USRE42624E1 - Methods of using macrocyclic modulators of the ghrelin receptor - Google Patents

Methods of using macrocyclic modulators of the ghrelin receptor Download PDF

Info

Publication number
USRE42624E1
USRE42624E1 US12/635,871 US63587109A USRE42624E US RE42624 E1 USRE42624 E1 US RE42624E1 US 63587109 A US63587109 A US 63587109A US RE42624 E USRE42624 E US RE42624E
Authority
US
United States
Prior art keywords
boc
bts
phe
none
thioester strategy
Prior art date
Legal status (The legal status is an assumption and is not a legal conclusion. Google has not performed a legal analysis and makes no representation as to the accuracy of the status listed.)
Expired - Fee Related, expires
Application number
US12/635,871
Inventor
Graeme L. Fraser
Hamid R. Hoveyda
Mark L. Peterson
Current Assignee (The listed assignees may be inaccurate. Google has not performed a legal analysis and makes no representation or warranty as to the accuracy of the list.)
Ocera Therapeutics Inc
Original Assignee
Tranzyme Pharma Inc
Priority date (The priority date is an assumption and is not a legal conclusion. Google has not performed a legal analysis and makes no representation as to the accuracy of the date listed.)
Filing date
Publication date
Priority claimed from US10/872,142 external-priority patent/US7521420B2/en
Priority claimed from US11/149,512 external-priority patent/US7491695B2/en
Application filed by Tranzyme Pharma Inc filed Critical Tranzyme Pharma Inc
Priority to US12/635,871 priority Critical patent/USRE42624E1/en
Application granted granted Critical
Publication of USRE42624E1 publication Critical patent/USRE42624E1/en
Assigned to OCERA THERAPEUTICS, INC. reassignment OCERA THERAPEUTICS, INC. ASSIGNMENT OF ASSIGNORS INTEREST (SEE DOCUMENT FOR DETAILS). Assignors: TRANZYME PHARMA INC.
Assigned to DEUTSCHE BANK AG NEW YORK BRANCH, AS COLLATERAL AGENT reassignment DEUTSCHE BANK AG NEW YORK BRANCH, AS COLLATERAL AGENT NOTICE OF GRANT OF SECURITY INTEREST IN INTELLECTUAL PROPERTY Assignors: OCERA THERAPEUTICS, INC.
Assigned to MALLINCKRODT FINANCE GMBH, IKARIA THERAPEUTICS LLC, SpecGx LLC, MALLINCKRODT PHARMA IP TRADING UNLIMITED COMPANY (F/K/A MALLINCKRODT PHARMA IP TRADING D.A.C.), MALLINCKRODT US POOL LLC, MALLINCKRODT US HOLDINGS LLC (F/K/A MALLINCKRODT US HOLDINGS INC.), MALLINCKRODT HOSPITAL PRODUCTS IP UNLIMITED COMPANY (F/K/A MALLINCKRODT HOSPITAL PRODUCTS IP LIMITED), MALLINCKRODT LLC, THERAKOS, INC., ST SHARED SERVICES LLC, SUCAMPO PHARMA AMERICAS LLC, LUDLOW LLC (F/K/A LUDLOW CORPORATION), STRATATECH CORPORATION, MALLINCKRODT BRAND PHARMACEUTICALS LLC (F/K/A MALLINCKRODT BRAND PHARMACEUTICALS, INC.), MALLINCKRODT INTERNATIONAL FINANCE S.A., VTESSE LLC (F/K/A VTESSE INC.), CNS THERAPEUTICS, INC., MALLINCKRODT US HOLDINGS LLC, MALLINCKRODT ENTERPRISES LLC, MALLINCKRODT PHARMACEUTICALS IRELAND LIMITED, MNK 2011 LLC (F/K/A MALLINCKRODT INC.), MALLINCKRODT CARRIBEAN, INC., MEH, INC., INO THERAPEUTICS LLC, MALLINCKRODT ENTERPRISES HOLDINGS LLC (F/K/A MALLINCKRODT ENTERPRISES HOLDINGS, INC.), INFACARE PHARMACEUTICAL CORPORATION, MALLINCKRODT ARD IP UNLIMITED COMPANY (F/K/A MALLINCKRODT ARD IP LIMITED), IMC EXPLORATION COMPANY, LAFAYETTE PHARMACEUTICALS LLC, OCERA THERAPEUTICS LLC (F/K/A OCERA THERAPEUTICS, INC.), MALLINCKRODT CB LLC, LIEBEL-FLARSHEIM COMPANY LLC, MALLINCKRODT VETERINARY, INC. reassignment MALLINCKRODT FINANCE GMBH RELEASE OF PATENT SECURITY INTERESTS RECORDED AT REEL 044949, FRAME 0634 Assignors: DEUTSCHE BANK AG NEW YORK BRANCH, AS COLLATERAL AGENT
Adjusted expiration legal-status Critical
Expired - Fee Related legal-status Critical Current

Links

Images

Classifications

    • AHUMAN NECESSITIES
    • A61MEDICAL OR VETERINARY SCIENCE; HYGIENE
    • A61KPREPARATIONS FOR MEDICAL, DENTAL OR TOILETRY PURPOSES
    • A61K31/00Medicinal preparations containing organic active ingredients
    • A61K31/33Heterocyclic compounds
    • A61K31/395Heterocyclic compounds having nitrogen as a ring hetero atom, e.g. guanethidine or rifamycins
    • AHUMAN NECESSITIES
    • A61MEDICAL OR VETERINARY SCIENCE; HYGIENE
    • A61KPREPARATIONS FOR MEDICAL, DENTAL OR TOILETRY PURPOSES
    • A61K31/00Medicinal preparations containing organic active ingredients
    • A61K31/33Heterocyclic compounds
    • A61K31/395Heterocyclic compounds having nitrogen as a ring hetero atom, e.g. guanethidine or rifamycins
    • A61K31/435Heterocyclic compounds having nitrogen as a ring hetero atom, e.g. guanethidine or rifamycins having six-membered rings with one nitrogen as the only ring hetero atom
    • A61K31/44Non condensed pyridines; Hydrogenated derivatives thereof
    • A61K31/445Non condensed piperidines, e.g. piperocaine
    • A61K31/4523Non condensed piperidines, e.g. piperocaine containing further heterocyclic ring systems
    • A61K31/4545Non condensed piperidines, e.g. piperocaine containing further heterocyclic ring systems containing a six-membered ring with nitrogen as a ring hetero atom, e.g. pipamperone, anabasine
    • AHUMAN NECESSITIES
    • A61MEDICAL OR VETERINARY SCIENCE; HYGIENE
    • A61KPREPARATIONS FOR MEDICAL, DENTAL OR TOILETRY PURPOSES
    • A61K31/00Medicinal preparations containing organic active ingredients
    • A61K31/33Heterocyclic compounds
    • A61K31/395Heterocyclic compounds having nitrogen as a ring hetero atom, e.g. guanethidine or rifamycins
    • A61K31/55Heterocyclic compounds having nitrogen as a ring hetero atom, e.g. guanethidine or rifamycins having seven-membered rings, e.g. azelastine, pentylenetetrazole
    • AHUMAN NECESSITIES
    • A61MEDICAL OR VETERINARY SCIENCE; HYGIENE
    • A61KPREPARATIONS FOR MEDICAL, DENTAL OR TOILETRY PURPOSES
    • A61K38/00Medicinal preparations containing peptides
    • A61K38/04Peptides having up to 20 amino acids in a fully defined sequence; Derivatives thereof
    • A61K38/12Cyclic peptides, e.g. bacitracins; Polymyxins; Gramicidins S, C; Tyrocidins A, B or C
    • AHUMAN NECESSITIES
    • A61MEDICAL OR VETERINARY SCIENCE; HYGIENE
    • A61KPREPARATIONS FOR MEDICAL, DENTAL OR TOILETRY PURPOSES
    • A61K38/00Medicinal preparations containing peptides
    • A61K38/16Peptides having more than 20 amino acids; Gastrins; Somatostatins; Melanotropins; Derivatives thereof
    • A61K38/17Peptides having more than 20 amino acids; Gastrins; Somatostatins; Melanotropins; Derivatives thereof from animals; from humans
    • A61K38/22Hormones
    • A61K38/2214Motilins
    • CCHEMISTRY; METALLURGY
    • C07ORGANIC CHEMISTRY
    • C07DHETEROCYCLIC COMPOUNDS
    • C07D273/00Heterocyclic compounds containing rings having nitrogen and oxygen atoms as the only ring hetero atoms, not provided for by groups C07D261/00 - C07D271/00
    • CCHEMISTRY; METALLURGY
    • C07ORGANIC CHEMISTRY
    • C07DHETEROCYCLIC COMPOUNDS
    • C07D413/00Heterocyclic compounds containing two or more hetero rings, at least one ring having nitrogen and oxygen atoms as the only ring hetero atoms
    • C07D413/02Heterocyclic compounds containing two or more hetero rings, at least one ring having nitrogen and oxygen atoms as the only ring hetero atoms containing two hetero rings
    • C07D413/06Heterocyclic compounds containing two or more hetero rings, at least one ring having nitrogen and oxygen atoms as the only ring hetero atoms containing two hetero rings linked by a carbon chain containing only aliphatic carbon atoms
    • CCHEMISTRY; METALLURGY
    • C07ORGANIC CHEMISTRY
    • C07DHETEROCYCLIC COMPOUNDS
    • C07D498/00Heterocyclic compounds containing in the condensed system at least one hetero ring having nitrogen and oxygen atoms as the only ring hetero atoms
    • C07D498/02Heterocyclic compounds containing in the condensed system at least one hetero ring having nitrogen and oxygen atoms as the only ring hetero atoms in which the condensed system contains two hetero rings
    • C07D498/04Ortho-condensed systems
    • CCHEMISTRY; METALLURGY
    • C07ORGANIC CHEMISTRY
    • C07KPEPTIDES
    • C07K5/00Peptides containing up to four amino acids in a fully defined sequence; Derivatives thereof
    • C07K5/04Peptides containing up to four amino acids in a fully defined sequence; Derivatives thereof containing only normal peptide links
    • C07K5/08Tripeptides
    • C07K5/0802Tripeptides with the first amino acid being neutral
    • C07K5/0812Tripeptides with the first amino acid being neutral and aromatic or cycloaliphatic
    • CCHEMISTRY; METALLURGY
    • C07ORGANIC CHEMISTRY
    • C07KPEPTIDES
    • C07K5/00Peptides containing up to four amino acids in a fully defined sequence; Derivatives thereof
    • C07K5/04Peptides containing up to four amino acids in a fully defined sequence; Derivatives thereof containing only normal peptide links
    • C07K5/08Tripeptides
    • C07K5/0821Tripeptides with the first amino acid being heterocyclic, e.g. His, Pro, Trp
    • CCHEMISTRY; METALLURGY
    • C07ORGANIC CHEMISTRY
    • C07KPEPTIDES
    • C07K5/00Peptides containing up to four amino acids in a fully defined sequence; Derivatives thereof
    • C07K5/04Peptides containing up to four amino acids in a fully defined sequence; Derivatives thereof containing only normal peptide links
    • C07K5/08Tripeptides
    • C07K5/0827Tripeptides containing heteroatoms different from O, S, or N

