USRE48335E1 - Polymyxin derivatives as antimicrobial compounds - Google Patents
Polymyxin derivatives as antimicrobial compounds Download PDFInfo
- Publication number
- USRE48335E1 USRE48335E1 US16/144,967 US201516144967A USRE48335E US RE48335 E1 USRE48335 E1 US RE48335E1 US 201516144967 A US201516144967 A US 201516144967A US RE48335 E USRE48335 E US RE48335E
- Authority
- US
- United States
- Prior art keywords
- leu
- abu
- tfmb
- chloro
- dab
- Prior art date
- Legal status (The legal status is an assumption and is not a legal conclusion. Google has not performed a legal analysis and makes no representation as to the accuracy of the status listed.)
- Active
Links
- 0 CCC(C)C.CCC(C)C.CCC1=CC=CC=C1.CCC1=CC=CC=C1.CCCCC(C)C.CCCCC(C)C.CCCC[C@H](C)CC.CCCC[C@H](C)CC.[1*]C(=O)N[C@@H](CCN)C(=O)C[C@H](C(=O)N[C@@H](CCN)C(=O)C[C@H]1CCNC(=O)[C@H](C(C)O)NC(=O)[C@H](CCN)NC(=O)[C@H](CCN)NC(=O)[C@H](CC(C)C)CC(=O)[C@@H]([2*])NC(=O)[C@H](CCN)CC1=O)C(C)O Chemical compound CCC(C)C.CCC(C)C.CCC1=CC=CC=C1.CCC1=CC=CC=C1.CCCCC(C)C.CCCCC(C)C.CCCC[C@H](C)CC.CCCC[C@H](C)CC.[1*]C(=O)N[C@@H](CCN)C(=O)C[C@H](C(=O)N[C@@H](CCN)C(=O)C[C@H]1CCNC(=O)[C@H](C(C)O)NC(=O)[C@H](CCN)NC(=O)[C@H](CCN)NC(=O)[C@H](CC(C)C)CC(=O)[C@@H]([2*])NC(=O)[C@H](CCN)CC1=O)C(C)O 0.000 description 12
- YWCLCMDJIQSTDV-ALWOZNIVSA-M CC#CC#CC#CC#CC#CC.CC#CC#CC#CC#CC#CC.CC#CC#CC#CC#CC#CC.CCCCCCCCCCCC(=O)O[C@H](CCCCCCCCC)CC(=O)NC1[C@H](OCC2O[C@H](OP(=O)([O-])O)C(NC(=O)C[C@H](O)CCCCCCCCC)[C@@H](OC(=O)C[C@H](O)CCCCCCC)[C@@H]2O)OC(CO)[C@@H](OP(=O)(O)O)[C@@H]1OC(=O)C[C@H](O)CCCCCCC Chemical compound CC#CC#CC#CC#CC#CC.CC#CC#CC#CC#CC#CC.CC#CC#CC#CC#CC#CC.CCCCCCCCCCCC(=O)O[C@H](CCCCCCCCC)CC(=O)NC1[C@H](OCC2O[C@H](OP(=O)([O-])O)C(NC(=O)C[C@H](O)CCCCCCCCC)[C@@H](OC(=O)C[C@H](O)CCCCCCC)[C@@H]2O)OC(CO)[C@@H](OP(=O)(O)O)[C@@H]1OC(=O)C[C@H](O)CCCCCCC YWCLCMDJIQSTDV-ALWOZNIVSA-M 0.000 description 1
- GOCDLSXMQVFMPB-UHFFFAOYSA-L CC(C)C(C)O.CC(C)CC(=O)O.CC(C)CC(=O)[O-].CC(C)CC(C)C.CC(C)CC(N)=O.CC(C)CC1=CC=CC=C1.CC(C)CC1=CCC=N1.CC(C)CCC(=O)O.CC(C)CCC(=O)[O-].CC(C)CCC(N)=O.CC(C)CCCCN.CC(C)CCCN.CC(C)CCCNC(=N)N.CC(C)CCN.CC(C)CO.CC(C)CS Chemical compound CC(C)C(C)O.CC(C)CC(=O)O.CC(C)CC(=O)[O-].CC(C)CC(C)C.CC(C)CC(N)=O.CC(C)CC1=CC=CC=C1.CC(C)CC1=CCC=N1.CC(C)CCC(=O)O.CC(C)CCC(=O)[O-].CC(C)CCC(N)=O.CC(C)CCCCN.CC(C)CCCN.CC(C)CCCNC(=N)N.CC(C)CCN.CC(C)CO.CC(C)CS GOCDLSXMQVFMPB-UHFFFAOYSA-L 0.000 description 1
- VYOXYQYMMWGNSM-UHFFFAOYSA-N CC.CC.CC.CC Chemical compound CC.CC.CC.CC VYOXYQYMMWGNSM-UHFFFAOYSA-N 0.000 description 1
- HSYOEQZYNSPIGH-ULJNEKMJSA-N CCCCCCCC(=O)N[C@@H](CCN)C(=O)C[C@H](C(=O)N[C@H](CO)C(=O)C[C@H]1CCNC(=O)[C@H](C(C)O)NC(=O)[C@H](CCN)NC(=O)[C@H](CCN)NC(=O)[C@H](C(C)O)CC(=O)[C@@H](CC(C)C)CC(=O)[C@H](CCN)CC1=O)C(C)O Chemical compound CCCCCCCC(=O)N[C@@H](CCN)C(=O)C[C@H](C(=O)N[C@H](CO)C(=O)C[C@H]1CCNC(=O)[C@H](C(C)O)NC(=O)[C@H](CCN)NC(=O)[C@H](CCN)NC(=O)[C@H](C(C)O)CC(=O)[C@@H](CC(C)C)CC(=O)[C@H](CCN)CC1=O)C(C)O HSYOEQZYNSPIGH-ULJNEKMJSA-N 0.000 description 1
Classifications
-
- C—CHEMISTRY; METALLURGY
- C07—ORGANIC CHEMISTRY
- C07K—PEPTIDES
- C07K7/00—Peptides having 5 to 20 amino acids in a fully defined sequence; Derivatives thereof
- C07K7/50—Cyclic peptides containing at least one abnormal peptide link
- C07K7/54—Cyclic peptides containing at least one abnormal peptide link with at least one abnormal peptide link in the ring
- C07K7/60—Cyclic peptides containing at least one abnormal peptide link with at least one abnormal peptide link in the ring the cyclisation occurring through the 4-amino group of 2,4-diamino-butanoic acid
- C07K7/62—Polymyxins; Related peptides
-
- A—HUMAN NECESSITIES
- A61—MEDICAL OR VETERINARY SCIENCE; HYGIENE
- A61K—PREPARATIONS FOR MEDICAL, DENTAL OR TOILETRY PURPOSES
- A61K38/00—Medicinal preparations containing peptides
- A61K38/04—Peptides having up to 20 amino acids in a fully defined sequence; Derivatives thereof
- A61K38/12—Cyclic peptides, e.g. bacitracins; Polymyxins; Gramicidins S, C; Tyrocidins A, B or C
-
- A—HUMAN NECESSITIES
- A61—MEDICAL OR VETERINARY SCIENCE; HYGIENE
- A61P—SPECIFIC THERAPEUTIC ACTIVITY OF CHEMICAL COMPOUNDS OR MEDICINAL PREPARATIONS
- A61P31/00—Antiinfectives, i.e. antibiotics, antiseptics, chemotherapeutics
- A61P31/04—Antibacterial agents
-
- A—HUMAN NECESSITIES
- A61—MEDICAL OR VETERINARY SCIENCE; HYGIENE
- A61P—SPECIFIC THERAPEUTIC ACTIVITY OF CHEMICAL COMPOUNDS OR MEDICINAL PREPARATIONS
- A61P43/00—Drugs for specific purposes, not provided for in groups A61P1/00-A61P41/00
-
- A—HUMAN NECESSITIES
- A61—MEDICAL OR VETERINARY SCIENCE; HYGIENE
- A61K—PREPARATIONS FOR MEDICAL, DENTAL OR TOILETRY PURPOSES
- A61K38/00—Medicinal preparations containing peptides
-
- Y—GENERAL TAGGING OF NEW TECHNOLOGICAL DEVELOPMENTS; GENERAL TAGGING OF CROSS-SECTIONAL TECHNOLOGIES SPANNING OVER SEVERAL SECTIONS OF THE IPC; TECHNICAL SUBJECTS COVERED BY FORMER USPC CROSS-REFERENCE ART COLLECTIONS [XRACs] AND DIGESTS
- Y02—TECHNOLOGIES OR APPLICATIONS FOR MITIGATION OR ADAPTATION AGAINST CLIMATE CHANGE
- Y02A—TECHNOLOGIES FOR ADAPTATION TO CLIMATE CHANGE
- Y02A50/00—TECHNOLOGIES FOR ADAPTATION TO CLIMATE CHANGE in human health protection, e.g. against extreme weather
- Y02A50/30—Against vector-borne diseases, e.g. mosquito-borne, fly-borne, tick-borne or waterborne diseases whose impact is exacerbated by climate change
Definitions
- the present invention relates to antimicrobial compounds and their uses, and in particular to peptide antibiotics which may be used in the treatment of bacterial infections such as Gram-negative bacterial infections, particularly those caused by multidrug-resistant (MDR) pathogens.
- MDR multidrug-resistant
- MDR multidrug-resistant
- Gram-negative bacteria Representative genera of Gram-negative bacteria are: Acinetobacter; Actinobacillus; Bartonella; Bordetella; Brucella; Burkholderia; Campylobacter; Cyanobacteria; Enterobacter; Envinia; Escherichia; Francisella; Helicobacter; Hemophilus; Klebsiella; Legionella; Moraxella; Morganella; Neisseria; Pasteurella; Proteus; Providencia; Pseudomonas; Salmonella; Serratia; Shigella; Stenotrophomonas; Treponema; Vibrio; and Yersinia.
- the Infectious Diseases Society of America has placed P. aeruginosa, A. baumannii and K. pneumoniae on a ‘hit list’ of the six top-priority dangerous MDR microorganisms, the so-called ‘superbugs’, in its recent ‘Bad Bugs Need Drugs’ campaign. While the recently approved tigecycline is active against a range of clinically important Gram-negative pathogens, including Acinetobacter baumannii, it is reported to not be effective against Pseudomonas aeruginosa. Numerous hospitals worldwide have experienced outbreaks of infections caused by P. aeruginosa, A. baumannii or K. pneumoniae that are resistant to all commercially available antibiotics, except for the last-line therapy polymyxins.
- Polymyxins belong to a class of peptides which was discovered more than 60 years ago. They are produced by nonribosomal biosynthetic enzymes from the secondary metabolic pathways in Paenibacillus polymyxa. There are two polymyxins clinically available, colistin (polymyxin E) and polymyxin B. Commercial preparations of polymyxin B and colistin are mixtures of closely related peptides obtained from fermentation (Orwa, J. A., et al. (2001) J. Chromatography A. 912, 369-373; Govaerts, C., et al. (2002) J. Chromatography A. 976, 65-78).
- polymyxin B preparations namely polymyxin B 1 and B 2
- colistin contain two major components labelled with colistin A and B.
- the structures of these polymyxin B and colistin components are shown below.
- polymyxins are now being used as a last-line class of antibiotics in patients where all other available antibiotics are inactive.
- parenteral administration of colistin (as its inactive prodrug colistin methanesulphonate) and polymyxin B can be potentially nephrotoxic in up to 60% of patients, which limits them from being used more routinely to treat MDR Gram-negative infections.
- nephrotoxicity is the major dose-limiting factor for the currently available polymyxins
- suboptimal dosing of polymyxins can promote the emergence of polymyxin resistance. Accordingly there exists a need to develop novel polymyxin compounds that provide similar or better efficacy as the clinical available polymyxins but without the nephrotoxic side effects.
- polymyxin analogues have reduced nephrotoxic side effects relative to polymyxin B or colistin, whilst retaining or improving their efficacy against Gram-negative bacteria, in particular, MDR Gram-negative bacteria.
- the present invention provides a method of preventing or treating a multidrug-resistant (MDR) Gram-negative bacterial infection comprising administering a therapeutically effective amount of one or more compounds of the formula (I) or formula (II) to a subject in need thereof:
- MDR multidrug-resistant
- R 1 is selected from —C(O)C 1-22 alkyl, —C(O)C 2-22 alkenyl, —C(O)C 5-12 aryl, —C(O)C 1-22 alkylC 5-12 aryl, —C(O)C 1-22 alkylC 3-12 cycloalkyl, —C(O)C 5-10 arylC 2-22 alkenyl, —C(O)C 4-12 cycloalkyl, —C(O)C 3-12 cycloalkylC 1-22 alkyl, —C(O)C 3-12 cycloalkylC 2-22 alkenyl, —C(S)C 1-22 alkyl, —C(S)C 2-22 alkenyl, —C(S)C 5-10 aryl, —C(S)C 1-22 alkylC 5-12 aryl, —C(S)C 1-22 alkylC 3-12 cycloalkyl, —C(S)
- R 1 , R 3 , R 4 , X, k, m, n and p are as defined above for formula (I); and q is 1, 2 or 3; or pharmaceutically acceptable salts thereof.
- the present invention provides the use of one or more compounds of formula (I) and/or formula (II) as hereinbefore described, or pharmaceutically acceptable salts thereof, in the manufacture of a medicament for the prevention or treatment of a multidrug-resistant (MDR) Gram-negative bacterial infection.
- MDR multidrug-resistant
- the present invention provides one or more compounds of formula (I) and/or formula (II) as hereinbefore described, or pharmaceutically acceptable salts thereof, for use in the prevention or treatment of a multidrug-resistant (MDR) Gram-negative bacterial infection.
- MDR multidrug-resistant
- R 1 is selected from —C(O)C 1-22 alkyl, —C(O)C 2-22 alkenyl, —C(O)C 5-12 aryl, —C(O)C 1-22 alkylC 5-12 aryl, —C(O)C 1-22 alkylC 3-12 cycloalkyl, —C(O)C 5-10 arylC 2-22 alkenyl, —C(O)C 4-12 cycloalkyl, —C(O)C 3-12 cycloalkylC 1-22 alkyl, —C(O)C 3-12 cycloalkylC 2-22 alkenyl, —C(S)C 1-22 alkyl, —C(S)C 2-22 alkenyl, —C(S)C 5-10 aryl, —C(S)C 1-22 alkylC 5-12 aryl, —C(S)C 1-22 alkylC 3-12 cycloalkyl, —C(S)
- the present invention provides a compound of the formula (IIa):
- R 1 is selected from —C(O)C 1-22 alkyl, —C(O)C 2-22 alkenyl, —C(O)C 5-12 aryl, —C(O)C 1-22 alkylC 5-12 aryl, —C(O)C 1-22 alkylC 3-12 cycloalkyl, —C(O)C 5-10 arylC 2-22 alkenyl, —C(O)C 4-12 cycloalkyl, —C(O)C 3-12 cycloalkylC 1-22 alkyl, —C(O)C 3-12 cycloalkylC 2-22 alkenyl, —C(S)C 1-22 alkyl, —C(S)C 2-22 alkenyl, —C(S)C 5-10 aryl, —C(S)C 1-22 alkylC 5-12 aryl, —C(S)C 1-22 alkylC 3-12 cycloalkyl, —C(S)
- the invention provides a pharmaceutical composition
- a pharmaceutical composition comprising a therapeutically effective amount of one or more compounds as hereinbefore defined, or pharmaceutically acceptable salts thereof, together with at least one pharmaceutically acceptable carrier or diluent.
- the invention provides a method of preventing or treating a Gram-negative bacterial infection comprising the step of administering a therapeutically effective amount of one or more compounds of the formula (Ia) and/or (IIa) as hereinbefore described, or pharmaceutically acceptable salts thereof, to a subject in need thereof.
- the invention provides the use of one or more compounds of the formula (Ia) and/or (IIa) as hereinbefore described, or pharmaceutically acceptable salts thereof, in the manufacture of a medicament for the prevention or treatment of a Gram-negative bacterial infection.
- the invention provides one or more compounds of the formula (Ia) and/or (IIa) as hereinbefore described, or pharmaceutically acceptable salts thereof, for use in the prevention or treatment of a Gram-negative bacterial infection.
- LPS lipopolysaccharide
- OM outer membrane
- LPS is composed of three domains, a conserved inner core 2-keto-3-deoxyoctanoic acid bound to lipid A and a variable O-antigen composed of repeating units of various polysaccharides.
- the consensus structure of lipid A consists of a ⁇ -1′-6-linked D-glucosamine disaccharide that is phosphorylated at the 1- and 4′-positions.
- An example of the structure of lipid A from P. aeruginosa is shown below:
- Lipid A usually contains six acyl chains. Four ⁇ -hydroxy acyl chains (usually C 10 to C 14 in length) are attached directly to the glucosamine sugars, while a secondary acyl chain is often attached to the ⁇ -hydroxy group on each of two of the chains. Lipid A acts as a hydrophobic anchor with the tight packing of the fatty acyl chains helping to stabilise the overall outer membrane structure.
- Polymyxin B and colistin (polymyxin E) first became available for clinical use as antibiotics in the 1950s. Shortly after, their use fell out of favour because of concerns about nephrotoxic side effects. These observed nephrotoxic side effects for colistin resulted in the peptide rarely being used as an antibiotic during the period of 1980-2000. More recently it has found use again as a last-line antibiotic, predominantly due to necessity, in patients where all other antibiotics are found to be ineffective. Furthermore, since nephrotoxicity is the major dose-limiting factor for the current polymyxins, compounds having an improved nephrotoxicity profile would allow higher doses to be administered to more effectively treat infections and suppress the emergence of polymyxin resistance.
- the compounds of the present invention are effective against Gram-negative bacteria whilst displaying an improved nephrotoxicity profile relative to polymyxin B or colistin.
- the present inventors have discovered that certain amino acid residues at three key locations within the polymyxin structure, in combination with specific N-terminal fatty acyl groups, can significantly reduce the level of nephrotoxicity of the compound whilst maintaining or improving the compound's antibacterial efficacy.
- alkyl used either alone or in compound words, denotes straight chain or branched alkyl.
- the alkyl group is a straight chain alkyl group.
- Prefixes such as “C 1-22 ” are used to denote the number of carbon atoms within the alkyl group (from 1 to 22 in this case).
- straight chain and branched alkyl examples include methyl, ethyl, n-propyl, isopropyl, n-butyl, sec-butyl, t-butyl, n-pentyl, hexyl, heptyl, 5-methylheptyl, 5-methylhexyl, octyl, nonyl, decyl, undecyl, dodecyl and docosyl (C 22 ).
- alkenyl denotes straight chain or branched hydrocarbon residues containing at least one carbon to carbon double bond including ethylenically mono-, di- or polyunsaturated alkyl groups as previously defined.
- the alkenyl group is a straight chain alkenyl group.
- Prefixes such as “C 2-22 ” are used to denote the number of carbon atoms within the alkenyl group (from 2 to 22 in this case).
- alkenyl examples include vinyl, allyl, 1-methylvinyl, butenyl, iso-butenyl, 3-methyl-2-butenyl, 1-pentenyl, 1-hexenyl, 3-hexenyl, 1-heptenyl, 3-heptenyl, 1-octenyl, 1-nonenyl, 2-nonenyl, 3-nonenyl, 1-decenyl, 3-decenyl, 1,3-butadienyl, 1,4-pentadienyl, 1,3-hexadienyl, 1,4-hexadienyl and 5-docosenyl (C 22 ).
- cycloalkyl denotes a cyclic alkyl group. Prefixes such as “C 3-12 ” are used to denote the number of carbon atoms within the cyclic portion of the alkyl group (from 3 to 12 in this case).
- cyclic alkyl include mono- or polycyclic alkyl groups such as cyclopropyl, cyclobutyl, cyclopentyl, cyclohexyl, cycloheptyl, cyclooctyl, cyclononyl, cyclodecyl and cyclododecyl.
- aryl denotes any single- or polynuclear, conjugated or fused residues of aromatic hydrocarbon ring systems. Prefixes such as “C 6-16 ” are used to denote the number of carbon atoms within the cyclic portion of the aryl group (from 6 to 16 in this case). Examples of aryl include phenyl (single nuclear), naphthyl (fused polynuclear), biphenyl (conjugated polynuclear) and tetrahydronaphthyl (fused polynuclear).
- halo used herein refers to fluoro, chloro, bromo or iodo.
- side chain As used herein, reference to an amino acid “side chain” takes its standard meaning in the art. Examples of side chains of amino acids are shown below:
- non-naturally occurring amino acids include any compound with both amino and carboxyl functionality, derivatives thereof, or derivatives of a naturally occurring amino acid. These amino acids form part of the peptide chain through bonding via their amino and carboxyl groups. Alternatively, these derivatives may bond with other natural or non-naturally occurring amino acids to form a non-peptidyl linkage.
- the compounds of the present invention may exist in one or more stereoisomeric forms (e.g. diastereomers).
- the present invention includes within its scope all of these stereoisomeric forms either isolated (in, for example, enantiomeric isolation), or in combination (including racemic mixtures and diastereomic mixtures).
- the present invention contemplates the use of amino acids in both L and D forms, including the use of amino acids independently selected from L and D forms, for example, where the peptide comprises two Dab residues, each Dab residue may have the same, or opposite, absolute stereochemistry. Unless stated otherwise, the amino acid is taken to be in the L-configuration.
- the invention thus also relates to compounds in substantially pure stereoisomeric form with respect to the asymmetric centres of the amino acid residues, e.g., greater than about 90% de, such as about 95% to 97% de, or greater than 99% de, as well as mixtures, including racemic mixtures, thereof.
- diastereomers may be prepared by asymmetric synthesis, for example, using chiral intermediates, or mixtures may be resolved by conventional methods, e.g., chromatography, or use of a resolving agent.
- R 1 is selected from —C(O)C 1-22 alkyl, —C(O)C 2-22 alkenyl, —C(O)C 5-12 aryl, —C(O)C 1-22 alkylC 5-12 aryl, —C(O)C 1-22 alkylC 3-12 cycloalkyl, —C(O)C 5-10 arylC 2-22 alkenyl, —C(O)C 4-12 cycloalkyl, —C(O)C 3-12 cycloalkylC 1-22 alkyl, —C(O)C 3-12 cycloalkylC 2-22 alkenyl, —C(S)C 1-22 alkyl, —C(S)C 2-22 alkenyl, —C(S)C 5-10 aryl, —C(S)C 1-22 alkylC 5-12 aryl, —C(S)C 1-22 alkylC 3-12 cycloalkyl, —C(S)
- R 1 is selected from hexanoyl, hepatanoyl, octanoyl, nonanoyl, decanoyl, dodecanoyl, S,R-6-methyloctanoyl (racemic mixture), R-6-methyloctanoyl, 7-methyl octanoyl, S-5-methyl heptanoyl, R-5-methyl heptanoyl, S,R-5-methyl heptanoyl (racemic mixture), 4-biphenylcarboxyl, 4-trifluoromethylbenzoyl, 4-ethylbenzoyl, 3,4-dichlorobenzoyl, 4-chlorobenzoyl, 3-chlorobenzoyl, pentafluorobenzoyl, 4-methylbenzoyl, 4-ethylphenylacetyl, phenylacetyl, 4-methylphenylacetyl, 4-trifluoromethylphenylacetyl,
- R 1 is selected from hexanoyl, hepatanoyl, octanoyl, nonanoyl, decanoyl, dodecanoyl, S,R-6-methyloctanoyl (racemic mixture), R-6-methyloctanoyl, 7-methyl octanoyl, S-5-methylheptanoyl, R-5-methylheptanoyl, S,R-5-methylheptanoyl (racemic mixture), 4-biphenylcarboxyl, 4-trifluoromethylbenzoyl, 4-ethylbenzoyl, 3,4-dichlorobenzoyl, 4-chlorobenzoyl, 3-chlorobenzoyl, pentafluorobenzoyl, 4-methylbenzoyl, 4-ethylphenylacetyl, phenylacetyl, 4-methylphenylacetyl, 4-trifluoromethylphenylacetyl, penta
- R 1 is selected from hexanoyl, hepatanoyl, octanoyl, nonanoyl, decanoyl, dodecanoyl, S,R-6-methyloctanoyl (racemic mixture), R-6-methyloctanoyl, 7-methyl octanoyl, S-5-methylheptanoyl, R-5-methylheptanoyl, S,R-5-methylheptanoyl (racemic mixture), 4-biphenylcarboxyl, 4-trifluoromethylbenzoyl, 4-ethylbenzoyl, 3,4-di chlorobenzoyl, 4-chlorobenzoyl, 3-chlorobenzoyl, pentafluorobenzoyl, 4-methylbenzoyl, 4-ethylphenyl acetyl, phenylacetyl, 4-methylphenyl acetyl, 4-trifluoromethyl phenyl
- R 2 represents a side chain of an amino acid selected from serine or threonine.
- R 3 represents a side chain of an amino acid selected from leucine, phenylalanine, norleucine, norvaline or t-butylglycine.
- R 4 represents a side chain of an amino acid selected from alanine, threonine, serine, valine, t-butylglycine, 2-aminobutyric acid or 2-aminoisobutyric acid.
