WO2004012702A1 - New sexual-dysfunction-compound-containing rapid-onset pharmaceutical formulations comprising cocoa powder and use thereof - Google Patents
New sexual-dysfunction-compound-containing rapid-onset pharmaceutical formulations comprising cocoa powder and use thereof Download PDFInfo
- Publication number
- WO2004012702A1 WO2004012702A1 PCT/SE2003/001022 SE0301022W WO2004012702A1 WO 2004012702 A1 WO2004012702 A1 WO 2004012702A1 SE 0301022 W SE0301022 W SE 0301022W WO 2004012702 A1 WO2004012702 A1 WO 2004012702A1
- Authority
- WO
- WIPO (PCT)
- Prior art keywords
- around
- compound
- sexual
- composition according
- dysfunction
- Prior art date
- Legal status (The legal status is an assumption and is not a legal conclusion. Google has not performed a legal analysis and makes no representation as to the accuracy of the status listed.)
- Ceased
Links
Classifications
-
- A—HUMAN NECESSITIES
- A61—MEDICAL OR VETERINARY SCIENCE; HYGIENE
- A61K—PREPARATIONS FOR MEDICAL, DENTAL OR TOILETRY PURPOSES
- A61K31/00—Medicinal preparations containing organic active ingredients
- A61K31/33—Heterocyclic compounds
- A61K31/395—Heterocyclic compounds having nitrogen as a ring hetero atom, e.g. guanethidine or rifamycins
- A61K31/435—Heterocyclic compounds having nitrogen as a ring hetero atom, e.g. guanethidine or rifamycins having six-membered rings with one nitrogen as the only ring hetero atom
- A61K31/47—Quinolines; Isoquinolines
- A61K31/4738—Quinolines; Isoquinolines ortho- or peri-condensed with heterocyclic ring systems
- A61K31/4745—Quinolines; Isoquinolines ortho- or peri-condensed with heterocyclic ring systems condensed with ring systems having nitrogen as a ring hetero atom, e.g. phenantrolines
-
- A—HUMAN NECESSITIES
- A61—MEDICAL OR VETERINARY SCIENCE; HYGIENE
- A61K—PREPARATIONS FOR MEDICAL, DENTAL OR TOILETRY PURPOSES
- A61K31/00—Medicinal preparations containing organic active ingredients
- A61K31/33—Heterocyclic compounds
- A61K31/395—Heterocyclic compounds having nitrogen as a ring hetero atom, e.g. guanethidine or rifamycins
- A61K31/435—Heterocyclic compounds having nitrogen as a ring hetero atom, e.g. guanethidine or rifamycins having six-membered rings with one nitrogen as the only ring hetero atom
-
- A—HUMAN NECESSITIES
- A61—MEDICAL OR VETERINARY SCIENCE; HYGIENE
- A61K—PREPARATIONS FOR MEDICAL, DENTAL OR TOILETRY PURPOSES
- A61K31/00—Medicinal preparations containing organic active ingredients
- A61K31/33—Heterocyclic compounds
- A61K31/395—Heterocyclic compounds having nitrogen as a ring hetero atom, e.g. guanethidine or rifamycins
- A61K31/435—Heterocyclic compounds having nitrogen as a ring hetero atom, e.g. guanethidine or rifamycins having six-membered rings with one nitrogen as the only ring hetero atom
- A61K31/4353—Heterocyclic compounds having nitrogen as a ring hetero atom, e.g. guanethidine or rifamycins having six-membered rings with one nitrogen as the only ring hetero atom ortho- or peri-condensed with heterocyclic ring systems
- A61K31/437—Heterocyclic compounds having nitrogen as a ring hetero atom, e.g. guanethidine or rifamycins having six-membered rings with one nitrogen as the only ring hetero atom ortho- or peri-condensed with heterocyclic ring systems the heterocyclic ring system containing a five-membered ring having nitrogen as a ring hetero atom, e.g. indolizine, beta-carboline
-
- A—HUMAN NECESSITIES
- A61—MEDICAL OR VETERINARY SCIENCE; HYGIENE
- A61K—PREPARATIONS FOR MEDICAL, DENTAL OR TOILETRY PURPOSES
- A61K31/00—Medicinal preparations containing organic active ingredients
- A61K31/33—Heterocyclic compounds
- A61K31/395—Heterocyclic compounds having nitrogen as a ring hetero atom, e.g. guanethidine or rifamycins
- A61K31/495—Heterocyclic compounds having nitrogen as a ring hetero atom, e.g. guanethidine or rifamycins having six-membered rings with two or more nitrogen atoms as the only ring heteroatoms, e.g. piperazine or tetrazines
- A61K31/505—Pyrimidines; Hydrogenated pyrimidines, e.g. trimethoprim
-
- A—HUMAN NECESSITIES
- A61—MEDICAL OR VETERINARY SCIENCE; HYGIENE
- A61K—PREPARATIONS FOR MEDICAL, DENTAL OR TOILETRY PURPOSES
- A61K9/00—Medicinal preparations characterised by special physical form
- A61K9/0012—Galenical forms characterised by the site of application
- A61K9/0053—Mouth and digestive tract, i.e. intraoral and peroral administration
- A61K9/0056—Mouth soluble or dispersible forms; Suckable, eatable, chewable coherent forms; Forms rapidly disintegrating in the mouth; Lozenges; Lollipops; Bite capsules; Baked products; Baits or other oral forms for animals
-
- A—HUMAN NECESSITIES
- A61—MEDICAL OR VETERINARY SCIENCE; HYGIENE
- A61K—PREPARATIONS FOR MEDICAL, DENTAL OR TOILETRY PURPOSES
- A61K9/00—Medicinal preparations characterised by special physical form
- A61K9/0012—Galenical forms characterised by the site of application
- A61K9/0053—Mouth and digestive tract, i.e. intraoral and peroral administration
- A61K9/006—Oral mucosa, e.g. mucoadhesive forms, sublingual droplets; Buccal patches or films; Buccal sprays
-
- A—HUMAN NECESSITIES
- A61—MEDICAL OR VETERINARY SCIENCE; HYGIENE
- A61P—SPECIFIC THERAPEUTIC ACTIVITY OF CHEMICAL COMPOUNDS OR MEDICINAL PREPARATIONS
- A61P15/00—Drugs for genital or sexual disorders; Contraceptives
-
- A—HUMAN NECESSITIES
- A61—MEDICAL OR VETERINARY SCIENCE; HYGIENE
- A61P—SPECIFIC THERAPEUTIC ACTIVITY OF CHEMICAL COMPOUNDS OR MEDICINAL PREPARATIONS
- A61P15/00—Drugs for genital or sexual disorders; Contraceptives
- A61P15/10—Drugs for genital or sexual disorders; Contraceptives for impotence
-
- A—HUMAN NECESSITIES
- A61—MEDICAL OR VETERINARY SCIENCE; HYGIENE
- A61K—PREPARATIONS FOR MEDICAL, DENTAL OR TOILETRY PURPOSES
- A61K9/00—Medicinal preparations characterised by special physical form
- A61K9/20—Pills, tablets, discs, rods
- A61K9/2004—Excipients; Inactive ingredients
- A61K9/2068—Compounds of unknown constitution, e.g. material from plants or animals
Definitions
- New sexual-dysfunct ⁇ on-compound-containing rapid-onset pharmaceutical formulations comprising cocoa powder and use thereof
- This invention relates to novel rapid-onset orally administered pharmaceutical compositions of sexual dysfunction (SD) compounds and use thereof. More particularly, the present invention relates to compositions comprising SD compounds and cocoa powder, methods to prepare said compositions, and to methods for using said compositions in sexual dysfunction therapy, including enhancement of sexual desire, and interest or performance.
