USRE46144E1 - Hydroxamic acid derivatives - Google Patents
Hydroxamic acid derivatives Download PDFInfo
- Publication number
- USRE46144E1 USRE46144E1 US14/972,750 US201014972750A USRE46144E US RE46144 E1 USRE46144 E1 US RE46144E1 US 201014972750 A US201014972750 A US 201014972750A US RE46144 E USRE46144 E US RE46144E
- Authority
- US
- United States
- Prior art keywords
- compound
- salt
- mmol
- solution
- mixture
- Prior art date
- Legal status (The legal status is an assumption and is not a legal conclusion. Google has not performed a legal analysis and makes no representation as to the accuracy of the status listed.)
- Active
Links
- 0 C*(C*(C)*I)CC(N(CC*)O)=O Chemical compound C*(C*(C)*I)CC(N(CC*)O)=O 0.000 description 26
- BVXIZPRFSPSVQI-UHFFFAOYSA-N C.CC(C)(C)C.CCCN(C)CCC Chemical compound C.CC(C)(C)C.CCCN(C)CCC BVXIZPRFSPSVQI-UHFFFAOYSA-N 0.000 description 9
- COSMKGJYGUQVLW-UHFFFAOYSA-N CCCN(CCC)C1=C([N+](=O)[O-])C=C(C)C=C1C(C)(C)C Chemical compound CCCN(CCC)C1=C([N+](=O)[O-])C=C(C)C=C1C(C)(C)C COSMKGJYGUQVLW-UHFFFAOYSA-N 0.000 description 3
- GISXTRIGVCKQBX-UHFFFAOYSA-N C[n](c(CCCCCCC(NO)=O)nc1c2)c1ccc2N(CCCl)CCCl Chemical compound C[n](c(CCCCCCC(NO)=O)nc1c2)c1ccc2N(CCCl)CCCl GISXTRIGVCKQBX-UHFFFAOYSA-N 0.000 description 3
- DNCWBMRNKDJGFP-UHFFFAOYSA-N CC(C)(C)C.CCCN(CCC)C1=CC2=C(C=C1)N(C)C(C(C)(C)C)=N2.CCCN(CCC)C1=CC=CC=C1 Chemical compound CC(C)(C)C.CCCN(CCC)C1=CC2=C(C=C1)N(C)C(C(C)(C)C)=N2.CCCN(CCC)C1=CC=CC=C1 DNCWBMRNKDJGFP-UHFFFAOYSA-N 0.000 description 2
- GNKJFVYRPQVIHE-UHFFFAOYSA-N CC(C)(C)C.C[Pt]1(C)CC2CCCCC2N1 Chemical compound CC(C)(C)C.C[Pt]1(C)CC2CCCCC2N1 GNKJFVYRPQVIHE-UHFFFAOYSA-N 0.000 description 2
- FKODLIYWTZRVFB-UHFFFAOYSA-L CC(C)(C)C1C(=O)O[Pt](C)(C)OC1=O Chemical compound CC(C)(C)C1C(=O)O[Pt](C)(C)OC1=O FKODLIYWTZRVFB-UHFFFAOYSA-L 0.000 description 2
- YGZGJHXGSKGXSA-UHFFFAOYSA-N CC(C)(C)C[Pt](C)(C)N Chemical compound CC(C)(C)C[Pt](C)(C)N YGZGJHXGSKGXSA-UHFFFAOYSA-N 0.000 description 2
- JOAAUTOYLQCMNC-UHFFFAOYSA-N CC(C)(C)N[Pt](C)(C)N Chemical compound CC(C)(C)N[Pt](C)(C)N JOAAUTOYLQCMNC-UHFFFAOYSA-N 0.000 description 2
- RVVGIYOJTMNHPV-UHFFFAOYSA-N CCCN(CCC)C1=CC2=C(C=C1)N(C)C(C(C)(C)C)=N2 Chemical compound CCCN(CCC)C1=CC2=C(C=C1)N(C)C(C(C)(C)C)=N2 RVVGIYOJTMNHPV-UHFFFAOYSA-N 0.000 description 2
- ZYYIEIKUOXRDRK-UHFFFAOYSA-N CNC(=O)CCP Chemical compound CNC(=O)CCP ZYYIEIKUOXRDRK-UHFFFAOYSA-N 0.000 description 2
- SVCHVJDYGRCTLO-UHFFFAOYSA-N O=C(CCCCCCC(=O)N1C=C(F)C(=O)CC1=O)NO Chemical compound O=C(CCCCCCC(=O)N1C=C(F)C(=O)CC1=O)NO SVCHVJDYGRCTLO-UHFFFAOYSA-N 0.000 description 2
- FHDWOTVEYGUYEN-UHFFFAOYSA-N *.CCCN(CCC)P1(=O)OCCCN1C(C)(C)C.CCOC(=O)CCBr.CCOC(=O)CCN1CCCOP1(=O)N(CCCl)CCCl.O=C(CO)CCN1CCCOP1(=O)N(CCCl)CCCl.O=C(O)CCN1CCCOP1(=O)N(CCCl)CCCl.O=P1(N(CCCl)CCCl)NCCCO1 Chemical compound *.CCCN(CCC)P1(=O)OCCCN1C(C)(C)C.CCOC(=O)CCBr.CCOC(=O)CCN1CCCOP1(=O)N(CCCl)CCCl.O=C(CO)CCN1CCCOP1(=O)N(CCCl)CCCl.O=C(O)CCN1CCCOP1(=O)N(CCCl)CCCl.O=P1(N(CCCl)CCCl)NCCCO1 FHDWOTVEYGUYEN-UHFFFAOYSA-N 0.000 description 1
- OQHKGYHXKBUMHE-GVZBARQTSA-N C#C[C@@]1(O)[C@@H](CO)O[C@@H](N2C=CC(NC(=O)CCCCCCC(=O)CO)=NC2=O)[C@@H]1O Chemical compound C#C[C@@]1(O)[C@@H](CO)O[C@@H](N2C=CC(NC(=O)CCCCCCC(=O)CO)=NC2=O)[C@@H]1O OQHKGYHXKBUMHE-GVZBARQTSA-N 0.000 description 1
- VVYOTSSPBJRVHY-HBPYJEMPSA-N C#C[C@@]1(O)[C@@H](CO)O[C@@H](N2C=CC(NC(=O)CCCCCCC(=O)CO)=NC2=O)[C@@H]1O.N#C[C@H]1[C@H](O)[C@@H](CO)O[C@H]1N1C=CC(NC(=O)CCCCCCC(=O)CO)=NC1=O.O=C(CO)CCCCCCC(=O)NC1=NC(=O)N([C@@H]2O[C@H](CO)[C@@H](O)C2(F)F)C=C1 Chemical compound C#C[C@@]1(O)[C@@H](CO)O[C@@H](N2C=CC(NC(=O)CCCCCCC(=O)CO)=NC2=O)[C@@H]1O.N#C[C@H]1[C@H](O)[C@@H](CO)O[C@H]1N1C=CC(NC(=O)CCCCCCC(=O)CO)=NC1=O.O=C(CO)CCCCCCC(=O)NC1=NC(=O)N([C@@H]2O[C@H](CO)[C@@H](O)C2(F)F)C=C1 VVYOTSSPBJRVHY-HBPYJEMPSA-N 0.000 description 1
- ASPNCPPRHGJDFV-UMBPUVEWSA-N C#C[C@@]1(O)[C@@H](COC(=O)CCCCCCC(=O)NO)O[C@@H](N2C=CC(N)=NC2=O)[C@@H]1O Chemical compound C#C[C@@]1(O)[C@@H](COC(=O)CCCCCCC(=O)NO)O[C@@H](N2C=CC(N)=NC2=O)[C@@H]1O ASPNCPPRHGJDFV-UMBPUVEWSA-N 0.000 description 1
- UYTILBTVGOYTOB-FNNJKCEHSA-N C#C[C@@]1(O)[C@@H](COC(=O)CCCCCCC(=O)NO)O[C@@H](N2C=CC(N)=NC2=O)[C@@H]1O.CCC(=O)NC1=NC(=O)N([C@@H]2O[C@H](COC(=O)CCCCCCC(=O)NO)[C@@H](O)[C@@H]2C#N)C=C1.NC1=NC(=O)N([C@@H]2O[C@H](COC(=O)CCCCCCC(=O)NO)[C@@H](O)[C@H]2O)C=N1.NC1=NC(=O)N([C@H]2C[C@H](O)[C@@H](COC(=O)CCCCCCC(=O)NO)O2)C=N1.O=C(CO)CCCCCCC(=O)NC1=NC(=O)N([C@@H]2O[C@H](CO)[C@@H](O)[C@@H]2O)C=C1.O=C(CO)CCCCCCC(=O)NC1=NC(=O)N([C@@H]2O[C@H](CO)[C@@H](O)[C@H]2O)C=N1.O=C(CO)CCCCCCC(=O)NC1=NC(=O)N([C@H]2C[C@H](O)[C@@H](CO)O2)C=N1 Chemical compound C#C[C@@]1(O)[C@@H](COC(=O)CCCCCCC(=O)NO)O[C@@H](N2C=CC(N)=NC2=O)[C@@H]1O.CCC(=O)NC1=NC(=O)N([C@@H]2O[C@H](COC(=O)CCCCCCC(=O)NO)[C@@H](O)[C@@H]2C#N)C=C1.NC1=NC(=O)N([C@@H]2O[C@H](COC(=O)CCCCCCC(=O)NO)[C@@H](O)[C@H]2O)C=N1.NC1=NC(=O)N([C@H]2C[C@H](O)[C@@H](COC(=O)CCCCCCC(=O)NO)O2)C=N1.O=C(CO)CCCCCCC(=O)NC1=NC(=O)N([C@@H]2O[C@H](CO)[C@@H](O)[C@@H]2O)C=C1.O=C(CO)CCCCCCC(=O)NC1=NC(=O)N([C@@H]2O[C@H](CO)[C@@H](O)[C@H]2O)C=N1.O=C(CO)CCCCCCC(=O)NC1=NC(=O)N([C@H]2C[C@H](O)[C@@H](CO)O2)C=N1 UYTILBTVGOYTOB-FNNJKCEHSA-N 0.000 description 1
- WBESGOBGKCKKSY-MNCOVVEPSA-N C.C.C.C.C.C#C[C@@]1(O)[C@@H](CO)O[C@@H](N2C=CC(N)=NC2=O)[C@@H]1O.CCCCCCCCCCCCCCCC(=O)NC1=NC(=O)N([C@@H]2O[C@H](CO)[C@@H](O)[C@@H]2C#N)C=C1.NC1=NC(=O)N([C@@H]2O[C@H](CO)[C@@H](O)C2(F)F)C=C1.NC1=NC(=O)N([C@@H]2O[C@H](CO)[C@@H](O)[C@@H]2O)C=C1.NC1=NC(=O)N([C@@H]2O[C@H](CO)[C@@H](O)[C@H]2O)C=N1.NC1=NC(=O)N([C@H]2C[C@H](O)[C@@H](CO)O2)C=N1 Chemical compound C.C.C.C.C.C#C[C@@]1(O)[C@@H](CO)O[C@@H](N2C=CC(N)=NC2=O)[C@@H]1O.CCCCCCCCCCCCCCCC(=O)NC1=NC(=O)N([C@@H]2O[C@H](CO)[C@@H](O)[C@@H]2C#N)C=C1.NC1=NC(=O)N([C@@H]2O[C@H](CO)[C@@H](O)C2(F)F)C=C1.NC1=NC(=O)N([C@@H]2O[C@H](CO)[C@@H](O)[C@@H]2O)C=C1.NC1=NC(=O)N([C@@H]2O[C@H](CO)[C@@H](O)[C@H]2O)C=N1.NC1=NC(=O)N([C@H]2C[C@H](O)[C@@H](CO)O2)C=N1 WBESGOBGKCKKSY-MNCOVVEPSA-N 0.000 description 1
- SJZMKYPCBFCXPW-UHFFFAOYSA-G C.C.C.C.C.C.C.C1=CC=NC=C1.C1=CC=NC=C1.C1=CC=NC=C1.CC.CC.CC.CC.CC.CC.CC.CC(=O)O.CCCCC(=O)OC.CCCCCC(=O)NC.CCCCCC(=O)NO.CCCCCC(=O)NO.CCCCCC(=O)NO.CCCCCC(=O)OC.C[Pt](C)(N)N1=CC=CC=C1.Cl[Pt](Cl)(Cl)N1=CC=CC=C1.Cl[Pt](Cl)(Cl)N1=CC=CC=C1.N.N.NO.O.[K]I Chemical compound C.C.C.C.C.C.C.C1=CC=NC=C1.C1=CC=NC=C1.C1=CC=NC=C1.CC.CC.CC.CC.CC.CC.CC.CC(=O)O.CCCCC(=O)OC.CCCCCC(=O)NC.CCCCCC(=O)NO.CCCCCC(=O)NO.CCCCCC(=O)NO.CCCCCC(=O)OC.C[Pt](C)(N)N1=CC=CC=C1.Cl[Pt](Cl)(Cl)N1=CC=CC=C1.Cl[Pt](Cl)(Cl)N1=CC=CC=C1.N.N.NO.O.[K]I SJZMKYPCBFCXPW-UHFFFAOYSA-G 0.000 description 1
- DDMGJJZMXCTLFK-UHFFFAOYSA-N C.C.C.C.C.C.CCCCC(=O)O.CCCCC(=O)O.CCCCC(=O)O.CCCCC(=O)O.CCCCC(N)=O.CCCN(C)CCC.CCCN(C)CCC.CN(CCO)CCO.C[N+](=O)[O-].C[N+](=O)[O-].C[N+](=O)[O-].O Chemical compound C.C.C.C.C.C.CCCCC(=O)O.CCCCC(=O)O.CCCCC(=O)O.CCCCC(=O)O.CCCCC(N)=O.CCCN(C)CCC.CCCN(C)CCC.CN(CCO)CCO.C[N+](=O)[O-].C[N+](=O)[O-].C[N+](=O)[O-].O DDMGJJZMXCTLFK-UHFFFAOYSA-N 0.000 description 1
- PSQDDUTWIASGFN-CKKUOOSESA-N C.CC(=O)OC1O[C@H](C)[C@@H](C)[C@H]1OC(C)=O.CC(=O)O[C@@H]1[C@H](C)[C@@H](C)O[C@H]1N1C=C(F)C(N)=NC1=O.CC[C@H]1OC(OC)[C@@H]2OC(C)(C)O[C@H]12.COC(=O)COC(=O)CC1=NC(=O)N([C@@H]2O[C@H](C)[C@@H](C)[C@H]2OC(C)=O)C=C1F.COC1O[C@H](C)[C@H]2OC(C)(C)O[C@@H]12.COC1O[C@H](CI)[C@H]2OC(C)(C)O[C@@H]12.COC1O[C@H](CO)[C@H]2OC(C)(C)O[C@@H]12.COC=O.C[C@H]1O[C@@H](N2C=C(F)C(CC(=O)OCC(=O)O)=NC2=O)[C@H](O)[C@@H]1O.C[C@H]1O[C@@H](N2C=C(F)C(CC(=O)OCC(N)=O)=NC2=O)[C@H](O)[C@@H]1O.C[Si](C)(C)OC1=NC=C(F)C(N)=N1.ClCCl.NC1=NC(=O)NC=C1F.O.O=COCl.OC[C@H]1OC(O)[C@H](O)[C@@H]1O Chemical compound C.CC(=O)OC1O[C@H](C)[C@@H](C)[C@H]1OC(C)=O.CC(=O)O[C@@H]1[C@H](C)[C@@H](C)O[C@H]1N1C=C(F)C(N)=NC1=O.CC[C@H]1OC(OC)[C@@H]2OC(C)(C)O[C@H]12.COC(=O)COC(=O)CC1=NC(=O)N([C@@H]2O[C@H](C)[C@@H](C)[C@H]2OC(C)=O)C=C1F.COC1O[C@H](C)[C@H]2OC(C)(C)O[C@@H]12.COC1O[C@H](CI)[C@H]2OC(C)(C)O[C@@H]12.COC1O[C@H](CO)[C@H]2OC(C)(C)O[C@@H]12.COC=O.C[C@H]1O[C@@H](N2C=C(F)C(CC(=O)OCC(=O)O)=NC2=O)[C@H](O)[C@@H]1O.C[C@H]1O[C@@H](N2C=C(F)C(CC(=O)OCC(N)=O)=NC2=O)[C@H](O)[C@@H]1O.C[Si](C)(C)OC1=NC=C(F)C(N)=N1.ClCCl.NC1=NC(=O)NC=C1F.O.O=COCl.OC[C@H]1OC(O)[C@H](O)[C@@H]1O PSQDDUTWIASGFN-CKKUOOSESA-N 0.000 description 1
- YFIXCJWWGQODBG-UHFFFAOYSA-N C.CCCN(CCC)P1(=O)OCCCN1C(C)(C)C Chemical compound C.CCCN(CCC)P1(=O)OCCCN1C(C)(C)C YFIXCJWWGQODBG-UHFFFAOYSA-N 0.000 description 1
- BNZOKMBHIQWYNZ-UHFFFAOYSA-N C/N1=C(\CCCCCCC(=O)CO)NC2=C1C=C(N(CCCl)CCCl)C=C2.C/N1=C(\CCCCCCC(=O)CO)NC2=C1C=C(N(CCCl)CCCl)C=C2F.CCCN1C(CCCCCCCC(=O)NO)=NC2=C1C=CC(N(CCCl)CCCl)=C2.CCN1C2=C(C=C(N(CCCl)CCCl)C=C2)/N=C\1CCCCCCC(=O)CO.CN1C2=C(C=C(N(CCCl)CCCl)C=C2)/N=C\1C(=O)CCCCCCC(=O)NO.CN1C2=C(C=C(N(CCCl)CCCl)C=C2)/N=C\1NC(=O)CCCCCCC(=O)CO.CN1C2=C(C=C(N(CCCl)CCCl)C=C2)/N=C\1NCCCCCCC(=O)NO.CN1C2=C(C=C(N(CCCl)CCCl)C=C2)/N=C\1SCCCCCCC(=O)NO Chemical compound C/N1=C(\CCCCCCC(=O)CO)NC2=C1C=C(N(CCCl)CCCl)C=C2.C/N1=C(\CCCCCCC(=O)CO)NC2=C1C=C(N(CCCl)CCCl)C=C2F.CCCN1C(CCCCCCCC(=O)NO)=NC2=C1C=CC(N(CCCl)CCCl)=C2.CCN1C2=C(C=C(N(CCCl)CCCl)C=C2)/N=C\1CCCCCCC(=O)CO.CN1C2=C(C=C(N(CCCl)CCCl)C=C2)/N=C\1C(=O)CCCCCCC(=O)NO.CN1C2=C(C=C(N(CCCl)CCCl)C=C2)/N=C\1NC(=O)CCCCCCC(=O)CO.CN1C2=C(C=C(N(CCCl)CCCl)C=C2)/N=C\1NCCCCCCC(=O)NO.CN1C2=C(C=C(N(CCCl)CCCl)C=C2)/N=C\1SCCCCCCC(=O)NO BNZOKMBHIQWYNZ-UHFFFAOYSA-N 0.000 description 1
- UTCIVWDPFGAZFF-UHFFFAOYSA-N C/N1=C(\CCCCCCC(=O)CO)NC2=C1C=C(N(CCCl)CCCl)N=C2.CS(=O)(=O)OCCN(CCBr)C1=C(C(=O)CCCCCCCC(=O)CO)C=C([N+](=O)[O-])C=C1[N+](=O)[O-].CS(=O)(=O)OCCN(CCBr)C1=C(C(=O)CCCCCCCCC(=O)NO)C=C([N+](=O)[O-])C=C1[N+](=O)[O-].O=C(CCCCCCC(=O)N1CCCOP1(=O)N(CCCl)CCCl)NO.O=C(CCCCCCC1CCNP(=O)(N(CCCl)CCCl)O1)NO.O=C(CCCCCCC1CCOP(=O)(N(CCCl)CCCl)C1)NO.O=C(CCCCCCCCC(=O)C1=C(N(CCBr)CCBr)C([N+](=O)[O-])=CC([N+](=O)[O-])=C1)NO.O=C(CCCCCCCCC(=O)C1=C(N(CCCl)CCCl)C([N+](=O)[O-])=CC([N+](=O)[O-])=C1)NO.O=C(CCCCCCCCC(=O)N1C=C(F)C(=O)CC1=O)NO.O=C(CO)CCCCCCC1CCP(=O)(N(CCCl)CCCl)OC1.O=C(CO)CCCCCCCC(=O)N1C=C(F)C(=O)CC1=O.O=C(CO)CCCCCCN1CCCOP1(=O)N(CCCl)CCCl Chemical compound C/N1=C(\CCCCCCC(=O)CO)NC2=C1C=C(N(CCCl)CCCl)N=C2.CS(=O)(=O)OCCN(CCBr)C1=C(C(=O)CCCCCCCC(=O)CO)C=C([N+](=O)[O-])C=C1[N+](=O)[O-].CS(=O)(=O)OCCN(CCBr)C1=C(C(=O)CCCCCCCCC(=O)NO)C=C([N+](=O)[O-])C=C1[N+](=O)[O-].O=C(CCCCCCC(=O)N1CCCOP1(=O)N(CCCl)CCCl)NO.O=C(CCCCCCC1CCNP(=O)(N(CCCl)CCCl)O1)NO.O=C(CCCCCCC1CCOP(=O)(N(CCCl)CCCl)C1)NO.O=C(CCCCCCCCC(=O)C1=C(N(CCBr)CCBr)C([N+](=O)[O-])=CC([N+](=O)[O-])=C1)NO.O=C(CCCCCCCCC(=O)C1=C(N(CCCl)CCCl)C([N+](=O)[O-])=CC([N+](=O)[O-])=C1)NO.O=C(CCCCCCCCC(=O)N1C=C(F)C(=O)CC1=O)NO.O=C(CO)CCCCCCC1CCP(=O)(N(CCCl)CCCl)OC1.O=C(CO)CCCCCCCC(=O)N1C=C(F)C(=O)CC1=O.O=C(CO)CCCCCCN1CCCOP1(=O)N(CCCl)CCCl UTCIVWDPFGAZFF-UHFFFAOYSA-N 0.000 description 1
- WEMINYUOCMKCTD-POVDSNISSA-F CC(=O)C(CCCC(=O)O)C(C)=O.CCOC(=O)CC(=O)OCC.C[C@@H]1CCCC[C@H]1N.C[C@@H]1CCCC[C@H]1N.I[Pt]I.I[Pt]I.N.N.N.O.O.O.O.O=C(CCCC1C(=O)O[Pt]OC1=O)NO.O=C(O)CCCBr.[HH].[H]NC(=O)CCCC(C(=O)O)C(=O)O.[H]NC(=O)CCCC(C(=O)[Ag]=O)C(=O)[Ag]=O.[H]NC(=O)CCCC(C(C)=O)C(C)=O.[H]NC(=O)CCCC1C(=O)O[Pt](N)OC1=O Chemical compound CC(=O)C(CCCC(=O)O)C(C)=O.CCOC(=O)CC(=O)OCC.C[C@@H]1CCCC[C@H]1N.C[C@@H]1CCCC[C@H]1N.I[Pt]I.I[Pt]I.N.N.N.O.O.O.O.O=C(CCCC1C(=O)O[Pt]OC1=O)NO.O=C(O)CCCBr.[HH].[H]NC(=O)CCCC(C(=O)O)C(=O)O.[H]NC(=O)CCCC(C(=O)[Ag]=O)C(=O)[Ag]=O.[H]NC(=O)CCCC(C(C)=O)C(C)=O.[H]NC(=O)CCCC1C(=O)O[Pt](N)OC1=O WEMINYUOCMKCTD-POVDSNISSA-F 0.000 description 1
- CVQMJMHCRDQMLD-UHFFFAOYSA-J CC(=O)C(CCCC(=O)O)C(C)=O.CCOC(=O)CC(=O)OCC.C[Pt](C)(I)I.O=C(O)CCCBr.[H]N(O)C(=O)CCCC(C(=O)O)C(=O)O.[H]N(O)C(=O)CCCC(C(=O)[Ag]=O)C(=O)[Ag]=O.[H]N(O)C(=O)CCCC(C(C)=O)C(C)=O.[H]N(O)C(=O)CCCC1C(=O)O[Pt](C)(C)OC1=O Chemical compound CC(=O)C(CCCC(=O)O)C(C)=O.CCOC(=O)CC(=O)OCC.C[Pt](C)(I)I.O=C(O)CCCBr.[H]N(O)C(=O)CCCC(C(=O)O)C(=O)O.[H]N(O)C(=O)CCCC(C(=O)[Ag]=O)C(=O)[Ag]=O.[H]N(O)C(=O)CCCC(C(C)=O)C(C)=O.[H]N(O)C(=O)CCCC1C(=O)O[Pt](C)(C)OC1=O CVQMJMHCRDQMLD-UHFFFAOYSA-J 0.000 description 1
- UMRVUADXGRJSRV-BEJFHRICSA-N CC(=O)CC1=NC(=O)N(C(=O)CCCCCCCC(=O)CO)C=C1F.CC(=O)N1C=C(F)C(CC(=O)CCCCCCC(=O)NO)=NC1=O.CCCC(=O)N1C=C(F)C(CC(=O)CCCCCCC(=O)NO)=NC1=O.CCOC(=O)CC1=NC(=O)N(C(=O)CCCCCCCC(=O)CO)C=C1F.C[C@H]1O[C@@H](N2C=C(F)C(CC(=O)OCCCCCCC(=O)CO)=NC2=O)[C@H](O)[C@@H]1O.NC1=NC(=O)N(C(=O)CCCCCCCC(=O)CO)C=C1F.O=C(CCCCCCC(=O)N1C=C(F)C(=O)CC1=O)NO.O=C(CCCCCCC(=O)N1C=C(F)C(=O)CC1=O)NO.O=C(CCCCCCC(=O)NO)CC1=NC(=O)NC=C1F.O=C(CCCCCCS(=O)(=O)N1C=C(F)C(=O)CC1=O)NO.O=C(CO)CCCCCC(=O)N1C=C(F)C(=O)CC1=O.O=C(CO)CCCCCCCCCC(=O)N1C=C(F)C(=O)CC1=O.O=C(CO)CCCCCCOC(=O)N1C=C(F)C(=O)CC1=O.O=C(CO)CCCCCCSC(=O)N1C=C(F)C(=O)CC1=O Chemical compound CC(=O)CC1=NC(=O)N(C(=O)CCCCCCCC(=O)CO)C=C1F.CC(=O)N1C=C(F)C(CC(=O)CCCCCCC(=O)NO)=NC1=O.CCCC(=O)N1C=C(F)C(CC(=O)CCCCCCC(=O)NO)=NC1=O.CCOC(=O)CC1=NC(=O)N(C(=O)CCCCCCCC(=O)CO)C=C1F.C[C@H]1O[C@@H](N2C=C(F)C(CC(=O)OCCCCCCC(=O)CO)=NC2=O)[C@H](O)[C@@H]1O.NC1=NC(=O)N(C(=O)CCCCCCCC(=O)CO)C=C1F.O=C(CCCCCCC(=O)N1C=C(F)C(=O)CC1=O)NO.O=C(CCCCCCC(=O)N1C=C(F)C(=O)CC1=O)NO.O=C(CCCCCCC(=O)NO)CC1=NC(=O)NC=C1F.O=C(CCCCCCS(=O)(=O)N1C=C(F)C(=O)CC1=O)NO.O=C(CO)CCCCCC(=O)N1C=C(F)C(=O)CC1=O.O=C(CO)CCCCCCCCCC(=O)N1C=C(F)C(=O)CC1=O.O=C(CO)CCCCCCOC(=O)N1C=C(F)C(=O)CC1=O.O=C(CO)CCCCCCSC(=O)N1C=C(F)C(=O)CC1=O UMRVUADXGRJSRV-BEJFHRICSA-N 0.000 description 1
