WO2005113003A2 - Method for augmenting b cell depletion - Google Patents
Method for augmenting b cell depletion Download PDFInfo
- Publication number
- WO2005113003A2 WO2005113003A2 PCT/US2005/012984 US2005012984W WO2005113003A2 WO 2005113003 A2 WO2005113003 A2 WO 2005113003A2 US 2005012984 W US2005012984 W US 2005012984W WO 2005113003 A2 WO2005113003 A2 WO 2005113003A2
- Authority
- WO
- WIPO (PCT)
- Prior art keywords
- antibody
- cell
- lower alkyl
- antagonist
- cells
- Prior art date
- Legal status (The legal status is an assumption and is not a legal conclusion. Google has not performed a legal analysis and makes no representation as to the accuracy of the status listed.)
- Ceased
Links
- 0 CC(c(c(*)c(*)c(*)c1*)c1I)=O Chemical compound CC(c(c(*)c(*)c(*)c1*)c1I)=O 0.000 description 1
Classifications
-
- C—CHEMISTRY; METALLURGY
- C07—ORGANIC CHEMISTRY
- C07K—PEPTIDES
- C07K16/00—Immunoglobulins [IGs], e.g. monoclonal or polyclonal antibodies
- C07K16/18—Immunoglobulins [IGs], e.g. monoclonal or polyclonal antibodies against material from animals or humans
- C07K16/28—Immunoglobulins [IGs], e.g. monoclonal or polyclonal antibodies against material from animals or humans against receptors, cell surface antigens or cell surface determinants
- C07K16/2896—Immunoglobulins [IGs], e.g. monoclonal or polyclonal antibodies against material from animals or humans against receptors, cell surface antigens or cell surface determinants against molecules with a "CD"-designation, not provided for elsewhere
-
- A—HUMAN NECESSITIES
- A61—MEDICAL OR VETERINARY SCIENCE; HYGIENE
- A61K—PREPARATIONS FOR MEDICAL, DENTAL OR TOILETRY PURPOSES
- A61K39/00—Medicinal preparations containing antigens or antibodies
- A61K39/395—Antibodies; Immunoglobulins; Immune serum, e.g. antilymphocytic serum
-
- A—HUMAN NECESSITIES
- A61—MEDICAL OR VETERINARY SCIENCE; HYGIENE
- A61K—PREPARATIONS FOR MEDICAL, DENTAL OR TOILETRY PURPOSES
- A61K31/00—Medicinal preparations containing organic active ingredients
-
- A—HUMAN NECESSITIES
- A61—MEDICAL OR VETERINARY SCIENCE; HYGIENE
- A61K—PREPARATIONS FOR MEDICAL, DENTAL OR TOILETRY PURPOSES
- A61K39/00—Medicinal preparations containing antigens or antibodies
- A61K39/395—Antibodies; Immunoglobulins; Immune serum, e.g. antilymphocytic serum
- A61K39/39533—Antibodies; Immunoglobulins; Immune serum, e.g. antilymphocytic serum against materials from animals
- A61K39/39541—Antibodies; Immunoglobulins; Immune serum, e.g. antilymphocytic serum against materials from animals against normal tissues, cells
-
- A—HUMAN NECESSITIES
- A61—MEDICAL OR VETERINARY SCIENCE; HYGIENE
- A61K—PREPARATIONS FOR MEDICAL, DENTAL OR TOILETRY PURPOSES
- A61K45/00—Medicinal preparations containing active ingredients not provided for in groups A61K31/00 - A61K41/00
-
- A—HUMAN NECESSITIES
- A61—MEDICAL OR VETERINARY SCIENCE; HYGIENE
- A61K—PREPARATIONS FOR MEDICAL, DENTAL OR TOILETRY PURPOSES
- A61K45/00—Medicinal preparations containing active ingredients not provided for in groups A61K31/00 - A61K41/00
- A61K45/06—Mixtures of active ingredients without chemical characterisation, e.g. antiphlogistics and cardiaca
-
- A—HUMAN NECESSITIES
- A61—MEDICAL OR VETERINARY SCIENCE; HYGIENE
- A61P—SPECIFIC THERAPEUTIC ACTIVITY OF CHEMICAL COMPOUNDS OR MEDICINAL PREPARATIONS
- A61P1/00—Drugs for disorders of the alimentary tract or the digestive system
- A61P1/04—Drugs for disorders of the alimentary tract or the digestive system for ulcers, gastritis or reflux esophagitis, e.g. antacids, inhibitors of acid secretion, mucosal protectants
-
- A—HUMAN NECESSITIES
- A61—MEDICAL OR VETERINARY SCIENCE; HYGIENE
- A61P—SPECIFIC THERAPEUTIC ACTIVITY OF CHEMICAL COMPOUNDS OR MEDICINAL PREPARATIONS
- A61P13/00—Drugs for disorders of the urinary system
- A61P13/12—Drugs for disorders of the urinary system of the kidneys
-
- A—HUMAN NECESSITIES
- A61—MEDICAL OR VETERINARY SCIENCE; HYGIENE
- A61P—SPECIFIC THERAPEUTIC ACTIVITY OF CHEMICAL COMPOUNDS OR MEDICINAL PREPARATIONS
- A61P17/00—Drugs for dermatological disorders
- A61P17/06—Antipsoriatics
-
- A—HUMAN NECESSITIES
- A61—MEDICAL OR VETERINARY SCIENCE; HYGIENE
- A61P—SPECIFIC THERAPEUTIC ACTIVITY OF CHEMICAL COMPOUNDS OR MEDICINAL PREPARATIONS
- A61P19/00—Drugs for skeletal disorders
- A61P19/02—Drugs for skeletal disorders for joint disorders, e.g. arthritis, arthrosis
-
- A—HUMAN NECESSITIES
- A61—MEDICAL OR VETERINARY SCIENCE; HYGIENE
- A61P—SPECIFIC THERAPEUTIC ACTIVITY OF CHEMICAL COMPOUNDS OR MEDICINAL PREPARATIONS
- A61P21/00—Drugs for disorders of the muscular or neuromuscular system
- A61P21/04—Drugs for disorders of the muscular or neuromuscular system for myasthenia gravis
-
- A—HUMAN NECESSITIES
- A61—MEDICAL OR VETERINARY SCIENCE; HYGIENE
- A61P—SPECIFIC THERAPEUTIC ACTIVITY OF CHEMICAL COMPOUNDS OR MEDICINAL PREPARATIONS
- A61P25/00—Drugs for disorders of the nervous system
-
- A—HUMAN NECESSITIES
- A61—MEDICAL OR VETERINARY SCIENCE; HYGIENE
- A61P—SPECIFIC THERAPEUTIC ACTIVITY OF CHEMICAL COMPOUNDS OR MEDICINAL PREPARATIONS
- A61P25/00—Drugs for disorders of the nervous system
- A61P25/02—Drugs for disorders of the nervous system for peripheral neuropathies
-
- A—HUMAN NECESSITIES
- A61—MEDICAL OR VETERINARY SCIENCE; HYGIENE
- A61P—SPECIFIC THERAPEUTIC ACTIVITY OF CHEMICAL COMPOUNDS OR MEDICINAL PREPARATIONS
- A61P29/00—Non-central analgesic, antipyretic or antiinflammatory agents, e.g. antirheumatic agents; Non-steroidal antiinflammatory drugs [NSAID]
-
- A—HUMAN NECESSITIES
- A61—MEDICAL OR VETERINARY SCIENCE; HYGIENE
- A61P—SPECIFIC THERAPEUTIC ACTIVITY OF CHEMICAL COMPOUNDS OR MEDICINAL PREPARATIONS
- A61P3/00—Drugs for disorders of the metabolism
- A61P3/08—Drugs for disorders of the metabolism for glucose homeostasis
- A61P3/10—Drugs for disorders of the metabolism for glucose homeostasis for hyperglycaemia, e.g. antidiabetics
-
- A—HUMAN NECESSITIES
- A61—MEDICAL OR VETERINARY SCIENCE; HYGIENE
- A61P—SPECIFIC THERAPEUTIC ACTIVITY OF CHEMICAL COMPOUNDS OR MEDICINAL PREPARATIONS
- A61P35/00—Antineoplastic agents
-
- A—HUMAN NECESSITIES
- A61—MEDICAL OR VETERINARY SCIENCE; HYGIENE
- A61P—SPECIFIC THERAPEUTIC ACTIVITY OF CHEMICAL COMPOUNDS OR MEDICINAL PREPARATIONS
- A61P35/00—Antineoplastic agents
- A61P35/02—Antineoplastic agents specific for leukemia
-
- A—HUMAN NECESSITIES
- A61—MEDICAL OR VETERINARY SCIENCE; HYGIENE
- A61P—SPECIFIC THERAPEUTIC ACTIVITY OF CHEMICAL COMPOUNDS OR MEDICINAL PREPARATIONS
- A61P37/00—Drugs for immunological or allergic disorders
-
- A—HUMAN NECESSITIES
- A61—MEDICAL OR VETERINARY SCIENCE; HYGIENE
- A61P—SPECIFIC THERAPEUTIC ACTIVITY OF CHEMICAL COMPOUNDS OR MEDICINAL PREPARATIONS
- A61P37/00—Drugs for immunological or allergic disorders
- A61P37/02—Immunomodulators
-
- A—HUMAN NECESSITIES
- A61—MEDICAL OR VETERINARY SCIENCE; HYGIENE
- A61P—SPECIFIC THERAPEUTIC ACTIVITY OF CHEMICAL COMPOUNDS OR MEDICINAL PREPARATIONS
- A61P43/00—Drugs for specific purposes, not provided for in groups A61P1/00-A61P41/00
-
- A—HUMAN NECESSITIES
- A61—MEDICAL OR VETERINARY SCIENCE; HYGIENE
- A61P—SPECIFIC THERAPEUTIC ACTIVITY OF CHEMICAL COMPOUNDS OR MEDICINAL PREPARATIONS
- A61P7/00—Drugs for disorders of the blood or the extracellular fluid
-
- A—HUMAN NECESSITIES
- A61—MEDICAL OR VETERINARY SCIENCE; HYGIENE
- A61P—SPECIFIC THERAPEUTIC ACTIVITY OF CHEMICAL COMPOUNDS OR MEDICINAL PREPARATIONS
- A61P9/00—Drugs for disorders of the cardiovascular system
-
- A—HUMAN NECESSITIES
- A61—MEDICAL OR VETERINARY SCIENCE; HYGIENE
- A61P—SPECIFIC THERAPEUTIC ACTIVITY OF CHEMICAL COMPOUNDS OR MEDICINAL PREPARATIONS
- A61P9/00—Drugs for disorders of the cardiovascular system
- A61P9/08—Vasodilators for multiple indications
-
- A—HUMAN NECESSITIES
- A61—MEDICAL OR VETERINARY SCIENCE; HYGIENE
- A61K—PREPARATIONS FOR MEDICAL, DENTAL OR TOILETRY PURPOSES
- A61K39/00—Medicinal preparations containing antigens or antibodies
- A61K2039/505—Medicinal preparations containing antigens or antibodies comprising antibodies
-
- C—CHEMISTRY; METALLURGY
- C07—ORGANIC CHEMISTRY
- C07K—PEPTIDES
- C07K2317/00—Immunoglobulins specific features
- C07K2317/20—Immunoglobulins specific features characterized by taxonomic origin
- C07K2317/24—Immunoglobulins specific features characterized by taxonomic origin containing regions, domains or residues from different species, e.g. chimeric, humanized or veneered
Definitions
- the invention relates to methods of killing B cells.
- Lymphocytes are one of several populations of white blood cells; they specifically recognize and respond to foreign antigen.
- the three major classes of lymphocytes are B lymphocytes (B cells), T lymphocytes (T cells) and natural killer (NK) cells.
- B lymphocytes are the cells responsible for antibody production and provide humoral immunity.
- B cells mature within the bone marrow and leave the marrow expressing an antigen-binding antibody on their cell surface. When a naive B cell first encounters the antigen for which its membrane-bound antibody is specific, the cell begins to divide rapidly and its progeny differentiate into memory B cells and effector cells called "plasma cells." Memory B cells have a longer life span and continue to express membrane-bound antibody with the same specificity as the original parent cell.
- Plasma cells do not produce membrane-bound antibody but instead produce secreted form of the antibody.
- Secreted antibodies are the major effector molecules of humoral immunity.
- Antibody therapeutics directed against B cell targets that rely on the ability of passively infused antibodies to deplete antigen-bearing cells have been developed to treat B cell diseases.
- the CD20 antigen also called human B-lymphocyte-restricted differentiation antigen, Bp35
- Bp35 human B-lymphocyte-restricted differentiation antigen
- the antigen is also expressed on greater than 90% of B cell non-Hodgkin's lymphomas (NHL) (Anderson et al., 1984, Blood 63:1424-1433), but is not found on hematopoietic stem cells, pro-B cells, normal plasma cells or other normal tissues (Tedder et al., 1985, J. Immunol. 135:973-979).
- CD20 is thought to regulate an early step(s) in the activation process for cell cycle initiation and differentiation (Tedder et al., supra) and possibly functions as a calcium ion channel (Tedder et al., 1990, J. Cell. Biochem. 14D:195).
- Integrins are a family of heterodimeric, transmembrane, cell adhesion receptors that can mediate cell- cell and cell-extracellular matrix interactions (Humphries, et al., 1990, TIBS 28:313-320). Integrins comprise two unrelated, type I membrane glycoproteins, known as alpha and beta subunits that non-covalently associate with each other (Humphries, supra). All alpha and beta subunits have large extracellular domains (700-1100 residues), one transmembrane helix and small cytoplasmic domains (30-50 residues) per subunit (Humphries, 2000, supra).
- Mammals have at least nineteen different alpha subunits and eight beta subunits that assemble to form at least 25 different receptors (Humphries, 2000, Biochem. Soc. Trans. 28:311-339).
- Alpha subunits include alphaE, alphas 1-11, alphaV, alphallB, alphaL, alphaM, alphaX and alphaD (Arnaout et al., 2002, Immunological Reviews 186:125-140).
- Beta subunits include betas 1-8 (Arnaout, supra). The integrin subunits are expressed in different combinations and in different cell types.
- Alphal, alpha2, alphaE, alphaL, alphaM, alphaX, alphaD, and beta2 share a distal N-terminal extracellular domain called the "I domain” or "A domain,” so called because the domain has been inserted into the integrin or because of its homology to the A motif in von Willebrand factor (Harris et al., 2000, JBC 275:23409-23412).
- the I domain is approximately 200 residues and has been reported to be critical for ligand binding (Harris, supra).
- Alpha4 also known as CD49d or the alpha subunit of VLA-4, has been shown to associate with betal (CD29) and beta7 (Arnaout, supra; Barclay et al., Eds., 1997, The Leukocyte Antigen Facts Book, 2nd Ed, p.262-263). (See also the listed subunits and cited references disclosed on "the Integrin Page,” located at http://integrins. hypermart.net.) Alpha4betal integrins are also known as very late antigen-4 integrin (VLA-4) (Mousa, 2002, Cur. Opin. Chem. Biol. 6:534-541).
- VLA-4 integrin is expressed on most leukocytes, with the exception of neutrophils and platelets (Barclay, supra). It binds to ligands VCAM-I, fibronectin, thrombospondin, collagens, and invasin (Plow et al., 2000, JBC 275:21785-21788).
- the alpha4beta7 is also known as lymphocyte Peyer's patch adhesion molecule-1 (LPAM-I).
- Alpha4beta7 is expressed on most lymph node T and B cells, NK cells, and eosinophils (Barclay, supra), and binds to vascular cell adhesion molecule-1 (VCAM-I), mucocosal addressin cell adhesion molecule-1 (MAdCAM-I), and fibronectin (Plow, supra).
- VCAM-I vascular cell adhesion molecule-1
- MAdCAM-I mucocosal addressin cell adhesion molecule-1
- fibronectin fibronectin
- AlphaL also known as CDl Ia or the alpha subunit of the integrin leukocyte function-associated antigen-1 (LFA-I) has been shown to associate with beta2 (CD18) to form LFA-I (Arnaout, supra; Barclay, supra, p.156-157). (See also, "the Integrin Page” and references cited therein, supra) Unlike alpha4, alphaL contains an "I domain” (Harris, supra). The alphaLbeta2 (LFA-I) integrin is expressed on all leukocytes in humans. It binds to at least five ligands CD54 (ICAM-I), CD102 (ICAM-2), CD50 (ICAM-3), ICAM-4, and ICAM-5 (Plow, supra).
- IAM-I alphaLbeta2 integrin
- VCAM-I also called INCAM-110 or CD 106
- INCAM-110 CD 106
- VCAM-I is expressed predominantly on vascular endothelium but has also been identified on follicular and interfollicular dendritic cells, some macrophages, bone marrow stromal cells and non- vascular cell populations within joints, kidney, muscle, heart, placenta, and brain (The Leukocyte Antigen Facts Book, 2nd edition, eds., Barclay et al. Academic Press, Harcourt Brace & Company, San Diego, CA, 1977).
- MZ B cells express elevated levels of alphaLbeta2 (LFA-I) and alpha4betal (VLA-4) and they bind to the ligands ICAM-I (CD54) and VCAM-I (CD 106) that are expressed in the MZ.
- MZ is rich in IgM+ memory cells and cells that react with autoantigens and bacterial antigens. Mice treated with anti-alpha4 and anti-alphaL blocking antibodies were reported to have lost marginal zone B cells from the spleen and the blood (Lu, supra, p.410- 411).
- Rituximab (RituxanTM, Genentech, Inc, South San Francisco, CA and Biogen-IDEC, Cambridge, MA; Mabthera ® , F.Hoffman-LaRoche, Ltd., Basel, Switzerland) is a chimeric monoclonal antibody directed against the CD20 molecule.
- Rituximab is currently used for the treatment of patients with relapsed or refractory low-grade or follicular, CD20 positive, B cell non-Hodgkin's lymphoma. It is observed that in some patients treated with Rituximab, a small number of residual B cells are present in the blood. The mechanism of B cell depletion through anti-CD20 therapy is not completely clear.
- the present invention is based in part on the identification herein of in vivo mechanisms by which anti-hCD20 antibodies eliminate B cells. It was discovered surprisingly that certain B lymphocytes residing in tissues and organs, in particular those in the marginal zone (MZ) of the spleen, were resistant to killing with anti-human CD20 antibody, even though these cells expressed sufficient levels of CD20 on their surface and were found to be saturated with the administered anti-CD20 antibody. Interestingly, promoting the egress of these B cells from the tissues in which they are resident into the vascular system and/or prolonging their presence in circulation rendered them sensitive to killing by the anti-CD20 antibody. In view of this observation, one approach to improving intravascular access of these sequestered B cells is to mobilize them into the circulation with antagonists of integrins that tether these B cells to certain zones in the lymphoid tissues.
- the present invention provides a method of augmenting B cell depletion in a mammal suffering from a B cell disorder, comprising administering to the mammal, one or more B cell mobilizing agent such as an alphaL integrin antagonist and/or an alpha4 integrin antagonist, and a therapeutically effective amount of one or more B cell depleting agent such as an anti-CD20 antibody.
- B cell depletion can be augmented by administering a combination of alpha4 and alphaL integrin antagonists and a B cell depleting agent.
- the mammal or patient is a human.
- the invention also provides a method of enhancing the efficacy of B cell depletion by a depletion agent such as a CD20 binding antibody, comprising administering to a patient suffering from a B cell disorder, at least one B cell mobilizing agent.
- a depletion agent such as a CD20 binding antibody
- An ⁇ L integrin antagonist and an ⁇ 4 integrin antagonist act synergistically to enhance B cell depletion.
- the invention further provides a method of treating a B cell neoplasm or malignancy characterized by B cells expressing a specific marker such as CD20, comprising administering to a patient suffering from the neoplasm or malignancy, a therapeutically effective amount of an antibody that binds the specific marker, such as a CD20 binding antibody and at least one B cell mobilizing agent, such as an alphaL integrin antagonist and/or an alpha4 integrin antagonist.
- the B cell neoplasm is selected from the group consisting of non-Hodgkin's lymphoma (NHL), small lymphocytic (SL) NHL, lymphocyte predominant Hodgkin's disease (LPHD), follicular center cell (FCC) lymphomas, acute lymphocytic leukemia (ALL), chronic lymphocytic leukemia (CLL), and Hairy cell leukemia.
- NHL non-Hodgkin's lymphoma
- SL small lymphocytic
- LPHD lymphocyte predominant Hodgkin's disease
- FCC follicular center cell lymphomas
- ALL acute lymphocytic leukemia
- CLL chronic lymphocytic leukemia
- Hairy cell leukemia a
- the antibody is administered via intravenous infusion. The dosage administered is in the range of about 100mg/m 2 to 375 mg/m 2 per dose.
- Yet another aspect of the invention is a method of alleviating a B-cell regulated autoimmune disorder comprising administering to a patient suffering from the autoimmune disorder, a therapeutically effective amount of a B cell depletion agent, such as a CD20 binding antibody, and at least one B cell mobilizing agent, such as an alphaL integrin antagonist and/or an alpha4 integrin antagonist.
- a B cell depletion agent such as a CD20 binding antibody
- B cell mobilizing agent such as an alphaL integrin antagonist and/or an alpha4 integrin antagonist.
- the autoimmune disease is selected from the group consisting of rheumatoid arthritis and juvenile rheumatoid arthritis, systemic lupus erythematosus (SLE) including lupus nephritis, Wegener's disease, inflammatory bowel disease, ulcerative colitis, idiopathic thrombocytopenic purpura (ITP), thrombotic throbocytopenic purpura (TTP), autoimmune thrombocytopenia, multiple sclerosis, psoriasis, IgA nephropathy, IgM polyneuropathies, myasthenia gravis, ANCA associated vasculitis, diabetes mellitus, Reynaud's syndrome, Sjorgen's syndrome, Neuromyelitis Optica (NMO) and glomerulonephritis.
- SLE systemic lupus erythematosus
- IIP thrombotic throbocytopenic purpura
- TTP autoimmune
- the CD20 binding antibody is administered intravenously or subcutaneously.
- the antibody is administered intravenously at a dosage in the range of lOmg to 500mg per dose and in a specific embodiment, the dosage is 100 mg/dose.
- the invention provides a method of depleting B cells of the marginal zone B cells in the spleen and/or in germinal centers of lymphoid tissues of a patient suffering from a B cell disorder such as a B cell neoplasm or a B-cell regulated autoimmune disorder, comprising administering to the patient a therapeutically effective amount of a depletion agent such as a CD20 binding antibody and at least one B cell mobilizing agent, such as an alphaL integrin antagonist and/or an alpha4 integrin antagonist.
- a depletion agent such as a CD20 binding antibody and at least one B cell mobilizing agent, such as an alphaL integrin antagonist and/or an alpha4 integrin antagonist.
- the B cell mobilizing agent can be an alphaL integrin antagonist or alpha4 integrin antagonist, or a combination of these.
- the alpha4 integrin antagonist is an antagonist of alpha4betal.
- the antagonist is an antagonist of alpha4beta7.
- the antagonist is an antagonist of alphaLbeta2.
- the alphaL or alpha4 integrin antagonist can be an antibody that binds the integrin, or the alpha or beta subunit of the integrin, or a ligand of the integrin.
- antibodies that bind ICAM-I (CD-54) or VCAM-I (CD- 106) are encompassed.
- biologically active fragments of antibodies that function essentially the same as a full-length antibody to bind and block biological activity of the alpha4 or alphaL integrin such as the anti-CD 18 Fab' 2 fragment H52 (Genentech, South San Francisco, CA), are encompassed.
- the alphaL integrin antagonist antibody is an antibody that binds the alphaL subunit, CDl Ia, preferably the antibody efalizumab (Raptiva TM, Genentech, Inc.), or a CDl Ia binding antibody that comprises the VL and VH sequence of SEQ ID NO. 49 and 50, respectively, of efalizumab, or a biologically active fragment of these antibodies.
- the mobilizing agent is an alpha4 integrin antagonist
- the antagonist is the antibody natalizumab (TysabriTM, Biogen-IDEC), or a biologically active fragment thereof, that binds the alpha4 subunit.
- the antibody is a humanized, human, or chimeric antibody, or a fragment of these.
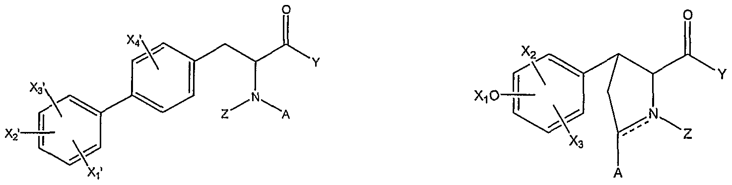
- the alphaL or alpha4 integrin antagonist is a small molecule. Many such integrin antagonist small molecules are known. Any one or more of the compounds having the formula XI and particularly the compounds of Table 4 is an embodiment of an alphaL integrin antagonist small molecule. Any one or more of the compounds having the formula I, II, or III, any compound of formula X and having any one of the substituents shown in Tables 1 and 2, and particularly any compound of Table 3 is an embodiment of an alpha4 integrin antagonist small molecule. In a further embodiment, the alphaL or alpha4 integrin antagonist can be an immunoadhesin comprising the soluble, integrin-binding portion or extracellular domain of the respective ligand.
- the immunoadhesin is a soluble, alphaL ligand-binding portion of ICAM-I (CD-54) fused to the hinge and Fc of a human IgGl.
- the immunoadhesin is a soluble, alpha4 ligand- binding portion of VCAM-I (CD- 106) fused to the hinge and Fc of a human IgGl .
- the B cell depleting agent is an antagonist of a B cell surface marker, such as CD20, CD22, CD54, and the like.
- the B cell surface marker is CD20.
- the B cell surface marker is CD22.
- the B cell depleting agent is an antibody or antibody fragment that binds a B cell surface marker such as CD20, preferably human CD20 (hCD20).
- a B cell surface marker such as CD20, preferably human CD20 (hCD20).
- many such anti-CD20 antibodies are known, including human, chimeric, and humanized anti-CD20 antibodies disclosed herein.
- the anti-hCD20 antibody is Rituximab (RituxanTM); a humanized antibody comprising the VL and VH amino acid sequence of SEQ ID No. 29 and SEQ ID NO. 30, respectively; humanized antibody 2H7 v31, vl 14, vl38, v477, v588, or v511 comprising the sequences provided herein, or a biologically active fragment thereof, or fucose deficient variants thereof.
- humanized 2H7.V51 l is provided in a liquid formulation comprising antibody at
- any combination of antibody, small molecule, and/or immunoadhesin as B cell mobilizing agent and/or any combination of B cell depleting agent can be administered.
- the B cell depleting agent can be an antibody that binds CD20 and the B cell mobilizing agent can be one or more small molecule antagonist of alpha4 and/or alphaL integrin.
- the B cell mobilizing agent or agents and the B cell depleting agent can be administered concurrently, sequentially, or alternating between concurrently and sequentially, in any order.
- the two agents can be administered concurrently, sequentially, or alternating between concurrently and sequentially, in any order.
- an anti-CD20 antibody is administered to first deplete circulating B cells, followed by administration of an alphaL integrin antagonist or by a combination of alphaL integrin antagonist and alpha4 integrin antagonist to mobilize B cells residing in organs such as the spleen, lymph node, germinal centers, peritoneal cavity, and the like, further followed by repeat treatment with an anti-CD20 binding antibody to deplete residual mobilized B cells.
- the invention comprises compositions that contain two or more mobilizing agents, for example, a combination of an alphaL integrin antagonist and an alpha4 integrin antagonist.
- Compositions of the invention further include a combination of one or more B cell mobilization agents with one or more B cell depleting agents.
- a particular embodiment is a composition that contains an alphaL integrin antagonist, an alpha4 antagonist, and an anti-CD20 antibody.
- Figure 1 graphically shows expression of hCD20 in populations of circulating lymphocytes of hCD20 transgenic (hCD20 Tg ) mice, the lymphocyte population characterized by surface expression of B220 and CD3.
- Figure 2 shows surface expression of hCE>20 during B cell ontogeny and in lymphoid tissues.
- B cell progenitors and subsets in the bone marrow (top panel), spleen (middle panel), and other lymphoid organs (bottom panel) were analyzed for hCD20 expression.
- Figure 3 demonstrates depletion of B cell populations characterized by B220 and CD43 expression, from bone marrow of hCD20 Tg mice treated with control or with anti-hCD20 mAb (2H7) (left panel). Quantitation of hCD20 detected on populations of B cells is also shown (right panel).
- Figure 4 shows depletion of B cells by anti-hCD20 mAbs from the peripheral blood of hCD20 Tg mice treated with anti-CD20 antibodies.
- Figure 5 shows depletion and repletion of B cells following anti-hCD20 mAb treatment.
- Figure 6 shows distinct kinetics of B cell depletion in blood, lymph node, and peritoneal cavity of hCD20 Tg + mice treated with anti-hCD20 antibody.
- Figure 7 shows sensitivity of splenic B cells from transgenic mice treated with 0.5 mg of anti-hCD20 mAb (bottom) or control IgG2a mAb (top).
- Figure 8 shows enumeration of FO and MZ B cell depletion in the spleen of mice described in Figure
- Figure 9 shows saturation of CD20 with anti-hCD20 mAbs on resistant splenic B cells.
- Figure 10 shows resistance of Peyer's Patch GC B cells to anti-hCD20 mAb depletion.
- Peyer's Patch B cells were isolated from control IgG 2a (top panel) or anti-hCD20 mAb (bottom panel) treated mice and characterized by B220 and CD38 staining. Mature and GC B cells from control (open bars) and anti-hCD20 MAb treated (filled bars) mice were quantified (right panel).
- Figure 11 shows resistance of splenic GC B cells to depletion by anti-hCD20mAb.
- Figure 12 shows depletion of marginal zone B cells after treatment with control or anti-hCD20 mAbs over 15 weeks (0.1 mg per 2 weeks, IP).
- Figure 13 shows depletion of B cells by administering high doses of anti-oc-hCD20 mAb. Doses as shown.
- Figure 14 shows B cell immune responses following hCD20 mAb treatment, specifically secondary immune responses as described in Example 3.
- Figure 15 shows T-independent immune response to a bacterial antigen as assessed by FACS analysis (left panel) of antigen (Ag)-specific plasmablasts isolated from B-cell depleted mice 4 days following administration of heat-inactivated Streptococcus Pneumoniae.
- Figure 16 shows FACS plots demonstrating mobilization of marginal zone B cells into the vasculature enhances sensitivity of MZ B cells to anti-hCD20 mAb depletion.
- Figure 17 shows results of quantization of MZ B cells (CD21 hi CD23 l0 ) in blood of mice treated with mobilization agents.
- Figure 18 is a graph showing quantization of total B220+ cells in the spleen of mice treated with anti- hCD20 mAb alone and in combination with mobilization agents.