Definitions

  • the present invention relates to novel conformationally-defined macrocyclic compounds that bind to and/or are functional modulators of the ghrelin (growth hormone secretagogue) receptor including GHS-R1a and subtypes, isoforms and/or variants thereof.
  • the present invention also relates to intermediates of these compounds, pharmaceutical compositions containing these compounds and methods of using the compounds.
  • These novel macrocyclic compounds are useful as therapeutics for a range of disease indications.
  • these compounds are useful for treatment and prevention of gastrointestinal disorders including, but not limited to, post-operative ileus, gastroparesis, including diabetic gastroparesis, opioid bowel dysfunction, chronic intestinal pseudo-obstruction, short bowel syndrome and functional gastrointestinal disorders.
  • ghrelin is a recently characterized 28-amino acid peptide hormone isolated originally from the stomach of rats with the orthologue subsequently identified in humans. (Kojima, M.; Hosoda, H. et al. Nature 1999, 402, 656-660.) The existence of this peptide in a range of other species suggests a conserved and important role in normal body function.
  • This peptide has been demonstrated to be the endogenous ligand for a previously orphan G protein-coupled receptor (GPCR), type 1 growth hormone secretatogue receptor (hGHS-R1a) (Howard, A. D.; Feighner, S. D.; et al. A receptor in pituitary and hypothalamus that functions in growth hormone release. Science 1996, 273, 974-977.) found predominantly in the brain (arcuate nucleus and ventromedial nucleus in the hypothalamus, hippocampus and substantia nigra) and pituitary. (U.S. Pat. No. 6,242,199; Intl. Pat. Appl. Nos.
  • the receptor has also been detected in other areas of the central nervous system (CNS) and in peripheral tissues, for instance adrenal and thyroid glands, heart, lung, kidney, and skeletal muscles. This receptor was identified and cloned prior to the isolation and characterization of the endogenous peptide ligand and is distinct from other receptors involved in the regulation of growth hormone (GH) secretion, in particular, the growth hormone-releasing hormone (GHRH) receptor.
  • GH growth hormone
  • GHRH growth hormone-releasing hormone
  • a unique characteristic of both the rat and human peptides is the presence of the n-octanoyl (Oct) moiety on Ser 3 .
  • the des-acyl form predominates in circulation, with approximately 90% of the hormone in this form.
  • This group is derived from a post-translational modification and appears relevant for bioactivity and possibly also for transport into the CNS.
  • Banks, W. A.; Tschöp, M.; Robinson, S. M.; Heiman, M. L. Extent and direction of ghrelin transport across the blood-brain barrier is determined by its unique primary structure. J. Pharmacol. Exp. Ther.
  • the des-octanoyl form of the hormone was at least 100-fold less potent than the parent peptide, although it has been suggested that the des-acyl species may be responsible for some of the other biological effects associated with ghrelin.
  • This des-acyl form has also been postulated to be primarily responsible for the cardiovascular and cell proliferation effects attributed to ghrelin, while the acylated form participates in maintenance of energy balance and growth hormone release.
  • Ghrelin and des-acyl ghrelin inhibit cell death in cardiomyocytes and endothelial cells through ERK1/2 and PI-3 kinase/AKT. J. Cell Biol. 2002, 159, 1029-1037
  • des-Gln 14 -ghrelin and its octanoylated derivative have been isolated as endogenous forms of the hormone arising from alternative splicing of the ghrelin gene, but both are found to be inactive in stimulating GH release in vivo.
  • GHS were projected to have utility in the treatment of a variety of other disorders, including wasting conditions (cachexia) as seen in HIV patients and cancer-induced anorexia, musculoskeletal frailty in the elderly, and growth hormone deficient diseases.
  • ghrelin is primarily synthesized in the oxyntic gland of the stomach, although it is also produced in lesser amounts in other organs, including the kidney, pancreas and hypothalamus.
  • Stomach is a major source of circulating ghrelin, and feeding state determines plasma ghrelin-like immunoreactivity levels in humans.
  • J. Clin. Endocrinol. Metab. 2001, 86, 4753-4758 In addition to its role in stimulating GH release, the hormone has a variety of other endocrine and non-endocrine functions (Broglio, F.; Gottero, C.; Arvat, E.; Ghigo, E. Endocrine and non-endocrine actions of ghrelin. Horm. Res. 2003, 59, 109-117) and has been shown to interact with a number of other systems in playing a role in maintaining proper energy balance. (Horvath. T.
  • ghrelin plays a role as an orexigenic signal in the control of feeding, in which it acts to counteract the effects of leptin. Indeed, it was the first gut peptide proven to have such orexigenic properties.
  • the hormone also is implicated in the hypothalamic regulation of the synthesis and secretion of a number of other neuropeptides involved in appetite and feeding behavior.
  • Levels of ghrelin are elevated in response to fasting or extended food restriction.
  • Ghrelin also has been implicated in various aspects of reproduction and neonatal development. (Arvat, E.; Gianotti, L.; Giordano, R.; et al. Growth hormone-releasing hormone and growth hormone secretagogue-receptor ligands. Focus on reproductive system. Endocrine 2001, 14, 35-43) Also of significance are the cardiovascular effects of ghrelin, since the peptide is a powerful vasodilator. As such, ghrelin agonists have potential for the treatment of chronic heart failure (Nagaya, N.; Kangawa, K. Ghrelin, a novel growth hormone-relasing peptide, in the treatment of chronic heart failure. Regul. Pept.
  • WO 2004/014412 describes the use of ghrelin agonists for the protection of cell death in myocardial cells and as a cardioprotectant treatment for conditions leading to heart failure.
  • ghrelin may have implications in anxiety and other CNS disorders as well as the improvement of memory.
  • GHS-R1b a truncated, inactive form of GHS-R1a, termed GHS-R1b, was isolated and identified during the original characterization studies.
  • high affinity binding sites for ghrelin and des-acyl ghrelin have also been found in breast cancer cell lines, cardiomyocytes, and guinea pig heart that are involved in mediating the antiproliferative, cardioprotective and negative cardiac inotropic effects of these peptides.
  • BIM-28163 functions as an antagonist at the GHS-R1a receptor and inhibits receptor activation by native ghrelin.
  • this same molecule is a full agonist with respect to stimulating weight gain and food intake.
  • the existence of a still uncharacterized receptor subtype has been proposed based on binding studies in various tissues that showed differences between peptidic and non-peptidic GHS. (Ong, H.; Menicoll, N.; Escher, F.; Collu, R.; Deghenghi, R.; Locatelli, V.; Ghigo, E.; Muccioli, G.; Boghen, M.; Nilsson, M.
  • the variety of activities associated with the ghrelin receptor could also be due to different agonists activating different signaling pathways as has been shown for ghrelin and adenosine, both of which interact as agonists at GHS-R1a (Carreira, M. C.; Camina, J. P.; Smith, R. G.; Casanueva, F. F. Agonist-specific coupling of growth hormone secretagogue receptor type 1a to different intracellular signaling systems. Role of adenosine. Neuroendocrinology 2004, 79, 13-25.)
  • GHS-R1a GH-releasing hormone
  • POI post-operative ileus
  • Ghrelin acts locally in the stomach to stimulate and coordinate the firing of vagal afferent neurons and thereby modulate gut motility.
  • ghrelin accelerates gastric emptying in humans (Inui, A.; Asakawa, A.; Bowers, C. Y.; Mantovani, G.; Laviano, A.; Meguid, M. M.; Fujimiya, M. Ghrelin, appetite, and gastric motility: the emerging role of the stomach as an endocrine organ. FASEB J. 2004, 18, 439-456; Peeters, T. L.
  • Ghrelin agonists duplicate the effects of ghrelin, thus targeting directly the underlying cause of POI to accelerate normalization of gut function and enable more rapid discharge from the hospital.
  • Intravenous administration is often the preferred route of treatment for POI due to the impaired GI motility in these patients that impedes oral therapy. No agent is currently approved by the U.S. FDA specifically for the treatment of POI.
  • Gastroparesis (“stomach paralysis”) is a syndrome characterized by delayed gastric emptying in the absence of any mechanical obstruction. It is variably characterized by abdominal pain, nausea, vomiting, weight loss, anorexia, early satiety, malnutrition, dehydration, gastroesophageal reflux, cramping and bloating. This chronic condition can lead to frequent hospitalization, increased disability and decreased quality of life. Severe, symptomatic gastroparesis is common in individuals suffering from diabetes, affecting from 5-10% of diabetics for a total patient population of 1 million in the U.S. alone. Neuropathy is a frequent, debilitating complication of diabetes.
  • Visceral neuropathy results in GI dysfunction, especially involving the stomach, leading to impaired gastric motility.
  • Ghrelin promotes gastric emptying both by stimulating the vagus nerve and via direct prokinetic action at the gastric mucosa.
  • a ghrelin agonist would therefore be highly effective in over-coming the fundamental motility barrier faced by gastroparesis patients and correcting this condition.
  • no accepted or efficacious therapy for diabetic gastroparesis is available and most current therapies aim to provide only symptomatic relief.
  • many of the therapeutics in development have a mechanism of action similar to earlier products that have failed in this indication. Surgical procedures may ameliorate the disease process, but offer no possibility of cure.
  • Opioid-induced bowel dysfunction (OBD, Kurz, A.; Sessler, D. J. Opioid-Induced Bowel Dysfunction. Drugs 2003, 63, 649-671.) is the term applied to the confluence of symptoms involving the reduced GI motility that results from treatment with opioid analgesics. Approximately 40-50% of patients taking opioids for pain control experience OBD. It is characterized by hard, dry stools, straining, incomplete evacuation, bloating, abdominal distension and increased gastric reflux. In addition to the obvious short-term distress, this condition leads to physical and psychological deterioration in patients undergoing long term opioid treatment, Further, the dysfunction can be so severe as to become a dose-limiting adverse effect that actually prevents adequate pain control. As with POI, a ghrelin agonist can be expected to counteract the dysmotility resulting from opioid use.
  • Short bowel syndrome is a condition that occurs after resection of a substantial portion of small intestine and is characterized by malnutrition. Patients are observed to have decreased ghrelin levels resulting from loss of the ghrelin-producing neuroendocrine cells of the intestine. It is possible the short bowel feeds back on the release of the hormone. (Krsek, M.; Rosicka, M.; Haluzik, M.; et al. Plasma ghrelin levels in patients with short bowel syndrome. Endocr. Res.
  • Chronic intestinal pseudo-obstruction is a syndrome defined by the presence of chronic intestinal dilation and dysmotility in the absence of mechanical obstruction or inflammation. Both genetic and acquired causes are known to result in this disorder, which affects high numbers of individuals worldwide annually. (Hirano. I.; Pandolfino, J. Chronic intestinal pseudo-obstruction. Dig. Dis. 2000, 18, 83-92.)
  • emesis such as caused by cancer chemotherapy
  • constipation such as associated with the hypomotility phase of irritable bowel syndrome (IBS)
  • delayed gastric emptying associated with wasting conditions
  • gastroesophageal reflux disease Ghrelin
  • gastric ulcers Sudia, V.; Rindi, G.; Pagani, F.; Rapetti, D.; Locatelli, V; Torsello, A.; Campanini, N.; Degenghi, R.; Netti, C. Ghrelin protects against ethanol-induced gastric ulcers in rats: studies on the mechanism of action. Endocrinology 2003, 144, 353-359.) and Crohn's disease.
  • GI dysmotility is a significant problem in other mammals as well.
  • the motility dysfunction termed ileus or colic is the number one cause of mortality among horses.
  • ileus is one of the most common complications of equine intestinal surgery, in other words, post-operative ileus. This condition may also have a non-surgical etiology.
  • Some horses may be predisposed to ileus based upon the anatomy and functioning of their digestive tract. Virtually any horse is susceptible to colic with only minor differences based upon age, sex and breed.
  • ileus may affect other animals, for example canines. (Roussel, A. J., Jr.; Cohen, N. D.; Hooper, R. N.; Rakestraw, P. C.
  • WO 01/00830 reports on short gastrointestinal peptides (SGIP) that secrete growth hormone and also promote GI motility, but these were not shown to be due to action at the ghrelin receptor.
  • U.S. Pat. No. 6,548,501 discloses specific compounds, but as GHS, useful for stimulation of GI motility.
  • GHS useful for stimulation of GI motility.
  • other endogenous factors are known to stimulate secretion of GH, but do not promote GI motility. Indeed, many actually inhibit this physiological function.
  • Specific receptor agonists such as the compounds of the present invention have much better potential to be selective and effective therapeutic agents.
  • Cyclic and linear analogues of growth hormone 177-191 have been studied as treatments for obesity (WO 99/12969), with one particular compound, AOD9604, having entered the clinic for this indication.
  • the macrocyclic compounds of the invention possess agonist activity. As previously mentioned, however, unlike other agonists of the hGHS-R1a receptor, the compounds of the invention unexpectedly have an insignificant stimulatory effect on the release of growth hormone. Accordingly, the compounds of the present invention can exhibit selective action in the GI tract or for metabolic disorders without side effects due to GH release.
  • the present invention provides novel conformationally-defined macrocyclic compounds. These compounds can function as modulators, in particular agonists, of the ghrelin (growth hormone secretagogue) receptor (GHS-R1a).
  • GHS-R1a growth hormone secretagogue receptor
  • the present invention relates to compounds according to formula I, II and/or III:
  • R 1 is hydrogen or the side chain of an amino acid, or alternatively R 1 and R 2 together form a 4-, 5-, 6-, 7- or 8-membered ring, optionally comprising an O, S or N atom in the ring, wherein the ring is optionally substituted with R 8 as defined below, or alternatively R 1 and R 9 together form a 3-, 4-, 5-, 6- or 7-membered ring, optionally comprising an O, S or additional N atom in the ring, wherein the ring is optionally substituted with R 8 as defined below;
  • R 2 is hydrogen or the side chain of an amino acid, or alternatively R 1 and R 2 together form a 4-, 5-, 6-, 7- or 8-membered ring, optionally comprising an O, S or N atom in the ring, wherein the ring is optionally substituted with R 8 as defined below; or alternatively R 2 and R 9 together form a 3-, 4-, 5-, 6- or 7-membered ring, optionally comprising an O, S or additional N atom in the ring, wherein the ring is optionally substituted with R 8 as defined below;
  • R 3 is hydrogen or the side chain of an amino acid, or alternatively R 3 and R 4 together form a 3-, 4-, 5-, 6- or 7-membered ring, optionally comprising an O or S atom in the ring, wherein the ring is optionally substituted with R 8 as defined below, or alternatively, R 3 and R 7 or R 3 and R 11 together form a 4-, 5-, 6-, 7- or 8-membered heterocyclic ring, optionally comprising an O, S or additional N atom in the ring, wherein the ring is optionally substituted with R 8 as defined below;
  • R 4 is hydrogen or the side chain of an amino acid, or alternatively R 4 and R 3 together form a 3-, 4-, 5-, 6- or 7-membered ring, optionally comprising an O or S atom in the ring, wherein the ring is optionally substituted with R 8 as defined below, or alternatively R 4 and R 7 or R 4 and R 11 together form a 4-, 5-, 6-, 7- or 8-membered heterocyclic ring, optionally comprising an O, S or additional N atom in the ring, wherein the ring is optionally substituted with R 8 as defined below;
  • R 5 and R 6 are each independently hydrogen or the side chain of an amino acid or alternatively R 5 and R 6 together form a 3-, 4-, 5-, 6- or 7-membered ring, optionally comprising an O, S or N atom in the ring, wherein the ring is optionally substituted with R 8 as defined below;
  • R 7 is hydrogen, lower alkyl, substituted lower alkyl, cycloalkyl, substituted cycloalkyl, a heterocyclic group, or a substituted heterocyclic group, or alternatively R 3 and R 7 or R 4 and R 7 together form a 4-, 5-, 6-, 7- or 8-membered heterocyclic ring optionally comprising an O, S or additional N atom in the ring, wherein the ring is optionally substituted with R 8 as described below;
  • R 8 is substituted for one or more hydrogen atoms on the 3-, 4-, 5-, 6-. 7- or 8-membered ring structure and is independently selected from the group consisting of alkyl, substituted alkyl, cycloalkyl, substituted cycloalkyl, a heterocyclic group, a substituted heterocyclic group, aryl, substituted aryl, heteroaryl, substituted heteroaryl, hydroxy, alkoxy, aryloxy, oxo, amino, halogen, formyl, acyl, carboxy, carboxyalkyl, carboxyaryl, amido, carbamoyl, guanidino, ureido, amidino, mercapto, sulfinyl, sulfonyl and sulfonamido, or, alternatively, R 8 is a fused cycloalkyl, a substituted fused cycloalkyl, a fused heterocyclic, a substituted fused heterocycl
  • X is O, NR 9 or N(R 10 ) 2 + ;
  • Z 1 is O or NR 11 ,
  • Z 2 is O or NR 12 , wherein R 12 is hydrogen, lower alkyl, or substituted lower alkyl;
  • n and p are each independently 0, 1 or 2;
  • T is a bivalent radical of formula IV: —U—(CH 2 ) d —W—Y-Z-(CH 2 ) e — (IV)
  • R 50 is —(CH 2 ) ss CH 3 , —CH(CH 3 )(CH 2 ) tt CH 3 , —(CH 2 ) uu CH(CH 3 ) 2 , —C(CH 3 ) 3 , —(CHR 55 ) vv —R 56 , or —CH(OR 57 )CH 3 , wherein ss is 1, 2 or 3; tt is 1 or 2; uu is 0, 1 or 2; and vv is 0, 1, 2, 3 or 4; R 55 is hydrogen or C 1 -C 4 alkyl; R 56 is amino, hydroxy, alkoxy, cycloalkyl or substituted cycloalkyl; and R 57 is hydrogen, alkyl, acyl, amino acyl, sulfonyl, carboxyalkyl or carboxyaryl;
  • R 51 is hydrogen, C 1 -C 4 alkyl or C 1 -C 4 alkyl substituted with hydroxy or alkoxy;
  • R 52 is —(CHR 58 ) ww R 59 , wherein ww is 0, 1, 2 or 3;
  • R 58 is hydrogen, C 1 -C 4 alkyl, amino, hydroxy or alkoxy;
  • R 59 is aryl, substituted aryl, heteroaryl, substituted heteroaryl, cycloalkyl or substituted cycloalkyl;
  • R 53 is hydrogen or C 1 -C 4 alkyl
  • X 2 is O, NR 9 or N(R 10 ) 2 + ;
  • Z 5 is O or NR 12 , wherein R 12 is hydrogen, lower alkyl, or substituted lower alkyl;
  • T 2 is a bivalent radical of formula V: —U a —(CH 2 ) d —W a —Y a -Z a -(CH 2 ) 3 — (V)
  • R 70 is hydrogen, C 1 -C 4 alkyl or alternatively R 70 and R 71 together form a 4-, 5-, 6-, 7- or 8-membered ring, optionally comprising an O, N or S atom in the ring, wherein the ring is optionally substituted with R 8a as defined below;
  • R 71 is hydrogen, —(CH 2 ) aa CH 3 , —CH(CH 3 ) (CH 2 ) bb CH 3 , —(CH 2 ) cc CH(CH 3 ) 2 , —(CH 2 ) dd —R 76 or —CH(OR 77 )CH 3 or, alternatively R 71 and R 70 together form a 4-, 5-, 6-, 7- or 8-membered ring, optionally comprising an O, N or S atom in the ring, wherein the ring is optionally substituted with R 8a as defined below; wherein aa is 0, 1, 2, 3, 4 or 5; bb is 1, 2 or 3; cc is 0, 1, 2 or 3; and dd is 0, 1, 2, 3 or 4; R 76 is aryl, substituted aryl, heteroaryl, substituted heteroaryl, cycloalkyl or substituted cycloalkyl; R 77 is hydrogen, alkyl, acyl, amino acy
  • R 72 is C 1 -C 4 alkyl; or alternatively R 72 and R 73 together form a 3-, 4-, 5-, 6- or 7-membered ring, optionally comprising an O or S atom in the ring, wherein the ring is optionally substituted with R 8b as defined below;
  • R 73 is hydrogen, or alternatively R 73 and R 72 together form a 3-, 4-, 5-, 6- or 7-membered ring, optionally comprising an O, S or N atom in the ring, wherein the ring is optionally substituted with R 8b as defined below;
  • R 74 is hydrogen or C 1 -C 4 alkyl or alternatively R 74 and R 75 together form a 3-, 4-, 5-, 6- or 7-membered ring, optionally comprising an O, N or S atom in the ring, wherein the ring is optionally substituted with R 8c , as defined below;
  • R 75 is —(CHR 78 )R 79 or alternatively R 75 and R 74 together form a 3-, 4-, 5-, 6- or 7-membered ring, optionally comprising an O, N or S atom in the ring, wherein the ring is optionally substituted with R 8c as defined below; wherein R 78 is hydrogen, C 1 -C 4 alkyl, amino, hydroxy or alkoxy, and R 79 is selected from the group consisting of the following structures:
  • R 8a , R 8b and R 8c are each independently substituted for one or more hydrogen atoms on the 3-, 4-, 5-, 6-, 7- or 8-membered ring structure and are independently selected from the group consisting of alkyl, substituted alkyl, cycloalkyl, substituted cycloalkyl, a heterocyclic group, a substituted heterocyclic group, aryl, substituted aryl, heteroaryl, substituted heteroaryl, hydroxy, alkoxy, aryloxy, oxo, amino, halogen, formyl, acyl, carboxy, carboxyalkyl, carboxyaryl, amido, carbamoyl, guanidino, ureido, amidino, mercapto, sulfinyl, sulfonyl and sulfonamido, or, alternatively.
  • R 8a , R 8b and R 8c are each independently a fused cycloalkyl, a substituted fused cycloalkyl, a fused heterocyclic, a substituted fused heterocyclic, a fused aryl, a substituted fused aryl, a fused heteroaryl or a substituted fused heteroaryl ring when substituted for hydrogen atoms on two adjacent atoms;
  • X 3 is O, NR 9 or N(R 10 ) 2 + ;
  • Z 10 is O or NR 12 , wherein R 12 is hydrogen, lower alkyl, or substituted lower alkyl; and
  • T 3 is the same as defined for T 2 with the exception that U a is bonded to X 3 of formula III.
  • the compound is a ghrelin receptor agonist or a GHS-R1a receptor agonist.
  • compositions comprising: (a) a compound of the present invention; and (b) a pharmaceutically acceptable carrier, excipient or diluent.
  • kits comprising one or more containers containing pharmaceutical dosage units comprising an effective amount of one or more compounds of the present invention packaged with optional instructions for the use thereof.
  • aspects of the present invention further provide methods of stimulating gastrointestinal motility, modulating GHS-R1a receptor activity in a mammal and/or treating a gastrointestinal disorder comprising administering to a subject in need thereof an effective amount of a modulator that modulates a mammalian GHS-R1a receptor.
  • a modulator that modulates a mammalian GHS-R1a receptor.
  • interaction of the modulator and the GHS-R1a receptor does not result in a significant amount of growth hormone release.
  • the modulator is a compound of formula I, II and/or III.
  • Additional aspects of the present invention provide methods of diagnosing tumors and/or acromegaly, comprising administering compounds of the present invention and a radiolabeled metal binding agent and detecting the binding of the composition to a biological target, and treating tumors and/or acromegaly comprising administering a therapeutically effective amount of a composition comprising a compound of the present invention.
  • aspects of the present invention further relate to methods of preventing and/or treating disorders described herein, in particular, gastrointestinal disorders, including post-operative ileus, gastroparesis, such as diabetic and post-surgical gastroparesis, opioid-induced bowel dysfunction, chronic intestinal pseudo-obstruction, short bowel syndrome, emesis such as caused by cancer chemotherapy, constipation such as associated with the hypomotility phase of irritable bowel syndrome (IBS), delayed gastric emptying associated with wasting conditions, gastroesophageal reflux disease (GERD), gastric ulcers, Crohn's disease, gastrointestinal disorders characterized by dysmotility and other diseases and disorders of the gastrointestinal tract.
  • gastrointestinal disorders including post-operative ileus, gastroparesis, such as diabetic and post-surgical gastroparesis, opioid-induced bowel dysfunction, chronic intestinal pseudo-obstruction, short bowel syndrome, emesis such as caused by cancer chemotherapy, constipation such as associated with the hypomotility phase of irritable bowel syndrome (IBS), delayed
  • the present invention also relates to compounds of formula I, II and/or III used for the preparation of a medicament for prevention and/or treatment of the disorders described herein.
  • FIG. 1 shows a scheme presenting a general synthetic strategy to provide conformationally-defined macrocycles of the present invention.
  • FIG. 2 shows a general thioester strategy for making macrocyclic compounds of the present invention.
  • FIG. 3 shows a general ring-closing metathesis (RCM) strategy for macrocyclic compounds of the present invention.
  • FIG. 4 shows competitive binding curves for binding of exemplary compounds of the present invention to the hGHS-R1a receptor.
  • FIG. 5 shows concentration-response curves for activation of the hGHS-R1a receptor by exemplary compounds of the present invention.
  • FIG. 6 shows graphs depicting pharmacokinetic parameters for exemplary compounds of the present invention, specifically after oral administration of 8 mg/kg compound 298 (panel A), after subcutaneous injection of 2 mg/kg compound 298 with cyclodextrin (panel B), after intravenous administration of 2 mg/kg compound 25 with cyclodextrin (panel C) and after intravenous administration of 2 mg/kg compound 298 with cyclodextrin (panel D).
  • FIG. 7 shows graphs presenting effects on gastric emptying for exemplary compounds of the present invention.
  • FIG. 8 shows a graph presenting effects on postoperative ileus for an exemplary compound of the present invention.
  • FIG. 9 shows graphs depicting the effect on pulsatile growth hormone release for an exemplary compound of the present invention.
  • FIG. 10 shows a competitive binding curve for binding of an exemplary compound of the present invention to the hGHS-R1a receptor.
  • FIG. 11 shows an activation curve demonstrating the agonism of an exemplary compound of the present invention.
  • FIG. 12 shows a graph depicting the lack of effect on ghrelin-induced growth hormone release for an exemplary compound of the present invention.
  • FIG. 13 shows graphs depicting receptor desentization associated with binding of exemplary compounds of the present invention to the hGHS-R1a receptor.
  • FIG. 14 shows graphs presenting effects on gastric emptying for an exemplary compound of the present invention.
  • FIG. 15 shows a graph presenting effects on postoperative ileus for an exemplary compound of the present invention.
  • FIG. 16 shows graphs depicting reversal of morphine-delayed gastric emptying (panel A) and morphine-delayed gastrointestinal transit (panel B) for an exemplary compound of the present invention.
  • FIG. 17 shows graphs depicting effects on gastroparesis for exemplary compounds of the present invention.
  • alkyl refers to straight or branched chain saturated or partially unsaturated hydrocarbon groups having from 1 to 20 carbon atoms, in some instances 1 to 8 carbon atoms.
  • lower alkyl refers to alkyl groups containing 1 to 6 carbon atoms. Examples of alkyl groups include, but are not limited to, methyl, ethyl, isopropyl, tert-butyl, 3-hexenyl, and 2-butynyl.
  • unsaturated is meant the presence of 1, 2 or 3 double or triple bonds, or a combination of the two. Such alkyl groups may also be optionally substituted as described below.
  • C 2 -C 4 alkyl indicates an alkyl group with 2, 3 or 4 carbon atoms.
  • cycloalkyl refers to saturated or partially unsaturated cyclic hydrocarbon groups having from 3 to 15 carbon atoms in the ring, in some instances 3 to 7, and to alkyl groups containing said cyclic hydrocarbon groups.
  • examples of cycloalkyl groups include, but are not limited to, cyclopropyl, cyclopropylmethyl, cyclopentyl, 2-(cyclohexyl)ethyl, cycloheptyl, and cyclohexenyl.
  • Cycloalkyl as defined herein also includes groups with multiple carbon rings, each of which may be saturated or partially unsaturated, for example decalinyl, [2.2.1]-bicycloheptanyl or adamantanyl. All such cycloalkyl groups may also be optionally substituted as described below.
  • aromatic refers to an unsaturated cyclic hydrocarbon group having a conjugated pi electron system that contains 4n+2 electrons where n is an integer greater than or equal to 1.
  • Aromatic molecules are typically stable and are depicted as a planar ring of atoms with resonance structures that consist of alternating double and single bonds, for example benzene or naphthalene.
  • aryl refers to an aromatic group in a single or fused carbocyclic ring system having from 6 to 15 ring atoms, in some instances 6 to 10, and to alkyl groups containing said aromatic groups.
  • aryl groups include, but are not limited to, phenyl, 1-naphthyl, 2-naphthyl and benzyl.
  • Aryl as defined herein also includes groups with multiple aryl rings which may be fused, as in naphthyl and anthracenyl, or unfused, as in biphenyl and terphenyl.
  • Aryl also refers to bicyclic or tricyclic carbon rings, where one of the rings is aromatic and the others of which may be saturated, partially unsaturated or aromatic, for example, indanyl or tetrahydronaphthyl (tetralinyl). All such aryl groups may also be optionally substituted as described below.
  • heterocycle refers to saturated or partially unsaturated monocyclic, bicyclic or tricyclic groups having from 3 to 15 atoms, in some instances 3 to 7, with at least one heteroatom in at least one of the rings, said heteroatom being selected from O, S or N.
  • Each ring of the heterocyclic group can contain one or two O atoms, one or two S atoms, one to four N atoms, provided that the total number of heteroatoms in each ring is four or less and each ring contains at least one carbon atom.
  • the fused rings completing the bicyclic or tricyclic heterocyclic groups may contain only carbon atoms and may be saturated or partially unsaturated.
  • heterocyclic also refers to alkyl groups containing said monocyclic, bicyclic or tricyclic heterocyclic groups. Examples of heterocyclic rings include, but are not limited to, 2- or 3-piperidinyl, 2- or 3-piperazinyl, 2- or 3-morpholinyl. All such heterocyclic groups may also be optionally substituted as described below
  • heteroaryl refers to an aromatic group in a single or fused ring system having from 5 to 15 ring atoms, in some instances 5 to 10, which have at least one heteroatom in at least one of the rings, said heteroatom being selected from O, S or N.
  • Each ring of the heteroaryl group can contain one or two O atoms, one or two S atoms, one to four N atoms, provided that the total number of heteroatoms in each ring is four or less and each ring contains at least one carbon atom.
  • the fused rings completing the bicyclic or tricyclic groups may contain only carbon atoms and may be saturated, partially unsaturated or aromatic.
  • the N atoms may optionally be quaternized or oxidized to the N-oxide.
  • Heteroaryl also refers to alkyl groups containing said cyclic groups.
  • Examples of monocyclic heteroaryl groups include, but are not limited to pyrrolyl, pyrazolyl, pyrazolinyl, imidazolyl, oxazolyl, isoxazolyl, thiazolyl, thiadiazolyl, isothiazolyl, furanyl, thienyl, oxadiazolyl, pyridyl, pyrazinyl, pyrimidinyl, pyridazinyl, and triazinyl.
  • bicyclic heteroaryl groups include, but are not limited to indolyl, benzothiazolyl, benzoxazolyl, benzothienyl, quinolinyl, tetrahydroisoquinolinyl, isoquinolinyl, benzimidazolyl, benzopyranyl, indolizinyl, benzofuranyl, isobenzofuranyl, chromonyl, coumarinyl, benzopyranyl, cinnolinyl, quinoxalinyl, indazolyl, purinyl, pyrrolopyridinyl, furopyridinyl, thienopyridinyl, dihydroisoindolyl, and tetrahydroquinolinyl.
  • tricyclic heteroaryl groups include, but are not limited to carbazolyl, benzindolyl, phenanthrollinyl, acridinyl, phenanthridinyl, and xanthenyl. All such heteroaryl groups may also be optionally substituted as described below.
  • hydroxy refers to the group —OH.
  • alkoxy refers to the group —OR a , wherein R a is alkyl, cycloalkyl or heterocyclic. Examples include, but are not limited to methoxy, ethoxy, tert-butoxy, cyclohexyloxy and tetrahydropyranyloxy.
  • aryloxy refers to the group —OR b wherein R b is aryl or heteroaryl. Examples include, but are not limited to phenoxy, benzyloxy and 2-naphthyloxy.
  • acyl refers to the group —C( ⁇ O)—R c wherein R c is alkyl, cycloalkyl, heterocyclic, aryl or heteroaryl. Examples include, but are not limited to, acetyl, benzoyl and furoyl.
  • amino acyl indicates an acyl group that is derived from an amino acid.
  • amino refers to an —NR d R e group wherein R d and R e are independently selected from the group consisting of hydrogen, alkyl, cycloalkyl, heterocyclic, aryl and heteroaryl.
  • R d and R e together form a heterocyclic ring of 3 to 8 members, optionally substituted with unsubstituted alkyl, unsubstituted cycloalkyl, unsubstituted heterocyclic, unsubstituted aryl, unsubstituted heteroaryl, hydroxy, alkoxy, aryloxy, acyl, amino, amido, carboxy, carboxyalkyl, carboxyaryl, mercapto, sulfinyl, sulfonyl, sulfonamido, amidino, carbamoyl, guanidino or ureido, and optionally containing one to three additional heteroatoms selected from O, S or N.
  • amido refers to the group —C( ⁇ O)—NR f R g wherein R f and R g are independently selected from the group consisting of hydrogen, alkyl, cycloalkyl, heterocyclic, aryl and heteroaryl.
  • R f and R g together form a heterocyclic ring of 3 to 8 members, optionally substituted with unsubstituted alkyl, unsubstituted cycloalkyl, unsubstituted heterocyclic, unsubstituted aryl, unsubstituted heteroaryl, hydroxy, alkoxy, aryloxy, acyl, amino, amido, carboxy, carboxyalkyl, carboxyaryl, mercapto, sulfinyl, sulfonyl, sulfonamido, amidino, carbamoyl, guanidino or ureido, and optionally containing one to three additional heteroatoms selected from O, S or N.
  • amino refers to the group —C( ⁇ NR h )NR i R j wherein R h is selected from the group consisting of hydrogen, alkyl, cycloalkyl, heterocyclic, aryl and heteroaryl; and R i and R j are independently selected from the group consisting of hydrogen, alkyl, cycloalkyl, heterocyclic, aryl and heteroaryl.
  • R i and R j together form a heterocyclic ring of 3 to 8 members, optionally substituted with unsubstituted alkyl, unsubstituted cycloalkyl, unsubstituted heterocyclic, unsubstituted aryl, unsubstituted heteroaryl, hydroxy, alkoxy, aryloxy, acyl, amino, amido, carboxy, carboxyalkyl, carboxyaryl, mercapto, sulfinyl, sulfonyl, sulfonamido, amidino, carbamoyl, guanidino or ureido, and optionally containing one to three additional heteroatoms selected from O, S or N.
  • Carboxyalkyl refers to the group —CO 2 R k , wherein R k is alkyl, cycloalkyl or heterocyclic.
  • carboxyaryl refers to the group —CO 2 R m , wherein R m is aryl or heteroaryl.
  • cyano refers to the group —CN.
  • halo refers to fluoro, fluorine or fluoride, chloro, chlorine or chloride, bromo, bromine or bromide, and iodo, iodine or iodide, respectively.
  • oxo refers to the bivalent group ⁇ O, which is substituted in place of two hydrogen atoms on the same carbon to form a carbonyl group.
  • mercapto refers to the group —SR n wherein R n is hydrogen, alkyl, cycloalkyl, heterocyclic, aryl or heteroaryl.
  • nitro refers to the group —NO 2 .
  • trifluoromethyl refers to the group —CF 3 .
  • sulfinyl refers to the group —S( ⁇ O)R p wherein R p is alkyl, cycloalkyl, heterocyclic, aryl or heteroaryl.
  • sulfonyl refers to the group —S( ⁇ O) 2 —R q1 wherein R q1 is alkyl, cycloalkyl, heterocyclic, aryl or heteroaryl.
  • aminosulfonyl refers to the group —NR q2 —S ( ⁇ O) 2 —R q3 wherein R q2 is hydrogen, alkyl, cycloalkyl, heterocyclic, aryl or heteroaryl; and R q3 is alkyl, cycloalkyl, heterocyclic, aryl or heteroaryl.
  • sulfonamido refers to the group —S( ⁇ O) 2 —NR r R s wherein R r and R s are independently selected from the group consisting of hydrogen, alkyl, cycloalkyl, heterocyclic, aryl or heteroaryl.
  • R r and R s together form a heterocyclic ring of 3 to 8 members, optionally substituted with unsubstituted alkyl, unsubstituted cycloalkyl, unsubstituted heterocyclic, unsubstituted aryl, unsubstituted heteroaryl, hydroxy, alkoxy, aryloxy, acyl, amino, amido, carboxy, carboxyalkyl, carboxyaryl, mercapto, sulfinyl, sulfonyl, sulfonamido, amidino, carbamoyl, guanidino or ureido, and optionally containing one to three additional heteroatoms selected from O, S or N.
  • carbamoyl refers to a group of the formula —N(R t )—C( ⁇ O)—OR u wherein R t is selected from hydrogen, alkyl, cycloalkyl, heterocyclic, aryl or heteroaryl; and R u is selected from alkyl, cycloalkyl, heterocylic, aryl or heteroaryl.
  • guanidino refers to a group of the formula —N(R v )—C( ⁇ NR w )—NR x R y wherein R v , R w , R x and R y are independently selected from hydrogen, alkyl, cycloalkyl, heterocyclic, aryl or heteroaryl.
  • R x and R y together form a heterocyclic ring or 3 to 8 members, optionally substituted with unsubstituted alkyl, unsubstituted cycloalkyl, unsubstituted heterocyclic, unsubstituted aryl, unsubstituted heteroaryl, hydroxy, alkoxy, aryloxy, acyl, amino, amido, carboxy, carboxyalkyl, carboxyaryl, mercapto, sulfinyl, sulfonyl, sulfonamido, amidino, carbamoyl, guanidino or ureido, and optionally containing one to three additional heteroatoms selected from O, S or N.
  • ureido refers to a group of the formula —N(R z )—C( ⁇ O)—NR aa R bb wherein R z , R aa and R bb are independently selected from hydrogen, alkyl, cycloalkyl, heterocyclic, aryl or heteroaryl.
  • R aa and R bb together form a heterocyclic ring of 3 to 8 members, optionally substituted with unsubstituted alkyl, unsubstituted cycloalkyl, unsubstituted heterocyclic, unsubstituted aryl, unsubstituted heteroaryl, hydroxy, alkoxy, aryloxy, acyl, amino, amido, carboxy, carboxyalkyl, carboxyaryl, mercapto, sulfinyl, sulfonyl, sulfonamido, amidino, carbamoyl, guanidino or ureido, and optionally containing one to three additional heteroatoms selected from O, S or N.
  • optionally substituted is intended to expressly indicate that the specified group is unsubstituted or substituted by one or more suitable substituents, unless the optional substituents are expressly specified, in which case the term indicates that the group is unsubstituted or substituted with the specified substituents.
  • substituted when used with the terms alkyl, cycloalkyl, heterocyclic, aryl and heteroaryl refers to an alkyl, cycloalkyl, heterocyclic, aryl or heteroaryl group having one or more of the hydrogen atoms of the group replaced by substituents independently selected from unsubstituted alkyl, unsubstituted cycloalkyl, unsubstituted heterocyclic, unsubstituted aryl, unsubstituted heteroaryl, hydroxy, alkoxy, aryloxy, acyl, amino, amido, carboxy, carboxyalkyl, carboxyaryl, halo, oxo, mercapto, sulfinyl, sulfonyl, sulfonamido, amidino, carbamoyl, guanidino, ureido and groups of the formulas —NR cc C( ⁇ O)R dd ,
  • R gg and R hh , R jj and R kk or R pp and R qq together form a heterocyclic ring of 3 to 8 members, optionally substituted with unsubstituted alkyl, unsubstituted cycloalkyl, unsubstituted heterocyclic, unsubstituted aryl, unsubstituted heteroaryl, hydroxy, alkoxy, aryloxy, acyl, amino, amido, carboxy, carboxyalkyl, carboxyaryl, mercapto, sulfinyl, sulfonyl, sulfonamido, amidino, carbamoyl, guanidino or ureido, and optionally containing one to three additional heteroatoms selected from O, S or N.
  • substituted for aryl and heteroaryl groups includes as an option having one of the hydrogen atoms of the group replaced by cyano, nitro or
  • substitution is made provided that any atom's normal valency is not exceeded and that the substitution results in a stable compound.
  • such substituted group is preferably not further substituted or, if substituted, the substituent comprises only a limited number of substituted groups, in some instances 1, 2, 3 or 4 such substituents.
  • stable compound or “stable structure” refers to a compound that is sufficiently robust to survive isolation to a useful degree of purity and formulation into an efficacious therapeutic agent.
  • amino acid refers to the common natural (genetically encoded) or synthetic amino acids and common derivatives thereof, known to those skilled in the art.
  • standard or “proteinogenic” refers to the genetically encoded 20 amino acids in their natural configuration.
  • unnatural or “unusual” refers to the wide selection of non-natural, rare or synthetic amino acids such as those described by Hunt, S. in Chemistry and Biochemistry of the Amino Acids, Barrett, G. C., Ed., Chapman and Hall: New York, 1985.
  • residue with reference to an amino acid or amino acid derivative refers to a group of the formula:
  • R AA is an amino acid side chain
  • n 0, 1 or 2 in this instance.
  • fragment with respect to a dipeptide, tripeptide or higher order peptide derivative indicates a group that contains two, three or more, respectively, amino acid residues.
  • amino acid side chain refers to any side chain from a standard or unnatural amino acid, and is denoted R AA .
  • the side chain of alanine is methyl
  • the side chain of valine is isopropyl
  • the side chain of tryptophan is 3-indolylmethyl.
  • agonist refers to a compound that duplicates at least some of the effect of the endogenous ligand of a protein, receptor, enzyme or the like.
  • antagonist refers to a compound that inhibits at least some of the effect of the endogenous ligand of a protein, receptor, enzyme or the like.
  • growth hormone secretagogue refers to any exogenously administered compound or agent that directly or indirectly stimulates or increases the endogenous release of growth hormone, growth hormone-releasing hormone, or somatostatin in an animal, in particular, a human.
  • a GHS may be peptidic or non-peptidic in nature, in some instances, with an agent that can be administered orally. In some instances, the agent can induce a pulsatile response.
  • modulator refers to a compound that imparts an effect on a biological or chemical process or mechanism.
  • a modulator may increase, facilitate, upregulate, activate, inhibit, decrease, block, prevent, delay, desensitize, deactivate, down regulate, or the like, a biological or chemical process or mechanism.
  • a modulator can be an “agonist” or an “antagonist.”
  • Exemplary biological processes or mechanisms affected by a modulator include, but are not limited to, receptor binding and hormone release or secretion.
  • Exemplary chemical processes or mechanisms affected by a modulator include, but are not limited to, catalysis and hydrolysis.
  • variable when applied to a receptor is meant to include dimers, trimers, tetramers, pentamers and other biological complexes containing multiple components. These components can be the same or different.
  • peptide refers to a chemical compound comprised of two or more amino acids covalently bonded together.
  • peptidomimetic refers to a chemical compound designed to mimic a peptide, but which contains structural differences through the addition or replacement of one of more functional groups of the peptide in order to modulate its activity or other properties, such as solubility, metabolic stability, oral bioavailability, lipophilicity, permeability, etc. This can include replacement of the peptide bond, side chain modifications, truncations, additions of functional groups, etc.
  • non-peptide peptidomimetic When the chemical structure is not derived from the peptide, but mimics its activity, it is often referred to as a “non-peptide peptidomimetic.”
  • peptide bond refers to the amide [—C( ⁇ O)—NH—] functionality with which individual amino acids are typically covalently bonded to each other in a peptide.
  • protecting group refers to any chemical compound that may be used to prevent a potentially reactive functional group, such as an amine, a hydroxyl or a carboxyl, on a molecule from undergoing a chemical reaction while chemical change occurs elsewhere in the molecule.
  • a potentially reactive functional group such as an amine, a hydroxyl or a carboxyl
  • a number of such protecting groups are known to those skilled in the art and examples can be found in “Protective Groups in Organic Synthesis,” Theodora W. Greene and Peter G. Wuts, editors, John Wiley & Sons, New York, 3 rd edition, 1999 [ISBN 0471160199].
  • amino protecting groups include, but are not limited to, phthalimido, trichloroacetyl, benzyloxycarbonyl, tert-butoxycarbonyl, and adamantyloxycarbonyl.
  • amino protecting groups are carbamate amino protecting groups, which are defined as an amino protecting group that when bound to an amino group forms a carbamate.
  • amino carbamate protecting groups are allyloxycarbonyl (Alloc), benzyloxycarbonyl (Cbz), 9-fluorenylmethoxycarbonyl (Fmoc), tertbutoxycarbonyl (Boc) and ⁇ , ⁇ -dimethyl-3,5-dimethoxybenzyloxycarbonyl (Ddz).
  • hydroxyl protecting groups include, but are not limited to, acetyl, tert-butyldimethylsilyl (TBDMS), trityl (Trt), tert-butyl, and tetrahydropyranyl (THP).
  • carboxyl protecting groups include, but are not limited to methyl ester, tert-butyl ester, benzyl ester, trimethylsilylethyl ester, and 2,2,2-trichloroethyl ester.
  • solid phase chemistry refers to the conduct of chemical reactions where one component of the reaction is covalently bonded to a polymeric material (solid support as defined below). Reaction methods for performing chemistry on solid phase have become more widely known and established outside the traditional fields of peptide and oligonucleotide chemistry.
  • solid support refers to a mechanically and chemically stable polymeric matrix utilized to conduct solid phase chemistry. This is denoted by “Resin,” “P-” or the following symbol:
  • polystyrene polyethylene, polyethylene glycol, polyethylene glycol grafted or covalently bonded to polystyrene (also termed PEG-polystyrene, TentaGelTM, Rapp, W.; Zhang, L.; Bayer, E.
  • This solid support can include as non-limiting examples aminomethyl polystyrene, hydroxymethyl polystyrene, benzhydrylamine polystyrene (BHA), methylbenzhydrylamine (MBHA) polystyrene, and other polymeric backbones containing free chemical functional groups, most typically, —NH 2 or —OH, for further derivatization or reaction.
  • the term is also meant to include “Ultraresins” with a high proportion (“loading”) of these functional groups such as those prepared from polyethyleneimines and cross-linking molecules (Barth, M.; Rademann, J. J. Comb. Chem. 2004, 6, 340-349).
  • resins are typically discarded, although they have been shown to be able to be reused such as in Frechet, J. M. J.; Hague, K. E. Tetrahedron Lett. 1975, 16, 3055.
  • the materials used as resins are insoluble polymers, but certain polymers have differential solubility depending on solvent and can also be employed for solid phase chemistry.
  • polyethylene glycol can be utilized in this manner since it is soluble in many organic solvents in which chemical reactions can be conducted, but it is insoluble in others, such as diethyl ether.
  • reactions can be conducted homogeneously in solution, then the product on the polymer precipitated through the addition of diethyl ether and processed as a solid. This has been termed “liquid-phase” chemistry.
  • linker when used in reference to solid phase chemistry refers to a chemical group that is bonded covalently to a solid support and is attached between the support and the substrate typically in order to permit the release (cleavage) of the substrate from the solid support. However, it can also be used to impart stability to the bond to the solid support or merely as a spacer element. Many solid supports are available commercially with linkers already attached.
  • the term “effective amount” or “effective” is intended to designate a dose that causes a relief of symptoms of a disease or disorder as noted through clinical testing and evaluation, patient observation, and/or the like, and/or a dose that causes a detectable change in biological or chemical activity.
  • the detectable changes may be detected and/or further quantified by one skilled in the art for the relevant mechanism or process.
  • the dosage will vary depending on the administration routes, symptoms and body weight of the patient but also depending upon the compound being administered.
  • Administration of two or more compounds “in combination” means that the two compounds are administered closely enough in time that the presence of one alters the biological effects of the other.
  • the two compounds can be administered simultaneously (concurrently) or sequentially.
  • Simultaneous administration can be carried out by mixing the compounds prior to administration, or by administering the compounds at the same point in time but at different anatomic sites or using different routes of administration.
  • the phrases “concurrent administration”, “administration in combination”, “simultaneous administration” or “administered simultaneously” as used herein, means that the compounds are administered at the same point in time or immediately following one another. In the latter case, the two compounds are administered at times sufficiently close that the results observed are indistinguishable from those achieved when the compounds are administered at the same point in time.
  • pharmaceutically active metabolite is intended to mean a pharmacologically active product produced through metabolism in the body of a specified compound.
  • solvate is intended to mean a pharmaceutically acceptable solvate form of a specified compound that retains the biological effectiveness of such compound.
  • examples of solvates include compounds of the invention in combination with water, isopropanol, ethanol, methanol, DMSO, ethyl acetate, acetic acid, or ethanolamine.
  • Novel macrocyclic compounds of the present invention include macrocyclic compounds comprising a building block structure including a tether component that undergoes cyclization to form the macrocyclic compound.
  • the building block structure can comprise amino acids (standard and unnatural), hydroxy acids, hydrazino acids, aza-amino acids, specialized moieties such as those that play a role in the introduction of peptide surrogates and isosteres, and a tether component as described herein.
  • the tether component can be selected from the following:
  • (Z 2 ) is the site of a covalent bond of T to Z 2 , and Z 2 is as defined below for formula I, and wherein (X) is the site of a covalent bond of T to X, and X is as defined below for formula I;
  • L 7 is —CH 2 — or —O—;
  • U 1 is —CR 101 R 102 — or —C( ⁇ O)—;
  • R 100 is lower alkyl;
  • R 101 and R 102 are each independently hydrogen, lower alkyl or substituted lower alkyl;
  • xx is 2 or 3;
  • yy is 1 or 2; zz is 1 or 2; and
  • aaa is 0 or 1.
  • Macrocyclic compounds of the present invention further include those of formula I, formula II and/or formula III:
  • R 1 is hydrogen or the side chain of an amino acid, or alternatively R 1 and R 2 together form a 4-, 5-, 6-, 7- or 8-membered ring, optionally comprising an O, S or N atom in the ring, wherein the ring is optionally substituted with R 8 as defined below, or alternatively R 1 and R 9 together form a 3-, 4-, 5-, 6- or 7-membered ring, optionally comprising an O, S or additional N atom in the ring, wherein the ring is optionally substituted with R 8 as defined below;
  • R 2 is hydrogen or the side chain of an amino acid, or alternatively R 1 and R 2 together form a 4-, 5-, 6-, 7- or 8-membered ring, optionally comprising an O, S or N atom in the ring, wherein the ring is optionally substituted with R 8 as defined below; or alternatively R 2 and R 9 together form a 3-, 4-, 5-, 6- or 7-membered ring, optionally comprising an O, S or additional N atom in the ring, wherein the ring is optionally substituted with R 8 as defined below;
  • R 3 is hydrogen or the side chain of an amino acid, or alternatively R 3 and R 4 together form a 3-, 4-, 5-, 6- or 7-membered ring, optionally comprising an O or S atom in the ring, wherein the ring is optionally substituted with R 8 as defined below, or alternatively, R 3 and R 7 or R 3 and R 11 together form a 4-, 5-, 6-, 7- or 8-membered heterocyclic ring, optionally comprising an O, S or additional N atom in the ring, wherein the ring is optionally substituted with R 8 as defined below;
  • R 4 is hydrogen or the side chain of an amino acid, or alternatively R 4 and R 3 together form a 3-, 4-, 5-, 6- or 7-membered ring, optionally comprising an O or S atom in the ring, wherein the ring is optionally substituted with R 8 as defined below, or alternatively R 4 and R 7 or R 4 and R 11 together form a 4-, 5-, 6-, 7- or 8-membered heterocyclic ring, optionally comprising an O, S or additional N atom in the ring, wherein the ring is optionally substituted with R 8 as defined below;
  • R 5 and R 6 are each independently hydrogen or the side chain of an amino acid or alternatively R 5 and R 6 together form a 3-, 4-, 5-, 6- or 7-membered ring, optionally comprising an O, S or N atom in the ring, wherein the ring is optionally substituted with R 8 as defined below;
  • R 7 is hydrogen, lower alkyl, substituted lower alkyl, cycloalkyl, substituted cycloalkyl, a heterocyclic group, or a substituted heterocyclic group, or alternatively R 3 and R 7 or R 4 and R 7 together form a 4-, 5-, 6-, 7- or 8-membered heterocyclic ring optionally comprising an O, S or additional N atom in the ring, wherein the ring is optionally substituted with R 8 as described below;
  • R 8 is substituted for one or more hydrogen atoms on the 3-, 4-, 5-, 6-, 7- or 8-membered-ring structure and is independently selected from the group consisting of alkyl, substituted cycloalkyl, substituted cycloalkyl, a heterocyclic group, a substituted heterocyclic group, aryl, substituted aryl, heteroaryl, substituted heteroaryl, hydroxy, alkoxy, aryloxy, oxo, amino, halogen, formyl, acyl, carboxy, carboxyalkyl, carboxyaryl, amido, carbamoyl, guanidino, ureido, amidino, mercapto, sulfinyl, sulfonyl and sulfonamido, or, alternatively, R 8 is a fused cycloalkyl, a substituted fused cycloalkyl, a fused heterocyclic, a substituted fused heterocyclic, a
  • X is O, NR 9 or N(R 10 ) 2 + ;
  • Z 1 is O or NR 11 ,
  • Z 2 is O or NR 12 , wherein R 12 is hydrogen, lower alkyl, or substituted lower alkyl;
  • n and p are each independently 0, 1 or 2;
  • T is a bivalent radical of formula IV: —U—(CH 2 ) d —W—Y-Z-(CH 2 ) e — (IV)
  • R 50 is —(CH 2 ) ss CH 3 , —CH(CH 3 )(CH 2 ) tt CH 3 , —(CH 2 ) uu CH(CH 3 ) 2 , —C(CH 3 ) 3 , —(CHR 55 ) vv —R 56 , or —(CH(OR 57 )CH 3 , wherein ss is 1, 2 or 3; tt is 1 or 2; uu is 0, 1 or 2; and vv is 0, 1, 2, 3 or 4; R 55 is hydrogen or C 1 -C 4 alkyl; R 56 is amino, hydroxy, alkoxy, cycloalkyl or substituted cycloalkyl; and R 57 is hydrogen, alkyl, acyl, amino acyl, sulfonyl, carboxyalkyl or carboxyaryl;
  • R 51 is hydrogen, C 1 -C 4 alkyl or C 1 -C 4 alkyl substituted with hydroxy or alkoxy;
  • R 52 is —(CHR 58 ) ww R 59 , wherein ww is 0, 1, 2 or 3;
  • R 58 is hydrogen, C 1 -C 4 alkyl, amino, hydroxy or alkoxy;
  • R 59 is aryl, substituted aryl, heteroaryl, substituted heteroaryl, cycloalkyl or substituted cycloalkyl;
  • R 53 is hydrogen or C 1 -C 4 alkyl
  • X 2 is O, NR 9 or N(R 10 ) 2 + ;
  • Z 5 is O or NR 12 , wherein R 12 is hydrogen, lower alkyl, or substituted lower alkyl;
  • T 2 is a bivalent radical of formula V: —U a —(CH 2 ) d —W a —Y a -Z a -(CH 2 ) e — (V)
  • T 2 is not an amino acid residue, dipeptide fragment, tripeptide fragment or higher order peptide fragment comprising standard amino acids;
  • R 70 is hydrogen, C 1 -C 4 alkyl or alternatively R 70 and R 71 together form a 4-, 5-, 6-, 7- or 8-membered ring, optionally comprising an O, N or S atom in the ring, wherein the ring is optionally substituted with R 8a as defined below;
  • R 71 is, hydrogen, —(CH 2 ) aa CH 3 , —CH(CH 3 )(CH 2 ) bb CH 3 , —(CH 2 ) cc CH(CH 3 ) 2 , —(CH 2 ) dd —R 76 or —CH(OR 77 ) CH 3 or, alternatively R 71 and R 70 together form a 4-, 5-, 6-, 7- or 8-membered ring, optionally comprising an O, N or S atom in the ring, wherein the ring is optionally substituted with R 8a as defined below; wherein aa is 0, 1, 2, 3, 4 or 5; bb is 1, 2 or 3; cc is 0, 1, 2 or 3; and dd is 0, 1, 2, 3 or 4; R 76 is aryl, substituted aryl, heteroaryl, substituted heteroaryl, cycloalkyl or substituted cycloalkyl; R 77 is hydrogen, alkyl, acyl, amino
  • R 72 is C 1 -C 4 alkyl; or alternatively R 72 and R 73 together form a 3-, 4-, 5-, 6- or 7-membered ring, optionally comprising an O or S atom in the ring, wherein the ring is optionally substituted with R 8b as defined below;
  • R 73 is hydrogen, or alternatively R 73 and R 72 together form a 3-, 4-, 5-, 6- or 7-membered ring, optionally comprising an O, S or N atom in the ring, wherein the ring is optionally substituted with R 8b as defined below;
  • R 74 is hydrogen or C 1 -C 4 alkyl or alternatively R 74 and R 75 together form a 3-, 4-, 5-, 6- or 7-membered ring, optionally comprising an O, N or S atom in the ring, wherein the ring is optionally substituted with R 8c as defined below;
  • R 75 is —(CHR 78 )R 79 or alternatively R 75 and R 74 together form a 3-, 4-, 5-, 6- or 7-membered ring, optionally comprising an O, N or S atom in the ring, wherein the ring is optionally substituted with R 8 , as defined below: wherein R 78 is hydrogen, C 1 -C 4 alkyl, amino, hydroxy or alkoxy, and R 79 is selected from the group consisting of the following structures:
  • R 8a , R 8b and R 8c are each independently substituted for one or more hydrogen atoms on the 3-, 4-, 5-, 6-, 7- or 8-membered ring structure and are independently selected from the group consisting of alkyl, substituted alkyl, cycloalkyl, substituted cycloalkyl, a heterocyclic group, a substituted heterocyclic group, aryl, substituted aryl, heteroaryl, substituted heteroaryl, hydroxy, alkoxy, aryloxy, oxo, amino, halogen, formyl, acyl, carboxy, carboxyalkyl, carboxyaryl, amido, carbamoyl, guanidino, ureido, amidino, mercapto, sulfinyl, sulfonyl and sulfonamido, or, alternatively, R 8a , R 8b and R 8c are each independently a fused cycloalkyl, a substituted fuse
  • X 3 is O, NR 9 or N(R 10 ) 2 + ;
  • Z 10 is O or NR 12 , wherein R 12 is hydrogen, lower alkyl, or substituted lower alkyl; and
  • T 3 is the same as defined for T 2 with the exception that U a is bonded to X 3 of formula III.
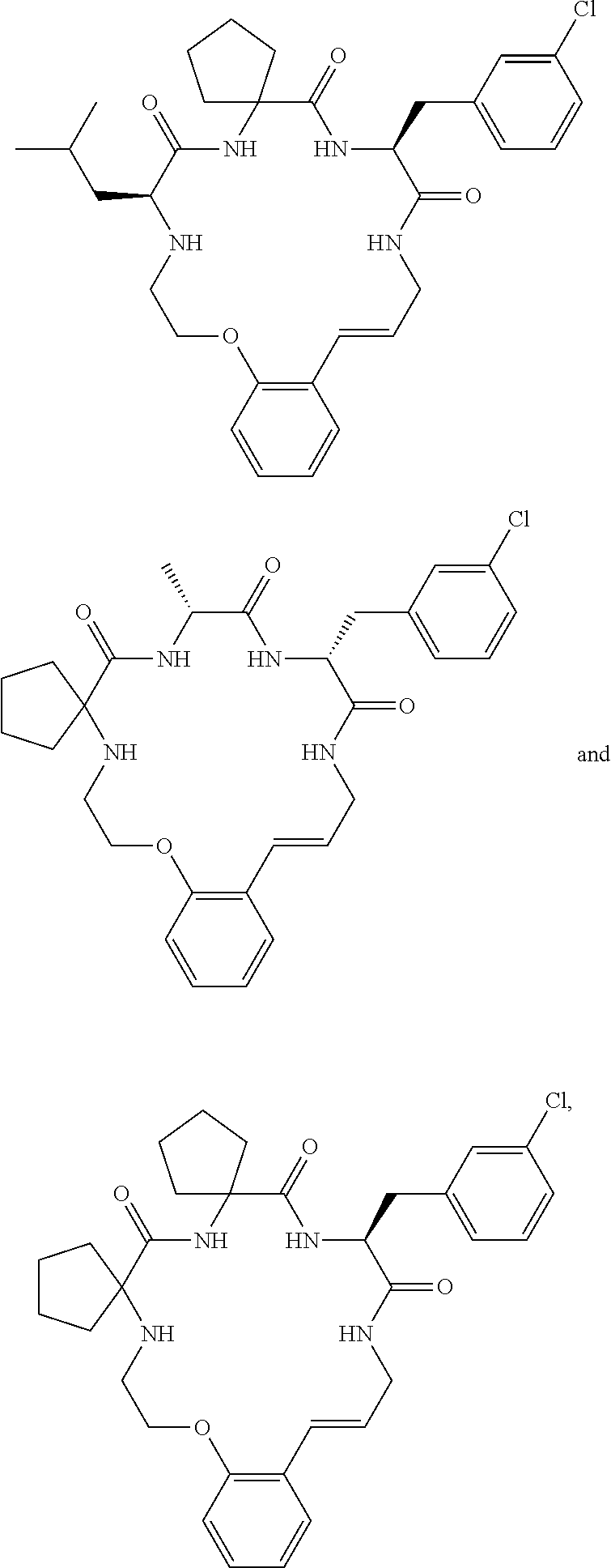
  • the compound can have one of the following structures:
  • the present invention includes isolated compounds.
  • An isolated compound refers to a compound that, in some embodiements, comprises at least 10%, at least 25%, at least 50% or at least 70% of the compounds of a mixture.
  • the compound, pharmaceutically acceptable salt thereof or pharmaceutical composition containing the compound exhibits a statistically significant binding and/or antagonist activity when tested in biological assays at the human ghrelin receptor.
  • the compounds of formula I, II and/or III disclosed herein have asymmetric centers.
  • the inventive compounds may exist as single stereoisomers, racemates, and/or mixtures of enantiomers and/or diastereomers. All such single stereoisomers, racemates, and mixtures thereof are intended to be within the scope of the present invention. In particular embodiments, however, the inventive compounds are used in optically pure form.
  • the terms “S” and “R” configuration as used herein are as defined by the IUPAC 1974 Recommendations for Section E, Fundamentals of Stereochemistry (Pure Appl. Chem. 1976, 45, 13-30.)
  • the compounds may be prepared as a single stereoisomer or a mixture of stereoisomers.
  • the non-racemic forms may be obtained by either synthesis or resolution.
  • the compounds may, for example, be resolved into the component enantiomers by standard techniques, for example formation of diastereomeric pairs via salt formation.
  • the compounds also may be resolved by covalently bonding to a chiral moiety.
  • the diastereomers can then be resolved by chromatographic separation and/or crystallographic separation. In the case of a chiral auxiliary moiety, it can then be removed.
  • the compounds can be resolved through the use of chiral chromatography. Enzymatic methods of resolution could also be used in certain cases.
  • an “optically pure” compound is one that contains only a single enantiomer.
  • the term “optically active” is intended to mean a compound comprising at least a sufficient excess of one enantiomer over the other such that the mixture rotates plane polarized light.
  • Optically active compounds have the ability to rotate the plane of polarized light. The excess of one enantiomer over another is typically expressed as enantiomeric excess (e.e.).
  • the prefixes D and L or R and S are used to denote the absolute configuration of the molecule about its chiral center(s).
  • the prefixes “d” and “l” or (+) and ( ⁇ ) are used to denote the optical rotation of the compound (i.e., the direction in which a plane of polarized light is rotated by the optically active compound).
  • the “l” or ( ⁇ ) prefix indicates that the compound is levorotatory (i.e., rotates the plane of polarized light to the left or counterclockwise) while the “d” or (+) prefix means that the compound is dextrarotatory (i.e., rotates the plane of polarized light to the right or clockwise).
  • the sign of optical rotation, ( ⁇ ) and (+) is not related to the absolute configuration of the molecule, R and S.
  • a compound of the invention having the desired pharmacological properties will be optically active and, can be comprised of at least 90% (80% e.e.), at least 95% (90% e.e.), at least 97.5% (95% e.e.) or at least 99% (98% e.e.) of a single isomer.
  • Embodiments of the present invention further provide intermediate compounds formed through the synthetic methods described herein to provide the compounds of formula I, II and/or III.
  • the intermediate compounds may possess utiltity as a therapeutic agent for the range of indications described herein and/or a reagent for further synthesis methods and reactions.
  • the compounds of formula I, II and/or II can be synthesized using traditional solution synthesis techniques or solid phase chemistry methods. In either, the construction involves four phases: first, synthesis of the building blocks comprising recognition elements for the biological target receptor, plus one tether moiety, primarily for control and definition of conformation. These building blocks are assembled together, typically in a sequential fashion, in a second phase employing standard chemical transformations. The precursors from the assembly are then cyclized in the third stage to provide the macrocyclic structures. Finally, the post-cyclization processing fourth stage involving removal of protecting groups and optional purification provides the desired final compounds. Synthetic methods for this general type of macrocyclic structure are described in Intl. Pat. Appls, WO 01/25257, WO 2004/111077, WO 2005/012331 and WO 2005/012332, including purification procedures described in WO 2004/111077 and WO 2005/012331.
  • the macrocyclic compounds of formula I, II and/or III may be synthesized using solid phase chemistry on a soluble or insoluble polymer matrix as previously defined.
  • solid phase chemistry a preliminary stage involving the attachment of the first building block, also termed “loading,” to the resin must be performed.
  • the resin utilized for the present invention preferentially has attached to it a linker moiety, L.
  • linkers are attached to an appropriate free chemical functionality, usually an alcohol or amine, although others are also possible, on the base resin through standard reaction methods known in the art, such as any of the large number of reaction conditions developed for the formation of ester or amide bonds.
  • linker moieties for the present invention are designed to allow for simultaneous cleavage from the resin with formation of the macrocycle in a process generally termed “cyclization-release.”
  • the thioester strategy proceeds through a modified route where the tether component is actually assembled during the cyclization step.
  • assembly of the building blocks proceeds sequentially, followed by cyclization (and release from the resin if solid phase).
  • An additional post-cyclization processing step is required to remove particular byproducts of the RCM reaction, but the remaining subsequent processing is done in the same manner as for the thioester or analogous base-mediated cyclization strategy.
  • steps including the methods provided herein may be performed independently or at least two steps may be combined. Additionally, steps including the methods provided herein, when performed independently or combined, may be performed at the same temperature or at different temperatures without departing from the teachings of the present invention.
  • Novel macrocyclic compounds of the present invention include those formed by a novel process including cyclization of a building block structure to form a macrocyclic compound comprising a tether component described herein. Accordingly, the present invention provides methods of manufacturing the compounds of the present invention comprising (a) assembling building block structures, (b) chemically transforming the building block structures, (c) cyclizing the building block structures including a tether component, (d) removing protecting groups from the building block structures, and (e) optionally purifiying the product obtained from step (d). In some embodiments, assembly of the building block structures may be sequential. In further embodiments, the synthesis methods are carried out using traditional solution synthesis techniques or solid phase chemistry techniques.
  • Amino acids, Boc- and Fmoc-protected amino acids and side chain protected derivatives, including those of N-methyl and unnatural amino acids were obtained from commercial suppliers [for example Advanced ChemTech (Louisville, Ky., USA), Bachem (Bubendorf, Switzerland), ChemImpex (Wood Dale, Ill., USA), Novabiochem (subsidiary of Merck KGaA, Darmstadt, Germany), PepTech (Burlington, Mass., USA), Synthetech (Albany, Oreg., USA)] or synthesized through standard methodologies known to those in the art.
  • Ddz-amino acids were either obtained commercially from Orpegen (Heidelberg, Germany) or Advanced ChemTech (Louisville, Ky., USA) or synthesized using standard methods utilizing Ddz-OPh or Ddz-N 3 . (Birr, C.; Lochinger, W.; Stahnke, G.; Lang, P. The ⁇ , ⁇ -dimethyl-3,5-dimethoxybenzyloxycarbonyl (Ddz) residue, an N-protecting group labile toward weak acids and irradiation. Justus Liebigs Ann. Chem. 1972, 763, 162-172.) Bts-amino acids were synthesized by known methods.
  • N-Alkyl amino acids in particular N-methyl amino acids, are commercially available from multiple vendors (Bachem, Novabiochem, Advanced ChemTech, ChemImpex). In addition, N-alkyl amino acid derivatives were accessed via literature methods. (Hansen, D. W., Jr.: Pilipauskas, D. J. Org. Chem. 1985, 50, 945-950.)
  • Tethers were obtained from the methods previously described in Intl. Pat. Appl. WO 01/25257, WO 2004/111077, WO 2005/012331 and U.S. Provisional Patent Application Ser. No. 60/622,055 60/622,005. Procedures for synthesis of tethers as described herein are presented in the Examples below. Exemplary tethers (T) include, but are not limited to, the following:
  • (Z) is the site of a covalent bond of T to Z 2 , Z 5 or Z 10 and Z 2 , Z 5 and Z 10 are defined above for formula I, II and III, respectively, and wherein (X) is the site of a covalent bond of T to X, X 2 or X 3 and X, X 2 and X 3 are defined above for formula I; II and III, respectively, L 7 is —CH 2 — or —O—; U 1 is —CR 101 R 102 — or —C( ⁇ O)—; R 100 is lower alkyl; R 101 , and R 102 are each independently hydrogen, lower alkyl or substituted lower alkyl; xx is 2 or 3; yy is 1 or 2; zz is 1 or 2; and aaa is 0 or 1.
  • the resin was washed sequentially with DCM (2 ⁇ ), DCM-MeOH (1:1, 2 ⁇ ), DCM (2 ⁇ ), and DIPEA-DCM (3:7, 1 ⁇ ).
  • the resin was dried under vacuum for 10 min, then added immediately to a solution of HOAc in degassed DMF (5% v/v).
  • the reaction mixture was agitated at 50-70° C. O/N.
  • the resin was filtered, washed with THF, and the combined filtrate and washes evaporated under reduced pressure (water aspirator, then oil pump) to afford the macrocycle.
  • the tether is not formed completely until the cyclization step, but the portion of the tether attached to BB 1 is still added at this stage of the sequence, unless it is already part of that building block.
  • the final macrocycles are obtained after application of the appropriate deprotection sequences. If any reaction was required to be carried out post-cyclization, it is listed in Column 9. All of the macrocycles presented in Table 1A were purified and met internal acceptance criteria. Yields (Column 10) are either isolated or as calculated based upon CLND analysis. It should be noted that compounds 58 and 99 were not cyclized and represent the linear analogues of compounds 10 and 133, respectively. The lack of binding potency observed with these linear analogues illustrates the importance of the macrocyclic structural feature for the desired activity.
  • Table 1B presents a summary of the synthesis of 122 representative compounds of the present invention
  • Table 1C presents the synthesis of an additional 15 representative compounds.
  • the reaction methodology employed for the construction of the macrocyclic molecule is indicated in Column 2 and relates to the particular scheme of the synthetic strategy.
  • Columns 3-6 indicate the individual building blocks employed for each compound, amino acids or tether utilizing either standard nomenclature or referring to the building block designations presented elsewhere in this application.
  • Column 7 indicates the method used for attachment of the tether.
  • the building blocks are listed in the opposite order from which they are added in order to correlate the building block number with standard peptide nomenclature.
  • the compounds of the present invention were evaluated for their ability to interact at the human ghrelin receptor utilizing a competitive radio ligand binding assay, fluorescence assay or Aequorin functional assay as described below. Such methods can be conducted in a high throughput manner to permit the simultaneous evaluation of many compounds.
  • GHS-R1a human
  • swine and rat GHS-receptors U.S. Pat. No. 6,242,199, Intl. Pat. Appl. Nos. WO 97/21730 and 97/22004
  • canine GHS-receptor U.S. Pat. No. 6,645,726
  • GHS-R/HEK 293 were prepared from HEK-293 cells stably transfected with the human ghrelin receptor (hGHS-R1a). These membranes were provided by PerkinElmer BioSignal (#RBHGHSM, lot#1887) and utilized at a quantity of 0.71 ⁇ g/assay point.
  • the reaction was arrested by filtering samples through Multiscreen Harvest plates (pre-soaked in 0.5% polyethyleneimine) using a Tomtec Harvester, washed 9 times with 500 ⁇ L of cold 50 mM Tris-HCl (pH 7.4, 4° C.), and then plates were air-dried in a fumehood for 30 min. A bottom seal was applied to the plates prior to the addition of 25 ⁇ L of MicroScint-0 to each well. Plates were than sealed with TopScal-A and counted for 30 sec per well on a TopCount Microplate Scintillation and Luminescence Counter (PerkinElmer) using a count delay of 60 sec. Results were expressed as counts per minute (cpm).
  • D max 1 - test ⁇ ⁇ concentration ⁇ ⁇ with ⁇ ⁇ maximal ⁇ ⁇ displacement - non ⁇ - ⁇ specific ⁇ ⁇ binding total ⁇ ⁇ binding - non ⁇ - ⁇ specific ⁇ ⁇ binding ⁇ 100 where total and non-specific binding represent the cpm obtained in the absence or presence of 1 ⁇ M gltrelin, respectively.
  • Binding activity at the gherlin receptor for representative compounds of the present invention is shown below in Table 3A through 3E.
  • Compound structures for Tables 3A, 3B and 3D are presented with the various groups as defined for the general structure of formula I.
  • m, n and p are 0; X, Z 1 and Z 2 are each NH.
  • R 1 is H for all entries.
  • the tethers (T) are illustrated with the bonding to X and Z 2 as indicated.
  • the compounds themselves are shown for Tables 3C and 3E.
  • Competitive binding curves for representative compounds 1, 2, 3, 4 and 25 are shown in FIG. 4 .
  • Aequorin Functional Assay (Ghrelin Receptor)
  • the functional activity of compounds of the invention found to bind to the GHS-R1a receptor can be determined using the method described below which can also be used as a primary screen for ghrelin receptor activity in a high throughput fashion.
  • aequorin functional assay to high throughput screening J. Biomol. Screen. 2002, 7, 57-65
  • Membranes were prepared using AequoScreenTM (EUROSCREEN, Belgium) cell lines expressing the human ghrelin receptor (cell line ES-410-A; receptor accession #60179). This cell line is typically constructed by transfection of the human ghrelin receptor into CHO—K1 cells co-expressing G ⁇ 16 and the mitochondrially targeted Aequorin (Ref #ES-WT-A5).
  • AequoScreenTM cells were collected from culture plates with Ca 2+ and Mg 2+ -free phosphate buffered saline (PBS) supplemented with 5 mM EDTA, pelleted for 2 min at 1000 ⁇ g, re-suspended in DMEM—Ham's F12 containing 0.1% BSA at a density of 5 ⁇ 10 6 cells/mL, and incubated O/N at rt in the presence of 5 ⁇ M coelenterazine. After loading, cells were diluted with assay buffer to a concentration of 5 ⁇ 10 5 cells/mL.
  • PBS Ca 2+ and Mg 2+ -free phosphate buffered saline
  • ghrelin reference agonist
  • 50 ⁇ L of the cell suspension was mixed with 50 ⁇ L of the appropriate concentration of test compound or ghrelin (reference agonist) in 96-well plates (duplicate samples).
  • Ghrelin (reference agonist) was tested at several concentrations concurrently with the test compounds in order to validate the experiment.
  • the emission of light resulting from receptor activation in response to ghrelin or test compounds was recorded using the Hamamatsu FDSS 6000 reader (Hamamatsu Photonics K. K., Japan).
  • RLU Relative Light Units
  • motilin itself as been demonstrated to have some GH-releasing effects. (Samson, W. K.; Lumpkin, M. D.; Nilayer, G.; McCann, S. M. Motilin: a novel growth hormone releasing agent. Brain Res. Bull. 1984, 12, 57-62.)
  • Cell culture assays for determining growth hormone release can be employed as described in Cheng, et al. Endocrinology 1989, 124, 2791-2798.
  • anterior pituitary glands are obtained from male Sprague-Dawley rats and placed in cold culture medium. These pituitaries are sectioned, for example into one-eighth sections. then digested with trypsin. Cells are collected after digestion, pooled, and transferred into 24 well plates (minimum 200,000 cells per well). After a monolayer of cells has formed, generally after at least 4 d in culture, the cells are washed with medium prior to exposure to the test samples and controls.
  • Varying concentrations of the test compounds and of ghrelin as a positive control were added to the medium.
  • the cells are left for 15 min at 37° C., then the medium removed and the cells stored frozen.
  • the amount of GH release was measured utilizing a standard radioimmunoassay as known to those in the art.
  • the pharmacokinetic behavior of compound of the invention can be ascertained by methods well known to those skilled in the art.
  • the following method was used to investigate the pharmacokinetic parameters (elimination half-life, total plasma clearance. etc.) for intravenous, subcutaneous and oral administration of compounds of the present invention.
  • Rats male, Sprague-Dawley ( ⁇ 250 g)
  • Rats/Treatment Group 6 (2 subsets of 3 rats each, alternate bleeds)
  • test compound was sent in solution in a formulation (such as with cyclodextrin) appropriate for dosing. It will be appreciated by one skilled in the art that appropriate modifications to this protocol can be made as required to adequately test the properties of the compound under analysis.
  • 0.7 mL of blood were collected from each animal. It is expected that this volume of blood will yield a sample of at least 0.3 mL of plasma.
  • EDTA was used as an anti-coagulant for whole blood collection. Whole blood samples were chilled and immediately processed by centrifugation to obtain plasma.
  • Plasma samples were stored frozen ( ⁇ 70° C.) until analysis.
  • Analytical detection of parent compound in plasma samples performed by LC-MS after an appropriate preparation protocol: extraction using solid phase extraction (SPE) cartridges (Oasis MCX, Oasis HLB) or liquid-liquid extraction.
  • SPE solid phase extraction
  • the analyte was quantitated based upon a standard curve and the method validated with internal standards.
  • compounds of the invention were evaluated for possible effects on gastric emptying in fasted rats.
  • compounds 25 and 298 at 100 ⁇ g/kg caused a significant increase ( ⁇ 30%) in gastric emptying relative to the vehicle control group.
  • the relative efficacy (39% increase) of compounds 25 and 298 at 100 ⁇ g/kg i.v. was similar to concurrently run positive reference agents GHRP-6 at 20 ⁇ g/kg i.v. (40% increase) and metoclopramide at 10 mg/kg I.v. (41% increase).
  • compounds 25 and 298 at a dose of 100 ⁇ g/kg demonstrated gastrokinetic activity in rats, with efficiency similar to GHRP-6 at 20 ⁇ g/kg and metoclopramide at 10 mg/kg. Further, compound 25 also demonstrated gastric emptying at 30 ⁇ g/kg. This is significantly more potent than other compounds interacting at this receptor previously found to enhance GI motility, which were unable to promote gastric emptying at 100 ⁇ g/kg (U.S. Pat. No. 6,548,501).
  • GHRP-6 and test samples were dissolved in vehicle of 9% HPBCD/0.9% NaCl.
  • vehicle 9% HPBCD/0.9% NaCl.
  • mice Male Wistar rats were provided by LASCO (A Charles River Licensee Corporation, Taiwan). Space allocation for 6 animals was 45 ⁇ 23 ⁇ 15 cm. Animals were housed in APEC® cages and maintained in a controlled temperature (22° C.-24° C.) and humidity (60%-80%) environment with 12 h light, 12 h dark cycles for at least one week in the laboratory prior to being used. Free access to standard lab chow for rats (Lab Diet, Rodent Diet, PMI Nutrition International, USA) and tap water was granted. All aspects of this work including housing, experimentation and disposal of animals were performed in general accordance with the Guide for the Care and Use of Laboratory Animals (National Academy Press, Washington, D.C., 1996).
  • Glucose (Sigma, USA), Metoclopramide-HCl (Sigma, USA), Methylcellulose (Sigma, USA), NaOH (Sodium Hydroxide, Wako, Japan), Pyrogen free saline (Astar, Taiwan), Phenol Red-Sodium salt (Sigma, USA) and Trichloroacetic acid (Merck, USA).
  • 8-well strip (Costar, USA), 96-well plate (Costar, USA), Animal case (ShinTeh, R. O. C.), Centrifugal separator (Kokusan, H-107, Japan), Glass syringe (1 mL, 2 mL, Mitsuba, Japan), Hypodermic needle (25G ⁇ 1′′, TOP Corporation, Japan), Microtube (Treff, Switzerland), pH-meter (Hanna, USA), Pipetman (P100, Gilson, France), Pipette tips (Costar, USA), Rat oral needle (Natsume, Japan), Spectra Fluor plus (Austria), Stainless scissors (Klappencker, Germany) and Stainless forceps (Klappencker, Germany).
  • Test substances were each administered intravenously to a group of 5 O/N-fasted Wistar derived male rats weighing 200 ⁇ 20 g immediately after methylcellulose (2%) containing phenol red (0.05%) was administered orally at 2 mL/animal. The animals were then sacrificed 15 minutes later. The stomach was immediately removed, homogenized in 0.1 N NaOH (5 mL) and centrifuged. Following protein precipitation by 20% trichloroacetic acid (0.5 mL) and re-alkalization of the supernatant with 0.1 N NaOH, total phenol red remaining in the stomach was determined by a colorimetric method at 560 nm. A 30 percent or more ( ⁇ 30%) increase in gastric emptying, detected as the decrease in phenol red concentration in the stomach relative to the vehicle control group, is considered significant.
  • the compounds of the invention likewise can be tested in a number of animal models for their effect on GH release.
  • rats Boers, C. Y.; Momany, F.; Reynolds, G. A.; Chang, D.; Hong, A.; Chang, K. Endocrinology 1980, 106, 663-667
  • dogs Hickey, G.; Jacks, T.; Judith, F.; Taylor, J.; Schoen, W. R.; Krupa, D.; Cunningham, P.; Clark, J.; Smith, R. G.
  • Rats 225-300 g were purchased from Charles River Canada (St. Constant, Canada) and individually housed on a 12-h light, 12-h dark cycle (lights on, time: 0600-1800) in a temperature (22 ⁇ 1° C.)- and humidity-controlled room. Purina rat chow (Ralston Purina Co., St. Louis, Mo.) and tap water were freely available.
  • icy chronic intracerebroventricular
  • intracardiac venous cannulas were implanted under sodium pentobarbital (50 mg/kg, ip) anesthesia using known techniques.
  • icy cannula was verified by both a positive drinking response to icy carbachol (100 ng/110 ⁇ l) injection on the day after surgery and methylene blue dye at the time of sacrifice.
  • the rats were placed directly in isolation test chambers with food and water freely available until body weight returned to preoperative levels (usually within 5-7 d). During this time, the rats were handled daily to minimize any stress associated with handling on the day of the experiment. On the test day, food was removed 1.5 h before the start of sampling and was returned at the end. Free moving rats were iv injected with either test sample at various levels (3, 30, 300, 1000 ⁇ g/kg) or normal saline at two different time points during a 6-h sampling period.
  • the times 1100 and 1300 were chosen because they reflect typical peak and trough periods of GH secretion, as previously documented.
  • the human ghrelin peptide (5 ⁇ g, Phoenix Pharmaceuticals, Inc., Belmont, Calif.) was used as a positive control in the experiments and was diluted in normal saline just before use.
  • a 10-fold lower dose of the test sample or normal saline was administered icy at the same time points, 1100 and 1300.
  • Blood samples (0.35 mL) were withdrawn every 15 min over the 6-h sampling period (time: 1000-1600) from all animals.
  • an additional blood sample was obtained 5 min after each injection.
  • Plasma GH concentrations were measured in duplicate by double antibody RIA using materials supplied by the NIDDK Hormone Distribution Program (Bethesda, Md.). The averaged plasma GH values for 5-6 rats per group are reported in terms of the rat GH reference preparation. The standard curve was linear within the range of interest; the least detectable concentration of plasma GH under the conditions used was approximately 1 ng/mL. All samples with values above the range of interest were reassayed at dilutions ranging from 1:2 to 1:10. The intra- and interassay coefficients of variation were acceptable for duplicate samples of pooled plasma containing a known GH concentration.
  • the macrocyclic compounds of the present invention or pharmacologically acceptable salts thereof according to the invention may be formulated into pharmaceutical compositions of various dosage forms.
  • one or more compounds, including optical isomers, enantiomers, diastereomers, racemates or stereochemical mixtures thereof, or pharmaceutically acceptable salts thereof as the active ingredient is intimately mixed with appropriate carriers and additives according to techniques known to those skilled in the art of pharmaceutical formulations.
  • a pharmaceutically acceptable salt refers to a salt form of the compounds of the present invention in order to permit their use or formulation as pharmaceuticals and which retains the biological effectiveness of the free acids and bases of the specified compound and that is not biologically or otherwise undesirable.
  • Examples of such salts are described in Handbook of Pharmaceutical Salts: Properties, Selection, and Use, Wermuth, C. G. and Stahl, P. H. (eds.), Wiley-Verlag Helvetica Acta, Züirich, 2002 [ISBN 3-906390-26-8].
  • Examples of such salts include alkali metal salts and addition salts of free acids and bases.
  • Examples of pharmaceutically acceptable salts include sulfates, pyrosulfates, bisulfates, sulfites, bisulfites, phosphates, monohydrogenphosphates, dihydrogenphosphates, metaphosphates, pyrophosphates, chlorides, bromides, iodides, acetates, propionates, decanoates, caprylates, acrylates, formates, isobutyrates, caproates, heptanoates, propiolates, oxalates, malonates, succinates, suberates, sebacates, fumarates, maleates, butyne-1,4-dioates, hexyne-1,6-dioates, benzoates, chlorobenzoates, methylbenzoates, dinitrobenzoates, hydroxybenzoates, methoxybenzoates, phthalates, xylenesulfonates, phenylacetates, phenylpropionate
  • a desired salt may be prepared by any suitable method known to those skilled in the art, including treatment of the free base with an inorganic acid, such as, without limitation, hydrochloric acid, hydrobromic acid, hydroiodic, carbonic acid, sulfuric acid, nitric acid, phosphoric acid, and the like, or with an organic acid, including, without limitation, formic acid, acetic acid, propionic acid, maleic acid, succinic acid, mandelic acid, fumaric acid, malonic acid, pyruvic acid, oxalic acid, stearic acid, ascorbic acid, glycolic acid, salicylic acid, pyranosidyl acid, such as glucuronic acid or galacturonic acid, alpha-hydroxy acid, such as citric acid or tartaric acid, amino acid, such as aspartic acid or glutamic acid, aromatic acid, such as benzoic acid or cinnamic acid, sulfonic acid, such as p-tol
  • an inorganic acid such
  • an inventive compound is an acid
  • a desired salt may be prepared by any suitable method known to the art, including treatment of the free acid with an inorganic or organic base, such as an amine (primary, secondary, or tertiary); an alkali metal or alkaline earth metal hydroxide; or the like.
  • an inorganic or organic base such as an amine (primary, secondary, or tertiary); an alkali metal or alkaline earth metal hydroxide; or the like.
  • suitable salts include organic salts derived from amino acids such as glycine, lysine and arginine; ammonia; primary, secondary, and tertiary amines such as ethylenediamine, N,N′-dibenzylethylenediamine, diethanolamine, choline, and procaine, and cyclic amines, such as piperidine, morpholine, and piperazine; as well as inorganic salts derived from sodium, calcium, potassium, magnesium, manganese, iron, copper, zinc, aluminum, and lithium.
  • compositions for oral administration may be, for example, solid preparations such as tablets, sugar-coated tablets, hard capsules, soft capsules, granules, powders and the like, with suitable carriers and additives being starches, sugars, binders, diluents, granulating agents, lubricants, disintegrating agents and the like. Because of their ease of use and higher patient compliance, tablets and capsules represent the most advantageous oral dosage forms for many medical conditions.
  • compositions for liquid preparations include solutions, emulsions, dispersions, suspensions, syrups, elixirs, and the like with suitable carriers and additives being water, alcohols, oils, glycols, preservatives, flavoring agents, coloring agents, suspending agents, and the like.
  • suitable carriers and additives being water, alcohols, oils, glycols, preservatives, flavoring agents, coloring agents, suspending agents, and the like.
  • Typical preparations for parenteral administration comprise the active ingredient with a carrier such as sterile water or parenterally acceptable oil including polyethylene glycol, polyvinyl pyrrolidone, lecithin, arachis oil or sesame oil, with other additives for aiding solubility or preservation may also be included.
  • a carrier such as sterile water or parenterally acceptable oil including polyethylene glycol, polyvinyl pyrrolidone, lecithin, arachis oil or sesame oil, with other additives for aiding solubility or preservation may
  • compositions according to embodiments of the present invention include those suitable for oral, rectal, topical, inhalation (e.g., via an aerosol) buccal (e.g., sub-lingual), vaginal, topical (i.e., both skin and mucosal surfaces, including airway surfaces), transdermal administration and parenteral (e.g., subcutaneous, intramuscular, intradermal, intraarticular, intrapleural, intraperitoneal, intrathecal, intracerebral, intracranially, intraarterial, or intravenous), although the most suitable route in any given case will depend on the nature and severity of the condition being treated and on the nature of the particular active agent which is being used.
  • compositions for injection will include the active ingredient together with suitable carriers including propylene glycol-alcohol-water, isotonic water, sterile water for injection (USP), emulPhormTM-alcohol-water, cremophor-ELTM or other suitable carriers known to those skilled in the art.
  • suitable carriers including propylene glycol-alcohol-water, isotonic water, sterile water for injection (USP), emulPhormTM-alcohol-water, cremophor-ELTM or other suitable carriers known to those skilled in the art.
  • carriers may be used alone or in combination with other conventional solubilizing agents such as ethanol, propylene glycol, or other agents known to those skilled in the art.
  • the compounds may be used by dissolving or suspending in any conventional diluent.
  • the diluents may include, for example, physiological saline, Ringer's solution, an aqueous glucose solution, an aqueous dextrose solution, an alcohol, a fatty acid ester, glycerol, a glycol, an oil derived from plant or animal sources, a paraffin and the like. These preparations may be prepared according to any conventional method known to those skilled in the art.
  • compositions for nasal administration may be formulated as aerosols, drops, powders and gels.
  • Aerosol formulations typically comprise a solution or fine suspension of the active ingredient in a physiologically acceptable aqueous or non-aqueous solvent.
  • Such formulations are typically presented in single or multidose quantities in a sterile form in a sealed container.
  • the sealed container can be a cartridge or refill for use with an atomizing device.
  • the sealed container may be a unitary dispensing device such as a single use nasal inhaler, pump atomizer or an aerosol dispenser fitted with a metering valve set to deliver a therapeutically effective amount, which is intended for disposal once the contents have been completely used.
  • the dosage form comprises an aerosol dispenser, it will contain a propellant such as a compressed gas, air as an example, or an organic propellant including a fluorochlorohydrocarbon or fluorohydrocarbon.
  • compositions suitable for buccal or sublingual administration include tablets, lozenges and pastilles, wherein the active ingredient is formulated with a carrier such as sugar and acacia, tragacanth or gelatin and glycerin.
  • a carrier such as sugar and acacia, tragacanth or gelatin and glycerin.
  • compositions for rectal administration include suppositories containing a conventional suppository base such as cocoa butter.
  • compositions suitable for transdermal administration include ointments, gels and patches.
  • compositions known to those skilled in the art can also be applied for percutaneous or subcutaneous administration, such as plasters.
  • compositions comprising the active ingredient or ingredients in admixture with components necessary for the formulation of the compositions
  • other conventional pharmacologically acceptable additives may be incorporated, for example, excipients, stabilizers, antiseptics, wetting agents, emulsifying agents, lubricants, sweetening agents, coloring agents, flavoring agents, isotonicity agents, buffering agents, antioxidants and the like.
  • additives there may be mentioned, for example, starch, sucrose, fructose, dextrose, lactose, glucose, mannitol, sorbitol, precipitated calcium carbonate, crystalline cellulose, carboxymethylcellulose, dextrin, gelatin, acacia, EDTA, magnesium stearate, talc, hydroxypropylmethylcellulose, sodium metabisulfite, and the like.
  • the composition is provided in a unit dosage form such as a tablet or capsule.
  • kits including one or more containers comprising pharmaceutical dosage units comprising an effective amount of one or more compounds of the present invention.
  • the present invention further provides prodrugs comprising the compounds described herein.
  • prodrug is intended to mean a compound that is converted under physiological conditions or by solvolysis or metabolically to a specified compound that is pharmaceutically active.
  • the “prodrug” can be a compound of the present invention that has been chemically derivatized such that, (i) it retains some, all or none of the bioactivity of its parent drug compound, and (ii) it is metabolized in a subject to yield the parent drug compound.
  • the prodrug of the present invention may also be a “partial prodrug” in that the compound has been chemically derivatized such that, (i) it retains some, all or none of the bioactivity of its parent drug compound, and (ii) it is metabolized in a subject to yield a biologically active derivative of the compound.
  • Known techniques for derivatizing compounds to provide prodrugs can be employed. Such methods may utilize formation of a hydrolyzable coupling to the compound.
  • the present invention further provides that the compounds of the present invention may be administered in combination with a therapeutic agent used to prevent and/or treat metabolic and/or endocrine disorders, gastrointestinal disorders, cardiovascular disorders, obesity and obesity-associated disorders, central nervous system disorders, genetic disorders, hyperproliferative disorders and inflammatory disorders.
  • a therapeutic agent used to prevent and/or treat metabolic and/or endocrine disorders, gastrointestinal disorders, cardiovascular disorders, obesity and obesity-associated disorders, central nervous system disorders, genetic disorders, hyperproliferative disorders and inflammatory disorders.
  • agents include analgesics (including opioid analgesics), anesthetics, antifungals, antibiotics, antiinflammatories (including nonsteroidal anti-inflammatory agents), anthelmintics, antiemetics, antihistamines, antihypertensives, antipsychotics, antiarthritics, antitussives, antivirals, cardioactive drugs, cathartics, chemotherapeutic agents (such as DNA-interactive agents, antimetabolites, tubulin-interactive agents, hormonal agents, and agents such as asparaginase or hydroxyurea), corticoids (steroids), antidepressants, depressants, diuretics, hypnotics, minerals, nutritional supplements, parasympathomimetics, hormones (such as corticotrophin releasing hormone, adrenocorticotropin, growth hormone releasing hormone, growth hormone, thyrptropin-releasing hormone and thyroid stimulating hormone), sedatives, sulfonamides, stimulants, sympathomimetics, tranquilizer
  • Subjects suitable to be treated according to the present invention include, but are not limited to, avian and mammalian subjects, and are preferably mammalian.
  • Mammals of the present invention include, but are not limited to, canines, felines, bovines, caprins, equines, ovines, porcines, rodents (e.g. rats and mice), lagomorphs, primates, humans, and the like, and mammals in utero. Any mammalian subject in need of being treated according to the present invention is suitable.
  • Human subjects are preferred. Human subjects of both genders and at any stage of development (i.e., neonate, infant, juvenile, adolescent, adult) can be treated according to the present invention.
  • Illustrative avians according to the present invention include chickens, ducks, turkeys, geese, quail, pheasant, ratites (e.g., ostrich) and domesticated birds (e.g., parrots and canaries), and birds in ovo.
  • ratites e.g., ostrich
  • domesticated birds e.g., parrots and canaries
  • the present invention is primarily concerned with the treatment of human subjects, but the invention can also be carried out on animal subjects, particularly mammalian subjects such as mice, rats, dogs, cats, livestock and horses for veterinary purposes, and for drug screening and drug development purposes.
  • the compounds of the present invention or an appropriate pharmaceutical composition thereof may be administered in an effective amount. Since the activity of the compounds and the degree of the therapeutic effect vary, the actual dosage administered will be determined based upon generally recognized factors such as age, condition of the subject, route of delivery and body weight of the subject.
  • the dosage can be from about 0.1 to about 100 mg/kg, administered orally 1-4 times per day.
  • compounds can be administered by injection at approximately 0.01-20 mg/kg per dose, with administration 1-4 times per day. Treatment could continue for weeks, months or longer. Determination of optimal dosages for a particular situation is within the capabilities of those skilled in the art.
  • the compounds of formula I, II and/or III of the present invention can be used for the prevention and treatment of a range of medical conditions including, but not limited to, metabolic and/or endocrine disorders, gastrointestinal disorders, cardiovascular disorders, obesity and obesity-associated disorders, central nervous system disorders, genetic disorders, hyperproliferative disorders, inflammatory disorders and combinations thereof where the disorder may be the result of multiple underlying maladies.
  • the disease or disorder is irritable bowel syndrome (IBS), non-ulcer dyspepsia, Crohn's disease, gastroesophogeal reflux disorders, constipation, ulcerative colitis, pancreatitis, infantile hypertrophic pyloric stenosis, carcinoid syndrome, malabsorption syndrome, diarrhea, diabetes including diabetes mellitus (type II diabetes), obesity, atrophic colitis, gastritis, gastric stasis, gastrointestinal dumping syndrome, postgastroenterectomy syndrome, celiac disease, an eating disorder or obesity.
  • the disease or disorder is congestive heart failure, ischemic heart disease or chronic heart disease.
  • the disease or disorder is osteoporosis and/or frailty, congestive heart failure, accelerating bone fracture repair, metabolic syndrome, attenuating protein catabolic response, cachexia, protein loss, impaired or risk of impaired wound healing, impaired or risk of impaired recovery from burns, impaired or risk of impaired recovery from surgery, impaired or risk of impaired muscle strength, impaired or risk of impaired mobility, alterted or risk of altered skin thickness, impaired or risk of impaired metabolic homeostasis or impaired or risk of impaired renal homeostasis.
  • the disease or disorder involves facilitating neonatal development, stimulating growth hormone release in humans, maintenance of muscle strength and function in humans, reversal or prevention of frailty in humans, prevention of catabolic side effects of glucocorticoids, treatment of osteoporosis, stimulation and increase in muscle mass and muscle strength, stimulation of the immune system, acceleration of wound healing, acceleration of bone fracture repair, treatment of renal failure or insufficiency resulting in growth retardation, treatment of short stature, treatment of obesity and growth retardation, accelerating the recovery and reducing hospitalization of burn patients, treatment of intrauterine growth retardation, treatment of skeletal dysplasia, treatment of hypercortisolism, treatment of Cushing's syndrome, induction of pulsatile growth hormone release, replacement of growth hormone in stressed patients, treatment of osteochondrodysplasias, treatment of Noonans syndrome, treatment of schizophrenia, treatment of depression, treatment of Alzheimer's disease, treatment of emesis, treatment of memory loss, treatment of reproduction disorders, treatment of delayed wound healing, treatment of
  • a method for the treatment of post-operative ileus, cachexia (wasting syndrome), such as that caused by cancer, AIDS, cardiac disease and renal disease, gastroparesis, such as that resulting from type I or type II diabetes, other gastrointestinal disorders, growth hormone deficiency, bone loss, and other age-related disorders in a human or animal patient suffering therefrom comprises administering to said patient an effective amount of at least one member selected from the compounds disclosed herein having the ability to modulate the ghrelin receptor.
  • diseases and disorders treated by the compounds disclosed herein include short bowel syndrome, gastrointestinal dumping syndrome, postgastroenterectomy syndrome, celiac disease, and hyperproliferative disorders such as tumors, cancers, and neoplastic disorders, as well as premalignant and non-neoplastic or non-malignant hyperproliferative disorders.
  • tumors, cancers, and neoplastic tissue that can be treated by the present invention include, but are not limited to, malignant disorders such as breast cancers, osteosarcomas, angiosarcomas, fibrosarcomas and other sarcomas, leukemias, lymphomas, sinus tumors, ovarian, uretal, bladder, prostate and other genitourinary cancers, colon, esophageal and stomach cancers and other gastrointestinal cancers, lung cancers, myelomas, pancreatic cancers, liver cancers, kidney cancers, endocrine cancers, skin cancers and brain or central and peripheral nervous (CNS) system tumors, malignant or benign, including gliomas and neuroblastomas.
  • malignant disorders such as breast cancers, osteosarcomas, angiosarcomas, fibrosarcomas and other sarcomas
  • leukemias lymphomas
  • sinus tumors ovarian, uretal, bladder, prostate
  • the macrocyclic compounds of the present invention can be used to treat post-operative ileus.
  • the compounds of the present invention can be used to treat gastroparesis.
  • the compounds of the present invention can be used to treat diabetic gastroparesis.
  • the compounds of the present invention can be used to treat opioid-induced bowel dysfunction.
  • the compounds of the present invention can be used to treat chronic intestinal pseudoobstruction.
  • the present invention further provides methods of treating a horse or canine for a gastrointestinal disorder comprising administering a therapeutically effective amount of a modulator having the structure of formula I, II and/or III.
  • a modulator having the structure of formula I, II and/or III.
  • the gastrointestinal disorder is ileus or colic.
  • treatment is not necessarily meant to imply cure or complete abolition of the disorder or symptoms associated therewith.
  • the compounds of the present invention can further be utilized for the preparation of a medicament for the treatment of a range of medical conditions including, but not limited to, metabolic and/or endocrine disorders, gastrointestinal disorders, cardiovascular disorders, obesity and obesity-associated disorders, genetic disorders, hyperproliferative disorders and inflammatory disorders.
  • Step T9-1 To a solution of 2-iodophenol (9-0, 200 g, 0.91 mol, 1.0 eq) in DMF (DriSolv®, 560 mL) is added sodium hydride 60% in mineral oil (3.64 g, 0.091 mol, 0.1 eq) by portions (hydrogen is seen to evolve). The reaction is heated for 1 h at 100° C. under nitrogen, then ethylene carbonate is added and the reaction mixture heated O/N at 100° C. The reaction is monitored by TLC (conditions: 25/75 EtOAc/hex; R f : 0.15. detection: UV, CMA). The reaction mixture is allowed to cool, then the solvent evaporated under reduced pressure.
  • the residual oil is diluted in Et 2 O (1.5 L), then washed sequentially with 1 N sodium hydroxide (3 ⁇ ) and brine (2 ⁇ ), dried with MgSO 4 , filtered and the filtrate evaporated under reduced pressure.
  • the crude product is distilled under vacuum (200 ⁇ m Hg) at 110-115° C. to provide 9-1.
  • Step T9-2 A solution of 9-1 (45.1 g, 0.171 mol, 1.0 eq) and Ddz-propargylamine (9-A, synthesized by standard protection procedures, 59.3 g, 0.214 mol, 1.25 eq) in acetonitrile (DriSolv®, 257 mL) was degassed by passing argon through the solution for 10-15 min. To this was added Et 3 N (85.5 mL, stirred O/N with CaH 2 , then distilled) and the mixture was again purged by bubbling with argon, this time for 5 min.
  • Et 3 N 85.5 mL, stirred O/N with CaH 2 , then distilled
  • Recrystallized copper (I) iodide (1.14 g, 0.006 mol, 0.035 eq) and trans-dichloro-bis(triphenylphosphine) palladium (II) (Strem Chemicals, 3.6 g, 0.0051 mol, 0.03 eq) are added and the reaction mixture stirred for 4 h under argon at rt. After 5-10 min, the reaction mixture turned black. The reaction was monitored by TLC (conditions: 55/45 EtOAc/hex). When complete, the solvent was removed under reduced pressure until dryness, then the residual oil diluted with 1 L of a 15% DCM in Et 2 O solution.
  • Step T9-3 To a solution of Ddz-amino-alcohol 9-2 (65.8 g, 0.159 mol, 1.0 eq) in 95% ethanol under nitrogen was added Platinum (IV) oxide (3.6 g, 0.016 mol, 0.1 eq) and then hydrogen gas bubbled into the solution for 2 h. The mixture was stirred O/N, maintaining an atmosphere of hydrogen using a balloon. The reaction was monitored by 1 H NMR until completion. When the reaction is complete, nitrogen was bubbled for 10 min to remove the excess hydrogen. The solvent is evaporated under reduced pressure, then diluted with EtOAc, filtered through a silica gel pad and the silica washed with EtOAc until no further material was eluted as verified by TLC.
  • Platinum (IV) oxide 3.6 g, 0.016 mol, 0.1 eq
  • Tether T9 can also be synthesized from another tether molecule by reduction as in step T9-3 or with other appropriate hydrogenation catalysts known to those in the art.
  • Step A1-1 To a solution of diol A 1-0 (50 g, 567 mmol, 1.0 eq) in CH 2 Cl 2 (1.5 L) were added Et 3 N (34.5 mL, 341 mmol, 0.6 eq) and DMAP (1.73 g, 14.2 mmol, 0.025 eq). TBDMSC1 (42.8 g, 284 mmol. 0.5 eq) in CH 2 Cl 2 (100 mL) was added to this mixture at rt over 4 h with a syringe pump.
  • Step A1-2 To a solution of alcohol A1-1 (26.5 g, 131 mmol, 1.0 eq) in THF (130 mL) at 0° C. was added PPh 3 (44.7 g, 170 mmol, 1.3 eq). A freshly prepared and titrated 1.3 M solution of HN 3 (149 mL, 157 mmol, 1.5 eq) was added slowly to this mixture, then DIAD (32 mL, 163 mmol, 1.25 eq) also added slowly. This was an exotheric reaction. The resulting mixture was stirred at 0° C.
  • Step A1-3 PPh 3 (51 g, 196 mmol, 1.5 eq) was added by portion to the solution of A1-2 and the resulting mixture was stirred at 0° C. for 2 h, allowed to warm to rt and maintained there for 3 h, then H 2 O (24 mL, 1331 mmol, 10 eq) added.
  • Step A1-4 For the next transformation, THF was evaporated under reduced pressure from the above reaction mixture and the remaining aqueous phase extracted with Et 2 O (5 ⁇ 150 mL) and CHCl 3 (3 ⁇ 150 mL). The organic phases were monitored by TLC and if any A1-3 was observed, the organic phase was then extracted with 2 N HCl. The aqueous phase was neutralized cautiously to pH 8 with 10 N NaOH. CH 3 CN (400 mL) was added to this aqueous solution and Fmoc-OSu (41.9 g, 124 mmol, 0.95 eq) in CH 3 CN (400 mL) added slowly over 50 min. The solution was stirred at rt O/N.
  • the aqueous phase was extracted with Et 2 O, then the combined organic phase dried over MgSO 4 and concentrated under reduced pressure.
  • the solid residue obtained was mixed with H 2 O (120 mL), stirred 30 min, filtered (to remove succinimide byproduct) and dried O/N under vacuum (oil pump).
  • Step B1-1 To 2-bromobenzyl alcohol (B1-0, 30 g, 160 mmol) in DCM (DriSolv®, 530 mL) as an approximately 0.3 M solution, was added dihydropyran (B1-A, 22 mL, 241 mmol). Pyridinium p-toluenesulfonate (PPTS, 4.0 g, 16 mmol) was added and the reaction mixture stirred vigorously at rt O/N. A saturated solution of Na 2 CO 3 (aq, 200 mL) was then added and the mixture stirred for 30 min.
  • PPTS Pyridinium p-toluenesulfonate
  • Step B1-2 Magnesium turnings (2.21 g, 90 mmol) were added to an approximately 0.8 M solution of B1-1 (from which several portions of toluene were evaporated to remove traces of water, 22.14 g, 81.8 mmol) in anhydrous THF (distilled from sodium benzopheneone ketyl, 100 mL) under an atmosphere of nitrogen.
  • the reaction was initiated by adding iodine chips (50 mg, 0.002 equiv).
  • the reaction mixture was heated to reflux for 2 h, during which time most of the Mg turnings disappeared.
  • the reaction was allowed to cool to rt.
  • Step B1-3 2-(2-Propenyl)benzyl alcohol (T B1 ).
  • the crude THP ether B1-2 (18.54 g, 80 mmol) was dissolved in MeOH (160 mL) and p-toluenesulfonic acid monohydrate (PTSA, 1.52 g, 8 mmol) added.
  • PTSA p-toluenesulfonic acid monohydrate
  • the resulting mixture was stirred at rt O/N, then concentrated under reduced pressure and the residue diluted with Et 2 O (100 mL).
  • the organic layer was sequentially washed with 5% NaHCO 3 (aq) solution (3 ⁇ 50 mL) and brine (1 ⁇ 50 mL), then dried over MgSO 4 .
  • Step T76-1 3-Bromo-2-hydroxy-benzaldehyde.
  • 2-bromophenol (76-0, 3.5 g, 20 mmol) and paraformaldehyde (8.1 g, 270 mmol) in 100 mL of dry acetonitrile at room temperature was treated with MgCl 2 (2.85 g, 30 mmol) and triethylamine (TEA, 10.45 ml, 75 mmol).
  • TEA triethylamine
  • Step T76-2 2-Bromo-6-vinyl-phenol.
  • CH 3 PPh 3 Br 72 g, 0.033 mol
  • tBuOK 4.1 g, 0.03 mol
  • THF 50 mL
  • 76-1 3 g, 0.015 mol
  • the reaction mixture was allowed to warm to room temperature and stirred for 24 h. After this time, the solvent was removed in vacuo and the residue purified by flash chromatography using hexanes/dichloromethane (3:1) as eluent to afford 76-2 as a colorless oil (2.2 g, 75%).
  • Step T76-3 The tosylate 76-A was synthesized using the literature method (Buono et al. Eur. J. Org. Chem. 1999, 1671)and then utilized for 76-3 (Manhas, M.S. J. Am. Chem. Soc. 1975, 97, 461-463. Nakano, J. Heterocycles 1983, 20, 1975-1978). To a solution of 76-2 (2.5 g, 12 mmol), Ph 3 P (4.6 g, 18 mmol) and 76-A (4.3 g, 18 mmol) in 150 mL of THF was slowly added diethylazodicarboxylate (DEAD, 3.5 mL, 18 mmol) at room temperature.
  • DEAD diethylazodicarboxylate
  • Step T76-6 (8-Bromo-2H-chromen-2-yl)-methanol.
  • 76-5 5.5 g, 0.023 mol
  • MeOH 150 mL
  • sodium metal in a catalytic amount under an argon atmosphere.
  • the solution was then stirred at room temperature for 60 min.
  • the resin was removed by filtration and the filtrate evaporated in vacuo. Pure compound 76-6 was recovered as a colorless oil (4.5 g, 98%).
  • Step T76-7 76-6 (4.5 g, 18 mmol) and Ddz-propargyl amine (76-B, 15.16 g, 55.8 mmol) were dissolved in dioxane (150 mL) and diisopropylamine (27 mL). The reaction mixture was degassed by bubbling argon through the solution. PdCl 2 PhCN) 2 (430 mg, 1.11 mmol. 0.06 eq), CuI (220 mg, 1.11 mmol, 0.06 eq) and tributylphosphine (10% in hexane, 4.4 mL, 2.23 mmol) were added and the mixture was warmed to 70° C. and stirred O/N. The solvent was removed under high vacuum and the residue purified by flash column chromatography to obtain 76-7 as a pale brown liquid (3.2 g, 80%).
  • Step T76-8 The acetylene 76-7 (4.5 g, 0.2 mol) was dissolved in EtOH (150 mL), then purged with nitrogen for 10 min. PtO 2 (10 mol %, 450 mg) was added, and the mixture purged with a balloon full of hydrogen gas. The mixture was then charged into a Parr bomb, flushed with hydrogen (simply fill with hydrogen at 60 psi, then release and refill, repeat this fill-release-refill cycle 3 ⁇ ), and reacted with hydrogen at 60 psi at room temperature O/N.
  • Step T77-1 3-Bromo-pyridin-2-ol.
  • Step T77-3 The protected alcohol 77-2 (3 g, 9.1 mmol) was dissolved in diisopropylamine (50 mL) and the reaction mixture degassed by bubbling argon through the solution. PdCl 2 (PPh 3 ) 2 (410 mg, 0.61 mmol, 0.06 eq), CuI (74 mg, 0.4 mmol, 0.04 eq) and triphenylphosphine (310 mg, 1.12 mmol) were added, then the mixture was warmed to 70° C. and stirred O/N. The solvent was removed under high vacuum and the residue was purified by flash chromatography to obtain 77-3 as a pale brown liquid (3.36 g, 70%) [Org. Lett.
  • Step T77-4 The acetylene 77-3 (3 g, 5.67 mmol) was dissolved in EtOH (30 mL) and purged with nitrogen for 10 min. PtO 2 (10 mol %, 300 mg) was added and the mixture purged with a balloon full of hydrogen gas. The mixture was then charged into a Parr bomb, flushed with hydrogen (fill with hydrogen at 80 psi then release and refill, repeat this fill-release-refill cycle 3 ⁇ ), and maintained with hydrogen at 80 psi at room temperature O/N.
  • the reaction mixture was filtered through a pad of Celite (use methanol for washing the residue on the Celite) and the filtrate plus washings was concentrated under reduced pressure to afford a practically pure (clean 1 H NMR), but colored sample of 77-4 in a quantitative yield. Further purification was achieved by subjecting this material to flash chromatography.
  • the product 77-4 has the same R f as the starting material (77-3), hence, 1 H NMR is the best way to distinguish them.
  • Step T77-5 77-4 (3 g, 5.6 mmol) was dissolved in anhydrous THF (200 mL). To the clear solution was added TBAF (6.7 mmol, 7 mL) and the mixture stirred for 2 h at room temperature. The solution was then poured into ice water. The aqueous solution was extracted with dichloromethane (3 ⁇ 200 mL). The organic layer was washed sequentially with saturated citrate buffer (1 ⁇ 200 mL), water (200 mL) and brine (200 mL). The washed organic extract was dried over anhydrous sodium sulfate, filtered and evaporated to dryness under reduced pressure to give an oily residue.
  • Step LS1-A Synthesis of LS1-8
  • Step LS1-B1 Synthesis of LS1-10
  • the hydrochloride salt of H-Nva-OMe was dissolved in an aqueous solution of Na 2 CO 3 (1 M) and saturated with NaCl to ensure extraction of all of the free amine.
  • the aqueous solution was extracted with AcOEt (3 ⁇ ).
  • the combined organic phases were extracted with brine, dried over MgSO 4 , filtered and concentrated under reduced pressure.
  • the free amine, H-Nva-OMe was recovered in 90% yield. It is important to perform the alkylation with the free amine (H-Nva-OMe) to eliminate chloride formation (OTs to Cl) as a side reaction.
  • bromide LS1-8a (740 mg, 1.83 mmol, 1.0 eq) and H-Nva-OMe (479 mg, 3.60 mmol, 2.0 eq) were added.
  • Degassed (by stirring under vacuum for 30 min) DMF (3.7 mL), anhydrous Na 2 CO 3 (232 mg, 2.19 mmol, 1.2 eq) and KI (61 mg, 0.37 mmol, 0.2 eq) were added and the mixture stirred at 110° C. O/N. Water was added and the aqueous phase was extracted with Et 2 O (3 ⁇ ). The combined organic phases were extracted with water (2 ⁇ ), then brine (1 ⁇ ).
  • Step LS1-B2 .Alternative Synthesis of LS1-10
  • Step LS1-C1 Synthesis of LS1-7
  • Step LS1-C2 Divergent Synthetic Route (No Amine Protection)
  • H-Nva-OtBu-HCl was dissolved in an aqueous solution of Na 2 CO 3 (1 M) and saturated with NaCl to ensure extraction of all of the free amine. This aqueous solution was extracted with AcOEt (3 ⁇ ). The combined organic phases were extracted with brine, dried over MgSO 4 , flitered and concentrated under reduced pressure. About 90% of the free amine, H-Nva-OtBu, was recovered. It is important to perform the alkylation with the free amine (H-Nva-OtBu) to eliminate chloride side product formation (OTs->Cl).
  • Step LS1-D Synthesis of Dipeptide LS1-6
  • the tosylate salt of H-(D)Phe-OBn was dissolved in an aqueous solution of 1 M Na 2 CO 3 and the aqueous solution extracted with AcOEt (3 ⁇ ). The combined organic phases were extracted with brine, dried over MgSO 4 , filtered and concentrated under reduced pressure. The free amine H-(D) Phe-OBn was recovered in 90% yield.
  • the dipeptide was dissolved in a solution of HCl/dioxane (4 M, 30 mL, 10 eq), 50 mL of dioxane were then added to facilitate the agitation and the mixture stirred for 1 h at room temperature; a heterogeneous solution was obtained. The mixture was concentrated under reduced pressure and dried further on mechanical vacuum pump. The dipeptide hydrochloride salt LS1-6 was obtained as pale yellow solid (4.4 g, 100%).
  • the organic phase was dried over MgSO 4 , filtered and concentrated under reduced pressure.
  • the residue was purified by flash chromatography (gradient: 20% AcOEt, 80% hexanes to 30% AcOEt, 70% hexanes) to give the desired fully protected tripeptide as a pale yellow gummy foam (1.6 g, 73%).
  • Step LS1-F Macrocyclization and Final Deprotection
  • Macrocycle LS1-11 (565 mg, 0.91 mmol, 1.0 eq) was dissolved in a solution of 4 M HCl/dioxane (4.6 mL, 20 eq) and the mixture stirred 2 h at room temperature. The mixture was concentrated under reduced pressure and placed under vacuum (oil pump) to give final macrocycle Compound 410 as a white solid (508 mg, 100%).
  • Chiral HPLC indicated no racemization when compared to its (L)-antipode at position AA 3 .
  • Step LS2-A Synthesis of Dipeptide LS2-21
  • Dipeptide LS2-24 (6.9 g, 0.015 mol) was dissolved in AcOEt (100 mL), then purged with nitrogen for 10 min. 10% Pd—C (690 mg) was added and the mixture purged with a balloon full of hydrogen gas. The mixture was then hydrogenated under atmospheric pressure using a H 2 balloon. After 12 h, the reaction mixture was filtered through a short pad of Celite, and the filter cake washed with AcOEt. The combined filtrate and washings were concentrated under reduced pressure to afford practically pure (clean NMR), colorless, solid compound LS2-21 (4.30 g, 90%) which was used directly in the next step without further purification.
  • Step LS2-B Synthesis of Tripeptide LS2-22
  • Step LS2-C Synthesis of LS2-23
  • Step LS2-D Synthesis of LS2-26 (Macrolactamization)
  • Step LS2-E Synthesis of Compound 410
  • Step LS3-1 Synthesis of cyclopropylglycine methyl ester hydrochloride salt.
  • LS3-A cyclopropylglycine methyl ester hydrochloride salt.
  • MeOH MeOH
  • acetyl chloride 185 mL, 2.6 mol, 15 eq
  • the mixture was then concentrated under vacuum, azeotroped with toluene (3 ⁇ ) and dried under high vacuum 16-18 h to give LS3-1 as a pale yellow solid (30.0 g, >100% crude yield).
  • Step LS3-2 Synthesis of tether bromide.
  • NBS 12.8 g, 72.0 mmol, 1.15 eq, larger amounts of NBS lead to dibrominated side product
  • PPh 3 18.9 g, 72.0 mmol, 1.15 eq.
  • Step LS3-4 In a dried round-bottom flask, bromide LS3-2 (47.2 g, 117 mmol, 1.0 eq) and freshly prepared LS3-3 (19.1 g, 148 mmol, 1.2 eq) were added. Degassed anhydrous DMF (117 mL), anhydrous Na 2 CO 3 (14.8 g, 140 mmol, 1.2 eq) and KI (19.4 g, 117 mmol, 1.0 eq) were added and the mixture was stirred at 100° C. under a nitrogen atmosphere for 16-18 h. Reaction progress was monitored by LC-MS and/or TLC.
  • Step LS3-5 To a solution of secondary amine LS3-4 (43.0 g. 94.7 mmol, 1.0 eq) in THF/H 2 O (1:1, 475 mL) at 0° C. were added Na 2 CO 3 (15.1 g, 113.7 mmol, 1.5 eq) and (Boc) 2 O (24.8 g, 142.1 mmol, 1.2 eq). The mixture was allowed to warm to room temperature and stirred 24 h. Reaction was monitored by LC/MS and/or TLC. THF was evaporated under vacuum and the residual aqueous phase was extracted with MTBE (3 ⁇ 100 mL). The combined organic phases were washed with brine (1 ⁇ 100 mL), dried over MgSO 4 , filtered and evaporated under vacuum to give the crude LS3-5 as an orange oil (59.1 g, >100% crude yield).
  • Step LS3-7 To a suspension of H-(D)Phe(4F)—OH (LS3-B, 55.6 g, 0.30 mol, 1.0 eq) in benzene (1.2 L) was added p-TSA (69.4 g, 0.37 mol, 1.2 eq) and benzyl alcohol (157 mL, 1.52 mol, 5.0 eq). The mixture was stirred at reflux 16-18 h in a Dean-Stark apparatus during which a homogeneous solution was obtained. The mixture was cooled down to room temperature and a white precipitate formed. The precipitate was diluted with Et 2 O (500 mL), filtered and triturated with Et 2 O (3 ⁇ 500 mL). The solid was dried under vacuum to give LS3-7 as a white solid (126 g, 93.1%). Substitution of toluene for benzene resulted in reduced reaction time, 2-3 h.
  • Step LS3-9 To a solution of LS3-8 (74.4 g, 0.27 mol, 1.0 eq) in anhydrous THF/CH 2 Cl 2 (1:1, 1120 mL) were added Boc-(D)NMeAla-OH (LS3-C, 57.1 g, 0.28 mol, 1.03 eq), 6-Cl—HOBt (46.2 g, 0.27 mol, 1.0 eq) and DIPEA (238 mL, 1.37 mol, 5.0 eq). The mixture was cooled to 0° C. and EDCI (57.6 g, 0.3 mol, 1.1 eq) was added.
  • Step LS3-11 To a solution of carboxylic acid LS3-6 (47.3 g, 87.6 mmol, 1.0 eq) and dipeptide hydrochloride salt LS3-10 (36.2 g, 91.9 mmol, 1.05 eq) in anhydrous THF/CH 2 Cl 2 (1:1) (438 mL) at 0° C. were added DIPEA (92 mL, 526 mmol, 6.0 eq) and HATU (34.9 g, 91.9 mmol, 1.05 eq). The mixture was allowed to warm to room temperature and stirred 16-18 h.
  • DIPEA 92 mL, 526 mmol, 6.0 eq
  • HATU 34.9 g, 91.9 mmol, 1.05 eq
  • Step LS3-13 To LS3-12 (51.4 g, 78.4 mmol, 1.0 eq) was added a solution of 3.0 M HCl in dioxane/H 2 O (75:25, 525 mL, 1.57 mol, 20 eq) and the mixture stirred at room temperature 1.5 h. The solvent was evaporated under vacuum, then the residue was azeotroped with toluene (3 ⁇ ) and dried under vacuum to give crude LS3-13 as an off-white solid (58.0 g, >100% yield).
  • Step LS3-15 To crude compound 298 (18.5 g, 34.4 mmol, 1.0 eq) in anhydrous EtOH (100 mL) was slowly added 1.25 M HCl in EtOH (41.2 mL, 51.5 mmol, 1.5 eq). The mixture was stirred 5 min, cooled down to 0° C. and filtered while still cold. The white precipitate was washed with cold anhydrous EtOH (3 ⁇ 75 mL) and dried under vacuum to give compound 298 hydrochloride as an amorphous white solid (15.3 g, 88% recovery, corrected).
  • Amorphous compound 298 hydrochloride (14.2 g, 24.7 mmol) was dissolved in a hot mixture of EtOH/H 2 O (9:1, 215 mL). The solution was cooled down to room temperature and then placed in a freezer ( ⁇ 20° C.) for 16-18 h. The crystals were collected by filtration and washed with cold anhydrous EtOH (3 ⁇ 75 mL) to give compound 298 hydrochloride as a crystalline white solid (12.4 g, 86% recovery). Crystalline compound 298 hydrochloride (11.4 g, 19.9 mmol) was taken up in 1 M Na 2 CO 3 /AcOEt (1:1, 200 mL) and stirred until complete dissolution of the solid.
  • the t-butyl ester of Cpg (LS3-14), produced under standard conditions, can be utilized as was described in Step LS3-4 to provide alkylated Cpg LS3-15 by reaction with Cbz-T33a.
  • This species without protection of the secondary amine on LS3-16 (produced by standard acid deprotection of the t-butyl ester of LS3-15), then undergoes chemoselective coupling with dipeptide LS3-10 to prepare LS3-17.
  • Straightforward simultaneous hydrogenolysis of both Cbz and benzyl protecting groups then leads to intermediate LS3-13 in a more efficient approach that avoids two steps.
  • Step LS3-17 To the hydrochloride salt of carboxylic acid LS3-16 (2.1 g, 4.41 mmol, 1.0 eq) and LS3-10 (1.7 g, 4.59 mmol, 1.05 eq) in anhydrous THF/CH 2 Cl 2 (1:1, 22 mL) at 0° C. were added DIPEA (5.3 mL, 30.6 mmol, 7.0 eq) and HATU (1.7 g, 4.59 mmol, 1.05 eq). The mixture was allowed to warm to room temperature and stirred 16-18 h. The reaction was monitored by LC-MS. The mixture was concentrated under reduced pressure and the residue dissolved in AcOEt (150 mL).
  • the organic phase was washed sequentially with an aqueous solution of citrate buffer (1 M, pH 3.5, 3 ⁇ 25 mL), H 2 O (1 ⁇ 25 mL), an aqueous solution of saturated NaHCO 3 (2 ⁇ 25 mL) and brine (1 ⁇ 25 mL).
  • the organic phase was dried over MgSO 4 , filtered and concentrated under vacuum to give LS3-17 as a white solid (3.5 g, >100% crude yield).
  • Compound 298 is a full agonist based on its similar, maximal efficacy to the ghrelin peptide (positive control).
  • Ghrelin (and analogues thereof) is known to potently stimulate GH release from the pituitary in various species including rat following intravenous dosing.
  • Compound 298 at doses up to 1000 ⁇ g/kg causes no significant difference in pulsatile GH release in comparison to vehicle controls (see FIG. 9 for effects of 30 ⁇ g/kg and 300 ⁇ g/kg doses).
  • Ghrelin at a dose of 5 ⁇ g causes a significant increase in GH release when dosed at both peak and trough levels (positive control).
  • Compound 298 dosed 10 min. prior to ghrelin neither inhibits nor augments ghrelin-induced GH release ( FIG. 12 ).
  • the effects of compound 298 on the levels of IGF-1 were also examined at the 1000 ⁇ g/kg dose. No appreciable changes in IGF-1 levels from control upon treatment with compound 298 were observed.
  • G-protein coupled receptors can undergo receptor desensitization upon agonist stimulation, where the degree of receptor desensitization is partly characteristic of the agonist. Lesser receptor desensitization is desirable because this correlates with lesser development of tolerance with chronic use of drug. This factor, among others, has been implicated in the poor clinical performance of GHS.
  • ghrelin agonists i.e. ghrelin peptide and the GHS capromorelin [Pfizer]
  • Compound 298 has a favorable desensitization profile since it (1) stimulates the receptor 6-fold more potently that it desensitizes the receptor and (2) elicits desensitization at a 10-fold lower potency than the endogenous ligand (i.e. ghrelin) and alternate, small-molecule ghrelin agonists. Accordingly, compound 298 may elicit less tolerance than alternate ghrelin agonists with chronic dosing.
  • endogenous ligand i.e. ghrelin
  • alternate, small-molecule ghrelin agonists i.e. ghrelin
  • compound 298 may elicit less tolerance than alternate ghrelin agonists with chronic dosing.
  • Metoclopramide (marketed gastroparesis product), ghrelin and GHRP-6 (reference peptide agonists at hGHS-R1a) all demonstrated significant gastric emptying ( FIG. 14A ).
  • Compound 298 caused significant gastric emptying in a dose-dependent manner with ⁇ 100-fold superior potency to metoclopramide ( FIG. 14B ).
  • Compound 298 potently stimulated gastric emptying of a solid meal in na ⁇ ve rats with a 100-fold superior potency to metoclopramide, a currently used drug with prokinetic activity.
  • the distribution of the bars indicates the distribution of the meal in the stomach (‘ST’) and consecutive 10 cm segments of the small intestine at 15 min post-oral gavage.
  • Abdominal surgery coupled with a running of the bowel caused a significant ileus in rats as determined by comparison of the na ⁇ ve (i.e. unoperated) and POI treatment groups.
  • Compound 298 significantly increased gastric emptying and intestinal transit at test concentrations of 100 and 300 ⁇ g/kg (i.v.). The data corresponding to the 100 ⁇ g/kg dose is presented in FIG. 15 . At 100 ⁇ g/kg (i.v.).
  • compound 298 significantly promoted GI transit by 2.7 ⁇ as measured by the geometric center of the meal in comparison to the POI+vehicle treatment group.
  • Compound 298 significantly improved gastric emptying and intestinal transit in rats with post-operative ileus.
  • Compound 298 can effectively treat an existing, post-surgical ileus; thus, prophylactic use prior to surgery is not required as is the case for opioid antagonists in clinical development.
  • Opioid analgesics such as morphine
  • OBD opioid bowel dysfunction
  • Drugs are susceptible to enzymatic degradation in plasma through the action of various proteinases and esterases. Thus, plasma stability is often performed as a metabolic screen in the early phases of drug discovery. The aim of this study was to measure the metabolic stability of compounds of the invention in human plasma.
  • the stability of compound 298 in human plasma at 37° C. has been measured at 2 and 24 h. Two forms of compound 298 have been studied: free amine and corresponding HCl salt. Also, the stability of compound 298 has been established in plasma alone and in plasma buffered with phosphate-buffered saline (PBS) where the ratio of plasma to phosphate buffer (pH 7.0) is 20:1. Assays were both performed and analyzed in triplicate samples. Compound 298 was extracted from plasma matrix using an SPE technique (Oasis MCX cartridge). Sample analysis is done using LC-MS in APCI + mode. The level of compound 298 in plasma samples is compared to the level of compound 298 in a spiked sample stored at ⁇ 60° C. from the same pool of plasma. Results are presented as a percent recovery of compound 298.
  • PBS phosphate-buffered saline
  • compound 298 is stable in human plasma at 37° C. for at least 24 hours independent of compound form (i.e. free amine or salt) or whether or not the plasma samples are pH buffered with PBS.
  • Compound 298 (0.0457 to 100 ⁇ M) has minimal inhibitory activity at all cyp450 enzymes tested, except cyp3A4, and has moderate inhibitory activity at cyp3A4.
  • the inhibitory activity observed for compound 298 at cyp3A4 was not anticipated to be physiologically relevant based on the low doses of compound 298 required for therapeutic activity. Also, there was no indication that compound 298 would undergo a drug-drug interaction with opioid analgesics that may be co-administered to POI patients.
  • Compound 298 (1, 10 ⁇ M) had no significant effect on hERG channel function in comparison to vehicle (0.1% DMSO) controls.
  • E-4031 positive control completely inhibited hERG channel currents at 500 nM.
  • CD cyclodextrin
  • Results are reported as percentage relative to the stomach weight for injection only of solvent as a control as shown in FIGS. 17A and 17B and illustrate the gastric emptying capability of the compounds of the present invention. These results are applicable for the utility of these compounds for the prevention and/or treatment of gastroparesis and/or post-operative ileus.