- SD sexual dysfunction
- PDE5 phospho- diesterase type 5
- cyclic AMP activators e.g., cyclic AMP activators
- ⁇ -adrenergic antagonists e.g., yohimbine
- dopaminergic agonists e.g., apomorphine.
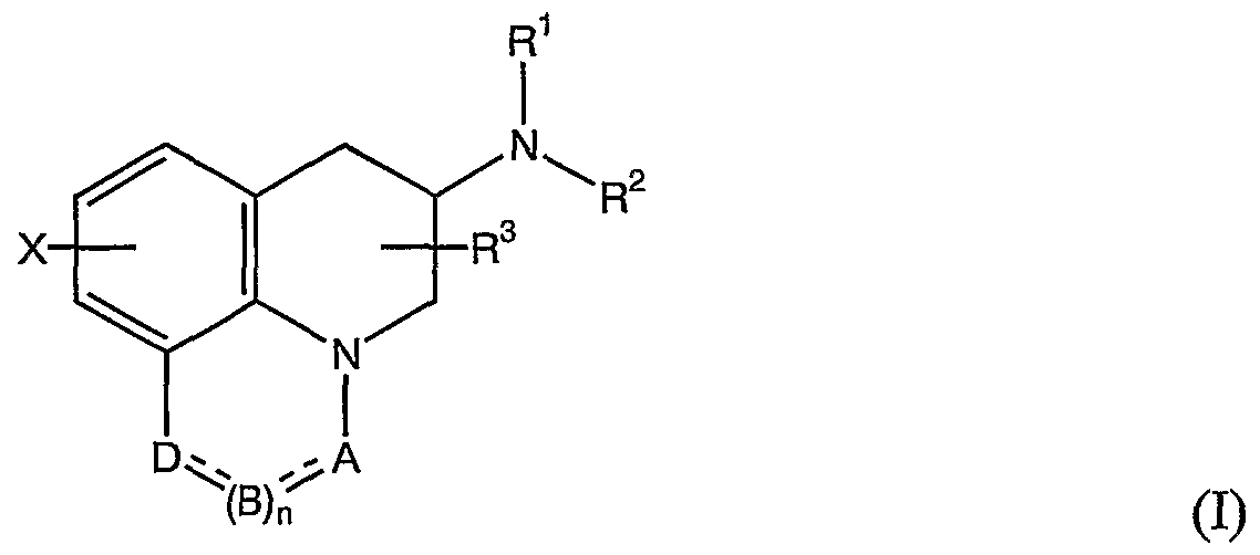
- R 1 , R 2 and R 3 are the same or different and are H, C 1-6 alkyl (optionally phenyl substituted), C 3-5 alkenyl or alkynyl or C 3-1 o cycloalkyl, or where R is as above and R 1 and R 2 are cyclized with the attached N atom to form pyrrolidinyl, piperidinyl, morpholinyl, 4-methylpiperazinyl or imidazolyl groups;
- X is H, F, CI, Br, I, OH, C ⁇ -6 alkyl or alkoxy, CN, carboxamide, carboxyl or (C ⁇ -6 alkyl)carbonyl;
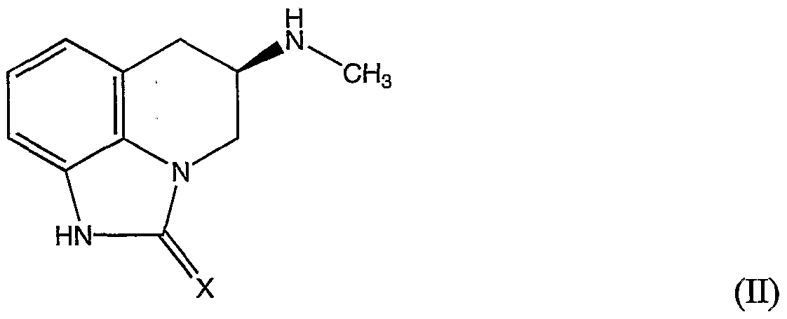
- WO 00/40226 further contemplates prescription of the drag (R)-5,6-dihydro-5-(methylammo)-4H-imidazo[4,5-t ]-qumolin-2(lH)-one (Z)-2-butenedioate (1:1) to male and female subjects at a dose of 1-3 mg, to be taken 0.5-1 h before engaging in sexual activity, and indicates that at such a dose and timing of administration the drag is therapeutically effective. No information is provided as to the route of administration or nature of dosage form.
- sexual dysfunction as addressed herein comprises sexual disorders including, without limitation, hypoactive sexual desire disorder, female sexual arousal disorder, male erectile disorder, female orgasmic disorder and male orgasmic disorder, all as defined in Diagnostic and Statistical Manual of Mental Disorders, 4th edition (DSM-IV) (1994), and DSM-IN Guidebook (1995), both published by American Psychiatric Press, Inc., Washington, DC.
- sexual disorders including, without limitation, hypoactive sexual desire disorder, female sexual arousal disorder, male erectile disorder, female orgasmic disorder and male orgasmic disorder, all as defined in Diagnostic and Statistical Manual of Mental Disorders, 4th edition (DSM-IV) (1994), and DSM-IN Guidebook (1995), both published by American Psychiatric Press, Inc., Washington, DC.