- R 4 represents a side chain of an amino acid selected from alanine, threonine, serine, 2-aminobutyric acid, or 2-aminoisobutyric acid.
- X is a residue of the side chain of an amino acid selected from diaminobutyric acid, diaminopropionic acid, lysine or ornithine.
- X is a residue of the side chain of diaminobutyric acid.
- X is the side chain residue of diaminobutyric acid and m, n and p are 2.
- the present invention provides compounds of the formula (Ia) represented by the formula (Ib):
- R 1 is selected from hexanoyl, hepatanoyl, octanoyl, nonanoyl, decanoyl, dodecanoyl, S,R-6-methyloctanoyl (racemic mixture), R-6-methyloctanoyl, 7-methyloctanoyl, S-5-methylheptanoyl, R-5-methylheptanoyl, S,R-5-methylheptanoyl (racemic mixture), 4-biphenylcarboxyl, 4-trifluoromethylbenzoyl, 4-ethylbenzoyl, 3,4-dichlorobenzoyl, 4-chlorobenzoyl, 3-chlorobenzoyl, pentafluorobenzoyl, 4-methylbenzoyl, 4-ethylphenyl acetyl, phenyl acetyl, 4-methylphenyl acetyl, 4-trifluoromethylphenyl, 4-
- R 1 is selected from hexanoyl, hepatanoyl, octanoyl, nonanoyl, decanoyl, dodecanoyl, S,R-6-methyloctanoyl (racemic mixture), R-6-methyloctanoyl, 7-methyloctanoyl, S-5-methylheptanoyl, R-5-methylheptanoyl, S,R-5-methylheptanoyl (racemic mixture), 4-biphenylcarboxyl, 4-trifluoromethylbenzoyl, 4-ethylbenzoyl, 3,4-dichlorobenzoyl, 4-chlorobenzoyl, 3-chlorobenzoyl, pentafluorobenzoyl, 4-methylbenzoyl, 4-ethylphenyl acetyl, phenyl acetyl, 4-methylphenyl acetyl, 4-trifluoromethylphenyl, 4-
- compounds of the formula (Ia) are selected from those compounds listed in Table 1.
- compounds of the formula (IIa) are selected from those compounds listed in Table 2.
- methods preventing or treating a MDR Gram-negative bacterial infection comprising administering a therapeutically effective amount of one or more compounds of the formula (I) and/or formula (II) as herein defined.
- Gram-negative bacteria to be multidrug-resistant the bacteria will be non-susceptible to at least one agent in three or more antibacterial categories.
- Gram-negative bacteria that are non-susceptible to at least one agent in all but two or fewer antibacterial categories are classified as extensively, or extremely, drug resistant (XDR).
- Gram-negative bacteria that are non-susceptible to all agents in all antibacterial categories are classified as “pandrug-resistant” (PDR) (Magiorakos, A. P. et al. (2011) European Society of Clinical Microbiology and Infectious Diseases, Clin Microbiol Infect, 18, 268-281).
- PDR platinum-resistant
- Table 3 provides a list of antibacterial agents falling within each of the antibacterial categories.
- Antibacterial categories and agents Antibacterial Category Antibacterial Agent Aminoglycosides Gentamicin Tobramycin Amikacin Netilmicin Antipseudomonal carbapenems Imipenem Meropenem Doripenem Antipseudomonal cephalosporins Ceftazidime Cefepime Antipseudomonal fluoroquinolones Ciprofloxacin Levofloxacin Antipseudomonal penicillins + Ticarcillin-clavulanic acid ⁇ -lactamase inhibitors Piperacillin-tazobactum Monobactams Aztreonam Phosphonic acids Fosfomycin Polymyxins Colistin Polymyxin B
- treatment of a Gram-negative bacterial infection will comprise administering to a subject in need thereof a compound of the formula (I). It is also envisaged that treatment of a Gram-negative bacterial infection will comprise administration of a compound of the formula (II) to a subject in need thereof.
- treatment of a Gram-negative bacterial infection will comprise administration of two or more compounds of the formula (I) to a subject in need thereof. It is also envisaged that treatment of a Gram-negative bacterial infection will comprise administration of two or more compounds of the formula (II) to a subject in need thereof.
- treatment of a Gram-negative bacterial infection will comprise administration of one or more compounds of the formula (I) together with one or more compounds of the formula (II) to a subject in need thereof.
- treatment of a Gram-negative bacterial infection will comprise administration of one or both of the naturally occurring polymyxin analogues polymyxin D 1 /D 2 to a subject in need thereof (compounds 150 and 151, respectively).
- treatment of a Gram-negative bacterial infection will comprise administration of one or both of the naturally occurring polymyxin analogues polymyxin M 1 /M 2 to a subject in need thereof (compounds 152 and 153, respectively).
- Polymyxin D and polymyxin M are mixtures of closely related peptides obtained from fermentation (Table 4). However, unlike polymyxin B and colistin, the components of the polymyxin D and M mixtures obtained from fermentation have not been well characterised. To date, the components that have been identified in polymyxin D preparations are polymyxin D 1 and D 2 , whilst for polymyxin M the components are polymyxin M 1 and M 2 (Kimura, Y, et al. (1981), J. Chromatography, 206, 563-572; Orwa, J. A., et al. (2001) J. Chromatography A.
- Known solid or solution phase techniques may be used in the synthesis of the compounds of the present invention, such as coupling of the N- or C-terminus to a solid support (typically a resin) followed by step-wise synthesis of the linear peptide.
- An orthogonal protecting group strategy may be used to facilitate selective deprotection and cyclization to form the cyclic heptapeptide core of the compound.
- Protecting group chemistries for the protection of amino acid residues, including side chains, are well known in the art and may be found, for example, in: Theodora W. Greene and Peter G. M. Wuts, Protecting Groups in Organic Synthesis (Third Edition, John Wiley & Sons, Inc, 1999), the entire contents of which is incorporated herein by reference.
- the synthesis of the compounds of the present invention may be performed in four stages.
- amino acids may be protected for incorporation into the compound, such as the protection of isoleucine as Fmoc-isoleucine.
- a partially protected linear peptide which selectively exposes only the functional groups required for cyclisation may be synthesised using solid phase techniques.
- the cyclisation reaction may be performed in solution to produce the protected cyclic lipopeptide.
- Fourth the remaining side chain protecting groups may be deprotected to furnish the compound.
- chromatographic techniques such as high-performance liquid chromatography (HPLC) and reversed-phase HPLC may be used.
- HPLC high-performance liquid chromatography
- the peptides may be characterised by mass spectrometry and/or other appropriate methods.
- the compound comprises one or more functional groups that may be protonated or deprotonated (for example at physiological pH) the compound may be prepared and/or isolated as a pharmaceutically acceptable salt. It will be appreciated that the compound may be zwitterionic at a given pH.
- pharmaceutically acceptable salt refers to the salt of a given compound, wherein the salt is suitable for administration as a pharmaceutical. Such salts may be formed, for example, by the reaction of an acid or a base with an amine or a carboxylic acid group respectively.
- Pharmaceutically acceptable acid addition salts may be prepared from inorganic and organic acids.
- inorganic acids include hydrochloric acid, hydrobromic acid, sulfuric acid, nitric acid, phosphoric acid and the like.
- organic acids include acetic acid, propionic acid, glycolic acid, pyruvic acid, oxalic acid, malic acid, malonic acid, succinic acid, maleic acid, fumaric acid, tartaric acid, citric acid, benzoic acid, cinnamic acid, mandelic acid, methanesulfonic acid, ethanesulfonic acid, p-toluenesulfonic acid, salicylic acid and the like.
- Pharmaceutically acceptable base addition salts may be prepared from inorganic and organic bases.
- Corresponding counter ions derived from inorganic bases include the sodium, potassium, lithium, ammonium, calcium and magnesium salts.
- Organic bases include primary, secondary and tertiary amines, substituted amines including naturally-occurring substituted amines, and cyclic amines, including isopropylamine, trimethyl amine, diethylamine, tri ethyl amine, tripropylamine, ethanolamine, 2-dimethylaminoethanol, tromethamine, lysine, arginine, histidine, caffeine, procaine, hydrabamine, choline, betaine, ethylenediamine, glucosamine, N-alkylglucamines, theobromine, purines, piperazine, piperidine, and N-ethylpiperidine.
- Acid/base addition salts tend to be more soluble in aqueous solvents than the corresponding free acid/base forms.
- the compounds of the invention may be in crystalline form or as solvates (e.g. hydrates) and it is intended that both forms are within the scope of the present invention.
- solvate is a complex of variable stoichiometry formed by a solute (in this invention, a peptide of the invention) and a solvent. Such solvents should not interfere with the biological activity of the solute. Solvents may be, by way of example, water, ethanol or acetic acid. Methods of solvation are generally known within the art.
- the compounds of the invention may be in the form of a pro-drug.
- pro-drug is used in its broadest sense and encompasses those derivatives that are converted in vivo to the peptides of the invention. Such derivatives would readily occur to those skilled in the art and include, for example, compounds where a free hydroxy group is converted into an ester derivative or a ring nitrogen atom is converted to an N-oxide. Examples of ester derivatives include alkyl esters (for example acetates, lactates and glutamines), phosphate esters and those formed from amino acids (for example valine). Any compound that is a prodrug of a compound of the invention is within the scope and spirit of the invention. Conventional procedures for the preparation of suitable prodrugs according to the invention are described in text books, such as “Design of Prodrugs” Ed. H. Bundgaard, Elsevier, 1985, the entire contents of which is incorporated herein by reference.
- the present invention also provides a pharmaceutical composition
- a pharmaceutical composition comprising a therapeutically effective amount of a compound as hereinbefore defined, or a pharmaceutically acceptable salt thereof, together with at least one pharmaceutically acceptable carrier or diluent.
- composition is intended to include the formulation of an active ingredient with encapsulating material as carrier, to give a capsule in which the active ingredient (with or without other carrier) is surrounded by carriers.
- the compounds as hereinbefore described, or pharmaceutically acceptable salts thereof may be the sole active ingredient administered to the subject, the administration of other active ingredient(s) with the compound is within the scope of the invention.
- a combination of two or more of the compounds of the invention will be administered to the subject.
- the compound(s) could also be administered with one or more additional therapeutic agents in combination.
- the combination may allow for separate, sequential or simultaneous administration of the compound(s) as hereinbefore described with the other active ingredient(s).
- the combination may be provided in the form of a pharmaceutical composition.
- combination refers to a composition or kit of parts where the combination partners as defined above can be dosed dependently or independently or by use of different fixed combinations with distinguished amounts of the combination partners, i.e., simultaneously or at different time points.
- the combination partners can then, e.g., be administered simultaneously or chronologically staggered, that is at different time points and with equal or different time intervals for any part of the kit of parts.
- the ratio of the total amounts of the combination partners to be administered in the combination can be varied, e.g. in order to cope with the needs of a patient sub-population to be treated or the needs of the single patient which different needs can be due to age, sex, body weight, etc. of the patients.
- the route of administration and the nature of the pharmaceutically acceptable carrier will depend on the nature of the condition and the mammal to be treated. It is believed that the choice of a particular carrier or delivery system, and route of administration could be readily determined by a person skilled in the art. In the preparation of any formulation containing the active compound care should be taken to ensure that the activity of the compound is not destroyed in the process and that the compound is able to reach its site of action without being destroyed. In some circumstances it may be necessary to protect the compound by means known in the art, such as, for example, micro encapsulation. Similarly the route of administration chosen should be such that the compound reaches its site of action.
- Those skilled in the art may readily determine appropriate formulations for the compounds of the present invention using conventional approaches. Identification of preferred pH ranges and suitable excipients, for example antioxidants, is routine in the art. Buffer systems are routinely used to provide pH values of a desired range and include carboxylic acid buffers for example acetate, citrate, lactate and succinate. A variety of antioxidants are available for such formulations including phenolic compounds such as BHT or vitamin E, reducing agents such as methionine or sulphite, and metal chelators such as EDTA.
- phenolic compounds such as BHT or vitamin E
- reducing agents such as methionine or sulphite
- metal chelators such as EDTA.
- the compounds as hereinbefore described, or pharmaceutically acceptable salts thereof, may be prepared in parenteral dosage forms, including those suitable for intravenous, intrathecal, and intracerebral or epidural delivery.
- the pharmaceutical forms suitable for injectable use include sterile injectable solutions or dispersions, and sterile powders for the extemporaneous preparation of sterile injectable solutions. They should be stable under the conditions of manufacture and storage and may be preserved against reduction or oxidation and the contaminating action of microorganisms such as bacteria or fungi.
- the solvent or dispersion medium for the injectable solution or dispersion may contain any of the conventional solvent or carrier systems for the active compound, and may contain, for example, water, ethanol, polyol (for example, glycerol, propylene glycol and liquid polyethylene glycol, and the like), suitable mixtures thereof, and vegetable oils.
- the proper fluidity can be maintained, for example, by the use of a coating such as lecithin, by the maintenance of the required particle size in the case of dispersion and by the use of surfactants.
- the prevention of the action of microorganisms can be brought about where necessary by the inclusion of various antibacterial and antifungal agents, for example, parabens, chlorobutanol, phenol, sorbic acid, thimerosal and the like.
- agents to adjust osmolarity for example, sugars or sodium chloride.
- the formulation for injection will be isotonic with blood.
- Prolonged absorption of the injectable compositions can be brought about by the use in the compositions of agents delaying absorption, for example, aluminium monostearate and gelatin.
- Pharmaceutical forms suitable for injectable use may be delivered by any appropriate route including intravenous, intramuscular, intracerebral, intrathecal, epidural injection or infusion.
- Sterile injectable solutions are prepared by incorporating the compounds of the invention in the required amount in the appropriate solvent with various of the other ingredients such as those enumerated above, as required, followed by filtered sterilization.
- dispersions are prepared by incorporating the various sterilised active ingredient into a sterile vehicle which contains the basic dispersion medium and the required other ingredients from those enumerated above.
- preferred methods of preparation are vacuum drying or freeze-drying of a previously sterile-filtered solution of the active ingredient plus any additional desired ingredients.
- compositions include oral and enteral formulations of the present invention, in which the active compound may be formulated with an inert diluent or with an assimilable edible carrier, or it may be enclosed in hard or soft shell gelatin capsule, or it may be compressed into tablets, or it may be incorporated directly with the food of the diet.
- the active compound may be incorporated with excipients and used in the form of ingestible tablets, buccal or sublingual tablets, troches, capsules, elixirs, suspensions, syrups, wafers, and the like. The amount of active compound in such therapeutically useful compositions is such that a suitable dosage will be obtained.
- the tablets, troches, pills, capsules and the like may also contain the components as listed hereafter: a binder such as gum, acacia, corn starch or gelatin; excipients such as dicalcium phosphate; a disintegrating agent such as corn starch, potato starch, alginic acid and the like; a lubricant such as magnesium stearate; and a sweetening agent such a sucrose, lactose or saccharin may be added or a flavouring agent such as peppermint, oil of wintergreen, or cherry flavouring.
- a binder such as gum, acacia, corn starch or gelatin
- excipients such as dicalcium phosphate
- a disintegrating agent such as corn starch, potato starch, alginic acid and the like
- a lubricant such as magnesium stearate
- a sweetening agent such as sucrose, lactose or saccharin may be added or a flavouring agent such as peppermint, oil of winter
- tablets, pills, or capsules may be coated with shellac, sugar or both.
- a syrup or elixir may contain the active compound, sucrose as a sweetening agent, methyl and propylparabens as preservatives, a dye and flavouring such as cherry or orange flavour.
- any material used in preparing any dosage unit form should be pharmaceutically pure and substantially non-toxic in the amounts employed.
- the compounds of the invention may be incorporated into sustained-release preparations and formulations, including those that allow specific delivery of the active peptide to specific regions of the gut.
- Liquid formulations may also be administered enterally via a stomach or oesophageal tube.
- Enteral formulations may be prepared in the form of suppositories by mixing with appropriate bases, such as emulsifying bases or water-soluble bases. It is also possible, but not necessary, for the compounds of the present invention to be administered topically, intranasally, intravaginally, intraocularly and the like.
- the compounds of the present invention may be administered by inhalation in the form of an aerosol spray from a pressurised dispenser or container, which contains a propellant such as carbon dioxide gas, dichlorodifluoromethane, nitrogen, propane or other suitable gas or combination of gases.
- a propellant such as carbon dioxide gas, dichlorodifluoromethane, nitrogen, propane or other suitable gas or combination of gases.
- the compounds may also be administered using a nebuliser.
- the compounds of the present invention having improved nephrotoxicity profiles, are particularly useful when the compounds are administered enterally or parentarally, for example, orally, intravenously or intramuscularly.
- Pharmaceutically acceptable vehicles and/or diluents include any and all solvents, dispersion media, coatings, antibacterial and antifungal agents, isotonic and absorption delaying agents and the like.
- the use of such media and agents for pharmaceutical active substances is well known in the art. Except insofar as any conventional media or agent is incompatible with the active ingredient, use thereof in the therapeutic compositions is contemplated. Supplementary active ingredients can also be incorporated into the compositions.
- Dosage unit form refers to physically discrete units suited as unitary dosages for the mammalian subjects to be treated; each unit containing a predetermined quantity of active material calculated to produce the desired therapeutic effect in association with the required pharmaceutically acceptable vehicle.
- the specification for the novel dosage unit forms of the invention are dictated by and directly dependent on (a) the unique characteristics of the active material and the particular therapeutic effect to be achieved, and (b) the limitations inherent in the art of compounding active materials for the treatment of disease in living subjects having a diseased condition in which bodily health is impaired as herein disclosed in detail.
- the principal active ingredient may be compounded for convenient and effective administration in therapeutically effective amounts with a suitable pharmaceutically acceptable vehicle in dosage unit form.
- a unit dosage form can, for example, contain the principal active compound in amounts ranging from 0.25 ⁇ g to about 2000 mg. Expressed in proportions, the active compound may be present in from about 0.25 ⁇ g to about 2000 mg/mL of carrier.
- the dosages are determined by reference to the usual dose and manner of administration of the said ingredients.
- the term “effective amount” refers to an amount of compound which, when administered according to a desired dosing regimen, provides the desired therapeutic activity. Dosing may occur once, or at intervals of minutes or hours, or continuously over any one of these periods. Suitable dosages may lie within the range of about 0.1 ⁇ g per kg of body weight to 1 g per kg of body weight per dosage. A typical dosage is in the range of 1 ⁇ g to 1 g per kg of body weight per dosage, such as is in the range of 1 mg to 1 g per kg of body weight per dosage. In one embodiment, the dosage may be in the range of 1 mg to 500 mg per kg of body weight per dosage. In another embodiment, the dosage may be in the range of 1 mg to 250 mg per kg of body weight per dosage. In yet another embodiment, the dosage may be in the range of 1 mg to 100 mg per kg of body weight per dosage, such as up to 50 mg per body weight per dosage.
- treatment covers any treatment of a condition or disease in an animal, preferably a mammal, more preferably a human, and includes: (i) inhibiting the bacterial infection, e.g. arresting its proliferation; (ii) relieving the infection, e.g. causing a reduction in the severity of the infection; or (iii) relieving the conditions caused by the infection, e.g. symptoms of the infection.
- prevention and preventing cover the prevention or prophylaxis of a condition or disease in an animal, preferably a mammal, more preferably a human and includes preventing the bacterial infection from occurring in a subject which may be predisposed to infection but has not yet been diagnosed as being infected.
- the Gram-negative bacterial infection may be caused by one or more species selected from one or more of the genera: Acinetobacter; Actinobacillus; Bartonella; Bordetella; Brucella; Burkholderia; Campylobacter; Cyanobacteria; Enterobacter; Envinia; Escherichia; Francisella; Helicobacter; Hemophilus; Klebsiella; Legionella; Moraxella; Morganella; Neisseria; Pasteurella; Proteus; Providencia; Pseudomonas; Salmonella; Serratia; Shigella; Stenotrophomonas; Treponema; Vibrio; and Yersinia.
- species are Pseudomonas aeruginosa, Acinetobacter baumannii, Klebsiella pneumoniae, Stenotrophomonas maltophilia, Enterobacter cloacae, Escherichia coli and Salmonella enterica.
- synthesis was undertaken using TCP-Resin, pre-loaded with Fmoc-Thr(tBu)-OH, 0.1 mmol scale.
- Coupling of the Fmoc-amino acids was performed using the default instrument protocol: 3 molar equivalents (relative to resin loading) of Fmoc amino acid and HCTU in DMF with activation in situ, using 6 molar equivalents of DIPEA. This was carried out for 50 min at room temperature.
- Fmoc deprotection was conducted using the default instrument protocol: 20% piperidine in dimethylformamide (1 ⁇ 5 min, 1 ⁇ 10 min) at room temperature. The resin was washed with DMF then treated with 3% hydrazine in DMF (4 ⁇ 15 min) to remove the ivDde group.
- the protected linear peptide was cleaved from the resin by treating the resin with 10-20% hexafluoroisopropanol (HFIP) in DCM (1 ⁇ 30 min, 1 ⁇ 5 min). The resulting solution was concentrated in vacuo and the resulting residue (crude protected linear peptide) dissolved in DMF (10 mL) to which DPPA, (0.3 mmol, 0.65 ⁇ L, 3 molar equivalents relative to the loading of the resin) and DIPEA (0.6 mmol, 104 ⁇ L, 6 molar equivalents relative to the loading of the resin) were added. This solution was stirred at room temperature overnight. The reaction solution was then concentrated under vacuum overnight.
- DPPA hexafluoroisopropanol
- the resulting residue was taken up in a solution of 2.5% EDT, 5% TIPS in TFA and stirred at room temperature for 2 h. To this solution 40 mL of diethyl ether was added. The resulting precipitate was collected by centrifugation and washed twice more with diethyl ether (40 mL) then air-dried in a fume food to give the crude cyclic peptide as a white solid. The resulting solid was taken up in Milli-Q water (5 mL) and de-salted using a Vari-Pure WE SAX column.
- the crude cyclic peptide was purified by reversed-phase HPLC (RP-HPLC) on an Agilent 1200 quaternary pump system with a photodiode array detector (214 nm) using a Phenomenex Axia column (Luna C 8 (2), 50 ⁇ 21.3 mm ID). A gradient of 60% acetonitrile in 0.1% aqueous TFA over 60 min were employed at a flow rate of 5 mL/min. Fractions collected were analysed using a Shimadzu 2020 LCMS system, incorporating a photodiode array detector (214 nm) coupled directly to an electrospray ionization source and a single quadrupole mass analyser.
- RP-HPLC reversed-phase HPLC
- RP-HPLC was carried out employing a Phenomenex column (Luna C8(2), 100 ⁇ 2.0 mm ID) eluting with a gradient of 80% acetonitrile in 0.05% aqueous TFA, over 10 min at a flow rate of 0.2 mL/min. Mass spectra were acquired in the positive ion mode with a scan range of 200-2,000 m/z. The combined fractions were freeze-dried for two days to give compound 1 as a white TFA salt in a yield of 42.9 mg. The purity was 99.7% as estimated by RP-HPLC at 214 nm. The compound was confirmed as having the correct molecular weight (1130.2) by ESI-MS analysis: m/z (monoisotopic): [M+2H] 2+ 566.15.
- MICs of the lipopeptides were determined by broth microdilution in cation-adjusted Mueller-Hinton broth (CAMHB) (Oxoid Australia, Thebarton, SA, Australia) according to Clinical and Laboratory Standards Institute standards (Clinical and Laboratory Standards Institute. Performance standards for antimicrobial susceptibility testing; eighteenth informational supplement M100-S18. Wayne, Pa., 2008). Polymyxin B (sulphate) was employed as control.
- Gram-negative bacteria were examined for compounds 1-153 as well as for a 1:1 combination of compounds 1 and 20: for (1) Pseudomonas aeruginosa, 3 polymyxin-susceptible isolates; (2) Acinetobacter baumannii, 3 polymyxin-susceptible isolates; (3) Klebsiella pneumoniae, 2 polymyxin-susceptible isolates; (4) Enterobacter cloacae, 3 polymyxin-susceptible isolates. The results are illustrated in Table 7.
- the exemplified compounds have comparable or improved antibacterial efficacy against one or more of the above Gram-negative bacterial isolates.
- P. aeruginosa ATCC 27853, A. baumannii ATCC 19606 and K. pneumoniae FADDI-KP032 were subcultured on nutrient agar plates.
- One colony of each bacterial strain was dispersed in 10-mL CAMHB and incubated overnight.
- an aliquot (0.2 mL) of each overnight culture suspension was dispersed in 20-mL CAMHB and incubated for 1.5-2.5 h for production of early log-phase growth bacterial culture.
- the bacteria in the early log-phase growth suspension were concentrated by centrifugation (3,220 g for 10 min) and re-suspended in sterile 0.9% saline for inoculation into mice.
- the bacterial cell concentration (colony forming unit [CFU]/mL) in saline was estimated by determining the optical density (OD) of the suspension at 600 nm, and confirmed by plating the suspension on nutrient agar plates.
- Swiss mice (22 to 28 g) were rendered neutropenic by injecting two doses of cyclophosphamide intraperitoneally, ⁇ 4 day (150 mg/kg) and ⁇ 1 day (100 mg/kg) prior to inoculation.