- CSRXBMCBYUMWPX-SLCNWPIPSA-N CC(=O)NC1=NC(=O)N([C@@H]2O[C@H](COC(=O)CCCCCCC(=O)NO)[C@@H](O)[C@@H]2O)C=C1.CCNC1=NC(=O)N([C@@H]2O[C@H](COC(=O)CCCCCCCC(=O)CO)[C@@H](O)[C@@H]2O)C=C1.CNC1=NC(=O)N([C@@H]2O[C@H](COC(=O)CCCCCCCC(=O)CO)[C@@H](O)[C@@H]2O)C=C1.NC1=NC(=O)N([C@@H]2O[C@H](COC(=O)CCCCCC(=O)CO)[C@@H](O)[C@@H]2O)C=C1.NC1=NC(=O)N([C@@H]2O[C@H](COC(=O)CCCCCCC(=O)NO)[C@@H](O)C2(F)F)C=C1.NC1=NC(=O)N([C@@H]2O[C@H](COC(=O)CCCCCCCC(=O)CO)[C@@H](O)C2(F)F)C=C1.NC1=NC(=O)N([C@@H]2O[C@H](COC(=O)CCCCCCCC(=O)CO)[C@@H](O)[C@@H]2O)C=C1.NC1=NC(=O)N([C@@H]2O[C@H](COC(=O)CCCCCCCC(=O)CO)[C@@H](O)[C@@H]2O)C=C1 Chemical compound CC(=O)NC1=NC(=O)N([C@@H]2O[C@H](COC(=O)CCCCCCC(=O)NO)[C@@H](O)[C@@H]2O)C=C1.CCNC1=NC(=O)N([C@@H]2O[C@H](COC(=O)CCCCCCCC(=O)CO)[C@@H](O)[C@@H]2O)C=C1.CNC1=NC(=O)N([C@@H]2O[C@H](COC(=O)CCCCCCCC(=O)CO)[C@@H](O)[C@@H]2O)C=C1.NC1=NC(=O)N([C@@H]2O[C@H](COC(=O)CCCCCC(=O)CO)[C@@H](O)[C@@H]2O)C=C1.NC1=NC(=O)N([C@@H]2O[C@H](COC(=O)CCCCCCC(=O)NO)[C@@H](O)C2(F)F)C=C1.NC1=NC(=O)N([C@@H]2O[C@H](COC(=O)CCCCCCCC(=O)CO)[C@@H](O)C2(F)F)C=C1.NC1=NC(=O)N([C@@H]2O[C@H](COC(=O)CCCCCCCC(=O)CO)[C@@H](O)[C@@H]2O)C=C1.NC1=NC(=O)N([C@@H]2O[C@H](COC(=O)CCCCCCCC(=O)CO)[C@@H](O)[C@@H]2O)C=C1 CSRXBMCBYUMWPX-SLCNWPIPSA-N 0.000 description 1
- OGHQWRVNVYTWSE-UHFFFAOYSA-F CC(=O)O.CC1=N([Pt](Cl)(Cl)Cl)C=C(OCCCCCCC(=O)CO)C=C1.CC1=N([Pt](N)(Cl)Cl)C=C(OCCCCCCC(=O)CO)C=C1.CC1=N([Pt]2(N)OC(=O)C3(CCC3)C(=O)O2)C=C(OCCCCCCC(=O)CO)C=C1.CC1=NC=C(O)C=C1.CC1=NC=C(OCCCCCCC(=O)CO)C=C1.CCOC(=O)CCCCCCBr.CCOC(=O)CCCCCCOC1=CN=C(C)C=C1.N.N.NO.O.O=[Ag]C(=O)C1(C(=O)[Ag]=O)CCC1.[K]I Chemical compound CC(=O)O.CC1=N([Pt](Cl)(Cl)Cl)C=C(OCCCCCCC(=O)CO)C=C1.CC1=N([Pt](N)(Cl)Cl)C=C(OCCCCCCC(=O)CO)C=C1.CC1=N([Pt]2(N)OC(=O)C3(CCC3)C(=O)O2)C=C(OCCCCCCC(=O)CO)C=C1.CC1=NC=C(O)C=C1.CC1=NC=C(OCCCCCCC(=O)CO)C=C1.CCOC(=O)CCCCCCBr.CCOC(=O)CCCCCCOC1=CN=C(C)C=C1.N.N.NO.O.O=[Ag]C(=O)C1(C(=O)[Ag]=O)CCC1.[K]I OGHQWRVNVYTWSE-UHFFFAOYSA-F 0.000 description 1
- RMJUPANKJOCPKD-UHFFFAOYSA-D CC(=O)O.CCCCC(=O)CO.CCCCC(=O)OCC.C[Pt](C)(N)CCCCCC(=O)NO.Cl[Pt](Cl)(Cl)Cl.N.N.NO.N[Pt](Cl)(Cl)CCCCCC(=O)NO.O.O=C(CCCCC[Pt](Cl)(Cl)Cl)NO.[K]I.[K][K] Chemical compound CC(=O)O.CCCCC(=O)CO.CCCCC(=O)OCC.C[Pt](C)(N)CCCCCC(=O)NO.Cl[Pt](Cl)(Cl)Cl.N.N.NO.N[Pt](Cl)(Cl)CCCCCC(=O)NO.O.O=C(CCCCC[Pt](Cl)(Cl)Cl)NO.[K]I.[K][K] RMJUPANKJOCPKD-UHFFFAOYSA-D 0.000 description 1
- MWSFUODIFZLCBO-UHFFFAOYSA-N CC(C)(C)C.CCCN(CCC)C1=CC=CC=C1 Chemical compound CC(C)(C)C.CCCN(CCC)C1=CC=CC=C1 MWSFUODIFZLCBO-UHFFFAOYSA-N 0.000 description 1
- RPBATVXPQKKGRY-UHFFFAOYSA-M CC(C)(C)OC(=O)C1=C(Cl)C([N+](=O)[O-])=CC([N+](=O)[O-])=C1.CC(C)(C)OC(=O)C1=C(N(CCBr)CCOS(C)(=O)=O)C([N+](=O)[O-])=CC([N+](=O)[O-])=C1.CC(C)(C)OC(=O)C1=C(N(CCO)CCBr)C([N+](=O)[O-])=CC([N+](=O)[O-])=C1.CS(=O)(=O)OCCN(CCBr)C1=C(C(=O)CCCC(=O)CO)C=C([N+](=O)[O-])C=C1[N+](=O)[O-].CS(=O)(=O)OCCN(CCBr)C1=C(C(=O)Cl)C=C([N+](=O)[O-])C=C1[N+](=O)[O-].CS(=O)(=O)OCCN(CCBr)C1=C(C(=O)O)C=C([N+](=O)[O-])C=C1[N+](=O)[O-].NCCC(=O)CO.O=C(Cl)C1OCl1.[Li]Br Chemical compound CC(C)(C)OC(=O)C1=C(Cl)C([N+](=O)[O-])=CC([N+](=O)[O-])=C1.CC(C)(C)OC(=O)C1=C(N(CCBr)CCOS(C)(=O)=O)C([N+](=O)[O-])=CC([N+](=O)[O-])=C1.CC(C)(C)OC(=O)C1=C(N(CCO)CCBr)C([N+](=O)[O-])=CC([N+](=O)[O-])=C1.CS(=O)(=O)OCCN(CCBr)C1=C(C(=O)CCCC(=O)CO)C=C([N+](=O)[O-])C=C1[N+](=O)[O-].CS(=O)(=O)OCCN(CCBr)C1=C(C(=O)Cl)C=C([N+](=O)[O-])C=C1[N+](=O)[O-].CS(=O)(=O)OCCN(CCBr)C1=C(C(=O)O)C=C([N+](=O)[O-])C=C1[N+](=O)[O-].NCCC(=O)CO.O=C(Cl)C1OCl1.[Li]Br RPBATVXPQKKGRY-UHFFFAOYSA-M 0.000 description 1
- ZOIOGYRHMAEDCR-UHFFFAOYSA-N CC(C)(C)OC(=O)C1=C(Cl)C([N+](=O)[O-])=CC([N+](=O)[O-])=C1.CCCC(=O)OC.CCCN(CCC)C1=C(C(=O)CCCC(=O)CO)C=C([N+](=O)[O-])C=C1[N+](=O)[O-].CCCN(CCC)C1=C(C(=O)CCCC(=O)OC)C=C([N+](=O)[O-])C=C1[N+](=O)[O-].CCCN(CCC)C1=C(C(=O)O)C=C([N+](=O)[O-])C=C1[N+](=O)[O-].CCCN(CCC)C1=C(C(=O)O)C=C([N+](=O)[O-])C=C1[N+](=O)[O-].CCCN(CCC)C1=C(C(=O)OC(C)(C)C)C=C([N+](=O)[O-])C=C1[N+](=O)[O-].CCCN(CCO)C1=C(C(=O)OC(C)(C)C)C=C([N+](=O)[O-])C=C1[N+](=O)[O-].NO.O=C(Cl)C1OCl1.[Li]C Chemical compound CC(C)(C)OC(=O)C1=C(Cl)C([N+](=O)[O-])=CC([N+](=O)[O-])=C1.CCCC(=O)OC.CCCN(CCC)C1=C(C(=O)CCCC(=O)CO)C=C([N+](=O)[O-])C=C1[N+](=O)[O-].CCCN(CCC)C1=C(C(=O)CCCC(=O)OC)C=C([N+](=O)[O-])C=C1[N+](=O)[O-].CCCN(CCC)C1=C(C(=O)O)C=C([N+](=O)[O-])C=C1[N+](=O)[O-].CCCN(CCC)C1=C(C(=O)O)C=C([N+](=O)[O-])C=C1[N+](=O)[O-].CCCN(CCC)C1=C(C(=O)OC(C)(C)C)C=C([N+](=O)[O-])C=C1[N+](=O)[O-].CCCN(CCO)C1=C(C(=O)OC(C)(C)C)C=C([N+](=O)[O-])C=C1[N+](=O)[O-].NO.O=C(Cl)C1OCl1.[Li]C ZOIOGYRHMAEDCR-UHFFFAOYSA-N 0.000 description 1
- NHXHQDLWTXBTJJ-UGHZDECVSA-N CC.CC(=O)O.COC(=O)CCC(=O)N1CCSC1=S.COC(=O)CCC(=O)NC1=NC(=O)N(C2O[C@H](CO)[C@@H](O)C2(F)F)C=C1.COC(=O)CCC(=O)NC1=NC(=O)N(C2O[C@H](CO)[C@@H](O)C2(F)F)C=C1.ClCCl.NC1=NC(=O)N([C@@H]2O[C@H](CO)[C@@H](O)C2(F)F)C=C1.O=C(CO)CCC(=O)NC1=NC(=O)N(C2O[C@H](CO)[C@@H](O)C2(F)F)C=C1.O=CCl.S=C1NCCS1 Chemical compound CC.CC(=O)O.COC(=O)CCC(=O)N1CCSC1=S.COC(=O)CCC(=O)NC1=NC(=O)N(C2O[C@H](CO)[C@@H](O)C2(F)F)C=C1.COC(=O)CCC(=O)NC1=NC(=O)N(C2O[C@H](CO)[C@@H](O)C2(F)F)C=C1.ClCCl.NC1=NC(=O)N([C@@H]2O[C@H](CO)[C@@H](O)C2(F)F)C=C1.O=C(CO)CCC(=O)NC1=NC(=O)N(C2O[C@H](CO)[C@@H](O)C2(F)F)C=C1.O=CCl.S=C1NCCS1 NHXHQDLWTXBTJJ-UGHZDECVSA-N 0.000 description 1
- XTFQIHQYMMIEDB-UHFFFAOYSA-A CC.CC(C)(C)C.CC(C)(C)C.CC(C)(C)C.CC(C)(C)C.CC(C)(C)C1C(=O)O[Pt](C)(C)OC1=O.CC(C)(C)C1C(=O)O[Pt](C)(N)OC1=O.CC(C)(C)C1C(=O)O[Pt](N)(NC2CCCCC2)OC1=O.CC(C)(C)C1C(=O)O[Pt]2(CC3CCCCC3N2)OC1=O.CC(C)(C)C[Pt](C)(C)N.CC(C)(C)N[Pt](C)(C)N.CC(C)(C)N[Pt]1(N)OC(=O)C(=O)O1.CC(C)(C)N[Pt]1(N)OC(=O)C2(CCC2)C(=O)O1.CC1=CC=CC=N1[Pt]1(N)OC(=O)C(C(C)(C)C)C(=O)O1.C[Pt](C)(N)N1=CC=CC=C1.C[Pt]1(C)CC2CCCCC2N1.O=C1O[Pt]2(CC3CCCCC3N2)OC(=O)C12CCC2.O=C1O[Pt]2(CC3CCCCC3N2)OC1=O Chemical compound CC.CC(C)(C)C.CC(C)(C)C.CC(C)(C)C.CC(C)(C)C.CC(C)(C)C1C(=O)O[Pt](C)(C)OC1=O.CC(C)(C)C1C(=O)O[Pt](C)(N)OC1=O.CC(C)(C)C1C(=O)O[Pt](N)(NC2CCCCC2)OC1=O.CC(C)(C)C1C(=O)O[Pt]2(CC3CCCCC3N2)OC1=O.CC(C)(C)C[Pt](C)(C)N.CC(C)(C)N[Pt](C)(C)N.CC(C)(C)N[Pt]1(N)OC(=O)C(=O)O1.CC(C)(C)N[Pt]1(N)OC(=O)C2(CCC2)C(=O)O1.CC1=CC=CC=N1[Pt]1(N)OC(=O)C(C(C)(C)C)C(=O)O1.C[Pt](C)(N)N1=CC=CC=C1.C[Pt]1(C)CC2CCCCC2N1.O=C1O[Pt]2(CC3CCCCC3N2)OC(=O)C12CCC2.O=C1O[Pt]2(CC3CCCCC3N2)OC1=O XTFQIHQYMMIEDB-UHFFFAOYSA-A 0.000 description 1
- LRWVVRGDQOYVDZ-UHFFFAOYSA-N CC.CC(C)(C)C.C[Pt](C)(N)N1=CC=CC=C1 Chemical compound CC.CC(C)(C)C.C[Pt](C)(N)N1=CC=CC=C1 LRWVVRGDQOYVDZ-UHFFFAOYSA-N 0.000 description 1
- GMTUXSOWHRVSCY-UHFFFAOYSA-N CC1=CC(N(CCCl)CCCl)=CC2=C1/N=C(/CCCCCCC(=O)CO)N2C.CN1C2=C(C=C(N(CCCl)CCCl)C(N)=C2)/N=C\1CCCCCCC(=O)CO.CN1C2=C(C=C(N(CCCl)CCCl)C(N)=C2)/N=C\1OCCCCCCC(=O)NO.CN1C2=C(C=C(N(CCCl)CCCl)C([N+](=O)[O-])=C2)/N=C\1CCCCCCC(=O)CO.CN1C2=C(C=C(N(CCCl)CCCl)C=C2)/N=C\1CCCCCC(=O)CO.CN1C2=C(C=C(N(CCCl)CCCl)C=C2)/N=C\1CCCCCCC(=O)NO.CN1C2=C(C=C(N(CCCl)CCCl)C=C2)/N=C\1CCCCCCCC(=O)CO.O=C(CCCCCCCC1=CC=C(N(CCCl)CCCl)C=C1)NO Chemical compound CC1=CC(N(CCCl)CCCl)=CC2=C1/N=C(/CCCCCCC(=O)CO)N2C.CN1C2=C(C=C(N(CCCl)CCCl)C(N)=C2)/N=C\1CCCCCCC(=O)CO.CN1C2=C(C=C(N(CCCl)CCCl)C(N)=C2)/N=C\1OCCCCCCC(=O)NO.CN1C2=C(C=C(N(CCCl)CCCl)C([N+](=O)[O-])=C2)/N=C\1CCCCCCC(=O)CO.CN1C2=C(C=C(N(CCCl)CCCl)C=C2)/N=C\1CCCCCC(=O)CO.CN1C2=C(C=C(N(CCCl)CCCl)C=C2)/N=C\1CCCCCCC(=O)NO.CN1C2=C(C=C(N(CCCl)CCCl)C=C2)/N=C\1CCCCCCCC(=O)CO.O=C(CCCCCCCC1=CC=C(N(CCCl)CCCl)C=C1)NO GMTUXSOWHRVSCY-UHFFFAOYSA-N 0.000 description 1
- GSLIMLMKTFRNKF-UHFFFAOYSA-L CC1=N([Pt](N)(Cl)Cl)C=C(OCCCCCCC(=O)CO)C=C1 Chemical compound CC1=N([Pt](N)(Cl)Cl)C=C(OCCCCCCC(=O)CO)C=C1 GSLIMLMKTFRNKF-UHFFFAOYSA-L 0.000 description 1
- OHIMYEMBDYRNSZ-BCOQMIKHSA-A CC1=N([Pt](N)(Cl)Cl)C=C(OCCCCCCC(=O)CO)C=C1.CC1=N([Pt](N)(Cl)Cl)C=CC(CCCCCCC(=O)CO)=C1.CC1=N([Pt](N)(Cl)Cl)C=CC(NCCCCCCC(=O)NO)=C1.CC1=N([Pt]2(N)OC(=O)C(CCCCCCC(=O)CO)C(=O)O2)C=CC=C1.CC1=N([Pt]2(N)OC(=O)C3(CCC3)C(=O)O2)C=C(OCCCCCCC(=O)CO)C=C1.CC1=N([Pt]2(N)OC(=O)C3(CCC3)C(=O)O2)C=CC(NCCCCCCC(=O)NO)=C1.CC1=N([Pt]2(N)OC(=O)C3(CCC3)C(=O)O2)C=CC(OCCCCCCC(=O)NO)=C1.N[Pt]1(N)OC(=O)C(CCCCCC(=O)NO)C(=O)O1.N[Pt]1(N)OC(=O)C(CCCCCCC(=O)CO)C(=O)O1.N[Pt]1(N)OC(=O)C(CCCCCCCC(=O)NO)C(=O)O1.N[Pt]1(NC2CCCCC2)OC(=O)C(CCCCCCC(=O)CO)C(=O)O1.O=C(CCCCCC1C(=O)O[Pt]2(N[C@@H]3CCCC[C@H]3N2)OC1=O)NO.O=C(CCCCCCCC1C(=O)O[Pt]2(N[C@@H]3CCCC[C@H]3N2)OC1=O)NO.O=C(CO)CCCCCCC1C(=O)O[Pt]2(N[C@@H]3CCCC[C@H]3N2)OC1=O Chemical compound CC1=N([Pt](N)(Cl)Cl)C=C(OCCCCCCC(=O)CO)C=C1.CC1=N([Pt](N)(Cl)Cl)C=CC(CCCCCCC(=O)CO)=C1.CC1=N([Pt](N)(Cl)Cl)C=CC(NCCCCCCC(=O)NO)=C1.CC1=N([Pt]2(N)OC(=O)C(CCCCCCC(=O)CO)C(=O)O2)C=CC=C1.CC1=N([Pt]2(N)OC(=O)C3(CCC3)C(=O)O2)C=C(OCCCCCCC(=O)CO)C=C1.CC1=N([Pt]2(N)OC(=O)C3(CCC3)C(=O)O2)C=CC(NCCCCCCC(=O)NO)=C1.CC1=N([Pt]2(N)OC(=O)C3(CCC3)C(=O)O2)C=CC(OCCCCCCC(=O)NO)=C1.N[Pt]1(N)OC(=O)C(CCCCCC(=O)NO)C(=O)O1.N[Pt]1(N)OC(=O)C(CCCCCCC(=O)CO)C(=O)O1.N[Pt]1(N)OC(=O)C(CCCCCCCC(=O)NO)C(=O)O1.N[Pt]1(NC2CCCCC2)OC(=O)C(CCCCCCC(=O)CO)C(=O)O1.O=C(CCCCCC1C(=O)O[Pt]2(N[C@@H]3CCCC[C@H]3N2)OC1=O)NO.O=C(CCCCCCCC1C(=O)O[Pt]2(N[C@@H]3CCCC[C@H]3N2)OC1=O)NO.O=C(CO)CCCCCCC1C(=O)O[Pt]2(N[C@@H]3CCCC[C@H]3N2)OC1=O OHIMYEMBDYRNSZ-BCOQMIKHSA-A 0.000 description 1
- VLICAJXUFKESIV-FFZBJFFOSA-H CC1=N([Pt](N)(Cl)Cl)C=CC=C1.CCCCCCCC(=O)N1C=C(F)C(=O)CC1=O.CCCCCOC(=O)NC1=NC(=O)N([C@@H]2O[C@H](C)[C@@H](O)[C@H]2O)C=C1F.CN1C2=CC=C(N(CCCl)CCCl)C=C2N=C1CCCC(=O)O.CS(=O)(=O)OCCN(CCBr)C1=C(C(=O)NCCO)C=C([N+](=O)[O-])C=C1[N+](=O)[O-].N[Pt]1(N)OC(=O)C2(CCC2)C(=O)O1.O=C1NC=C(F)C(=O)N1.O=C1O[Pt]2(C[C@@H]3CCCC[C@H]3N2)OC1=O.O=P1(N(CCCl)CCCl)NCCCO1 Chemical compound CC1=N([Pt](N)(Cl)Cl)C=CC=C1.CCCCCCCC(=O)N1C=C(F)C(=O)CC1=O.CCCCCOC(=O)NC1=NC(=O)N([C@@H]2O[C@H](C)[C@@H](O)[C@H]2O)C=C1F.CN1C2=CC=C(N(CCCl)CCCl)C=C2N=C1CCCC(=O)O.CS(=O)(=O)OCCN(CCBr)C1=C(C(=O)NCCO)C=C([N+](=O)[O-])C=C1[N+](=O)[O-].N[Pt]1(N)OC(=O)C2(CCC2)C(=O)O1.O=C1NC=C(F)C(=O)N1.O=C1O[Pt]2(C[C@@H]3CCCC[C@H]3N2)OC1=O.O=P1(N(CCCl)CCCl)NCCCO1 VLICAJXUFKESIV-FFZBJFFOSA-H 0.000 description 1
- DLLNMKGBDXZKCV-UHFFFAOYSA-L CC1=N([Pt]2(N)OC(=O)C(CCCCCCC(=O)CO)C(=O)O2)C=CC=C1 Chemical compound CC1=N([Pt]2(N)OC(=O)C(CCCCCCC(=O)CO)C(=O)O2)C=CC=C1 DLLNMKGBDXZKCV-UHFFFAOYSA-L 0.000 description 1
- XPWCFMORVSUALY-UHFFFAOYSA-L CC1=N([Pt]2(N)OC(=O)C3(CCC3)C(=O)O2)C=C(OCCCCCCC(=O)CO)C=C1 Chemical compound CC1=N([Pt]2(N)OC(=O)C3(CCC3)C(=O)O2)C=C(OCCCCCCC(=O)CO)C=C1 XPWCFMORVSUALY-UHFFFAOYSA-L 0.000 description 1
- BGPBRACTYRQRJA-UHFFFAOYSA-N CCC(=O)Cl.CCC(=O)OC(=O)CC1=CC=C(N(CCCl)CCCl)C=C1.CCOCC.CO.N#CC(=O)C1=CC=C([N+](=O)[O-])C=C1.N#CCC1=CC=C([N+](=O)[O-])C=C1.NC1=CC=C(CC(=O)O)C=C1.NO.O=C(CC1=CC=C(N(CCCl)CCCl)C=C1)NO.O=C(O)CC1=CC=C(N(CCCl)CCCl)C=C1.O=C(O)CC1=CC=C(N(CCO)CCO)C=C1.O=C(O)CC1=CC=C([N+](=O)[O-])C=C1.O=C1CCCCC1.O=C1CCCCC1C(=O)C1=CC=C([N+](=O)[O-])C=C1.O=S(Cl)Cl Chemical compound CCC(=O)Cl.CCC(=O)OC(=O)CC1=CC=C(N(CCCl)CCCl)C=C1.CCOCC.CO.N#CC(=O)C1=CC=C([N+](=O)[O-])C=C1.N#CCC1=CC=C([N+](=O)[O-])C=C1.NC1=CC=C(CC(=O)O)C=C1.NO.O=C(CC1=CC=C(N(CCCl)CCCl)C=C1)NO.O=C(O)CC1=CC=C(N(CCCl)CCCl)C=C1.O=C(O)CC1=CC=C(N(CCO)CCO)C=C1.O=C(O)CC1=CC=C([N+](=O)[O-])C=C1.O=C1CCCCC1.O=C1CCCCC1C(=O)C1=CC=C([N+](=O)[O-])C=C1.O=S(Cl)Cl BGPBRACTYRQRJA-UHFFFAOYSA-N 0.000 description 1
- HHCSZSZWOHDIKD-UHFFFAOYSA-N CCC(=O)Cl.CCC(=O)OC(=O)CCC1=N(C)C2=CC=C(N(CCCl)CCCl)C=C2N1.CCOCC.CN1=C(CCC(=O)O)NC2=CC(N(CCCl)CCCl)=CC=C21.CN1C2=CC=C(N(CCCl)CCCl)C=C2N=C1CCC(=O)NO.CN1C2=CC=C(N(CCO)CCO)C=C2N=C1CCC(=O)O.CN1C2=CC=C(N)C=C2N=C1CCC(=O)O.CNC1=CC=C([N+](=O)[O-])C=C1CC(=O)CCC(=O)O.CNC1=CC=C([N+](=O)[O-])C=C1N.CNC1=CC=C([N+](=O)[O-])C=C1[N+](=O)[O-].ClC(Cl)Cl.NO.O=COC=O.O=[N+]([O-])C1=CC=C(Cl)C([N+](=O)[O-])=C1 Chemical compound CCC(=O)Cl.CCC(=O)OC(=O)CCC1=N(C)C2=CC=C(N(CCCl)CCCl)C=C2N1.CCOCC.CN1=C(CCC(=O)O)NC2=CC(N(CCCl)CCCl)=CC=C21.CN1C2=CC=C(N(CCCl)CCCl)C=C2N=C1CCC(=O)NO.CN1C2=CC=C(N(CCO)CCO)C=C2N=C1CCC(=O)O.CN1C2=CC=C(N)C=C2N=C1CCC(=O)O.CNC1=CC=C([N+](=O)[O-])C=C1CC(=O)CCC(=O)O.CNC1=CC=C([N+](=O)[O-])C=C1N.CNC1=CC=C([N+](=O)[O-])C=C1[N+](=O)[O-].ClC(Cl)Cl.NO.O=COC=O.O=[N+]([O-])C1=CC=C(Cl)C([N+](=O)[O-])=C1 HHCSZSZWOHDIKD-UHFFFAOYSA-N 0.000 description 1
- GTTFBGXPIFDCQI-FOEVPDMQSA-N CCC(=O)NC1=NC(=O)N([C@@H]2O[C@H](COC(=O)CCCCCCC(=O)NO)[C@@H](O)[C@@H]2C#N)C=C1 Chemical compound CCC(=O)NC1=NC(=O)N([C@@H]2O[C@H](COC(=O)CCCCCCC(=O)NO)[C@@H](O)[C@@H]2C#N)C=C1 GTTFBGXPIFDCQI-FOEVPDMQSA-N 0.000 description 1
- OCTARFHOWGEHSB-UHFFFAOYSA-N CCCC(=O)N1C=C(F)C(CC(=O)CCCCCCC(=O)NO)=NC1=O Chemical compound CCCC(=O)N1C=C(F)C(CC(=O)CCCCCCC(=O)NO)=NC1=O OCTARFHOWGEHSB-UHFFFAOYSA-N 0.000 description 1
- NKZAQFJDLJVVJP-UHFFFAOYSA-N CCCCC(=O)OCC.CCCN(CCC)P1(=O)NCCCO1.CCCN(CCC)P1(=O)OCCCN1CCC(=O)CO.CCCN(CCC)P1(=O)OCCCN1CCC(=O)O.CCCN(CCC)P1(=O)OCCCN1CCC(=O)OCC Chemical compound CCCCC(=O)OCC.CCCN(CCC)P1(=O)NCCCO1.CCCN(CCC)P1(=O)OCCCN1CCC(=O)CO.CCCN(CCC)P1(=O)OCCCN1CCC(=O)O.CCCN(CCC)P1(=O)OCCCN1CCC(=O)OCC NKZAQFJDLJVVJP-UHFFFAOYSA-N 0.000 description 1
- DIPWYPBEORQBGX-UHFFFAOYSA-N CCCN(CCC)P1(=O)OCCCN1C(C)(C)C Chemical compound CCCN(CCC)P1(=O)OCCCN1C(C)(C)C DIPWYPBEORQBGX-UHFFFAOYSA-N 0.000 description 1
- YPKLKNUYYLDNAT-UHFFFAOYSA-N CCCN1C(CCCCCCCC(=O)NC)=NC2=C1C=CC(N(CCCl)CCCl)=C2.CCN1C(CCCCCCC(=O)NC)=NC2=C1C=CC(N(CCCl)CCCl)=C2.CNC(=O)CCCCCC1=NC2=C(C=CC(N(CCCl)CCCl)=C2)N1C.CNC(=O)CCCCCCC1=NC2=C(C=C(N(CCCl)CCCl)C=C2)N1C.CNC(=O)CCCCCCC1=NC2=C(C=CC(N(CCCl)CCCl)=C2)N1C.CNC(=O)CCCCCCCC1=NC2=C(C=CC(N(CCCl)CCCl)=C2)N1C Chemical compound CCCN1C(CCCCCCCC(=O)NC)=NC2=C1C=CC(N(CCCl)CCCl)=C2.CCN1C(CCCCCCC(=O)NC)=NC2=C1C=CC(N(CCCl)CCCl)=C2.CNC(=O)CCCCCC1=NC2=C(C=CC(N(CCCl)CCCl)=C2)N1C.CNC(=O)CCCCCCC1=NC2=C(C=C(N(CCCl)CCCl)C=C2)N1C.CNC(=O)CCCCCCC1=NC2=C(C=CC(N(CCCl)CCCl)=C2)N1C.CNC(=O)CCCCCCCC1=NC2=C(C=CC(N(CCCl)CCCl)=C2)N1C YPKLKNUYYLDNAT-UHFFFAOYSA-N 0.000 description 1