- Figure 19 shows FACS plots of cells from mice treated with 25 ⁇ g lipopolysaccharide (LPS) and anti- hCD20 mAb.
- Figure 21 demonstrates that the liver is required for B cell depletion, as described more fully in Example 5.
- Mice underwent sham (left panel) or clamping of the portal vein and hepatic artery (right panel) followed by immediate IV injection of control or anti-hCD20 (0.2 mg) mAb.
- Figure 22 shows quantization of B cells in blood from the sham or clamp treated mice of Example 5. All cells isolated from anti-hCD20 mAb treated mice were saturated with the in vivo administered mAb (data not shown).
- Figure 23 shows that the spleen is not required for B cell depletion, as described more fully in Example 5. Mice underwent either sham splenectomy (top row) or splenectomy (bottom row) and were analyzed for B cell depletion.
- Figure 24 shows the percentage of B cells in peripheral blood of the sham or splenectomy treated mice of Example 5, quantified and expressed as mean + standard error.
- Figure 25 shows that Kupfer cells engulf B220 B cells, as described more fully in Example 5.
- mice were treated with 0.1 mg control IgG (top left) or anti-hCD20 mAb.
- an "antagonist” or “inhibitor” of an integrin means a compound that reduces or prevents binding of an integrin, such as alpha4betal, alpha Ibeta7, or alphaLbeta2 integrin, to a ligand, such as a VCAM-I, MAdCAM-I, ICAMl-5, and the like, or reduces or prevents retention of B cells in lymphoid tissues, including Germinal Centers and/or marginal zone of the spleen.
- An "effective amount” is an amount is an amount sufficient to at least partially inhibit the binding and and may be an inhibitory amount.
- antibody is used in the broadest sense and specifically includes monoclonal antibodies (including full length monoclonal antibodies), multispecific antibodies ⁇ e.g., bispecific antibodies), and antibody fragments that exhibit a desired biological activity or function.
- the antibodies comprising a polypeptide of this invention can be chimeric, humanized, or human.
- the antibodies comprising a polypeptide of this invention can be an antibody fragment. Such antibodies and methods of generating them are described in more detail below.
- an antibody of this invention can be produced by immunizing an animal with a polypeptide of this invention.
- an antibody directed against a polypeptide of this invention is contemplated.
- Antibody fragments comprise a portion of a full length antibody, generally the antigen binding or variable region thereof.
- Examples of antibody fragments include Fab, Fab', F(ab')2, and Fv fragments; diabodies; linear antibodies; single-chain antibody molecules; and multispecific antibodies formed from antibody fragments.
- Fully fragments substantially retain binding to an antigen of the full length antibody, and retain a biological activity.
- CD20 binding antibody and "anti-CD20 antibody” are used interchangeably herein and encompass all antibodies that bind CD20 with sufficient affinity such that the antibody is useful as a therapeutic agent in targeting a cell expressing the antigen, and do not significantly cross-react with other proteins such as a negative control protein in the assays described below. Bispecific antibodies wherein one arm of the antibody binds CD20 are also contemplated. Also encompassed by this definition of CD20 binding antibody are functional fragments of the preceding antibodies.
- the CD20 binding antibody can bind CD20 with a Kd, for example, of ⁇ 1OnM. In preferred embodiments, the binding is at a Kd of ⁇ 7.5nM, more preferably ⁇ 5nM, even more preferably at between l-5nM, most preferably, ⁇ lnM.
- the anti-CD20 antibodies bind human and primate CD20.
- the antibodies that bind CD20 are humanized or chimeric.
- CD20 binding antibodies include, for example, rituximab (RITUXAN®), m2H7 (murine 2H7), hu2H7 (humanized 2H7) and all its functional variants, including without limitation, hu2H7.vl6 (v stands for version), v31, vl 14, vl38, v477, v588, or v511 or a biologically active fragment thereof, as well as fucose deficient variants thereof that have improved ADCC function.
- Patents and patent publications concerning CD20 antibodies include US Patent Nos. 5,776,456, 5,736,137, 6,399,061, and 5,843,439, as well as US Patent Application Nos. US 2002/0197255 Al and 2003/0021781A1 (Anderson et al); US Patent No. 6,455,043Bl and WO00/09160 (Grillo-Lopez, A.); WO00/27428 (Grillo-Lopez and White); WO00/27433 (Grillo-Lopez and Leonard); WO00/44788
- the CD20 antibodies can be naked antibody or conjugated to a cytotoxic compound such as a radioisotope, or a toxin.
- Such antibodies include the antibody ZEVALIN ® , which is linked to the radioisotope, Yttrium-90 (IDEC Pharmaceuticals, San Diego, CA), and BEXXAR ® , which is conjugated to I- 131 (Corixa, WA).
- Humanized 2H7 variants include those that have amino acid substitutions in the FR and affinity maturation variants with changes in the grafted CDRs.
- the substituted amino acids in the CDR or FR are not limited to those present in the donor or acceptor antibody.
- the anti-CD20 antibodies of the invention further comprise changes in amino acid residues in the Fc region that lead to improved effector function including enhanced CDC and/or ADCC function and B-cell killing (also referred to herein as B-cell depletion).
- S298A/E333A/K334A also referred to herein as a triple Ala mutant or variant
- numbering in the Fc region is according to the EU numbering system; Kabat et al., supra, as described in Idusogie et al., 2001, supra; Shields et al., supra).
- Other anti-CD20 antibodies suitable for use with the present invention include those having specific changes that improve stability.
- the chimeric anti-CD20 antibody has murine V regions and human C region.
- One such specific chimeric anti-CD20 antibody is RITUXAN® (RITUXIMAB ® ; Genentech, Inc.).
- Rituximab and hu2H7 can mediate lysis of B-cells through both complement-dependent cytotoxicity (CDC) and antibody-dependent cellular cytotoxicity (ADCC).
- Antibody variants with altered Fc region amino acid sequences and increased or decreased CIq binding capability are described in US patent No. 6,194,551Bl and WO99/51642. The contents of those patent publications are specifically incorporated herein by reference. See, also, Idusogie et al. 2000, J. Immunol. 164: 4178-4184.
- WO00/42072 (Presta) describes polypeptide variants with improved or diminished binding to FcRs. The content of that patent publication is specifically incorporated herein by reference. See, also, Shields et al, 2001, J. Biol. Chem. 9(2): 6591-6604.
- Cancer is used herein in a broad, general sense to refer to disorders or conditions in mammals in which destruction of normal or healthy tissue arises from humoral or cellular immune responses of the individual mammal to his or her own tissue constituents, or a manifestation thereof or resulting condition thereof.
- cancer cancer
- cancer cancer
- cancer include but are not limited to, carcinoma including adenocarcinoma, lymphoma, blastoma, melanoma, sarcoma, and leukemia.
- cancers include squamous cell cancer, small-cell lung cancer, non-small cell lung cancer, gastrointestinal cancer, Hodgkin's and non-Hodgkin's lymphoma, pancreatic cancer, glioblastoma, cervical cancer, ovarian cancer, liver cancer such as hepatic carcinoma and hepatoma, bladder cancer, breast cancer, colon cancer, colorectal cancer, endometrial carcinoma, salivary gland carcinoma, kidney cancer such as renal cell carcinoma and Wilms' tumors, basal cell carcinoma, melanoma, prostate cancer, vulval cancer, thyroid cancer, testicular cancer, esophageal cancer, and various types of head and neck cancer.
- the cancer will express, or have associated with the cancer cell, BLyS.
- the cancers for treatment herein include lymphoma, leukemia and myeloma, and subtypes thereof, such as Burkitt's lymphoma, multiple myeloma, acute lymphoblastic or lymphocytic leukemia, non- Hodgkin's and Hodgkin's lymphoma, and acute myeloid leukemia.
- an "extracellular domain” or “ECD” refers to a form of a polypeptide that is essentially free of the transmembrane and cytoplasmic domains.
- the term "immune related disease” means a disease in which a component of the immune system of a mammal causes, mediates, or otherwise contributes to morbidity in the mammal. Also included are diseases in which stimulation or intervention of the immune response has an ameliorative effect on progression of the disease. Included within this term are autoimmune diseases, immune-mediated inflammatory diseases, non- immune-mediated inflammatory diseases, infectious diseases, and immunodeficiency diseases.
- immune-related and inflammatory diseases examples include 1, rheumatoid arthritis, juvenile chronic arthritis, spondyloarthropathies, systemic sclerosis (scleroderma), idiopathic inflammatory myopathies (dermatomyositis, polymyositis), Sjogren's syndrome, systemic vasculitis, sarcoidosis, autoimmune hemolytic anemia (immune pancytopenia, paroxysmal nocturnal hemoglobinuria), autoimmune thrombocytopenia (idiopathic thrombocytopenic purpura, immune-mediated thrombocytopenia), thyroiditis (Grave's disease, Hashimoto's thyroiditis, juvenile lymphocytic thyroiditis, atrophic thyroiditis), diabetes mellitus, immune- mediated renal disease (glomerulonephritis, tubulointerstitial nephritis), demyelinating diseases
- the term "monoclonal antibody” as used herein refers to an antibody obtained from a population of substantially homogeneous antibodies, i.e., the individual antibodies comprising the population are identical except for possible naturally occurring mutations that may be present in minor amounts. Monoclonal antibodies are highly specific, being directed against a single antigenic site. Furthermore, in contrast to conventional (polyclonal) antibody preparations which typically include different antibodies directed against different determinants (epitopes), each monoclonal antibody is directed against a single determinant on the antigen.
- the modifier "monoclonal” indicates the character of the antibody as being obtained from a substantially homogeneous population of antibodies, and is not to be construed as requiring production of the antibody by any particular method.
- the monoclonal antibodies to be used in accordance with the present invention may be made by the hybridoma method first described by Kohler et al., 1975, Nature 256:495, or may be made by recombinant DNA methods (see, e.g., U.S. Patent No. 4,816,567).
- the "monoclonal antibodies” may also be isolated from phage antibody libraries using the techniques described in Clackson et al.. 1991, Nature 352:624-628 and Marks et al., 1991, J. MoI. Biol. 222:581-597, for example.
- “Chimeric” antibodies have a portion of the heavy and/or light chain identical with or homologous to corresponding sequences in antibodies derived from a particular species or belonging to a particular antibody class or subclass, while the remainder of the chain(s) is identical with or homologous to corresponding sequences in antibodies derived from another species or belonging to another antibody class or subclass, as well as fragments of such antibodies, so long as they exhibit the desired biological activity (U.S. Patent No. 4,816,567; and Morrison et al., 1984, Proc. Natl. Acad. Sci. USA 81:6851-6855). Humanized antibody as used herein is a subset of chimeric antibodies.
- Carriers as used herein include physiologically acceptable carriers, excipients, or stabilizers which are nontoxic to the cell or mammal being exposed thereto at the dosages and concentrations employed. Often the physiologically acceptable carrier is an aqueous pH buffered solution.
- physiologically acceptable carriers include buffers such as phosphate, citrate, and other organic acids; antioxidants including ascorbic acid; low molecular weight (less than about 10 residues) polypeptide; proteins, such as serum albumin, gelatin, or immunoglobulins; hydrophilic polymers such as polyvinylpyrrolidone; amino acids such as glycine, glutamine, asparagine, arginine or lysine; monosaccharides, disaccharides, and other carbohydrates including glucose, mannose, or dextrins; chelating agents such as EDTA; sugar alcohols such as mannitol or sorbitol; salt-forming counterions such as sodium; and/or nonionic surfactants such as TWEEN®, polyethylene glycol (PEG), and PLURONIC®.
- buffers such as phosphate, citrate, and other organic acids
- antioxidants including ascorbic acid
- proteins such as serum albumin,
- a “composition” of this invention can comprise one or more B cell depleting agent and/or one or more B cell mobilizing agent, optionally in combination with a physiologically acceptable carrier.
- the composition can further comprise an additional therapeutic agent to treat the indication intended.
- the composition comprises a second therapeutic agent selected from a drug for treating an immune-related disease and a drug for treating a cancer.
- the drug for treating a cancer is selected from the group consisting of a cytotoxic agent, a chemotherapeutic agent, a growth inhibiting agent and a chemotherapeutic agent.
- Humanized forms of non-human (e.g., murine) antibodies are chimeric antibodies that contain minimal sequence derived from non-human immunoglobulin.
- humanized antibodies are human immunoglobulins (recipient or acceptor antibody) in which hypervariable region residues of the recipient are replaced by hypervariable region residues from a non-human species (donor antibody), such as mouse, rat, rabbit, or nonhuman primate having the desired specificity, affinity, and capacity.
- donor antibody such as mouse, rat, rabbit, or nonhuman primate having the desired specificity, affinity, and capacity.
- Fv framework region (FR) residues of the human immunoglobulin are replaced by corresponding non-human residues.
- humanized antibodies may comprise residues that are not found in the recipient antibody or in the donor antibody. These modifications are made to further refine antibody performance such as binding affinity.
- the humanized antibody will comprise substantially all of at least one, and typically two, variable domains, in which all or substantially all of the hypervariable loops correspond to those of a non-human immunoglobulin and all or substantially all of the FR regions are those of a human immunoglobulin sequence although the FR regions may include one or more amino acid substitutions that improve binding affinity.
- the number of these amino acid substitutions in the FR are typically no more than 6 in the H chain, and in the L chain, no more than 3.
- the humanized antibody optionally also will comprise at least a portion of an immunoglobulin constant region (Fc), typically that of a human immunoglobulin.
- Fc immunoglobulin constant region
- Antibody effector functions refer to those biological activities attributable to the Fc region (a native sequence Fc region or amino acid sequence variant Fc region) of an antibody, and vary with the antibody isotype. Examples of antibody effector functions include: CIq binding and complement dependent cytotoxicity; Fc receptor binding; antibody-dependent cell-mediated cytotoxicity (ADCC); phagocytosis; down regulation of cell surface receptors ⁇ e.g. B cell receptor); and B cell activation.
- ADCC antibody-dependent cell-mediated cytotoxicity
- FcRs Fc receptors
- cytotoxic cells e.g. Natural Killer (NK) cells, neutrophils, and macrophages
- NK cells Natural Killer cells
- neutrophils neutrophils
- macrophages cytotoxic cells
- the antibodies “arm” the cytotoxic cells and are absolutely required for such killing.
- the primary cells for mediating ADCC, NK cells express Fc ⁇ RIII only, whereas monocytes express Fc ⁇ RI, Fc ⁇ RII and Fc ⁇ RIII.
- ADCC activity of a molecule of interest is summarized in Table 3 on page 464 of Ravetch et al, 1991, Annu. Rev. Immunol 9:457-92.
- an in vitro ADCC assay such as that described in US Patent No. 5,500,362 or 5,821,337 may be performed.
- Useful effector cells for such assays include peripheral blood mononuclear cells (PBMC) and Natural Killer (NK) cells.
- PBMC peripheral blood mononuclear cells
- NK Natural Killer
- ADCC activity of the molecule of interest may be assessed in vivo, e.g., in a animal model such as that disclosed in Clynes et al., 1998, PNAS (USA) 95:652-656.
- mammal for purposes of treatment or therapy refers to any animal classified as a mammal, including humans, domestic and farm animals, and zoo, sports, or pet animals, such as dogs, horses, cats, cows, and the like. Preferably, the mammal is human.
- B cell depletion refers to a reduction in B cell levels in an animal or human after drug or antibody treatment, as compared to the level before treatment. B cell levels are measurable using well known assays such as by getting a complete blood count, by FACS analysis staining for known B cell markers, and by methods such as described in the Experimental Examples. B cell depletion can be partial or complete. In one embodiment, the depletion of CD20 expressing B cells is 25% or more. In a patient receiving a B cell depleting drug, B cells are generally depleted for the duration of time when the drug is circulating in the patient's body and the time for recovery of B cells.
- B cell depletion is augmented if the level or percentage of B cells depleted after treatment with the B cell depleting agent combined with B cell mobilizing agent is greater than the level obtained with B cell killing (depleting) agent alone.
- the levels of B cell depletion can be measured by methods familiar to the skilled medical practitioner.
- B cell depletion can be measured by the number of B cells in the blood without and with treatment with B cell mobilizing agent.
- a lymph node biopsy of a cancer patient can be performed after treatment with the B cell depleting agent such as an anti-CD20 antibody, to obtain a baseline level of B cells before treatment with B cell mobilizing agent(s). The patient is then administered one or more B cell mobilization agents together with or followed by B cell depleting agent again. Post this second round of B cell depletion treatment regimen, a second lymph node biopsy is performed to quantify the B cells remaining.
- a "B cell depleting agent" as used herein is any antagonist that binds to or otherwise targets a B cell through a B-cell surface marker resulting directly or indirectly in the death of the targeted B cell.
- the B cell is eliminated in the circulation, such as by ADCC, CDC or other mechanism.
- the B cell depleting agent can be a protein such as an antibody or ligand of the cell surface marker, or a small molecule.
- the B cell depleting agent can be conjugated to a cytotoxic agent or growth inhibitory agent.
- the B cell depleting agent is a monoclonal antibody (mAb) that binds CD20, CD22, or CD54.
- mAb monoclonal antibody
- CD20 binding antibodies are disclosed below.
- the CD20 binding antibody is rituximab, or humanized 2H7vl6, or a variant of h2H7vl6.
- B cell mobilizing agent is any molecule that promotes the circulation of B cells in mammals in the blood by, e.g., inhibiting the adhesion and retention of B cells in lymphoid organs and other B cell laden tissues or otherwise promoting egress of B cells from these sites, or by inhibiting homing of B cells to lymphoid and other organs and tissues.
- the B cell mobilizing agent inhibits B cell retention in at least the marginal zone of the spleen, and preferably the MZ and germinal center of the spleen and lymphoid tissues.
- the B cell mobilizing agent inhibits homing of the B cell to the spleen.
- the agent inhibits homing of the B cell to the gut.
- An increase in B cells in the peripheral blood with administration of the B cell mobilizing agent can be quantified by known methods such as described in the examples.
- a "B cell disorder” includes a B cell neoplasm (e.g., CD20 positive B cell neoplasm) or a B-cell regulated autoimmune disease or autoimmune related condition, both disclosed in detail below.
- B cell neoplasm e.g., CD20 positive B cell neoplasm
- B-cell regulated autoimmune disease or autoimmune related condition both disclosed in detail below.
- “Complement dependent cytotoxicity” or “CDC” refers to the lysis of a target cell in the presence of complement. Activation of the classical complement pathway is initiated by the binding of the first component of the complement system (CIq) to antibodies (of the appropriate subclass) that are bound to their cognate antigen.
- CIq first component of the complement system
- a CDC assay e.g. as described in Gazzano-Santoro et al., 1996, J. Immunol. Methods 202:163, may be performed.
- an “isolated” antibody is one that has been identified and separated and/or recovered from a component of its natural environment. Contaminant components of its natural environment are materials that would interfere with diagnostic or therapeutic uses for the antibody, and may include enzymes, hormones, and other proteinaceous or nonproteinaceous solutes.
- the antibody will be purified (1) to greater than 95% by weight of antibody as determined by the Lowry method, and most preferably more than 99% by weight, (2) to a degree sufficient to obtain at least 15 residues of N-terminal or internal amino acid sequence by use of a spinning cup sequenator, or (3) to homogeneity by SDS-PAGE under reducing or nonreducing conditions using Coomassie blue or, preferably, silver stain.
- Isolated antibody includes the antibody in situ within recombinant cells since at least one component of the antibody's natural environment will not be present. Ordinarily, however, isolated antibody will be prepared by at least one purification step.
- the term "therapeutically effective amount” refers to an amount of a composition of this invention effective to "alleviate” or “treat” a disease or disorder in a subject or mammal. Generally, alleviation or treatment of a disease or disorder involves the lessening of one or more symptoms or medical problems associated with the disease or disorder. In some embodiments, it is an amount that results in the reduction in the number of B cells in the mammal.
- the therapeutically effective amount of the drug can reduce the number of cancer cells; reduce the tumor size; inhibit (i.e., slow to some extent and preferably stop) cancer cell infiltration into peripheral organs; inhibit (i. e. , slow to some extent and preferably stop) tumor metastasis; inhibit, to some extent, tumor growth; and/or relieve to some extent one or more of the symptoms associated with the cancer.
- the drug may prevent growth and/or kill existing cancer cells, it may be cytostatic and/or cytotoxic.
- a composition of this invention can be used to prevent the onset or reoccurrence of the disease or disorder in a subject or mammal. For example, in a subject with autoimmune disease, a composition of this invention can be used to prevent or alleviate flare-ups.
- Treating” or “treatment” or “alleviation” refers to both therapeutic treatment and prophylactic or preventative measures, wherein the object is to prevent or slow down (lessen) the targeted pathologic condition or disorder.
- a subject is successfully "treated” for a CD20 positive cancer or an autoimmune disease if, after receiving a therapeutic amount of a CD20 binding antibody of the invention according to the methods of the present invention, the subject shows observable and/or measurable reduction in or absence of one or more signs and symptoms of the particular disease.
- the cancer patients are still progression-free in the cancer after one year, preferably after 15 months. These parameters for assessing successful treatment and improvement in the disease are readily measurable by routine procedures familiar to a physician of appropriate skill in the art.
- Chronic administration refers to administration of the agent(s) in a continuous mode as opposed to an acute mode, so as to maintain the initial therapeutic effect (activity) for an extended period of time.
- cytotoxic agent refers to a substance that inhibits or prevents the function of cells and/or causes destruction of cells.
- the term is intended to include radioactive isotopes (e.g., I , 1 , Y and Re ), chemotherapeutic agents, and toxins such as enzymatically active toxins of bacterial, fungal, plant or animal origin, or fragments thereof.
- chemotherapeutic agent is a chemical compound useful in the treatment of cancer.
- examples of chemotherapeutic agents include alkylating agents such as thiotepa and CYTOXAN® cyclosphosphamide; alkyl sulfonates such as busulfan, improsulfan and piposulfan; aziridines such as benzodopa, carboquone, meturedopa, and uredopa; ethylenimines and methylamelamines including altretamine, triethylenemelamine, trietylenephosphoramide, triethiylenethiophosphoramide and trimethylolomelamine; acetogenins (especially bullatacin and bullatacinone); a camptothecin (including the synthetic analogue topotecan); bryostatin; callystatin; CC- 1065 (including its adozelesin, carzelesin and bizelesin synthetic analogues); cryptophy
- calicheamicin especially calicheamicin gammall and calicheamicin omegall
- dynemicin including dynemicin A
- bisphosphonates such as clodronate
- an esperamicin as well as neocarzinostatin chromophore and related chromoprotein enediyne antiobiotic chromophores
- aclacinomysins actinomycin, authramycin, azaserine, bleomycins, cactinomycin, carabicin, carminomycin, carzinophilin, chromomycinis, dactinomycin, daunorubicin, detorubicin, 6-diazo-5-oxo-L-norleucine, ADRIAMYCIN® doxorubicin (including morpholino-dox
- anti-hormonal agents that act to regulate or inhibit hormone action on tumors
- SERMs selective estrogen receptor modulators
- tamoxifen including NOLVADEX® tamoxifen
- raloxifene including NOLVADEX® tamoxifen
- droloxifene 4-hydroxytamoxifen
- trioxifene keoxifene
- LYl 17018, onapristone and FARESTON- toremifene
- aromatase inhibitors that inhibit the enzyme aromatase, which regulates estrogen production in the adrenal glands, such as, for example, 4(5)-imidazoles, aminoglutethimide, MEGASE® megestrol acetate, AROMASIN® exemestane, formestanie, fadrozole, RIVISOR® vorozole, FEMARA® letrozole, and ARIMIDEX® anastrozole
- anti-androgens such as flutamide, nil
- a “growth inhibitory agent” when used herein refers to a compound or composition which inhibits growth of a cell in vitro and/or in vivo.
- the growth inhibitory agent may be one that significantly reduces the percentage of cells in S phase.
- growth inhibitory agents include agents that block cell cycle progression (at a place other than S phase), such as agents that induce GI arrest and M-phase arrest.
- Classical M-phase blockers include the vincas (vincristine and vinblastine), TAXOL® paclitaxel, and topo II inhibitors such as doxorubicin, epirubicin, daunorubicin, etoposide, and bleomycin.
- DNA alkylating agents such as tanoxifen, prednisone, dacarbazine, mechlorethamine, cisplatin, methotrexate, 5-fluorouracil, and ara-C.
- DNA alkylating agents such as tanoxifen, prednisone, dacarbazine, mechlorethamine, cisplatin, methotrexate, 5-fluorouracil, and ara-C.
- a "Germinal Center” is a microenvironment within a lymphoid secondary follicle where B-cell proliferation, somatic hypermutation, and antigen binding selection occur.
- the "marginal zone” is a region of the spleen containing a population of B cells that produce low- affinity, polyreactive antibodies. Due to this anatomical location, marginal zone B cells frequently come into contact with antigen, including self-antigen. Marginal zone B cells have low activation thresholds, are particularly reactive to self-antigens (Viau et al., 2005, Clin. Immunol., 114: 17-26), and reactive to blood- borne antigens. Autoreactive B cells are sequestered in the marginal zone to prevent high-affinity autoreactivity.
- a "soluble" portion of a polypeptide refers to a portion that is soluble in water and lacks appreciable affinity for lipids (e.g., missing the transmembrane domain or the transmembrane and the cytoplasmic domains).
- alpha 4" or "alpha4 polypeptide” or “alpha4 protein” when used herein encompass "native sequence alpha4 polypeptides” that have a biological activity of a native sequence alpha 4.
- an alpha4 polypeptide promotes the adhesion and retention of B lymphocytes in an organ or an area of a lymphoid tissue, e.g., through association with a beta subunit such as betal (CD29) or beta7 to form an integrin that binds to an extracellular matrix or ligand on at least an immobilized marginal zone spleen cell in the germinal centers of lymphoid tissues, thus limiting intravascular access of the B lymphocyte.
- a "native sequence" alpha4 polypeptide comprises a polypeptide having the same amino acid sequence as a corresponding alpha4 polypeptide derived from nature.
- native sequence alpha4 polypeptides can be isolated from nature or can be produced by recombinant and/or synthetic means.
- the term "native sequence alpha4 polypeptide” includes naturally-occurring truncated forms, naturally-occurring variant forms (e.g., alternatively spliced forms), naturally-occurring isoforms, and naturally-occurring allelic variants of the polypeptide.
- Anexampleofahumanalpha4polypeptide sequence is shownbelow(GenbankAccessionNo. S06046):
- betal when used herein encompass "native sequence betal polypeptides" which have a biological activity of the native sequence betal.
- the biological activity of a betal polypeptide according to this invention is to promote the adhesion and retention of B lymphocytes in an organ or an area of a lymphoid tissue, e.g., through association with an alpha subunit such as alpha4 or alpha2 to form an integrin that binds to an extracellular matrix or ligand on at least an immobilized marginal zone spleen cell or germinal center cell, thus limiting intravascular access of the B lymphocyte.
- a “native sequence” betal polypeptide comprises a polypeptide having the same amino acid sequence as a corresponding betal polypeptide derived from nature. Such native sequence betal polypeptides can be isolated from nature or can be produced by recombinant and/or synthetic means.
- the term "native sequence betal polypeptide” include naturally-occurring truncated forms, naturally- occurring variant forms (e.g., alternatively spliced forms), naturally-occurring isoforms (such as A-D), and naturally-occurring allelic variants of the polypeptide.
- An example of a human betal polypeptide sequence is shown below (Genbank Accession No. P05556):
- beta7 or “beta7 polypeptide” or “beta7 protein” when used herein encompass "native sequence beta7 polypeptides" which have a biological activity of the native sequence beta7.
- the biological activity of a beta7 polypeptide according to this invention is to promote the homing of alpha4beta7+ lymphocytes to the gut thus limiting intravascular access of the B lymphocytes.
- the biological activity of a beta7 polypeptide is to promote the adhesion and retention of B lymphocytes in an organ or an area of a lymphoid tissue such as the MZ of the spleen e.g., through association with an alpha subunit such as alpha4.
- a “native sequence” beta7 polypeptide comprises a polypeptide having the same amino acid sequence as a corresponding beta7 polypeptide derived from nature. Such native sequence beta7 polypeptides can be isolated from nature or can be produced by recombinant and/or synthetic means.
- the term "native sequence beta7 polypeptide” include naturally-occurring truncated forms, naturally-occurring variant forms (e.g., alternatively spliced forms), naturally-occurring isoforms (such as A-D), and naturally-occurring allelic variants of the polypeptide.
- An example of a human beta7 polypeptide sequence is shown below (Genbank Accession No. P26010):
- the biological activity of an alphaL polypeptide is to promote the adhesion and retention of B lymphocytes in an organ or an area of a lymphoid tissue, e.g., through association with a beta subunit such as beta2 (CD 18), to form an integrin that binds to an extracellular matrix or ligand on at least an immobilized marginal zone spleen cell or a germinal center cell.
- alphaLbeta2 (CDl la/CD 18) (LFA-I) is Another biological activity of alphaLbeta2 (CDl la/CD 18) (LFA-I) is in promoting homing of B lymphocytes from the blood to the spleen and lymph node. Both these biological activities result in limiting intravascular access of these B lymphocytes.
- AlphaLbeta2 (LFA-I) binds to at least CD54 (ICAM-I), CD102 (ICAM2 ), and CD50 (ICAM-3).
- “native sequence” alphaL polypeptide comprises a polypeptide having the same amino acid sequence as a corresponding alphaL polypeptide derived from nature. Such native sequence alphaL polypeptides can be isolated from nature or can be produced by recombinant and/or synthetic means.
- the term "native sequence alphaL polypeptide” include naturally-occurring truncated forms, naturally-occurring variant forms (e.g., alternatively spliced forms), naturally-occurring isoforms, and naturally-occurring allelic variants of the polypeptide.
- An example of a human alphaL polypeptide sequence is shown below (SWISSPROT Accession No. P207017; EMBL/GENBANK Accession No. Y00796):
- beta2 (CD 18) or “beta2 polypeptide” or “beta2 protein” when used herein encompass “native sequence beta2 polypeptides” that have a biological activity of a native sequence beta2.
- a “native sequence” beta2 polypeptide comprises a polypeptide having the same amino acid sequence as a corresponding beta2 polypeptide derived from nature. Such native sequence beta2 polypeptides can be isolated from nature or can be produced by recombinant and/or synthetic means.
- beta2 polypeptide include naturally-occurring truncated forms, naturally-occurring variant forms (e.g., alternatively spliced forms), naturally-occurring isoforms, and naturally-occurring allelic variants of the polypeptide.
- Naturally-occurring variant forms e.g., alternatively spliced forms
- naturally-occurring isoforms e.g., allelic variants of the polypeptide.
- allelic variants of the polypeptide e.g., allelic variants of the polypeptide.