- Bloodstream infection was established by injecting intravenously 50 ⁇ L of early log-phase bacterial suspension (10 8 -10 9 CFU/mL). The exact injection volume for each bacterial suspension was calculated based upon the OD value of the bacterial suspension and the desired inoculum for each isolate.
- the blood was collected via cardiac puncture using a 1-mL syringe rinsed with heparin (5,000 IU/mL), diluted serially in sterile 0.9% saline and plated on nutrient agar plates using a spiral plater.
- any compound showing a decrease in bacterial loading ( ⁇ log) of ⁇ 2 at 4 h is considered to have good in vivo efficacy in this initial screening model.
- the compounds of the invention have comparable or improved in vivo antibacterial efficacy compared to the clinically available polymyxin B (Reduction of bacterial loading for the polymyxin B control used in the corresponding experiment is shown in brackets next to the reduction in bacterial loading for the compound).
- mice PMB sulphate (Batch 20120204) and colistin sulphate (Batch 20120719) were supplied by Betapharma (Shanghai Co., Ltd, China).
- Stock solutions of compounds in saline (5 mg base/mL) were stored at 4° C. before use.
- the mice were subcutaneously administered with the drug/compound at 12 mg base/kg, 6 doses in one day every 2 h. At ⁇ 20 h after the last dose, mice were euthanised by inhalation of an overdose of isoflurane.
- kidneys from each mouse were collected immediately and placed in 10% formalin in 5-mL plastic tubes separately, and the left kidney placed in a pre-weighed in 14-mL plastic tubes, weighed again and stored at ⁇ 20° C. pending for homogenization and analysis of polymyxin and colistin.
- the frozen kidney samples were thawed, homogenized in 2 mL of Milli-Q water and stored in a ⁇ 20° C. freezer.
- the formalin-fixed kidneys were then sent to the Australian Phenomics Network-Histopathology and Organ Pathology (The University of Melbourne, Parkville, VIC, Australia) for histological examination. The samples were examined by a pathologist who was blind to the treatment groups.
Landscapes
- Health & Medical Sciences (AREA)
- Chemical & Material Sciences (AREA)
- Life Sciences & Earth Sciences (AREA)
- Medicinal Chemistry (AREA)
- Organic Chemistry (AREA)
- General Health & Medical Sciences (AREA)
- Proteomics, Peptides & Aminoacids (AREA)
- Public Health (AREA)
- Veterinary Medicine (AREA)
- Pharmacology & Pharmacy (AREA)
- Animal Behavior & Ethology (AREA)
- Engineering & Computer Science (AREA)
- Bioinformatics & Cheminformatics (AREA)
- Genetics & Genomics (AREA)
- Biophysics (AREA)
- Gastroenterology & Hepatology (AREA)
- Immunology (AREA)
- Molecular Biology (AREA)
- Epidemiology (AREA)
- Biochemistry (AREA)
- General Chemical & Material Sciences (AREA)
- Chemical Kinetics & Catalysis (AREA)
- Nuclear Medicine, Radiotherapy & Molecular Imaging (AREA)
- Communicable Diseases (AREA)
- Oncology (AREA)
- Medicines That Contain Protein Lipid Enzymes And Other Medicines (AREA)
- Peptides Or Proteins (AREA)
- Organic Low-Molecular-Weight Compounds And Preparation Thereof (AREA)
Abstract
Description
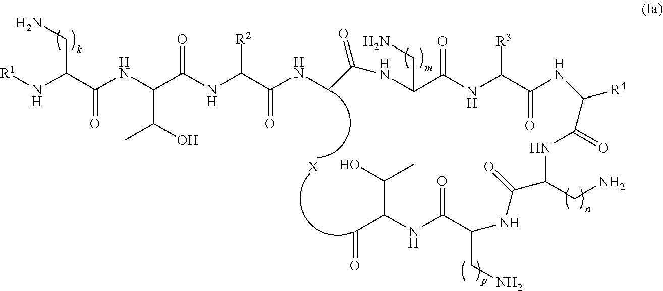
wherein
R1 is selected from —C(O)C1-22alkyl, —C(O)C2-22alkenyl, —C(O)C5-12aryl, —C(O)C1-22alkylC5-12aryl, —C(O)C1-22alkylC3-12cycloalkyl, —C(O)C5-10arylC2-22alkenyl, —C(O)C4-12cycloalkyl, —C(O)C3-12cycloalkylC1-22alkyl, —C(O)C3-12cycloalkylC2-22alkenyl, —C(S)C1-22alkyl, —C(S)C2-22alkenyl, —C(S)C5-10aryl, —C(S)C1-22alkylC5-12aryl, —C(S)C1-22alkylC3-12cycloalkyl, —C(S)C4-12cycloalkyl, —C(S)C5-10arylC1-22alkyl, —C(S)C5-10arylC2-22alkenyl, —C(S)C3-12cycloalkylC1-22alkyl, —C(S)C3-12cycloalkylC2-22alkenyl, —C(NH)C1-22alkyl, —C(NH)C2-22alkenyl, —C(NH)C5-10aryl, —C(NH)C1-22alkylC5-12aryl, —C(NH)C1-22alkylC3-12cycloalkyl, —C(NH)C4-12cycloalkyl, —C(NH)C5-10arylC1-22alkyl, —C(NH)C5-10arylC2-22alkenyl, —C(NH)C3-12cycloalkylC1-22alkyl, —C(NH)C3-12cycloalkylC2-22alkenyl, —S(O)2C1-22alkyl, —S(O)2C2-22alkenyl, —S(O)2C5-10aryl, —S(O)2C4-12cycloalkyl, —S(O)2C5-10arylC1-22alkyl, —S(O)2C5-10arylC2-22alkenyl, —S(O)2C3-12cycloalkylC1-22alkyl and —S(O)2C3-12cycloalkylC2-22alkenyl, each optionally substituted with one or more C1-2alkyl, halo, or trihaloC1-2alkyl;
R2 represents a side chain of an amino acid selected from serine or threonine;
R3 represents a side chain of an amino acid selected from leucine, phenylalanine, norleucine, norvaline or t-butylglycine;
R4 represents a side chain of an amino acid selected from alanine, threonine, serine, valine, t-butylglycine, 2-aminobutyric acid or 2-aminoisobutyric acid;
X is a residue of the side chain of an amino acid selected from diaminobutyric acid, diaminopropionic acid, lysine or ornithine; and
k, m, n and p are individually selected from 1, 2, or 3; or
formula (II):
wherein R1, R3, R4, X, k, m, n and p are as defined above for formula (I); and
q is 1, 2 or 3; or
pharmaceutically acceptable salts thereof.
wherein
R1 is selected from —C(O)C1-22alkyl, —C(O)C2-22alkenyl, —C(O)C5-12aryl, —C(O)C1-22alkylC5-12aryl, —C(O)C1-22alkylC3-12cycloalkyl, —C(O)C5-10arylC2-22alkenyl, —C(O)C4-12cycloalkyl, —C(O)C3-12cycloalkylC1-22alkyl, —C(O)C3-12cycloalkylC2-22alkenyl, —C(S)C1-22alkyl, —C(S)C2-22alkenyl, —C(S)C5-10aryl, —C(S)C1-22alkylC5-12aryl, —C(S)C1-22alkylC3-12cycloalkyl, —C(S)C4-12cycloalkyl, —C(S)C5-10arylC1-22alkyl, —C(S)C5-10arylC2-22alkenyl, —C(S)C3-12cycloalkylC1-22alkyl, —C(S)C3-12cycloalkylC2-22alkenyl, —C(NH)C1-22alkyl, —C(NH)C2-22alkenyl, —C(NH)C5-10aryl, —C(NH)C1-22alkylC5-12aryl, —C(NH)C1-22alkylC3-12cycloalkyl, —C(NH)C4-12cycloalkyl, —C(NH)C5-10arylC1-22alkyl, —C(NH)C5-10arylC2-12alkenyl, —C(NH)C3-12cycloalkylC1-22alkyl, —C(NH)C3-12cycloalkylC2-22alkenyl, —S(O)2C1-22alkyl, —S(O)2C2-22alkenyl, —S(O)2C5-10aryl, —S(O)2C4-12cycloalkyl, —S(O)2C5-10arylC1-22alkyl, —S(O)2C5-10arylC2-22alkenyl, —S(O)2C3-12cycloalkylC1-22alkyl and —S(O)2C3-12cycloalkylC2-22alkenyl, each optionally substituted with one or more C1-2alkyl, halo, or trihaloC1-2alkyl;
R2 represents a side chain of an amino acid selected from serine or threonine;
R3 represents a side chain of an amino acid selected from leucine, phenylalanine, norleucine, norvaline or t-butylglycine;
R4 represents a side chain of an amino acid selected from alanine, threonine, serine, valine, t-butylglycine, 2-aminobutyric acid or 2-aminoisobutyric acid;
X is a residue of the side chain of an amino acid selected from diaminobutyric acid, diaminopropionic acid, lysine or ornithine; and
k, m, n and p are individually selected from 1, 2, or 3;
with the proviso that when R3 is the side chain residue of leucine or phenylalanine, R4 is the side chain residue of threonine and k, m, n and p are 2, R1 is not S-6-methyloctanoyl or 6-methylheptanoyl; or
pharmaceutically acceptable salts thereof
wherein
R1 is selected from —C(O)C1-22alkyl, —C(O)C2-22alkenyl, —C(O)C5-12aryl, —C(O)C1-22alkylC5-12aryl, —C(O)C1-22alkylC3-12cycloalkyl, —C(O)C5-10arylC2-22alkenyl, —C(O)C4-12cycloalkyl, —C(O)C3-12cycloalkylC1-22alkyl, —C(O)C3-12cycloalkylC2-22alkenyl, —C(S)C1-22alkyl, —C(S)C2-22alkenyl, —C(S)C5-10aryl, —C(S)C1-22alkylC5-12aryl, —C(S)C1-22alkylC3-12cycloalkyl, —C(S)C4-12cycloalkyl, —C(S)C5-10arylC1-22alkyl, —C(S)C5-10arylC2-22alkenyl, —C(S)C3-12cycloalkylC1-22alkyl, —C(S)C3-12cycloalkylC2-22alkenyl, —C(NH)C1-22alkyl, —C(NH)C2-22alkenyl, —C(NH)C5-10aryl, —C(NH)C1-22alkylC5-12aryl, —C(NH)C1-22alkylC3-12cycloalkyl, —C(NH)C4-12cycloalkyl, —C(NH)C5-10arylC1-22alkyl, —C(NH)C5-10arylC2-22alkenyl, —C(NH)C3-12cycloalkylC1-22alkyl, —C(NH)C3-12cycloalkylC2-22alkenyl, —S(O)2C1-22alkyl, —S(O)2C2-22alkenyl, —S(O)2C5-10aryl, —S(O)2C4-12cycloalkyl, —S(O)2C5-10arylC1-22alkyl, —S(O)2C5-10arylC2-22alkenyl, —S(O)2C3-12cycloalkylC1-22alkyl and —S(O)2C3-12cycloalkylC2-22alkenyl, each optionally substituted with one or more C1-2alkyl, halo, or trihaloC1-2alkyl;
R3 represents a side chain of an amino acid selected from leucine, phenylalanine, norleucine, norvaline or t-butylglycine;
R4 represents a side chain of an amino acid selected from alanine, threonine, serine, valine, t-butylglycine, 2-aminobutyric acid or 2-aminoisobutyric acid;
X is a residue of the side chain of an amino acid selected from diaminobutyric acid, diaminopropionic acid, lysine or ornithine; and
k, m, n, p and q are individually selected from 1, 2, or 3;
with the proviso that when R3 is the side chain residue of leucine, R4 is the side chain residue of threonine and k, m, n, p and q are 2, R1 is not S-6-methyloctanoyl or 6-methylheptanoyl, or
pharmaceutically acceptable salts thereof.
b) R1 is selected from hexanoyl, hepatanoyl, octanoyl, nonanoyl, decanoyl, dodecanoyl, S,R-6-methyloctanoyl (racemic mixture), R-6-methyloctanoyl, 7-methyl octanoyl, S-5-methyl heptanoyl, R-5-methyl heptanoyl, S,R-5-methyl heptanoyl (racemic mixture), 4-biphenylcarboxyl, 4-trifluoromethylbenzoyl, 4-ethylbenzoyl, 3,4-dichlorobenzoyl, 4-chlorobenzoyl, 3-chlorobenzoyl, pentafluorobenzoyl, 4-methylbenzoyl, 4-ethylphenylacetyl, phenylacetyl, 4-methylphenylacetyl, 4-trifluoromethylphenylacetyl, pentafluorophenyl acetyl, 3,4-dichlorophenylacetyl, 4-chlorophenyl acetyl, 3-chlorophenyl acetyl, 2-chlorobenzoyl, 2-fluorobenzoyl, 2-methyl benzoyl, 2-chlorophenylacetyl, 2-methylphenyl acetyl, 2-fluorophenylacetyl, 2,3-dichlorobenzoyl, 2,3-dimethylbenzoyl, 2,4-dichlorophenylacetyl, 2,4-dichlorobenzoyl, 2,4-dimethylbenzoyl, 2-chloro-4-methylbenzoyl, 2-chloro-4-trifluoromethylbenzoyl, 3-fluorobenzoyl, 3-methylbenzoyl, 3-trifuoromethylbenzoyl, 3,4-dimethylbenzoyl, 3-fluoro-4-methylbenzoyl, 4-chloro-3-methylbenzoyl, 3,4-dimethylphenylacetyl, 3-chloro-4-methylbenzoyl, 4-chloro-3-fluorobenzoyl, 3-fluoro-4-trifluoromethylbenzoyl, 3-chloro-4-fluorobenzoyl, 4-methyl-3-trifluoromethylbenzoyl, 3-methyl-4-trifluoromethylbenzoyl, 3-methyl-5-trifluoromethylbenzoyl, 3,5-dimethylbenzoyl, 3,5-dichlorobenzoyl, 3,5-bis(trifluoromethyl)benzoyl, 3-fluoro-5-trifluoromethylbenzoyl, 3-chloro-5-methylbenzoyl, 3-chloro-5-fluorobenzoyl, benzoyl, 2,4,6-tri methylbenzoyl, 2,4,6-tri chlorobenzoyl, 2-chloro-4-fluorobenzoyl, 4-chloro-2-fluorobenzoyl, 3,4,5-trifluoromethylbenzoyl, 4-chloro-2-trifluoromethylbenzoyl, 2-fluoro-4-trifluoromethylbenzoyl, 3-biphenylcarboxyl, 4-chlorobiphenyl-4-carboxyl, 3-phenylproponyl, 4-phenylbutanoyl, 2,4-di chlorophenyl sulfonyl, 4-chloro-3-tri fluoromethyl benzoyl, 4-isopropylbenzoyl, 4-chloro-3-fluorobenzoyl, 3-chloro-4-trifluoromethylbenzoyl.
c) R1 is selected from hexanoyl, hepatanoyl, octanoyl, nonanoyl, decanoyl, dodecanoyl, S,R-6-methyloctanoyl (racemic mixture), R-6-methyloctanoyl, 7-methyl octanoyl, S-5-methylheptanoyl, R-5-methylheptanoyl, S,R-5-methylheptanoyl (racemic mixture), 4-biphenylcarboxyl, 4-trifluoromethylbenzoyl, 4-ethylbenzoyl, 3,4-dichlorobenzoyl, 4-chlorobenzoyl, 3-chlorobenzoyl, pentafluorobenzoyl, 4-methylbenzoyl, 4-ethylphenylacetyl, phenylacetyl, 4-methylphenylacetyl, 4-trifluoromethylphenylacetyl, pentafluorophenyl acetyl, 3,4-dichlorophenylacetyl, 4-chlorophenyl acetyl, 3-chlorophenyl acetyl, 2-chlorobenzoyl, 2-fluorobenzoyl, 2-methylbenzoyl, 2-chlorophenyl acetyl, 2-fluorophenylacetyl, 2-methylphenylacetyl, 2,3-dichlorobenzoyl, 2,3-dimethylbenzoyl, 2,4-dichlorophenylacetyl, 2,4-dichlorobenzoyl, 2,4-dimethylbenzoyl, 2-chloro-4-methylbenzoyl, 2-chloro-4-trifluoromethylbenzoyl, 3-fluorobenzoyl, 3-methylbenzoyl, 3-trifuoromethylbenzoyl, 3,4-dimethylbenzoyl, 3-fluoro-4-methylbenzoyl, 4-chloro-3-methylbenzoyl, 3,4-dimethylphenyl acetyl, 3-chloro-4-methylbenzoyl, 4-chloro-3-fluorobenzoyl, 3-fluoro-4-trifluoromethylbenzoyl, 3-chloro-4-fluorobenzoyl, 4-methyl-3-trifluoromethylbenzoyl, 3-methyl-4-trifluoromethylbenzoyl, 3-methyl-5-trifluoromethylbenzoyl, 3,5-dimethylbenzoyl, 3,5-dichlorobenzoyl, 3,5-bis(trifluoromethyl)benzoyl, 3-fluoro-5-trifluoromethylbenzoyl, 3-chloro-5-methylbenzoyl, 3-chloro-5-fluorobenzoyl, 2,4,6-trimethylbenzoyl, 2,4,6-tri chlorobenzoyl, 2-chloro-4-fluorobenzoyl, 4-chloro-2-fluorobenzoyl, 3,4,5-trifluoromethylbenzoyl, 4-chloro-2-trifluoromethylbenzoyl, 2-fluoro-4-trifluoromethylbenzoyl, 3-biphenylcarboxyl, 4-chloro-biphenyl-4-carboxyl, 3-phenylproponyl, 4-phenylbutanoyl, 2,4-di chlorophenyl sulfonyl, 4-chloro-3-trifluoromethylbenzoyl, 4-isopropylbenzoyl, 4-chloro-3-fluorobenzoyl, 3-chloro-4-trifluoromethylbenzoyl.
d) R1 is selected from hexanoyl, hepatanoyl, octanoyl, nonanoyl, decanoyl, dodecanoyl, S,R-6-methyloctanoyl (racemic mixture), R-6-methyloctanoyl, 7-methyl octanoyl, S-5-methylheptanoyl, R-5-methylheptanoyl, S,R-5-methylheptanoyl (racemic mixture), 4-biphenylcarboxyl, 4-trifluoromethylbenzoyl, 4-ethylbenzoyl, 3,4-di chlorobenzoyl, 4-chlorobenzoyl, 3-chlorobenzoyl, pentafluorobenzoyl, 4-methylbenzoyl, 4-ethylphenyl acetyl, phenylacetyl, 4-methylphenyl acetyl, 4-trifluoromethyl phenyl acetyl, pentafluorophenylacetyl, 3,4-dichlorophenylacetyl, 4-chlorophenylacetyl and 3-chlorophenylacetyl.
e) R2 represents a side chain of an amino acid selected from serine or threonine.
f) R3 represents a side chain of an amino acid selected from leucine, phenylalanine, norleucine, norvaline or t-butylglycine.
g) R4 represents a side chain of an amino acid selected from alanine, threonine, serine, valine, t-butylglycine, 2-aminobutyric acid or 2-aminoisobutyric acid.
h) R4 represents a side chain of an amino acid selected from alanine, threonine, serine, 2-aminobutyric acid, or 2-aminoisobutyric acid.
i) X is a residue of the side chain of an amino acid selected from diaminobutyric acid, diaminopropionic acid, lysine or ornithine.
j) X is a residue of the side chain of diaminobutyric acid.
k) m, n and p are each 2
wherein
R1 is selected from hexanoyl, hepatanoyl, octanoyl, nonanoyl, decanoyl, dodecanoyl, S,R-6-methyloctanoyl (racemic mixture), R-6-methyloctanoyl, 7-methyloctanoyl, S-5-methylheptanoyl, R-5-methylheptanoyl, S,R-5-methylheptanoyl (racemic mixture), 4-biphenylcarboxyl, 4-trifluoromethylbenzoyl, 4-ethylbenzoyl, 3,4-dichlorobenzoyl, 4-chlorobenzoyl, 3-chlorobenzoyl, pentafluorobenzoyl, 4-methylbenzoyl, 4-ethylphenyl acetyl, phenyl acetyl, 4-methylphenyl acetyl, 4-trifluoromethylphenyl acetyl, pentafluorophenyl acetyl, 3,4-dichlorophenylacetyl, 4-chlorophenyl acetyl, 3-chlorophenyl acetyl, 2-chlorobenzoyl, 2-fluorobenzoyl, 2-methylbenzoyl, 2-chlorophenyl acetyl, 2-fluorophenylacetyl, 2-methylphenylacetyl, 2,3-dichlorobenzoyl, 2,3-dimethylbenzoyl, 2,4-dichlorophenylacetyl, 2,4-dichlorobenzoyl, 2,4-dimethylbenzoyl, 2-chloro-4-methylbenzoyl, 2-chloro-4-trifluoromethylbenzoyl, 3-fluorobenzoyl, 3-methylbenzoyl, 3-trifuoromethylbenzoyl, 3,4-dimethylbenzoyl, 3-fluoro-4-methylbenzoyl, 4-chloro-3-methylbenzoyl, 3,4-dimethylphenyl acetyl, 3-chloro-4-methylbenzoyl, 4-chloro-3-fluorobenzoyl, 3-fluoro-4-trifluoromethylbenzoyl, 3-chloro-4-fluorobenzoyl, 4-methyl-3-trifluoromethylbenzoyl, 3-methyl-4-trifluoromethylbenzoyl, 3-methyl-5-trifluoromethylbenzoyl, 3,5-dimethylbenzoyl, 3,5-dichlorobenzoyl, 3,5-bis(trifluoromethyl)benzoyl, 3-fluoro-5-trifluoromethylbenzoyl, 3-chloro-5-methylbenzoyl, 3-chloro-5-fluorobenzoyl, 2,4,6-trimethylbenzoyl, 2,4,6-tri chlorobenzoyl, 2-chloro-4-fluorobenzoyl, 4-chloro-2-fluorobenzoyl, 3,4,5-trifluoromethylbenzoyl, 4-chloro-2-trifluoromethylbenzoyl, 2-fluoro-4-trifluoromethylbenzoyl, 3-biphenylcarboxyl, 4-chloro-biphenyl-4-carboxyl, 3-phenylproponyl, 4-phenylbutanoyl, 2,4-di chlorophenyl sulfonyl, 4-chloro-3-trifluoromethylbenzoyl, 4-isopropylbenzoyl, 4-chloro-3-fluorobenzoyl, 3-chloro-4-trifluoromethylbenzoyl;
R2 represents a side chain of an amino acid selected from serine or threonine;
R3 represents a side chain of an amino acid selected from leucine, phenylalanine, norleucine, norvaline or t-butylglycine;
R4 represents a side chain of an amino acid selected from alanine, threonine, serine, valine, t-butylglycine, 2-aminobutyric acid or 2-aminoisobutyric acid; and
k is 1, 2 or 3; or
pharmaceutically acceptable salts thereof.
wherein
R1 is selected from hexanoyl, hepatanoyl, octanoyl, nonanoyl, decanoyl, dodecanoyl, S,R-6-methyloctanoyl (racemic mixture), R-6-methyloctanoyl, 7-methyloctanoyl, S-5-methylheptanoyl, R-5-methylheptanoyl, S,R-5-methylheptanoyl (racemic mixture), 4-biphenylcarboxyl, 4-trifluoromethylbenzoyl, 4-ethylbenzoyl, 3,4-dichlorobenzoyl, 4-chlorobenzoyl, 3-chlorobenzoyl, pentafluorobenzoyl, 4-methylbenzoyl, 4-ethylphenyl acetyl, phenyl acetyl, 4-methylphenyl acetyl, 4-trifluoromethylphenyl acetyl, pentafluorophenyl acetyl, 3,4-dichlorophenylacetyl, 4-chlorophenyl acetyl, 3-chlorophenyl acetyl, 2-chlorobenzoyl, 2-fluorobenzoyl, 2-methylbenzoyl, 2-chlorophenyl acetyl, 2-fluorophenylacetyl, 2-methylphenylacetyl, 2,3-dichlorobenzoyl, 2,3-dimethylbenzoyl, 2,4-dichlorophenylacetyl, 2,4-dichlorobenzoyl, 2,4-dimethylbenzoyl, 2-chloro-4-methylbenzoyl, 2-chloro-4-trifluoromethylbenzoyl, 3-fluorobenzoyl, 3-methylbenzoyl, 3-trifuoromethylbenzoyl, 3,4-dimethylbenzoyl, 3-fluoro-4-methylbenzoyl, 4-chloro-3-methylbenzoyl, 3,4-dimethylphenyl acetyl, 3-chloro-4-methylbenzoyl, 4-chloro-3-fluorobenzoyl, 3-fluoro-4-trifluoromethylbenzoyl, 3-chloro-4-fluorobenzoyl, 4-methyl-3-trifluoromethylbenzoyl, 3-methyl-4-trifluoromethylbenzoyl, 3-methyl-5-trifluoromethylbenzoyl, 3,5-dimethylbenzoyl, 3,5-dichlorobenzoyl, 3,5-bis(trifluoromethyl)benzoyl, 3-fluoro-5-trifluoromethylbenzoyl, 3-chloro-5-methylbenzoyl, 3-chloro-5-fluorobenzoyl, 2,4,6-trimethylbenzoyl, 2,4,6-tri chlorobenzoyl, 2-chloro-4-fluorobenzoyl, 4-chloro-2-fluorobenzoyl, 3,4,5-trifluoromethylbenzoyl, 4-chloro-2-trifluoromethylbenzoyl, 2-fluoro-4-trifluoromethylbenzoyl, 3-biphenylcarboxyl, 4-chloro-biphenyl-4-carboxyl, 3-phenylproponyl, 4-phenylbutanoyl, 2,4-dichlorophenylsulfonyl, 4-chloro-3-trifluoromethylbenzoyl, 4-isopropylbenzoyl, 4-chloro-3-fluorobenzoyl, 3-chloro-4-trifluoromethylbenzoyl;
R3 represents a side chain of an amino acid selected from leucine, phenylalanine, norleucine, norvaline or t-butylglycine;
R4 represents a side chain of an amino acid selected from alanine, threonine, serine, valine, t-butylglycine, 2-aminobutyric acid or 2-aminoisobutyric acid; and
k and q are individually selected from 1, 2, or 3; or
pharmaceutically acceptable salts thereof.