- FHQOCNUWYLFUMO-GBFBWOFHSA-N CCCOC(=O)NC1=NC(=O)N([C@@H]2O[C@H](COC(=O)CCCCCCC(=O)NO)[C@@H](O)[C@@H]2O)C=C1.CNC1=NC(=O)N([C@@H]2O[C@H](COC(=O)CCCCCCC(=O)NO)[C@@H](O)[C@@H]2O)C=C1.C[C@H]1O[C@@H](N2C=C(F)C(CC(=O)CCCCCCC(=O)NO)=NC2=O)[C@H](O)[C@@H]1O.C[C@H]1O[C@@H](N2C=C(F)C(CC(=O)CCCCCCCC(=O)CO)=NC2=O)[C@H](O)[C@@H]1O.C[C@H]1O[C@@H](N2C=C(F)C(CC(=O)OCCCCCCCC(=O)NO)=NC2=O)[C@H](O)[C@@H]1O.C[C@H]1O[C@@H](N2C=C(F)C(CC(=O)SCCCCCCC(=O)CO)=NC2=O)[C@H](O)[C@@H]1O.C[C@H]1O[C@@H](N2C=C(F)C(CC(=O)SCCCCCCCC(=O)NO)=NC2=O)[C@H](O)[C@@H]1O.NC1=NC(=O)N([C@@H]2O[C@H](COC(=O)CCCCCCC(=O)NO)[C@@H](O)[C@@H]2O)C=C1 Chemical compound CCCOC(=O)NC1=NC(=O)N([C@@H]2O[C@H](COC(=O)CCCCCCC(=O)NO)[C@@H](O)[C@@H]2O)C=C1.CNC1=NC(=O)N([C@@H]2O[C@H](COC(=O)CCCCCCC(=O)NO)[C@@H](O)[C@@H]2O)C=C1.C[C@H]1O[C@@H](N2C=C(F)C(CC(=O)CCCCCCC(=O)NO)=NC2=O)[C@H](O)[C@@H]1O.C[C@H]1O[C@@H](N2C=C(F)C(CC(=O)CCCCCCCC(=O)CO)=NC2=O)[C@H](O)[C@@H]1O.C[C@H]1O[C@@H](N2C=C(F)C(CC(=O)OCCCCCCCC(=O)NO)=NC2=O)[C@H](O)[C@@H]1O.C[C@H]1O[C@@H](N2C=C(F)C(CC(=O)SCCCCCCC(=O)CO)=NC2=O)[C@H](O)[C@@H]1O.C[C@H]1O[C@@H](N2C=C(F)C(CC(=O)SCCCCCCCC(=O)NO)=NC2=O)[C@H](O)[C@@H]1O.NC1=NC(=O)N([C@@H]2O[C@H](COC(=O)CCCCCCC(=O)NO)[C@@H](O)[C@@H]2O)C=C1 FHQOCNUWYLFUMO-GBFBWOFHSA-N 0.000 description 1
- SAEMWJDLNRHOAE-UHFFFAOYSA-N CCN.COC(=O)CCNC(=O)N1C=C(F)C(=O)NC1=O.O=C(CO)CCCC(=O)N1C=C(F)C(=O)NC1=O.O=C1NC(=O)N(C(=O)Cl)C=C1F.O=C1NC=C(F)C(=O)N1 Chemical compound CCN.COC(=O)CCNC(=O)N1C=C(F)C(=O)NC1=O.O=C(CO)CCCC(=O)N1C=C(F)C(=O)NC1=O.O=C1NC(=O)N(C(=O)Cl)C=C1F.O=C1NC=C(F)C(=O)N1 SAEMWJDLNRHOAE-UHFFFAOYSA-N 0.000 description 1
- SUFOQEFLVXKJDV-UHFFFAOYSA-N CCN1C2=C(C=C(N(CCCl)CCCl)C=C2)/N=C\1CCCCCCC(=O)CO Chemical compound CCN1C2=C(C=C(N(CCCl)CCCl)C=C2)/N=C\1CCCCCCC(=O)CO SUFOQEFLVXKJDV-UHFFFAOYSA-N 0.000 description 1
- LELFOYDGTRRKDR-UHFFFAOYSA-N CCOC(=O)CC1=NC(=O)N(C(=O)CCCCCCCC(=O)CO)C=C1F Chemical compound CCOC(=O)CC1=NC(=O)N(C(=O)CCCCCCCC(=O)CO)C=C1F LELFOYDGTRRKDR-UHFFFAOYSA-N 0.000 description 1
- IVAFSSMLFSVQGG-UHFFFAOYSA-N CN1C2=C(C=C(N(CCCl)CCCl)C=C2)/N=C\1CCCCCCC(=O)CO Chemical compound CN1C2=C(C=C(N(CCCl)CCCl)C=C2)/N=C\1CCCCCCC(=O)CO IVAFSSMLFSVQGG-UHFFFAOYSA-N 0.000 description 1
- YTKUWDBFDASYHO-UHFFFAOYSA-N CN1C2=CC=C(N(CCCl)CCCl)C=C2N=C1CCCC(=O)O Chemical compound CN1C2=CC=C(N(CCCl)CCCl)C=C2N=C1CCCC(=O)O YTKUWDBFDASYHO-UHFFFAOYSA-N 0.000 description 1
- MGWSMQNCCNOJGE-UHFFFAOYSA-N CNC(=O)CCCCCCC1=NC2=C(C=C(N(CCCl)CCCl)C=C2C)N1C.CNC(=O)CCCCCCC1=NC2=C(C=C(N(CCCl)CCCl)C=C2F)N1C Chemical compound CNC(=O)CCCCCCC1=NC2=C(C=C(N(CCCl)CCCl)C=C2C)N1C.CNC(=O)CCCCCCC1=NC2=C(C=C(N(CCCl)CCCl)C=C2F)N1C MGWSMQNCCNOJGE-UHFFFAOYSA-N 0.000 description 1
- FVBYKAANIHLGIH-UHFFFAOYSA-N CNC(=O)CCCCCCC1=NC2=C(C=CC(N(CCCl)CCCl)=C2)N1C Chemical compound CNC(=O)CCCCCCC1=NC2=C(C=CC(N(CCCl)CCCl)=C2)N1C FVBYKAANIHLGIH-UHFFFAOYSA-N 0.000 description 1
- SQMKOGMAICUDFG-GMCNGXEESA-N COC(=O)CC(=O)Cl.COC(=O)CCC(=O)OC[C@H]1O[C@@H](N2C=CC(N)=NC2=O)[C@@H](O)[C@@H]1O.COC(=O)CCC(=O)OC[C@H]1O[C@@H](N2C=CC(N)=NC2=O)[C@@H](O)[C@@H]1O.COC(=O)CCC(=O)OC[C@H]1O[C@@H](N2C=CC(N)=NC2=O)[C@@H](O)[C@@H]1O.NC1=NC(=O)N([C@@H]2O[C@H](CO)[C@@H](O)[C@@H]2O)C=C1 Chemical compound COC(=O)CC(=O)Cl.COC(=O)CCC(=O)OC[C@H]1O[C@@H](N2C=CC(N)=NC2=O)[C@@H](O)[C@@H]1O.COC(=O)CCC(=O)OC[C@H]1O[C@@H](N2C=CC(N)=NC2=O)[C@@H](O)[C@@H]1O.COC(=O)CCC(=O)OC[C@H]1O[C@@H](N2C=CC(N)=NC2=O)[C@@H](O)[C@@H]1O.NC1=NC(=O)N([C@@H]2O[C@H](CO)[C@@H](O)[C@@H]2O)C=C1 SQMKOGMAICUDFG-GMCNGXEESA-N 0.000 description 1
- WKWOQKRWEFZXFB-UHFFFAOYSA-L COC(=O)CCCI.C[Pt]1(C)CC2CC(CCC(=O)NO)CCC2N1.C[Pt]1(C)CC2CC=CCC2N1.I[Pt]1(I)CC2CC=CCC2N1.NO.O=C(CCCI)NO Chemical compound COC(=O)CCCI.C[Pt]1(C)CC2CC(CCC(=O)NO)CCC2N1.C[Pt]1(C)CC2CC=CCC2N1.I[Pt]1(I)CC2CC=CCC2N1.NO.O=C(CCCI)NO WKWOQKRWEFZXFB-UHFFFAOYSA-L 0.000 description 1
- QYDWYBLGJASENZ-UHFFFAOYSA-C COC(=O)CCCN.C[Pt](C)(N)NCCCC(=O)CO.Cl[Pt](Cl)(Cl)Cl.N.NCC(=O)CCCN[Pt](I)(I)NCCCC(=O)CO.NCCCC(=O)CO.NO.N[Pt](I)(I)NCCCC(=O)CO.O.O=C(CCCC[Pt]1(CCCCC(=O)NO)[IH][Pt](I)(I)[IH]1)NO.O=Cl(=O)(O)O.[K]I.[K][K] Chemical compound COC(=O)CCCN.C[Pt](C)(N)NCCCC(=O)CO.Cl[Pt](Cl)(Cl)Cl.N.NCC(=O)CCCN[Pt](I)(I)NCCCC(=O)CO.NCCCC(=O)CO.NO.N[Pt](I)(I)NCCCC(=O)CO.O.O=C(CCCC[Pt]1(CCCCC(=O)NO)[IH][Pt](I)(I)[IH]1)NO.O=Cl(=O)(O)O.[K]I.[K][K] QYDWYBLGJASENZ-UHFFFAOYSA-C 0.000 description 1
- XODWOXDRMCZDAR-UHFFFAOYSA-A COC(=O)CCCN.Cl[Pt](Cl)(Cl)Cl.N.NCCCC(=O)CO.NO.N[Pt](I)(I)NCCCC(=O)CO.N[Pt]1(NCCCC(=O)CO)OC(=O)C2(CCC2)C(=O)O1.O.O=C(CCCC[Pt]1(CCCCC(=O)NO)[IH][Pt](I)(I)[IH]1)NO.O=C(CO)CCCN[Pt](I)(I)NCCCC(=O)CO.O=Cl(=O)(O)O.O=[Ag]C(=O)C1(C(=O)[Ag]=O)CCC1.[K]I.[K][K] Chemical compound COC(=O)CCCN.Cl[Pt](Cl)(Cl)Cl.N.NCCCC(=O)CO.NO.N[Pt](I)(I)NCCCC(=O)CO.N[Pt]1(NCCCC(=O)CO)OC(=O)C2(CCC2)C(=O)O1.O.O=C(CCCC[Pt]1(CCCCC(=O)NO)[IH][Pt](I)(I)[IH]1)NO.O=C(CO)CCCN[Pt](I)(I)NCCCC(=O)CO.O=Cl(=O)(O)O.O=[Ag]C(=O)C1(C(=O)[Ag]=O)CCC1.[K]I.[K][K] XODWOXDRMCZDAR-UHFFFAOYSA-A 0.000 description 1
- LFQDXRZSYQUPRI-UHFFFAOYSA-N CS(=O)(=O)CCCN(CCBr)C1=C(C(=O)CCCCCCCC(=O)CO)C=C([N+](=O)[O-])C=C1[N+](=O)[O-] Chemical compound CS(=O)(=O)CCCN(CCBr)C1=C(C(=O)CCCCCCCC(=O)CO)C=C([N+](=O)[O-])C=C1[N+](=O)[O-] LFQDXRZSYQUPRI-UHFFFAOYSA-N 0.000 description 1
- VYWNJGWDRDKVCL-UHFFFAOYSA-N CS(=O)(=O)CCCN(CCBr)C1=C(C(=O)CCCCCCCCC(=O)NO)C=C([N+](=O)[O-])C=C1[N+](=O)[O-] Chemical compound CS(=O)(=O)CCCN(CCBr)C1=C(C(=O)CCCCCCCCC(=O)NO)C=C([N+](=O)[O-])C=C1[N+](=O)[O-] VYWNJGWDRDKVCL-UHFFFAOYSA-N 0.000 description 1
- AGOAGIJEWKZCNN-HAFFEQERSA-N C[C@H]1O[C@@H](N2C=C(F)C(CC(=O)CCCCCCCC(=O)CO)=NC2=O)[C@H](O)[C@@H]1O Chemical compound C[C@H]1O[C@@H](N2C=C(F)C(CC(=O)CCCCCCCC(=O)CO)=NC2=O)[C@H](O)[C@@H]1O AGOAGIJEWKZCNN-HAFFEQERSA-N 0.000 description 1
- XXWVCCYSQJZOTP-INXYXQHBSA-N C[C@H]1O[C@@H](N2C=C(F)C(CC(=O)OCCCCCCC(=O)CO)=NC2=O)[C@H](O)[C@@H]1O Chemical compound C[C@H]1O[C@@H](N2C=C(F)C(CC(=O)OCCCCCCC(=O)CO)=NC2=O)[C@H](O)[C@@H]1O XXWVCCYSQJZOTP-INXYXQHBSA-N 0.000 description 1
- YTGIKDZAXKMMCM-IHETXDGRSA-N N#C[C@H]1[C@H](O)[C@@H](CO)O[C@H]1N1C=CC(NC(=O)CCCCCCC(=O)CO)=NC1=O Chemical compound N#C[C@H]1[C@H](O)[C@@H](CO)O[C@H]1N1C=CC(NC(=O)CCCCCCC(=O)CO)=NC1=O YTGIKDZAXKMMCM-IHETXDGRSA-N 0.000 description 1
- FSLAGJSQQPPIAM-UHFFFAOYSA-N NC1=NC(=O)N(C(=O)CCCCCCCC(=O)CO)C=C1F Chemical compound NC1=NC(=O)N(C(=O)CCCCCCCC(=O)CO)C=C1F FSLAGJSQQPPIAM-UHFFFAOYSA-N 0.000 description 1
- JHAAZSSIYUSTEC-VCTAVGKDSA-N NC1=NC(=O)N([C@@H]2O[C@H](COC(=O)CCCCCCC(=O)NO)[C@@H](O)C2(F)F)C=C1 Chemical compound NC1=NC(=O)N([C@@H]2O[C@H](COC(=O)CCCCCCC(=O)NO)[C@@H](O)C2(F)F)C=C1 JHAAZSSIYUSTEC-VCTAVGKDSA-N 0.000 description 1
- JBPNLLRJJZERBB-HGGPSHQYSA-N NC1=NC(=O)N([C@@H]2O[C@H](COC(=O)CCCCCCC(=O)NO)[C@@H](O)[C@@H]2O)C=C1 Chemical compound NC1=NC(=O)N([C@@H]2O[C@H](COC(=O)CCCCCCC(=O)NO)[C@@H](O)[C@@H]2O)C=C1 JBPNLLRJJZERBB-HGGPSHQYSA-N 0.000 description 1
- SWGJISBGQLEIMI-ICGCDAGXSA-N NC1=NC(=O)N([C@@H]2O[C@H](COC(=O)CCCCCCC(=O)NO)[C@@H](O)[C@H]2O)C=N1 Chemical compound NC1=NC(=O)N([C@@H]2O[C@H](COC(=O)CCCCCCC(=O)NO)[C@@H](O)[C@H]2O)C=N1 SWGJISBGQLEIMI-ICGCDAGXSA-N 0.000 description 1
- ZLQUIHFUHZHWAF-DMDPSCGWSA-N NC1=NC(=O)N([C@H]2C[C@H](O)[C@@H](COC(=O)CCCCCCC(=O)NO)O2)C=N1 Chemical compound NC1=NC(=O)N([C@H]2C[C@H](O)[C@@H](COC(=O)CCCCCCC(=O)NO)O2)C=N1 ZLQUIHFUHZHWAF-DMDPSCGWSA-N 0.000 description 1
- UANBNMSQIWJBTO-DKVLMUFUSA-F N[C@@H]1CC=CC[C@H]1C[Pt](I)I.N[C@@H]1CC=CC[C@H]1C[Pt]1OC(=O)C(=O)O1.N[C@@H]1CCC(CCCC(=O)CO)C[C@H]1C[Pt]1OC(=O)C(=O)O1.O=C(CCCI)NO.O=C(O)C(=O)O.O=C(O)CCCI.O=C(O[Ag])C(=O)O[Ag] Chemical compound N[C@@H]1CC=CC[C@H]1C[Pt](I)I.N[C@@H]1CC=CC[C@H]1C[Pt]1OC(=O)C(=O)O1.N[C@@H]1CCC(CCCC(=O)CO)C[C@H]1C[Pt]1OC(=O)C(=O)O1.O=C(CCCI)NO.O=C(O)C(=O)O.O=C(O)CCCI.O=C(O[Ag])C(=O)O[Ag] UANBNMSQIWJBTO-DKVLMUFUSA-F 0.000 description 1
- XKDBRLTVQLZNHS-UHFFFAOYSA-L N[Pt]1(N)OC(=O)C(CCCCCCC(=O)CO)C(=O)O1 Chemical compound N[Pt]1(N)OC(=O)C(CCCCCCC(=O)CO)C(=O)O1 XKDBRLTVQLZNHS-UHFFFAOYSA-L 0.000 description 1
- XRCMYTHRRUQYKU-UHFFFAOYSA-L N[Pt]1(NC2CCCCC2)OC(=O)C(CCCCCCC(=O)CO)C(=O)O1 Chemical compound N[Pt]1(NC2CCCCC2)OC(=O)C(CCCCCCC(=O)CO)C(=O)O1 XRCMYTHRRUQYKU-UHFFFAOYSA-L 0.000 description 1
- SVFKHUSRJLSWGP-KCHSTGSZSA-A N[Pt]1(NCCCCCC(=O)CO)OC(=O)C(=O)O1.N[Pt]1(NCCCCCC(=O)CO)OC(=O)C2(CCC2)C(=O)O1.N[Pt]1(NCCCCCCC(=O)NO)OC(=O)C(=O)O1.N[Pt]1(NCCCCCCC(=O)NO)OC(=O)C2(CCC2)C(=O)O1.N[Pt]1(NCCCCCCCC(=O)CO)OC(=O)C(=O)O1.N[Pt]1(NCCCCCCCC(=O)CO)OC(=O)C2(CCC2)C(=O)O1.O=C(CCCCCCC1CC[C@H]2N[Pt]3(C[C@@H]2C1)OC(=O)C(=O)O3)NO.O=C(CCCCCCC1CC[C@H]2N[Pt]3(C[C@@H]2C1)OC(=O)C1(CCC1)C(=O)O3)NO.O=C(CO)CCCCCC1CC[C@H]2N[Pt]3(C[C@@H]2C1)OC(=O)C(=O)O3.O=C(CO)CCCCCC1CC[C@H]2N[Pt]3(C[C@@H]2C1)OC(=O)C1(CCC1)C(=O)O3.O=C(CO)CCCCCCC1=CC=C(N(CCCl)CCCl)C=C1.O=C(CO)CCCCCCCC1CC[C@H]2N[Pt]3(C[C@@H]2C1)OC(=O)C(=O)O3.O=C(CO)CCCCCCCC1CC[C@H]2N[Pt]3(C[C@@H]2C1)OC(=O)C(=O)O3.O=C(CO)CCCCCCCC1CC[C@H]2N[Pt]3(C[C@@H]2C1)OC(=O)C1(CCC1)C(=O)O3 Chemical compound N[Pt]1(NCCCCCC(=O)CO)OC(=O)C(=O)O1.N[Pt]1(NCCCCCC(=O)CO)OC(=O)C2(CCC2)C(=O)O1.N[Pt]1(NCCCCCCC(=O)NO)OC(=O)C(=O)O1.N[Pt]1(NCCCCCCC(=O)NO)OC(=O)C2(CCC2)C(=O)O1.N[Pt]1(NCCCCCCCC(=O)CO)OC(=O)C(=O)O1.N[Pt]1(NCCCCCCCC(=O)CO)OC(=O)C2(CCC2)C(=O)O1.O=C(CCCCCCC1CC[C@H]2N[Pt]3(C[C@@H]2C1)OC(=O)C(=O)O3)NO.O=C(CCCCCCC1CC[C@H]2N[Pt]3(C[C@@H]2C1)OC(=O)C1(CCC1)C(=O)O3)NO.O=C(CO)CCCCCC1CC[C@H]2N[Pt]3(C[C@@H]2C1)OC(=O)C(=O)O3.O=C(CO)CCCCCC1CC[C@H]2N[Pt]3(C[C@@H]2C1)OC(=O)C1(CCC1)C(=O)O3.O=C(CO)CCCCCCC1=CC=C(N(CCCl)CCCl)C=C1.O=C(CO)CCCCCCCC1CC[C@H]2N[Pt]3(C[C@@H]2C1)OC(=O)C(=O)O3.O=C(CO)CCCCCCCC1CC[C@H]2N[Pt]3(C[C@@H]2C1)OC(=O)C(=O)O3.O=C(CO)CCCCCCCC1CC[C@H]2N[Pt]3(C[C@@H]2C1)OC(=O)C1(CCC1)C(=O)O3 SVFKHUSRJLSWGP-KCHSTGSZSA-A 0.000 description 1
- FQYMBDAXLJMNFD-UHFFFAOYSA-L N[Pt]1(NCCCCCCC(=O)NO)OC(=O)C(=O)O1 Chemical compound N[Pt]1(NCCCCCCC(=O)NO)OC(=O)C(=O)O1 FQYMBDAXLJMNFD-UHFFFAOYSA-L 0.000 description 1
- OHEBXFWZNFWTFF-UHFFFAOYSA-L N[Pt]1(NCCCCCCC(=O)NO)OC(=O)C2(CCC2)C(=O)O1 Chemical compound N[Pt]1(NCCCCCCC(=O)NO)OC(=O)C2(CCC2)C(=O)O1 OHEBXFWZNFWTFF-UHFFFAOYSA-L 0.000 description 1
- ZKWNQXNAJPZDKD-UHFFFAOYSA-N O=C(CCCCCCC(=O)N1CCCOP1(=O)N(CCCl)CCCl)NO Chemical compound O=C(CCCCCCC(=O)N1CCCOP1(=O)N(CCCl)CCCl)NO ZKWNQXNAJPZDKD-UHFFFAOYSA-N 0.000 description 1
- FKNMQXRXFLKONI-UHFFFAOYSA-N O=C(CCCCCCC(=O)NO)CC1=NC(=O)NC=C1F Chemical compound O=C(CCCCCCC(=O)NO)CC1=NC(=O)NC=C1F FKNMQXRXFLKONI-UHFFFAOYSA-N 0.000 description 1
- OISRCMPDQYWGKH-HGVSUQJHSA-L O=C(CCCCCCC1CC[C@H]2N[Pt]3(C[C@@H]2C1)OC(=O)C(=O)O3)NO Chemical compound O=C(CCCCCCC1CC[C@H]2N[Pt]3(C[C@@H]2C1)OC(=O)C(=O)O3)NO OISRCMPDQYWGKH-HGVSUQJHSA-L 0.000 description 1
- LICFMTSCNQAVFZ-HGVSUQJHSA-L O=C(CCCCCCC1CC[C@H]2N[Pt]3(C[C@@H]2C1)OC(=O)C1(CCC1)C(=O)O3)NO Chemical compound O=C(CCCCCCC1CC[C@H]2N[Pt]3(C[C@@H]2C1)OC(=O)C1(CCC1)C(=O)O3)NO LICFMTSCNQAVFZ-HGVSUQJHSA-L 0.000 description 1
- GVCSRUYOQOYXKB-UHFFFAOYSA-N O=C(CCCCCCCC1=CC=C(N(CCCl)CCCl)C=C1)NO Chemical compound O=C(CCCCCCCC1=CC=C(N(CCCl)CCCl)C=C1)NO GVCSRUYOQOYXKB-UHFFFAOYSA-N 0.000 description 1
- HIYHIBKDJCKVLF-UHFFFAOYSA-N O=C(CCCCCCCCC(=O)N1C=C(F)C(=O)CC1=O)NO Chemical compound O=C(CCCCCCCCC(=O)N1C=C(F)C(=O)CC1=O)NO HIYHIBKDJCKVLF-UHFFFAOYSA-N 0.000 description 1
- ZUFLLPRNKOXQFE-UHFFFAOYSA-N O=C(CCP)NO Chemical compound O=C(CCP)NO ZUFLLPRNKOXQFE-UHFFFAOYSA-N 0.000 description 1
- BDLOTOVZTMSHHW-DAXOMENPSA-N O=C(CO)CCCCCCC(=O)NC1=NC(=O)N([C@@H]2O[C@H](CO)[C@@H](O)C2(F)F)C=C1 Chemical compound O=C(CO)CCCCCCC(=O)NC1=NC(=O)N([C@@H]2O[C@H](CO)[C@@H](O)C2(F)F)C=C1 BDLOTOVZTMSHHW-DAXOMENPSA-N 0.000 description 1
- VHFVAPIVXGEIJH-VDNDLQMASA-N O=C(CO)CCCCCCC(=O)NC1=NC(=O)N([C@@H]2O[C@H](CO)[C@@H](O)[C@@H]2O)C=C1 Chemical compound O=C(CO)CCCCCCC(=O)NC1=NC(=O)N([C@@H]2O[C@H](CO)[C@@H](O)[C@@H]2O)C=C1 VHFVAPIVXGEIJH-VDNDLQMASA-N 0.000 description 1
- QNVBYNZOGMXZQD-NMFUWQPSSA-N O=C(CO)CCCCCCC(=O)NC1=NC(=O)N([C@@H]2O[C@H](CO)[C@@H](O)[C@H]2O)C=N1 Chemical compound O=C(CO)CCCCCCC(=O)NC1=NC(=O)N([C@@H]2O[C@H](CO)[C@@H](O)[C@H]2O)C=N1 QNVBYNZOGMXZQD-NMFUWQPSSA-N 0.000 description 1
- OCRXUHBWALBNKG-GZBFAFLISA-N O=C(CO)CCCCCCC(=O)NC1=NC(=O)N([C@H]2C[C@H](O)[C@@H](CO)O2)C=N1 Chemical compound O=C(CO)CCCCCCC(=O)NC1=NC(=O)N([C@H]2C[C@H](O)[C@@H](CO)O2)C=N1 OCRXUHBWALBNKG-GZBFAFLISA-N 0.000 description 1
- BQRDEFFBZMUJGO-UHFFFAOYSA-N O=C(CO)CCCCCCC1=CC=C(N(CCCl)CCCl)C=C1 Chemical compound O=C(CO)CCCCCCC1=CC=C(N(CCCl)CCCl)C=C1 BQRDEFFBZMUJGO-UHFFFAOYSA-N 0.000 description 1
- HBTMUEGXNBRYEK-JGHXHLRYSA-L O=C(CO)CCCCCCC1C(=O)O[Pt]2(N[C@@H]3CCCC[C@H]3N2)OC1=O Chemical compound O=C(CO)CCCCCCC1C(=O)O[Pt]2(N[C@@H]3CCCC[C@H]3N2)OC1=O HBTMUEGXNBRYEK-JGHXHLRYSA-L 0.000 description 1
- WSANGSPPMWZYBQ-UHFFFAOYSA-N O=C(CO)CCCCCCCC(=O)N1C=C(F)C(=O)CC1=O Chemical compound O=C(CO)CCCCCCCC(=O)N1C=C(F)C(=O)CC1=O WSANGSPPMWZYBQ-UHFFFAOYSA-N 0.000 description 1
- DAWZZQJSUVZCHH-UHFFFAOYSA-N O=C(CO)CCCCCCCCCC(=O)N1C=C(F)C(=O)CC1=O Chemical compound O=C(CO)CCCCCCCCCC(=O)N1C=C(F)C(=O)CC1=O DAWZZQJSUVZCHH-UHFFFAOYSA-N 0.000 description 1
