WO2005010029A1 - Aza-peptide macrocyclic hepatitis c serine protease inhibitors - Google Patents

Aza-peptide macrocyclic hepatitis c serine protease inhibitors Download PDF

Info

Publication number
WO2005010029A1
WO2005010029A1 PCT/US2004/015802 US2004015802W WO2005010029A1 WO 2005010029 A1 WO2005010029 A1 WO 2005010029A1 US 2004015802 W US2004015802 W US 2004015802W WO 2005010029 A1 WO2005010029 A1 WO 2005010029A1
Authority
WO
WIPO (PCT)
Prior art keywords
substituted
heterocycloalkyl
heteroaryl
aryl
compound
Prior art date
Legal status (The legal status is an assumption and is not a legal conclusion. Google has not performed a legal analysis and makes no representation as to the accuracy of the status listed.)
Ceased
Application number
PCT/US2004/015802
Other languages
French (fr)
Inventor
Frank X. H. Wu
Suanne Nakajima
Yat Sun Or
Zhi-Hui Lu
Ying Sun
Zhenwei Miao
Zhe Wang
Current Assignee (The listed assignees may be inaccurate. Google has not performed a legal analysis and makes no representation or warranty as to the accuracy of the list.)
Enanta Pharmaceuticals Inc
Original Assignee
Enanta Pharmaceuticals Inc
Priority date (The priority date is an assumption and is not a legal conclusion. Google has not performed a legal analysis and makes no representation as to the accuracy of the date listed.)
Filing date
Publication date
Application filed by Enanta Pharmaceuticals Inc filed Critical Enanta Pharmaceuticals Inc
Priority to US10/561,718 priority Critical patent/US20070021330A1/en
Publication of WO2005010029A1 publication Critical patent/WO2005010029A1/en
Anticipated expiration legal-status Critical
Ceased legal-status Critical Current

Links

Classifications

    • CCHEMISTRY; METALLURGY
    • C07ORGANIC CHEMISTRY
    • C07KPEPTIDES
    • C07K5/00Peptides containing up to four amino acids in a fully defined sequence; Derivatives thereof
    • C07K5/04Peptides containing up to four amino acids in a fully defined sequence; Derivatives thereof containing only normal peptide links
    • C07K5/06Dipeptides
    • C07K5/06139Dipeptides with the first amino acid being heterocyclic
    • AHUMAN NECESSITIES
    • A61MEDICAL OR VETERINARY SCIENCE; HYGIENE
    • A61PSPECIFIC THERAPEUTIC ACTIVITY OF CHEMICAL COMPOUNDS OR MEDICINAL PREPARATIONS
    • A61P31/00Antiinfectives, i.e. antibiotics, antiseptics, chemotherapeutics
    • A61P31/12Antivirals
    • A61P31/14Antivirals for RNA viruses
    • CCHEMISTRY; METALLURGY
    • C07ORGANIC CHEMISTRY
    • C07KPEPTIDES
    • C07K5/00Peptides containing up to four amino acids in a fully defined sequence; Derivatives thereof
    • C07K5/04Peptides containing up to four amino acids in a fully defined sequence; Derivatives thereof containing only normal peptide links
    • C07K5/06Dipeptides
    • C07K5/06139Dipeptides with the first amino acid being heterocyclic
    • C07K5/06165Dipeptides with the first amino acid being heterocyclic and Pro-amino acid; Derivatives thereof
    • AHUMAN NECESSITIES
    • A61MEDICAL OR VETERINARY SCIENCE; HYGIENE
    • A61KPREPARATIONS FOR MEDICAL, DENTAL OR TOILETRY PURPOSES
    • A61K38/00Medicinal preparations containing peptides

Definitions

  • HCV is the principal cause of non-A, non-B hepatitis and is an increasingly severe public health problem both in the developed and developing world. It is estimated that the virus infects over 200 million people worldwide, surpassing the number of individuals infected with the human immunodeficiency virus (HIV) by nearly five fold. HCV infected patients, due to the high percentage of individuals inflicted with chronic infections, are at an elevated risk of developing cirrhosis of the liver, subsequent hepatocellular carcinoma and terminal liver disease. HCV is the most prevalent cause of hepatocellular cancer and cause of patients requiring liver transplantations in the western world.
  • HIV human immunodeficiency virus
  • anti-HCV therapeutics There are considerable barriers to the development of anti-HCV therapeutics, which include, but are not limited to, the persistence of the virus, the genetic diversity of the virus during replication in the host, the high incident rate of the virus developing drug-resistant mutants, and the lack of reproducible infectious culture systems and small-animal models for HCV replication and pathogenesis.
  • the persistence of the virus the genetic diversity of the virus during replication in the host
  • the high incident rate of the virus developing drug-resistant mutants the lack of reproducible infectious culture systems and small-animal models for HCV replication and pathogenesis.
  • antiviral drugs Only two approved therapies for HCV infection are currently available.
  • the original treatment regimen generally involves a 3-12 month course of intravenous interferon- ⁇ (IFN- ⁇ ), while a new approved second-generation treatment involves co- treatment with IFN- ⁇ and the general antiviral nucleoside mimics like ribavirin. Both of these treatments suffer from interferon related side effects as well as low efficacy against HCV infections.
  • IFN- ⁇ intravenous interferon- ⁇
  • a new approved second-generation treatment involves co- treatment with IFN- ⁇ and the general antiviral nucleoside mimics like ribavirin.
  • NS3 hepatitis C non-structural protein-3
  • HCV hepatitis C non-structural protein-3
  • the active site of the NS3 protease remains highly conserved thus making its inhibition an attractive mode of intervention.
  • Recent success in the treatment of HIV with protease inhibitors supports the concept that the inhibition of NS3 is a key target in the battle against HCV.
  • HCV is a flaviridae type RNA virus.
  • the HCV genome is enveloped and contains a single strand RNA molecule composed of circa 9600 base pairs. It encodes a polypeptide comprised of approximately 3010 amino acids.
  • the HCV polyprotein is processed by viral and host peptidase into 10 discreet peptides which serve a variety of functions.
  • the P7 protein is of unknown function and is comprised of a highly variable sequence.
  • NS2 is a zinc-dependent metalloproteinase that functions in conjunction with a portion of the NS3 protein.
  • NS3 incorporates two catalytic functions (separate from its association with NS2): a serine protease at the N-terminal end, which requires NS4A as a cofactor, and an ATP-ase-dependent helicase function at the carboxyl terminus.
  • NS4A is a tightly associated but non-covalent cofactor of the serine protease.
  • the NS3.4A protease is responsible for cleaving four sites on the viral polyprotein.
  • the NS3-NS4A cleavage is autocatalytic, occurring in cis.
  • the remaining three hydrolyses, NS4A-NS4B, NS4B-NS5A and NS5A-NS5B all occur in trans.
  • NS3 is a serine protease which is structurally classified as a chymotrypsin-like protease. While the NS serine protease possesses proteolytic activity by itself, the HCV protease enzyme is not an efficient enzyme in terms of catalyzing polyprotein cleavage.
  • HCV protease inhibitors More relevant patent disclosures describing the synthesis of HCV protease inhibitors are: WO 00/59929 (2000); WO 99/07733 (1999); WO 00/09543 (2000); WO 99/50230 (1999); US5861297 (1999).
  • the present invention relates to novel macrocylic compounds and methods of treating a hepatitis C infection in a subject in need of such therapy with said macrocyclic compounds.
  • the present invention further relates to pharmaceutical compositions comprising the compounds of the present invention, or pharmaceutically acceptable salts, esters, or prodrugs thereof, in combination with a pharmaceutically acceptable carrier or excipient.
  • A is selected from: (a) hydrogen; (b) where R-i is selected from: 1. hydrogen, 2. d-C 6 alkyl, 3. C3-C- 12 cycloalkyl, 4. substituted C 3 -C 12 cycloalkyl, 5. aryl, 6. substituted aryl, 7. heteroaryl, 8. substituted heteroaryl, 9. heterocycloalkyl, 10.
  • a first embodiment of the invention is a compound represented by Formula I as described above, or a pharmaceutically acceptable salt, ester or prodrug thereof, in combination with a pharmaceutically acceptable carrier or excipient.
  • a second embodiment of the invention is a compound represented by Formula II as described above, or a pharmaceutically acceptable salt, ester or prodrug thereof, in combination with a pharmaceutically acceptable carrier or excipient.
  • Representative subgenera of the invention include, but are not limited to:
  • X, Y, and Z are each independently selected from: a) -C 1 -C 6 alkyl containing 0, 1 , 2, or 3 heteroatoms selected from O, S, or N, optionally substituted with one or more substituent selected from halogen, aryl, substituted aryl, heteroaryl, substituted heteroaryl, heterocycloalkyl, or substituted heterocycloalkyl; b) -C 2 -C ⁇ alkenyl containing 0, 1 , 2, or 3 heteroatoms selected from O, S, or N, optionally substituted with one or more substituent selected from halogen, aryl, substituted aryl, heteroaryl, substituted heteroaryl, heterocycloalkyl, or substituted heterocycloalkyl; c) -C 2 -C 6 alkynyl containing 0, 1 , 2, or 3 heteroatoms selected from O,
  • X, Y, and Z are each independently selected from: a) -C ⁇ -C 6 alkyl containing 0, 1 , 2, or 3 heteroatoms selected from O, S, or N, optionally substituted with one or more substituent selected from halogen, aryl, substituted aryl, heteroaryl, substituted heteroaryl, heterocycloalkyl, or substituted heterocycloalkyl; b) -C 2 -C 6 alkenyl containing 0, 1 , 2, or 3 heteroatoms selected from O, S, or N, optionally substituted with one or more substituent selected from halogen, aryl, substituted aryl, heteroaryl, substituted heteroaryl, heterocycloalkyl, or substituted heterocycloalkyl; c) -C 2 -C ⁇ alkynyl containing 0, 1 , 2, or 3 heteroatoms selected from O,
  • X, Y, and Z are each independently selected from: j) -Ci-C ⁇ alkyl containing 0, 1 , 2, or 3 heteroatoms selected from O, S, or N, optionally substituted with one or more substituent selected from halogen, aryl, substituted aryl, heteroaryl, substituted heteroaryl, heterocycloalkyl, or substituted heterocycloalkyl; k) -C 2 -C 6 alkenyl containing 0, 1 , 2, or 3 heteroatoms selected from O, S, or N, optionally substituted with one or more substituent selected from halogen, aryl, substituted aryl, heteroaryl, substituted heteroaryl, heterocycloalkyl, or substituted heterocycloalkyl; I) -C2-C 6 alkynyl containing 0, 1 , 2, or 3 heteroatoms selected from O, S, or N
  • the pharmaceutical compositions of the present invention may further contain other anti-HCV agents.
  • anti- HCV agents include, but are not limited to, ⁇ -interferon, ⁇ -interferon, ribavirin, and amantadine.
  • compositions of the present invention may further contain other HCV protease inhibitors.
  • compositions of the present invention may further comprise inhibitor(s) of other targets in the HCV life cycle, including, but not limited to, helicase, polymerase, metalloprotease, and internal ribosome entry site (IRES).
  • inhibitor(s) of other targets in the HCV life cycle including, but not limited to, helicase, polymerase, metalloprotease, and internal ribosome entry site (IRES).
  • the present invention includes methods of treating hepatitis C infections in a subject in need of such treatment by administering to said subject an anti-HCV virally effective amount of the pharmaceutical compositions of the present invention.
  • C C 3 alkyl saturated, straight- or branched-chain hydrocarbon radicals containing between one and three, one and twelve, or one and six carbon atoms, respectively.
  • C 1 -C 3 alkyl radicals include methyl, ethyl, propyl and isopropyl radicals
  • examples of C 1 -C 6 alkyl radicals include, but are not limited to, methyl, ethyl, propyl, isopropyl, n-butyl, terf-butyl, neopentyl and n-hexyl radicals
  • examples of C C ⁇ 2 alkyl radicals include, but are not limited to, ethyl, propyl, isopropyl, n-hexyl, octyl, decyl, dodecyl radicals.
  • substituted alkyl refers to a "C 2 -C ⁇ 2 alkyl” or "Ci- Ce alkyl” group as previously defined, substituted by independent replacement or one, two, or three of the hydrogen atoms thereon with substituents including, but not limited to, -F, -CI, -Br, -I, -OH, protected hydroxy, -N0 2 , -CN, -C ⁇ -C ⁇ 2 -alkyl optionally substituted with halogen, C 2 -C ⁇ 2 -alkenyl optionally substituted with halogen, -C 2 -C ⁇ 2 - alkynyl optionally substituted with halogen, -NH 2 , protected amino, -NH -d-Ci2-alkyl, -NH -C 2 -Ci 2 -alkenyl, -NH -C 2 -C ⁇ 2 -aIkenyl, -NH -C 3
  • NHC(NH)NH-C 2 -C ⁇ 2 -alkenyl -NHC(NH)NH-C 2 -Ci2-alkenyl, -NHC(NH)NH-C3-Ci2- cycloalkyl, -NHC(NH)NH-aryl, -NHC(NH)NH-heteroaryl, -NHC(NH)NH- heterocycloalkyl, NHC(NH)-C ⁇ -C ⁇ 2 -alkyl, -NHC(NH)-C 2 -C ⁇ 2 -alkenyl, -NHC(NH)-C 2 - Ci 2 -alkenyl, -NHC(NH)-C 3 -C ⁇ 2 -cycloalkyl, -NHC(NH)-aryl, -NHC(NH)-heteroaryl, - NHC(NH)-heterocycloalkyl, -C(NH)NH-C C ⁇ 2 -alkyl, -C(
  • C 2 -C ⁇ alkenyl or "C -C 6 alkenyl,” as used herein, denote a monovalent group derived from a hydrocarbon moiety containing from two to twelve or two to six carbon atoms having at least one carbon-carbon double bond by the removal of a single hydrogen atom.
  • Alkenyl groups include, but are not limited to, for example, ethenyl, propenyl, butenyl, 1-methyl-2-buten-1-yl, and the like.
  • substituted alkenyl refers to a "C 2 -C ⁇ 2 alkenyl" or
  • C 2 -C ⁇ alkenyl as previously defined, substituted by independent replacement or one, two, or three of the hydrogen atoms thereon with substituents including, but not limited to, -F, -CI, -Br, -I, -OH, protected hydroxy, -N0 2 , -CN, -C ⁇ -C ⁇ 2 -alkyl optionally substituted with halogen, C 2 -C ⁇ 2 -alkenyl optionally substituted with halogen, -C 2 -C ⁇ 2 -alkynyl optionally substituted with halogen, -NH 2 , protected amino, - NH -C C ⁇ 2 -alkyl, -NH -C 2 -C ⁇ 2 -alkenyl, -NH -C 2 -C ⁇ 2 -alkenyl, -NH -C 3 -C ⁇ 2 -cycloalkyl, - NH -aryl, -NH -heteroaryl,
  • C 2 -C ⁇ 2 alkynyl or "C 2 -C 6 alkynyl,” as used herein, denote a monovalent group derived from a hydrocarbon moiety containing from two to twelve or two to six carbon atoms having at least one carbon-carbon triple bond by the removal of a single hydrogen atom.
  • Representative alkynyl groups include, but are not limited to, for example, ethynyl, 1-propynyl, 1-butynyl, and the like.
  • substituted alkynyl refers to a "C 2 -C ⁇ 2 alkynyl” or "C 2 -C 6 alkynyl” group as previously defined, substituted by independent replacement or one, two, or three of the hydrogen atoms thereon with substituents including, but not limited to, -F, -CI, -Br, -I, -OH, protected hydroxy, -N0 2 , -CN, -C C ⁇ 2 -alkyl optionally substituted with halogen, C 2 -C ⁇ 2 -alkenyl optionally substituted with halogen, -C 2 -C ⁇ 2 -alkynyl optionally substituted with halogen, -NH 2 , protected amino, - NH -C C ⁇ 2 -alkyl, -NH -C 2 -C ⁇ 2 -alkenyl, -NH -C 2 -C ⁇ 2 -alkenyl, -NH -C 2 -C ⁇ 2
  • C ⁇ -C 6 alkoxy refers to a d-C ⁇ alkyl group, as previously defined, attached to the parent molecular moiety through an oxygen atom.
  • CrC 6 -alkoxy include, but are not limited to, methoxy, ethoxy, propoxy, isopropoxy, n-butoxy, f ⁇ rf-butoxy, neopentoxy and n-hexoxy.
  • aryl refers to a mono- or bicyclic carbocyclic ring system having one or two aromatic rings including, but not limited to, phenyl, naphthyl, tetrahydronaphthyl, indanyl, idenyl and the like.
  • substituted aryl refers to an aryl group, as previously defined, substituted by independent replacement or one, two, or three of the hydrogen atoms thereon with substituents including, but not limited to, -F, -CI, - Br, -I, -OH, protected hydroxy, -N0 2 , -CN, -CrCi 2 -alkyl optionally substituted with halogen, C 2 -C ⁇ -alkenyl optionally substituted with halogen, -C 2 -C ⁇ 2 -alkynyl optionally substituted with halogen, -NH 2 , protected amino, -NH -CrCi 2 -alkyl, -NH - C 2 -C ⁇ 2 -alkenyl, -NH -C 2 -C 12 -alkenyl, -NH -C 3 -C ⁇ 2 -cycloalkyl, -NH -aryl, -
  • arylalkyl refers to a C C 3 alkyl or Ci-Ce alkyl residue attached to an aryl ring. Examples include, but are not limited to, benzyl, phenethyl and the like.
  • substituted arylalkyl refers to an arylalkyl group, as previously defined, substituted by independent replacement or one, two, or three of the hydrogen atoms thereon with substituents including, but not limited to, but not limited to, -F, -CI, -Br, -I, -OH, protected hydroxy, -N0 2 , -CN, -CrC ⁇ 2 -alkyl optionally substituted with halogen, C 2 -Ci 2 -alkenyl optionally substituted with halogen, -C 2 -C 2 - alkynyl optionally substituted with halogen, -NH 2 , protected amino, -NH -CrCi 2 -alkyl, -NH -C 2 -C ⁇ 2 -alkenyl, -NH -C 2 -C ⁇ 2 -alkenyl, -NH -C 3 -C ⁇ 2 -cycloal
  • heteroaryl refers to a mono-, bi-, ortri-cyclic aromatic radical or ring having from five to ten ring atoms of which one ring atom is selected from S, O and N; zero, one or two ring atoms are additional heteroatoms independently selected from S, O and N; and the remaining ring atoms are carbon, wherein any N or S contained within the ring may be optionally oxidized.
  • Heteroaryl includes, but is not limited to, pyridinyl, pyrazinyl, pyrimidinyl, pyrrolyl, pyrazolyl, imidazolyl, thiazolyl, oxazolyl, isooxazolyl, thiadiazolyl, oxadiazolyl, thiophenyl, furanyl, quinolinyl, isoquinolinyl, benzimidazolyl, benzooxazolyl, quinoxalinyl, and the like.
  • substituted heteroaryl refers to a heteroaryl group as previously defined, substituted by independent replacement or one, two, or three of the hydrogen atoms thereon with substituents including, but not limited to, -F, -CI, -Br, -I, -OH, protected hydroxy, -N0 2 , -CN, -CrC ⁇ 2 -alkyl optionally substituted with halogen, C 2 -C ⁇ 2 -alkenyl optionally substituted with halogen, -C -C ⁇ 2 -alkynyl optionally substituted with halogen, -NH 2 , protected amino, -NH -CrCi 2 -alkyl, -NH - C 2 -C ⁇ 2 -alkenyl, -NH -C 2 -C ⁇ 2 -alkenyl, -NH -C 3 -C ⁇ 2 -cycloalkyl, -NH -aryl,
  • C- 3 -C ⁇ 2 -cycloalkyl denotes a monocyclic or bicyclic saturated carbocyclic ring compound by the removal of a single hydrogen atom.
  • Examples include, but not limited to, cyclopropyl, cyclobutyl, cyclopentyl, cyclohexyl, bicyclo [2.2.1] heptyl, and bicyclo [2.2.2] octyl.
  • substituted C 3 -C ⁇ 2 -cycloalkyl refers to a C 3 -C ⁇ 2 - cycloalkyl group as previously defined, substituted by independent replacement or one, two, or three of the hydrogen atoms thereon with substituents including, but not limited to, -F, -CI, -Br, -I, -OH, protected hydroxy, -N0 2 , -CN, -C C ⁇ 2 -alkyl optionally substituted with halogen, C 2 -C 2 -alkenyl optionally substituted with halogen, -C 2 -C ⁇ 2 - alkynyl optionally substituted with halogen, -NH 2 , protected amino, -NH -CrCi 2 -alkyl, -NH -C 2 -C 2 -alkenyl, -NH -C 2 -C ⁇ 2 -alkenyl, -NH -C 3 -C 3
  • each ring contains between one and three heteroatoms independently selected from oxygen, sulfur and nitrogen, (ii) each 5-membered ring has 0 to 1 double bonds and each 6- membered ring has 0 to 2 double bonds, (iii) the nitrogen and sulfur heteroatoms may optionally be oxidized, (iv) the nitrogen heteroatom may optionally be quaternized, and (v) any of the above rings may be fused to a benzene ring.
  • heterocycloalkyl groups include, but are not limited to, [1 ,3]dioxolane, pyrrolidinyl, pyrazolinyl, pyrazolidinyl, imidazolinyl, imidazolidinyl, piperidinyl, piperazinyl, oxazolidinyl, isoxazolidinyl, morpholinyl, thiazolidinyl, isothiazolidinyl, and tetrahydrofuryl.
  • substituted heterocycloalkyl refers to a heterocycloalkyl group, as previously defined, substituted by independent replacement or one, two, or three of the hydrogen atoms thereon with substituents including, but not limited to, -F, -CI, -Br, -I, -OH, protected hydroxy, -N0 2 , -CN, -d- Ci2-alkyl optionally substituted with halogen, C 2 -C ⁇ 2 -alkenyl optionally substituted with halogen, -C 2 -C ⁇ 2 -alkynyl optionally substituted with halogen, -NH 2 , protected amino, -NH -C C 2 -alkyl, -NH -C 2 -C ⁇ 2 -alkenyl, -NH -C 2 -C ⁇ 2 -alkenyl, -NH -C 3 -C ⁇ 2 - cycloalkyl, -NH
  • heteroarylalkyl refers to a C ⁇ -C 3 alkyl or CrC 6 alkyl residue residue attached to a heteroaryl ring. Examples include, but are not limited to, pyridinylmethyl, pyrimidinylethyl and the like.
  • substituted heteroarylalkyl refers to a heteroarylalkyl group, as previously defined, substituted by independent replacement or one, two, or three of the hydrogen atoms thereon with substituents including, but not limited to, -F, -CI, -Br, -I, -OH, protected hydroxy, -N0 2 , -CN, -C ⁇ -C ⁇ 2 -alkyl optionally substituted with halogen, C -C ⁇ 2 -alkenyl optionally substituted with halogen, -C 2 -C ⁇ 2 -alkynyl optionally substituted with halogen, -NH 2 , protected amino, ⁇ NH -C Ci 2 -alkyl, -NH -C 2 -C ⁇ 2 -alkenyl, -NH -C 2 -C ⁇ 2 -alkenyl, -NH -C 3 -C ⁇ 2 -cycloalkyl,
  • C ⁇ -C-3-alkyl-amino refers to one or two C-1-C3- alkyl groups, as previously defined, attached to the parent molecular moiety through a nitrogen atom.
  • Examples of C-]-C3-alkyl-amino include, but are not limited to, methylamino, dimethylamino, ethylamino, diethylamino, and propylamino.
  • alkylamino refers to a group having the structure -NH(C ⁇ -C ⁇ 2 alkyl) where C -C ⁇ 2 alkyl is as previously defined.
  • dialkylamino refers to a group having the structure -N(CrCi 2 alkyl)
  • dialkylamino examples include dimethylamino, diethylamino, methylethylamino, piperidino, and the like.
  • alkoxycarbonyl represents an ester group, i.e., an alkoxy group, attached to the parent molecular moiety through a carbonyl group such as methoxycarbonyl, ethoxycarbonyl, and the like.
  • carboxydehyde refers to a group of formula - CHO.
  • carboxylate refers to a group of formula - C(0)NH(C Ci2 alkyl) or - C(0)N(C C 12 alkyl) (C C ⁇ 2 alkyl), -C(0)NH 2 , and the like.
  • hydroxy protecting group refers to a labile chemical moiety which is known in the art to protect a hydroxyl group against undesired reactions during synthetic procedures. After said synthetic procedure(s) the hydroxy protecting group as described herein may be selectively removed. Hydroxy protecting groups as known in the are described generally in T.H. Greene and P.G. M. Wuts, Protective Groups in Organic Synthesis, 3rd edition, John Wiley & Sons, New York (1999). Examples of hydroxy protecting groups include, but are not limited to, methylthiomethyl, fetf-butyl-dimethylsilyl, tert-butyldiphenylsilyl, acyl substituted with an aromatic group and the like.
  • protected hydroxy refers to a hydroxy group protected with a hydroxy protecting group, as defined above, including benzoyl, acetyl, trimethylsilyl, triethylsilyl, methoxymethyl groups, for example.
  • amino protecting group refers to a labile chemical moiety which is known in the art to protect an amino group against undesired reactions during synthetic procedures. After said synthetic procedure(s) the amino protecting group as described herein may be selectively removed.
  • Amino protecting groups as known in the are described generally in T.H. Greene and P.G. M. Wuts, Protective Groups in Organic Synthesis, 3rd edition, John Wiley & Sons, New York (1999). Examples of amino protecting groups include, but are not limited to, t- butoxycarbonyl, 9-fluorenylmethoxycarbonyl, benzyloxycarbonyl, and the like.
  • protected amino refers to an amino group protected with an amino protecting group as defined above.
  • aprotic solvent refers to a solvent that is relatively inert to proton activity, i.e., not acting as a proton-donor. Examples include, but are not limited to, hydrocarbons, such as hexane and toluene, for example, halogenated hydrocarbons, such as, for example, methylene chloride, ethylene chloride, chloroform, and the like, heterocyclic compounds, such as, for example, tetrahydrofuran and N-methylpyrrolidinone, and ethers such as diethyl ether, bis- methoxymethyl ether.
  • protogenic organic solvent refers to a solvent that tends to provide protons, such as an alcohol, for example, methanol, ethanol, propanol, isopropanol, butanol, t-butanol, and the like.
  • solvents are well known to those skilled in the art, and it will be obvious to those skilled in the art that individual solvents or mixtures thereof may be preferred for specific compounds and reaction conditions, depending upon such factors as the solubility of reagents, reactivity of reagents and preferred temperature ranges, for example.
  • stable refers to compounds which possess stability sufficient to allow manufacture and which maintains the integrity of the compound for a sufficient period of time to be useful for the purposes detailed herein (e.g., therapeutic or prophylactic administration to a subject).
  • the synthesized compounds can be separated from a reaction mixture and further purified by a method such as column chromatography, high pressure liquid chromatography, or recrystallization.
  • a method such as column chromatography, high pressure liquid chromatography, or recrystallization.
  • further methods of synthesizing the compounds of the formulae herein will be evident to those of ordinary skill in the art. Additionally, the various synthetic steps may be performed in an alternate sequence or order to give the desired compounds.
  • Synthetic chemistry transformations and protecting group methodologies (protection and deprotection) useful in synthesizing the compounds described herein are known in the art and include, for example, those such as described in R. Larock, Comprehensive Organic Transformations, VCH Publishers (1989); T.W. Greene and P.G.M. Wuts, Protective Groups in Organic Synthesis, 2d.
  • subject refers to an animal.
  • the animal is a mammal. More preferably the mammal is a human.
  • a subject also refers to, for example, dogs, cats, horses, cows, pigs, guinea pigs, fish, birds and the like.
  • the compounds of this invention may be modified by appending appropriate functionalities to enhance selective biological properties.
  • modifications are known in the art and may include those which increase biological penetration into a given biological system (e.g., blood, lymphatic system, central nervous system), increase oral availability, increase solubility to allow administration by injection, alter metabolism and alter rate of excretion.
  • the present invention is intended to include all isotopes of atoms occurring in the present compounds.
  • Isotopes include those atoms having the same atomic number but different mass numbers.
  • isotopes of hydrogen include tritium and deuterium.
  • isotopes of carbon include C- 13 and C- 14.
  • the compounds described herein contain one or more asymmetric centers and thus give rise to enantiomers, diastereomers, and other stereoisomeric forms that may be defined, in terms of absolute stereochemistry, as (R)- or (S)- , or as (D)- or (L)- for amino acids.
  • the present invention is meant to include all such possible isomers, as well as their racemic and optically pure forms.
  • Optical isomers may be prepared from their respective optically active precursors by the procedures described above, or by resolving the racemic mixtures. The resolution can be carried out in the presence of a resolving agent, by chromatography or by repeated crystallization or by some combination of these techniques which are known to those skilled in the art.
  • any carbon-carbon double bond appearing herein is selected for convenience only and is not intended to designate a particular configuration unless the text so states; thus a carbon-carbon double bond or carbon-heteroatom double bond depicted arbitrarily herein as trans may be cis, trans, or a mixture of the two in any proportion.
  • the term "pharmaceutically acceptable salt” refers to those salts which are, within the scope of sound medical judgment, suitable for use in contact with the tissues of humans and lower animals without undue toxicity, irritation, allergic response and the like, and are commensurate with a reasonable benefit/risk ratio.
  • Pharmaceutically acceptable salts are well known in the art. For example, S. M. Berge, et al. describes pharmaceutically acceptable salts in detail in J. Pharmaceutical Sciences, 66: 1-19 (1977).
  • the salts can be prepared in situ during the final isolation and purification of the compounds of the invention, or separately by reacting the free base function with a suitable organic acid.
  • salts include, but are not limited to, adipate, alginate, ascorbate, aspartate, benzenesulfonate, benzoate, bisulfate, borate, butyrate, camphorate, camphorsulfonate, citrate, cyclopentanepropionate, digluconate, dodecylsulfate, ethanesulfonate, formate, fumarate, glucoheptonate, glycerophosphate, gluconate, hemisulfate, heptanoate, hexanoate, hydroiodide, 2- hydroxy-ethanesulfonate, lactobionate, lactate, laurate, lauryl sulfate, malate, maleate, malonate, methanesulfonate, 2-naphthalenesulfonate, nicotinate, nitrate, oleate, oxalate, palmitate, pam
  • alkali or alkaline earth metal salts include sodium, lithium, potassium, calcium, magnesium, and the like.
  • Further pharmaceutically acceptable salts include, when appropriate, nontoxic ammonium, quaternary ammonium, and amine cations formed using counterions such as halide, hydroxide, carboxylate, sulfate, phosphate, nitrate, alkyl having from 1 to 6 carbon atoms, sulfonate and aryl sulfonate.
  • the compounds of this invention are defined to include pharmaceutically acceptable derivatives or prodrugs thereof.
  • a "pharmaceutically acceptable derivative or prodrug” means any pharmaceutically acceptable salt, ester, salt of an ester, or other derivative of a compound of this invention which, upon administration to a recipient, is capable of providing (directly or indirectly) a compound of this invention.
  • the compositions of this invention comprise a combination of a compound of the formulae described herein and one or more additional therapeutic or prophylactic agents
  • both the compound and the additional agent should be present at dosage levels of between about 1 to 100%, and more preferably between about 5 to 95% of the dosage normally administered in a monotherapy regimen.
  • the additional agents may be administered separately, as part of a multiple dose regimen, from the compounds of this invention. Alternatively, those agents may be part of a single dosage form, mixed together with the compounds of this invention in a single composition.
  • viral infections are treated or prevented in a subject such as a human or lower mammal by administering to the subject a therapeutically effective amount of a compound of the invention, in such amounts and for such time as is necessary to achieve the desired result.
  • a therapeutically effective amount of a compound of the invention means a sufficient amount of the compound so as to decrease the viral load in a subject, thus decreasing said subject's chronic HCV symptoms.
  • an anti-hepatitis C virally effective amount of a compound of this invention will be at a reasonable benefit/risk ratio applicable to any medical treatment.
  • a maintenance dose of a compound, composition or combination of this invention may be administered, if necessary. Subsequently, the dosage or frequency of administration, or both, may be reduced, as a function of the symptoms, to a level at which the improved condition is retained when the symptoms have been alleviated to the desired level, treatment should cease.
  • the subject may, however, require intermittent treatment on a long-term basis upon any recurrence of disease symptoms.
  • the specific anti-HCV virally effective dose level for any particular patient will depend upon a variety of factors including the disorder being treated and the severity of the disorder; the activity of the specific compound employed; the specific composition employed; the age, body weight, general health, sex and diet of the patient; the time of administration, route of administration, and rate of excretion of the specific compound employed; the duration of the treatment; drugs used in combination or coincidental with the specific compound employed; and like factors well known in the medical arts.
  • the total daily dose of the compounds of this invention administered to a subject in single or in divided doses can be in amounts, for example, from 0.01 to 50 mg/kg body weight or more usually from 0.1 to 25 mg/kg body weight.
  • Single dose compositions may contain such amounts or submultiples thereof to make up the daily dose.
  • treatment regimens according to the present invention comprise administration to a patient in need of such treatment from about 10 mg to about 1000 mg of the compound(s) of this invention per day in single or multiple doses.
  • compositions of the present invention comprise a therapeutically effective amount of a compound of the present invention formulated together with one or more pharmaceutically acceptable carriers or excipients.
  • pharmaceutically acceptable carrier or excipient means a non-toxic, inert solid, semi-solid or liquid filler, diluent, encapsulating material or formulation auxiliary of any type.
  • materials which can serve as pharmaceutically acceptable carriers are sugars such as lactose, glucose and sucrose; starches such as corn starch and potato starch; cellulose and its derivatives such as sodium carboxymethyl cellulose, ethyl cellulose and cellulose acetate; powdered tragacanth; malt; gelatin; talc; excipients such as cocoa butter and suppository waxes; oils such as peanut oil, cottonseed oil, safflower oil, sesame oil, olive oil, corn oil and soybean oil; glycols such as propylene glycol; esters such as ethyl oleate and ethyl laurate; agar; buffering agents such as magnesium hydroxide and aluminun hydroxide; alginic acid; pyrogen-free water; isotonic saline; Ringer's solution; ethyl alcohol, and phosphate buffer solutions, as well as other nontoxic compatible lubricants such as sodium lauryl s
  • compositions of this invention may be administered orally, parenterally, by inhalation spray, topically, rectally, nasally, buccally, vaginally or via an implanted reservoir, preferably by oral administration or administration by injection.
  • the pharmaceutical compositions of this invention may contain any conventional non-toxic pharmaceutically-acceptable carriers, adjuvants or vehicles.
  • the pH of the formulation may be adjusted with pharmaceutically acceptable acids, bases or buffers to enhance the stability of the formulated compound or its delivery form.
  • parenteral as used herein includes subcutaneous, intracutaneous, intravenous, intramuscular, intraarticular, intraarterial, intrasynovial, intrasternal, intrathecal, intralesional and intracranial injection or infusion techniques.
  • Liquid dosage forms for oral administration include pharmaceutically acceptable emulsions, microemulsions, solutions, suspensions, syrups and elixirs.
  • the liquid dosage forms may contain inert diluents commonly used in the art such as, for example, water or other solvents, solubilizing agents and emulsifiers such as ethyl alcohol, isopropyl alcohol, ethyl carbonate, ethyl acetate, benzyl alcohol, benzyl benzoate, propylene glycol, 1 ,3- butylene glycol, dimethylformamide, oils (in particular, cottonseed, groundnut, corn, germ, olive, castor, and sesame oils), glycerol, tetrahydrofurfuryl alcohol, polyethylene glycols and fatty acid esters of sorbitan, and mixtures thereof.
  • the oral compositions can also include adjuvants such as wetting agents,
  • the injectable formulations can be sterilized, for example, by filtration through a bacterial-retaining filter, or by incorporating sterilizing agents in the form of sterile solid compositions which can be dissolved or dispersed in sterile water or other sterile injectable medium prior to use.
  • Solid dosage forms for oral administration include capsules, tablets, pills, powders, and granules.
  • the active compound is mixed with at least one inert, pharmaceutically acceptable excipient or carrier such as sodium citrate or dicalcium phosphate and/or: a) fillers or extenders such as starches, lactose, sucrose, glucose, mannitol, and silicic acid, b) binders such as, for example, carboxymethylcellulose, alginates, gelatin, polyvinylpyrrolidinone, sucrose, and acacia, c) humectants such as glycerol, d) disintegrating agents such as agar- agar, calcium carbonate, potato or tapioca starch, alginic acid, certain silicates, and sodium carbonate, e) solution retarding agents such as paraffin, f) absorption accelerators such as quaternary ammonium compounds, g) wetting agents such as, for example, cetyl alcohol and
  • the dosage form may also comprise buffering agents.
  • Solid compositions of a similar type may also be employed as fillers in soft and hard-filled gelatin capsules using such excipients as lactose or milk sugar as well as high molecular weight polyethylene glycols and the like.
  • the solid dosage forms of tablets, dragees, capsules, pills, and granules can be prepared with coatings and shells such as enteric coatings and other coatings well known in the pharmaceutical formulating art. They may optionally contain opacifying agents and can also be of a composition that they release the active ngredient(s) only, or preferentially, in a certain part of the intestinal tract, optionally, n a delayed manner. Examples of embedding compositions that can be used nclude polymeric substances and waxes.
  • the ointments, pastes, creams and gels may contain, in addition to an active compound of this invention, excipients such as animal and vegetable fats, oils, waxes, paraffins, starch, tragacanth, cellulose derivatives, polyethylene glycols, silicones, bentonites, silicic acid, talc and zinc oxide, or mixtures thereof.
  • excipients such as animal and vegetable fats, oils, waxes, paraffins, starch, tragacanth, cellulose derivatives, polyethylene glycols, silicones, bentonites, silicic acid, talc and zinc oxide, or mixtures thereof.
  • Transdermal patches have the added advantage of providing controlled delivery of a compound to the body.
  • dosage forms can be made by dissolving or dispensing the compound in the proper medium.
  • Absorption enhancers can also be used to increase the flux of the compound across the skin.
  • the rate can be controlled by either providing a rate controlling membrane or by dispersing the compound in a polymer matrix or gel.
  • anti-hepatitis C virally effective amount of a compound of the invention, as used herein, means a sufficient amount of the compound so as to decrease the viral load in a subject, thus decreasing said subject's chronic HCV symptoms.
  • an anti-hepatitis C virally effective amount of a compound of this invention will be at a reasonable benefit/risk ratio applicable to any medical treatment.
  • a maintenance dose of a compound, composition or combination of this invention may be administered, if necessary. Subsequently, the dosage or frequency of administration, or both, may be reduced, as a function of the symptoms, to a level at which the improved condition is retained when the symptoms have been alleviated to the desired level, treatment should cease.
  • the subject may, however, require intermittent treatment on a long-term basis upon any recurrence of disease symptoms.
  • DUPHOS for EDANS for 5-(2-Amino-ethylamino)-naphthalene-1-sulfonic acid; EDCI or EDC for 1 -(3-diethylaminopropyl)-3-ethylcarbodiimide hydrochloride; EtOAc for ethyl acetate; HATU for O (7-Azabenzotriazole-1-yl)-N,N,N',N' - tetramethyluronium hexafluorophosphate; Hoveyda's Cat.
  • KHMDS is potassium bis(trimethylsilyl) amide
  • Ms for mesyl; NMM for N-4-methylmorpholine
  • PyBrOP for Bromo-tri-pyrolidino-phosphonium hexafluorophosphate
  • Ph for phenyl
  • RCM for ring-closing metathesis
  • RT for reverse transcription
  • RT-PCR reverse transcription-polymerase chain reaction
  • TEA triethyl amine
  • TFA trifluoroacetic acid
  • THF for tetrahydrofuran
  • TLC thin layer chromatography
  • TPP or PPh 3 for triphenylphosphine
  • tBOC Boc for tert-butyloxy carbonyl
  • Xantphos for 4,5-Bis-diphenylphosphanyl-9,9-dimethyl-9H-xanthen
  • Boc-alkenylhydrazine of formula (1-3) can be prepared with bromo-alkenes of formula (1-1), wherein j is as previously defined and Boc-hydrazine (1-2) in the presence of tetrabutylamonium iodide in acetonitrile and DMSO.
  • the corresponding acid chloride of formula (1-4) can be prepared by treating compound of formula (1-3) with phosgene in DCM.
  • Aza-peptide mesylate macrocycle of formula (2-4), wherein A, B, G, M, Q, and j are as previously defined, can be formed primarily by peptide coupling conditions well known in the art.
  • Boc-hydroxyproline ethyl ester derivative of formula (2-1) undergoes Boc-cleavage to yield the deprotected hydrochloride followed by addition of the Boc-aza-peptide acid chloride of formula (1-4), where A, B, and j are as previously defined, to yield compounds of the formula (2-2).
  • tripeptide of formula (2-3) can be achieved through treatment with LiOH in THF/MeOH/H 0 to perform the hydrolysis of the ethyl ester and followed by coupling to P1 under standard amide bond forming conditions wherein G is as previously defined.
  • Subjecting tripeptide (2-3) to ring-closing metathesis conditions with a Ruthenium-based catalyst can afford the desired key intermediate (2-4) (for further details on ring closing metathesis see recent reviews: Grubbs et al., Ace. Chem. Res., 1995, 28, 446; Shrock et al., Tetrahedron 1999, 55, 8141 ; Furstner, A. Angew. Chem. Int. Ed. 2000, 39, 3012; Trnka et al., Ace. Chem. Res. 2001 , 34, 18; and Hoveyda et al., Chem. Eur. J. 2001 , 7, 945).
  • Aza-peptide mesylate macrocycle of formula (3-1) can be formed via treatment of compounds of (2-4) with mesyl chloride.
  • the compounds of the present invention can be prepared via the replacement of the mesylate moiety of formula (3-1) with nucleophilic P * moiety Q in the presence of a base such as Cs 2 C0 3 in DMF to form compounds of formula (4-1), wherein A, B, G, Q, and j are as previously defined.
  • a base such as Cs 2 C0 3 in DMF
  • Q include, but are not limited to, triazoles, tetrazoles, imidazoles, benzamidizoles, benzotriazoles, pyrroles, and the like.
  • Examples of compounds of the present invention which can be made via introduction of various P * moieties by mesylate replacement include, but are not limited to, compounds of formulae (5-1) - (5-4).
  • Examples of compounds of formulae (5-1) - (5-4) include, but are not limited to, compounds of formulae (5-1) - (5-4).
  • mesylate replacement method please see commonly assigned patent applications U.S. Serial Nos. 10/360,947 (filed Feb. 7, 2003) and 10/365,854 (filed Feb. 13, 2003).
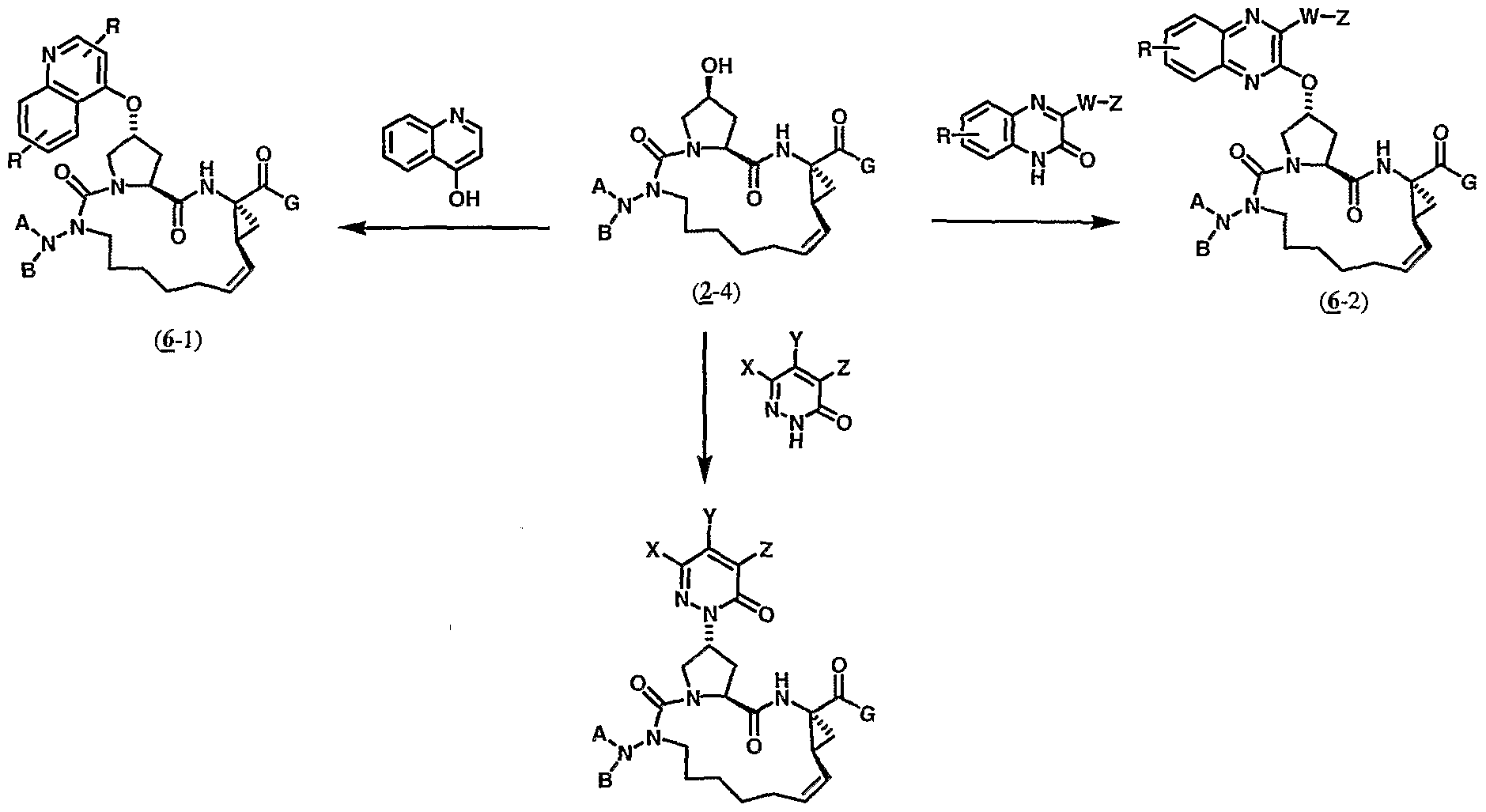
  • Examples of compounds of the present invention which can be made from cyclic precursor of formula (2-4) via introduction of various P* moieties by Mitsunobu coupling include, but are not limited to, compounds of formulae (6-1) - (6-3).
  • suitable P* moieties and the introduction thereof please see U.S. published patent application US2002/0037998; PCT published application WO 00/59929; and commonly assigned U.S. Serial Nos. 10/384,120 (filed March 7, 2003) and 10/418,759 (filed April 18, 2003).
  • Triphosgene in DCM (5 ml) is added at 0°C to a mixture of compound of formula (1-3) and DIEA (0.8ml) in DCM (20ml) and stirred 1.5 hours to yield the title compound in situ to be used in subsequent steps.
  • the mixture of the title compound of Example 1 is added to a pre-stirred solution of cis-L-hydroxyproline ethyl ester hydrochloride and DIEA (1.2 ml) in DCM (10ml). This mixture is then stirred overnight and then monitored for product formation via TLC. Once the reaction is deemed to be complete, the reaction mixture is then evaporated in vacuo to dryness and subsequently diluted in EtOAc.
  • a mixture of the compound formed in Step 2b, P1 (1 eq), HATU (1 eq), and NMM (3 eq) in DMF is stirred at room temperature for 45 min..
  • Hoveyda's 1 st generation catalyst (5 mol% eq.) is then added as solid.
  • the reaction is refluxed under N 2 atmosphere 12 hours.
  • the solvent is evaporated and the residue is purified by silica gel flash chromatography using different ratios of hexanes. ⁇ tOAc as elution phase (9:1 ⁇ 5:1 ⁇ 3:1 ⁇ 1:1 ⁇ 1 :2 ⁇ 1 :5).
  • the cyclic peptide precursor title compound is isolated as a white powder after removal of the elution solvents.
  • Example 25 NS3/NS4a Protease Enzyme Assay HCV protease activity and inhibition is assayed using an internally quenched fluorogenic substrate.
  • a DABCYL and an EDANS group are attached to opposite ends of a short peptide. Quenching of the EDANS fluorescence by the DABCYL group is relieved upon proteolytic cleavage. Fluorescence was measured with a Molecular Devices Fluoromax (or equivalent) using an excitation wavelength of 355 nm and an emission wavelength of 485 nm.
  • the assay is run in Corning white half-area 96-well plates (VWR 29444-312 [Corning 3693]) with full-length NS3 HCV protease 1b tethered with NS4A cofactor (final enzyme concentration 1 to 15 nM).
  • the assay buffer is complemented with 10 ⁇ M NS4A cofactor Pep 4A (Anaspec 25336 or in- house, MW 1424.8).
  • RET S1 (Ac-Asp-Glu-Asp(EDANS)-Glu-Glu-Abu- [COO]Ala-Ser-Lys-(DABCYL)-NH 2 , AnaSpec 22991 , MW 1548.6) is used as the fluorogenic peptide substrate.
  • the assay buffer contained 50 mM Hepes at pH 7.5, 30 mM NaCl and 10 mM BME. The enzyme reaction is followed over a 30 minutes time course at room temperature in the absence and presence of inhibitors.
  • HCV Inh 1 (Anaspec 25345, MW 796.8) Ac-Asp-Glu- Met-Glu-Glu-Cys-OH, [-20°C] and HCV Inh 2 (Anaspec 25346, MW 913.1) Ac-Asp-Glu-Dif-Cha-Cys-OH, were used as reference compounds.
  • Example 26 Cell-Based Replicon Assay Quantification of HCV replicon RNA in cell lines (HCV Cell Based Assay)
  • HCV Cell Based Assay Cell lines, including Huh-11-7 or Huh 9-13, harboring HCV replicons (Lohmann, et al Science 285:110-113, 1999) are seeded at 5x10 3 cells/well in 96 well plates and fed media containing DMEM (high glucose), 10% fetal calf serum, penicillin-streptomycin and non-essential amino acids. Cells are incubated in a 5% C0 2 incubator at 37 °C. At the end of the incubation period, total RNA is extracted and purified from cells using Qiagen Rneasy 96 Kit (Catalog No. 74182).
  • primers specific for HCV mediate both the reverse transcription of the HCV RNA and the amplification of the cDNA by polymerase chain reaction (PCR) using the TaqMan One-Step RT-PCR Master Mix Kit (Applied Biosystems catalog no. 4309169).
  • PCR polymerase chain reaction
  • the nucleotide sequences of the RT-PCR primers, which are located in the NS5B region of the HCV genome, are the following: • HCV Forward primer "RBNS ⁇ bfor" ⁇ 5'GCTGCGGCCTGTCGAGCT: • HCV Reverse primer "RBNS ⁇ Brev”: ⁇ 5'CAAGGTCGTCTCCGCATAC
  • Detection of the RT-PCR product was accomplished using the Applied Biosystems (ABI) Prism 7700 Sequence Detection System (SDS) that detects the fluorescence that is emitted when the probe, which is labeled with a fluorescence reporter dye and a quencher dye, is processed during the PCR reaction.
  • SDS Sequence Detection System
  • the increase in the amount of fluorescence is measured during each cycle of PCR and reflects the increasing amount of RT-PCR product.
  • quantification is based on the threshold cycle, where the amplification plot crosses a defined fluorescence threshold. Comparison of the threshold cycles of the sample with a known standard provides a highly sensitive measure of relative template concentration in different samples (ABI
  • the data is analyzed using the ABI SDS program version 1.7.
  • the relative template concentration can be converted to RNA copy numbers by employing a standard curve of HCV RNA standards with known copy number (ABI User Bulletin #2 December 11 , 1997).
  • the RT reaction is performed at 48 °C for 30 minutes followed by PCR.
  • Thermal cycler parameters used for the PCR reaction on the ABI Prism 7700 Sequence Detection System were: one cycle at 95 °C, 10 minutes followed by 35 cycles each of which included one incubation at 95 °C for 15 seconds and a second incubation for 60 °C for 1 minute.
  • RT-PCR is performed on the cellular messenger RNA glyceraldehydes-3- phosphate dehydrogenase (GAPDH).
  • GAPDH copy number is very stable in the cell lines used.
  • GAPDH RT-PCR is performed on the same exact RNA sample from which the HCV copy number is determined.
  • the GAPDH primers and probes, as well as the standards with which to determine copy number, are contained in the ABI Pre-Developed TaqMan Assay Kit (catalog no. 4310884E).
  • the ratio of HCV/GAPDH RNA is used to calculate the activity of compounds evaluated for inhibition of HCV RNA replication.
  • HCV replicon RNA levels in Huh-11-7 or 9-13 cells was determined by comparing the amount of HCV RNA normalized to GAPDH (e.g. the ratio of HCV/GAPDH) in the cells exposed to compound versus cells exposed to the 0% inhibition and thel 00% inhibition controls. Specifically, cells were seeded at 5x 10 3 cells/well in a 96 well plate and were incubated either with: 1) media containing 1% DMSO (0% inhibition control), 2) 100 international units, lU/ml Interferon-alpha 2b in media/1 %DMSO or 3) media/1 %DMSO containing a fixed concentration of compound.
  • GAPDH e.g. the ratio of HCV/GAPDH