Landscapes

  • Chemical & Material Sciences (AREA)
  • Health & Medical Sciences (AREA)
  • Organic Chemistry (AREA)
  • Life Sciences & Earth Sciences (AREA)
  • Medicinal Chemistry (AREA)
  • General Health & Medical Sciences (AREA)
  • Pharmacology & Pharmacy (AREA)
  • Epidemiology (AREA)
  • Animal Behavior & Ethology (AREA)
  • Public Health (AREA)
  • Veterinary Medicine (AREA)
  • Proteomics, Peptides & Aminoacids (AREA)
  • Genetics & Genomics (AREA)
  • Molecular Biology (AREA)
  • Biophysics (AREA)
  • Biochemistry (AREA)
  • Gastroenterology & Hepatology (AREA)
  • Engineering & Computer Science (AREA)
  • Bioinformatics & Cheminformatics (AREA)
  • Immunology (AREA)
  • Endocrinology (AREA)
  • Zoology (AREA)
  • Peptides Or Proteins (AREA)
  • Medicines That Contain Protein Lipid Enzymes And Other Medicines (AREA)

Abstract

The present invention provides novel conformationally-defined macrocyclic compounds that have been demonstrated to be selective modulators of the ghrelin receptor (growth hormone secretagogue receptor, GHS-R1a and subtypes, isoforms and variants thereof). Methods of synthesizing the novel compounds are also described herein. These compounds are useful as agonists of the ghrelin receptor and as medicaments for treatment and prevention of a range of medical conditions including, but not limited to, metabolic and/or endocrine disorders, gastrointestinal disorders, cardiovascular disorders, obesity and obesity-associated disorders, central nervous system disorders, genetic disorders, hyperproliferative disorders and inflammatory disorders.

Description

RELATED APPLICATION INFORMATION
This application is a reissue of U.S. patent application Ser. No. 11/149,512, filed Jun. 10, 2005, now U.S. Pat. No. 7,491,695, which is a continuation-in-part under 35 U.S.C. § 120 of U.S. patent application Ser. No. 10/872,142, filed Jun. 18, 2004, currently pending now U.S. Pat. No. 7,521,420, which claims the benefit under 35 U.S.C. § 119(e) of U.S. Provisional Patent Application Ser. No. 60/479,223, filed Jun. 18, 2003. This continuation-in-part reissue application also claims the benefit under 35 U.S.C. § 119(e) of U.S. Provisional Patent Application Ser. No. 60/621,642, filed Oct. 26, 2004, U.S. Provisional Patent Application Ser. No. 60/622,055 60/622,005, filed Oct. 27, 2004, and U.S. Provisional Patent Application Ser. No. 60/642,271, filed Jan. 7, 2005. The disclosures of the above-referenced applications are incorporated herein by reference in their entireties.
FIELD OF THE INVENTION
The present invention relates to novel conformationally-defined macrocyclic compounds that bind to and/or are functional modulators of the ghrelin (growth hormone secretagogue) receptor including GHS-R1a and subtypes, isoforms and/or variants thereof. The present invention also relates to intermediates of these compounds, pharmaceutical compositions containing these compounds and methods of using the compounds. These novel macrocyclic compounds are useful as therapeutics for a range of disease indications. In particular, these compounds are useful for treatment and prevention of gastrointestinal disorders including, but not limited to, post-operative ileus, gastroparesis, including diabetic gastroparesis, opioid bowel dysfunction, chronic intestinal pseudo-obstruction, short bowel syndrome and functional gastrointestinal disorders.
BACKGROUND OF THE INVENTION
The improved understanding of various physiological regulatory pathways enabled through the research efforts in genomics and proteomics has begun to impact the discovery of novel pharmaceutical agents. In particular, the identification of key receptors and their endogenous ligands has created new opportunities for exploitation of these receptor/ligand pairs as therapeutic targets. For example, ghrelin is a recently characterized 28-amino acid peptide hormone isolated originally from the stomach of rats with the orthologue subsequently identified in humans. (Kojima, M.; Hosoda, H. et al. Nature 1999, 402, 656-660.) The existence of this peptide in a range of other species suggests a conserved and important role in normal body function. This peptide has been demonstrated to be the endogenous ligand for a previously orphan G protein-coupled receptor (GPCR), type 1 growth hormone secretatogue receptor (hGHS-R1a) (Howard, A. D.; Feighner, S. D.; et al. A receptor in pituitary and hypothalamus that functions in growth hormone release. Science 1996, 273, 974-977.) found predominantly in the brain (arcuate nucleus and ventromedial nucleus in the hypothalamus, hippocampus and substantia nigra) and pituitary. (U.S. Pat. No. 6,242,199; Intl. Pat. Appl. Nos. WO 97/21730 and WO 97/22004) The receptor has also been detected in other areas of the central nervous system (CNS) and in peripheral tissues, for instance adrenal and thyroid glands, heart, lung, kidney, and skeletal muscles. This receptor was identified and cloned prior to the isolation and characterization of the endogenous peptide ligand and is distinct from other receptors involved in the regulation of growth hormone (GH) secretion, in particular, the growth hormone-releasing hormone (GHRH) receptor.
A unique characteristic of both the rat and human peptides is the presence of the n-octanoyl (Oct) moiety on Ser3. However, the des-acyl form predominates in circulation, with approximately 90% of the hormone in this form. This group is derived from a post-translational modification and appears relevant for bioactivity and possibly also for transport into the CNS. (Banks, W. A.; Tschöp, M.; Robinson, S. M.; Heiman, M. L. Extent and direction of ghrelin transport across the blood-brain barrier is determined by its unique primary structure. J. Pharmacol. Exp. Ther. 2002, 302, 822-827.) In a GH-releasing assay, the des-octanoyl form of the hormone was at least 100-fold less potent than the parent peptide, although it has been suggested that the des-acyl species may be responsible for some of the other biological effects associated with ghrelin. This des-acyl form has also been postulated to be primarily responsible for the cardiovascular and cell proliferation effects attributed to ghrelin, while the acylated form participates in maintenance of energy balance and growth hormone release. (Baldanzi, G.; Filighenddu, N.; Cutrupi, S.; et al. Ghrelin and des-acyl ghrelin inhibit cell death in cardiomyocytes and endothelial cells through ERK1/2 and PI-3 kinase/AKT. J. Cell Biol. 2002, 159, 1029-1037) Similarly, des-Gln14-ghrelin and its octanoylated derivative have been isolated as endogenous forms of the hormone arising from alternative splicing of the ghrelin gene, but both are found to be inactive in stimulating GH release in vivo. (Hosoda, H.; Kojima, M.; Matsuo, H.: Kangawa, K. Purification and characterization of rat des-Gln14-ghrelin, a second endogenous ligand for the growth hormone secretagogue receptor. J. Biol. Chem. 2000, 275, 21995-2120.). Other minor forms of ghrelin produced by post-translational processing have been observed in plasma, although no specific activity has been attributed to them. (Hosoda, H.; Kojima. M.; et al. Structural divergence of human ghrelin. Identification of multiple ghrelin-derived molecules produced by post-translational processing. J. Biol. Chem. 2003, 278, 64-70.)
Even prior to the isolation of this receptor and its endogenous peptide ligand, a significant amount of research was devoted to finding agents that can stimulate GH secretion. The proper regulation of human GH has significance not only for proper body growth, but also a range of other critical physiological effects. GH and other GH-stimulating peptides, such as GHRH and growth hormone releasing factor (GRF), as well as their derivatives and analogues, are administered via injection. Therefore, to better take advantage of these positive effects, attention was focused on the development of orally active therapeutic agents that would increase GH secretion, termed GH secretagogues (GHS). Additionally, use of these agents was expected to more closely mimic the pulsatile physiological release of GH.
Beginning with the identification of the growth hormone-releasing peptides (GHRP) in the late 1970's. (Bowers, C. Y. Growth hormone-releasing peptides: physiology and clinical applications. Curr. Opin. Endocrinol. Diabetes 2000, 7, 168-174; Camanni, F.; Ghigo, E.; Arvat, E. Growth hormone-releasing peptides and their analogs. Front. Neurosci. 1998, 19, 47-72; Locatelli, V.; Torsello, A. Growth hormone secretagogues: focus on the growth hormone-releasing peptides. Pharmacol. Res. 1997, 36, 415-423.) a host of agents have been studied for their potential to act as GHS. In addition to their stimulation of GH release and concomitant positive effects in that regard, GHS were projected to have utility in the treatment of a variety of other disorders, including wasting conditions (cachexia) as seen in HIV patients and cancer-induced anorexia, musculoskeletal frailty in the elderly, and growth hormone deficient diseases. Many efforts over the past 25 years have yielded a number of potent, orally available GHS. (Smith, R. G.; Sun, Y. X.; Beatancourt, L.; Asnicar, M. Growth hormone secretagogues: prospects and pitfalls. Best Pract. Res. Clin. Endocrinol. Metab. 2004, 18, 333-347; Fehrentz, J.-A.; Martinez, J.; Boeglin, D.; Guerlavais, V.; Deghenghi, R. Growth hormone secretagogues: Past, present and future. IDrugs 2002, 5, 804-814; Svensson, J. Exp. Opin. Ther. Patents 2000, 10, 1071-1080; Nargund, R. P.; Patchett, A. A.; et al. Peptidomimetic growth hormone secretagogues. Design considerations and therapeutic potential. J. Med. Chem. 1998, 41, 3103-3127; Ghigo, E; Arvat, E.; Camanni, F. Orally active growth hormone secretagogues: state of the art and clinical perspective. Ann. Med. 1998, 30, 159-168; Smith, R. G.; Van der Ploeg, L. H. T.; Howard, A. D.; Feighner, S. D.; et al. Peptidomimetic regulation of growth hormone secretion. Endocr. Rev. 1997, 18, 621-645.) These include small peptides, such as hexarelin (Zentaris) and ipamorelin (Novo Nordisk), and adenosine analogues, as well as small molecules such as carpomorelin (Pfizer), L-252,564 (Merck). MK-0677 (Merck), NN7203 (Novo Nordisk), G-7203 (Genentech), S-37435 (Kaken) and SM-130868 (Sumitomo), designed to be orally active for the stimulation of growth hormone. However, clinical testing with such agents have rendered disappointing results due to, among other things, lack of efficacy over prolonged treatment or undesired side effects, including irreversible inhibition of cytochrome P450 enzymes (Zdravkovic M.; Olse, A. K.; Christiansen, T.; et al. Eur. J. Clin. Pharmacol. 2003, 58, 683-688.) Therefore, there remains a need for pharmacological agents that could effectively target the GHS-R1a receptor for therapeutic action.
Despite its involvement in GH modulation, ghrelin is primarily synthesized in the oxyntic gland of the stomach, although it is also produced in lesser amounts in other organs, including the kidney, pancreas and hypothalamus. (Kojima, M.; Hsoda, H.; Kangawa, K. Purification and distribution of ghrelin: the natural endogenous ligand for the growth hormone secretagogue receptor. Horm. Res. 2001, 56 (Suppl. 1), 93-97; Ariyasu, H.; Takaya, K.; Tagami, T.; et al. Stomach is a major source of circulating ghrelin, and feeding state determines plasma ghrelin-like immunoreactivity levels in humans. J. Clin. Endocrinol. Metab. 2001, 86, 4753-4758) In addition to its role in stimulating GH release, the hormone has a variety of other endocrine and non-endocrine functions (Broglio, F.; Gottero, C.; Arvat, E.; Ghigo, E. Endocrine and non-endocrine actions of ghrelin. Horm. Res. 2003, 59, 109-117) and has been shown to interact with a number of other systems in playing a role in maintaining proper energy balance. (Horvath. T. L.; Diano, S.; Sotonyi, P.; Heiman, M.; Tschöp, M. Ghrelin and the regulation of energy balance—a hypothalamic perspective. Endocrinology 2001, 142, 4163-4169; Casanueva, F. F.; Dieguez, C. Ghrelin: the link connecting growth with metabolism and energy homeostasis. Rev. Endocrinol. Metab. Disord. 2002, 3, 325-338). In particular, ghrelin plays a role as an orexigenic signal in the control of feeding, in which it acts to counteract the effects of leptin. Indeed, it was the first gut peptide proven to have such orexigenic properties. (Kojima, M.; Kangawa, K. Ghrelin, an orexigenic signaling molecule from the gastrointestinal tract. Curr. Opin. Pharmacology 2002, 2, 665-668.) The hormone also is implicated in the hypothalamic regulation of the synthesis and secretion of a number of other neuropeptides involved in appetite and feeding behavior. Levels of ghrelin are elevated in response to fasting or extended food restriction. (Nakazato, M.; Murakami, N.; Date, Y.; Kojima, M.; et al. A role for ghrelin in the central regulation of feeding. Nature 2001, 409, 194-198) For example, subjects suffering with anorexia or bulimia exhibit elevated ghrelin levels. Circulating levels of the hormone have been found to rise before meals and fall after meals. In addition, diet-induced weight loss leads to increased ghrelin levels, although obese subjects who have gastric bypass surgery do not likewise experience such an increase. (Cummings, D. E.; Weigle, D. S.; Frayo, R. S.; et al. Plasma ghrelin levels after diet-induced weight loss or gastric bypass surgery. N. Engl. J. Med. 2002, 346, 1623-1630)
This intimate involvement of ghrelin in control of food intake and appetite has made it an attractive target for obesity research. Indeed, few other natural substances have been demonstrated to be involved in the modulation of both GH secretion and food intake.
An additional effect of ghrelin that has not to date been exploited for therapeutic purposes is in modulating gastric motility and gastric acid secretion. The prokinetic activity appears to be independent of the GH-secretory action and is likely mediated by the vagal-cholinergic muscarinic pathway. The dose levels required are equivalent to those necessary for the hormone's GH and appetite stimulation actions. It is noteworthy that, in contrast to its inactivity for ghrelin's other actions, the des-Gln14 peptide demonstrated promotion of motility as well. (Trudel, L.; Bouin, M.; Tomasetto, C.; Eberling, P.; St-Pierre, S.; Bannon, P.; L'Heureux, M. C.: Poitras, P. Two new peptides to improve post-operative gastric ileus in dog. Peptides 2003, 24, 531-534; Trudel, L.; Tomasetto, C.; Rio, M. C.; Bouin, M.; Plourde, V.; Eberling, P.; Poitras, P. Ghrelin/motilin-related peptide is a potent prokinetic to reverse gastric postoperative ileus in rats. Am. J. Physiol. 2002, 282, G948-G952; Peeters, T. L. Central and peripheral mechanisms by which ghrelin regulates gut motility. J. Physiol. Pharmacol. 2003, 54(Supp. 4), 95-103.)
Ghrelin also has been implicated in various aspects of reproduction and neonatal development. (Arvat, E.; Gianotti, L.; Giordano, R.; et al. Growth hormone-releasing hormone and growth hormone secretagogue-receptor ligands. Focus on reproductive system. Endocrine 2001, 14, 35-43) Also of significance are the cardiovascular effects of ghrelin, since the peptide is a powerful vasodilator. As such, ghrelin agonists have potential for the treatment of chronic heart failure (Nagaya, N.; Kangawa, K. Ghrelin, a novel growth hormone-relasing peptide, in the treatment of chronic heart failure. Regul. Pept. 2003, 114, 71-77; Nagaya, N.; Kangawa, K. Ghrelin improves left ventricular dysfunction and cardiac cachexia in heart failure. Curr. Opin. Phannacol. 2003, 3, 146-151; Bedendi, I.; Alloatti, G.; Marcantoni, A.; Malan, D.; Catapano, F.; Ghé, C.; et al. Cardiac effects of ghrelin and its endogenous derivatives des-octanoyl ghrelin and des-Gln14-ghrelin. Eur. J. Pharmacol. 2003, 476, 87-95) Intl. Pat. Appl. Publ. WO 2004/014412 describes the use of ghrelin agonists for the protection of cell death in myocardial cells and as a cardioprotectant treatment for conditions leading to heart failure. Lastly, evidence has been obtained that ghrelin may have implications in anxiety and other CNS disorders as well as the improvement of memory. (Carlini, V. P., Monzon, M. E., Vans, M. M., Cragnolini, A. B., Schioth, H. B., Scimonelli, T. N., de Barioglio, S. R. Ghrelin increases anxiety-like behavior and memory retention in rats. Biochem. Biophys. Res. Commun. 2002, 299, 739-743)
The myriad effects of ghrelin in humans have suggested the existence of subtypes for its receptor, although none have as yet been identified. (Torsello, A.; Locatelli, Y.; Melis, M. R.; Succu, S.; Spano, M. S.; Deghenghi, R.; Muller, E. E.: Argiolas, A.; Torsello, A.; Locatelli, V.; et al. Differential orexigenic effects of hexarelin and its analogs in the rat hypothalamus: indication for multiple growth hormone secretagogue receptor subtypes. Neuroendocrinology 2000, 72, 327-332.) However, a truncated, inactive form of GHS-R1a, termed GHS-R1b, was isolated and identified during the original characterization studies. Evidence is mounting that additional receptor subtypes could be present in different tissues to explain the diverse effects displayed by the endogenous peptides and synthetic GHS. For instance, high affinity binding sites for ghrelin and des-acyl ghrelin have also been found in breast cancer cell lines, cardiomyocytes, and guinea pig heart that are involved in mediating the antiproliferative, cardioprotective and negative cardiac inotropic effects of these peptides. Similarly, specific GHS binding sites besides GHS-R1a and GHS-R1b have been found in prostate cancer cells. Further, ghrelin and des-acyl ghrelin exert different effects on cell proliferation in prostate carcinoma cell lines. (Cassoni, P.; Ghé, C.; Marrocco, T.; et al. Expression of ghrelin and biological activity of specific receptors for ghrelin and des-acyl ghrelin in human prostate neoplasms and related cell lines, Eur. J. Endocrinol. 2004, 150, 173-184) These various receptor subtypes may then be implicated independently in the wide array of biological activities displayed by the endogenous peptides and synthetic GHS. Indeed, recently, the existence of receptor subtypes was offered as an explanation for the promotion of fat accumulation by ghrelin, despite its potent stimulation of the lipolytic hormone, growth hormone, (Thompson, N. M.; Gill, D. A. S.; Davies, R.; Loveridge, N.; Houston, P. A.; Robinson, I. C. A. F.; Wells, T. Ghrelin and des-octanoyl ghrelin promote adipogenesis directly in vivo by a mechanism independent of the type 1a growth hormone secretagogue receptor. Endocrinology 2004, 145, 234-242.) Further, this work suggested that the ratio of ghrelin and des-acyl ghrelin production could help regulate the balance between adipogenesis and lipolysis in response to nutritional status.
The successful creation of peptidic ghrelin analogues that separate the GH-modulating effects of ghrelin from the effects on weight gain and appetite provides strong evidence for the existence and physiological relevance of other receptor subtypes. (Halem, H. A.; Taylor, J. E.; Dong, J. Z.; Shen, Y.; Datta, R.; Ahizaid, A.; Diano, S.; Horvath, T.; Zizzari, P.; Bluet-Pajot, M.-T.; Epelbaum, J.; Culler, M. D. Novel analogs of ghrelin: physiological and clinical implications. Eur. J. Endocrinol. 2004, 151, S71-S75.) BIM-28163 functions as an antagonist at the GHS-R1a receptor and inhibits receptor activation by native ghrelin. However, this same molecule is a full agonist with respect to stimulating weight gain and food intake. Additionally, the existence of a still uncharacterized receptor subtype has been proposed based on binding studies in various tissues that showed differences between peptidic and non-peptidic GHS. (Ong, H.; Menicoll, N.; Escher, F.; Collu, R.; Deghenghi, R.; Locatelli, V.; Ghigo, E.; Muccioli, G.; Boghen, M.; Nilsson, M. Endocrinology 1998, 139, 432- 435.) Differences between overall GHS-R expression and that of the GHS-R1a subtype in rat testis have been reported. (Barreiro, M. L.; Suominen, J. S.; Gaytan, F.; Pinilla, L.; Chopin, L. K.; Casanueva, F. F.; Dieguez, C.; Aguilar, E.; Toppari, J.; Tena-Sempere, M. Developmental, stage-specific, and hormonally regulated expression of growth hormone secretagogue receptor messenger RNA in rat testis. Biol. Reproduction 2003, 68, 1631-1640) A GHS-R subtype on cholinergic nerves is postulated as an explanation for the differential actions of ghrelin and a peptidic GHS on neural contractile response observed during binding studies at the motilin receptor. (Depoortere, I.; Thijs, T.; Thielemans, L.; Robberecht, P.; Peeters, T. L. Interaction of the growth hormone-releasing peptides ghrelin and growth hormone-releasing peptide-6 with the motilin receptor in the rabbit gastric antrum. J. Pharmacol. Exp. Ther 2003, 305, 660-667.)
The variety of activities associated with the ghrelin receptor could also be due to different agonists activating different signaling pathways as has been shown for ghrelin and adenosine, both of which interact as agonists at GHS-R1a (Carreira, M. C.; Camina, J. P.; Smith, R. G.; Casanueva, F. F. Agonist-specific coupling of growth hormone secretagogue receptor type 1a to different intracellular signaling systems. Role of adenosine. Neuroendocrinology 2004, 79, 13-25.)
The functional activity of a GPCR has been shown to often require the formation of dimers or other multimeric complexes with itself or other proteins. (Park, P. S.; Filipek, S.; Wells, J. W.; Palczewski, K. Oligomerization of G protein-coupled receptors: past, present, and future. Biochemistry 2004, 43, 15643-15656; Rios, C. D.; Jordan, B. A.; Gomes, I.; Devi, L. A. G-protein-coupled receptor dimerization: modulation of receptor function. Pharmacol. Ther. 2001, 92, 71-87; Devi, L. A. Heterodimerization of G-protein-coupled receptors: pharmacology, signaling and trafficking. Trends Pharmacol. Sci. 2001, 22, 532-537.) Likewise, the activity of the ghrelin receptor might also be at least partially governed by such complexes. For example, certain reports indicate that interaction of GHS-R1a with GHRH (Cunha, S. R.; Mayo, K. E. Ghrelin and growth hormone (GH) secreatagogues potentiate GH-releasing hormone (GHRH)-induced cyclic adenosine 3′,5′-monophosphate production in cells expressing transfected GHRH and GH secretagogue receptors. Endocrinology 2002, 143, 4570-4582; Malagón, M. M.; Luque, R. M.; Ruiz-Guerrero, E.; Rodriguez-Pacheco, F.; Garcia-Navarro, S.; Casanueva, F. F.; Gracia-Navarro, F.; Castaño, J. P. Intracellular signaling mechanisms mediating ghrelin-stimulated growth hormone release in somatotropes Endocrinology 2003, 144, 5372-5380) or between receptor subtypes (Chan, C. B.; Cheng, C. H. K. Identification and functional characterization of two alternatively spliced growth hormone secretagogue receptor transcripts from the pituitary of black seabream Acanthopagrus schlegeli. Mol. Cell. Endocrinol. 2004, 214, 81-95) may be involved in modulating the function of the receptor.
The vast majority of reported approaches to exploiting the ghrelin receptor for therapeutic purposes have focused on modulating metabolic functions. Similarly, the vast majority of literature on GHS focuses on conditions that can be treated via its GH promoting actions. Some embodiments of the invention described herein, in particular, take advantage of selective activation of the ghrelin receptor to provide an avenue for the treatment of diseases characterized by GI dysmotility. The improved GI motility observed with ghrelin demonstrates that ghrelin agonists may be useful in correcting conditions associated with reduced or restricted motility (Murray, C. D. R.; Kamm, M. A.; Bloom, S. R.; Emmanuel, A. V. Ghrelin for the gastroenterologist: history and potential. Gastroenterology 2003, 125, 1492-1502; Fujino, K.; Inui, A.; Asakawa, A.; Kihara, N.; Fujimura, M.; Fujimiya, M. Ghrelin induces fasting motor activity of the gastrointestinal tract in conscious fed rats. J. Physiol. 2003, 550, 227-240; Edholm, T.; Levin, F.; Hellström, P. M.; Schmidt, P. T. Ghrelin stimulates motility in the small intestine of rats through intrinsic cholinergic neurons. Regul. Pept. 2004, 121, 25-30.)
Included among these conditions is post-operative ileus (POI, Luckey, A.; Livingston, E.; Taché, Y. Mechanisms and treatment of postoperative ileus. Arch. Surg. 2003, 138, 206-214; Baig, M. K.; Wexner, S. D. Postoperative ileus: a review. Dis. Colon Rectum 2004, 47, 516-526). POI is defined as the impairment of GI motility that routinely occurs following abdominal, intestinal, gynecological and pelvic surgeries. In the U.S. alone, 4.3 million surgeries annually induce POI, accounting for an economic impact of over $1 billion. POI is considered a deleterious response to surgical manipulation with a variable duration that generally persists for 72 hours. It is characterized by pain, abdominal distention or bloating, nausea and vomiting, accumulation of gas and fluids in the bowel, and delayed passage of stool. Patients are neither able to tolerate oral feeding nor to have bowel movements until gut function returns. POI leads to numerous undesirable consequences, including increased patient morbidity, the costly prolongation of hospital stays and, further, is a major cause of hospital readmission. In addition, opiate drugs given as analgesics after surgery exacerbate this condition due to their well-recognized side effect of inhibiting bowel function.
Surgical manipulation of the stomach or intestine causes a disorganization of the gut-brain signaling pathways, impairing GI activity and triggering POI. Ghrelin acts locally in the stomach to stimulate and coordinate the firing of vagal afferent neurons and thereby modulate gut motility. Thus, ghrelin accelerates gastric emptying in humans (Inui, A.; Asakawa, A.; Bowers, C. Y.; Mantovani, G.; Laviano, A.; Meguid, M. M.; Fujimiya, M. Ghrelin, appetite, and gastric motility: the emerging role of the stomach as an endocrine organ. FASEB J. 2004, 18, 439-456; Peeters, T. L. Central and peripheral mechanisms by which ghrelin regulates gut motility. J. Physiol. Pharmacol. 2003, 54(Supp. 4), 95-103.) and is a potent agent proven to treat POI in animal models (Trudel. L.; Tomasetto, C.; Rio, M. C.; Bouin, M.; Plourde, V.; Eberling, P.; Poitras, P. Ghrelin/motilin-related peptide is a potent prokinetic to reverse gastric postoperative ileus in rats. Am. J. Physiol. 2002, 282, G948-G952; Trudel, L.; Bouin, M.; Tomasetto, C.; Eberling, P.; St-Pierre, S.; Bannon, P.; L'Heureux, M. C.; Poitras, P. Two new peptides to improve post-operative gastric ileus in dog. Peptides 2003, 24, 531-534). Ghrelin agonists duplicate the effects of ghrelin, thus targeting directly the underlying cause of POI to accelerate normalization of gut function and enable more rapid discharge from the hospital. Intravenous administration is often the preferred route of treatment for POI due to the impaired GI motility in these patients that impedes oral therapy. No agent is currently approved by the U.S. FDA specifically for the treatment of POI.
Another major motility disorder is gastroparesis, a particular problem for both type I and type II diabetics. (Camilleri, M. Advances in diabetic gastroparesis. Rev. Gastroenterol. Disord. 2002, 2, 47-56; Tack et al. Gastroenterology 2004; 126: A485; Moreaux, B.; VandenBerg, J.; Thielmans, L.; Meulemans, A.; Coulie, B. Activation of the GHS receptor accelerates gastric emptying in the dog. Digestive Disease Week, 15-20 May 2004, New Orleans, La., USA Abstract M1009; Tack et al. Gastroenterology 2004, 126: A74) Gastroparesis (“stomach paralysis”) is a syndrome characterized by delayed gastric emptying in the absence of any mechanical obstruction. It is variably characterized by abdominal pain, nausea, vomiting, weight loss, anorexia, early satiety, malnutrition, dehydration, gastroesophageal reflux, cramping and bloating. This chronic condition can lead to frequent hospitalization, increased disability and decreased quality of life. Severe, symptomatic gastroparesis is common in individuals suffering from diabetes, affecting from 5-10% of diabetics for a total patient population of 1 million in the U.S. alone. Neuropathy is a frequent, debilitating complication of diabetes. Visceral neuropathy results in GI dysfunction, especially involving the stomach, leading to impaired gastric motility. Ghrelin promotes gastric emptying both by stimulating the vagus nerve and via direct prokinetic action at the gastric mucosa. Moreover, a recent clinical study indicates that intravenous administration of the natural ghrelin peptide is an effective acute therapy in diabetic gastroparesis patients. A ghrelin agonist would therefore be highly effective in over-coming the fundamental motility barrier faced by gastroparesis patients and correcting this condition. As with POI, no accepted or efficacious therapy for diabetic gastroparesis is available and most current therapies aim to provide only symptomatic relief. Further, many of the therapeutics in development have a mechanism of action similar to earlier products that have failed in this indication. Surgical procedures may ameliorate the disease process, but offer no possibility of cure.
Opioid-induced bowel dysfunction (OBD, Kurz, A.; Sessler, D. J. Opioid-Induced Bowel Dysfunction. Drugs 2003, 63, 649-671.) is the term applied to the confluence of symptoms involving the reduced GI motility that results from treatment with opioid analgesics. Approximately 40-50% of patients taking opioids for pain control experience OBD. It is characterized by hard, dry stools, straining, incomplete evacuation, bloating, abdominal distension and increased gastric reflux. In addition to the obvious short-term distress, this condition leads to physical and psychological deterioration in patients undergoing long term opioid treatment, Further, the dysfunction can be so severe as to become a dose-limiting adverse effect that actually prevents adequate pain control. As with POI, a ghrelin agonist can be expected to counteract the dysmotility resulting from opioid use.
Two less common conditions may also be helped through the GI motility stimulation effects of ghrelin and ghrelin agonists. Short bowel syndrome is a condition that occurs after resection of a substantial portion of small intestine and is characterized by malnutrition. Patients are observed to have decreased ghrelin levels resulting from loss of the ghrelin-producing neuroendocrine cells of the intestine. It is possible the short bowel feeds back on the release of the hormone. (Krsek, M.; Rosicka, M.; Haluzik, M.; et al. Plasma ghrelin levels in patients with short bowel syndrome. Endocr. Res. 2002, 28, 27-33.) Chronic intestinal pseudo-obstruction is a syndrome defined by the presence of chronic intestinal dilation and dysmotility in the absence of mechanical obstruction or inflammation. Both genetic and acquired causes are known to result in this disorder, which affects high numbers of individuals worldwide annually. (Hirano. I.; Pandolfino, J. Chronic intestinal pseudo-obstruction. Dig. Dis. 2000, 18, 83-92.)
Other conditions and disorders that could be addressed through stimulation of the ghrelin receptor are: emesis such as caused by cancer chemotherapy, constipation such as associated with the hypomotility phase of irritable bowel syndrome (IBS), delayed gastric emptying associated with wasting conditions, gastroesophageal reflux disease (GERD), gastric ulcers (Sibilia, V.; Rindi, G.; Pagani, F.; Rapetti, D.; Locatelli, V; Torsello, A.; Campanini, N.; Degenghi, R.; Netti, C. Ghrelin protects against ethanol-induced gastric ulcers in rats: studies on the mechanism of action. Endocrinology 2003, 144, 353-359.) and Crohn's disease.
Additionally, GI dysmotility is a significant problem in other mammals as well. For example, the motility dysfunction termed ileus or colic is the number one cause of mortality among horses. Further, ileus is one of the most common complications of equine intestinal surgery, in other words, post-operative ileus. This condition may also have a non-surgical etiology. Some horses may be predisposed to ileus based upon the anatomy and functioning of their digestive tract. Virtually any horse is susceptible to colic with only minor differences based upon age, sex and breed. Additionally, ileus may affect other animals, for example canines. (Roussel, A. J., Jr.; Cohen, N. D.; Hooper, R. N.; Rakestraw, P. C. Risk factors associated with development of postoperative ileus in horses. J. Am Vet. Med Assoc. 2001, 219, 72-78; Van Hoogmoed, L. M.; Nieto, J. E.; Snyder, J. R.; Harmon, F. A. Survey of prokinetic use in horses with gastrointestinal injury. Vet. Surg. 2004, 33, 279-285.)
Importantly, for most of the above conditions, no specific, approved therapeutics exist and most therapies simply address symptomatic relief. However, specific modulation of the ghrelin receptor provides an opportunity to directly target the site of pathophysiological disturbance to better treat the underlying condition and improve clinical outcome. Further, unlike other agents that interact at the GHS-R1a receptor, the compounds of the invention are believed not to stimulate concurrent GH secretion. This separation of the gastrointestinal and GH effects has not previously been reported for any modulators of this receptor. However, as already mentioned, the existence of analogues that separate the appetite control and GH modulatory effects associated with ghrelin has been recently reported.
WO 01/00830 reports on short gastrointestinal peptides (SGIP) that secrete growth hormone and also promote GI motility, but these were not shown to be due to action at the ghrelin receptor. U.S. Pat. No. 6,548,501 discloses specific compounds, but as GHS, useful for stimulation of GI motility. Moreover, other endogenous factors are known to stimulate secretion of GH, but do not promote GI motility. Indeed, many actually inhibit this physiological function. Specific receptor agonists such as the compounds of the present invention have much better potential to be selective and effective therapeutic agents.
Work has continued at the development of potent and selective GHS with a number of small molecule derivatives now being known as has been recently summarized. (Carpino, P. Exp. Opin. Ther. Patents 2002, 12, 1599-1618.) Specific GHS are described in the following U.S. Pat. Nos. and Intl. Pat. Appl. Publs. WO 89/07110; WO 89/07111; WO 92/07578; WO 93/04081; WO 94/11012; WO 94/13696; WO 94/19367; WO 95/11029; WO 95/13069; WO 95/14666; WO 95/17422; WO 95/17423; WO 95/34311; WO 96/02530; WO 96/15148; WO 96/22996; WO 96/22997; WO 96/24580; WO 96/24587; WO 96/32943; WO 96/33189; WO 96/35713; WO 96/38471; WO 97/00894; WO 97/06803; WO 97/07117; WO 97/09060; WO 97/11697; WO 97/15191; WO 97/15573; WO 97/21730; WO 97/22004; WO 97/22367; WO 97/22620; WO 97/23508; WO 97/24369; WO 97/34604; WO 97/36873; WO 97/38709; WO 97/40023; WO 97/40071; WO 97/41878; WO 97/41879; WO 97/43278; WO 97/44042; WO 97/46252; WO 98/03473; WO 98/10653; WO 98/18815; WO 98/22124; WO 98/46569; WO 98/51687; WO 98/58947; WO 98/58948; WO 98/58949; WO 98/58950; WO 99/08697; WO 99/09991; WO 99/36431; WO 99/39730; WO 99/45029; WO 99/58501; WO 99/64456; WO 99/65486, WO 99/65488; WO 00/01726; WO 00/10975; WO 01/47558; WO 01/92292; WO 01/96300; WO 01/97831; U.S. Pat. No. 3,239,345; U.S. Pat. No. 4,036,979; U.S. Pat. No. 4,411,890; U.S. Pat. No. 5,492,916; U.S. Pat. No. 5,494,919; U.S. Pat. No. 5,559,128; U.S. Pat. No. 5,663,171; U.S. Pat. No. 5,721,250; U.S. Pat. No. 5,721,251; U.S. Pat. No. 5,723,616; U.S. Pat. No. 5,726,319; U.S. Pat. No. 5,767,124; U.S. Pat. No. 5,798,337; U.S. Pat. No. 5,830,433; U.S. Pat. No. 5,919,777; U.S. Pat. No. 6,034,216; U.S. Pat. No. 6,548,501; U.S. Pat. No. 6,559,150; U.S. Pat. No. 6,576,686; U.S. Pat. No. 6,686,359; and U.S. Pat. Appl. Nos. 2002/0168343; 2003/100494; 2003/130284; 2003/186844.
Despite this immense body of work, cyclic compounds have rarely been found to act at the receptor. When they have, antagonist activity has been more prevalent. For example, the 14-amino acid compound, vapreotide, an SRIH-14 agonist and somatostatin mimetic, was demonstrated to be a ghrelin antagonist. (Deghenghi R, Papotti M, Ghigo E, et al. Somatostatin octapeptides (lanreotide, octreotide, vapreotide, and their analogs) share the growth hormone-releasing peptide receptor in the human pituitary gland. Endocrine 2001, 14, 29-33.) The binding and antagonist activities of analogues of cortistatin, a cyclic neuropeptide known to bind nonselectively to somatostatin receptors, to the growth hormone secretagogue receptor have been reported (Intl. Pat. Appl. WO 03/004518). (Deghenghi R, Broglio F, Papotti M, et al. Targeting the ghrelin receptor—Orally active GHS and cortistatin analogs. Endocrine 2003, 22, 13-18) In particular, one of these analogues, EP-01492 (cortistatin-8) has been advanced into preclinical studies for the treatment of obesity as a ghrelin antagonist. These compounds exhibit an IC50 of 24-33 nM. In addition, these cyclic compounds and their derivatives, plus their use with metal binding agents have been described for their ability to be useful for radiodiagnostic or radiotherapeutic use in the treatment of tumors and acromegaly.
Cyclic and linear analogues of growth hormone 177-191 have been studied as treatments for obesity (WO 99/12969), with one particular compound, AOD9604, having entered the clinic for this indication. A compound already studied that is most similar to the molecules of the present invention is the GHS, G-7203 (EC50=0.43 nM), the cyclic peptide analogue of the growth hormone releasing peptide, GHRP-2 (Elias, K. A.; Ingle, G. S.; Burnier, J. P.; Hammonds, G.; McDowell, R. S.; Rawson, T. E.; Somers, T. C.; Stanley, M. S.; Cronin, M. J. In vitro characterization of four novel classes of growth hormone-releasing peptide. Endocrinol. 1995, 136, 5694-5699). However, simplification of this cyclic derivative led to still potent, linear compounds, whereas, for compounds of the invention, linear analogues have been found to be devoid of ghrelin receptor activity.
The macrocyclic compounds of the invention possess agonist activity. As previously mentioned, however, unlike other agonists of the hGHS-R1a receptor, the compounds of the invention unexpectedly have an insignificant stimulatory effect on the release of growth hormone. Accordingly, the compounds of the present invention can exhibit selective action in the GI tract or for metabolic disorders without side effects due to GH release.
SUMMARY OF THE INVENTION
The present invention provides novel conformationally-defined macrocyclic compounds. These compounds can function as modulators, in particular agonists, of the ghrelin (growth hormone secretagogue) receptor (GHS-R1a).
According to aspects of the present invention, the present invention relates to compounds according to formula I, II and/or III:
Figure USRE042624-20110816-C00001