- sexual dysfunction as addressed herein comprises diminish- ment of sexual desire, interest and/or function arising from primary diseases or conditions that are not sexual disorders in a strict sense.
- diseases and conditions include, without limitation, epilepsy, craniopharyngioma, hypogonadism and general psychiatric disorders such as depression.
- Sexual dysfunction as addressed herein additionally com- prises sexual de iciencies following hysterectomy and/or oophorectomy as well as those arising as side effects of medication.
- European Patent Application No. 0 960 621 discloses that sildenafil citrate has an unpleasant taste that cannot be completely masked by flavoring agents, and proposes rapidly disintegrating oral dosage forms of sildenafil in the form of its free base, which has extremely low solubility in water and is virtually tasteless.
- WO 99/66933 proposes intranasal administration of sildenafil, illustratively in the form of salts such as the hydrochloride salt, for treatment of erectile dysfunction.
- Dosage forms proposed include a nasal spray and an aqueous nasal gel. Aqueous solutions are said to be preferred. Rapid onset of therapeu- tic effect is contemplated; however, no solution is suggested to the problem of unpleasant taste arising from drainage of the drug into the mouth. Further, intranasal administration is not a sufficiently discreet way of administering SD compounds.
- Dosage rates are contemplated in WO 99/66933 to be lower than are required when the drug is orally administered; a 30 mg dose of sildenafil hydrochloride in the form of a nasal spray is exemplified. Also exemplified is a nasal spray formulation delivering 30 mg of sildenafil hydrochloride and 1 mg of apomorphine hydrochloride.
- European Patent Application No. 0 992240 discloses cGMP-PDE inhibitory compounds said to be useful in treatment of male erectile dysfunction and proposes transmucomembranous administration, for example in the form of sublingual prepa- rations, of such compounds.
- U.S. Patent No. 5,985,889 to El-Rashidy et al. proposes sublingual administration of apomorphine for treatment of male psychogenic erectile dysfunction.
- Various sublingual tablet formulations of apomorphine hydrochloride are disclosed therein.
- WO 00/35457 proposes use of apomorphine for treatment of male organic, e.g., vasculogenic, erectile dysfunction, and exemplifies use of a sublingual tablet formulation of apomo ⁇ hine hydrochloride.
- WO 00/35457 further suggests that nausea, a common side effect of apomorphine, can be controlled by inclusion of an anti-emetic agent such as nicotine in the formulation.
- U.S. Patent No. 6,121,276 to El-Rashidy & Ronsen discloses flavored sublingual tablets containing apomorphine hydrochloride and nicotine.
- International Patent Publication No. WO 01/49292 discloses sublingual tablets of apomorphine providing prolonged release of the drug, said to be useful in treatment of Parkinson's disease.
- International Patent Publication No. WO 00/42992 discloses a dosage unit comprising a water-soluble hydrocoUoid and sildenafil citrate in a mucoadhesive film said to be suitable for application to the oral mucosa.
- Pharmacokinetic data presented in WO 00/42992 indicate no faster absorption into the bloodstream with sublingual application of such a film than with a commercial tablet formulation of sildenafil citrate (Viagra®) at the same dosage.
- International Patent Publication No. WO 02/05820 discloses film dosage forms comprising sildenafil citrate. These dosage forms are prepared by mixing a solid dispersion of sildenafil citrate and a water soluble sugar with a hydrocoUoid and optionally other ingredients, and are said, upon placement on a mucosal surface, to form a coating that subsequently disintegrates and dissolves to release sildenafil.
- International Patent Publication No. WO 02/041840 discloses the use of cocoa powder as a flavorant, though not a taste-masker, in chewing gums for sildenafil citrate.
- Chocolate which is very different from cocoa powder as such, has very rarely been used as an ingredient in pharmaceutical products on the market, hitherto only in laxatives.
- Ex-Lax being chocolated laxative pieces marketed by Novartis comprising sennosides. Purex, a laxative wherein phenolphthalein was formulated with chocolate, was marketed in the 1950s.
- the present invention provides an orally administered rapid-onset pharmaceutical composition useful for treatment of sexual dysfunction, stimulation of sexual activity and enhancement of sexual desire, interest and performance in men and women.
- the composition is a dosage form comprising a therapeutically or sexual-stimulatorily effective amount of one or more SD compounds.
- a "therapeutically effective amount” herein is an amount sufficient to improve sexual desire, interest or performance in a subject having a sexual dysfunction condition.
- a "sexual-stimulatorily effective amount” herein is an amount sufficient to improve sexual desire, and interest or performance in a subject whether or not the subject has a sexual dysfunction condition.
- Suitable such SD compounds are chosen from the below agents, but are not limited thereto:
- R 1 , R 2 and R 3 are the same or different and are H, C ⁇ -6 alkyl (optionally phenyl substituted), C 3-5 alkenyl or alkynyl or C 3- ⁇ o cycloalkyl, or where R 3 is as above and R 1 and R 2 are cyclized with the attached N atom to form pyrrolidinyl, piperidinyl, morpholinyl, 4-methylpiperazinyl or imidazolyl groups;
- X is H, F, CI, Br, I, OH, C ⁇ -6 alkyl or alkoxy, CN, carboxamide, carboxyl or (Ci. 6 alkyl)carbonyl;
- a suitable dosing is from around 0.1 mg to around 10 mg per dose.
- X is O or S, and pharmaceutically acceptable salts thereof.
- a suitable dosing is from around 0.05 mg to around 10 mg per dose.
- a compound chosen from phosphodiesterase type 5 (PDE5) inhibitors such as sildenafil in base form and pharmaceutically acceptable salts thereof, including sildena- fil citrate marketed under the trademark Niagra®, vardenafil marketed as ⁇ uviva and tadalafil marketed as Cialis ® .
- Suitable dosing is from around 5 mg to around 100 mg per dose.
- a compound chosen from cyclic AMP activators is selected from cyclic AMP activators.
- the amount of the SD compound, salt, complex or mixture thereof be lower than an amount causing significant side effects.
- a particularly useful dosage form of the present invention is a formulation that disintegrates or melts in the mouth without need for drinking water or other fluid.
- Preferred dosage forms are tablets, sublingual tablets and lozenges. Chewing gums are not preferred dosage forms.
- the invention is adapted for discreet self-administration.
- discreet self- administration herein is meant self-administration shortly prior to sexual activity in a way that does not draw attention of a sexual partner to, or emphasize, the existence of a sexual dysfunction, a need for therapy or a need or desire for enhancement of sexual performance.