Landscapes

  • Chemical & Material Sciences (AREA)
  • Organic Chemistry (AREA)
  • Health & Medical Sciences (AREA)
  • Life Sciences & Earth Sciences (AREA)
  • General Health & Medical Sciences (AREA)
  • Medicinal Chemistry (AREA)
  • Molecular Biology (AREA)
  • Biophysics (AREA)
  • Genetics & Genomics (AREA)
  • Proteomics, Peptides & Aminoacids (AREA)
  • Biochemistry (AREA)
  • Virology (AREA)
  • Oncology (AREA)
  • Communicable Diseases (AREA)
  • Chemical Kinetics & Catalysis (AREA)
  • General Chemical & Material Sciences (AREA)
  • Nuclear Medicine, Radiotherapy & Molecular Imaging (AREA)
  • Pharmacology & Pharmacy (AREA)
  • Animal Behavior & Ethology (AREA)
  • Public Health (AREA)
  • Veterinary Medicine (AREA)
  • Pharmaceuticals Containing Other Organic And Inorganic Compounds (AREA)
  • Medicines That Contain Protein Lipid Enzymes And Other Medicines (AREA)

Abstract

The present invention relates to compounds of Formula (I), or a pharmaceutically acceptable salt, ester, or prodrug, thereof, which inhibit serine protease activity, particularly the activity of hepatitis C virus (HCV) NS3-NS4A protease. Consequently, the compounds of the present invention interfere with the life cycle of the hepatitis C virus and are also useful as antiviral agents. The present invention further relates to pharmaceutical compositions comprising the aforementioned compounds for administration to a subject suffering from HCV infection. The invention also relates to methods of treating an HCV infection in a subject by administering a pharmaceutical composition comprising the compounds of the present invention.