or an optical isomer, enantiomer, diastereomer, racemate or stereochemical mixture thereof.
wherein:
R1 is hydrogen or the side chain of an amino acid, or alternatively R1 and R2 together form a 4-, 5-, 6-, 7- or 8-membered ring, optionally comprising an O, S or N atom in the ring, wherein the ring is optionally substituted with R8 as defined below, or alternatively R1 and R9 together form a 3-, 4-, 5-, 6- or 7-membered ring, optionally comprising an O, S or additional N atom in the ring, wherein the ring is optionally substituted with R8 as defined below;
R2 is hydrogen or the side chain of an amino acid, or alternatively R1 and R2 together form a 4-, 5-, 6-, 7- or 8-membered ring, optionally comprising an O, S or N atom in the ring, wherein the ring is optionally substituted with R8 as defined below; or alternatively R2 and R9 together form a 3-, 4-, 5-, 6- or 7-membered ring, optionally comprising an O, S or additional N atom in the ring, wherein the ring is optionally substituted with R8 as defined below;
R3 is hydrogen or the side chain of an amino acid, or alternatively R3 and R4 together form a 3-, 4-, 5-, 6- or 7-membered ring, optionally comprising an O or S atom in the ring, wherein the ring is optionally substituted with R8 as defined below, or alternatively, R3 and R7 or R3 and R11 together form a 4-, 5-, 6-, 7- or 8-membered heterocyclic ring, optionally comprising an O, S or additional N atom in the ring, wherein the ring is optionally substituted with R8 as defined below;
R4 is hydrogen or the side chain of an amino acid, or alternatively R4 and R3 together form a 3-, 4-, 5-, 6- or 7-membered ring, optionally comprising an O or S atom in the ring, wherein the ring is optionally substituted with R8 as defined below, or alternatively R4 and R7 or R4 and R11 together form a 4-, 5-, 6-, 7- or 8-membered heterocyclic ring, optionally comprising an O, S or additional N atom in the ring, wherein the ring is optionally substituted with R8 as defined below;
R5 and R6 are each independently hydrogen or the side chain of an amino acid or alternatively R5 and R6 together form a 3-, 4-, 5-, 6- or 7-membered ring, optionally comprising an O, S or N atom in the ring, wherein the ring is optionally substituted with R8 as defined below;
R7 is hydrogen, lower alkyl, substituted lower alkyl, cycloalkyl, substituted cycloalkyl, a heterocyclic group, or a substituted heterocyclic group, or alternatively R3 and R7 or R4 and R7 together form a 4-, 5-, 6-, 7- or 8-membered heterocyclic ring optionally comprising an O, S or additional N atom in the ring, wherein the ring is optionally substituted with R8 as described below;
R8 is substituted for one or more hydrogen atoms on the 3-, 4-, 5-, 6-. 7- or 8-membered ring structure and is independently selected from the group consisting of alkyl, substituted alkyl, cycloalkyl, substituted cycloalkyl, a heterocyclic group, a substituted heterocyclic group, aryl, substituted aryl, heteroaryl, substituted heteroaryl, hydroxy, alkoxy, aryloxy, oxo, amino, halogen, formyl, acyl, carboxy, carboxyalkyl, carboxyaryl, amido, carbamoyl, guanidino, ureido, amidino, mercapto, sulfinyl, sulfonyl and sulfonamido, or, alternatively, R8 is a fused cycloalkyl, a substituted fused cycloalkyl, a fused heterocyclic, a substituted fused heterocyclic, a fused aryl, a substituted fused aryl, a fused heteroaryl or a substituted fused heteroaryl ring when substituted for hydrogen atoms on two adjacent atoms;
X is O, NR9 or N(R10)2 +;
    • wherein R9 is hydrogen, lower alkyl, substituted lower alkyl, sulfonyl, sulfonamido or amidino and R10 is hydrogen, lower alkyl, or substituted lower alkyl, or alternatively R9 and R1 together form a 3-, 4-, 5-, 6- or 7-membered ring, optionally comprising an O, S or additional N atom in the ring, wherein the ring is optionally substituted with R8 as defined above;
Z1 is O or NR11,
    • wherein R11 is hydrogen, lower alkyl, or substituted lower alkyl, or alternatively R3 and R11, or R4 and R11 together form a 4-, 5-, 6-, 7- or 8-membered heterocyclic ring, optionally comprising an O, S or additional N atom in the ring, wherein the ring is optionally substituted with R8 as defined above;
Z2 is O or NR12, wherein R12 is hydrogen, lower alkyl, or substituted lower alkyl;
m, n and p are each independently 0, 1 or 2;
T is a bivalent radical of formula IV:
—U—(CH2)d—W—Y-Z-(CH2)e—  (IV)
    • wherein d and e are each independently 0, 1, 2, 3, 4 or 5; Y and Z are each optionally present; U is —CR21R22— or —C(═O)— and is bonded to X of formula I; W, Y and Z are each independently selected from the group consisting of—O—, —NR23—, —S—, —SO—, —SO2—, —C(═O)—O—, —O—C(═O)—, —C(═O)—NH—, —NH—C(═O)—, —SO2—NH—, —NH—SO2—, —CR24R25—, —CH═CH— with the configuration Z or E, and the ring structures below:
Figure USRE042624-20110816-C00002
      • wherein G1 and G2 are each independently a covalent bond or a bivalent radical selected from the group consisting of —O—, —NR39—, —S—, —SO—, —SO2—, —C(═O)—, —C(═O)—O—, —O—C (═O)—, —C(═O)NH—, —NH—C(═O)—, —SO2—NH—, —NH—SO2—, —CR40R41—, —CH═CH— with the configuration Z or E, and —C≡C—; with G1 being bonded closest to the group U; wherein any carbon atom in the rings not otherwise defined, is optionally replaced by N, with the proviso that the ring cannot contain more than four N atoms; K1, K2, K3, K4 and K5 are each independently O, NR42 or S, wherein R42 is as defined below;
      • R21 and R22 are each independently hydrogen, lower alkyl, or substituted lower alkyl, or alternatively R2, and R22 together form a 3- to 12-membered cyclic ring optionally comprising one or more heteroatoms selected from the group consisting of O, S and N, wherein the ring is optionally substituted with R8 as defined above;
      • R23, R39 and R42 are each independently hydrogen, alkyl, substituted alkyl, cycloalkyl, substituted cycloalkyl, heterocyclic, substituted heterocyclic, aryl, substituted aryl, heteroaryl, substituted heteroaryl, formyl, acyl, carboxyalkyl, carboxyaryl, amido, amidino, sulfonyl or sulfonamido;
      • R24 and R25 are each independently hydrogen, lower alkyl, substituted lower alkyl, RAA, wherein RAA is a side chain of an amino acid such as a standard or unusual amino acid, or alternatively R24 and R25 together form a 3- to 12-membered cyclic ring optionally comprising one or more heteroatoms selected from the group consisting of O, S and N; or alternatively one of R24 or R25 is hydroxy, alkoxy, aryloxy, amino, mercapto, carbamoyl, amidino, ureido or guanidino while the other is hydrogen, lower alkyl or substituted lower alkyl, except when the carbon to which R24 and R25 are bonded is also bonded to another heteroatom;
      • R26, R31, R35 and R38 are each optionally present and, when present, are substituted for one or more hydrogen atoms on the indicated ring and each is independently selected from the group consisting of halogen, trifluoromethyl, alkyl, substituted alkyl, cycloalkyl, substituted cycloalkyl, a heterocyclic group, a substituted heterocyclic group, aryl, substituted aryl, heteroaryl, substituted heteroaryl, hydroxy, alkoxy, aryloxy, amino, formyl, acyl, carboxy, carboxyalkyl, carboxyaryl, amido, carbamoyl, guanidino, ureido, amidino, cyano, nitro, mercapto, sulfinyl, sulfonyl and sulfonamido; R27 is optionally present and is substituted for one or more hydrogen atoms on the indicated ring and each is independently selected from the group consisting of alkyl, substituted alkyl, cycloalkyl, substituted cycloalkyl, a heterocyclic group, a substituted heterocyclic group, aryl, substituted aryl, heteroaryl, substituted heteroaryl, hydroxy, alkoxy, aryloxy, oxo, amino, formyl, acyl, carboxy, carboxyalkyl, carboxyaryl, amido, carbamoyl, guanidino, ureido, amidino, mercapto, sulfinyl, sulfonyl and sulfonamido;
      • R28, R29, R30, R32, R33, R34, R36 and R37 are each optionally present and, when no double bond is present to the carbon atom to which it is bonded in the ring, two groups are optionally present, and when present, is substituted for one hydrogen present in the ring, or when no double bond is present to the carbon atom to which it is bonded in the ring, is substituted for one or both of the two hydrogen atoms present on the ring and each is independently selected from the group consisting of alkyl, substituted alkyl, cycloalkyl, substituted cycloalkyl, a heterocyclic group, a substituted heterocyclic group, aryl, substituted aryl, heteroaryl, substituted heteroaryl, hydroxy, alkoxy, aryloxy, oxo, amino, formyl, acyl, carboxy, carboxyalkyl, carboxyaryl, amido, carbamoyl, guanidino, ureido, amidino, mercapto, sulfinyl, sulfonyl, sulfonamido and, only if a double bond is present to the carbon atom to which it is bonded, halogen; and
      • R40 and R41 are each independently hydrogen, lower alkyl, substituted lower alkyl, RAA as defined above, or alternatively R40 and R41 together form a 3- to 12-membered cyclic ring optionally comprising one or more heteroatoms selected from the group consisting of O, S and N wherein the ring is optionally substituted with R8 as defined above, or alternatively one of R40 and R41 is hydroxy, alkoxy, aryloxy, amino, mercapto, carbamoyl, amidino, ureido or guanidino, while the other is hydrogen, lower alkyl or substituted lower alkyl, except when the carbon to which R40 and R41 are bonded is also bonded to another heteroatom;
        with the proviso that T is not an amino acid residue, dipeptide fragment, tripeptide fragment or higher order peptide fragment comprising standard amino acids;
Figure USRE042624-20110816-C00003

or an optical isomer, enantiomer, diastereomer, racemate or stereochemical mixture thereof,
wherein:
R50 is —(CH2)ssCH3, —CH(CH3)(CH2)ttCH3, —(CH2)uuCH(CH3)2, —C(CH3)3, —(CHR55)vv—R56, or —CH(OR57)CH3, wherein ss is 1, 2 or 3; tt is 1 or 2; uu is 0, 1 or 2; and vv is 0, 1, 2, 3 or 4; R55 is hydrogen or C1-C4 alkyl; R56 is amino, hydroxy, alkoxy, cycloalkyl or substituted cycloalkyl; and R57 is hydrogen, alkyl, acyl, amino acyl, sulfonyl, carboxyalkyl or carboxyaryl;
R51 is hydrogen, C1-C4 alkyl or C1-C4 alkyl substituted with hydroxy or alkoxy;
R52 is —(CHR58)wwR59, wherein ww is 0, 1, 2 or 3; R58 is hydrogen, C1-C4 alkyl, amino, hydroxy or alkoxy; R59 is aryl, substituted aryl, heteroaryl, substituted heteroaryl, cycloalkyl or substituted cycloalkyl;
R53 is hydrogen or C1-C4 alkyl;
X2 is O, NR9 or N(R10)2 +;
    • wherein R9 is hydrogen, lower alkyl, substituted lower alkyl, sulfonyl, sulfonamido or amidino and R10 is hydrogen, lower alkyl, or substituted lower alkyl;
Z5 is O or NR12, wherein R12 is hydrogen, lower alkyl, or substituted lower alkyl; and
T2 is a bivalent radical of formula V:
—Ua—(CH2)d—Wa—Ya-Za-(CH2)3—  (V)
    • wherein d and e are independently 0, 1, 2, 3, 4 or 5; Ya and Za are each optionally present; Ua is —CR60R61— or —C(═O)— and is bonded to X2 of formula II, wherein R60 and R61 are each independently hydrogen, lower alkyl, or substituted lower alkyl, or alternatively R21 and R22 together form a 3- to 12-membered cyclic ring optionally comprising one or more heteroatoms selected from the group consisting of O, S and N, wherein the ring is optionally substituted with R8 as defined above: Wa, Ya and Za are each independently selected from the group consisting of: —O—, —NR62—, —S—, —SO—, —SO2—, —C(═O)—O—, —O—C(═O)—, —C(═O)—NH—, —NH—C(═O)—, —SO2—NH—, —NH—SO2—, —CR63R64—, —CH═CH— with the configuration Z or E, —C≡C—, and the ring structures depicted below:
Figure USRE042624-20110816-C00004
      • wherein G1 and G2 are as defined above, and wherein any carbon atom in the ring is optionally replaced by N, with the proviso that the aromatic ring cannot contain more than four N atoms and the cycloalkyl ring cannot contain more than two N atoms;
        • R62 is hydrogen, alkyl, substituted alkyl, cycloalkyl, substituted cycloalkyl, a heterocyclic group, a substituted heterocyclic group, aryl, substituted aryl, heteroaryl, substituted heteroaryl, formyl, acyl, carboxyalkyl, carboxyaryl, amido, amidino, sulfonyl or sulfonamido;
        • R63 and R64 are each independently hydrogen, lower alkyl, substituted lower alkyl or RAA; or alternatively R63 and R64 together form a 3- to 12-membered cyclic ring optionally comprising one or more heteroatoms selected from the group consisting of O, S and N; or alternatively one of R63 and R64 is hydroxy, alkoxy, aryloxy, amino, mercapto, carbamoyl, amidino, ureido or guanidino, while the other is hydrogen, lower alkyl or substituted lower alkyl, except when the carbon to which R63 and R64 are bonded is also bonded to another heteroatom; and RAA indicates the side chain of an amino acid such as a standard or unusual amino acid;
        • R65 and R68 are each optionally present, and, when present are substituted for one or more hydrogen atoms on the ring and each is independently halogen, trifluoromethyl, alkyl, substituted alkyl, cycloalkyl, substituted cycloalkyl, a heterocyclic group, a substituted heterocyclic group, aryl, substituted aryl, heteroaryl, substituted heteroaryl, hydroxy, alkoxy, aryloxy, amino, formyl, acyl, carboxy, carboxyalkyl, carboxyaryl, amido, carbamoyl, guanidine, ureido, amidino, cyano, nitro, mercapto, sulfinyl, sulfonyl or sulfonamido;
        • R66 and R67 are each optionally present, and when no double bond is present to the carbon atom to which it is bonded in the ring, two groups are optionally present, and, when present, each is substituted for one hydrogen present in the ring, or when no double bond is present to the carbon atom to which it is bonded in the ring, is substituted for one or both of the two hydrogen atoms present on the ring and each is independently alkyl, substituted alkyl, cycloalkyl, substituted cycloalkyl, heterocyclic, substituted heterocyclic, aryl, substituted aryl, heteroaryl, substituted heteroaryl, hydroxy, alkoxy, aryloxy, oxo, amino, formyl, acyl, carboxy, carboxyalkyl, carboxyaryl, amido, carbamoyl, guanidino, ureido, amidino, mercapto, sulfinyl, sulfonyl, sulfonamido and, only if a double bond is present to the carbon atom to which it is bonded, halogen;
        • R69 is optionally present, and when present is substituted for one or more hydrogen atoms on the ring and each is independently alkyl, substituted alkyl, cycloalkyl, substituted cycloalkyl, a heterocyclic group, a substituted heterocyclic group, aryl, substituted aryl, heteroaryl, substituted heteroaryl, hydroxy, alkoxy, aryloxy, oxo, amino, formyl, acyl, carboxy, carboxyalkyl, carboxyaryl, amido, carbamoyl, guanidino, ureido, amidino, mercapto, sulfinyl, sulfonyl or sulfonamido;
        • K6 is O or S; and
        • ff is 1, 2, 3, 4 or 5;
      • with the proviso that T2 is not an amino acid residue, dipeptide fragment, tripeptide fragment or higher order peptide fragment comprising standard amino acids;
      • or
Figure USRE042624-20110816-C00005

or an optical isomer, enantiomer, diastereomer, racemate or stereochemical mixture thereof, wherein:
R70 is hydrogen, C1-C4 alkyl or alternatively R70 and R71 together form a 4-, 5-, 6-, 7- or 8-membered ring, optionally comprising an O, N or S atom in the ring, wherein the ring is optionally substituted with R8a as defined below;
R71 is hydrogen, —(CH2)aaCH3, —CH(CH3) (CH2)bbCH3, —(CH2)ccCH(CH3)2, —(CH2)dd—R76 or —CH(OR77)CH3 or, alternatively R71 and R70 together form a 4-, 5-, 6-, 7- or 8-membered ring, optionally comprising an O, N or S atom in the ring, wherein the ring is optionally substituted with R8a as defined below; wherein aa is 0, 1, 2, 3, 4 or 5; bb is 1, 2 or 3; cc is 0, 1, 2 or 3; and dd is 0, 1, 2, 3 or 4; R76 is aryl, substituted aryl, heteroaryl, substituted heteroaryl, cycloalkyl or substituted cycloalkyl; R77 is hydrogen, alkyl, acyl, amino acyl, sulfonyl, carboxyalkyl or carboxyaryl;
R72 is C1-C4 alkyl; or alternatively R72 and R73 together form a 3-, 4-, 5-, 6- or 7-membered ring, optionally comprising an O or S atom in the ring, wherein the ring is optionally substituted with R8b as defined below;
R73 is hydrogen, or alternatively R73 and R72 together form a 3-, 4-, 5-, 6- or 7-membered ring, optionally comprising an O, S or N atom in the ring, wherein the ring is optionally substituted with R8b as defined below;
R74 is hydrogen or C1-C4 alkyl or alternatively R74 and R75 together form a 3-, 4-, 5-, 6- or 7-membered ring, optionally comprising an O, N or S atom in the ring, wherein the ring is optionally substituted with R8c, as defined below;
R75 is —(CHR78)R79 or alternatively R75 and R74 together form a 3-, 4-, 5-, 6- or 7-membered ring, optionally comprising an O, N or S atom in the ring, wherein the ring is optionally substituted with R8c as defined below; wherein R78 is hydrogen, C1-C4 alkyl, amino, hydroxy or alkoxy, and R79 is selected from the group consisting of the following structures:
Figure USRE042624-20110816-C00006
    • wherein E, E2, E3, E4 and E5 are each optionally present and when present are each independently selected from the group consisting of halogen, trifluoromethyl, alkyl, substituted alkyl, cycloalkyl, substituted cycloalkyl, a heterocyclic group, a substituted heterocyclic group, aryl, substituted aryl, heteroaryl, substituted heteroaryl, hydroxy, alkoxy, aryloxy, cyano, sulfinyl, sulfonyl and sulfonamido, and represent substitution at one or more available positions on the monocyclic or bicyclic aromatic ring, wherein said substitution is made with the same or different selected group member, and J1 and J2 are each independently O or S;
R8a, R8b and R8c are each independently substituted for one or more hydrogen atoms on the 3-, 4-, 5-, 6-, 7- or 8-membered ring structure and are independently selected from the group consisting of alkyl, substituted alkyl, cycloalkyl, substituted cycloalkyl, a heterocyclic group, a substituted heterocyclic group, aryl, substituted aryl, heteroaryl, substituted heteroaryl, hydroxy, alkoxy, aryloxy, oxo, amino, halogen, formyl, acyl, carboxy, carboxyalkyl, carboxyaryl, amido, carbamoyl, guanidino, ureido, amidino, mercapto, sulfinyl, sulfonyl and sulfonamido, or, alternatively. R8a, R8b and R8c are each independently a fused cycloalkyl, a substituted fused cycloalkyl, a fused heterocyclic, a substituted fused heterocyclic, a fused aryl, a substituted fused aryl, a fused heteroaryl or a substituted fused heteroaryl ring when substituted for hydrogen atoms on two adjacent atoms;
X3 is O, NR9 or N(R10)2 +;
    • wherein R9 is hydrogen, lower alkyl, substituted lower alkyl, sulfonyl, sulfonamido or amidino and R10 is hydrogen, lower alkyl, or substituted lower alkyl;
Z10 is O or NR12, wherein R12 is hydrogen, lower alkyl, or substituted lower alkyl; and
T3 is the same as defined for T2 with the exception that Ua is bonded to X3 of formula III.
According to further aspects of the present invention, the compound is a ghrelin receptor agonist or a GHS-R1a receptor agonist.
Further aspects of the present invention provide pharmaceutical compositions comprising: (a) a compound of the present invention; and (b) a pharmaceutically acceptable carrier, excipient or diluent.
Additional aspects of the present invention provide kits comprising one or more containers containing pharmaceutical dosage units comprising an effective amount of one or more compounds of the present invention packaged with optional instructions for the use thereof.
Aspects of the present invention further provide methods of stimulating gastrointestinal motility, modulating GHS-R1a receptor activity in a mammal and/or treating a gastrointestinal disorder comprising administering to a subject in need thereof an effective amount of a modulator that modulates a mammalian GHS-R1a receptor. In particular embodiments, interaction of the modulator and the GHS-R1a receptor does not result in a significant amount of growth hormone release. In still other embodiments, the modulator is a compound of formula I, II and/or III.
Additional aspects of the present invention provide methods of diagnosing tumors and/or acromegaly, comprising administering compounds of the present invention and a radiolabeled metal binding agent and detecting the binding of the composition to a biological target, and treating tumors and/or acromegaly comprising administering a therapeutically effective amount of a composition comprising a compound of the present invention.
Further aspects of the present invention relate to methods of making the compounds of formula I, II and/or III.
Aspects of the present invention further relate to methods of preventing and/or treating disorders described herein, in particular, gastrointestinal disorders, including post-operative ileus, gastroparesis, such as diabetic and post-surgical gastroparesis, opioid-induced bowel dysfunction, chronic intestinal pseudo-obstruction, short bowel syndrome, emesis such as caused by cancer chemotherapy, constipation such as associated with the hypomotility phase of irritable bowel syndrome (IBS), delayed gastric emptying associated with wasting conditions, gastroesophageal reflux disease (GERD), gastric ulcers, Crohn's disease, gastrointestinal disorders characterized by dysmotility and other diseases and disorders of the gastrointestinal tract.
The present invention also relates to compounds of formula I, II and/or III used for the preparation of a medicament for prevention and/or treatment of the disorders described herein.
The foregoing and other aspects of the present invention are explained in greater detail in the specification set forth below.
BRIEF DESCRIPTION OF THE DRAWINGS
FIG. 1 shows a scheme presenting a general synthetic strategy to provide conformationally-defined macrocycles of the present invention.
FIG. 2 shows a general thioester strategy for making macrocyclic compounds of the present invention.
FIG. 3 shows a general ring-closing metathesis (RCM) strategy for macrocyclic compounds of the present invention.
FIG. 4 (panels A through E) shows competitive binding curves for binding of exemplary compounds of the present invention to the hGHS-R1a receptor.
FIG. 5 (panels A through E) shows concentration-response curves for activation of the hGHS-R1a receptor by exemplary compounds of the present invention.
FIG. 6 shows graphs depicting pharmacokinetic parameters for exemplary compounds of the present invention, specifically after oral administration of 8 mg/kg compound 298 (panel A), after subcutaneous injection of 2 mg/kg compound 298 with cyclodextrin (panel B), after intravenous administration of 2 mg/kg compound 25 with cyclodextrin (panel C) and after intravenous administration of 2 mg/kg compound 298 with cyclodextrin (panel D).
FIG. 7 (panels A and B) shows graphs presenting effects on gastric emptying for exemplary compounds of the present invention.
FIG. 8 shows a graph presenting effects on postoperative ileus for an exemplary compound of the present invention.
FIG. 9 (panels A through D) shows graphs depicting the effect on pulsatile growth hormone release for an exemplary compound of the present invention.
FIG. 10 shows a competitive binding curve for binding of an exemplary compound of the present invention to the hGHS-R1a receptor.
FIG. 11 shows an activation curve demonstrating the agonism of an exemplary compound of the present invention.
FIG. 12 shows a graph depicting the lack of effect on ghrelin-induced growth hormone release for an exemplary compound of the present invention.
FIG. 13 shows graphs depicting receptor desentization associated with binding of exemplary compounds of the present invention to the hGHS-R1a receptor.
FIG. 14 (panels A and B) shows graphs presenting effects on gastric emptying for an exemplary compound of the present invention.
FIG. 15 shows a graph presenting effects on postoperative ileus for an exemplary compound of the present invention.
FIG. 16 shows graphs depicting reversal of morphine-delayed gastric emptying (panel A) and morphine-delayed gastrointestinal transit (panel B) for an exemplary compound of the present invention.
FIG. 17 (panels A and B) shows graphs depicting effects on gastroparesis for exemplary compounds of the present invention.
DETAILED DESCRIPTION
The foregoing and other aspects of the present invention will now be described in more detail with respect to other embodiments described herein. It should be appreciated that the invention can be embodied in different forms and should not be construed as limited to the embodiments set forth herein. Rather, these embodiments are provided so that this disclosure will be thorough and complete, and will fully convey the scope of the invention to those skilled in the art.
The terminology used in the description of the invention herein is for the purpose of describing particular embodiments only and is not intended to be limiting of the invention. As used in the description of the invention and the appended claims, the singular forms “a”, “an” and “the” are intended to include the plural forms as well, unless the context clearly indicates otherwise. Additionally, as used herein, the term “and/or” includes any and all combinations of one or more of the associated listed items and may be abbreviated as “/”.
Unless otherwise defined, all technical and scientific terms used herein have the same meaning as commonly understood by one of ordinary skill in the art to which this invention belongs.
All publications, U.S. patent applications, U.S. patents and other references cited herein are incorporated by reference in their entireties.
The term “alkyl” refers to straight or branched chain saturated or partially unsaturated hydrocarbon groups having from 1 to 20 carbon atoms, in some instances 1 to 8 carbon atoms. The term “lower alkyl” refers to alkyl groups containing 1 to 6 carbon atoms. Examples of alkyl groups include, but are not limited to, methyl, ethyl, isopropyl, tert-butyl, 3-hexenyl, and 2-butynyl. By “unsaturated” is meant the presence of 1, 2 or 3 double or triple bonds, or a combination of the two. Such alkyl groups may also be optionally substituted as described below.
When a subscript is used with reference to an alkyl or other hydrocarbon group defined herein, the subscript refers to the number of carbon atoms that the group may contain. For example, C2-C4 alkyl indicates an alkyl group with 2, 3 or 4 carbon atoms.
The term “cycloalkyl” refers to saturated or partially unsaturated cyclic hydrocarbon groups having from 3 to 15 carbon atoms in the ring, in some instances 3 to 7, and to alkyl groups containing said cyclic hydrocarbon groups. Examples of cycloalkyl groups include, but are not limited to, cyclopropyl, cyclopropylmethyl, cyclopentyl, 2-(cyclohexyl)ethyl, cycloheptyl, and cyclohexenyl. Cycloalkyl as defined herein also includes groups with multiple carbon rings, each of which may be saturated or partially unsaturated, for example decalinyl, [2.2.1]-bicycloheptanyl or adamantanyl. All such cycloalkyl groups may also be optionally substituted as described below.
The term “aromatic” refers to an unsaturated cyclic hydrocarbon group having a conjugated pi electron system that contains 4n+2 electrons where n is an integer greater than or equal to 1. Aromatic molecules are typically stable and are depicted as a planar ring of atoms with resonance structures that consist of alternating double and single bonds, for example benzene or naphthalene.
The term “aryl” refers to an aromatic group in a single or fused carbocyclic ring system having from 6 to 15 ring atoms, in some instances 6 to 10, and to alkyl groups containing said aromatic groups. Examples of aryl groups include, but are not limited to, phenyl, 1-naphthyl, 2-naphthyl and benzyl. Aryl as defined herein also includes groups with multiple aryl rings which may be fused, as in naphthyl and anthracenyl, or unfused, as in biphenyl and terphenyl. Aryl also refers to bicyclic or tricyclic carbon rings, where one of the rings is aromatic and the others of which may be saturated, partially unsaturated or aromatic, for example, indanyl or tetrahydronaphthyl (tetralinyl). All such aryl groups may also be optionally substituted as described below.
The term “heterocycle” or “heterocyclic” refers to saturated or partially unsaturated monocyclic, bicyclic or tricyclic groups having from 3 to 15 atoms, in some instances 3 to 7, with at least one heteroatom in at least one of the rings, said heteroatom being selected from O, S or N. Each ring of the heterocyclic group can contain one or two O atoms, one or two S atoms, one to four N atoms, provided that the total number of heteroatoms in each ring is four or less and each ring contains at least one carbon atom. The fused rings completing the bicyclic or tricyclic heterocyclic groups may contain only carbon atoms and may be saturated or partially unsaturated. The N and S atoms may optionally be oxidized and the N atoms may optionally be quaternized. Heterocyclic also refers to alkyl groups containing said monocyclic, bicyclic or tricyclic heterocyclic groups. Examples of heterocyclic rings include, but are not limited to, 2- or 3-piperidinyl, 2- or 3-piperazinyl, 2- or 3-morpholinyl. All such heterocyclic groups may also be optionally substituted as described below
The term “heteroaryl” refers to an aromatic group in a single or fused ring system having from 5 to 15 ring atoms, in some instances 5 to 10, which have at least one heteroatom in at least one of the rings, said heteroatom being selected from O, S or N. Each ring of the heteroaryl group can contain one or two O atoms, one or two S atoms, one to four N atoms, provided that the total number of heteroatoms in each ring is four or less and each ring contains at least one carbon atom. The fused rings completing the bicyclic or tricyclic groups may contain only carbon atoms and may be saturated, partially unsaturated or aromatic. In structures where the lone pair of electrons of a nitrogen atom is not involved in completing the aromatic pi electron system, the N atoms may optionally be quaternized or oxidized to the N-oxide. Heteroaryl also refers to alkyl groups containing said cyclic groups. Examples of monocyclic heteroaryl groups include, but are not limited to pyrrolyl, pyrazolyl, pyrazolinyl, imidazolyl, oxazolyl, isoxazolyl, thiazolyl, thiadiazolyl, isothiazolyl, furanyl, thienyl, oxadiazolyl, pyridyl, pyrazinyl, pyrimidinyl, pyridazinyl, and triazinyl. Examples of bicyclic heteroaryl groups include, but are not limited to indolyl, benzothiazolyl, benzoxazolyl, benzothienyl, quinolinyl, tetrahydroisoquinolinyl, isoquinolinyl, benzimidazolyl, benzopyranyl, indolizinyl, benzofuranyl, isobenzofuranyl, chromonyl, coumarinyl, benzopyranyl, cinnolinyl, quinoxalinyl, indazolyl, purinyl, pyrrolopyridinyl, furopyridinyl, thienopyridinyl, dihydroisoindolyl, and tetrahydroquinolinyl. Examples of tricyclic heteroaryl groups include, but are not limited to carbazolyl, benzindolyl, phenanthrollinyl, acridinyl, phenanthridinyl, and xanthenyl. All such heteroaryl groups may also be optionally substituted as described below.
The term “hydroxy” refers to the group —OH.
The term “alkoxy” refers to the group —ORa, wherein Ra is alkyl, cycloalkyl or heterocyclic. Examples include, but are not limited to methoxy, ethoxy, tert-butoxy, cyclohexyloxy and tetrahydropyranyloxy.
The term “aryloxy” refers to the group —ORb wherein Rb is aryl or heteroaryl. Examples include, but are not limited to phenoxy, benzyloxy and 2-naphthyloxy.
The term “acyl” refers to the group —C(═O)—Rc wherein Rc is alkyl, cycloalkyl, heterocyclic, aryl or heteroaryl. Examples include, but are not limited to, acetyl, benzoyl and furoyl.
The term “amino acyl” indicates an acyl group that is derived from an amino acid.
The term “amino” refers to an —NRdRe group wherein Rd and Re are independently selected from the group consisting of hydrogen, alkyl, cycloalkyl, heterocyclic, aryl and heteroaryl. Alternatively, Rd and Re together form a heterocyclic ring of 3 to 8 members, optionally substituted with unsubstituted alkyl, unsubstituted cycloalkyl, unsubstituted heterocyclic, unsubstituted aryl, unsubstituted heteroaryl, hydroxy, alkoxy, aryloxy, acyl, amino, amido, carboxy, carboxyalkyl, carboxyaryl, mercapto, sulfinyl, sulfonyl, sulfonamido, amidino, carbamoyl, guanidino or ureido, and optionally containing one to three additional heteroatoms selected from O, S or N.
The term “amido” refers to the group —C(═O)—NRfRg wherein Rf and Rg are independently selected from the group consisting of hydrogen, alkyl, cycloalkyl, heterocyclic, aryl and heteroaryl. Alternatively, Rf and Rg together form a heterocyclic ring of 3 to 8 members, optionally substituted with unsubstituted alkyl, unsubstituted cycloalkyl, unsubstituted heterocyclic, unsubstituted aryl, unsubstituted heteroaryl, hydroxy, alkoxy, aryloxy, acyl, amino, amido, carboxy, carboxyalkyl, carboxyaryl, mercapto, sulfinyl, sulfonyl, sulfonamido, amidino, carbamoyl, guanidino or ureido, and optionally containing one to three additional heteroatoms selected from O, S or N.
The term “amidino” refers to the group —C(═NRh)NRiRj wherein Rh is selected from the group consisting of hydrogen, alkyl, cycloalkyl, heterocyclic, aryl and heteroaryl; and Ri and Rj are independently selected from the group consisting of hydrogen, alkyl, cycloalkyl, heterocyclic, aryl and heteroaryl. Alternatively, Ri and Rj together form a heterocyclic ring of 3 to 8 members, optionally substituted with unsubstituted alkyl, unsubstituted cycloalkyl, unsubstituted heterocyclic, unsubstituted aryl, unsubstituted heteroaryl, hydroxy, alkoxy, aryloxy, acyl, amino, amido, carboxy, carboxyalkyl, carboxyaryl, mercapto, sulfinyl, sulfonyl, sulfonamido, amidino, carbamoyl, guanidino or ureido, and optionally containing one to three additional heteroatoms selected from O, S or N.
The term “carboxy” refers to the group —CO2H.
The term “carboxyalkyl” refers to the group —CO2Rk, wherein Rk is alkyl, cycloalkyl or heterocyclic.
The term “carboxyaryl” refers to the group —CO2Rm, wherein Rm is aryl or heteroaryl.
The term “cyano” refers to the group —CN.
The term “formyl” refers to the group —C(═O)H, also denoted —CHO.
The term “halo,” “halogen” or “halide” refers to fluoro, fluorine or fluoride, chloro, chlorine or chloride, bromo, bromine or bromide, and iodo, iodine or iodide, respectively.
The term “oxo” refers to the bivalent group ═O, which is substituted in place of two hydrogen atoms on the same carbon to form a carbonyl group.
The term “mercapto” refers to the group —SRn wherein Rn is hydrogen, alkyl, cycloalkyl, heterocyclic, aryl or heteroaryl.
The term “nitro” refers to the group —NO2.
The term “trifluoromethyl” refers to the group —CF3.
The term “sulfinyl” refers to the group —S(═O)Rp wherein Rp is alkyl, cycloalkyl, heterocyclic, aryl or heteroaryl.
The term “sulfonyl” refers to the group —S(═O)2—Rq1 wherein Rq1 is alkyl, cycloalkyl, heterocyclic, aryl or heteroaryl.
The term “aminosulfonyl” refers to the group —NRq2—S (═O)2—Rq3 wherein Rq2 is hydrogen, alkyl, cycloalkyl, heterocyclic, aryl or heteroaryl; and Rq3 is alkyl, cycloalkyl, heterocyclic, aryl or heteroaryl.
The term “sulfonamido” refers to the group —S(═O)2—NRrRs wherein Rr and Rs are independently selected from the group consisting of hydrogen, alkyl, cycloalkyl, heterocyclic, aryl or heteroaryl. Alternatively, Rr and Rs together form a heterocyclic ring of 3 to 8 members, optionally substituted with unsubstituted alkyl, unsubstituted cycloalkyl, unsubstituted heterocyclic, unsubstituted aryl, unsubstituted heteroaryl, hydroxy, alkoxy, aryloxy, acyl, amino, amido, carboxy, carboxyalkyl, carboxyaryl, mercapto, sulfinyl, sulfonyl, sulfonamido, amidino, carbamoyl, guanidino or ureido, and optionally containing one to three additional heteroatoms selected from O, S or N.
The term “carbamoyl” refers to a group of the formula —N(Rt)—C(═O)—ORu wherein Rt is selected from hydrogen, alkyl, cycloalkyl, heterocyclic, aryl or heteroaryl; and Ru is selected from alkyl, cycloalkyl, heterocylic, aryl or heteroaryl.
The term “guanidino” refers to a group of the formula —N(Rv)—C(═NRw)—NRxRy wherein Rv, Rw, Rx and Ry are independently selected from hydrogen, alkyl, cycloalkyl, heterocyclic, aryl or heteroaryl. Alternatively, Rx and Ry together form a heterocyclic ring or 3 to 8 members, optionally substituted with unsubstituted alkyl, unsubstituted cycloalkyl, unsubstituted heterocyclic, unsubstituted aryl, unsubstituted heteroaryl, hydroxy, alkoxy, aryloxy, acyl, amino, amido, carboxy, carboxyalkyl, carboxyaryl, mercapto, sulfinyl, sulfonyl, sulfonamido, amidino, carbamoyl, guanidino or ureido, and optionally containing one to three additional heteroatoms selected from O, S or N.
The term “ureido” refers to a group of the formula —N(Rz)—C(═O)—NRaaRbb wherein Rz, Raa and Rbb are independently selected from hydrogen, alkyl, cycloalkyl, heterocyclic, aryl or heteroaryl. Alternatively, Raa and Rbb together form a heterocyclic ring of 3 to 8 members, optionally substituted with unsubstituted alkyl, unsubstituted cycloalkyl, unsubstituted heterocyclic, unsubstituted aryl, unsubstituted heteroaryl, hydroxy, alkoxy, aryloxy, acyl, amino, amido, carboxy, carboxyalkyl, carboxyaryl, mercapto, sulfinyl, sulfonyl, sulfonamido, amidino, carbamoyl, guanidino or ureido, and optionally containing one to three additional heteroatoms selected from O, S or N.
The term “optionally substituted” is intended to expressly indicate that the specified group is unsubstituted or substituted by one or more suitable substituents, unless the optional substituents are expressly specified, in which case the term indicates that the group is unsubstituted or substituted with the specified substituents. As defined above, various groups may be unsubstituted or substituted (i.e., they are optionally substituted) unless indicated otherwise herein (e.g., by indicating that the specified group is =substituted).
The term “substituted” when used with the terms alkyl, cycloalkyl, heterocyclic, aryl and heteroaryl refers to an alkyl, cycloalkyl, heterocyclic, aryl or heteroaryl group having one or more of the hydrogen atoms of the group replaced by substituents independently selected from unsubstituted alkyl, unsubstituted cycloalkyl, unsubstituted heterocyclic, unsubstituted aryl, unsubstituted heteroaryl, hydroxy, alkoxy, aryloxy, acyl, amino, amido, carboxy, carboxyalkyl, carboxyaryl, halo, oxo, mercapto, sulfinyl, sulfonyl, sulfonamido, amidino, carbamoyl, guanidino, ureido and groups of the formulas —NRccC(═O)Rdd, —NReeC (═NRff)Rgg, —OC(═O)NRhhRii, —OC(═O)Rjj, —OC (═O)ORkk, —NRmmSO2Rnn, or —NRppSO2NRqqRrr wherein Rcc, Rdd, Ree, Rff, Rgg, Rhh, Rii, Rjj, Rmm, Rpp, Rqq and Rrr are independently selected from hydrogen, unsubstituted alkyl, unsubstituted cycloalkyl, unsubstituted heterocyclic, unsubstituted aryl or unsubstituted heteroaryl; and wherein Rkk and Rnn are independently selected from unsubstituted alkyl, unsubstituted cycloalkyl, unsubstituted heterocyclic, unsubstituted aryl or unsubstituted heteroaryl. Alternatively, Rgg and Rhh, Rjj and Rkk or Rpp and Rqq together form a heterocyclic ring of 3 to 8 members, optionally substituted with unsubstituted alkyl, unsubstituted cycloalkyl, unsubstituted heterocyclic, unsubstituted aryl, unsubstituted heteroaryl, hydroxy, alkoxy, aryloxy, acyl, amino, amido, carboxy, carboxyalkyl, carboxyaryl, mercapto, sulfinyl, sulfonyl, sulfonamido, amidino, carbamoyl, guanidino or ureido, and optionally containing one to three additional heteroatoms selected from O, S or N. In addition, the term “substituted” for aryl and heteroaryl groups includes as an option having one of the hydrogen atoms of the group replaced by cyano, nitro or trifluoromethyl.
A substitution is made provided that any atom's normal valency is not exceeded and that the substitution results in a stable compound. Generally, when a substituted form of a group is present, such substituted group is preferably not further substituted or, if substituted, the substituent comprises only a limited number of substituted groups, in some instances 1, 2, 3 or 4 such substituents.
When any variable occurs more than one time in any constituent or in any formula herein, its definition on each occurrence is independent of its definition at every other occurrence. Also, combinations of substituents and/or variables are permissible only if such combinations result in stable compounds.
A “stable compound” or “stable structure” refers to a compound that is sufficiently robust to survive isolation to a useful degree of purity and formulation into an efficacious therapeutic agent.
The term “amino acid” refers to the common natural (genetically encoded) or synthetic amino acids and common derivatives thereof, known to those skilled in the art. When applied to amino acids, “standard” or “proteinogenic” refers to the genetically encoded 20 amino acids in their natural configuration. Similarly, when applied to amino acids, “unnatural” or “unusual” refers to the wide selection of non-natural, rare or synthetic amino acids such as those described by Hunt, S. in Chemistry and Biochemistry of the Amino Acids, Barrett, G. C., Ed., Chapman and Hall: New York, 1985.
The term “residue” with reference to an amino acid or amino acid derivative refers to a group of the formula:
Figure USRE042624-20110816-C00007

wherein RAA is an amino acid side chain, and n=0, 1 or 2 in this instance.
The term “fragment” with respect to a dipeptide, tripeptide or higher order peptide derivative indicates a group that contains two, three or more, respectively, amino acid residues.
The term “amino acid side chain” refers to any side chain from a standard or unnatural amino acid, and is denoted RAA. For example, the side chain of alanine is methyl, the side chain of valine is isopropyl and the side chain of tryptophan is 3-indolylmethyl.
The term “agonist” refers to a compound that duplicates at least some of the effect of the endogenous ligand of a protein, receptor, enzyme or the like.
The term “antagonist” refers to a compound that inhibits at least some of the effect of the endogenous ligand of a protein, receptor, enzyme or the like.
The term “growth hormone secretagogue” (GHS) refers to any exogenously administered compound or agent that directly or indirectly stimulates or increases the endogenous release of growth hormone, growth hormone-releasing hormone, or somatostatin in an animal, in particular, a human. A GHS may be peptidic or non-peptidic in nature, in some instances, with an agent that can be administered orally. In some instances, the agent can induce a pulsatile response.
The term “modulator” refers to a compound that imparts an effect on a biological or chemical process or mechanism. For example, a modulator may increase, facilitate, upregulate, activate, inhibit, decrease, block, prevent, delay, desensitize, deactivate, down regulate, or the like, a biological or chemical process or mechanism. Accordingly, a modulator can be an “agonist” or an “antagonist.” Exemplary biological processes or mechanisms affected by a modulator include, but are not limited to, receptor binding and hormone release or secretion. Exemplary chemical processes or mechanisms affected by a modulator include, but are not limited to, catalysis and hydrolysis.
The term “variant” when applied to a receptor is meant to include dimers, trimers, tetramers, pentamers and other biological complexes containing multiple components. These components can be the same or different.
The term “peptide” refers to a chemical compound comprised of two or more amino acids covalently bonded together.
The term “peptidomimetic” refers to a chemical compound designed to mimic a peptide, but which contains structural differences through the addition or replacement of one of more functional groups of the peptide in order to modulate its activity or other properties, such as solubility, metabolic stability, oral bioavailability, lipophilicity, permeability, etc. This can include replacement of the peptide bond, side chain modifications, truncations, additions of functional groups, etc. When the chemical structure is not derived from the peptide, but mimics its activity, it is often referred to as a “non-peptide peptidomimetic.”
The term “peptide bond” refers to the amide [—C(═O)—NH—] functionality with which individual amino acids are typically covalently bonded to each other in a peptide.
The term “protecting group” refers to any chemical compound that may be used to prevent a potentially reactive functional group, such as an amine, a hydroxyl or a carboxyl, on a molecule from undergoing a chemical reaction while chemical change occurs elsewhere in the molecule. A number of such protecting groups are known to those skilled in the art and examples can be found in “Protective Groups in Organic Synthesis,” Theodora W. Greene and Peter G. Wuts, editors, John Wiley & Sons, New York, 3rd edition, 1999 [ISBN 0471160199]. Examples of amino protecting groups include, but are not limited to, phthalimido, trichloroacetyl, benzyloxycarbonyl, tert-butoxycarbonyl, and adamantyloxycarbonyl. In some embodiments, amino protecting groups are carbamate amino protecting groups, which are defined as an amino protecting group that when bound to an amino group forms a carbamate. In other embodiments, amino carbamate protecting groups are allyloxycarbonyl (Alloc), benzyloxycarbonyl (Cbz), 9-fluorenylmethoxycarbonyl (Fmoc), tertbutoxycarbonyl (Boc) and α,α-dimethyl-3,5-dimethoxybenzyloxycarbonyl (Ddz). For a recent discussion of newer nitrogen protecting groups: Theodoridis, G. Tetrahedron 2000, 56, 2339-2358. Examples of hydroxyl protecting groups include, but are not limited to, acetyl, tert-butyldimethylsilyl (TBDMS), trityl (Trt), tert-butyl, and tetrahydropyranyl (THP). Examples of carboxyl protecting groups include, but are not limited to methyl ester, tert-butyl ester, benzyl ester, trimethylsilylethyl ester, and 2,2,2-trichloroethyl ester.
The term “solid phase chemistry” refers to the conduct of chemical reactions where one component of the reaction is covalently bonded to a polymeric material (solid support as defined below). Reaction methods for performing chemistry on solid phase have become more widely known and established outside the traditional fields of peptide and oligonucleotide chemistry.
The term “solid support,” “solid phase” or “resin” refers to a mechanically and chemically stable polymeric matrix utilized to conduct solid phase chemistry. This is denoted by “Resin,” “P-” or the following symbol:
Figure USRE042624-20110816-C00008
Examples of appropriate polymer materials include, but are not limited to, polystyrene, polyethylene, polyethylene glycol, polyethylene glycol grafted or covalently bonded to polystyrene (also termed PEG-polystyrene, TentaGel™, Rapp, W.; Zhang, L.; Bayer, E. In Innovations and Persepctives in Solid Phase Synthesis, Peptides, Polypeptides and Oligonucleotides; Epton, R., Ed.; SPCC Ltd.: Birmingham, UK; p 205), polyacrylate (CLEAR™), polyacrylamide, polyurethane, PEGA [polyethyleneglycol poly(N,N-dimethylacrylamide) co-polymer, Meldal, M. Tetrahedron Lett, 1992, 33, 3077-3080], cellulose, etc. These materials can optionally contain additional chemical agents to form cross-linked bonds to mechanically stabilize the structure, for example polystyrene cross-linked with divinylbenezene (DVB, usually 0.1-5%, preferably 0.5-2%). This solid support can include as non-limiting examples aminomethyl polystyrene, hydroxymethyl polystyrene, benzhydrylamine polystyrene (BHA), methylbenzhydrylamine (MBHA) polystyrene, and other polymeric backbones containing free chemical functional groups, most typically, —NH2 or —OH, for further derivatization or reaction. The term is also meant to include “Ultraresins” with a high proportion (“loading”) of these functional groups such as those prepared from polyethyleneimines and cross-linking molecules (Barth, M.; Rademann, J. J. Comb. Chem. 2004, 6, 340-349). At the conclusion of the synthesis, resins are typically discarded, although they have been shown to be able to be reused such as in Frechet, J. M. J.; Hague, K. E. Tetrahedron Lett. 1975, 16, 3055.
In general, the materials used as resins are insoluble polymers, but certain polymers have differential solubility depending on solvent and can also be employed for solid phase chemistry. For example, polyethylene glycol can be utilized in this manner since it is soluble in many organic solvents in which chemical reactions can be conducted, but it is insoluble in others, such as diethyl ether. Hence, reactions can be conducted homogeneously in solution, then the product on the polymer precipitated through the addition of diethyl ether and processed as a solid. This has been termed “liquid-phase” chemistry.
The term “linker” when used in reference to solid phase chemistry refers to a chemical group that is bonded covalently to a solid support and is attached between the support and the substrate typically in order to permit the release (cleavage) of the substrate from the solid support. However, it can also be used to impart stability to the bond to the solid support or merely as a spacer element. Many solid supports are available commercially with linkers already attached.
Abbreviations used for amino acids and designation of peptides follow the rules of the IUPAC-IUB Commission of Biochemical Nomenclature in J. Biol. Chem. 1972, 247, 977-983. This document has been updated: Biochem. J., 1984, 219, 345-373; Eur. J. Biochem., 1984, 138, 9-37; 1985, 152, 1; Internat. J. Pept. Prot. Res., 1984, 24, following p 84; J. Biol. Chem., 1985, 260, 14-42; Pure Appl. Chem., 1984, 56, 595-624; Amino Acids and Peptides, 1985, 16.387-410; and in Biochemical Nomenclature and Related Documents, 2nd edition, Portland Press, 1992, pp 39-67. Extensions to the rules were published in the JCBN/NC-IUB Newsletter 1985, 1986, 1989; see Biochemical Nomenclature and Related Documents, 2nd edition, Portland Press, 1992, pp 68-69.
The term “effective amount” or “effective” is intended to designate a dose that causes a relief of symptoms of a disease or disorder as noted through clinical testing and evaluation, patient observation, and/or the like, and/or a dose that causes a detectable change in biological or chemical activity. The detectable changes may be detected and/or further quantified by one skilled in the art for the relevant mechanism or process. As is generally understood in the art, the dosage will vary depending on the administration routes, symptoms and body weight of the patient but also depending upon the compound being administered.
Administration of two or more compounds “in combination” means that the two compounds are administered closely enough in time that the presence of one alters the biological effects of the other. The two compounds can be administered simultaneously (concurrently) or sequentially. Simultaneous administration can be carried out by mixing the compounds prior to administration, or by administering the compounds at the same point in time but at different anatomic sites or using different routes of administration. The phrases “concurrent administration”, “administration in combination”, “simultaneous administration” or “administered simultaneously” as used herein, means that the compounds are administered at the same point in time or immediately following one another. In the latter case, the two compounds are administered at times sufficiently close that the results observed are indistinguishable from those achieved when the compounds are administered at the same point in time.
The term “pharmaceutically active metabolite” is intended to mean a pharmacologically active product produced through metabolism in the body of a specified compound.
The term “solvate” is intended to mean a pharmaceutically acceptable solvate form of a specified compound that retains the biological effectiveness of such compound. Examples of solvates, without limitation, include compounds of the invention in combination with water, isopropanol, ethanol, methanol, DMSO, ethyl acetate, acetic acid, or ethanolamine.
1. Compounds
Novel macrocyclic compounds of the present invention include macrocyclic compounds comprising a building block structure including a tether component that undergoes cyclization to form the macrocyclic compound. The building block structure can comprise amino acids (standard and unnatural), hydroxy acids, hydrazino acids, aza-amino acids, specialized moieties such as those that play a role in the introduction of peptide surrogates and isosteres, and a tether component as described herein. The tether component can be selected from the following:
Figure USRE042624-20110816-C00009
wherein (Z2) is the site of a covalent bond of T to Z2, and Z2 is as defined below for formula I, and wherein (X) is the site of a covalent bond of T to X, and X is as defined below for formula I; L7 is —CH2— or —O—; U1 is —CR101R102— or —C(═O)—; R100 is lower alkyl; R101 and R102 are each independently hydrogen, lower alkyl or substituted lower alkyl; xx is 2 or 3; yy is 1 or 2; zz is 1 or 2; and aaa is 0 or 1.
Macrocyclic compounds of the present invention further include those of formula I, formula II and/or formula III:
Figure USRE042624-20110816-C00010

