidine derivatives that inhibit protein kinase activity, methods for producing the same, and pharmaceutical compositions containing the same as active ingredients | |
| CN100402521C (en) | 4-Imidazolin-2-one compound | |
| AU2009208712B2 (en) | Novel heterocycles | |
| BG108531A (en) | Novel heteroaryl derivatives, their preparation and use | |
| CZ9902015A3 (en) | Substituted pyrimidine compounds and their use | |
| CZ2004155A3 (en) | The title is not available | |
| KR20250048269A (en) | Difluoro- and trifluoro-acetyl hydrazides as selective HDAC6 inhibitors | |
| HK1138280A (en) | 2-(amino-substituted)-4-phenyl pyrimidines useful for treating inflammatory diseases | |
| HK1119080A1 (en) | 2,3 substituted pyrazine sulfonamides as inhibitors of crth2 |
Legal Events
| Date | Code | Title | Description |
|---|---|---|---|
| AK | Designated states |
Kind code of ref document: A2 Designated state(s): AE AG AL AM AT AU AZ BA BB BG BR BW BY BZ CA CH CN CO CR CU CZ DE DK DM DZ EC EE EG ES FI GB GD GE GH GM HR HU ID IL IN IS JP KE KG KM KP KR KZ LC LK LR LS LT LU LV MA MD MG MK MN MW MX MZ NA NG NI NO NZ OM PG PH PL PT RO RU SC SD SE SG SK SL SM SY TJ TM TN TR TT TZ UA UG US UZ VC VN YU ZA ZM ZW |
|
| AL | Designated countries for regional patents |
Kind code of ref document: A2 Designated state(s): GM KE LS MW MZ NA SD SL SZ TZ UG ZM ZW AM AZ BY KG KZ MD RU TJ TM AT BE BG CH CY CZ DE DK EE ES FI FR GB GR HU IE IS IT LT LU LV MC NL PL PT RO SE SI SK TR BF BJ CF CG CI CM GA GN GQ GW ML MR NE SN TD TG |
|
| WWE | Wipo information: entry into national phase |
Ref document number: 2578122 Country of ref document: CA Ref document number: 2007528759 Country of ref document: JP |
|
| NENP | Non-entry into the national phase |
Ref country code: DE |
|
| WWE | Wipo information: entry into national phase |
Ref document number: 2005785583 Country of ref document: EP |
|
| WWP | Wipo information: published in national office |
Ref document number: 2005785583 Country of ref document: EP |
|
| WWE | Wipo information: entry into national phase |
Ref document number: 11661041 Country of ref document: US |

































































