Description

AZA-PEPTIDE MACROCYCLIC HEPATITIS C SERINE PROTEASE INHIBITORS
TECHNICAL FIELD
The present invention relates to novel macrocycles having activity against hepatitis C virus (HCV) and useful in the treatment of HCV infections. More particularly, the invention relates to macrocyclic compounds, compositions containing such compounds and methods for using the same, as well as processes for making such compounds.
BACKGROUND OF THE INVENTION
HCV is the principal cause of non-A, non-B hepatitis and is an increasingly severe public health problem both in the developed and developing world. It is estimated that the virus infects over 200 million people worldwide, surpassing the number of individuals infected with the human immunodeficiency virus (HIV) by nearly five fold. HCV infected patients, due to the high percentage of individuals inflicted with chronic infections, are at an elevated risk of developing cirrhosis of the liver, subsequent hepatocellular carcinoma and terminal liver disease. HCV is the most prevalent cause of hepatocellular cancer and cause of patients requiring liver transplantations in the western world. There are considerable barriers to the development of anti-HCV therapeutics, which include, but are not limited to, the persistence of the virus, the genetic diversity of the virus during replication in the host, the high incident rate of the virus developing drug-resistant mutants, and the lack of reproducible infectious culture systems and small-animal models for HCV replication and pathogenesis. In a majority of cases, given the mild course of the infection and the complex biology of the liver, careful consideration must be given to antiviral drugs, which are likely to have significant side effects. Only two approved therapies for HCV infection are currently available. The original treatment regimen generally involves a 3-12 month course of intravenous interferon-α (IFN-α), while a new approved second-generation treatment involves co- treatment with IFN-α and the general antiviral nucleoside mimics like ribavirin. Both of these treatments suffer from interferon related side effects as well as low efficacy against HCV infections. There exists a need for the development of effective antiviral agents for treatment of HCV infection due to the poor tolerability and disappointing efficacy of existing therapies. In a patient population where the majority of individuals are chronically infected and asymptomatic and the prognoses are unknown, an effective drug must possess significantly fewer side effects than the currently available treatments. The hepatitis C non-structural protein-3 (NS3) is a proteolytic enzyme required for processing of the viral polyprotein and consequently viral replication. Despite the huge number of viral variants associated with HCV infection, the active site of the NS3 protease remains highly conserved thus making its inhibition an attractive mode of intervention. Recent success in the treatment of HIV with protease inhibitors supports the concept that the inhibition of NS3 is a key target in the battle against HCV. HCV is a flaviridae type RNA virus. The HCV genome is enveloped and contains a single strand RNA molecule composed of circa 9600 base pairs. It encodes a polypeptide comprised of approximately 3010 amino acids. The HCV polyprotein is processed by viral and host peptidase into 10 discreet peptides which serve a variety of functions. There are three structural proteins, C, E1 and E2. The P7 protein is of unknown function and is comprised of a highly variable sequence. There are six non-structural proteins. NS2 is a zinc-dependent metalloproteinase that functions in conjunction with a portion of the NS3 protein. NS3 incorporates two catalytic functions (separate from its association with NS2): a serine protease at the N-terminal end, which requires NS4A as a cofactor, and an ATP-ase-dependent helicase function at the carboxyl terminus. NS4A is a tightly associated but non-covalent cofactor of the serine protease. The NS3.4A protease is responsible for cleaving four sites on the viral polyprotein. The NS3-NS4A cleavage is autocatalytic, occurring in cis. The remaining three hydrolyses, NS4A-NS4B, NS4B-NS5A and NS5A-NS5B all occur in trans. NS3 is a serine protease which is structurally classified as a chymotrypsin-like protease. While the NS serine protease possesses proteolytic activity by itself, the HCV protease enzyme is not an efficient enzyme in terms of catalyzing polyprotein cleavage. It has been shown that a central hydrophobic region of the NS4A protein is required for this enhancement. The complex formation of the NS3 protein with NS4A seems necessary to the processing events, enhancing the proteolytic efficacy at all of the sites. A general strategy for the development of antiviral agents is to inactivate virally encoded enzymes, including NS3, that are essential for the replication of the virus. Current efforts directed toward the discovery of NS3 protease inhibitors were reviewed by S. Tan, A. Pause, Y. Shi, N. Sonenberg, Hepatitis C Therapeutics: Current Status and Emerging Strategies, Nature Rev. Drug Discov., 1 , 867-881 (2002). More relevant patent disclosures describing the synthesis of HCV protease inhibitors are: WO 00/59929 (2000); WO 99/07733 (1999); WO 00/09543 (2000); WO 99/50230 (1999); US5861297 (1999).
Summary of the Invention
The present invention relates to novel macrocylic compounds and methods of treating a hepatitis C infection in a subject in need of such therapy with said macrocyclic compounds. The present invention further relates to pharmaceutical compositions comprising the compounds of the present invention, or pharmaceutically acceptable salts, esters, or prodrugs thereof, in combination with a pharmaceutically acceptable carrier or excipient. In one embodiment of the present invention there are disclosed compounds represented by Formula I, or pharmaceutically acceptable salts, esters, or prodrugs thereof:
Figure imgf000004_0001
(i) wherein A is selected from: (a) hydrogen; (b)
Figure imgf000005_0001
where R-i is selected from: 1. hydrogen, 2. d-C6 alkyl, 3. C3-C-12 cycloalkyl, 4. substituted C3-C12 cycloalkyl, 5. aryl, 6. substituted aryl, 7. heteroaryl, 8. substituted heteroaryl, 9. heterocycloalkyl, 10. substituted heterocycloalkyl, or 11.-Ci-Cβ alkyl containing 0, 1 , 2, or 3 heteroatoms selected from O, S, or N, optionally substituted with one or more substituent selected from halogen, aryl, substituted aryl, heteroaryl, substituted heteroaryl, heterocycloalkyl, or substituted heterocycloalkyl; (c) -(C=0)-R2, where R2 is selected from: 1 , R-i, as previously defined, 2. alkylamino, 3. dialkyl amino, 4. arylamino, or 5. diarylamino; (d) -C(=0)-NH-R2, where R2 is as previously defined; (e) -C(=S)-NH-R2, where R2 is as previously defined; (f) -S(0) -R2, where R2 is as previously defined;
B is hydrogen or C-i-C6 alkyl; G is (a) -OH; (b) -0-(Cι-C12 alkyl); (c) -NH-R2, where R2 is as previously defined; (d) -NHS(0)2-Rι, where Ri is as previously defined; (e) -(C=0)-R2, where R2 is as previously defined; (f) -(C=0)-0-Rι, where Ri is as previously defined; or (g) -(C=0)-NH-R , where R2 is as previously defined; M is absent or selected from: (a) -0-; (b) -S-; (c) -NH-; or (d) -NR-i-, wherein Ri is as previously defined; Q is selected from: (a) aryl; (b) substituted aryl; (c) heteroaryl; (d) substituted heteroaryl; (e) heterocycloalkyl; or (f) substituted heterocycloalkyl; j = 0, 1 , 2, 3, or 4; n = 0, 1 , or 2; and s = 0, 1 , or 2. Detailed Description of the Invention
A first embodiment of the invention is a compound represented by Formula I as described above, or a pharmaceutically acceptable salt, ester or prodrug thereof, in combination with a pharmaceutically acceptable carrier or excipient.
A second embodiment of the invention is a compound represented by Formula II as described above, or a pharmaceutically acceptable salt, ester or prodrug thereof, in combination with a pharmaceutically acceptable carrier or excipient.
Representative subgenera of the invention include, but are not limited to:
A compound of formula I, wherein M is absent and Q is
Figure imgf000006_0001
wherein X and Y are each independently selected from: a) -C-ι-C6 alkyl containing 0, 1 , 2, or 3 heteroatoms selected from O, S, or N, optionally substituted with one or more substituent selected from halogen, aryl, substituted aryl, heteroaryl, substituted heteroaryl, heterocycloalkyl, or substituted heterocycloalkyl; b) -C2-C6 alkenyl containing 0, 1 , 2, or 3 heteroatoms selected from O, S, or N, optionally substituted with one or more substituent selected from halogen, aryl, substituted aryl, heteroaryl, substituted heteroaryl, heterocycloalkyl, or substituted heterocycloalkyl; c) -C2-C6 alkynyl containing 0, 1 , 2, or 3 heteroatoms selected from O, S, or N, optionally substituted with one or more substituent selected from halogen, aryl, substituted aryl, heteroaryl, substituted heteroaryl, heterocycloalkyl, or substituted heterocycloalkyl; d) aryl; e) substituted aryl; f) heteroaryl; g) substituted heteroaryl; h) heterocycloalkyl; or i) substituted heterocycloalkyl; or in the alternative, X and Y are taken together with the carbons to which they are attached to for a cyclic moiety selected from: aryl, substituted aryl, heteroaryl, substituted heteroaryl, heterocycloalkyl, or substituted heterocycloalkyl;
A compound of formula I, wherein M is absent and Q is
Figure imgf000007_0001
wherein Y is selected from: a)
Figure imgf000007_0002
alkyl containing 0, 1 , 2, or 3 heteroatoms selected from O, S, or N, optionally substituted with one or more substituent selected from halogen, aryl, substituted aryl, heteroaryl, substituted heteroaryl, heterocycloalkyl, or substituted heterocycloalkyl; b) -C2-C6 alkenyl containing 0, 1 , 2, or 3 heteroatoms selected from O, S, or N, optionally substituted with one or more substituent selected from halogen, aryl, substituted aryl, heteroaryl, substituted heteroaryl, heterocycloalkyl, or substituted heterocycloalkyl; c) -C2-C6 alkynyl containing 0, 1 , 2, or 3 heteroatoms selected from O, S, or N, optionally substituted with one or more substituent selected from halogen, aryl, substituted aryl, heteroaryl, substituted heteroaryl, heterocycloalkyl, or substituted heterocycloalkyl; d) aryl; e) substituted aryl; f) heteroaryl; g) substituted heteroaryl; h) heterocycloalkyl; or i) substituted heterocycloalkyl;
A compound of formula I, wherein M is absent and Q is
Figure imgf000008_0001
wherein X, Y, and Z are each independently selected from: a) -Ci-Cβ alkyl containing 0, 1 , 2, or 3 heteroatoms selected from O, S, or N, optionally substituted with one or more substituent selected from halogen, aryl, substituted aryl, heteroaryl, substituted heteroaryl, heterocycloalkyl, or substituted heterocycloalkyl; b) -C2-C6 alkenyl containing 0, 1 , 2, or 3 heteroatoms selected from O, S, or N, optionally substituted with one or more substituent selected from halogen, aryl, substituted aryl, heteroaryl, substituted heteroaryl, heterocycloalkyl, or substituted heterocycloalkyl; c) -C2-C6 alkynyl containing 0, 1 , 2, or 3 heteroatoms selected from O, S, or N, optionally substituted with one or more substituent selected from halogen, aryl, substituted aryl, heteroaryl, substituted heteroaryl, heterocycloalkyl, or substituted heterocycloalkyl; d) aryl; e) substituted aryl; f) heteroaryl; g) substituted heteroaryl; h) heterocycloalkyl; or i) substituted heterocycloalkyl; or in the alternative, X and Y or Y and Z are taken together with the carbons to which they are attached to for a cyclic moiety selected from: aryl, substituted aryl, heteroaryl, substituted heteroaryl, heterocycloalkyl, or substituted heterocycloalkyl;
A compound of formula I, wherein M is absent and Q is
Figure imgf000009_0001
wherein W, X, Y, and Z are each independently selected from: a) -Cι-C6 alkyl containing 0, 1 , 2, or 3 heteroatoms selected from O, Ss or N, optionally substituted with one or more substituent selected from halogen, aryl, substituted aryl, heteroaryl, substituted heteroaryl, heterocycloalkyl, or substituted heterocycloalkyl; b) -C2-C6 alkenyl containing 0, 1 , 2, or 3 heteroatoms selected from O, S, or N, optionally substituted with one or more substituent selected from halogen, aryl, substituted aryl, heteroaryl, substituted heteroaryl, heterocycloalkyl, or substituted heterocycloalkyl; c) -C2-C6 alkynyl containing 0, 1 , 2, or 3 heteroatoms selected from O, S, or N, optionally substituted with one or more substituent selected from halogen, aryl, substituted aryl, heteroaryl, substituted heteroaryl, heterocycloalkyl, or substituted heterocycloalkyl; d) aryl; e) substituted aryl; f) heteroaryl; g) substituted heteroaryl; h) heterocycloalkyl; or i) substituted heterocycloalkyl; or in the alternative, W and X, X and Y, or Y and Z are taken together with the carbons to which they are attached to for a cyclic moiety selected from: aryl, substituted aryl, heteroaryl, substituted heteroaryl, heterocycloalkyl, or substituted heterocycloalkyl;
Figure imgf000010_0001
wherein X, Y, and Z are each independently selected from: a) -Ci-Cβ alkyl containing 0, 1 , 2, or 3 heteroatoms selected from O, S, or N, optionally substituted with one or more substituent selected from halogen, aryl, substituted aryl, heteroaryl, substituted heteroaryl, heterocycloalkyl, or substituted heterocycloalkyl; b) -C2-C6 alkenyl containing 0, 1 , 2, or 3 heteroatoms selected from O, S, or N, optionally substituted with one or more substituent selected from halogen, aryl, substituted aryl, heteroaryl, substituted heteroaryl, heterocycloalkyl, or substituted heterocycloalkyl; c) -C2-C6 alkynyl containing 0, 1 , 2, or 3 heteroatoms selected from O, S, or N, optionally substituted with one or more substituent selected from halogen, aryl, substituted aryl, heteroaryl, substituted heteroaryl, heterocycloalkyl, or substituted heterocycloalkyl; d) aryl; e) substituted aryl; f) heteroaryl; g) substituted heteroaryl; h) heterocycloalkyl; or i) substituted heterocycloalkyl; or in the alternative, Y and Z are taken together with the carbons to which they are attached to for a cyclic moiety selected from: aryl, substituted aryl, heteroaryl, substituted heteroaryl, heterocycloalkyl, or substituted heterocycloalkyl;
A compound of formula I, wherein M is -O- and Q is
Figure imgf000010_0002
wherein L is M, where M is as previously defined; X, Y, and Z are each independently selected from: a) -C1-C6 alkyl containing 0, 1 , 2, or 3 heteroatoms selected from O, S, or N, optionally substituted with one or more substituent selected from halogen, aryl, substituted aryl, heteroaryl, substituted heteroaryl, heterocycloalkyl, or substituted heterocycloalkyl; b) -C2-Cβ alkenyl containing 0, 1 , 2, or 3 heteroatoms selected from O, S, or N, optionally substituted with one or more substituent selected from halogen, aryl, substituted aryl, heteroaryl, substituted heteroaryl, heterocycloalkyl, or substituted heterocycloalkyl; c) -C2-C6 alkynyl containing 0, 1 , 2, or 3 heteroatoms selected from O, S, or N, optionally substituted with one or more substituent selected from halogen, aryl, substituted aryl, heteroaryl, substituted heteroaryl, heterocycloalkyl, or substituted heterocycloalkyl; d) aryl; e) substituted aryl; f) heteroaryl; g) substituted heteroaryl; h) heterocycloalkyl; or i) substituted heterocycloalkyl; or in the alternative, X and Y are taken together with the carbons to which they are attached to for a cyclic moiety selected from: aryl, substituted aryl, heteroaryl, substituted heteroaryl, heterocycloalkyl, or substituted heterocycloalkyl;
A compound of formula I, wherein M is -O- and Q is
Figure imgf000011_0001
wherein L is M, where M is as previously defined; X, Y, and Z are each independently selected from: a) -Cι-C6 alkyl containing 0, 1 , 2, or 3 heteroatoms selected from O, S, or N, optionally substituted with one or more substituent selected from halogen, aryl, substituted aryl, heteroaryl, substituted heteroaryl, heterocycloalkyl, or substituted heterocycloalkyl; b) -C2-C6 alkenyl containing 0, 1 , 2, or 3 heteroatoms selected from O, S, or N, optionally substituted with one or more substituent selected from halogen, aryl, substituted aryl, heteroaryl, substituted heteroaryl, heterocycloalkyl, or substituted heterocycloalkyl; c) -C2-CΘ alkynyl containing 0, 1 , 2, or 3 heteroatoms selected from O, S, or N, optionally substituted with one or more substituent selected from halogen, aryl, substituted aryl, heteroaryl, substituted heteroaryl, heterocycloalkyl, or substituted heterocycloalkyl; d) aryl; e) substituted aryl; f) heteroaryl; g) substituted heteroaryl; h) heterocycloalkyl; or i) substituted heterocycloalkyl; or in the alternative, X and Y are taken together with the carbons to which they are attached to for a cyclic moiety selected from: aryl, substituted aryl, heteroaryl, substituted heteroaryl, heterocycloalkyl, or substituted heterocycloalkyl; or
A compound of formula I, wherein M is -O- and Q is
Figure imgf000012_0001
wherein L is M, where M is as previously defined; X, Y, and Z are each independently selected from: j) -Ci-Cβ alkyl containing 0, 1 , 2, or 3 heteroatoms selected from O, S, or N, optionally substituted with one or more substituent selected from halogen, aryl, substituted aryl, heteroaryl, substituted heteroaryl, heterocycloalkyl, or substituted heterocycloalkyl; k) -C2-C6 alkenyl containing 0, 1 , 2, or 3 heteroatoms selected from O, S, or N, optionally substituted with one or more substituent selected from halogen, aryl, substituted aryl, heteroaryl, substituted heteroaryl, heterocycloalkyl, or substituted heterocycloalkyl; I) -C2-C6 alkynyl containing 0, 1 , 2, or 3 heteroatoms selected from O, S, or N, optionally substituted with one or more substituent selected from halogen, aryl, substituted aryl, heteroaryl, substituted heteroaryl, heterocycloalkyl, or substituted heterocycloalkyl; m) aryl; n) substituted aryl; o) heteroaryl; p) substituted heteroaryl; q) heterocycloalkyl; or r) substituted heterocycloalkyl; or in the alternative, X and Y are taken together with the carbons to which they are attached to for a cyclic moiety selected from: aryl, substituted aryl, heteroaryl, substituted heteroaryl, heterocycloalkyl, or substituted heterocycloalkyl.
Representative compounds of the invention include, but are not limited to, the following compounds: Compound of formula I, wherein A = Boc, B = hydrogen, G =OEt, M = -0-, Q = hydrogen, and j = n = s = 1 ;
Compound of formula I, wherein A = Boc, B = hydrogen, G =OEt, M = -0-, Q = -S(0)2CH3, and j = n = s = 1 ;
Compound of formula I, wherein A = Boc, B = hydrogen, G =OEt, M = -0-, Q = 2-thiophenyl-quinolin-3-yl, and j = n = s = 1 ;
Compound of formula I, wherein A = Boc, B = hydrogen, G = OH, M = -0-, Q = 2-thiophenyl-quinolin-3-yl, and j = n = s = 1 ;
Compound of formula I, wherein A = Boc, B = hydrogen, G =OEt, M is absent, Q = 4,5-diphenyltriazolyl, and j = n = s = 1 ; Compound of formula I, wherein A = Boc, B = hydrogen, G = OH, M is absent, Q = 4,5-di-thiophenyltriazol-2-yl, and j = n = s = 1 ;
Compound of formula I, wherein A = Boc, B = hydrogen, G = OH, M is absent, Q = 4-(thiophen-3-yl)-5-(p-methoxyphenyl)triazol-2-yl, and j = n = s = 1 ;
Compound of formula I, wherein A = Boc, B = hydrogen, G = OH, M is absent, Q = 4-(n-butyl)-5-phenyl triazol-2-yl, and j = n = s = 1 ;
Compound of formula I, wherein A = Boc, B = hydrogen, G = OH, M is absent, Q = 5-(3-methoxyphenyl)tetrazolyl, and j = n = s = 1 ;
Compound of formula I, wherein A = Boc, B = hydrogen, G = OH, M is absent, Q = 5-(4-pyridyl)tetrazolyl, and j = n = s = 1 ;
Compound of formula I, wherein A = Boc, B = hydrogen, G = OH, M is absent, Q = 5-(3,4-dichlorophenyl)tetrazolyl, and j = n = s = 1 ;
Compound of formula I, wherein A = Boc, B = hydrogen, G = OH, M is absent, Q = 5-(3-bromo-4-methoxy-phenyl)tetrazolyl, and j = n = s = 1 ;
Compound of formula I, wherein A = Boc, B = hydrogen, G = OH, M is absent, Q = 4-(4-fluoro-phenyl)-6-phenyl-1 H-pyridazin-3-on-2-yI, and j = n = s = 1 ;
Compound of formula I, wherein A = Boc, B = hydrogen, G = OH, M is absent, Q = 6-phenyl-5-piperidin-1-yl-1 H-pyridazin-3-on-2-yl, and j = n = s = 1 ;
Compound of formula I, wherein A = Boc, B = hydrogen, G = OH, M = -O-, Q = 7-Methoxy-2-phenyl-quinolin-4-yl, and j = n = s = 1 ;
Compound of formula I, wherein A = Boc, B = hydrogen, G = OH, M = -0-, Q = 7-Methoxy-2-thiazolyl-quinolin-4-yl, and j = n = s = 1 ; Compound of formula I, wherein A = Boc, B = hydrogen, G = OH, M = -0-, Q 7-Methoxy-2-thiophenyl-quinolin-4-yl, and j = n = s = 1 ;
Compound of formula I, wherein A = Boc, B = hydrogen, G = OH, M = -0-, Q 7-Methoxy-3-(thiophen-2-yl)-1 H-quinoxalin-2-yl, and j = n = s = 1 ;
Compound of formula I, wherein A = Boc, B = hydrogen, G = OH, M = -O-, Q 6-Methoxy-3-(thiophen-2-yl)-1 H-quinoxalin-2-yl, and j = n = s = 1 ;
Compound of formula I, wherein A = Boc, B = hydrogen, G = OH, M = -0-, Q 7-Methoxy-3-[2-(thiophen-2-yl)vinyl]-1 H-quinoxalin-2-yl, and j = n = s = 1 ;
Compound of formula I, wherein A = Boc, B = hydrogen, G = OH, M = -0-, Q = 6-Methoxy-3-[2-(thiophen-2-yl)vinyl]-1 H-quinoxalin-2-yl, and j = n = s = 1 ;
Compound of formula I, wherein A = Boc, B = hydrogen, G = OH, M = -0- Q = 7-Methoxy-3-[2-(pyridin-2-yl)vinyl]-1 H-quinoxalin-2-yl, and j = n = s = 1 ; or Compound of formula I, wherein A = Boc, B = hydrogen, G = OH, M = -0-, Q = 7-methoxy-3-[2-(pyridin -2-yl) vinyl]- 1 H-quinoxalin-2-yl, and j = n = s = 1.
According to an alternate embodiment, the pharmaceutical compositions of the present invention may further contain other anti-HCV agents. Examples of anti- HCV agents include, but are not limited to, α-interferon, β-interferon, ribavirin, and amantadine.
According to an additional alternate embodiment, the pharmaceutical compositions of the present invention may further contain other HCV protease inhibitors.
According to yet another alternate embodiment, the pharmaceutical compositions of the present invention may further comprise inhibitor(s) of other targets in the HCV life cycle, including, but not limited to, helicase, polymerase, metalloprotease, and internal ribosome entry site (IRES).
According to a further embodiment, the present invention includes methods of treating hepatitis C infections in a subject in need of such treatment by administering to said subject an anti-HCV virally effective amount of the pharmaceutical compositions of the present invention.
In addition, the present invention contemplated methods of making any compound delineated herein via any synthetic means delineated herein.
Definitions
Listed below are definitions of various terms used to describe this invention. These definitions apply to the terms as they are used throughout this specification and claims, unless otherwise limited in specific instances, either individually or as part of a larger group.
The terms " C C3 alkyl," " Cι-C6 alkyl," or "C Ci2 alkyl," as used herein, refer to saturated, straight- or branched-chain hydrocarbon radicals containing between one and three, one and twelve, or one and six carbon atoms, respectively. Examples of C1-C3 alkyl radicals include methyl, ethyl, propyl and isopropyl radicals; examples of C1-C6 alkyl radicals include, but are not limited to, methyl, ethyl, propyl, isopropyl, n-butyl, terf-butyl, neopentyl and n-hexyl radicals; and examples of C Cι2 alkyl radicals include, but are not limited to, ethyl, propyl, isopropyl, n-hexyl, octyl, decyl, dodecyl radicals.
The term "substituted alkyl," as used herein, refers to a "C2-Cι2 alkyl" or "Ci- Ce alkyl" group as previously defined, substituted by independent replacement or one, two, or three of the hydrogen atoms thereon with substituents including, but not limited to, -F, -CI, -Br, -I, -OH, protected hydroxy, -N02, -CN, -Cι-Cι2-alkyl optionally substituted with halogen, C2-Cι2-alkenyl optionally substituted with halogen, -C2-Cι2- alkynyl optionally substituted with halogen, -NH2, protected amino, -NH -d-Ci2-alkyl, -NH -C2-Ci2-alkenyl, -NH -C2-Cι2-aIkenyl, -NH -C3-Cι2-cycloalkyl, -NH -aryl, -NH - heteroaryl, -NH -heterocycloalkyl, -dialkylamino, -diarylamino, -diheteroarylamino, - 0-Cι-Cι2-alkyl, -0-C -Ci2-alkenyl, -0-C2-Ci -alkenyl, -0-C3-Ci2-cycloalkyl, -O-aryl, - O-heteroaryl, -O-heterocycloalkyl, -C(O)- C Cι2-alkyl, -C(O)- C2-Cι2-alkenyl, -C(O)- C2-Cι2-alkenyl, -C(0)-C3-Ci2-cycloalkyl, -C(0)-aryl, -C(0)-heteroaryl, -C(O)- heterocycloalkyl, -CONH2, -CONH- C Cι2-alkyl, -CONH- C2-Cι2-alkenyl, -CONH- C2-Cι2-alkenyI, -CONH-C3-Cι2-cycloalkyl, -CONH-aryl, -CONH-heteroaryl, -CONH- heterocycloalkyl, -OC02- C Ci2-alkyl, -OC02- C2-Cι2-alkenyl, -OC02- C2-Cι2- alkenyl, -OC02-C3-Cι2-cycloalkyl, -OC02-aryl, -OC02-heteroaryl, -OC02- heterocycloalkyl, -OCONH2, -OCONH- C Cι2-alkyl, -OCONH- C2-Cι2-alkenyl, - OCONH- C2-Ci2-alkenyl, -OCONH- C3-Cι -cycloalkyl, -OCONH- aryl, -OCONH- heteroaryl, -OCONH- heterocycloalkyl, -NHC(O)- C Cι2-alkyl, -NHC(0)-C2-Cι2- alkenyl, -NHC(0)-C2-Ci2-alkenyl, -NHC(0)-C3-Cι2-cycloalkyl, -NHC(0)-aryl, - NHC(0)-heteroaryl, -NHC(0)-heterocycloalkyl, -NHC02- C Cι2-alkyl, -NHC02- C2- Cι2-alkenyl, -NHC02- C2-Cι2-alkenyl, -NHC02- C3-Cι2-cycloalkyl, -NHC02- aryl, - NHC02- heteroaryl, -NHC02- heterocycloalkyl, -NHC(0)NH2l NHC(0)NH- C Cι2- alkyl, -NHC(0)NH-C2-Cι2-alkenyl, -NHC(0)NH-C2-Cι2-alkenyl, -NHC(0)NH-C3-C12- cycloalkyl, -NHC(0)NH-aryl, -NHC(0)NH-heteroaryl, -NHC(0)NH-heterocycloalkyl, NHC(S)NH2, NHC(S)NH- C Cι2-alkyl, -NHC(S)NH-C2-C12-alkenyl, -NHC(S)NH-C2- Ci2-alkenyl, -NHC(S)NH-C3-Cι2-cycloalkyl, -NHC(S)NH-aryl, -NHC(S)NH-heteroaryl, -NHC(S)NH-heterocycloalkyl, -NHC(NH)NH2, NHC(NH)NH- C Cι2-alkyl, -
NHC(NH)NH-C2-Cι2-alkenyl, -NHC(NH)NH-C2-Ci2-alkenyl, -NHC(NH)NH-C3-Ci2- cycloalkyl, -NHC(NH)NH-aryl, -NHC(NH)NH-heteroaryl, -NHC(NH)NH- heterocycloalkyl, NHC(NH)-Cι-Cι2-alkyl, -NHC(NH)-C2-Cι2-alkenyl, -NHC(NH)-C2- Ci2-alkenyl, -NHC(NH)-C3-Cι2-cycloalkyl, -NHC(NH)-aryl, -NHC(NH)-heteroaryl, - NHC(NH)-heterocycloalkyl, -C(NH)NH-C Cι2-alkyl, -C(NH)NH-C2-C12-alkenyl, - C(NH)NH-C2-Ci2-alkenyl, -C(NH)NH-C3-Cι2-cycloalkyl, -C(NH)NH-aryl, -C(NH)NH- heteroaryl, -C(NH)NH-heterocycloalkyl, -S(0)-C Ci2-alkyl, - S(0)-C2-Cι2-alkenyl, - S(0)-C2-Ci2-alkenyl, - S(0)-C3-Ci2-cycloalkyl, - S(0)-aryl, - S(0)-heteroaryl, - S(O)- heterocycloalkyl -S02NH2, -S02NH- C Cι2-alkyl, -S02NH- C2-Cι2-alkenyl, -S02NH- C2-Ci2-alkenyl, -S02NH- C3-Cι2-cycloalkyl, -S02NH- aryl, -S02NH- heteroaryl, - S02NH- heterocycloalkyl, -NHS02-C Ci2-alkyl, -NHS02-C2-Cι2-alkenyl, - NHS02- C2-Cι2-aikenyl, -NHS02-C3-Cι2-cycloalkyl, -NHS0 -aryl, -NHS02-heteroaryl, - NHS02-heterocycloalkyl, -CH2NH2, -CH2S02CH3, -aryl, -arylalkyl, -heteroaryl, - heteroarylalkyl, -heterocycloalkyl, -C3-Ci2-cycloalkyl, -methoxymethoxy, - methoxyethoxy, -SH, -S-C Cι2-alkyl, -S-C2-Cι2-alkenyl, -S-C2-Cι2-alkenyl, -S-C3- C 2-cycloalkyl, -S-aryl, -S-heteroaryl, -S-heterocycloalkyl, or methylthiomethyl.
The terms "C2-Cι alkenyl" or "C -C6 alkenyl," as used herein, denote a monovalent group derived from a hydrocarbon moiety containing from two to twelve or two to six carbon atoms having at least one carbon-carbon double bond by the removal of a single hydrogen atom. Alkenyl groups include, but are not limited to, for example, ethenyl, propenyl, butenyl, 1-methyl-2-buten-1-yl, and the like. The term "substituted alkenyl," as used herein, refers to a "C2-Cι2 alkenyl" or