- the combination of discreetness and rapid onset that is permitted by the present invention provides a benefit in spontaneity; by contrast, prior art compositions for treating sexual dysfunction can be seriously compromised in their effectiveness if their self-administration requires premeditation and/or cannot be done discreetly, such self-administration being thereby not conducive to spontaneity.
- compositions of the present invention for treatment of sexual dysfunction and for enhancement of sexual desire, and interest or performance, and a method of use of a composition of the inven- tion for preparing a medicament.
- Other features of this invention will be in part apparent and in part pointed out hereinafter.
- compositions for the therapeutic delivery of SD compounds are provided.
- Said compositions comprising SD compounds provide rapid transmucosal absorption in the oral cavity.
- the SD compounds of the present invention include the parent forms as well as salts and complexes of the parent forms.
- An object of the invention is to provide new pharmaceutical compositions of SD compounds for uptake buccaly or by other mucosa in the oral cavity, especially such compositions comprising a large percentage of cocoa powder.
- a second object of the invention is to provide methods for preparing said compositions.
- a third object of the invention is methods for using said formulations in sexual dysfunction therapy, including enhancement of sexual desire, and interest or performance. Further objects of the invention will become apparent to one skilled in the art, and still other objects will become apparent hereinafter from the specification and claims.
- composition according to the present invention provides for rapid onset of the pharmacological effect
- rapid-onset means that a therapeutic effect is achieved within a short period of time, for example less than about 1 hour, preferably less than 30 minutes, following administration.
- SD- compound-containing composition for transmucosal, preferably buccal, delivery, that disintegrates and/or melts at body temperature with or without the aid of salivary fluid or mechanical erosion, or a combination thereof after which the formulation preferably shows adhesiveness towards the tissues in the oral cavity.
- buffering agents provides for a transient change in local pH of the saliva. Thereby a higher fraction of the active agent is transformed into its less ionized form. Thereupon the transmucousal permeation is facilitated, which enhances the absorption of the active agent.
- the choice of the buffering system is dependent on the one or more pK a S of the active agent.
- cocoa powder acts as filler/diluent as well as taste masking or flavoring agent and agent for providing a smooth texture. No similar formulations have been disclosed hitherto.
- a preferred formulation is a composition, weighing around 400 mg - 500 mg, having the following ingredients:
- composition should comprise at least 15 % by weight of cocoa powder.
- Cocoa powder is defined as cocoa nib with some fat removed and ground into a powder. Cocoa nib is defined as cocoa beans with the shell removed. Cocoa butter is defined as fat expelled from the center (kernels or nib) of cocoa beans.
- Cocoa powder is prepared from roasted cocoa beans. It is a complex compound, which consists of starch, cocoa butter, amino acids, proteins, xanthines, amines, mono- and polysaccharides, phospholipids, flavonoids, pyrazines, etc.
- Preferred fatty components are fats/lipids chosen from tempering fats, including cocoa butter equivalents (CBE) and cocoa butter improvers (CBI), and non-tempering fats, including cocoa butter replacers (CBR) and cocoa butter substitutes (CBS).
- tempering fats including cocoa butter equivalents (CBE) and cocoa butter improvers (CBI)
- CBR cocoa butter replacers
- CBS cocoa butter substitutes
- chocolate is defined as a product obtained from cocoa nib, cocoa mass powder and sucrose with or without added cocoa butter, having a minimum dry cocoa solids content of 35%, at least 14% of dry non-fat cocoa solids and 18% cocoa butter.
- Chocolate has two major distinguishing characteristics: its flavor and its texture. A primary feature of the texture is that the chocolate must be solid at a temperature of 20 - 25°C and yet melt rapidly in the mouth at 37°C thereby being transferred to a liquid, which appears smooth to the tongue.
- the processing of chocolate is related to obtaining these two criteria (ibid, p 2).
- cocoa content of milk chocolate is comparatively low (a cocoa mass content of 10 - 16%, corresponding to approximately 5 - 8% cocoa powder).
- the beans'/cocoa mass' content of dark, bitter- sweet chocolate is 55 - 70% (Beckett, pp. 276 - 277), corresponding to approximately 28 - 35% cocoa powder.
- Example 1 Preparation of a preferred embodiment A composition, weighing around 400 mg, having the following preferred composition (w/w):
- Diluent/filler and flavoring/taste- masking agent and agent for providing a smooth texture cocoa powder around 50%
- Lipid ingredient cocoa butter equivalents (CBE) around 44%
- Buffering agent sodium carbonate around 4%
- Emulsifier/solubilizer lecithin around 1%
- Flavoring agent mint or vanilla flavor 0,5% is prepared in the following way:
- a part of the CBE is melted.
- the solid components i e the SD compound, cocoa powder, aspartame, sodium carbonate and the flavoring agent if solid, are added and mixed.
- a reduction of particle size of the solid components is performed by milling in a roll-refiner. If the solid components have already got the required particle size, e g by milling before the mixing with the fatty components, roll refining is dispensed with. After treatment in the roll-refiner the mixture is mixed with the rest of the melted fatty components or remelted (if solidified) and mixed with the rest of the melted CBE.
- a mixing of the melt is performed in a suitable mixer.
- the liquid components, i e lecithin and the flavoring agent if liquid, are added. Tablets or other solid dosage forms are subsequently made using suitable techniques, such as molding, extrusion or congealing, including pastiUation, when necessary after suitable preconditioning. Also other suitable manufacturing methods may be used.
- Example 2 Preparation of a further embodiment
- a composition with a weight from around 400 mg to around 500 mg having the below ingredients: from 0.25 mg to around 10 mg thereof of a compound of above formula (II), around 50% (w/w) cocoa powder, around 44% (w/w) cocoa butter equivalents (CBE), around 4% (w/w) sodium carbonate, around 0,6% (w/w) aspartame and/or acesulfame potassium, and around 1% (w/w) lecithin.
- a compound of above formula (II) around 50% (w/w) cocoa powder, around 44% (w/w) cocoa butter equivalents (CBE), around 4% (w/w) sodium carbonate, around 0,6% (w/w) aspartame and/or acesulfame potassium, and around 1% (w/w) lecithin.
- Example 3 Preparation of a still further embodiment In essentially the same way as in Example 1 is manufactured a composition with the below contents:
- Active A SD-compound in a therapeutically sufficient amount.
- Buffering agent from 0 % to around 10% (w/w),
- Sweetener from around 0.3% to around 3% (w/w),
- Emulsifier/solubilizer from around 0.3% to around 5% (w/w)
- Flavoring agent from 0 % to around 4% (w/w).