- An example of a human beta2 polypeptide sequence is shown below (Genbank Accession No. P05107):
- alpha4 integrin when used herein refers to a heterodimer comprising an alpha4 subunit and a beta subunit.
- alpha4 integrins include alpha4betal (VLA-4 or VLA-4 integrin) or alpha4beta7 (LPAM-I or LPAM-I integrin).
- Alpha4betal ( ⁇ 4 ⁇ l) is expressed on most leukocytes with the possible exception of neutrophils and platelets; it is also expressed in non-lymphoid tissue.
- Alpha4beta7 (alpha4beta7) is expressed on most lymph node T and B cells, NK cells and eosinophils.
- alpha4betal is involved in the migration of leukocytes from blood to tissues at sites of inflammation.
- alpha4beta7 is involved in the homing of ⁇ 4 ⁇ 7+ lymphocytes to the gut through recognition of MAdCAM-I on mucosal high endothelial venules.
- Examples of the biological activity of an alpha 4 integrin can include any one or a combination of the following activities: (1) binding to a ligand of alpha4betal (e.g., any one of the ligands selected from the group consisting of VCAM-I, fibronectin, thrombospondin, collagens and invasin), (2) binding to a ligand of alpha4beta7 (e.g., any one of the ligands selected from the group consisting of vascular cell adhesion molecule- 1 (VCAM-I), mucosal addressin cell adhesion molecule- 1 (MAdCAM-I), and fibronectin, and (3) promoting the adhesion and retention and/or homing of B lymphocytes to an organ or an area of a lymphoid tissue such as the marginal zone in the spleen.
- a ligand of alpha4betal e.g., any one of the ligands selected from the group consisting of VCAM-I, fibronect
- VCAM-I The alpha4 integrin ligand, VCAM-I (CD 106), contains seven IgSF C2 domains in its extracellular portion (Barclay et al., 1997, supra, page 386-387). VCAM-I contains two independent binding sites for alpha4betal (VLA-4) in domains 1 and 4, respectively (see, for example, Vonderheide, et al., 1994, J. Cell Biol. 125:215-222; Jones, et al., 1995, Nature 373: 539-544 for integrin binding sites). The full length amino acid sequence of human VCAM-I (CD 106) is provided on page 387 of Barclay et al, supra, and through GenBank Accession No. M73255 or SWISSPROT P 19320.
- VCAM-I polypeptide sequence is shown below (SWISSPROT Accession No. P19320):
- MAdCAM The alpha 4 integrin ligand, MAdCAM contains two IgSF C2 domains in its extracellular portion (Tan et al. 1998, Structure 6: 793-801).
- MAdCAM is a receptor for alpha4beta7 and L-selectin (Elangbam et al., 1997, Vet. Pathol, 34: 61-73).Anexample ofafull-lengthamino acid sequence ofhumanMAdCAMis providedthrough SWISSPROTAccessionNo: Q13477.
- alpha4 Integrin Antagonist The term "alpha4 integrin antagonist" as used herein is used in the broadest sense, and includes any molecule that partially or fully blocks a biological activity of an alpha4 integrin. According to one embodiment, al ⁇ ha4 integrin antagonist partially or fully blocks the interaction between an alpha4 integrin and its ligand, and performs any one or a combination of the following events: (1) promotes lymphocyte egress from lymphoid organs or tissues and/or otherwise promotes the circulation of B lymphocytes in mammals and (2) partially or fully blocks, inhibits, or neutralizes native sequence alpha4 integrin signaling. In one embodiment, the alpha4 integrin antagonist inhibits B cell adhesion and retention in the spleen and gut.
- the alpha4betal antagonist inhibits B cell adhesion and retention in at least the marginal zone of the spleen or germinal center of lymphoid tissue.
- Useful antagonists of alpha4 integrin include antagonists of the alpha subunit, antagonists of the beta subunit, and antagonists of both the alpha and the beta subunits.
- the alpha4 integrin antagonist is an alpha4betal (VLA-4) antagonist, for example, those described in WO 99/06432.
- the alpha4 integrin antagonist is an alpha4beta7 (LPAM-I) antagonist, for example, the humanized MAb MLN- 02/LDP-02, described in U.S. Application No. 08/700,737 or the pyroglutamic acid derivatives and related compounds described in U.S. Patent No. 6,407,066.
- the alpha4 integrin antagonist is a dual alpha4betal/alpha4beta7 antagonist, for example, R-411 (Hijazi et al., 2004, J. CHn.
- the antagonist binds to the alpha4 subunit.
- the antagonist binds a ligand of the alpha4 integrin, for example the ligands, VCAM-I, or
- Antagonists of alpha4 integrins can be used together, simultaneously or sequentially, to promote circulation of B lymphocytes in mammals.
- Multiple different antagonists of alpha4betal (VLA-4) and/or alpha4beta7 (LPAM-I) can be used together, simultaneously or sequentially, to promote the circulation of B lymphocytes in mammals.
- the alpha4 integrin antagonist can be an antibody, a small molecule, or an immunoadhesin. 3.
- the alpha4 integrin antagonist is an antibody.
- antibody is broadly used, and includes polyclonal and monoclonal, full length and fragments, humanized, chimeric, bi-specific, and the like antibodies.
- the alpha4 integrin antagonist is an antibody that binds alpha4betal (VLA-4), alpha4beta7 (LPAM-I), or an antibody that binds the alpha subunit alone, such as the anti-CD49d antibody disclosed in the Examples below.
- antibodies that are alpha4 integrin antagonists include Biogen-Idec's TYSABRI® (natalizumab), previously called Antegren (United States Patent Nos. 6,602,503, 5,840,299, and 5,730,978, which are hereby incorporated by reference), and the like.
- the alpha4 integrin antagonist is an antibody that binds a ligand of an alpha4 integrin, for example, any of the ligands listed above, and particularly an anti-VCAM-1 antibody or an anti-MAdCAM-1 antibody.
- a humanized VCAM-I antibody, 2A2 is available from Alexion Pharmaceuticals Inc. (New Haven, CT).
- VLA-4 humanized Abs that specifically bind alpha4beta
- VLA-4 examples include those comprising one or more the VL and VH chains shown below:
- a light chain variable region comprising the sequence a) 1 DIQMTQSPSS LSASVGDRVT ITCKTSQDIN KYMAWYQQTP GKAPRLLIHY TSALQPGIPS
- An example of a humanized antibody that specifically binds VLA-4 comprises: 1) a light chain variable region comprising the sequence a) 1 SIVMTQSPSSL SASVGDRVTI TCKASQSVTN DVAWYQQKPG KAPKLLIYYA SNRYTGVPDR
- the integrin antagonist is an immunoadhesin.
- An example of such an immunoadhesin is one that comprises a soluble portion of a ligand of alpha4 integrin that binds to alpha4, for example, the ligand binding domain or the extracellular domain of a ligand of the alpha4 integrin, such as VCAM-I (CD 106) and/or MAdCAM-I.
- the immunoadhesin antagonist is a soluble ligand-binding domain fused to an Fc region of an IgG such as human IgGl.
- VCAM-I and MAdCAM-I The binding domains of VCAM-I and MAdCAM-I are known in the art.
- VCAM-I binds to alpha4betal primarily via several residues (residues 39, 40, and 43) within Domain 1 (residues 25-105 according to UniProt) with a contribution from several residues from Domain 2 (residues 109-212 according to UniProt);
- VCAM-I binds to alpha4beta7 primarily via residues within Domain 2 with a contribution from residues within Domain 1.
- MAdCAM-I binds to alpha4beta7 via both Domain 1 (residues 23-112 according to UniProt) and Domain 2 (residues 113-231 according to UniProt); MAdCAM-I residues 40, 41, 42, and 44 were required for full binding, and removal of residues 143-150 abolished binding.
- MAdCAM-I poorly binds to ⁇ 4 ⁇ l, and removal of residues 143-150 also abolished binding to ⁇ 4 ⁇ l.
- alpha4betal and alpha4beta7 can bind both VCAM-I and MAdCAM-I, there is a ligand preference.
- alpha4betal is primarily a receptor for VCAM-I
- alpha4beta7 is primarily a receptor for MAdCAM-I.
- the alpha4 integrin antagonist is a small molecule.
- small molecules that are alpha4 integrin antagonists include those disclosed in United States Patent Nos. 6,239,108, 6,469,047, 6,482,849, and 6,706,753, published PCT Application Nos. WO 01/21584 and WO 02/16313, and in United States Provisional Patent Application No., 60/472,072, filed May 20, 2003.
- the antagonist is any one of the small molecules recited as alpha4 integrin antagonists in WO 01/21584 and as described more completely below.
- the antagonist is any one of the small molecules recited in WO 01/21584 or any of those shown in the Tables below. a. Chemical Definitions As used to define the small molecules disclosed herein, the following chemical terms have the indicated definitions:
- alkyl used alone or as part of another term, for example alkylamino, alkylsulfonyl, alkylthio, etc., means a branched or unbranched, saturated or unsaturated aliphatic hydrocarbon group, having the number of carbon atoms specified, or if no number is specified, having up to and including 12 carbon atoms.
- Alkyl when used alone or as part of another term preferably means a saturated hydrocarbon chain, however also includes unsaturated hydrocarbon carbon chains such as "alkenyl” and "alkynyl”.
- alkyl groups include methyl, ethyl, n-propyl, isopropyl, n-butyl, iso-butyl, sec-butyl, tert-butyl, n-pentyl, 2- methylbutyl, 2,2-dimethylpropyl, n-hexyl, 2-methylpentyl, 2,2-dimethylbutyl, n-heptyl, 3-heptyl, 2- methylhexyl, and the like.
- the terms “lower alkyl” "C 1 -C 6 alkyl” and “alkyl of 1 to 6 carbon atoms” are synonymous and used interchangeably.
- Preferred "C 1 -C 6 alkyl” groups are methyl, ethyl, 1 -propyl, isopropyl, 1 -butyl or sec-butyl.
- substituted alkyl or "substituted C n -C n , alkyl” where m and n are integers identifying the range of carbon atoms contained in the alkyl group, denotes the above alkyl groups that are substituted by one, two, three or four halogen, trifluoromethyl, hydroxy, unsubstituted and substituted C 1 -C 7 alkoxy, protected hydroxy, amino (including alkyl and dialkyl amino), protected amino, unsubstituted and substituted C 1 -C 7 acyloxy, unsubstituted and substituted C 3 -C 7 heterocyclyl, unsubstituted and substituted phenoxy, nitro, carboxy, protected carboxy, unsubstituted and substituted carboalkoxy, unsubstituted and substituted acyl, carbamoyl, carbamoyloxy, cyano, methylsulfonylamino, unsubstitute
- Examples of the above substituted alkyl groups include, but are not limited to; cyanomethyl, nitromethyl, hydroxymethyl, trityloxymethyl, propionyloxymethyl, aminomethyl, carboxymethyl, carboxyethyl, carboxypropyl, alkyloxycarbonylmethyl, allyloxycarbonylaminomethyl, carbamoyloxymethyl, methoxymethyl, ethoxymethyl, t-butoxymethyl, acetoxymethyl, chloromethyl, bromomethyl, iodomethyl, trifluoromethyl, 6-hydroxyhexyl, 2,4-dichloro(n-butyl), 2-amino(iso-propyl), 2-carbamoyloxyethyl and the like.
- the alkyl group may also be substituted with a carbocyclyl group.
- Examples include cyclopropylmethyl, cyclobutylmethyl, cyclopentylmethyl, and cyclohexylmethyl groups, as well as the corresponding -ethyl, -propyl, -butyl, -pentyl, -hexyl groups, etc.
- a preferred group of examples within the above group includes the substituted methyl group, e.g. a methyl group substituted by the same substituents as the "substituted C n -C m alkyl" group.
- Examples of the substituted methyl group include groups such as hydroxymethyl, protected hydroxymethyl (e.g.
- non-aromatic refers to carbocycle or heterocycle rings that do not have the properties which define aromaticity. For aromaticity, a ring must be planar, have p-orbitals that are perpendicular to the plane of the Ting at each ring atom and satisfy the Huckel rule where the number of pi electrons in the ring is (4n+2) wherein n is an integer (i.e. the number of pi electrons is 2, 6, 10 or 14).
- Non-aromatic rings provided herein do not satisfy one or all of these criteria for aromaticity.
- alkoxy as used herein includes saturated, i.e. O-alkyl, and unsaturated, i.e. O-alkenyl and
- O-alkynyl groups O-alkynyl groups.
- exemplary alkoxy groups have the number of carbon atoms specified such as methoxy, ethoxy, n-propoxy, isopropoxy, n-butoxy, t-butoxy and like groups.
- substituted alkoxy means these alkoxy groups substituted by the same substituents as the "substituted alkyl" group.
- acyloxy denotes carboacyloxy groups having the specified number of carbon atoms such as formyloxy, acetoxy, propionyloxy, butyryloxy, pentanoyloxy, hexanoyloxy, heptanoyloxy, and the like.
- substituted acyloxy means these acyloxy groups substituted by the same substituents as the "substituted alkyl” group.
- alkylcarbonyl “alkanoyl” and “acyl” are used interchangeably herein encompass groups having the specified number of carbon atoms such as formyl, acetyl, propionyl, butyryl, pentanoyl, hexanoyl, heptanoyl, benzoyl and the like.
- alkylsulfonyl denotes the groups -NH-SO 2 -alkyl, -SO 2 -NH-alkyl, -N-(SO 2 -alkyl) 2 and - SO 2 -N(alkyl) 2 .
- Preferred alkylsulfonyl groups are -NH-SO 2 -Me, -NH-SO 2 -Et, -NH-SO 2 -Pr, -NH-SO 2 -iPr, -N-(SO 2 -Me) 2 and -N-(SO 2 -Bu) 2 .
- amino denotes primary (i.e. -NH 2 ) , secondary (i.e. -NRH) and tertiary (i.e. -NRR) amines.
- Preferred secondary and tertiary amines are alkylamine and dialkyl amines such as methylamine, ethylamine, propylamine, isopropylamine, dimethylamine, diethylamine, dipropylamine and disopropylamine.
- esters are methyl, ethyl, propyl, butyl, i-butyl, s-butyl and t-butyl esters.
- carbocyclyl “carbocyclylic” and “carbocyclo” alone and when used as a moiety in a complex group such as a carbocycloalkyl group, refers to a mono-, bi-, or tricyclic aliphatic ring having 3 to 14 carbon atoms and preferably 3 to 7 carbon atoms.
- Preferred carbocyclic groups include cyclopropyl, cyclobutyl, cyclopentyl and cyclohexyl groups.
- substituted carbocyclyl and “carbocyclo” mean these groups substituted by the same substituents as the "substituted alkyl” group.
- a “carbocycloalkyl” group is a carbocyclo group as defined above covalently bonded to an alkyl group as defined above.
- heterocycle refers to a mono-, bi- or tri-cyclic ring system having 5-16 members wherein at least one ring atom is a heteroatom (i.e. N, O and S as well as SO, or SO 2 ).
- the ring system is saturated, unsaturated or partially unsaturated and may be aromatic (unless specified as non-aromatic).
- heterocycles include piperidine, piperazine, pyridine, pyrazine, pyrimidine, pyridazine, morpholine, pyran, pyrole, furan, thiophene (thienyl), imidazole, pyrazole, thiazole, isothiazole, dithiazole, oxazole, isoxazole, dioxazole, thiadiazole, oxadiazole, tetrazole, triazole, thiatriazole, oxatriazole, thiadiazole, oxadiazole, purine and benzofused derivatives thereof.
- alkenyl means a branched or unbranched hydrocarbon group having the number of carbon atoms designated containing one or more carbon-carbon double bonds, each double bond being independently cis, trans, or a nongeometric isomer.
- substituted alkenyl means these alkenyl groups substituted by the same substituents as the "substituted alkyl” group.
- alkynyl means a branched or unbranched hydrocarbon group having the number of carbon atoms designated containing one or more carbon-carbon triple bonds.
- substituted alkynyl means these alkynyl groups substituted by the same substituents as the "substituted alkyl” group.
- alkylthio and C 1 -C 12 substituted alkylthio denote C 1 -C 12 alkyl and C 1 -C 12 substituted alkyl groups, respectively, attached to a sulfur which is in turn the point of attachment for the alkylthio or substituted alkylthio group to the group or substituent designated.
- An "alkylenedioxy” group is a -O-alkyl-0- group, where alkyl is as defined above. Preferred alkylenedioxy groups are methylenedioxy and ethylenedioxy.
- aryl when used alone or as part of another term means a homocyclic aromatic group whether or not fused having the number of carbon atoms designated or if no number is designated, up to 14 carbon atoms.
- Preferred aryl groups include phenyl, naphthyl, biphenyl, phenanthrenyl, naphthacenyl, and the like (see e.g. Lang's Handbook of Chemistry (Dean, J. A., ed), 1985, 13 th ed. Table 7-2).
- aroyl means an aryl group bonded to a carbonyl, such as benzoyl, etc.
- substituted phenyl or “substituted aryl” denotes a phenyl group or aryl group substituted with one, two, three, four or five, preferably 1-2, 1-3 or 1-4 substituents chosen from halogen (F, Cl, Br, I), hydroxy, protected hydroxy, cyano, nitro, alkyl (preferably C 1 -C 6 alkyl), alkoxy (preferably C 1 -C 6 alkoxy), benzyloxy, carboxy, protected carboxy, carboxymethyl, protected carboxymethyl, hydroxymethyl, protected hydroxymethyl, aminomethyl, protected aminomethyl, trifluoromethyl, alkylsulfonylamino, arylsulfonylamino, heterocyclylsulfonylamino, heterocyclyl, aryl, or other groups specified.
- halogen F, Cl, Br, I
- hydroxy, protected hydroxy, cyano nitro
- alkyl preferably C 1 -C 6 alkyl
- substituted phenyl includes but is not limited to a mono- or di(halo)phenyl group such as 2-chlorophenyl, 2-bromophenyl, 4-chlorophenyl, 2,6-dichlorophenyl, 2,5- dichlorophenyl, 3,4-dichlorophenyl, 3-chlorophenyl, 3-bromophenyl, 4-bromophenyl, 3,4-dibromophenyl, 3- chloro-4-fluorophenyl, 2-fluorophenyl and the like; a mono- or di(hydroxy)phenyl group such as 4- hydroxyphenyl, 3-hydroxyphenyl, 2,4-dihydroxyphenyl, the protected-hydroxy derivatives thereof and the like; a nitrophenyl group
- substituted phenyl represents disubstituted phenyl groups where the substituents are different, for example, 3-methyl-4-hydroxyphenyl, 3-chloro-4-hydroxyphenyl, 2-methoxy-4-bromophenyl, 4-ethyl-2- hydroxyphenyl, 3-hydroxy-4-nitrophenyl, 2-hydroxy-4-chlorophenyl, and the like, as well as trisubstituted phenyl groups where the substituents are different, for example 3-methoxy-4-benzyloxy-6-methyl sulfonylamino, 3-methoxy-4-benzyloxy-6-phenyl sulfonylamino, and tetrasubstituted phenyl groups where the substituents are different such as 3-methoxy-4-benzyloxy-5-methyl-6-phenyl sulfonylamino.
- Preferred substituted phenyl groups include the 2-chlorophenyl, 2-aminophenyl, 2-bromo ⁇ henyl, 3-methoxyphenyl, 3- etlioxy-phenyl, 4-benzyloxyphenyl, 4-methoxyphenyl, 3-ethoxy-4-benzyloxyphenyl, 3,4-diethoxyphenyl, 3- methoxy-4-benzyloxyphenyl, 3 -methoxy-4-( 1 -chloromethyl)benzyloxy-phenyl, 3 -methoxy-4-( 1 - chloromethyl)benzyloxy -6- methyl sulfonyl aminophenyl groups.
- substituted phenyl represents phenyl groups having an aryl, phenyl or heteroaryl group fused thereto.
- the fused ring may also be substituted with any, preferably 1, 2 or 3, of the substituents identified above for “substituted alkyl " groups.
- arylalkyl means one, two, or three aryl groups having the number of carbon atoms designated, appended to an alkyl group having the number of carbon atoms designated including but not limited to; benzyl, napthylmethyl, phenethyl, benzhydryl (diphenylmethyl), trityl, and the like.
- a preferred arylalkyl group is the benzyl group.
- substituted arylalkyl denotes an alkyl group, preferably a Q-Cgalkyl group, substituted at any carbon with an aryl group, preferably a C 6 -Cioaryl group, bonded to the alkyl group through any aryl ring position and substituted on the alkyl portion with one, two or three groups chosen from halogen (F, Cl, Br, I), hydroxy, protected hydroxy, amino, protected amino, Q-C ⁇ acyloxy, nitro, carboxy, protected carboxy, carbamoyl, carbamoyloxy, cyano, Q-Qalkylthio, N-(methylsulfonylamino) orCi-C 4 alkoxy.
- halogen F, Cl, Br, I
- hydroxy, protected hydroxy, amino, protected amino, Q-C ⁇ acyloxy nitro, carboxy, protected carboxy, carbamoyl, carbamoyloxy, cyano, Q-Qalkylthio, N-(methyl
- the aryl group may be substituted with one, two, three, four or five groups chosen from halogen, hydroxy, protected hydroxy, nitro, Ci-C 6 alkyl, C 1 -QaIkOXy, carboxy, protected carboxy, carboxymethyl, protected carboxymethyl, hydroxymethyl, protected hydroxymethyl, aminomethyl, protected aminomethyl, or an N-(methylsulfonylamino) group.
- the substituents can be the same or different.
- This group may also appear as the substituted aralkyl moiety of a substituted aralkoxy group.
- substituted aralkyl and this group when it occurs in a "substituted aralkoxy” group include groups such as 2-phenyl-l-chloroethyl, 1 -phenyl- 1-chloromethyl, 1 -phenyl- 1-bromomethyl, 2- (4-methoxyphenyl)ethyl, 2,6-dihydroxy-4-phenyl(n-hexyl), 5-cyano-3-methoxy-2-phenyl(n-pentyl), 3-(2,6- dimethylphenyl)n-propyl, 4-chloro-3-aminobenzyl, 6-(4-methoxyphenyl)-3-carboxy(n-hexyl), 5-(4- aminomethyl phenyl)-3-(aminomethyl)(n-pentyl), and the like.
- carboxy-protecting group refers to one of the ester derivatives of the carboxylic acid group commonly employed to block or protect the carboxylic acid group while reactions are carried out on other functional groups on the compound.
- carboxylic acid protecting groups include 4-nitrobenzyl, 4-methoxybenzyl, 3,4-dimethoxybenzyl, 2,4-dimethoxybenzyl, 2,4,6- trimethoxybenzyl, 2,4,6-trimethylben2yl, pentamethylbenzyl, 3,4-methylenedioxyben2yl, benzhydryl, 4,4'- dimethoxybenzhydryl, 2,2',4,4'-tetramethoxybenzhydryl, alkyl such as t-butyl or t-amyl, trityl, 4- methoxytrityl, 4,4'-dimethoxytrityl, 4,4',4"-trimethoxytrityl, 2-phenylprop-2-
- carboxy-protecting group employed is not critical so long as the derivatized carboxylic acid is stable to the condition of subsequent reaction(s) on other positions of the molecule and can be removed at the appropriate point without disrupting the remainder of the molecule.
- it is important not to subject a carboxy-protected molecule to strong nucleophilic bases or reductive conditions employing highly activated metal catalysts such as Raney nickel. (Such harsh removal conditions are also to be avoided when removing amino-protecting groups and hydroxy- protecting groups, discussed below.)
- Preferred carboxylic acid protecting groups are the allyl and p- nitrobenzyl groups.
- protected carboxy refers to a carboxy group substituted with one of the above carboxy-protecting groups.
- hydroxy-protecting group refers to a derivative of the hydroxy group commonly employed to block or protect the hydroxy group while reactions are carried out on other functional groups on the compound.
- protecting groups include tetrahydropyranyloxy, acetoxy, carbamoyloxy, trifluoro, chloro, carboxy, bromo and iodo groups. Further examples of these groups are found in T. W. Greene and P. G. M. Wuts, "Protective Groups in Organic Synthesis", 2nd ed., John Wiley & Sons, Inc., New York, NY, 1991, chapters 2-3; E. Haslam, "Protective Groups in Organic Chemistry", J. G. W.
- protected hydroxy refers to a hydroxy group substituted with one of the above hydroxy-protecting groups.
- amino-protecting group refers to a derivative of the groups commonly employed to block or protect an amino group while reactions are carried out on other functional groups on the compound.
- protecting groups include carbamates, amides, alkyl and aryl groups, imines, as well as many N-heteroatom derivatives which can be removed to regenerate the desired amine group. Further examples of these groups are found in T. W. Greene and P. G. M. Wuts, "Protective Groups in Organic Synthesis", 2nd ed., John Wiley & Sons, Inc., New York, NY, 1991, chapter 7; E. Haslam, "Protective Groups in Organic Chemistry", J. G. W.
- protected amino refers to an amino group substituted with one of the above amino- i protecting groups.
- heterocyclic group “heterocyclic”, “heterocyclyl”, or “heterocyclo” alone and when used as a moiety in a complex group such as a heterocycloalkyl group, are used interchangeably and refer to any mono-, M-, or tricyclic saturated or non-aromatically unsaturated ring having the number of atoms designated, generally from 3 to about 10 ring atoms, where the ring atoms are carbon and 1,2,3 or 4 nitrogen, sulfur or oxygen atoms.
- a 5-membered ring has 0 to 2 double bonds and 6- or 7-membered ring has 0 to 3 double bonds and the nitrogen or sulfur heteroatoms may optionally be oxidized, and any nitrogen heteroatom may optionally be quaternized.
- Examples include morpholinyl, pyrrolidinyl, oxiranyl, oxetanyl, tetrahydrofuranyl, 2,3-dihydrofuranyl, 2H-pyranyl, tetrahydropyranyl, thiiranyl, thietanyl, tetrahydrothietanyl, aziridinyl, azetidinyl, l-methyl-2-pyrrolyl, piperidinyl, and 3,4,5,6-tetrahydropiperidinyl.
- a preferred group is the morpholinyl group.
- heterocycloalkyl or a “heterocycloalkenyl” group is a heterocyclo group as defined above covalently bonded to an alkyl or alkenyl group as defined above.
- heteroaryl alone and when used as a moiety in a complex group such as a heteroaralkyl group, refers to any mono-, bi-, or tricyclic aromatic ring system having the number of atoms designated where at least one ring is a 5-, 6- or 7-membered ring containing from one to four heteroatoms selected from the group nitrogen, oxygen, and sulfur,and preferably at least one heteroatom is nitrogen (Lang's Handbook of Chemistry, supra). Included in the definition are any bicyclic groups where any of the above heteroaryl rings are fused to a benzene ring. Heteroaryls in which nitrogen or oxygen is the heteroatom are preferred.
- heteroaryl whether substituted or unsubstituted groups denoted by the term "heteroaryl”: thienyl, furyl, imidazolyl, pyrazolyl, thiazolyl, isothiazolyl, oxazolyl, isoxazolyl, triazolyl, thiadiazolyl, oxadiazolyl, tetrazolyl, thiatriazolyl, oxatriazolyl, pyridyl, pyrimidyl, pyrazinyl, pyridazinyl, thiazinyl, oxazinyl, triazinyl, thiadiazinyl, oxadiazinyl, dithiazinyl, dioxazinyl, oxathiazinyl, tetrazinyl, thiatriazinyl, oxatriazinyl, dithiadiazinyl
- Heterocyclic 5-membered ring systems containing a sulfur or oxygen atom and one to three nitrogen atoms are also suitable for use in the instant invention.
- preferred groups include thiazolyl, in particular thiazol-2-yl and thiazol-2-yl N-oxide, thiadiazolyl, in particular l,3,4-thiadiazol-5-yl and 1,2,4- thiadiazol-5-yl, oxazolyl, preferably oxazol-2-yl, and oxadiazolyl, such as l,3,4-oxadiazol-5-yl, and 1,2,4- oxadiazol-5-yl.
- a group of further preferred examples of 5-membered ring systems with 2 to 4 nitrogen atoms include imidazolyl, preferably imidazol-2-yl; triazolyl, preferably l,3,4-triazol-5-yl; l,2,3-triazol-5-yl, l,2,4-triazol-5-yl, and tetrazolyl, preferably lH-tetrazol-5-yl.
- a preferred group of examples of benzo-fused derivatives are benzoxazol-2-yl, benzthiazol-2-yl and benzimidazol-2-yl.
- heterocylic ring systems are 6-membered ring systems containing one to three nitrogen atoms and optionally a sulfur or oxygen atom.
- Such examples include pyridyl, such as pyrid-2-yl, pyrid-3-yl, and pyrid-4-yl; pyrimidyl, preferably pyrimid-2-yl and pyrimid-4-yl; triazinyl, preferably l,3,4-triazin-2-yl and l,3,5-triazin-4-yl; pyridazinyl, in particular pyridazin-3-yl, and pyrazinyl.
- the pyridine N-oxides and pyridazine N-oxides and the pyridyl, pyrimid-2-yl, pyrimid-4-yl, pyridazinyl and the l,3,4-triazin-2-yl groups, are a preferred group.
- the substituents for the optionally substituted heterocyclic ring systems, and further examples of the 5- and 6-membered ring systems discussed above can be found in W. Druckheimer et al., U.S. Patent No. 4,278,793.
- heteroaryl include; l,3-thiazol-2-yl, 4-(carboxymethyl)-5- methyl-l,3-thiazol-2-yl, 4-(carboxymethyl)-5-methyl-l,3-thiazol-2-yl sodium salt, l,2,4-thiadiazol-5-yl, 3- methyl-l,2,4-thiadiazol-5-yl, l,3,4-triazol-5-yl, 2-methyl-l,3,4-triazol-5-yl, 2-hydroxy-l,3,4-triazol-5-yl, 2- carboxy-4-methyl-l,3,4-triazol-5-yl sodium salt, 2-carboxy-4-methyl-l,3,4-triazol-5-yl, l,3-oxazol-2-yl, l,3,4-oxadiazol-5-yl, 2-methyl-l,3,4-oxadiazol-5-yl, 2-(hydroxymethyl)-l,3,4-ox
- heteroaryl includes; 4-(carboxymethyl)-5-methyl-l,3-thiazol-2-yl, 4- (carboxymethyl)-5-methyl-l,3-thiazol-2-yl sodium salt, l,3,4-triazol-5-yl, 2-methyl-l,3,4-triazol-5-yl, IH- tetrazol-5-yl, l-methyl-lH-tetrazol-5-yl, l-(l-(dimethylamino)eth-2-yl)-lH-tetrazol-5-yl, l-(carboxymethyl)- lH-tetrazol-5-yl, l-(carboxymethyl)-l H-tetrazol-5-yl sodium salt, l-(methylsulfonic acid)- 1 H-tetrazol-5-yl, l-(methylsulfonic acid)- 1 H-tetrazol-5-yl sodium salt, l,
- lower when used with a term such as alkyl to form “lower alkyl”, for example, means containing from 1 to 6 carbon atoms.