| TABLE 1 |
| Compounds of formula (Ia): |
| (Ia) | |
|
|
|
| Compound | R1 | R2 | R3 | R4 | X | k | m | n | p |
| 1 | Octanoyl | D-Sera | D-Leua | Thra | Daba | 2 | 2 | 2 | 2 |
| 2 | Octanoyl | D-Ser | D-Leu | Ala | Dab | 2 | 2 | 2 | 2 |
| 3 | Octanoyl | D-Ser | D-Phe | Thr | Dab | 2 | 2 | 2 | 2 |
| 4 | Octanoyl | Ser | D-Leu | Thr | Dab | 2 | 2 | 2 | 2 |
| 5 | Octanoyl | D-Ser | D-Leu | Val | Dab | 2 | 2 | 2 | 2 |
| 6 | Octanoyl | D-Ser | D-Leu | Ser | Dab | 2 | 2 | 2 | 2 |
| 7 | Octanoyl | D-Ser | D-Nle | Thr | Dab | 2 | 2 | 2 | 2 |
| 8 | Hexanoyl | D-Ser | D-Leu | Thr | Dab | 2 | 2 | 2 | 2 |
| 9 | Decanoyl | D-Ser | D-Leu | Thr | Dab | 2 | 2 | 2 | 2 |
| 10 | Dodeca | D-Ser | D-Leu | Thr | Dab | 2 | 2 | 2 | 2 |
| 11 | 4-BPC | D-Ser | D-Leu | Thr | Dab | 2 | 2 | 2 | 2 |
| 12 | PA | D-Ser | D-Leu | Thr | Dab | 2 | 2 | 2 | 2 |
| 13 | Octanoyl | D-Ser | D-Leu | Thr | Dab | 1 | 2 | 2 | 2 |
| 14 | Octanoyl | D-Ser | D-Leu | Thr | Dab | 3 | 2 | 2 | 2 |
| 15 | Octanoyl | D-Thr | D-Leu | Thr | Dab | 2 | 2 | 2 | 2 |
| 16 | Heptanoyl | D-Ser | D-Leu | Thr | Dab | 2 | 2 | 2 | 2 |
| 17 | Nonanoyl | D-Ser | D-Leu | Thr | Dab | 2 | 2 | 2 | 2 |
| 18 | 3-TFMB | D-Ser | D-Leu | Abu | Dab | 2 | 2 | 2 | 2 |
| 19 | 3-TFMB | D-Ser | D-Leu | Thr | Dab | 2 | 2 | 2 | 2 |
| afor R2, R3, R4 and X, the amino acid shown in these columns is indicative of the side chain and stereochemistry at these positions; Dodec = dodecanoyl, 4-BPC = 4-biphenylcarboxyl, PA = phenylacetyl, 3-TFMB = 3-trifluoromethylbenzoyl, Dab = diaminobutyric acid, Nle = norleucine, Abu = 2-aminobutyric acid, Phe = phenylalanine, Thr = threonine, Ala = alanine, Ser = serine, Val = valine, D- indicates D-amino acids. | |||||||||
| TABLE 2 |
| Compounds of formula (IIa): |
| (IIa) | |
|
|
|
| Compound | R1 | R3 | R4 | X | k | q | m | n | p |
| 20 | Octanoyl | D-Leua | Thra | Daba | 2 | 2 | 2 | 2 | 2 |
| 21 | Octanoyl | D-Leu | Ala | Dab | 2 | 2 | 2 | 2 | 2 |
| 22 | Octanoyl | D-Phe | Thr | Dab | 2 | 2 | 2 | 2 | 2 |
| 23 | Octanoyl | D-Leu | Val | Dab | 2 | 2 | 2 | 2 | 2 |
| 24 | Octanoyl | D-Nle | Thr | Dab | 2 | 2 | 2 | 2 | 2 |
| 25 | Octanoyl | D-Leu | Ser | Dab | 2 | 2 | 2 | 2 | 2 |
| 26 | Hexanoyl | D-Leu | Thr | Dab | 2 | 2 | 2 | 2 | 2 |
| 27 | Decanoyl | D-Leu | Thr | Dab | 2 | 2 | 2 | 2 | 2 |
| 28 | Dodeca | D-Leu | Thr | Dab | 2 | 2 | 2 | 2 | 2 |
| 29 | 4-BPC | D-Leu | Thr | Dab | 2 | 2 | 2 | 2 | 2 |
| 30 | PA | D-Leu | Thr | Dab | 2 | 2 | 2 | 2 | 2 |
| 31 | Octanoyl | D-Leu | Thr | Dab | 1 | 2 | 2 | 2 | 2 |
| 32 | Octanoyl | D-Leu | Thr | Dab | 3 | 2 | 2 | 2 | 2 |
| 33 | Octanoyl | D-Leu | Thr | Dab | 2 | 1 | 2 | 2 | 2 |
| 34 | Octanoyl | D-Leu | Thr | Dab | 2 | 3 | 2 | 2 | 2 |
| 35 | Octanoyl | D-Leu | Ala | Dab | 2 | 1 | 2 | 2 | 2 |
| 36 | Octanoyl | D-Leu | Val | Dab | 2 | 1 | 2 | 2 | 2 |
| 37 | Decanoyl | D-Leu | Thr | Dab | 2 | 1 | 2 | 2 | 2 |
| 38 | Decanoyl | D-Leu | Ala | Dab | 2 | 1 | 2 | 2 | 2 |
| 39 | Decanoyl | D-Leu | Val | Dab | 2 | 1 | 2 | 2 | 2 |
| 40 | Decanoyl | D-Leu | Ala | Dab | 2 | 2 | 2 | 2 | 2 |
| 41 | Decanoyl | D-Leu | Val | Dab | 2 | 2 | 2 | 2 | 2 |
| 42 | Heptanoyl | D-Leu | Thr | Dab | 2 | 2 | 2 | 2 | 2 |
| 43 | Nonanoyl | D-Leu | Thr | Dab | 2 | 2 | 2 | 2 | 2 |
| 44 | Heptanoyl | D-Leu | Thr | Dab | 2 | 1 | 2 | 2 | 2 |
| 45 | Octanoyl | D-Leu | Aib | Dab | 2 | 1 | 2 | 2 | 2 |
| 46 | Octanoyl | D-Leu | Abu | Dab | 2 | 1 | 2 | 2 | 2 |
| 47 | Octanoyl | D-Leu | Tle | Dab | 2 | 1 | 2 | 2 | 2 |
| 48 | Octanoyl | D-Leu | Thr | Dab | 1 | 1 | 2 | 2 | 2 |
| 49 | Octanoyl | D-Nva | Thr | Dab | 2 | 1 | 2 | 2 | 2 |
| 50 | Octanoyl | D-Leu | Thr | Dab | 2 | 1 | 2 | 2 | 1 |
| 51 | Octanoyl | D-Leu | Thr | Dab | 2 | 1 | 2 | 1 | 2 |
| 52 | Octanoyl | D-Leu | Thr | Dab | 2 | 1 | 1 | 2 | 2 |
| 53 | Octanoyl | D-Leu | Thr | Dab | 2 | 1 | 2 | 2 | 3 |
| 54 | Octanoyl | D-Leu | Thr | Dab | 2 | 1 | 2 | 3 | 2 |
| 55 | Octanoyl | D-Leu | Thr | Dab | 2 | 1 | 3 | 2 | 2 |
| 56 | 4-TFMB | D-Leu | Thr | Dab | 2 | 1 | 2 | 2 | 2 |
| 57 | 3,4-DCB | D-Leu | Thr | Dab | 2 | 1 | 2 | 2 | 2 |
| 58 | Nonanoyl | D-Leu | Thr | Dab | 2 | 1 | 2 | 2 | 2 |
| 59 | Nonanoyl | D-Leu | Abu | Dab | 2 | 1 | 2 | 2 | 2 |
| 60 | Octanoyl | D-Leu | Abu | Dab | 2 | 2 | 2 | 2 | 2 |
| 61 | 3-CPA | D-Leu | Thr | Dab | 2 | 1 | 2 | 2 | 2 |
| 62 | 2,4-DCPA | D-Leu | Thr | Dab | 2 | 1 | 2 | 2 | 2 |
| 63 | Heptanoyl | D-Leu | Abu | Ala | 2 | 1 | 2 | 2 | 2 |
| 64 | Heptanoyl | D-Leu | Abu | Dab | 2 | 1 | 2 | 2 | 2 |
| 65 | 6-MH | D-Leu | Ala | Dab | 2 | 1 | 2 | 2 | 2 |
| 66 | 6-MH | D-Leu | Abu | Dab | 2 | 1 | 2 | 2 | 2 |
| 67 | Hexanoyl | D-Leu | Ala | Dab | 2 | 1 | 2 | 2 | 2 |
| 68 | Hexanoyl | D-Leu | Abu | Dab | 2 | 1 | 2 | 2 | 2 |
| 69 | Octanoyl | D-Nva | Abu | Dab | 2 | 1 | 2 | 2 | 2 |
| 70 | 2,4-DCPA | D-Leu | Abu | Dab | 2 | 1 | 2 | 2 | 2 |
| 71 | 3,4-DCB | D-Leu | Abu | Dab | 2 | 1 | 2 | 2 | 2 |
| 72 | 2-CB | D-Leu | Abu | Dab | 2 | 1 | 2 | 2 | 2 |
| 73 | 2-FB | D-Leu | Abu | Dab | 2 | 1 | 2 | 2 | 2 |
| 74 | 4-TFMB | D-Leu | Abu | Dab | 2 | 1 | 2 | 2 | 2 |
| 75 | 2-MB | D-Leu | Abu | Dab | 2 | 1 | 2 | 2 | 2 |
| 76 | 2-MPA | D-Leu | Abu | Dab | 2 | 1 | 2 | 2 | 2 |
| 77 | 4-CPA | D-Leu | Abu | Dab | 2 | 1 | 2 | 2 | 2 |
| 78 | PA | D-Leu | Abu | Dab | 2 | 1 | 2 | 2 | 2 |
| 79 | 3-CPA | D-Leu | Abu | Dab | 2 | 1 | 2 | 2 | 2 |
| 80 | 4-MPA | D-Leu | Abu | Dab | 2 | 1 | 2 | 2 | 2 |
| 81 | 3,4-DCPA | D-Leu | Abu | Dab | 2 | 1 | 2 | 2 | 2 |
| 82 | 2,4-DCB | D-Leu | Abu | Dab | 2 | 1 | 2 | 2 | 2 |
| 83 | 3,4-DMB | D-Leu | Abu | Dab | 2 | 1 | 2 | 2 | 2 |
| 84 | 2-CPA | D-Leu | Abu | Dab | 2 | 1 | 2 | 2 | 2 |
| 85 | 2-FPA | D-Leu | Abu | Dab | 2 | 1 | 2 | 2 | 2 |
| 86 | 3-FB | D-Leu | Abu | Dab | 2 | 1 | 2 | 2 | 2 |
| 87 | 3-MB | D-Leu | Abu | Dab | 2 | 1 | 2 | 2 | 2 |
| 88 | 3-CB | D-Leu | Abu | Dab | 2 | 1 | 2 | 2 | 2 |
| 89 | 2,4-DMB | D-Leu | Abu | Dab | 2 | 1 | 2 | 2 | 2 |
| 90 | 2,3-DCB | D-Leu | Abu | Dab | 2 | 1 | 2 | 2 | 2 |
| 91 | 2,3-DMB | D-Leu | Abu | Dab | 2 | 1 | 2 | 2 | 2 |
| 92 | 2,4,6-TMB | D-Leu | Abu | Dab | 2 | 1 | 2 | 2 | 2 |
| 93 | 3,5-DMB | D-Leu | Abu | Dab | 2 | 1 | 2 | 2 | 2 |
| 94 | 4-CB | D-Leu | Abu | Dab | 2 | 1 | 2 | 2 | 2 |
| 95 | 2,4,6-TCB | D-Leu | Abu | Dab | 2 | 1 | 2 | 2 | 2 |
| 96 | 3,5-DCB | D-Leu | Abu | Dab | 2 | 1 | 2 | 2 | 2 |
| 97 | 3,5-BTFMB | D-Leu | Abu | Dab | 2 | 1 | 2 | 2 | 2 |
| 98 | 4-MB | D-Leu | Abu | Dab | 2 | 1 | 2 | 2 | 2 |
| 99 | 4-IPB | D-Leu | Abu | Dab | 2 | 1 | 2 | 2 | 2 |
| 100 | 4-EB | D-Leu | Abu | Dab | 2 | 1 | 2 | 2 | 2 |
| 101 | 2-C-4-MB | D-Leu | Abu | Dab | 2 | 1 | 2 | 2 | 2 |
| 102 | 3-F-4-MB | D-Leu | Abu | Dab | 2 | 1 | 2 | 2 | 2 |
| 103 | 3,4-DMPA | D-Leu | Abu | Dab | 2 | 1 | 2 | 2 | 2 |
| 104 | 4-C-3-MB | D-Leu | Abu | Dab | 2 | 1 | 2 | 2 | 2 |
| 105 | 3-C-4-MB | D-Leu | Abu | Dab | 2 | 1 | 2 | 2 | 2 |
| 106 | 3-TFMB | D-Leu | Abu | Dab | 2 | 1 | 2 | 2 | 2 |
| 107 | 4-C-3-FB | D-Leu | Abu | Dab | 2 | 1 | 2 | 2 | 2 |
| 108 | 3-F-5-TFMB | D-Leu | Abu | Dab | 2 | 1 | 2 | 2 | 2 |
| 109 | 2-C-4-TFMB | D-Leu | Abu | Dab | 2 | 1 | 2 | 2 | 2 |
| 110 | 3-C-4-FB | D-Leu | Abu | Dab | 2 | 1 | 2 | 2 | 2 |
| 111 | 3-F-4-TFMB | D-Leu | Abu | Dab | 2 | 1 | 2 | 2 | 2 |
| 112 | 4-C-3-TFMB | D-Leu | Abu | Dab | 2 | 1 | 2 | 2 | 2 |
| 113 | 4-M-3-TFMB | D-Leu | Abu | Dab | 2 | 1 | 2 | 2 | 2 |
| 114 | 3-C-5-MB | D-Leu | Abu | Dab | 2 | 1 | 2 | 2 | 2 |
| 115 | 3-C-4-TFMB | D-Leu | Abu | Dab | 2 | 1 | 2 | 2 | 2 |
| 116 | 3-C-5-FB | D-Leu | Abu | Dab | 2 | 1 | 2 | 2 | 2 |
| 117 | 3,5-DCB | D-Leu | Ala | Dab | 2 | 1 | 2 | 2 | 2 |
| 118 | 3,5-DCB | D-Leu | Thr | Dab | 2 | 1 | 2 | 2 | 2 |
| 119 | 3-M-4-TFMB | D-Leu | Abu | Dab | 2 | 1 | 2 | 2 | 2 |
| 120 | 3-M-5-TFMB | D-Leu | Abu | Dab | 2 | 1 | 2 | 2 | 2 |
| 121 | 3-TFMB | D-Nle | Abu | Dab | 2 | 1 | 2 | 2 | 2 |
| 122 | 3-TFMB | D-Phe | Abu | Dab | 2 | 1 | 2 | 2 | 2 |
| 123 | 3-TFMB | D-Nle | Thr | Dab | 2 | 1 | 2 | 2 | 2 |
| 124 | 3-TFMB | D-Phe | Thr | Dab | 2 | 1 | 2 | 2 | 2 |
| 125 | 3-TFMB | D-Nle | Ala | Dab | 2 | 1 | 2 | 2 | 2 |
| 126 | 3-TFMB | D-Phe | Ala | Dab | 2 | 1 | 2 | 2 | 2 |
| 127 | 4-TFMPA | D-Leu | Abu | Dab | 2 | 1 | 2 | 2 | 2 |
| 128 | Octanoyl | D-Phe | Ala | Dab | 2 | 1 | 2 | 2 | 2 |
| 129 | Octanoyl | D-Phe | Thr | Dab | 2 | 1 | 2 | 2 | 2 |
| 130 | Octanoyl | D-Phe | Abu | Dab | 2 | 1 | 2 | 2 | 2 |
| 131 | Heptanoyl | D-Phe | Abu | Dab | 2 | 1 | 2 | 2 | 2 |
| 132 | Nonanoyl | D-Leu | Ala | Dab | 2 | 1 | 2 | 2 | 2 |
| 133 | 3,4,5-TFB | D-Leu | Abu | Dab | 2 | 1 | 2 | 2 | 2 |
| 134 | 4-C-2-FB | D-Leu | Abu | Dab | 2 | 1 | 2 | 2 | 2 |
| 135 | 2-C-4-FB | D-Leu | Abu | Dab | 2 | 1 | 2 | 2 | 2 |
| 136 | 4-C-2-TFMB | D-Leu | Abu | Dab | 2 | 1 | 2 | 2 | 2 |
| 137 | 2-F-4-TFMB | D-Leu | Abu | Dab | 2 | 1 | 2 | 2 | 2 |
| 138 | 3-BPC | D-Leu | Abu | Dab | 2 | 1 | 2 | 2 | 2 |
| 139 | (S,R)-6-MO | D-Leu | Abu | Dab | 2 | 1 | 2 | 2 | 2 |
| 140 | Octanoyl | D-Phe | Aib | Dab | 2 | 1 | 2 | 2 | 2 |
| 141 | 3-TFMB | D-Leu | Abu | Dab | 3 | 1 | 2 | 2 | 2 |
| 142 | 4-BPC | D-Leu | Abu | Dab | 2 | 1 | 2 | 2 | 2 |
| 143 | Nonanoyl | D-Phe | Ser | Dab | 2 | 1 | 2 | 2 | 2 |
| 144 | 4-Cl-BP-4-C | D-Leu | Ala | Dab | 2 | 1 | 2 | 2 | 2 |
| 145 | 3-PP | D-Leu | Abu | Dab | 2 | 1 | 2 | 2 | 2 |
| 146 | 4-PB | D-Leu | Ala | Dab | 2 | 1 | 2 | 2 | 2 |
| 147 | 2,4-DCB | D-Leu | Abu | Dab | 2 | 3 | 2 | 2 | 2 |
| 148 | 2,4-DCPS | D-Leu | Abu | Dab | 2 | 1 | 2 | 2 | 2 |
| 149 | Octanoyl | D-Leu | Thr | Orn | 2 | 2 | 2 | 2 | 2 |
| afor R3, R4 and X, the amino acid shown in these columns is indicative of the side chain and stereochemistry at these positions; Dodec = dodecanoyl, 4-BPC = 4-biphenylcarboxyl, PA = phenylacetyl, 6-MH = 6-methylheptanoyl, 4-TFMPA = 4-trifluoromethylphenylacetyl, 2- | |||||||||
| MB = 2-methylbenzoyl, 3-MB = 3-methylbenzoyl, 4-MB = 4-methylbenzoyl, 3-F-4-MB = 3-fluoro-4-methylbenzoyl, 4-C-3-MB = 4-chloro-3-methylbenzoyl, 3-C-4-MB = 3-chloro-4-methylbenzoyl, 3-C-5-MB = 3-chloro-5-methylbenzoyl, 2-FPA = 2-fluorophenylacetyl, 3-TFMB = 3-trifluoromethylbenzoyl, 4-TFMB = 4-trifluoromethylbenzoyl, 2-C-4-TFMB = 2-chloro-4-trifluoromethylbenzoyl, 4-C-3-TFMB = 4-chloro-3-trifluoromethylbenzoyl, 3-C-4-TFMB = 3-chloro-4-trifluoromethylbenzoyl, 3-F-4-TFMB = 3-fluoro-4-trifluoromethylbenzoyl, 3-F-5- | |||||||||
| TFMB = 3-fluoro-5-trifluoromethylbenzoyl, 4-M-3-TFMB = 4-methyl-3-trifluoromethylbenzoyl, 3-M-4-TFMB = 3-methyl-4-trifluoromethylbenzoyl, 3-M-5-TFMB = 3-methyl-5-trifluoromethylbenzoyl, 2-F-4-TFMB = 2-fluoro-4-trifluoromethylbenzoyl, 3,4,5-TFMB = 3,4,5-trifluoromethylbenzoyl, 4-C-2-TFMB = 4-chloro-2-trifluoromethylbenzoyl, 3,5-BTFMB = 3,5-bis(trifluoromethyl)benzoyl, 2,4,6-TMB = 2,4,6-trimethylbenzoyl, 2,3-DMB = 2,3-dimethylbenzoyl, 2,4-DMB = 2,4-dimethylbenzoyl, 3,4-DMB = 3,4-dimethylbenzoyl, 3,5-DMB = 3,5-dimethylbenzoyl, 2-C-4-MB = 2-chloro-4-methylbenzoyl, 4-EB = 4-ethylbenzoyl, 4-IPB = 4-Isopropylbenzoyl, 2,4-DCPA = 2,4-dichlorophenylacetyl, 3,4-DCPA = 3,4-dichlorophenylacetyl, 2-CPA = 2-chlorophenylacetyl, 3-CPA = 3-chlorophenylacetyl, 4-CPA = 4-chlorophenylacetyl, 2-CB = 2-chlorobenzoyl, 3-CB = 3-chlorobenzoyl, 4-CB = 4-chlorobenzoyl, 2,3-DCB = 2,3-dichlorobenzoyl, 2,4- | |||||||||
| DCB = 2,4-dichlorobenzoyl, 3,4-DCB = 3,4-dichlorobenzoyl, 3,5-DCB = 3,5-dichlorobenzoyl, 2,4,6-TCB = 2,4,6-trichlorobenzoyl, 2-FB = 2-fluorobenzoyl, 3-FB = 3-fluorobenzoyl, 2-C-4-FB = 2-chloro-4-fluorobenzoyl, 3-C-4-FB = 3-Chloro-4-fluorobenzoyl, 3-C-5-FB = 3-chloro-5-fluorobenzoyl, 4-C-2-FB = 4-chloro-2-fluorobenzoyl, 4-C-3-FB = 4-chloro-3-fluorobenzoyl, 2-MPA = 2-methylphenylacetyl, 4-MPA = 4-methylphenylacetyl, 3,4-DMPA = 3,4-dimethylphenylacetyl, (S,R)-6-MO = (S,R)-6-methyloctanoyl, 3-BPC = 3-biphenylcarboxyl, 4-Cl-BP-4-C = 4-chloro-biphenyl-4-carboxyl, 3-PP = 3-phenylproponyl, 4-PB = 4-phenylbutanoyl, 2,4-DCPS = 2,4-dichlorophenylsulfonyl, Dab = diaminobutyric acid, Tle = t-butylglycine, Aib = aminoisobutyric acid, Abu = 2-aminobutyric acid, Phe = phenylalanine, Thr = threonine, | |||||||||
| Ala = alanine, Ser = serine, Val = valine, Nva = norvaline, Nle = norleucine, D- indicates D-amino acids. | |||||||||
| TABLE 3 |
| Antibacterial categories and agents |
| Antibacterial Category | Antibacterial Agent | |
| Aminoglycosides | Gentamicin | |
| Tobramycin | ||
| Amikacin | ||
| Netilmicin | ||
| Antipseudomonal carbapenems | Imipenem | |
| Meropenem | ||
| Doripenem | ||
| Antipseudomonal cephalosporins | Ceftazidime | |
| Cefepime | ||
| Antipseudomonal fluoroquinolones | Ciprofloxacin | |
| Levofloxacin | ||
| Antipseudomonal penicillins + | Ticarcillin-clavulanic acid | |
| β-lactamase inhibitors | Piperacillin-tazobactum | |
| Monobactams | Aztreonam | |
| Phosphonic acids | Fosfomycin | |
| Polymyxins | Colistin | |
| Polymyxin B | ||
| TABLE 4 |
| The chemical structures of the polymyxin B, E (Colistin), D and M |
| lipopeptides. |
|
|
| Polymyxin | Fatty-acyl group | Pos 3 | Pos 6 | Pos 7 |
| B1 | (S)-6-methyloctanoyl | L-Dab | D-Phe | L-Leu |
| B2 | 6-methylheptanoyl | L-Dab | D-Phe | L-Leu |
| E1 | (S)-6-methyloctanoyl | L-Dab | D-Leu | L-Leu |
| (Colistin A) | ||||
| E2 | 6-methylheptanoyl | L-Dab | D-Leu | L-Leu |
| (Colistin B) | ||||
| D1 (150) | (S)-6-methyloctanoyl | D-Ser | D-Leu | L-Thr |
| D2 (151) | 6-methylheptanoyl | D-Ser | D-Leu | L-Thr |
| M1 (152) | (S)-6-methyloctanoyl | L-Dab | D-Leu | L-Thr |
| M2 (153) | 6-methylheptanoyl | L-Dab | D-Leu | L-Thr |
| D-Dab = D-diaminobutyric acid, L-Dab = L-diaminobutyric acid, D-Phe = D-phenylalanine, L-Leu = L-Leucine, D-Ser = D-Serine, L-Thr = L-Threonine | ||||
| TABLE 5 |
| Characterisation data for compounds of the invention represented by |
| formula (Ic): |
| (Ic) | |
|
|
|
| No | R1 | R2 | R3 | R4 | X | k | Compound data |
| 2 | Octanoyl | D-Ser | D-Leu | Ala | Dab | 2 | Yield: 43.0 mg, Purity: (99.4%) |
| MS Data: [M + 2H]2+ = | |||||||
| 551.5 | |||||||
| 3 | Octanoyl | D-Ser | D-Phe | Thr | Dab | 2 | Yield: 59.0 mg, Purity: (98.4%) |
| MS Data: [M + 2H]2+ = 583.4 | |||||||
| 4 | Ocatanoyl | Ser | D-Leu | Thr | Dab | 2 | Yield: 58.7 mg, Purity: (99.7%) |
| MS Data: [M + 2H]2+ = 566.3 | |||||||
| 5 | Octanoyl | D-Ser | D-Leu | Val | Dab | 2 | Yield: 65.5 mg, Purity: (98.9%) |
| MS Data: [M + 2H]2+ = 565.4 | |||||||
| 6 | Octanoyl | D-Ser | D-Leu | Ser | Dab | 2 | Yield: 53.1 mg, Purity: (99.3%) |
| MS Data: [M + 2H]2+ = 559.4 | |||||||