- Useful embodiments are obtained by exchanging some of the excipients in the embodiments of the above examples for equivalently functioning alternative compounds.
- a small part of the cocoa powder may be exchanged for one or more of the compounds fractose, glucose, galactose, lactose, maltose, invert sugar, a pharmaceutically acceptable polyol such as xylitol, sorbitol, maltitol, mannitol, isomalt and glycerol, or polydextrose, or any mixture thereof, but only to such an extent that the taste-masking effect of the cocoa-powder remains sufficient.
- fractose glucose, galactose, lactose, maltose, invert sugar
- a pharmaceutically acceptable polyol such as xylitol, sorbitol, maltitol, mannitol, isomalt and glycerol, or polydextrose, or any mixture thereof, but only to such an extent that the taste-masking effect of the cocoa-powder remains sufficient.
- the lipid ingredient being fatty components, may be chosen from one or more of the following compounds: cocoa butter and cocoa butter alternatives, including cocoa butter equivalents (CBE), cocoa butter substitutes (CBS), cocoa butter replacers (CBR) and cocoa butter improvers (CBI),
- cocoa butter equivalents CBE
- cocoa butter substitutes CBS
- cocoa butter replacers CBR
- cocoa butter improvers CBI
- the buffer sodium carbonate may be exchanged for carbonates, bicarbonates, acetates, gluconates, glycerophosphates, phosphates or glycinates of sodium, potassium or ammonium, or mixtures thereof. Most phosphates are though less suitable because their taste usually is disagreeable and difficult to mask.
- the sweetener aspartame may entirely or in part be exchanged for one or more other artificial sweeteners, such as acesulfame potassium, saccharine, sodium saccharine, cyclamate and glycyrrhizine and/or salts thereof.
- other artificial sweeteners such as acesulfame potassium, saccharine, sodium saccharine, cyclamate and glycyrrhizine and/or salts thereof.
- the emulsifier lecithin is preferably soy lecithin and/or egg lecithin, but may be exchanged for
- nonio ic surfactant such as poloxamer, polyoxyethylene alkyl ether, polyoxyethylene castor oil derivative, polyoxyethylene sorbitan fatty acid ester, monoglyce- ride, diglyceride and esther thereof, polyoxyethylene stearate, polyglycerolester of fatty acids (including polyglycerolpolyricinoleic acid (PGPR)), sorbitan fatty acid ester, - an anionic surf ctant, such as atty acid, soap of fatty acid, lactylate, especially sodium and/or calcium stearoyllactylate, sodium lauryl sulfate and laranol,
- PGPR polyglycerolpolyricinoleic acid
- zwitterionic surfactant such as zwitterionic phospholipid, such as phosphati- dylcholine and phosphatidylethanolamine, or mixtures, fractions or derivatives thereof or with lecithin.
- compositions comprising other SD compounds may be manufactured.
- the dose range and the percentages of the excipients should in such cases be accordingly adjusted.
Landscapes
- Health & Medical Sciences (AREA)
- Life Sciences & Earth Sciences (AREA)
- Veterinary Medicine (AREA)
- Chemical & Material Sciences (AREA)
- Medicinal Chemistry (AREA)
- Pharmacology & Pharmacy (AREA)
- Animal Behavior & Ethology (AREA)
- General Health & Medical Sciences (AREA)
- Public Health (AREA)
- Epidemiology (AREA)
- Chemical Kinetics & Catalysis (AREA)
- General Chemical & Material Sciences (AREA)
- Organic Chemistry (AREA)
- Nuclear Medicine, Radiotherapy & Molecular Imaging (AREA)
- Engineering & Computer Science (AREA)
- Bioinformatics & Cheminformatics (AREA)
- Endocrinology (AREA)
- Reproductive Health (AREA)
- Nutrition Science (AREA)
- Physiology (AREA)
- Gynecology & Obstetrics (AREA)
- Zoology (AREA)
- Pharmaceuticals Containing Other Organic And Inorganic Compounds (AREA)
- Medicinal Preparation (AREA)
- Medicines Containing Plant Substances (AREA)
- Confectionery (AREA)
- Medicines That Contain Protein Lipid Enzymes And Other Medicines (AREA)
Abstract
Description
Claims
Priority Applications (10)
| Application Number | Priority Date | Filing Date | Title |
|---|---|---|---|
| JP2004525901A JP2005539008A (en) | 2002-08-05 | 2003-06-18 | New pharmaceutical preparation containing a compound for sexual dysfunction including cacao powder and rapid onset of action and use thereof |
| CA002495527A CA2495527C (en) | 2002-08-05 | 2003-06-18 | New sexual-dysfunction-compound-containing rapid-onset pharmaceutical formulations comprising cocoa powder and use thereof |
| BR0313224-2A BR0313224A (en) | 2002-08-05 | 2003-06-18 | Pharmaceutical composition containing orally administered sexual dysfunction therapy compound which provides rapid onset of its pharmacological effects |
| AU2003239038A AU2003239038B2 (en) | 2002-08-05 | 2003-06-18 | New sexual-dysfunction-compound-containing rapid-onset pharmaceutical formulations comprising cocoa powder and use thereof |
| EP03733755A EP1539096A1 (en) | 2002-08-05 | 2003-06-18 | New sexual-dysfunction-compound-containing rapid-onset pharmaceutical formulations comprising cocoa powder and use thereof |
| MXPA05000978A MXPA05000978A (en) | 2002-08-05 | 2003-06-18 | New sexual-dysfunction-compound-containing rapid-onset pharmaceutical formulations comprising cocoa powder and use thereof. |
| NZ537520A NZ537520A (en) | 2002-08-05 | 2003-06-18 | New sexual-dysfunction-compound-containing rapid-onset pharmaceutical formulations comprising cocoa powder and use thereof |