- UQRBZVUVMZTNTK-UHFFFAOYSA-N O=C(CO)CCCCCCCCCCCC(=O)N1C=C(F)C(=O)CC1=O Chemical compound O=C(CO)CCCCCCCCCCCC(=O)N1C=C(F)C(=O)CC1=O UQRBZVUVMZTNTK-UHFFFAOYSA-N 0.000 description 1
- RNAQQNIPHUYSCN-UHFFFAOYSA-N O=C(CO)CCCCCCN1C=C(F)C(=O)CC1=O Chemical compound O=C(CO)CCCCCCN1C=C(F)C(=O)CC1=O RNAQQNIPHUYSCN-UHFFFAOYSA-N 0.000 description 1
- UOJVCPZVWBIZIU-UHFFFAOYSA-N O=C(CO)CCCCCCN1CCCOP1(=O)N(CCCl)CCCl Chemical compound O=C(CO)CCCCCCN1CCCOP1(=O)N(CCCl)CCCl UOJVCPZVWBIZIU-UHFFFAOYSA-N 0.000 description 1
- MTTRFGKBBWNLFI-UHFFFAOYSA-N O=C(CO)CCCCCCOC(=O)N1C=C(F)C(=O)CC1=O Chemical compound O=C(CO)CCCCCCOC(=O)N1C=C(F)C(=O)CC1=O MTTRFGKBBWNLFI-UHFFFAOYSA-N 0.000 description 1
- PVRSYXBDZYVPOX-ICGCDAGXSA-N OC[C@H]([C@H]([C@H]1O)O)O[C@H]1N(C=NC(NC(CCCCCCC(NO)=O)=O)=N1)C1=O Chemical compound OC[C@H]([C@H]([C@H]1O)O)O[C@H]1N(C=NC(NC(CCCCCCC(NO)=O)=O)=N1)C1=O PVRSYXBDZYVPOX-ICGCDAGXSA-N 0.000 description 1
- HMCXPBKXHOAOEP-UHFFFAOYSA-N ONC(CCCCCCC(N(C=C(C(N1)=O)F)C1=O)=O)=O Chemical compound ONC(CCCCCCC(N(C=C(C(N1)=O)F)C1=O)=O)=O HMCXPBKXHOAOEP-UHFFFAOYSA-N 0.000 description 1
- OXXYIAJNICFFEM-UHFFFAOYSA-N ONC(CCCCCCC(NC(C(F)=CN1)=NC1=O)=O)=O Chemical compound ONC(CCCCCCC(NC(C(F)=CN1)=NC1=O)=O)=O OXXYIAJNICFFEM-UHFFFAOYSA-N 0.000 description 1
Classifications
-
- C—CHEMISTRY; METALLURGY
- C07—ORGANIC CHEMISTRY
- C07F—ACYCLIC, CARBOCYCLIC OR HETEROCYCLIC COMPOUNDS CONTAINING ELEMENTS OTHER THAN CARBON, HYDROGEN, HALOGEN, OXYGEN, NITROGEN, SULFUR, SELENIUM OR TELLURIUM
- C07F15/00—Compounds containing elements of Groups 8, 9, 10 or 18 of the Periodic Table
- C07F15/0006—Compounds containing elements of Groups 8, 9, 10 or 18 of the Periodic Table compounds of the platinum group
- C07F15/0013—Compounds containing elements of Groups 8, 9, 10 or 18 of the Periodic Table compounds of the platinum group without a metal-carbon linkage
-
- A—HUMAN NECESSITIES
- A61—MEDICAL OR VETERINARY SCIENCE; HYGIENE
- A61K—PREPARATIONS FOR MEDICAL, DENTAL OR TOILETRY PURPOSES
- A61K31/00—Medicinal preparations containing organic active ingredients
- A61K31/33—Heterocyclic compounds
- A61K31/395—Heterocyclic compounds having nitrogen as a ring hetero atom, e.g. guanethidine or rifamycins
- A61K31/41—Heterocyclic compounds having nitrogen as a ring hetero atom, e.g. guanethidine or rifamycins having five-membered rings with two or more ring hetero atoms, at least one of which being nitrogen, e.g. tetrazole
- A61K31/4164—1,3-Diazoles
- A61K31/4184—1,3-Diazoles condensed with carbocyclic rings, e.g. benzimidazoles
-
- A—HUMAN NECESSITIES
- A61—MEDICAL OR VETERINARY SCIENCE; HYGIENE
- A61P—SPECIFIC THERAPEUTIC ACTIVITY OF CHEMICAL COMPOUNDS OR MEDICINAL PREPARATIONS
- A61P35/00—Antineoplastic agents
-
- A—HUMAN NECESSITIES
- A61—MEDICAL OR VETERINARY SCIENCE; HYGIENE
- A61P—SPECIFIC THERAPEUTIC ACTIVITY OF CHEMICAL COMPOUNDS OR MEDICINAL PREPARATIONS
- A61P35/00—Antineoplastic agents
- A61P35/02—Antineoplastic agents specific for leukemia
-
- A—HUMAN NECESSITIES
- A61—MEDICAL OR VETERINARY SCIENCE; HYGIENE
- A61P—SPECIFIC THERAPEUTIC ACTIVITY OF CHEMICAL COMPOUNDS OR MEDICINAL PREPARATIONS
- A61P37/00—Drugs for immunological or allergic disorders
-
- A—HUMAN NECESSITIES
- A61—MEDICAL OR VETERINARY SCIENCE; HYGIENE
- A61P—SPECIFIC THERAPEUTIC ACTIVITY OF CHEMICAL COMPOUNDS OR MEDICINAL PREPARATIONS
- A61P37/00—Drugs for immunological or allergic disorders
- A61P37/02—Immunomodulators
-
- C—CHEMISTRY; METALLURGY
- C07—ORGANIC CHEMISTRY
- C07C—ACYCLIC OR CARBOCYCLIC COMPOUNDS
- C07C259/00—Compounds containing carboxyl groups, an oxygen atom of a carboxyl group being replaced by a nitrogen atom, this nitrogen atom being further bound to an oxygen atom and not being part of nitro or nitroso groups
- C07C259/04—Compounds containing carboxyl groups, an oxygen atom of a carboxyl group being replaced by a nitrogen atom, this nitrogen atom being further bound to an oxygen atom and not being part of nitro or nitroso groups without replacement of the other oxygen atom of the carboxyl group, e.g. hydroxamic acids
- C07C259/06—Compounds containing carboxyl groups, an oxygen atom of a carboxyl group being replaced by a nitrogen atom, this nitrogen atom being further bound to an oxygen atom and not being part of nitro or nitroso groups without replacement of the other oxygen atom of the carboxyl group, e.g. hydroxamic acids having carbon atoms of hydroxamic groups bound to hydrogen atoms or to acyclic carbon atoms
-
- C—CHEMISTRY; METALLURGY
- C07—ORGANIC CHEMISTRY
- C07D—HETEROCYCLIC COMPOUNDS
- C07D235/00—Heterocyclic compounds containing 1,3-diazole or hydrogenated 1,3-diazole rings, condensed with other rings
- C07D235/02—Heterocyclic compounds containing 1,3-diazole or hydrogenated 1,3-diazole rings, condensed with other rings condensed with carbocyclic rings or ring systems
- C07D235/04—Benzimidazoles; Hydrogenated benzimidazoles
- C07D235/06—Benzimidazoles; Hydrogenated benzimidazoles with only hydrogen atoms, hydrocarbon or substituted hydrocarbon radicals, directly attached in position 2
- C07D235/16—Radicals substituted by carbon atoms having three bonds to hetero atoms with at the most one bond to halogen, e.g. ester or nitrile radicals
-
- C—CHEMISTRY; METALLURGY
- C07—ORGANIC CHEMISTRY
- C07D—HETEROCYCLIC COMPOUNDS
- C07D235/00—Heterocyclic compounds containing 1,3-diazole or hydrogenated 1,3-diazole rings, condensed with other rings
- C07D235/02—Heterocyclic compounds containing 1,3-diazole or hydrogenated 1,3-diazole rings, condensed with other rings condensed with carbocyclic rings or ring systems
- C07D235/04—Benzimidazoles; Hydrogenated benzimidazoles
- C07D235/24—Benzimidazoles; Hydrogenated benzimidazoles with hetero atoms or with carbon atoms having three bonds to hetero atoms with at the most one bond to halogen, e.g. ester or nitrile radicals, directly attached in position 2
- C07D235/26—Oxygen atoms
-
- C—CHEMISTRY; METALLURGY
- C07—ORGANIC CHEMISTRY
- C07D—HETEROCYCLIC COMPOUNDS
- C07D235/00—Heterocyclic compounds containing 1,3-diazole or hydrogenated 1,3-diazole rings, condensed with other rings
- C07D235/02—Heterocyclic compounds containing 1,3-diazole or hydrogenated 1,3-diazole rings, condensed with other rings condensed with carbocyclic rings or ring systems
- C07D235/04—Benzimidazoles; Hydrogenated benzimidazoles
- C07D235/24—Benzimidazoles; Hydrogenated benzimidazoles with hetero atoms or with carbon atoms having three bonds to hetero atoms with at the most one bond to halogen, e.g. ester or nitrile radicals, directly attached in position 2
- C07D235/28—Sulfur atoms
-
- C—CHEMISTRY; METALLURGY
- C07—ORGANIC CHEMISTRY
- C07D—HETEROCYCLIC COMPOUNDS
- C07D235/00—Heterocyclic compounds containing 1,3-diazole or hydrogenated 1,3-diazole rings, condensed with other rings
- C07D235/02—Heterocyclic compounds containing 1,3-diazole or hydrogenated 1,3-diazole rings, condensed with other rings condensed with carbocyclic rings or ring systems
- C07D235/04—Benzimidazoles; Hydrogenated benzimidazoles
- C07D235/24—Benzimidazoles; Hydrogenated benzimidazoles with hetero atoms or with carbon atoms having three bonds to hetero atoms with at the most one bond to halogen, e.g. ester or nitrile radicals, directly attached in position 2
- C07D235/30—Nitrogen atoms not forming part of a nitro radical
-
- C—CHEMISTRY; METALLURGY
- C07—ORGANIC CHEMISTRY
- C07D—HETEROCYCLIC COMPOUNDS
- C07D239/00—Heterocyclic compounds containing 1,3-diazine or hydrogenated 1,3-diazine rings
- C07D239/02—Heterocyclic compounds containing 1,3-diazine or hydrogenated 1,3-diazine rings not condensed with other rings
- C07D239/06—Heterocyclic compounds containing 1,3-diazine or hydrogenated 1,3-diazine rings not condensed with other rings having one double bond between ring members or between a ring member and a non-ring member
- C07D239/08—Heterocyclic compounds containing 1,3-diazine or hydrogenated 1,3-diazine rings not condensed with other rings having one double bond between ring members or between a ring member and a non-ring member with hetero atoms directly attached in position 2
- C07D239/10—Oxygen or sulfur atoms
-
- C—CHEMISTRY; METALLURGY
- C07—ORGANIC CHEMISTRY
- C07D—HETEROCYCLIC COMPOUNDS
- C07D239/00—Heterocyclic compounds containing 1,3-diazine or hydrogenated 1,3-diazine rings
- C07D239/02—Heterocyclic compounds containing 1,3-diazine or hydrogenated 1,3-diazine rings not condensed with other rings
- C07D239/24—Heterocyclic compounds containing 1,3-diazine or hydrogenated 1,3-diazine rings not condensed with other rings having three or more double bonds between ring members or between ring members and non-ring members
- C07D239/28—Heterocyclic compounds containing 1,3-diazine or hydrogenated 1,3-diazine rings not condensed with other rings having three or more double bonds between ring members or between ring members and non-ring members with hetero atoms or with carbon atoms having three bonds to hetero atoms with at the most one bond to halogen, directly attached to ring carbon atoms
- C07D239/46—Two or more oxygen, sulphur or nitrogen atoms
-
- C—CHEMISTRY; METALLURGY
- C07—ORGANIC CHEMISTRY
- C07D—HETEROCYCLIC COMPOUNDS
- C07D239/00—Heterocyclic compounds containing 1,3-diazine or hydrogenated 1,3-diazine rings
- C07D239/02—Heterocyclic compounds containing 1,3-diazine or hydrogenated 1,3-diazine rings not condensed with other rings
- C07D239/24—Heterocyclic compounds containing 1,3-diazine or hydrogenated 1,3-diazine rings not condensed with other rings having three or more double bonds between ring members or between ring members and non-ring members
- C07D239/28—Heterocyclic compounds containing 1,3-diazine or hydrogenated 1,3-diazine rings not condensed with other rings having three or more double bonds between ring members or between ring members and non-ring members with hetero atoms or with carbon atoms having three bonds to hetero atoms with at the most one bond to halogen, directly attached to ring carbon atoms
- C07D239/46—Two or more oxygen, sulphur or nitrogen atoms
- C07D239/47—One nitrogen atom and one oxygen or sulfur atom, e.g. cytosine
-
- C—CHEMISTRY; METALLURGY
- C07—ORGANIC CHEMISTRY
- C07D—HETEROCYCLIC COMPOUNDS
- C07D405/00—Heterocyclic compounds containing both one or more hetero rings having oxygen atoms as the only ring hetero atoms, and one or more rings having nitrogen as the only ring hetero atom
- C07D405/02—Heterocyclic compounds containing both one or more hetero rings having oxygen atoms as the only ring hetero atoms, and one or more rings having nitrogen as the only ring hetero atom containing two hetero rings
- C07D405/04—Heterocyclic compounds containing both one or more hetero rings having oxygen atoms as the only ring hetero atoms, and one or more rings having nitrogen as the only ring hetero atom containing two hetero rings directly linked by a ring-member-to-ring-member bond
-
- C—CHEMISTRY; METALLURGY
- C07—ORGANIC CHEMISTRY
- C07F—ACYCLIC, CARBOCYCLIC OR HETEROCYCLIC COMPOUNDS CONTAINING ELEMENTS OTHER THAN CARBON, HYDROGEN, HALOGEN, OXYGEN, NITROGEN, SULFUR, SELENIUM OR TELLURIUM
- C07F15/00—Compounds containing elements of Groups 8, 9, 10 or 18 of the Periodic Table
- C07F15/0006—Compounds containing elements of Groups 8, 9, 10 or 18 of the Periodic Table compounds of the platinum group
- C07F15/0086—Platinum compounds
- C07F15/0093—Platinum compounds without a metal-carbon linkage
-
- Y—GENERAL TAGGING OF NEW TECHNOLOGICAL DEVELOPMENTS; GENERAL TAGGING OF CROSS-SECTIONAL TECHNOLOGIES SPANNING OVER SEVERAL SECTIONS OF THE IPC; TECHNICAL SUBJECTS COVERED BY FORMER USPC CROSS-REFERENCE ART COLLECTIONS [XRACs] AND DIGESTS
- Y02—TECHNOLOGIES OR APPLICATIONS FOR MITIGATION OR ADAPTATION AGAINST CLIMATE CHANGE
- Y02A—TECHNOLOGIES FOR ADAPTATION TO CLIMATE CHANGE
- Y02A50/00—TECHNOLOGIES FOR ADAPTATION TO CLIMATE CHANGE in human health protection, e.g. against extreme weather
- Y02A50/30—Against vector-borne diseases, e.g. mosquito-borne, fly-borne, tick-borne or waterborne diseases whose impact is exacerbated by climate change
Definitions
- Cancer is one of the most life threatening diseases in which cells in a part of the body experience out-of-control growth. According to the latest data from American Cancer Society, cancer is the second leading cause of death in the United States (second only to heart disease) and claimed more than 550,000 lives in 2007. In fact, it is estimated that 50% of all men and 33% of all women living in the United States will develop some type of cancer in their lifetime. Therefore cancer constitutes a major public health burden and represents a significant cost in the United States. For decades, surgery, chemotherapy, and radiation were the established treatments for various cancers. Patients usually receive a combination of these treatments depending upon the type and extent of their disease. But the chemotherapy is most important option for cancer patient when the surgery treatment is impossible.