- “Pharmaceutically acceptable salts” include both acid and base addition salts.
- “Pharmaceutically acceptable acid addition salt” refers to those salts which retain the biological effectiveness and properties of the free bases and which are not biologically or otherwise undesirable, formed with inorganic acids such as hydrochloric acid, hydrobromic acid, sulfuric acid, nitric acid, carbonic acid, phosphoric acid and the like, and organic acids may be selected from aliphatic, cycloaliphatic, aromatic, araliphatic, heterocyclic, carboxylic, and sulfonic classes of organic acids such as formic acid, acetic acid, propionic acid, glycolic acid, gluconic acid, lactic acid, pyruvic acid, oxalic acid, malic acid, maleic acid, maloneic acid, succinic acid, fumaric acid, tartaric acid, citric acid, aspartic acid, ascorbic acid, glutamic acid, anthranilic acid, benzoic acid, cinnamic acid
- “Pharmaceutically acceptable base addition salts” include those derived from inorganic bases such as sodium, potassium, lithium, ammonium, calcium, magnesium, iron, zinc, copper, manganese, aluminum salts and the like. Particularly preferred are the ammonium, potassium, sodium, calcium and magnesium salts.
- Salts derived from pharmaceutically acceptable organic nontoxic bases includes salts of primary, secondary, and tertiary amines, substituted amines including naturally occurring substituted amines, cyclic amines and basic ion exchange resins, such as isopropylamine, trimethylamine, diethylamine, triethylamine, tripropylamine, ethanolamine, 2-diethylaminoethanol, trimethamine, dicyclohexylamine, lysine, arginine, histidine, caffeine, procaine, hydrabamine, choline, betaine, ethylenediamine, glucosamine, methylglucamine, theobromine, purines, piperizine, piperidine, N-ethylpiperidine, polyamine resins and the like.
- basic ion exchange resins such as isopropylamine, trimethylamine, diethylamine, triethylamine, tripropylamine, ethanolamine, 2-diethylamin
- organic non-toxic bases are isopropylamine, diethylamine, ethanolamine, trimethamine, dicyclohexylamine, choline, and caffeine.
- Small molecule antagonists of alpha4 integrins useful in the methods of the invention include compounds of formula I, II, or III and as described in WO 01/21584:
- Z is H or lower alkyl;
- A can have the structure:
- B is cyanoalkyl, a carbocycle or a heterocycle optionally substituted with one or more Ri substituents; q is 0-3;
- R 1 , R 2 , R 3 , R 4 , R 5 and R 6 independently are hydrogen, alkyl, amino, alkylamino, dialkylamino, nitro, urea, cyano, thio, alkylthio, hydroxy, alkoxy, alkoxyalkyl, alkoxycarbonyl, alkoxycarbonylamino, aryloxycarbonylamino, alkylsulfinyl, sulfonyl, alkylsulfonyl, aralkylsulfonyl, arylsulfonyl, heteroarylsulfonyl, alkanoyl, alkanoylamino, cycloalkanoylamino, aryl, arylalkyl, halogen, or alkylphosphonyl, and R 1 , R 2 , R 3 , R 4 and R 5 are substituted with 0-3 substituents selected from the group consisting of hydroxy, carboxyl
- Y is H, alkoxy, alkoxyalkoxy, aryloxy, alkylaminoalkoxy, dialkylaminoalkoxy, alkylamino, arylamino, heterocyclyl or heteroarylalkyl, where each of the forgoing may be substituted or unsubstituted;
- X 1 is H, C(O)OR, C(O)NRaRb, C(O)R, or C(O)SR, wherein R, Ra and Rb, individually, is hydrogen or alkyl, alkoxy, aryl, heterocyclyl, heteroaryl, substituted with 0-4 substituents selected from the group consisting of halogen, hydroxy, amino, carboxyl, nitro, cyano, heterocylyl, heteroaryl, aryl, aroyl, aryloxy, aralkyl, aralkyloxy, aryloxycarbonyl, aralkyloxycarbonyl, alkylenedioxy, lower alkoxycarbonyl, lower alkyl, lower alkenyl, lower alkynyl, lower alkylthio, lower alkoxy, lower alkylamino, lower alkylsulfinyl, lower sulfonyl, lower alkylsulfonyl, lower alkanoyl, lower alkyl
- X' is a divalent linker selected from the group consisting of C(O)NRa, C(O) or a bond;
- X 2 and X 3 are each independently hydrogen, halogen, hydroxy, amino, carboxyl, nitro, cyano, or substituted or unsubstituted alkyl, aryl, heterocylyl, heteroaryl, aryl, aroyl, aryloxy, alkylenedioxy, lower alkyl carbonylamino, lower alkenyl carbonylamino, aryl carbonylamino, arylalkyl carbonylamino, lower alkoxy carbonylamino, lower alkylamino carbonylamino, arylamino carbonylamino, lower alkoxycarbonyl, lower alkyl, lower alkenyl, lower alkynyl, lower alkylthio, lower alkoxy, lower alkylamino, lower alkylsulfinyl, lower sulfonyl, lower alkylsulfonyl, lower alkanoyl, lower alkylphosphonyl, aminosulfony
- X 1 ', X 2 ', X3' and X4' are each independently hydrogen, halogen, hydroxy, amino, carboxyl, nitro, cyano, or substituted or unsubstituted alkyl, alkenyl, alkynyl, arylalkyl, heterocylyl, heteroaryl, aryl, aroyl, aryloxy, alkylenedioxy, lower alkyl carbonylamino, lower alkenyl carbonylamino, aryl carbonylamino, arylalkyl carbonylamino, lower alkoxy carbonylamino, lower alkylamino carbonylamino, arylamino carbonylamino, lower alkoxycarbonyl, lower alkyl, lower alkenyl, lower alkynyl, lower alkylthio, lower alkoxy, lower alkylamino, lower alkylsulfinyl, lower sulfonyl, lower alkyls
- the compounds of the invention contain one or more asymmetric carbon atoms. Accordingly, the compounds may exist as diasteriomers, enantiomers or mixtures thereof.
- the syntheses described above may employ racemates, diasteriomers or enantiomers as starting materials or as intermediates. Diasteriomeric compounds may be separated by chromatographic or crystallization methods. Similarly, enantiomeric mixtures may be separated using the same techniques or others known jun the art.
- Each of the asymmetric carbon atoms may be in the R or S configuration and both of these configurations are within the scope of the invention. Compounds having the S configuration are preferred.
- Xi in structure I is C(O)OR, C(O)R, or C(O)SR, more preferably C(O)NRaRb, with the remaining variables A, Z, Y, X 2 , X 3 and X 4 having any of the definitions given above.
- the X 1 group is preferably in the para position relative to the point of ring attachment, but may also be preferably in the meta position.
- Ra and Rb together with the nitrogen to which they are attached may preferably form a 5-membered or 6-membered heterocyclyl or heteroaryl group substituted with 0-5 substituents R.
- the heterocyclyl or heteroaryl ring system will preferably contain one nitrogen atom, but may also preferably contain another nitrogen or an oxygen atom in the ring system.
- the hetero ring systems may contain fused heterocyclyl or heteroaryl rings or a combination of both and the rings may be substituted or unsubstituted.
- R, Ra and Rb may also be non-cyclic, for example an hydrogen or alkyl, aryl, heterocyclyl, heteroaryl, substituted with 0-4 substituents selected from the group consisting of halogen, hydroxy, amino, carboxyl, nitro, cyano, heterocylyl, heteroaryl, aryl, aroyl, aryloxy, alkylenedioxy, lower alkoxycarbonyl, lower alkyl, lower alkenyl, lower alkynyl, lower alkylthio, lower alkoxy, lower alkylamino, lower alkylsulfinyl, lower sulfonyl, lower alkylsulfonyl, lower alkanoyl, lower alkylphosphonyl, aminosulfonyl lower alkyl, hydroxy lower alkyl, alkylsulfinyl lower alkyl, alkylsulfonyl lower alkyl, alkylthio lower alkyl, heteroary
- A can have the structure (IX)
- R 1 , R 5 , or both R 1 and R 5 are not hydrogen. That is, preferred A groups are ortho- substituted benzoyl groups. Particularly preferred ortho substituents are chloro, bromo, amino and hydroxy.
- the phenyl ring of the benzoyl may preferably have one or two additional substituents at R 2 , R 3 or R 4 .
- R 1 , R 2 , R3 R 4 , and R 5 include nitro, halogen (Cl, Br, F, I), amino, aryl, lower alkyl, lower alkylthio, lower alkoxy, lower alkylamino, lower alkyl sulfinyl, lower alkylsulfonyl, lower alkanoyl, and lower alkylphosphonyl, which may each be substituted or unsubstituted.
- Some representative examples of the structure A (IX) are include:
- Y is preferably OH or an ester or pharmaceutically acceptable carboxylic acid salt thereof.
- Preferred esters are substituted or unsubstituted alkyl, alkenyl, aryl, and aryl alkyl esters.
- Z is preferably hydrogen.
- Preferred X 2 , X 3 and X 4 include halogen, alkyl, amino, alkylamino, and alkyl carbonylamino, the alkyl group of which may be substituted or unsubstituted.
- X 2 and X 3 are more preferably hydrogen.
- X 2 , X 3 and X 4 are more preferably hydrogen.
- X 1 of Formulas I, II, or III can be any one of the groups shown in Table
- substituent R when combined with the carbonyl from which it depends.
- A is any of the groups shown in Table 1 which is designated as substituent R'.
- Preferred Compounds of Formula X include those of formula X below, having the R and R' substituents shown in Tables 1 and 2, as well as the specific compounds shown in Table 3.
- alpha4 integrin small molecule antagonists include those listed in the following table.
- alphaL integrin refers to a heterodimer comprising an alphaL subunit and a beta subunit.
- an alphaL integrin contains alphaLbeta2 subunits (LFA-I or LFA-I integrin).
- LFA-I alphaLbeta2 subunits
- biological activities of an alphaL integrin include any one or combination of the following activities: (1) binding to a ligand of LFA-I (e.g., any one of CD54 (ICAM-I), CD102 (ICAM-2), CD50 (ICAM-3), CD242 (ICAM-4), and ICAM-5 (telencephalin), and (2) promoting attachment of B lymphocytes to an organ or to an immobilized spleen, or to lymph node cells.
- a ligand of LFA-I e.g., any one of CD54 (ICAM-I), CD102 (ICAM-2), CD50 (ICAM-3), CD242 (ICAM-4), and ICAM-5 (telencephal
- the ligand of alphaLbeta2 is ICAM-I (CD-54).
- ICAM-I CD-54
- An example of a human ICAM-I (CD-54) polypeptide sequence is shown below (SWISSPROT Accession No. P05362):
- Residues 1 to 27 comprise a signal sequence
- residues 28 to 480 comprise an extracellular domain
- residues 481 to 503 comprise a transmembrane domain
- residues 504 to 542 comprise a cytoplasmic domain.
- the ligand of alphaL integrin for example, alphaLbeta2 (LFA-I) is
- ICAM-2 (CD- 102).
- CD- 102 An example of a human ICAM-2 (CD- 102) polypeptide sequence is shown below (Genbank Accession No. CAG46633, EMBL Accession No. CR541834.1):
- Residues 1 to 21 comprise a signal sequence
- residues 22 to 224 comprise an extracellular domain
- residues 224 to 248 comprise a transmembrane domain
- residues 249 to 275 comprise a cytoplasmic domain.
- the ligand of alphaL integrin for example alphaLbeta2 (LFA-I) is ICAM-3 (CD-50).
- ICAM-3 CD-50
- An example of a human ICAM-3 (CD-50) polypeptide sequence is shown below (SWISSPROT Accession No. P32942):
- Residues 1 to 29 comprise a signal sequence
- residues 30 to 485 comprise an extracellular domain
- residues 486 to 510 comprise a transmembrane domain
- residues 511 to 547 comprise a cytoplasmic domain.
- the ligand of alphaL integrin for example alphaLbeta2 (LFA-I) is
- ICAM-4 An example of a human ICAM-4 polypeptide sequence is shown below (SWISSPROT Accession No. Q 14773):
- Residues 1 to22 comprise a signal sequence
- residues23 to240 comprise anextracellulardomain
- residues 241 to261 comprise atransmembrane domain
- residues 262 to271 comprise acytoplasmic domain.
- the ligand ofalphaL integrin is ICAM-5.
- Residues 1 to 31 comprise a signal sequence
- residues 32 to 835 comprise an extracellular domain
- residues 836 to 856 comprise a transmembrane domain
- residues 857 to 924 comprise a cytoplasmic domain.
- alphaL integrin antagonist is used in the broadest sense, and includes any molecule that partially or fully blocks a biological activity of an alphaL integrin.
- an alphaL integrin antagonist partially or fully blocks the interaction between an alphaL integrin and its ligand and any one or combination of the following events: (1) promotes the circulation of B lymphocytes in mammals and (2) partially or fully blocks, inhibits, or neutralizes native sequence alphaL integrin signaling.
- the alphaL integrin antagonist inhibits B cell attachment to the spleen or to lymph nodes.
- the alphaL integrin antagonist inhibits B cell attachment to the marginal zone and/or germinal center of the spleen and lymph nodes.
- Antagonists of ⁇ L integrin and ⁇ 4 integrin can be used alone, or used together, simultaneously or sequentially, to promote the circulation of B lymphocytes in mammals.
- multiple different antagonists of ⁇ L integrin and ⁇ 4 integrin can be used alone, or used together, simultaneously or sequentially, to promote the circulation of B lymphocytes in mammals.
- the antagonist can bind to the alphaL integrin, to the alphaL subunit, or to a ligand of the alphaL integrin.
- Suitable alphaL integrin antagonists include any compound that inhibits the interaction of alphaL integrin and a ligand, such as ICAM-I (CD-54).
- the alphaL integrin antagonist may be a small molecule, peptide, protein, immunoadhesin, an anti-alphaL antibody, or a fragment thereof, for example, and may be, for example, an alphaLbeta2 (LFA-I) antagonist.
- LFA-I alphaLbeta2
- the antagonist is directed to or binds to the alpha L (CDl Ia) subunit or the alphaL integrin as a unit.
- the alphaL antagonist can be an antibody that binds the alphaL integrin, the alphaL subunit, or binds a ligand of the alpha L integrin, for example.
- Antibodies that bind the alphaL subunit (CDl Ia) include, for example, the antibody MHM24 (Hildreth et al., 1983, Eur. J. Immunol. 13:202-208), the IgGl antibody R3.1 (Boehringer Ingelheim Pharmaceuticals, Inc., Ridgef ⁇ eld, CT), 25-3 (or 25.3), an IgGl available from Immunotech, France, as cited in Olive et al., 1986, In: Feldmann, ed., Human T cell Clones.
- a preferred anti- CDl Ia antibody is the humanized antibody efalizumab, (RaptivaTM; Genentech, CA).
- Other preferred anti- CDl Ia antibodies include the humanized antibodies described in U.S. Patent 6,037,454. It is also generally preferred that the anti-CD 1 Ia antibodies are not T-cell depleting antibodies, that is, that the administration of the anti-CDl Ia antibody does not reduce the level of circulating T-cells.
- the humanized anti-CDl Ia antibody is one that comprises the VL sequence of
- DIQMTQSPSSLSASVGDRVTITCRASKTISKYLA WYQQKPGKAPKLLIYSGSTLQSGVPSRFSGSGSGT DFTLTISSLQPEDFATYYCQQHNEYPLTFGQGTKVEIK (SEQ ID NO. 49), and the VH sequence of EVQLVESGGGLVQPGGSLRLSCAASGYSFTGHWMNWRQAPGKGLEWVGMIHPSDSETRYNQKFK DRFTISVDKSKNTLYLQMNSLRAEDTAVYYCARGIYFYGTTYFDYWGQGTLVTVSS (SEQ ID NO. 50); or
- the anti-CDl Ia antibody is one that comprises the MHM24 VL sequence
- antibodies that bind the beta subunit include anti-CD 18 antibodies such as MHM23 (Hildreth et al., supra), M18/2 (IgG2a) (Sanches-Madrid et al., 1983, J. Exp. Med. 158:586), H52 (Fekete et W al., 1990, J. Clin. Lab Immunol. 31:145-149), Masl91c (Vermot Desroches et al., supra), IOT18 (Vermot Desroches et al., supra), 60.3 (Taylor et al., 1988, Clin. Exp. Immunol 71:324-328 ), and 60.1 (Campana et al., 1986, Eur. J. Immunol. 16:537-542). See also US 5,997,867.
- alphaLbeta2 (LFA-I) binding molecules including antibodies, are described, for example, in Hutchings et al., supra, WO 98/51343, WO 91/18011, WO 91/16928, WO 91/16927, Can. Pat. Appln. 2,008,368, WO 90/15076, WO 90/10652, WO 90/13281, WO 93/06864, WO
- AlphaLbeta2 (LFA-I) antagonists also include antibodies that inhibit the interaction of alphaLbeta2 (LFA-I) and its receptor, including, for example, antibodies against one or more of ICAM-I, ICAM-2, ICAM-
- ICAM-4 ICAM-5
- anti-ICAM-1 antibodies enlimomab BIRR-I
- 1A6 Boehringer Ingelheim Pharmaceuticals (Ridgefield, CT) and Perlan Therapeutics Inc., (San Diego, CA), respectively
- anti-ICAM-3 antibody ICM3 available from ICOS Corp. (Bothell, WA).
- the integrin antagonist is an immunoadhesin.
- An example of such an immunoadhesin is one that comprises a soluble portion of a ligand of alphaL integrin that binds to alphaL, for example, the ligand binding domain or the extracellular domain of a ligand of the alphaL integrin, such as ICAM-I, ICAM-2, ICAM-3, ICAM-4, and ICAM 5, for example.
- ICAM-I binds to LFA-I (CDl Ia) within Domain 1 (residues 41-103 according to the Universal Protein Resource catalog (UniProt)). See, for example, Bella et al., 1998, Proc. Natl. Acad. ScL USA, 95: 4140-4145.
- ICAM-2 binds to LFA-I (CDl Ia) and MAC-I (CDlIb) within Domain 1 (residues 41-98 according to UniProt). See, for example, Bella et al., 1998, supra; and Hermand et al., 2000, J. Biol. Chem., 275: 26002-26010.
- ICAM-3 binds to LFA-I (CDl Ia) within Domain 1 (residues 46-103 according to UniProt) and does not bind to MAC-I (CDl Ib). See, for example, Bella et al., 1998, supra; and Hermand et al., 2000, supra).
- ICAM-4 binds to LFA-I (CDl Ia) within Domain 1 (residues 62-124 according to UniProt) (Hermand et al., 2000, supra).
- ICAM-5 binds to LFA-I (CDl Ia) within Domain 1 (residues 48-130 according to UniProt). See, for example, Tian et al., 2000, Eur. J. Immunol, 30: 810-818.
- the integrin or integrin subunit antagonists of the invention specifically include proteins, in particular, antibodies and functional fragments thereof, peptides, immunoadhesins and small molecules.
- the antibodies can be humanized, human, or chimeric forms, or a fragment of these.
- the alphaL integrin antagonist is a small molecule.
- small molecules that are alphaL integrin antagonists include those disclosed in published PCT applications WO 99/49856, and WO 02/059114.
- the antagonist is any one of the small molecules recited in WO 02/059114 having the Formula (IX) as described in detail below.
- the antagonist is any one of the small molecules recited in WO 02/059114 and shown in Table 4 (i.e., compounds numbered 4, 5, 35, 17, 10, 12, 13, 14, 41, 44, 6, 15, 36, 37, 38, 40, 42, 9, 3 and 51). a. Formula XI
- B cell mobilizing agents also include alphaL integrin antagonists including the alphaL integrin antagonist compounds of formula XI:
- X is a divalent hydrocarbon chain optionally substituted with hydroxyl, mercapto, halogen, amino, aminoalkyl, nitro, oxo or thio and optionally interrupted with N, O, S, SO or SO 2 ;
- Y is a carbocycle or heterocycle optionally substituted with hydroxyl, mercapto, halogen, oxo, thio, a hydrocarbon, a halo-substituted hydrocarbon, amino, amidine, guanidine, cyano, nitro, alkoxy or acyl;
- L is a bond or a divalent hydrocarbon optionally having one or more carbon atoms replaced with N,
- R 1 is H, OH, amino, 0-carbocycle or alkoxy optionally substituted with amino, a carbocycle or a heterocycle
- R 2 -5 are independently H, hydroxyl, mercapto, halogen, cyano, amino, amidine, guanidine, nitro or alkoxy
- R3 and R4 together form a fused carbocycle or heterocycle optionally substituted with hydroxyl, halogen, oxo, thio, amino, amidine, guanidine or alkoxy;
- R 6 is H or a hydrocarbon chain optionally substituted with a carbocycle or a heterocycle; and salts, solvates and hydrates thereof; with the proviso that when Y is phenyl, R 2 , R 4 and R 5 are H, R3 is Cl and R 1 is OH then X is other than cyclohexyl; or a pharmaceutically acceptable salt thereof.
- Cy can be a 3-5 member ring.
- Cy can be a 5-member non-aromatic heterocycle optionally substituted with hydroxyl, oxo, thio, Cl, C 1-4 alkyl (preferably methyl), or C 1-4 alkanoyl (preferably acetyl, propanoyl or butanoyl).
- the non-aromatic heterocycle can comprise one or heteroatoms (N, O, or S) and is optionally substituted with hydroxyl, oxo, mercapto, thio, methyl, acetyl, propanoyl or butyl.
- the non-aromatic heterocycle comprises at least one nitrogen atom that is optionally substituted with methyl or acetyl.
- the non-aromatic heterocycle is selected from the group consisting of piperidine, piperazine, morpholine, tetrahydrofuran, tetrahydrothiophene, oxazolidine, thiazolidine optionally substituted with hydroxy, oxo, mercapto, thio, alkyl or alkanoyl.
- Cy is a non-aromatic heterocycle selected from the group consisting of tetrahydrofuran-2-yl, thiazolidin-5-yl, thiazolidin-2-one-5-yl, and thiazolidin-2-thione-5-yl and cyclopropapyrrolidine.
- Cy is a 3-6 member carbocycle optionally substituted with hydroxyl, mercapto, halogen, oxo, thio, amino, amidine, guanidine, alkyl, alkoxy or acyl.
- the carbocycle is saturated or partially unsaturated.
- Cy is a carbocycle selected from the group consisting of cyclopropyl, cyclopropenyl, cyclobutyl, cyclobutenyl, cyclopentyl, cyclopentenyl, cyclohexyl and cyclohexenyl.
- X is a C 1-5 divalent hydrocarbon linker optionally having one or more carbon atoms replaced with N, O, S, SO or SO 2 and optionally being substituted with hydroxyl, mercapto, halogen, amino, aminoalkyl, nitro, oxo or thio. In a preferred embodiment X will have at least one carbon atom. Replacements and substitutions may form an amide moiety (-NRC(O)- or -C(O)NR-) within the hydrocarbon chain or at either or both ends. Other moieties include sulfonamide (-NRSO 2 - or -SO 2 NR), acyl, ether, thioether and amine.
- X is the group -CH 2 -NR 6 -C(O)- wherein the carbonyl -C(O)- portion thereof is adjacent (i.e. covalently bound) to Cy and R 6 is alkyl i.e. methyl and more preferably H.
- Y is a carbocycle or heterocycle optionally substituted with hydroxyl, mercapto, halogen, oxo, thio, a hydrocarbon, a halo-substituted hydrocarbon, amino, amidine, guanidine, cyano, nitro, alkoxy or acyl.
- Y is aryl or heteroaryl optionally substituted with halogen or hydroxyl.
- Y is phenyl, furan-2-yl, thiophene-2-yl, phenyl substituted with a halogen (preferably Cl) or hydroxyl, preferably at the meta position.
- L is a divalent hydrocarbon optionally having one or more carbon atoms replaced with N, O, S, SO or SO2 and optionally being substituted with hydroxyl, halogen oxo, or thio; or three carbon atoms of the hydrocarbon are replaced with an amino acid residue.
- L is less than 10 atoms in length and more preferably 5 or less and most preferably 5 or 3 atoms in length.
- Preferred amino acid side chains include non-naturally occurring side chains such as phenyl or naturally occurring side chains. Preferred side chains are those from Phe, Tyr, Ala, GIn and Asn.
- L is -CH 2 -NR 6 -C(O)- wherein the methylene moiety (-CH 2 -) thereof is adjacent to Y.
- R 1 is H, OH, amino, O-carbocycle or alkoxy optionally substituted with amino, a carbocycle or a heterocycle.
- Ri is H, phenyl or C 1-4 alkoxy optionally substituted with a carbocycle such as phenyl.
- R 1 is H.
- R 1 is methoxy, ethoxy, propyloxy, butyloxy, isobutyloxy, s-butyloxy, t-butyloxy, phenoxy or benzyloxy.
- R 1 is NH 2 .
- R] is ethoxy.
- R 1 is isobutyloxy.
- R 1 is alkoxy substituted with amino, for example 2-aminoethoxy, N-morpholinoethoxy, N,N-dialkyaminoethoxy, quaternary ammonium hydroxy alkoxy (e.g. trimethylammoniumhydroxyethoxy).
- R 2- 5 are independently H, hydroxyl, mercapto, halogen, cyano, amino, amidine, guanidine, nitro or alkoxy; or R 3 and R 4 together form a fused carbocycle or heterocycle optionally substituted with hydroxyl, halogen, oxo, thio, amino, amidine, guanidine or alkoxy.
- R 2 and R 3 are independently H, F, Cl, Br or I.
- R 4 and R 5 are both H.
- one OfR 2 and R 3 is a halogen while the other is hydrogen or a halogen.
- R 3 is Cl while R 2 , R 4 and R 5 are each H.
- R 2 and R 3 are both Cl while R 4 and R 5 are both H.
- R 6 is H or a hydrocarbon chain optionally substituted with a carbocycle or a heterocycle.
- R 6 is H or alkyl i.e. methyl, ethyl, propyl, butyl, i-butyl, s-butyl or t-butyl. In a particular embodiment R 6 is H.
- compounds of the invention have the general formula (XIa) - (XIf)
- the carbon atom marked with an asterisk (*) in compounds of formula (IXa) - (IXf) is chiral.
- the carbon atom has an R-configuration.
- the carbon atom has an S- configuration.
- Specific alphaL antagonist small molecules include those shown in Table 4 below. Table 4.
- B-cell depleting agents as defined above, are antagonist molecules that target B cells via surface markers, or antigens resulting in the death of the B cells directly or indirectly. Such B cell depletion agents generally bind a B cell surface marker or antigen. B cell depleting agents can be anti-B cell surface antigen antibodies, for example. Examples of such B cell depleting agents include anti-CD20, anti-CD22, and anti- CD52 antibodies, such as the anti-CD20 antibody, natiluzamab.
- B cell surface marker or "B cell surface antigen,” as used herein, is an antigen expressed on the surface of a B cell that can be targeted with an antagonist that binds thereto.
- Exemplary B cell surface markers include CDlO, CD19, CD20, CD21, CD22, CD23, CD24, CD37, CD40, CD53, CD72, CD73, CD74, CDw75, CDw76, CD77, CDw78, CD79a ; CD79b, CD80, CD81, CD82, CD83, CDw84, CD85, and CD86 leukocyte surface markers, described for example, in The Leukocyte Antigen Facts Book, 2nd Edition.
- B cell surface markers include CD180 (RP105), FcRH2 (IRTA4), CD79A (Ig ⁇ ), C79B (Ig ⁇ ), B cellCR2, CD196 (CCR6), CD72 (Lyb-2), P2X5, HLA-DOB, CD185 (CXCR5), CD23 (Fc ⁇ RII), BR3, Btig, NAG14, SLGC16270, FcRHl (IRTA5), CD307 (IRTA2), ATWD578, FcRH3, FcRHl (IRTAl), FcRH6, CD269 (BCMA).
- B cell surface antigen is the "CD20" antigen, a 35 kDa, non-glycosylated phosphoprotein found on the surface of greater than 90% of B cells from peripheral blood or lymphoid organs.
- CD20 is expressed during early pre-B cell development and remains until plasma cell differentiation. CD20 is present on normal B cells as well as malignant B cells.
- Other names for CD20 in the literature include "B- lymphocyte-restricted antigen," "Bl,” and "Bp35”.
- the CD20 antigen is described in Clark et al., 1985, PNAS (USA) 82:1766, for example.
- the amino acid sequence of human CD20 is shown in The Leukocyte Antigen Facts Book, Barclay et al. supra, page 182, and also EMBL Genbank accession no. X 12530 and Swissprot P11836.
- CD22 antigen Another particular B cell surface antigen is the "CD22" antigen, also known as BL-CAM or Lyb8.
- CD22 is a type 1 integral membrane glycoprotein with molecular weight of about 130 (reduced) to 14OkD (unreduced). It is expressed in both the cytoplasm and cell membrane of B-lymphocytes.
- CD22 antigen appears early in B-cell lymphocyte differentiation at approximately the same stage as the CD 19 antigen. Unlike other B-cell markers, CD22 membrane expression is limited to late differentiation stages, for example, between mature B cells (CD22+) and plasma cells (CD22-).
- the CD22 antigen is described, for example, in Wilson et al., 1991, J. Exp. Med. 173: 137 and Wilson et al., 1993, J. Immunol. 150:5013.
- BR3 also known as BLyS (BAFF) receptor 3 or BAFF- R.
- BAFF BLyS receptor 3
- BAFF- R Another particular B cell surface antigen
- BAFF is a ligand for BR3 (Patel et al, 2004, J. Biol. Chem., 279: 16727-16735; Thompson et al., 2001, Science, 293, Issue 5537, 2108-2111).
- “Functional fragments” of the B cell surface antigen binding antibodies are those fragments that retain binding to the antigen, for example, CD20, with substantially the same affinity as the intact fall length molecule from which they are derived and demonstrate biological activity such as depleting B cells, as measured by in vitro or in vivo assays.
- B cell depleting antibodies such as anti-CD20 and humanized anti-CD20 binding antibodies, and the like include at least binding of the antibody to a human B cell marker, such as human CD20, more preferably binding to human and other primate B cell markers such as CD20 (including as cynomolgus monkey, rhesus monkey, chimpanzees).
- Useful antibodies bind the B cell antigen with a K d value no higher than 1 x 10 '8 , preferably a K d value no higher than about 1 x 10 '9 '
- Useful antibodies are able to kill or deplete B cells in vivo, preferably by at least 20% when compared to the appropriate negative control which is not treated with such an antibody.