| CN038188910A CN1674866B (en) | 2002-08-05 | 2003-06-18 | New sexual-dysfunction-compound-containing rapid-onset pharmaceutical formulations comprising cocoa powder and use thereof |
| IL16603104A IL166031A0 (en) | 2002-08-05 | 2004-12-28 | New sexual-dysfunction-compound containing rapid-onset pharmaceutical formulations comprising cocoa powder and use thereof |
| ZA2005/00051A ZA200500051B (en) | 2002-08-05 | 2005-01-04 | New sexual-dysfuction-compound-containing rapid-onset pharmaceutical formulations comprising cocoa powder and use thereof |
Applications Claiming Priority (2)
| Application Number | Priority Date | Filing Date | Title |
|---|---|---|---|
| SE0202365-3 | 2002-08-05 | ||
| SE0202365A SE0202365D0 (en) | 2002-08-05 | 2002-08-05 | New formulation and use thereof |
Publications (1)
| Publication Number | Publication Date |
|---|---|
| WO2004012702A1 true WO2004012702A1 (en) | 2004-02-12 |
Family
ID=20288677
Family Applications (1)
| Application Number | Title | Priority Date | Filing Date |
|---|---|---|---|
| PCT/SE2003/001022 Ceased WO2004012702A1 (en) | 2002-08-05 | 2003-06-18 | New sexual-dysfunction-compound-containing rapid-onset pharmaceutical formulations comprising cocoa powder and use thereof |
Country Status (15)
| Country | Link |
|---|---|
| EP (1) | EP1539096A1 (en) |
| JP (1) | JP2005539008A (en) |
| CN (1) | CN1674866B (en) |
| AR (1) | AR040797A1 (en) |
| AU (1) | AU2003239038B2 (en) |
| BR (1) | BR0313224A (en) |
| CA (1) | CA2495527C (en) |
| IL (1) | IL166031A0 (en) |
| MX (1) | MXPA05000978A (en) |
| NZ (1) | NZ537520A (en) |
| RU (1) | RU2312665C2 (en) |
| SE (1) | SE0202365D0 (en) |
| TW (1) | TW200418470A (en) |
| WO (1) | WO2004012702A1 (en) |
| ZA (1) | ZA200500051B (en) |
Cited By (6)
| Publication number | Priority date | Publication date | Assignee | Title |
|---|---|---|---|---|
| EP1855687A1 (en) * | 2005-03-01 | 2007-11-21 | Bayer HealthCare AG | Medicament forms with controlled bioavailability |
| RU2363467C2 (en) * | 2005-09-30 | 2009-08-10 | Олег Алексеевич Киселев | Method of treating erectile dysfunction in men and drug for treating erectile dysfunction in men |
| US8273876B2 (en) | 2002-07-16 | 2012-09-25 | Bayer Intellectual Property Gmbh | Medicaments containing vardenafil hydrochloride trihydrate |
| US8613950B2 (en) | 2005-03-01 | 2013-12-24 | Bayer Intellectual Property Gmbh | Pharmaceutical forms with improved pharmacokinetic properties |
| EP3299010A1 (en) | 2016-09-21 | 2018-03-28 | LTS Lohmann Therapie-Systeme AG | Oral dosage form |
| WO2019166098A1 (en) | 2018-03-01 | 2019-09-06 | Lts Lohmann Therapie-Systeme Ag | Oral dosage form containing theobromine-free cocoa |
Families Citing this family (2)
| Publication number | Priority date | Publication date | Assignee | Title |
|---|---|---|---|---|
| GB0509317D0 (en) * | 2005-05-06 | 2005-06-15 | Clarke Anthony | Pharmaceutical formulation of apomorphine |
| DE102010024866A1 (en) * | 2010-06-24 | 2011-12-29 | Pharmatech Gmbh | Formulation for taste masking |
Citations (17)
| Publication number | Priority date | Publication date | Assignee | Title |
|---|---|---|---|---|
| FR2717387A1 (en) * | 1994-03-17 | 1995-09-22 | Hi Pharmtech | Process for the production of chewable tablets based on troxerutin, calcium carbonate, calcium phosphate, arginine aspartate, amoxicillin arginine glutamate. |
| ES2105970A1 (en) * | 1995-08-02 | 1997-10-16 | S A L V A T Lab Sa | Oral pharmaceutical composition of ciprofloxacin, non- aqueous, stable and with improved organoleptic characteristics. |
| WO1998030209A1 (en) * | 1997-01-06 | 1998-07-16 | Pfizer Pharmaceuticals Inc. | Rapidly releasing and taste-masking pharmaceutical dosage form |
| EP0960621A2 (en) * | 1998-05-15 | 1999-12-01 | Pfizer Inc. | Pharmaceutical formulations comprising sildenafil |
| WO1999066916A1 (en) | 1998-06-22 | 1999-12-29 | Pentech Pharmaceuticals, Inc. | Apomorphine-containing dosage forms for ameliorating male erectile dysfunction |
| JP2000119198A (en) * | 1998-10-16 | 2000-04-25 | Eisai Co Ltd | Phosphodiesterase inhibitor-containing peroral preparation hiding bitterness or the like |
| WO2000030641A1 (en) | 1998-11-23 | 2000-06-02 | Pharmacia & Upjohn Ab | Nicotine-containing pharmaceutical compositions giving a rapid transmucosal absorption |
| WO2000035457A1 (en) | 1998-12-17 | 2000-06-22 | Abbott Laboratories | Use of apomorphine in the manufacture of a medicament for the treatment of organic erectile dysfunction in males |
| WO2000040226A2 (en) * | 1999-01-06 | 2000-07-13 | Pharmacia & Upjohn Company | Method of treating sexual disturbances |
| WO2000042992A2 (en) | 1999-01-21 | 2000-07-27 | Lavipharm Laboratories, Inc. | Compositions and methods for mucosal delivery |
| WO2001010406A2 (en) | 1999-08-10 | 2001-02-15 | Board Of Regents, The University Of Texas System | Facilitating the preservation of sight by increasing optic nerve, choroidal and retinal blood flow |
| WO2001049292A1 (en) | 1999-12-30 | 2001-07-12 | Tap Holdings, Inc. | Oral mucosal dosage forms of apomorphine |
| WO2002005820A1 (en) | 2000-07-19 | 2002-01-24 | Lavipharm Laboratories, Inc. | Sildenafil citrate solid dispersions having high water solubility |
| WO2002041840A2 (en) | 2000-11-16 | 2002-05-30 | Wm. Wrigley Jr. Company | Sildenafil citrate chewing gum formulations and methods of using the same |
| JP2002193839A (en) * | 2000-12-27 | 2002-07-10 | Meiji Seika Kaisha Ltd | Cocoa pharmaceutical preparation |
| WO2002062315A1 (en) * | 2001-02-08 | 2002-08-15 | Pharmacia Corporation | Rapid-onset medicament for the treatment of sexual dysfunction |