| 7 | Octanoyl | D-Ser | D-Nle | Thr | Dab | 2 | Yield: 40.0 mg, Purity: (99.2%) |
| MS Data: [M + 2H]2+ = 566.3 | |||||||
| 8 | Hexanoyl | D-Ser | D-Leu | Thr | Dab | 2 | Yield: 61.0 mg, Purity: (99.2%) |
| MS Data: [M + 2H]2+ = 552.25 | |||||||
| 9 | Decanoyl | D-Ser | D-Leu | Thr | Dab | 2 | Yield: 63.7 mg, Purity: (99.6%) |
| MS Data: [M + 2H]2+ = 580.3 | |||||||
| 10 | Dodec | D-Ser | D-Leu | Thr | Dab | 2 | Yield: 39.0 mg, Purity: (98.6%) |
| MS Data: [M + 2H]2+ = 594.30 | |||||||
| 11 | 4-BPC | D-Ser | D-Leu | Thr | Dab | 2 | Yield: 68.5 mg, Purity: (99.4%) |
| MS Data [M + 2H]2+ = 593.25 | |||||||
| 12 | PA | D-Ser | D-Leu | Thr | Dab | 2 | Yield: mg, Purity: (99.1%) MS |
| Data: [M + 2H]2+ = 562.20 | |||||||
| 13 | Octanoyl | D-Ser | D-Leu | Thr | Dab | 1 | Yield: 63.8 mg, Purity: (98.3%) |
| MS Data: [M + 2H]2+ = 559.25 | |||||||
| 14 | Octanoyl | D-Ser | D-Leu | Thr | Dab | 3 | Yield: 69.3 mg, Purity: (99.5%) |
| MS Data: [M + 2H]2+ = 573.30 | |||||||
| 15 | Octanoyl | D-Thr | D-Leu | Thr | Dab | 2 | Yield: 60.3 mg, Purity: (98.6%) |
| MS Data: [M + 2H]2+ = 573.3 | |||||||
| 16 | Heptanoyl | D-Ser | D-Leu | Thr | Dab | 2 | Yield: 50.0 mg, Purity: (99.3%) |
| MS Data: [M + 2H]2+ = 559.25 | |||||||
| 17 | Nonanoyl | D-Ser | D-Leu | Thr | Dab | 2 | Yield: 56.4 mg, Purity: (99.0%) |
| MS Data: [M + 2H]2+ = 573.25 | |||||||
| 18 | 3-TFMB | D-Ser | D-Leu | Abu | Dab | 2 | Yield: 15.5 mg, Purity: (97.3%) |
| MS Data: [M + 2H]2+ = 582.1 | |||||||
| 19 | 3-TFMB | D-Ser | D-Leu | Thr | Dab | 2 | Yield: 12.6 mg, Purity: (97.3%) |
| MS Data: [M + 2H]2+ = 590.05 | |||||||
| 150 | (S)-6-MO | D-Ser | D-Leu | Thr | Dab | 2 | Yield: 56.6 mg, Purity: (99.2%) |
| (polymyxin D1) | MS Data: [M + 2H]2+ = 573.3 | ||||||
| 151 | 6-MH | D-Ser | D-Leu | Thr | Dab | 2 | Yield: 47.7 mg, Purity: (96.8%) |
| (polymyxin D2) | MS Data: [M + 2H]2+ = 566.3 | ||||||
| a) for R2, R3 R4 and X, the amino acid shown in these columns is indicative of the side chain and stereochemistry at these positions; | |||||||
| Dodec = dodecanoyl, 3-TFMB = 3-trifluoromethylbenzoyl, (S)-6-MO = (S)-6-methyloctanoyl, 6-MH = 6-methylheptanoyl, Dab = di- | |||||||
| aminobutyric acid, Phe = phenylalanine, Thr = threonine, Ala = alanine, Ser = serine, Val = valine, Nle = norleucine, Abu = 2-aminobutyric acid, D- indicates D-amino acids. | |||||||
| TABLE 6 |
| Characterisation data for compounds of the invention represented by |
| formula IIc: |
| (IIc) | |
|
|
|
| No. | R1 | R3 | R4 | X | k | q | m | n | p | Compound Data |
| 20 | Octanoyl | D-Leu | Thr | Dab | 2 | 2 | 2 | 2 | 2 | Yield: 54.7 mg, Purity: |
| (98.4%) | ||||||||||
| MS Data: [M + 2H]2+ = | ||||||||||
| 572.80 | ||||||||||
| 21 | Octanoyl | D-Leu | Ala | Dab | 2 | 2 | 2 | 2 | 2 | Yield: 57.0 mg, Purity: |
| (98.2%) | ||||||||||
| MS Data: [M + 2H]2+ = | ||||||||||
| 557.65 | ||||||||||
| 22 | Octanoyl | D-Phe | Thr | Dab | 2 | 2 | 2 | 2 | 2 | Yield: 54.8 mg, Purity: |
| (99.3%) | ||||||||||
| MS Data: [M + 2H]2+ = | ||||||||||
| 589.8 | ||||||||||
| 23 | Octanoyl | D-Leu | Val | Dab | 2 | 2 | 2 | 2 | 2 | Yield: 41.2 mg, Purity: |
| (99.3%) | ||||||||||
| MS Data: [M + 2H]2+ = | ||||||||||
| 571.80 | ||||||||||
| 24 | Octanoyl | D-Nle | Thr | Dab | 2 | 2 | 2 | 2 | 2 | Yield: 61.2 mg, Purity: |
| (98.9%) | ||||||||||
| MS Data: [M + 2H]2+ = | ||||||||||
| 572.80 | ||||||||||
| 25 | Octanoyl | D-Leu | Ser | Dab | 2 | 2 | 2 | 2 | 2 | Yield: 49.8 mg, Purity: |
| (99.2%) | ||||||||||
| MS Data: [M + 2H]2+ = | ||||||||||
| 565.75 | ||||||||||
| 26 | Hexanoyl | D-Leu | Thr | Dab | 2 | 2 | 2 | 2 | 2 | Yield: 73.3 mg, Purity: |
| (99.6%) | ||||||||||
| MS Data: [M + 2H]2+ = | ||||||||||
| 558.75 | ||||||||||
| 27 | Decanoyl | D-Leu | Thr | Dab | 2 | 2 | 2 | 2 | 2 | Yield: 64.1 mg, Purity: |
| (98.9%) | ||||||||||
| MS Data: [M + 2H]2+ = | ||||||||||
| 586.8 | ||||||||||
| 28 | Dodec | D-Leu | Thr | Dab | 2 | 2 | 2 | 2 | 2 | Yield: 51.0 mg, Purity: |
| (99.6%) | ||||||||||
| MS Data: [M + 2H]2+ = | ||||||||||
| 600.85 | ||||||||||
| 29 | 4-BPC | D-Leu | Thr | Dab | 2 | 2 | 2 | 2 | 2 | Yield: 69.0 mg, Purity: |
| (98.8%) | ||||||||||
| MS Data: [M + 2H]2+ = | ||||||||||
| 599.75 | ||||||||||
| 30 | PA | D-Leu | Thr | Dab | 2 | 2 | 2 | 2 | 2 | Yield: 69.3 mg, Purity: |
| (99.1%) | ||||||||||
| MS Data: [M + 2H]2+ = | ||||||||||
| 568.75 | ||||||||||
| 31 | Octanoyl | D-Leu | Thr | Dab | 1 | 2 | 2 | 2 | 2 | Yield: 68.9 mg, Purity: |
| (98.9%) | ||||||||||
| MS Data: [M + 2H]2+ = | ||||||||||
| 565.80 | ||||||||||
| 32 | Octanoyl | D-Leu | Thr | Dab | 3 | 2 | 2 | 2 | 2 | Yield: 77.4 mg, Purity: |
| (98.5%) | ||||||||||
| MS Data: [M + 2H]2+ = | ||||||||||
| 579.80 | ||||||||||
| 33 | Octanoyl | D-Leu | Thr | Dab | 2 | 1 | 2 | 2 | 2 | Yield: 72.2 mg, Purity: |
| (98.8%) | ||||||||||
| MS Data: [M + 2H]2+ = | ||||||||||
| 565.80 | ||||||||||
| 34 | Octanoyl | D-Leu | Thr | Dab | 2 | 3 | 2 | 2 | 2 | Yield: 57.9 mg, Purity: |
| (98.4%) | ||||||||||
| MS Data: [M + 2H]2+ = | ||||||||||
| 579.85 | ||||||||||
| 35 | Octanoyl | D-Leu | Ala | Dab | 2 | 1 | 2 | 2 | 2 | Yield: 59.3 mg, Purity: |
| (98.7%) | ||||||||||
| MS Data: [M + 2H]2+ = | ||||||||||
| 550.75 | ||||||||||
| 36 | Octanoyl | D-Leu | Val | Dab | 2 | 1 | 2 | 2 | 2 | Yield: 47.8 mg, Purity: |
| (98.6%) | ||||||||||
| MS Data: [M + 2H]2+ = | ||||||||||
| 564.80 | ||||||||||
| 37 | Decanoyl | D-Leu | Thr | Dab | 2 | 1 | 2 | 2 | 2 | Yield: 63.1 mg, Purity: |
| (99.14%) | ||||||||||
| MS Data: [M + 2H]2+ = | ||||||||||
| 579.75 | ||||||||||
| 38 | Decanoyl | D-Leu | Ala | Dab | 2 | 1 | 2 | 2 | 2 | Yield: 48.6 mg, Purity: |
| (99.3%) | ||||||||||
| MS Data: [M + 2H]2+ = | ||||||||||
| 564.8 | ||||||||||
| 39 | Decanoyl | D-Leu | Val | Dab | 2 | 1 | 2 | 2 | 2 | Yield: 52.9 mg, Purity: |
| (99.3%) | ||||||||||
| MS Data: [M + 2H]2+ = | ||||||||||
| 578.85 | ||||||||||
| 40 | Decanoyl | D-Leu | Ala | Dab | 2 | 2 | 2 | 2 | 2 | Yield: 28.5 mg, Purity: |
| (99.6%) | ||||||||||
| MS Data: [M + 2H]2+ = | ||||||||||
| 571.5 | ||||||||||
| 41 | Decanoyl | D-Leu | Val | Dab | 2 | 2 | 2 | 2 | 2 | Yield: 59.3 mg, Purity: |
| (99.6%) | ||||||||||
| MS Data: [M + 2H]2+ = | ||||||||||
| 585.80 | ||||||||||
| 42 | Heptanoyl | D-Leu | Thr | Dab | 2 | 2 | 2 | 2 | 2 | Yield: 67.0 mg, Purity: |
| (98.9%) | ||||||||||
| MS Data: [M + 2H]2+ = | ||||||||||
| 568.80 | ||||||||||
| 43 | Nonanoyl | D-Leu | Thr | Dab | 2 | 2 | 2 | 2 | 2 | Yield: 35.0 mg, Purity: |
| (98.9%) | ||||||||||
| MS Data: [M + 2H]2+ = | ||||||||||
| 579.75 | ||||||||||
| 44 | Heptanoyl | D-Leu | Thr | Dab | 2 | 1 | 2 | 2 | 2 | Yield: 59.8 mg, Purity: |
| (99.1%) | ||||||||||
| MS Data: [M + 2H]2+ = | ||||||||||
| 558.70 | ||||||||||
| 45 | Octanoyl | D-Leu | Aib | Dab | 2 | 1 | 2 | 2 | 2 | Yield: 67.5 mg, Purity: |
| (97.7%) | ||||||||||
| MS Data: [M + 2H]2+ = | ||||||||||
| 557.75 | ||||||||||
| 46 | Octanoyl | D-Leu | Abu | Dab | 2 | 1 | 2 | 2 | 2 | Yield: 52.5 mg, Purity: |
| (99.0%) | ||||||||||
| MS Data: [M + 2H]2+ = | ||||||||||
| 557.75 | ||||||||||
| 47 | Octanoyl | D-Leu | Tle | Dab | 2 | 1 | 2 | 2 | 2 | Yield: 45.3 mg, Purity: |
| (97.4%) | ||||||||||
| MS Data: [M + 2H]2+ = | ||||||||||
| 571.80 | ||||||||||
| 48 | Octanoyl | D-Leu | Thr | Dab | 1 | 1 | 2 | 2 | 2 | Yield: 57.5 mg, Purity: |
| (98.9%) | ||||||||||
| MS Data: [M + 2H]2+ = | ||||||||||
| 558.75 | ||||||||||
| 49 | Octanoyl | D-Nva | Thr | Dab | 2 | 1 | 2 | 2 | 2 | Yield: 53.0 mg, Purity: |
| (99.3%) | ||||||||||
| MS Data: [M + 2H]2+ = | ||||||||||
| 558.75 | ||||||||||
| 50 | Octanoyl | D-Leu | Thr | Dab | 2 | 1 | 2 | 2 | 1 | Yield: 63.8 mg, Purity: |
| (99.1%) | ||||||||||
| MS Data: [M + 2H]2+ = | ||||||||||
| 558.75 | ||||||||||
| 51 | Octanoyl | D-Leu | Thr | Dab | 2 | 1 | 2 | 1 | 2 | Yield: 64.9 mg, Purity: |
| (98.8%) | ||||||||||
| MS Data: [M + 2H]2+ = | ||||||||||
| 558.75 | ||||||||||
| 52 | Octanoyl | D-Leu | Thr | Dab | 2 | 1 | 1 | 2 | 2 | Yield: 43.8 mg, Purity: |
| (99.0%) | ||||||||||
| MS Data: [M + 2H]2+ = | ||||||||||
| 558.75 | ||||||||||
| 53 | Octanoyl | D-Leu | Thr | Dab | 2 | 1 | 2 | 2 | 3 | Yield: 52.0 mg, Purity: |
| (96.7%) | ||||||||||
| MS Data: [M + 2H]2+ = | ||||||||||
| 572.75 | ||||||||||
| 54 | Octanoyl | D-Leu | Thr | Dab | 2 | 1 | 2 | 3 | 2 | Yield: 45.1 mg, Purity: |
| (99.3%) | ||||||||||
| MS Data: [M + 2H]2+ = | ||||||||||
| 572.75 | ||||||||||
| 55 | Octanoyl | D-Leu | Thr | Dab | 2 | 1 | 3 | 2 | 2 | Yield: 60.9 mg, Purity: |
| (99.6%) | ||||||||||
| MS Data: [M + 2H]2+ = | ||||||||||
| 572.75 | ||||||||||
| 56 | 4-TFMB | D-Leu | Thr | Dab | 2 | 1 | 2 | 2 | 2 | Yield: 52.5 mg, Purity: |
| (99.1%) | ||||||||||
| MS Data: [M + 2H]2+ = | ||||||||||
| 588.75 | ||||||||||
| 57 | 3,4-DCB | D-Leu | Thr | Dab | 2 | 1 | 2 | 2 | 2 | Yield: 52.0 mg, Purity: |
| (99.1%) | ||||||||||
| MS Data: [M + H]+ = 596.75 | ||||||||||
| 58 | Nonanoyl | D-Leu | Thr | Dab | 2 | 1 | 2 | 2 | 2 | Yield: 54.0 mg, Purity: |
| (99.3%) | ||||||||||
| MS Data: [M + 2H]2+ = | ||||||||||
| 572.7 | ||||||||||
| 59 | Nonanoyl | D-Leu | Abu | Dab | 2 | 1 | 2 | 2 | 2 | Yield: 66.0 mg, Purity: |
| (98.3%) | ||||||||||
| MS Data: [M + 2H]2+ = | ||||||||||
| 564.85 | ||||||||||
| 60 | Octanoyl | D-Leu | Abu | Dab | 2 | 2 | 2 | 2 | 2 | Yield: 23.0 mg, Purity: |
| (99.6%) | ||||||||||
| MS Data: [M + 2H]2+ = | ||||||||||
| 564.75 | ||||||||||
| 61 | 3-CPA | D-Leu | Thr | Dab | 2 | 1 | 2 | 2 | 2 | Yield: 71.9 mg, Purity: |
| (98.5%) | ||||||||||
| MS Data: [M + 2H]2+ = | ||||||||||
| 578.9 | ||||||||||
| 62 | 2,4-DCPA | D-Leu | Thr | Dab | 2 | 1 | 2 | 2 | 2 | Yield: 74.9 mg, Purity: |
| (98.9%) | ||||||||||
| MS Data: [M + 2H]2+ = | ||||||||||
| 595.8 | ||||||||||
| 63 | Heptanoyl | D-Leu | Ala | Dab | 2 | 1 | 2 | 2 | 2 | Yield: 65.4 mg, Purity: |
| (97.9%) | ||||||||||
| MS Data: [M + 2H]2+ = | ||||||||||
| 543.80 | ||||||||||
| 64 | Heptanoyl | D-Leu | Abu | Dab | 2 | 1 | 2 | 2 | 2 | Yield: 59.8 mg, Purity: |
| (99.1%) | ||||||||||
| MS Data: [M + 2H]2+ = | ||||||||||
| 550.80 | ||||||||||
| 65 | 6-MH | D-Leu | Ala | Dab | 2 | 1 | 2 | 2 | 2 | Yield: 67.4 mg, Purity: |
| (98.7%) | ||||||||||
| MS Data: [M + 2H]2+ = | ||||||||||
| 550.75 | ||||||||||
| 66 | 6-MH | D-Leu | Abu | Dab | 2 | 1 | 2 | 2 | 2 | Yield: 68.0 mg, Purity: |
| (97.9%) | ||||||||||
| MS Data: [M + 2H]2+ = | ||||||||||
| 557.75 | ||||||||||
| 67 | Hexanoyl | D-Leu | Ala | Dab | 2 | 1 | 2 | 2 | 2 | Yield: 65.9 mg, Purity: |
| (99.2%) | ||||||||||
| MS Data: [M + 2H]2+ = | ||||||||||
| 536.75 | ||||||||||
| 68 | Hexanoyl | D-Leu | Abu | Dab | 2 | 1 | 2 | 2 | 2 | Yield: 69.9 mg, Purity: |
| (99.4%) | ||||||||||
| MS Data: [M + 2H]2+ = | ||||||||||
| 543.80 | ||||||||||
| 69 | Octanoyl | D-Nva | Abu | Dab | 2 | 1 | 2 | 2 | 2 | Yield: 57.9 mg, Purity: |
| (98.9%) | ||||||||||
| MS Data: [M + 2H]2+ = | ||||||||||
| 550.8 | ||||||||||
| 70 | 2,4-DCPA | D-Leu | Abu | Dab | 2 | 1 | 2 | 2 | 2 | Yield: 70.7 mg, Purity: |
| (98.5%) | ||||||||||
| MS Data: [M + 2H]2+ = | ||||||||||
| 596.85 | ||||||||||
| 71 | 3,4-DCB | D-Leu | Abu | Dab | 2 | 1 | 2 | 2 | 2 | Yield: 60.7 mg, Purity: |
| (98.2%) | ||||||||||
| MS Data: [M + 2H]2+ = | ||||||||||
| 581.65 | ||||||||||
| 72 | 2-CB | D-Leu | Abu | Dab | 2 | 1 | 2 | 2 | 2 | Yield: 61.0 mg, Purity: |
| (99.2%) | ||||||||||
| MS Data: [M + 2H]2+ = | ||||||||||
| 563.95 | ||||||||||
| 73 | 2-FB | D-Leu | Abu | Dab | 2 | 1 | 2 | 2 | 2 | Yield: 61.4 mg, Purity: |
| (97.8%) | ||||||||||
| MS Data: [M + 2H]2+ = | ||||||||||
| 555.70 | ||||||||||
| 74 | 4-TFMB | D-Leu | Abu | Dab | 2 | 1 | 2 | 2 | 2 | Yield: 67.3 mg, Purity: |
| (97.7%) | ||||||||||
| MS Data: [M + 2H]2+ = | ||||||||||
| 58.75 | ||||||||||
| 75 | 2-MB | D-Leu | Abu | Dab | 2 | 1 | 2 | 2 | 2 | Yield: 62.9 mg, Purity: |
| (98.1%) | ||||||||||
| MS Data: [M + 2H]2+ = | ||||||||||
| 553.75 | ||||||||||
| 76 | 2-MPA | D-Leu | Abu | Dab | 2 | 1 | 2 | 2 | 2 | Yield: 67.2 mg, Purity: |
| (98.8%) | ||||||||||
| MS Data: [M + 2H]2+ = | ||||||||||
| 560.75 | ||||||||||
| 77 | 4-CPA | D-Leu | Abu | Dab | 2 | 1 | 2 | 2 | 2 | Yield: 67.6 mg, Purity: |
| (99.2%) | ||||||||||
| MS Data: [M + 2H]2+ = | ||||||||||
| 570.90 | ||||||||||
| 78 | PA | D-Leu | Abu | Dab | 2 | 1 | 2 | 2 | 2 | Yield: 43.9 mg, Purity: |
| (98.3%) | ||||||||||
| MS Data: [M + 2H]2+ = | ||||||||||
| 553.75 | ||||||||||
| 79 | 3-CPA | D-Leu | Abu | Dab | 2 | 1 | 2 | 2 | 2 | Yield: 76.2 mg, Purity: |
| (97.9%) | ||||||||||
| MS Data: [M + 2H]2+ = | ||||||||||
| 570.60 | ||||||||||
| 80 | 4-MPA | D-Leu | Abu | Dab | 2 | 1 | 2 | 2 | 2 | Yield: 65.2 mg, Purity: |
| (98.9%) | ||||||||||
| MS Data: [M + 2H]2+ = | ||||||||||
| 560.80 | ||||||||||
| 81 | 3,4-DCPA | D-Leu | Abu | Dab | 2 | 1 | 2 | 2 | 2 | Yield: 60.7 mg, Purity: |
| (99.1%) | ||||||||||
| MS Data: [M + 2H]2+ = | ||||||||||
| 588.55 | ||||||||||
| 82 | 2,4-DCB | D-Leu | Abu | Dab | 2 | 1 | 2 | 2 | 2 | Yield: 64.3 mg, Purity: |
| (98.9%) | ||||||||||
| MS Data: [M + 2H]2+ = | ||||||||||
| 581.65 | ||||||||||
| 83 | 3,4-DMB | D-Leu | Abu | Dab | 2 | 1 | 2 | 2 | 2 | Yield: 63.5 mg, Purity: |
| (98.7%) | ||||||||||
| MS Data: [M + 2H]2+ = | ||||||||||
| 560.75 | ||||||||||
| 84 | 2-CPA | D-Leu | Abu | Dab | 2 | 1 | 2 | 2 | 2 | Yield: 61.4 mg, Purity: |
| (99.4%) | ||||||||||
| MS Data: [M + 2H]2+ = | ||||||||||
| 570.60 | ||||||||||
| 85 | 2-FPA | D-Leu | Abu | Dab | 2 | 1 | 2 | 2 | 2 | Yield: 60.4 mg, Purity: |
| (99.5%) | ||||||||||
| MS Data: [M + 2H]2+ = | ||||||||||
| 562.75 | ||||||||||
| 86 | 3-FB | D-Leu | Abu | Dab | 2 | 1 | 2 | 2 | 2 | Yield: 62.3 mg, Purity: |
| (98.2%) | ||||||||||
| MS Data: [M + 2H]2+ = | ||||||||||
| 555.70 | ||||||||||
| 87 | 3-MB | D-Leu | Abu | Dab | 2 | 1 | 2 | 2 | 2 | Yield: 64.8 mg, Purity: |
| (98.1%) | ||||||||||
| MS Data: [M + 2H]2+ = | ||||||||||
| 553.75 | ||||||||||
| 88 | 3-CB | D-Leu | Abu | Dab | 2 | 1 | 2 | 2 | 2 | Yield: 59.3 mg, Purity: |
| (97.3%) | ||||||||||
| MS Data: [M + 2H]2+ = | ||||||||||
| 564.0 | ||||||||||
| 89 | 2,4-DMB | D-Leu | Abu | Dab | 2 | 1 | 2 | 2 | 2 | Yield: 63.0 mg, Purity: |
| (98.8%) | ||||||||||
| MS Data: [M + 2H]2+ = | ||||||||||
| 560.80 | ||||||||||
| 90 | 2,3-DCB | D-Leu | Abu | Dab | 2 | 1 | 2 | 2 | 2 | Yield: 67.9 mg, Purity: |
| (99.1%) | ||||||||||
| MS Data: [M + 2H]2+ = | ||||||||||
| 581.60 | ||||||||||