- DNA alkylating agents e.g. nitrogen mustards, platinum-based complex
- DNA alkylating agents generally exert cytotoxic activity by forming DNA adducts or crosslinks between DNA strands under conditions present in cells, directly interfering with the reproductive cycle of the cell.
- Mechlorethamine an analogue of mustard gas and derived from chemical warfare research during World War II, has been used in the cancer chemotherapy for over 60 years.
- Other approved nitrogen mustards for cancer treatment include the Chlorambucil, Melphalan, Cyclophosphamide, Ifosfamide, Bendamustine, Estramustine, and Uramustine.
- DNA alkylating agents include Cisplatin, Carboplatin, Oxaliplatin, Satraplatin, Picoplatin, Nedaplatin, Lobaplatin, and Heptaplatin (Markus Galanski, et. al., Current Medicinal Chemistry, 2005, 12, 2075-2094).
- the DNA alkylating agent Bendamustine first synthesized in 1963, consists of an alkylating nitrogen mustard group and a purine-like benzimidazol moiety (Barman Balfour J A, et al, Drugs 2001, 61: 631-640). Bendamustine has been shown to have substantial activity against low-grade lymphomas (Herold M, et al., Blood, 1999, 94, Suppl 1: 262a), multiple myelomas (Poenisch W, et al., Blood 2000, 96, Suppl 1: 759a), and several solid tumors (Kollmannsberger C, et al., Anticancer Drugs 2000, 11: 535-539).
- bendamustine effectively induces apoptosis in lymphoma cells (Chow K U, et al., Haematologica, 2001, 86: 485-493).
- CLL chronic lymphocytic leukemia
- NHS indolent B-cell non-Hodgkin's lymphoma
- bendamustine is in clinical trial for a variety of cancer indications, such as leukemia, lymphoma, small cell lung cancer, multiple myeloma, MDS, ovarian cancer, breast cancer, and brain tumor.
- Cisplatin is another widely used DNA alkylating agent for cancer treatment.
- the tumor-inhibiting properties of cisplatin were first reported in 1969 by Barnett Rosenberg four years after his pioneering work performed with the original intention of investigating the influence of an electric field on bacterial growth and 125 years after the first synthesis of cisplatin by Michele Peyrone.
- Today, cisplatin has become one of the most successful anticancer drugs and been used in nearly 50% of all tumor chemotherapies.
- the first-generation cisplatin has a wide spectrum of anticancer activity, it does have significant side toxicity, and its clinical use can also be limited by the existence or development of resistance. In an attempt to overcome these problems, several thousand platinum-based compounds have been synthesized and screened.
- Antimetabolites are another class of extensively used chemotherapy for cancer treatment.
- Antimetabolite means a substance which is structurally similar to a critical natural metabolite in a biochemical pathway leading to DNA or RNA synthesis, but acts to inhibit the completion of said biochemical pathway. More specifically, antimetabilites typically function by (1) competing with metabolites for the catalytic or regulatory site of a key enzyme in DNA or RNA synthesis, or (2) substitute for a metabolite that is normally incorporated into DNA or RNA, and thereby producing a DNA or RNA that can't support replication.
- folic acid analogs which are inhibitors of dihydrofolate reductase (DHFR);
- purine analogues which mimic the natural purines (adenine or guanine) but are structurally different so they competitively or irreversibly inhibit nuclear processing of DNA or RNA;
- pyrimidine analogues which mimic the natural pyrimidines (cytosine, thymidine, and uracil) but are structurally different so they competitively or irreversibly inhibit nuclear processing of DNA of RNA.
- Typical antimetabolite drugs include antifolate (such as Aminopterin, Methotrexate, Pemetrexed, and Raltitrexed), Purine analogues (such as Cladribine, Clofarabine, Fludarabine, Mercaptopurine, Pentostatin, and Thioguanine), and Pyrimidine analogues (such as Cytarabine, Decitabine, Fluorouracil, Capecitabine, Floxuridine, Gemcitabine, Enocitabine, and Sapacitabine).
- antifolate such as Aminopterin, Methotrexate, Pemetrexed, and Raltitrexed
- Purine analogues such as Cladribine, Clofarabine, Fludarabine, Mercaptopurine, Pentostatin, and Thioguanine
- Pyrimidine analogues such as Cytarabine, Decitabine, Fluorouracil, Capecitabine, Floxuridine, Gemcitabine, Enocitabine, and Sapacita
- Fluorouracil is an antimetabolite and has been in use as chemotherapy against cancer for about 40 years. As a pyrimidine analogue, it is transformed inside the cell into different cytotoxic metabolites which are then incorporated into DNA and RNA, finally inducing cell cycle arrest and apoptosis by inhibiting the cell's ability to synthesize DNA. Like many anti-cancer drugs, 5-FU's effects are felt system wide but fall most heavily upon rapidly dividing cells that make heavy use of their nucleotide synthesis machinery, such as cancer cells. Some of the principal use of 5-FU is in colorectal cancer and breast cancer, in which it has been the established form of chemotherapy for decades.
- Gemcitabine is another well-known antimetabolite and chemically a nucleoside analog in which the hydrogen atoms on the 2′ carbons of deoxycytidine are replaced by fluorine atoms.
- the drug replaces one of the building blocks of nucleic acids during DNA replication. The process arrests tumor growth, as new nucleosides cannot be attached to the “faulty” nucleoside, resulting in apoptosis.
- Gemcitabine is used in various carcinomas: non-small cell lung cancer, pancreatic cancer, bladder cancer and breast cancer.
- the present invention relates to a novel class of hydroxamic acid derivatives of the conventional chemotherapeutical drugs such as DNA alkylating drugs and antimetabolites.
- This invention is based on the unexpected discovery that certain hydroxamic derivatives show enhanced antitumor activities when compared to the activities of the parental chemotherapeutical drug.
- the compounds of the present invention are useful in treating a patient having a tumor.
- the compounds of the invention may also useful in the prevention and treatment of an immune disease.
- this invention relates to a hydroxamic compound of Formula I:
- Z is deleted, C(R a R b ), O, S, C(O), N(R a ), SO 2 , OC(O), C(O)O, OSO 2 , S(O 2 )O, C(O)S, SC(O), C(O)C(O), C(O)N(R a ), N(R a )C(O), S(O 2 )N(R a ), N(R a )S(O 2 ), OC(O)N(R a ), N(R a )C(O)O, N(R a )C(O)S, or N(R a )C(O)N(R b ), in which each of R a and R b , independently, is H, alkyl, alkenyl, or alkynyl; m is 5, 6, 7, 8, 9, 10, 11, 12, 13, 14, 15, or 16; and P is a platinum-containing moiety,
- each of X 1 and X 2 independently, is halo or OSO 2 R c , in which R c is alkyl, alkenyl, or alkynyl;
- Q is a cycloalkyl, heterocycloalkyl, cycloalkenyl, heterocycloalkenyl, aryl, or heteroaryl, each of which, independently, is optionally substituted with alkyl, alkenyl, alkynyl, cycloalkyl, heterocycloalkyl, cycloalkenyl, heterocycloalkenyl, aryl, heteroaryl, halo, nitro, oxo, —C ⁇ NH, cyano, OR d , OC(O)R d , OC(O)OR d , OC(O)SR d , SR d , C(O)R d , C(O)OR d , C(O)SR d , C(O)NR e R
- One subset of the above-described compounds includes those in which Z is deleted, CH 2 , O, CO, NH, SO 2 , OC(O), C(O)O, C(O)S, NHC(O), C(O)NH, OC(O)NH, NHC(O)O, or NHC(O)S; m is 5, 6, 7, or 8; In these compounds, P can be
- L 1 is a cyclic amine
- each of L 2 and L 3 independently, is NHR 13 R 14 , L 1 , or L 2 and L 3 together form a bidentate amine
- each of R 13 and R 14 independently is H, alkyl, alkenyl, alkynyl, cycloalkyl, heterocycloalkyl, cycloalkenyl, heterocycloalkenyl, aryl, or heteroaryl, each of which, independently, is optionally substituted with alkyl, alkenyl, alkynyl, cycloalkyl, heterocycloalkyl, cycloalkenyl, heterocycloalkenyl, aryl, heteroaryl, halo, nitro, oxo, —C ⁇ NH, cyano, OR d , OC(O)R d , OC(O)OR d , OC(O)SR d , SR d , C(O)R d
- W 1 can be CH or N, and each of R 4 , R 5 , R 6 , and R 7 , independently, can be H, alkyl, alkenyl, alkynyl, C(O)R d , C(O)OR d , C(O)SR d , halo, hydroxy, or cyano;
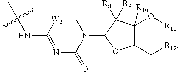
- W 2 can be CH, CF, or N, and each of R 8 , R 9 , R 10 , R 11 , and R 12 , independently, can be H, alkyl, alkenyl, alkynyl, halo, hydroxy, cyano, OR d , OC(O)R d , OC(O)OR d , OC(O)SR d , C(O)R d , C(O)OR d , or C(O)SR d .
- a salt for example, can be formed between an anion and a positively charged group (e.g., amino) on a hydroxamic compound of this invention.
- Suitable anions include chloride, bromide, iodide, sulfate, bisulfate, sulfamate, nitrate, phosphate, citrate, methanesulfonate, trifluoroacetate, glutamate, glucuronate, glutarate, malate, maleate, succinate, fumarate, tartrate, tosylate, salicylate, lactate, naphthalenesulfonate, and acetate.
- a salt can also be formed between a cation and a negatively charged group (e.g., carboxylate) on a hydroxamic compound of this invention.
- Suitable cations include sodium ion, potassium ion, magnesium ion, calcium ion, and an ammonium cation such as tetramethylammonium ion.
- the hydroxamic compounds of this invention also include those salts containing quaternary nitrogen atoms.
- Examples of prodrugs include esters and other pharmaceutically acceptable derivatives, which, upon administration to a subject, are capable of providing active hydroxamic compounds described herein.
- Compounds of the invention may contain one or more asymmetric carbon atoms. Accordingly, the compounds may exist as diastereomers, enantiomers or mixtures thereof. Each of the asymmetric carbon atoms may be in the R or S configuration and both of these configurations are within the scope of the invention.
- compositions containing one or more of the above-described hydroxamic compounds for use in treating a neoplastic or immune disorder, as well as this therapeutic use and use of the compounds for the manufacture of a medicament for treating the disorder.
- the invention encompasses any pharmaceutically acceptable salts of any one of the above-described hydroxamic compounds.
- a modified compound of any one of such hydroxamic compounds including a modification having an improved (e.g., enhanced, greater) pharmaceutical solubility, stability, and/or bioavailability as compared to the unmodified compound is also contemplated.
- This invention also relates to a method of treating a neoplastic disorder (e.g., cancer, myelodysplastic syndrome, or myeloproliferative disease) by administering to a subject in need thereof an effective amount of one or more of the hydroxamic compounds, compositions, and/or salts and modifications thereof described above.
- a neoplastic disorder e.g., cancer, myelodysplastic syndrome, or myeloproliferative disease
- this invention relates to a method of treating an immune disease (e.g., rheumatoid arthritis and multiple sclerosis) by administering to a subject in need thereof an effective amount of one or more of the hydroxamic compounds, compositions, and/or salts and modifications thereof described above.
- an immune disease e.g., rheumatoid arthritis and multiple sclerosis
- Exemplary compounds described herein include, but are not limited, to the following:
- the cyclic amide L 1 (1) is coupled to appropriate ester to give intermediate (2) which will subsequently undergo a hydroxylamination reaction in NH 2 OH to afford hydroxamic acid ligand (3).
- the ligand (3) will react with K 2 PtCl 4 in an aprotic solvent such as NMP or DMF to give intermediate (4).
- Intermediate (4) will be converted to intermediate (5) in ammonium hydroxide solution.
- the intermediate (5) can react with an appropriate silver salt such as dicarboxylic acid salt to give the target product (6).
- the cyclic amide (1) is coupled to appropriate ester to give intermediate (2) which will subsequently undergo a hydroxylamination reaction in NH 2 OH to afford hydroxamic acid ligand (3).
- the ligand (3) will react with K 2 PtCl 4 in an aprotic solvent such as NMP or DMF to give intermediate (4).
- Intermediate (4) will be converted to intermediate (5) in ammonium hydroxide solution.
- the intermediate (5) can react with an appropriate silver salt such as dicarboxylic acid salt to give the target product (6).
- the starting material (1) undergoes a hydroxylamination reaction in NH 2 OH to afford intermediate (2), which can react with K 2 PtCl 4 and KI to give intermediate (3).
- the resulting intermediate (3) can react with HClO 4 to form oligomer (4) which subsequently reacts with NH 4 OH to provide the intermediate (5).
- the intermediate (5) can react with an appropriate silver salt such as dicarboxylic acid salt to give final compound (6).
- the reagent (1) can be prepared by reacting K 2 PtCl 4 and KI with trans-L-4-cyclohexene-1,2-diamine, which can be prepared according to the procedure similar to that described in J. Mem. Chem. 1987, vol. 30, 1327-1336.
- the starting material (1) can react with an appropriate silver salt such as dicarboxylic acid salt to give intermediate (2).
- the reagent (4) can be prepared by a hydroxylamination reaction of an appropriate halo-substituted ester (3) in NH 2 OH. The reaction of intermediate (2) and (4) will lead to final product (5).
- the starting material (1) a halo-substituted carboxylic acid
- carboxylic acid intermediate (2) can react with diethyl malonate to afford carboxylic acid intermediate (2), which can subsequently converted to a hydroxamic acid intermediate (3).
- Intermediate (3) can be hydrolyzed to intermediate (4) which can then be converted to a silver salt (5).
- the resulting silver salt (5) can react with an appropriate Pt(II) complex (6) to form the final compounds (7).
- the Pt(II) complex (6) can be prepared by reacting the K 2 PtCl 4 with KI and appropriate amine L 2 and L 3 .
- the starting material (1) a nitro-substituted 5-10 membered ring
- the resulting intermediate (3) can be easily converted to intermediate (4) and then intermediate (5) by standard organic synthesis techniques with high yield.
- the hydroxylamination of intermediate (5) in NH 2 OH can afford the final compound (6).
- the starting material (1) can react with L 1 -X 1 (e.g X 1 is Br) and 1-aziridineethanol leading to intermediate (2), which can be subsequently converted to intermediate (3) (for example, X 2 is —OSO 2 CH 3 ).
- intermediate (3) can be hydrolysized to an appropriate carboxylic acid (4) which will react with (COCl) 2 to afford the carboxylic acid chloride intermediate (5).
- the intermediate (5) will couple with appropriate ester leading to intermediate (6), which will undergone hydroxylamination reaction to afford final product (7).
- the starting material (1) can react with halide X—Z—(CH 2 ) m COOCH 3 to give intermediate (2), in which Z could be CH 2 , C(O), C(O)O, C(O)S, or SO 2 ,
- the intermediate (2) can be hydrolysized to carboxylic acid intermediate (3) which can be converted to the final product (4).
- the starting material (1) can react with halide X—Z—(CH 2 ) m COOCH 3 to give intermediate (2), in which Z could be CH 2 , C(O), C(O)O, C(O)S, or SO 2 ,
- Z could be CH 2 , C(O), C(O)O, C(O)S, or SO 2
- the hydroxylamination of intermediate (2) in NH 2 OH leads to the final compound (3).
- the NH 2 group of starting material (1) can be protected by reacting with silane, resulting the intermediate (2) which can couple with appropriate ester to produce the intermediate (3).
- the hydroxylamination of intermediate (3) in NH 2 OH can afford the intermediate (4).
- the deprotection of NH 2 in HCl leads to intermediate (5), which will subsequently converted to final product (6).
- the starting material (1) can react an appropriate ester to form intermediate (2), which will undergo the hydroxylamination in NH 2 OH can afford the final compound (3).
- the starting material (1) within this invention is typically a commercially available drug, such as Gemcitabine, Decitabine, Azacitidine (aza-C), TAS-106, Cytarabine, Enocitabine, or Sapacitabine.
- the starting material (1) can couple with an appropriate halide X—Z—(CH 2 ) m COOCH 3 (2) to afford intermediate (3), in which Z could be CO, C(O)NH, C(O)S, SO 2 , or CH 2 .
- Intermediate (3) can be then hydrolyzed to carboxylic acid intermediate (4), which can be subsequently one-step converted to hydroxamic acid under neutral pH condition.
- the starting material (1) within this invention is typically a commercially available drug, such as Gemcitabine, Decitabine, Azacitidine (aza-C), TAS-106, Cytarabine, Enocitabine, or Sapacitabine.
- the starting material (1) can couple with an appropriate ester (2) to afford intermediate (3), in which Z can be C(O), C(O)O, or C(O)S.
- the resulting intermediate (3) can be then hydrolyzed to carboxylic acid intermediate (4), which can be subsequently one-step converted to hydroxamic acid under neutral pH condition.
- the starting material (i) can couple with an appropriate ester (ii) to afford intermediate (iii), in which Z could be CO, C(O)S, C(O)O, C(O)NH, or SO 2 , or CH 2 .
- Intermediate (iv) can be then hydrolyzed to carboxylic acid intermediate (v), which can be subsequently one-step converted to hydroxamic acid under neutral pH condition.
- Compounds of the invention may contain one or more asymmetric carbon atoms. Accordingly, the compounds may exist as diastereomers, enantiomers or mixtures thereof.
- the syntheses of the compounds may employ racemates, diastereomers or enantiomers as starting materials or as intermediates. Diastereomeric compounds may be separated by chromatographic or crystallization methods. Similarly, enantiomeric mixtures may be separated using the same techniques or others known in the art.
- Each of the asymmetric carbon atoms may be in the R or S configuration and both of these configurations are within the scope of the invention.
- the invention further relates to a pharmaceutical composition for the treatment of a neoplastic disorder in a mammal which comprises a therapeutically-effective amount of the compound represented by Formula I, or a pharmaceutically acceptable salt, a hydrate, a solvate, a prodrug, an antive metabolite, a corresponding enantiomer, a corresponding racemate, or a corresponding diastereomer thereof.
- neoplastic disease is selected from the group consisting of lung cancer, head and neck cancer, central nervous system cancer, prostate cancer, testicular cancer, colorectal cancer, pancreatic cancer, liver cancer, stomach cancer, biliary tract cancer, esophageal cancer, gastrointestinal stromal tumor, breast cancer, cervical cancer, ovarian cancer, uterine cancer, leukemia, lymphomas, multiple myeloma, melanoma, basal cell carcinoma, squamous cell carcinoma, bladder cancer, renal cancer, sarcoma, mesothelioma, thymoma, myelodysplastic syndrome and myeloproliferative disease.
- chemotherapeutial agent can be used to treat immune diseases such as multiple sclerosis, rheumatoid arthritis and the suppression of transplant rejections.
- chemotherapeutial agent can be used to treat immune diseases such as multiple sclerosis, rheumatoid arthritis and the suppression of transplant rejections.
- Methotrexate a well known chemotherapeutical agent recently has come into use as a treatment for some autoimmune diseases, including ankylosing spondylitis, Crohn's disease, psoriasis, psoriatic arthritis, rheumatoid arthritis, and scleroderma.
- Another well-known drug Mitoxantrone is used to treat multiple sclerosis, most notably the subset known as secondary progressive multiple sclerosis.
- the DNA alkylating agent Cyclophosphamide has been used in various non-neoplastic autoimmune diseases such as systemic lupus erythematosus (SLE), minimal change disease, severe rheumatoid arthritis, Wegener's granulomatosis (with trade name Cytoxan), and multiple sclerosis (with trade name Revimmune). Therefore it is not difficult to imagine that a compound represented by Formula I could be used for treatment of an immune disease.
- SLE systemic lupus erythematosus
- minimal change disease severe rheumatoid arthritis
- Wegener's granulomatosis with trade name Cytoxan
- multiple sclerosis with trade name Revimmune
- the invention further relates to a pharmaceutical composition for the treatment of an immune disease in a mammal which comprises a therapeutically-effective amount of the compound of Formula I, or a pharmaceutically acceptable salt, a hydrate, a solvate, a prodrug, an antive metabolite, a corresponding enantiomer, a corresponding racemate, or a corresponding diastereomer thereof.
- the immune disease is selected from the group consisting of the rejection of transplanted organs and tissues, a graft-versus-host disease, a non-autoimmune inflammatory disease, and an autoimmune disease, wherein said autoimmune disease is selected from the group consisting of acute disseminated encephalomyelitis, addison's disease, ankylosing spondylitis, antiphospholipid antibody syndrome, autoimmune hemolytic anemia, autoimmune hepatitis, autoimmune inner ear disease, bullous pemphigoid, coeliac disease, chagas disease, chronic obstructive pulmonary disease, churg-strauss syndrome, dermatomyositis, Crohn's disease, diabetes mellitus type 1, endometriosis, goodpasture's syndrome, graves' disease, guillain-barré syndrome, hashimoto's disease, hidradenitis suppurativa, idiopathic thrombocytopenic purpura, intersti
- autoimmune disease
- Acyl means a carbonyl containing substituent represented by the formula —C(O)—R in which R is H, alkyl, a carbocycle, a heterocycle, carbocycle-substituted alkyl or heterocycle-substituted alkyl wherein the alkyl, alkoxy, carbocycle and heterocycle are as defined herein.
- Acyl groups include alkanoyl (e.g. acetyl), aroyl (e.g. benzoyl), and heteroaroyl.
- “Aliphatic” means a moiety characterized by a straight or branched chain arrangement of constituent carbon atoms and may be saturated or partially unsaturated with one or more double or triple bonds.
- alkyl refers to a straight or branched hydrocarbon containing 1-20 carbon atoms (e.g., C 1 -C 10 ). Examples of alkyl include, but are not limited to, methyl, methylene, ethyl, ethylene, n-propyl, i-propyl, n-butyl, i-butyl, and t-butyl.
- alkenyl refers to a straight or branched hydrocarbon containing 2-20 carbon atoms (e.g., C 2 -C 10 ) and one or more double bonds. Examples of alkenyl include, but are not limited to, ethenyl, propenyl, and allyl.
- alkynyl refers to a straight or branched hydrocarbon containing 2-20 carbon atoms (e.g., C 2 -C 10 ) and one or more triple bonds. Examples of alkynyl include, but are not limited to, ethynyl, 1-propynyl, 1- and 2-butynyl, and 1-methyl-2-butynyl.