| WO2002074321A1 (en) * | 2001-03-21 | 2002-09-26 | N.V. Nutricia | Composition comprising cocoa and a dopamine d2 receptor agonist |
Family Cites Families (6)
| Publication number | Priority date | Publication date | Assignee | Title |
|---|---|---|---|---|
| US4755180A (en) * | 1986-06-16 | 1988-07-05 | Alza Corporation | Dosage form comprising solubility regulating member |
| CA2178021C (en) * | 1996-04-19 | 1999-09-28 | Theodore H. Stanley | Tobacco substitute |
| JP2000095710A (en) * | 1998-09-21 | 2000-04-04 | Taisho Pharmaceut Co Ltd | Oral solid preparation containing cocoa powder |
| US6060094A (en) * | 1998-10-30 | 2000-05-09 | Nestec S.A. | Method of reducing fat in fat-based coating for confectionery products |
| SI20109A (en) * | 1998-12-16 | 2000-06-30 | LEK, tovarna farmacevtskih in kemi�nih izdelkov, d.d. | Stable pharmaceutical formulation |
| JP2001114668A (en) * | 1999-10-13 | 2001-04-24 | Meiji Seika Kaisha Ltd | Chocolate preparation |
-
2002
- 2002-08-05 SE SE0202365A patent/SE0202365D0/en unknown
-
2003
- 2003-06-18 RU RU2005102835/15A patent/RU2312665C2/en not_active IP Right Cessation
- 2003-06-18 CA CA002495527A patent/CA2495527C/en not_active Expired - Fee Related
- 2003-06-18 MX MXPA05000978A patent/MXPA05000978A/en active IP Right Grant
- 2003-06-18 BR BR0313224-2A patent/BR0313224A/en not_active Application Discontinuation
- 2003-06-18 EP EP03733755A patent/EP1539096A1/en not_active Ceased
- 2003-06-18 AU AU2003239038A patent/AU2003239038B2/en not_active Ceased
- 2003-06-18 WO PCT/SE2003/001022 patent/WO2004012702A1/en not_active Ceased
- 2003-06-18 CN CN038188910A patent/CN1674866B/en not_active Expired - Fee Related
- 2003-06-18 JP JP2004525901A patent/JP2005539008A/en active Pending
- 2003-06-18 NZ NZ537520A patent/NZ537520A/en not_active IP Right Cessation
- 2003-07-25 TW TW092120418A patent/TW200418470A/en unknown
- 2003-08-05 AR AR20030102814A patent/AR040797A1/en not_active Application Discontinuation
-
2004
- 2004-12-28 IL IL16603104A patent/IL166031A0/en unknown
-
2005
- 2005-01-04 ZA ZA2005/00051A patent/ZA200500051B/en unknown
Patent Citations (18)
| Publication number | Priority date | Publication date | Assignee | Title |
|---|---|---|---|---|
| FR2717387A1 (en) * | 1994-03-17 | 1995-09-22 | Hi Pharmtech | Process for the production of chewable tablets based on troxerutin, calcium carbonate, calcium phosphate, arginine aspartate, amoxicillin arginine glutamate. |
| US6121276A (en) | 1994-04-22 | 2000-09-19 | Pentech Pharmaceuticals, Inc. | Apomorphine-containing dosage forms for ameliorating male erectile dysfunction |
| ES2105970A1 (en) * | 1995-08-02 | 1997-10-16 | S A L V A T Lab Sa | Oral pharmaceutical composition of ciprofloxacin, non- aqueous, stable and with improved organoleptic characteristics. |
| WO1998030209A1 (en) * | 1997-01-06 | 1998-07-16 | Pfizer Pharmaceuticals Inc. | Rapidly releasing and taste-masking pharmaceutical dosage form |
| EP0960621A2 (en) * | 1998-05-15 | 1999-12-01 | Pfizer Inc. | Pharmaceutical formulations comprising sildenafil |
| WO1999066916A1 (en) | 1998-06-22 | 1999-12-29 | Pentech Pharmaceuticals, Inc. | Apomorphine-containing dosage forms for ameliorating male erectile dysfunction |
| JP2000119198A (en) * | 1998-10-16 | 2000-04-25 | Eisai Co Ltd | Phosphodiesterase inhibitor-containing peroral preparation hiding bitterness or the like |
| WO2000030641A1 (en) | 1998-11-23 | 2000-06-02 | Pharmacia & Upjohn Ab | Nicotine-containing pharmaceutical compositions giving a rapid transmucosal absorption |
| WO2000035457A1 (en) | 1998-12-17 | 2000-06-22 | Abbott Laboratories | Use of apomorphine in the manufacture of a medicament for the treatment of organic erectile dysfunction in males |
| WO2000040226A2 (en) * | 1999-01-06 | 2000-07-13 | Pharmacia & Upjohn Company | Method of treating sexual disturbances |
| WO2000042992A2 (en) | 1999-01-21 | 2000-07-27 | Lavipharm Laboratories, Inc. | Compositions and methods for mucosal delivery |
| WO2001010406A2 (en) | 1999-08-10 | 2001-02-15 | Board Of Regents, The University Of Texas System | Facilitating the preservation of sight by increasing optic nerve, choroidal and retinal blood flow |
| WO2001049292A1 (en) | 1999-12-30 | 2001-07-12 | Tap Holdings, Inc. | Oral mucosal dosage forms of apomorphine |
| WO2002005820A1 (en) | 2000-07-19 | 2002-01-24 | Lavipharm Laboratories, Inc. | Sildenafil citrate solid dispersions having high water solubility |
| WO2002041840A2 (en) | 2000-11-16 | 2002-05-30 | Wm. Wrigley Jr. Company | Sildenafil citrate chewing gum formulations and methods of using the same |
| JP2002193839A (en) * | 2000-12-27 | 2002-07-10 | Meiji Seika Kaisha Ltd | Cocoa pharmaceutical preparation |
| WO2002062315A1 (en) * | 2001-02-08 | 2002-08-15 | Pharmacia Corporation | Rapid-onset medicament for the treatment of sexual dysfunction |
| WO2002074321A1 (en) * | 2001-03-21 | 2002-09-26 | N.V. Nutricia | Composition comprising cocoa and a dopamine d2 receptor agonist |
Non-Patent Citations (3)
| Title |
|---|
| DATABASE CAPLUS [online] "Cocoa powder-containing pharmaceutical formulations", XP002962666, accession no. STN Database accession no. 2002:513067 * |
| DATABASE CAPLUS [online] "Oral formulations containing cGMP phosphodiesterase inhibitors and anionic polymers", XP002962667, accession no. STN Database accession no. 2000:271985 * |