| 91 | 2,3-DMB | D-Leu | Abu | Dab | 2 | 1 | 2 | 2 | 2 | Yield: 60.6 mg, Purity: |
| (98.5%) | ||||||||||
| MS Data: [M + 2H]2+ = | ||||||||||
| 560.80 | ||||||||||
| 92 | 2,4,6-TMB | D-Leu | Abu | Dab | 2 | 1 | 2 | 2 | 2 | Yield: 22.0 mg, Purity: |
| (98.2%) | ||||||||||
| MS Data: [M + 2H]2+ = | ||||||||||
| 567.80 | ||||||||||
| 93 | 3,5-DMB | D-Leu | Abu | Dab | 2 | 1 | 2 | 2 | 2 | Yield: 57.1 mg, Purity: |
| (99.0%) | ||||||||||
| MS Data: [M + 2H]2+ = | ||||||||||
| 560.80 | ||||||||||
| 94 | 4-CB | D-Leu | Abu | Dab | 2 | 1 | 2 | 2 | 2 | Yield: 62.1 mg, Purity: |
| (98.4%) | ||||||||||
| MS Data: [M + 2H]2+ = | ||||||||||
| 563.95 | ||||||||||
| 95 | 2,4,6-TCB | D-Leu | Abu | Dab | 2 | 1 | 2 | 2 | 2 | Yield: 58.0 mg, Purity: |
| (98.7%) | ||||||||||
| MS Data: [M + 2H]2+ = | ||||||||||
| 598.70 | ||||||||||
| 96 | 3,5-DCB | D-Leu | Abu | Dab | 2 | 1 | 2 | 2 | 2 | Yield: 63.8 mg, Purity: |
| (98.6%) | ||||||||||
| MS Data: [M + 2H]2+ = | ||||||||||
| 581.65 | ||||||||||
| 97 | 3,5-BTFMB | D-Leu | Abu | Dab | 2 | 1 | 2 | 2 | 2 | Yield: 57.0 mg, Purity: |
| (98.9%) | ||||||||||
| MS Data: [M + 2H]2+ = | ||||||||||
| 614.75 | ||||||||||
| 98 | 4-MB | D-Leu | Abu | Dab | 2 | 1 | 2 | 2 | 2 | Yield: 60.0 mg, Purity: |
| (98.1%) | ||||||||||
| MS Data: [M + 2H]2+ = | ||||||||||
| 553.80 | ||||||||||
| 99 | 4-IPB | D-Leu | Abu | Dab | 2 | 1 | 2 | 2 | 2 | Yield: 51.8 mg, Purity: |
| (97.9%) | ||||||||||
| MS Data: [M + 2H]2+ = | ||||||||||
| 567.80 | ||||||||||
| 100 | 4-EB | D-Leu | Abu | Dab | 2 | 1 | 2 | 2 | 2 | Yield: 54.8 mg, Purity: |
| (99.5%) | ||||||||||
| MS Data: [M + 2H]2+ = | ||||||||||
| 560.75 | ||||||||||
| 101 | 2-C-4-MB | D-Leu | Abu | Dab | 2 | 1 | 2 | 2 | 2 | Yield: 37.0 mg, Purity: |
| (98.6%) | ||||||||||
| MS Data: [M + 2H]2+ = | ||||||||||
| 570.65 | ||||||||||
| 102 | 3-F-4-MB | D-Leu | Abu | Dab | 2 | 1 | 2 | 2 | 2 | Yield: 61.5 mg, Purity: |
| (98.7%) | ||||||||||
| MS Data: [M + 2H]2+ = | ||||||||||
| 562.75 | ||||||||||
| 103 | 3,4-DMPA | D-Leu | Abu | Dab | 2 | 1 | 2 | 2 | 2 | Yield: 64.7 mg, Purity: |
| (97.2%) | ||||||||||
| MS Data: [M + 2H]2+ = | ||||||||||
| 567.80 | ||||||||||
| 104 | 4-C-3-MB | D-Leu | Abu | Dab | 2 | 1 | 2 | 2 | 2 | Yield: 62.0 mg, Purity: |
| (97.6%) | ||||||||||
| MS Data: [M + 2H]2+ = | ||||||||||
| 570.90 | ||||||||||
| 105 | 3-C-4-MB | D-Leu | Abu | Dab | 2 | 1 | 2 | 2 | 2 | Yield: 64.0 mg, Purity: |
| (98.7%) | ||||||||||
| MS Data: [M + 2H]2+ = | ||||||||||
| 570.95 | ||||||||||
| 106 | 3-TFMB | D-Leu | Abu | Dab | 2 | 1 | 2 | 2 | 2 | Yield: 60.0 mg, Purity: |
| (97.6%) MS Data: | ||||||||||
| [M + 2H]2+ = 580.75 | ||||||||||
| 107 | 4-C-3-FB | D-Leu | Abu | Dab | 2 | 1 | 2 | 2 | 2 | Yield: 62.7 mg, Purity: |
| (97.5%) MS Data: | ||||||||||
| [M + 2H]2+ = 572.90 | ||||||||||
| 108 | 3-F-5-TFMB | D-Leu | Abu | Dab | 2 | 1 | 2 | 2 | 2 | Yield: 66.0 mg, Purity: |
| (98.5%) MS Data: | ||||||||||
| [M + 2H]2+ = 589.75 | ||||||||||
| 109 | 2-C-4-TFMB | D-Leu | Abu | Dab | 2 | 1 | 2 | 2 | 2 | Yield: 67.5 mg, Purity: |
| (97.3%) MS Data: | ||||||||||
| [M + 2H]2+ = 597.60 | ||||||||||
| 110 | 3-C-4-FB | D-Leu | Abu | Dab | 2 | 1 | 2 | 2 | 2 | Yield: 65.4 mg, Purity: |
| (98.1%) MS Data: | ||||||||||
| [M + 2H]2+ = 572.90 | ||||||||||
| 111 | 3-F-4-TFMB | D-Leu | Abu | Dab | 2 | 1 | 2 | 2 | 2 | Yield: 61.3 mg, Purity: |
| (97.5%) MS Data: | ||||||||||
| [M + 2H]2+ = 589.75 | ||||||||||
| 112 | 4-C-3-TFMB | D-Leu | Abu | Dab | 2 | 1 | 2 | 2 | 2 | Yield: 60.0 mg, Purity: |
| (96.9%) MS Data: | ||||||||||
| [M + 2H]2+ = 598.00 | ||||||||||
| 113 | 4-M-3-TFMB | D-Leu | Abu | Dab | 2 | 1 | 2 | 2 | 2 | Yield: 65.2 mg, Purity: |
| (96.5%) MS Data: | ||||||||||
| [M + 2H]2+ = 587.75 | ||||||||||
| 114 | 3-C-5-MB | D-Leu | Abu | Dab | 2 | 1 | 2 | 2 | 2 | Yield: 25.4 mg, Purity: |
| (96.9%) MS Data: | ||||||||||
| [M + 2H]2+ = 570.95 | ||||||||||
| 115 | 3-C-4-TFMB | D-Leu | Abu | Dab | 2 | 1 | 2 | 2 | 2 | Yield: 19.2 mg, Purity: |
| (97.0%) MS Data: | ||||||||||
| [M + 2H]2+ = 597.95 | ||||||||||
| 116 | 3-C-5-FB | D-Leu | Abu | Dab | 2 | 1 | 2 | 2 | 2 | Yield: 67.7 mg, Purity: |
| (97.4%) MS Data: | ||||||||||
| [M + 2H]2+ = 572.95 | ||||||||||
| 117 | 3,5-DCB | D-Leu | Ala | Dab | 2 | 1 | 2 | 2 | 2 | Yield: 17.6 mg, Purity: |
| (95.9%) MS Data: | ||||||||||
| [M + 2H]2+ = 574.55 | ||||||||||
| 118 | 3,5-DCB | D-Leu | Thr | Dab | 2 | 1 | 2 | 2 | 2 | Yield: 11.7 mg, Purity: |
| (97.1%) MS Data: | ||||||||||
| [M + 2H]2+ = 589.50 | ||||||||||
| 119 | 3-M-4-TFMB | D-Leu | Abu | Dab | 2 | 1 | 2 | 2 | 2 | Yield: 60.2 mg, Purity: |
| (97.4%) MS Data: | ||||||||||
| [M + 2H]2+ = 587.85 | ||||||||||
| 120 | 3-M-5-TFMB | D-Leu | Abu | Dab | 2 | 1 | 2 | 2 | 2 | Yield: 65.2 mg, Purity: |
| (97.1%) MS Data: | ||||||||||
| [M + 2H]2+ = 587.75 | ||||||||||
| 121 | 3-TFMB | D-Nle | Abu | Dab | 2 | 1 | 2 | 2 | 2 | Yield: 62.4 mg, Purity: |
| (97.5%) MS Data: | ||||||||||
| [M + 2H]2+ = 580.75 | ||||||||||
| 122 | 3-TFMB | D-Phe | Abu | Dab | 2 | 1 | 2 | 2 | 2 | Yield: 65.6 mg, Purity: |
| (97.2%) MS Data: | ||||||||||
| [M + 2H]2+ = 597.75 | ||||||||||
| 123 | 3-TFMB | D-Nle | Thr | Dab | 2 | 1 | 2 | 2 | 2 | Yield: 52.4 mg, Purity: |
| (97.5%) MS Data: | ||||||||||
| [M + 2H]2+ = 588.70 | ||||||||||
| 124 | 3-TFMB | D-Phe | Thr | Dab | 2 | 1 | 2 | 2 | 2 | Yield: 63.6 mg, Purity: |
| (97.2%) MS Data: | ||||||||||
| [M + 2H]2+ = 605.70 | ||||||||||
| 125 | 3-TFMB | D-Nle | Ala | Dab | 2 | 1 | 2 | 2 | 2 | Yield: 62.3 mg, Purity: |
| (97.8%) MS Data: | ||||||||||
| [M + 2H]2+ = 573.70 | ||||||||||
| 126 | 3-TFMB | D-Phe | Ala | Dab | 2 | 1 | 2 | 2 | 2 | Yield: 61.6 mg, Purity: |
| (97.9%) MS Data: | ||||||||||
| [M + 2H]2+ = 590.70 | ||||||||||
| 127 | 4-TFMPA | D-Leu | Abu | Dab | 2 | 1 | 2 | 2 | 2 | Yield: 84.6 mg, Purity: |
| (98.6%) MS Data: | ||||||||||
| [M + 2H]2+ = 595.70 | ||||||||||
| 128 | Octanoyl | D-Phe | Ala | Dab | 2 | 1 | 2 | 2 | 2 | Yield: 62.6 mg, Purity: |
| 97.1%) MS Data: | ||||||||||
| [M + 2H]2+ = 567.80 | ||||||||||
| 129 | Octanoyl | D-Phe | Thr | Dab | 2 | 1 | 2 | 2 | 2 | Yield: 56.8 mg, Purity: |
| (97.7%) MS Data: | ||||||||||
| [M + 2H]2+ = 582.80 | ||||||||||
| 130 | Octanoyl | D-Phe | Abu | Dab | 2 | 1 | 2 | 2 | 2 | Yield: 66.3 mg, Purity: |
| (97.3%) MS Data: | ||||||||||
| [M + 2H]2+ = 574.75 | ||||||||||
| 131 | Heptanoyl | D-Phe | Abu | Dab | 2 | 1 | 2 | 2 | 2 | Yield: 66.4 mg, Purity: |
| (98.8%) MS Data: | ||||||||||
| [M + 2H]2+ = 567.75 | ||||||||||
| 132 | Nonanoyl | D-Leu | Ala | Dab | 2 | 1 | 2 | 2 | 2 | Yield: 62.2 mg, Purity: |
| (97.7%) MS Data: | ||||||||||
| [M + 2H]2+ = 557.80 | ||||||||||
| 133 | 3,4,5-TFB | D-Leu | Abu | Dab | 2 | 1 | 2 | 2 | 2 | Yield: 63.3 mg, Purity: |
| (97.8%) MS Data: | ||||||||||
| [M + 2H]2+ = 573.70 | ||||||||||
| 134 | 4-C-2-FB | D-Leu | Abu | Dab | 2 | 1 | 2 | 2 | 2 | Yield: 70.3 mg, Purity: |
| (97.7%) MS Data: | ||||||||||
| [M + 2H]2+ = 572.60 | ||||||||||
| 135 | 2-C-4-FB | D-Leu | Abu | Dab | 2 | 1 | 2 | 2 | 2 | Yield: 66.2 mg, Purity: |
| (98.0%) MS Data: | ||||||||||
| [M + 2H]2+ = 572.90 | ||||||||||
| 136 | 4-C-2-TFMB | D-Leu | Abu | Dab | 2 | 1 | 2 | 2 | 2 | Yield: 74.2 mg, Purity: |
| (98.1%) MS Data: | ||||||||||
| [M + 2H]2+ = 597.60 | ||||||||||
| 137 | 2-F-4-TFMB | D-Leu | Abu | Dab | 2 | 1 | 2 | 2 | 2 | Yield: 56.7 mg, Purity: |
| (98.2%) MS Data: | ||||||||||
| [M + 2H]2+ = 589.75 | ||||||||||
| 138 | 3-BPC | D-Leu | Abu | Dab | 2 | 1 | 2 | 2 | 2 | Yield: 62.0 mg, Purity: |
| (97.5%) MS Data: | ||||||||||
| [M + 2H]2+ = 584.80 | ||||||||||
| 139 | (S,R)-6-MO | D-Leu | Abu | Dab | 2 | 1 | 2 | 2 | 2 | Yield: 54.8 mg, Purity: |
| (98.6%) MS Data: | ||||||||||
| [M + 2H]2+ = 564.85 | ||||||||||
| 140 | Octanoyl | D-Phe | Aib | Dab | 2 | 1 | 2 | 2 | 2 | Yield: 68.7 mg, Purity: |
| (97.6%) MS Data: | ||||||||||
| [M + 2H]2+ = 574.80 | ||||||||||
| 141 | 3-TFMB | D-Leu | Abu | Dab | 3 | 1 | 2 | 2 | 2 | Yield: 74.0 mg, Purity: |
| (97.1%) MS Data: | ||||||||||
| [M + 2H]2+ = 587.70 | ||||||||||
| 142 | 4-BPC | D-Leu | Abu | Dab | 2 | 1 | 2 | 2 | 2 | Yield: 69.3 mg, Purity: |
| (97.3%) MS Data: | ||||||||||
| [M + 2H]2+ = 584.80 | ||||||||||
| 143 | Nonanoyl | D-Phe | Ser | Dab | 2 | 1 | 2 | 2 | 2 | Yield: 36.2 mg, Purity: |
| (97.3%) MS Data: | ||||||||||
| [M + 2H]2+ = 582.85 | ||||||||||
| 144 | 4-Cl-BP-4-C | D-Leu | Ala | Dab | 2 | 1 | 2 | 2 | 2 | Yield: 56.4 mg, Purity: |
| (96.2%) MS Data: | ||||||||||
| [M + 2H]2+ = 595.00 | ||||||||||
| 145 | 3-PP | D-Leu | Abu | Dab | 2 | 1 | 2 | 2 | 2 | Yield: 55.2 mg, Purity: |
| (97.3%) MS Data: | ||||||||||
| [M + 2H]2+ = 560.80 | ||||||||||
| 146 | 4-PB | D-Leu | Ala | Dab | 2 | 1 | 2 | 2 | 2 | Yield: 69.8 mg, Purity: |
| (97.9%) MS Data: | ||||||||||
| [M + 2H]2+ = 560.80 | ||||||||||
| 147 | 2,4-DCB | D-Leu | Abu | Dab | 2 | 3 | 2 | 2 | 2 | Yield: 67.8 mg, Purity: |
| (97.2%) MS Data: | ||||||||||
| [M + 2H]2+ = 595.65 | ||||||||||
| 148 | 2,4-DCPS | D-Leu | Abu | Dab | 2 | 1 | 2 | 2 | 2 | Yield: 10.1 mg, Purity: |
| (94.0%) MS Data: | ||||||||||
| [M + 2H]2+ = 599.6 | ||||||||||
| 149 | Octanoyl | D-Leu | Thr | Orn | 2 | 2 | 2 | 2 | 2 | Yield: 54.0 mg, Purity: |
| (98.5%) | ||||||||||
| MS Data: [M + 2H]2+ = | ||||||||||
| 579.75 | ||||||||||
| 152 | (S)-6-MO | D-Leu | Thr | Dab | 2 | 2 | 2 | 2 | 2 | Yield: 40.0 mg, Purity: |
| (polymyxin M1) | (97.4%) MS Data: | |||||||||
| [M + 2H]2+ = 579.65 | ||||||||||
| 153 | 6-MH | D-Leu | Thr | Dab | 2 | 2 | 2 | 2 | 2 | Yield: 47.7 mg, Purity: |
| (Polymyxin M2) | (96.9%) MS Data: | |||||||||
| [M + 2H]2+ = 572.65 | ||||||||||
| for R3, R4 and X, the amino acid shown in these columns is indicative of the side chain and stereochemistry at these positions; Dodec = dodecanoyl, 4-BPC = 4-biphenylcarboxyl, PA = phenylacetyl, 6-MH = 6-methylheptanoyl, 4-TFMPA = 4-trifluoromethylphenylacetyl, 2- | ||||||||||
| MB = 2-methylbenzoyl, 3-MB = 3-methylbenzoyl, 4-MB = 4-methylbenzoyl, 3-F-4-MB = 3-fluoro-4-methylbenzoyl, 4-C-3-MB = 4-chloro-3-methylbenzoyl, 3-C-4-MB = 3-chloro-4-methylbenzoyl, 3-C-5-MB = 3-chloro-5-methylbenzoyl, 2-FPA = 2-fluorophenylacetyl, 3-TFMB = 3-trifluoromethylbenzoyl, 4-TFMB = 4-trifluoromethylbenzoyl, 2-C-4-TFMB = 2-chloro-4-trifluoromethylbenzoyl, 4-C-3- | ||||||||||
| TFMB = 4-chloro-3-trifluoromethylbenzoyl, 3-C-4-TFMB = 3-chloro-4-trifluoromethylbenzoyl, 3-F-4-TFMB = 3-fluoro-4-trifluoromethylbenzoyl, 3-F-5-TFMB = 3-fluoro-5-trifluoromethylbenzoyl, 4-M-3-TFMB = 4-methyl-3-trifluoromethylbenzoyl, 3-M-4-TFMB = 3-methyl-4-trifluoromethylbenzoyl, 3-M-5-TFMB = 3-methyl-5-trifluoromethylbenzoyl, 2-F-4-TFMB = 2-fluoro-4-trifluoromethylbenzoyl, 3,4,5-TFMB = 3,4,5-trifluoromethylbenzoyl, 4-C-2-TFMB = 4-chloro-2-trifluoromethylbenzoyl, 3,5-BTFMB = 3,5-bis(trifluoromethyl)benzoyl, 2,4,6-TMB = 2,4,6-trimethylbenzoyl, 2,3-DMB = 2,3-dimethylbenzoyl, 2,4-DMB = 2,4-dimethylbenzoyl, 3,4-DMB = 3,4-dimethylbenzoyl, 3,5-DMB = 3,5-dimethylbenzoyl, 2-C-4-MB = 2-chloro-4-methylbenzoyl, 4-EB = 4-ethylbenzoyl, 4-IPB = 4-Isoprop- | ||||||||||
| ylbenzoyl, 2,4-DCPA = 2,4-dichlorophenylacetyl, 3,4-DCPA = 3,4-dichlorophenylacetyl, 2-CPA = 2-chlorophenylacetyl, 3-CPA = 3- | ||||||||||
| chlorophenylacetyl, 4-CPA = 4-chlorophenylacetyl, 2-CB = 2-chlorobenzoyl, 3-CB = 3-chlorobenzoyl, 4-CB = 4-chlorobenzoyl, 2,3- | ||||||||||
| DCB = 2,3-dichlorobenzoyl, 2,4-DCB = 2,4-dichlorobenzoyl, 3,4-DCB = 3,4-dichlorobenzoyl, 3,5-DCB = 3,5-dichlorobenzoyl, 2,4,6- | ||||||||||
| TCB = 2,4,6-trichlorobenzoyl, 2-FB = 2-fluorobenzoyl, 3-FB = 3-fluorobenzoyl, 2-C-4-FB = 2-chloro-4-fluorobenzoyl, 3-C-4-FB = 3-Chloro-4-fluorobenzoyl, 3-C-5-FB = 3-chloro-5-fluorobenzoyl, 4-C-2-FB = 4-chloro-2-fluorobenzoyl, 4-C-3-FB = 4-chloro-3-fluorobenzoyl, 2-MPA = 2-methylphenylacetyl, 4-MPA = 4-methylphenylacetyl, 3,4-DMPA = 3,4-dimethylphenylacetyl, (S,R)-6-MO = (S,R)-6-methyloctanoyl, (S)-6-MO = (S)-6-methyloctanoyl, 3-BPC = 3-biphenylcarboxyl, 4-Cl-BP-4-C = 4-chloro-biphenyl-4-carboxyl, 3-PP = 3-phenylproponyl, 4-PB = 4-phenylbutanoyl, 2,4-DCPS = 2,4-dichlorophenylsulfonyl, Dab = diaminobutyric acid, , Tle = t-butylglycine, | ||||||||||
| Aib = aminoisobutyric acid, Abu = 2-aminobutyric acid, Phe = phenylalanine, Thr = threonine, Ala = alanine, Ser = serine, Val = valine, Nva = norvaline, Nle = norleucine, Orn = ornithine, D- indicates D-amino acids. | ||||||||||
| TABLE 7 |
| Minimum inhibitory concentrations (mg/L) for compounds 1-153 |
| Pa | Ab | Kp | Ec |
| ATCC | FADDI- | FADDI- | ATCC | FADDI- | A ATCC | ATCC | FADDI- | FADDI- | FADDI- | FADDI- | |
| Compound | 27853 | PA022 | PA025 | 19606 | AB034 | 17978 | 13883 | KP032 | EC006 | EC001 | EC003 |
| Colistin | 1 | 1 | 2 | 1 | 0.5 | 0.5 | 1 | 1 | <0.125 | 0.25 | <0.125 |
| Polymyxin B | 1 | 1 | 1 | 1 | 0.5 | 1 | 1 | <0.125 | 0.5 | 0.25 | 0.5 |
| 1 | 4 | 4 | >32 | 1 | 0.25 | 0.25 | 1 | <0.125 | 0.5 | <0.125 | <0.125 |
| 2 | 8 | 8 | >32 | 0.5 | 0.5 | 0.5 | 1 | 0.5 | 0.5 | <0.125 | <0.125 |
| 3 | 4 | 4 | >32 | 0.25 | <0.125 | <0.125 | 2 | <0.125 | 0.25 | 0.5 | <0.125 |
| 4 | 4 | 8 | >32 | 8 | 4 | 8 | 32 | 1 | 1 | 0.5 | 0.25 |
| 5 | 2 | 4 | 16 | <0.125 | 0.25 | <0.125 | 1 | <0.125 | 0.25 | 0.25 | <0.125 |
| 6 | >32 | 4 | >32 | 1 | 0.5 | 1 | >32 | 0.5 | 0.25 | 0.25 | 0.25 |
| 7 | 2 | 4 | >32 | 0.25 | <0.125 | <0.125 | 32 | <0.125 | 0.5 | 0.25 | 0.25 |
| 8 | 4 | 8 | >32 | 2 | 1 | 2 | 32 | 1 | 0.25 | 0.25 | 0.5 |
| 9 | 4 | 8 | 32 | 0.25 | 0.5 | 1 | 16 | 1 | 1 | 0.5 | 1 |
| 10 | 2 | 4 | 4 | 1 | 1 | 0.5 | 2 | 0.5 | 1 | 1 | 0.5 |
| 11 | 4 | 4 | 32 | 2 | 1 | 0.5 | 32 | 0.25 | 0.5 | 0.5 | 0.5 |
| 12 | >32 | 8 | >32 | 4 | 4 | 4 | >32 | 2 | 1 | 0.25 | 0.5 |
| 13 | 4 | 4 | >32 | 1 | 0.5 | 1 | 32 | 0.25 | 0.5 | 0.25 | 0.25 |
| 14 | >32 | 8 | >32 | 16 | 4 | 8 | >32 | 1 | 4 | 0.25 | 0.5 |
| 15 | 16 | 16 | >32 | 2 | 1 | 0.5 | 8 | 1 | 1 | 1 | 2 |
| 16 | 4 | 4 | >32 | 2 | 2 | 0.5 | >32 | 0.25 | 0.25 | 0.5 | 0.25 |
| 17 | 2 | 4 | 16 | <0.125 | 0.25 | <0.125 | <0.125 | 0.25 | 0.5 | 0.25 | 0.25 |
| 18 | 8 | 8 | 2 | 0.5 | 0.5 | 0.5 | 8 | 0.25 | 0.5 | 1 | 0.5 |
| 19 | 32 | 16 | >32 | 2 | 4 | 0.5 | 32 | 0.5 | 0.5 | 1 | 0.5 |
| 20 | 0.5 | 0.5 | >32 | 4 | 2 | 4 | 0.25 | 0.25 | <0.125 | <0.125 | 0.5 |
| 21 | 0.5 | 0.5 | >32 | 1 | 0.5 | 2 | >32 | 0.25 | 0.125 | 0.125 | 0.125 |
| 22 | 1 | 1 | 16 | 1 | 0.5 | 1 | >32 | 0.5 | 0.25 | <0.125 | <0.125 |