- B cell depletion can be a result of one or more of ADCC, CDC, or other mechanism.
- B cell depleting antibody such as an anti-CD20 antibody (for example, the humanized anti-CD20 antibody, 2H7 and the chimeric anti-CD20 antibody, Rituximab) are preferred to achieve those biological functions, for example, ADCC.
- an anti-CD20 antibody for example, the humanized anti-CD20 antibody, 2H7 and the chimeric anti-CD20 antibody, Rituximab
- rituximab or “RITUXAN®” herein refer to the genetically engineered chimeric murine/human monoclonal antibody directed against the CD20 antigen and designated “C2B8" in US Patent No. 5,736,137, including fragments thereof that retain the ability to bind CD20.
- CD20 antibodies examples include: “C2B8,” which is now called “rituximab” (“RITUXAN®”) (US Patent No. 5,736,137); the yttrium-[90]-labelled 2B8 murine antibody designated “Y2B8” or “Ibritumomab Tiuxetan” (ZEV ALIN®) commercially available from IDEC Pharmaceuticals, Inc. (US Patent No. 5,736,137; 2B8 deposited with ATCC under accession no.
- C2B8 which is now called “rituximab”
- Y2B8 yttrium-[90]-labelled 2B8 murine antibody designated “Y2B8” or “Ibritumomab Tiuxetan” (ZEV ALIN®) commercially available from IDEC Pharmaceuticals, Inc.
- a humanized 2H7 (WO 2004/056312 (Lowman et al.) and as set forth below); HUMAX-CD20TM folly human, high-affinity antibody targeted at the CD20 molecule in the cell membrane of B-cells (Genmab, Denmark; see, for example, Glennie and van de Winkel, Drug Discovery Today 8: 503-510 (2003) and Cragg et al, Blood 101 : 1045-1052 (2003)); the human monoclonal antibodies set forth in WO 2004/035607 (Teeling et al); the antibodies having complex N- glycoside-linked sugar chains bound to the Fc region described in US 2004/0093621 (Shitara et al); CD20 binding molecules such as the AME series of antibodies, e.g., AME-33TM antibodies as set forth in WO 2004/103404 (Watkins et al, Applied Molecular Evolution); A20 antibody or variants thereof such as chimeric or humanized A20 antibody (c
- the preferred CD20 antibodies herein are chimeric, humanized, or human CD20 antibodies, more preferably rituximab, a humanized 2H7, chimeric or humanized A20 antibody (Immunomedics), and HUMAX-CD20TM human CD20 antibody (Genmab).
- the C-terminal lysine (residue 447 according to the EU numbering system) of the Fc region may be removed, for example, during purification of the polypeptide or by recombinant engineering the nucleic acid encoding the polypeptide.
- a composition comprising a polypeptide such as an antibody or an immunoadhesin having an Fc region herein can comprise polypeptides with K447, with all K447 removed, or a mixture of polypeptides with and without the K447 residue.
- the full length H chain sequences provided below include K447, it is intended that compositions of the antibodies belowcomprise antibodies lacking K447 in the H chain.
- the murine anti-human CD20 antibody, m2H7 has the VH sequence:
- humanized 2H7v.16 refers to an intact antibody or antibody fragment comprising the variable light sequence:
- the humanized 2H7V.16 antibody is an intact antibody, preferably it comprises the vl6 light chain amino acid sequence: 1 DIQMTQSPSS LSASVGDRVT ITCRASSSVS YMHWYQQKPG KAPKPLIYAP SNLASGVPSR 61 FSGSGSGTDF TLTISSLQPE DFATYYCQQW SFNPPTFGQG TKVEIKRTVA APSVFIFPPS 121 DEQLKSGTAS VVCLLNNFYP REAKVQWKVD NALQSGNSQE SVTEQDSKDS TYSLSSTLTL 181 SKADYEKHKV YACEVTHQGL SSPVTKSFNR GEC (SEQ ID NO: 31); and vl6 heavy chain amino acid sequence
- sequences of some of the variants of the preceding humanized 2H7v.l6 niAb are as follows: 2H7V.31 having the same L chain sequence as SEQ ID NO: 31 above, with the H chain amino acid sequence:
- 2H7v.511 having the L chain sequence of 2H7v.138 (SEQ ID NO:44), and the H chain amino acid sequence: EVQLVESGGGLVQPGGSLRLSCAASGYTFTSYNMHWVRQAPGKGLEWVGAIYPGNGATSY NQKFKGRFTISVDKSKNTLYLQMNSLRAEDTAVYYCARVVYYSYRYWYFDVWGQGTLVTV SSASTKGPSVFPLAPSSKSTSGGTAALGCLVKDYFPEPVTVSWNSGALTSGVHTFPAVLQ SSGLYSLSSVVTVPSSSLGTQTYICNVNHKPSNTKVDKKVEPKSCDKTHTCPPCPAPELL GGPSVFLFPPKPKDTLMISRTPEVTCVVVDVSHEDPEVKFNWYVDGVEVHNAKTKPREEQ YNATYRVVSVLTVLHQDWLNGKEYKCKVSNAALPAPIAATISKAKGQPREPQVYTLPPSR EEM
- Each of versions 114, 115, 116, 138 ,477, 511 comprise the VL sequence:
- B cell depleting antibodies also include antibodies and binding ligands that antagonize CD20, CD22, CD23, BR3, and CD80.
- Examples include the anti-CD22 antibody LyphoCide TM, also known as epratuzumab (Immunomedics, Inc., Morris Plains, NJ); the BAFF-R (CT) BR3 Blocking Peptide (QED Bioscience, Inc., San Diego, CA); the anti-CD23 antibody, IDEC- 152, a primatised antibody (Biogen IDEC, Cambridge, MA), the anti-CD80 antibody, DEC-114, a primatised antibody (Biogen IDEC, Cambridge, MA); and the like.
- Chimeric and Humanized A20 Antibodies have the following sequences as disclosed in U.S. Provisional Application 2003/0219433.
- the cA20 anti-CD20 antibody has the VL sequence: 1 DIQLTQSPAI LSASPGEKVT MTCRASSSVS YIHWFQQKPG SSPKPWIYAT SNLASGVPVR
- One hA20 anti-CD20 antibody has the VL sequence:
- Humanized (FR-patched) 1F5 antibodies have the sequences disclosed in U.S. Provisional Application 2003/0040606.
- One hulF5 anti-CD20 antibody has the VL sequence:
- An alternate hulF5 anti-CD20 antibody has the VL sequence:
- the methods of the invention are useful to treat a number of malignant and non-malignant diseases including autoimmune diseases and related conditions, and cancers including B cell lymphomas and leukemias.
- malignant and non-malignant diseases including autoimmune diseases and related conditions
- cancers including B cell lymphomas and leukemias.
- stem cells B-cell progenitors
- CD20 antagonists allowing healthy B-cells to regenerate after treatment with CD20 antagonists and return to normal levels within several months.
- Autoimmune diseases or autoimmune related conditions include arthritis (rheumatoid arthritis such as acute arthritis, chronic rheumatoid arthritis, gouty arthritis, acute gouty arthritis, chronic inflammatory arthritis, degenerative arthritis, infectious arthritis, Lyme arthritis, proliferative arthritis, psoriatic arthritis, vertebral arthritis, and juvenile-onset rheumatoid arthritis, osteoarthritis, arthritis chronica progrediente, arthritis deformans, polyarthritis chronica primaria, reactive arthritis, and ankylosing spondylitis), inflammatory hyperproliferative skin diseases, psoriasis such as plaque psoriasis, gutatte psoriasis, pustular psoriasis, and psoriasis of the nails, atopy including atopic diseases such as hay fever and Job's syndrome, dermatitis including contact dermatitis, chronic contact dermatitis, allergic dermatitis, allergic contact dermatitis,
- Epstein-Barr virus infection Epstein-Barr virus infection, mumps, Evan's syndrome, autoimmune gonadal failure, Sydenham's chorea, poststreptococcal nephritis, thromboangitis ubiterans, thyrotoxicosis, tabes dorsalis, chorioiditis, giant cell polymyalgia, endocrine ophthamopathy, chronic hypersensitivity pneumonitis, keratoconjunctivitis sicca, epidemic keratoconjunctivitis, idiopathic nephritic syndrome, minimal change nephropathy, benign familial and ischemia-reperfusion injury, retinal autoimmunity, joint inflammation, bronchitis, chronic obstructive airway disease, silicosis, aphthae, aphthous stomatitis, arteriosclerotic disorders, aspermiogenese, autoimmune hemo
- a B cell neoplasm or malignancy is characterized by expression of a B cell antigen or surfacemarker such as CD20.
- CD20 positive cancers are those comprising abnormal proliferation of cells that express CD20 on the cell surface.
- the CD20 positive B cell neoplasms include CD20-positive Hodgkin's disease including lymphocyte predominant Hodgkin's disease (LPHD); non-Hodgkin's lymphoma (NHL); follicular center cell (FCC) lymphomas; acute lymphocytic leukemia (ALL); chronic lymphocytic leukemia (CLL); Hairy cell leukemia.
- LPHD lymphocyte predominant Hodgkin's disease
- NHL non-Hodgkin's lymphoma
- FCC follicular center cell lymphomas
- ALL acute lymphocytic leukemia
- CLL chronic lymphocytic leukemia
- the non-Hodgkins lymphoma include low grade/follicular non-Hodgkin's lymphoma (NHL), small lymphocytic lymphoma (SLL), intermediate grade/follicular NHL, intermediate grade diffuse NHL, high grade immunoblastic NHL, high grade lymphoblastic NHL, high grade small non- cleaved cell NHL, bulky disease NHL, plasmacytoid lymphocytic lymphoma, mantle cell lymphoma, AIDS- related lymphoma, and Waldenstrom's macroglobulinemia. Treatment of relapses of these cancers are also contemplated.
- NHL low grade/follicular non-Hodgkin's lymphoma
- SLL small lymphocytic lymphoma
- intermediate grade/follicular NHL intermediate grade diffuse NHL
- high grade immunoblastic NHL high grade lymphoblastic NHL
- high grade small non- cleaved cell NHL high grade small non- cleaved cell NHL
- bulky disease NHL plasmacytoid lymph
- LPHD is a type of Hodgkin's disease that tends to relapse frequently despite radiation or chemotherapy treatment and is characterized by CD20-positive malignant cells.
- CLL is one of four major types of leukemia.
- a cancer of mature B-cells called lymphocytes, CLL is manifested by progressive accumulation of cells in blood, bone marrow and lymphatic tissues.
- Indolent lymphoma is a slow-growing, incurable disease in which the average patient survives between six and 10 years following numerous periods of remission and relapse.
- the methods of treatment and of augmenting B cell depletion described herein are useful to treat B cell neoplasms or malignancies, such as non-Hodgkin's lymphoma (NHL), lymphocyte predominant Hodgkin's disease (LPHD), small lymphocytic lymphoma (SLL), chronic lymphocytic leukemia, rheumatoid arthritis and juvenile rheumatoid arthritis, systemic lupus erythematosus (SLE) including lupus nephritis, Wegener's disease, inflammatory bowel disease, idiopathic thrombocytopenic purpura (ITP), thrombotic throbocytopenic purpura (TTP), autoimmune thrombocytopenia, multiple sclerosis, psoriasis, IgA nephropathy, IgM polyneuropathies, myasthenia gravis, vasculitis, diabetes mellitus, Reynau
- the desired level of B cell depletion will depend on the disease. For example, in the treatment of a CD20 positive cancer it may be desirable to maximize depletion of B cells. Thus, for the treatment of a CD20 (or other B cell surface antigen or marker) positive B cell neoplasm, it is desirable that the B cell depletion be sufficient to at least prevent progression of the disease, which can be assessed by the physician of skill in the art, e.g., by monitoring tumor growth (size), proliferation of the cancerous cell type, metastasis, and/or other signs and symptoms of the particular cancer.
- B cell depletion is sufficient to prevent progression of disease for at least 2 months, more preferably 3 months, even more preferably 4 months, more preferably 5 months, even more preferably 6 or more months. In even more preferred embodiments, B cell depletion is sufficient to increase the time in remission by at least 6 months, more preferably 9 months, more preferably one year, more preferably 2 years, more preferably 3 years, even more preferably 5 or more years. In a most preferred embodiment, the B cell depletion is sufficient to cure the disease. In preferred embodiments, the B cell depletion in a cancer patient is at least about 75% and more preferably, 80%, 85%, 90%, 95% , 99% and even 100% of the baseline level before treatment.
- B cell depletion can be complete or partial. Total B cell depletion may be desired during initial treatment, but in subsequent treatments, the dosage may be adjusted to achieve only partial depletion.
- the B cell depletion is at least 20%, i.e., 80% or less of targeted, for example, CD20 positive, B cells remain as compared to the baseline level before treatment.
- B cell depletion is 25%, 30%, 40%, 50%, 60%, 70% or greater.
- the B cell depletion is sufficient to halt progression of disease, more preferably to alleviate the signs and symptoms of the particular disease under treatment, even more preferably to cure the disease.
- the parameters for assessing efficacy or success of treatment of the neoplasm will be known to the physician of skill in the appropriate disease. Generally, the physician of skill will look for reduction in the signs and symptoms of the specific disease. Parameters can include median time to disease progression, time in remission and stable disease.
- lymphomas and CLL their diagnoses, treatment and standard medical procedures for measuring treatment efficacy.
- Canellos GP, Lister, TA, Sklar JL The Lymphomas. W.B. Saunders Company, Philadelphia, 1998; van Besien K and Cabanillas, F: Clinical Manifestations, Staging and Treatment of Non-Hodgkin's Lymphoma, Chap. 70, pp 1293-1338, in: Hematology , Basic Principles and Practice, 3rd ed. Hoffman et al. (editors). Churchill Livingstone, Philadelphia, 2000; and Rai, K and Patel, D:Chronic Lymphocytic Leukemia, Chap.
- the methods and compositions of the invention are useful to treat rheumatoid arthritis (RA).
- RA is characterized by inflammation of multiple joints, cartilage loss and bone erosion that leads to joint destruction and ultimately reduced joint function. Additionally, since RA is a systemic disease, it can have effects in other tissues such as, the lungs, eyes and bone marrow.
- B cell depleting agents such as B cell antigen binding antibodies, for example, CD20 binding antibodies together with B cell mobilizing agents such as integrin antibodies can be used as first-line therapy in patients with early RA (i.e., methotrexate (MTX) naive), or in combination with, e.g., MTX or cyclophosphamide.
- early RA i.e., methotrexate (MTX) naive
- MTX methotrexate
- cyclophosphamide i.e., methotrexate
- this combination of B cell depleting agents for example anti- CD20 antibodies, together with B cell mobilizing agents such as anti-alpha4 and/or anti-alphaL antagonists, including antibodies, can be used in treatment as second-line therapy for patients who were disease-modifying anti-rheumatic drugs and/or methotrexate refractory, in combination with, e.g., methotrexate.
- B cell mobilizing agents such as anti-alpha4 and/or anti-alphaL antagonists, including antibodies
- the rheumatoid arthritis patient can be treated with the B cell depleting agent, for example, humanized anti-CD20 antibody, and B cell mobilizing agent, for example, anti-integrin antibody, prior to, after or together with treatment with other drugs used in treating RA (see combination therapy below).
- the B cell depleting agent for example, humanized anti-CD20 antibody
- B cell mobilizing agent for example, anti-integrin antibody
- patients who had previously failed disease-modifying antirheumatic drugs and/or had an inadequate response to methotrexate alone are treated with a B cell depleting agent such as an anti-CD20 binding antibody.
- patients are administered humanized anti-CD20 binding antibody, anti- CD20 binding antibody plus cyclophosphamide, or anti-CD20 binding antibody plus methotrexate.
- One method of evaluating treatment efficacy in rheumatoid arthritis is based on American College of
- ACR Rheumatology
- the rheumatoid arthritis patient can be scored at for example, ACR 20 (20 percent improvement) compared with no antibody treatment (e.g,, baseline before treatment) or treatment with placebo.
- Other ways of evaluating the efficacy of antibody treatment include X-ray scoring such as the Sharp X-ray score used to score structural damage such as bone erosion and joint space narrowing.
- Patients can also be evaluated for the prevention of or improvement in disability based on Health Assessment Questionnaire [HAQ] score, AIMS score, SF-36 at time periods during or after treatment.
- the ACR 20 criteria may include 20% improvement in both tender (painful) joint count and swollen joint count plus a 20% improvement in at least 3 of 5 additional measures:
- VAS visual analog scale
- VAS patient's global assessment of disease activity
- VAS physician's global assessment of disease activity
- HAS Health Assessment Questionnaire
- the ACR 50 and 70 are defined analogously.
- the patient is administered an amount of a B cell depleting agent such as an anti-CD20 binding antibody of the invention effective to achieve at least a score of ACR 20, preferably at least ACR 30, more preferably at least ACR50, even more preferably at least ACR70, most preferably at least ACR 75 and higher.
- a B cell depleting agent such as an anti-CD20 binding antibody of the invention effective to achieve at least a score of ACR 20, preferably at least ACR 30, more preferably at least ACR50, even more preferably at least ACR70, most preferably at least ACR 75 and higher.
- Psoriatic arthritis has unique and distinct radiographic features. For psoriatic arthritis, joint erosion and joint space narrowing can be evaluated by the Sharp score as well.
- the B cell depleting agents such as humanized anti-CD20 binding antibodies disclosed herein can be used to prevent the joint damage as well as reduce disease signs and symptoms of the disorder.
- Yet another aspect of the invention is a method of treating Lupus or SLE by administering to the patient suffering from SLE, a therapeutically effective amount of a B cell depleting agent such as a humanized anti-CD20 binding antibody.
- SLEDAI scores provide a numerical quantitation of disease activity.
- the SLEDAI is a weighted index of 24 clinical and laboratory parameters known to correlate with disease activity, with a numerical range of 0-103. See, for example, Gescuk et al., 2002, Current Opinion in Rheumatology
- Antibodies to double-stranded DNA are believed to cause renal flares and other manifestations of lupus.
- Patients undergoing antibody treatment can be monitored for time to renal flare, which is defined as a significant, reproducible increase in serum creatinine, urine protein or blood in the urine.
- patients can be monitored for levels of antinuclear antibodies and antibodies to double-stranded DNA.
- Treatments for SLE include high-dose corticosteroids and/or cyclophosphamide (HDCC).
- Spondyloarthropathies are a group of disorders of the joints, including ankylosing spondylitis, psoriatic arthritis and Crohn's disease. Treatment success can be determined by validated patient and physician global assessment measuring tools.
- Various medications are used to treat psoriasis; treatment differs directly in relation to disease severity.
- Patients with a more mild form of psoriasis typically utilize topical treatments, such as topical steroids, anthralin, calcipotriene, clobetasol, and tazarotene, to manage the disease while patients with moderate and severe psoriasis are more likely to employ systemic (methotrexate, retinoids, cyclosporine, PUVA and UVB) therapies. Tars are also used. These therapies have a combination of safety concerns, time consuming regimens, or inconvenient processes of treatment. Furthermore, some require expensive equipment and dedicated space in the office setting.
- Systemic medications can produce serious side effects, including hypertension, hyperlipidemia, bone marrow suppression, liver disease, kidney disease and gastrointestinal upset. Also, the use of phototherapy can increase the incidence of skin cancers. In addition to the inconvenience and discomfort associated with the use of topical therapies, phototherapy and systemic treatments require cycling patients on and off therapy and monitoring lifetime exposure due to their side effects.
- Treatment efficacy for psoriasis is assessed by monitoring changes in clinical signs and symptoms of the disease including Physician's Global Assessment (PGA) changes and Psoriasis Area and Severity Index (PASI) scores, Psoriasis Symptom Assessment (PSA), compared with the baseline condition. The patient can be measured periodically throughout treatment on the Visual analog scale used to indicate the degree of itching experienced at specific time points.
- PGA Physician's Global Assessment
- PASI Psoriasis Area and Severity Index
- PSA Psoriasis Symptom Assessment
- the B cell depleting agents and B cell mobilizing agents of the invention will be administered at a dosage that is efficacious for the treatment of that indication while minimizing toxicity and side effects.
- the B cell depletion be sufficient to at least prevent progression of the disease which can be assessed by the physician of skill in the art, e.g., by monitoring tumor growth (size), proliferation of the cancerous cell type, metastasis, other signs and symptoms of the particular cancer.
- the B cell depletion is sufficient to prevent progression of disease for at least 2 months, more preferably 3 months, even more preferably 4 months, more preferably 5 months, even more preferably 6 or more months.
- the B cell depletion is sufficient to increase the time in remission by at least 6 months, more preferably 9 months, more preferably one year, more preferably 2 years, more preferably 3 years, even more preferably 5 or more years. In a most preferred embodiment, the B cell depletion is sufficient to cure the disease. In preferred embodiments, the B cell depletion in a cancer patient is at least about 75% and more preferably, 80%, 85%, 90%, 95% , 99% and even 100% of the baseline level before treatment.
- the therapeutically effective dosage can be in the range of about 250mg/m 2 to about 400 mg/m 2 or 500 mg/m 2 , preferably about 250- 375mg/m 2 . In one embodiment, the dosage range is 275-375 mg/m 2 . In one embodiment of the treatment of a CD20 positive B cell neoplasm, the antibody is administered at a range of 300-375 mg/m 2 .
- the anti-CD20 antibodies and humanized anti-CD20 antibodies of the invention will be administered to a human patient at a dosage of 10mg/kg or 375mg/m 2 .
- Rituximab can be administered at a dosage range of 7-15mg/kg.
- one dosing regimen would be to administer one dose of the antibody composition a dosage of lOmg/kg in the first week of treatment, followed by a 2 week interval, then a second dose of the same amount of antibody is administered.
- NHL patients receive such treatment once during a year but upon recurrence of the lymphoma, such treatment can be repeated.
- patients treated with low-grade NHL receive four weeks of a version of humanized 2H7, preferably vl6 (375 mg/m2 weekly) followed at week five by three additional courses of the antibody plus standard CHOP (cyclophosphamide, doxorubicin, vincristine and prednisone) or CVP (cyclophosphamide, vincristine, prednisone) chemotherapy, which was given every three weeks for three cycles.
- CHOP cyclophosphamide, doxorubicin, vincristine and prednisone
- CVP cyclophosphamide, vincristine, prednisone
- the dosage range for the humanized anti-CD20 antibody is 125mg/m 2 (equivalent to about 200mg/dose) to 600mg/m 2 , given in two doses, e.g., the first dose of 200mg is administered on day one followed by a second dose of 200mg on day 15.
- the dosage is 250mg/dose, 275mg, 300mg, 325mg, 350mg, 375mg, 400mg, 425mg, 450mg, 475mg, 500mg, 525mg, 550mg, 575mg, 600mg.
- the Genentech and Biogen pou clinical investigations have evaluated the therapeutic effectiveness of treatment of autoimmune diseases using doses of anti-CD20 (hu2H7.vl6 and Rituximab) ranging from as low as 10 mg up to a dose of 1 g (see under Background section for Rituximab studies; and WO 04/056312, Example 16).
- the antibodies were administered in these clinical investigations in two doses, spaced about two weeks apart.
- regimens studied in the clinical investigations include, for humanized CD20 antibody 2H7.vl6 in rheumatoid arthritis at 2 x 10 mg (means 2 doses at lOmg per dose; total dose of -10.
- a humanized 2H7 antibody is administered at a flat dose in the range of 0.1 mg to 1000 mg.
- hu2H7.v511 antibody is administered at dosages of 0.1, 0.5, 1, 5, 10, 15, 2025, 30, 40, 50, 75, 100, 125, 150, 200, or 250mg.
- Lower doses e.g., at 20mg, 10 mg or lower can be used if partial or short term B cell depletion is the objective.
- the anti-integrin antibodies such as the ⁇ 4 and ocL antibodies can be administered to the patient in a dosage range of about lmg/kg to 20mg/kg.
- the dosage range is l-15mg/kg, 1-lOmg/kg, 2-10mg/kg, 3-10mg/kg.
- each of the ⁇ 4 and ocL antibodies is administered at about 5mg/kg.
- the initial pharmaceutically effective amount of the small molecule antagonists of alpha4 or alphaL integrins when administered parenterally per dose will be in the range of about 0.01-100 mg/kg, preferably about 0.1 to 20 mg/kg of patient body weight per day, with the typical initial range of compound used being 0.3 to 15 mg/kg/day.
- Oral unit dosage forms, such as tablets and capsules, preferably contain from about 25 to about 1000 mg of the compound of the invention.
- the B cell mobilizing and depleting agents of the invention can be administered to the patient chronically or intermittently, as determined by the physician of skill in the disease.
- a patient administered a drug by intravenous infusion or subcutaneously may experience adverse events such as fever, chills, burning sensation, asthenia and headache.
- the patient may receive an initial conditioning dose(s) of the antibody followed by a therapeutic dose.
- the conditioning dose(s) will be lower than the therapeutic dose to condition the patient to tolerate higher dosages. 5.
- the antagonists and antibodies used in the methods of the invention are administered to a human patient in accord with methods known to medical practitioners, such as by intravenous administration, e.g., as a bolus or by continuous infusion over a period of time, by subcutaneous, intramuscular, intra-arterial, intraperitoneal, intrapulmonary, intracerobrospinal, intra-articular, intrasynovial, intrathecal, intralesional, or inhalation routes (e.g., intranasal), generally by intravenous or subcutaneous administration.
- intravenous administration e.g., as a bolus or by continuous infusion over a period of time
- intravenous administration e.g., as a bolus or by continuous infusion
- the humanized 2H7 antibody and/or humanized anti-alpha4betal antibody, natalizumab is administered by intravenous infusion with 0.9% sodium chloride solution as an infusion vehicle.
- the patient can be treated with the B cell mobilizing agents and B cell depleting agents in particular, CD20 binding antibodies, of the present invention in conjunction with one or more therapeutic agents such as a chemotherapeutic agent in a multidrug regimen.
- the B cell mobilizing agent and B cell depleting agent for example, CD20 binding antibody, can be administered concurrently, sequentially, or alternating with the chemotherapeutic agent, or after non- responsiveness with other therapy.
- Standard chemotherapy for lymphoma treatment may include cyclophosphamide, cytarabine, melphalan and mitoxantrone plus melphalan.
- CHOP is one of the most common chemotherapy regimens for treating Non-Hodgkin's lymphoma.
- the B cell depleting agent such as CD20 binding antibody and B cell mobilizing agent, such as al ⁇ ha4 or alphaL integrin antagonist is administered to a patient in need thereof in combination with one or more of the following chemotherapeutic agents of doxorubicin, cyclophosphamide, vincristine and prednisolone.
- a patient suffering from a lymphoma (such as a non-Hodgkin's lymphoma) is treated with an anti-CD20 antibody and an anti-alpha4betal antibody of the present invention in conjunction with CHOP (cyclophosphamide, doxorubicin, vincristine and prednisone) therapy.
- the cancer patient can be treated with a humanized CD20 binding antibody and a small molecule alpha4 and/or alphaL integrin antagonist of the invention in combination with CVP (cyclophosphamide, vincristine, and prednisone) chemotherapy.
- CVP cyclophosphamide, vincristine, and prednisone
- the patient suffering from CD20- positive NHL is treated with humanized 2H7.vl6 and natalizumab in conjunction with CVP.
- a CD20 binding antibody and integrin antagonist is administered in conjunction with chemotherapy with one or both of fludarabine and Cytoxan.
- the patient can be treated with the B cell depleting agent such as a CD20 binding antibody and an alpha4 and/or alphaL integrin antagonist in conjunction with a second therapeutic agent, such as an immunosuppressive agent, such as in a multi drug regimen.
- a second therapeutic agent such as an immunosuppressive agent
- the B cell depleting agent can be administered concurrently, sequentially, or alternating with the B cell mobilizing agent, and concurrently, sequentially, alternating with the immunosuppressive agent or upon non-responsiveness with other therapy.
- the immunosuppressive agent can be administered at the same or lesser dosages than as set forth in the art.
- the preferred adjunct immunosuppressive agent will depend on many factors, including the type of disorder being treated as well as the patient's history.
- Immunosuppressive agent refers to substances that act to suppress or mask the immune system of a patient. Such agents would include substances that suppress cytokine production, down regulate or suppress self-antigen expression, or mask the MHC antigens.
- steroids such as glucocorticosteroids, e.g., prednisone, methylprednisolone, and dexamethasone; 2-amino-6-aryl-5-substituted pyrimidines (see U.S. Pat. No. 4,665,077), azathioprine (or cyclophosphamide, if there is an adverse reaction to azathioprine); bromocryptine; glutaraldehyde (which masks the MHC antigens, as described in U.S. Pat. No.
- steroids such as glucocorticosteroids, e.g., prednisone, methylprednisolone, and dexamethasone
- 2-amino-6-aryl-5-substituted pyrimidines see U.S. Pat. No. 4,665,077)
- azathioprine or cyclophosphamide, if there is an adverse reaction to azathioprine
- anti-idiotypic antibodies for MHC antigens and MHC fragments include cyclosporin A; cytokine or cytokine receptor antagonists including anti- interferon- ⁇ , - ⁇ , or - ⁇ antibodies; anti-tumor necrosis factor -a antibodies; anti-tumor necrosis factor- ⁇ antibodies; anti-interleukin-2 antibodies and anti-IL-2 receptor antibodies; anti-L3T4 antibodies; heterologous anti-lymphocyte globulin; pan-T antibodies, preferably anti-CD3 or anti-CD4/CD4a antibodies; soluble peptide containing a LFA-3 binding domain (WO 90/08187 published 7/26/90); streptokinase; TGF- ⁇ ; streptodornase; RNA or DNA from the host; FK506; RS-61443; deoxyspergualin; rapamycin; T-cell receptor (U.S.
- T-cell receptor fragments (Offher et al., Science 251 :430-432 (1991); WO 90/11294; and WO 91/01133); and T cell receptor antibodies (EP 340,109) such as T10B9.
- the patient can be treated with a B cell depleting agent such as an anti-CD20 antibody and a B cell mobilizing agent such as an al ⁇ ha4 and/or alphaL integrin antagonist, in conjunction with any one or more of the following drugs: disease-modifying anti-rheumatic drugs (DMARD) (e.g., methotrexate), NSAI or NSAID (non-steroidal anti-inflammatory drugs), HUMIRATM (adalimumab; Abbott Laboratories), ARA VA® (leflunomide), REMICADE® (infliximab; Centocor Inc., of Malvern, Pa), ENBREL (etanercept; Immunex, WA), COX-2 inhibitors.
- DMARD disease-modifying anti-rheumatic drugs
- NSAI or NSAID non-steroidal anti-inflammatory drugs
- HUMIRATM adalimumab; Abbott Laboratories
- ARA VA® leflunomide
- REMICADE® infliximab; Cento
- DMARDs commonly used in RA are hydroxycloroquine, sulfasalazine, methotrexate, leflunomide, etanercept, infliximab, azathioprine, D- penicillamine, Gold (oral), Gold (intramuscular), minocycline, cyclosporine, Staphylococcal protein A immunoadsorption.