| DATABASE EPODOC [online] "Oral pharmaceutical composition of ciprofloxacin, non-aqueous, stable and with improved organoleptic characteristics", XP002962696 * |
Cited By (8)
| Publication number | Priority date | Publication date | Assignee | Title |
|---|---|---|---|---|
| US8273876B2 (en) | 2002-07-16 | 2012-09-25 | Bayer Intellectual Property Gmbh | Medicaments containing vardenafil hydrochloride trihydrate |
| US8841446B2 (en) | 2002-07-16 | 2014-09-23 | Bayer Intellectual Property Gmbh | Medicaments containing vardenafil hydrochloride trihydrate |
| EP1855687A1 (en) * | 2005-03-01 | 2007-11-21 | Bayer HealthCare AG | Medicament forms with controlled bioavailability |
| US8613950B2 (en) | 2005-03-01 | 2013-12-24 | Bayer Intellectual Property Gmbh | Pharmaceutical forms with improved pharmacokinetic properties |
| RU2363467C2 (en) * | 2005-09-30 | 2009-08-10 | Олег Алексеевич Киселев | Method of treating erectile dysfunction in men and drug for treating erectile dysfunction in men |
| EP3299010A1 (en) | 2016-09-21 | 2018-03-28 | LTS Lohmann Therapie-Systeme AG | Oral dosage form |
| WO2019166098A1 (en) | 2018-03-01 | 2019-09-06 | Lts Lohmann Therapie-Systeme Ag | Oral dosage form containing theobromine-free cocoa |
| US12285488B2 (en) | 2018-03-01 | 2025-04-29 | Lts Lohmann Therapie-Systeme Ag | Oral dosage form containing theobromine-free cocoa |
Also Published As
| Publication number | Publication date |
|---|---|
| MXPA05000978A (en) | 2005-12-12 |
| AU2003239038B2 (en) | 2008-01-03 |
| IL166031A0 (en) | 2006-01-15 |
| EP1539096A1 (en) | 2005-06-15 |
| RU2005102835A (en) | 2005-08-10 |
| JP2005539008A (en) | 2005-12-22 |
| CN1674866A (en) | 2005-09-28 |
| TW200418470A (en) | 2004-10-01 |
| CN1674866B (en) | 2012-09-26 |
| ZA200500051B (en) | 2006-12-27 |
| AU2003239038A1 (en) | 2004-02-23 |
| SE0202365D0 (en) | 2002-08-05 |
| AR040797A1 (en) | 2005-04-20 |
| BR0313224A (en) | 2005-07-05 |
| RU2312665C2 (en) | 2007-12-20 |
| NZ537520A (en) | 2006-11-30 |
| CA2495527C (en) | 2008-12-30 |
| CA2495527A1 (en) | 2004-02-12 |
Similar Documents
| Publication | Publication Date | Title |
|---|---|---|
| US20100069397A1 (en) | Sexual dysfunction compounds | |
| CN100500147C (en) | New formulations and use thereof | |
| US20110288132A1 (en) | Nicotine and Cocoa Powder Compositions | |
| AU2002334522A1 (en) | New formulations and use thereof | |
| AU2004224557A1 (en) | Formulations comprising an active ingredient and cocoa powder and use thereof | |
| US20100197742A1 (en) | New formulations and use thereof | |
| CA2495527C (en) | New sexual-dysfunction-compound-containing rapid-onset pharmaceutical formulations comprising cocoa powder and use thereof | |
| KR20050047527A (en) | New sexual-dysfunction-compound-containing rapid-onset pharmaceutical formulations comprising cocoa powder and use thereof | |
| US20040191345A1 (en) | New formulations and use thereof | |
| MXPA05010314A (en) | Formulations comprising tolterodine and cocoa powder and use thereof. | |
| HK1068555B (en) | New formulations and use thereof |
Legal Events
| Date | Code | Title | Description |
|---|---|---|---|
| AK | Designated states |
Kind code of ref document: A1 Designated state(s): AE AG AL AM AT AU AZ BA BB BG BR BY BZ CA CH CN CO CR CU CZ DE DK DM DZ EC EE ES FI GB GD GE GH GM HR HU ID IL IN IS JP KE KG KP KR KZ LC LK LR LS LT LU LV MA MD MG MK MN MW MX MZ NO NZ OM PH PL PT RO RU SD SE SG SK SL TJ TM TN TR TT TZ UA UG US UZ VN YU ZA ZM ZW |
|
| AL | Designated countries for regional patents |
Kind code of ref document: A1 Designated state(s): GH GM KE LS MW MZ SD SL SZ TZ UG ZM ZW AM AZ BY KG KZ MD RU TJ TM AT BE BG CH CY CZ DE DK EE ES FI FR GB GR HU IE IT LU MC NL PT RO SE SI SK TR BF BJ CF CG CI CM GA GN GQ GW ML MR NE SN TD TG |
|
| 121 | Ep: the epo has been informed by wipo that ep was designated in this application | ||
| WWE | Wipo information: entry into national phase |
Ref document number: 166031 Country of ref document: IL |
|
| WWE | Wipo information: entry into national phase |
Ref document number: 2005/00051 Country of ref document: ZA Ref document number: 200500051 Country of ref document: ZA |
|
| WWE | Wipo information: entry into national phase |
Ref document number: 2003239038 Country of ref document: AU |
|
| WWE | Wipo information: entry into national phase |
Ref document number: 537520 Country of ref document: NZ |
|
| WWE | Wipo information: entry into national phase |
Ref document number: PA/a/2005/000978 Country of ref document: MX |
|
| WWE | Wipo information: entry into national phase |
Ref document number: 2003733755 Country of ref document: EP |
|
| ENP | Entry into the national phase |
Ref document number: 2495527 Country of ref document: CA Ref document number: 2005102835 Country of ref document: RU Kind code of ref document: A |
|
| WWE | Wipo information: entry into national phase |
Ref document number: 1020057002092 Country of ref document: KR Ref document number: 2004525901 Country of ref document: JP |
|
| WWE | Wipo information: entry into national phase |
Ref document number: 20038188910 Country of ref document: CN |
|
| WWP | Wipo information: published in national office |
Ref document number: 1020057002092 Country of ref document: KR |
|
| WWP | Wipo information: published in national office |
Ref document number: 2003733755 Country of ref document: EP |
|
| ENP | Entry into the national phase |
Ref document number: 2003239038 Country of ref document: AU Date of ref document: 20030618 Kind code of ref document: B |