or an optical isomer, enantiomer, diastereomer, racemate or stereochemical mixture thereof.
wherein:
R1 is hydrogen or the side chain of an amino acid, or alternatively R1 and R2 together form a 4-, 5-, 6-, 7- or 8-membered ring, optionally comprising an O, S or N atom in the ring, wherein the ring is optionally substituted with R8 as defined below, or alternatively R1 and R9 together form a 3-, 4-, 5-, 6- or 7-membered ring, optionally comprising an O, S or additional N atom in the ring, wherein the ring is optionally substituted with R8 as defined below;
R2 is hydrogen or the side chain of an amino acid, or alternatively R1 and R2 together form a 4-, 5-, 6-, 7- or 8-membered ring, optionally comprising an O, S or N atom in the ring, wherein the ring is optionally substituted with R8 as defined below; or alternatively R2 and R9 together form a 3-, 4-, 5-, 6- or 7-membered ring, optionally comprising an O, S or additional N atom in the ring, wherein the ring is optionally substituted with R8 as defined below;
R3 is hydrogen or the side chain of an amino acid, or alternatively R3 and R4 together form a 3-, 4-, 5-, 6- or 7-membered ring, optionally comprising an O or S atom in the ring, wherein the ring is optionally substituted with R8 as defined below, or alternatively, R3 and R7 or R3 and R11 together form a 4-, 5-, 6-, 7- or 8-membered heterocyclic ring, optionally comprising an O, S or additional N atom in the ring, wherein the ring is optionally substituted with R8 as defined below;
R4 is hydrogen or the side chain of an amino acid, or alternatively R4 and R3 together form a 3-, 4-, 5-, 6- or 7-membered ring, optionally comprising an O or S atom in the ring, wherein the ring is optionally substituted with R8 as defined below, or alternatively R4 and R7 or R4 and R11 together form a 4-, 5-, 6-, 7- or 8-membered heterocyclic ring, optionally comprising an O, S or additional N atom in the ring, wherein the ring is optionally substituted with R8 as defined below;
R5 and R6 are each independently hydrogen or the side chain of an amino acid or alternatively R5 and R6 together form a 3-, 4-, 5-, 6- or 7-membered ring, optionally comprising an O, S or N atom in the ring, wherein the ring is optionally substituted with R8 as defined below;
R7 is hydrogen, lower alkyl, substituted lower alkyl, cycloalkyl, substituted cycloalkyl, a heterocyclic group, or a substituted heterocyclic group, or alternatively R3 and R7 or R4 and R7 together form a 4-, 5-, 6-, 7- or 8-membered heterocyclic ring optionally comprising an O, S or additional N atom in the ring, wherein the ring is optionally substituted with R8 as described below;
R8 is substituted for one or more hydrogen atoms on the 3-, 4-, 5-, 6-, 7- or 8-membered-ring structure and is independently selected from the group consisting of alkyl, substituted cycloalkyl, substituted cycloalkyl, a heterocyclic group, a substituted heterocyclic group, aryl, substituted aryl, heteroaryl, substituted heteroaryl, hydroxy, alkoxy, aryloxy, oxo, amino, halogen, formyl, acyl, carboxy, carboxyalkyl, carboxyaryl, amido, carbamoyl, guanidino, ureido, amidino, mercapto, sulfinyl, sulfonyl and sulfonamido, or, alternatively, R8 is a fused cycloalkyl, a substituted fused cycloalkyl, a fused heterocyclic, a substituted fused heterocyclic, a fused aryl, a substituted fused aryl, a fused heteroaryl or a substituted fused heteroaryl ring when substituted for hydrogen atoms on two adjacent atoms:
X is O, NR9 or N(R10)2 +;
    • wherein R9 is hydrogen, lower alkyl, substituted lower sulfonyl, sulfonamido or amidino and R10 is hydrogen, lower alkyl, or substituted lower alkyl, or alternatively R9 and R1 together form a 3-. 4-, 5-, 6- or 7-membered ring, optionally comprising an O, S or additional N atom in the ring, wherein the ring is optionally substituted with R8 as defined above;
Z1 is O or NR11,
    • wherein R11 is hydrogen, lower alkyl, or substituted lower alkyl, or alternatively R3 and R11 or R4 and R11 together form a 4-, 5-, 6-, 7- or 8-membered heterocyclic ring, optionally comprising an O, S or additional N atom in the ring, wherein the ring is optionally substituted with R8 as defined above;
Z2 is O or NR12, wherein R12 is hydrogen, lower alkyl, or substituted lower alkyl;
m, n and p are each independently 0, 1 or 2;
T is a bivalent radical of formula IV:
—U—(CH2)d—W—Y-Z-(CH2)e—  (IV)
    • wherein d and e are each independently 0, 1, 2, 3, 4 or 5; Y and Z are each optionally present; U is —CR21R22— or —C(═O)— and is bonded to X of formula I; W, Y and Z are each independently selected from the group consisting of —O—, —NR23—, —S—, —SO—, —SO2—, —C(═O)—, —O—C(═O)—, —C(═O)NH—, —NH—C(═O)—, —SO2—NH—, —NH—SO2—, —CR24R25—, —CH═CH— with the configuration Z or E, —C≡C— and the ring structures below:
Figure USRE042624-20110816-C00011
      • wherein G1 and G2 are each independently a covalent bond or a bivalent radical selected from the group consisting of —O—, —NR39—, —S—, —SO—, —SO2—, —C(═O)—, —C(═O)—, —O—C (═O)—, —C(═O)NH—, —NH—C(═O)—, —SO2—NH—, —NH—SO2—, —CR40R41—, —CH═CH— with the configuration Z or E, and —C≡C—; with GI being bonded closest to the group U; wherein any carbon atom in the rings not otherwise defined, is optionally replaced by N, with the proviso that the ring cannot contain more than four N atoms; K1, K2, K3, K4 and K5 are each independently O, NR42 or S, wherein R42 is as defined below;
      • R21 and R22 are each independently hydrogen, lower alkyl, or substituted lower alkyl, or alternatively R2, and R22 together form a 3- to 12-membered cyclic ring optionally comprising one or more heteroatoms selected from the group consisting of O, S and N, wherein the ring is optionally substituted with R8 as defined above;
      • R23, R39 and R42 are each independently hydrogen, alkyl, substituted alkyl, cycloalkyl, substituted cycloalkyl, heterocyclic, substituted heterocyclic, aryl, substituted aryl, heteroaryl, substituted heteroaryl, formyl, acyl, carboxyalkyl, carboxyaryl, amido, amidino, sulfonyl or sulfonamido;
      • R24 and R25 are each independently hydrogen, lower alkyl, substituted lower alkyl, RAA, wherein RAA is a side chain of an amino acid such as a standard or unusual amino acid, or alternatively R24 and R25 together form a 3- to 12-membered cyclic ring optionally comprising one or more heteroatoms selected from the group consisting of O, S and N; or alternatively one of R24 or R25 is hydroxy, alkoxy, aryloxy, amino, mercapto, carbamoyl, amidino, ureido or guanidino while the other is hydrogen, lower alkyl or substituted lower alkyl, except when the carbon to which R24 and R25 are bonded is also bonded to another heteroatom;
      • R26, R31, R35 and R38 are each optionally present and, when present, are substituted for one or more hydrogen atoms on the indicated ring and each is independently selected from the group consisting of halogen, trifluoromethyl, alkyl, substituted alkyl, cycloalkyl, substituted cycloalkyl, a heterocyclic group, a substituted heterocyclic group, aryl, substituted aryl, heteroaryl, substituted heteroaryl, hydroxy, alkoxy, aryloxy, amino, formyl, acyl, carboxy, carboxyalkyl, carboxyaryl, amido, carbamoyl, guanidino, ureido, amidino, cyano, nitro, mercapto, sulfinyl, sulfonyl and sulfonamido;
      • R27 is optionally present and is substituted for one or more hydrogen atoms on the indicated ring and each is independently selected from the group consisting of alkyl, substituted alkyl, cycloalkyl, substituted cycloalkyl, a heterocyclic group, a substituted heterocyclic group, aryl, substituted aryl, heteroaryl, substituted heteroaryl, hydroxy, alkoxy, aryloxy, oxo, amino, formyl, acyl, carboxy, carboxyalkyl, carboxyaryl, amido, carbamoyl, guanidino, ureido, amidino, mercapto, sulfinyl, sulfonyl and sulfonamido;
      • R28, R29, R30, R32, R33, R34, R36 and R37 are each optionally present and, when no double bond is present to the carbon atom to which it is bonded in the ring, two groups are optionally present, and when present, is substituted for one hydrogen present in the ring, or when no double bond is present to the carbon atom to which it is bonded in the ring, is substituted for one or both of the two hydrogen atoms present on the ring and each is independently selected from the group consisting of alkyl, substituted alkyl, cycloalkyl, substituted cycloalkyl, a heterocyclic group, a substituted heterocyclic group, aryl, substituted aryl, heteroaryl, substituted heteroaryl, hydroxy, alkoxy, aryloxy, oxo, amino, formyl, acyl, carboxy, carboxyalkyl, carboxyaryl, amido, carbamoyl, guanidino, ureido, amidino, mercapto, sulfinyl, sulfonyl, sulfonamido and, only if a double bond is present to the carbon atom to which it is bonded, halogen; and
      • R40 and R41 are each independently hydrogen, lower alkyl, substituted lower alkyl, RAA as defined above, or alternatively R40 and R41, together form a 3- to 12-membered cyclic ring optionally comprising one or more heteroatoms selected from the group consisting of O, S and N wherein the ring is optionally substituted with R8 as defined above, or alternatively one of R40 and R41 is hydroxy, alkoxy, aryloxy, amino, mercapto, carbamoyl, amidino, ureido or guanidino, while the other is hydrogen, lower alkyl or substituted lower alkyl, except when the carbon to which R40 and R41 are bonded is also bonded to another heteroatom:
    • with the proviso that T is not an amino acid residue, dipeptide fragment, tripeptide fragment or higher order peptide fragment comprising standard amino acids;
Figure USRE042624-20110816-C00012

or an optical isomer, enantiomer, diastereomer, racemate or stereochemical mixture thereof,
wherein:
R50 is —(CH2)ssCH3, —CH(CH3)(CH2)ttCH3, —(CH2)uuCH(CH3)2, —C(CH3)3, —(CHR55)vv—R56, or —(CH(OR57)CH3, wherein ss is 1, 2 or 3; tt is 1 or 2; uu is 0, 1 or 2; and vv is 0, 1, 2, 3 or 4; R55 is hydrogen or C1-C4 alkyl; R56 is amino, hydroxy, alkoxy, cycloalkyl or substituted cycloalkyl; and R57 is hydrogen, alkyl, acyl, amino acyl, sulfonyl, carboxyalkyl or carboxyaryl;
R51 is hydrogen, C1-C4 alkyl or C1-C4 alkyl substituted with hydroxy or alkoxy;
R52 is —(CHR58)wwR59, wherein ww is 0, 1, 2 or 3; R58 is hydrogen, C1-C4 alkyl, amino, hydroxy or alkoxy; R59 is aryl, substituted aryl, heteroaryl, substituted heteroaryl, cycloalkyl or substituted cycloalkyl;
R53 is hydrogen or C1-C4 alkyl;
X2 is O, NR9 or N(R10)2 +;
    • wherein R9 is hydrogen, lower alkyl, substituted lower alkyl, sulfonyl, sulfonamido or amidino and R10 is hydrogen, lower alkyl, or substituted lower alkyl;
Z5 is O or NR12, wherein R12 is hydrogen, lower alkyl, or substituted lower alkyl; and
T2 is a bivalent radical of formula V:
—Ua—(CH2)d—Wa—Ya-Za-(CH2)e—  (V)
    • wherein d and e are independently 0, 1, 2, 3, 4 or 5; Ya and Za are each optionally present; Ua is —CR60R61— or —C(═O)— and is bonded to X2 of formula II, wherein R60 and R61 are each independently hydrogen, lower alkyl, or substituted lower alkyl, or alternatively R21 and R22 together form a 3- to 12-membered cyclic ring optionally comprising one or more heteroatoms selected from the group consisting of O, S and N, wherein the ring is optionally substituted with R8 as defined above; Wa, Ya and Za are each independently selected from the group consisting of: —O—, —NR62—, —S—, —SO—, —SO2—, —C(═O)—O—, —C(═O)—, —C(═O)—NH—, —NH—C(═O)—, —SO2—NH—, —NH—SO2—, —CR63R64—, —CH═CH— with the configuration Z or E, —C≡C—, and the ring structures depicted below:
Figure USRE042624-20110816-C00013
      • wherein G1 and G2 are as defined above, and wherein any carbon atom in the ring is optionally replaced by N, with the proviso that the aromatic ring cannot contain more than four N atoms and the cycloalkyl ring cannot contain more than two N atoms;
        • R62 is hydrogen, alkyl, substituted alkyl, cycloalkyl, substituted cycloalkyl, a heterocyclic group, a substituted heterocyclic group, aryl, substituted aryl, heteroaryl, substituted heteroaryl, formyl, acyl, carboxyalkyl, carboxyaryl, amido, amidino, sulfonyl or sulfonamido;
        • R63 and R64 are each independently hydrogen, lower alkyl, substituted lower alkyl or RAA; or alternatively R63 and R64 together form a 3- to 12-membered cyclic ring optionally comprising one or more heteroatoms selected from the group consisting of O, S and N; or alternatively one of R63 and R64 is hydroxy, alkoxy, aryloxy, amino, mercapto, carbamoyl, amidino, ureido or guanidino, while the other is hydrogen, lower alkyl or substituted lower alkyl, except when the carbon to which R63 and R64 are bonded is also bonded to another heteroatom; and RAA indicates the side chain of a standard or unusual amino acid;
        • R65 and R68 are each optionally present, and, when present are substituted for one or more hydrogen atoms on the ring and each is independently halogen, trifluoromethyl, alkyl, substituted alkyl, cycloalkyl, substituted cycloalkyl, a heterocyclic group, a substituted heterocyclic group, aryl, substituted aryl, heteroaryl, substituted heteroaryl, hydroxy, alkoxy, aryloxy, amino, formyl, acyl, carboxy, carboxyalkyl, carboxyaryl, amido, carbamoyl, guanidino, ureido, amidino, cyano, nitro, mercapto, sulfinyl, sulfonyl or sulfonamido;
        • R66 and R67 are each optionally present, and when no double bond is present to the carbon atom to which it is bonded in the ring, two groups are optionally present, and, when present, each is substituted for one hydrogen present in the ring, or when no double bond is present to the carbon atom to which it is bonded in the ring, is substituted for one or both of the two hydrogen atoms present on the ring and each is independently alkyl, substituted alkyl, cycloalkyl, substituted cycloalkyl, heterocyclic, substituted heterocyclic, aryl, substituted aryl, heteroaryl, substituted heteroaryl, hydroxy, alkoxy, aryloxy, oxo, amino, formyl, acyl, carboxy, carboxyalkyl, carboxyaryl, amido, carbamoyl, guanidino, ureido, amidino, mercapto, sulfinyl, sulfonyl, sulfonamido and, only if a double bond is present to the carbon atom to which it is bonded, halogen;
        • R69 is optionally present, and when present is substituted for one or more hydrogen atoms on the ring and each is independently alkyl, substituted alkyl, cycloalkyl, substituted cycloalkyl, a heterocyclic group, a substituted heterocyclic group, aryl, substituted aryl, heteroaryl, substituted heteroaryl, hydroxy, alkoxy, aryloxy, oxo, amino, formyl, acyl, carboxy, carboxyalkyl, carboxyaryl, amido, carbamoyl, guanidino, ureido, amidino, mercapto, sulfinyl, sulfonyl or sulfonamido;
        • K6 is O or S; and
        • ff is 1, 2, 3, 4 or 5;
with the proviso that T2 is not an amino acid residue, dipeptide fragment, tripeptide fragment or higher order peptide fragment comprising standard amino acids; or
Figure USRE042624-20110816-C00014

or an optical isomer, enantiomer, diastereomer, racemate or stereochemical mixture thereof, wherein:
R70 is hydrogen, C1-C4 alkyl or alternatively R70 and R71 together form a 4-, 5-, 6-, 7- or 8-membered ring, optionally comprising an O, N or S atom in the ring, wherein the ring is optionally substituted with R8a as defined below;
R71 is, hydrogen, —(CH2)aaCH3, —CH(CH3)(CH2)bbCH3, —(CH2)ccCH(CH3)2, —(CH2)dd—R76 or —CH(OR77) CH3 or, alternatively R71 and R70 together form a 4-, 5-, 6-, 7- or 8-membered ring, optionally comprising an O, N or S atom in the ring, wherein the ring is optionally substituted with R8a as defined below; wherein aa is 0, 1, 2, 3, 4 or 5; bb is 1, 2 or 3; cc is 0, 1, 2 or 3; and dd is 0, 1, 2, 3 or 4; R76 is aryl, substituted aryl, heteroaryl, substituted heteroaryl, cycloalkyl or substituted cycloalkyl; R77 is hydrogen, alkyl, acyl, amino acyl, sulfonyl, carboxyalkyl or carboxyaryl;
R72 is C1-C4 alkyl; or alternatively R72 and R73 together form a 3-, 4-, 5-, 6- or 7-membered ring, optionally comprising an O or S atom in the ring, wherein the ring is optionally substituted with R8b as defined below;
R73 is hydrogen, or alternatively R73 and R72 together form a 3-, 4-, 5-, 6- or 7-membered ring, optionally comprising an O, S or N atom in the ring, wherein the ring is optionally substituted with R8b as defined below;
R74 is hydrogen or C1-C4 alkyl or alternatively R74 and R75 together form a 3-, 4-, 5-, 6- or 7-membered ring, optionally comprising an O, N or S atom in the ring, wherein the ring is optionally substituted with R8c as defined below;
R75 is —(CHR78)R79 or alternatively R75 and R74 together form a 3-, 4-, 5-, 6- or 7-membered ring, optionally comprising an O, N or S atom in the ring, wherein the ring is optionally substituted with R8, as defined below: wherein R78 is hydrogen, C1-C4 alkyl, amino, hydroxy or alkoxy, and R79 is selected from the group consisting of the following structures:
Figure USRE042624-20110816-C00015
    • wherein E1, E2, E3, E4 and E5 are each optionally present and when present are each independently selected from the group consisting of halogen, trifluoromethyl, alkyl, substituted alkyl, cycloalkyl, substituted cycloalkyl, a heterocyclic group, a substituted heterocyclic group, aryl, substituted aryl, heteroaryl, substituted heteroaryl, hydroxy, alkoxy, aryloxy, cyano, sulfinyl, sulfonyl and sulfonamido, and represent substitution at one or more available positions on the monocyclic or bicyclic aromatic ring, wherein said substitution is made with the same or different selected group member, and J1 and J2 are each independently O or S;
R8a, R8b and R8c are each independently substituted for one or more hydrogen atoms on the 3-, 4-, 5-, 6-, 7- or 8-membered ring structure and are independently selected from the group consisting of alkyl, substituted alkyl, cycloalkyl, substituted cycloalkyl, a heterocyclic group, a substituted heterocyclic group, aryl, substituted aryl, heteroaryl, substituted heteroaryl, hydroxy, alkoxy, aryloxy, oxo, amino, halogen, formyl, acyl, carboxy, carboxyalkyl, carboxyaryl, amido, carbamoyl, guanidino, ureido, amidino, mercapto, sulfinyl, sulfonyl and sulfonamido, or, alternatively, R8a, R8b and R8c are each independently a fused cycloalkyl, a substituted fused cycloalkyl, a fused heterocyclic, a substituted fused heterocyclic, a fused aryl, a substituted fused aryl, a fused heteroaryl or a substituted fused heteroaryl ring when substituted for hydrogen atoms on two adjacent atoms;
X3 is O, NR9 or N(R10)2 +;
    • wherein R9 is hydrogen, lower alkyl, substituted lower alkyl, sulfonyl, sulfonamido or amidino and R10 is hydrogen, lower alkyl, or substituted lower alkyl;
Z10 is O or NR12, wherein R12 is hydrogen, lower alkyl, or substituted lower alkyl; and
T3 is the same as defined for T2 with the exception that Ua is bonded to X3 of formula III.
In some embodiments of the present invention, the compound can have one of the following structures:
Figure USRE042624-20110816-C00016
Figure USRE042624-20110816-C00017
Figure USRE042624-20110816-C00018
Figure USRE042624-20110816-C00019
Figure USRE042624-20110816-C00020
Figure USRE042624-20110816-C00021

or an optical isomer, enantiomer, diastereomer, racemate or stereochemical mixture thereof.
The present invention includes isolated compounds. An isolated compound refers to a compound that, in some embodiements, comprises at least 10%, at least 25%, at least 50% or at least 70% of the compounds of a mixture. In some embodiments, the compound, pharmaceutically acceptable salt thereof or pharmaceutical composition containing the compound exhibits a statistically significant binding and/or antagonist activity when tested in biological assays at the human ghrelin receptor.
In the case of compounds, salts, or solvates that are solids, it is understood by those skilled in the art that the inventive compounds, salts, and solvates may exist in different crystal or polymorphic forms, all of which are intended to be within the scope of the present invention and specified formulas.
The compounds of formula I, II and/or III disclosed herein have asymmetric centers. The inventive compounds may exist as single stereoisomers, racemates, and/or mixtures of enantiomers and/or diastereomers. All such single stereoisomers, racemates, and mixtures thereof are intended to be within the scope of the present invention. In particular embodiments, however, the inventive compounds are used in optically pure form. The terms “S” and “R” configuration as used herein are as defined by the IUPAC 1974 Recommendations for Section E, Fundamentals of Stereochemistry (Pure Appl. Chem. 1976, 45, 13-30.)
Unless otherwise depicted to be a specific orientation, the present invention accounts for all stereoisomeric forms. The compounds may be prepared as a single stereoisomer or a mixture of stereoisomers. The non-racemic forms may be obtained by either synthesis or resolution. The compounds may, for example, be resolved into the component enantiomers by standard techniques, for example formation of diastereomeric pairs via salt formation. The compounds also may be resolved by covalently bonding to a chiral moiety. The diastereomers can then be resolved by chromatographic separation and/or crystallographic separation. In the case of a chiral auxiliary moiety, it can then be removed. As an alternative, the compounds can be resolved through the use of chiral chromatography. Enzymatic methods of resolution could also be used in certain cases.
As generally understood by those skilled in the art, an “optically pure” compound is one that contains only a single enantiomer. As used herein, the term “optically active” is intended to mean a compound comprising at least a sufficient excess of one enantiomer over the other such that the mixture rotates plane polarized light. Optically active compounds have the ability to rotate the plane of polarized light. The excess of one enantiomer over another is typically expressed as enantiomeric excess (e.e.). In describing an optically active compound, the prefixes D and L or R and S are used to denote the absolute configuration of the molecule about its chiral center(s). The prefixes “d” and “l” or (+) and (−) are used to denote the optical rotation of the compound (i.e., the direction in which a plane of polarized light is rotated by the optically active compound). The “l” or (−) prefix indicates that the compound is levorotatory (i.e., rotates the plane of polarized light to the left or counterclockwise) while the “d” or (+) prefix means that the compound is dextrarotatory (i.e., rotates the plane of polarized light to the right or clockwise). The sign of optical rotation, (−) and (+), is not related to the absolute configuration of the molecule, R and S.
A compound of the invention having the desired pharmacological properties will be optically active and, can be comprised of at least 90% (80% e.e.), at least 95% (90% e.e.), at least 97.5% (95% e.e.) or at least 99% (98% e.e.) of a single isomer.
Likewise, many geometric isomers of double bonds and the like can also be present in the compounds disclosed herein, and all such stable isomers are included within the present invention unless otherwise specified. Also included in the invention are tautomers and rotamers of formula I, II and/or III.
The use of the following symbols at the right refers to substitution of one or more hydrogen atoms of the indicated ring
Figure USRE042624-20110816-C00022

with the defined substituent R.
The use of the following symbol indicates a single bond or an optional double bond: ═
Embodiments of the present invention further provide intermediate compounds formed through the synthetic methods described herein to provide the compounds of formula I, II and/or III. The intermediate compounds may possess utiltity as a therapeutic agent for the range of indications described herein and/or a reagent for further synthesis methods and reactions.
2. Synthetic Methods
The compounds of formula I, II and/or II can be synthesized using traditional solution synthesis techniques or solid phase chemistry methods. In either, the construction involves four phases: first, synthesis of the building blocks comprising recognition elements for the biological target receptor, plus one tether moiety, primarily for control and definition of conformation. These building blocks are assembled together, typically in a sequential fashion, in a second phase employing standard chemical transformations. The precursors from the assembly are then cyclized in the third stage to provide the macrocyclic structures. Finally, the post-cyclization processing fourth stage involving removal of protecting groups and optional purification provides the desired final compounds. Synthetic methods for this general type of macrocyclic structure are described in Intl. Pat. Appls, WO 01/25257, WO 2004/111077, WO 2005/012331 and WO 2005/012332, including purification procedures described in WO 2004/111077 and WO 2005/012331.
In some embodiments of the present invention, the macrocyclic compounds of formula I, II and/or III may be synthesized using solid phase chemistry on a soluble or insoluble polymer matrix as previously defined. For solid phase chemistry, a preliminary stage involving the attachment of the first building block, also termed “loading,” to the resin must be performed. The resin utilized for the present invention preferentially has attached to it a linker moiety, L. These linkers are attached to an appropriate free chemical functionality, usually an alcohol or amine, although others are also possible, on the base resin through standard reaction methods known in the art, such as any of the large number of reaction conditions developed for the formation of ester or amide bonds. Some linker moieties for the present invention are designed to allow for simultaneous cleavage from the resin with formation of the macrocycle in a process generally termed “cyclization-release.” (van Maarseveen, J. H. Solid phase synthesis of heterocycles by cyclization/cleavage methodologies. Comb. Chem. High Throughput Screen. 1998, 1, 185-214; Ian W. James, Linkers for solid phase organic synthesis. Tetrahedron 1999, 55, 4855-4946; Eggenweiler, H.-M. Linkers for solid-phase synthesis of small molecules: coupling and cleavage techniques. Drug Discovery Today 1998, 3, 552-560; Backes, B. J.; Ellman, J. A. Solid support linker strategies. Curr. Opin. Chem. Biol. 1997, 1, 86-93. Of particular utility in this regard for compounds of the invention is the 3-thiopropionic acid linker. (Hojo, H.; Aimoto, S. Bull. Chem. Soc. Jpn. 1991, 64, 111-117; Zhang, L.; Tam, J. J. Am. Chem. Soc. 1999, 121, 3311-3320.)
Such a process provides material of higher purity as only cyclic products are released from the solid support and minimal contamination with the linear precursor occurs as would happen in solution phase. After sequential assembly of all the building blocks and tether into the linear precursor using known or standard reaction chemistry, base-mediated intramolecular attack on the carbonyl attached to this linker by an appropriate nucleophilic functionality that is part of the tether building block results in formation of the amide or ester bond that completes the cyclic structure as shown (Scheme 1). An analogous methodology adapted to solution phase can also be applied as would likely be preferable for larger scale applications.
Figure USRE042624-20110816-C00023
Although this description accurately represents the pathway for one of the methods of the present invention, the thioester strategy, another method of the present invention, that of ring-closing metathesis (RCM), proceeds through a modified route where the tether component is actually assembled during the cyclization step. However, in the RCM methodology as well, assembly of the building blocks proceeds sequentially, followed by cyclization (and release from the resin if solid phase). An additional post-cyclization processing step is required to remove particular byproducts of the RCM reaction, but the remaining subsequent processing is done in the same manner as for the thioester or analogous base-mediated cyclization strategy.
Moreover, it will be understood that steps including the methods provided herein may be performed independently or at least two steps may be combined. Additionally, steps including the methods provided herein, when performed independently or combined, may be performed at the same temperature or at different temperatures without departing from the teachings of the present invention.
Novel macrocyclic compounds of the present invention include those formed by a novel process including cyclization of a building block structure to form a macrocyclic compound comprising a tether component described herein. Accordingly, the present invention provides methods of manufacturing the compounds of the present invention comprising (a) assembling building block structures, (b) chemically transforming the building block structures, (c) cyclizing the building block structures including a tether component, (d) removing protecting groups from the building block structures, and (e) optionally purifiying the product obtained from step (d). In some embodiments, assembly of the building block structures may be sequential. In further embodiments, the synthesis methods are carried out using traditional solution synthesis techniques or solid phase chemistry techniques.
A. Amino Acids
Amino acids, Boc- and Fmoc-protected amino acids and side chain protected derivatives, including those of N-methyl and unnatural amino acids, were obtained from commercial suppliers [for example Advanced ChemTech (Louisville, Ky., USA), Bachem (Bubendorf, Switzerland), ChemImpex (Wood Dale, Ill., USA), Novabiochem (subsidiary of Merck KGaA, Darmstadt, Germany), PepTech (Burlington, Mass., USA), Synthetech (Albany, Oreg., USA)] or synthesized through standard methodologies known to those in the art. Ddz-amino acids were either obtained commercially from Orpegen (Heidelberg, Germany) or Advanced ChemTech (Louisville, Ky., USA) or synthesized using standard methods utilizing Ddz-OPh or Ddz-N3. (Birr, C.; Lochinger, W.; Stahnke, G.; Lang, P. The α,α-dimethyl-3,5-dimethoxybenzyloxycarbonyl (Ddz) residue, an N-protecting group labile toward weak acids and irradiation. Justus Liebigs Ann. Chem. 1972, 763, 162-172.) Bts-amino acids were synthesized by known methods. (Vedejs, E.; Lin, S.; Klapara, A.; Wang, J. “Heteroarene-2-sulfonyl Chlorides (BtsCl, ThsCl): Reagents for Nitrogen Protection and >99% Racemization-Free Phenylglycine Activation with SOCl2.” J. Am. Chem. Soc. 1996, 118, 9796-9797. Also WO 01/25257, WO 2004/111077) N-Alkyl amino acids, in particular N-methyl amino acids, are commercially available from multiple vendors (Bachem, Novabiochem, Advanced ChemTech, ChemImpex). In addition, N-alkyl amino acid derivatives were accessed via literature methods. (Hansen, D. W., Jr.: Pilipauskas, D. J. Org. Chem. 1985, 50, 945-950.)
B. Tethers
Tethers were obtained from the methods previously described in Intl. Pat. Appl. WO 01/25257, WO 2004/111077, WO 2005/012331 and U.S. Provisional Patent Application Ser. No. 60/622,055 60/622,005. Procedures for synthesis of tethers as described herein are presented in the Examples below. Exemplary tethers (T) include, but are not limited to, the following:
Figure USRE042624-20110816-C00024