"C2-Cβ alkenyl" group as previously defined, substituted by independent replacement or one, two, or three of the hydrogen atoms thereon with substituents including, but not limited to, -F, -CI, -Br, -I, -OH, protected hydroxy, -N02, -CN, -Cι-Cι2-alkyl optionally substituted with halogen, C2-Cι2-alkenyl optionally substituted with halogen, -C2-Cι2-alkynyl optionally substituted with halogen, -NH2, protected amino, - NH -C Cι2-alkyl, -NH -C2-Cι2-alkenyl, -NH -C2-Cι2-alkenyl, -NH -C3-Cι2-cycloalkyl, - NH -aryl, -NH -heteroaryl, -NH -heterocycloalkyl, -dialkylamino, -diarylamino, - diheteroarylamino, -0-CrCi2-alkyl, -0-C2-Cι2-alkenyl, -0-C2-Ci2-alkenyl, -O-C3-C12- cycloalkyl, -O-aryl, -0-heteroaryl, -O-heterocycloalkyl, -C(O)- Cι-Cι2-alkyl, -C(O)- C2- Cι2-alkenyl, -C(O)- C2-Cι2-aikenyl, -C(0)-C3-Cι2-cycloalkyl, -C(0)-aryl, -C(O)- heteroaryl, -C(0)-heterocycloalkyl, -CONH2, -CONH- C Cι2-alkyl, -CONH- C2-C12- alkenyl, -CONH- C2-Cι2-alkenyl, -CONH-C3-Cι2-cycloalkyl, -CONH-aryl, -CONH- heteroaryl, -CONH-heterocycloalkyl, -OC02- Cι-Cι2-alkyl, -OC02- C2-Cι2-alkenyl, - OCO2- C2-Cι2-alkenyl, -OC02-C3-Cι2-cycloalkyl, -OC02-aryl, -OC02-heteroaryl, - OC02-heterocycloalkyl, -OCONH2) -OCONH- C Cι2-alkyl, -OCONH- C2-Cι2-alkenyl, -OCONH- C2-Cι2-alkenyl, -OCONH- C3-Cι2-cycloalkyl, -OCONH- aryl, -OCONH- heteroaryl, -OCONH- heterocycloalkyl, -NHC(O)- C C12-alkyl, -NHC(0)-C2-Cι2- alkenyl, -NHC(0)-C2-Ci2-alkenyl, -NHC(0)-C3-Cι2-cycloalkyl, -NHC(0)-aryl, - NHC(0)-heteroaryl, -NHC(0)-heterocycloalkyl, -NHC02- C Ci2-alkyl, -NHC02- C2- Cι2-alkenyl, -NHC02- C2-Cι2-alkenyl, -NHC02- C3-Cι2-cycloalkyl, -NHCO2- aryl, - NHCO2- heteroaryl, -NHC02- heterocycloalkyl, -NHC(0)NH2, NHC(0)NH- C Cι2- alkyl, -NHC(0)NH-C2-Cι2-alkenyl, -NHC(0)NH-C2-Ci2-alkenyl, -NHC(0)NH-C3-Ci2- cycloalkyl, -NHC(0)NH-aryl, -NHC(0)NH-heteroaryl, -NHC(0)NH-heterocycloalkyl, NHC(S)NH2, NHC(S)NH- C Cι2-alkyl, -NHC(S)NH-C2-Cι2-alkenyl, -NHC(S)NH-C2- Cι2-alkenyl, -NHC(S)NH-C3-Cι2-cycloalkyl, -NHC(S)NH-aryl, -NHC(S)NH-heteroaryl, -NHC(S)NH-heterocycloalkyl, -NHC(NH)NH2, NHC(NH)NH- C Cι2-alkyl, - NHC(NH)NH-C2-Cι2-alkenyl, -NHC(NH)NH-C2-Cι2-alkenyl, -NHC(NH)NH-C3-Cι2- cycloalkyl, -NHC(NH)NH-aryl, -NHC(NH)NH-heteroaryl, -NHC(NH)NH- heterocycloalkyl, NHC(NH)-C Cι2-alkyl, -NHC(NH)-C2-Cι2-alkenyl, -NHC(NH)-C2- Cι2-alkenyl, -NHC(NH)-C3-Cι2-cycloalkyl, -NHC(NH)-aryl, -NHC(NH)-heteroaryl, - NHC(NH)-heterocycloalkyl, -C(NH)NH-Cι-Cι2-alkyl, -C(NH)NH-C2-Cι2-alkenyl, - C(NH)NH-C2-Cι2-alkenyl, -C(NH)NH-C3-Cι2-cycloalkyl, -C(NH)NH-aryl, -C(NH)NH- heteroaryl, -C(NH)NH-heterocycloalkyl, -S(0)-C Ci2-alkyl, - S(0)-C2-Cι2-alkenyl, - S(0)-C2-Cι2-alkenyl, - S(0)-C3-Ci2-cycloalkyl, - S(0)-aryl, - S(0)-heteroaryl, - S(O)- heterocycloalkyl -S02NH2, -S02NH- CrCι2-alkyl, -S02NH- C2-Cι2-alkenyl, -S02NH- C2-Cι2-alkenyl, -S02NH- C3-Cι2-cycloalkyl, -S02NH- aryl, -S02NH- heteroaryl, - S02NH- heterocycloalkyl, -NHS02-C Ci2-alkyl, -NHS02-C2-Ci2-alkenyl, - NHSO≥- C2-C12-alkenyl, -NHS02-C3-Cι2-cycloalkyl, -NHS02-aryl, -NHS02-heteroaryl, - NHS02-heterocycIoalkyl, -CH2NH2, -CH2S02CH3, -aryl, -arylalkyl, -heteroaryl, - heteroarylalkyl, -heterocycloalkyl, -C3-Cι2-cycloalkyl, -methoxymethoxy, - methoxyethoxy, -SH, -S-CrCi2-alkyl, -S-C2-Cι2-alkenyl, -S-C2-Cι2-alkenyl, -S-C3- Cι2-cycloalkyl, -S-aryl, -S-heteroaryl, -S-heterocycloalkyl, or methylthiomethyl. The terms "C2-Cι2 alkynyl" or "C2-C6 alkynyl," as used herein, denote a monovalent group derived from a hydrocarbon moiety containing from two to twelve or two to six carbon atoms having at least one carbon-carbon triple bond by the removal of a single hydrogen atom. Representative alkynyl groups include, but are not limited to, for example, ethynyl, 1-propynyl, 1-butynyl, and the like.
The term "substituted alkynyl," as used herein, refers to a "C2-Cι2 alkynyl" or "C2-C6 alkynyl" group as previously defined, substituted by independent replacement or one, two, or three of the hydrogen atoms thereon with substituents including, but not limited to, -F, -CI, -Br, -I, -OH, protected hydroxy, -N02, -CN, -C Cι2-alkyl optionally substituted with halogen, C2-Cι2-alkenyl optionally substituted with halogen, -C2-Cι2-alkynyl optionally substituted with halogen, -NH2, protected amino, - NH -C Cι2-alkyl, -NH -C2-Cι2-alkenyl, -NH -C2-Cι2-alkenyl, -NH -C3-Cι2-cycloalkyl, - NH -aryl, -NH -heteroaryl, -NH -heterocycloalkyl, -dialkylamino, -diarylamino, - diheteroarylamino, -0-CrC 2-alkyl, -0-C2-Ci2-alkenyl, -0-C2-Cι2-alkenyl, -0-C3-Cι2- cycloalkyl, -O-aryl, -0-heteroaryl, -O-heterocycloalkyl, -C(O)- CrCi2-alkyl, -C(O)- C2- Ci2-alkenyl, -C(O)- C2-Cι2-alkenyl, -C(0)-C3-C12-cycloa!kyl, -C(0)-aryl, -C(O)- heteroaryl, -C(0)-heterocycloalkyl, -CONH2, -CONH- C Cι2-alkyl, -CONH- C2-Cι2- alkenyl, -CONH- C2-Cι2-alkenyl, -CONH-C3-Cι2-cycloalkyl, -CONH-aryl, -CONH- heteroaryl, -CONH-heterocycloalkyl, -OC02- CrC12-alkyl, -OC02- C2-C12-alkenyl, - OC02- C2-Cι2-alkenyl, -OC02-C3-Cι2-cycloalkyl, -OC02-aryl, -OC02-heteroaryl, - OC02-heterocycloalkyl, -OCONH2, -OCONH- C Cι2-alkyl, -OCONH- C2-Cι2-alkenyl, -OCONH- C2-Cι2-alkenyl, -OCONH- C3-Cι2-cycloalkyl, -OCONH- aryl, -OCONH- heteroaryl, -OCONH- heterocycloalkyl, -NHC(O)- Cι-Cι2-alkyl, -NHC(0)-C2-Cι2- alkenyl, -NHC(0)-C2-Ci2-alkenyl, -NHC(0)-C3-Cι2-cycloalkyl, -NHC(0)-aryl, -
NHC(0)-heteroaryl, -NHC(0)-heterocycloalkyl, -NHC02- C Cι2-alkyl, -NHC02- C2- C12-alkenyl, -NHC02- C2-Cι2-alkenyl, -NHC02- C3-Cι2-cycloalkyl, -NHC02- aryl, - NHC02- heteroaryl, -NHC02- heterocycloalkyl, -NHC(0)NH2, NHC(0)NH- C Cι2- alkyl, -NHC(0)NH-C2-Cι2-alkenyl, -NHC(0)NH-C2-Ci2-alkenyl, -NHC(0)NH-C3-Ci2- cycloalkyl, -NHC(0)NH-aryl, -NHC(0)NH-heteroaryl, -NHC(0)NH-heterocycloalkyl, NHC(S)NH2, NHC(S)NH- Cι-Cι2-alkyl, -NHC(S)NH-C2-Cι2-alkenyl, -NHC(S)NH-C2- Ci2-alkenyl, -NHC(S)NH-C3-Cι2-cycloalkyl, -NHC(S)NH-aryl, -NHC(S)NH-heteroaryl, -NHC(S)NH-heterocycloalkyl, -NHC(NH)NH2, NHC(NH)NH- C Cι2-alkyl, - NHC(NH)NH-C2-Ci2-alkenyl, -NHC(NH)NH-C2-Cι2-alkenyl, -NHC(NH)NH-C3-Ci2- cycloalkyl, -NHC(NH)NH-aryl, -NHC(NH)NH-heteroaryl, -NHC(NH)NH- heterocycloalkyl, NHC(NH)-C Cι2-alkyl, -NHC(NH)-C2-Cι2-alkenyl, -NHC(NH)-C2- Ci2-alkenyl, -NHC(NH)-C3-Cι2-cycloalkyl, -NHC(NH)-aryl, -NHC(NH)-heteroaryl, - NHC(NH)-heterocycloalkyl, -C(NH)NH-C Cι2-alkyl, -C(NH)NH-C2-Cι2-alkenyl, - C(NH)NH-C2-Cι2-alkenyl, -C(NH)NH-C3-Cι2-cycloalkyl, -C(NH)NH-aryl, -C(NH)NH- heteroaryl, -C(NH)NH-heterocycloalkyl, -S(0)-Cι-Cι2-alkyl, - S(0)-C2-C12-alkenyl, - S(0)-C2-Cι2-alkenyl, - S(0)-C3-Ci2-cycloalkyl, - S(0)-aryl, - S(0)-heteroaryl, - S(O)- heterocycloalkyl -S02NH2, -S02NH- C Cι2-alkyl, -S02NH- C2-Cι2-alkenyl, -S02NH- C2-Cι2-alkenyl, -S02NH- C3-Cι2-cycloalkyl, -S02NH- aryl, -S02NH- heteroaryl, - S02NH- heterocycloalkyl, -NHS02-C Ci2-alkyl, -NHS02-C2-Cι2-alkenyl, - NHS02- C2-Cι2-alkenyl, -NHS02-C3-Ci2-cycloalkyl, -NHS02-aryl, -NHS02-heteroaryl, - NHS02-heterocycloalkyl, -CH2NH2, -CH2S02CH3, -aryl, -arylalkyl, -heteroaryl, - heteroarylalkyl, -heterocycloalkyl, -C3-Cι2-cycloalkyl, -methoxymethoxy, - methoxyethoxy, -SH, -S-CrCι2-alkyl, -S-C2-Cι2-alkenyl, -S-C2-Cι2-alkenyl, -S-C3- Ci2-cycloalkyl, -S-aryl, -S-heteroaryl, -S-heterocycIoalkyl, or methylthiomethyl. The term "Cι-C6 alkoxy," as used herein, refers to a d-Cβ alkyl group, as previously defined, attached to the parent molecular moiety through an oxygen atom. Examples of CrC6-alkoxy include, but are not limited to, methoxy, ethoxy, propoxy, isopropoxy, n-butoxy, førf-butoxy, neopentoxy and n-hexoxy.
The terms "halo" and "halogen," as used herein, refer to an atom selected from fluorine, chlorine, bromine and iodine. The term "aryl," as used herein, refers to a mono- or bicyclic carbocyclic ring system having one or two aromatic rings including, but not limited to, phenyl, naphthyl, tetrahydronaphthyl, indanyl, idenyl and the like.
The term "substituted aryl," as used herein, refers to an aryl group, as previously defined, substituted by independent replacement or one, two, or three of the hydrogen atoms thereon with substituents including, but not limited to, -F, -CI, - Br, -I, -OH, protected hydroxy, -N02, -CN, -CrCi2-alkyl optionally substituted with halogen, C2-Cι -alkenyl optionally substituted with halogen, -C2-Cι2-alkynyl optionally substituted with halogen, -NH2, protected amino, -NH -CrCi2-alkyl, -NH - C2-Cι2-alkenyl, -NH -C2-C12-alkenyl, -NH -C3-Cι2-cycloalkyl, -NH -aryl, -NH - heteroaryl, -NH -heterocycloalkyl, -dialkylamino, -diarylamino, -diheteroarylamino, - 0-Cι-Cι2-alkyl, -0-C2-Cι2-alkenyl, -0-C2-Ci2-alkenyl, -0-C3-Ci2-cycloalkyl, -O-aryl, - 0-heteroaryl, -O-heterocycloalkyl, -C(O)- C Cι2-alkyl, -C(O)- C2-Cι2-alkenyl, -C(O)- C2-Cι2-alkenyl, -C(0)-C3-Ci2-cycloalkyl, -C(0)-aryl, -C(0)-heteroaryl, -C(O)- heterocycloalkyl, -CONH2, -CONH- C Cι2-alkyl, -CONH- C2-Cι2-alkenyl, -CONH- C2-Cι2-alkenyl, -CONH-C3-Cι2-cycloalkyl, -CONH-aryl, -CONH-heteroaryl, -CONH- heterocycloalkyl, -OC02- C Cι2-alkyl, -OC02- C2-Cι2-alkenyl, -OC02- C2-Cι2- alkenyl, -OC02-C3-Cι2-cycloalkyl, -OC02-aryl, -OC02-heteroaryl, -OC02- heterocycloalkyl, -OCONH2, -OCONH- Cι-Ci2-alkyl, -OCONH- C2-Cι2-alkenyl, - OCONH- C2-Ci2-alkenyl, -OCONH- C3-Cι2-cycloalkyl, -OCONH- aryl, -OCONH- heteroaryl, -OCONH- heterocycloalkyl, -NHC(O)- d-C^-alkyl, -NHC(0)-C2-Cι2- alkenyl, -NHC(0)-C2-Ci2-alkenyl, -NHC(0)-C3-Cι2-cycloalkyl, -NHC(0)-aryl, - NHC(0)-heteroaryl, -NHC(0)-heterocycloalkyl, -NHC02- C Cι2-alkyl, -NHC02- C2- Cι2-alkenyl, -NHC02- C2-Cι2-alkenyl, -NHC02- C3-Cι2-cycloalkyl, -NHC02- aryl, - NHC02- heteroaryl, -NHC02- heterocycloalkyl, -NHC(0)NH2, NHC(0)NH- C Cι2- alkyl, -NHC(0)NH-C2-Cι2-alkenyl, -NHC(0)NH-C2-Cι2-alkenyl, -NHC(0)NH-C3-C12- cycloalkyl, -NHC(0)NH-aryl, -NHC(0)NH-heteroaryl, -NHC(0)NH-heterocycloalkyl, NHC(S)NH2, NHC(S)NH- C Cι2-alkyl, -NHC(S)NH-C2-Cι2-alkenyl, -NHC(S)NH-C2- Cι2-alkenyl, -NHC(S)NH-C3-Cι2-cycloalkyl, -NHC(S)NH-aryl, -NHC(S)NH-heteroaryl, -NHC(S)NH-heterocycloalkyl, -NHC(NH)NH2, NHC(NH)NH- Cι-Cι2-alkyl, - NHC(NH)NH-C2-C12-alkenyl, -NHC(NH)NH-C2-Cι2-alkenyl, -NHC(NH)NH-C3-Ci2- cycloalkyl, -NHC(NH)NH-aryl, -NHC(NH)NH-heteroaryl, -NHC(NH)NH- heterocycloalkyl, NHC(NH)-C Cι2-alkyl, -NHC(NH)-C2-Cι2-alkenyl, -NHC(NH)-C2- Ci2-alkenyl, -NHC(NH)-C3-Cι2-cycloalkyl, -NHC(NH)-aryl, -NHC(NH)-heteroaryl, - NHC(NH)-heterocycloalkyl, -C(NH)NH-C Cι2-alkyl, -C(NH)NH-C2-Cι2-alkenyl, - C(NH)NH-C2-Cι2-alkenyl, -C(NH)NH-C3-Cι2-cycloalkyl, -C(NH)NH-aryl, -C(NH)NH- heteroaryl, -C(NH)NH-heterocycloalkyl, -S(0)-C Ci2-alkyl, - S(0)-C2-Cι2-alkenyl, - S(0)-C2-Ci2-alkenyl, - S(0)-C3-Ci2-cyclqalkyl, - S(0)-aryl, - S(0)-heteroaryl, - S(O)- heterocycloalkyl -S02NH2, -S02NH- Cι-Cι2-alkyl, -S02NH- C2-Cι2-alkenyl, -S02NH- C2-Ci2-alkenyl, -S02NH- C3-Cι2-cycloalkyl, -S02NH- aryl, -S02NH- heteroaryl, - S02NH- heterocycloalkyl, -NHS02-d-Ci2-alkyl, -NHS02-C2-Ci2-alkenyl, - NHS02- C2-Cι2-alkenyl, -NHS02-C3-Cι2-cycloalkyl, -NHS02-aryl, -NHS02-heteroaryl, - NHS0 -heterocycloalkyl, -CH2NH2, -CH2S02CH3, -aryl, -arylalkyl, -heteroaryl, - heteroarylalkyl, -heterocycloalkyl, -C3-C 2-cycloalkyl, -methoxymethoxy, - methoxyethoxy, -SH, -S-CrCi2-alkyl, -S-C2-Ci2-alkenyl, -S-C2-Ci2-alkenyl, -S-C3- Cι2-cycloalkyl, -S-aryl, -S-hβteroaryl, -S-heterocycloalkyl, or methylthiomethyl.
The term "arylalkyl," as used herein, refers to a C C3 alkyl or Ci-Ce alkyl residue attached to an aryl ring. Examples include, but are not limited to, benzyl, phenethyl and the like.
The term "substituted arylalkyl," as used herein, refers to an arylalkyl group, as previously defined, substituted by independent replacement or one, two, or three of the hydrogen atoms thereon with substituents including, but not limited to, but not limited to, -F, -CI, -Br, -I, -OH, protected hydroxy, -N02, -CN, -CrCι2-alkyl optionally substituted with halogen, C2-Ci2-alkenyl optionally substituted with halogen, -C2-C 2- alkynyl optionally substituted with halogen, -NH2, protected amino, -NH -CrCi2-alkyl, -NH -C2-Cι2-alkenyl, -NH -C2-Cι2-alkenyl, -NH -C3-Cι2-cycloalkyl, -NH -aryl, -NH - heteroaryl, -NH -heterocycloalkyl, -dialkylamino, -diarylamino, -diheteroarylamino, - 0-CrCi2-alkyl, -0-C2-Ci2-alkenyl, -0-C2-Ci2-alkenyl, -0-C3-Ci2-cycloalkyl, -O-aryl, - O-heteroaryl, -O-heterocycloalkyl, -C(O)- C Cι2-alkyl, -C(O)- C2-C12-alkenyl, -C(O)- C2-Cι2-alkenyl, -C(0)-C3-Ci2-cycloalkyl, -C(0)-aryl, -C(0)-heteroaryl, -C(O)- heterocycloalkyl, -CONH2, -CONH- C Cι2-alkyl, -CONH- C2-Cι2-alkenyl, -CONH- C2-Cι2-alkenyl, -CONH-C3-Cι2-cycloalkyl, -CONH-aryl, -CONH -heteroaryl, -CONH- heterocycloalkyl, -OC02- CrCi2-alkyl, -OC02- C2-Cι2-alkenyl, -OC02- C2-Cι2- alkenyl, -OC02-C3-Cι2-cycloalkyl, -OC02-aryl, -OC02-heteroaryl, -OC02- heterocycloaikyl, -OCONH2, -OCONH- C Cι2-alkyl, -OCONH- C2-Cι2-alkenyl, - OCONH- C2-Cι2-alkenyl, -OCONH- C3-Cι2-cycloalkyl, -OCONH- aryl, -OCONH- heteroaryl, -OCONH- heterocycloalkyl, -NHC(O)- Cι-Cι2-alkyl, -NHC(0)-C2-Cι2- alkenyl, -NHC(0)-C2-Ci2-alkenyl, -NHC(0)-C3-Cι2-cycloalkyl, -NHC(0)-aryl, - NHC(0)-heteroaryl, -NHC(0)-heterocycloalkyl, -NHC02- Cι-Cι2-alkyl, -NHC02- C2- Cι2-alkenyl, -NHC02- C2-Cι2-alkenyl, -NHC02- C3-Cι2-cycloalkyl, -NHC02- aryl, - NHC02- heteroaryl, -NHC02- heterocycloalkyl, -NHC(0)NH2, NHC(0)NH- C Cι2- alkyl, -NHC(0)NH-C2-Cι2-alkenyl, -NHC(0)NH-C2-Ci2-alkenyl, -NHC(0)NH-C3-C 2- cycloalkyl, -NHC(0)NH-aryl, -NHC(0)NH-heteroaryl, -NHC(0)NH-heterocycloalkyl, NHC(S)NH2, NHC(S)NH- C Cι2-alkyl, -NHC(S)NH-C2-C12-alkenyl, -NHC(S)NH-C2-, Ci2-alkenyl, -NHC(S)NH-C3-Cι2-cycloalkyl, -NHC(S)NH-aryl, -NHC(S)NH-heteroaryl, -NHC(S)NH-heterocycloalkyl, -NHC(NH)NH2, NHC(NH)NH- C C12-alkyl, -
NHC(NH)NH-C2-Cι2-alkenyl, -NHC(NH)NH-C2-Ci2-alkenyl, -NHC(NH)NH-C3-Ci2- cycloalkyl, -NHC(NH)NH-aryl, -NHC(NH)NH-heteroaryl, -NHC(NH)NH- heterocycloalkyl, NHC(NH)-C Cι2-alkyl, -NHC(NH)-C2-Cι2-alkenyl, -NHC(NH)-C2- Cι2-alkenyl, -NHC(NH)-C3-Cι2-cycloalkyl, -NHC(NH)-aryl, -NHC(NH)-heteroaryl, - NHC(NH)-heterocycloalkyl, -C(NH)NH-C Cι2-alkyl, -C(NH)NH-C2-Cι2-alkenyl, - C(NH)NH-C2-Ci2-alkenyl, -C(NH)NH-C3-Cι2-cycloalkyl, -C(NH)NH-aryl, -C(NH)NH- heteroaryl, -C(NH)NH-heterocycloalkyl, -S(0)-C Ci2-alkyl, - S(0)-C2-Cι2-alkenyl, - S(0)-C2-Cι2-alkenyl, - S(0)-C3-Ci2-cycloalkyl, - S(0)-aryl, - S(0)-heteroaryl, - S(O)- heterocycloalkyl -S02NH2, -S02NH- C Cι2-alkyl, -S02NH- C2-Cι2-alkenyl, -S02NH- C2-Cι2-alkenyl, -S02NH- C3-C 2-cycloalkyl, -S02NH- aryl, -S02NH- heteroaryl, - S02NH- heterocycloalkyl, -NHS02-C Cι2-alkyl, -NHS02-C2-Ci2-alkenyl, - NHS02- C2-Cι2-alkenyl, -NHS02-C3-Cι2-cycloalkyl, -NHS02-aryl, -NHS02-heteroaryl, - NHS02-heterocycloalkyl, -CH2NH2, -CH2S02CH3, -aryl, -arylalkyl, -heteroaryl, - heteroarylalkyl, -heterocycloalkyl, -C3-Cι2-cycloalkyl, -methoxymethoxy, - methoxyethoxy, -SH, -S-C Cι2-alkyl, -S-C2-Cι2-alkenyl, -S-C2-Cι2-alkenyl, -S-C3- Cι2-cycloalkyl, -S-aryl, -S-heteroaryl, -S-heterocycloalkyl, or methylthiomethyl.
The term "heteroaryl," as used herein, refers to a mono-, bi-, ortri-cyclic aromatic radical or ring having from five to ten ring atoms of which one ring atom is selected from S, O and N; zero, one or two ring atoms are additional heteroatoms independently selected from S, O and N; and the remaining ring atoms are carbon, wherein any N or S contained within the ring may be optionally oxidized. Heteroaryl includes, but is not limited to, pyridinyl, pyrazinyl, pyrimidinyl, pyrrolyl, pyrazolyl, imidazolyl, thiazolyl, oxazolyl, isooxazolyl, thiadiazolyl, oxadiazolyl, thiophenyl, furanyl, quinolinyl, isoquinolinyl, benzimidazolyl, benzooxazolyl, quinoxalinyl, and the like.
The term "substituted heteroaryl," as used herein, refers to a heteroaryl group as previously defined, substituted by independent replacement or one, two, or three of the hydrogen atoms thereon with substituents including, but not limited to, -F, -CI, -Br, -I, -OH, protected hydroxy, -N02, -CN, -CrCι2-alkyl optionally substituted with halogen, C2-Cι2-alkenyl optionally substituted with halogen, -C -Cι2-alkynyl optionally substituted with halogen, -NH2, protected amino, -NH -CrCi2-alkyl, -NH - C2-Cι2-alkenyl, -NH -C2-Cι2-alkenyl, -NH -C3-Cι2-cycloalkyl, -NH -aryl, -NH - heteroaryl, -NH -heterocycloalkyl, -dialkylamino, -diarylamino, -diheteroarylamino, - 0-C Ci2-alkyl, -0-C2-Ci2-alkenyl, -0-C2-Ci2-alkenyl, -0-C3-Ci2-cycloalkyl, -O-aryl, - O-heteroaryl, -O-heterocycloalkyl, -C(O)- C Cι2-alkyl, -C(O)- C2-Cι2-alkenyl, -C(O)- C2-Cι2-alkenyl, -C(0)-C3-Ci2-cycloalkyl, -C(0)-aryl, -C(0)-heteroaryl, -C(O)- heterocycloalkyl, -CONH2, -CONH- C C 2-alkyl, -CONH- C2-Cι2-alkenyl, -CONH- C2-Cι2-alkenyl, -CONH-C3-Cι2-cycloalkyl, -CONH-aryl, -CONH-heteroaryl, -CONH- heterocycloalkyl, -OC02- C Cι2-alkyl, -OC02- C2-Cι2-alkenyl, -OC02- C2-Cι2- alkenyl, -OC02-C3-Cι2-cycloalkyl, -OC02-aryl, -OC02-heteroaryl, -OC02- heterocycloalkyl, -OCONH2, -OCONH- C Cι2-alkyl, -OCONH- C2-Cι2-alkenyl, - OCONH- C2-C 2-alkenyl, -OCONH- C3-Cι2-cycloalkyl, -OCONH- aryl, -OCONH- heteroaryl, -OCONH- heterocycloalkyl, -NHC(O)- CrCι2-alkyl, -NHC(0)-C2-Cι2- alkenyl, -NHC(0)-C2-Ci2-alkenyl, -NHC(0)-C3-Cι2-cycloalkyl, -NHC(0)-aryl, - NHC(0)-heteroaryl, -NHC(0)-heterocycloalkyl, -NHC02- C Cι2-alkyl, -NHC02- C2- Cι2-alkenyl, -NHC02- C2-Cι2-alkenyl, -NHC02- C3-Cι2-cycloalkyl, -NHC02- aryl, - NHC02- heteroaryl, -NHC02- heterocycloalkyl, -NHC(0)NH2, NHC(0)NH- C Cι2- alkyl, -NHC(0)NH-C2-Cι2-alkenyl, -NHC(0)NH-C2-Ci2-alkenyl, -NHC(0)NH-C3-Ci2- cycloalkyl, -NHC(0)NH-aryl, -NHC(0)NH-heteroaryl, -NHC(0)NH-heterocycloalkyl, NHC(S)NH2, NHC(S)NH- C Cι2-alkyl, -NHC(S)NH-C2-Cι2-alkenyl, -NHC(S)NH-C2- Cι2-alkenyl, -NHC(S)NH-C3-Cι2-cycloalkyl, -NHC(S)NH-aryl, -NHC(S)NH-heteroaryl, -NHC(S)NH-heterocycloaIkyl, -NHC(NH)NH2, NHC(NH)NH- C Cι2-alkyl, - NHC(NH)NH-C2-Ci2-alkenyl, -NHC(NH)NH-C2-Cι2-alkenyl, -NHC(NH)NH-C3-Ci2- cycloalkyl, -NHC(NH)NH-aryl, -NHC(NH)NH-heteroaryl, -NHC(NH)NH- heterocycloalkyl, NHC(NH)-d-Cι2-alkyl, -NHC(NH)-C2-Cι2-alkenyl, -NHC(NH)-C2- Cι2-alkenyl, -NHC(NH)-C3-Cι2-cycloaIkyl, -NHC(NH)-aryl, -NHC(NH)-heteroaryl, - NHC(NH)-heterocycloalkyl, -C(NH)NH-C Cι2-alkyl, -C(NH)NH-C2-Cι2-alkenyl, - C(NH)NH-C2-Cι2-alkenyl, -C(NH)NH-C3-Cι2-cycloalkyl, -C(NH)NH-aryl, -C(NH)NH- heteroaryl, -C(NH)NH-heterocycloalkyl, -S(0)-Cι-Cι2-alkyl, - S(0)-C2-Cι2-alkenyl, - S(0)-C -Ci2-alkenyl, - S(0)-C3-Ci2-cycloalkyl, - S(0)-aryl, - S(0)-heteroaryl, - S(O)- heterocycloalkyl -S02NH2, -S02NH- C Cι2-alkyl, -S02NH- C2-Cι2-alkenyl, -S02NH- C2-Cι2-alkenyl, -S02NH- C3-Cι2-cycloalkyl, -S02NH- aryl, -S02NH- heteroaryl, - S02NH- heterocycloalkyl, -NHS02-Cι-Cι2-alkyl, -NHS02-C2-Cι2-alkenyl, - NHS02- C2-Cι2-alkenyl, -NHS0 -C3-Cι2-cycloalkyl, -NHS02-aryl, -NHS02-heteroaryl, - NHS02-heterocycloalkyl; -CH2NH2) -CH2S02CH3, -aryl, -arylalkyl, -heteroaryl, - heteroarylalkyl, -heterocycloalkyl, -C3-Cι2-cycloalkyl, -methoxymethoxy, - methoxyethoxy, -SH, -S-Cι-Cι2-alkyl, -S-C2-C 2-alkenyl, -S-C2-Ci2-alkenyl, -S-C3- Cι2-cycloalkyl, -S-aryl, -S-heteroaryl, -S-heterocycloalkyl, or methylthiomethyl.
The term "C-3-Cι2-cycloalkyl," as used herein, denotes a monocyclic or bicyclic saturated carbocyclic ring compound by the removal of a single hydrogen atom.
Examples include, but not limited to, cyclopropyl, cyclobutyl, cyclopentyl, cyclohexyl, bicyclo [2.2.1] heptyl, and bicyclo [2.2.2] octyl.
The term "substituted C3-Cι2-cycloalkyl," as used herein, refers to a C3-Cι2- cycloalkyl group as previously defined, substituted by independent replacement or one, two, or three of the hydrogen atoms thereon with substituents including, but not limited to, -F, -CI, -Br, -I, -OH, protected hydroxy, -N02, -CN, -C Cι2-alkyl optionally substituted with halogen, C2-C 2-alkenyl optionally substituted with halogen, -C2-Cι2- alkynyl optionally substituted with halogen, -NH2, protected amino, -NH -CrCi2-alkyl, -NH -C2-C 2-alkenyl, -NH -C2-Cι2-alkenyl, -NH -C3-Cι2-cycloalkyl, -NH -aryl, -NH - heteroaryl, -NH -heterocycloalkyl, -dialkylamino, -diarylamino, -diheteroarylamino, - 0-C C12-alkyl, -0-C2-C12-alkenyl, -0-C2-Ci2-alkenyl, -0-C3-Ci2-cycloalkyl, -O-aryl, - 0-heteroaryl, -O-heterocycloalkyl, -C(0)- Cι-Cι2-a!kyl, -C(0)- C -Cι2-alkenyl, -C(O)- C2-Cι2-alkenyl, -C(0)-C3-Ci2-cycloalkyl, -C(0)-aryl, -C(0)-heteroaryl, -C(O)- heterocycloalkyl, -CONH2, -CONH- C Ci2-alkyl, -CONH- C2-Cι -alkenyl, -CONH- C2-C 2-alkenyl, -CONH-C3-Cι2-cycloalkyl, -CONH-aryl, -CONH-heteroaryl, -CONH- heterocycloalkyl, -OC02- CrCi2-alkyl, -OC02- C2-Cι2-alkenyl, -OC02- C2-Cι2- alkenyl, -OC02-C3-Ci2-cycloalkyl, -OC02-aryl, -OC02-heteroaryl, -OC02- heterocycloalkyl, -OCONH2, -OCONH- C Cι2-alkyl, -OCONH- C2-Cι2-alkenyl, - OCONH- C2-Cι2-aikenyl, -OCONH- C3-Cι2-cycloalkyl, -OCONH- aryl, -OCONH- heteroaryl, -OCONH- heterocycloalkyl, -NHC(O)- C Cι2-alkyl, -NHC(0)-C2-Cι2- alkenyi, -NHC(0)-C2-Ci2-alkenyl, -NHC(0)-C3-C 2-cycloalkyl, -NHC(0)-aryl, - NHC(0)-heteroaryl, -NHC(0)-heterocycloalkyl, -NHC02- C Ci2-alkyl, -NHC02- C2- Cι2-alkenyl, -NHC02- C2-Cι2-alkenyl, -NHC02- C3-Cι2-cycloalkyl, -NHC02- aryl, - NHC02- heteroaryl, -NHC02- heterocycloalkyl, -NHC(0)NH2, NHC(0)NH- C Cι2- alkyl, -NHC(0)NH-C2-Cι2-alkenyl, -NHC(0)NH-C2-Ci2-alkenyl, -NHC(0)NH-C3-Ci2- cycloalkyl, -NHC(0)NH-aryl, -NHC(0)NH-heteroaryl, -NHC(0)NH-heterocycloalkyl, NHC(S)NH2, NHC(S)NH- C Cι2-alkyl, -NHC(S)NH-C2-Cι2-alkenyl, -NHC(S)NH-C2- Cι2-alkenyl, -NHC(S)NH-C3-Cι2-cycloalkyl, -NHC(S)NH-aryl, -NHC(S)NH-heteroaryl, -NHC(S)NH-heterocycloalkyl, -NHC(NH)NH2, NHC(NH)NH- C Cι2-alkyl, - NHC(NH)NH-C2-Cι2-alkenyl, -NHC(NH)NH-C2-Ci2-alkenyl, -NHC(NH)NH-C3-C12- cycloalkyl, -NHC(NH)NH-aryl, -NHC(NH)NH-heteroaryl, -NHC(NH)NH- heterocycloalkyl, NHC(NH)-C Cι2-alkyl, -NHC(NH)-C2-Cι2-alkenyl, -NHC(NH)-C2- Ci2-alkenyl, -NHC(NH)-C3-Cι2-cycloalkyl, -NHC(NH)-aryl, -NHC(NH)-heteroaryl, - NHC(NH)-heterocycloalkyl, -C(NH)NH-C Cι2-alkyl, -C(NH)NH-C2-Cι2-alkenyl, - C(NH)NH-C2-Cι2-alkenyl, -C(NH)NH-C3-Cι2-cycloalkyl, -C(NH)NH-aryl, -C(NH)NH- heteroaryl, -C(NH)NH-heterocycloalkyl, -S(0)-C Ci2-alkyl, - S(0)-C2-Cι2-alkenyl, - S(0)-C2-C 2-alkenyl, - S(0)-C3-Ci2-cycloalkyl, - S(0)-aryl, - S(0)-heteroaryl, - S(O)- heterocycloalkyl -S02NH2, -S02NH- C Cι2-alkyl, -S02NH- C2-Cι2-alkenyl, -S02NH- C2-C12-alkenyl, -S02NH- C3-Cι2-cycloalkyl, -S02NH- aryl, -S02NH- heteroaryl, - SO2NH- heterocycloalkyl, -NHS02-Cι-Cι2-alkyl, -NHS02-C2-Cι2-alkenyl, - NHS02- C2-C 2-alkenyl, -NHS02-C3-Cι2-cycloalkyl, -NHS02-aryl, -NHS02-heteroaryl, - NHS02-heterocycloalkyl, -CH2NH2, -CH2S02CH3, -aryl, -arylalkyl, -heteroaryl, - heteroarylalkyl, -heterocycloalkyl, -C3-Cι2-cycloalkyl, -methoxymethoxy, - methoxyethoxy, -SH, -S-C Cι2-alkyl, -S-C2-Cι2-alkenyl, -S-C2-Cι2-alkenyl, -S-C3- Cι2-cycloalkyl, -S-aryl, -S-heteroaryl, -S-heterocycloalkyl, or methylthiomethyl. The term "heterocycloalkyl," as used herein, refers to a non-aromatic 5-, 6- or
7-membered ring or a bi- or tri-cyclic group fused system, where (i) each ring contains between one and three heteroatoms independently selected from oxygen, sulfur and nitrogen, (ii) each 5-membered ring has 0 to 1 double bonds and each 6- membered ring has 0 to 2 double bonds, (iii) the nitrogen and sulfur heteroatoms may optionally be oxidized, (iv) the nitrogen heteroatom may optionally be quaternized, and (v) any of the above rings may be fused to a benzene ring. Representative heterocycloalkyl groups include, but are not limited to, [1 ,3]dioxolane, pyrrolidinyl, pyrazolinyl, pyrazolidinyl, imidazolinyl, imidazolidinyl, piperidinyl, piperazinyl, oxazolidinyl, isoxazolidinyl, morpholinyl, thiazolidinyl, isothiazolidinyl, and tetrahydrofuryl.
The term "substituted heterocycloalkyl," as used herein, refers to a heterocycloalkyl group, as previously defined, substituted by independent replacement or one, two, or three of the hydrogen atoms thereon with substituents including, but not limited to, -F, -CI, -Br, -I, -OH, protected hydroxy, -N02, -CN, -d- Ci2-alkyl optionally substituted with halogen, C2-Cι2-alkenyl optionally substituted with halogen, -C2-Cι2-alkynyl optionally substituted with halogen, -NH2, protected amino, -NH -C C 2-alkyl, -NH -C2-Cι2-alkenyl, -NH -C2-Cι2-alkenyl, -NH -C3-Cι2- cycloalkyl, -NH -aryl, -NH -heteroaryl, -NH -heterocycloalkyl, -dialkylamino, - diarylamino, -diheteroarylamino, -0-CrCi2-alkyl, -0-C2-Cι2-alkenyl, -0-C2-Cι2- alkenyl, -0-C3-Ci2-cycloalkyl, -O-aryl, -O-heteroaryl, -O-heterocycloalkyl, -C(O)- Cr C12-alkyl, -C(O)- C2-Cι2-alkenyl, -C(O)- C2-Cι2-alkenyl, -C(0)-C3-Ci2-cycloalkyl, - C(0)-aryl, -C(0)-heteroaryl, -C(0)-heterocycloalkyl, -CONH2, -CONH- C C 2-alkyl, - CONH- C2-C 2-alkenyl, -CONH- C2-Cι2-alkenyl, -CONH-C3-Cι2-cycloalkyl, -CONH- aryl, -CONH-heteroaryl, -CONH-heterocycloalkyl, -OC02- C Ci2-alkyl, -OC02- C2- C 2-alkenyl, -OC02- C2-Cι2-alkenyl, -OC02-C3-Cι2-cycloalkyl, -OC02-aryl, -OC02- heteroaryl, -OC02-heterocycloalkyl, -OCONH2, -OCONH- C Cι2-alkyl, -OCONH- C2- Cι2-alkenyl, -OCONH- C2-C12-alkenyl, -OCONH- C3-Cι2-cycloalkyl, -OCONH- aryl, - OCONH- heteroaryl, -OCONH- heterocycloalkyl, -NHC(O)- C Cι2-alkyl, -NHC(O)- C2-Cι2-alkenyl, -NHC(0)-C2-Ci2-alkenyl, -NHC(0)-C3-Cι2-cycloalkyl, -NHC(0)-aryl, - NHC(0)-heteroaryl, -NHC(0)-heterocycloalkyl, -NHC02- C Cι2-alkyl, -NHC02- C2- C 2-alkenyl, -NHC02- C2-Cι2-alkenyl, -NHC02- C3-C12-cycloalkyl, -NHC02- aryl, - NHC02- heteroaryl, -NHC02- heterocycloalkyl, -NHC(0)NH2, NHC(0)NH- C C12- alkyl, -NHC(0)NH-C2-Cι2-alkenyl, -NHC(0)NH-C2-Cι2-alkenyl, -NHC(0)NH-C3-C12- cycloalkyl, -NHC(0)NH-aryl, -NHC(0)NH-heteroaryl, -NHC(0)NH-heterocycloalkyl, NHC(S)NH2, NHC(S)NH- C Cι2-alkyl, -NHC(S)NH-C2-Cι2-alkenyl, -NHC(S)NH-C2- Ci2-alkenyl, -NHC(S)NH-C3-Cι2-cycloalkyl, -NHC(S)NH-aryl, -NHC(S)NH-heteroaryl, -NHC(S)NH-heterocycloalkyl, -NHC(NH)NH2, NHC(NH)NH- CrCι2-alkyl, - NHC(NH)NH-C2-Ci2-alkenyl, -NHC(NH)NH-C2-Cι2-alkenyl, -NHC(NH)NH-C3-Cι2- cycloalkyl, -NHC(NH)NH-aryl, -NHC(NH)NH-heteroaryl, -NHC(NH)NH- heterocycloalkyl, NHC(NH)-Cι-Cι2-alkyl, -NHC(NH)-C2-Cι2-alkenyl, -NHC(NH)-C2- Cι2-alkenyl, -NHC(NH)-C3-Cι2-cycloalkyl, -NHC(NH)-aryl, -NHC(NH)-heteroaryl, - NHC(NH)-heterocycloalkyl, -C(NH)NH-C Cι2-alkyl, -C(NH)NH-C2-Cι2-alkenyl, - C(NH)NH-C2-Ci2-alkenyl, -C(NH)NH-C3-Cι2-cycloalkyl, -C(NH)NH-aryl, -C(NH)NH- heteroaryl, -C(NH)NH-heterocycloalkyl, -S(0)-C Ci2-alkyl, - S(0)-C2-C 2-alkenyl, - S(0)-C2-Cι2-alkenyl, - S(0)-C3-Ci2-cycloalkyl, - S(0)-aryl, - S(0)-heteroaryl, - S(O)- heterocycloalkyl -S02NH2, -S02NH- C Cι2-alkyl, -S02NH- C2-C 2-alkenyl, -S02NH- C2-Cι2-alkenyl, -S02NH- C3-Cι -cycloalkyl, -S02NH- aryl, -S02NH- heteroaryl, - S02NH- heterocycloalkyl, -NHS02-C Ci -alkyl, -NHS02-C2-Cι2-alkenyl, - NHS02- C2-Ci2-alkenyl, -NHS02-C3-Cι2-cycloalkyl, -NHS02-aryl, -NHS02-heteroaryl, - NHS0 -heterocycloalkyl, -CH2NH , -CH2SO2CH3, -aryl, -arylalkyl, -heteroaryl, - heteroarylalkyl, -heterocycloalkyl, -C3-Ci2-cycloalkyl, -methoxymethoxy, - methoxyethoxy, -SH, -S-Cι-Cι2-alkyl, -S-C2-C12-alkenyl, -S-C2-Cι2-alkenyl, -S-C3- Cι2-cycloalkyl, -S-aryl, -S-heteroaryl, -S-heterocycloalkyl, or methylthiomethyl.
The term "heteroarylalkyl," as used herein, refers to a Cι-C3 alkyl or CrC6 alkyl residue residue attached to a heteroaryl ring. Examples include, but are not limited to, pyridinylmethyl, pyrimidinylethyl and the like.