- Adalimumab is a human monoclonal antibody that binds to TNF ⁇ .
- Infliximab is a chimeric monoclonal antibody that binds to TNFoc.
- Etanercept is an "immunoadhesin" fusion protein consisting of the extracellular ligand binding portion of the human 75 kD (p75) tumor necrosis factor receptor (TNFR) linked to the Fc portion of a human IgGl.
- TNFR tumor necrosis factor receptor
- the RA patient is treated with a CD20 antibody of the invention in conjunction with methotrexate (MTX).
- An exemplary dosage of MTX is about 7.5-25 mg/kg/wk. MTX can be administered orally and subcutaneously.
- the patient can be treated with a B cell depleting agent such as a CD20 binding antibody and a B cell mobilizing agent such as an alpha4 and/or alphaL integrin antagonist in conjunction with, for example, Remicade® (infliximab; from Centocor Inc., of Malvern, Pa.), ENBREL (etanercept; Immunex, WA).
- a B cell depleting agent such as a CD20 binding antibody
- a B cell mobilizing agent such as an alpha4 and/or alphaL integrin antagonist
- Treatments for SLE include high-dose corticosteroids and/or cyclophosphamide (HDCC).
- HDCC cyclophosphamide
- I l l ' For the treatment of psoriasis, patients can be administered a B cell depleting agent such as an anti-
- CD20 binding antibody and a B cell mobilizing agent such as an alpha4 and/or alphaL integrin antagonist
- topical treatments such as topical steroids, anthralin, calcipotriene, clobetasol, and tazarotene, or with methotrexate, retinoids, cyclosporine, PUVA and UVB therapies.
- topical treatments such as topical steroids, anthralin, calcipotriene, clobetasol, and tazarotene, or with methotrexate, retinoids, cyclosporine, PUVA and UVB therapies.
- the psoriasis patient is treated with the CD20 binding antibody sequentially or concurrently with cyclosporine.
- Therapeutic formulations of the B cell depletion agents such as CD20-binding antibodies and B cell mobilizing agents, such as alpha4 and/or alphaL integrin antagonist used in accordance with the present invention are prepared for storage by mixing the agent or small molecule antagonist, for example an antibody having the desired degree of purity with optional pharmaceutically acceptable carriers, excipients, or stabilizers (Remington's Pharmaceutical Sciences 16th edition, Osol, A. Ed. (1980)), in the form of lyophilized formulations or aqueous solutions.
- the agent or small molecule antagonist for example an antibody having the desired degree of purity
- optional pharmaceutically acceptable carriers, excipients, or stabilizers Remington's Pharmaceutical Sciences 16th edition, Osol, A. Ed. (1980)
- Acceptable carriers, excipients, or stabilizers are nontoxic to recipients at the dosages and concentrations employed, and include buffers such as phosphate, citrate, and other organic acids; antioxidants including ascorbic acid and methionine; preservatives (such as octadecyldimethylbenzyl ammonium chloride; hexamethonium chloride; benzalkonium chloride, benzethonium chloride; phenol, butyl or benzyl alcohol; alkyl parabens such as methyl or propyl paraben; catechol; resorcinol; cyclohexanol; 3-pentanol; and m-cresol); low molecular weight (less than about 10 residues) polypeptides; proteins, such as serum albumin, gelatin, or immunoglobulins; hydrophilic polymers such as olyvinylpyrrolidone; amino acids such as glycine, glutamine, asparagine, histidine
- anti-CD20 antibody formulations are described in WO98/56418, expressly incorporated herein by reference.
- Another formulation is a liquid multidose formulation comprising the anti-CD20 antibody at 40 mg/niL, 25 mM acetate, 150 mM trehalose, 0.9% benzyl alcohol, 0.02% polysorbate 20 at pH 5.0 that has a minimum shelf life of two years storage at 2-8°C.
- Another anti-CD20 formulation of interest comprises 10mg/mL antibody in 9.0 mg/mL sodium chloride, 7.35 mg/mL sodium citrate dihydrate, 0.7mg/mL polysorbate 80, and Sterile Water for Injection, pH 6.5.
- Yet another aqueous pharmaceutical formulation comprises 10-30 mM sodium acetate from about pH 4.8 to about pH 5.5, preferably at pH5.5, polysorbate as a surfactant in a an amount of about 0.01-0.1% v/v, trehalose at an amount of about 2-10% w/v, and benzyl alcohol as a preservative (U.S. 6,171,586).
- Lyophilized formulations adapted for subcutaneous administration are described in WO97/04801. Such lyophilized formulations may be reconstituted with a suitable diluent to a high protein concentration and the reconstituted formulation may be administered subcutaneously to the mammal to be treated herein.
- One antibody formulation for the humanized 2H7 variants comprises antibody at 12-14 mg/mL in 10 mM histidine, 6% sucrose, 0.02% polysorbate 20, pH 5.8.
- 2H7 variants and in particular 2H7.vl6 is formulated at 20mg/mL antibody in 1OmM histidine sulfate, 60mg/ml sucrose., 0.2 mg/ml polysorbate 20, and Sterile Water for Injection, at pH5.8.
- Exemplary formulations of small molecule integrin antagonists are disclosed, for example, in WO02/059114.
- the formulation herein may also contain more than one active compound as necessary for the particular indication being treated, preferably those with complementary activities that do not adversely affect each other.
- a cytotoxic agent, chemotherapeutic agent, cytokine or immunosuppressive agent e.g. one which acts on T cells, such as cyclosporin or an antibody that binds T cells, e.g. one which binds LFA-I.
- the effective amount of such other agents depends on the amount of antibody present in the formulation, the type of disease or disorder or treatment, and other factors discussed above. These are generally used in the same dosages and with administration routes as described herein or about from 1 to 99% of the heretofore employed dosages.
- the active ingredients may also be entrapped in microcapsules prepared, for example, by coacervation techniques or by interfacial polymerization, for example, hydroxymethylcellulose or gelatin- microcapsules and poly-(methylmethacylate) microcapsules, respectively, in colloidal drug delivery systems (for example, liposomes, albumin microspheres, microemulsions, nano-particles and nanocapsules) or in macroemulsions.
- colloidal drug delivery systems for example, liposomes, albumin microspheres, microemulsions, nano-particles and nanocapsules
- Sustained-release preparations may be prepared. Suitable examples of sustained-release preparations include semi-permeable matrices of solid hydrophobic polymers containing the antagonist, which matrices are in the form of shaped articles, e.g. films, or microcapsules. Examples of sustained-release matrices include polyesters, hydrogels (for example, poly(2-hydroxyethyl-methacrylate), or poly(vinylalcohol)), polylactides (U.S. Pat. No.
- copolymers of L-glutamic acid and ethyl-L-glutamate copolymers of L-glutamic acid and ethyl-L-glutamate, non-degradable ethylene- vinyl acetate, degradable lactic acid-glycolic acid copolymers such as the LUPRON DEPOTTM (injectable microspheres composed of lactic acid-glycolic acid copolymer and leuprolide acetate), and poly-D-(-)-3- hydroxybutyric acid.
- LUPRON DEPOTTM injectable microspheres composed of lactic acid-glycolic acid copolymer and leuprolide acetate
- poly-D-(-)-3- hydroxybutyric acid poly-D-(-)-3- hydroxybutyric acid.
- the formulations to be used for in vivo administration must be sterile. This is readily accomplished by filtration through sterile filtration membranes.
- the article of manufacture comprises at least one container and a label or package insert on or associated with the container.
- Suitable containers include, for example, bottles, vials, syringes, etc.
- the containers may be formed from a variety of materials such as glass or plastic.
- At least one container holds a composition which is effective for treating the condition and may have a sterile access port (for example the container may be an intravenous solution bag or a vial having a stopper pierceable by a hypodermic injection needle).
- Two therapeutic compositions may be provided in the article of manufacture.
- At least one active agent in the first composition is a B cell depleting agent, such as a CD20 binding antibody.
- the second or second and third compositions containing at least one B cell mobilizing agent, such as an alpha4 or alphaL integrin antagonist, for example antibodies to the ⁇ L and ⁇ 4 integrins may be held in one or more separate containers.
- the integrin antagonist composition(s) may be packaged in a separate article of manufacture.
- the label or package insert indicates that the composition is used for treating the particular condition.
- the label or package insert will further comprise instructions for administering the compositions to the patient.
- Package insert refers to instructions customarily included in commercial packages of therapeutic products, that contain information about the indications, usage, dosage, administration, contraindications and/or warnings concerning the use of such therapeutic products.
- the article of manufacture may further comprise a container comprising a pharmaceutically-acceptable buffer, such as bacteriostatic water for injection (BWFI), phosphate-buffered saline, Ringer's solution and dextrose solution. It may further include other materials desirable from a commercial and user standpoint, including other buffers, diluents, filters, needles, and syringes.
- Monoclonal antibodies may be made using the hybridoma method first described by Kohler et aL, Nature, 256:495 (1975), or may be made by recombinant DNA methods (U.S. Patent No. 4,816,567).
- a mouse or other appropriate host animal such as a hamster, is immunized as described above to elicit lymphocytes that produce or are capable of producing antibodies that will specifically bind to the protein used for immunization.
- lymphocytes may be immunized in vitro.
- lymphocytes are isolated and then fused with a myeloma cell line using a suitable fusing agent, such as polyethylene glycol, to form a hybridoma cell (Goding, Monoclonal Antibodies: Principles and Practice, pp.59-103 (Academic Press, 1986)).
- a suitable fusing agent such as polyethylene glycol
- the hybridoma cells thus prepared are seeded and grown in a suitable culture medium which medium preferably contains one or more substances that inhibit the growth or survival of the unfused, parental myeloma cells (also referred to as fusion partner).
- a suitable culture medium which medium preferably contains one or more substances that inhibit the growth or survival of the unfused, parental myeloma cells (also referred to as fusion partner).
- the parental myeloma cells lack the enzyme hypoxanthine guanine phosphoribosyl transferase (HGPRT or HPRT)
- HGPRT or HPRT the selective culture medium for the hybridomas typically will include hypoxanthine, aminopterin, and thymidine (HAT medium), which substances prevent the growth of HGPRT-def ⁇ cient cells.
- Preferred fusion partner myeloma cells are those that fuse efficiently, support stable high-level production of antibody by the selected antibody-producing cells, and are sensitive to a selective medium that selects against the unfused parental cells.
- Preferred myeloma cell lines are murine myeloma lines, such as those derived from MOPC-21 and MPC-11 mouse tumors available from the SaIk Institute Cell Distribution Center, San Diego, California USA, and SP-2 and derivatives e.g., X63-Ag8-653 cells available from the American Type Culture Collection, Rockville, Maryland USA.
- Human myeloma and mouse-human heteromyeloma cell lines also have been described for the production of human monoclonal antibodies (Kozbor, J. Immunol. 133:3001 (1984); and Brodeur et al, Monoclonal Antibody Production Techniques and Applications, pp. 51-63 (Marcel Dekker, Inc., New York, 1987)).
- Culture medium in which hybridoma cells are growing is assayed for production of monoclonal antibodies directed against the antigen.
- the binding specificity of monoclonal antibodies produced by hybridoma cells is determined by immunoprecipitation or by an in vitro binding assay, such as radioimmunoassay (RIA) or enzyme-linked immunosorbent assay (ELISA).
- RIA radioimmunoassay
- ELISA enzyme-linked immunosorbent assay
- the binding affinity of the monoclonal antibody can, for example, be determined by the Scatchard analysis described in Munson et al., Anal. Biochem. 107:220 (1980).
- the clones may be subcloned by limiting dilution procedures and grown by standard methods (Goding, Monoclonal Antibodies: Principles and Practice, pp.59-103 (Academic Press, 1986)). Suitable culture media for this purpose include, for example, D-MEM or RPMI- 1640 medium.
- the hybridoma cells may be grown in vivo as ascites tumors in an animal e.g, by i.p. injection of the cells into mice.
- the monoclonal antibodies secreted by the subclones are suitably separated from the culture medium, ascites fluid, or serum by conventional antibody purification procedures such as, for example, affinity chromatography (e.g., using protein A or protein G-Sepharose) or ion-exchange chromatography, hydroxylapatite chromatography, gel electrophoresis, dialysis, etc.
- affinity chromatography e.g., using protein A or protein G-Sepharose
- ion-exchange chromatography e.g., ion-exchange chromatography
- hydroxylapatite chromatography hydroxylapatite chromatography
- gel electrophoresis e.g., dialysis, etc.
- DNA encoding the monoclonal antibodies is readily isolated and sequenced using conventional procedures ⁇ e.g., by using oligonucleotide probes that are capable of binding specifically to genes encoding the heavy and light chains of murine antibodies).
- the hybridoma cells serve as a preferred source of such DNA.
- the DNA may be placed into expression vectors, which are then transfected into host cells such as E. coli cells, simian COS cells, Chinese Hamster Ovary (CHO) cells, or myeloma cells that do not otherwise produce antibody protein, to obtain the synthesis of monoclonal antibodies in the recombinant host cells.
- host cells such as E. coli cells, simian COS cells, Chinese Hamster Ovary (CHO) cells, or myeloma cells that do not otherwise produce antibody protein.
- monoclonal antibodies or antibody fragments can be isolated from antibody phage libraries generated using the techniques described in McCafferty et al., 1990, Nature, 348:552-554. Clackson et al., Nature, 1991, 352:624-628 and Marks et al., 1991, J. MoI. Biol. 222:581-597 describe the isolation of murine and human antibodies, respectively, using phage libraries. Subsequent publications describe the production of high affinity (nM range) human antibodies by chain shuffling), as well as combinatorial infection and in vivo recombination as a strategy for constructing very large phage libraries (Waterhouse et al., 1993, Nuc. Acids. Res. 21:2265-2266). Thus, these techniques are viable alternatives to traditional monoclonal antibody hybridoma techniques for isolation of monoclonal antibodies.
- the DNA that encodes the antibody may be modified to produce chimeric or fusion antibody polypeptides, for example, by substituting human heavy chain and light chain constant domain (C H and C L ) sequences for the homologous murine sequences (U.S. Patent No. 4,816,567; and Morrison, et al., 1984, Proc. Natl Acad. Sci. USA 81:6851), or by fusing the immunoglobulin coding sequence with all or part of the coding sequence for a non-immunoglobulin polypeptide (heterologous polypeptide).
- C H and C L human heavy chain and light chain constant domain
- the non-immunoglobulin polypeptide sequences can substitute for the constant domains of an antibody, or they are substituted for the variable domains of one antigen-combining site of an antibody to create a chimeric bivalent antibody comprising one antigen-combining site having specificity for an antigen and another antigen-combining site having specificity for a different antigen.
- a humanized antibody has one or more amino acid residues introduced into it from a source which is non- human. These non-human amino acid residues are often referred to as "import" residues, which are typically taken from an "import” variable domain. Humanization can be essentially performed following the method of Winter and co-workers (Jones et al. 1986, Nature 321:522-525; Reichmann et al., 1988, Nature, 332:323-327; Verhoeyen et al.1988, Science 239:1534-1536), by substituting hypervariable region sequences for the corresponding sequences of a human antibody.
- humanized antibodies are chimeric antibodies (U.S. Patent No. 4,816,567) wherein substantially less than an intact human variable domain has been substituted by the corresponding sequence from a non-human species.
- humanized antibodies are typically human antibodies in which some hypervariable region residues and possibly some FR residues are substituted by residues from analogous sites in rodent antibodies.
- the choice of human variable domains, both light and heavy, to be used in making the humanized antibodies is very important to reduce antigenicity and HAMA response (human anti-mouse antibody) when the antibody is intended for human therapeutic use.
- HAMA response human anti-mouse antibody
- the sequence of the variable domain of a rodent antibody is screened against the entire library of known human variable domain sequences.
- the human V domain sequence which is closest to that of the rodent is identified and the human framework region (FR) within it accepted for the humanized antibody (Sims et al., 1993, J. Immunol. 151:2296; Chothia et al., 1987, J. MoI. Biol, 196:901).
- Another method uses a particular framework region derived from the consensus sequence of all human antibodies of a particular subgroup of light or heavy chains. The same framework may be used for several different humanized antibodies (Carter et al., 1992, Proc. Natl. Acad. ScL USA 89:4285; Presta et al., 1993, J. Immunol 151:2623).
- humanized antibodies are prepared by a process of analysis of the parental sequences and various conceptual humanized products using three-dimensional models of the parental and humanized sequences.
- Three- dimensional immunoglobulin models are commonly available and are familiar to those skilled in the art.
- Computer programs are available which illustrate and display probable three-dimensional conformational structures of selected candidate immunoglobulin sequences. Inspection of these displays permits analysis of the likely role of the residues in the functioning of the candidate immunoglobulin sequence, i.e., the analysis of residues that influence the ability of the candidate immunoglobulin to bind its antigen.
- the humanized antibody may be an antibody fragment, such as a Fab, which is optionally conjugated with one or more cytotoxic agent(s) in order to generate an immunoconjugate.
- the humanized antibody may be an full length antibody, such as an full length IgGl antibody.
- human antibodies can be generated.
- transgenic animals ⁇ e.g., mice
- transgenic animals ⁇ e.g., mice
- J H antibody heavy-chain joining region
- transfer of the human germ-line immunoglobulin gene array into such germ-line mutant mice will result in the production of human antibodies upon antigen challenge. See, e.g., Jakobovits et al., 1993, Proc. Natl. Acad.
- phage display technology can be used to produce human antibodies and antibody fragments in vitro, from immunoglobulin variable (V) domain gene repertoires from unimmunized donors.
- V domain genes are cloned in- frame into either a major or minor coat protein gene of a filamentous bacteriophage, such as M 13 or fd, and displayed as functional antibody fragments on the surface of the phage particle. Because the filamentous particle contains a single-stranded DNA copy of the phage genome, selections based on the functional properties of the antibody also result in selection of the gene encoding the antibody exhibiting those properties.
- the phage mimics some of the properties of the B-cell.
- Phage display can be performed in a variety of formats, reviewed in, e.g., Johnson et al., 1993, Current Opinion in Structural Biology 3:564-571.
- V-gene segments can be used for phage display. Clackson et al., 1991, Nature 352:624- 628 isolated a diverse array of anti-oxazolone antibodies from a small random combinatorial library of V genes derived from the spleens of immunized mice.
- a repertoire of V genes from unimmunized human donors can be constructed and antibodies to a diverse array of antigens (including self-antigens) can be isolated essentially following the techniques described by Marks et al., 1991, J. MoI. Biol. 222:581-597, or Griffith et al., 1993, EMBOJ. 12:725-734. See, also, U.S. Patent Nos. 5,565,332 and 5,573,905.
- human antibodies may also be generated by in vitro activated B cells (see U.S. Patents 5,567,610 and 5,229,275).
- F(ab') 2 fragments can be isolated directly from recombinant host cell culture.
- Fab and F(ab') 2 fragment with increased in vivo half-life comprising a salvage receptor binding epitope residues are described in U.S. Patent No. 5,869,046.
- Other techniques for the production of antibody fragments will be apparent to the skilled practitioner.
- the antibody of choice is a single chain Fv fragment (scFv). See WO 93/16185; U.S. Patent No. 5,571,894; and U.S. Patent No.
- Fv and sFv are the only species with intact combining sites that are devoid of constant regions; thus, they are suitable for reduced nonspecific binding during in vivo use.
- sFv fusion proteins may be constructed to yield fusion of an effector protein at either the amino or the carboxy terminus of an sFv. See Antibody Engineering, ed. Borrebaeck, supra.
- the antibody fragment may also be a "linear antibody", e.g., as described in U.S. Patent 5,641,870 for example. Such linear antibody fragments may be monospecific or bispecific.
- Bispecific antibodies are antibodies that have binding specificities for at least two different epitopes. Exemplary bispecific antibodies may bind to two different epitopes of the CD20 protein. Other such antibodies may combine a CD20 binding site with a binding site for another protein. Alternatively, an anti- CD20 arm may be combined with an arm which binds to a triggering molecule on a leukocyte such as a T-cell receptor molecule ⁇ e.g. CD3), or Fc receptors for IgG (Fc ⁇ R), such as Fc ⁇ RI (CD64), Fc ⁇ RII (CD32) and Fc ⁇ RIII (CD 16), or NKG2D or other NK cell activating ligand, so as to focus and localize cellular defense mechanisms to the CD20-expressing cell.
- a triggering molecule such as a T-cell receptor molecule ⁇ e.g. CD3
- Fc receptors for IgG Fc ⁇ R
- Fc ⁇ RI CD64
- Fc ⁇ RII CD32
- Bispecific antibodies may also be used to localize cytotoxic agents to cells which express CD20. These antibodies possess a CD20-binding arm and an arm which binds the cytotoxic agent ⁇ e.g. saporin, anti-interferon- ⁇ , vinca alkaloid, ricin A chain, methotrexate or radioactive isotope hapten). Bispecific antibodies can be prepared as full length antibodies or antibody fragments (e.g. F(ab') 2 bispecific antibodies).
- WO 96/16673 describes a bispecific anti-ErbB2/anti-Fc ⁇ RIII antibody and U.S. Patent No. 5,837,234 discloses a bispecific anti-ErbB2/anti-Fc ⁇ RI antibody. A bispecific anti-ErbB2/Fc ⁇ antibody is shown in WO98/02463.
- U.S. Patent No. 5,821,337 teaches a bispecific anti-ErbB2/anti-CD3 antibody.
- bispecific antibodies are known in the art. Traditional production of foil length bispecific antibodies is based on the co-expression of two immunoglobulin heavy chain-light chain pairs, where the two chains have different specificities (Millstein et al. 1983, Nature, 305:537-539). Because of the random assortment of immunoglobulin heavy and light chains, these hybridomas (quadromas) produce a potential mixture of 10 different antibody molecules, of which only one has the correct bispecific structure. Purification of the correct molecule, which is usually done by affinity chromatography steps, is rather cumbersome, and the product yields are low. Similar procedures are disclosed in WO 93/08829, and in Traunecker et al., 1991, EMBO J., 10:3655-3659. According to a different approach, antibody variable domains with the desired binding specificities
- immunoglobulin constant domain sequences are fused to immunoglobulin constant domain sequences.
- the fusion is with an Ig heavy chain constant domain, comprising at least part of the hinge, C H 2, and C H 3 regions. It is preferred to have the first heavy-chain constant region (C H 1) containing the site necessary for light chain bonding, present in at least one of the fusions.
- DNAs encoding the immunoglobulin heavy chain fusions and, if desired, the immunoglobulin light chain are inserted into separate expression vectors, and are co-transfected into a suitable host cell.
- the bispecific antibodies are composed of a hybrid immunoglobulin heavy chain with a first binding specificity in one arm, and a hybrid immunoglobulin heavy chain-light chain pair (providing a second binding specificity) in the other arm. It was found that this asymmetric structure facilitates the separation of the desired bispecific compound from unwanted immunoglobulin chain combinations, as the presence of an immunoglobulin light chain in only one half of the bispecific molecule provides for a facile way of separation.
- This approach is disclosed in WO 94/04690.
- For further details of generating bispecific antibodies see, for example, Suresh et al., 1986, Methods in Enzymology 121:210. According to another approach described in U.S. Patent No.
- the interface between a pair of antibody molecules can be engineered to maximize the percentage of heterodimers which are recovered from recombinant cell culture.
- the preferred interface comprises at least a part of the C H 3 domain.
- one or more small amino acid side chains from the interface of the first antibody molecule are replaced with larger side chains ⁇ e.g. tyrosine or tryptophan).
- Compensatory "cavities" of identical or similar size to the large side chain(s) are created on the interface of the second antibody molecule by replacing large amino acid side chains with smaller ones ⁇ e.g. alanine or threonine). This provides a mechanism for increasing the yield of the heterodimer over other unwanted end-products such as homodimers.
- Bispecific antibodies include cross-linked or "heteroconjugate" antibodies.
- one of the antibodies in the heteroconjugate can be coupled to avidin, the other to biotin.
- Such antibodies have, for example, been proposed to target immune system cells to unwanted cells (U.S. Patent No. 4,676,980), and for treatment of HIV infection (WO 91/00360, WO 92/200373, and EP 03089).
- Heteroconjugate antibodies may be made using any convenient cross-linking methods. Suitable cross-linking agents are well known in the art, and are disclosed in U.S. Patent No. 4,676,980, along with a number of cross-linking techniques.
- bispecific antibodies can be prepared using chemical linkage.
- Brennan et al., 1985, Science 229:81 describe a procedure wherein intact antibodies are proteolytically cleaved to generate F(ab') 2 fragments. These fragments are reduced in the presence of the dithiol complexing agent, sodium arsenite, to stabilize vicinal dithiols and prevent intermolecular disulfide formation.
- the Fab' fragments generated are then converted to thionitrobenzoate (TNB) derivatives.
- One of the Fab'-TNB derivatives is then reconverted to the Fab'-thiol by reduction with mercaptoethylamine and is mixed with an equimolar amount of the other Fab'-TNB derivative to form the bispecific antibody.
- the bispecific antibodies produced can be used as agents for the selective immobilization of enzymes.
- bispecific antibodies have been produced using leucine zippers.
- the leucine zipper peptides from the Fos and Jun proteins were linked to the Fab' portions of two different antibodies by gene fusion.
- the antibody homodimers were reduced at the hinge region to form monomers and then re-oxidized to form the antibody heterodimers. This method can also be utilized for the production of antibody homodimers.
- the "diabody” technology described by Hollinger et al., 1993, Proc. Natl. Acad.
- the fragments comprise a V H connected to a V L by a linker which is too short to allow pairing between the two domains on the same chain. Accordingly, the VH and V L domains of one fragment are forced to pair with the complementary VL and V H domains of another fragment, thereby forming two antigen-binding sites.
- Another strategy for making bispecific antibody fragments by the use of single-chain Fv (sFv) dimers has also been reported. See Gruber et al., 1994, J. Immunol. 152:5368.
- Antibodies with more than two valencies are contemplated.
- trispecific antibodies can be prepared. Tutt et al., 1991, J. Immunol. 147:60.
- a multivalent antibody may be internalized (and/or catabolized) faster than a bivalent antibody by a cell expressing an antigen to which the antibodies bind.
- the antibodies of the present invention can be multivalent antibodies (which are other than of the IgM class) with three or more antigen binding sites (e.g. tetravalent antibodies), which can be readily produced by recombinant expression of nucleic acid encoding the polypeptide chains of the antibody.
- the multivalent antibody can comprise a dimerization domain and three or more antigen binding sites.
- the preferred dimerization domain comprises (or consists of) an Fc region or a hinge region. In this scenario, the antibody will comprise an Fc region and three or more antigen binding sites amino-terminal to the Fc region.
- the preferred multivalent antibody herein comprises (or consists of) three to about eight, but preferably four, antigen binding sites.
- the multivalent antibody comprises at least one polypeptide chain (and preferably two polypeptide chains), wherein the polypeptide chain(s) comprise two or more variable domains.
- the polypeptide chain(s) may comprise VDl-(Xl) n -VD2-(X2) n -Fc, wherein VDl is a first variable domain, VD2 is a second variable domain, Fc is one polypeptide chain of an Fc region, Xl and X2 represent an amino acid or polypeptide, and n is 0 or 1.
- the polypeptide chain(s) may comprise: VH-CHl -flexible linker- VH-CHl -Fc region chain; or VH-CHl-VH-CHl-Fc region chain.
- the multivalent antibody herein preferably further comprises at least two (and preferably four) light chain variable domain polypeptides.
- the multivalent antibody herein may, for instance, comprise from about two to about eight light chain variable domain polypeptides.
- the light chain variable domain polypeptides contemplated here comprise a light chain variable domain and, optionally, further comprise a CL domain.
- Suitable host cells for cloning or expressing the recombinant mAbs, immunoadhesins and other polypeptide antagonists described herein are prokaryote, yeast, or higher eukaryote cells.
- Suitable prokaryotes for this purpose include eubacteria, such as Gram-negative or Gram-positive organisms, for example, Enterobacteriaceae such as Escherichia, e.g., E. coli, Enter obacter, Erwinia, Klebsiella, Proteus, Salmonella, e.g., Salmonella typhimurium, Serratia, e.g., Serratia marcescans, and Shigella, as well as Bacilli such as B.
- Enterobacteriaceae such as Escherichia, e.g., E. coli, Enter obacter, Erwinia, Klebsiella, Proteus
- Salmonella e.g., Salmonella typ
- subtilis and B. licheniformis ⁇ e.g., B. licheniformis 41P disclosed in DD 266,710 published 12 April 1989
- Pseudomonas such as P. aeruginosa
- Streptomyces One preferred E. coli cloning host is E. coli 294 (ATCC 31,446), although other strains such as E. coli B, E. coli X1776 (ATCC 31,537), and E. coli W3110 (ATCC 27,325) are suitable. These examples are illustrative rather than limiting.
- Full length antibody, antibody fragments, and antibody fusion proteins can be produced in bacteria, in particular when glycosylation and Fc effector function are not needed, such as when the therapeutic antibody is conjugated to a cytotoxic agent (e.g., a toxin) and the immunoconjugate by itself shows effectiveness in tumor cell destruction.
- Full length antibodies have greater half life in circulation. Production in E. coli is faster and more cost efficient.
- a cytotoxic agent e.g., a toxin
- the antibody is isolated from the E. coli cell paste in a soluble fraction and can be purified through, e.g., a protein A or G column depending on the isotype. Final purification can be carried out similar to the process for purifying antibody expressed e.g,, in CHO cells.
- eukaryotic microbes such as filamentous fungi or yeast are suitable cloning or expression hosts for antibody-encoding, such as CD20 antibody-encoding, vectors.
- Saccharomyces cerevisiae or common baker's yeast, is the most commonly used among lower eukaryotic host microorganisms.
- Kluyveromyces hosts such as, e.g., K. lactis, K.fragilis (ATCC 12,424), K. bulgaricus (ATCC 16,045), K. wicker amir (ATCC 24,178), K.
- waltii ATCC 56,500
- K. drosophilarum ATCC 36,906
- K . thermotolerans K. marxianus
- yarrowia EP 402,226
- Pichia pastoris EP 183,070
- Candida Trichoderma reesia
- Neurospora crassa Schwanniomyces such as Schwanniomyces occidentalis
- filamentous fungi such as, e.g., Neurospora, Penicillium, Tolypocladium, and Aspergillus hosts such as A. nidulans and A. niger.
- Suitable host cells for the expression of, e.g., glycosylated CD20 binding antibody are derived from multicellular organisms.
- invertebrate cells include plant and insect cells.