- alkylamino refers to an —N(R)-alkyl in which R can be H, alkyl, alkenyl, alkynyl, cycloalkyl, cycloalkenyl, heterocycloalkyl, heterocycloalkenyl, aryl, or heteroaryl.
- Alkoxy means an oxygen moiety having a further alkyl substituent.
- Alkoxycarbonyl means an alkoxy group attached to a carbonyl group.
- Oxoalkyl means an alkyl, further substituted with a carbonyl group. The carbonyl group may be an aldehyde, ketone, ester, amide, acid or acid chloride.
- cycloalkyl refers to a saturated hydrocarbon ring system having 3 to 30 carbon atoms (e.g., C 3 -C 12 ).
- examples of cycloalkyl include, but are not limited to, cyclopropyl, cyclobutyl, cyclopentyl, cyclohexyl, cycloheptyl, and cyclooctyl.
- cycloalkenyl refers to a non-aromatic hydrocarbon ring system having 3 to 30 carbons (e.g., C 3 -C 12 ) and one or more double bonds. Examples include cyclopentenyl, cyclohexenyl, and cycloheptenyl.
- heterocycloalkyl refers to a nonaromatic 5-8 membered monocyclic, 8-12 membered bicyclic, or 11-14 membered tricyclic ring system having one or more heteroatoms (such as O, N, S, P, or Se).
- heterocycloalkyl groups include, but are not limited to, piperazinyl, pyrrolidinyl, dioxanyl, morpholinyl, and tetrahydrofuranyl.
- heterocycloalkenyl refers to a nonaromatic 5-8 membered monocyclic, 8-12 membered bicyclic, or 11-14 membered tricyclic ring system having one or more heteroatoms (such as O, N, S, P, or Se) and one or more double bonds.
- aryl refers to a 6-carbon monocyclic, 10-carbon bicyclic, 14-carbon tricyclic aromatic ring system.
- aryl groups include, but are not limited to, phenyl, naphthyl, and anthracenyl.
- heteroaryl refers to an aromatic 5-8 membered monocyclic, 8-12 membered bicyclic, or 11-14 membered tricyclic ring system having one or more heteroatoms (such as O, N, S, P, or Se).
- heteroaryl groups include pyridyl, furyl, imidazolyl, benzimidazolyl, pyrimidinyl, thienyl, quinolinyl, indolyl, and thiazolyl.
- Alkyl, alkenyl, alkynyl, cycloalkyl, heterocycloalkyl, cycloalkenyl, heterocycloalkenyl, alkylamino, aryl, and heteroaryl mentioned above include both substituted and unsubstituted moieties.
- alkylamino, cycloalkyl, heterocycloalkyl, cycloalkenyl, heterocycloalkenyl, aryl, and heteroaryl include, but are not limited to, C 1 -C 10 alkyl, C 2 -C 10 alkenyl, C 2 -C 10 alkynyl, C 3 -C 20 cycloalkyl, C 3 -C 20 cycloalkenyl, C 1 -C 20 heterocycloalkyl, C 1 -C 20 heterocycloalkenyl, C 1 -C 10 alkoxy, aryl, aryloxy, heteroaryl, heteroaryloxy, amino, C 1 -C 1 alkylamino, arylamino, hydroxy, halo, oxo (O ⁇ ), thioxo (S ⁇ ), thio, silyl, C 1 -C 10 alkylthio, arylthio, C 1 -C 10 alkylsulfon
- alkyl, alkenyl, or alkynyl include all of the above-recited substituents except C 1 -C 10 alkyl.
- Cycloalkyl, cycloalkenyl, heterocycloalkyl, heterocycloalkenyl, aryl, and heteroaryl can also be fused with each other.
- amino means a nitrogen moiety having two further substituents where each substituent has a hydrogen or carbon atom alpha bonded to the nitrogen.
- the compounds of the invention containing amino moieties may include protected derivatives thereof. Suitable protecting groups for amino moieties include acetyl, tert-butoxycarbonyl, benzyloxycarbonyl, and the like.
- Bioavailability is the fraction or percentage of an administered dose of a drug or pharmaceutical composition that reaches the systemic circulation intact. In general, when a medication is administered intravenously, its bioavailability is 100%. However, when a medication is administered via other routes (e.g., orally), its bioavailability decreases (e.g., due to incomplete absorption and first-pass metabolism). Methods to improve the bioavailability include prodrug approach, salt synthesis, particle size reduction, complexation, change in physical form, solid dispersions, spray drying, and hot-melt extrusion.
- bidentate ligand refers to a ligand having two coordination sites that can simultaneous binding to a metal atom such as Platinum.
- Some typical bidentate ligands are bidentate amine, bidentate carboxylate, bidentate thiocarboxylate, bidentate diphosphine, bidentate mercaptopyrimidine, and bidentate dithiocarboxylate.
- cyclic amine refers to a hydrocarbon ring wherein one carbon atom of the ring has been replaced by a nitrogen atom. Cyclic amine may contain one or more heteroatoms (such as O, N, S, P, or Se). The cyclic amine can be unsaturated, partially saturated, or fully saturated. The cyclic amine can also be bicyclic, tricyclic, and polycyclic. The cylic amine can be substituted or unsubstituted.
- cyclic amines examples include pyridine, pyridazine, pyrimidine, pyrazine, imidazole, pyrazole, pyrrole, oxazole, isoxazole, thiazole, thiadiazole, thiatriazole, indole, 1H-pyrrolo[2,3-c]pyridine, isoquinoline, and the like.
- “Aromatic” means a moiety wherein the constituent atoms make up an unsaturated ring system, all atoms in the ring system are sp2 hybridized and the total number of pi electrons is equal to 4n+2.
- An aromatic ring may be such that the ring atoms are only carbon atoms or may include carbon and non-carbon atoms (see Heteroaryl).
- Carbamoyl means the radical —OC(O)NRaRb where Ra and Rb are each independently two further substituents where a hydrogen or carbon atom is alpha to the nitrogen. It is noted that carbamoyl moieties may include protected derivatives thereof. Examples of suitable protecting groups for carbamoyl moieties include acetyl, tert-butoxycarbonyl, benzyloxycarbonyl, and the like. It is noted that both the unprotected and protected derivatives fall within the scope of the invention.
- Carbonyl means the radical —C(O)—. It is noted that the carbonyl radical may be further substituted with a variety of substituents to form different carbonyl groups including acids, acid halides, amides, esters, and ketones.
- Carboxy means the radical —C(O)O—. It is noted that compounds of the invention containing carboxy moieties may include protected derivatives thereof, i.e., where the oxygen is substituted with a protecting group. Suitable protecting groups for carboxy moieties include benzyl, tert-butyl, and the like.
- “Cyano” means the radical —CN.
- Forml means the radical —CH ⁇ O.
- Formimino means the radical —HC ⁇ NH.
- Halo means fluoro, chloro, bromo or iodo.
- Halo-substituted alkyl as an isolated group or part of a larger group, means “alkyl” substituted by one or more “halo” atoms, as such terms are defined in this Application.
- Halo-substituted alkyl includes haloalkyl, dihaloalkyl, trihaloalkyl, perhaloalkyl and the like.
- Haldroxy means the radical —OH.
- Imine derivative means a derivative comprising the moiety —C(NR)—, wherein R comprises a hydrogen or carbon atom alpha to the nitrogen.
- “Isomers” mean any compound having identical molecular formulae but differing in the nature or sequence of bonding of their atoms or in the arrangement of their atoms in space. Isomers that differ in the arrangement of their atoms in space are termed “stereoisomers”. Stereoisomers that are not mirror images of one another are termed “diastereomers” and stereoisomers that are nonsuperimposable mirror images are termed “enantiomers” or sometimes “optical isomers”. A carbon atom bonded to four nonidentical substituents is termed a “chiral center”. A compound with one chiral center has two enantiomeric forms of opposite chirality. A mixture of the two enantiomeric forms is termed a “racemic mixture”.
- Niro means the radical —NO 2 .
- Protected derivatives means derivatives of inhibitors in which a reactive site or sites are blocked with protecting groups. Protected derivatives are useful in the preparation of inhibitors or in themselves may be active as inhibitors. A comprehensive list of suitable protecting groups can be found in T. W. Greene, Protecting Groups in Organic Synthesis, 3rd edition, John Wiley & Sons, 1999.
- Substituted or unsubstituted means that a given moiety may consist of only hydrogen substituents through available valencies (unsubstituted) or may further comprise one or more non-hydrogen substituents through available valencies (substituted) that are not otherwise specified by the name of the given moiety.
- “Sulfide” means —S—R wherein R is H, alkyl, carbocycle, heterocycle, carbocycloalkyl or heterocycloalkyl. Particular sulfide groups are mercapto, alkylsulfide, for example methylsulfide (—S-Me); arylsulfide, for example phenylsulfide; aralkylsulfide, for example benzylsulfide.
- “Sulfinyl” means the radical —S(O)—. It is noted that the sulfinyl radical may be further substituted with a variety of substituents to form different sulfinyl groups including sulfinic acids, sulfinamides, sulfinyl esters, and sulfoxides.
- “Sulfonyl” means the radical —S(O)(O)—. It is noted that the sulfonyl radical may be further substituted with a variety of substituents to form different sulfonyl groups including sulfonic acids, sulfonamides, sulfonate esters, and sulfones.
- Thiocarbonyl means the radical —C(S)—. It is noted that the thiocarbonyl radical may be further substituted with a variety of substituents to form different thiocarbonyl groups including thioacids, thioamides, thioesters, and thioketones.
- Animal includes humans, non-human mammals (e.g., dogs, cats, rabbits, cattle, horses, sheep, goats, swine, deer, and the like) and non-mammals (e.g., birds, and the like).
- non-human mammals e.g., dogs, cats, rabbits, cattle, horses, sheep, goats, swine, deer, and the like
- non-mammals e.g., birds, and the like.
- Disease specifically includes any unhealthy condition of an animal or part thereof and includes an unhealthy condition that may be caused by, or incident to, medical or veterinary therapy applied to that animal, i.e., the “side effects” of such therapy.
- DNA alkylating agents are capable of forming DNA adducts or crosslinks between DNA strands conditions present in cells.
- Example of DNA alkylating agents include (1) Nitrogen mustards such as Cyclophosphamide, Mechlorethamine, Uramustine, Melphalan, Chlorambucil, and Ifosfamide; (2) Platinum-based chemotherapeutic drug such as Cisplatin, Carboplatin, Oxaliplatin, and Satraplatin. Platinum-based chemotherapeutic drug is frequently designated as an alkylating agent, but it has no alkyl group and cannot carry out alkylating reactions. It is correctly classified as alkylating-like.
- “Pharmaceutically acceptable” means that which is useful in preparing a pharmaceutical composition that is generally safe, non-toxic and neither biologically nor otherwise undesirable and includes that which is acceptable for veterinary use as well as human pharmaceutical use.
- “Pharmaceutically acceptable salts” means salts of compounds of the present invention which are pharmaceutically acceptable, as defined above, and which possess the desired pharmacological activity. Such salts include acid addition salts formed with inorganic acids, or with organic acids. Pharmaceutically acceptable salts also include base addition salts which may be formed when acidic protons present are capable of reacting with inorganic or organic bases.
- Prodrug means a compound that is convertible in vivo metabolically into an inhibitor according to the present invention.
- an inhibitor comprising a hydroxyl group may be administered as an ester that is converted by hydrolysis in vivo to the hydroxyl compound.
- “Stability” in general refers to the length of time a drug retains its properties without loss of potency. Sometimes this is referred to as shelf life. Factors affecting drug stability include, among other things, the chemical structure of the drug, impurity in the formulation, pH, moisture content, as well as environmental factors such as temperature, oxidization, light, and relative humidity. Stability can be improved by providing suitable chemical and/or crystal modifications (e.g., surface modifications that can change hydration kinetics; different crystals that can have different properties), excipients (e.g., anything other than the active substance in the dosage form), packaging conditions, storage conditions, etc.
- suitable chemical and/or crystal modifications e.g., surface modifications that can change hydration kinetics; different crystals that can have different properties
- excipients e.g., anything other than the active substance in the dosage form
- treating refers to administering a hydroxamic compound to a subject that has a neoplastic or immune disorder, or has a symptom of or a predisposition toward it, with the purpose to cure, heal, alleviate, relieve, alter, remedy, ameliorate, improve, or affect the disorder, the symptoms of or the predisposition toward the disorder.
- an effective amount refers to the amount of the active agent that is required to confer the intended therapeutic effect in the subject. Effective amounts may vary, as recognized by those skilled in the art, depending on route of administration, excipient usage, and the possibility of co-usage with other agents.
- a “subject” refers to a human and a non-human animal
- a non-human animal include all vertebrates, e.g., mammals, such as non-human primates (particularly higher primates), dog, rodent (e.g., mouse or rat), guinea pig, cat, and non-mammals, such as birds, amphibians, reptiles, etc.
- the subject is a human.
- the subject is an experimental animal or animal suitable as a disease model.
- the compounds of the present invention may be present and optionally administered in the form of salts, solvates and prodrugs that are converted in vivo into the compounds of the present invention.
- Prodrug derivatives of compounds according to the present invention can be prepared by modifying substituents of compounds of the present invention that are then converted in vivo to a different substituent. It is noted that in many instances, the prodrugs themselves also fall within the scope of the range of compounds according to the present invention.
- prodrugs can be prepared by reacting a compound with a carbamylating agent (e.g., 1,1-acyloxyalkylcarbonochloridate, para-nitrophenyl carbonate, or the like) or an acylating agent. Further examples of methods of making prodrugs are described in Saulnier et al. (1994), Bioorganic and Medicinal Chemistry Letters, Vol. 4, p. 1985.
- the invention further encompasses pharmaceutical compositions comprising any solid or liquid physical form of the compound of the invention.
- the compounds can be in a crystalline form, in amorphous form, and have any particle size.
- the particles may be micronized, or may be agglomerated, particulate granules, powders, oils, oily suspensions or any other form of solid or liquid physical form.
- solubilizing the compounds may be used. Such methods are known to those of skill in this art, and include, but are not limited to, using cosolvents, such as dimethylsulfoxide (DMSO), using surfactants, such as TWEEN, or dissolution in aqueous sodium bicarbonate.
- cosolvents such as dimethylsulfoxide (DMSO)
- surfactants such as TWEEN
- compositions may be used in conjunction with the compounds of the present invention.
- Such compositions may include, in addition to the compounds of the present invention, conventional pharmaceutical excipients, and other conventional, pharmaceutically inactive agents.
- the compositions may include active agents in addition to the compounds of the present invention.
- These additional active agents may include additional compounds according to the invention, or one or more other pharmaceutically active agents.
- compositions of the present invention may be in the form of controlled release or immediate release formulations.
- compositions comprising the compounds of the present invention may be administered or coadministered orally, parenterally, intraperitoneally, intravenously, intraarterially, transdermally, sublingually, intramuscularly, rectally, transbuccally, intranasally, liposomally, via inhalation, vaginally, intraoccularly, via local delivery (for example by catheter or stent), subcutaneously, intraadiposally, intraarticularly, or intrathecally.
- the compounds and/or compositions according to the invention may also be administered or coadministered in slow release dosage forms.
- Compositions may be in gaseous, liquid, semi-liquid or solid form, formulated in a manner suitable for the route of administration to be used.
- suitable solid oral formulations include tablets, capsules, pills, granules, pellets, sachets and effervescent, powders, and the like.
- suitable liquid oral formulations include solutions, suspensions, dispersions, emulsions, oils and the like.
- reconstitution of a lyophilized powder is typically used.
- hydroxamic acid derivative according to the present invention may be synthesized according to a variety of reaction schemes. Some illustrative schemes are provided herein in the example. Other reaction schemes could be readily devised by those skilled in the art.
- Step 1 A mixture of starting material 6-methylpyridin-3-ol (30 mmol), ethyl 7-bromoheptanoate (30 mmol) and potassium carbonate (100 mmol) in DMF (80 mL) was stirred at 60° C. for 3 hours. After reaction the mixture was filtrated. The filtrate was concentrated in vacuo and the residue was dissolved in dichloromethane and washed with brine twice. The organic phase was dried over sodium sulfate, filtered and concentrated to give (2).
- Step 2 The freshly prepared hydroxylamine solution (60 mL, 220 mmol) was placed in 100 mL flask. Compound (2) (20 mmol) was added to this solution and stirred at 25° C. for 24 hours. After reaction the mixture was neutralized with acetic acid, and the resulting precipitate was isolated, washed with water, and dried to give the title intermediate (3).
- Step 3 K 2 PtCl 4 was ground into a very fine powder with a mortar and pestle 8.4 mmole of K 2 PtCl 4 was placed in a 25 mL round bottom flask and 6-7 mL of dry NMP was added. 10 mmoles of intermediate (3) was placed in 3-4 mL of NMP and divided in 5 equal portions. The first portion of intermediate (3) was added to the Pt mixture. The mixture was completely immersed in a 60 degree C. oil bath and stirred at 1200 rpm. Subsequent portions of intermediate (3) were added at 30-35 minutes intervals. The rate of intermediate (3) addition was 20% every 30-35 minutes. After the addition of the last portion, the reaction was allowed to proceed for another 50 to 60 minutes.
- reaction solution was orange in color at the end of the reaction.
- the reaction solution was allowed to cool to ambient temperature.
- 100 mL of methylene chloride was added to the reaction at ambient temperature.
- the addition of methylene chloride caused the precipitation of compound 4 and KCl.
- the precipitate was collected by vacum filtration using a glass frit and washed with methylene chloride (3 ⁇ 5 mL), followed diethyl ether (3 ⁇ 5 mL). The precipitate was dried under vacuum at ambient temperature for 16-24 hours to afford intermediate (4).
- Step 4 6 g (10 mmoles) of intermediate (4) was placed in a 25 mL round bottom flask and 10 mL of 2.5 N KCl solution added. 60 mmoles of ammonium acetate trihydrate was dissolved in 25 mL of 2.5 N ammonium hydroxide solution and added to the stirring Pt mixture. The total volume of the reaction was about 35 mL. The mixture was immersed in a 45 degree C. oil bath and was stirred for 1 hour in the dark at >1000 rpm. The yellow precipitate was collected by vacuum filtration using a glass frit and washed with water (2 ⁇ 5 mL) and acetone (3 ⁇ 5 mL). The precipitate was dried under vacuum at ambient temperature for 16-24 hours to afford intermediate 5.
- Step 5 Intermediate 5 (4 mmol) was mixed with Ag 2 CBDCA (5 mmol) in 200 ml of H 2 O for overnight in the dark. After removal of AgI by filtration through celite, the solution was evaporated to about 2 ml under reduced pressure. The precipitate was filtered, washed with water and acetone, and dried in vacuum to afford the final product (6).
- Step 1 To a solution of the starting material (1) (20 mmol) in diethylether (60 mL) at 0° C. ethylchloroformate (24 mmol) and N-methylmorpholine (26 mmol) were added and the mixture was stirred for 10 min. The solid was filtered off and the filtrate was added to freshly prepared hydroxylamine (30 mmol) in methanol. The reaction mixture was stirred at room temperature for 15 min. The solvent was evaporated to obtain the final product with a purity of at least 99% area by HPLC.
- Step 2 An aqueous solution of K 2 PtCl 4 , (20 mmol) was treated with KI (200 mmol) and stirred for 10 min at room temperature. Two equivalents of intermediate (2) was added dropwise to the resulting K 2 PtI 4 , solution. Upon stirring for 30 min, the yellow precipitate was filtered and washed extensively with water. The precipitate was recrystallized from the DMF/H 2 O mixture. After washing with water, methanol, and diethyl ether, the intermediate (3) was dried in vacuum.
- Step 3 To a suspension of intermediate (3), (10 mmol) in 50 ml of H 2 O containing 10 ml of 68-70% HClO 4 was added 150 ml of ethanol. In the course of the reaction samples were taken for Pt NMR spectroscopic analysis. At the end of four days of stirring at room temperature the brown precipitate was filtered, washed with water, and dried in vacuum to afford intermediate (4).
- Step 4 The intermediate (4) (5 mmol) was mixed with 5 ml of 1.5 M NH 4 OH in 25 ml of H 2 O. The mixture was stirred at room temperature overnight. Again the completeness of the reaction was monitored by Pt NMR spectroscopy. The yellow precipitate was filtered, washed with water, and dried in vacuo to afford intermediate (5).
- Step 5 The intermediate (5) (4 mmol) was mixed with Ag 2 CBDCA (5 mmol) in 200 ml of H 2 O for overnight in the dark. After removal of AgI by filtration through celite, the solution was evaporated to about 2 ml under reduced pressure. The precipitate was filtered, washed with water and acetone, and dried in vacuum to afford the final intermediate.
- Step 1 (Synthesis of 2) Aqueous NaOH (20 mmol) was added to 10 mmol of the 1 dissolved in a small quantity of water. 20 mmol of AgNO 3 was then added to the sodium dicarboxylate solution in the dark. A white precipitate formed immediately. The mixture was stirred for 15-30 min and the silver compound 2 was filtered, washed with water, dried in air and finally in a dessicator.
- Step 2 (Synthesis of 3) Compound 2 and 5 were mixed together in water in a 1:1 proportion. The mixture was stirred in the dark during 2 ⁇ 3 days until the formation of AgI was complete. The yellow precipitate was filtered out and the filtrate was evaporated to dryness.
- Step 3 (Synthesis of 4) To a sonicated solution of 3 (1 equiv.) and iodide 6 (2 equiv.) in aqueous EtOH (70% v/v) was added CuI (2 equiv.) and Zn (6 equiv.). After a few minutes, more aqueous EtOH (70% v/v) was added and sonication was continued for 45-90 min. The mixture was diluted with Et 2 O, sonicated for 10 min, and filtered through a short pad of Celite, washing the solids with EtOAc 3 times. The combined organic phases were washed with brine, dried (MgSO 4 ), filtered, and concentrated under reduced pressure.
- Step 4 (Synthesis of 5) 34.4 g of potassium tetrachloroplatinate were dissolved in 275 ml of water. A solution of 80.1 g of KI in 140 ml of water was prepared. Both solutions were mixed for 15 min to obtain a mixed solution, which was then added to an aqueous solution previously prepared with 10 g of trans-L-4-cyclohexene-1,2-diamine having an optical purity of at least 99.9% area by HPLC in 30 ml of water.
- reaction solution was stirred at rt for 10 h to form crude cis-diiodo-(trans-L-4-cyclohexene-1,2-diamine) Pt (II) complex, which was filtered off from the reaction solution as a precipitate and washed 3 times with 55 ml of water.
- the precipitate was then re-suspended in 220 ml of water for 15 min and filtered off from the suspension, and washed with water until halogen ions were not detected.
- the washed precipitate was suspended in 45 ml of a solution previously prepared with 50% of dimethylformamide and 50% of water for 15 min.
- the suspended precipitate was filtered off from the suspension, washed 3 times with 10 ml of the solution 50% from the dimethylformamide/water, then washed 3 times with 30 ml of water and finally washed 3 times with 20 ml of acetone to obtain 5, which was dried under vacuum at 25 ⁇ 30° C. for 12 h to obtain pure 5.
- Step 1 (Synthesis of 2) Sodium ethoxide (solution in ethanol) (200 mmol) was cooled to 0° C. Diethyl malonate (11.5 ml, 100 mmol) was slowly added and stirring was continued for 30 min at 0° C. 1 (100 mmol) was then added slowly. The mixture was allowed to warm to rt and then heated to reflux for another 3 h. After the solvent was evaporated under reduced pressure, the residue was treated with 200 ml of 1N HCl. The white precipitate was filtered, washed with water and dried.
- Step 2 (Synthesis of 3) To a solution of the acid 2 (80 mmol) in ether (200 ml) at 0° C., ethylchloroformate (10.4 g, 96 mmol) and N-methylmorpholine (10.4 g, 10.4 mmol) were added and the mixture was stirred for 10 min. The solid was filtered off and the filtrate was added to freshly prepared hydroxylamine (4.0 g, 120 mmol) in methanol. The reaction mixture was stirred at rt for 15 min. The solvent was evaporated and the residue was purified by silica gel column chromatography to obtain 3.
- Step 3 (Synthesis of 4) A solution of 3 (15 mmol) in MeOH (200 ml) was added NaOMe (2.5 g, 45 mmol). The reaction solution was stirred at rt for 24 h. Then the mixture was added with HCl solution (1.4 mol/L) to pH 6.5 and evaporated. The residue was recrysallized from ethyl acetate to provide 4.
- Step 4 (Synthesis of 5) Aqueous NaOH (20 mmol) was added to 10 mmol of the 4 dissolved in a small quantity of water. 20 mmol of AgNO 3 was then added to the sodium dicarboxylate solution in the dark. A white precipitate formed immediately. The mixture was stirred for 15-30 min and the silver compound 5 was filtered, washed with water, dried in air and finally in a dessicator.