The term "substituted heteroarylalkyl," as used herein, refers to a heteroarylalkyl group, as previously defined, substituted by independent replacement or one, two, or three of the hydrogen atoms thereon with substituents including, but not limited to, -F, -CI, -Br, -I, -OH, protected hydroxy, -N02, -CN, -Cι-Cι2-alkyl optionally substituted with halogen, C -Cι2-alkenyl optionally substituted with halogen, -C2-Cι2-alkynyl optionally substituted with halogen, -NH2, protected amino, NH -C Ci2-alkyl, -NH -C2-Cι2-alkenyl, -NH -C2-Cι2-alkenyl, -NH -C3-Cι2-cycloalkyl, - NH -aryl, -NH -heteroaryl, -NH -heterocycloalkyl, -dialkylamino, -diarylamino, - diheteroarylamino, -0-Cι-Cι2-alkyl, -0-C2-Ci2-alkenyl, -0-C2-Cι2-alkenyl, -0-C3-Cι - cycloalkyl, -O-aryl, -0-heteroaryl, -O-heterocycloalkyl, -C(0)~ CrCι2-alkyl, -C(O)- C2- Cι2-alkenyl, -C(O)- C2-Cι2-alkenyl, -C(0)-C3-Cι2-cycloalkyl, -C(0)-aryl, -C(O)- heteroaryl, -C(0)-heterocycloalkyl, -CONH2, -CONH- C Cι2-alkyl, -CONH- C2-C12- alkenyl, -CONH- C2-Cι2-alkenyl, -CONH-C3-Cι2-cycloalkyl, -CONH-aryl, -CONH- heteroaryl, -CONH-heterocycloalkyl, -OC02- Cι-Cι2-alkyl, -OC02- C2-Cι2-alkenyl, - OC02- C2-Cι2-alkenyl, -OC02-C3-Cι2-cycloalkyl, -OC02-aryl, -OC02-heteroaryl, - OC02-heterocycloalkyl, -OCONH2, -OCONH- d-C^-alkyl, -OCONH- C2-C 2-alkenyl, -OCONH- C2-Cι2-alkenyl, -OCONH- C3-Cι2-cycloalkyl, -OCONH- aryl, -OCONH- heteroaryl, -OCONH- heterocycloalkyl, -NHC(O)- Cι-Cι2-alkyl, -NHC(0)-C2-Cι2- alkenyl, -NHC(0)-C2-Ci2-alkenyl, -NHC(0)-C3-Cι2-cycloalkyl, -NHC(0)-aryl, -
NHC(0)-heteroaryl, -NHC(0)-heterocycloalkyl, -NHC02- C Ci2-alkyl, -NHC02- C2- C 2-alkenyl, -NHC02- C2-Cι2-alkenyl, -NHC02- C3-Cι2-cycloalkyl, -NHC0 - aryl, - NHC02- heteroaryl, -NHC02- heterocycloalkyl, -NHC(0)NH2, NHC(0)NH- Cι-C12- alkyl, -NHC(0)NH-C2-Cι2-alkenyl, -NHC(0)NH-C2-Ci2-alkenyl, -NHC(0)NH-C3-Ci2- cycloalkyl, -NHC(0)NH-aryl, -NHC(0)NH-heteroaryl, -NHC(0)NH-heterocycloalkyl, NHC(S)NH2, NHC(S)NH- Cι-Cι2-alkyl, -NHC(S)NH-C2-Cι2-alkenyl, -NHC(S)NH-C2- Ci2-alkenyl, -NHC(S)NH-C3-Cι2-cycloalkyl, -NHC(S)NH-aryl, -NHC(S)NH-heteroaryl, -NHC(S)NH-heterocycloalkyl, -NHC(NH)NH2, NHC(NH)NH- C Cι2-alkyl, - NHC(NH)NH-C2-Cι2-alkenyl, -NHC(NH)NH-C2-Cι2-alkenyl, -NHC(NH)NH-C3-C 2- cycloalkyl, -NHC(NH)NH-aryl, -NHC(NH)NH-heteroaryl, -NHC(NH)NH- heterocycloalkyl, NHC(NH)-Cι-Cι2-alkyl, -NHC(NH)-C2-Cι2-alkenyl, -NHC(NH)-C2- C 2-alkenyl, -NHC(NH)-C3-Cι2-cycloalkyl, -NHC(NH)-aryl, -NHC(NH)-heteroaryl, - NHC(NH)-heterocycloalkyl, -C(NH)NH-C Cι2-alkyl, -C(NH)NH-C2-Cι2-alkenyl, - C(NH)NH-C2-Ci2-alkenyl, -C(NH)NH-C3-C 2-cycloalkyl, -C(NH)NH-aryl, -C(NH)NH- heteroaryl, -C(NH)NH-heterocycloalkyl, -S(0)-Cι-Cι2-alkyl, - S(0)-C2-Cι2-alkenyl, - S(0)-C2-C 2-alkenyl, - S(0)-C3-Ci2-cycloalkyl, - S(0)-aryl, - S(0)-heteroaryl, - S(O)- heterocycloalkyl -S02NH2, -S02NH- C Ci2-alkyl, -S02NH- C2-Cι2-alkenyl, -S02NH- C2-Ci2-alkenyl, -S02NH- C3-C 2-cycloalkyl, -S02NH- aryl, -S02NH- heteroaryl, - SO2NH- heterocycloalkyl, -NHS02-C Ci2-alkyl, -NHS02-C2-Cι2-alkenyl, - NHS02- C2-Cι2-alkenyl, -NHS02-C3-Cι2-cycloalkyl, -NHS02-aryl, -NHS02-heteroaryl, - NHS02-heterocycloalkyl, -CH2NH2, -CH2S02CH3, -aryl, -arylalkyl, -heteroaryl, - heteroarylalkyl, -heterocycloalkyl, -C -Cι2-cycloalkyl, -methoxymethoxy, - methoxyethoxy, -SH, -S-C Cι2-alkyl, -S-C2-Cι2-alkenyl, -S-C2-Cι2-alkenyl, -S-C3- Cι2-cycloalkyl, -S-aryl, -S-heteroaryl, -S-heterocycloalkyl, or methylthiomethyl.
The term "Cι-C-3-alkyl-amino," as used herein, refers to one or two C-1-C3- alkyl groups, as previously defined, attached to the parent molecular moiety through a nitrogen atom. Examples of C-]-C3-alkyl-amino include, but are not limited to, methylamino, dimethylamino, ethylamino, diethylamino, and propylamino.
The term "alkylamino" refers to a group having the structure -NH(Cι-Cι2 alkyl) where C -Cι2 alkyl is as previously defined. The term "dialkylamino" refers to a group having the structure -N(CrCi2 alkyl)
(Cι-Cι2 alkyl), where C1-C12 alkyl is as previously defined. Examples of dialkylamino are, but not limited to, dimethylamino, diethylamino, methylethylamino, piperidino, and the like. The term "alkoxycarbonyl" represents an ester group, i.e., an alkoxy group, attached to the parent molecular moiety through a carbonyl group such as methoxycarbonyl, ethoxycarbonyl, and the like.
The term "carboxaldehyde," as used herein, refers to a group of formula - CHO.
The term "carboxy," as used herein, refers to a group of formula -COOH.
The term "carboxamide," as used herein, refers to a group of formula - C(0)NH(C Ci2 alkyl) or - C(0)N(C C12 alkyl) (C Cι2 alkyl), -C(0)NH2, and the like.
The term "hydroxy protecting group," as used herein, refers to a labile chemical moiety which is known in the art to protect a hydroxyl group against undesired reactions during synthetic procedures. After said synthetic procedure(s) the hydroxy protecting group as described herein may be selectively removed. Hydroxy protecting groups as known in the are described generally in T.H. Greene and P.G. M. Wuts, Protective Groups in Organic Synthesis, 3rd edition, John Wiley & Sons, New York (1999). Examples of hydroxy protecting groups include, but are not limited to, methylthiomethyl, fetf-butyl-dimethylsilyl, tert-butyldiphenylsilyl, acyl substituted with an aromatic group and the like.
The term "protected hydroxy," as used herein, refers to a hydroxy group protected with a hydroxy protecting group, as defined above, including benzoyl, acetyl, trimethylsilyl, triethylsilyl, methoxymethyl groups, for example.
The term "amino protecting group," as used herein, refers to a labile chemical moiety which is known in the art to protect an amino group against undesired reactions during synthetic procedures. After said synthetic procedure(s) the amino protecting group as described herein may be selectively removed. Amino protecting groups as known in the are described generally in T.H. Greene and P.G. M. Wuts, Protective Groups in Organic Synthesis, 3rd edition, John Wiley & Sons, New York (1999). Examples of amino protecting groups include, but are not limited to, t- butoxycarbonyl, 9-fluorenylmethoxycarbonyl, benzyloxycarbonyl, and the like.
The term "protected amino," as used herein, refers to an amino group protected with an amino protecting group as defined above. The term "aprotic solvent," as used herein, refers to a solvent that is relatively inert to proton activity, i.e., not acting as a proton-donor. Examples include, but are not limited to, hydrocarbons, such as hexane and toluene, for example, halogenated hydrocarbons, such as, for example, methylene chloride, ethylene chloride, chloroform, and the like, heterocyclic compounds, such as, for example, tetrahydrofuran and N-methylpyrrolidinone, and ethers such as diethyl ether, bis- methoxymethyl ether. Such compounds are well known to those skilled in the art, and it will be obvious to those skilled in the art that individual solvents or mixtures thereof may be preferred for specific compounds and reaction conditions, depending upon such factors as the solubility of reagents, reactivity of reagents and preferred temperature ranges, for example. Further discussions of aprotic solvents may be found in organic chemistry textbooks or in specialized monographs, for example: Organic Solvents Physical Properties and Methods of Purification, 4th ed., edited by John A. Riddick etal., Vol. II, in the Techniques of Chemistry Series, John Wiley & Sons, NY, 1986.
The term "protogenic organic solvent," as used herein, refers to a solvent that tends to provide protons, such as an alcohol, for example, methanol, ethanol, propanol, isopropanol, butanol, t-butanol, and the like. Such solvents are well known to those skilled in the art, and it will be obvious to those skilled in the art that individual solvents or mixtures thereof may be preferred for specific compounds and reaction conditions, depending upon such factors as the solubility of reagents, reactivity of reagents and preferred temperature ranges, for example. Further discussions of protogenic solvents may be found in organic chemistry textbooks or in specialized monographs, for example: Organic Solvents Physical Properties and Methods of Purification, 4th ed., edited by John A. Riddick etal., Vol. II, in the Techniques of Chemistry Series, John Wiley & Sons, NY, 1986.
Combinations of substituents and variables envisioned by this invention are only those that result in the formation of stable compounds. The term "stable", as used herein, refers to compounds which possess stability sufficient to allow manufacture and which maintains the integrity of the compound for a sufficient period of time to be useful for the purposes detailed herein (e.g., therapeutic or prophylactic administration to a subject).
The synthesized compounds can be separated from a reaction mixture and further purified by a method such as column chromatography, high pressure liquid chromatography, or recrystallization. As can be appreciated by the skilled artisan, further methods of synthesizing the compounds of the formulae herein will be evident to those of ordinary skill in the art. Additionally, the various synthetic steps may be performed in an alternate sequence or order to give the desired compounds. Synthetic chemistry transformations and protecting group methodologies (protection and deprotection) useful in synthesizing the compounds described herein are known in the art and include, for example, those such as described in R. Larock, Comprehensive Organic Transformations, VCH Publishers (1989); T.W. Greene and P.G.M. Wuts, Protective Groups in Organic Synthesis, 2d. Ed., John Wiley and Sons (1991); L. Fieser and M. Fieser, Fieser and Fieser's Reagents for Organic Synthesis. John Wiley and Sons (1994); and L. Paquette, ed., Encyclopedia of Reagents for Organic Synthesis, John Wiley and Sons (1995), and subsequent editions thereof.
The term "subject" as used herein refers to an animal. Preferably the animal is a mammal. More preferably the mammal is a human. A subject also refers to, for example, dogs, cats, horses, cows, pigs, guinea pigs, fish, birds and the like.
The compounds of this invention may be modified by appending appropriate functionalities to enhance selective biological properties. Such modifications are known in the art and may include those which increase biological penetration into a given biological system (e.g., blood, lymphatic system, central nervous system), increase oral availability, increase solubility to allow administration by injection, alter metabolism and alter rate of excretion.
The present invention is intended to include all isotopes of atoms occurring in the present compounds. Isotopes include those atoms having the same atomic number but different mass numbers. By way of general example and without limitation, isotopes of hydrogen include tritium and deuterium. Isotopes of carbon include C- 13 and C- 14.
The compounds described herein contain one or more asymmetric centers and thus give rise to enantiomers, diastereomers, and other stereoisomeric forms that may be defined, in terms of absolute stereochemistry, as (R)- or (S)- , or as (D)- or (L)- for amino acids. The present invention is meant to include all such possible isomers, as well as their racemic and optically pure forms. Optical isomers may be prepared from their respective optically active precursors by the procedures described above, or by resolving the racemic mixtures. The resolution can be carried out in the presence of a resolving agent, by chromatography or by repeated crystallization or by some combination of these techniques which are known to those skilled in the art. Further details regarding resolutions can be found in Jacques, et al., Enantiomers, Racemates, and Resolutions (John Wiley & Sons, 1981). When the compounds described herein contain olefinic double bonds, other unsaturation, or other centers of geometric asymmetry, and unless specified otherwise, it is intended that the compounds include both E and Z geometric isomers or cis- and trans- isomers. Likewise, all tautomeric forms are also intended to be included. The configuration of any carbon-carbon double bond appearing herein is selected for convenience only and is not intended to designate a particular configuration unless the text so states; thus a carbon-carbon double bond or carbon-heteroatom double bond depicted arbitrarily herein as trans may be cis, trans, or a mixture of the two in any proportion.
As used herein, the term "pharmaceutically acceptable salt" refers to those salts which are, within the scope of sound medical judgment, suitable for use in contact with the tissues of humans and lower animals without undue toxicity, irritation, allergic response and the like, and are commensurate with a reasonable benefit/risk ratio. Pharmaceutically acceptable salts are well known in the art. For example, S. M. Berge, et al. describes pharmaceutically acceptable salts in detail in J. Pharmaceutical Sciences, 66: 1-19 (1977). The salts can be prepared in situ during the final isolation and purification of the compounds of the invention, or separately by reacting the free base function with a suitable organic acid. Examples of pharmaceutically acceptable include, but are not limited to, nontoxic acid addition salts are salts of an amino group formed with inorganic acids such as hydrochloric acid, hydrobromic acid, phosphoric acid, sulfuric acid and perchloric acid or with organic acids such as acetic acid, maleic acid, tartaric acid, citric acid, succinic acid or malonic acid or by using other methods used, in the art such as ion exchange. Other pharmaceutically acceptable salts include, but are not limited to, adipate, alginate, ascorbate, aspartate, benzenesulfonate, benzoate, bisulfate, borate, butyrate, camphorate, camphorsulfonate, citrate, cyclopentanepropionate, digluconate, dodecylsulfate, ethanesulfonate, formate, fumarate, glucoheptonate, glycerophosphate, gluconate, hemisulfate, heptanoate, hexanoate, hydroiodide, 2- hydroxy-ethanesulfonate, lactobionate, lactate, laurate, lauryl sulfate, malate, maleate, malonate, methanesulfonate, 2-naphthalenesulfonate, nicotinate, nitrate, oleate, oxalate, palmitate, pamoate, pectinate, persulfate, 3-phenylpropionate, phosphate, picrate, pivalate, propionate, stearate, succinate, sulfate, tartrate, thiocyanate, p-toluenesulfonate, undecanoate, valerate salts, and the like. Representative alkali or alkaline earth metal salts include sodium, lithium, potassium, calcium, magnesium, and the like. Further pharmaceutically acceptable salts include, when appropriate, nontoxic ammonium, quaternary ammonium, and amine cations formed using counterions such as halide, hydroxide, carboxylate, sulfate, phosphate, nitrate, alkyl having from 1 to 6 carbon atoms, sulfonate and aryl sulfonate.
As used herein, the compounds of this invention, including the compounds of formulae described herein, are defined to include pharmaceutically acceptable derivatives or prodrugs thereof. A "pharmaceutically acceptable derivative or prodrug" means any pharmaceutically acceptable salt, ester, salt of an ester, or other derivative of a compound of this invention which, upon administration to a recipient, is capable of providing (directly or indirectly) a compound of this invention. When the compositions of this invention comprise a combination of a compound of the formulae described herein and one or more additional therapeutic or prophylactic agents, both the compound and the additional agent should be present at dosage levels of between about 1 to 100%, and more preferably between about 5 to 95% of the dosage normally administered in a monotherapy regimen. The additional agents may be administered separately, as part of a multiple dose regimen, from the compounds of this invention. Alternatively, those agents may be part of a single dosage form, mixed together with the compounds of this invention in a single composition.
Antiviral Activity
According to the methods of treatment of the present invention, viral infections are treated or prevented in a subject such as a human or lower mammal by administering to the subject a therapeutically effective amount of a compound of the invention, in such amounts and for such time as is necessary to achieve the desired result. The term "anti-hepatitis C virally effective amount" of a compound of the invention, as used herein, means a sufficient amount of the compound so as to decrease the viral load in a subject, thus decreasing said subject's chronic HCV symptoms. As well understood in the medical arts an anti-hepatitis C virally effective amount of a compound of this invention will be at a reasonable benefit/risk ratio applicable to any medical treatment. Upon improvement of a subject's condition, a maintenance dose of a compound, composition or combination of this invention may be administered, if necessary. Subsequently, the dosage or frequency of administration, or both, may be reduced, as a function of the symptoms, to a level at which the improved condition is retained when the symptoms have been alleviated to the desired level, treatment should cease. The subject may, however, require intermittent treatment on a long-term basis upon any recurrence of disease symptoms.
It will be understood, however, that the total daily usage of the compounds and compositions of the present invention will be decided by the attending physician within the scope of sound medical judgment. The specific anti-HCV virally effective dose level for any particular patient will depend upon a variety of factors including the disorder being treated and the severity of the disorder; the activity of the specific compound employed; the specific composition employed; the age, body weight, general health, sex and diet of the patient; the time of administration, route of administration, and rate of excretion of the specific compound employed; the duration of the treatment; drugs used in combination or coincidental with the specific compound employed; and like factors well known in the medical arts.
The total daily dose of the compounds of this invention administered to a subject in single or in divided doses can be in amounts, for example, from 0.01 to 50 mg/kg body weight or more usually from 0.1 to 25 mg/kg body weight. Single dose compositions may contain such amounts or submultiples thereof to make up the daily dose. In general, treatment regimens according to the present invention comprise administration to a patient in need of such treatment from about 10 mg to about 1000 mg of the compound(s) of this invention per day in single or multiple doses.
Pharmaceutical Compositions The pharmaceutical compositions of the present invention comprise a therapeutically effective amount of a compound of the present invention formulated together with one or more pharmaceutically acceptable carriers or excipients. As used herein, the term "pharmaceutically acceptable carrier or excipient" means a non-toxic, inert solid, semi-solid or liquid filler, diluent, encapsulating material or formulation auxiliary of any type. Some examples of materials which can serve as pharmaceutically acceptable carriers are sugars such as lactose, glucose and sucrose; starches such as corn starch and potato starch; cellulose and its derivatives such as sodium carboxymethyl cellulose, ethyl cellulose and cellulose acetate; powdered tragacanth; malt; gelatin; talc; excipients such as cocoa butter and suppository waxes; oils such as peanut oil, cottonseed oil, safflower oil, sesame oil, olive oil, corn oil and soybean oil; glycols such as propylene glycol; esters such as ethyl oleate and ethyl laurate; agar; buffering agents such as magnesium hydroxide and aluminun hydroxide; alginic acid; pyrogen-free water; isotonic saline; Ringer's solution; ethyl alcohol, and phosphate buffer solutions, as well as other nontoxic compatible lubricants such as sodium lauryl sulfate and magnesium stearate, as well as coloring agents, releasing agents, coating agents, sweetening, flavoring and perfuming agents, preservatives and antioxidants can also be present in the composition, according to the judgment of the formulator.
The pharmaceutical compositions of this invention may be administered orally, parenterally, by inhalation spray, topically, rectally, nasally, buccally, vaginally or via an implanted reservoir, preferably by oral administration or administration by injection. The pharmaceutical compositions of this invention may contain any conventional non-toxic pharmaceutically-acceptable carriers, adjuvants or vehicles. In some cases, the pH of the formulation may be adjusted with pharmaceutically acceptable acids, bases or buffers to enhance the stability of the formulated compound or its delivery form. The term parenteral as used herein includes subcutaneous, intracutaneous, intravenous, intramuscular, intraarticular, intraarterial, intrasynovial, intrasternal, intrathecal, intralesional and intracranial injection or infusion techniques. Liquid dosage forms for oral administration include pharmaceutically acceptable emulsions, microemulsions, solutions, suspensions, syrups and elixirs. In addition to the active compounds, the liquid dosage forms may contain inert diluents commonly used in the art such as, for example, water or other solvents, solubilizing agents and emulsifiers such as ethyl alcohol, isopropyl alcohol, ethyl carbonate, ethyl acetate, benzyl alcohol, benzyl benzoate, propylene glycol, 1 ,3- butylene glycol, dimethylformamide, oils (in particular, cottonseed, groundnut, corn, germ, olive, castor, and sesame oils), glycerol, tetrahydrofurfuryl alcohol, polyethylene glycols and fatty acid esters of sorbitan, and mixtures thereof. Besides inert diluents, the oral compositions can also include adjuvants such as wetting agents, emulsifying and suspending agents, sweetening, flavoring, and perfuming agents.
Injectable preparations, for example, sterile injectable aqueous or oleaginous suspensions, may be formulated according to the known art using suitable dispersing or wetting agents and suspending agents. The sterile injectable preparation may also be a sterile injectable solution, suspension or emulsion in a nontoxic parenterally acceptable diluent or solvent, for example, as a solution in 1 ,3- butanediol. Among the acceptable vehicles and solvents that may be employed are water, Ringer's solution, U.S. P. and isotonic sodium chloride solution. In addition, sterile, fixed oils are conventionally employed as a solvent or suspending medium. For this purpose any bland fixed oil can be employed including synthetic mono- or diglycerides. In addition, fatty acids such as oleic acid are used in the preparation of injectables.
The injectable formulations can be sterilized, for example, by filtration through a bacterial-retaining filter, or by incorporating sterilizing agents in the form of sterile solid compositions which can be dissolved or dispersed in sterile water or other sterile injectable medium prior to use.
In order to prolong the effect of a drug, it is often desirable to slow the absorption of the drug from subcutaneous or intramuscular injection. This may be accomplished by the use of a liquid suspension of crystalline or amorphous material with poor water solubility. The rate of absorption of the drug then depends upon its rate of dissolution, which, in turn, may depend upon crystal size and crystalline form. Alternatively, delayed absorption of a parenterally administered drug form is accomplished by dissolving or suspending the drug in an oil vehicle. Injectable depot forms are made by forming microencapsule matrices of the drug in biodegradable polymers such as polylactide-polyglycolide. Depending upon the ratio of drug to polymer and the nature of the particular polymer employed, the rate of drug release can be controlled. Examples of other biodegradable polymers include poly(orthoesters) and poly(anhyd rides). Depot injectable formulations are also prepared by entrapping the drug in liposomes or microemulsions that are compatible with body tissues.
Compositions for rectal or vaginal administration are preferably suppositories which can be prepared by mixing the compounds of this invention with suitable non- irritating excipients or carriers such as cocoa butter, polyethylene glycol or a suppository wax which are solid at ambient temperature but liquid at body temperature and therefore melt in the rectum or vaginal cavity and release the active compound.
Solid dosage forms for oral administration include capsules, tablets, pills, powders, and granules. In such solid dosage forms, the active compound is mixed with at least one inert, pharmaceutically acceptable excipient or carrier such as sodium citrate or dicalcium phosphate and/or: a) fillers or extenders such as starches, lactose, sucrose, glucose, mannitol, and silicic acid, b) binders such as, for example, carboxymethylcellulose, alginates, gelatin, polyvinylpyrrolidinone, sucrose, and acacia, c) humectants such as glycerol, d) disintegrating agents such as agar- agar, calcium carbonate, potato or tapioca starch, alginic acid, certain silicates, and sodium carbonate, e) solution retarding agents such as paraffin, f) absorption accelerators such as quaternary ammonium compounds, g) wetting agents such as, for example, cetyl alcohol and glycerol monostearate, h) absorbents such as kaolin and bentonite clay, and i) lubricants such as talc, calcium stearate, magnesium stearate, solid polyethylene glycols, sodium lauryl sulfate, and mixtures thereof. In the case of capsules, tablets and pills, the dosage form may also comprise buffering agents. Solid compositions of a similar type may also be employed as fillers in soft and hard-filled gelatin capsules using such excipients as lactose or milk sugar as well as high molecular weight polyethylene glycols and the like.
The solid dosage forms of tablets, dragees, capsules, pills, and granules can be prepared with coatings and shells such as enteric coatings and other coatings well known in the pharmaceutical formulating art. They may optionally contain opacifying agents and can also be of a composition that they release the active ngredient(s) only, or preferentially, in a certain part of the intestinal tract, optionally, n a delayed manner. Examples of embedding compositions that can be used nclude polymeric substances and waxes.
Dosage forms for topical or transdermal administration of a compound of this invention include ointments, pastes, creams, lotions, gels, powders, solutions, sprays, inhalants or patches. The active component is admixed under sterile conditions with a pharmaceutically acceptable carrier and any needed preservatives or buffers as may be required. Ophthalmic formulation, ear drops, eye ointments, powders and solutions are also contemplated as being within the scope of this invention.
The ointments, pastes, creams and gels may contain, in addition to an active compound of this invention, excipients such as animal and vegetable fats, oils, waxes, paraffins, starch, tragacanth, cellulose derivatives, polyethylene glycols, silicones, bentonites, silicic acid, talc and zinc oxide, or mixtures thereof.
Powders and sprays can contain, in addition to the compounds of this invention, excipients such as lactose, talc, silicic acid, aluminum hydroxide, calcium silicates and polyamide powder, or mixtures of these substances. Sprays can additionally contain customary propellants such as chlorofluorohydrocarbons.