and intermediates in the manufacture thereof, wherein (Z) is the site of a covalent bond of T to Z2, Z5 or Z10 and Z2, Z5 and Z10 are defined above for formula I, II and III, respectively, and wherein (X) is the site of a covalent bond of T to X, X2 or X3 and X, X2 and X3 are defined above for formula I; II and III, respectively, L7 is —CH2— or —O—; U1 is —CR101R102— or —C(═O)—; R100 is lower alkyl; R101, and R102 are each independently hydrogen, lower alkyl or substituted lower alkyl; xx is 2 or 3; yy is 1 or 2; zz is 1 or 2; and aaa is 0 or 1.
C. Solid Phase Techniques
Specific solid phase techniques for the synthesis of the macrocyclic compounds of the invention have been described in WO 01/25257, WO 2004/111077, WO 2005/012331 and WO 2005/012332. Solution phase synthesis routes, including methods amenable to larger scale manufacture, were described in U.S. Provisional Patent Application Ser. Nos. 60/622,055 60/622,005 and 60/642,271.
In certain cases, however, the lability of protecting groups precluded the use of the standard basic medium for cyclization in the thioester strategy discussed above. In these cases, either of two acidic methods was employed to provide macrocyclization under acid conditions. One method utilized HOAc, while the other method employed HOAt (Scheme 2). For example, the acetic acid cyclization was used for compound 219.
After executing the deprotection of the Ddz or Boc group on the tether, the resin was washed sequentially with DCM (2×), DCM-MeOH (1:1, 2×), DCM (2×), and DIPEA-DCM (3:7, 1×). The resin was dried under vacuum for 10 min, then added immediately to a solution of HOAc in degassed DMF (5% v/v). The reaction mixture was agitated at 50-70° C. O/N. The resin was filtered, washed with THF, and the combined filtrate and washes evaporated under reduced pressure (water aspirator, then oil pump) to afford the macrocycle.
Figure USRE042624-20110816-C00025
For a representative macrocycle with tether Tl, AA3=Leu, AA2=Leu, AA1=Phe, the application of the HOAt method shown in Scheme 2 provided the cyclic peptidomimetic in 10% yield, while the acetic acid method was more effective, and gave 24% overall yield of the same macrocycle. This latter methodology was particularly effective for compounds containing His(Mts) residues. For example, with tether T8, AA3=Phe, AA2=Acp, AA,=His(Mts), the macrocycle was obtained in 20% overall yield, although the majority of the product no longer had the Mts group on histidine (15:1 versus still protected).
Synthesis of representative macrocyclic compounds of the present invention are shown in the Examples below. Table 1A below presents a summary of the synthesis of 224 representative compounds of the present invention. The reaction methodology employed for the construction of the macrocyclic molecule is indicated in Column 2 and relates to the particular scheme of the synthetic strategy, for example, use of the thioester strategy as shown in FIG. 2 or the RCM approach as shown in FIG. 3. Column 3 indicates if any substituents are present on NBB1. Columns 4-6 and 8 indicate the individual building blocks employed for each compound, amino acids, hydroxy acids or tether utilizing either standard nomenclature or referring to the building block designations presented elsewhere in this application. Column 7 indicates the method used for attachment of the tether, either a Mitsunobu reaction (previously described in WO 01/25257) or reductive amination (previously described in WO 2004/111077). The relevant deprotection and coupling protocols as appropriate for the nature of the building block are performed utilizing standard procedures and those described in WO 2004/111077 for the assembly of the cyclization precursors. The building blocks are listed in the opposite order from which they are added in order to correlate the building block number with standard peptide nomenclature. Hence BB3 is added first, followed by BB2, then BB1, finally the tether (T). In the case of the RCM, the tether is not formed completely until the cyclization step, but the portion of the tether attached to BB1 is still added at this stage of the sequence, unless it is already part of that building block. The final macrocycles are obtained after application of the appropriate deprotection sequences. If any reaction was required to be carried out post-cyclization, it is listed in Column 9. All of the macrocycles presented in Table 1A were purified and met internal acceptance criteria. Yields (Column 10) are either isolated or as calculated based upon CLND analysis. It should be noted that compounds 58 and 99 were not cyclized and represent the linear analogues of compounds 10 and 133, respectively. The lack of binding potency observed with these linear analogues illustrates the importance of the macrocyclic structural feature for the desired activity.
TABLE 1A
Synthesis of Representative Compounds of the Present invention
Com- Macrocyclic
pound Assembly Method NBB1-R BB1 BB2 BB3
1 Thioester Strategy H Bts-Nle Boc-Sar Boc-(D)Phe
2 Thioester Strategy H Bts-Ile Boc-(D)Ala Boc-(D)Phe
3 Thioester Strategy H Bts-Val Boc-Sar Boc-(D)Phe
4 Thioester Strategy H Bts-Nva Boc-(D)NMeAla Boc-(D)Phe
5 Thioester Strategy H Bts-Nva Boc-NEtGly Boc-(D)Phe
6 Thioester Strategy H Bts-Nva Ddz-Sar Ddz-(D)Trp(Boc)
7 Thioester Strategy H Bts-Nva Ddz-Sar Ddz-(D)Tyr(But)
8 Thioester Strategy H Bts-Leu Boc-Acp Boc-Phe
9 Thioester Strategy H Bts-Val Boc-Acp Boc-Phe
10 Thioester Strategy H Bts-Nva Boc-Sar Boc-(D)Phe
11 Thioester Strategy H Bts-Nva Boc-Sar Boc-(D)Phe
12 Thioester Strategy H Bts-(D)Val Boc-Nle Boc-Nle
13 Thioester Strategy H Bts-(D)Val Boc-Nva Boc-Phe
14 Thioester Strategy H Bts-Ile Boc-(D)Ala Boc-Phe
15 Thioester Strategy H Bts-Ile Boc-(D)NMeAla Boc-(D)Phe
16 Thioester Strategy H Bts-allo-Ile Boc-(D)NMeAla Boc-(D)Phe
17 Thioester Strategy H Bts-Cpg Boc-(D)NMeAla Boc-(D)Phe
18 Thioester Strategy H Bts-Acp Boc-Acp Boc-Phe
19 Thioester Strategy H Bts-Val Boc-(D)NMeAla Boc-Phe
20 Thioester Strategy H Bts-Leu Boc-Acp Boc-Phe(2-Cl)
21 Thioester Strategy H Bts-Leu Boc-Acp Boc-Phe(3-Cl)
22 Thioester Strategy H Bts-Leu Boc-Acp Boc-1Nal
23 Thioester Strategy H Bts-Ile Boc-(D)NMeAla Boc-(D)Phe(2-Cl)
24 Thioester Strategy H Bts-Ile Boc-(D)NMeAla Boc-(D)Phe(3-Cl)
25 Thioester Strategy H Bts-Ile Boc-(D)NMeAla Boc-(D)Phe(4-Cl)
26 Thioester Strategy H Bts-Ile Boc-(D)NMeAla Boc-(D)Phe(4-F)
27 Thioester Strategy H Bts-Ile Boc-(D)NMeAla Boc-(D)Tyr(OMe)
28 Thioester Strategy H Bts-Ile Boc-(D)NMeAla Boc-(D)Bip
29 Thioester Strategy H Bts-Ile Boc-(D)NMeAla Boc-(D)Dip
30 Thioester Strategy H Bts-Ile Boc-(D)NMeAla Boc-(D)1Nal
31 Thioester Strategy H Bts-Ile Boc-(D)NMeAla Boc-(D)2Na1
32 Thioester Strategy H Bts-Ile Boc-(D)NMeAla Boc-(D)2Pa1
33 Thioester Strategy H Bts-Ile Boc-(D)NMeAla Boc-(D)4-ThzAla
34 Thioester Strategy H Bts-Ile Boc-(D)NMeAla Boc-(D)2-Thi
35 Thioester Strategy H Bts-Ile Boc-(D)NMeAla Boc-(D)Phe
36 Thioester Strategy H Bts-Ile Boc-(D)NMeAla Boc-(D)Phe
37 RCM Strategy H Fmoc-Ile Fmoc-(D)NMeAla Fmoc-(D)Phe
38 RCM Strategy H Fmoc-Ile Fmoc-(D)NMeAla Fmoc-(D)Phe
39 Thioester Strategy H Bts-Nva Boc-(D)NMeAla Boc-(D)Phe
40 Thioester Strategy H Bts-Ile Boc-(D)NMeAla Boc-(D)Phe
41 Thioester Strategy H Bts-Ile Boc-(D)NMeAbu Boc-(D)Phe
42 Thioester Strategy H Bts-Ile Boc-(D)NMeAla Boc-(D)Phe
43 Thioester Strategy H Bts-Ile Boc-(D)NEtAla Boc-(D)Phe
44 Thioester Strategy H Bts-Leu Boc-Acp Boc-Phe
45 Thioester Strategy H Bts-Leu Ddz-Acp Ddz-Glu(OBut)
46 Thioester Strategy H Bts-Les Boc-Acp Boc-Val
47 Thioester Strategy H Bts-Leu Boc-Acp Boc-Leu
48 Thioester Strategy H Bts-Leu Boc-Acp Boc-Nva
49 Thioester Strategy H Bts-Nva Boc-Sar Boc-(D)Ala
50 Thioester Strategy H Bts-Nva Ddz-Sar Ddz-(D)Glu(OBut)
51 Thioester Strategy H Bts-Nva Boc-Sar Boc-Gly
52 Thioester Strategy H Bts-Nva Boc-Sar Boc-(D)Nle
53 Thioester Strategy H Bts-Nva Ddz-Sar Ddz-(D)Orn(Boc)
54 Thioester Strategy H Bts-Nva Ddz-Sar Ddz-(D)Ser(But)
55 Thioester Strategy H Bts-(D)Nva Boc-Sar Boc-(D)Phe
56 Thioester Strategy H Bts-(D)Nva Boc-Sar Boc-Phe
57 Thioester Strategy H Bts-Nva Boc-Sar Boc-Phe
58 Thioester Strategy, Ac Bts-Nva Boc-Sar Boc-(D)Phe
linear
59 Thioester Strategy H Bts-Nva Boc-Ala Boc-(D)Phe
60 Thioester Strategy H Bts-Nva Boc-(D)Ala Boc-(D)Phe
61 Thioester Strategy H Bts-Nva Boc-Gly Boc-(D)Phe
62 Thioester Strategy H Bts-Nva Boc-Leu Boc-(D)Phe
63 Thioester Strategy H Bts-Nva Boc-(D)Leu Boc-(D)Phe
64 Thioester Strategy H Bts-Nva Boc-Phe Boc-(D)Phe
65 Thioester Strategy H Bts-Nva Boc-(D)Phe Boc-(D)Phe
66 Thioester Strategy H Bts-Nva Boc-Aib Boc-(D)Phe
67 Thioester Strategy H Bts-Nva Boc-Acp Boc-(D)Phe
68 Thioester Strategy H Bts-Nva Ddz-Lys Boc-(D)Phe
69 Thioester Strategy H Bts-Nva Ddz-(D)Lys(Boc) Boc-(D)Phe
70 Thioester Strategy H Bts-Nva Ddz-Glu(OBut) Boc-(D)Phe
71 Thioester Strategy H Bts-Nva Ddz-(D)Glu(OBut) Boc-(D)Phe
72 Thioester Strategy H Bts-Ala Boc-Sar Boc-(D)Phe
73 Thioester Strategy H Bts-Glu Boc-Sar Boc-(D)Phe
74 Thioester Strategy H Bts-Lys Boc-Sar Boc-(D)Phe
75 Thioester St rategy H Bts-Phe Boc-Sar Boc-(D)Phe
76 Thioester Strategy H Bts-Ser Boc-Sar Boc-(D)Phe
77 Thioester Strategy H Bts-Nva Boc-Sar Boc-(D)Phe
78 Thioester Strategy H Bts-Nva Boc-Sar Boc-(D)Phe
79 Thioester Strategy H Bts-Nva Boc-NMeAla Boc-(D)Phe
80 Thioester Strategy H Bts-Gly Boc-Sar Boc-(D)Phe
81 Thioester Strategy H Bts-Nva Boc-Sar Boc-(D)Phe
82 Thioester Strategy H Bts-Nva Boc-Sar Boc-(D)Phe
83 Thioester Strategy H Bts-Nva Boc-Sar Boc-(D)Phe
84 Thioester Strategy H Bts-Nva Boc-Sar Boc-(D)Phe
85 Thioester Strategy H Bts-Nva Boc-Sar Boc-(D)Phe
86 Thioester Strategy H Bts-Nva Boc-Sar Boc-(D)Phe
87 Thioester Strategy H Bts-Leu Boc-Acp Boc-Ala
88 Thioester Strategy H Bts-Leu Ddz-Acp Ddz-Tyr(But)
89 Thioester Strategy H Bts-Leu Ddz-Acp Ddz-Trp(Boc)
90 Thioester Strategy H Bts-Leu Boc-Acp Boc-Hfe
91 Thioester Strategy H Bts-Leu Ddz-Acp Ddz-Lys(Boc)
92 Thioester Strategy H Bts-Leu Ddz-Acp Ddz-Glu(OBut)
93 Thioester Strategy H Bts-Leu Boc-Ala Boc-Phe
94 Thioester Strategy H Bts-Leu Boc-(D)Ala Boc-Phe
95 Thioester Strategy H Bts-Leu Boc-Aib Boc-Phe
96 Thioester Strategy H Bts-(D)Leu Boc-Acp Boc-Phe
97 Thioester Strategy H Bts-Leu Boc-Acp Boc-(D)Phe
98 Thioester Strategy H Bts-(D)Leu Boc-Aep Boc-(D)Phe
99 Thioester Strategy, Ac Bts-Leu Boc-Acp Boc-Phe
linear
100 Thioester Strategy H Bts-Ala Boc-Acp Boc-Phe
101 Thioester Strategy H Bts-Nle Boc-Acp Boc-Phe
102 Thioester Strategy H Bts-Phe Boc-Acp Boc-Phe
103 Thioester Strategy H Bts-Lys Boc-Acp Boc-Phe
104 Thioester Strategy H Bts-Glu Boc-Acp Boc-Phe
105 Thioester Strategy H Bts-Ser Boc-Acp Boc-Phe
106 Thioester Strategy H Bts-Leu Boc-Acp Boc-Phe
107 Thioester Strategy H Bts-Leu Boc-Acp Boc-Phe
108 Thioester Strategy H Bts-Leu Boc-Acp Boc-Phe
109 Thioester Strategy H Bts-Leu Boc-Acp Boc-Phe
110 Thioester Strategy H Bts-Leu Boc-Acp Boc-Gly
111 Thioester Strategy H Bts-Leu Boc-Ace Boc-Phe
112 Thioester Strategy H Bts-Gly Boc-Acp Boc-Phe
113 Thioester Strategy H Bts-Leu Boc-Aep Boc-Phe
114 Thioester Strategy H Bts-Leu Boc-Acp Boc-Phe
115 Thioester Strategy H Bts-Leu Boc-Acp Boc-Phe
116 Thioester Strategy H Bts-Leu Ddz-Acp Ddz-Glu(Et)
117 Thioester Strategy H Bts-Abu Boc-(D)NMeAla Boc-(D)Phe
118 Thioester Strategy H Bts-Leu Boc-(D)NMcAla Boc-(D)Phe
119 Thioester Strategy H Bts-Thr Boc-(D)NMeAla Boc-(D)Phe
120 Thioester Strategy H Bts-Thr(OMe) Boc-(D)NMeAla Boc-(D)Phe
121 Thioester Strategy H Bits-Acc Boc-(D)NMeAla Boc-(D)Phe
122 Thioester Strategy H Bts-Phe(2-Cl) Boc-Acp Boc-Phe
123 Thioester Strategy H Bts-Phe(3-Cl) Boc-Acp Boc-Phe
124 Thioester Strategy H Bts-Phe(4-Cl) Boc-Acp Boc-Phe
125 Thioester Strategy H Bts-Phe(4-F) Boc-Acp Boc-Phe
126 Thioester Strategy H Bts-Hfe Boc-Acp Boc-Phe
127 Thioester Strategy H Bts-Tyr(OMe) Boc-Acp Boc-Phe
128 Thioester Strategy H Bts-Bip Boc-Acp Boc-Phe
129 Thioester Strategy H Bts-Dip Boc-Acp Boc-Phe
130 Thioester Strategy H Bts-1Nal Boc-Acp Boc-Phe
131 Thioester Strategy H Bts-2Nal Boc-Acp Boc-Phe
132 Thioester Strategy H Bts-3Pal Boc-Acp Boc-Phe
133 Thioester Strategy H Bts-4Pal Boc-Acp Boc-Phe
134 Thioester Strategy H Bts-4-ThzAla Boc-Acp Boc-Phe
135 Thioester Strategy H Bts-2-Thi Boc-Acp Boc-Phe
138 Thioester Strategy H Bts-Abu Boc-Acp Boc-Phe
137 Thioester Strategy H Bts-Nva Boc-Acp Boc-Phe
138 Thioester Strategy H Bts-Ile Boc-Acp Boc-Phe
139 Thioester Strategy H Bts-Val Boc-hcLeu Boc-Phe
140 Thioester Strategy H Bts-Val Boc-hc(4O)Leu Boc-Phe
141 Thioester Strategy H Bts-Val Boc-(4O)Acp Boc-Phe
142 Thioester Strategy H Bts-Val Boc-(3-4)InAcp Boc-Phe
143 Thioester Strategy H Bts-Val Boc-hc(4S)Leu Boc-Phe
144 Thioester Strategy H Bts-Ile Boc-(D)NMeVal Boc-(D)Phe
145 Thioester Strategy H Bts-Ile Boc-NMeVal Boc-(D)Phe
146 Thioester Strategy H Bts-Ile Boc-NMeNva Boc-(D)Phe
147 Thioester Strategy H Bts-Ile Boc-(D)NMeLeu Boc-(D)Phe
148 Thioester Strategy H Bts-Ile Boc-NMeLeu Boc-(D)Phe
149 Thioester Strategy H Bts-Ile Boc-(D)NMeIle Boc-(D)Phe
150 Thioester Strategy H Bts-Ile Boc-NMeIle Boc-(D)Phe
151 Thioester Strategy H Bts-Ile Ddz-(D)Ser(But ) Boc-(D)Phe
152 Thioester Strategy H Bts-Ile Ddz-NMeSer(But) Boc-(D)Phe
153 Thioester Strategy H Bts-Leu Boc-Acp Boc-Phe(4-Cl)
154 Thioester Strategy H Bts-Leu Boc-Acp Boc-Phe(4-F)
155 Thioester Strategy H Bts-Leu Boc-Acp Boc-Hfe
156 Thioester Strategy H Bts-Leu Boc-Acp Boc-Tyr(OMe)
157 Thioester Strategy H Bts-Leu Boc-Acp Boc-Bip
158 Thioester Strategy H Bts-Leu Boc-Acp Boc-Dip
159 Thioester Strategy H Bts-Leu Boc-Acp Boc-2Nal
160 Thioester Strategy H Bts-Leu Boc-Acp Boc-2Pal
161 Thioester Strategy H Bts-Leu Boc-Acp Boc-3Pal
162 Thioester Strategy H Bts-Leu Boc-Acp Boc-4Pal
163 Thioester Strategy H Bts-Leu Boc-Acp Boc-ThzAla
164 Thioester Strategy H Bts-Leu Boc-Acp Boc-2-Thi
165 Thioester Strategy H Bts-Leu Boc-Acp Boc-Abu
166 Thioester Strategy H Bts-Leu Boc-Acp Boc-Ile
167 Thioester Strategy H Bts-Leu Boc-Acp Boc-allo-Ile
168 Thioester Strategy H Bts-Leu Boc-Acp Boc-Acp
169 Thioester Strategy H Bts-Ile Boc-(D)NMeAla Boc-(D)Hfe
170 Thioester Strategy H Bts-Ile Boc-(D)NMeAla Boc-(D)3Pal
171 Thioester Strategy H Bts-Ile Boc-(D)NMeAla Boc-(D)4Pal
172 Thioester Strategy H Bts-Ile Boc-(D)NMeAla Boc-Abu
173 Thioester Strategy H Bts-Ile Boc-(D)NMeAla Boc-(D)Nva
174 Thioester Strategy H Bts-Ile Boc-(D)NMeAla Boc-(D)Val
175 Thioester Strategy H Bts-Ile Boc-(D)NMeAla Boc-(D)IIe
176 Thioester Strategy H Bts-Ile Boc-(D)NMeAla Boc-(D)Leu
177 Thioester Strategy H Bts-Ile Boc-(D)NMeAla Boc-(D)Phe
178 Thioester Strategy H Bts-Ile Boc-(D)NMeAla Boc-(D)Phe
179 Thioester Strategy H Bts-Ile Boc-(D)NMeAla Boc-(D)Phe
180 Thioester Strategy H Bts-Ile Boc-(D)NMeAla Boc-(D)Phe
181 RCM Strategy H Fmoc-Ile Fmoc-(D)NMeAla Fmoc-(D)Phe
182 RCM Strategy H Fmoc-Ile Fmoc-(D)NMeAla Fmoc-(D)Phe
183 RCM Strategy H Fmoc-Ile Fmoc-(D)NMeAla Fmoc-(D)Phe
184 RCM Strategy H Fmoc-Ile Fmoc-(D)NMeAla Fmoc-(D)Phe
185 RCM Strategy H Fmoc-Ile Fmoc-(D)NMeAla Fmoc-(D)Phe
186 RCM Strategy H Fmoc-Ile Fmoc-(D)NMeAla Fmoc-(D)Phe
187 RCM Strategy H Fmoc-Ile Fmoc-(D)NMeAla Fmoc-(D)Phe
188 RCM Strategy H Fmoc-Ile Fmoc-(D)NMeAla Fmoc-(D)Phe
189 RCM Strategy H Fmoc-Ile Fmoc-(D)NMeAla Fmoc-(D)Phe
190 RCM Strategy H Fmoc-Ile Fmoc-(D)NMeAla Fmoc-(D)Phe
191 RCM Strategy H Fmoc-Ile Fmoc-(D)NMeAla Fmoc-(D)Phe
192 RCM Strategy H Fmoc-Ile Fmoc-(D)NMeAla Fmoc-(D)Phe
193 RCM Strategy H Fmoc-Ile Fmoc-(D)NMeAla Fmoc-(D)Phe
194 RCM Strategy H Fmoc-Ile Fmoc-(D)NMeAla Fmoc-(D)Phe
195 RCM Strategy H Fmoc-Ile Fmoc-(D)NMeAla Fmoc-(D)Phe
196 Thioester Strategy H Bts-Ile Boc-(D)NMeAla Boc-(D)Phe
197 Thioester Strategy H Bts-Ile Boc-(D)NmeAla Boc-(D)Phe
199 Thioester Strategy H Bts-Val Boc-Acc Boc-Phe
200 Thioester Strategy H Bts-Val Boc-Acp Boc-Phe
201 Thioester Strategy Me Bts-Nva Boc-(D)NMeAla Boc-(D)Phe
202 Thioester Strategy Ac Bts-Nva Boc-(D)NMeAla Boc-(D)Phe
203 Thioester Strategy Me Bts-Leu Boc-Acp Boc-Phe
204 Thioester Strategy Ac Bts-Leu Boc-Acp Boc-Phe
205 Thioester Strategy H Bts-Ile Boc-(D)NMeAla Boc-(D)Abu
206 Thioester Strategy H Bts-Ile Boc-(D)NMeAla Boc-(D)Phe
207 Thioester Strategy H Bts-Val Boc-hc(4N)Leu Boc-Phe
208 Thioester Strategy H Bts-allo-Ile Boc-Acp Boc-Phe
299 Thioester Strategy H Bts-Ile Boc-(D)NMeAla Boc-(D)allo-Ile
219 Thioester Strategy H Bts-2Pal Boc-Acp Boc-Phe
211 Thioester Strategy H Bts-Val Boc-hc(4N)Leu Boc-Phe
212 Thioester Strategy H Bts-Ile Bocr-NMeAbu Boc-(D)Phe
213 Thioester Strategy H Bts-Ile Boc-(D)4-Thr Boc-(D)Phe
214 RCM Strategy H Fmoc-Ile Fmoc-(D)NMeAla Fmoc-(D)Phe
215 isolated from synthesis of compound 151
216 Thioester Strategy H Bts-Val Boc-Acc Boc-Phe
218 Thioester Strategy H Bts-hcLeu Boc-Acp Boc-Phe
219 Acetic Acid H Bts-His(Mts) Boc-Acp Boc-Phe
Cyclization
220 Thioester Strategy H Bts-Nva Boc-Pro Boc-(D)Phe
221 Thioester Strategy H Bts-Nva Boc-(D)Pro Boc-(D)Phe
222 Thioester Strategy H Bts-Leu Boc-Pro Boc-Phe
223 Thioester Strategy H Bts-Leu Boc-(D)Pro Boc-Phe
224 RCM Strategy H Fmoc-Ile Fmoc-(D)Hyp(But) Fmoc-(D)Phe
225 Thioester Strategy H Bts-Pro Boc-(D)NMeAla Boc-(D)Phe
226 Thioester Strategy H Bts-Pip Boc-(D)NMeAla Boc-(D)Phe
Tether Attachment Additional Yield
Compound Method Tether Reaction** (%)*
1 Mitsunobu Reaction Boc-T9 None 10.1
2 Mitsunobu Reaction Boc-T9 None 13.8
3 Mitsunobu Reaction Boc-T9 None 10.3
4 Mitsunobu Reaction Boc-T9 None 4.6
5 Mitsunobu Reaction Boc-T9 None 8.6
6 Mitsunobu Reaction Ddz-T9 None 8.1
7 Mitsunobu Reaction Ddz-T9 None 8.8
8 Mitsunobu Reaction Boc-T8 None 20.9
9 Mitsunobu Reaction Boc-T9 None 9.7
10 Mitsunobu Reaction Boc-T9 None 9.9
11 Mitsunobu Reaction Boc-T8 None 9.9
12 Mitsunobu Reaction Boc-T8 None 2.9
13 Mitsunobu Reaction Boc-T8 None 5.8
14 Mitsunobu Reaction Boc-T8 None 27.5
15 Mitsunobu Reaction Boc-T9 None 19.5
16 Mitsunobu Reaction Boc-T9 None 23.9
17 Reductive Amination Boc-T9 None 24.8
Reaction
18 Mitsunobu Reaction Boc-T8 None 6.8
19 Mitsunobu Reaction Boc-T8 None 12.7
20 Mitsunobu Reaction Boc-T8 None 22.0
21 Mitsunobu Reaction Boc-T8 None 24.7
22 Mitsunobu Reaction Boc-T8 None 10.3
23 Mitsunobu Reaction Boc-T9 None 32.6
24 Mitsunobu Reaction Boc-T9 None 22.4
25 Mitsunobu Reaction Boc-T9 None 21.0
26 Mitsunobu Reaction Boc-T9 None 15.5
27 Mitsunobu Reaction Boc-T9 None 20.2
28 Mitsunobu React ion Boc-T9 None 31.6
29 Mitsunobu Reaction Boc-T9 None 26.1
30 Mitsunobu Reaction Boc-T9 None 31.9
31 Mitsunobu Reaction Boc-T9 None 21.9
Reaction
32 Reductive Amination Boc-T9 None 6.7
33 Mitsunobu Reaction Boc-T9 None 7.5
34 Mitsunobu Reaction Boc-T9 None 14.2
35 Mitsunobu Reaction Boc-T33a None 9.4
36 Mitsunobu Reaction Boc-T33b None 13.0
37 Mitsunobu Reaction TA1 + TB4 None 24.6
38 Mitsunobu Reaction TA2 + TB1 Hydrogenation 44.2
39 Mitsunobu Reaction Boc-T8 None 21.4
40 Mitsunobu Reaction Boc-T8 None 18.6
41 Mitsunobu Reaction Boc-T9 None 10.6
42 Mitsunobu Reaction Boc-T9 None 1.7
43 Mitsunobu Reaction Boc-T9 None 0.4
44 Mitsunobu Reaction Boc-T1 None 7.8
45 Mitsunobu Reaction Ddz-T8 None 11.6
46 Mitsunobu Reaction Boc-T8 None 13.6
47 Mitsunobu Reaction Boc-T8 None 9.2
48 Mitsunobu Reaction Boc-T8 None 17.5
49 Reductive Amination Boc-T9 None 7.5
Reaction
50 Mitsunobu Reaction Ddz-T9 None 10.1
51 Mitsunobu Reaction Boc-T9 None 6.6
52 Mitsunobu Reaction Boc-T9 None 8.7
53 Mitsunobu Reaction Ddz-T9 None 8.3
54 Mitsunobu Reaction Ddz-T9 None 6.2
55 Mitsunobu Reaction Boc-T9 None 8.0
56 Mitsunobu Reaction Boc-T9 None 9.3
57 Mitsunobu Reaction Boc-T9 None 8.9
58 Mitsunobu Reaction Boc-T9 No cyclization 5.9
59 Mitsunobu Reaction Boc-T9 None 8.0
60 Mitsunobu Reaction Boc-T9 None 13.1
61 Mitsunobu Reaction Boc-T9 None 8.4
62 Mitsunobu Reaction Boc-T9 None 7.0
63 Mitsunobu Reaction Boc-T9 None 11.7
64 Mitsunobu Reaction Boc-T9 None 8.5
65 Mitsunobu Reaction Boc-T9 None 8.6
66 Mitsunobu Reaction Boc-T9 None 15.8
67 Mitsunobu Reaction Boc-T9 None 11.7
68 Mitsunobu Reaction Ddz-T9 None 7.9
69 Mitsunobu Reaction Ddz-T9 None 11.2
70 Mitsunobu Reaction Ddz-T9 None 10.0
71 Mitsunobu Reaction Ddz-T9 None 9.9
72 Mitsunobu Reaction Boc-T9 None 5.2
73 Mitsunobu Reaction Boc-T9 None 6.8
74 Mitsunobu Reaction Boc-T9 None 6.0
75 Mitsunobu Reaction Boc-T9 None 9.5
76 Mitsunobu Reaction Boc-T9 None 15.1
77 Mitsunobu Reaction Boc-T12 None 12.6
78 Mitsunobu Reaction Boc-T27 None 6.8
79 Mitsunobu Reaction Boc-T9 None 1.9
80 Mitsunobu Reaction Boc-T9 None 1.3
81 Mitsunobu Reaction Boc-T1 None 5.3
82 Mitsunobu Reaction Boc-T3 None 3.9
83 Mitsunobu Reaction Boc-T16 None 1.8
84 Mitsunobu Reaction Boc-T4 None 2.6
85 Mitsunobu Reaction Boc-T5 None 4.7
86 Mitsunobu Reaction Boc-T14 None 0.4
87 Mitsunobu Reaction Boc-T9 None 4.8
88 Mitsunobu Reaction Ddz-T9 None 18.8
89 Mitsunobu Reaction Ddz-T9 None 16.5
90 Mitsunobu Reaction Boc-T9 None 8.5
91 Mitsunobu Reaction Ddz-T9 None 6.8
92 Mitsunobu Reaction Ddz-T9 None 9.1
93 Mitsunobu Reaction Boc-T9 None 9.2
94 Mitsunobu Reaction Boc-T9 None 21.8
95 Mitsunobu Reaction Boc-T9 None 19.3
96 Mitsunobu Reaction Boc-T9 None 7.0
97 Mitsunobu Reaction Boc-T9 None 9.2
98 Mitsunobu Reaction Boc-T9 None 15.3
99 Mitsunobu Reaction Boc-T9 No cyclization 10.4
100 Mitsunobu Reaction Boc-T9 None 10.4
101 Mitsunobu Reaction Boc-T9 None 19.0
102 Mitsunobu Reaction Boc-T9 None 15.8
103 Mitsunobu Reaction Boc-T9 None 12.9
104 Mitsunobu Reaction Boc-T9 None 9.3
105 Mitsunobu Reaction Boc-T9 None 11.9
106 Mitsunobu Reaction Boc-T3 None 6.3
107 Mitsunobu Reaction Boc-T5 None 4.2
108 Mitsunobu Reaction Boc-T12 None 18.3
109 Mitsunobu Reaction Boc-T11 None 10.1
110 Mitsunobu Reaction Boc-T9 None 2.9
111 Mitsunobu Reaction Boc-T9 None 3.0
112 Mitsunobu Reaction Boc-T9 None 3.2
113 Mitsunobu Reaction Boc-T9 None 16.9
114 Mitsunobu Reaction Boc-T16 None 2.9
115 Mitsunobu Reaction Boc-T6 None 0.5
116 Mitsunobu Reaction Ddz-T8 None 11.8
117 Mitsunobu Reaction Boc-T9 None 19.7
118 Mitsunobu Reaction Boc-T9 None 21.0
119 Mitsunobu Reaction Boc-T9 None 12.2
120 Reductive Amination Boc-T9 None 17.5
Reaction
121 Mitsunobu Reaction Boc-T9 None 5.8
122 Mitsunobu Reaction Boc-T8 None 22.1
123 Mitsunobu Reaction Boc-T8 None 13.6
124 Mitsunobu Reaction Boc-T8 None 9.8
125 Mitsunobu Reaction Boc-T8 None 15.8
126 Mitsunobu Reaction Boc-T8 None 9.8
127 Mitsunobu Reaction Boc-T8 None 14.5
128 Mitsunobu Reaction Boc-T8 None 17.8
129 Mitsunobu Reaction Boc-T8 None 11.0
130 Mitsunobu Reaction Boc-T8 None 18.8
131 Mitsunobu Reaction Boc-T8 None 15.0
132 Reductive Amination Boc-T8 None 17.0
Reaction
133 Reductive .Amination Boc-T8 None 9.5
Reaction
134 Mitsunobu Reaction Boc-T8 None 12.0
135 Mitsunobu Reaction Boc-T8 None 4.0
136 Mitsunobu Reaction Boc-T8 None 13.3
137 Mitsunobu Reaction Boc-T8 None 19.0
138 Mitsunobu Reaction Boc-T8 None 13.8
139 Reductive Amination Boc-T8 None 18.4
Reaction
140 Reductive Amination Boc-T8 None 16.7
Reaction
141 Reductive Amination Boc-T8 None 15.7
142 Reductive Amination Boc-T8 None 17.0
Reaction
143 Reductive Amination Boc-T8 None 16.1
Reaction
144 Reductive Amination Boc-T9 None 5.7
Reaction
145 Reductive Amination Boc-T9 None 4.9
Reaction
146 Reductive Amination Boc-T9 None 23.3
Reaction
147 Reductive Amination Boc-T9 None 14.4
Reaction
148 Reductive Amination Boc-T9 None 25.4
Reaction
149 Reductive Amination Boc-T9 None 11.4
Reaction
150 Reductive Amination Boc-T9 None 7.0
Reaction
151 Mitsunobu Reaction Ddz-T9 None 8.2
152 Reductive Amination Ddz-T9 None 22.1
Reaction
153 Mitsunobu Reaction Boc-T8 None 13.5
154 Mitsunobu Reaction Boc-T8 None 14.4
155 Mitsunohu Reaction Boc-T8 None 13.5
156 Mitsunohu Reaction Boc-T8 None 13.2
157 Mitsunobu Reaction Boc-T8 None 20.2
158 Mitsunobu Reaction Boc-T8 None 11.3
159 Mitsunobu Reaction Boc-T8 None 20.5
160 Reductive Amination Boc-T8 None 2.8
Reaction
161 Reductive Amination Boc-T8 None 16.5
React ion
162 Reductive Amination Boc-T8 None 16.7
Reaction
163 Mitsunobu Reaction Boc-T8 None 10.0
164 Mitsunobu Reaction Boc-T8 None 12.5
165 Mitsunobu Reaction Boc-T8 None 13.0
166 Mitsunobu Reaction Boc-T8 None 11.1
167 Mitsunobu Reaction Boc-T8 None 15.3
168 Mitsunobu Reaction Boc-T8 None 4.2
169 Mitsunobu Reaction Boc-T9 None 17.0
170 Reductive Amination Boc-T9 None 14.5
Reaction
171 Reductive Amination Boc-T9 None 16.4
Reaction
172 Mitsunobu Reaction Boc-T9 None 12.0
173 Mitsunohu Reaction Boc-T9 None 16.8
174 Mitsunohu Reaction Boc-T9 None 13.9
175 Mitsunobu Reaction Boc-T9 None 15.1
176 Mitsunohu Reaction Boc-T9 None 9.4
177 Mitsunobu Reaction Boc-T11 None 9.3
178 Mitsunobu Reaction Boc-T28 None 11.2
179 Mitsunohu Reaction Boc-T29 None 8.6
180 Mitsunobu Reaction Boc-T30 None 10.0
181 Mitsunobu Reaction TA1 + TB7 None 49.5
182 Mitsunobu Reaction TA1 + TB7 Hydrogenation 47.7
183 Mitsunobu Reaction TA2 + TB7 None 59.0
184 Mitsunobu Reaction TA2 + TB7 Hydrogenation 50.6
185 Mitsunobu Reaction TA1 + TB6 None 12.4
186 Mitsunobu Reaction TA2 + TB6 None 3.0
187 Mitsunobu Reaction TA1 + TB3 None 30.9
188 Mitsunobu Reaction TA2 + TB3 None 34.9
189 Mitsunobu Reaction TA2 + TB3 Hydrogenation 24.0
190 Mitsunobu Reaction TA1 + TB4 Hydrogenation 32.5
191 Mitsunobu Reaction TA2 + TB4 None 32.2
192 Mitsunobu Reaction TA2 + TB4 Hydrogenation 22.2
193 Mitsunobu Reaction TA1 + TB1 None 47.7
194 Mitsunobil Reaction TA1 + TB1 Hydrogenation 23.7
195 Mitsunobu Reaction TA2 + TB1 None 66.8
196 Mitsunobu Reaction Ddz-T32(Boc) None 13.0
197 Mitsunobu Reaction Ddz-T31 (But) None 10.6
199 Reductive Amination Boc-T8 None 16.0
Reaction
200 Mitsunobu Reaction Boc-T8 None 14.7
201 Reductive Amination Boc-T9 Reductive 32.4
Reaction amination
reaction with
formaldehyde
202 Reductive Amination Boc-T9 Acetylation 14.2
Reaction
203 Reductive Amination Boc-T8 Reductive 7.7
Reaction amination
reaction with
formaldehyde
204 Reductive Amination Boc-T8 Acetylation 11.5
Reaction
205 Mitsunobu Reaction Boc-T9 None 19.9
206 Mitsunobu Reaction Boc-T34 None 26.2
207 Mitsunobu Reaction Boc-T9 None <1
208 Mitsunobu Reaction Boc-T8 None 16.7
209 Mitsunobu Reaction Boc-T9 None 8.6
210 Reductive Amination Boc-T8 None 1.1
Reaction
211 Reductive Amination Boc-T8 None <1
Reaction
212 Mitsunobu Reaction Boc-T9 None 1.2
213 Reductive Amination Boc-T9 None 1.0
Reaction
214 Mitsunobu Reaction TA1 + TB3 Hydrogenation 14.9
215
216 Reductive Amination Boc-T9 None 11.6
Reaction
218 Mitsunobu Reaction Boc-T8 None 0.1
219 Reductive Amination Boc-T8 None 19.0
Reaction
220 Mitsunobu Reaction Boc-T9 None 15.0
221 Mitsunobu Reaction Boc-T9 None 14.9
222 Mitsunobu Reaction Boc-T9 None 11.7
223 M itsunobu Reaction Boc-T9 None 20.4
224 Mitsunobu Reaction TA1 + TB2 Hydrogenation 8.2
225 Reductive Amination Boc-T9 None 10.0
Reaction
226 Reductive Amination Boc-T9 None 13.5
Reaction
*Overall Yield: based on theoretical resin loading, starting from ~500 mg resin
**Additional reactions conducted post-cyclization, except where otherwise noted, to reach the desired product
Table 1B below presents a summary of the synthesis of 122 representative compounds of the present invention, and Table 1C presents the synthesis of an additional 15 representative compounds. For Table 1B, the reaction methodology employed for the construction of the macrocyclic molecule is indicated in Column 2 and relates to the particular scheme of the synthetic strategy. Columns 3-6 indicate the individual building blocks employed for each compound, amino acids or tether utilizing either standard nomenclature or referring to the building block designations presented elsewhere in this application. Column 7 indicates the method used for attachment of the tether. The building blocks are listed in the opposite order from which they are added in order to correlate the building block number with standard peptide nomenclature. Column 8 indicates if any additional reaction chemistry was applied, such as to remove auxiliary protection or to reduce a double bond (as was performed with many RCM intermediate products). All of the macrocycles in Tables 1B and 1C were purified and met the acceptance criteria. Yields (Column 9-10) are either isolated or as calculated based upon CLND analysis.
TABLE 1B
Synthesis of Representative Compounds of the Present Invention
Com- Macrocyclic
pound Assembly Method BB1 BB2 BB3 Tether
298 Thioester Strategy Bts-Cpg Boc-(D)NMeAla Boc-(D)Phe(4-F) Boc-T33a
299 Thioester Strategy Bts-Cpg Boc-(D)NMeAla Boc-(D)Phe(4-Cl) Boc-T9
301 Thioester Strategy Bts-Tyr(But) Boc-Acp Boc-Phe(3-Cl) Ddz-T8
303 Thioester Strategy Bts-Val Boc-(4O)Acp Boc-Phe Boc-T8
305 Thioester Strategy Bts-Ile Boc-(D)NMeAla Boc-(D)His(Mts) Boc-T9
306 Thioester Strategy Bts-Cpg Boc-(D)NMeAla Boc-(D)Phe(4-F) Boc-T11
307 RCM Strategy Fmoc-Cpg Fmoc-(D)NMeAla Fmoc-(D)Phe(4-F) TA2 + TB6
308 Thioester Strategy Bts-Cpg Boc-(D)NMeAla Boc-(D)Phe(4-Cl) Boc-T8
309 Thioester Strategy Bts-Cpg Boc-(D)NMeAla Boc-(D)Phe(4-F) Boc-T9
310 Thioester Strategy Bts-Cpg Boc-(D)NMeAla Boc-(D)3-Thi Boc-T9
311 Thioester Strategy Boc-Cpg Boc-(D)NMeAla Boc-(D)Tyr(3-tBu) Boc-T9
312 Thioester Strategy Bts-Cpg Boc-(D)NMeAla Boc-(D)Phe(2-F) Boc-T9
313 Thioester Strategy Bts-Cpg Boc-(D)NMeAla Boc-(D)Phe(3-F) Boc-T9
314 Thioester Strategy Bts-Cpg Boc-(D)NMeAla Boc-(D)Phe(2,4-diCl) Boc-T9
315 Thioester Strategy Bts-Cpg Boc-(D)NMeAla Boc-(D)Phe(3,4-diCl) Boc-T9
316 Thioester Strategy Bts-Cpg Boc-(D)NMeAla Boc-(D)Phe(3,4-diF) Boc-T9
317 Thioester Strategy Bts-Cpg Boc-(D)NMeAla Boc-(D)Phe(3,5-diF) Boc-T9
316 Thioester Strategy Bts-Cpg Boc-(D)NMeAla Boc-(D)Phe(pentaF) Boc-T9
319 Thioester Strategy Bts-Cpg Boc-(D)NMeAla Boc-(D)Phe(4-Br) Boc-T9
320 Thioester Strategy Bts-Cpg Boc-(D)NMeAla Boc-(D)Phe(4-I) Boc-T9
321 Thioester Strategy Bts-Cpg Boc-(D)NMeAla Boc-(D)Phe(4-CN) Boc-T9
322 Thioester Strategy Bts-Cpg Boc-(D)NMeAla Boc-(D)Phe(4-CF3) Boc-T9
323 Thioester Strategy Bts-Cpg Boc-(D)NMeAla Boc-(D)Phe(3,4-diOMe) Boc-T9
324 Thioester Strategy Bts-Cpg Boc-(D)NMeAla Boc-(D)Trp Boc-T9
325 Thioester Strategy Bts-Ile Boc-Acp Boc-Phe(3-F) Boc-T8
326 Thioester Strategy Bts-Ile Boc-Acp Boc-Phe(3-Br) Boc-T8
327 Thioester Strategy Bts-Ile Boc-Acp Boc-Phe(3,5-diF) Boc-T8
328 Thioester Strategy Bts-Ile Boc-Acp Boc-Phe(3-OMe) Boc-T8
329 Thioester Strategy Bts-Ile Boc-Acp Boc-Phe(3-CN) Boc-T8
330 Thioester Strategy Bts-IIe Boc-Acp Boc-Phe(3,4-diCl) Boc-T8
331 Thioester Strategy Bts-IIe Boc-Acp Boc-Phe(3,4-diF) Boc-T8
332 Thioester Strategy Bts-Ile Boc-Acp Boc-Phe(3-CF3) Boc-T8
333 Thioester Strategy Bts-Ile Boc-Acp Boc-3-Thi Boc-T8
334 Thioester Strategy Bts-Acp Boc-Aib Boc-Phe(3-Cl) Boc-T8
335 Thioester Strategy Boc-Thr(OMe) Boc-(D)NMeAla Boc-(D)Phe(4-F) Boc-T9
336 Thioester Strategy Bts-Ser(OMe) Boc-(D)NMeAla Boc-(D)Phe(4-F) Boc-T9
337 Thioester Strategy Boc-Dap(Cbz) Boc-(D)NMeAla Boc-(D)Phe(4-F) Boc-T9
338 Thioester Strategy Bts-Dab(Boc) Boc-(D)NMeAla Boc-(D)Phe(4-F) Boc-T9
339 Thioester Strategy Bts-Orn(Boc) Boc-(D)NMeAla Boc-(D)Phe(4-F) Boc-T9
340 Thioester Strategy Boc-Met Boc-(D)NMeAla Boc-(D)Phe(4-F) Boc-T9
341 Thioester Strategy Bts-3-Thi Boc-Acp Boc-Phe(3-Cl) Boc-T8
342 Thioester Strategy Bts-Phe(2-CN) Boc-Acp Boc-Phe(3-Cl) Boc-T8
343 Thioester Strategy Bts-Phe(2-OMe) Boc-Acp Boc-Phe(3-Cl) Boc-T8
344 Thioester Strategy Bts-Ser(OMe) Boc-Acp Boc-Phe(3-Cl) Boc-T8
345 Thioester Strategy Bts-Ile Boc-(4O)Acp Boc-Phe(3-Cl) Boc-T8
346 Thioester Strategy Bts-Cpg Boc-Acp Boc-Phe(3-Cl) Boc-T8
347 Thioester Strategy Bts-IIe Boc-Acp Boc-Ser(OBzl) Boc-T8
348 Thioester Strategy Bts-Ile Boc-Acp Boc-Ser(OBzI) Boc-T8
349 Thioester Strategy Bts-Aib Boc-Acp Boc-Phe(3-Cl) Boc-T8
350 Thioester Strategy Bts-Aib Boc-Aib Boc-Phe(3-Cl) Boc-T8
351 Thioester Strategy Bts-Acp Boc-(D)Ala Boc-Phe(3-Cl) Boc-T8
352 Thioester Strategy Bts-Acp Boc-Ala Boc-Phe(3-Cl) Boc-T8
353 RCM Strategy Fmoc-Ile Fmoc-(D)NMeAla Fmoc-(D)Phe(4-F) TA1 + TB4
354 Thioester Strategy Bts-Cpg Boc-(D)NMeAla Boc-(D)Phe(4-F) Boc-T65
355 Thioester Strategy Bts-Cpg Boc-(D)NMeAla Boc-(D)Phe(4-F) Boc-T70
356 Thioester Strategy Bts-Cpg Boc-(D)NMeAla Boc-(D)Phe(4-F) Boc-T72
357 Thioester Strategy Bts-Cpg Boc-(D)NMeAla Boc-(D)Phe(4-F) Ddz-T74(Boc)
358 RCM Strategy Fmoc-Ile Fmoc-Acp Fmoc-Phe(3-Cl) TA1 + TB4
359 Thioester Strategy Bts-Ile Boc-Acp Boc-Phe(3-Cl) Boc-T58
360 RCM Strategy Fmoc-Ile Fmoc-Acp Fmoc-Phe(3-Cl) TA2 + TB6
361 RCM Strategy Fmoc-Ile Fmoc-Acp Fmoc-Phe(3-Cl) TA2 + TB4
362 RCM Strategy Fmoc-Ile Fmoc-Acp Fmoc-Phe(3-Cl) TA2 + TB1
363 RCM Strategy Fmoc-Ile Fmoc-Acp Fmoc-Phe(3-Cl) TA2 + TB7
364 RCM Strategy Fmoc-Ile Fmoc-Acp Fmoc-Phe(3-Cl) TA2 + TB7
365 RCM Strategy Fmoc-Ile Fmoc-Acp Fmoc-Phe(3-Cl) TA1 + TB10
366 RCM Strategy Fmoc-Ile Fmoc-Acp Fmoc-Phe(3-Cl) TA1 + TB7
367 Thioester Strategy Bts-Cpg Boc-(D)NMeAla Boc-(D)Phe(4-F) Boc-T33b
368 Thioester Strategy Bts-Ile Boc-Acp Boc-Phe(3-Cl) Boc-T33a
369 Thioester Strategy Bts-Ile Boc-Acp Boc-Phe(3-Cl) Boc-T9
370 RCM Strategy Fmoc-Ile Fmoc-Acp Fmoc-Phe(3-Cl) TA2 + TB6
371 RCM Strategy Fmoc-Ile Fmoc-Acp Fmoc-Phe(3-Cl) TA2 + TB4
372 Thioester Strategy Bts-Cpg Boc-(D)NMeAla Boc-(D)Phe(4-F) Boc-T69
373 Thioester Strategy Bts-Cpg Boc-(D)NMeAla Boc-(D)Phe(4-F) Boc-T71
374 Thioester Strategy Bts-Cpg Boc-(D)NMeAla Boc-(D)Phe(4-F) Ddz-T73(Boc)
375 Thioester Strategy Bts-Cpg Boc-(D)NMeAla Boc-(D)Phe(4-F) Boc-T39
376 Thioester Strategy Bts-Cpg Boc-(D)NMeAla Boc-(D)Phe(4-F) Boc-T40
377 Thioester Strategy Bts-Cpg Boc-(D)NMeAla Boc-(D)Phe(4-F) Boc-T10
378 Thioester Strategy Bts-Cpg Boc-(D)NMeAla Boc-(D)Phe(4-F) Boc-T58
379 Thioester Strategy Bts-Cpg Boc-(D)NMeAla Boc-(D)Phe(4-F) Boc-T67
380 Thioester Strategy Bts-Ile Boc-Acp Boc-Phe(3-Cl) Boc-T66
381 Thioester Strategy Bts-Ile Boc-Acp Boc-Phe(3-Cl) Boc-T65
382 Thioester Strategy Bts-Ile Boc-Acp Boc-Phe(3-Cl) Boc-T70
383 Thioester Strategy Bts-Ile Boc-Acp Boc-Phe(3-Cl) Boc-T69
384 Thioester Strategy Bts-Ile Boc-Acp Boc-Phe(3-Cl) Boc-T71
385 Thioester Strategy Bts-Ile Boc-Acp Boc-Phe(3-Cl) Boc-T11
386 Thioester Strategy Bts-Ile Boc-Acp Boc-Phe(3-Cl) Boc-T39
387 Thioester Strategy Bts-Ile Boc-Acp Boc-Phe(3-Cl) Boc-T68
388 Thioester Strategy Bts-Ile Boc-Acp Boc-Phe(3-Cl) Boc-T67
389 Thioester Strategy Bts-Cpg Boc-(D)NMeAla Boc-(D)Phe(4-F) Boc-T68
390 Thioester Strategy Bts-Ile Boc-Acp Boc-Phe(3-Cl) Boc-T18
391 Thioester Strategy Bts-Cpg Boc-(D)NMeAla Boc-(D)Phe(3,4,5-triF) Boc-T9
392 Thioester Strategy Bts-Ile Boc-Acp Boc-Phe(3-Cl) Boc-T40
393 Thioester Strategy Bts-Ile Boc-Acp Boc-Phe(3-Cl) Boc-T45
394 Thioester Strategy Bts-Cpg Boc-(D)NMeAla Boc-(D)Phe(4-F) Boc-T38
395 RCM Strategy Fmoc-Ile Fmoc-(4N)Acp Fmoc-Phe(3-Cl) TA1 + TB2
396 Thioester Strategy Bts-Acp Boc-(D)NMeAla Boc-Phe(3-Cl) Boc-T8
397 Thioester Strategy Bts-Acp NMeAla Boc-Phe(3-Cl) Boc-T8
398 RCM Strategy Bts-Cpg Boc-(D)NMeAla Boc-(D)Phe(4-F) TA2 + TB6
399 Thioester Strategy Bts-Ile Boc-Acp Boc-Phe(3-Cl) Boc-T33b
400 Thioester Strategy Bts-Cpg Boc-(D)NMeAla Boc-(D)Phe(4-F) Boc-T66
401 Thioester Strategy Bts-Cpg Boc-(D)NMeAla Boc-(D)Phe(4-F) Boc-T8
402 Thioester Strategy Bts-Ile Boc-Acp Boc-Phe(3-Cl) Boc-T8
403 Thioester Strategy Bts-Cpg Boc-(D)NMeAla Boc-(D)Phe Boc-T33a
405 Thioester Strategy Bts-Nva Boc-(D)NMeAla Boc-(D)Phe(4-F) Boc-T33a
406 Thioester Strategy Bts-Cpg Boc-(D)NMeAla Boc-(D)Phe(4-F) Boc-T75a
407 Thioester Strategy Bts-Ile Boc-(D)NMeAla Boc-(D)Phe(4-F) Boc-T33a
408 Thioester Strategy Bts-Ile Boc-(D)NMeAla Boc-(D)Phe(4-F) Boc-T75a
409 Thioester Strategy Bts-Val Boc-(D)NMeAla Boc-(D)Phe(4-F) Boc-T33a
410 RCM Strategy Bts-Nva Boc-(D)NMeAla Boc-(D)Phe Boc-T75a
415 Thioester Strategy Bts-Cpg Boc-(D)NMeAle Boc-(D)Phe(4-Cl) Boc-T33a
417 Thioester Strategy Bts-Cpg Boc-(D)NMeAla Boc-iD)Phe(4-Cl) Boc-T69
430 Thioester Strategy Bts-Cpg Boc-(D)NMeAla Boc-(D)Phe(4-Cl) Boc-T75a
431 Thioester Strategy Bts-Ile Boc-(D)NMeAla Boc-(D)Phe Boc-T33a
432 Thioester Strategy Bts-Ile Boc-(D)NMeAla Boc-(D)Phe(4-Cl) Boc-T33a
Compound Tether Attachment Additional Reaction** Amount (mg)* Yield (%)*
298 Mitsunobu Reaction None 29.7 12
299 Mitsunobu Reaction None 54.1 17
301 Mitsunobu Reaction None 36.5 10
303 Mitsunobu Reaction None 60 16
305 Reductive Amination None 110 31
Reaction
306 Mitsunobu Reaction None 51 8
307 Mitsunobu Reaction None 13.6 10
308 Mitsunobu Reaction None 43.8 14
309 Mitsunobu Reaction None 38.2 13
310 Mitsunobu Reaction None 33.3 11
311 Reductive Amination None 18.6 5.1
Reaction
312 Mitsunobu Reaction None 42.9 14
313 Mitsunobu Reaction None 38.2 13
314 Mitsunobu Reaction None 39.7 12
315 Mitsunobu Reaction None 35.3 11
316 Mitsunobu Reaction None 40.7 13
317 Mitsunobu Reaction None 37.6 12
318 Mitsunobu Reaction None 36.1 11
319 Mitsunobu Reaction None 37.5 11
320 Mitsunobu Reaction None 43.4 12
321 Mitsunobu Reaction None 34.5 11
322 Mitsunobu Reaction None 40.8 12
323 Mitsunobu Reaction None 27.3 8
324 Mitsunobu Reaction None 38.6 12
325 Mitsunobu Reaction None 33.7 10
326 Mitsunobu Reaction None 37.5 10
327 Mitsunobu Reaction None 35.2 11
328 Mitsunobu Reaction None 31.5 10
329 Mitsunobu Reaction None 26.9 8
330 Mitsunobu Reaction None 38.4 11
331 Mitsunobu Reaction None 37 11
332 Mitsunobu Reaction None 30.6 9
333 Mitsunobu Reaction None 49.6 18
334 Mitsunobu Reaction None 32 11
335 Reductive Amination None 62.2 18
Reaction
336 Mitsunobu Reaction None 37.7 12
337 Reductive Amination Hydrogenolysis 67.5 7
Reaction
338 Mitsunobu Reaction None 60 20
339 Mitsunobu Reaction None 63 20
340 Reductive Amination None 14.4 4
Reaction
341 Mitsunobu Reaction None 48 14
342 Mitsunobu Reaction None 37.7 10
343 Mitsunobu Reaction None 91.3 25
344 Mitsunobu Reaction None 22.1 7
345 Mitsunobu Reaction None 48 13
346 Mitsunobu Reaction None 52.1 16
347 Mitsunobu Reaction None 17.1 6
348 Mitsunobu Reaction None 104.4 33
349 Mitsunobu Reaction None 23.6 7
350 Mitsunobu Reaction None 44 15
351 Mitsunobu Reaction None 39.1 13
352 Mitsunobu Reaction None 15.7 5
353 Mitsunobu Reaction None 47.8 25
354 Mitsunobu Reaction None 26.8 9
355 Mitsunobu Reaction None 36.8 12
356 Mitsunobu Reaction None 10 3
357 Mitsunobu Reaction None 41.8 11
358 Mitsunobu Reaction None 26.1 26
359 Mitsunobu Reaction None 43.6 12
360 Mitsunobu Reaction None 36.3 18
361 Mitsunobu Reaction None 36.3 32
362 Mitsunobu Reaction Hydrogenation 59.4 57
363 Mitsunobu Reaction Hydrogenation 41.8 44
364 Mitsunobu Reaction Hydrogenation 49.1 51
365 Mitsunobu Reaction Hydrogenation 31.2 35
366 Mitsunobu Reaction IIydrogenation 33.3 37
367 Mitsunobu Reaction None 21.1 6
368 Mitsunobu Reaction None 21.8 10
369 Mitsunobu Reaction None 21.1 4
370 Mitsunobu Reaction Hydrogenation 8.9 NA
371 Mitsunobu Reaction Hydrogenation 9.9 NA
372 Mitsunobu Reaction None 30.9 10
373 Mitsunobu Reaction None 34.9 11
374 Mitsunobu Reaction None 42.7 12
375 Mitsunobu Reaction None 22.3 7
376 Mitsunobu Reaction None 7.5 2
377 Mitsunobu Reaction None 14.6 5
378 Mitsunobu Reaction None 65,3 21
379 Mitsunobu Reaction None 36.3 12
380 Mitsunobu Reaction None 16.5 5
381 Mitsunobu Reaction None 22.5 7
382 Mitsunobu Reaction None 24.5 7
383 Mitsunobu Reaction None 25.2 7
384 Mitsunobu Reaction None 21.9 6
385 Mitsunobu Reaction None 23.3 7
386 Mitsunobu Reaction None 12 4
387 Mitsunobu Reaction None 17.1 5
388 Mitsunobu Reaction None 30 9
389 Mitsunobu Reaction None 16.1 5
390 Mitsunobu Reaction None 28.7 10
391 Mitsunobu Reaction None 45.4 14
392 Mitsunobu Reaction None 4.3 1
393 Mitsunobu Reaction None 2.1 1
394 Mitsunobu Reaction None 3.7 1
395 Mitsunobu Reaction Hydrogenation 0.2 0.2
396 Mitsunobu Reaction None 2.3 1
397 Mitsunobu Reaction None 1.4 0.4
398 Mitsunobu Reaction Hydrogenation 3.8 1
399 Mitsunobu Reaction None 5.7 4
400 Mitsunobu Reaction None 28.3 9
401 Mitsunobu Reaction None 31.5 11
402 Mitsunobu Reaction None 29.1 9
403 Mitsunobu Reaction None 103 11
405 Mitsunobu Reaction None 38.8 12
406 Mitsunobu Reaction None 45 13
407 Mitsunobu Reaction None 138.5 16
408 Mitsunobu Reaction None 146.2 21
409 Mitsunobu Reaction None 125.7 19
410 Mitsunobu Reaction None 36 11
415 Mitsunobu Reaction None 127.5 12
417 Mitsunobu Reaction None 45.6 13
430 Mitsunobu Reaction None 50.7 14
431 Mitsunobu Reaction None 57.9 17
432 Mitsunobu Reaction None 141 13
*Overall Yield: based on theoretical resin loading, starting from ~500 mg resin
**Additional reactions conducted post-cyclization to reach the desired product
TABLE 1C
Synthesis of Representative Compounds of the Present Invention
Com- Macrocyclic Additional Amount Yield
pound Assembly Method BB1 BB2 BB3 Tether Tether Attachment Reaction** (mg) (%)
435 Thioester Strategy Bts-Cpg Boc-(D)NMeAla Boc-(D)Phe Boc-T75a Mitsunobu Reaction None 29.7 9
436 Thioester Strategy Bts-Cpg Boc-(D)NMeAla Boc-(D)Phe Boc-T76 Mitsunobu Reaction None 37.8 11
437 Thioester Strategy Bts-Acp Boc-Acp Boc-Phe(3-Cl) Boc-T8 Mitsunobu Reaction None 8.3 2
438 Thioester Strategy Bts- Leu Boc-Acp Boc-Phet3-Cl) Boc-T33a Mitsunobu Reaction None 51.2 5
439 Thioester Strategy Bts-Ile Boc-(3/4O)Acp Boc-Phe(3-Cl) Boc-T8 Mitsunobu Reaction None 5.9 2
440 RCM Strategy Bts-Ile Fmoc- Fmoc- TA1 + TB2 Mitsunobu Reaction Hydrogenation 2.7 2
(D)NMeSer(OBzl) (D)Phe(4-F)
441 Thioester Strategy Bts-Ile Ddz-Acp Ddz-Phe(4- Ddz-T8 Mitsunobu Reaction None 9.8 3
CO2tBu)
442 Thioester Strategy Bts-Ile Ddz-Acp Ddz-Ser(But) Ddz-T8 Mitsunobu Reaction None 17.1 6
443 Thioester Strategy Bts-Ile Boc-Acp Boc-Ser(OMe) Boc-T8 Mitsunobu Reaction None 19 7
444 Thiocster Strategy Boc-Leu Boc-Acp Boc-His(Mts) Boc-T8 Reductive Amination None 21 7
Reaction
445 Thioester Strategy Bts-Ile Ddz-(D)NMeAla Ddz-(D)Tyr(But) Boc-T9 Mitsunobu Reaction None 15.5 5
446 Thioester Strategy Bts-Cpg Boc-(D)NMeAla Boc-(D)Phe(4-F) Boc-T45 Mitsunobu Reaction None 3.2 1
447 RCM Strategy Bts-Ile Fmoc-Acp Fmoc-Phe(3-Cl) TA1 + TB9 Mitsunobu Reaction Hydrogenation 18.2 21
448 RCM Strategy Bts-Nva Fmoc-Sar Fmoc- TA1 + TB2 Mitsunobu Reaction Hydrogenation 4.8 2
(DL)αMePhe
449 Thioester Strategy Bts-Ile Boc-Acp Boc-Phe(3-C1) Boc-T77 Mitsunobu Reaction None 2.6 1
*Overall Yield: based on theoretical resin loading, starting from ~500 mg resin
**Additional reactions conducted post-cyclization to obtain the desired product
The tables directly below present analytical data obtained for compounds 1-197, 199-216, 218-230 (Table 2A), compounds 298, 299, 301, 303, 304-403, 405-410, 415, 417 and 430-432 (Table 2B) and compounds 435-449 (Table 2C), as determined by LC-MS analysis of the purified products. These compounds were further examined for their ability to interact at the human ghrelin receptor utilizing the biological test methods described below.
TABLE 2A
Analytical Characterization for Representative
Compounds of the Present Invention
Molecular MW Calc MS [(M + H)+]
Compound Formula (g/mol) Found
1 C29H40N4O4 508.7 509
2 C29H40N4O4 508.7 509
3 C28H8 N4O4 494.6 495
4 C29H40N4O4 508.7 509
5 C29H40N4O4 508.7 509
6 C30H39N5O4 533.7 534
7 C28H38N4O5 510.6 511
8 C32H42N4O4 546.7 547
9 C31H42N4O4 534.7 535
10 C28H38N4O4 494.6 495
11 C28H36N4O4 492.6 493
12 C28H45N4O4 501.7 502
13 C30H40N4O4 520.7 521
14 C29H38N4O4 506.6 507
15 C30H42N4O4 522.7 523
16 C30H42N4O4 522.7 523
17 C29H38N4O4 506.6 507
18 C32H40N4O4 544.7 545
19 C29H38N4O4 506.6 507
20 C32H41N4O4Cl 581.1 581
21 C32H41N4O4Cl 581.1 581
22 C36H44N4O4 596.8 597
23 C30H41N4O4Cl 557.1 557
24 C30H41N4O4Cl 557.1 557
25 C30H41N4O4Cl 557.1 557
26 C30H41N4O4F 540.7 541
27 C31H44N4O5 552.7 553
28 C36H46N4O4 598.8 599
29 C36H46N4O4 598.8 599
30 C34H44N4O4 572.7 573
31 C34H44N4O4 572.7 573
32 C29H41N5O4 523.7 524
33 C27H39N5O4S 529.7 530
34 C28H40N4O4S 528.7 529
35 C31H44N4O4 536.7 537
36 C31H44N4O4 536.7 537
37 C31H42N4O3 518.7 519
38 C31H44N4O3 520.7 521
39 C29H38N4O4 506.6 507
40 C30H40N4O4 520.7 521
41 C31H44N4O4 536.7 537
42 C30H42N4O4 522.7 523
43 C31H44N4O4 536.7 537
44 C25H38N4O4 458.6 459
45 C28H40N4O6 528.6 529
46 C28H42N4O4 498.7 499
47 C29H44N4O4 512.7 513
48 C28H42N4O4 498.7 499
49 C22H34N4O4 418.5 419
50 C24H36N4O6 476.6 477
51 C21H32N4O4 404.5 405
52 C25H40N4O4 460.6 461
53 C24H39N5O4 461.6 462
54 C22H34N4O5 434.5 435
55 C28H38N4O4 494.6 495
56 C28H38N4O4 494.6 495
57 C28H38N4O4 494.6 495
58 C30H43N5O5 553.7 554
59 C28H38N4O4 494.6 495
60 C28H38N4O4 494.6 495
61 C27H36N4O4 480.6 481
62 C31H44N4O4 536.7 537
63 C31H44N4O4 536.7 537
64 C34H42N4O4 570.7 571
65 C34H42N4O4 570.7 571
66 C29H40N4O4 508.7 509
67 C31H42N4O4 534.7 535
68 C31H45N5O4 551.7 552
69 C31H45N5O4 551.7 552
70 C30H40N4O6 552.7 553
71 C30H40N4O6 552.7 553
72 C26H34N4O4 466.6 467
73 C28H36N4O6 524.6 525
74 C29H41N5O4 523.7 524
75 C32H38N4O4 542.7 543
76 C26H34N4O5 482.6 483
77 C31H36N4O3S 544.7 545
78 C23H34N4O4 430.5 431
79 C29H41N4O4 509.7 510
80 C25H33N4O4 453.6 454
81 C21H33N4O4 405.5 406
82 C23H33N4O3 413.5 414
83 C23H35N4O3 415.5 416
84 C25H33N4O3 437.6 438
85 C26H35N4O3 451.6 452
86 C22H30N5O3S 444.6 445
87 C26H40N4O4 472.6 473
88 C32H44N4O5 564.7 565
89 C34H45N5O4 587.8 588
90 C33H46N4O4 562.7 563
91 C29H47N5O4 529.7 530
92 C28H42N4O6 530.7 531
93 C29H40N4O4 508.7 509
94 C29H40N4O4 508.7 509
95 C30H42N4O4 522.7 523
96 C32H44N4O4 548.7 549
97 C32H44N4O4 548.7 549
98 C32H44N4O4 548.7 549
99 C34H49N5O5 607.8 608
100 C29H38N4O4 506.6 507
101 C32H44N4O4 548.7 549
102 C35H42N4O4 582.7 583
103 C32H45N5O4 563.7 564
104 C31H40N4O6 564.7 565
105 C29H38N4O5 522.6 523
106 C27H38N4O3 466.6 467
107 C30H40N4O3 504.7 505
108 C35H42N4O3S 598.8 599
109 C31H43N5O4 549.7 550
110 C25H39N4O4 459.6 460
111 C30H40N4O4 520.7 521
112 C28H37N4O4 493.6 494
113 C32H45N4O4 549.7 559
114 C27H41 N4O3 469.6 470
115 C30H41N4O3 505.7 506
116 C30H44N4O6 556.7 557
117 C28H38N4O4 494.6 495
118 C30H42N4O4 522.7 523
119 C28H38N4O5 510.6 511
120 C29H40N4O5 524.7 525
121 C28H36N4O4 492.6 493
122 C35H39N4O4Cl 615.2 615
123 C35H39N4O4Cl 615.2 615
124 C35H39N4O4Cl 615.2 615
125 C35H39N4O4F 598.7 599
126 C36H42N4O4 594.7 595
127 C36H42N4O5 610.7 611
128 C41H44N4O4 656.8 657
129 C41H44N4O4 656.8 657
130 C39H42N4O4 630.8 631
131 C39H42N4O4 630.8 631
132 C34H39N5O4 581.7 582
133 C34H39N5O4 581.7 582
134 C32H37N5O4S 587.7 588
135 C33H38N4O4S 586.7 587
136 C30H38N4O4 518.6 519
137 C31H40N4O4 532.7 533
178 C32H42N4O4 546.7 547
139 C32H42N4O4 546.7 547
140 C31H40N4O5 548.7 549
141 C30H38N4O5 534.6 535
142 C35H40N4O4 580.7 581
143 C31H40N4O4S 564.7 565
144 C32H46N4O4 550.7 551
145 C32H46N4O4 550.7 551
146 C32H46N4O4 550.7 551
147 C33H48N4O4 564.8 565
148 C33H48N4O4 564.8 565
149 C33H48N4O4 564.8 565
150 C33H48N4O4 564.8 565
151 C29H40N4O5 524.7 525
152 C30H42N4O5 538.7 539
153 C32H41N4O4Cl 581.1 581
154 C32H41N4O4F 564.7 565
155 C33H44N4O4 560.7 561
156 C33H44N4O5 576.7 577
157 C38H46N4O4 622.8 623
158 C38H46N4O4 622.8 623
159 C36H44N4O4 596.8 597
160 C31H41N5O4 547.7 548
161 C31H41N5O4 547.7 548
162 C31H41N5O4 547.7 548
163 C29H39N5O4S 553.7 554
164 C30H40N4O4S 552.7 553
165 C27H40N4O4 484.6 485
166 C29H44N4O4 512.7 513
167 C29H44N4O4 1.0 2
168 C29H42N4O4 510.7 511
169 C31H44N4O4 536.7 537
170 C29H41N5O4 523.7 524
171 C29H41N5O4 523.7 524
172 C25H40N4O4 460.6 461
173 C26H42N4O4 474.6 475
174 C26H42N4O4 474.6 475
175 C27H44N4O4 488.7 489
176 C27H44N4O4 488.7 489
177 C29H41N5O4 523.7 524
178 C29H40N4O4 508.7 509
179 C30H42N4O3 506.7 597
180 C31H44N4O3 520.7 521
181 C26H40N4O3 456.6 457
182 C26H42N4O3 458.6 459
183 C27H42N4O3 470.6 471
184 C27H44N4O3 472.7 473
185 C25H38N4O4 458.6 459
186 C26H40N4O4 472.6 473
187 C30H40N4O3 504.7 505
188 C31H42N4O3 518.7 519
189 C31H44N4O3 520.7 521
190 C31H44N4O3 520.7 521
191 C32H44N4O3 532.7 533
192 C32H46N4O3 534.7 535
193 C30H40N4O3 504.7 505
194 C30H42N4O3 506.7 507
195 C31H42N4O3 518.7 519
196 C31H44N6O4 564.7 565
197 C31H42N4O6 566.7 567
199 C29H36N4O4 504.6 505
200 C31H40N4O4 532.7 533
201 C30H42N4O4 522.7 523
202 C31H42N4O5 550.7 551
203 C33H44N4O4 560.7 561
204 C34H44N4O5 588.7 589
205 C25H40N4O4 460.6 461
206 C31H46N6O5 582.7 583
207 C31H43N5O4 549.7 550
208 C32H42N4O4 546.7 547
209 C27H44N4O4 488.7 489
210 C34H39N5O4 581.7 582
211 C31H41N5O4 547.7 548
212 C31H44N4O4 536.7 537
213 C30H40N4O4S 552.7 553
214 C30H42N4O3 506.7 507
215 C33H48N4O5 580.8 581
216 C29H38N4O4 596.6 507
218 C33H42N4O4 558.7 559
219 C32H38N6O4 570.7 571
220 C30H40N4O4 520.7 521
221 C30H40N4O4 520.7 521
222 C31H42N4O4 534.7 535
223 C31H42N4O4 534.7 535
224 C31H42N4O5 550.7 551
225 C29H38N4O4 506.6 507
226 C30H40N4O4 520.7 521
227 C30H40N4O4 520.7 521
228 C30H40N4O4 520.7 521
229 C31H42N4O4 534.7 535
230 C31H42N4O4 534.7 535
Notes
1. Molecular formulas and molecular weights are calculated automatically from the structure via ActivityBase software (IDBS, Guildford, Surrey, UK).
2. M + H obtained from LC-MS analysis using standard methods.
3. All analyses conducted on material after preparative purification by the methods described above.
TABLE 2B
Analytical Characterization for Representative
Compounds of the Present Invention
Molecular MW Calc MS [(M + H)+]
Compound Formula (g/mol) Found
298 C30H39N4O4F 538.7 539
299 C29H37N4O4Cl 541.1 541
301 C35H39N4O5Cl 631.2 631
303 C30H38N4O5 534.6 535
305 C27H40N6O4 512.6 513
306 C28H36N5O4F 525.6 526
307 C25H35N4O4F 474.6 475
308 C29H35N4O4Cl 539.1 539
309 C29H37N4O4F 524.6 525
310 C27H36N4O4S 512.7 513
311 C33H46N4O5 578.7 579
312 C29H37N4O4F 524.6 525
313 C29H37N4O4F 524.6 525
314 C29H36N4O4Cl2 575.5 575
315 C29H36N4O4Cl2 575.5 575
316 C29H36N4O4F2 542.6 543
317 C29H36N4O4F2 542.6 543
318 C29H33N4O4F5 596.6 597
319 C29H37N4O4Br 585.5 585
320 C29H37N4O4I 632.5 633
321 C30H37N5O4 531.6 532
322 C301137N4O4F3 574.6 575
323 C31H42N4O6 566.7 567
324 C31H39N5O4 545.7 546
325 C32H41N4O4F 564.7 565
326 C32H41N4O4Br 625.6 625
327 C32H40N4O4F2 582.7 583
328 C33H44N4O5 576.7 577
329 C33H41N5O4 571.7 572
330 C32H40N4O4Cl2 615.6 616
331 C32H40N4O4F2 582.7 583
332 C33H41N4O4F3 614.7 615
333 C30H40N4O4S 552.7 553
334 C30H37N4O4Cl 553.1 553
335 C29H39N4O5F 542.6 543
336 C28H37N4O5F 528.6 529
337 C27H36N5O4F 513.6 514
338 C28H38N5O4F 527.6 528
339 C29H40N5O4F 541.7 542
340 C29H39N4O4FS 558.7 559
341 C33H37N4O4SCl 621.2 621
342 C36H38N5O4Cl 640.2 640
343 C36H41N4O5Cl 645.2 645
344 C30H37N4O5Cl 569.1 569
345 C31H39N4O5Cl 583.1 583
346 C31H37N4O4Cl 565.1 565
347 C33H44N4O5 576.7 577
348 C31H42N4O5 550.7 551
349 C30H37N4O4Cl 553.1 553
350 C28H35N4O4Cl 527.1 527
351 C29H35N4O4Cl 539.1 539
352 C29H35N4O4Cl 539.1 539
353 C31H41N4O3F 536.7 537
354 C29H33N4O4F 520.6 521
355 C29H36N4O4F2 542.6 543
356 C30H36N4O4F4 592.6 593
357 C30H40N5O6FS 617.7 618
358 C33H43N4O3Cl 579.2 579
359 C34H47N4O4Cl 611.2 611
360 C28H41N4O4Cl 533.1 533
361 C34H45N4O3Cl 593.2 593
362 C33H45N4O3Cl 581.2 581
363 C29H45N4O3Cl 533.1 533
364 C29H43N4O3Cl 531.1 531
365 C27H41N4O3Cl 505.1 505
366 C28H43N4O3Cl 519.1 519
367 C30H39N4O4F 538.7 539
368 C33H45N4O4Cl 597.2 597
369 C32H43N4O4Cl 583.2 583
370 C28H43N4O4Cl 535.1 535
371 C34H47N4O3Cl 595.2 595
372 C29H36N4O4F2 542.6 543
373 C29H36N4O4FCl 559.1 559
374 C30H40N5O6FS 617.7 618
375 C30H39N4O4F 538.7 539
376 C30H39N4O4F 538.7 539
377 C28H35N4O5F 526.6 527
378 C31H41N4O4F 552,7 553
379 C30H37N4O4F 536.6 537
380 C32H41N4O4Cl 581.1 581
381 C32H39N4O4Cl 579.1 579
382 C32H42N4O4FCl 601.2 601
383 C32H42N4O4FCl 601.2 601
384 C32H42N4O4Cl2 617.6 617
385 C31H42N5O4Cl 584.1 584
386 C33H45N4O4Cl 597.2 597
387 C33H43N4O4Cl 595.2 595
388 C33H43N4O4Cl 595.2 595
389 C30H37N4O4F 536.6 537
390 C26H40N5O3Cl 506.1 506
391 C29 H35N4O4F3 560.6 561
392 C33H45N4O4Cl 597.2 597
393 C27H41N4O5Cl 537.1 537
394 C30H39N4O4F 538.7 539
395 C31H42N5O4Cl 584.1 584
396 C30H37N4O4Cl 553.1 553
397 C30H37N4O4Cl 553.1 553
398 C25H37N4O4F 476.6 477
399 C33H45N4O4Cl 597.2 597
400 C29H35N4O4F 522.6 523
401 C29H35N4O4F 522.6 523
402 C32H41N4O4Cl 581.1 581
403 C30H40N4O4 520.7 521
405 C30H41N4O4F 540.7 541
406 C30H38N4O4F2 556.6 557
407 C31H43N4O4F 554.7 555
408 C31H42N4O4F2 572.7 573
409 C30H41N4O4F 540.7 541
410 C30H42N4O4 522.7 523
415 C30H39N4O4Cl 555.1 555
417 C29H36N4O4FCl 559.1 559
430 C30H38N4O4FCl 573.1 573
431 C31H44N4O4 536.7 537
432 C31H43N4O4Cl 571.2 571
Notes
1. Molecular formulas and molecular weights are calculated automatically from the structure via ActivityBase software (IDBS, Guildford, Surrey, UK).
2. M + H obtained from LC-MS analysis using standard methods.
3. All analyses conducted on material after preparative purification by the methods described above.
TABLE 2C
Analytical Characterization for Representative
Compounds of the Present Invention
Molecular MW Calc MS [(M + H)+]
Compound Formula (g/mol) Found
435 C30H39N4O4F 538.7 539
436 C31H40N4O4 532.7 533
437 C32H39N4O4Cl 579.1 579
438 C33H45N4O4Cl 597.2 597
439 C32H39N4O5Cl 595.1 595
440 C37H47N4O5F 646.8 647
441 C33H42N4O6 590.7 591
442 C26H38N4O5 486.6 487
443 C27H40N4O5 500.6 501
444 C29H40N6O4 536.7 537
445 C30H42N4O5 538.7 539
446 C24H35N4O56 478.6 479
447 C26H39N4O3Cl 491.1 492
448 C29H40N4O4 508.7 509
449 C31H42N5O4Cl 584.1 584
Notes
1. Molecular formulas and molecular weights are calculated automatically from the structure via ActivityBase software (IDBS, Guildford, Surrey, UK).
2. M + H obtained from LC-MS analysis using standard methods.
3. All analyses conducted on material after preparative purification by the methods described above.
D. Chiral Purity Determination
General methods for the HPLC determination of stereoisomeric purity were employed according to techniques known to those skilled in the art and further optimized for the compounds of the present invention.
Method Chiral A: Grad35A-05 (column: Chiralcel AS-RH 0.46 cm×15 cm):
  • 1. Isocratic plateau of 40 min at 35% ACN, 65% of a 50 mM solution of CH3COONH4 in H2O.
  • 2. 5 min gradient to 70% ACN, 30% of a 50 mM solution of CH3COONH4 in H2O.
  • 3. Isocratic plateau of 10 min at 70% ACN, 30% of a 50 mM solution of CH3COONH4 in H2O.
  • 4. 5 min gradient to 35% ACN, 65% of a 50 mM solution of CH3COONH4 in H2O.
  • 5. Isocratic plateau of 10 min at 35% ACN, 65% of a 50 mM solution of CH3COONH4 in H2O.
  • 6. Flow: 0.5 mL/min
  • 7. Column temperature: room temperature
  • 8. Sample temperature: room temperature
    Method Chiral B: Grad40A-05 (column: Chiralcel OD-RH, 0.46 cm×15 cm):
  • 1. Isocratic plateau of 40 min at 40% ACN, 60% of a solution 50 mM of CH3COONH4 in H2O.
  • 2. 5 min gradient to 70% ACN, 30% of a solution 50 mM of CH3COONH4 in H2O.
  • 3. Isocratic plateau of 10 min at 70% ACN, 30% of a solution 50 mM of CH3COONH4 in H2O.
  • 4. 5 min gradient to 40% ACN, 60% of a solution 50 mM of CH3COONH4 in H2O.
  • 5. Isocratic plateau of 10 min at 40% ACN, 60% of a solution 50 mM of CH3COONH4 in H2O.
  • 6. Flow: 0.5 mL/min
  • 7. Column temperature: room temperature
  • 8. Sample temperature: room temperature
    Method Chiral C: Grad 55A-05 (column: Chiralcel OD-RH, 0.46 cm×15 cm):
  • 1. 40 min isocratic 55%/45% of ACN/50 mM CH3COONH4 in H2O
  • 2. 5 min gradient to 70%/30% of ACN/50 mM CH3COONH4 in H2O
  • 3. 10 min isocratic 70%/30% of ACN/50 mM CH3COONH4 in H2O
  • 4. 5 min gradient to 55%/44% of ACN/50 mM CH3COONH4 in H2O
  • 5. 10 min isocratic 55%/45% of ACN/50 mM CH3COONH4 in H2O
  • 6. Flow: 0.5 mL/min
  • 7. Column temperature: room temperature
  • 8. Sample temperature: room temperature
    Method Chiral D: Grad Iso100B 05 (column: Chiralcel OD-RH, 0.46 cm×15 cm):
  • 1. 40 min isocratic 27%/73% of ACN/50 mM CH3COONH4 in H2O
  • 2. 5 min gradient to 70%/30% of ACN/50 mM CH3COONH4 in H2O
  • 3. 10 min isocratic 70%/30% of ACN/50 mM CH3COONH4 in H2O
  • 4. 5 min gradient to 27%/73% of ACN/50 mM CH3COONH4 in H2O
  • 5. 10 min isocratic 27%/73% of ACN/50 mM CH3COONH4 in H2O
  • 6. Flow: 0.5 mL/min
  • 7. Column temperature: room temperature
  • 8. Sample temperature: room temperature
    3. Biological Methods
The compounds of the present invention were evaluated for their ability to interact at the human ghrelin receptor utilizing a competitive radio ligand binding assay, fluorescence assay or Aequorin functional assay as described below. Such methods can be conducted in a high throughput manner to permit the simultaneous evaluation of many compounds.
Specific assay methods for the human (GHS-R1a), swine and rat GHS-receptors (U.S. Pat. No. 6,242,199, Intl. Pat. Appl. Nos. WO 97/21730 and 97/22004), as well as the canine GHS-receptor (U.S. Pat. No. 6,645,726), and their use in generally identifying agonists and antagonists thereof are known.
Appropriate methods for determining the functional activity of compounds of the present invention that interact at the human ghrelin receptor are also described below.
A. Competitive Radioligand Binding Assay (Ghrelin Receptor)
The competitive binding assay at the human growth hormone secretagogue receptor (hGHS-R1a) was carried out analogously to assays described in the literature. (Bednarek M A et al. Structure-function studies on the new growth hormone-releasing peptide ghrelin: minimal sequence of ghrelin necessary for activation of growth hormone secretagogue receptor 1a; J. Med. Chem. 2000, 43, 4370-4376; Palucki, B. L. et al. Spiro(indoline-3,4′-piperidine) growth hormone secretagogues as ghrelin mimetics; Bioorg. Med. Chem. Lett. 2002, 11, 1955-1957.)
Materials
Membranes (GHS-R/HEK 293) were prepared from HEK-293 cells stably transfected with the human ghrelin receptor (hGHS-R1a). These membranes were provided by PerkinElmer BioSignal (#RBHGHSM, lot#1887) and utilized at a quantity of 0.71 μg/assay point.
  • 1. [125I]-Ghrelin (PerkinElmer, #NEX-388); final concentration: 0.0070-0.0085 nM
  • 2. Ghrelin (Bachem, #H-4864); final concentration: 1 μM
  • 3. Multiscreen Harvest plates-GF/C (Millipore, #MAHFC1H60)
  • 4. Deep-well polypropylene titer plate (Beckman Coulter, #267006)
  • 5. TopSeal-A (PerkinElmer, #6005185)
  • 6. Bottom seal (Millipore, #MATAH0P00)
  • 7. MicroScint-0 (PerkinElmer, #6013611)
  • 8. Binding Buffer: 25 mM Hepes (pH 7.4), 1 mM CaCl2 , 5 mM MgCl 2, 2.5 mM EDTA, 0.4% BSA
    Assay Volumes
Competition experiments were performed in a 300 μl filtration assay format.
  • 1. 220 μL of membranes diluted in binding buffer
  • 2. 40 μL of compound diluted in binding buffer
  • 3. 40 μL of radioligand ([125I]-Ghrelin) diluted in binding buffer
    Final test concentrations (N=1) for compounds of the present invention:
    10, 1, 0.5, 0.2, 0.1, 0.05, 0.02, 0.01, 0.005, 0.002, 0.001 μM.
    Compound Handling
Compounds were provided frozen on dry ice at a stock concentration of 10 mM diluted in 100% DMSO and stored at −80° C. until the day of testing. On the test day, compounds were allowed to thaw at rt O/N and then diluted in assay buffer according to the desired test concentrations. Under these conditions, the maximal final DMSO concentration in the assay was 0.1%.
Assay Protocol
In deep-well plates, 220 μL of diluted cell membranes (final concentration: 0.71 μg/well) were combined with 40 μL of either binding buffer (total binding, N=5), 1 μM ghrelin (non-specific binding, N=3) or the appropriate concentration of test compound (N=2 for each test concentration). The reaction was initiated by addition of 40 μL of [125I]-ghrelin (final conc. 0.0070-0.0085 nM) to each well. Plates were sealed with TopSeal-A, vortexed gently and incubated at rt for 30 min. The reaction was arrested by filtering samples through Multiscreen Harvest plates (pre-soaked in 0.5% polyethyleneimine) using a Tomtec Harvester, washed 9 times with 500 μL of cold 50 mM Tris-HCl (pH 7.4, 4° C.), and then plates were air-dried in a fumehood for 30 min. A bottom seal was applied to the plates prior to the addition of 25 μL of MicroScint-0 to each well. Plates were than sealed with TopScal-A and counted for 30 sec per well on a TopCount Microplate Scintillation and Luminescence Counter (PerkinElmer) using a count delay of 60 sec. Results were expressed as counts per minute (cpm).
Data were analyzed by GraphPad Prism (GraphPad Software, San Diego, Calif.) using a variable slope non-linear regression analysis. K; values were calculated using a Kd value of 0.01 nM for [125I]-ghrelin (previously determined during membrane characterization).
Dmax values were calculated using the following formula:
D max = 1 - test concentration with maximal displacement - non - specific binding total binding - non - specific binding × 100
where total and non-specific binding represent the cpm obtained in the absence or presence of 1 μM gltrelin, respectively.
Binding activity at the gherlin receptor for representative compounds of the present invention is shown below in Table 3A through 3E. Compound structures for Tables 3A, 3B and 3D are presented with the various groups as defined for the general structure of formula I. For Tables 3B and 3D, in all entries, m, n and p are 0; X, Z1 and Z2 are each NH. For Table 3B, R1 is H for all entries. The tethers (T) are illustrated with the bonding to X and Z2 as indicated. The compounds themselves are shown for Tables 3C and 3E. Competitive binding curves for representative compounds 1, 2, 3, 4 and 25 are shown in FIG. 4.
TABLE 3A
Binding Activity at the Human Ghrelin Receptor for Compounds of the Invention
Cm- Ki
pd X R1 R2 m R7 R3 R4 n Z1 R5 R6 p Z2 T (nM)
 1 N— H H
Figure USRE042624-20110816-C00026
0 CH3 H H 0 N— H
Figure USRE042624-20110816-C00027
H 0 N— H
Figure USRE042624-20110816-C00028
B
 2 N— H H
Figure USRE042624-20110816-C00029
0 H CH3 H 0 N— H
Figure USRE042624-20110816-C00030
H 0 N— H
Figure USRE042624-20110816-C00031
C
 3 N— H H
Figure USRE042624-20110816-C00032
0 CH3 H H 0 N— H
Figure USRE042624-20110816-C00033
H 0 N— H
Figure USRE042624-20110816-C00034
C
 4 N— H H
Figure USRE042624-20110816-C00035
0 CH3 H CH3 0 N— H
Figure USRE042624-20110816-C00036
H 0 N— H
Figure USRE042624-20110816-C00037
B
 5 N— H H
Figure USRE042624-20110816-C00038
0 CH2   CH3 H H 0 N— H
Figure USRE042624-20110816-C00039
H 0 N— H
Figure USRE042624-20110816-C00040
C
 6 N— H H
Figure USRE042624-20110816-C00041
0 CH3 H H 0 N— H
Figure USRE042624-20110816-C00042
H 0 N— H
Figure USRE042624-20110816-C00043
C
 7 N— H H
Figure USRE042624-20110816-C00044
0 CH3 H H 0 N— H
Figure USRE042624-20110816-C00045
H 0 N— H
Figure USRE042624-20110816-C00046
C
 8 N— H H
Figure USRE042624-20110816-C00047
0 H
Figure USRE042624-20110816-C00048
0 N— H H
Figure USRE042624-20110816-C00049
0 N— H
Figure USRE042624-20110816-C00050
B
 9 N— H H
Figure USRE042624-20110816-C00051
0 H
Figure USRE042624-20110816-C00052
0 N— H H
Figure USRE042624-20110816-C00053
0 N— H
Figure USRE042624-20110816-C00054
C
 10 N— H H
Figure USRE042624-20110816-C00055
0 CH3 H H 0 N— H
Figure USRE042624-20110816-C00056
H 0 N— H
Figure USRE042624-20110816-C00057
B
 11 N— H H
Figure USRE042624-20110816-C00058
0 CH3 H H 0 N— H
Figure USRE042624-20110816-C00059
H 0 N— H
Figure USRE042624-20110816-C00060
B
 12 N— H
Figure USRE042624-20110816-C00061
H 0 H H
Figure USRE042624-20110816-C00062
0 N— H H
Figure USRE042624-20110816-C00063
0 N— H
Figure USRE042624-20110816-C00064
C
 13 N— H
Figure USRE042624-20110816-C00065
H 0 H H
Figure USRE042624-20110816-C00066
0 N— H H
Figure USRE042624-20110816-C00067
0 N— H
Figure USRE042624-20110816-C00068
C
 14 N— H H
Figure USRE042624-20110816-C00069
0 H CH3 H 0 N— H H
Figure USRE042624-20110816-C00070
0 N— H
Figure USRE042624-20110816-C00071
C
 15 N— H H
Figure USRE042624-20110816-C00072
0 CH3 CH3 H 0 N— H
Figure USRE042624-20110816-C00073
H 0 N— H
Figure USRE042624-20110816-C00074
A
 16 N— H H
Figure USRE042624-20110816-C00075
0 CH3 CH3 H 0 N— H
Figure USRE042624-20110816-C00076
H 0 N— H
Figure USRE042624-20110816-C00077
A
 17 N— H H
Figure USRE042624-20110816-C00078
0 CH3 CH3 H 0 N— H
Figure USRE042624-20110816-C00079
H 0 N— H
Figure USRE042624-20110816-C00080
A
 18 N— H
Figure USRE042624-20110816-C00081
0 H
Figure USRE042624-20110816-C00082
0 N— H H
Figure USRE042624-20110816-C00083
0 N— H
Figure USRE042624-20110816-C00084
B
 19a N— H H
Figure USRE042624-20110816-C00085
0 CH3 CH3 H 0 N— H H
Figure USRE042624-20110816-C00086
0 N— H
Figure USRE042624-20110816-C00087
A
 19b diastereomer C
 20 N— H H
Figure USRE042624-20110816-C00088
0 H
Figure USRE042624-20110816-C00089
0 N— H H
Figure USRE042624-20110816-C00090
0 N— H
Figure USRE042624-20110816-C00091
A
 21 N— H H
Figure USRE042624-20110816-C00092
0 H
Figure USRE042624-20110816-C00093
0 N— H H
Figure USRE042624-20110816-C00094
0 N— H
Figure USRE042624-20110816-C00095
A
 22 N— H H
Figure USRE042624-20110816-C00096
0 H
Figure USRE042624-20110816-C00097
0 N— H H
Figure USRE042624-20110816-C00098
0 N— H
Figure USRE042624-20110816-C00099
B
 23 N— H H
Figure USRE042624-20110816-C00100
0 CH3 CH3 H 0 N— H
Figure USRE042624-20110816-C00101
H 0 N— H
Figure USRE042624-20110816-C00102
A
 24 N— H H
Figure USRE042624-20110816-C00103
0 CH3 CH3 H 0 N— H
Figure USRE042624-20110816-C00104
H 0 N— H
Figure USRE042624-20110816-C00105
A
 25 N— H H
Figure USRE042624-20110816-C00106
0 CH3 CH3 H 0 N— H
Figure USRE042624-20110816-C00107
H 0 N— H
Figure USRE042624-20110816-C00108
A
 26 N— H H
Figure USRE042624-20110816-C00109
0 CH3 CH3 H 0 N— H
Figure USRE042624-20110816-C00110
H 0 N— H
Figure USRE042624-20110816-C00111
A
 27 N— H H
Figure USRE042624-20110816-C00112
0 CH3 CH3 H 0 N— H
Figure USRE042624-20110816-C00113
H 0 N— H
Figure USRE042624-20110816-C00114
A
 28 N— H H
Figure USRE042624-20110816-C00115
0 CH3 CH3 H 0 N— H
Figure USRE042624-20110816-C00116
H 0 N— H
Figure USRE042624-20110816-C00117
B
 29 N— H H
Figure USRE042624-20110816-C00118
0 CH3 CH3 H 0 N— H
Figure USRE042624-20110816-C00119
H 0 N— H
Figure USRE042624-20110816-C00120
B
 30 N— H H
Figure USRE042624-20110816-C00121
0 CH3 CH3 H 0 N— H
Figure USRE042624-20110816-C00122
H 0 N— H
Figure USRE042624-20110816-C00123
A
 31 N— H H
Figure USRE042624-20110816-C00124
0 CH3 CH3 H 0 N— H
Figure USRE042624-20110816-C00125
H 0 N— H
Figure USRE042624-20110816-C00126
A
 32 N— H H
Figure USRE042624-20110816-C00127
0 CH3 CH3 H 0 N— H
Figure USRE042624-20110816-C00128
H 0 N— H
Figure USRE042624-20110816-C00129
B
 33 N— H H
Figure USRE042624-20110816-C00130
0 CH3 CH3 H 0 N— H
Figure USRE042624-20110816-C00131
H 0 N— H
Figure USRE042624-20110816-C00132
C
 34 N— H H
Figure USRE042624-20110816-C00133
0 CH3 CH3 H 0 N— H
Figure USRE042624-20110816-C00134
H 0 N— H
Figure USRE042624-20110816-C00135
B
 35 N— H H
Figure USRE042624-20110816-C00136
0 CH3 CH3 H 0 N— H
Figure USRE042624-20110816-C00137
H 0 N— H
Figure USRE042624-20110816-C00138
B
 36 N— H H
Figure USRE042624-20110816-C00139
0 CH3 CH3 H 0 N— H
Figure USRE042624-20110816-C00140
H 0 N— H
Figure USRE042624-20110816-C00141
B
 37a N— H H
Figure USRE042624-20110816-C00142
0 CH3 CH3 H 0 N— H
Figure USRE042624-20110816-C00143
H 0 N— H
Figure USRE042624-20110816-C00144
B
 37b diastereomer B
 38 N— H H
Figure USRE042624-20110816-C00145
0 CH3 CH3 H 0 N— H
Figure USRE042624-20110816-C00146
H 0 N— H
Figure USRE042624-20110816-C00147
B
 39 N— H H
Figure USRE042624-20110816-C00148
0 CH3 H H 0 N— H
Figure USRE042624-20110816-C00149
H 0 N— H
Figure USRE042624-20110816-C00150
B
 40 N— H H
Figure USRE042624-20110816-C00151
0 CH3 CH3 H 0 N— H
Figure USRE042624-20110816-C00152
H 0 N— H
Figure USRE042624-20110816-C00153
A
 41 N— H H
Figure USRE042624-20110816-C00154
0 CH3
Figure USRE042624-20110816-C00155
H 0 N— H
Figure USRE042624-20110816-C00156
H 0 N— H
Figure USRE042624-20110816-C00157
B
 42 N— H H
Figure USRE042624-20110816-C00158
0 CH3 CH3 H 0 N— H
Figure USRE042624-20110816-C00159
H 0 N— H
Figure USRE042624-20110816-C00160
A
 43 N— H H
Figure USRE042624-20110816-C00161
0 CH2   CH3 CH3 H 0 N— H
Figure USRE042624-20110816-C00162
H 0 N— H
Figure USRE042624-20110816-C00163
B
 44 N— H H
Figure USRE042624-20110816-C00164
0 H
Figure USRE042624-20110816-C00165
0 N— H H
Figure USRE042624-20110816-C00166
0 N— H
Figure USRE042624-20110816-C00167
G
 45 N— H H
Figure USRE042624-20110816-C00168
0 H
Figure USRE042624-20110816-C00169
0 N— H H
Figure USRE042624-20110816-C00170
0 N— H
Figure USRE042624-20110816-C00171
G
 46 N— H H
Figure USRE042624-20110816-C00172
0 H
Figure USRE042624-20110816-C00173
0 N— H H
Figure USRE042624-20110816-C00174
0 N— H
Figure USRE042624-20110816-C00175
G
 47 N— H H
Figure USRE042624-20110816-C00176
0 H
Figure USRE042624-20110816-C00177
0 N— H H
Figure USRE042624-20110816-C00178
0 N— H
Figure USRE042624-20110816-C00179
C
 48 N— H H
Figure USRE042624-20110816-C00180
0 H
Figure USRE042624-20110816-C00181
0 N— H H
Figure USRE042624-20110816-C00182
0 N— H
Figure USRE042624-20110816-C00183
G
 49 N— H H
Figure USRE042624-20110816-C00184
0 CH3 H H 0 N— H CH3 H 0 N— H
Figure USRE042624-20110816-C00185
G
 50 N— H H
Figure USRE042624-20110816-C00186
0 CH3 H H 0 N— H
Figure USRE042624-20110816-C00187
H 0 N— H
Figure USRE042624-20110816-C00188
G
 51 N— H H
Figure USRE042624-20110816-C00189
0 CH3 H H 0 N— H H H 0 N— H
Figure USRE042624-20110816-C00190
G
 52 N— H H
Figure USRE042624-20110816-C00191
0 CH3 H H 0 N— H
Figure USRE042624-20110816-C00192
H 0 N— H
Figure USRE042624-20110816-C00193
C
 53 N— H H
Figure USRE042624-20110816-C00194
0 CH3 H H 0 N— H
Figure USRE042624-20110816-C00195
H 0 N— H
Figure USRE042624-20110816-C00196
G
 54 N— H H
Figure USRE042624-20110816-C00197
0 CH3 H H 0 N— H
Figure USRE042624-20110816-C00198
H 0 N— H
Figure USRE042624-20110816-C00199
G
 55 N— H
Figure USRE042624-20110816-C00200
H 0 CH3 H H 0 N— H
Figure USRE042624-20110816-C00201
H 0 N— H
Figure USRE042624-20110816-C00202
D
 56 N— H
Figure USRE042624-20110816-C00203
H 0 CH3 H H 0 N— H H
Figure USRE042624-20110816-C00204
0 N— H
Figure USRE042624-20110816-C00205
G
 57 N— H H
Figure USRE042624-20110816-C00206
0 CH3 H H 0 N— H H
Figure USRE042624-20110816-C00207
0 N— H
Figure USRE042624-20110816-C00208
C
 58 N— Ac H
Figure USRE042624-20110816-C00209
0 CH3 H H 0 N— H
Figure USRE042624-20110816-C00210
H 0 N— H
Figure USRE042624-20110816-C00211
G
 59 N— H H
Figure USRE042624-20110816-C00212
0 H H CH3 0 N— H
Figure USRE042624-20110816-C00213
H 0 N— H
Figure USRE042624-20110816-C00214
D
 60 N— H H
Figure USRE042624-20110816-C00215
0 H CH3 H 0 N— H
Figure USRE042624-20110816-C00216
H 0 N— H
Figure USRE042624-20110816-C00217
C
 61 N— H H
Figure USRE042624-20110816-C00218
0 H H H 0 N— H
Figure USRE042624-20110816-C00219
H 0 N— H
Figure USRE042624-20110816-C00220
C
 62 N— H H
Figure USRE042624-20110816-C00221
0 H H
Figure USRE042624-20110816-C00222
0 N— H
Figure USRE042624-20110816-C00223
H 0 N— H
Figure USRE042624-20110816-C00224
D
 63 N— H H
Figure USRE042624-20110816-C00225
0 H
Figure USRE042624-20110816-C00226
H 0 N— H
Figure USRE042624-20110816-C00227
H 0 N— H
Figure USRE042624-20110816-C00228
G
 64 N— H H
Figure USRE042624-20110816-C00229
0 H H
Figure USRE042624-20110816-C00230
0 N— H
Figure USRE042624-20110816-C00231
H 0 N— H
Figure USRE042624-20110816-C00232
G
 65 N— H H
Figure USRE042624-20110816-C00233
0 H
Figure USRE042624-20110816-C00234
H 0 N— H
Figure USRE042624-20110816-C00235
H 0 N— H
Figure USRE042624-20110816-C00236
D
 66 N— H H
Figure USRE042624-20110816-C00237
0 H CH3 CH3 0 N— H
Figure USRE042624-20110816-C00238
H 0 N— H
Figure USRE042624-20110816-C00239
C
 67 N— H H
Figure USRE042624-20110816-C00240
0 H
Figure USRE042624-20110816-C00241
0 N— H
Figure USRE042624-20110816-C00242
H 0 N— H
Figure USRE042624-20110816-C00243
C
 68 N— H H
Figure USRE042624-20110816-C00244
0 H H
Figure USRE042624-20110816-C00245
0 N— H
Figure USRE042624-20110816-C00246
H 0 N— H
Figure USRE042624-20110816-C00247
D
 69 N— H H
Figure USRE042624-20110816-C00248
0 H
Figure USRE042624-20110816-C00249
H 0 N— H v
Figure USRE042624-20110816-C00250
H 0 N— H
Figure USRE042624-20110816-C00251
G
 70 N— H H
Figure USRE042624-20110816-C00252
0 H H
Figure USRE042624-20110816-C00253
0 N— H
Figure USRE042624-20110816-C00254
H 0 N— H
Figure USRE042624-20110816-C00255
G
 71 N— H H
Figure USRE042624-20110816-C00256
0 H
Figure USRE042624-20110816-C00257
H 0 N— H
Figure USRE042624-20110816-C00258
H 0 N— H
Figure USRE042624-20110816-C00259
G
 72 N— H H CH 3 0 CH3 H H 0 N— H
Figure USRE042624-20110816-C00260
H 0 N— H
Figure USRE042624-20110816-C00261
D
 73 N— H H
Figure USRE042624-20110816-C00262
0 CH3 H H 0 N— H
Figure USRE042624-20110816-C00263
H 0 N— H
Figure USRE042624-20110816-C00264
G
 74 N— H H
Figure USRE042624-20110816-C00265
0 CH3 H H 0 N— H
Figure USRE042624-20110816-C00266
H 0 N— H
Figure USRE042624-20110816-C00267
D
 75 N— H H
Figure USRE042624-20110816-C00268
0 CH3 H H 0 N— H
Figure USRE042624-20110816-C00269
H 0 N— H
Figure USRE042624-20110816-C00270
C
 76 N— H H
Figure USRE042624-20110816-C00271
0 CH3 H H 0 N— H
Figure USRE042624-20110816-C00272
H 0 N— H
Figure USRE042624-20110816-C00273
G
 77 N— H H
Figure USRE042624-20110816-C00274
0 CH3 H H 0 N— H
Figure USRE042624-20110816-C00275
H 0 N— H
Figure USRE042624-20110816-C00276
C
 78 N— H H
Figure USRE042624-20110816-C00277
0 CH3 H H 0 N— H
Figure USRE042624-20110816-C00278
H 0 N— H
Figure USRE042624-20110816-C00279
G
 79 N— H H
Figure USRE042624-20110816-C00280
0 CH3 H CH3 0 N— H
Figure USRE042624-20110816-C00281
H 0 N— H
Figure USRE042624-20110816-C00282
C
 80 N— H H H 0 CH3 H H 0 N— H
Figure USRE042624-20110816-C00283
H 0 N— H
Figure USRE042624-20110816-C00284
G
 81 N— H H
Figure USRE042624-20110816-C00285
0 CH3 H H 0 N— H
Figure USRE042624-20110816-C00286
H 0 N— H
Figure USRE042624-20110816-C00287
G
 82 N— H H
Figure USRE042624-20110816-C00288
0 CH3 H H 0 N— H
Figure USRE042624-20110816-C00289
H 0 N— H
Figure USRE042624-20110816-C00290
G
 83 N— H H
Figure USRE042624-20110816-C00291
0 CH3 H H 0 N— H
Figure USRE042624-20110816-C00292
H 0 N— H
Figure USRE042624-20110816-C00293
G
 84 N— H H
Figure USRE042624-20110816-C00294
0 CH3 H H 0 N— H
Figure USRE042624-20110816-C00295
H 0 N— H
Figure USRE042624-20110816-C00296
D
 85 N— H H
Figure USRE042624-20110816-C00297
0 CH3 H H 0 N— H
Figure USRE042624-20110816-C00298
H 0 N— H
Figure USRE042624-20110816-C00299
G
 86 N— H H
Figure USRE042624-20110816-C00300
0 CH3 H H 0 N— H
Figure USRE042624-20110816-C00301
H 0 N— H
Figure USRE042624-20110816-C00302
G
 87 N— H H
Figure USRE042624-20110816-C00303
0 H
Figure USRE042624-20110816-C00304
0 N— H H CH3 0 N— H
Figure USRE042624-20110816-C00305
G
 88 N— H H
Figure USRE042624-20110816-C00306
0 H
Figure USRE042624-20110816-C00307
0 N— H H
Figure USRE042624-20110816-C00308
0 N— H
Figure USRE042624-20110816-C00309
G
 89 N— H H
Figure USRE042624-20110816-C00310
0 H
Figure USRE042624-20110816-C00311
0 N— H H
Figure USRE042624-20110816-C00312
0 N— H
Figure USRE042624-20110816-C00313
D
 90 N— H H
Figure USRE042624-20110816-C00314
0 H
Figure USRE042624-20110816-C00315
0 N— H H
Figure USRE042624-20110816-C00316
0 N— H
Figure USRE042624-20110816-C00317
D
 91 N— H H
Figure USRE042624-20110816-C00318
0 H
Figure USRE042624-20110816-C00319
0 N— H H
Figure USRE042624-20110816-C00320
0 N— H
Figure USRE042624-20110816-C00321
G
 92 N— H H
Figure USRE042624-20110816-C00322
0 H
Figure USRE042624-20110816-C00323
0 N— H H
Figure USRE042624-20110816-C00324
0 N— H
Figure USRE042624-20110816-C00325
G
 93 N— H H
Figure USRE042624-20110816-C00326
0 H H CH3 0 N— H H
Figure USRE042624-20110816-C00327
0 N— H
Figure USRE042624-20110816-C00328
D
 94 N— H H
Figure USRE042624-20110816-C00329
0 H CH3 H 0 N— H H
Figure USRE042624-20110816-C00330
0 N— H
Figure USRE042624-20110816-C00331
D
 95 N— H H
Figure USRE042624-20110816-C00332
0 H CH3 CH3 0 N— H H
Figure USRE042624-20110816-C00333
0 N— H
Figure USRE042624-20110816-C00334
D
 96 N— H
Figure USRE042624-20110816-C00335
H 0 H
Figure USRE042624-20110816-C00336
0 N— H H
Figure USRE042624-20110816-C00337
0 N— H
Figure USRE042624-20110816-C00338
G
 97 N— H H
Figure USRE042624-20110816-C00339
0 H
Figure USRE042624-20110816-C00340
0 N— H
Figure USRE042624-20110816-C00341
H 0 N— H
Figure USRE042624-20110816-C00342
C
 98 N— H
Figure USRE042624-20110816-C00343
H 0 H
Figure USRE042624-20110816-C00344
0 N— H
Figure USRE042624-20110816-C00345
H 0 N— H
Figure USRE042624-20110816-C00346
G
 99 N— Ac H
Figure USRE042624-20110816-C00347
0 H
Figure USRE042624-20110816-C00348
0 N— H H
Figure USRE042624-20110816-C00349
0 N— H
Figure USRE042624-20110816-C00350
G
100 N— H H CH3 0 H
Figure USRE042624-20110816-C00351
0 N— H H
Figure USRE042624-20110816-C00352
0 N— H
Figure USRE042624-20110816-C00353
C
101 N— H H
Figure USRE042624-20110816-C00354
0 H
Figure USRE042624-20110816-C00355
0 N— H H
Figure USRE042624-20110816-C00356
0 N— H
Figure USRE042624-20110816-C00357
C
102 N— H H
Figure USRE042624-20110816-C00358
0 H
Figure USRE042624-20110816-C00359
0 N— H H
Figure USRE042624-20110816-C00360
0 N— H
Figure USRE042624-20110816-C00361
C
103 N— H H
Figure USRE042624-20110816-C00362
0 H
Figure USRE042624-20110816-C00363
0 N— H H
Figure USRE042624-20110816-C00364
0 N— H
Figure USRE042624-20110816-C00365
G
104 N— H H
Figure USRE042624-20110816-C00366
0 H
Figure USRE042624-20110816-C00367
0 N— H H
Figure USRE042624-20110816-C00368
0 N— H
Figure USRE042624-20110816-C00369
G
105 N— H H
Figure USRE042624-20110816-C00370
0 H
Figure USRE042624-20110816-C00371
0 N— H H
Figure USRE042624-20110816-C00372
0 N— H
Figure USRE042624-20110816-C00373
C
106 N— H H
Figure USRE042624-20110816-C00374
0 H
Figure USRE042624-20110816-C00375
0 N— H H
Figure USRE042624-20110816-C00376
0 N— H
Figure USRE042624-20110816-C00377
G
107 N— H H
Figure USRE042624-20110816-C00378
0 H
Figure USRE042624-20110816-C00379
0 N— H H
Figure USRE042624-20110816-C00380
0 N— H
Figure USRE042624-20110816-C00381
G
108 N— H H
Figure USRE042624-20110816-C00382
0 H
Figure USRE042624-20110816-C00383
0 N— H H
Figure USRE042624-20110816-C00384
0 N— H
Figure USRE042624-20110816-C00385
D
109 N— H H
Figure USRE042624-20110816-C00386
0 H
Figure USRE042624-20110816-C00387
0 N— H H
Figure USRE042624-20110816-C00388
0 N— H
Figure USRE042624-20110816-C00389
D
110 N— H H
Figure USRE042624-20110816-C00390
0 H
Figure USRE042624-20110816-C00391
0 N— H H
Figure USRE042624-20110816-C00392
0 N— H
Figure USRE042624-20110816-C00393
G
111 N— H H
Figure USRE042624-20110816-C00394
0 H
Figure USRE042624-20110816-C00395
0 N— H H
Figure USRE042624-20110816-C00396
0 N— H
Figure USRE042624-20110816-C00397
C
112 N— H H H 0 H
Figure USRE042624-20110816-C00398
0 N— H H
Figure USRE042624-20110816-C00399
0 N— H
Figure USRE042624-20110816-C00400
D
113 N— H H
Figure USRE042624-20110816-C00401
0 H
Figure USRE042624-20110816-C00402
0 N— H H
Figure USRE042624-20110816-C00403
0 N— H
Figure USRE042624-20110816-C00404
C
114 N— H H
Figure USRE042624-20110816-C00405
0 H
Figure USRE042624-20110816-C00406
0 N— H H
Figure USRE042624-20110816-C00407
0 N— H
Figure USRE042624-20110816-C00408
G
115 N— H H
Figure USRE042624-20110816-C00409
0 H
Figure USRE042624-20110816-C00410
0 N— H H
Figure USRE042624-20110816-C00411
0 N— H
Figure USRE042624-20110816-C00412
G
116 N— H H
Figure USRE042624-20110816-C00413
0 H
Figure USRE042624-20110816-C00414
0 N— H H
Figure USRE042624-20110816-C00415
0 N— H
Figure USRE042624-20110816-C00416
D
117 N— H H
Figure USRE042624-20110816-C00417
0 CH3 CH3 H 0 N— H
Figure USRE042624-20110816-C00418
H 0 N— H
Figure USRE042624-20110816-C00419
B
118 N— H H
Figure USRE042624-20110816-C00420
0 CH3 CH3 H 0 N— H
Figure USRE042624-20110816-C00421
H 0 N— H
Figure USRE042624-20110816-C00422
B
119 N— H H
Figure USRE042624-20110816-C00423
0 CH3 CH3 H 0 N— H
Figure USRE042624-20110816-C00424
H 0 N— H
Figure USRE042624-20110816-C00425
C
120 N— H H
Figure USRE042624-20110816-C00426
0 CH3 CH3 H 0 N— H
Figure USRE042624-20110816-C00427
H 0 N— H
Figure USRE042624-20110816-C00428
B
121 N— H
Figure USRE042624-20110816-C00429
0 CH3 CH3 H 0 N— H
Figure USRE042624-20110816-C00430
H 0 N— H
Figure USRE042624-20110816-C00431
G
122 N— H H
Figure USRE042624-20110816-C00432
0 H
Figure USRE042624-20110816-C00433
0 N— H H
Figure USRE042624-20110816-C00434
0 N— H
Figure USRE042624-20110816-C00435
C
123 N— H H
Figure USRE042624-20110816-C00436
0 H
Figure USRE042624-20110816-C00437
0 N— H H
Figure USRE042624-20110816-C00438
0 N— H
Figure USRE042624-20110816-C00439
C
124 N— H H
Figure USRE042624-20110816-C00440
0 H
Figure USRE042624-20110816-C00441
0 N— H H
Figure USRE042624-20110816-C00442
0 N— H
Figure USRE042624-20110816-C00443
D
125 N— H H
Figure USRE042624-20110816-C00444
0 H
Figure USRE042624-20110816-C00445
0 N— H H
Figure USRE042624-20110816-C00446
0 N— H
Figure USRE042624-20110816-C00447
G
126 N— H H
Figure USRE042624-20110816-C00448
0 H
Figure USRE042624-20110816-C00449
0 N— H H
Figure USRE042624-20110816-C00450
0 N— H
Figure USRE042624-20110816-C00451
C
127 N— H H
Figure USRE042624-20110816-C00452
0 H
Figure USRE042624-20110816-C00453
0 N— H H
Figure USRE042624-20110816-C00454
0 N— H
Figure USRE042624-20110816-C00455
C
128 N— H H
Figure USRE042624-20110816-C00456
0 H
Figure USRE042624-20110816-C00457
0 N— H H
Figure USRE042624-20110816-C00458
0 N— H
Figure USRE042624-20110816-C00459
G
129 N— H H
Figure USRE042624-20110816-C00460
0 H
Figure USRE042624-20110816-C00461
0 N— H H
Figure USRE042624-20110816-C00462
0 N— H
Figure USRE042624-20110816-C00463
G
130 N— H H
Figure USRE042624-20110816-C00464
0 H
Figure USRE042624-20110816-C00465
0 N— H H
Figure USRE042624-20110816-C00466
0 N— H
Figure USRE042624-20110816-C00467
D
131 N— H H
Figure USRE042624-20110816-C00468
0 H
Figure USRE042624-20110816-C00469
0 N— H H
Figure USRE042624-20110816-C00470
0 N— H
Figure USRE042624-20110816-C00471
C
132 N— H H
Figure USRE042624-20110816-C00472
0 H
Figure USRE042624-20110816-C00473
0 N— H H
Figure USRE042624-20110816-C00474
0 N— H
Figure USRE042624-20110816-C00475
F
133 N— H H
Figure USRE042624-20110816-C00476
0 H
Figure USRE042624-20110816-C00477
0 N— H H
Figure USRE042624-20110816-C00478
0 N— H
Figure USRE042624-20110816-C00479
F
134 N— H H
Figure USRE042624-20110816-C00480
0 H
Figure USRE042624-20110816-C00481
0 N— H H
Figure USRE042624-20110816-C00482
0 N— H
Figure USRE042624-20110816-C00483
C
135 N— H H
Figure USRE042624-20110816-C00484
0 H
Figure USRE042624-20110816-C00485
0 N— H H
Figure USRE042624-20110816-C00486
0 N— H
Figure USRE042624-20110816-C00487
C
136a N— H H
Figure USRE042624-20110816-C00488
0 H
Figure USRE042624-20110816-C00489
0 N— H H
Figure USRE042624-20110816-C00490
0 N— H
Figure USRE042624-20110816-C00491
B
136b diastereomer C
137 N— H H
Figure USRE042624-20110816-C00492
0 H
Figure USRE042624-20110816-C00493
0 N— H H
Figure USRE042624-20110816-C00494
0 N— H
Figure USRE042624-20110816-C00495
B
138 N— H H
Figure USRE042624-20110816-C00496
0 H
Figure USRE042624-20110816-C00497
0 N— H H
Figure USRE042624-20110816-C00498
0 N— H
Figure USRE042624-20110816-C00499
B
139 N— H H
Figure USRE042624-20110816-C00500
0 H
Figure USRE042624-20110816-C00501
0 N— H H
Figure USRE042624-20110816-C00502
0 N— H
Figure USRE042624-20110816-C00503
C
140 N— H H
Figure USRE042624-20110816-C00504
0 H
Figure USRE042624-20110816-C00505
0 N— H H
Figure USRE042624-20110816-C00506
0 N— H
Figure USRE042624-20110816-C00507
C
141 N— H H
Figure USRE042624-20110816-C00508
0 H
Figure USRE042624-20110816-C00509
0 N— H H
Figure USRE042624-20110816-C00510
0 N— H
Figure USRE042624-20110816-C00511
C
142 N— H H
Figure USRE042624-20110816-C00512
0 H
Figure USRE042624-20110816-C00513
0 N— H H
Figure USRE042624-20110816-C00514
0 N— H
Figure USRE042624-20110816-C00515
C
143 N— H H
Figure USRE042624-20110816-C00516
0 H
Figure USRE042624-20110816-C00517
0 N— H H
Figure USRE042624-20110816-C00518
0 N— H
Figure USRE042624-20110816-C00519
C
144 N— H H
Figure USRE042624-20110816-C00520
0 CH3
Figure USRE042624-20110816-C00521
H 0 N— H
Figure USRE042624-20110816-C00522
H 0 N— H
Figure USRE042624-20110816-C00523
C
145a N— H H
Figure USRE042624-20110816-C00524
0 CH3 H
Figure USRE042624-20110816-C00525
0 N— H
Figure USRE042624-20110816-C00526
H 0 N— H
Figure USRE042624-20110816-C00527
C
145b diastereomer F
146a N— H H
Figure USRE042624-20110816-C00528
0 CH3 H
Figure USRE042624-20110816-C00529
0 N— H
Figure USRE042624-20110816-C00530
H 0 N— H
Figure USRE042624-20110816-C00531
F
146b diastereomer F
147 N— H H
Figure USRE042624-20110816-C00532
0 CH3
Figure USRE042624-20110816-C00533
H 0 N— H
Figure USRE042624-20110816-C00534
H 0 N— H
Figure USRE042624-20110816-C00535
F
148 N— H H
Figure USRE042624-20110816-C00536
0 CH3 H
Figure USRE042624-20110816-C00537
0 N— H
Figure USRE042624-20110816-C00538
H 0 N— H
Figure USRE042624-20110816-C00539
F
149 N— H H
Figure USRE042624-20110816-C00540
0 CH3
Figure USRE042624-20110816-C00541
H 0 N— H
Figure USRE042624-20110816-C00542
H 0 N— H
Figure USRE042624-20110816-C00543
D
150a N— H H
Figure USRE042624-20110816-C00544
0 CH3 H
Figure USRE042624-20110816-C00545
0 N— H
Figure USRE042624-20110816-C00546
H 0 N— H
Figure USRE042624-20110816-C00547
C
150b diastereomer G
151 N— H H
Figure USRE042624-20110816-C00548
0 H
Figure USRE042624-20110816-C00549
H 0 N— H
Figure USRE042624-20110816-C00550
H 0 N— H
Figure USRE042624-20110816-C00551
F
152a N— H H
Figure USRE042624-20110816-C00552
0 CH3 H
Figure USRE042624-20110816-C00553
0 N— H
Figure USRE042624-20110816-C00554
H 0 N— H
Figure USRE042624-20110816-C00555
C
152b N— diastereomer C
H
153 N— H H
Figure USRE042624-20110816-C00556
0 H
Figure USRE042624-20110816-C00557
0 N— H H
Figure USRE042624-20110816-C00558
0 N— H
Figure USRE042624-20110816-C00559
B
154 N— H H
Figure USRE042624-20110816-C00560
0 H
Figure USRE042624-20110816-C00561
0 N— H H
Figure USRE042624-20110816-C00562
0 N— H
Figure USRE042624-20110816-C00563
B
155 N— H H
Figure USRE042624-20110816-C00564
0 H
Figure USRE042624-20110816-C00565
0 N— H H
Figure USRE042624-20110816-C00566
0 N— H
Figure USRE042624-20110816-C00567
B
156 N— H H
Figure USRE042624-20110816-C00568
0 H
Figure USRE042624-20110816-C00569
0 N— H H
Figure USRE042624-20110816-C00570
0 N— H
Figure USRE042624-20110816-C00571
E
157 N— H H
Figure USRE042624-20110816-C00572
0 H
Figure USRE042624-20110816-C00573
0 N— H H
Figure USRE042624-20110816-C00574
0 N— H
Figure USRE042624-20110816-C00575
C
158 N— H H
Figure USRE042624-20110816-C00576
0 H
Figure USRE042624-20110816-C00577
0 N— H H
Figure USRE042624-20110816-C00578
0 N— H
Figure USRE042624-20110816-C00579
F
159 N— H H
Figure USRE042624-20110816-C00580
0 H
Figure USRE042624-20110816-C00581
0 N— H H
Figure USRE042624-20110816-C00582
0 N— H
Figure USRE042624-20110816-C00583
B
160a N— H H
Figure USRE042624-20110816-C00584
0 H
Figure USRE042624-20110816-C00585
0 N— H H
Figure USRE042624-20110816-C00586
0 N— H
Figure USRE042624-20110816-C00587
F
160b diastereomer F
161a N— H H
Figure USRE042624-20110816-C00588
0 H
Figure USRE042624-20110816-C00589
0 N— H H
Figure USRE042624-20110816-C00590
0 N— H
Figure USRE042624-20110816-C00591
F
161b diastereomer F
162a N— H H
Figure USRE042624-20110816-C00592
0 H
Figure USRE042624-20110816-C00593
0 N— H H
Figure USRE042624-20110816-C00594
0 N— H
Figure USRE042624-20110816-C00595
D
162b diastereomer G
163 N— H H
Figure USRE042624-20110816-C00596
0 H
Figure USRE042624-20110816-C00597
0 N— H H
Figure USRE042624-20110816-C00598
0 N— H
Figure USRE042624-20110816-C00599
G
164 N— H H
Figure USRE042624-20110816-C00600
0 H
Figure USRE042624-20110816-C00601
0 N— H H
Figure USRE042624-20110816-C00602
0 N— H
Figure USRE042624-20110816-C00603
C
165 N— H H
Figure USRE042624-20110816-C00604
0 H
Figure USRE042624-20110816-C00605
0 N— H H
Figure USRE042624-20110816-C00606
0 N— H
Figure USRE042624-20110816-C00607
G
166 N— H H
Figure USRE042624-20110816-C00608
0 H
Figure USRE042624-20110816-C00609
0 N— H H
Figure USRE042624-20110816-C00610
0 N— H
Figure USRE042624-20110816-C00611
G
167 N— H H
Figure USRE042624-20110816-C00612
0 H
Figure USRE042624-20110816-C00613
0 N— H H
Figure USRE042624-20110816-C00614
0 N— H
Figure USRE042624-20110816-C00615
G
168 N— H H
Figure USRE042624-20110816-C00616
0 H
Figure USRE042624-20110816-C00617
0 N— H
Figure USRE042624-20110816-C00618
0 N— H
Figure USRE042624-20110816-C00619
C
169 N— H H
Figure USRE042624-20110816-C00620
0 CH3 CH3 H 0 N— H
Figure USRE042624-20110816-C00621
H 0 N— H
Figure USRE042624-20110816-C00622
B
170 N— H H
Figure USRE042624-20110816-C00623
0 CH3 CH3 H 0 N— H
Figure USRE042624-20110816-C00624
H 0 N— H
Figure USRE042624-20110816-C00625
B
171 N— H H
Figure USRE042624-20110816-C00626
0 CH3 CH3 H 0 N— H
Figure USRE042624-20110816-C00627
H 0 N— H
Figure USRE042624-20110816-C00628
B
172 N— H H
Figure USRE042624-20110816-C00629
0 CH3 CH3 H 0 N— H H
Figure USRE042624-20110816-C00630
0 N— H
Figure USRE042624-20110816-C00631
G
173 N— H H
Figure USRE042624-20110816-C00632
0 CH3 CH3 H 0 N— H
Figure USRE042624-20110816-C00633
H 0 N— H
Figure USRE042624-20110816-C00634
C
174 N— H H
Figure USRE042624-20110816-C00635
0 CH3 CH3 H 0 N— H
Figure USRE042624-20110816-C00636
H 0 N— H
Figure USRE042624-20110816-C00637
C
175 N— H H
Figure USRE042624-20110816-C00638
0 CH3 CH3 H 0 N— H
Figure USRE042624-20110816-C00639
H 0 N— H
Figure USRE042624-20110816-C00640
C
176 N— H H
Figure USRE042624-20110816-C00641
0 CH3 CH3 H 0 N— H
Figure USRE042624-20110816-C00642
H 0 N— H
Figure USRE042624-20110816-C00643
B
177 N— H H
Figure USRE042624-20110816-C00644
0 CH3 CH3 H 0 N— H
Figure USRE042624-20110816-C00645
H 0 N— H
Figure USRE042624-20110816-C00646
B
178 N— H H
Figure USRE042624-20110816-C00647
0 CH3 CH3 H 0 N— H
Figure USRE042624-20110816-C00648
H 0 N— H
Figure USRE042624-20110816-C00649
C
179 N— H H
Figure USRE042624-20110816-C00650
0 CH3 CH3 H 0 N— H
Figure USRE042624-20110816-C00651
H 0 N— H
Figure USRE042624-20110816-C00652
C
180 N— H H
Figure USRE042624-20110816-C00653
0 CH3 CH3 H 0 N— H
Figure USRE042624-20110816-C00654
H 0 N— H
Figure USRE042624-20110816-C00655
C
181 N— H H
Figure USRE042624-20110816-C00656
0 CH3 CH3 H 0 N— H
Figure USRE042624-20110816-C00657
H 0 N— H
Figure USRE042624-20110816-C00658
G
182a N— H H
Figure USRE042624-20110816-C00659
0 CH3 CH3 H 0 N— H
Figure USRE042624-20110816-C00660
H 0 N— H
Figure USRE042624-20110816-C00661
G
182b diastereomer G
183 N— H H
Figure USRE042624-20110816-C00662
0 CH3 CH3 H 0 N— H
Figure USRE042624-20110816-C00663
H 0 N— H
Figure USRE042624-20110816-C00664
G
184 N— H H
Figure USRE042624-20110816-C00665
0 CH3 CH3 H 0 N— H
Figure USRE042624-20110816-C00666
H 0 N— H
Figure USRE042624-20110816-C00667
C
184 diasteromer C
185 N— H H
Figure USRE042624-20110816-C00668
0 CH3 CH3 H 0 N— H
Figure USRE042624-20110816-C00669
H 0 N— H
Figure USRE042624-20110816-C00670
C
186 N— H H
Figure USRE042624-20110816-C00671
0 CH3 CH3 H 0 N— H
Figure USRE042624-20110816-C00672
H 0 N— H
Figure USRE042624-20110816-C00673
C
187 N— H H
Figure USRE042624-20110816-C00674
0 CH3 CH3 H 0 N— H
Figure USRE042624-20110816-C00675
H 0 N— H
Figure USRE042624-20110816-C00676
C
188 N— H H
Figure USRE042624-20110816-C00677
0 CH3 CH3 H 0 N— H
Figure USRE042624-20110816-C00678
H 0 N— H
Figure USRE042624-20110816-C00679
F
189a N— H H
Figure USRE042624-20110816-C00680
0 CH3 CH3 H 0 N— H
Figure USRE042624-20110816-C00681
H 0 N— H
Figure USRE042624-20110816-C00682
C
189b diasteromer C
190 N— H H
Figure USRE042624-20110816-C00683
0 CH3 CH3 H 0 N— H
Figure USRE042624-20110816-C00684
H 0 N— H
Figure USRE042624-20110816-C00685
B
191 N— H H
Figure USRE042624-20110816-C00686
0 CH3 CH3 H 0 N— H
Figure USRE042624-20110816-C00687
H 0 N— H
Figure USRE042624-20110816-C00688
C
192 N— H H
Figure USRE042624-20110816-C00689
0 CH3 CH3 H 0 N— H
Figure USRE042624-20110816-C00690
H 0 N— H
Figure USRE042624-20110816-C00691
B
193 N— H H
Figure USRE042624-20110816-C00692
0 CH3 CH3 H 0 N— H
Figure USRE042624-20110816-C00693
H 0 N— H
Figure USRE042624-20110816-C00694
C
194a N— H H
Figure USRE042624-20110816-C00695
0 CH3 CH3 H 0 N— H
Figure USRE042624-20110816-C00696
H 0 N— H
Figure USRE042624-20110816-C00697
C
194b diasteromer C
195 N— H H
Figure USRE042624-20110816-C00698
0 CH3 CH3 H 0 N— H
Figure USRE042624-20110816-C00699
H 0 N— H
Figure USRE042624-20110816-C00700
B
196 N— H H
Figure USRE042624-20110816-C00701
0 CH3 CH3 H 0 N— H
Figure USRE042624-20110816-C00702
H 0 N— H
Figure USRE042624-20110816-C00703
G
197 N— H H
Figure USRE042624-20110816-C00704
0 CH3 CH3 H 0 N— H
Figure USRE042624-20110816-C00705
H 0 N— H
Figure USRE042624-20110816-C00706
C
199 N— H H
Figure USRE042624-20110816-C00707
0 H
Figure USRE042624-20110816-C00708
0 N— H H
Figure USRE042624-20110816-C00709
0 N— H
Figure USRE042624-20110816-C00710
C
200 N— H H
Figure USRE042624-20110816-C00711
0 H
Figure USRE042624-20110816-C00712
0 N— H H
Figure USRE042624-20110816-C00713
0 N— H
Figure USRE042624-20110816-C00714
B
201 N— Me H
Figure USRE042624-20110816-C00715
0 CH3 CH3 H 0 N— H
Figure USRE042624-20110816-C00716
H 0 N— H
Figure USRE042624-20110816-C00717
C
202 N— Ac H
Figure USRE042624-20110816-C00718
0 CH3 CH3 H 0 N— H
Figure USRE042624-20110816-C00719
H 0 N— H
Figure USRE042624-20110816-C00720
G
203 N— Me H
Figure USRE042624-20110816-C00721
0 H
Figure USRE042624-20110816-C00722
0 N— H H
Figure USRE042624-20110816-C00723
0 N— H
Figure USRE042624-20110816-C00724
D
204 N— Ac H
Figure USRE042624-20110816-C00725
0 H
Figure USRE042624-20110816-C00726
0 N— H H
Figure USRE042624-20110816-C00727
0 N— H
Figure USRE042624-20110816-C00728
G
205 N— H H
Figure USRE042624-20110816-C00729
0 CH3 CH3 H 0 N— H
Figure USRE042624-20110816-C00730
H 0 N— H
Figure USRE042624-20110816-C00731
G
206 N— H H
Figure USRE042624-20110816-C00732
0 CH3 CH3 H 0 N— H
Figure USRE042624-20110816-C00733
H 0 N— H
Figure USRE042624-20110816-C00734
G
207 N— H H
Figure USRE042624-20110816-C00735
0 H
Figure USRE042624-20110816-C00736
0 N— H H
Figure USRE042624-20110816-C00737
0 N— H
Figure USRE042624-20110816-C00738
G
208a N— Me H
Figure USRE042624-20110816-C00739
0 H
Figure USRE042624-20110816-C00740
0 N— H H
Figure USRE042624-20110816-C00741
0 N— H
Figure USRE042624-20110816-C00742
B
208b diastereomer B
209 N— H H
Figure USRE042624-20110816-C00743
0 CH3 CH3 H 0 N— H
Figure USRE042624-20110816-C00744
H 0 N— H
Figure USRE042624-20110816-C00745
C
210 N— H H
Figure USRE042624-20110816-C00746
0 H
Figure USRE042624-20110816-C00747
0 N— H H
Figure USRE042624-20110816-C00748
0 N— H
Figure USRE042624-20110816-C00749
F
211 N— H H
Figure USRE042624-20110816-C00750
0 H
Figure USRE042624-20110816-C00751
0 N— H H
Figure USRE042624-20110816-C00752
0 N— H
Figure USRE042624-20110816-C00753
F
212 N— H H
Figure USRE042624-20110816-C00754
0 CH3 H
Figure USRE042624-20110816-C00755
0 N— H
Figure USRE042624-20110816-C00756
H 0 N— H
Figure USRE042624-20110816-C00757
C
213 N— H H
Figure USRE042624-20110816-C00758
0 CH3
Figure USRE042624-20110816-C00759
H 0 N— H
Figure USRE042624-20110816-C00760
H 0 N— H
Figure USRE042624-20110816-C00761
F
214 N— H H
Figure USRE042624-20110816-C00762
0 CH3 CH3 H 0 N— H
Figure USRE042624-20110816-C00763
H 0 N— H
Figure USRE042624-20110816-C00764
C
215 N— H H
Figure USRE042624-20110816-C00765
0 H
Figure USRE042624-20110816-C00766
H 0 N— H
Figure USRE042624-20110816-C00767
H 0 N— H
Figure USRE042624-20110816-C00768
D
216 N— H H
Figure USRE042624-20110816-C00769
0 H
Figure USRE042624-20110816-C00770
0 N— H H
Figure USRE042624-20110816-C00771
0 N— H
Figure USRE042624-20110816-C00772
B
218 N— H
Figure USRE042624-20110816-C00773
0 H
Figure USRE042624-20110816-C00774
0 N— H H
Figure USRE042624-20110816-C00775
0 N— H
Figure USRE042624-20110816-C00776
B
219 N— H H
Figure USRE042624-20110816-C00777
0 H
Figure USRE042624-20110816-C00778
0 N— H H
Figure USRE042624-20110816-C00779
0 N— H
Figure USRE042624-20110816-C00780
C
Binding activity determined using standard method, expressed as follows:
A = 0.1-10 nM;
B = 10-100 nM;
C = 0.1-1.0 μM;
D = 1-10 μM;
E > 500 nM (highest concentration tested);
F > 1 μM (highest concentration tested);
G > 10 μM (or no activity at highest concentration tested)
TABLE 3B
Binding Activity at the Human Ghrelin Receptor for Representative Compounds of the Invention
Com- KI
pound R2 R3 R4 R7 R5 R6 Tether (nM)
298
Figure USRE042624-20110816-C00781
CH3 H CH3
Figure USRE042624-20110816-C00782
H
Figure USRE042624-20110816-C00783
B
299
Figure USRE042624-20110816-C00784
CH3 H CH3
Figure USRE042624-20110816-C00785
H
Figure USRE042624-20110816-C00786
A
301
Figure USRE042624-20110816-C00787
Figure USRE042624-20110816-C00788
H H
Figure USRE042624-20110816-C00789
Figure USRE042624-20110816-C00790
B
303
Figure USRE042624-20110816-C00791
Figure USRE042624-20110816-C00792
H H
Figure USRE042624-20110816-C00793
Figure USRE042624-20110816-C00794
B
305
Figure USRE042624-20110816-C00795
CH3 H CH3
Figure USRE042624-20110816-C00796
H
Figure USRE042624-20110816-C00797
C
306a
Figure USRE042624-20110816-C00798
CH3 H CH3
Figure USRE042624-20110816-C00799
H
Figure USRE042624-20110816-C00800
B
306b diastereomer B
307
Figure USRE042624-20110816-C00801
CH3 H CH3
Figure USRE042624-20110816-C00802
H
Figure USRE042624-20110816-C00803
C
308
Figure USRE042624-20110816-C00804
CH3 H CH3
Figure USRE042624-20110816-C00805
H
Figure USRE042624-20110816-C00806
A
309
Figure USRE042624-20110816-C00807
CH3 H CH3
Figure USRE042624-20110816-C00808
H
Figure USRE042624-20110816-C00809
A
310
Figure USRE042624-20110816-C00810
CH3 H CH3
Figure USRE042624-20110816-C00811
H
Figure USRE042624-20110816-C00812
B
311
Figure USRE042624-20110816-C00813
CH3 H CH3
Figure USRE042624-20110816-C00814
H
Figure USRE042624-20110816-C00815
B
312
Figure USRE042624-20110816-C00816
CH3 H CH3
Figure USRE042624-20110816-C00817
H
Figure USRE042624-20110816-C00818
A
313
Figure USRE042624-20110816-C00819
CH3 H CH3
Figure USRE042624-20110816-C00820
H
Figure USRE042624-20110816-C00821
B
314
Figure USRE042624-20110816-C00822
CH3 H CH3
Figure USRE042624-20110816-C00823
H
Figure USRE042624-20110816-C00824
A
315
Figure USRE042624-20110816-C00825
CH3 H CH3
Figure USRE042624-20110816-C00826
H
Figure USRE042624-20110816-C00827
A
316
Figure USRE042624-20110816-C00828
CH3 H CH3
Figure USRE042624-20110816-C00829
H
Figure USRE042624-20110816-C00830
B
317
Figure USRE042624-20110816-C00831
CH3 H CH3
Figure USRE042624-20110816-C00832
H
Figure USRE042624-20110816-C00833
B
318
Figure USRE042624-20110816-C00834
CH3 H CH3
Figure USRE042624-20110816-C00835
H
Figure USRE042624-20110816-C00836
A
319
Figure USRE042624-20110816-C00837
CH3 H CH3
Figure USRE042624-20110816-C00838
H
Figure USRE042624-20110816-C00839
A
320
Figure USRE042624-20110816-C00840
CH3 H CH3
Figure USRE042624-20110816-C00841
H
Figure USRE042624-20110816-C00842
A
321
Figure USRE042624-20110816-C00843
CH3 H CH3
Figure USRE042624-20110816-C00844
H
Figure USRE042624-20110816-C00845
B
322
Figure USRE042624-20110816-C00846
CH3 H CH3
Figure USRE042624-20110816-C00847
H
Figure USRE042624-20110816-C00848
A
323
Figure USRE042624-20110816-C00849
CH3 H CH3
Figure USRE042624-20110816-C00850
H
Figure USRE042624-20110816-C00851
C
324
Figure USRE042624-20110816-C00852
CH3 H CH3
Figure USRE042624-20110816-C00853
H
Figure USRE042624-20110816-C00854
B
325
Figure USRE042624-20110816-C00855
Figure USRE042624-20110816-C00856
H H
Figure USRE042624-20110816-C00857
Figure USRE042624-20110816-C00858
B
326
Figure USRE042624-20110816-C00859
Figure USRE042624-20110816-C00860
H H
Figure USRE042624-20110816-C00861
Figure USRE042624-20110816-C00862
B
327a
Figure USRE042624-20110816-C00863
Figure USRE042624-20110816-C00864
H H
Figure USRE042624-20110816-C00865
Figure USRE042624-20110816-C00866
B
327b diastereomer C
328
Figure USRE042624-20110816-C00867
Figure USRE042624-20110816-C00868
H H
Figure USRE042624-20110816-C00869
Figure USRE042624-20110816-C00870
B
329
Figure USRE042624-20110816-C00871
Figure USRE042624-20110816-C00872
H H
Figure USRE042624-20110816-C00873
Figure USRE042624-20110816-C00874
B
330
Figure USRE042624-20110816-C00875
Figure USRE042624-20110816-C00876
H H
Figure USRE042624-20110816-C00877
Figure USRE042624-20110816-C00878
A
331a
Figure USRE042624-20110816-C00879
Figure USRE042624-20110816-C00880
H H
Figure USRE042624-20110816-C00881
Figure USRE042624-20110816-C00882
B
331b diastereomer C
332a
Figure USRE042624-20110816-C00883
Figure USRE042624-20110816-C00884
H H
Figure USRE042624-20110816-C00885
Figure USRE042624-20110816-C00886
B
332b diastereomer C
333
Figure USRE042624-20110816-C00887
Figure USRE042624-20110816-C00888
H H
Figure USRE042624-20110816-C00889
Figure USRE042624-20110816-C00890
C
335
Figure USRE042624-20110816-C00891
CH3 H CH3
Figure USRE042624-20110816-C00892
H
Figure USRE042624-20110816-C00893
B
336
Figure USRE042624-20110816-C00894
CH3 H CH3
Figure USRE042624-20110816-C00895
H
Figure USRE042624-20110816-C00896
C
337
Figure USRE042624-20110816-C00897
CH3 H CH3
Figure USRE042624-20110816-C00898
H
Figure USRE042624-20110816-C00899
C
338
Figure USRE042624-20110816-C00900
CH3 H CH3
Figure USRE042624-20110816-C00901
H
Figure USRE042624-20110816-C00902
C
339
Figure USRE042624-20110816-C00903
CH3 H CH3
Figure USRE042624-20110816-C00904
H
Figure USRE042624-20110816-C00905
C
340
Figure USRE042624-20110816-C00906
CH3 H CH3
Figure USRE042624-20110816-C00907
H
Figure USRE042624-20110816-C00908
B
341
Figure USRE042624-20110816-C00909
Figure USRE042624-20110816-C00910
H H
Figure USRE042624-20110816-C00911
Figure USRE042624-20110816-C00912
B
342
Figure USRE042624-20110816-C00913
Figure USRE042624-20110816-C00914
H H
Figure USRE042624-20110816-C00915
Figure USRE042624-20110816-C00916
C
343
Figure USRE042624-20110816-C00917
Figure USRE042624-20110816-C00918
H H
Figure USRE042624-20110816-C00919
Figure USRE042624-20110816-C00920
C
344
Figure USRE042624-20110816-C00921
Figure USRE042624-20110816-C00922
H H
Figure USRE042624-20110816-C00923
Figure USRE042624-20110816-C00924
C
345a
Figure USRE042624-20110816-C00925
Figure USRE042624-20110816-C00926
H H
Figure USRE042624-20110816-C00927
Figure USRE042624-20110816-C00928
C
346
Figure USRE042624-20110816-C00929
Figure USRE042624-20110816-C00930
H H
Figure USRE042624-20110816-C00931
Figure USRE042624-20110816-C00932
B
347
Figure USRE042624-20110816-C00933
Figure USRE042624-20110816-C00934
H H
Figure USRE042624-20110816-C00935
Figure USRE042624-20110816-C00936
C
348a
Figure USRE042624-20110816-C00937
CH3 CH3 H H
Figure USRE042624-20110816-C00938
Figure USRE042624-20110816-C00939
C
348b diastereomer C
353a
Figure USRE042624-20110816-C00940
CH3 H CH3
Figure USRE042624-20110816-C00941
H
Figure USRE042624-20110816-C00942
B
353b diastereomer C
354
Figure USRE042624-20110816-C00943
CH3 H CH3
Figure USRE042624-20110816-C00944
H
Figure USRE042624-20110816-C00945
B
355
Figure USRE042624-20110816-C00946
CH3 H CH3
Figure USRE042624-20110816-C00947
H
Figure USRE042624-20110816-C00948
B
356
Figure USRE042624-20110816-C00949
CH3 H CH3
Figure USRE042624-20110816-C00950
H
Figure USRE042624-20110816-C00951
C
357
Figure USRE042624-20110816-C00952
CH3 H CH3
Figure USRE042624-20110816-C00953
H C
358a
Figure USRE042624-20110816-C00954
Figure USRE042624-20110816-C00955
H H
Figure USRE042624-20110816-C00956
Figure USRE042624-20110816-C00957
B
358b diastereomer C
359
Figure USRE042624-20110816-C00958
Figure USRE042624-20110816-C00959
H H
Figure USRE042624-20110816-C00960
Figure USRE042624-20110816-C00961
C
360
Figure USRE042624-20110816-C00962
Figure USRE042624-20110816-C00963
H H
Figure USRE042624-20110816-C00964
Figure USRE042624-20110816-C00965
C
361
Figure USRE042624-20110816-C00966
Figure USRE042624-20110816-C00967
H H
Figure USRE042624-20110816-C00968
Figure USRE042624-20110816-C00969
C
362
Figure USRE042624-20110816-C00970
Figure USRE042624-20110816-C00971
H H
Figure USRE042624-20110816-C00972
Figure USRE042624-20110816-C00973
C
363
Figure USRE042624-20110816-C00974
Figure USRE042624-20110816-C00975
H H
Figure USRE042624-20110816-C00976
Figure USRE042624-20110816-C00977
C
364
Figure USRE042624-20110816-C00978
Figure USRE042624-20110816-C00979
H H
Figure USRE042624-20110816-C00980
Figure USRE042624-20110816-C00981
C
365
Figure USRE042624-20110816-C00982
Figure USRE042624-20110816-C00983
H H
Figure USRE042624-20110816-C00984
Figure USRE042624-20110816-C00985
C
366
Figure USRE042624-20110816-C00986
Figure USRE042624-20110816-C00987
H H
Figure USRE042624-20110816-C00988
Figure USRE042624-20110816-C00989
C
367
Figure USRE042624-20110816-C00990
CH3 H CH3
Figure USRE042624-20110816-C00991
H
Figure USRE042624-20110816-C00992
B
368a
Figure USRE042624-20110816-C00993
Figure USRE042624-20110816-C00994
H H
Figure USRE042624-20110816-C00995
Figure USRE042624-20110816-C00996
B
368b diastereomer B
369
Figure USRE042624-20110816-C00997
Figure USRE042624-20110816-C00998
H H
Figure USRE042624-20110816-C00999
Figure USRE042624-20110816-C01000
B
370
Figure USRE042624-20110816-C01001
Figure USRE042624-20110816-C01002
H H
Figure USRE042624-20110816-C01003
Figure USRE042624-20110816-C01004
C
371
Figure USRE042624-20110816-C01005
Figure USRE042624-20110816-C01006
H H
Figure USRE042624-20110816-C01007
Figure USRE042624-20110816-C01008
B
372
Figure USRE042624-20110816-C01009
CH3 H CH3
Figure USRE042624-20110816-C01010
H
Figure USRE042624-20110816-C01011
A
373
Figure USRE042624-20110816-C01012
CH3 H CH3
Figure USRE042624-20110816-C01013
H
Figure USRE042624-20110816-C01014
B
374
Figure USRE042624-20110816-C01015
CH3 H CH3
Figure USRE042624-20110816-C01016
H
Figure USRE042624-20110816-C01017
B
375
Figure USRE042624-20110816-C01018
CH3 H CH3
Figure USRE042624-20110816-C01019
H
Figure USRE042624-20110816-C01020
C
376
Figure USRE042624-20110816-C01021
CH3 H CH3
Figure USRE042624-20110816-C01022
H
Figure USRE042624-20110816-C01023
C
377
Figure USRE042624-20110816-C01024
CH3 H CH3
Figure USRE042624-20110816-C01025
H
Figure USRE042624-20110816-C01026
C
378
Figure USRE042624-20110816-C01027
CH3 H CH3
Figure USRE042624-20110816-C01028
H
Figure USRE042624-20110816-C01029
C
379
Figure USRE042624-20110816-C01030
CH3 H CH3
Figure USRE042624-20110816-C01031
H
Figure USRE042624-20110816-C01032
B
380
Figure USRE042624-20110816-C01033
Figure USRE042624-20110816-C01034
H H
Figure USRE042624-20110816-C01035
Figure USRE042624-20110816-C01036
C
381
Figure USRE042624-20110816-C01037
Figure USRE042624-20110816-C01038
H H
Figure USRE042624-20110816-C01039
Figure USRE042624-20110816-C01040
B
382
Figure USRE042624-20110816-C01041
Figure USRE042624-20110816-C01042
H H
Figure USRE042624-20110816-C01043
Figure USRE042624-20110816-C01044
B
383
Figure USRE042624-20110816-C01045
Figure USRE042624-20110816-C01046
H H
Figure USRE042624-20110816-C01047
Figure USRE042624-20110816-C01048
C
384
Figure USRE042624-20110816-C01049
Figure USRE042624-20110816-C01050
H H
Figure USRE042624-20110816-C01051
Figure USRE042624-20110816-C01052
C
385
Figure USRE042624-20110816-C01053
Figure USRE042624-20110816-C01054
H H
Figure USRE042624-20110816-C01055
Figure USRE042624-20110816-C01056
C
386
Figure USRE042624-20110816-C01057
Figure USRE042624-20110816-C01058
H H
Figure USRE042624-20110816-C01059
Figure USRE042624-20110816-C01060
C
387
Figure USRE042624-20110816-C01061
Figure USRE042624-20110816-C01062
H H
Figure USRE042624-20110816-C01063
Figure USRE042624-20110816-C01064
C
388
Figure USRE042624-20110816-C01065
Figure USRE042624-20110816-C01066
H H
Figure USRE042624-20110816-C01067
Figure USRE042624-20110816-C01068
A
389a
Figure USRE042624-20110816-C01069
CH3 H CH3
Figure USRE042624-20110816-C01070
H
Figure USRE042624-20110816-C01071
B
389b diastereomer B
390
Figure USRE042624-20110816-C01072
Figure USRE042624-20110816-C01073
H H
Figure USRE042624-20110816-C01074
Figure USRE042624-20110816-C01075
C
391
Figure USRE042624-20110816-C01076
CH3 H CH3
Figure USRE042624-20110816-C01077
H
Figure USRE042624-20110816-C01078
A
392
Figure USRE042624-20110816-C01079
Figure USRE042624-20110816-C01080
H H
Figure USRE042624-20110816-C01081
Figure USRE042624-20110816-C01082
B
393
Figure USRE042624-20110816-C01083
Figure USRE042624-20110816-C01084
H H
Figure USRE042624-20110816-C01085
Figure USRE042624-20110816-C01086
C
394
Figure USRE042624-20110816-C01087
CH3 H CH3
Figure USRE042624-20110816-C01088
H
Figure USRE042624-20110816-C01089
A
395
Figure USRE042624-20110816-C01090
Figure USRE042624-20110816-C01091
H H
Figure USRE042624-20110816-C01092
Figure USRE042624-20110816-C01093
B
398
Figure USRE042624-20110816-C01094
CH3 H CH3
Figure USRE042624-20110816-C01095
H
Figure USRE042624-20110816-C01096
C
399a
Figure USRE042624-20110816-C01097
Figure USRE042624-20110816-C01098
H H
Figure USRE042624-20110816-C01099
Figure USRE042624-20110816-C01100
C
399b diastereomer A
400
Figure USRE042624-20110816-C01101
CH3 H CH3
Figure USRE042624-20110816-C01102
H
Figure USRE042624-20110816-C01103
B
401
Figure USRE042624-20110816-C01104
CH3 H CH3
Figure USRE042624-20110816-C01105
H
Figure USRE042624-20110816-C01106
A
402a
Figure USRE042624-20110816-C01107
Figure USRE042624-20110816-C01108
H H
Figure USRE042624-20110816-C01109
Figure USRE042624-20110816-C01110
B
402b diastereomer B
Binding activity determined using standard method, expressed as follows:
A = 0.1-10 nM;
B = 10-100 nM;
C = 0.1-1.0 μM
TABLE 3C
Binding Activity at the Human Ghrelin Receptor
for Representative Compounds of the Invention
Com- Ki
pound Structure (nM)
 18
Figure USRE042624-20110816-C01111
B
334
Figure USRE042624-20110816-C01112
B
349
Figure USRE042624-20110816-C01113
B
350
Figure USRE042624-20110816-C01114
C
351
Figure USRE042624-20110816-C01115
B
352
Figure USRE042624-20110816-C01116
C
396
Figure USRE042624-20110816-C01117
B
397
Figure USRE042624-20110816-C01118
C
TABLE 3D
Binding Activity at the Human Ghrelin Receptor for Representative Compounds of the Invention
Compound R1 R2 R3 Rd R7 R5
435 H
Figure USRE042624-20110816-C01119
CH3 H CH3
Figure USRE042624-20110816-C01120
436 H
Figure USRE042624-20110816-C01121
CH3 H CH3
Figure USRE042624-20110816-C01122
437
Figure USRE042624-20110816-C01123
Figure USRE042624-20110816-C01124
H H
438 H
Figure USRE042624-20110816-C01125
Figure USRE042624-20110816-C01126
H H
439 H
Figure USRE042624-20110816-C01127
Figure USRE042624-20110816-C01128
H H
440 H
Figure USRE042624-20110816-C01129
Figure USRE042624-20110816-C01130
H CH3
Figure USRE042624-20110816-C01131
441 H
Figure USRE042624-20110816-C01132
Figure USRE042624-20110816-C01133
H H
442a H
Figure USRE042624-20110816-C01134
Figure USRE042624-20110816-C01135
H H
442b diastereomer
443a H
Figure USRE042624-20110816-C01136
Figure USRE042624-20110816-C01137
H H
443b diastereomer
444a H
Figure USRE042624-20110816-C01138
Figure USRE042624-20110816-C01139
H H
444b diastereomer
445 H
Figure USRE042624-20110816-C01140
CH3 H CH3
Figure USRE042624-20110816-C01141
446a H
Figure USRE042624-20110816-C01142
CH3 H CH3
Figure USRE042624-20110816-C01143
448b diastereomer
447 H
Figure USRE042624-20110816-C01144
Figure USRE042624-20110816-C01145
H H
448 H
Figure USRE042624-20110816-C01146
H H CH3 H
449 H
Figure USRE042624-20110816-C01147
Figure USRE042624-20110816-C01148
H H
Compound R6 Tether Ki (nM)
435 H
Figure USRE042624-20110816-C01149
B
436 H
Figure USRE042624-20110816-C01150
B
437
Figure USRE042624-20110816-C01151
Figure USRE042624-20110816-C01152
A
438
Figure USRE042624-20110816-C01153
Figure USRE042624-20110816-C01154
D
439
Figure USRE042624-20110816-C01155
Figure USRE042624-20110816-C01156
D
440
Figure USRE042624-20110816-C01157
C
441
Figure USRE042624-20110816-C01158
Figure USRE042624-20110816-C01159
D
442a
Figure USRE042624-20110816-C01160
Figure USRE042624-20110816-C01161
E
442b diastereomer E
443a
Figure USRE042624-20110816-C01162
Figure USRE042624-20110816-C01163
E
443b diastereomer E
444a
Figure USRE042624-20110816-C01164
Figure USRE042624-20110816-C01165
E
444b diastereomer E
445 H
Figure USRE042624-20110816-C01166
B
446a H
Figure USRE042624-20110816-C01167
D
448b diastereomer D
447
Figure USRE042624-20110816-C01168
Figure USRE042624-20110816-C01169
D
448
Figure USRE042624-20110816-C01170
Figure USRE042624-20110816-C01171
D
449
Figure USRE042624-20110816-C01172
Figure USRE042624-20110816-C01173
D
For all compounds, designations are based upon formula I, X = Z1 = Z2 = NH, m = n = p = 0
Binding activity determined using standard method, expressed as follows; A = 0.1-10 nM; B = 10-100 nM; C = 0.1-1.0 μM; D = 1.0-10 nM; E >10 μM
TABLE 3E
Binding Activity at the Human Ghrelin Receptor
for Representative Compounds of the Invention
Compound Ki
Figure USRE042624-20110816-C01174
D
Figure USRE042624-20110816-C01175
C
Figure USRE042624-20110816-C01176
D
Figure USRE042624-20110816-C01177
D
Figure USRE042624-20110816-C01178
G
Figure USRE042624-20110816-C01179
C
Figure USRE042624-20110816-C01180
B
Figure USRE042624-20110816-C01181
C
Figure USRE042624-20110816-C01182
G
Figure USRE042624-20110816-C01183
B
Figure USRE042624-20110816-C01184
C
230 diastereomer D
Binding activity determined using standard method, expressed as follows: A = 0.1-10 nM; B = 10-100 nM: C = 0.1-1.0 μM; D = 1-10 μM; E > 500 nM (highest concentration tested); F > 1 μM ((highest concentration tested); G > 10 μM (or no activity at highest concentration tested)