| 23 | 1 | 1 | 4 | 0.5 | 0.25 | 0.5 | 2 | <0.125 | 0.25 | <0.125 | <0.125 |
| 24 | 0.5 | 0.5 | 16 | 1 | 1 | 1 | >32 | <0.125 | 0.25 | <0.125 | <0.125 |
| 25 | >32 | 0.5 | >32 | 8 | 4 | 4 | >32 | 0.25 | 0.5 | <0.125 | 0.25 |
| 26 | 0.5 | 2 | >32 | 16 | 16 | 8 | >32 | 2 | 1 | 0.5 | 0.5 |
| 27 | 1 | 1 | 16 | 1 | 1 | 1 | 1 | 0.5 | 0.25 | <0.125 | <0.125 |
| 28 | 2 | 4 | 4 | 2 | 1 | 2 | 0.5 | 2 | 0.5 | 0.5 | 0.5 |
| 29 | 1 | 4 | 32 | 8 | 4 | 2 | 1 | 1 | 0.5 | 0.5 | 1 |
| 30 | 1 | 1 | >32 | 32 | 32 | 32 | >32 | 1 | 4 | 2 | 2 |
| 31 | 0.5 | 0.5 | 16 | 4 | 2 | 4 | >32 | <0.125 | 0.5 | <0.125 | 0.25 |
| 32 | >32 | 1 | >32 | >32 | >32 | >32 | >32 | 1 | >32 | 1 | 1 |
| 33 | 0.5 | 0.5 | 8 | 0.5 | 0.25 | 0.25 | <0.125 | <0.125 | 1 | <0.125 | <0.125 |
| 34 | 1 | 0.5 | >32 | 2 | 2 | 2 | >32 | <0.125 | 4 | <0.125 | <0.125 |
| 35 | 0.5 | 0.5 | 16 | 0.5 | 0.25 | 0.5 | 1 | <0.125 | <0.125 | <0.125 | 0.25 |
| 36 | 1 | 1 | 4 | 0.25 | 0.5 | 0.5 | 0.5 | 0.25 | 0.25 | 0.25 | <0.125 |
| 37 | 1 | 0.5 | 2 | 0.25 | 0.25 | 0.5 | 0.5 | 0.25 | 0.5 | 0.5 | 4 |
| 38 | 1 | 2 | 2 | 0.5 | 1 | 0.5 | 8 | 0.25 | 1 | 0.5 | 0.5 |
| 39 | 1 | 2 | 2 | 0.5 | 1 | 2 | 2 | 0.5 | 0.5 | 0.5 | 0.5 |
| 40 | 0.5 | 2 | 4 | 0.5 | 0.5 | 0.5 | 8 | 0.25 | 0.25 | 0.25 | 0.25 |
| 41 | 1 | 4 | 2 | 1 | 0.5 | 1 | >32 | 0.5 | 0.5 | 1 | 0.5 |
| 42 | 0.5 | 2 | >32 | 4 | 2 | 4 | 4 | <0.125 | 0.25 | <0.125 | <0.125 |
| 43 | 0.5 | 1 | 16 | 0.5 | 1 | 0.5 | 0.5 | <0.125 | 0.5 | 0.25 | <0.125 |
| 44 | 0.5 | 1 | 16 | 1 | 1 | 1 | 32 | <0.125 | <0.125 | 0.25 | <0.125 |
| 45 | 0.5 | 1 | 16 | 8 | 2 | 4 | >32 | 0.5 | 0.5 | 0.5 | 0.25 |
| 46 | 0.5 | 0.5 | 2 | 0.25 | 0.25 | 0.25 | <0.125 | <0.125 | <0.125 | <0.125 | 0.25 |
| 47 | 1 | 1 | 8 | 8 | 1 | 2 | 16 | <0.125 | 0.25 | 0.5 | 0.5 |
| 48 | 0.5 | 2 | 4 | 1 | 1 | 1 | 32 | 0.25 | <0.125 | 0.25 | <0.125 |
| 49 | 0.5 | 0.25 | 16 | 1 | 0.5 | 0.5 | >32 | <0.125 | 0.25 | 0.5 | 0.5 |
| 50 | 1 | 0.5 | >32 | 0.5 | 1 | 0.5 | 32 | <0.125 | <0.125 | <0.125 | <0.125 |
| 51 | 1 | 0.5 | >32 | 4 | 8 | 4 | >32 | 0.25 | 1 | 0.25 | 0.25 |
| 52 | 0.5 | 1 | >32 | 1 | 0.5 | 0.5 | 32 | <0.125 | 0.5 | 0.25 | 0.25 |
| 53 | 8 | 2 | >32 | 16 | 8 | 8 | >32 | 0.25 | 8 | 0.5 | 2 |
| 54 | 4 | 2 | 16 | 0.5 | 0.25 | 0.5 | 0.5 | 0.25 | 0.25 | <0.125 | <0.125 |
| 55 | >32 | >32 | >32 | >32 | >32 | >32 | >32 | 2 | >32 | 1 | 4 |
| 56 | 0.5 | 2 | 4 | 2 | 1 | 1 | 16 | 0.25 | 0.25 | <0.125 | <0.125 |
| 57 | 0.5 | 0.5 | 4 | 2 | 0.5 | 1 | 0.5 | <0.125 | 1 | 1 | 1 |
| 58 | 0.5 | 2 | 2 | 0.25 | 1 | 0.5 | 0.25 | 0.25 | 0.5 | 0.25 | 0.25 |
| 59 | 1 | 2 | 2 | 2 | 0.5 | 1 | 0.25 | <0.125 | 0.5 | 1 | 1 |
| 60 | 0.5 | 0.5 | 8 | 1 | 0.5 | 0.5 | 1 | <0.125 | 0.5 | <0.125 | <0.125 |
| 61 | 0.5 | 0.5 | >32 | 4 | 1 | 2 | >32 | 0.25 | 0.25 | 0.25 | 0.25 |
| 62 | 0.5 | 1 | 1 | 2 | 1 | 1 | >32 | 0.25 | 0.25 | <0.125 | <0.125 |
| 63 | 0.5 | 2 | >32 | 2 | 1 | 1 | 32 | 0.25 | 0.5 | 0.5 | <0.125 |
| 64 | 1 | 2 | 8 | 0.5 | 1 | 0.5 | 16 | <0.125 | 0.25 | 0.5 | <0.125 |
| 65 | 1 | 2 | 16 | 0.5 | 1 | 0.25 | 4 | <0.125 | 0.25 | 0.5 | <0.125 |
| 66 | 1 | 2 | 4 | 0.25 | 0.5 | 0.25 | 4 | <0.125 | 0.25 | 0.5 | <0.125 |
| 67 | 0.5 | 0.5 | 2 | 4 | 4 | 2 | >32 | 1 | 0.5 | <0.125 | 0.25 |
| 68 | 0.5 | 0.5 | 2 | 2 | 1 | 1 | 32 | 0.25 | <0.125 | 0.25 | <0.125 |
| 69 | 0.5 | 0.5 | 8 | 0.5 | 0.25 | 0.5 | 16 | <0.125 | <0.125 | 0.25 | <0.125 |
| 70 | 1 | 1 | 2 | 0.5 | 1 | 0.5 | 16 | 0.25 | 0.5 | 0.5 | 0.25 |
| 71 | 0.5 | 4 | 1 | 0.5 | 0.25 | 0.25 | 16 | 0.5 | 1 | 1 | 0.25 |
| 72 | 0.5 | 0.5 | 4 | 8 | 4 | 4 | 16 | 1 | 0.5 | 0.5 | 0.25 |
| 73 | 0.5 | 1 | 4 | 8 | 4 | 4 | 1 | 1 | 1 | 0.25 | 0.25 |
| 74 | 0.5 | 0.5 | 2 | 0.5 | 1 | 0.5 | .25 | 0.25 | 2 | <0.125 | 0.25 |
| 75 | 0.5 | 1 | 2 | 1 | 1 | 1 | 2 | 0.5 | 0.5 | 0.25 | 0.25 |
| 76 | 0.5 | 1 | 4 | 2 | 1 | 1 | 0.5 | 0.5 | 0.5 | 0.25 | 0.25 |
| 77 | 0.25 | 0.5 | 4 | 4 | 1 | 0.5 | 0.25 | <0.125 | 0.25 | 0.5 | <0.125 |
| 78 | 1 | 0.5 | 4 | 4 | 2 | 2 | 1 | 0.5 | 0.5 | 0.25 | 0.25 |
| 79 | 0.5 | 1 | 1 | 1 | 1 | 0.5 | 8 | <0.125 | 2 | 0.25 | <0.125 |
| 80 | 0.5 | 1 | 2 | 4 | 2 | 1 | 16 | 0.5 | 4 | <0.125 | 0.25 |
| 81 | 2 | 4 | 1 | 1 | 0.25 | 0.5 | 4 | <0.125 | 0.25 | 0.25 | <0.125 |
| 82 | 0.5 | 0.5 | 1 | 0.5 | 0.25 | 0.5 | 1 | <0.125 | <0.125 | <0.125 | <0.125 |
| 83 | 1 | 1 | 2 | 2 | 0.5 | 1 | >32 | 0.25 | 0.25 | 0.25 | 0.25 |
| 84 | 0.5 | 2 | 2 | 8 | 2 | 2 | >32 | 0.5 | 0.5 | <0.125 | 0.25 |
| 85 | 0.5 | 2 | 2 | 4 | 2 | 2 | 32 | 1 | 1 | 0.5 | 1 |
| 86 | 0.5 | 1 | 2 | 4 | 1 | 2 | 4 | 1 | 1 | 1 | 1 |
| 87 | 0.5 | 1 | 2 | 2 | 2 | 1 | 1 | 1 | 2 | 2 | 1 |
| 88 | 0.5 | 1 | 2 | 2 | 0.5 | 0.5 | 8 | 0.5 | 0.5 | 1 | 0.25 |
| 89 | 0.5 | 1 | 4 | 4 | 1 | 1 | <0.125 | 0.25 | 2 | <0.125 | <0.125 |
| 90 | 0.5 | 2 | 2 | 2 | 8 | 1 | <0.125 | 0.5 | 0.25 | 0.5 | 8 |
| 91 | 0.5 | 2 | 4 | 4 | 2 | 1 | 2 | 0.5 | 0.5 | <0.125 | <0.125 |
| 92 | 0.5 | 0.5 | 4 | 4 | 4 | 0.5 | 0.25 | 0.25 | 2 | <0.125 | 0.25 |
| 93 | 2 | 4 | 2 | 1 | 0.5 | 0.5 | 2 | 0.5 | 4 | 0.25 | 1 |
| 94 | 0.5 | 0.5 | 2 | 1 | 0.25 | 0.5 | 1 | 0.25 | 0.5 | 0.25 | 0.25 |
| 95 | 2 | 4 | 2 | 0.25 | 0.25 | 0.25 | 16 | <0.125 | 1 | <0.125 | 0.25 |
| 96 | 0.25 | 0.25 | 0.5 | 0.5 | 0.25 | 0.25 | <0.125 | <0.125 | 0.5 | 1 | 1 |
| 97 | 0.5 | 0.5 | 1 | 0.5 | 0.25 | <0.125 | <0.125 | <0.125 | 0.5 | 0.5 | 0.25 |
| 98 | 0.5 | 0.5 | 2 | 2 | 2 | 2 | >32 | 1 | 2 | 1 | 0.25 |
| 99 | 1 | 0.5 | 2 | 1 | 0.25 | 0.25 | >32 | 0.5 | 0.5 | 0.25 | 0.25 |
| 100 | 0.5 | 0.5 | 2 | 2 | 1 | 1 | >32 | 0.5 | 0.5 | 0.25 | 0.5 |
| 101 | 0.5 | 2 | 2 | 0.5 | 1 | 0.5 | 8 | 0.25 | 0.25 | <0.125 | <0.125 |
| 102 | 0.5 | 0.5 | 2 | 2 | 1 | 1 | >32 | 0.5 | 4 | 1 | 0.5 |
| 103 | 0.5 | 0.5 | 2 | 0.5 | 0.5 | 0.5 | 16 | <0.125 | 0.5 | <0.125 | <0.125 |
| 104 | 0.5 | 0.5 | 2 | 1 | 0.25 | 0.5 | 8 | 1 | 0.5 | 0.5 | 0.25 |
| 105 | 0.5 | 1 | 2 | 0.5 | 0.25 | 0.5 | >32 | 0.25 | 1 | 1 | 0.5 |
| 106 | 0.5 | 0.5 | 2 | 0.5 | 0.25 | 0.5 | 0.5 | 0.25 | 0.25 | 0.25 | 0.5 |
| 107 | 0.5 | 0.5 | 2 | 2 | 0.25 | 0.5 | 8 | 0.25 | 0.25 | 0.25 | 0.25 |
| 108 | 0.5 | 0.5 | 2 | 0.5 | 0.5 | 0.5 | 0.5 | 0.25 | 0.5 | 1 | 0.5 |
| 109 | 0.5 | 0.5 | 2 | 0.25 | 1 | 1 | 4 | 0.25 | 0.25 | 1 | <0.125 |
| 110 | 0.5 | 0.5 | 1 | 2 | 0.5 | 0.5 | 16 | 0.25 | 0.5 | 1 | 1 |
| 111 | 0.5 | 1 | 1 | 0.5 | 0.25 | 0.5 | 16 | 0.25 | 0.25 | 0.5 | 0.25 |
| 112 | 0.5 | 0.5 | 1 | 0.25 | 0.25 | <0.125 | 0.25 | 0.5 | 0.5 | 0.5 | 0.25 |
| 113 | 1 | 0.5 | 2 | 0.5 | 0.25 | 0.25 | <0.125 | 0.25 | 1 | 1 | 0.25 |
| 114 | 0.5 | 1 | 1 | 2 | 0.5 | 0.5 | 32 | 0.25 | 0.25 | 0.25 | 0.25 |
| 115 | 1 | 0.5 | 1 | 0.5 | 0.5 | 0.5 | 0.25 | <0.125 | 0.25 | 0.25 | 0.25 |
| 116 | 0.5 | 0.5 | 1 | 0.5 | 0.25 | 0.5 | 0.25 | 0.5 | 0.25 | 0.25 | 0.25 |
| 117 | 0.25 | 2 | 2 | 1 | 1 | 0.25 | 4 | 0.25 | 1 | 0.25 | 0.25 |
| 118 | 0.5 | 2 | 2 | 2 | 1 | >32 | 32 | 0.25 | 0.5 | 1 | 0.25 |
| 119 | 0.5 | 0.5 | 2 | 1 | 0.25 | 0.5 | 1 | <0.125 | 0.25 | <0.125 | <0.125 |
| 120 | 1 | 1 | 2 | 1 | 0.5 | 0.5 | 1 | 0.5 | 0.25 | 0.25 | 0.25 |
| 121 | 0.5 | 1 | 2 | 0.5 | 0.5 | 0.5 | 0.5 | 0.25 | 0.25 | 0.25 | 0.25 |
| 122 | 2 | 2 | 2 | 0.5 | 0.5 | 0.25 | 0.5 | 0.5 | 0.25 | 0.5 | 0.5 |
| 123 | 0.5 | 0.5 | 2 | 1 | 0.5 | 1 | 32 | 0.5 | 1 | 0.5 | 0.5 |
| 124 | 0.25 | 0.5 | 2 | 1 | 0.25 | 1 | 1 | 0.25 | 0.5 | 0.5 | <0.125 |
| 125 | 0.25 | 0.5 | 2 | 1 | 0.5 | 1 | 0.5 | 0.25 | 1 | 0.5 | 0.5 |
| 126 | 0.25 | 1 | 2 | 1 | 1 | 1 | 0.25 | 0.5 | 0.5 | 0.5 | 0.5 |
| 127 | 0.5 | 0.5 | 16 | 4 | 0.5 | 1 | 16 | 0.5 | 0.5 | <0.125 | 0.25 |
| 128 | 0.5 | 1 | 4 | 0.25 | 0.25 | 0.25 | <0.125 | 0.25 | 0.5 | <0.125 | 0.25 |
| 129 | 0.5 | 1 | 2 | 0.5 | 0.25 | 0.25 | 2 | <0.125 | 0.5 | 0.5 | <0.125 |
| 130 | 0.5 | 2 | 2 | 0.25 | 0.25 | 0.25 | 16 | 0.5 | 1 | 0.25 | 0.25 |
| 131 | 0.5 | 2 | 4 | 0.25 | 0.25 | 0.25 | 32 | <0.125 | <0.125 | <0.125 | <0.125 |
| 132 | 0.5 | 1 | 4 | 0.5 | 0.25 | 0.5 | 32 | 0.25 | <0.125 | 0.25 | <0.125 |
| 133 | 0.5 | 0.5 | 2 | 2 | 0.25 | 0.5 | >32 | 0.25 | 0.25 | 0.5 | 0.25 |
| 134 | 0.5 | 1 | 1 | 2 | 0.5 | 2 | >32 | <0.125 | <0.125 | 0.25 | <0.125 |
| 135 | 0.5 | 1 | 2 | 4 | 1 | 1 | 4 | 0.25 | <0.125 | <0.125 | <0.125 |
| 136 | 0.5 | 2 | 1 | 0.5 | 0.25 | 0.5 | 4 | <0.125 | 0.25 | <0.125 | <0.125 |
| 137 | 0.5 | 1 | 4 | 0.5 | 0.25 | 0.25 | 1 | <0.125 | <0.125 | <0.125 | <0.125 |
| 138 | 1 | 2 | 1 | 1 | 0.5 | 0.5 | 2 | 0.5 | 0.5 | 0.5 | 1 |
| 139 | 1 | 2 | 1 | 0.5 | 0.25 | 0.25 | <0.125 | <0.125 | 1 | 0.5 | 0.25 |
| 140 | 1 | 1 | 4 | 2 | 1 | 0.5 | 0.25 | 0.25 | 1 | 0.5 | 0.25 |
| 141 | 1 | 1 | 2 | 16 | 4 | 4 | >32 | 0.5 | 4 | 2 | 1 |
| 142 | 1 | 1 | 1 | 1 | 0.25 | 0.5 | 0.5 | 0.25 | 0.5 | 0.25 | 1 |
| 143 | 0.5 | 0.5 | 16 | 1 | 0.5 | 1 | 0.25 | 0.25 | 0.5 | 1 | 0.5 |
| 144 | 1 | 2 | 1 | 1 | 0.5 | 1 | 0.5 | 1 | 1 | 2 | 1 |
| 145 | 0.5 | 0.5 | 1 | 1 | 0.5 | 0.5 | 1 | <0.125 | <0.125 | 0.5 | <0.125 |
| 146 | 0.5 | 0.5 | >32 | 4 | 2 | 1 | 1 | 0.5 | 0.5 | 0.5 | 0.25 |
| 147 | 1 | 1 | >32 | 4 | 2 | 4 | 4 | 0.5 | 1 | <0.125 | 1 |
| 148 | 1 | 1 | 16 | 2 | 1 | 0.5 | 1 | 0.5 | 1 | 2 | 4 |
| 149 | >32 | >32 | >32 | >32 | >32 | >32 | >32 | 16 | >32 | >32 | >32 |
| 1/20# | 0.5 | 0.5 | >32 | 0.5 | 0.5 | 0.5 | 0.25 | <0.125 | 0.25 | <0.125 | 1 |
| 150 | 4 | 4 | >32 | 0.25 | 0.25 | 0.25 | 8 | 0.5 | 0.5 | 0.5 | 0.5 |
| 151 | 4 | 4 | >32 | 0.5 | 0.5 | 0.25 | 16 | 0.5 | 0.25 | 0.25 | 0.25 |
| 152 | 1 | 1 | 32 | 1 | 1 | 1 | >32 | 0.5 | 0.25 | 0.5 | 0.5 |
| 153 | 0.5 | 4 | >32 | 2 | 1 | 2 | >32 | 0.25 | 0.5 | 0.25 | 0.25 |
| Pa = Pseudomonas aeruginosa, | |||||||||||
| Ab = Acinetobacter baumannii, | |||||||||||
| Kp = Klebsiella pneumonia, | |||||||||||
| Ec = Enterobacter cloacae, | |||||||||||
| #1:1 ratio of compounds 1 and 20. | |||||||||||
| TABLE 8 |
| In vivo efficacy in mouse blood infection model |
| P. aeruginosa | A. baumannii | K. pneumoniae | |
| ATCC 27853 | ATCC 19606 | FADDI-KP032 |
| MIC | Δ log (Treated- | MIC | Δ log (Treated- | MIC | Δ log (Treated- | |
| Compound | (mg/L) | Control at 4 h){circumflex over ( )} | (mg/L) | Control at 4 h){circumflex over ( )} | (mg/L) | Control at 4 h)∧ |
| 1 | 4 | 0.40 (−2.44) | <0.125 | −2.13 (−2.32) | 0.5 | −3.49 (−3.66) |
| 2 | 8 | — | 0.5 | −2.70 (−2.58) | 0.5 | −3.44 (−3.15) |
| 3 | 4 | — | 0.25 | −2.02 (−2.58) | <0.125 | −3.45 (−3.15) |
| 4 | 4 | — | 8 | — | 1 | −1.84 (−3.15) |
| 5 | 2 | −0.54 (−2.21) | <0.125 | −2.60 (−2.58) | <0.125 | −3.74 (−3.15) |
| 6 | >32 | — | 1 | −2.35 (−2.58) | 0.5 | — |
| 7 | −0.61 (−2.21) | 0.25 | −2.87 (−2.58) | <0.125 | −3.39 (−3.15) | |
| 8 | 4 | −0.05 (−3.45) | 2 | — | 1 | — |
| 18 | 8 | — | 0.5 | −1.57 (−1.79) | 0.25 | — |
| 19 | 32 | — | 2 | −1.58 (−1.79) | 0.5 | — |
| 20 | 0.5 | −2.13 (−2.21) | 4 | −1.86 (−1.90) | 0.25 | −3.50 (−3.15) |
| 21 | 0.5 | −2.26 (−2.21) | 1 | −2.43 (−2.58) | 0.25 | — |
| 22 | 1 | −3.10 (−2.21) | 1 | −1.50 (−2.58) | 0.5 | −3.11 (−3.15) |
| 23 | 1 | −2.48 (−2.21) | 0.5 | −2.82 (−2.58) | <0.125 | −3.88 (−3.15) |
| 24 | 0.5 | −2.31 (−2.21) | 1 | −2.16 (−2.58) | <0.125 | −3.21 (−3.15) |
| 25 | >32 | 8 | 0.27 (−2.58) | 0.25 | −2.65 (−3.15) | |
| 26 | 0.5 | −0.04 (−3.45) | 16 | — | 2 | — |
| 27 | 1 | −3.67 (−3.45) | 1 | — | 0.5 | — |
| 29 | 1 | −2.80 (−3.45) | 8 | — | 1 | — |
| 30 | 1 | −0.39 (−3.45) | 32 | — | 1 | — |
| 33 | 0.5 | −1.55 (−2.83) | 0.5 | −1.40 (−2.08) | <0.125 | −2.80 (−3.00) |
| 35 | 0.5 | −3.36 (−3.74) | 0.5 | −1.60 (−1.57) | <0.125 | −3.12 (−3.00) |
| 46 | 0.5 | −2.53 (−3.91) | 0.25 | −1.56 (−1.57) | <0.125 | −2.93 (−2.64) |
| 58 | 0.5 | −3.00 (−2.83) | 0.25 | −2.15 (−1.86) | 0.25 | −3.21 (−3.13) |
| 59 | 1 | −2.82 (−2.87) | 2 | — | <0.125 | — |
| 61 | 0.5 | −4.75 (−3.91) | 4 | — | 0.25 | — |
| 62 | 0.5 | −2.69 (3.35) | 2 | — | 0.25 | — |
| 70 | 1 | −3.11 (−3.91) | 0.5 | — | 0.25 | — |
| 71 | 0.5 | −4.04 (−3.91) | 0.5 | −1.82 (−1.86) | 0.5 | −2.98 (−3.13) |
| 74 | 0.5 | −3.10 (−3.83) | 0.5 | −2.34 (−1.86) | 0.25 | −2.94 (−3.13) |
| 77 | 0.25 | −2.28 (−3.35) | 4 | — | <0.125 | — |
| 79 | 0.5 | −2.28 (−3.35) | 1 | — | <0.125 | — |
| 82 | 0.5 | −3.44 (−3.35) | 0.5 | −1.44 (−1.79) | <0.125 | −3.33 (−3.13) |
| 83 | 1 | −3.63 (−3.35) | 2 | — | 0.25 | — |
| 88 | 0.5 | −3.33 (−3.83) | 2 | −2.46 (−1.86) | 0.5 | — |
| 94 | 0.5 | −3.23 (−3.83) | 1 | −1.26 (1.86) | 0.25 | — |
| 96 | 0.25 | −3.45 (−3.83) | 0.5 | −2.42 (−1.86) | <0.125 | −2.75 (−3.13) |
| 99 | 1 | −3.21 (−3.83) | 1 | — | 0.5 | — |
| 100 | 0.5 | −3.83 (−3.83) | 2 | — | 0.5 | — |
| 104 | 0.5 | −3.08 (−2.99) | 1 | −1.35 (−1.86) | 1 | −3.23 (−3.13) |
| 105 | 0.5 | −2.54 (−2.99) | 0.5 | −1.31 (−1.86) | 0.25 | — |
| 106 | 0.5 | −2.33 (−2.99) | 0.5 | — | 0.25 | −2.77 (−3.13) |
| 107 | 0.5 | −2.98 (−2.99) | 2 | — | 0.25 | — |
| 108 | 0.5 | −2.32 (−2.99) | 0.5 | −1.82 (−1.79) | 0.25 | −2.84 (−3.13) |
| 109 | 0.5 | −2.68 (−2.99) | 0.25 | −1.54 (−1.86) | 0.25 | −3.47 (−3.13) |
| 110 | 0.5 | −3.30 (−2.99) | 2 | −1.57 (−1.79) | 0.25 | −2.50 (−3.13) |
| 111 | 1 | −3.65 (−2.99) | 0.5 | −1.66 (−1.79) | 0.25 | — |
| 112 | 0.5 | −3.15 (−2.99) | 0.25 | — | 0.5 | — |
| 113 | 0.5 | −2.61 (−2.87) | 0.5 | −1.60 (−1.79) | 0.25 | — |
| 114 | 0.5 | −2.57 (−2.87) | 2 | — | 0.25 | — |
| 115 | 1 | −2.71 (−2.87) | 0.5 | — | 0.125 | — |
| 116 | 0.5 | −2.81 (−2.87) | 0.5 | −1.51 (−.179) | 0.5 | — |
| 117 | 0.25 | −2.99 (−3.14) | 1 | — | 0.25 | — |
| 118 | 0.5 | −3.53 (−3.14) | 2 | — | 0.25 | — |
| 119 | 0.5 | −3.40 (−3.14) | 1 | — | <0.125 | — |
| 120 | 1 | −3.20 (−3.14) | 1 | — | 0.5 | — |
| 121 | 0.5 | −2.81 (−3.14) | 0.5 | — | 0.25 | — |
| 122 | 2 | −3.70 (−3.14) | 0.5 | −1.58 (−1.79) | 0.5 | — |
| 123 | 0.5 | −2.96 (−3.14) | 1 | −1.53 (−1.79) | 0.5 | — |
| 124 | 0.25 | −3.36 (−3.14) | 1 | — | 0.25 | — |
| 125 | 0.25 | −3.66 (−3.14) | 1 | — | 0.25 | — |
| 126 | 0.25 | −3.97 (−3.14) | 1 | — | 0.5 | −2.68 (−3.13) |
| 127 | 0.5 | −3.51 (−3.59) | 4 | — | 0.5 | — |
| 129 | 0.5 | −3.45 (−3.59) | 0.5 | −1.42 (−1.26) | <0.125 | −3.64 (−3.24) |
| 130 | 0.5 | −3.66 (−3.59) | 0.25 | — | 0.5 | — |
| 131 | 0.5 | −3.80 (−3.59) | 0.25 | −1.75 (−1.26) | <0.125 | −3.44 (−3.24) |
| 132 | 0.5 | −4.39 (−3.59) | 0.5 | −1.58 (−1.26) | 0.25 | −3.16 (−3.24) |
| 133 | 0.5 | −3.23 (−3.59) | 2 | — | 0.25 | — |
| 138 | 1 | −2.98 (−3.23) | 1 | — | 0.5 | — |
| 139 | 1 | −3.19 (−3.23) | 0.5 | — | <0.125 | — |
| 140 | 1 | −3.27 (−3.23) | 2 | — | 0.25 | — |
| 142 | 1 | −3.89 (−3.23) | 1 | — | 0.25 | — |
| 143 | 0.5 | −3.47 (−3.23) | 1 | — | 0.25 | — |
| 144 | 1 | −2.98 (−3.23) | 1 | — | 1 | — |
| 146 | 0.5 | −3.63 (−3.23) | 4 | — | 0.5 | — |
| 1/20* | −1.52 (−2.83) | −1.86 (−2.08) | −2.82 (−3.00) | |||