Transdermal patches have the added advantage of providing controlled delivery of a compound to the body. Such dosage forms can be made by dissolving or dispensing the compound in the proper medium. Absorption enhancers can also be used to increase the flux of the compound across the skin. The rate can be controlled by either providing a rate controlling membrane or by dispersing the compound in a polymer matrix or gel.
Antiviral Activity
"An effective amount" refers to an amount of a compound which confers a therapeutic effect on the treated subject. The therapeutic effect may be objective (i.e., measurable by some test or marker) or subjective (i.e., subject gives an indication of or feels an effect). An effective amount of the compound described above may range from about 0.1 mg/Kg to about 500 mg/Kg, alternatively from about 1 to about 50 mg/Kg. Effective doses will also vary depending on route of administration, as well as the possibility of co-usage with other agents.
Combinations of substituents and variables envisioned by this invention are only those that result in the formation of stable compounds. The term "stable", as used herein, refers to compounds which possess stability sufficient to allow manufacture and which maintains the integrity of the compound for a sufficient period of time to be useful for the purposes detailed herein (e.g., therapeutic or prophylactic administration to a subject).
The synthesized compounds can be separated from a reaction mixture and further purified by a method such as column chromatography, high pressure liquid chromatography, or recrystallization. As can be appreciated by the skilled artisan, further methods of synthesizing the compounds of the formulae herein will be evident to those of ordinary skill in the art. Additionally, the various synthetic steps may be performed in an alternate sequence or order to give the desired compounds. Synthetic chemistry transformations and protecting group methodologies (protection and deprotection) useful in synthesizing the compounds described herein are known in the art and include, for example, those such as described in R. Larock, Comprehensive Organic Transformations, VCH Publishers (1989); T.W. Greene and P.G.M. Wuts, Protective Groups in Organic Synthesis, 2d. Ed., John Wiley and Sons (1991); L. Fieser and M. Fieser, Fieser and Fieser's Reagents for Organic Synthesis, John Wiley and Sons (1994); and L. Paquette, ed., Encyclopedia of Reagents for Organic Synthesis, John Wiley and Sons (1995), and subsequent editions thereof. According to the methods of treatment of the present invention, viral infections are treated or prevented in a subject such as a human or lower mammal by administering to the subject a therapeutically effective amount of a compound of the invention, in such amounts and for such time as is necessary to achieve the desired result. The term "anti-hepatitis C virally effective amount" of a compound of the invention, as used herein, means a sufficient amount of the compound so as to decrease the viral load in a subject, thus decreasing said subject's chronic HCV symptoms. As well understood in the medical arts an anti-hepatitis C virally effective amount of a compound of this invention will be at a reasonable benefit/risk ratio applicable to any medical treatment.
Upon improvement of a subject's condition, a maintenance dose of a compound, composition or combination of this invention may be administered, if necessary. Subsequently, the dosage or frequency of administration, or both, may be reduced, as a function of the symptoms, to a level at which the improved condition is retained when the symptoms have been alleviated to the desired level, treatment should cease. The subject may, however, require intermittent treatment on a long-term basis upon any recurrence of disease symptoms.
It will be understood, however, that the total daily usage of the compounds and compositions of the present invention will be decided by the attending physician within the scope of sound medical judgment. The specific anti-HCV virally effective dose level for any particular patient will depend upon a variety of factors including the disorder being treated and the severity of the disorder; the activity of the specific compound employed; the specific composition employed; the age, body weight, general health, sex and diet of the patient; the time of administration, route of administration, and rate of excretion of the specific compound employed; the duration of the treatment; drugs used in combination or coincidental with the specific compound employed; and like factors well known in the medical arts.
Unless otherwise defined, all technical and scientific terms used herein are accorded the meaning commonly known to one with ordinary skill in the art. All publications, patents, published patent applications, pending U.S. patent applications, and other references mentioned herein are hereby incorporated by reference in their entirety.
Abbreviations
Abbreviations which have been used in the descriptions of the schemes and the examples that follow are: ACN for acetonitrile; BME for 2-mercaptoethanol; BOP for benzotriazol-1 -yloxy-tris(dimethylamino)phosphonium hexafluorophosphate; COD for cyclooctadiene; DAST for diethylaminosulfur trifluoride; DABCYL for 6-(N-4'-carboxy-4-(dimethylamino)azobenzene)- aminohexyl- 1-0-(2-cyanoethyl)-(N,N-diisopropyl)-phosphoramidite; DCM for dichloromethane; DIAD for diisopropyl azodicarboxylate; DIBAL-H for diisobutylaluminum hydride; DIEA for diisopropyl ethylamine; DMAP for N,N-dimethylaminopyridine; DME for ethylene glycol dimethyl ether; DMEM for Dulbecco's Modified Eagles Media; DMF for N,N-dimethyl formamide; DMSO for dimethylsulfoxide;
DUPHOS for
Figure imgf000043_0001
EDANS for 5-(2-Amino-ethylamino)-naphthalene-1-sulfonic acid; EDCI or EDC for 1 -(3-diethylaminopropyl)-3-ethylcarbodiimide hydrochloride; EtOAc for ethyl acetate; HATU for O (7-Azabenzotriazole-1-yl)-N,N,N',N' - tetramethyluronium hexafluorophosphate; Hoveyda's Cat. for Dichloro(o-isopropoxyphenylmethylene) (tricyclohexylphosphine)ruthenium(ll); KHMDS is potassium bis(trimethylsilyl) amide; Ms for mesyl; NMM for N-4-methylmorpholine; PyBrOP for Bromo-tri-pyrolidino-phosphonium hexafluorophosphate; Ph for phenyl; RCM for ring-closing metathesis; RT for reverse transcription; RT-PCR for reverse transcription-polymerase chain reaction; TEA for triethyl amine; TFA for trifluoroacetic acid; THF for tetrahydrofuran; TLC for thin layer chromatography; TPP or PPh3 for triphenylphosphine; tBOC or Boc for tert-butyloxy carbonyl; and Xantphos for 4,5-Bis-diphenylphosphanyl-9,9-dimethyl-9H-xanthene.
Synthetic Methods The compounds and processes of the present invention will be better understood in connection with the following synthetic schemes which illustrate the methods by which the compounds of the invention may be prepared.
Figure imgf000045_0001
Boc-alkenylhydrazine of formula (1-3) can be prepared with bromo-alkenes of formula (1-1), wherein j is as previously defined and Boc-hydrazine (1-2) in the presence of tetrabutylamonium iodide in acetonitrile and DMSO. The corresponding acid chloride of formula (1-4) can be prepared by treating compound of formula (1-3) with phosgene in DCM.
Scheme 2
Figure imgf000045_0002
Aza-peptide mesylate macrocycle of formula (2-4), wherein A, B, G, M, Q, and j are as previously defined, can be formed primarily by peptide coupling conditions well known in the art. First, Boc-hydroxyproline ethyl ester derivative of formula (2-1) undergoes Boc-cleavage to yield the deprotected hydrochloride followed by addition of the Boc-aza-peptide acid chloride of formula (1-4), where A, B, and j are as previously defined, to yield compounds of the formula (2-2). Formation of tripeptide of formula (2-3) can be achieved through treatment with LiOH in THF/MeOH/H 0 to perform the hydrolysis of the ethyl ester and followed by coupling to P1 under standard amide bond forming conditions wherein G is as previously defined. Subjecting tripeptide (2-3) to ring-closing metathesis conditions with a Ruthenium-based catalyst can afford the desired key intermediate (2-4) (for further details on ring closing metathesis see recent reviews: Grubbs et al., Ace. Chem. Res., 1995, 28, 446; Shrock et al., Tetrahedron 1999, 55, 8141 ; Furstner, A. Angew. Chem. Int. Ed. 2000, 39, 3012; Trnka et al., Ace. Chem. Res. 2001 , 34, 18; and Hoveyda et al., Chem. Eur. J. 2001 , 7, 945).
Scheme 3
Figure imgf000046_0001
Aza-peptide mesylate macrocycle of formula (3-1) can be formed via treatment of compounds of (2-4) with mesyl chloride.
Scheme 4
Figure imgf000046_0002
The compounds of the present invention can be prepared via the replacement of the mesylate moiety of formula (3-1) with nucleophilic P* moiety Q in the presence of a base such as Cs2C03 in DMF to form compounds of formula (4-1), wherein A, B, G, Q, and j are as previously defined. Examples of Q include, but are not limited to, triazoles, tetrazoles, imidazoles, benzamidizoles, benzotriazoles, pyrroles, and the like. Compounds of formula (4-2), where A, B, G, M, Q, and j are as previously defined, can be synthesized via Mitsunobu conditions from the cyclic precursor of formula (2-4) and acidic alcohols or other acidic components which include, but are not limited to, phosphoric mono- and diesters, carboxylic acods, phenols, imides, oximes, hydroxymates, hetercycles, thiols, thioamides, β-keto esters, and the like. For further details on the Mitsunobu reaction, see O. Mitsunobu, Synthesis 1981 , 1- 28; D. L. Hughes, Org. React. 29, 1-162 (1983); D. L. Hughes, Organic Preparations and Procedures Int.28, 127-164 (1996); and J. A. Dodge, S. A. Jones, Recent Res. Dev. Org. Chem. 1 , 273-283 (1997) .
Scheme 5
Figure imgf000048_0001
(5-3) Examples of compounds of the present invention which can be made via introduction of various P* moieties by mesylate replacement, include, but are not limited to, compounds of formulae (5-1) - (5-4). For further details of the mesylate replacement method, please see commonly assigned patent applications U.S. Serial Nos. 10/360,947 (filed Feb. 7, 2003) and 10/365,854 (filed Feb. 13, 2003).
Scheme 6
Figure imgf000049_0001
(6-3) Examples of compounds of the present invention which can be made from cyclic precursor of formula (2-4) via introduction of various P* moieties by Mitsunobu coupling, include, but are not limited to, compounds of formulae (6-1) - (6-3). For further details on suitable P* moieties and the introduction thereof, please see U.S. published patent application US2002/0037998; PCT published application WO 00/59929; and commonly assigned U.S. Serial Nos. 10/384,120 (filed March 7, 2003) and 10/418,759 (filed April 18, 2003).
Examples
The compounds and processes of the present invention will be better understood in connection with the following examples, which are intended as an illustration only and not to limit the scope of the invention. Various changes and modifications to the disclosed embodiments will be apparent to those skilled in the art and such changes and modifications including, without limitation, those relating to the chemical structures, substituents, derivatives, formulations and/or methods of the invention may be made without departing from the spirit of the invention and the scope of the appended claims Example 1. Compound of formula (1-4), wherein j=1. A solution of 8-Bromo-oct-1-ene (26.2 mmol), Boc-hydrazine (2 eq.), and tetrabutyl-amonium iodide (~ 5 mg) in 10:1 ACN/DMSO is heated to 70°C overnight. The mixture is then cooled and the excess solvent I removed in vacuo. The concentrated reaction mixture is then purified via silica gel column chromatography (15-20% EtOAc/Hexane) to yield a compound of formula (1-3), wherein j =1 , as a clear oil. Triphosgene in DCM (5 ml) is added at 0°C to a mixture of compound of formula (1-3) and DIEA (0.8ml) in DCM (20ml) and stirred 1.5 hours to yield the title compound in situ to be used in subsequent steps.
Example 2. Compound of formula I, wherein A = Boc, B = hydrogen, G =OEt, M = -0-, Q = hydrogen, and i = n = s = 1. Step 2a. Compound of formula (2-2), wherein A = Boc, B = hydrogen, T = OEt, and j = 1. The mixture of the title compound of Example 1 is added to a pre-stirred solution of cis-L-hydroxyproline ethyl ester hydrochloride and DIEA (1.2 ml) in DCM (10ml). This mixture is then stirred overnight and then monitored for product formation via TLC. Once the reaction is deemed to be complete, the reaction mixture is then evaporated in vacuo to dryness and subsequently diluted in EtOAc. This mixture is then washed with water, NaHC03, and brine before the organic phase is dried over anhydrous sodium sulfate. The dried organic phase is the concentrated in vacuo and subsequently purified via silica gel column chromatography, eluting with 30-40% EtOAc/Hexane to yield the title compound as a white powder. Step 2b. Compound of formula (2-3), wherein A = Boc, B = hydrogen, T = OH, and j = 1. To a mixture of the compound from Step 2a (0.472 mmol) in THF/MeOH/H20 (4:2:1) (10.5 ml) is added LiOH.H20 (40mg). After stirring the resulting mixture at room temperature for 30 min., the reaction is concentrated in vacuo to remove excess MeOH and THF. The concentrate reaction mixture is then acidified to pH 4 with citric acid and subsequently extracted 3 times with EtOAc. The combined organic extracts are then washed with brine, dried over anhydrous MgS04, and concentrated in vacuo to yield a white foam. Step 2c. Compound of formula (2-3), wherein A = Boc, B = hydrogen, G = OEt, and j = 1. A mixture of the compound formed in Step 2b, P1 (1 eq), HATU (1 eq), and NMM (3 eq) in DMF is stirred at room temperature for 45 min.. The reaction mixture is then diluted with water and extracted 3 times with EtOAc. The combined organic extract is washed with NaHCθ3 and brine, dried over anhydrous MgS0 , and concentrated in vacuo to afford a light yellow residue. This resulting residue is purified by silica gel column chromatography eluting with 60% EtOAc/Hexane to yield the tripeptide as a white foam. Step 2d. Compound of formula I, wherein A = Boc, B = hydrogen, G = OEt, M = -0-, and Q = hydrogen, and j = n = s = 1. A solution of the linear tripeptide formed in step c in dry DCM is deoxygenated by bubbling N2. Hoveyda's 1 st generation catalyst (5 mol% eq.) is then added as solid. The reaction is refluxed under N2 atmosphere 12 hours. The solvent is evaporated and the residue is purified by silica gel flash chromatography using different ratios of hexanes.ΕtOAc as elution phase (9:1→5:1→3:1→1:1→1 :2→1 :5). The cyclic peptide precursor title compound is isolated as a white powder after removal of the elution solvents.
Example 3. Compound of formula I, wherein A = Boc, B = hydrogen, G =OEt M = -O- Q = -S(Q) CHa. and i = n = s = 1. To a solution of the macrocyclic peptide precursor of Example 2 and DIEA in DCM, mesylate chloride (0.1 ml) is added slowly at 0 °C where the reaction is kept for 3 h. The reaction mixture is then diluted with EtOAc, washed with 5% citric acid, water, 1 M NaHCθ3 and brine 2x10 ml, respectively. The organic phase is then dried over anhydrous Na2S04 and concentrated in vacuo, yielding the title compound mesylate with no need to for further purification for use in subsequent steps. Example 4. Compound of formula I, wherein A = Boc. B = hydrogen. G =OEt, M =
Figure imgf000052_0001
To a cooled mixture of macrocyclic precursor of Example 2, 3-(thiophen-2-yl)- 1H-quinoxalin-2-one (1.1 equiv.), and triphenylphosphine (2 equiv.) in THF is added DIAD (2 equiv.) dropwise at 0°C. The resulting mixture is held at 0°C for 15 min. before being warmed to room temperature. After 18 hours, the mixture is concentrated under vacuum and the residue is purified by chromatography eluting with 60% ethyl acetate-hexane to give the title compound.
Example 5. Compound of formula I, wherein A = Boc, B = hydrogen, G = OH, M =
-0-, Q = ζX , and i = n = s = 1. A solution of compound the compound of Example 4 and lithium hydroxide (10 equiv.) in THF/MeOH/H20 (2:1 :0.5) is stirred at room temperature for 20 hours. The excess solvents are evaporated in vacuo, the resulting residue is diluted with water, followed by acidification to pH ~5. The mixture is extracted 2 times with ethyl acetate. The combined organic extracts are washed once with brine, dried (MgS0 ), filtered and concentrated in vacuo to give an oily residue, which is purified by column chromatography.
Example 6. Compound of formula I, wherein A = Boc, B = hydrogen, G =OEt, M is Ph Ph absent, Q = , and i = n = s = 1. The title compound is prepared by dissolving compound of Example 3 and 4,5 -diphenyltriazole in of DMF, adding cesium carbonate, and stirring the resulting mixture at 70°C for 12 hours. The reaction mixture is then extracted with EtOAc and washed with 1 M sodium bicarbonate (2x30ml) and water (2x30ml). The resulting organic solution was concentrated in vacuo to yield the title compound.
Additional compounds of the present invention that may be prepared via methods described in U.S. published patent application US2002/0037998; PCT published application WO 00/59929; and commonly assigned U.S. Serial Nos. 10/384,120 (filed March 7, 2003), 10/418,759 (filed April 18, 2003), 10/360,947 (filed Feb. 7, 2003) and 10/365,854 (filed Feb. 13, 2003).
Example 7. Compound of formula I, wherein A = Boc. B = hydrogen. G = OH. M is absent, Q = 4.5-di-thiophenyltriazol-2-yl. and j = n = s = 1.
Example 8. Compound of formula I, wherein A = Boc, B = hydrogen. G = OH, M is absent, Q = 4-(thiophen-3-yl)-5-(p-rnethoxyphenyl)triazol-2-yl, and j = n = s = 1.
Example 9. Compound of formula I. wherein A = Boc, B = hydrogen. G = OH, M is absent, Q = 4-(n-butyl)-5-phenyl triazol-2-yl, and i = n = s = 1.
Example 10. Compound of formula I, wherein A = Boc. B = hydrogen. G = OH. M is absent, Q = 5-(3-methoxyphenyl)tetrazolyl. and j = n = s = 1.
Example 11. Compound of formula I, wherein A = Boc, B = hydrogen. G = OH, M is absent, Q = 5-(4-pyridyl)tetrazolyl, and i = n = s = 1.
Example 12. Compound of formula I, wherein A = Boc, B = hydrogen. G = OH, M is absent. Q = 5-(3.4-dichlorophenyl)tetrazolyl. and j = n = s = 1.
Example 13. Compound of formula I. wherein A = Boc. B = hydrogen. G = OH, M is absent. Q = 5-(3-bromo-4-methoxy-phenyl)tetrazolyl, and j = n = s = 1.
Example 14. Compound of formula I. wherein A = Boc. B = hydrogen. G = OH. M is absent. Q = 4-(4-fluoro-phenyl)-6-phenyl-1 H-pyridazin-3-on-2-yl, and i = n = s = 1. Example 15. Compound of formula I, wherein A = Boc. B = hydrogen. G = OH. M is absent, Q = 6-phenyl-5-piperidin-1-yl-1 H-pyridazin-3-on-2-yl, and j = n = s = 1.
Example 16. Compound of formula I. wherein A = Boc, B = hydrogen. G = OH. M = -0-, Q = 7-Methoxy-2-phenyl-guinolin-4-yl, and i = n = s = 1.
Example 17. Compound of formula I, wherein A = Boc, B = hydrogen, G = OH. M = -0-, Q = 7-Methoxy-2-thiazolyl-guinolin-4-yl. and i = n = s = 1.
Example 18. Compound of formula I, wherein A = Boc. B = hydrogen, G = OH. M = -0-, Q = 7-Methoxy-2-thiophenyl-quinolin-4-yl, and j = n = s = 1.
Example 19. Compound of formula I, wherein A = Boc. B = hydrogen, G = OH, M = -0-, Q = 7-Methoxy-3-(thiophen-2-yl)-1 H-guinoxalin-2-yl. and j = n = s = 1.
Example 20. Compound of formula I, wherein A = Boc, B = hydrogen. G = OH, M = -Q-, Q = 6-Methoxy-3-(thiophen-2-yl)-1 H-guinoxalin-2-yl, and j = n = s = 1.
Example 21. Compound of formula I, wherein A = Boc, B = hydrogen, G = OH, M = -0-, Q = 7-Methoxy-3-[2-(thiophen-2-yl)vinvn-1 H-guinoxalin-2-yl. and i = n = s = 1.
Example 22. Compound of formula I, wherein A = Boc, B = hydrogen, G = OH. M = -0-. Q = 6-Methoxy-3-f2-(thiophen-2-yl)vinyll-1 H-guinoxalin-2-yl, and j = n = s =
Example 23. Compound of formula I, wherein A = Boc, B = hydrogen, G = OH. M = -0-, Q = 7-Methoxy-3-F2-(pyridin-2-yl)vinvπ-1 H-guinoxalin-2-yl, and j = n = s = 1.
Example 24. Compound of formula I, wherein A = Boc. B = hydrogen. G = OH. M = -0-. Q = 7-methoxy-3-r2-(pyridin -2-yl)vinyl1-1 H-guinoxalin-2-yl, and i = n = s = 1.
Example 25. NS3/NS4a Protease Enzyme Assay HCV protease activity and inhibition is assayed using an internally quenched fluorogenic substrate. A DABCYL and an EDANS group are attached to opposite ends of a short peptide. Quenching of the EDANS fluorescence by the DABCYL group is relieved upon proteolytic cleavage. Fluorescence was measured with a Molecular Devices Fluoromax (or equivalent) using an excitation wavelength of 355 nm and an emission wavelength of 485 nm.
The assay is run in Corning white half-area 96-well plates (VWR 29444-312 [Corning 3693]) with full-length NS3 HCV protease 1b tethered with NS4A cofactor (final enzyme concentration 1 to 15 nM). The assay buffer is complemented with 10 μM NS4A cofactor Pep 4A (Anaspec 25336 or in- house, MW 1424.8). RET S1 (Ac-Asp-Glu-Asp(EDANS)-Glu-Glu-Abu- [COO]Ala-Ser-Lys-(DABCYL)-NH2, AnaSpec 22991 , MW 1548.6) is used as the fluorogenic peptide substrate. The assay buffer contained 50 mM Hepes at pH 7.5, 30 mM NaCl and 10 mM BME. The enzyme reaction is followed over a 30 minutes time course at room temperature in the absence and presence of inhibitors.
The peptide inhibitors HCV Inh 1 (Anaspec 25345, MW 796.8) Ac-Asp-Glu- Met-Glu-Glu-Cys-OH, [-20°C] and HCV Inh 2 (Anaspec 25346, MW 913.1) Ac-Asp-Glu-Dif-Cha-Cys-OH, were used as reference compounds.
IC50 values were calculated using XLFit in ActivityBase (I DBS) using equation 205: y=A+((B-A)/(1+((C/x)ΛD))).
Example 26. Cell-Based Replicon Assay Quantification of HCV replicon RNA in cell lines (HCV Cell Based Assay) Cell lines, including Huh-11-7 or Huh 9-13, harboring HCV replicons (Lohmann, et al Science 285:110-113, 1999) are seeded at 5x103 cells/well in 96 well plates and fed media containing DMEM (high glucose), 10% fetal calf serum, penicillin-streptomycin and non-essential amino acids. Cells are incubated in a 5% C02 incubator at 37 °C. At the end of the incubation period, total RNA is extracted and purified from cells using Qiagen Rneasy 96 Kit (Catalog No. 74182). To amplify the HCV RNA so that sufficient material can be detected by an HCV specific probe (below), primers specific for HCV (below) mediate both the reverse transcription of the HCV RNA and the amplification of the cDNA by polymerase chain reaction (PCR) using the TaqMan One-Step RT-PCR Master Mix Kit (Applied Biosystems catalog no. 4309169). The nucleotide sequences of the RT-PCR primers, which are located in the NS5B region of the HCV genome, are the following: • HCV Forward primer "RBNSδbfor" ♦ 5'GCTGCGGCCTGTCGAGCT: • HCV Reverse primer "RBNSδBrev": ♦ 5'CAAGGTCGTCTCCGCATAC
Detection of the RT-PCR product was accomplished using the Applied Biosystems (ABI) Prism 7700 Sequence Detection System (SDS) that detects the fluorescence that is emitted when the probe, which is labeled with a fluorescence reporter dye and a quencher dye, is processed during the PCR reaction. The increase in the amount of fluorescence is measured during each cycle of PCR and reflects the increasing amount of RT-PCR product. Specifically, quantification is based on the threshold cycle, where the amplification plot crosses a defined fluorescence threshold. Comparison of the threshold cycles of the sample with a known standard provides a highly sensitive measure of relative template concentration in different samples (ABI
User Bulletin #2 December 11 , 1997). The data is analyzed using the ABI SDS program version 1.7. The relative template concentration can be converted to RNA copy numbers by employing a standard curve of HCV RNA standards with known copy number (ABI User Bulletin #2 December 11 , 1997).
The RT-PCR product was detected using the following labeled probe: • 5' FAM-CGAAGCTCCAGGACTGCACGATGCT-TAMRA • FAM= Fluorescence reporter dye. • TAMRA:=Quencher dye.
The RT reaction is performed at 48 °C for 30 minutes followed by PCR. Thermal cycler parameters used for the PCR reaction on the ABI Prism 7700 Sequence Detection System were: one cycle at 95 °C, 10 minutes followed by 35 cycles each of which included one incubation at 95 °C for 15 seconds and a second incubation for 60 °C for 1 minute.
To normalize the data to an internal control molecule within the cellular RNA,
RT-PCR is performed on the cellular messenger RNA glyceraldehydes-3- phosphate dehydrogenase (GAPDH). The GAPDH copy number is very stable in the cell lines used. GAPDH RT-PCR is performed on the same exact RNA sample from which the HCV copy number is determined. The GAPDH primers and probes, as well as the standards with which to determine copy number, are contained in the ABI Pre-Developed TaqMan Assay Kit (catalog no. 4310884E). The ratio of HCV/GAPDH RNA is used to calculate the activity of compounds evaluated for inhibition of HCV RNA replication.
Activity of compounds as inhibitors of HCV replication (Cell based
Assay) in replicon containing Huh-7 cell lines
The effect of a specific anti-viral compound on HCV replicon RNA levels in Huh-11-7 or 9-13 cells was determined by comparing the amount of HCV RNA normalized to GAPDH (e.g. the ratio of HCV/GAPDH) in the cells exposed to compound versus cells exposed to the 0% inhibition and thel 00% inhibition controls. Specifically, cells were seeded at 5x 103 cells/well in a 96 well plate and were incubated either with: 1) media containing 1% DMSO (0% inhibition control), 2) 100 international units, lU/ml Interferon-alpha 2b in media/1 %DMSO or 3) media/1 %DMSO containing a fixed concentration of compound. 96 well plates as described above were then incubated at 37 °C for 3 days (primary screening assay) or 4 days (IC50 determination). Percent inhibition was defined as: % lnhibition= [100-((S-C2)/C1-C2))]x100 • where • S= the ratio of HCV RNA copy number/GAPDH RNA copy number in the sample; • C1 = the ratio of HCV RNA copy number/GAPDH RNA copy number in the 0% inhibition control (media/1 %DMSO); and • C2= the ratio of HCV RNA copy number/GAPDH RNA copy number in the 100% inhibition control (100 lU/ml Interferon-alpha 2b).
The dose-response curve of the inhibitor was generated by adding compound in serial, three-fold dilutions over three logs to wells starting with the highest concentration of a specific compound at 10uM and ending with the lowest concentration of 0.01 uM. Further dilution series (1 uM to 0.001 uM for example) was performed if the IC50 value was not in the linear range of the curve. IC50 was determined based on the IDBS Activity Base program using Microsoft Excel "XL Fit" in which A=100% inhibition value (100IU/ml Interferon-alpha 2b), B= 0% inhibition control value (media/1 %DMSO) and C= midpoint of the curve as defined as C=(B-A/2)+A. A, B and C values are expressed as the ratio of HCV RNA/GAPDH RNA as determined for each sample in each well of a 96 well plate as described above. For each plate the average of 4 wells were used to define the 100% and 0% inhibition values.
Although the invention has been described with respect to various preferred embodiments, it is not intended to be limited thereto, but rather those skilled in the art will recognize that variations and modifications may be made therein which are within the spirit of the invention and the scope of the appended claims.