B. Aequorin Functional Assay (Ghrelin Receptor)
The functional activity of compounds of the invention found to bind to the GHS-R1a receptor can be determined using the method described below which can also be used as a primary screen for ghrelin receptor activity in a high throughput fashion. (LePoul, E.; et al. Adaptation of aequorin functional assay to high throughput screening. J. Biomol. Screen. 2002, 7, 57-65; Bednarek, M. A.; et al. Structure-function studies on the new growth hormone-releasing peptide ghrelin: minimal sequence of ghrelin necessary for activation of growth hormone secretagogue receptor 1a. J. Med. Chem. 2000, 43, 4370-4376; Palucki, B. L.; et al. Spiro(indoline-3,4′-piperidine) growth hormone secretagogues as ghrelin mimetics. Bioorg. Med. Chem. Lett. 2001, 11, 1955-1957.)
Materials
Membranes were prepared using AequoScreen™ (EUROSCREEN, Belgium) cell lines expressing the human ghrelin receptor (cell line ES-410-A; receptor accession #60179). This cell line is typically constructed by transfection of the human ghrelin receptor into CHO—K1 cells co-expressing Gα16 and the mitochondrially targeted Aequorin (Ref #ES-WT-A5).
  • 1. Ghrelin (reference agonist; Bachem, #H-4864)
  • 2. Assay buffer: DMEM (Dulbecco's Modified Eagles Medium) containing 0.1% BSA (bovine serum albumin; pH 7.0).
  • 3. Coelenterazine (Molecular Probes, Leiden, The Netherlands).
    Final test concentrations (N=8) for compounds of the invention: 10, 1, 0.3, 0.1, 0.03, 0.01, 0.003, 0.001 μM.
    Compound Handling
Stock solutions of compounds (10 mM in 100% DMSO) were provided frozen on dry ice and stored at −20° C. prior to use. From the stock solution, mother solutions were made at a concentration of 500 μM by 20-fold dilution in 26% DMSO. Assay plates were then prepared by appropriate dilution in DMEM medium containing 0.1% BSA. Under these conditions, the maximal final DMSO concentration in the assay was <0.6%.
Cell Preparation
AequoScreen™ cells were collected from culture plates with Ca2+ and Mg2+-free phosphate buffered saline (PBS) supplemented with 5 mM EDTA, pelleted for 2 min at 1000×g, re-suspended in DMEM—Ham's F12 containing 0.1% BSA at a density of 5×106 cells/mL, and incubated O/N at rt in the presence of 5 μM coelenterazine. After loading, cells were diluted with assay buffer to a concentration of 5×105 cells/mL.
Assay Protocol
For agonist testing, 50 μL of the cell suspension was mixed with 50 μL of the appropriate concentration of test compound or ghrelin (reference agonist) in 96-well plates (duplicate samples). Ghrelin (reference agonist) was tested at several concentrations concurrently with the test compounds in order to validate the experiment. The emission of light resulting from receptor activation in response to ghrelin or test compounds was recorded using the Hamamatsu FDSS 6000 reader (Hamamatsu Photonics K. K., Japan).
Analysis and Expression of Results
Results were expressed as Relative Light Units (RLU). Concentration response curves were analyzed using GraphPad Prism (GraphPad Software, San Diego, Calif.) by non-linear regression analysis (sigmoidal dose-response) based on the equation E=Emax/(1+EC50/C)n where E was the measured RLU value at a given agonist concentration (C), Emax was the maximal response, EC50 was the concentration producing 50% stimulation and n was the slope index. For agonist testing, results for each concentration of test compound were expressed as percent activation relative to the signal induced by ghrelin at a concentration equal to the EC80 (i.e. 3.7 nM). EC50, Hill slope and % Emax values are reported.
The data show that the representative compounds examined act as agonists at the ghrelin receptor and are devoid of antagonist activity at the concentrations studied. In addition, these compounds were demonstrated to have high selectivity for the ghrelin receptor versus its closest counterpart, the motilin receptor, with which it has 52% sequence homology. (Feighner, S. D.; Tan, C. P.; McKee, K. K.; Palyha, O. C.; Hreniuk, D. L.; Pong, S.-S.; Austin, C. P.; Figueroa, D.; MacNeil, D.; Cascieri, M. A.; Nargund, R.; Bakshi, R.; Abramovitz, M.; Stocco, R.; Kargman, S.; O'Neill, G.; van der Ploeg, L. H. T.; Evans, J.; Patchett, A. A.; Smith, R. G.; Howard, A. D. Receptor for motilin identified in the human gastrointestinal system. Science 1999, 284, 2184-2188.) The endogenous peptides themselves have 36% of residues in common and ghrelin was even identified at one point as motilin-related peptide. (Tomasetto, C.; Karam, S. M.; Ribieras, S.; Masson, R.; Lefebvre, O.; Staub, A.; Alexander, G.; Chenard, M. P.; Rio, M. C. Identification and characterization of a novel gastric peptide hormone: the motilin-related peptide. Gastroenterology 2000, 119, 395-405.) Ghrelin does not interact appreciably at the motilin receptor, although GHRP-6 does. (Depoortere, I.; Thijs, T.; Thielemans, L.; Robberecht, P.; Peeters, T. L. Interaction of the growth hormone-releasing peptides ghrelin and growth hormone-releasing peptide-6 with the motilin receptor in the rabbit gastric antrum. J. Pharmacol. Exp. Ther. 2003, 305, 660-667.) On the other hand, motilin itself as been demonstrated to have some GH-releasing effects. (Samson, W. K.; Lumpkin, M. D.; Nilayer, G.; McCann, S. M. Motilin: a novel growth hormone releasing agent. Brain Res. Bull. 1984, 12, 57-62.)
The level of agonist activity and selectivity for representative compounds of the invention are shown below in Table 4. Concentration-response results for exemplary compounds 1-5 are presented in FIG. 5.
TABLE 4
Functional Assay at the Human Ghrelin Receptor and
Selectivity Results
Compounda Ki (nM)* EC50 (nM)** Selectivityb
 1 B BB 142/1
 2 C BB nd
 3 C BB nd
4g Bc AA 3012/1 
 5 C BB nd
 6 C AA  71/1
 7 C AA >100/1  
  8f Bd AA 200/1
9g Ce BB 117/1
 10 B AA 304/1
  11f B BB nd
 15 A nd >1700/1   
 16 A nd >2000/1   
 17 A AA 2500/1 
 18 B AA 222/1
 19 C ad >1700/1   
 20 A AA 1044/1 
 21 A AA 1078/1 
 23 A AA 30,000/1  
 24 A nd 3039/1 
 25 A AA 28,000/1  
 26 A AA >7700/1   
  27e A AA >7100/1   
 28 B AA nd
 30 A AA 13,000/1  
 31 A AA 4900/1 
 34 B nd >1000/1   
 35 B AA nd
 36 B BB nd
 37a B AA >800/1  
 37b B BB nd
 38 B BB nd
  39f A BB 3400/1 
 40 A AA >3300/1   
 42 A nd 4300/1 
 43 B nd 3700/1 
 47 C AA nd
 97 B BB nd
111 B BB nd
113g B BB nd
140 C BB nd
141 C AA ad
153 B AA nd
154 B AA nd
156 B AA nd
168 C CC nd
170 B BB nd
176 B AA 105/1
177 B AA >100/1  
178 C BB nd
 184a C BB  28/1
 184b Ce BB nd
186 C BB nd
191 C BB nd
192 B BB nd
193 C BB nd
 194a C RB nd
 194b C BB nd
195 B AA nd
197 C CC 100/l
214 C BB nd
226 B CC nd
298 B AA 3100/1 
299 A AA nd
 306a B AA 714/1
311 B nd  21/1
314 A AA >5500/1   
318 A AA nd
322 A AA nd
334 B AA 346/1
 345a B AA >159/1  
346 B AA nd
351 B AA 450/1
354 B AA nd
 358a B AA nd
363 C nd  35/1
367 B AA nd
 368a A CC nd
372 A AA 2500/1 
374 B AA 250/1
382 B BB  74/1
388 A AA 400/1
 389a B BB 450/1
394 A BB 1700/1 
399a A CC 300/1
445 B AA nd
aAll compounds were tested as their TFA salts unless otherwise noted.
bVersus the human motilin receptor (nd = not determined)
cAverage of six (6) experiments
dAverage of four (4) experiments
eAverage of two (2) experiments
fHCl salt
gFormate salt
*Binding activity determined using standard method and expressed as A = 0.1-10 nM; B = 10-100 nM; C = 100-1000 nM
**Functional activity determined using standard method and expressed as AA = 1-100 nM; BB = 100-1000 nM; CC > 1000 nM;
nd = not determined