| 150 | 4 | −0.29 (−3.18) | 0.25 | −1.46 (−1.17) | 0.5 | −3.77 (−2.99) |
| 151 | 4 | −0.40 (−2.20) | 0.5 | −1.59 (−2.53) | 0.5 | −4.71 (−4.06) |
| 152 | 1 | −3.24 (−3.18) | 1 | −1.61 (−1.17) | 0.5 | −3.86 (−2.99) |
| 153 | 0.5 | −2.73 (−3.18) | 2 | −1.26 (−1.17) | 0.25 | −3.59 (−2.99) |
| — Not determined | ||||||
| ∧The Δ log (Treated-Control at 4 h) for the polymyxin B control used in the corresponding experiment is shown in brackets next to the Δ log (Treated-Control at 4 h) for each compound. | ||||||
| *1:1 ratio of compound 1 and 20. | ||||||
| TABLE 9 |
| In vivo nephrotoxicity in a mouse model |
| Max Overall | ||
| Kidney | Max Kidney | |
| Compound* | Histology Score | Histology Score |
| Polymyxin B | 60.0 | +5 |
| Colistin | 60.0 | +5 |
| 1 | 5.0 | +1 |
| 2 | 3.0 | +1 |
| 3 | 3.0 | +1 |
| 5 | 6.0 | +1 |
| 6 | 0.0 | 0 |
| 7 | 6.0 | +1 |
| 9 | 0.0 | 0 |
| 11 | 0.1 | 0 |
| 16 | 0.0 | 0 |
| 17 | 6.0 | +1 |
| 19 | 5.0 | +1 |
| 20 | 0.0 | 0 |
| 21 | 0.0 | 0 |
| 22 | 0.2 | 0 |
| 23 | 0.2 | 0 |
| 24 | 3.0 | +1 |
| 27 | 0.1 | 0 |
| 33 | 0.0 | 0 |
| 35 | 2.0 | +1 |
| 36 | 0.1 | 0 |
| 37 | 0.1 | 0 |
| 42 | 0.0 | 0 |
| 43 | 0.1 | 0 |
| 44 | 0.0 | 0 |
| 46 | 4.0 | +1 |
| 58 | 0.1 | 0 |
| 59 | 4.0 | +1 |
| 60 | 1.0 | +1 |
| 62 | 0.1 | 0 |
| 63 | 0.0 | 0 |
| 64 | 0.0 | 0 |
| 65 | 0.0 | 0 |
| 66 | 4.0 | +1 |
| 70 | 2.0 | +1 |
| 71 | 0.0 | 0 |
| 75 | 0.0 | 0 |
| 77 | 2.0 | +1 |
| 78 | 0.0 | 0 |
| 79 | 5.0 | +1 |
| 82 | 0.0 | 0 |
| 83 | 0.0 | 0 |
| 88 | 0.0 | 0 |
| 89 | 0.1 | 0 |
| 90 | 0.0 | 0 |
| 91 | 0.0 | 0 |
| 92 | 0.0 | 0 |
| 93 | 0.0 | 0 |
| 94 | 0.0 | 0 |
| 95 | 0.0 | 0 |
| 96 | 2.0 | +1 |
| 100 | 0.0 | 0 |
| 103 | 0.1 | 0 |
| 104 | 0.0 | 0 |
| 105 | 2.0 | +1 |
| 106 | 0.0 | 0 |
| 107 | 0.0 | 0 |
| 108 | 6.0 | +1 |
| 109 | 0.0 | 0 |
| 110 | 0.0 | 0 |
| 111 | 6.0 | +1 |
| 113 | 6.0 | +1 |
| 116 | 0.0 | 0 |
| 120 | 6.0 | +1 |
| 121 | 4.0 | +1 |
| 123 | 0.0 | 0 |
| 124 | 3.0 | +1 |
| 125 | 0.0 | 0 |
| 126 | 0.0 | 0 |
| 128 | 3.0 | +1 |
| 129 | 4.0 | +1 |
| 132 | 0.0 | 0 |
| 133 | 0.0 | 0 |
| 134 | 0.0 | 0 |
| 135 | 0.0 | 0 |
| 1/20# | 0.0 | 0 |
| 150 | 24.0 | +2 |
| 151 | 0.1 | 0 |
| 152 | 2.0 | +1 |
| 153 | 0.0 | 0 |
| #1:1 ration of compound 1 and 20. | ||
Claims (4)
Priority Applications (1)
| Application Number | Priority Date | Filing Date | Title |
|---|---|---|---|
| US16/144,967 USRE48335E1 (en) | 2014-04-01 | 2015-04-01 | Polymyxin derivatives as antimicrobial compounds |
Applications Claiming Priority (5)
| Application Number | Priority Date | Filing Date | Title |
|---|---|---|---|
| AU2014901182A AU2014901182A0 (en) | 2014-04-01 | Antimicrobial compounds | |
| AU2014901182 | 2014-04-01 | ||
| US16/144,967 USRE48335E1 (en) | 2014-04-01 | 2015-04-01 | Polymyxin derivatives as antimicrobial compounds |
| US15/301,310 US10047126B2 (en) | 2014-04-01 | 2015-04-01 | Polymyxin derivatives as antimicrobial compounds |
| PCT/AU2015/050149 WO2015149131A1 (en) | 2014-04-01 | 2015-04-01 | Polymyxin derivatives as antimicrobial compounds |
Publications (1)
| Publication Number | Publication Date |
|---|---|
| USRE48335E1 true USRE48335E1 (en) | 2020-12-01 |
Family
ID=54239144
Family Applications (2)
| Application Number | Title | Priority Date | Filing Date |
|---|---|---|---|
| US16/144,967 Active USRE48335E1 (en) | 2014-04-01 | 2015-04-01 | Polymyxin derivatives as antimicrobial compounds |
| US15/301,310 Ceased US10047126B2 (en) | 2014-04-01 | 2015-04-01 | Polymyxin derivatives as antimicrobial compounds |
Family Applications After (1)
| Application Number | Title | Priority Date | Filing Date |
|---|---|---|---|
| US15/301,310 Ceased US10047126B2 (en) | 2014-04-01 | 2015-04-01 | Polymyxin derivatives as antimicrobial compounds |
Country Status (11)
| Country | Link |
|---|---|
| US (2) | USRE48335E1 (en) |
| EP (2) | EP4477272A3 (en) |
| JP (3) | JP2017512818A (en) |
| CN (1) | CN106414480B (en) |
| AU (1) | AU2015240435B2 (en) |
| CA (1) | CA2944550C (en) |
| ES (1) | ES2999407T3 (en) |
| HU (1) | HUE068512T2 (en) |
| NZ (1) | NZ724798A (en) |
| PL (1) | PL3126376T3 (en) |
| WO (1) | WO2015149131A1 (en) |
Cited By (1)
| Publication number | Priority date | Publication date | Assignee | Title |
|---|---|---|---|---|
| US11225505B2 (en) | 2015-09-29 | 2022-01-18 | Monash University | Antimicrobial polymyxin derivative compounds |
Families Citing this family (14)
| Publication number | Priority date | Publication date | Assignee | Title |
|---|---|---|---|---|
| KR102354902B1 (en) | 2013-05-22 | 2022-01-24 | 에버레스트 메디신즈 (싱가포르) 피티이. 리미티드 | Polymyxin derivatives and their use in combination therapy together with different antibiotics |
| TWI757229B (en) | 2014-11-26 | 2022-03-11 | 美商斯佩羅治療學股份有限公司 | Compounds for treatment of microbial infections and use of the compound |
| KR102585108B1 (en) | 2014-12-16 | 2023-10-05 | 상하이 미큐알엑스 파마슈티컬 컴퍼니 리미티드 | Antimicrobial polymyxins for treatment of bacterial infections |
| US20190315806A1 (en) * | 2016-12-16 | 2019-10-17 | Institute Of Medicinal Biotechnology, Chinese Academy Of Medical Sciences | Polymyxin derivative, preparation method and application thereof |
| GB201703898D0 (en) * | 2017-03-10 | 2017-04-26 | Helperby Therapeautics Ltd | Method |
| EP3704135A4 (en) | 2017-11-02 | 2022-04-27 | The University of Queensland | PEPTIDE ANTIBIOTICS |
| LT3810633T (en) | 2018-06-25 | 2024-01-10 | Spero Therapeutics, Inc. | Compounds |
| JP7520851B2 (en) | 2018-09-21 | 2024-07-23 | アウフバウ・メディカル・イノベイションズ・リミテッド | Compositions and methods for glaucoma |
| CN110845579B (en) * | 2019-08-08 | 2022-04-19 | 上海市食品药品检验研究院 | Polymyxin E component and photochemical product thereof and liquid chromatography-mass spectrometry analysis method |
| US20230141981A1 (en) | 2020-01-21 | 2023-05-11 | Shanghai Micurx Pharmaceuticals Co., Ltd | Novel compounds and composition for targeted therapy of kidney-associated cancers |
| JP2023518853A (en) * | 2020-03-25 | 2023-05-08 | アウフバウ・メディカル・イノベイションズ・リミテッド | Processes and drugs for glaucoma |
| WO2022098950A1 (en) * | 2020-11-06 | 2022-05-12 | Spero Therapeutics, Inc. | Compounds |
| WO2022206826A1 (en) * | 2021-03-31 | 2022-10-06 | 江苏奥赛康药业有限公司 | Sulfate of polymyxin derivative and pharmaceutical composition thereof |
| KR20250037611A (en) * | 2023-09-07 | 2025-03-18 | 웰펩 주식회사 | A new polymyxin analog having excellent antibacterial activity against gram-negative bacteria and multidrug-resistant gram-negative bacteria, and an antibacterial composition comprising the same |
Citations (11)
| Publication number | Priority date | Publication date | Assignee | Title |
|---|---|---|---|---|
| US20060004185A1 (en) | 2004-07-01 | 2006-01-05 | Leese Richard A | Peptide antibiotics and peptide intermediates for their prepartion |
| WO2006045156A1 (en) | 2004-10-29 | 2006-05-04 | Monash University | Therapy for multi-drug resistant microorganisms |
| WO2010075416A1 (en) | 2008-12-23 | 2010-07-01 | Biosource Pharm, Inc. | Antibiotic compositions for the treatment of gram negative infections |
| US7811790B2 (en) * | 2005-12-09 | 2010-10-12 | Korea Research Institute Of Bioscience And Biotechnology | Polymyxin synthetase and gene cluster thereof |
| WO2010130007A1 (en) | 2009-05-14 | 2010-11-18 | Monash University | Antimicrobial compounds |
| WO2012051663A1 (en) | 2010-10-21 | 2012-04-26 | Monash University | Antimicrobial compounds |
| WO2012168820A1 (en) | 2011-06-08 | 2012-12-13 | Pfizer Inc. | Polymyxin derivatives useful as antibacterial agents |
| WO2013072695A1 (en) | 2011-11-18 | 2013-05-23 | Novacta Biosystems Limited | Polymyxin derivatives |
| US20140073559A1 (en) | 2010-06-23 | 2014-03-13 | Cubist Pharmaceuticals, Inc. | Antibiotic Compositions for the Treatment of Gram Negative Infections |
| WO2015135976A1 (en) | 2014-03-11 | 2015-09-17 | New Pharma Licence Holdings Limited | Polymyxin derivatives and their use in combination therapy together with different antibiotics |
| US20180282374A1 (en) | 2015-09-29 | 2018-10-04 | Monash University | Antimicrobial polymyxin derivative compounds |
Family Cites Families (1)
| Publication number | Priority date | Publication date | Assignee | Title |
|---|---|---|---|---|
| US8329645B2 (en) * | 2008-02-08 | 2012-12-11 | Northern Antibiotics Ltd. | Polymyxin derivatives and uses thereof |
-
2015
- 2015-04-01 PL PL15772554.0T patent/PL3126376T3/en unknown
- 2015-04-01 US US16/144,967 patent/USRE48335E1/en active Active
- 2015-04-01 HU HUE15772554A patent/HUE068512T2/en unknown
- 2015-04-01 JP JP2016560550A patent/JP2017512818A/en active Pending
- 2015-04-01 NZ NZ724798A patent/NZ724798A/en unknown
- 2015-04-01 AU AU2015240435A patent/AU2015240435B2/en active Active
- 2015-04-01 EP EP24195419.7A patent/EP4477272A3/en active Pending
- 2015-04-01 CN CN201580027296.9A patent/CN106414480B/en active Active
- 2015-04-01 EP EP15772554.0A patent/EP3126376B1/en active Active
- 2015-04-01 US US15/301,310 patent/US10047126B2/en not_active Ceased
- 2015-04-01 WO PCT/AU2015/050149 patent/WO2015149131A1/en not_active Ceased
- 2015-04-01 ES ES15772554T patent/ES2999407T3/en active Active
- 2015-04-01 CA CA2944550A patent/CA2944550C/en active Active
-
2019
- 2019-03-15 JP JP2019049103A patent/JP2019108396A/en active Pending
-
2020
- 2020-06-10 JP JP2020101282A patent/JP7117021B2/en active Active
Patent Citations (12)
| Publication number | Priority date | Publication date | Assignee | Title |
|---|---|---|---|---|
| US20060004185A1 (en) | 2004-07-01 | 2006-01-05 | Leese Richard A | Peptide antibiotics and peptide intermediates for their prepartion |
| WO2006045156A1 (en) | 2004-10-29 | 2006-05-04 | Monash University | Therapy for multi-drug resistant microorganisms |
| US7811790B2 (en) * | 2005-12-09 | 2010-10-12 | Korea Research Institute Of Bioscience And Biotechnology | Polymyxin synthetase and gene cluster thereof |
| WO2010075416A1 (en) | 2008-12-23 | 2010-07-01 | Biosource Pharm, Inc. | Antibiotic compositions for the treatment of gram negative infections |
| TW201035111A (en) | 2008-12-23 | 2010-10-01 | Biosource Pharm Inc | Antibiotic compositions for the treatment of gram negative infections |
| WO2010130007A1 (en) | 2009-05-14 | 2010-11-18 | Monash University | Antimicrobial compounds |
| US20140073559A1 (en) | 2010-06-23 | 2014-03-13 | Cubist Pharmaceuticals, Inc. | Antibiotic Compositions for the Treatment of Gram Negative Infections |
| WO2012051663A1 (en) | 2010-10-21 | 2012-04-26 | Monash University | Antimicrobial compounds |
| WO2012168820A1 (en) | 2011-06-08 | 2012-12-13 | Pfizer Inc. | Polymyxin derivatives useful as antibacterial agents |
| WO2013072695A1 (en) | 2011-11-18 | 2013-05-23 | Novacta Biosystems Limited | Polymyxin derivatives |
| WO2015135976A1 (en) | 2014-03-11 | 2015-09-17 | New Pharma Licence Holdings Limited | Polymyxin derivatives and their use in combination therapy together with different antibiotics |
| US20180282374A1 (en) | 2015-09-29 | 2018-10-04 | Monash University | Antimicrobial polymyxin derivative compounds |
Non-Patent Citations (10)
Cited By (1)
| Publication number | Priority date | Publication date | Assignee | Title |
|---|---|---|---|---|
| US11225505B2 (en) | 2015-09-29 | 2022-01-18 | Monash University | Antimicrobial polymyxin derivative compounds |
Also Published As
| Publication number | Publication date |
|---|---|
| WO2015149131A1 (en) | 2015-10-08 |
| EP4477272A2 (en) | 2024-12-18 |
| US20170137469A1 (en) | 2017-05-18 |
| JP7117021B2 (en) | 2022-08-12 |
| PL3126376T3 (en) | 2024-10-28 |
| CN106414480A (en) | 2017-02-15 |
| JP2020169184A (en) | 2020-10-15 |
| EP3126376C0 (en) | 2024-08-21 |
| NZ724798A (en) | 2020-05-29 |
| EP3126376A4 (en) | 2017-10-25 |
| CN106414480B (en) | 2020-08-04 |
| EP3126376B1 (en) | 2024-08-21 |
| ES2999407T3 (en) | 2025-02-25 |
| AU2015240435B2 (en) | 2019-09-19 |
| EP4477272A3 (en) | 2025-03-12 |
| EP3126376A1 (en) | 2017-02-08 |
| JP2019108396A (en) | 2019-07-04 |
| JP2017512818A (en) | 2017-05-25 |
| HUE068512T2 (en) | 2024-12-28 |
| US10047126B2 (en) | 2018-08-14 |
| CA2944550A1 (en) | 2015-10-08 |
| AU2015240435A1 (en) | 2016-10-20 |
| CA2944550C (en) | 2021-05-25 |
Similar Documents
| Publication | Publication Date | Title |
|---|---|---|
| USRE48335E1 (en) | Polymyxin derivatives as antimicrobial compounds | |
| US11225505B2 (en) | Antimicrobial polymyxin derivative compounds | |
| US8343912B2 (en) | Antibiotic compositions for the treatment of gram negative infections | |
| AU2009211287B2 (en) | Short fatty acid tail polymyxin derivatives and uses thereof | |
| Velkov et al. | Rediscovering the octapeptins | |
| WO2010130007A1 (en) | Antimicrobial compounds | |
| WO2012051663A1 (en) | Antimicrobial compounds | |
| MX2009001398A (en) | Polymyxin derivatives and uses thereof. | |
| JP2018531241A6 (en) | Antibacterial polymyxin derivative compounds | |
| US11046730B2 (en) | Antimicrobial compositions | |
| EP2739289B1 (en) | Glycopeptide antibiotic analogs effective against vancomycin-resistant bacterial strains | |
| CA2949328C (en) | Low substituted polymyxins and compositions thereof | |
| JPH05239095A (en) | 1-(4-hydroxy-5-aminoethyloxy-n2-(10,12-dimethyl-1-oxotetradecyl)ornitine)-5-(3-hydroxyglutamine)-6-(3-hydroxyproline)-echinocandin b | |
| US11364275B2 (en) | Linear lipopeptide paenipeptins and methods of using the same | |
| Groesen | an.(2022, October 12) |
Legal Events
| Date | Code | Title | Description |
|---|---|---|---|
| FEPP | Fee payment procedure |
Free format text: ENTITY STATUS SET TO UNDISCOUNTED (ORIGINAL EVENT CODE: BIG.); ENTITY STATUS OF PATENT OWNER: LARGE ENTITY |
|
| MAFP | Maintenance fee payment |
Free format text: PAYMENT OF MAINTENANCE FEE, 4TH YEAR, LARGE ENTITY (ORIGINAL EVENT CODE: M1551); ENTITY STATUS OF PATENT OWNER: LARGE ENTITY Year of fee payment: 4 |
|
| AS | Assignment |
Owner name: MONASH UNIVERSITY, AUSTRALIA Free format text: ASSIGNMENT OF ASSIGNORS INTEREST;ASSIGNORS:LI, JIAN;NATION, ROGER;VELKOV, TONY;AND OTHERS;SIGNING DATES FROM 20161010 TO 20161021;REEL/FRAME:063614/0184 |
|
| CC | Certificate of correction | ||
| MAFP | Maintenance fee payment |
Free format text: PAYMENT OF MAINTENANCE FEE, 8TH YEAR, LARGE ENTITY (ORIGINAL EVENT CODE: M1552); ENTITY STATUS OF PATENT OWNER: LARGE ENTITY Year of fee payment: 8 |