Claims

WHAT IS CLAIMED:
1. A compound of Formula I:
Figure imgf000059_0001
( i ) wherein
A is selected from: (a) hydrogen; (b) -(C=0)-0-R-ι, where Ri is selected from: 1. hydrogen, 2. d-Cβ alkyl, 3. C3-Cι2 cycloalkyl, 4. substituted C -Cι2 cycloalkyl, 5. aryl, 6. substituted aryl, 7. heteroaryl, 8. substituted heteroaryl, 9. heterocycloalkyl, 10. substituted heterocycloalkyl, or 11.-C-i-Cβ alkyl containing 0, 1 , 2, or 3 heteroatoms selected from O, S, or N, optionally substituted with one or more substituent selected from halogen, aryl, substituted aryl, heteroaryl, substituted heteroaryl, heterocycloalkyl, or substituted heterocycloalkyl; (c) -(C-=0)-R2, where R is selected from: 1. -Ri, where Ri is as previously defined, 2. alkylamino,
3. dialkyl amino, 4. arylamino, or 5. diarylamino; (d) -C(=0)-NH-R2, where R2 is as previously defined; (e) -C(=S)-NH-R2, where R2 is as previously defined; (f) -S(0)2-R2, where R2 is as previously defined; B is hydrogen or Cι-C6 alkyl; G is (a) -OH; (b)
Figure imgf000060_0001
alkyl); (c) -NH-R2, where R2 is as previously defined; (d) -NHS(0) -Rι, where Ri as previously defined; (e) -(C=0)-R2, where R2 as previously defined; (f) _(C=0)-0-Rι , where R^ as previously defined; or (g) -(C=0)-NH-R2, where R2 as previously defined;
M is absent or selected from: (a) -0-; (b) -S-; (c) -NH-; or (d) -NRι~, wherein Ri is previously defined;
Q is selected from: (a) aryl; (b) substituted aryl; (c) heteroaryl; (d) substituted heteroaryl; (e) heterocycloalkyl; or (f) substituted heterocycloalkyl; j = 0, 1 , 2, 3, or 4; n = 0, 1 , or 2; and s = 0, 1 , or 2.
2. A compound of formula I, wherein M is absent and Q is ~< , wherein X and Y are each independently selected from: a) -C1-C6 alkyl containing 0, 1 , 2, or 3 heteroatoms selected from O, S, or N, optionally substituted with one or more substituent selected from halogen, aryl, substituted aryl, heteroaryl, substituted heteroaryl, heterocycloalkyl, or substituted heterocycloalkyl; b) -C2-C6 alkenyl containing 0, 1 , 2, or 3 heteroatoms selected from O, S, or N, optionally substituted with one or more substituent selected from halogen, aryl, substituted aryl, heteroaryl, substituted heteroaryl, heterocycloalkyl, or substituted heterocycloalkyl; c) -C2-C6 alkynyl containing 0, 1 , 2, or 3 heteroatoms selected from O, S, or N, optionally substituted with one or more substituent selected from halogen, aryl, substituted aryl, heteroaryl, substituted heteroaryl, heterocycloalkyl, or substituted heterocycloalkyl; d) aryl; e) substituted aryl; f) heteroaryl; g) substituted heteroaryl; h) heterocycloalkyl; or i) substituted heterocycloalkyl; or in the alternative, X and Y are taken together with the carbons to which they are attached to for a cyclic moiety selected from: aryl, substituted aryl, heteroaryl, substituted heteroaryl, heterocycloalkyl, or substituted heterocycloalkyl;
ompound of formula I, wherein M is absent and Q is
Figure imgf000061_0001
wherein Y is selected from: a) -Ci-Cβ alkyl containing 0, 1 , 2, or 3 heteroatoms selected from O, S, or N, optionally substituted with one or more substituent selected from halogen, aryl, substituted aryl, heteroaryl, substituted heteroaryl, heterocycloalkyl, or substituted heterocycloalkyl; b) -C2-Cβ alkenyl containing 0, 1 , 2, or 3 heteroatoms selected from O, S, or N, optionally substituted with one or more substituent selected from halogen, aryl, substituted aryl, heteroaryl, substituted heteroaryl, heterocycloalkyl, or substituted heterocycloalkyl; c) -C2-Cβ alkynyl containing 0, 1 , 2, or 3 heteroatoms selected from O, S, or N, optionally substituted with one or more substituent selected from halogen, aryl, substituted aryl, heteroaryl, substituted heteroaryl, heterocycloalkyl, or substituted heterocycloalkyl; d) aryl; e) substituted aryl; f) heteroaryl; g) substituted heteroaryl; h) heterocycloalkyl; or i) substituted heterocycloalkyl;
4. A compound of formula I, wherein M is absent and Q is
Figure imgf000062_0001
wherein X, Y, and Z are each independently selected from: a) -Ci-Cβ alkyl containing 0, 1 , 2, or 3 heteroatoms selected from O, S, or N, optionally substituted with one or more substituent selected from halogen, aryl, substituted aryl, heteroaryl, substituted heteroaryl, heterocycloalkyl, or substituted heterocycloalkyl; b) -C2-C6 alkenyl containing 0, 1 , 2, or 3 heteroatoms selected from O, S, or N, optionally substituted with one or more substituent selected from halogen, aryl, substituted aryl, heteroaryl, substituted heteroaryl, heterocycloalkyl, or substituted heterocycloalkyl; c) -C2-C6 alkynyl containing 0, 1 , 2, or 3 heteroatoms selected from O, S, or N, optionally substituted with one or more substituent selected from halogen, aryl, substituted aryl, heteroaryl, substituted heteroaryl, heterocycloalkyl, or substituted heterocycloalkyl; d) aryl; e) substituted aryl; f) heteroaryl; g) substituted heteroaryl; h) heterocycloalkyl; or i) substituted heterocycloalkyl; or in the alternative, X and Y or Y and Z are taken together with the carbons to which they are attached to for a cyclic moiety selected from: aryl, substituted aryl, heteroaryl, substituted heteroaryl, heterocycloalkyl, or substituted heterocycloalkyl;
ompound of formula I, wherein M is absent and Q is
Figure imgf000063_0001
wherein W, X, Y, and Z are each independently selected from: a) -Ci-Cβ alkyl containing 0, 1 , 2, or 3 heteroatoms selected from O, S, or N, optionally substituted with one or more substituent selected from halogen, aryl, substituted aryl, heteroaryl, substituted heteroaryl, heterocycloalkyl, or substituted heterocycloalkyl; b) -C2-C6 alkenyl containing 0, 1 , 2, or 3 heteroatoms selected from O, S, or N, optionally substituted with one or more substituent selected from halogen, aryl, substituted aryl, heteroaryl, substituted heteroaryl, heterocycloalkyl, or substituted heterocycloalkyl; c) -C2-C6 alkynyl containing 0, 1 , 2, or 3 heteroatoms selected from O, S, or N, optionally substituted with one or more substituent selected from halogen, aryl, substituted aryl, heteroaryl, substituted heteroaryl, heterocycloalkyl, or substituted heterocycloalkyl; d) aryl; e) substituted aryl; f) heteroaryl; g) substituted heteroaryl; h) heterocycloalkyl; or i) substituted heterocycloalkyl; or in the alternative, W and X, X and Y, or Y and Z are taken together with the carbons to which they are attached to for a cyclic moiety selected from: aryl, substituted aryl, heteroaryl, substituted heteroaryl, heterocycloalkyl, or substituted heterocycloalkyl;
6. A compound of formula I, wherein M is absent and Q is
Figure imgf000064_0001
wherein X, Y, and Z are each independently selected from: a) -Ci-Cβ alkyl containing 0, 1 , 2, or 3 heteroatoms selected from O, S, or N, optionally substituted with one or more substituent selected from halogen, aryl, substituted aryl, heteroaryl, substituted heteroaryl, heterocycloalkyl, or substituted heterocycloalkyl; b) -C2-C6 alkenyl containing 0, 1 , 2, or 3 heteroatoms selected from O, S, or N, optionally substituted with one or more substituent selected from halogen, aryl, substituted aryl, heteroaryl, substituted heteroaryl, heterocycloalkyl, or substituted heterocycloalkyl; c) -C2-C6 alkynyl containing 0, 1, 2, or 3 heteroatoms selected from O, S, or N, optionally substituted with one or more substituent selected from halogen, aryl, substituted aryl, heteroaryl, substituted heteroaryl, heterocycloalkyl, or substituted heterocycloalkyl; d) aryl; e) substituted aryl; f) heteroaryl; g) substituted heteroaryl; h) heterocycloalkyl; or i) substituted heterocycloalkyl; or in the alternative, Y and Z are taken together with the carbons to which they are attached to for a cyclic moiety selected from: aryl, substituted aryl, heteroaryl, substituted heteroaryl, heterocycloalkyl, or substituted heterocycloalkyl;
7. A compound of formula I, wherein M is -O- and Q is
Figure imgf000064_0002
wherein L is M, where M is as previously defined; X, Y, and Z are each independently selected from: a) -Cι-C6 alkyl containing 0, 1 , 2, or 3 heteroatoms selected from O, S, or N, optionally substituted with one or more substituent selected from halogen, aryl, substituted aryl, heteroaryl, substituted heteroaryl, heterocycloalkyl, or substituted heterocycloalkyl; b) -C2-C6 alkenyl containing 0, 1 , 2, or 3 heteroatoms selected from O, S, or N, optionally substituted with one or more substituent selected from halogen, aryl, substituted aryl, heteroaryl, substituted heteroaryl, heterocycloalkyl, or substituted heterocycloalkyl; c) -C2-C6 alkynyl containing 0, 1 , 2, or 3 heteroatoms selected from O, S, or N, optionally substituted with one or more substituent selected from halogen, aryl, substituted aryl, heteroaryl, substituted heteroaryl, heterocycloalkyl, or substituted heterocycloalkyl; d) aryl; e) substituted aryl; f) heteroaryl; g) substituted heteroaryl; h) heterocycloalkyl; or i) substituted heterocycloalkyl; or in the alternative, X and Y are taken together with the carbons to which they are attached to for a cyclic moiety selected from: aryl, substituted aryl, heteroaryl, substituted heteroaryl, heterocycloalkyl, or substituted heterocycloalkyl;
8. A compound of formula I, wherein M is -O- and Q is
Figure imgf000065_0001
wherein L is M, where M is as previously defined; X, Y, and Z are each independently selected from: a) -Ci-Cβ alkyl containing 0, 1 , 2, or 3 heteroatoms selected from O, S, or N, optionally substituted with one or more substituent selected from halogen, aryl, substituted aryl, heteroaryl, substituted heteroaryl, heterocycloalkyl, or substituted heterocycloalkyl; b) -C2-Cβ alkenyl containing 0, 1 , 2, or 3 heteroatoms selected from O, S, or N, optionally substituted with one or more substituent selected from halogen, aryl, substituted aryl, heteroaryl, substituted heteroaryl, heterocycloalkyl, or substituted heterocycloalkyl; c) -C2-C6 alkynyl containing 0, 1 , 2, or 3 heteroatoms selected from O, S, or N, optionally substituted with one or more substituent selected from halogen, aryl, substituted aryl, heteroaryl, substituted heteroaryl, heterocycloalkyl, or substituted heterocycloalkyl; d) aryl; e) substituted aryl; f) heteroaryl; g) substituted heteroaryl; h) heterocycloalkyl; or i) substituted heterocycloalkyl; or in the alternative, X and Y are taken together with the carbons to which they are attached to for a cyclic moiety selected from: aryl, substituted aryl, heteroaryl, substituted heteroaryl, heterocycloalkyl, or substituted heterocycloalkyl; or
9. A compound of formula I, wherein M is -O- and Q is
Figure imgf000066_0001
wherein L is M, where M is as previously defined; X, Y, and Z are each independently selected from: a) -Ci-Cβ alkyl containing 0, 1 , 2, or 3 heteroatoms selected from O, S, or N, optionally substituted with one or more substituent selected from halogen, aryl, substituted aryl, heteroaryl, substituted heteroaryl, heterocycloalkyl, or substituted heterocycloalkyl; b) -C2-C6 alkenyl containing 0, 1 , 2, or 3 heteroatoms selected from O, S, or N, optionally substituted with one or more substituent selected from halogen, aryl, substituted aryl, heteroaryl, substituted heteroaryl, heterocycloalkyl, or substituted heterocycloalkyl; c) -C -Cβ alkynyl containing 0, 1 , 2, or 3 heteroatoms selected from O, S, or N, optionally substituted with one or more substituent selected from halogen, aryl, substituted aryl, heteroaryl, substituted heteroaryl, heterocycloalkyl, or substituted heterocycloalkyl; d) aryl; e) substituted aryl; f) heteroaryl; g) substituted heteroaryl; h) heterocycloalkyl; or i) substituted heterocycloalkyl; or in the alternative, X and Y are taken together with the carbons to which they are attached to for a cyclic moiety selected from: aryl, substituted aryl, heteroaryl, substituted heteroaryl, heterocycloalkyl, or substituted heterocycloalkyl.
10. A compound according to claim 1 represented by formula I selected from: Compound of formula I, wherein A = Boc, B = hydrogen, G =OEt, M = -0-, Q = hydrogen, and j = n = s = 1 ;
Compound of formula I, wherein A = Boc, B = hydrogen, G =OEt, M = -0-, Q = -S(0)2CH3, and j = n = s = 1 ;
Compound of formula I, wherein A = Boc, B = hydrogen, G =OEt, M = -0-, Q = 2-thiophenyl-quinolin-4-yl, and j = n = s = 1 ; Compound of formula I, wherein A = Boc, B = hydrogen, G = OH, M = -0- Q = 2-thiophenyl-quinolin-4-yl, and j = n = s = 1 ; Compound of formula I, wherein A = Boc, B = hydrogen, G =OEt, M is absent, Q = 4,5-diphenyltriazol-2-yl, and j = n = s = 1 ;
Compound of formula I, wherein A = Boc, B = hydrogen, G = OH, M is absent, Q = 4,5-di-thiophenyltriazol-2-yl, and j = n = s = 1 ;
Compound of formula I, wherein A = Boc, B = hydrogen, G = OH, M is absent, Q = 4-(thiophen-3-yl)-5-(p-methoxyphenyl)triazol-2-yl, and j = n = s = 1 ;
Compound of formula I, wherein A = Boc, B = hydrogen, G = OH, M is absent, Q = 4-(n-butyl)-5-phenyltriazol-2-yl, and j = n = s = 1 ;
Compound of formula I, wherein A = Boc, B = hydrogen, G = OH, M is absent, Q = 5-(3-methoxyphenyl)tetrazol~2-yl, and j = n = s = 1 ;
Compound of formula I, wherein A = Boc, B = hydrogen, G = OH, M is absent, Q = 5-(4-pyridyl)tetrazol-2-yl, and j = n = s = 1 ;
Compound of formula I, wherein A = Boc, B = hydrogen, G = OH, M is absent, Q = 5-(3,4-dichlorophenyl)tetrazol-2-yl, and j = n = s = 1 ;
Compound of formula I, wherein A = Boc, B = hydrogen, G = OH, M is absent, Q = 5-(3-bromo-4-methoxy-phenyl)tetrazol-2-yl, and j = n = s = 1 ;
Compound of formula I, wherein A = Boc, B = hydrogen, G = OH, M is absent, Q = 4-(4-fluoro-phenyl)-6-phenyl-1 H-pyridazin-3-on-2-yl, and j = n = s = 1 ;
Compound of formula I, wherein A = Boc, B = hydrogen, G = OH, M is absent, Q = 6-phenyl-5-piperidin-1-yl-1H-pyridazin-3-on-2-yl, and j = n = s = 1 ;
Compound of formula I, wherein A = Boc, B = hydrogen, G = OH, M = -0-, Q = 7-Methoxy-2-phenyl-quinolin-4-yl, and j = n = s = 1 ; Compound of formula I, wherein A = Boc, B = hydrogen, G = OH, M = -0-, Q = 7-Methoxy-2-thiazolyl-quinolin-4-yl, and j = n = s = 1 ;
Compound of formula I, wherein A = Boc, B = hydrogen, G = OH, M = -0-, Q = 7-Methoxy-2-thiophenyl-quinoIin-4-yl, and j = n = s = 1 ;
Compound of formula I, wherein A = Boc, B = hydrogen, G = OH, M = -0-, Q = 7-Methoxy-3-(thiophen-2-yl)-1 H-quinoxalin-2-yl, and j = n = s = 1 ; Compound of formula I, wherein A = Boc, B = hydrogen, G = OH, M = -0-, Q = 6-Methoxy-3-(thiophen-2-yl)-1 H-quinoxalin-2-yl, and j = n = s = 1 ;
Compound of formula I, wherein A = Boc, B = hydrogen, G = OH, M = -0- Q = 7-Methoxy-3-[2-(thiophen-2-yl)vinyl]-1 H-quinoxalin-2-yl, and j = n = s = 1 ;
Compound of formula I, wherein A = Boc, B = hydrogen, G = OH, M = -0-, Q = 6-Methoxy-3-[2-(thiophen-2-yl)vinylj-1H-quinoxalin-2-yl, and j = n = s = 1;
Compound of formula I, wherein A = Boc, B = hydrogen, G = OH, M = -O- Q = 7-Methoxy-3-[2-(pyridin-2-yl)vinyl]-1 H-quinoxalin-2-yl, and j = n = s = 1 ; or
Compound of formula I, wherein A = Boc, B = hydrogen, G = OH, M = -0-, Q = 7-methoxy-3-[2-(pyridin -2-yl)vinyl]-1 H-quinoxalin-2-yl, and j = n = s = 1.
11. A pharmaceutical composition comprising an anti-hepatitis C virally effective amount of a compound according to claim 1 , or a pharmaceutically acceptable salt, ester, or prodrug thereof, in combination with a pharmaceutically acceptable carrier or excipient.
12. A method of treating a hepatitis C viral infection in a mammal, comprising administering to the mammal an anti-hepatitis C virally effective amount of a pharmaceutical composition according to claim 11.
13. A method of inhibiting the replication of hepatitis C virus, the method comprising supplying a hepatitis C viral NS3 protease inhibitory amount of the pharmaceutical composition of claim 11.
14. The method of claim 13 further comprising administering concurrently an additional anti-hepatitis C virus agent.
15. The method of claim 14, wherein said additional anti-hepatitis C virus agent is selected from the group consisting of: α-interferon, β-interferon, ribavarin, and adamantine.
16. The method of claim 14, wherein said additional anti-hepatitis C virus agent is an inhibitor of another target in the hepatitis C virus life cycle, which is selected from the group consisting of: helicase, polymerase, metalloprotease, and IRES.
17. A process of making compounds of formula
Figure imgf000070_0001
wherein A, B, G, M, Q, j, n, and s are as defined in claim 1 , comprising the steps of:
(a) reacting a compound of formula (A): wherein A, B, and j is as defined in claim 1 with a hydroxyproline ethyl ester derivative of formula (B): in the presence of a base to form a compound of formula (C):
Figure imgf000070_0003
wherein A, B, and j are as defined in claim 1 and T is selected from OH, OMe, or OEt;
(b) reacting a compound of formula B with a compound of formula (D):
Figure imgf000071_0001
wherein G is as defined in claim 1 , under standard amide formation conditions to form a compound of formula (E):
Figure imgf000071_0002
wherein A, B, G, M, Q, and j are as defined in claim 1 ; and (c) reacting compound of formula E with a Ruthenium-based catalyst.
PCT/US2004/015802 2003-07-03 2004-05-19 Aza-peptide macrocyclic hepatitis c serine protease inhibitors Ceased WO2005010029A1 (en)

Priority Applications (1)

Application Number Priority Date Filing Date Title
US10/561,718 US20070021330A1 (en) 2003-07-03 2004-05-19 Aza-peptide macrocyclic hepatitis c serine protease inhibitors

Applications Claiming Priority (2)

Application Number Priority Date Filing Date Title
US10/613,206 US7125845B2 (en) 2003-07-03 2003-07-03 Aza-peptide macrocyclic hepatitis C serine protease inhibitors
US10/613,206 2003-07-03

Publications (1)

Publication Number Publication Date
WO2005010029A1 true WO2005010029A1 (en) 2005-02-03

Family

ID=34103139

Family Applications (1)

Application Number Title Priority Date Filing Date
PCT/US2004/015802 Ceased WO2005010029A1 (en) 2003-07-03 2004-05-19 Aza-peptide macrocyclic hepatitis c serine protease inhibitors

Country Status (2)

Country Link
US (2) US7125845B2 (en)
WO (1) WO2005010029A1 (en)

Cited By (74)

* Cited by examiner, † Cited by third party
Publication number Priority date Publication date Assignee Title
WO2005073216A3 (en) * 2004-01-30 2005-10-06 Medivir Ab Hcv ns-3 serine protease inhibitors
WO2007014925A1 (en) * 2005-07-29 2007-02-08 Tibotec Pharmaceuticals Ltd. Macrocylic inhibitors of hepatitis c virus
WO2007014921A1 (en) * 2005-07-29 2007-02-08 Tibotec Pharmaceuticals Ltd. Macrocyclic inhibitors of hepatitis c virus
WO2007014920A1 (en) * 2005-07-29 2007-02-08 Tibotec Pharmaceuticals Ltd. Macrocyclic inhibitors of hepatitis c virus
WO2007014926A1 (en) * 2005-07-29 2007-02-08 Tibotec Pharmaceuticals Ltd. Macrocyclic inhibitors of hepatitis c virus
WO2007019674A1 (en) 2005-08-12 2007-02-22 Boehringer Ingelheim International Gmbh Viral polymerase inhibitors
WO2007015824A3 (en) * 2005-07-25 2007-07-19 Intermune Inc Novel macrocyclic inhibitors of hepatitis c virus replication
WO2007017144A3 (en) * 2005-07-29 2007-11-29 Medivir Ab Macrocylic inhibitors of hepatitis c virus
EP1881002A1 (en) * 2006-07-20 2008-01-23 Tibotec Pharmaceuticals Ltd. HCV NS-3 serine protease inhibitors
US7323447B2 (en) 2005-02-08 2008-01-29 Bristol-Myers Squibb Company Hepatitis C virus inhibitors
WO2008059046A1 (en) 2006-11-17 2008-05-22 Tibotec Pharmaceuticals Ltd. Macrocyclic inhibitors of hepatitis c virus
WO2008064057A1 (en) * 2006-11-16 2008-05-29 Bristol-Myers Squibb Company Macrocyclic peptides as hepatitis c virus inhibitors
US7449479B2 (en) 2002-05-20 2008-11-11 Bristol-Myers Squibb Company Hepatitis C virus inhibitors
WO2007143694A3 (en) * 2006-06-06 2008-11-20 Enanta Pharm Inc Macrocyclic oximyl hepatitis c protease inhibitors
JP2009502886A (en) * 2005-07-29 2009-01-29 テイボテク・フアーマシユーチカルズ・リミテツド Macrocyclic inhibitor of hepatitis C virus
JP2009502881A (en) * 2005-07-29 2009-01-29 テイボテク・フアーマシユーチカルズ・リミテツド Macrocyclic inhibitor of hepatitis C virus
JP2009502885A (en) * 2005-07-29 2009-01-29 テイボテク・フアーマシユーチカルズ・リミテツド Macrocyclic inhibitor of hepatitis C virus
JP2009502882A (en) * 2005-07-29 2009-01-29 テイボテク・フアーマシユーチカルズ・リミテツド Macrocyclic inhibitor of hepatitis C virus
JP2009502890A (en) * 2005-07-29 2009-01-29 テイボテク・フアーマシユーチカルズ・リミテツド Macrocyclic inhibitor of hepatitis C virus
JP2009502887A (en) * 2005-07-29 2009-01-29 テイボテク・フアーマシユーチカルズ・リミテツド Macrocyclic inhibitor of hepatitis C virus
US7491794B2 (en) 2003-10-14 2009-02-17 Intermune, Inc. Macrocyclic compounds as inhibitors of viral replication
WO2009073713A1 (en) * 2007-12-05 2009-06-11 Enanta Pharmaceuticals, Inc. Oximyl macrocyclic derivatives
WO2009076173A2 (en) 2007-12-05 2009-06-18 Enanta Pharmaceuticals, Inc. Fluorinated tripeptide hcv serine protease inhibitors
WO2009076747A1 (en) 2007-12-19 2009-06-25 Boehringer Ingelheim International Gmbh Viral polymerase inhibitors
US7592336B2 (en) 2005-05-10 2009-09-22 Bristol-Myers Squibb Company Hepatitis C virus inhibitors
US7601686B2 (en) 2005-07-11 2009-10-13 Bristol-Myers Squibb Company Hepatitis C virus inhibitors
US7666856B2 (en) 2006-10-10 2010-02-23 Medivir Ab Antiviral nucleosides
US7687459B2 (en) 2006-08-11 2010-03-30 Enanta Pharmaceuticals, Inc. Arylalkoxyl hepatitis C virus protease inhibitors
US7741281B2 (en) 2005-11-03 2010-06-22 Bristol-Myers Squibb Company Hepatitis C virus inhibitors
WO2010075127A1 (en) 2008-12-22 2010-07-01 Gilead Sciences, Inc. Antiviral compounds
WO2010080874A1 (en) 2009-01-07 2010-07-15 Scynexis, Inc. Cyclosporine derivative for use in the treatment of hcv and hiv infection
US7763584B2 (en) 2006-11-16 2010-07-27 Bristol-Myers Squibb Company Hepatitis C virus inhibitors
US7772183B2 (en) 2005-10-12 2010-08-10 Bristol-Myers Squibb Company Hepatitis C virus inhibitors
US7772180B2 (en) 2006-11-09 2010-08-10 Bristol-Myers Squibb Company Hepatitis C virus inhibitors
US7816348B2 (en) 2006-02-03 2010-10-19 Boehringer Ingelheim International Gmbh Viral polymerase inhibitors
WO2010132163A1 (en) 2009-05-13 2010-11-18 Enanta Pharmaceuticals, Inc. Macrocyclic compounds as hepatitis c virus inhibitors
US7888464B2 (en) 2006-11-16 2011-02-15 Bristol-Myers Squibb Company Hepatitis C virus inhibitors
US7897622B2 (en) 2006-08-17 2011-03-01 Boehringer Ingelheim International Gmbh Viral polymerase inhibitors
US7935670B2 (en) 2006-07-11 2011-05-03 Bristol-Myers Squibb Company Hepatitis C virus inhibitors
US7964560B2 (en) 2008-05-29 2011-06-21 Bristol-Myers Squibb Company Hepatitis C virus inhibitors
EP2364984A1 (en) 2005-08-26 2011-09-14 Vertex Pharmaceuticals Incorporated Inhibitors of serine proteases
US8030307B2 (en) 2007-11-29 2011-10-04 Enanta Pharmaceuticals, Inc. Bicyclic, C5-substituted proline derivatives as inhibitors of the hepatitis C virus NS3 protease
US8044087B2 (en) 2008-09-29 2011-10-25 Bristol-Myers Squibb Company Hepatitis C virus inhibitors
US8044023B2 (en) 2008-05-29 2011-10-25 Bristol-Myers Squibb Company Hepatitis C virus inhibitors
US8163921B2 (en) 2008-04-16 2012-04-24 Bristol-Myers Squibb Company Hepatitis C virus inhibitors
WO2011156337A3 (en) * 2010-06-07 2012-04-26 Abbott Laboratories Macrocyclic hepatitis c serine protease inhibitors
US8178491B2 (en) 2007-06-29 2012-05-15 Gilead Sciences, Inc. Antiviral compounds
US8202996B2 (en) 2007-12-21 2012-06-19 Bristol-Myers Squibb Company Crystalline forms of N-(tert-butoxycarbonyl)-3-methyl-L-valyl-(4R)-4-((7-chloro-4-methoxy-1-isoquinolinyl)oxy)-N- ((1R,2S)-1-((cyclopropylsulfonyl)carbamoyl)-2-vinylcyclopropyl)-L-prolinamide
US8207341B2 (en) 2008-09-04 2012-06-26 Bristol-Myers Squibb Company Process or synthesizing substituted isoquinolines
US8212043B2 (en) 2007-02-01 2012-07-03 Janssen R&D Ireland Processes and intermediates for preparing a macrocyclic protease inhibitor of HCV
CN101568336B (en) * 2006-11-16 2012-07-04 百时美施贵宝公司 Use of macrocyclic peptides in the preparation of hepatitis C virus inhibitors
US8216999B2 (en) 2005-07-20 2012-07-10 Merck Sharp & Dohme Corp. HCV NS3 protease inhibitors
US8242140B2 (en) 2007-08-03 2012-08-14 Boehringer Ingelheim International Gmbh Viral polymerase inhibitors
US8263549B2 (en) 2007-11-29 2012-09-11 Enanta Pharmaceuticals, Inc. C5-substituted, proline-derived, macrocyclic hepatitis C serine protease inhibitors
US8268776B2 (en) 2006-06-06 2012-09-18 Enanta Pharmaceuticals, Inc. Macrocylic oximyl hepatitis C protease inhibitors
US8283310B2 (en) 2008-12-15 2012-10-09 Bristol-Myers Squibb Company Hepatitis C virus inhibitors
US8314141B2 (en) 1996-10-18 2012-11-20 Vertex Pharmaceuticals Incorporated Inhibitors of serine proteases, particularly hepatitis C virus NS3 protease
US8343477B2 (en) 2006-11-01 2013-01-01 Bristol-Myers Squibb Company Inhibitors of hepatitis C virus
RU2486189C2 (en) * 2005-07-29 2013-06-27 Тиботек Фармасьютикалз Лтд. Hepatitis c virus macrocyclic inhibitors
US8513186B2 (en) 2007-06-29 2013-08-20 Gilead Sciences, Inc. Antiviral compounds
US8563505B2 (en) 2008-09-29 2013-10-22 Bristol-Myers Squibb Company Hepatitis C virus inhibitors
US8691757B2 (en) 2011-06-15 2014-04-08 Bristol-Myers Squibb Company Hepatitis C virus inhibitors
US8957203B2 (en) 2011-05-05 2015-02-17 Bristol-Myers Squibb Company Hepatitis C virus inhibitors
US8993595B2 (en) 2009-04-08 2015-03-31 Idenix Pharmaceuticals, Inc. Macrocyclic serine protease inhibitors
US9284307B2 (en) 2009-08-05 2016-03-15 Idenix Pharmaceuticals Llc Macrocyclic serine protease inhibitors
US9334279B2 (en) 2012-11-02 2016-05-10 Bristol-Myers Squibb Company Hepatitis C virus inhibitors
EP3020723A1 (en) 2010-09-21 2016-05-18 Enanta Pharmaceuticals, Inc. Macrocyclic proline derived hcv serine protease inhibitors
US9353100B2 (en) 2011-02-10 2016-05-31 Idenix Pharmaceuticals Llc Macrocyclic serine protease inhibitors, pharmaceutical compositions thereof, and their use for treating HCV infections
US9409943B2 (en) 2012-11-05 2016-08-09 Bristol-Myers Squibb Company Hepatitis C virus inhibitors
US9499550B2 (en) 2012-10-19 2016-11-22 Bristol-Myers Squibb Company Hepatitis C virus inhibitors
US9526769B2 (en) 2006-06-06 2016-12-27 Enanta Pharmaceuticals, Inc. Macrocylic oximyl hepatitis C protease inhibitors
US9580463B2 (en) 2013-03-07 2017-02-28 Bristol-Myers Squibb Company Hepatitis C virus inhibitors
US9598433B2 (en) 2012-11-02 2017-03-21 Bristol-Myers Squibb Company Hepatitis C virus inhibitors
US9643999B2 (en) 2012-11-02 2017-05-09 Bristol-Myers Squibb Company Hepatitis C virus inhibitors

Families Citing this family (39)