- Numerous baculoviral strains and variants and corresponding permissive insect host cells from hosts such as Spodopterafrugiperda (caterpillar), Aedes aegypti (mosquito), Aedes albopictus (mosquito), Drosophila melanogaster (fruitfly), and Bombyx mori have been identified.
- a variety of viral strains for transfection are publicly available, e.g., the L- 1 variant of Autographa California* NPV and the Bm-5 strain of Bombyx mori NPV, and such viruses may be used as the virus herein according to the present invention, particularly for transfection of Spodoptera frugiperda cells.
- Plant cell cultures of cotton, corn, potato, soybean, petunia, tomato, and tobacco can also be utilized as hosts. However, interest has been greatest in vertebrate cells, and propagation of vertebrate cells in culture
- tissue culture has become a routine procedure.
- useful mammalian host cell lines are monkey kidney CVl line transformed by SV40 (COS-7, ATCC CRL 1651); human embryonic kidney line (293 or 293 cells subcloned for growth in suspension culture, Graham et al., 1977, J. Gen Virol. 36:59); baby hamster kidney cells (BHK, ATCC CCL 10); Chinese hamster ovary cellsADHFR (CHO, Urlaub et al., 1980, Proa Natl. Acad. Sci. USA 77:4216); mouse Sertoli cells (TM4, Mather, 1980, Biol. Reprod.
- monkey kidney cells (CVl ATCC CCL 70); African green monkey kidney cells (VERO-76, ATCC CRL-1587); human cervical carcinoma cells (HELA, ATCC CCL 2); canine kidney cells (MDCK, ATCC CCL 34); buffalo rat liver cells (BRL 3A, ATCC CRL 1442); human lung cells (W138, ATCC CCL 75); human liver cells (Hep G2, HB 8065); mouse mammary tumor (MMT 060562, ATCC CCL51); TRI cells (Mather et al., 1982, Annals N. Y. Acad. Sci. 383:44-68); MRC 5 cells; FS4 cells; and a human hepatoma line (Hep G2).
- Host cells are transformed with expression or cloning vectors for a B cell depleting antibody such as CD20 binding antibody, or an integrin antagonist antibody production and cultured in conventional nutrient media modified as appropriate for inducing promoters, selecting transformants, or amplifying the genes encoding the desired sequences.
- a B cell depleting antibody such as CD20 binding antibody, or an integrin antagonist antibody production
- the host cells used to produce an antibody of this invention may be cultured in a variety of media.
- Commercially available media such as Ham's FlO (Sigma), Minimal Essential Medium ((MEM), (Sigma), RPMI-1640 (Sigma), and Dulbecco's Modified Eagle's Medium ((DMEM), Sigma) are suitable for culturing the host cells.
- GENTAMYCINTM drug defined as inorganic compounds usually present at final concentrations in the micromolar range
- glucose or an equivalent energy source Any other necessary supplements may also be included at appropriate concentrations that would be known to those skilled in the art.
- the culture conditions such as temperature, pH, and the like, are those previously used with the host cell selected for expression, and will be apparent to the ordinarily skilled artisan.
- the antibody can be produced intracellularly, in the periplasmic space, or directly secreted into the medium. If the antibody is produced intracellularly, as a first step, the particulate debris, either host cells or lysed fragments, are removed, for example, by centrifugation or ultrafiltration. Carter et al., 1992, Bio/Technology 10:163-167 describe a procedure for isolating antibodies which are secreted to the periplasmic space of E. coli. Briefly, cell paste is thawed in the presence of sodium acetate (pH 3.5), EDTA, and phenylmethylsulfonylfluoride (PMSF) over about 30 min.
- sodium acetate pH 3.5
- EDTA EDTA
- PMSF phenylmethylsulfonylfluoride
- Cell debris can be removed by centrifugation.
- supernatants from such expression systems are generally first concentrated using a commercially available protein concentration filter, for example, an Amicon or Millipore Pellicon ultrafiltration unit.
- a protease inhibitor such as PMSF may be included in any of the foregoing steps to inhibit proteolysis and antibiotics may be included to prevent the growth of adventitious contaminants.
- the antibody composition prepared from the cells can be purified using, for example, hydroxylapatite chromatography, gel electrophoresis, dialysis, and affinity chromatography, with affinity chromatography being the preferred purification technique.
- protein A as an affinity ligand depends on the species and isotype of any immunoglobulin Fc domain that is present in the antibody.
- Protein A can be used to purify antibodies that are based on human ⁇ l, ⁇ 2, or ⁇ 4 heavy chains (Lindmark et al., 1983, J. Immunol. Meth. 62:1-13).
- Protein G is recommended for all mouse isotypes and for human ⁇ 3 (Guss et al., 1986, EMBO J. 5:15671575).
- the matrix to which the affinity ligand is attached is most often agarose, but other matrices are available.
- Mechanically stable matrices such as controlled pore glass or poly(styrenedivinyl)benzene allow for faster flow rates and shorter processing times than can be achieved with agarose.
- the antibody comprises a C H 3 domain
- the Bakerbond ABXTMresin J. T. Baker, 1 Phillipsburg, NJ is useful for purification.
- the mixture comprising the antibody of interest and contaminants may be subjected to low pH hydrophobic interaction chromatography using an elution buffer at a pH between about 2.5-4.5, preferably performed at low salt concentrations (e.g., from about 0-0.25M salt).
- the antibody may be conjugated to a cytotoxic agent such as a toxin or a radioactive isotope.
- a cytotoxic agent such as a toxin or a radioactive isotope.
- the toxin is calicheamicin, a maytansinoid, a dolastatin, auristatin E and analogs or derivatives thereof, are preferable.
- a murine model expressing the human CD20 (hCD20) genomic locus (hCD20Tg ++ mice) was developed to analyze in vivo mechanisms of function for therapeutic mAbs that eliminate cells by targeting cell surface antigens.
- Two independent bacterial artificial chromosomes (BACs) were injected into blastocysts derived from FVB mice to generate multiple transgenic founder lines that expressed hCD20.
- Two founder mice that transmitted hCD20 expression to progeny were subjected to more detailed analysis. Both founder lines demonstrated identical patterns of hCD20 expression and hence data from only one founder line will be presented herein.
- Subpopulations of circulating lymphocytes of the hCD20 transgenic (hCD20 Tg + ) mice were analyzed by FACS and characterized according to expression of antigens B220 and CD3 in peripheral lymphocytes as shown in Figure 1 (upper left panel). Each of the populations boxed in the upper left panel was analyzed for hCD20 expression; CD3 " B220 + (upper right panel), CD3 + B220 " (lower right panel), and CD3 ' B220 " cells (lower left panel).
- hCD20 expression during B cell ontogeny was analyzed. As shown in the top panel of Figure 2, hCD20 was readily detected on immature B cells, characterized as CD43 " 622O 10 IgM + (see Figure 3). Further, hCD20 was upregulated in the spleen, with the highest level of hCD20 expression detected on marginal zone (MZ) B cells ( Figure 2, middle). Immunohistochemistry was preformed on Tg + and Tg ' mice to analyze hCD20 expression. Spleens from Tg + or Tg " mice were stained for IgM (green), hCD20 (red), or CD3 (blue).
- Immunohistochemical (IHC) analysis of splenic tissue revealed co- localization of hCD20 staining with IgM amongst the B cell zones (data not shown).
- hCD20 staining was not co-localized with IgM hl staining plasma cells by IHC analysis, nor on Syndecan I + plasma cells by FACS analysis.
- hCD20 was detected on peritoneal Bl and B2 B cells, mature lymph node B cells, and Peyer's Patch germinal center (GC) B cells ( Figure 2-bottom panel).
- GC Peyer's Patch germinal center
- hCD20 Tg + mice were treated intraperitoneally with a single dose of .1 mg of control mouse IgG 2a (non-specific antibody) or with a panel anti-hCD20 mAbs that included RITUXAN®, 2H7, Bl, and 1F5.
- RITUXAN®, 2H7, and 1F5 bind comparable epitopes located within the second extracellular domain of CD20; Bl binds a different but overlapping epitope. Incubation of B cells with Bl has been described to not mobilize CD20 into membrane rafts.
- B cells present in the peripheral blood of treated and control mice were analyzed by FACS. Subpopulations of B cells were identified by expression of CD23 and CD21. As shown in Figure 4, each of the anti-hCD20 mAbs caused depletion of peripheral B cells (circle). Depletion of peripheral B cells was correlated with the circulating serum half-life of the therapeutic mAb (data not shown). Peripheral blood of hCD20 Tg + mice treated with the anti-hCD20 antibody m2H7 was analyzed on day 6, week 6, and week 14 post-treatment. As shown in Figure 5, treatment with anti-hCD20 depleted circulating B cells, as shown at day 6 ( Figure 5, left panel).
- Example 3 demonstrates that B cell subsets show different susceptibilities to B cell depletion upon anti-CD20 antibody treatment.
- B Cell Depletion in Spleen Transgenic mice described above for Example 1 (hCD20 Tg + mice) were treated with control IgG 2 or anti-hCD20 mAb. Spleens were harvested at day 4 post-treatment and analyzed for B220, IgM, CD21, and CD23 staining, and characterized as CD21 hi CD23 + follicular (FO) B cells or CD21 hi CD23 ' marginal zone (MZ) B cells (Figure 7). B cells in each subset were quantified, as shown in Figure 8.
- B220 + splenocytes isolated from the anti-hCD20 mAb treated mice were analyzed ex vivo with either a FITC-anti-mouse IgG 2a mAb (to detect bound anti-hCD20 mAb) or with additional anti-hCD20 mAb followed by FITC-anti-mouse IgG 2a mAb (to detect the total amount of CD20 expressed) on resistant splenic B cells.
- GC B cells resident within Peyer's Patches demonstrated greatest resistance to anti-hCD20 mAb treatment. While mature B220 + CD38 hi B cells were readily depleted, the B22O + CD38 l0 GC B cells were resistant to anti-hCD20 mAb therapy, as shown in Figure 10.
- splenic GC B cells generated through immunization with sheep red blood cells (SRBCs) were tested for resistance. Mice were immunized with SRBCs to induce GC formation.
- mice were treated on day 8 with 0.2 mg control IgG 2a or anti-hCD20 mAb.
- Splenic GC B cells were characterized and quantified by B220 and PNA (peanut agglutinin) staining. Peanut agglutinin stains for GC B cells.
- non-immunized mice did not develop B220 + PNA + GC B cells (left panel, circle).
- SRBC immunized mice did develop PNA + GC B cells (right panel, circle) that were resistant to anti- hCD20 mAb killing (Figure 11, bottom).
- high doses of anti-hCD20 mAb were administered to transgenic mice.
- mice The residual resistant B cells in treated transgenic mice were functional, as anti-hCD20 mAb treated mice were capable of mounting substantial, albeit reduced, immune responses to immunogens and bacteria (Figure 14 and Figure 15).
- Transgenic animals were treated with two doses of control or anti-hCD20 mAb (0.2 mg/dose, IP) at weeks 7 and 10.
- Mice were immunized (SC) with (4-hydroxy-3-nitrophenyl)acetyl conjugated to keyhole limpet hemocyanin (NP-KLH) at week 1 and challenged again at week 11.
- NP-specif ⁇ c Ig levels were assayed at week 12 by ELISA. Data are shown in Figure 14, where pre-bleed refers to sample taken before immunization with NP-KLH.
- FIG. 15 shows T-independent immune response to a bacterial antigen.
- Complete depletion of peripheral and peritoneal Bl cells was achieved 3 weeks after treatment of two IP doses (0.2 mg/mouse) of control or ⁇ -hCD20 niAbs as shown in Figure 6.
- Example 4 Intravascular access enhances B cell depletion This Example shows mobilization of marginal zone B cells enhances the sensitivity of these cells to anti-hCD20 mAb depletion.
- the hierarchy of sensitivity to anti-hCD20 mAb treatment might reflect an intrinsic resistance of cells due to the expression of negative regulatory cell surface proteins or intracellular anti-apoptotic factors, survival factors provided by the MZ and GC microenvironment, and/or access to required effector mechanisms.
- MZ B cells were mobilized into the vasculature by co-administration of anti-ocL and anti-oc4 integrin mAbs.
- Mice hCD20 Tg +
- mice were pre-treated with control IgG 2a three days prior to the initiation of the study (day -3) to minimize non-specific effects of IgG on cellular trafficking.
- mice were treated with 0.2 mg control IgG 2a or anti-hCD20 mAb.
- Mice were injected intravenously on day 2 with 0.1 mg each of anti- CDl Ia (Ml 7) and anti- ⁇ 4 integrin (PS/2) mAbs.
- Blood samples were analyzed 1.5 and 6 hours following the administration of the anti-integrin mAbs.
- MZ B cells CD21 hi CD23 Iow
- Mobilization of CD21 hi CD23 l0 MZ B cells rendered these cells more sensitive to anti-CD20 mAb mediated depletion. See, for example Figure 16 panels 2 and 5, panels 3 and 6; and Figure 17.
- mice were treated as described above to mobilize MZ B cells, except that the anti-integrin mAb cocktail was substituted with 25 ⁇ g lipopolysaccharide (LPS). FACs analysis of treated and control cells show that LPS treatment results in the mobilization of MZ B cells into the follicle ( Figure 19).
- Compound A a sphingosine 1 -phosphate receptor agonist
- Mice were treated with vehicle control or a sphingosine 1 -phosphate receptor (SlPR) agonist (Compound A) and challenged with anti-hCD20 mAbs.
- hCD20 Tg + mice were treated by oral gavage with vehicle control or Compound A (10 mg/kg every 6 hours).
- a single dose of control or anti-hCD20 mAb (0.5 mg IP) was administered two hours after the first dose of Compound A.
- lymph node B cells were readily depleted by anti-hCD20 mAbs in vehicle-treated mice, lymph node B cells were not depleted by anti-hCD20 mAbs in the presence of compound A ( Figure 20, panels 1 and 2). Together, this data supports the requirement for B cells to access the circulation for efficient depletion.
- Example 5 The role of the liver and spleen in B cell depletion Since the reticuloendothelial system (RES) represents a major modality for clearance of apoptotic cells and immune complexes, the contributions of the liver and spleen to B cell depletion were examined.
- RES reticuloendothelial system
- mice underwent either sham splenectomy ( Figure 23, top row) or splenectomy ( Figure 24, bottom row) and were analyzed for B cell depletion. Blood was analyzed 3 hours and one day following treatment with a suboptimal dose of anti-hCD20 mAb (5 ⁇ g). No differences in B cell depletion were detected with higher doses of anti-hCD20 mAb (0.1 mg). Phagocytosis by Kupfer cells of B cells following anti-hCD20 mAb treatment was examined. Mice were treated with 0.1 mg control IgG (top left) or anti-hCD20 mAb.
- livers were harvested and analyzed for B220 and F4/80 staining for B cells and macrophages, respectively.
- Co-localized B220 + and F4/80 + cells from 4 control and anti-hCD20 mAb treated mice were quantified.
- livers demonstrate co-localization of B220 + staining B cells within F4/80 + staining macrophages in treated mice ( Figure 25) thus Kupfer cells engulfed B220 + B cells.
- Figure 25 histologic examination of livers demonstrated co-localization of B220 + staining B cells within F4/80 + staining macrophages in treated mice ( Figure 25) thus Kupfer cells engulfed B220 + B cells.
- the liver represents the major portal of B cell depletion
- the hierarchy of sensitivities observed for splenic and tissue laden B cell subsets reflect the reduced circulatory capacities of MZ and GC B cells.
- the ability to augment or inhibit B cell depletion as a consequence of lymphocyte mobilization or inhibition of lymphocyte egress, respectively, further support the importance of intravascular access in B cell killing.
- the experiments herein demonstrated surprising results in that the combination of treatment with anti-CD20 antibody and one or more integrin antagonists demonstrated great synergy in achieving enhanced depletion of B cells by depleting previously unexposed or undepleted B cell subsets.
Landscapes
- Health & Medical Sciences (AREA)
- Chemical & Material Sciences (AREA)
- Life Sciences & Earth Sciences (AREA)
- Medicinal Chemistry (AREA)
- General Health & Medical Sciences (AREA)
- Veterinary Medicine (AREA)
- Public Health (AREA)
- Animal Behavior & Ethology (AREA)
- Pharmacology & Pharmacy (AREA)
- Organic Chemistry (AREA)
- Engineering & Computer Science (AREA)
- Nuclear Medicine, Radiotherapy & Molecular Imaging (AREA)
- General Chemical & Material Sciences (AREA)
- Chemical Kinetics & Catalysis (AREA)
- Bioinformatics & Cheminformatics (AREA)
- Immunology (AREA)
- Epidemiology (AREA)
- Biomedical Technology (AREA)
- Diabetes (AREA)
- Mycology (AREA)
- Microbiology (AREA)
- Hematology (AREA)
- Neurology (AREA)
- Molecular Biology (AREA)
- Proteomics, Peptides & Aminoacids (AREA)
- Rheumatology (AREA)
- Physical Education & Sports Medicine (AREA)
- Orthopedic Medicine & Surgery (AREA)
- Neurosurgery (AREA)
- Cardiology (AREA)
- Biochemistry (AREA)
- Biophysics (AREA)
- Genetics & Genomics (AREA)
- Heart & Thoracic Surgery (AREA)
- Emergency Medicine (AREA)
- Pain & Pain Management (AREA)
- Oncology (AREA)
- Endocrinology (AREA)
- Obesity (AREA)
- Dermatology (AREA)
Abstract
Description
Claims
Priority Applications (7)
| Application Number | Priority Date | Filing Date | Title |
|---|---|---|---|
| AU2005244751A AU2005244751A1 (en) | 2004-04-16 | 2005-04-15 | Method for augmenting B cell depletion |
| EP05778447A EP1735000A2 (en) | 2004-04-16 | 2005-04-15 | Method for augmenting b cell depletion |
| JP2007508599A JP2007532681A (en) | 2004-04-16 | 2005-04-15 | Methods for increasing B cell depletion |
| CA002563432A CA2563432A1 (en) | 2004-04-16 | 2005-04-15 | Method for augmenting b cell depletion |
| BRPI0508762-7A BRPI0508762A (en) | 2004-04-16 | 2005-04-15 | b-cell depletion method in mammals, b-cell depletion efficacy method, b-cell malignancy or neoplasm treatment method, b-cell autoimmune dysfunction relief method, b-cell depletion method composition |
| MXPA06011805A MXPA06011805A (en) | 2004-04-16 | 2005-04-15 | Method for augmenting b cell depletion. |
| IL178158A IL178158A0 (en) | 2004-04-16 | 2006-09-18 | Method for augmenting b cell depletion |
Applications Claiming Priority (2)
| Application Number | Priority Date | Filing Date | Title |
|---|---|---|---|
| US56326304P | 2004-04-16 | 2004-04-16 | |
| US60/563,263 | 2004-04-16 |
Publications (2)
| Publication Number | Publication Date |
|---|---|
| WO2005113003A2 true WO2005113003A2 (en) | 2005-12-01 |
| WO2005113003A3 WO2005113003A3 (en) | 2006-03-16 |
Family
ID=35428861
Family Applications (1)
| Application Number | Title | Priority Date | Filing Date |
|---|---|---|---|
| PCT/US2005/012984 Ceased WO2005113003A2 (en) | 2004-04-16 | 2005-04-15 | Method for augmenting b cell depletion |
Country Status (12)
| Country | Link |
|---|---|
| US (2) | US20050276803A1 (en) |
| EP (1) | EP1735000A2 (en) |
| JP (1) | JP2007532681A (en) |
| KR (1) | KR20070012408A (en) |
| CN (1) | CN101005854A (en) |
| AU (1) | AU2005244751A1 (en) |
| BR (1) | BRPI0508762A (en) |
| CA (1) | CA2563432A1 (en) |
| IL (1) | IL178158A0 (en) |
| MX (1) | MXPA06011805A (en) |
| RU (1) | RU2006140377A (en) |
| WO (1) | WO2005113003A2 (en) |
Cited By (32)
| Publication number | Priority date | Publication date | Assignee | Title |
|---|---|---|---|---|
| WO2006065479A3 (en) * | 2004-11-23 | 2006-08-03 | Ptc Therapeutics Inc | Substituted phenols as active agents inhibiting vegf production |
| WO2006084264A3 (en) * | 2005-02-07 | 2007-07-26 | Genentech Inc | Cd20 antibody variants and uses thereof |
| WO2007148676A1 (en) * | 2006-06-20 | 2007-12-27 | Toray Industries, Inc. | Therapeutic or prophylactic agent for leukemia |
| WO2007140371A3 (en) * | 2006-05-30 | 2008-02-14 | Genentech Inc | Antibodies and immunoconjugates and uses therefor |
| JP2008519761A (en) * | 2004-11-09 | 2008-06-12 | スミスクライン ビーチャム コーポレーション | Glycogen phosphorylase inhibiting compound and pharmaceutical composition thereof |
| WO2008112840A3 (en) * | 2007-03-14 | 2008-12-24 | Genentech Inc | Novel composition and methods for the treatment of immune related diseases |
| US7479544B2 (en) | 2002-10-25 | 2009-01-20 | Genentech Inc. | Anti-PRO87299 antibodies |
| EP1841454A4 (en) * | 2005-01-13 | 2009-07-22 | Genentech Inc | Treatment method |
| EP2085407A1 (en) * | 2008-02-04 | 2009-08-05 | Sahltech I Göteborg AB | Treatment of idiopathic thrombocytopenic purpura |
| US7601840B2 (en) | 2004-03-15 | 2009-10-13 | Ptc Therapeutics, Inc. | Carboline derivatives useful in the inhibition of angiogenesis |
| WO2009058285A3 (en) * | 2007-10-29 | 2009-12-10 | Virginia Tech Intellectual Properties, Inc. | PORCINE DC-SIGN, ICAM-3 AND LSECtin AND USES THEREOF |
| WO2010075249A2 (en) | 2008-12-22 | 2010-07-01 | Genentech, Inc. | A method for treating rheumatoid arthritis with b-cell antagonists |
| US7767689B2 (en) | 2004-03-15 | 2010-08-03 | Ptc Therapeutics, Inc. | Carboline derivatives useful in the treatment of cancer |
| WO2010118890A1 (en) * | 2009-04-16 | 2010-10-21 | Charite - Universitätsmedizin Berlin | B-lymphocyte targeting agents for use in a method for the treatment of a disease |
| WO2011100403A1 (en) | 2010-02-10 | 2011-08-18 | Immunogen, Inc | Cd20 antibodies and uses thereof |
| US8076352B2 (en) | 2004-03-15 | 2011-12-13 | Ptc Therapeutics, Inc. | Administration of carboline derivatives useful in the treatment of cancer and other diseases |
| US8076353B2 (en) | 2004-03-15 | 2011-12-13 | Ptc Therapeutics, Inc. | Inhibition of VEGF translation |
| EP2716658A3 (en) * | 2006-12-20 | 2014-10-08 | Mmrglobal, Inc. | Antibodies and methods for making and using them |
| JP2014193168A (en) * | 2007-10-31 | 2014-10-09 | Xencor Inc | Fc VARIANTS WITH ALTERED BINDING TO FcRn |
| US8883980B2 (en) | 2003-11-05 | 2014-11-11 | Roche Glycart Ag | Antigen binding molecules with increased Fc receptor binding affinity and effector function |
| WO2015064580A1 (en) * | 2013-10-29 | 2015-05-07 | 味の素株式会社 | Sulfonamide derivative and medicinal use thereof |
| US9085630B2 (en) | 2002-11-15 | 2015-07-21 | Genentech, Inc. | Compositions and methods for the treatment of tumor of hematopoietic origin |
| EP3095463A2 (en) | 2008-09-16 | 2016-11-23 | F. Hoffmann-La Roche AG | Methods for treating progressive multiple sclerosis |
| WO2017135472A1 (en) * | 2016-02-05 | 2017-08-10 | Eaファーマ株式会社 | Sulfonamide derivative and pharmaceutical composition containing same |
| US9803023B2 (en) | 2004-11-12 | 2017-10-31 | Xencor, Inc. | Fc variants with altered binding to FcRn |
| US10253098B2 (en) | 2006-07-11 | 2019-04-09 | Greenovation Biotech Gmbh | Glyco-engineered antibodies |
| US10336818B2 (en) | 2004-11-12 | 2019-07-02 | Xencor, Inc. | Fc variants with altered binding to FcRn |
| US11401348B2 (en) | 2009-09-02 | 2022-08-02 | Xencor, Inc. | Heterodimeric Fc variants |
| US11561219B2 (en) | 2016-08-26 | 2023-01-24 | Juno Therapeutics, Inc. | Methods of enumerating particles present in a cell composition |
| US12140526B2 (en) | 2018-02-28 | 2024-11-12 | Juno Therapeutics, Inc. | Methods for detecting particles present in a cell composition |
| US12492253B1 (en) | 2008-02-25 | 2025-12-09 | Xencor, Inc. | Anti-human C5 antibodies |
| US12528874B2 (en) | 2022-11-15 | 2026-01-20 | Genentech, Inc. | Methods and compositions for treating systemic lupus erythematosus (SLE) with mosunetuzumab |
Families Citing this family (29)
| Publication number | Priority date | Publication date | Assignee | Title |
|---|---|---|---|---|
| DE60024436T2 (en) | 1999-05-07 | 2006-08-17 | Genentech, Inc., South San Francisco | TREATMENT OF AUTOIMMUNE DISEASES WITH ANTAGONISTS BINDING THE SURFACE MARKERS OF B CELLS |
| CA2478458A1 (en) * | 2004-08-20 | 2006-02-20 | Michael Panzara | Treatment of pediatric multiple sclerosis |
| US20090202527A1 (en) * | 2004-11-19 | 2009-08-13 | Biogen Idec Ma Inc. | Treatment for multiple sclerosis |
| AU2008247382B2 (en) * | 2007-05-07 | 2014-06-05 | Medimmune, Llc | Anti-ICOS antibodies and their use in treatment of oncology, transplantation and autoimmune disease |
| EP2170306A1 (en) * | 2007-06-26 | 2010-04-07 | Lexicon Pharmaceuticals, Inc. | Methods of treating serotonin-mediated diseases and disorders |
| WO2009009561A1 (en) | 2007-07-11 | 2009-01-15 | Lexicon Pharmaceuticals, Inc. | Methods and compositions for treating pulmonary hypertension and related diseases and disorders |
| JP2011506322A (en) * | 2007-12-07 | 2011-03-03 | エラン ファーマシューティカルズ,インコーポレイテッド | Methods and compositions for treating humoral tumors |
| EP2077281A1 (en) * | 2008-01-02 | 2009-07-08 | Bergen Teknologioverforing AS | Anti-CD20 antibodies or fragments thereof for the treatment of chronic fatigue syndrome |
| JP2011513399A (en) | 2008-03-03 | 2011-04-28 | ザ ユニバーシティー オブ マイアミ | Immunotherapy with allogeneic cancer cells |
| CN102036677A (en) | 2008-03-20 | 2011-04-27 | 迈阿密大学 | Heat shock protein GP96 vaccination and methods of using same |
| CA2758548A1 (en) * | 2009-04-17 | 2010-10-21 | Biogen Idec Ma Inc. | Compositions and methods to treat acute myelogenous leukemia |
| AR078161A1 (en) | 2009-09-11 | 2011-10-19 | Hoffmann La Roche | VERY CONCENTRATED PHARMACEUTICAL FORMULATIONS OF AN ANTIBODY ANTI CD20. USE OF THE FORMULATION. TREATMENT METHOD |
| HRP20171045T1 (en) | 2010-04-16 | 2017-10-06 | Biogen Ma Inc. | ANTI-VLA-4 ANTIBODIES |
| US20130336961A1 (en) * | 2010-07-16 | 2013-12-19 | The Ohio State University | B Cell Depletion for Central Nervous System Injuries and Methods and Uses Thereof |
| US9371514B2 (en) | 2010-09-22 | 2016-06-21 | The Feinstein Institute For Medical Research | Human B1 cells and uses thereof |
| WO2013001819A1 (en) * | 2011-06-30 | 2013-01-03 | 株式会社免疫生物研究所 | SOLUBLE INTEGRIN α4 MUTANT |
| DK2842945T3 (en) | 2012-04-24 | 2017-01-30 | Ea Pharma Co Ltd | Sulfonamide derivative and medical use thereof |
| KR20240116967A (en) * | 2014-11-26 | 2024-07-30 | 젠코어 인코포레이티드 | Heterodimeric antibodies that bind cd3 and tumor antigens |
| US10450585B2 (en) * | 2015-07-13 | 2019-10-22 | Sangamo Therapeutics, Inc. | Delivery methods and compositions for nuclease-mediated genome engineering |
| CN105294458B (en) * | 2015-11-17 | 2017-07-11 | 中国人民解放军第四军医大学 | A kind of anti-tumor small molecular compound and its preparation method and application |
| EP3800999A4 (en) | 2018-06-04 | 2022-06-01 | Biogen MA Inc. | Anti-vla-4 antibodies having reduced effector function |
| ES3013256T3 (en) | 2018-10-30 | 2025-04-11 | Gilead Sciences Inc | Imidazo[1,2-a]pyridine derivatives as alpha4beta7 integrin inhibitors for the treatment of inflammatory diseases |
| KR102652797B1 (en) | 2018-10-30 | 2024-04-02 | 길리애드 사이언시즈, 인코포레이티드 | Compounds for inhibition of alpha4beta7 integrin |