- Step 5 Synthesis of 7-A and 7-B: Compound 5 and 6-A (or 6-B) were mixed together in water in a 1:1 proportion. The mixture was stirred in the dark during 2-3 days until the formation of AgI was complete. The yellow precipitate was filtered out and the filtrate was evaporated to dry.
- Step 6 Synthesis of 6-B
- 34.4 g of potassium tetrachloroplatinate were dissolved in 275 ml of water.
- a solution of 80.1 g of KI in 140 ml of water was prepared. Both solutions were mixed for 15 min to obtain a mixed solution, which was then added to an aqueous solution previously prepared with 10 g of trans-L-1,2-cyclohexanediamine having an optical purity of at least 99.9% area by HPLC in 30 ml of water.
- reaction solution was stirred at rt for 10 h to form crude cis-diiodo-(trans-L-1,2 cyclohexanediamine) Pt (II) complex, which was filtered off from the reaction solution as a precipitate and washed 3 times with 55 ml of water.
- the precipitate was then re-suspended in 220 ml of water for 15 min and filtered off from the suspension, and washed with water until halogen ions were not detected.
- the washed precipitate was suspended in 45 ml of a solution previously prepared with 50% of dimethylformamide and 50% of water for 15 min.
- the suspended precipitate was filtered off from the suspension, washed 3 times with 10 ml of the solution 50% from the simethylformamide/water, then washed 3 times with 30 ml of water and finally washed 3 times with 20 ml of acetone to obtain 6-B, which was dried under vacuum at 25 ⁇ 30° C. for 12 h to obtain pure 6-B.
- the pure 6-B complex obtained had a m.p. between 275-300° C., an optical purity of at least 99.5% area by HPLC, and a weight of 37.0 g.
- Q is an aryl or heteroaryl
- Ketone enolates (10 mmol) were formed using lithium diisopropylamide (1.1 equivalents) as base to react with Ketone. Under the conditions used (0° C., THF solution) 1.1 equivalents of acyl cyanide 2 in THF added in one portion to the enolate solution, acylation of the enolate was rapid, and no complications arose from competing acylation of diisopropylamine.
- Q is an aryl or heteroaryl
- Step 1 Methylamine (40% w/w solution; 34 mL) was added to a solution of 1-chloro-2,4-dinitrobenzene (12.3 g, 61 mmol) in ethanol (120 mL), at 0° C. The mixture was stirred at room temperature for 15 h. The solvent was evaporated under reduced pressure and the brown oil residue was treated with hot water. The precipitate was filtered and dried to yield over 95% yield of 1.
- Step 2 Pd/C (10%) was added to a solution of (2,4-dinitrophenyl)methylamine 1 (12.14 g, 60.9 mmol) in acetonitrile (35 mL) and triethylamine (36.4 mL). The mixture was cooled to ⁇ 15° C. and then formic acid (11.1 mL) in acetonitrile (35 mL) was added. The mixture was refluxed for 3 h and then filtered. The solvent was evaporated under reduced pressure to yield the products 2 as red liquid in over 95% yield.
- Step 3 Mix product 2 (1.0 eq.) and desired anhydride (1.1 eq.) in chloroform and stir for overnight. The solvent was removed under reduced pressure to yield the crude product 3 in over 95% yield.
- Step 4 A solution of 3 (5.0 mmol) in EtOH (50 mL) and Pd/C (0.5 mmol) were stirred under H2 for 4 h at room temperature. EtOH was removed under reduced pressure and the residue extracted with CH 2 Cl 2 . The organic layer was washed with NaCl solution, distilled H 2 O and dried with Na 2 SO 4 . The solvent was evaporated and the residue was purified by flash chromatography.
- Step 5 4 (4.2 mmol) and AcOH (25 mL) was added in H 2 O (25 mL). The mixture was added dropwise oxirane slowly and stirred for 3 h at 10° C. Then the solution was stirred for overnight at room temperature. The mixture was poured into ice-cold H 2 O and distilled H 2 O and dried with Na 2 SO 4 . The solvent was evaporated and the residue was purified by flash chromatography.
- Step 6 A solution of 5 (3.5 mmol) in CHCl 3 (30 mL) was added dropwise SOCl 2 (4.5 mmol) for 1 h while ice-cooling. This reaction solution was stirred at room temperature for 4 h. The reaction mixture was washed with H 2 O and the saturated NaHCO 3 solution. The organic phase was dried over MgSO 4 . The solvent was evaporated and the residue was purified by flash chromatography.
- Step 7 To a solution of the acid 6 (10 mmol) in diethylether (30 mL) at 0° C. ethylchloroformate (1.3 g, 12 mmol) and N-methylmorpholine (1.3 g, 13 mmol) were added and the mixture was stirred for 10 min. The solid was filtered off and the filtrate was used in the next step.
- Step 8 the filtrate was added to freshly prepared hydroxylamine (0.5 g, 15 mmol) in methanol. The reaction mixture was stirred at room temperature for 15 min. The solvent was evaporated and the residue was purified by silica gel column chromatography to obtain the final product 8.
- Q is an aryl or heteroaryl substituted with at least one nitro group
- Step 1 A stirred solution of 1 (500 mg, 1.65 mmol) in DMF (1 mL) at 0° C. was treated with LiBr (1.65 mmol), followed dropwise by 1-aziridineethanol (0.33 mL, 4.12 mmol). The mixture was warmed to room temperature for 16 h, then diluted with saturated aqueous NaCl (40 mL) and refrigerated. The collected precipitate was purified by chromatography on silica gel, followed by recrystallization to provide 2 (yield, ⁇ 60%).
- Step 2 A stirred solution of 2 (1.64 mmol) in CH 2 Cl 2 (10 mL) containing pyridine (0.34 mL, 4.28 mmol) was treated dropwise at 0° C. with a solution of (MsO) 2 O (372 mg, 2.14 mmol) in CH 2 Cl 2 (15 mL). The reaction mixture was allowed to warm temperature for 1 h, then treated with saturated aqueous NaHCO 3 (10 mL) and stirred for a further 0.5 h. The organic phase was washed with 1N aqueous AcOH and water, then dried and evaporated under reduced pressure. Chromatography on silia gel, followed by recrystallization to gave 3 (yield, ⁇ 70%).
- Step 3 A solution of 3 (1.38 mmol) in TFA (3 mL) was stirred at room temperature for 2 h, then concentrated to small volume (not to dryness) under reduced pressure. It was then partitioned between EtOAc and water, and the organic phase was dried and evaporated under reduced pressure. Trituration of the residue with iPr 2 O and by recrystallization of the resulting solid from EtOAc/hexane gave 4 as a yellow solid (yield, ⁇ 88%).
- Step 4,5 A suspension of 4 (0.73 mmol) in CH 2 Cl 2 (5 mL) was treated with oxalyl chloride (0.12 mL, 1.40 mmol) and DMF (one drop), and stirred at room temperature for 1.5 h. Evaporation of the volatiles under reduced pressure below 30° C., followed by azeotroping with benzene, gave the crude acid chloride. A solution of this in DMF (1 mL) was added dropwise to a stirred solution of hydroxamic acid 5 (1.10 mmol) and DIPEA (14.2 mg, 1.10 mmol) in dioxane/THF (1:1) (2 mL) at ⁇ 5° C. The mixture was stirred at 0° C.
- Q is a phosphorus-containing heterocycloalkyl
- Step 1 Solid 1 (0.02 mol) was dissolved in dry DMA (48 mL). To the resulting solution were then added reagent A (0.03 mol) and BaO (3.13 g, 0.02 mol), and the mixture was stirred at 55° C. for 24 h. After being cooled to room temperature, the mixture was poured into CH 2 Cl 2 (500 mL) and MeOH (15 mL). The solid was collected, resuspended in H 2 O, filtered again, washed with MeOH, and dried in vacuo at 100° C. to obtain solid, followed by recrystallization to afford compound 2.
- Step 2 A solution of 2 (15 mmol) in MeOH (200 mL) was added NaOMe (2.5 g, 45 mmol). The reaction solution was stirred at room temperature for 24 h. Then the mixture was added with the HCl solution (1.4 mol/L) to pH 6.5 and evaporated. The residue was recrystallized from ethyl acetate to afford 3.
- Step 3 To a solution of the acid 3 (10 mmol) in diethylether (30 mL) at 0° C. ethylchloroformate (1.3 g, 12 mmol) and N-methylmorpholine (1.3 g, 13 mmol) were added and the mixture was stirred for 10 min. The solid was filtered off and the filtrate was added to freshly prepared hydroxylamine (0.5 g, 15 mmol) in methanol. The reaction mixture was stirred at room temperature for 15 min. The solvent was evaporated and the residue was purified by silica gel column chromatography to obtain the final product 4.
- Step a Into a cold (5° C.) solution containing 5-Fluorouracil (1.30 g, 0.01 mol) in 40 mL of pyridine, phosgene (2.97 g, 0.03 mol) was bubbled over a 1 hour period at 10° C. Nitrogen gas was passed through to expel the excess phosgene.
- Step b NH 2 —(CH 2 ) n —COOCH 3 (1.01 g, 0.01 mol) was then added, and the mixture was stirred for 1 h. The resulting pyridine hydrochloride was filtered off and the resulting mixture was evaporated to dryness. The residue, taken up in 50 mL of chloroform, was washed with hydrochloric acid solution. The chloroform solution was then dried (Na 2 SO 4 ) and evaporated to afford the target.
- Step c A mixture of solution of 2 and a solution of 1.76 M NH 2 OH—HCl in MeOH was stirred at room temperature overnight. The reaction mixture was neutralized by adding 1 N HCl aqueous solution (pH 7) at 0° C. The solid precipitated was collected by filtration, washed with H 2 O and Et 2 O, dried under vacuum, and crystallized from MeOH/CH 2 Cl 2 to afford to target compound.
- W 2 is CF
- R 8 , R 10 , and R 12 are H were synthesized according to the synthetic scheme below.
- Hydroxamic acid is a well know metal-chelating agent, especially for Zn atom.
- the hydroxamic acid moiety has been demonstrated as the key structural element in many highly potent and selective inhibitors against a variety of metalloenzymes, such as matrix metalloproteinases (MMP), tumor necrosis factor- ⁇ converting enzyme (TACE), Histone Deacetylase (HDAC), Peptidyl deformylase (PDF), A Disintegrin And Metalloproteinase (ADAM), UDP-3-O—[R-3-hydroxymyristoyl]-GlcNAc deacetylase, Clostridium Histolytium Collagenase (ChC), Procollagen C-Proteinase (PCP), and Aggrecanase.
- MMP matrix metalloproteinases
- TACE tumor necrosis factor- ⁇ converting enzyme
- HDAC Histone Deacetylase
- PDF Peptidyl deformylase
- ADAM A Dis
- the buffer used in this assay is 25 mM HEPES, pH 8.0, 137 mM NaCl, 2.7 mM KCl, 1 mM MgCl 2 and the subtrate is Boc-Lys(Ac)-AMC (Fluor-de-Lys substrate, Cat. # KI-104) in a 50 mM stock solution in DMSO.
- the enzyme stock solution is 4 ⁇ g/mL in buffer.
- the compounds are pre-incubated (2 ⁇ l in DMSO diluted to 13 ⁇ l in buffer for transfer to assay plate) with enzyme (20 ⁇ l of 4 ⁇ g/ml) for 10 minutes at room temperature (35 ⁇ l pre-incubation volume).
- the mixture is pre-incubated for 5 minutes at room temperature.
- the reaction is started by bringing the temperature to 37° C. and adding 16 ⁇ l substrate. Total reaction volume is 50 ⁇ l.
- the reaction is stopped after 20 minutes by addition of 50 ⁇ l developer, prepared as directed by Biomol (Fluor-de-Lys developer, Cat. # KI-105).
- Such assays carried out with a range of doses of test compounds, allow the determination of an approximate IC50 value.
- the HDAC inhibitor SAHA was used as reference compound.
- All compounds exemplified in the application show inhibitory activity against one or more of HDAC-1, HDAC-2, HDAC-3, HDAC-4, HDAC-5, HDAC-6, HDAC-7, HDAC-8, HD AC-9, HDAC-10, and HDAC-11.
- Cell antiproliferation was assayed by PerkinElmer ATPliteTM luminescence assay System.
- the cancer cell lines were plated at 10 k cells per well in Costar 96-well plates with different concentration of compounds for 72 hours with 5% FBS. After that, one lyophilized substrate solution vial was reconstituted by adding 5 mL of substrate buffer solution and was agitated gently until the solution is homogeneous. 50 ⁇ L of mammalian cell lysis solution was added to 100 ⁇ L of cell suspension per well of a microplate and the plate was shaken for five minutes in an orbital shaker at 700 rpm. This procedure will lyses the cells and stabilizes the ATP.
- the following table lists the IC50 values of the Bendamustien and its hydroxamic acid derivative CY190602 in the cell anti-proliferative assays.
- the present inventors have surprisingly found that, in many cancer cell lines such as RPMI8226, MM1R, and MM1S, the anti-tumor activities of the hydroxamic acid derivative are significantly better than the parental drug Bendamustine.
Landscapes
- Chemical & Material Sciences (AREA)
- Organic Chemistry (AREA)
- Health & Medical Sciences (AREA)
- Veterinary Medicine (AREA)
- Pharmacology & Pharmacy (AREA)
- Life Sciences & Earth Sciences (AREA)
- Animal Behavior & Ethology (AREA)
- General Health & Medical Sciences (AREA)
- Public Health (AREA)
- Medicinal Chemistry (AREA)
- Nuclear Medicine, Radiotherapy & Molecular Imaging (AREA)
- General Chemical & Material Sciences (AREA)
- Chemical Kinetics & Catalysis (AREA)
- Immunology (AREA)
- Epidemiology (AREA)
- Engineering & Computer Science (AREA)
- Bioinformatics & Cheminformatics (AREA)
- Hematology (AREA)
- Oncology (AREA)
- Pharmaceuticals Containing Other Organic And Inorganic Compounds (AREA)
- Organic Low-Molecular-Weight Compounds And Preparation Thereof (AREA)
- Acyclic And Carbocyclic Compounds In Medicinal Compositions (AREA)
- Saccharide Compounds (AREA)
- Pyridine Compounds (AREA)
- Nitrogen- Or Sulfur-Containing Heterocyclic Ring Compounds With Rings Of Six Or More Members (AREA)
Abstract
Description
In Formula I, Z is deleted, C(RaRb), O, S, C(O), N(Ra), SO2, OC(O), C(O)O, OSO2, S(O2)O, C(O)S, SC(O), C(O)C(O), C(O)N(Ra), N(Ra)C(O), S(O2)N(Ra), N(Ra)S(O2), OC(O)N(Ra), N(Ra)C(O)O, N(Ra)C(O)S, or N(Ra)C(O)N(Rb), in which each of Ra and Rb, independently, is H, alkyl, alkenyl, or alkynyl; m is 5, 6, 7, 8, 9, 10, 11, 12, 13, 14, 15, or 16; and P is a platinum-containing moiety,
in which each of X1 and X2 independently, is halo or OSO2Rc, in which Rc is alkyl, alkenyl, or alkynyl; Q is a cycloalkyl, heterocycloalkyl, cycloalkenyl, heterocycloalkenyl, aryl, or heteroaryl, each of which, independently, is optionally substituted with alkyl, alkenyl, alkynyl, cycloalkyl, heterocycloalkyl, cycloalkenyl, heterocycloalkenyl, aryl, heteroaryl, halo, nitro, oxo, —C═NH, cyano, ORd, OC(O)Rd, OC(O)ORd, OC(O)SRd, SRd, C(O)Rd, C(O)ORd, C(O)SRd, C(O)NReRf, SORd, SO2Rd, NReRf, or N(Re)C(O)Rf, in which each of Rd, Re, and Rf, independently, is H, alkyl, alkenyl, alkynyl, cycloalkyl, heterocycloalkyl, aryl, heteroaryl, halo, cyano, nitro, hydroxy, or alkoxy; each of W1 and W2 is CRg or N in which Rg is H, halo, alkyl, alkenyl, or alkynyl; and each of R1, R2, R3, R4, R5, R6, R7, R8, R9, R10, R11, and R12, independently, is H, alkyl, alkenyl, alkynyl, cycloalkyl, heterocycloalkyl, cycloalkenyl, heterocycloalkenyl, aryl, heteroaryl, halo, cyano, nitro, oxo, —C═NH, ORd, OC(O)Rd, OC(O)ORd, OC(O)SRd, SRd, C(O)Rd, C(O)ORd, C(O)SRd, C(O)NReRf, SORd, SO2Rd, NReRf, or N(Re)C(O)Rf.
in which L1 is a cyclic amine; each of L2 and L3 independently, is NHR13R14, L1, or L2 and L3 together form a bidentate amine, in which each of R13 and R14, independently is H, alkyl, alkenyl, alkynyl, cycloalkyl, heterocycloalkyl, cycloalkenyl, heterocycloalkenyl, aryl, or heteroaryl, each of which, independently, is optionally substituted with alkyl, alkenyl, alkynyl, cycloalkyl, heterocycloalkyl, cycloalkenyl, heterocycloalkenyl, aryl, heteroaryl, halo, nitro, oxo, —C═NH, cyano, ORd, OC(O)Rd, OC(O)ORd, OC(O)SRd, SRd, C(O)Rd, C(O)ORd, C(O)SRd, C(O)NReRf, SORd, SO2Rd, NReRf, or N(Re)C(O)Rf; each R15, independently, is H, alkyl, alkenyl, alkynyl, cycloalkyl, heterocycloalkyl, cycloalkenyl, heterocycloalkenyl, aryl, heteroaryl, halo, cyano, nitro, oxo, —C═NH, ORd, OC(O)Rd, OC(O)ORd, OC(O)SRd, SRd, C(O)Rd, C(O)ORd, C(O)SRd, C(O)NReRf, SORd, SO2Rd, NReRf, or N(Re)C(O)Rf; n is 0, 1, 2, or 3; and each of A1, A2, A3, A4, A5, and A6, independently, is halo, hydroxy, carboxylate, alkoxy, or A1 and A2, A3 and A4, or A5 and A6 together form a bidentate carboxylate, alkoxycarboxylate, phosphonocarboxylate, diphosphonate, or sulphate. In these compounds, P can also be
in which W1 can be CH or N, and each of R4, R5, R6, and R7, independently, can be H, alkyl, alkenyl, alkynyl, C(O)Rd, C(O)ORd, C(O)SRd, halo, hydroxy, or cyano; W2 can be CH, CF, or N, and each of R8, R9, R10, R11, and R12, independently, can be H, alkyl, alkenyl, alkynyl, halo, hydroxy, cyano, ORd, OC(O)Rd, OC(O)ORd, OC(O)SRd, C(O)Rd, C(O)ORd, or C(O)SRd.
can be prepared according to general Scheme 1 below. L1, A1, A2, m, and Z in general Scheme 1 are the same as those described in the Summary section above.
can be prepared according to general Scheme 2 below. R15, n, A1, A2, m, and Z in general Scheme 2 are the same as those described in the Summary section above.
can be prepared according to general Scheme 3 below. A3 and A4, m, and Z in general Scheme 3 are the same as those described in the Summary section above.
can be prepared according to general Scheme 4 below. A5 and A6, m, and Z in general Scheme 4 are the same as those described in the Summary section above.
can be prepared according to general Scheme 5 below. L2 and L3, m, and Z in general Scheme 5 are the same as those described in the Summary section above.
can be prepared according to general Scheme 6 below. X1, X2, Z, and m in general Scheme 6 are the same as those described in the Summary section above.
can be prepared according to general Scheme 7 below. X1, X2, Z, and m in general Scheme 8 are the same as those described in the Summary section above.
can be prepared according to general Scheme 8 below. X1, X2, Z, and m in general Scheme 7 are the same as those described in the Summary section above.
can be prepared according to general Scheme 9. m and Z in general Scheme 9 are the same as those described in the Summary section above.
can be prepared according to general Scheme 10 below. Z and m in general Scheme 10 are the same as those described in the Summary section above.
(for example R3═H) can be prepared according to general Scheme 11 below. Z and m in general Scheme 11 are the same as those described in the Summary section above.
can be prepared according to general Scheme 12. W1, R4, R5, R6, R7, Z and m in general Scheme 12 are the same as those described in the Summary section above.
can be prepared according to general Scheme 13. W2, R8, R9, R10, R11, R12, Z and m in general Scheme 13 are the same as those described in the Summary section above.
wherein W2 is CF, R8, R10, and R12 are H, can be prepared according to general Scheme 14 below. R9, R11, Z and m in general Scheme 14 are the same as those described in the Summary section above.