* Cited by examiner, † Cited by third party
Publication number Priority date Publication date Assignee Title
KR20080056295A (en) 2005-10-11 2008-06-20 인터뮨, 인크. Compounds and Methods for Inhibiting Hepatitis C Virus Replication
KR20090024834A (en) 2006-07-05 2009-03-09 인터뮨, 인크. New Inhibitors of Hepatitis C Virus Replication
US7718612B2 (en) * 2007-08-02 2010-05-18 Enanta Pharmaceuticals, Inc. Pyridazinonyl macrocyclic hepatitis C serine protease inhibitors
US20090123423A1 (en) * 2007-04-26 2009-05-14 Yonghua Gai Hydroxyamic analogs as hepatitis c virus serine protease inhibitor
US20080274082A1 (en) * 2007-04-26 2008-11-06 Yonghua Gai Oximyl hydroxyamic analogs as hepatitis c virus protease inhibitor
WO2008134395A1 (en) * 2007-04-26 2008-11-06 Enanta Pharmaceuticals, Inc. Aza-peptide macrocyclic hepatitis c serine protease inhibitors
US20080286233A1 (en) * 2007-04-26 2008-11-20 Ying Sun Piperizinyl macrocyclic hepatitis c serine protease inhibitors
WO2008134397A1 (en) * 2007-04-26 2008-11-06 Enanta Pharmaceuticals, Inc. Aza-tripeptide hepatitis c serine protease inhibitors
US20080279821A1 (en) * 2007-04-26 2008-11-13 Deqiang Niu Arylpiperidinyl and arylpyrrolidinyl macrocyclic hepatitis c serine protease inhibitors
JP2010528987A (en) * 2007-05-03 2010-08-26 インターミューン・インコーポレーテッド Novel macrocyclic inhibitor of hepatitis C virus replication
BRPI0811447A2 (en) * 2007-05-10 2014-10-29 Intermune Inc COMPOUNDS, PHARMACEUTICAL COMPOSITION, AND METHODS OF INHIBITING NS3 / NS4 PROTEASE ACTIVITY, HEPATIC FIBROSIS TREATMENT AND HEPATIC FUNCTION INTENSIFICATION IN AN INDIVIDUAL HAVING HEPATITIS C VIRUS INFECTION.
US8419332B2 (en) * 2007-10-19 2013-04-16 Atlas Bolt & Screw Company Llc Non-dimpling fastener
WO2009053828A2 (en) * 2007-10-22 2009-04-30 Enanta Pharmaceuticals, Inc. P3 hydroxyamino macrocyclic hepatitis c serine protease inhibitors
US8383583B2 (en) 2007-10-26 2013-02-26 Enanta Pharmaceuticals, Inc. Macrocyclic, pyridazinone-containing hepatitis C serine protease inhibitors
MX2010005261A (en) 2007-11-14 2010-10-15 Enanta Pharm Inc Macrocyclic tetrazolyl hepatitis c serine protease inhibitors.
CL2008003384A1 (en) 2007-11-14 2009-12-11 Enanta Pharm Inc Macrocyclic quinoxaline derived compounds, serine protease inhibitors; pharmaceutical composition comprising them; and its use in the treatment of hepatitis c.
WO2009073780A1 (en) * 2007-12-06 2009-06-11 Enanta Pharmaceuticals, Inc. Process for making macrocyclic oximyl hepatitis c protease inhibitors
WO2009079353A1 (en) * 2007-12-14 2009-06-25 Enanta Pharmaceuticals, Inc. Triazole-containing macrocyclic hcv serine protease inhibitors
JP5574982B2 (en) 2008-02-04 2014-08-20 イデニク プハルマセウティカルス,インコーポレイテッド Macrocyclic serine protease inhibitor
JP5490778B2 (en) * 2008-03-20 2014-05-14 エナンタ ファーマシューティカルズ インコーポレイテッド Fluorinated macrocycles as hepatitis C virus inhibitors
KR20110005869A (en) * 2008-04-15 2011-01-19 인터뮨, 인크. Novel Macrocyclic Inhibitors of Hepatitis C Virus Replication
WO2010033466A1 (en) * 2008-09-16 2010-03-25 Phenomix Corporation Macrocyclic inhibitors of hepatitis c protease
US8603737B2 (en) * 2008-09-19 2013-12-10 Celgene Avilomics Research, Inc. Methods for identifying HCV protease inhibitors
US8102720B2 (en) * 2009-02-02 2012-01-24 Qualcomm Incorporated System and method of pulse generation
AR075584A1 (en) * 2009-02-27 2011-04-20 Intermune Inc THERAPEUTIC COMPOSITIONS THAT INCLUDE beta-D-2'-DESOXI-2'-FLUORO-2'-C-METHYLYCTIDINE AND A CARDIEX ISOINDOL ACID DERIVATIVE AND ITS USES. COMPOUND.
JP5690286B2 (en) 2009-03-04 2015-03-25 イデニク プハルマセウティカルス,インコーポレイテッド Phosphothiophene and phosphothiazole HCV polymerase inhibitors
US20110081315A1 (en) * 2009-09-28 2011-04-07 Intermune, Inc. Novel macrocyclic inhibitors of hepatitis c virus replication
WO2011049908A2 (en) * 2009-10-19 2011-04-28 Enanta Pharmaceuticals, Inc. Bismacrokyclic compounds as hepatitis c virus inhibitors
US20110117055A1 (en) 2009-11-19 2011-05-19 Macdonald James E Methods of Treating Hepatitis C Virus with Oxoacetamide Compounds
KR20120118008A (en) 2009-12-18 2012-10-25 아이데닉스 파마슈티칼스, 인코포레이티드 5,5-fused arylene or heteroarylene hepatitis c virus inhibitors
US8937041B2 (en) 2010-12-30 2015-01-20 Abbvie, Inc. Macrocyclic hepatitis C serine protease inhibitors
SG191759A1 (en) 2010-12-30 2013-08-30 Enanta Pharm Inc Phenanthridine macrocyclic hepatitis c serine protease inhibitors
US20120252721A1 (en) 2011-03-31 2012-10-04 Idenix Pharmaceuticals, Inc. Methods for treating drug-resistant hepatitis c virus infection with a 5,5-fused arylene or heteroarylene hepatitis c virus inhibitor
US9597292B2 (en) 2012-08-22 2017-03-21 Xenoport, Inc. Oral dosage forms of methyl hydrogen fumarate and prodrugs thereof
JP2015527372A (en) 2012-08-22 2015-09-17 ゼノポート,インコーポレイティド Method for administering monomethyl fumarate and prodrug thereof for reducing side effects
US11484534B2 (en) 2013-03-14 2022-11-01 Abbvie Inc. Methods for treating HCV
WO2015042375A1 (en) 2013-09-20 2015-03-26 Idenix Pharmaceuticals, Inc. Hepatitis c virus inhibitors
WO2015134561A1 (en) 2014-03-05 2015-09-11 Idenix Pharmaceuticals, Inc. Pharmaceutical compositions comprising a 5,5-fused heteroarylene flaviviridae inhibitor and their use for treating or preventing flaviviridae infection
EP3114122A1 (en) 2014-03-05 2017-01-11 Idenix Pharmaceuticals LLC Solid forms of a flaviviridae virus inhibitor compound and salts thereof

Citations (2)

* Cited by examiner, † Cited by third party
Publication number Priority date Publication date Assignee Title
WO2000009543A2 (en) * 1998-08-10 2000-02-24 Boehringer Ingelheim (Canada) Ltd. Hepatitis c inhibitor tri-peptides
WO2000059929A1 (en) * 1999-04-06 2000-10-12 Boehringer Ingelheim (Canada) Ltd. Macrocyclic peptides active against the hepatitis c virus

Family Cites Families (3)

* Cited by examiner, † Cited by third party
Publication number Priority date Publication date Assignee Title
US6608027B1 (en) * 1999-04-06 2003-08-19 Boehringer Ingelheim (Canada) Ltd Macrocyclic peptides active against the hepatitis C virus
US6867185B2 (en) 2001-12-20 2005-03-15 Bristol-Myers Squibb Company Inhibitors of hepatitis C virus
CA2515216A1 (en) 2003-02-07 2004-08-26 Enanta Pharmaceuticals, Inc. Macrocyclic hepatitis c serine protease inhibitors

Patent Citations (2)

* Cited by examiner, † Cited by third party
Publication number Priority date Publication date Assignee Title
WO2000009543A2 (en) * 1998-08-10 2000-02-24 Boehringer Ingelheim (Canada) Ltd. Hepatitis c inhibitor tri-peptides
WO2000059929A1 (en) * 1999-04-06 2000-10-12 Boehringer Ingelheim (Canada) Ltd. Macrocyclic peptides active against the hepatitis c virus

Non-Patent Citations (1)

* Cited by examiner, † Cited by third party
Title
WEINSTEIN B: "CHEMISTRY AND BIOCHEMISTRY OF AMINO ACIDS, PEPTIDES AND PROTEINS, PASSAGE", CHEMISTRY AND BIOCHEMISTRY OF AMINO ACIDS, PEPTIDES, AND PROTEINS, XX, XX, vol. 7, 1983, pages 266 - 357, XP002032461 *

Cited By (144)

* Cited by examiner, † Cited by third party
Publication number Priority date Publication date Assignee Title
US8314141B2 (en) 1996-10-18 2012-11-20 Vertex Pharmaceuticals Incorporated Inhibitors of serine proteases, particularly hepatitis C virus NS3 protease
US7449479B2 (en) 2002-05-20 2008-11-11 Bristol-Myers Squibb Company Hepatitis C virus inhibitors
US8299094B2 (en) 2002-05-20 2012-10-30 Bristol-Myers Squibb Company Hepatitis C virus inhibitors
US8507722B2 (en) 2002-05-20 2013-08-13 Bristol-Myers Squibb Company Hepatitis C virus inhibitors
US9636375B2 (en) 2002-05-20 2017-05-02 Bristol-Myers Squibb Company Hepatitis C virus inhibitors
US9227940B2 (en) 2002-05-20 2016-01-05 Bristol-Myers Squibb Company Hepatitis C virus inhibitors
US8889871B2 (en) 2002-05-20 2014-11-18 Bristol-Myers Squibb Company Hepatitis C virus inhibitors
US8710229B2 (en) 2002-05-20 2014-04-29 Bristol-Myers Squibb Company Hepatitis C virus inhibitors
US7915291B2 (en) 2002-05-20 2011-03-29 Bristol-Myers Squibb Company Hepatitis C virus inhibitors
US7491794B2 (en) 2003-10-14 2009-02-17 Intermune, Inc. Macrocyclic compounds as inhibitors of viral replication
US7671032B2 (en) 2004-01-30 2010-03-02 Medivir Ab HCV NS-3 serine protease inhibitors
EA012410B1 (en) * 2004-01-30 2009-10-30 Медивир Аб Hcv ns-3-serine protease inhibitors
US10172846B2 (en) 2004-01-30 2019-01-08 Medivir Ab HCV NS-3 serine protease inhibitors
AU2005207815B2 (en) * 2004-01-30 2011-08-04 Medivir Ab HCV NS-3 serine protease inhibitors
JP2014055161A (en) * 2004-01-30 2014-03-27 Medivir Ab Hcvns-3 serine protease inhibitor
WO2005073216A3 (en) * 2004-01-30 2005-10-06 Medivir Ab Hcv ns-3 serine protease inhibitors
US7608590B2 (en) 2004-01-30 2009-10-27 Medivir Ab HCV NS-3 serine protease inhibitors
US7323447B2 (en) 2005-02-08 2008-01-29 Bristol-Myers Squibb Company Hepatitis C virus inhibitors
US7592336B2 (en) 2005-05-10 2009-09-22 Bristol-Myers Squibb Company Hepatitis C virus inhibitors
US7601686B2 (en) 2005-07-11 2009-10-13 Bristol-Myers Squibb Company Hepatitis C virus inhibitors
US8216999B2 (en) 2005-07-20 2012-07-10 Merck Sharp & Dohme Corp. HCV NS3 protease inhibitors
EA019888B1 (en) * 2005-07-25 2014-07-30 Интермьюн, Инк. Intermediate compound for making macrocyclic inhibitors of hepatitis c virus replication and method of synthesis thereof
EP2103623A3 (en) * 2005-07-25 2009-12-16 Intermune, Inc. Novel macrocyclic inhibitors of Hepatitis C virus replication
KR101294467B1 (en) 2005-07-25 2013-09-09 인터뮨, 인크. Novel macrocyclic inhibitors of hepatitis c virus replication
EA015752B1 (en) * 2005-07-25 2011-12-30 Интермьюн, Инк. Novel macrocyclic inhibitors of hepatitis c virus replication
WO2007015824A3 (en) * 2005-07-25 2007-07-19 Intermune Inc Novel macrocyclic inhibitors of hepatitis c virus replication
JP2009502888A (en) * 2005-07-29 2009-01-29 テイボテク・フアーマシユーチカルズ・リミテツド Macrocycle inhibitor of hepatitis C virus
EP2322516A1 (en) * 2005-07-29 2011-05-18 Tibotec Pharmaceuticals Ltd. Intermediates for the preparation of Macrocyclic inhibitors of hepatitis c virus
US9856265B2 (en) 2005-07-29 2018-01-02 Janssen Sciences Ireland Uc Macrocyclic inhibitors of hepatitis C virus
JP2009502887A (en) * 2005-07-29 2009-01-29 テイボテク・フアーマシユーチカルズ・リミテツド Macrocyclic inhibitor of hepatitis C virus
JP2009502890A (en) * 2005-07-29 2009-01-29 テイボテク・フアーマシユーチカルズ・リミテツド Macrocyclic inhibitor of hepatitis C virus
JP2009502882A (en) * 2005-07-29 2009-01-29 テイボテク・フアーマシユーチカルズ・リミテツド Macrocyclic inhibitor of hepatitis C virus
CN101282978B (en) * 2005-07-29 2012-07-11 泰博特克药品有限公司 Macrocylic inhibitors of hepatitis c virus
JP2009502885A (en) * 2005-07-29 2009-01-29 テイボテク・フアーマシユーチカルズ・リミテツド Macrocyclic inhibitor of hepatitis C virus
US7666834B2 (en) 2005-07-29 2010-02-23 Tibotec Pharmaceuticals Ltd. Macrocyclic inhibitors of hepatitis C virus
US8227407B2 (en) 2005-07-29 2012-07-24 Medivir Ab Macrocyclic inhibitors of hepatitis C virus
JP2009502845A (en) * 2005-07-29 2009-01-29 メディヴィル・アクチボラグ Macrocyclic inhibitor of hepatitis C virus
JP2009502881A (en) * 2005-07-29 2009-01-29 テイボテク・フアーマシユーチカルズ・リミテツド Macrocyclic inhibitor of hepatitis C virus
US9353103B2 (en) 2005-07-29 2016-05-31 Janssen Sciences Ireland Uc Macrocyclic inhibitors of hepatitis C virus
US7700552B2 (en) 2005-07-29 2010-04-20 Medivir Ab Macrocyclic inhibitors of hepatitis C virus
WO2007014925A1 (en) * 2005-07-29 2007-02-08 Tibotec Pharmaceuticals Ltd. Macrocylic inhibitors of hepatitis c virus
JP2009502886A (en) * 2005-07-29 2009-01-29 テイボテク・フアーマシユーチカルズ・リミテツド Macrocyclic inhibitor of hepatitis C virus
EP2937339A1 (en) * 2005-07-29 2015-10-28 Janssen Sciences Ireland UC Macrocylic inhibitors of hepatitis c virus
US9040562B2 (en) 2005-07-29 2015-05-26 Janssen R&D Ireland Macrocyclic inhibitors of hepatitis C virus
US8183277B2 (en) 2005-07-29 2012-05-22 Tibotec Pharmaceuticals Ltd. Macrocylic inhibitors of hepatitis C virus
US9023808B2 (en) 2005-07-29 2015-05-05 Medivir Ab Macrocyclic inhibitors of hepatitis C virus
WO2007014921A1 (en) * 2005-07-29 2007-02-08 Tibotec Pharmaceuticals Ltd. Macrocyclic inhibitors of hepatitis c virus
JP2009502883A (en) * 2005-07-29 2009-01-29 テイボテク・フアーマシユーチカルズ・リミテツド Macrocyclic inhibitor of hepatitis C virus
JP2009502884A (en) * 2005-07-29 2009-01-29 テイボテク・フアーマシユーチカルズ・リミテツド Macrocyclic inhibitor of hepatitis C virus
US8754106B2 (en) 2005-07-29 2014-06-17 Janssen R&D Ireland Macrocyclic inhibitors of hepatitis C virus
US8754116B2 (en) 2005-07-29 2014-06-17 Janssen R&D Ireland Macrocyclic inhibitors of hepatitis C virus
AP2406A (en) * 2005-07-29 2012-05-02 Tibotec Pharm Ltd Macrocydic inhibitors of hepatitis C virus.
US8754105B2 (en) 2005-07-29 2014-06-17 Medivir Ab Macrocyclic inhibitors of hepatitis C virus
US8349869B2 (en) 2005-07-29 2013-01-08 Tibotec Pharmaceuticals Ltd. Macrocylic inhibitors of hepatitis C virus
US9623022B2 (en) 2005-07-29 2017-04-18 Janssen Sciences Ireland Uc Macrocyclic inhibitors of hepatitis C virus
US8741926B2 (en) 2005-07-29 2014-06-03 Janssen R&D Ireland Macrocyclic inhibitors of hepatitis C virus
EA015131B1 (en) * 2005-07-29 2011-06-30 Тиботек Фармасьютикалз Лтд. Macrocyclic inhibitors of hepatitis c virus
NO342393B1 (en) * 2005-07-29 2018-05-14 Medivir Ab Macrocyclic inhibitors of hepatitis C virus
TWI383980B (en) * 2005-07-29 2013-02-01 Tibotec Pharm Ltd Macrocylic inhibitors of hepatitis c virus
KR101059419B1 (en) 2005-07-29 2011-08-29 메디비르 아베 Macrocyclic Inhibitors of Hepatitis C Virus
US8012939B2 (en) 2005-07-29 2011-09-06 Tibotec Pharmaceuticals Ltd. Co Macrocyclic inhibitors of hepatitis C virus
RU2486189C2 (en) * 2005-07-29 2013-06-27 Тиботек Фармасьютикалз Лтд. Hepatitis c virus macrocyclic inhibitors
US8153800B2 (en) 2005-07-29 2012-04-10 Tibotec Pharmaceuticals Ltd. Macrocyclic inhibitors of hepatitis C virus
WO2007017144A3 (en) * 2005-07-29 2007-11-29 Medivir Ab Macrocylic inhibitors of hepatitis c virus
US8148399B2 (en) 2005-07-29 2012-04-03 Tibotec Pharmaceuticals Ltd. Macrocyclic inhibitors of hepatitis C virus
WO2007014926A1 (en) * 2005-07-29 2007-02-08 Tibotec Pharmaceuticals Ltd. Macrocyclic inhibitors of hepatitis c virus
WO2007014920A1 (en) * 2005-07-29 2007-02-08 Tibotec Pharmaceuticals Ltd. Macrocyclic inhibitors of hepatitis c virus
WO2007019674A1 (en) 2005-08-12 2007-02-22 Boehringer Ingelheim International Gmbh Viral polymerase inhibitors
EP2366704A1 (en) 2005-08-26 2011-09-21 Vertex Pharmaceuticals Incorporated Inhibitors of serine proteases
EP2364984A1 (en) 2005-08-26 2011-09-14 Vertex Pharmaceuticals Incorporated Inhibitors of serine proteases
US7772183B2 (en) 2005-10-12 2010-08-10 Bristol-Myers Squibb Company Hepatitis C virus inhibitors
US7741281B2 (en) 2005-11-03 2010-06-22 Bristol-Myers Squibb Company Hepatitis C virus inhibitors
US7816348B2 (en) 2006-02-03 2010-10-19 Boehringer Ingelheim International Gmbh Viral polymerase inhibitors
WO2007143694A3 (en) * 2006-06-06 2008-11-20 Enanta Pharm Inc Macrocyclic oximyl hepatitis c protease inhibitors
US8268776B2 (en) 2006-06-06 2012-09-18 Enanta Pharmaceuticals, Inc. Macrocylic oximyl hepatitis C protease inhibitors
US9526769B2 (en) 2006-06-06 2016-12-27 Enanta Pharmaceuticals, Inc. Macrocylic oximyl hepatitis C protease inhibitors
JP2009539871A (en) * 2006-06-06 2009-11-19 エナンタ ファーマシューティカルズ インコーポレイテッド Macrocyclic oxymil hepatitis C protease inhibitor
US7935670B2 (en) 2006-07-11 2011-05-03 Bristol-Myers Squibb Company Hepatitis C virus inhibitors
EP1881002A1 (en) * 2006-07-20 2008-01-23 Tibotec Pharmaceuticals Ltd. HCV NS-3 serine protease inhibitors
US7687459B2 (en) 2006-08-11 2010-03-30 Enanta Pharmaceuticals, Inc. Arylalkoxyl hepatitis C virus protease inhibitors
US7897622B2 (en) 2006-08-17 2011-03-01 Boehringer Ingelheim International Gmbh Viral polymerase inhibitors
US7825239B2 (en) 2006-10-10 2010-11-02 Medivir Ab Antiviral nucleosides
US8158779B2 (en) 2006-10-10 2012-04-17 Medivir Ab Antiviral nucleosides
US7935681B2 (en) 2006-10-10 2011-05-03 Medivir Ab Antiviral nucleosides
US7666856B2 (en) 2006-10-10 2010-02-23 Medivir Ab Antiviral nucleosides
US8343477B2 (en) 2006-11-01 2013-01-01 Bristol-Myers Squibb Company Inhibitors of hepatitis C virus
US7772180B2 (en) 2006-11-09 2010-08-10 Bristol-Myers Squibb Company Hepatitis C virus inhibitors
US7763584B2 (en) 2006-11-16 2010-07-27 Bristol-Myers Squibb Company Hepatitis C virus inhibitors
JP2010510967A (en) * 2006-11-16 2010-04-08 ブリストル−マイヤーズ スクイブ カンパニー Macrocyclic peptides as hepatitis C virus inhibitors
CN101568336B (en) * 2006-11-16 2012-07-04 百时美施贵宝公司 Use of macrocyclic peptides in the preparation of hepatitis C virus inhibitors
US7888464B2 (en) 2006-11-16 2011-02-15 Bristol-Myers Squibb Company Hepatitis C virus inhibitors
WO2008064057A1 (en) * 2006-11-16 2008-05-29 Bristol-Myers Squibb Company Macrocyclic peptides as hepatitis c virus inhibitors
US8003604B2 (en) 2006-11-16 2011-08-23 Bristol-Myers Squibb Company Hepatitis C virus inhibitors
US8637663B2 (en) 2006-11-17 2014-01-28 Janssen R&D Ireland Macrocyclic inhibitors of hepatitis C virus
US9365582B2 (en) 2006-11-17 2016-06-14 Janssen Sciences Ireland Uc Macrocyclic inhibitors of hepatitis C virus
WO2008059046A1 (en) 2006-11-17 2008-05-22 Tibotec Pharmaceuticals Ltd. Macrocyclic inhibitors of hepatitis c virus
US8212043B2 (en) 2007-02-01 2012-07-03 Janssen R&D Ireland Processes and intermediates for preparing a macrocyclic protease inhibitor of HCV
US8722892B2 (en) 2007-02-01 2014-05-13 Janssen R&D Ireland Processes and intermediates for preparing a macrocyclic protease inhibitor of HCV
US8809266B2 (en) 2007-06-29 2014-08-19 Gilead Sciences, Inc. Antiviral compounds
US8809267B2 (en) 2007-06-29 2014-08-19 Gilead Sciences, Inc. Antiviral compounds
US8178491B2 (en) 2007-06-29 2012-05-15 Gilead Sciences, Inc. Antiviral compounds
US8513186B2 (en) 2007-06-29 2013-08-20 Gilead Sciences, Inc. Antiviral compounds
US8242140B2 (en) 2007-08-03 2012-08-14 Boehringer Ingelheim International Gmbh Viral polymerase inhibitors
US8030307B2 (en) 2007-11-29 2011-10-04 Enanta Pharmaceuticals, Inc. Bicyclic, C5-substituted proline derivatives as inhibitors of the hepatitis C virus NS3 protease
US8263549B2 (en) 2007-11-29 2012-09-11 Enanta Pharmaceuticals, Inc. C5-substituted, proline-derived, macrocyclic hepatitis C serine protease inhibitors
WO2009073713A1 (en) * 2007-12-05 2009-06-11 Enanta Pharmaceuticals, Inc. Oximyl macrocyclic derivatives
WO2009076173A2 (en) 2007-12-05 2009-06-18 Enanta Pharmaceuticals, Inc. Fluorinated tripeptide hcv serine protease inhibitors
US8268777B2 (en) 2007-12-05 2012-09-18 Enanta Pharmaceuticals, Inc. Oximyl macrocyclic derivatives
US8476257B2 (en) 2007-12-19 2013-07-02 Boehringer Ingelheim International Gmbh Viral polymerase inhibitors
WO2009076747A1 (en) 2007-12-19 2009-06-25 Boehringer Ingelheim International Gmbh Viral polymerase inhibitors
US8541402B2 (en) 2007-12-19 2013-09-24 Boehringer Ingelheim International Gmbh Viral polymerase inhibitors
US8912182B2 (en) 2007-12-19 2014-12-16 Boehringer Ingelheim International Gmbh Viral polymerase inhibitors
US8202996B2 (en) 2007-12-21 2012-06-19 Bristol-Myers Squibb Company Crystalline forms of N-(tert-butoxycarbonyl)-3-methyl-L-valyl-(4R)-4-((7-chloro-4-methoxy-1-isoquinolinyl)oxy)-N- ((1R,2S)-1-((cyclopropylsulfonyl)carbamoyl)-2-vinylcyclopropyl)-L-prolinamide
US8338606B2 (en) 2007-12-21 2012-12-25 Bristol-Myers Squibb Company Crystalline forms of N-(tert-butoxycarbonyl)-3-methyl-L-valyl-(4R)-4-((7-chloro-4-methoxy-1-isoquinolinyl)oxy)-N-((1R,2S)-1-((cyclopropylsulfonyl)carbamoyl)-2-vinylcyclopropyl)-L-prolinamide
US8163921B2 (en) 2008-04-16 2012-04-24 Bristol-Myers Squibb Company Hepatitis C virus inhibitors
US7964560B2 (en) 2008-05-29 2011-06-21 Bristol-Myers Squibb Company Hepatitis C virus inhibitors
US8044023B2 (en) 2008-05-29 2011-10-25 Bristol-Myers Squibb Company Hepatitis C virus inhibitors
US8357806B2 (en) 2008-09-04 2013-01-22 Bristol-Myers Squibb Company Process for synthesizing substituted isoquinolines
US8207341B2 (en) 2008-09-04 2012-06-26 Bristol-Myers Squibb Company Process or synthesizing substituted isoquinolines
US8877929B2 (en) 2008-09-04 2014-11-04 Bristol-Myers Squibb Company Process for synthesizing substituted isoquinolines
US8044087B2 (en) 2008-09-29 2011-10-25 Bristol-Myers Squibb Company Hepatitis C virus inhibitors
US8563505B2 (en) 2008-09-29 2013-10-22 Bristol-Myers Squibb Company Hepatitis C virus inhibitors
US8283310B2 (en) 2008-12-15 2012-10-09 Bristol-Myers Squibb Company Hepatitis C virus inhibitors
WO2010075127A1 (en) 2008-12-22 2010-07-01 Gilead Sciences, Inc. Antiviral compounds
WO2010080874A1 (en) 2009-01-07 2010-07-15 Scynexis, Inc. Cyclosporine derivative for use in the treatment of hcv and hiv infection
US8993595B2 (en) 2009-04-08 2015-03-31 Idenix Pharmaceuticals, Inc. Macrocyclic serine protease inhibitors
WO2010132163A1 (en) 2009-05-13 2010-11-18 Enanta Pharmaceuticals, Inc. Macrocyclic compounds as hepatitis c virus inhibitors
US9284307B2 (en) 2009-08-05 2016-03-15 Idenix Pharmaceuticals Llc Macrocyclic serine protease inhibitors
CN103025736A (en) * 2010-06-07 2013-04-03 Abbvie公司 Macrocyclic hepatitis c serine protease inhibitors
US8748374B2 (en) 2010-06-07 2014-06-10 Abbvie, Inc. Macrocyclic hepatitis C serine protease inhibitors
CN103025736B (en) * 2010-06-07 2016-07-06 Abbvie公司 Macrocyclic hepatitis C serine protease inhibitors
WO2011156337A3 (en) * 2010-06-07 2012-04-26 Abbott Laboratories Macrocyclic hepatitis c serine protease inhibitors
US9493506B2 (en) 2010-06-07 2016-11-15 Abbvie Inc. Macrocyclic hepatitis C serine protease inhibitors
EP3020723A1 (en) 2010-09-21 2016-05-18 Enanta Pharmaceuticals, Inc. Macrocyclic proline derived hcv serine protease inhibitors
US9353100B2 (en) 2011-02-10 2016-05-31 Idenix Pharmaceuticals Llc Macrocyclic serine protease inhibitors, pharmaceutical compositions thereof, and their use for treating HCV infections
US9527885B2 (en) 2011-05-05 2016-12-27 Bristol-Myers Squibb Company Hepatitis C virus inhibitors
US8957203B2 (en) 2011-05-05 2015-02-17 Bristol-Myers Squibb Company Hepatitis C virus inhibitors
US8691757B2 (en) 2011-06-15 2014-04-08 Bristol-Myers Squibb Company Hepatitis C virus inhibitors
US9499550B2 (en) 2012-10-19 2016-11-22 Bristol-Myers Squibb Company Hepatitis C virus inhibitors
US9598433B2 (en) 2012-11-02 2017-03-21 Bristol-Myers Squibb Company Hepatitis C virus inhibitors
US9334279B2 (en) 2012-11-02 2016-05-10 Bristol-Myers Squibb Company Hepatitis C virus inhibitors
US9643999B2 (en) 2012-11-02 2017-05-09 Bristol-Myers Squibb Company Hepatitis C virus inhibitors
US9409943B2 (en) 2012-11-05 2016-08-09 Bristol-Myers Squibb Company Hepatitis C virus inhibitors
US9580463B2 (en) 2013-03-07 2017-02-28 Bristol-Myers Squibb Company Hepatitis C virus inhibitors

Also Published As

Publication number Publication date
US7125845B2 (en) 2006-10-24
US20050065073A1 (en) 2005-03-24
US20070021330A1 (en) 2007-01-25

Similar Documents

Publication Publication Date Title
US7125845B2 (en) Aza-peptide macrocyclic hepatitis C serine protease inhibitors
US7718769B2 (en) Tri-peptide hepatitis C serine protease inhibitors
US7662779B2 (en) Triazolyl macrocyclic hepatitis C serine protease inhibitors
US8304385B2 (en) Macrocyclic tetrazolyl hepatitis C serine protease inhibitors
US8785377B2 (en) Tetrazolyl macrocyclic hepatitis C serine protease inhibitors
US20080038225A1 (en) Triazolyl acyclic hepatitis c serine protease inhibitors
US20080039470A1 (en) Acylaminoheteroaryl hepatitis C virus protease inhibitors
US20080292587A1 (en) Oximyl dipeptide hepatitis c protease inhibitors
US8501682B2 (en) Difluorinated tripeptides as HCV serine protease inhibitors
US20090123425A1 (en) Macrocyclic, pyridazinone-containing hepatitis c serine protease inhibitors
US20090035271A1 (en) Tetrazolyl macrocyclic hepatitis c serine protease inhibitors
US20070281885A1 (en) Macrocylic oximyl hepatitis c protease inhibitors
WO2004113365A9 (en) Hepatitis c serine protease tri-peptide inhibitors
WO2008134395A1 (en) Aza-peptide macrocyclic hepatitis c serine protease inhibitors
WO2008021960A2 (en) Triazolyl macrocyclic hepatitis c serine protease inhibitors
WO2004113365A2 (en) Hepatitis c serine protease tri-peptide inhibitors
WO2009085978A1 (en) Bridged carbocyclic oxime hepatitis c virus serine protease inhibitors
WO2009070692A1 (en) C5-substituted, proline-derived, macrocyclic hepatitis c serine protease inhibitors
WO2008134397A1 (en) Aza-tripeptide hepatitis c serine protease inhibitors
WO2007143694A2 (en) Macrocyclic oximyl hepatitis c protease inhibitors
WO2008022006A2 (en) Arylalkoxyl hepatitis c virus protease inhibitors
WO2009070689A1 (en) Bicyclic, c5-substituted proline derivatives as inhibitors of the hepatitis c virus ns3 protease
WO2008019303A2 (en) Pyridazinonyl macrocyclic hepatitis c serine protease inhibitors
WO2008021733A2 (en) Tetrazolyl acyclic hepatitis c serine protease inhibitors
WO2009053828A2 (en) P3 hydroxyamino macrocyclic hepatitis c serine protease inhibitors

Legal Events

Date Code Title Description
AK Designated states

Kind code of ref document: A1

Designated state(s): AE AG AL AM AT AU AZ BA BB BG BR BW BY BZ CA CH CN CO CR CU CZ DE DK DM DZ EC EE EG ES FI GB GD GE GH GM HR HU ID IL IN IS JP KE KG KP KR KZ LC LK LR LS LT LU LV MA MD MG MK MN MW MX MZ NA NI NO NZ OM PG PH PL PT RO RU SC SD SE SG SK SL SY TJ TM TN TR TT TZ UA UG US UZ VC VN YU ZA ZM ZW

AL Designated countries for regional patents

Kind code of ref document: A1

Designated state(s): GM KE LS MW MZ NA SD SL SZ TZ UG ZM ZW AM AZ BY KG KZ MD RU TJ TM AT BE BG CH CY CZ DE DK EE ES FI FR GB GR HU IE IT LU MC NL PL PT RO SE SI SK TR BF BJ CF CG CI CM GA GN GQ GW ML MR NE SN TD TG

DPEN Request for preliminary examination filed prior to expiration of 19th month from priority date (pct application filed from 20040101)
121 Ep: the epo has been informed by wipo that ep was designated in this application
WWE Wipo information: entry into national phase

Ref document number: 2007021330

Country of ref document: US

Ref document number: 10561718

Country of ref document: US

122 Ep: pct application non-entry in european phase
WWP Wipo information: published in national office

Ref document number: 10561718

Country of ref document: US