| EP3873605B1 (en) | 2018-10-30 | 2024-10-23 | Gilead Sciences, Inc. | Compounds for inhibition of alpha4beta7 integrin |
| JP7192139B2 (en) | 2018-10-30 | 2022-12-19 | ギリアード サイエンシーズ, インコーポレイテッド | Quinoline derivatives as α4β7 integrin inhibitors |
| EP4013499A1 (en) | 2019-08-14 | 2022-06-22 | Gilead Sciences, Inc. | Compounds for inhibition of alpha 4 beta 7 integrin |
| BR112022022800A2 (en) | 2020-05-11 | 2022-12-13 | Janssen Biotech Inc | METHODS FOR TREATMENT OF MULTIPLE MYELOMA |
| AU2022380722A1 (en) | 2021-11-03 | 2024-06-20 | Janssen Biotech, Inc. | Methods of treating cancers and enhancing efficacy of bcmaxcd3 bispecific antibodies |
| AU2024282654A1 (en) | 2023-05-30 | 2025-12-04 | Paragon Therapeutics, Inc. | Alpha4beta7 integrin antibody compositions and methods of use |
Family Cites Families (80)
| Publication number | Priority date | Publication date | Assignee | Title |
|---|---|---|---|---|
| US3773919A (en) * | 1969-10-23 | 1973-11-20 | Du Pont | Polylactide-drug mixtures |
| IL47062A (en) * | 1975-04-10 | 1979-07-25 | Yeda Res & Dev | Process for diminishing antigenicity of tissues to be usedas transplants by treatment with glutaraldehyde |
| DE2714880A1 (en) * | 1977-04-02 | 1978-10-26 | Hoechst Ag | CEPHEMDER DERIVATIVES AND PROCESS FOR THEIR PRODUCTION |
| USRE30985E (en) * | 1978-01-01 | 1982-06-29 | Serum-free cell culture media | |
| US4665077A (en) * | 1979-03-19 | 1987-05-12 | The Upjohn Company | Method for treating rejection of organ or skin grafts with 6-aryl pyrimidine compounds |
| US4560655A (en) * | 1982-12-16 | 1985-12-24 | Immunex Corporation | Serum-free cell culture medium and process for making same |
| US4657866A (en) * | 1982-12-21 | 1987-04-14 | Sudhir Kumar | Serum-free, synthetic, completely chemically defined tissue culture media |
| US4816567A (en) * | 1983-04-08 | 1989-03-28 | Genentech, Inc. | Recombinant immunoglobin preparations |
| US4767704A (en) * | 1983-10-07 | 1988-08-30 | Columbia University In The City Of New York | Protein-free culture medium |
| US4676980A (en) * | 1985-09-23 | 1987-06-30 | The United States Of America As Represented By The Secretary Of The Department Of Health And Human Services | Target specific cross-linked heteroantibodies |
| US4927762A (en) * | 1986-04-01 | 1990-05-22 | Cell Enterprises, Inc. | Cell culture medium with antioxidant |
| US5567610A (en) * | 1986-09-04 | 1996-10-22 | Bioinvent International Ab | Method of producing human monoclonal antibodies and kit therefor |
| IL85035A0 (en) * | 1987-01-08 | 1988-06-30 | Int Genetic Eng | Polynucleotide molecule,a chimeric antibody with specificity for human b cell surface antigen,a process for the preparation and methods utilizing the same |
| US5002869A (en) * | 1987-11-02 | 1991-03-26 | Dana-Farber Cancer Institute | Monoclonal antibody specific to a novel epitope of the LFA-1 antigen of human T lymphocytes |
| US5506126A (en) * | 1988-02-25 | 1996-04-09 | The General Hospital Corporation | Rapid immunoselection cloning method |
| EP0330506A3 (en) * | 1988-02-26 | 1990-06-20 | Dana Farber Cancer Institute | Vla proteins |
| IL85746A (en) * | 1988-03-15 | 1994-05-30 | Yeda Res & Dev | Preparations comprising t-lymphocyte cells treated with 8-methoxypsoralen or cell membranes separated therefrom for preventing or treating autoimmune diseases |
| US4861579A (en) * | 1988-03-17 | 1989-08-29 | American Cyanamid Company | Suppression of B-lymphocytes in mammals by administration of anti-B-lymphocyte antibodies |
| US5071964A (en) * | 1988-05-04 | 1991-12-10 | Dana-Farber Cancer Institute, Inc. | Protein micelles |
| GB8823869D0 (en) * | 1988-10-12 | 1988-11-16 | Medical Res Council | Production of antibodies |
| US5175384A (en) * | 1988-12-05 | 1992-12-29 | Genpharm International | Transgenic mice depleted in mature t-cells and methods for making transgenic mice |
| US5324510A (en) * | 1989-09-01 | 1994-06-28 | Boehringer Ingelheim Pharmaceuticals, Inc. | Use of antibodies to intercellular adhesion molecule-1 (ICAM-1) in the treatment of asthma |
| US5730978A (en) * | 1989-09-01 | 1998-03-24 | Fred Hutchinson Cancer Research Center | Inhibition of lymphocyte adherence with α4β1-specific antibodies |
| US7238668B1 (en) * | 1989-09-01 | 2007-07-03 | Fred Hutchinson Cancer Research Center | Inhibition of lymphocyte adherence with CS-1-peptides and fragments thereof |
| US6033665A (en) * | 1989-09-27 | 2000-03-07 | Elan Pharmaceuticals, Inc. | Compositions and methods for modulating leukocyte adhesion to brain endothelial cells |
| US5229275A (en) * | 1990-04-26 | 1993-07-20 | Akzo N.V. | In-vitro method for producing antigen-specific human monoclonal antibodies |
| US5545806A (en) * | 1990-08-29 | 1996-08-13 | Genpharm International, Inc. | Ransgenic non-human animals for producing heterologous antibodies |
| WO1992003918A1 (en) * | 1990-08-29 | 1992-03-19 | Genpharm International, Inc. | Transgenic non-human animals capable of producing heterologous antibodies |
| US5122469A (en) * | 1990-10-03 | 1992-06-16 | Genentech, Inc. | Method for culturing Chinese hamster ovary cells to improve production of recombinant proteins |
| US5571894A (en) * | 1991-02-05 | 1996-11-05 | Ciba-Geigy Corporation | Recombinant antibodies specific for a growth factor receptor |
| WO1992022653A1 (en) * | 1991-06-14 | 1992-12-23 | Genentech, Inc. | Method for making humanized antibodies |
| GB9115364D0 (en) * | 1991-07-16 | 1991-08-28 | Wellcome Found | Antibody |
| CA2116774C (en) * | 1991-09-19 | 2003-11-11 | Paul J. Carter | Expression in e. coli antibody fragments having at least a cysteine present as a free thiol. use for the production of bifunctional f(ab') 2 antibodies |
| US5565332A (en) * | 1991-09-23 | 1996-10-15 | Medical Research Council | Production of chimeric antibodies - a combinatorial approach |
| ATE180408T1 (en) * | 1991-10-04 | 1999-06-15 | Us Health | PRODUCTION OF A MEDICINAL PRODUCT FOR THE TREATMENT OF EYE INFLAMMATION BY BLOCKING CELL ADHESION MOLECULES |
| FI941572L (en) * | 1991-10-07 | 1994-05-27 | Oncologix Inc | Combination and method of use of anti-erbB-2 monoclonal antibodies |
| US5932448A (en) * | 1991-11-29 | 1999-08-03 | Protein Design Labs., Inc. | Bispecific antibody heterodimers |
| US5932214A (en) * | 1994-08-11 | 1999-08-03 | Biogen, Inc. | Treatment for inflammatory bowel disease with VLA-4 blockers |
| US5573905A (en) * | 1992-03-30 | 1996-11-12 | The Scripps Research Institute | Encoded combinatorial chemical libraries |
| DE69315847T2 (en) * | 1992-08-21 | 1998-06-25 | Genentech Inc | METHOD FOR TREATING A FAULT BROUGHT BY LFA-1 |
| US5736137A (en) * | 1992-11-13 | 1998-04-07 | Idec Pharmaceuticals Corporation | Therapeutic application of chimeric and radiolabeled antibodies to human B lymphocyte restricted differentiation antigen for treatment of B cell lymphoma |
| DE122004000036I1 (en) * | 1992-11-13 | 2005-07-07 | Biogen Idec Inc | Therapeutic use of chimeric and labeled antibodies to human B lymphocyte limited differentiation antigen for the treatment of B-cell lymphoma. |
| NZ261259A (en) * | 1993-01-12 | 1996-12-20 | Biogen Inc | Humanised recombinant anti-vla4 antibody and diagnostic compositions and medicaments |
| FR2700471B1 (en) * | 1993-01-21 | 1995-04-07 | Pasteur Merieux Serums Vacc | Use of anti-LFA-1 monoclonal antibodies for the preparation of a medicament intended to prevent rejection of solid organ transplants and medicaments obtained. |
| US5595721A (en) * | 1993-09-16 | 1997-01-21 | Coulter Pharmaceutical, Inc. | Radioimmunotherapy of lymphoma using anti-CD20 |
| US5840299A (en) * | 1994-01-25 | 1998-11-24 | Athena Neurosciences, Inc. | Humanized antibodies against leukocyte adhesion molecule VLA-4 |
| US5789199A (en) * | 1994-11-03 | 1998-08-04 | Genentech, Inc. | Process for bacterial production of polypeptides |
| US5840523A (en) * | 1995-03-01 | 1998-11-24 | Genetech, Inc. | Methods and compositions for secretion of heterologous polypeptides |
| US5731168A (en) * | 1995-03-01 | 1998-03-24 | Genentech, Inc. | Method for making heteromultimeric polypeptides |
| US5641870A (en) * | 1995-04-20 | 1997-06-24 | Genentech, Inc. | Low pH hydrophobic interaction chromatography for antibody purification |
| US5869046A (en) * | 1995-04-14 | 1999-02-09 | Genentech, Inc. | Altered polypeptides with increased half-life |
| US5837234A (en) * | 1995-06-07 | 1998-11-17 | Cytotherapeutics, Inc. | Bioartificial organ containing cells encapsulated in a permselective polyether suflfone membrane |
| US6239108B1 (en) * | 1996-07-11 | 2001-05-29 | Biogen, Inc. | Cell adhesion inhibitors |
| US6037454A (en) * | 1996-11-27 | 2000-03-14 | Genentech, Inc. | Humanized anti-CD11a antibodies |
| US6306393B1 (en) * | 1997-03-24 | 2001-10-23 | Immunomedics, Inc. | Immunotherapy of B-cell malignancies using anti-CD22 antibodies |
| US6171586B1 (en) * | 1997-06-13 | 2001-01-09 | Genentech, Inc. | Antibody formulation |
| DK0991619T3 (en) * | 1997-06-23 | 2003-12-29 | Tanabe Seiyaku Co | Inhibitors of alpha 4-beta 1-mediated cell adhesion |
| AU8296098A (en) * | 1997-07-08 | 1999-02-08 | Board Of Regents, The University Of Texas System | Compositions and methods for homoconjugates of antibodies which induce growth arrest or apoptosis of tumor cells |
| US6242195B1 (en) * | 1998-04-02 | 2001-06-05 | Genentech, Inc. | Methods for determining binding of an analyte to a receptor |
| US6194551B1 (en) * | 1998-04-02 | 2001-02-27 | Genentech, Inc. | Polypeptide variants |
| US6528624B1 (en) * | 1998-04-02 | 2003-03-04 | Genentech, Inc. | Polypeptide variants |
| AU767965C (en) * | 1998-08-11 | 2005-04-21 | Biogen Inc. | Combination therapies for B-cell lymphomas comprising administration of anti-CD20 antibody |
| US6224866B1 (en) * | 1998-10-07 | 2001-05-01 | Biocrystal Ltd. | Immunotherapy of B cell involvement in progression of solid, nonlymphoid tumors |
| US6407066B1 (en) * | 1999-01-26 | 2002-06-18 | Elan Pharmaceuticals, Inc. | Pyroglutamic acid derivatives and related compounds which inhibit leukocyte adhesion mediated by VLA-4 |
| US6383276B1 (en) * | 1999-03-12 | 2002-05-07 | Fuji Photo Film Co., Ltd. | Azomethine compound and oily magenta ink |
| DE19930748C2 (en) * | 1999-07-02 | 2001-05-17 | Infineon Technologies Ag | Method for producing EEPROM and DRAM trench memory cell areas on a chip |
| AU780385B2 (en) * | 1999-09-24 | 2005-03-17 | Genentech Inc. | Tyrosine derivatives |
| US20020006404A1 (en) * | 1999-11-08 | 2002-01-17 | Idec Pharmaceuticals Corporation | Treatment of cell malignancies using combination of B cell depleting antibody and immune modulating antibody related applications |
| MXPA02009626A (en) * | 2000-03-31 | 2003-05-14 | Idec Pharma Corp | Combined use of anti cytokine antibodies or antagonists and anti cd20 for the treatment of b cell lymphoma. |
| LT2857516T (en) * | 2000-04-11 | 2017-09-11 | Genentech, Inc. | Multivalent antibodies and uses therefor |
| MXPA02010507A (en) * | 2000-04-25 | 2003-05-14 | Idec Pharma Corp | Intrathecal administration of rituximab for treatment of central nervous system lymphomas. |
| CA2410371C (en) * | 2000-06-22 | 2015-11-17 | University Of Iowa Research Foundation | Methods for enhancing antibody-induced cell lysis and treating cancer |
| AU2001286542A1 (en) * | 2000-08-18 | 2002-03-04 | Genentech, Inc. | Integrin receptor inhibitors |
| MXPA03004527A (en) * | 2000-11-28 | 2003-09-10 | Genentech Inc | Lfa-1 antagonist compounds. |
| AU2002250352C1 (en) * | 2001-04-02 | 2009-04-30 | Genentech, Inc. | Combination therapy |
| US7321026B2 (en) * | 2001-06-27 | 2008-01-22 | Skytech Technology Limited | Framework-patched immunoglobulins |
| US7151164B2 (en) * | 2002-02-14 | 2006-12-19 | Immunomedics, Inc. | Anti-CD20 antibodies and fusion proteins thereof and methods of use |
| EP1558648B1 (en) * | 2002-10-17 | 2012-01-11 | Genmab A/S | Human monoclonal antibodies against cd20 |
| US20050163775A1 (en) * | 2003-06-05 | 2005-07-28 | Genentech, Inc. | Combination therapy for B cell disorders |
| KR20060107555A (en) * | 2003-12-19 | 2006-10-13 | 제넨테크, 인크. | Detection of CD20 in Transplant Rejection |
-
2005
- 2005-04-15 CN CNA2005800201387A patent/CN101005854A/en active Pending
- 2005-04-15 US US11/107,028 patent/US20050276803A1/en not_active Abandoned
- 2005-04-15 RU RU2006140377/15A patent/RU2006140377A/en not_active Application Discontinuation
- 2005-04-15 BR BRPI0508762-7A patent/BRPI0508762A/en not_active IP Right Cessation
- 2005-04-15 JP JP2007508599A patent/JP2007532681A/en not_active Withdrawn
- 2005-04-15 MX MXPA06011805A patent/MXPA06011805A/en not_active Application Discontinuation
- 2005-04-15 EP EP05778447A patent/EP1735000A2/en not_active Withdrawn
- 2005-04-15 WO PCT/US2005/012984 patent/WO2005113003A2/en not_active Ceased
- 2005-04-15 AU AU2005244751A patent/AU2005244751A1/en not_active Abandoned
- 2005-04-15 CA CA002563432A patent/CA2563432A1/en not_active Abandoned
- 2005-04-15 KR KR1020067021374A patent/KR20070012408A/en not_active Ceased
-
2006
- 2006-09-18 IL IL178158A patent/IL178158A0/en unknown
-
2007
- 2007-09-26 US US11/862,176 patent/US20080075719A1/en not_active Abandoned
Cited By (66)
| Publication number | Priority date | Publication date | Assignee | Title |
|---|---|---|---|---|
| US7479544B2 (en) | 2002-10-25 | 2009-01-20 | Genentech Inc. | Anti-PRO87299 antibodies |
| US7605229B2 (en) | 2002-10-25 | 2009-10-20 | Genentech, Inc. | PRO87299 polypeptides |
| US7863422B2 (en) | 2002-10-25 | 2011-01-04 | Genentech, Inc. | Anti-PRO87299 antibodies |
| US9085630B2 (en) | 2002-11-15 | 2015-07-21 | Genentech, Inc. | Compositions and methods for the treatment of tumor of hematopoietic origin |
| US8883980B2 (en) | 2003-11-05 | 2014-11-11 | Roche Glycart Ag | Antigen binding molecules with increased Fc receptor binding affinity and effector function |
| US9296820B2 (en) | 2003-11-05 | 2016-03-29 | Roche Glycart Ag | Polynucleotides encoding anti-CD20 antigen binding molecules with increased Fc receptor binding affinity and effector function |
| US8076352B2 (en) | 2004-03-15 | 2011-12-13 | Ptc Therapeutics, Inc. | Administration of carboline derivatives useful in the treatment of cancer and other diseases |
| US8076353B2 (en) | 2004-03-15 | 2011-12-13 | Ptc Therapeutics, Inc. | Inhibition of VEGF translation |
| US7601840B2 (en) | 2004-03-15 | 2009-10-13 | Ptc Therapeutics, Inc. | Carboline derivatives useful in the inhibition of angiogenesis |
| US7767689B2 (en) | 2004-03-15 | 2010-08-03 | Ptc Therapeutics, Inc. | Carboline derivatives useful in the treatment of cancer |
| JP2008519761A (en) * | 2004-11-09 | 2008-06-12 | スミスクライン ビーチャム コーポレーション | Glycogen phosphorylase inhibiting compound and pharmaceutical composition thereof |
| US12215165B2 (en) | 2004-11-12 | 2025-02-04 | Xencor, Inc. | Fc variants with altered binding to FcRn |
| US11198739B2 (en) | 2004-11-12 | 2021-12-14 | Xencor, Inc. | Fc variants with altered binding to FcRn |
| US10336818B2 (en) | 2004-11-12 | 2019-07-02 | Xencor, Inc. | Fc variants with altered binding to FcRn |
| US9803023B2 (en) | 2004-11-12 | 2017-10-31 | Xencor, Inc. | Fc variants with altered binding to FcRn |
| US8143257B2 (en) | 2004-11-23 | 2012-03-27 | Ptc Therapeutics, Inc. | Substituted phenols as active agents inhibiting VEGF production |
| WO2006065479A3 (en) * | 2004-11-23 | 2006-08-03 | Ptc Therapeutics Inc | Substituted phenols as active agents inhibiting vegf production |
| EP1841454A4 (en) * | 2005-01-13 | 2009-07-22 | Genentech Inc | Treatment method |
| JP2008529499A (en) * | 2005-02-07 | 2008-08-07 | ジェネンテック・インコーポレーテッド | Antibody variants and uses thereof |
| WO2006084264A3 (en) * | 2005-02-07 | 2007-07-26 | Genentech Inc | Cd20 antibody variants and uses thereof |
| US8226945B2 (en) | 2006-05-30 | 2012-07-24 | Genentech, Inc. | Antibodies and immunoconjugates and uses therefor |
| WO2007140371A3 (en) * | 2006-05-30 | 2008-02-14 | Genentech Inc | Antibodies and immunoconjugates and uses therefor |
| EP2446904A3 (en) * | 2006-05-30 | 2012-08-15 | Genentech, Inc. | Anti-CD22 antibodies, their immunoconjugates and uses thereof |
| EP2447282A3 (en) * | 2006-05-30 | 2012-08-15 | Genentech, Inc. | Anti-CD22 Antibodies, their Immunoconjugates and uses thereof |
| US8394607B2 (en) | 2006-05-30 | 2013-03-12 | Genentech, Inc. | Anti-CD22 antibodies and immunoconjugates and methods of use |
| US8968741B2 (en) | 2006-05-30 | 2015-03-03 | Genentech, Inc. | Anti-CD22 antibodies and immunoconjugates and methods of use |
| US8524865B2 (en) | 2006-05-30 | 2013-09-03 | Genentech, Inc. | Antibodies and immunoconjugates and uses therefor |
| AU2007262083B2 (en) * | 2006-06-20 | 2012-01-19 | Toray Industries, Inc. | Therapeutic or prophylactic agent for leukemia |
| WO2007148676A1 (en) * | 2006-06-20 | 2007-12-27 | Toray Industries, Inc. | Therapeutic or prophylactic agent for leukemia |
| US7893046B2 (en) | 2006-06-20 | 2011-02-22 | Toray Industries, Inc. | Therapeutic or prophylactic agent for leukemia |
| JP5136413B2 (en) * | 2006-06-20 | 2013-02-06 | 東レ株式会社 | Leukemia treatment or prevention agent |
| KR101353879B1 (en) * | 2006-06-20 | 2014-01-20 | 도레이 카부시키가이샤 | Therapeutic or prophylactic agent for leukemia |
| US10253098B2 (en) | 2006-07-11 | 2019-04-09 | Greenovation Biotech Gmbh | Glyco-engineered antibodies |
| EP2716658A3 (en) * | 2006-12-20 | 2014-10-08 | Mmrglobal, Inc. | Antibodies and methods for making and using them |
| EP2716657A3 (en) * | 2006-12-20 | 2014-10-08 | Mmrglobal, Inc. | Antibodies and methods for making and using them |
| US8945550B2 (en) | 2006-12-20 | 2015-02-03 | Mmrglobal, Inc. | Antibodies and methods for making and using them |
| WO2008112840A3 (en) * | 2007-03-14 | 2008-12-24 | Genentech Inc | Novel composition and methods for the treatment of immune related diseases |
| WO2009058285A3 (en) * | 2007-10-29 | 2009-12-10 | Virginia Tech Intellectual Properties, Inc. | PORCINE DC-SIGN, ICAM-3 AND LSECtin AND USES THEREOF |
| US8415118B2 (en) | 2007-10-29 | 2013-04-09 | Virginia Tech Intellectual Properties, Inc. | Porcine DC-SIGN, ICAM-3 and LSECtin and uses thereof |
| JP2014193168A (en) * | 2007-10-31 | 2014-10-09 | Xencor Inc | Fc VARIANTS WITH ALTERED BINDING TO FcRn |
| EP2085407A1 (en) * | 2008-02-04 | 2009-08-05 | Sahltech I Göteborg AB | Treatment of idiopathic thrombocytopenic purpura |
| WO2009099377A1 (en) * | 2008-02-04 | 2009-08-13 | Sahltech I Göteborg AB | Treatment of idiopathic thrombocytopenic purpura |
| US12492253B1 (en) | 2008-02-25 | 2025-12-09 | Xencor, Inc. | Anti-human C5 antibodies |
| EP3095463A2 (en) | 2008-09-16 | 2016-11-23 | F. Hoffmann-La Roche AG | Methods for treating progressive multiple sclerosis |
| EP4364800A2 (en) | 2008-09-16 | 2024-05-08 | F. Hoffmann-La Roche AG | Methods for treating progressive multiple sclerosis |
| US9994642B2 (en) | 2008-09-16 | 2018-06-12 | Genentech, Inc. | Methods for treating progressive multiple sclerosis |
| US9683047B2 (en) | 2008-09-16 | 2017-06-20 | Genentech, Inc. | Methods for treating progressive multiple sclerosis |
| EP3747464A1 (en) | 2008-09-16 | 2020-12-09 | F. Hoffmann-La Roche AG | Methods for treating progessive multiple sclerosis using an anti-cd20 antibody |
| WO2010075249A2 (en) | 2008-12-22 | 2010-07-01 | Genentech, Inc. | A method for treating rheumatoid arthritis with b-cell antagonists |
| WO2010118890A1 (en) * | 2009-04-16 | 2010-10-21 | Charite - Universitätsmedizin Berlin | B-lymphocyte targeting agents for use in a method for the treatment of a disease |
| AU2010237272B2 (en) * | 2009-04-16 | 2015-07-09 | Charite - Universitatsmedizin Berlin | B-lymphocyte targeting agents for use in a method for the treatment of a disease |
| US10144777B2 (en) | 2009-04-16 | 2018-12-04 | Charité—Universitätsmedizin Berlin | B-lymphocyte targeting agents for use in a method for the treatment of a disease |
| US11401348B2 (en) | 2009-09-02 | 2022-08-02 | Xencor, Inc. | Heterodimeric Fc variants |
| WO2011100403A1 (en) | 2010-02-10 | 2011-08-18 | Immunogen, Inc | Cd20 antibodies and uses thereof |
| RU2667520C2 (en) * | 2013-10-29 | 2018-09-21 | ЕА Фарма Ко., Лтд. | Sulfonamide derivative and medicinal use thereof |
| RU2667520C9 (en) * | 2013-10-29 | 2019-03-05 | ЕА Фарма Ко., Лтд. | Sulfonamide derivative and medicinal use thereof |
| WO2015064580A1 (en) * | 2013-10-29 | 2015-05-07 | 味の素株式会社 | Sulfonamide derivative and medicinal use thereof |
| JPWO2015064580A1 (en) * | 2013-10-29 | 2017-03-09 | Eaファーマ株式会社 | Sulfonamide derivatives and their pharmaceutical use |
| US9822110B2 (en) | 2013-10-29 | 2017-11-21 | Ea Pharma Co., Ltd. | Sulfonamide derivative and pharmaceutical use thereof |
| EA036432B1 (en) * | 2016-02-05 | 2020-11-10 | Эа Фарма Ко., Лтд. | Sulfonamide derivatives and pharmaceutical compositions containing same |
| JPWO2017135472A1 (en) * | 2016-02-05 | 2018-11-29 | Eaファーマ株式会社 | Sulfonamide derivatives and pharmaceutical compositions containing the same |
| WO2017135472A1 (en) * | 2016-02-05 | 2017-08-10 | Eaファーマ株式会社 | Sulfonamide derivative and pharmaceutical composition containing same |
| US10562898B2 (en) | 2016-02-05 | 2020-02-18 | Ea Pharma Co., Ltd. | Substituted benzenesulfonamides as inhibitors of alpha-4 beta-7 integrin activity |
| US11561219B2 (en) | 2016-08-26 | 2023-01-24 | Juno Therapeutics, Inc. | Methods of enumerating particles present in a cell composition |
| US12140526B2 (en) | 2018-02-28 | 2024-11-12 | Juno Therapeutics, Inc. | Methods for detecting particles present in a cell composition |
| US12528874B2 (en) | 2022-11-15 | 2026-01-20 | Genentech, Inc. | Methods and compositions for treating systemic lupus erythematosus (SLE) with mosunetuzumab |
Also Published As
| Publication number | Publication date |
|---|---|
| MXPA06011805A (en) | 2006-12-15 |
| CA2563432A1 (en) | 2005-12-01 |
| CN101005854A (en) | 2007-07-25 |
| US20050276803A1 (en) | 2005-12-15 |
| US20080075719A1 (en) | 2008-03-27 |
| RU2006140377A (en) | 2008-05-27 |
| EP1735000A2 (en) | 2006-12-27 |
| KR20070012408A (en) | 2007-01-25 |
| BRPI0508762A (en) | 2007-08-14 |
| IL178158A0 (en) | 2006-12-31 |
| AU2005244751A1 (en) | 2005-12-01 |
| JP2007532681A (en) | 2007-11-15 |
| WO2005113003A3 (en) | 2006-03-16 |
Similar Documents
| Publication | Publication Date | Title |
|---|---|---|
| US20080075719A1 (en) | Method for Augmenting B Cell Depletion | |
| CN104826107B (en) | Method for treating progressive multiple sclerosis | |
| JP2025081312A (en) | Anti-human vista antibodies and use thereof | |
| EP2562187B1 (en) | Anti-CD37 antibodies | |
| US20090311255A1 (en) | Preventing autoimmune disease | |
| US20050163775A1 (en) | Combination therapy for B cell disorders | |
| US20060246004A1 (en) | Antibody variants and uses thereof | |
| JP2014040458A (en) | Composition for demyelination disease and paralysis, and treatment thereof by administration of remyelination agent | |
| BR112012024713B1 (en) | humanized antibody, its uses and pharmaceutical composition that comprises it | |
| IL219285A (en) | Cd20 antibody for use as a medicament for treating multiple sclerosis | |
| CA2835591A1 (en) | Immunoglobulin variants and uses thereof | |
| CN101443040A (en) | Methods of treating lupus using CD4 antibodies | |
| AU2013331139B2 (en) | Methods and compositions relating to anti-IL-21 receptor antibodies | |
| CN108431038A (en) | The method for treating multiple sclerosis | |
| AU2022228198A1 (en) | Method for treating multiple sclerosis | |
| HK1161724A (en) | Anti cd37 antibodies | |
| HK1145182A (en) | Anti cd37 antibodies | |
| HK1191350A (en) | Anti cd37 antibodies |
Legal Events
| Date | Code | Title | Description |
|---|---|---|---|
| AK | Designated states |
Kind code of ref document: A2 Designated state(s): AE AG AL AM AT AU AZ BA BB BG BR BW BY BZ CA CH CN CO CR CU CZ DE DK DM DZ EC EE EG ES FI GB GD GE GH GM HR HU ID IL IN IS JP KE KG KM KP KR KZ LC LK LR LS LT LU LV MA MD MG MK MN MW MX MZ NA NI NO NZ OM PG PH PL PT RO RU SC SD SE SG SK SL SM SY TJ TM TN TR TT TZ UA UG US UZ VC VN YU ZA ZM ZW |
|
| AL | Designated countries for regional patents |
Kind code of ref document: A2 Designated state(s): BW GH GM KE LS MW MZ NA SD SL SZ TZ UG ZM ZW AM AZ BY KG KZ MD RU TJ TM AT BE BG CH CY CZ DE DK EE ES FI FR GB GR HU IE IS IT LT LU MC NL PL PT RO SE SI SK TR BF BJ CF CG CI CM GA GN GQ GW ML MR NE SN TD TG |
|
| 121 | Ep: the epo has been informed by wipo that ep was designated in this application | ||
| DPEN | Request for preliminary examination filed prior to expiration of 19th month from priority date (pct application filed from 20040101) | ||
| WWE | Wipo information: entry into national phase |
Ref document number: 178158 Country of ref document: IL |
|
| WWE | Wipo information: entry into national phase |
Ref document number: 2005244751 Country of ref document: AU Ref document number: 549993 Country of ref document: NZ |
|
| WWE | Wipo information: entry into national phase |
Ref document number: 5537/DELNP/2006 Country of ref document: IN |
|
| WWE | Wipo information: entry into national phase |
Ref document number: 2006/08034 Country of ref document: ZA Ref document number: 200608034 Country of ref document: ZA |
|
| ENP | Entry into the national phase |
Ref document number: 2005244751 Country of ref document: AU Date of ref document: 20050415 Kind code of ref document: A |
|
| WWE | Wipo information: entry into national phase |
Ref document number: PA/a/2006/011805 Country of ref document: MX |
|
| WWP | Wipo information: published in national office |
Ref document number: 2005244751 Country of ref document: AU |
|
| WWE | Wipo information: entry into national phase |
Ref document number: 2563432 Country of ref document: CA Ref document number: 1020067021374 Country of ref document: KR |
|
| WWE | Wipo information: entry into national phase |
Ref document number: 2007508599 Country of ref document: JP |
|
| NENP | Non-entry into the national phase |
Ref country code: DE |
|
| WWW | Wipo information: withdrawn in national office |
Ref document number: DE |
|
| WWE | Wipo information: entry into national phase |
Ref document number: 2005778447 Country of ref document: EP |
|
| WWE | Wipo information: entry into national phase |
Ref document number: 2006140377 Country of ref document: RU |
|
| WWE | Wipo information: entry into national phase |
Ref document number: 200580020138.7 Country of ref document: CN |
|
| WWP | Wipo information: published in national office |
Ref document number: 2005778447 Country of ref document: EP |
|
| WWP | Wipo information: published in national office |
Ref document number: 1020067021374 Country of ref document: KR |
|
| ENP | Entry into the national phase |
Ref document number: PI0508762 Country of ref document: BR |





































