were synthesized according to the synthetic scheme below. In this example, Q is an aryl or heteroaryl
were synthesized according to the synthetic scheme below. In this example, Q is an aryl or heteroaryl
were synthesized according to the synthetic scheme below. In this example, Q is an aryl or heteroaryl substituted with at least one nitro group
were synthesized according to the synthetic scheme below. In this example, Q is a phosphorus-containing heterocycloalkyl
| m/z | |
| Structure | [M + 1]+ |
| | 433 |
| | 431 |
Biological Assays:
(a) Inhibition of Histone Deacetylase Enzymatic Activity
| Bendamustine |
| The Parental DNA Alkylating Drug |
|
|
| HDAC subtype | CY190602 (nM) | |
| HDAC-1 | 17 | |
| HDAC-2 | 9 | |
| HDAC-3 | 25 | |
| HDAC-6 | 6 | |
| HDAC-8 | 107 | |
| HDAC-10 | 72 | |
| CY190602 |
| Hydroxamic Derivative of Bendamustine |
| |
| SAHA (nM) | Bendamustine | |
| 32 | No activity | |
| 16 | No activity | |
| 50 | No activity | |
| 17 | No activity | |
| 103 | No activity | |
| 63 | No activity | |
(b) In Vitro Anti-Proliferation Assay:
| Cell line | RPMI8226 (uM) | MM1S (uM) | MM1R (uM) |
| Bendamustine | 400 | 119 | 100 |
| CY190602 | 4.16 | 1.6 | 2.66 |
| Ratio | ~X 100 | ~X 70 | ~X 35 |
Claims (18)
Priority Applications (1)
| Application Number | Priority Date | Filing Date | Title |
|---|---|---|---|
| US14/972,750 USRE46144E1 (en) | 2009-01-23 | 2010-01-07 | Hydroxamic acid derivatives |
Applications Claiming Priority (7)
| Application Number | Priority Date | Filing Date | Title |
|---|---|---|---|
| US14700209P | 2009-01-23 | 2009-01-23 | |
| US15649609P | 2009-02-28 | 2009-02-28 | |
| US25215609P | 2009-10-15 | 2009-10-15 | |
| US25265209P | 2009-10-17 | 2009-10-17 | |
| US14/972,750 USRE46144E1 (en) | 2009-01-23 | 2010-01-07 | Hydroxamic acid derivatives |
| US13/143,155 US8609864B2 (en) | 2009-01-23 | 2010-01-07 | Hydroxamic acid derivatives |
| PCT/US2010/020373 WO2010085377A2 (en) | 2009-01-23 | 2010-01-07 | Hydroxamic acid derivatives |
Publications (1)
| Publication Number | Publication Date |
|---|---|
| USRE46144E1 true USRE46144E1 (en) | 2016-09-13 |
Family
ID=42356377
Family Applications (3)
| Application Number | Title | Priority Date | Filing Date |
|---|---|---|---|
| US13/143,155 Ceased US8609864B2 (en) | 2009-01-23 | 2010-01-07 | Hydroxamic acid derivatives |
| US14/972,750 Active USRE46144E1 (en) | 2009-01-23 | 2010-01-07 | Hydroxamic acid derivatives |
| US14/075,145 Active US9096627B2 (en) | 2009-01-23 | 2013-11-08 | Hydroxamic acid derivatives |
Family Applications Before (1)
| Application Number | Title | Priority Date | Filing Date |
|---|---|---|---|
| US13/143,155 Ceased US8609864B2 (en) | 2009-01-23 | 2010-01-07 | Hydroxamic acid derivatives |
Family Applications After (1)
| Application Number | Title | Priority Date | Filing Date |
|---|---|---|---|
| US14/075,145 Active US9096627B2 (en) | 2009-01-23 | 2013-11-08 | Hydroxamic acid derivatives |
Country Status (17)
| Country | Link |
|---|---|
| US (3) | US8609864B2 (en) |
| EP (1) | EP2389375B1 (en) |
| JP (1) | JP5576402B2 (en) |
| CN (1) | CN102186842B (en) |
| CA (1) | CA2750413C (en) |
| CY (1) | CY1116602T1 (en) |
| DK (1) | DK2389375T3 (en) |
| ES (1) | ES2544803T3 (en) |
| HR (1) | HRP20150778T1 (en) |
| HU (1) | HUE025349T2 (en) |
| ME (1) | ME02254B (en) |
| PL (1) | PL2389375T3 (en) |
| PT (1) | PT2389375E (en) |
| RS (1) | RS54192B1 (en) |
| SI (1) | SI2389375T1 (en) |
| SM (1) | SMT201500196B (en) |
| WO (1) | WO2010085377A2 (en) |
Cited By (10)
| Publication number | Priority date | Publication date | Assignee | Title |
|---|---|---|---|---|
| US9993482B2 (en) | 2014-05-28 | 2018-06-12 | Purdue Pharmaceutical Products L.P. | Pharmaceutical combination comprising a class III receptor tyrosine kinase inhibitor and the alkylating histone-deacetylase inhibitor fusion molecule EDO-S101 together with its use in the treatment of cancer |
| US10118901B2 (en) | 2012-02-01 | 2018-11-06 | Purdue Pharmaceutical Products L.P. | Therapeutic agents |
| US10406138B2 (en) | 2014-05-28 | 2019-09-10 | Purdue Pharmaceutical Products L.P. | Pharmaceutical combinations for treating cancer |
| US10744120B2 (en) | 2014-05-28 | 2020-08-18 | Purdue Pharmaceutical Products L.P. | Combination comprising a glucocorticoid and EDO-S101 |
| US11266631B2 (en) | 2016-10-11 | 2022-03-08 | Purdue Pharmaceutical Products L.P. | Hodgkin lymphoma therapy |
| US11318117B2 (en) | 2017-06-13 | 2022-05-03 | Purdue Pharma L.P. | Tinostamustine for use in the treatment of t-cell prolymphocytic leukaemia |
| US11413276B2 (en) | 2017-06-13 | 2022-08-16 | Purdue Pharma L.P. | Compounds for treating TNBC |
| US11576899B2 (en) | 2017-06-13 | 2023-02-14 | Purdue Pharma L.P. | Tinostamustine for use in treating sarcoma |
| US11896583B2 (en) | 2017-06-13 | 2024-02-13 | Purdue Pharma L.P. | Tinostamustine for use in treating ovarian cancer |
| US12377076B2 (en) | 2018-12-18 | 2025-08-05 | Purdue Pharma L.P. | Compounds for treating lymphoma or a T-cell malignant disease |
Families Citing this family (43)
| Publication number | Priority date | Publication date | Assignee | Title |
|---|---|---|---|---|
| PT2562162E (en) | 2008-01-22 | 2015-10-21 | Dow Agrosciences Llc | N-cyano-4-amino-5-fluoro-pyrimidine derivatives as fungicides |
| PT2389375E (en) * | 2009-01-23 | 2015-09-17 | Euro Celtique Sa | Hydroxamic acid derivatives |
| UA107671C2 (en) * | 2009-08-07 | 2015-02-10 | Dow Agrosciences Llc | N1-substityted-5-fluoro-2-oxopyrimidinone-1(2h)-carboxamide derivatives |
| UA112284C2 (en) | 2009-08-07 | 2016-08-25 | ДАУ АГРОСАЙЄНСІЗ ЕлЕлСі | 5-fluoro-pyrimidinone derivatives |
| CA2769073C (en) | 2009-08-07 | 2018-07-24 | Dow Agrosciences Llc | N1-sulfonyl-5-fluoropyrimidinone derivatives |
| UA106889C2 (en) | 2009-08-07 | 2014-10-27 | ДАУ АГРОСАЙЄНСІЗ ЕлЕлСі | N1-ACYL-5-FLORPYRIMIDINONE DERIVATIVES |
| EP2521452B1 (en) | 2010-01-07 | 2014-12-24 | Dow AgroSciences LLC | THIAZOLO[5,4-d]PYRIMIDINES AND THEIR USE AS AGROCHEMICALS |
| CN101928234B (en) * | 2010-01-15 | 2012-12-12 | 北京欧凯纳斯科技有限公司 | 6/7-(hetero)aryl-N-hydroxyl hexanamide/heptamide compounds and method for preparing same |
| WO2011113175A1 (en) * | 2010-03-15 | 2011-09-22 | Gao Feng | Cytarabine prodrug derivatives and use for resisting cancer or tumor thereof |
| CN103313992B (en) * | 2011-01-12 | 2016-04-27 | 天堃医药科技(杭州)有限公司 | There is the inhibiting camptothecin derivative of HDAC |
| CN103874413B (en) | 2011-08-17 | 2017-03-08 | 阿达玛马克西姆股份有限公司 | 5‑Fluoro‑4‑imino‑3‑(substituted)‑3,4‑dihydropyrimidin‑2(1H)one derivatives |
| CN102993102B (en) * | 2011-09-16 | 2016-08-24 | 杭州民生药业有限公司 | The synthetic method of [1-methyl-2-(hydroxamic acid base in 7 '-heptan)-5-N, N-bis-(2 '-chloroethyl)]-1H-benzimidazole |
| PL2758052T3 (en) * | 2011-09-18 | 2018-10-31 | Euro-Celtique S.A. | Pharmaceutical composition comprising an HDAC inhibitor and a cyclopolysaccharide |
| CN102432654A (en) * | 2011-09-26 | 2012-05-02 | 宋云龙 | Gemcitabine amide derivative and preparation method and application thereof |
| CN102584737A (en) * | 2012-02-07 | 2012-07-18 | 盛世泰科生物医药技术(苏州)有限公司 | Composition and application of material capable of restraining histone deacetylase |
| EP2725029A1 (en) * | 2012-10-29 | 2014-04-30 | Laboratoire Biodim | New antibacterial compounds and biological applications thereof |
| CN110003118A (en) | 2012-12-28 | 2019-07-12 | 阿达玛马克西姆股份有限公司 | The method for preparing carboxylic ester derivative |
| KR20150100869A (en) | 2012-12-28 | 2015-09-02 | 다우 아그로사이언시즈 엘엘씨 | N-(substituted)-5-fluoro-4-imino-3-methyl-2-oxo-3,4-dihydropyrimidine-1 (2h)-carboxamides derivatives |
| CA2893776A1 (en) | 2012-12-28 | 2014-07-03 | Dow Agrosciences Llc | 1-(substituted-benzoyl)-5-fluoro-4-imino-3-methyl-3,4-dihydropyrimidin-2(1h)-one derivatives |
| CA2894553C (en) | 2012-12-31 | 2021-03-02 | Dow Agrosciences Llc | 3-alkyl-5-fluoro-4-substituted-imino-3,4-dihydropyrimidin-2(1h)-one derivatives as fungicides |
| CN103340845B (en) * | 2013-06-26 | 2015-03-18 | 浙江省食品药品检验研究院 | Medicine composition |
| WO2015081867A1 (en) * | 2013-12-04 | 2015-06-11 | 杭州民生药物研究院有限公司 | Gemcitabine derivative, composition containing the derivative and pharmaceutical use of the derivative |
| HUE072634T2 (en) | 2013-12-31 | 2025-11-28 | Adama Makhteshim Ltd | Synergistic fungicidal mixtures for fungal control in cereals |
| SG11201605372QA (en) | 2013-12-31 | 2016-08-30 | Adama Makhteshim Ltd | 5-fluoro-4-imino-3-(alkyl/substituted alkyl)-1- (arylsulfonyl)-3,4-dihydropyrimidin-2(1h)-one and processes for their preparation |
| CA2934902C (en) | 2014-02-03 | 2018-08-14 | Halliburton Energy Services, Inc. | Geomechanical and geophysical computational model for oil and gas stimulation and production |
| CN107108521A (en) * | 2014-10-28 | 2017-08-29 | 盐野义制药株式会社 | Hete rocyclic derivatives with AMPK activations |
| US11420950B2 (en) | 2015-05-22 | 2022-08-23 | Chong Kun Dang Pharmaceutical Corp. | Heterocyclicalkyl derivative compounds as selective histone deacetylase inhibitors and pharmaceutical compositions comprising the same |
| CA2997762A1 (en) * | 2015-09-10 | 2017-03-16 | Becton, Dickinson And Company | Cyclophosphamide analogs for use as immunogens and assay conjugates for an immunoassay of cyclophosphamide and ifosfamide |
| CN106905191B (en) * | 2017-03-05 | 2019-03-29 | 北京化工大学 | A kind of nitrogen mustards compound and its preparation method and application containing hydroxamic acid group |
| CN106883217B (en) * | 2017-04-01 | 2020-05-22 | 清华大学深圳研究生院 | Nucleoside base hydroxamic acid derivative compound and preparation method and application thereof |
| CA3071345A1 (en) * | 2017-07-28 | 2019-01-31 | Yale University | Anticancer drugs and methods of making and using same |
| WO2019060270A1 (en) | 2017-09-21 | 2019-03-28 | Becton, Dickinson And Company | High dynamic range assays in hazardous contaminant testing |
| USD859683S1 (en) | 2017-09-21 | 2019-09-10 | Becton, Dickinson And Company | Collection device |
| AU2018337030B2 (en) | 2017-09-21 | 2025-04-10 | Becton, Dickinson And Company | Hazardous contaminant collection kit and rapid testing |
| EP3684511A4 (en) | 2017-09-21 | 2021-06-23 | Becton, Dickinson and Company | DEMOLITION TEMPLATE FOR TESTING HAZARDOUS CONTAMINANTS |
| CN108299313B (en) * | 2018-01-16 | 2020-10-02 | 长沙霍滋生物科技有限公司 | Compound and application thereof in pharmacy |
| EP3817732A4 (en) * | 2018-08-03 | 2022-06-08 | Cellix Bio Private Limited | COMPOSITIONS AND METHODS FOR THE TREATMENT OF CANCER |
| CN109516957A (en) * | 2018-08-03 | 2019-03-26 | 杭州梯诺医药科技有限公司 | NL-101 polymorphic form and preparation method thereof |
| EP3845544B1 (en) | 2018-09-01 | 2023-11-15 | Beijing Showby Pharmaceutical Co., Ltd. | Phosphate of platinum compound and preparation method therefor |
| AU2020215639B2 (en) | 2019-01-28 | 2025-08-21 | Becton, Dickinson And Company | Hazardous contaminant collection device with integrated swab and test device |
| CN112209884B (en) * | 2019-07-12 | 2022-11-11 | 杭州梯诺医药科技有限公司 | 1-H benzimidazole derivative, preparation method and application thereof |
| CN113307829B (en) * | 2021-05-08 | 2022-05-24 | 苏州科技大学 | Platinum (II) complex with hydroxamic acid derivative as ligand and preparation method and application thereof |
| WO2024231293A1 (en) | 2023-05-05 | 2024-11-14 | Euro-Celtique S.A. | Combinations for treating cancer |
Citations (8)
| Publication number | Priority date | Publication date | Assignee | Title |
|---|---|---|---|---|
| US6087367A (en) | 1991-10-04 | 2000-07-11 | Sloan-Kettering Institute For Cancer Research | Potent inducers of terminal differentiation and methods of use thereof |
| WO2002026696A1 (en) | 2000-09-29 | 2002-04-04 | Prolifix Limited | Carbamic acid compounds comprising an amide linkage as hdac inhibitors |
| WO2005097747A1 (en) | 2004-04-05 | 2005-10-20 | Aton Pharma, Inc. | Histone deacetylase inhibitor prodrugs |
| US20060159713A1 (en) | 2005-01-14 | 2006-07-20 | Cephalon, Inc. | Bendamustine pharmaceutical compositions |
| WO2007134169A2 (en) | 2006-05-10 | 2007-11-22 | Nuada, Llc | Indole, benzimidazole, and benzolactam boronic acid compounds, analogs thereof and methods of use thereof |
| WO2008050125A1 (en) | 2006-10-24 | 2008-05-02 | Imperial Innovations Ltd. | Compounds and uses thereof |
| WO2009100045A1 (en) | 2008-02-04 | 2009-08-13 | Translational Genomics Research Institute | Compounds, pharmaceutical compositions and methods of use of hydroxamic acid derivatives |
| US9096627B2 (en) * | 2009-01-23 | 2015-08-04 | Purdue Pharmaceutical Products L.P. | Hydroxamic acid derivatives |
-
2010
- 2010-01-07 PT PT107337479T patent/PT2389375E/en unknown
- 2010-01-07 CA CA2750413A patent/CA2750413C/en active Active
- 2010-01-07 CN CN201080002890.XA patent/CN102186842B/en active Active
- 2010-01-07 HR HRP20150778TT patent/HRP20150778T1/en unknown
- 2010-01-07 PL PL10733747T patent/PL2389375T3/en unknown
- 2010-01-07 ES ES10733747.9T patent/ES2544803T3/en active Active
- 2010-01-07 EP EP20100733747 patent/EP2389375B1/en active Active
- 2010-01-07 WO PCT/US2010/020373 patent/WO2010085377A2/en not_active Ceased
- 2010-01-07 SI SI201030986T patent/SI2389375T1/en unknown
- 2010-01-07 US US13/143,155 patent/US8609864B2/en not_active Ceased
- 2010-01-07 RS RS20150541A patent/RS54192B1/en unknown
- 2010-01-07 ME MEP-2015-541A patent/ME02254B/en unknown
- 2010-01-07 JP JP2011547997A patent/JP5576402B2/en active Active
- 2010-01-07 DK DK10733747.9T patent/DK2389375T3/en active
- 2010-01-07 HU HUE10733747A patent/HUE025349T2/en unknown
- 2010-01-07 US US14/972,750 patent/USRE46144E1/en active Active
-
2013
- 2013-11-08 US US14/075,145 patent/US9096627B2/en active Active
-
2015
- 2015-08-13 SM SM201500196T patent/SMT201500196B/en unknown
- 2015-08-13 CY CY20151100709T patent/CY1116602T1/en unknown
Patent Citations (8)
| Publication number | Priority date | Publication date | Assignee | Title |
|---|---|---|---|---|
| US6087367A (en) | 1991-10-04 | 2000-07-11 | Sloan-Kettering Institute For Cancer Research | Potent inducers of terminal differentiation and methods of use thereof |
| WO2002026696A1 (en) | 2000-09-29 | 2002-04-04 | Prolifix Limited | Carbamic acid compounds comprising an amide linkage as hdac inhibitors |
| WO2005097747A1 (en) | 2004-04-05 | 2005-10-20 | Aton Pharma, Inc. | Histone deacetylase inhibitor prodrugs |
| US20060159713A1 (en) | 2005-01-14 | 2006-07-20 | Cephalon, Inc. | Bendamustine pharmaceutical compositions |
| WO2007134169A2 (en) | 2006-05-10 | 2007-11-22 | Nuada, Llc | Indole, benzimidazole, and benzolactam boronic acid compounds, analogs thereof and methods of use thereof |
| WO2008050125A1 (en) | 2006-10-24 | 2008-05-02 | Imperial Innovations Ltd. | Compounds and uses thereof |
| WO2009100045A1 (en) | 2008-02-04 | 2009-08-13 | Translational Genomics Research Institute | Compounds, pharmaceutical compositions and methods of use of hydroxamic acid derivatives |
| US9096627B2 (en) * | 2009-01-23 | 2015-08-04 | Purdue Pharmaceutical Products L.P. | Hydroxamic acid derivatives |
Non-Patent Citations (14)
Cited By (24)
| Publication number | Priority date | Publication date | Assignee | Title |
|---|---|---|---|---|
| US10118901B2 (en) | 2012-02-01 | 2018-11-06 | Purdue Pharmaceutical Products L.P. | Therapeutic agents |
| US12403130B2 (en) | 2014-05-28 | 2025-09-02 | Purdue Pharmaceutical Products L.P. | Pharmaceutical combinations for treating cancer |
| US10406138B2 (en) | 2014-05-28 | 2019-09-10 | Purdue Pharmaceutical Products L.P. | Pharmaceutical combinations for treating cancer |
| US10744120B2 (en) | 2014-05-28 | 2020-08-18 | Purdue Pharmaceutical Products L.P. | Combination comprising a glucocorticoid and EDO-S101 |
| US12048688B2 (en) | 2014-05-28 | 2024-07-30 | Purdue Pharmaceutical Products L.P. | Pharmaceutical combinations for treating cancer |
| US11419853B2 (en) | 2014-05-28 | 2022-08-23 | Purdue Pharmaceutical Products L.P. | Compounds for treating brain cancer |
| US11541038B2 (en) | 2014-05-28 | 2023-01-03 | Purdue Pharmaceutical Products L.P. | Combination comprising a glucocorticoid and EDO-S101 |
| US11559516B2 (en) | 2014-05-28 | 2023-01-24 | Purdue Pharmaceutical Products L.P. | Pharmaceutical combinations for treating cancer |
| US12370177B2 (en) | 2014-05-28 | 2025-07-29 | Purdue Pharmaceutical Products L.P. | Compounds for treating brain cancer |
| US9993482B2 (en) | 2014-05-28 | 2018-06-12 | Purdue Pharmaceutical Products L.P. | Pharmaceutical combination comprising a class III receptor tyrosine kinase inhibitor and the alkylating histone-deacetylase inhibitor fusion molecule EDO-S101 together with its use in the treatment of cancer |
| US12064417B2 (en) | 2014-05-28 | 2024-08-20 | Purdue Pharmaceutical Products L.P. | Combination comprising a glucocorticoid and EDO-S101 |
| US11266631B2 (en) | 2016-10-11 | 2022-03-08 | Purdue Pharmaceutical Products L.P. | Hodgkin lymphoma therapy |
| US12440475B2 (en) | 2016-10-11 | 2025-10-14 | Purdue Pharmaceutical Products L.P. | Hodgkin lymphoma therapy |
| US11766424B2 (en) | 2016-10-11 | 2023-09-26 | Purdue Pharmaceutical Products L.P. | Hodgkin lymphoma therapy |
| US11786509B2 (en) | 2017-06-13 | 2023-10-17 | Purdue Pharma L.P. | Compounds for treating TNBC |
| US11918558B2 (en) | 2017-06-13 | 2024-03-05 | Purdue Pharma L.P. | Tinostamustine for use in the treatment of T-cell prolymphocytic leukaemia |
| US11896583B2 (en) | 2017-06-13 | 2024-02-13 | Purdue Pharma L.P. | Tinostamustine for use in treating ovarian cancer |
| US12257237B2 (en) | 2017-06-13 | 2025-03-25 | Purdue Pharma L.P. | Tinostamustine for use in treating sarcoma |
| US12303492B2 (en) | 2017-06-13 | 2025-05-20 | Purdue Pharma L.P. | Compounds for treating TNBC |
| US11576899B2 (en) | 2017-06-13 | 2023-02-14 | Purdue Pharma L.P. | Tinostamustine for use in treating sarcoma |
| US12370178B2 (en) | 2017-06-13 | 2025-07-29 | Purdue Pharma L.P. | Tinostamustine for use in the treatment of t-cell prolymphocytic leukaemia |
| US11413276B2 (en) | 2017-06-13 | 2022-08-16 | Purdue Pharma L.P. | Compounds for treating TNBC |
| US11318117B2 (en) | 2017-06-13 | 2022-05-03 | Purdue Pharma L.P. | Tinostamustine for use in the treatment of t-cell prolymphocytic leukaemia |
| US12377076B2 (en) | 2018-12-18 | 2025-08-05 | Purdue Pharma L.P. | Compounds for treating lymphoma or a T-cell malignant disease |
Also Published As
| Publication number | Publication date |
|---|---|
| WO2010085377A3 (en) | 2011-03-31 |
| CN102186842A (en) | 2011-09-14 |
| WO2010085377A2 (en) | 2010-07-29 |
| EP2389375B1 (en) | 2015-05-20 |
| US8609864B2 (en) | 2013-12-17 |
| CY1116602T1 (en) | 2018-03-07 |
| US20110269706A1 (en) | 2011-11-03 |
| JP5576402B2 (en) | 2014-08-20 |
| PL2389375T3 (en) | 2015-11-30 |
| EP2389375A4 (en) | 2012-09-19 |
| SI2389375T1 (en) | 2015-11-30 |
| ES2544803T3 (en) | 2015-09-04 |
| CN102186842B (en) | 2014-07-23 |
| HRP20150778T1 (en) | 2015-08-28 |
| RS54192B1 (en) | 2015-12-31 |
| PT2389375E (en) | 2015-09-17 |
| US9096627B2 (en) | 2015-08-04 |
| US20140066419A1 (en) | 2014-03-06 |
| HUE025349T2 (en) | 2016-02-29 |
| JP2012515776A (en) | 2012-07-12 |
| DK2389375T3 (en) | 2015-08-24 |
| CA2750413C (en) | 2016-06-21 |
| SMT201500196B (en) | 2015-10-30 |
| EP2389375A2 (en) | 2011-11-30 |
| CA2750413A1 (en) | 2010-07-29 |
| ME02254B (en) | 2015-12-31 |
Similar Documents
| Publication | Publication Date | Title |
|---|---|---|
| USRE46144E1 (en) | Hydroxamic acid derivatives | |
| US10377755B2 (en) | BCL-2 inhibitors | |
| JP7015059B2 (en) | 2-substituted quinazoline compounds containing substituted heterocyclic groups and their usage | |
| US8980909B2 (en) | HDAC inhibiting derivatives of camptothecin | |
| US8962855B2 (en) | Nitrogen mustard derivatives | |
| JP2021098721A (en) | Substituted quinazoline compounds and methods for use thereof | |
| JP2019529484A (en) | Inhibitor of KRAS G12C mutant protein | |
| JP2020521740A (en) | Quinazoline derivatives as modulators of mutant KRAS, HRAS or NRAS | |
| AU2016331955A1 (en) | Method for treating cancer using a combination of DNA damaging agents and ATR inhibitors | |
| JP2021505600A (en) | NSD family inhibitors and methods of treatment with them | |
| CN108026046B (en) | Substituted quinazoline compounds and their use as inhibitors of G12C mutant KRAS, HRAS and/or NRAS proteins | |
| CN116113406B (en) | GAS41 inhibitors and methods of use | |
| IE57675B1 (en) | 5-pyrimidinecarboxamides and thiocarboxamides and treatment of leukemia and tumors therewith | |
| JP6985764B2 (en) | Aminopyrimidine compounds, compositions containing this compound and their use | |
| EP0290558B1 (en) | Antifolate agents | |
| JPS62919B2 (en) | ||
| HK1173433A (en) | Hydroxamic acid derivatives | |
| US20220241310A1 (en) | Thiarabine- and thiarabine prodrug-based treatments | |
| CA3235405A1 (en) | Development of novel clofarabine analogs for cancer therapy | |
| WO2024243485A1 (en) | Cdk2 inhibitors and uses thereof |
Legal Events
| Date | Code | Title | Description |
|---|---|---|---|
| FEPP | Fee payment procedure |
Free format text: PAYOR NUMBER ASSIGNED (ORIGINAL EVENT CODE: ASPN); ENTITY STATUS OF PATENT OWNER: LARGE ENTITY |
|
| AS | Assignment |
Owner name: CRYSTAL BIOPHARMACEUTICAL LLC, CALIFORNIA Free format text: ASSIGNMENT OF ASSIGNORS INTEREST;ASSIGNORS:CHEN, YU;CHEN, YI;SIGNING DATES FROM 20100608 TO 20100821;REEL/FRAME:040410/0371 Owner name: NORTHLAKE BIOSCIENCES LLC, MASSACHUSETTS Free format text: ASSIGNMENT OF ASSIGNORS INTEREST;ASSIGNOR:CRYSTAL BIOPHARMACEUTICAL LLC;REEL/FRAME:040410/0403 Effective date: 20100831 Owner name: NORTHLAKE INTERNATIONAL LLC., DELAWARE Free format text: ASSIGNMENT OF ASSIGNORS INTEREST;ASSIGNOR:NORTHLAKE BIOSCIENCES LLC;REEL/FRAME:040410/0450 Effective date: 20111004 Owner name: PURDUE PHARMACEUTICAL PRODUCTS L.P., CONNECTICUT Free format text: ASSIGNMENT OF ASSIGNORS INTEREST;ASSIGNOR:NORTHLAKE INTERNATIONAL LLC;REEL/FRAME:040410/0475 Effective date: 20121221 |
|
| FPAY | Fee payment |
Year of fee payment: 4 |
|
| MAFP | Maintenance fee payment |
Free format text: PAYMENT OF MAINTENANCE FEE, 8TH YEAR, LARGE ENTITY (ORIGINAL EVENT CODE: M1552); ENTITY STATUS OF PATENT OWNER: LARGE ENTITY Year of fee payment: 8 |
|
| MAFP | Maintenance fee payment |
Free format text: PAYMENT OF MAINTENANCE FEE, 12TH YEAR, LARGE ENTITY (ORIGINAL EVENT CODE: M1553); ENTITY STATUS OF PATENT OWNER: LARGE ENTITY Year of fee payment: 12 |


































































































