C. Cell Culture Assay for Growth Hormone Release
Cell culture assays for determining growth hormone release can be employed as described in Cheng, et al. Endocrinology 1989, 124, 2791-2798. In particular, anterior pituitary glands are obtained from male Sprague-Dawley rats and placed in cold culture medium. These pituitaries are sectioned, for example into one-eighth sections. then digested with trypsin. Cells are collected after digestion, pooled, and transferred into 24 well plates (minimum 200,000 cells per well). After a monolayer of cells has formed, generally after at least 4 d in culture, the cells are washed with medium prior to exposure to the test samples and controls. Varying concentrations of the test compounds and of ghrelin as a positive control were added to the medium. The cells are left for 15 min at 37° C., then the medium removed and the cells stored frozen. The amount of GH release was measured utilizing a standard radioimmunoassay as known to those in the art.
D. Pharmacokinetic Analysis of Representative Compounds of the Invention
The pharmacokinetic behavior of compound of the invention can be ascertained by methods well known to those skilled in the art. (Wilkinson, G. R. “Pharmacokinetics: The Dynamics of Drug Absorption, Distribution, and Elimination” in Goodman & Gilman's The Pharmacological Basis of Therapeutics, Tenth Edition, Hardman, J. G.; Limbird, L. E., Eds., McGraw Hill, Columbus, Ohio, 2001, Chapter 1.) The following method was used to investigate the pharmacokinetic parameters (elimination half-life, total plasma clearance. etc.) for intravenous, subcutaneous and oral administration of compounds of the present invention.
Collection of Plasma
Rats: male, Sprague-Dawley (˜250 g)
Rats/Treatment Group: 6 (2 subsets of 3 rats each, alternate bleeds)
Each sample of test compound was sent in solution in a formulation (such as with cyclodextrin) appropriate for dosing. It will be appreciated by one skilled in the art that appropriate modifications to this protocol can be made as required to adequately test the properties of the compound under analysis.
Typical Dose
  • 1. Intravenous (i.v.): 2 mg/kg
  • 2. Subcutaneous (s.c): 2 mg/kg
  • 3. Oral (p.o.): 8 mg/kg
TABLE 5
Representative Intravenous Blood Sampling Schedule.
Time (min.) relative to Dose Administration
Pre-
Subset ID dose 1 5 20 60 90 120 180 240 300
Subset A
Subset B
TABLE 6
Representative Subcutaneous & Oral Blood Sampling Schedule.
Time (min.) relative to Dose Administration
Pre-
Subset ID dose 5 15 30 60 90 120 180 270 360
Subset A
Subset B

Plasma Collection
  • 1. Same protocol for all dosing groups
  • 2. For each group, 2 subsets (A and B) of 3 rats/subset
At the time intervals indicated above, 0.7 mL of blood were collected from each animal. It is expected that this volume of blood will yield a sample of at least 0.3 mL of plasma. EDTA was used as an anti-coagulant for whole blood collection. Whole blood samples were chilled and immediately processed by centrifugation to obtain plasma.
Plasma samples were stored frozen (−70° C.) until analysis. Analytical detection of parent compound in plasma samples performed by LC-MS after an appropriate preparation protocol: extraction using solid phase extraction (SPE) cartridges (Oasis MCX, Oasis HLB) or liquid-liquid extraction.
HPLC-MS Method
  • Column: Atlantis dC18 from Waters 2.1×30 mm
  • Mobile Phases:
  • A: 95% McOH, 5% water, 0.1% TFA
  • B: 95% water. 5% MeOH, 0.1% TFA
  • Flow: 0.5 mL/min
  • Gradient (linear):
Time(min) A B
0 30% 70%
0.5 30% 70%
2.8 100%   0%
3.8 100%   0%
4.0 30% 70%
5.0 30% 70%
The analyte was quantitated based upon a standard curve and the method validated with internal standards.
TABLE 7
Pharmacokinetic Parameters for Representative Compounds of the
Invention
Com- Mode of Elimination Clearance Bioavailability
pound Administrationa (t1/2, min) (mL/min/kg) (oral)b
25 i.v. 31 67 na
298 i.v. 75 17 na
298 s.c. 66 15 na
298 p.o. 312 14 29%
ai.v. = intravenous (10 time points over 150 min); s.c. = subcutaneous (10 time points over 360 min), p.o. = oral (10 time points over 240 min)
bna = not applicable
Results of the time courses for these studies are provided in FIGS. 6A-6D.
E. Gastric Emptying
To examine the effects of compounds of the invention in a model for gastroparesis, compounds were evaluated for possible effects on gastric emptying in fasted rats. For example, compounds 25 and 298 at 100 μg/kg caused a significant increase (≧30%) in gastric emptying relative to the vehicle control group. The relative efficacy (39% increase) of compounds 25 and 298 at 100 μg/kg i.v. was similar to concurrently run positive reference agents GHRP-6 at 20 μg/kg i.v. (40% increase) and metoclopramide at 10 mg/kg I.v. (41% increase). Accordingly, compounds 25 and 298 at a dose of 100 μg/kg demonstrated gastrokinetic activity in rats, with efficiency similar to GHRP-6 at 20 μg/kg and metoclopramide at 10 mg/kg. Further, compound 25 also demonstrated gastric emptying at 30 μg/kg. This is significantly more potent than other compounds interacting at this receptor previously found to enhance GI motility, which were unable to promote gastric emptying at 100 μg/kg (U.S. Pat. No. 6,548,501).
Test Substances and Dosing Pattern
GHRP-6 and test samples were dissolved in vehicle of 9% HPBCD/0.9% NaCl. Immediately following oral administration of methylcellulose (2%) containing phenol red (0.05%) (2 mL/rat), test substances or vehicle (9% HPBCD/0.9% NaCl) were each administered intravenously (i.v.) at a dosing volume of 5 mL/kg.
Animals
Male Wistar rats were provided by LASCO (A Charles River Licensee Corporation, Taiwan). Space allocation for 6 animals was 45×23×15 cm. Animals were housed in APEC® cages and maintained in a controlled temperature (22° C.-24° C.) and humidity (60%-80%) environment with 12 h light, 12 h dark cycles for at least one week in the laboratory prior to being used. Free access to standard lab chow for rats (Lab Diet, Rodent Diet, PMI Nutrition International, USA) and tap water was granted. All aspects of this work including housing, experimentation and disposal of animals were performed in general accordance with the Guide for the Care and Use of Laboratory Animals (National Academy Press, Washington, D.C., 1996).
Chemicals
Glucose (Sigma, USA), Metoclopramide-HCl (Sigma, USA), Methylcellulose (Sigma, USA), NaOH (Sodium Hydroxide, Wako, Japan), Pyrogen free saline (Astar, Taiwan), Phenol Red-Sodium salt (Sigma, USA) and Trichloroacetic acid (Merck, USA).
Equipment
8-well strip (Costar, USA), 96-well plate (Costar, USA), Animal case (ShinTeh, R. O. C.), Centrifugal separator (Kokusan, H-107, Japan), Glass syringe (1 mL, 2 mL, Mitsuba, Japan), Hypodermic needle (25G×1″, TOP Corporation, Japan), Microtube (Treff, Switzerland), pH-meter (Hanna, USA), Pipetman (P100, Gilson, France), Pipette tips (Costar, USA), Rat oral needle (Natsume, Japan), Spectra Fluor plus (Austria), Stainless scissors (Klappencker, Germany) and Stainless forceps (Klappencker, Germany).
Assay
Test substances were each administered intravenously to a group of 5 O/N-fasted Wistar derived male rats weighing 200±20 g immediately after methylcellulose (2%) containing phenol red (0.05%) was administered orally at 2 mL/animal. The animals were then sacrificed 15 minutes later. The stomach was immediately removed, homogenized in 0.1 N NaOH (5 mL) and centrifuged. Following protein precipitation by 20% trichloroacetic acid (0.5 mL) and re-alkalization of the supernatant with 0.1 N NaOH, total phenol red remaining in the stomach was determined by a colorimetric method at 560 nm. A 30 percent or more (≧30%) increase in gastric emptying, detected as the decrease in phenol red concentration in the stomach relative to the vehicle control group, is considered significant.
Results for two representative compounds of the invention are shown in FIG. 7 and in the Examples below.
F. Gastric Emptying and Intestinal Transit in Rat Model of Postoperative Ileus
This clinically relevant model for POI is adapted from that of Kalff. (Kalff, J. C.; Schraut, W. H.; Simmons, R. L.; Bauer, A. J. Surgical manipulation of the gut elicits an intestinal muscularis inflammatory response resulting in postsurgical ileus. Ann. Surg 1998, 228, 652-663.) Other known models can also be used to study the effect of compounds of the invention. (Trudel, L.; Bouin, M.; Tomasetto, C.; Eberling, P.; St-Pierre, S.; Barron, P.; L'Heureux,M. C.; Poitras, P. Two new peptides to improve post-operative gastric ileus in dog. Peptides 2003, 24, 531-534; (b) Trudel, L.; Tomasetto, C.; Rio. M. C.; Bouin, M.; Plourde, V.; Eberling, P.; Poitras, P. Ghrelin/motilin-related peptide is a potent prokinetic to reverse gastric postoperative ileus in rats. Am. J. Physiol. 2002, 282, G948-G952.)
Animals
  • 1. Rat. Sprague-Dawley, male, ˜300 g.
  • 2. Fasted O/N prior to study.
    Induction of Post-Operative Ileus (POI)
  • 1. Isofluorane anaesthesia under sterile conditions.
  • 2. Midline abdominal incision.
  • 3. Intestines and caecum were eviscerated and kept moist with saline.
  • 4. The intestines and caecum were manipulated along its entire length with moist cotton applicators analogous to the ‘running of the bowel’ in the clinical setting. This procedure was timed to last for 10 min.
  • 5. Intestines were gently replaced into the abdomen and the abdominal wound was stitched closed under sterile conditions.
    Dosing
  • 1. Rat was allowed to recover from isofluorane anaesthesia.
  • 2. Test compounds (or vehicle) were administered intravenously via previously implanted jugular catheter.
  • 3. Immediate intragastric gavage of methylcellulose (2%) labeled with radioactive 99mTc, t=0.
    Experimental
  • 1. At t=15 min, animal was euthanized with CO2.
  • 2. Stomach and 10 cm sections along the small intestine were immediately ligated, cut and placed in tubes for measuring of 99mTc in gamma counter.
  • 3. Stomach emptying and small intestinal transit were measured by calculation of the geometric mean.
    Geometric mean=Σ(% total radioactivity×number of segment)/100
Results are depicted in the graph in FIG. 8 and indicate that Compound 298 at 100 μg/kg (i.v. n=5) significantly improves postoperative ileus in comparison to POI+vehicle treated rats. Further results are presented in the Examples below,
G. Growth Hormone Response to Test Compounds
The compounds of the invention likewise can be tested in a number of animal models for their effect on GH release. For example, rats (Bowers, C. Y.; Momany, F.; Reynolds, G. A.; Chang, D.; Hong, A.; Chang, K. Endocrinology 1980, 106, 663-667), dogs (Hickey, G.; Jacks, T.; Judith, F.; Taylor, J.; Schoen, W. R.; Krupa, D.; Cunningham, P.; Clark, J.; Smith, R. G. Endocrinology 1994, 134, 695-701; Jacks, T.; Hickey, G.; Judith, F.; Taylor, J.; Chen, H.; Krupa, D.; Feeney, W.; Schoen, W. R.; Ok, D.; Fisher, M.; Wyvratt, M.; Smith, R. J. Endocrinology 1994, 143, 399-406; Hickey, G. J.; Jacks, T. M.; Schleim, K. D.; Frazier, E.; Chen, H. Y.; Krupa, D.; Feeney, W.; Nargund, R. P.; Patchett, A. A.; Smith, R. G. J. Endocrinol. 1997, 152, 183-192), and pigs (Chang, C. H.; Rickes, E. L.; Marsilio, F.; McGuire, L.; Cosgrove, S.; Taylor, J.; Chen, H. Y.; Feighner, S.; Clark, J. N.; Devita, R.; Schoen, W. R.; Wyvratt, M.; Fisher, M.; Smith, R. G.; Hickey, G. Endocrinology 1995, 136, 1065-1071; Peschke, B.; Hanse, B. S. Bioorg. Med. Chem. Lett. 1999, 9, 1295-1298) have all been successfully utilized for the in vivo study of the effects of GHS and would likewise be applicable for investigation of the effect of ghrelin agonists on GH levels. The measurement of ghrelin of GH levels in plasma after appropriate administration of compounds of the invention can be performed using radioimmunoassay via standard methods known to those in the art. (Deghenghi, R.; et al. Life Sciences 1994, 54, 1321-1328.) Binding to tissue can be studied using whole body autoradiography after dosing of an animal with test substance containing a radioactive label. (Ahnfelt-Rønne, I.; Nowak, J.; Olsen, U. B. Do growth hormone-releasing peptides act as ghrelin secretagogues? Endocrine 2001, 14, 133-135.)
The following method is employed to determine the temporal pattern and magnitude of the growth hormone (GH) response to test compounds, administered either systemically or centrally. Results for compound 298 demonstrating its lack of effect on GH release are presented in FIG. 9. Compound 25 gave similar results. Further results are presented in the Examples below.
Dosing and Sampling Procedures for In Vivo Studies of GH Release
Adult male Sprague Dawley rats (225-300 g) were purchased from Charles River Canada (St. Constant, Canada) and individually housed on a 12-h light, 12-h dark cycle (lights on, time: 0600-1800) in a temperature (22±1° C.)- and humidity-controlled room. Purina rat chow (Ralston Purina Co., St. Louis, Mo.) and tap water were freely available. For these studies, chronic intracerebroventricular (icy) and intracardiac venous cannulas were implanted under sodium pentobarbital (50 mg/kg, ip) anesthesia using known techniques. The placement of the icy cannula was verified by both a positive drinking response to icy carbachol (100 ng/110 μl) injection on the day after surgery and methylene blue dye at the time of sacrifice. After surgery, the rats were placed directly in isolation test chambers with food and water freely available until body weight returned to preoperative levels (usually within 5-7 d). During this time, the rats were handled daily to minimize any stress associated with handling on the day of the experiment. On the test day, food was removed 1.5 h before the start of sampling and was returned at the end. Free moving rats were iv injected with either test sample at various levels (3, 30, 300, 1000 μg/kg) or normal saline at two different time points during a 6-h sampling period. The times 1100 and 1300 were chosen because they reflect typical peak and trough periods of GH secretion, as previously documented. The human ghrelin peptide (5 μg, Phoenix Pharmaceuticals, Inc., Belmont, Calif.) was used as a positive control in the experiments and was diluted in normal saline just before use. To assess the central actions of test compounds on pulsatile GH release, a 10-fold lower dose of the test sample or normal saline was administered icy at the same time points, 1100 and 1300. Blood samples (0.35 mL) were withdrawn every 15 min over the 6-h sampling period (time: 1000-1600) from all animals. To document the rapidity of the GH response to the test compound, an additional blood sample was obtained 5 min after each injection. All blood samples were immediately centrifuged, and plasma was separated and stored at −20° C. for subsequent GH assay. To avoid hemodynamic disturbance, the red blood cells were resuspended in normal saline and returned to the animal after removal of the next blood sample. All animal studies were conducted under procedures approved by an animal care oversight committee.
GH Assay Method
Plasma GH concentrations were measured in duplicate by double antibody RIA using materials supplied by the NIDDK Hormone Distribution Program (Bethesda, Md.). The averaged plasma GH values for 5-6 rats per group are reported in terms of the rat GH reference preparation. The standard curve was linear within the range of interest; the least detectable concentration of plasma GH under the conditions used was approximately 1 ng/mL. All samples with values above the range of interest were reassayed at dilutions ranging from 1:2 to 1:10. The intra- and interassay coefficients of variation were acceptable for duplicate samples of pooled plasma containing a known GH concentration.
4. Pharmaceutical Compositions
The macrocyclic compounds of the present invention or pharmacologically acceptable salts thereof according to the invention may be formulated into pharmaceutical compositions of various dosage forms. To prepare the pharmaceutical compositions of the invention, one or more compounds, including optical isomers, enantiomers, diastereomers, racemates or stereochemical mixtures thereof, or pharmaceutically acceptable salts thereof as the active ingredient is intimately mixed with appropriate carriers and additives according to techniques known to those skilled in the art of pharmaceutical formulations.
A pharmaceutically acceptable salt refers to a salt form of the compounds of the present invention in order to permit their use or formulation as pharmaceuticals and which retains the biological effectiveness of the free acids and bases of the specified compound and that is not biologically or otherwise undesirable. Examples of such salts are described in Handbook of Pharmaceutical Salts: Properties, Selection, and Use, Wermuth, C. G. and Stahl, P. H. (eds.), Wiley-Verlag Helvetica Acta, Züirich, 2002 [ISBN 3-906390-26-8]. Examples of such salts include alkali metal salts and addition salts of free acids and bases. Examples of pharmaceutically acceptable salts, without limitation, include sulfates, pyrosulfates, bisulfates, sulfites, bisulfites, phosphates, monohydrogenphosphates, dihydrogenphosphates, metaphosphates, pyrophosphates, chlorides, bromides, iodides, acetates, propionates, decanoates, caprylates, acrylates, formates, isobutyrates, caproates, heptanoates, propiolates, oxalates, malonates, succinates, suberates, sebacates, fumarates, maleates, butyne-1,4-dioates, hexyne-1,6-dioates, benzoates, chlorobenzoates, methylbenzoates, dinitrobenzoates, hydroxybenzoates, methoxybenzoates, phthalates, xylenesulfonates, phenylacetates, phenylpropionates, phenylbutyrates, citrates, lactates, γ-hydroxybutyrates, glycollates, tartrates, methanesulfonates, ethane sulfonates, propanesulfonates, toluenesulfonates, naphthalene-1-sulfonates, naphthalene-2-sulfonates, and mandelates.
If an inventive compound is a base, a desired salt may be prepared by any suitable method known to those skilled in the art, including treatment of the free base with an inorganic acid, such as, without limitation, hydrochloric acid, hydrobromic acid, hydroiodic, carbonic acid, sulfuric acid, nitric acid, phosphoric acid, and the like, or with an organic acid, including, without limitation, formic acid, acetic acid, propionic acid, maleic acid, succinic acid, mandelic acid, fumaric acid, malonic acid, pyruvic acid, oxalic acid, stearic acid, ascorbic acid, glycolic acid, salicylic acid, pyranosidyl acid, such as glucuronic acid or galacturonic acid, alpha-hydroxy acid, such as citric acid or tartaric acid, amino acid, such as aspartic acid or glutamic acid, aromatic acid, such as benzoic acid or cinnamic acid, sulfonic acid, such as p-toluene-sulfonic acid, methanesulfonic acid, ethanesulfonic acid, 2-hydroxyethanesulfonic acid, benzenesulfonic acid, cyclohexyl-aminosulfonic acid or the like.
If an inventive compound is an acid, a desired salt may be prepared by any suitable method known to the art, including treatment of the free acid with an inorganic or organic base, such as an amine (primary, secondary, or tertiary); an alkali metal or alkaline earth metal hydroxide; or the like. Illustrative examples of suitable salts include organic salts derived from amino acids such as glycine, lysine and arginine; ammonia; primary, secondary, and tertiary amines such as ethylenediamine, N,N′-dibenzylethylenediamine, diethanolamine, choline, and procaine, and cyclic amines, such as piperidine, morpholine, and piperazine; as well as inorganic salts derived from sodium, calcium, potassium, magnesium, manganese, iron, copper, zinc, aluminum, and lithium.
The carriers and additives used for such pharmaceutical compositions can take a variety of forms depending on the anticipated mode of administration. Thus, compositions for oral administration may be, for example, solid preparations such as tablets, sugar-coated tablets, hard capsules, soft capsules, granules, powders and the like, with suitable carriers and additives being starches, sugars, binders, diluents, granulating agents, lubricants, disintegrating agents and the like. Because of their ease of use and higher patient compliance, tablets and capsules represent the most advantageous oral dosage forms for many medical conditions.
Similarly, compositions for liquid preparations include solutions, emulsions, dispersions, suspensions, syrups, elixirs, and the like with suitable carriers and additives being water, alcohols, oils, glycols, preservatives, flavoring agents, coloring agents, suspending agents, and the like. Typical preparations for parenteral administration comprise the active ingredient with a carrier such as sterile water or parenterally acceptable oil including polyethylene glycol, polyvinyl pyrrolidone, lecithin, arachis oil or sesame oil, with other additives for aiding solubility or preservation may also be included. In the case of a solution, it can be lyophilized to a powder and then reconstituted immediately prior to use. For dispersions and suspensions, appropriate carriers and additives include aqueous gums, celluloses, silicates or oils.
The pharmaceutical compositions according to embodiments of the present invention include those suitable for oral, rectal, topical, inhalation (e.g., via an aerosol) buccal (e.g., sub-lingual), vaginal, topical (i.e., both skin and mucosal surfaces, including airway surfaces), transdermal administration and parenteral (e.g., subcutaneous, intramuscular, intradermal, intraarticular, intrapleural, intraperitoneal, intrathecal, intracerebral, intracranially, intraarterial, or intravenous), although the most suitable route in any given case will depend on the nature and severity of the condition being treated and on the nature of the particular active agent which is being used.
Compositions for injection will include the active ingredient together with suitable carriers including propylene glycol-alcohol-water, isotonic water, sterile water for injection (USP), emulPhorm™-alcohol-water, cremophor-EL™ or other suitable carriers known to those skilled in the art. These carriers may be used alone or in combination with other conventional solubilizing agents such as ethanol, propylene glycol, or other agents known to those skilled in the art.
Where the macrocyclic compounds of the present invention are to be applied in the form of solutions or injections, the compounds may be used by dissolving or suspending in any conventional diluent. The diluents may include, for example, physiological saline, Ringer's solution, an aqueous glucose solution, an aqueous dextrose solution, an alcohol, a fatty acid ester, glycerol, a glycol, an oil derived from plant or animal sources, a paraffin and the like. These preparations may be prepared according to any conventional method known to those skilled in the art.
Compositions for nasal administration may be formulated as aerosols, drops, powders and gels. Aerosol formulations typically comprise a solution or fine suspension of the active ingredient in a physiologically acceptable aqueous or non-aqueous solvent. Such formulations are typically presented in single or multidose quantities in a sterile form in a sealed container. The sealed container can be a cartridge or refill for use with an atomizing device. Alternatively, the sealed container may be a unitary dispensing device such as a single use nasal inhaler, pump atomizer or an aerosol dispenser fitted with a metering valve set to deliver a therapeutically effective amount, which is intended for disposal once the contents have been completely used. When the dosage form comprises an aerosol dispenser, it will contain a propellant such as a compressed gas, air as an example, or an organic propellant including a fluorochlorohydrocarbon or fluorohydrocarbon.
Compositions suitable for buccal or sublingual administration include tablets, lozenges and pastilles, wherein the active ingredient is formulated with a carrier such as sugar and acacia, tragacanth or gelatin and glycerin.
Compositions for rectal administration include suppositories containing a conventional suppository base such as cocoa butter.
Compositions suitable for transdermal administration include ointments, gels and patches.
Other compositions known to those skilled in the art can also be applied for percutaneous or subcutaneous administration, such as plasters.
Further, in preparing such pharmaceutical compositions comprising the active ingredient or ingredients in admixture with components necessary for the formulation of the compositions, other conventional pharmacologically acceptable additives may be incorporated, for example, excipients, stabilizers, antiseptics, wetting agents, emulsifying agents, lubricants, sweetening agents, coloring agents, flavoring agents, isotonicity agents, buffering agents, antioxidants and the like. As the additives, there may be mentioned, for example, starch, sucrose, fructose, dextrose, lactose, glucose, mannitol, sorbitol, precipitated calcium carbonate, crystalline cellulose, carboxymethylcellulose, dextrin, gelatin, acacia, EDTA, magnesium stearate, talc, hydroxypropylmethylcellulose, sodium metabisulfite, and the like.
In some embodiments, the composition is provided in a unit dosage form such as a tablet or capsule.
In further embodiments, the present invention provides kits including one or more containers comprising pharmaceutical dosage units comprising an effective amount of one or more compounds of the present invention.
The present invention further provides prodrugs comprising the compounds described herein. The term “prodrug” is intended to mean a compound that is converted under physiological conditions or by solvolysis or metabolically to a specified compound that is pharmaceutically active. The “prodrug” can be a compound of the present invention that has been chemically derivatized such that, (i) it retains some, all or none of the bioactivity of its parent drug compound, and (ii) it is metabolized in a subject to yield the parent drug compound. The prodrug of the present invention may also be a “partial prodrug” in that the compound has been chemically derivatized such that, (i) it retains some, all or none of the bioactivity of its parent drug compound, and (ii) it is metabolized in a subject to yield a biologically active derivative of the compound. Known techniques for derivatizing compounds to provide prodrugs can be employed. Such methods may utilize formation of a hydrolyzable coupling to the compound.
The present invention further provides that the compounds of the present invention may be administered in combination with a therapeutic agent used to prevent and/or treat metabolic and/or endocrine disorders, gastrointestinal disorders, cardiovascular disorders, obesity and obesity-associated disorders, central nervous system disorders, genetic disorders, hyperproliferative disorders and inflammatory disorders. Exemplary agents include analgesics (including opioid analgesics), anesthetics, antifungals, antibiotics, antiinflammatories (including nonsteroidal anti-inflammatory agents), anthelmintics, antiemetics, antihistamines, antihypertensives, antipsychotics, antiarthritics, antitussives, antivirals, cardioactive drugs, cathartics, chemotherapeutic agents (such as DNA-interactive agents, antimetabolites, tubulin-interactive agents, hormonal agents, and agents such as asparaginase or hydroxyurea), corticoids (steroids), antidepressants, depressants, diuretics, hypnotics, minerals, nutritional supplements, parasympathomimetics, hormones (such as corticotrophin releasing hormone, adrenocorticotropin, growth hormone releasing hormone, growth hormone, thyrptropin-releasing hormone and thyroid stimulating hormone), sedatives, sulfonamides, stimulants, sympathomimetics, tranquilizers, vasoconstrictors, vasodilators, vitamins and xanthine derivatives.
Subjects suitable to be treated according to the present invention include, but are not limited to, avian and mammalian subjects, and are preferably mammalian. Mammals of the present invention include, but are not limited to, canines, felines, bovines, caprins, equines, ovines, porcines, rodents (e.g. rats and mice), lagomorphs, primates, humans, and the like, and mammals in utero. Any mammalian subject in need of being treated according to the present invention is suitable. Human subjects are preferred. Human subjects of both genders and at any stage of development (i.e., neonate, infant, juvenile, adolescent, adult) can be treated according to the present invention.
Illustrative avians according to the present invention include chickens, ducks, turkeys, geese, quail, pheasant, ratites (e.g., ostrich) and domesticated birds (e.g., parrots and canaries), and birds in ovo.
The present invention is primarily concerned with the treatment of human subjects, but the invention can also be carried out on animal subjects, particularly mammalian subjects such as mice, rats, dogs, cats, livestock and horses for veterinary purposes, and for drug screening and drug development purposes.
In therapeutic use for treatment of conditions in mammals (i.e. humans or animals) for which a modulator, such as an agonist, of the ghrelin receptor is effective, the compounds of the present invention or an appropriate pharmaceutical composition thereof may be administered in an effective amount. Since the activity of the compounds and the degree of the therapeutic effect vary, the actual dosage administered will be determined based upon generally recognized factors such as age, condition of the subject, route of delivery and body weight of the subject. The dosage can be from about 0.1 to about 100 mg/kg, administered orally 1-4 times per day. In addition, compounds can be administered by injection at approximately 0.01-20 mg/kg per dose, with administration 1-4 times per day. Treatment could continue for weeks, months or longer. Determination of optimal dosages for a particular situation is within the capabilities of those skilled in the art.
5. Methods of Use
The compounds of formula I, II and/or III of the present invention can be used for the prevention and treatment of a range of medical conditions including, but not limited to, metabolic and/or endocrine disorders, gastrointestinal disorders, cardiovascular disorders, obesity and obesity-associated disorders, central nervous system disorders, genetic disorders, hyperproliferative disorders, inflammatory disorders and combinations thereof where the disorder may be the result of multiple underlying maladies. In particular embodiments, the disease or disorder is irritable bowel syndrome (IBS), non-ulcer dyspepsia, Crohn's disease, gastroesophogeal reflux disorders, constipation, ulcerative colitis, pancreatitis, infantile hypertrophic pyloric stenosis, carcinoid syndrome, malabsorption syndrome, diarrhea, diabetes including diabetes mellitus (type II diabetes), obesity, atrophic colitis, gastritis, gastric stasis, gastrointestinal dumping syndrome, postgastroenterectomy syndrome, celiac disease, an eating disorder or obesity. In other embodiments, the disease or disorder is congestive heart failure, ischemic heart disease or chronic heart disease. In still other embodiments, the disease or disorder is osteoporosis and/or frailty, congestive heart failure, accelerating bone fracture repair, metabolic syndrome, attenuating protein catabolic response, cachexia, protein loss, impaired or risk of impaired wound healing, impaired or risk of impaired recovery from burns, impaired or risk of impaired recovery from surgery, impaired or risk of impaired muscle strength, impaired or risk of impaired mobility, alterted or risk of altered skin thickness, impaired or risk of impaired metabolic homeostasis or impaired or risk of impaired renal homeostasis. In other embodiments, the disease or disorder involves facilitating neonatal development, stimulating growth hormone release in humans, maintenance of muscle strength and function in humans, reversal or prevention of frailty in humans, prevention of catabolic side effects of glucocorticoids, treatment of osteoporosis, stimulation and increase in muscle mass and muscle strength, stimulation of the immune system, acceleration of wound healing, acceleration of bone fracture repair, treatment of renal failure or insufficiency resulting in growth retardation, treatment of short stature, treatment of obesity and growth retardation, accelerating the recovery and reducing hospitalization of burn patients, treatment of intrauterine growth retardation, treatment of skeletal dysplasia, treatment of hypercortisolism, treatment of Cushing's syndrome, induction of pulsatile growth hormone release, replacement of growth hormone in stressed patients, treatment of osteochondrodysplasias, treatment of Noonans syndrome, treatment of schizophrenia, treatment of depression, treatment of Alzheimer's disease, treatment of emesis, treatment of memory loss, treatment of reproduction disorders, treatment of delayed wound healing, treatment of psychosocial deprivation, treatment of pulmonary dysfunction, treatment of ventilator dependency; attenuation of protein catabolic response, reducing cachexia and protein loss, treatment of hyperinsulinemia, adjuvant treatment for ovulation induction, stimulation of thymic development, prevention of thymic function decline, treatment of immunosuppressed patients, improvement in muscle mobility, maintenance of skin thickness, metabolic homeostasis, renal homeostasis, stimulation of osteoblasts, stimulation of bone remodeling, stimulation of cartilage growth, stimulation of the immune system in companion animals, treatment of disorders of aging in companion animals, growth promotion in livestock, and/or stimulation of wool growth in sheep.
According to a further aspect of the invention, there is provided a method for the treatment of post-operative ileus, cachexia (wasting syndrome), such as that caused by cancer, AIDS, cardiac disease and renal disease, gastroparesis, such as that resulting from type I or type II diabetes, other gastrointestinal disorders, growth hormone deficiency, bone loss, and other age-related disorders in a human or animal patient suffering therefrom, which method comprises administering to said patient an effective amount of at least one member selected from the compounds disclosed herein having the ability to modulate the ghrelin receptor. Other diseases and disorders treated by the compounds disclosed herein include short bowel syndrome, gastrointestinal dumping syndrome, postgastroenterectomy syndrome, celiac disease, and hyperproliferative disorders such as tumors, cancers, and neoplastic disorders, as well as premalignant and non-neoplastic or non-malignant hyperproliferative disorders. In particular, tumors, cancers, and neoplastic tissue that can be treated by the present invention include, but are not limited to, malignant disorders such as breast cancers, osteosarcomas, angiosarcomas, fibrosarcomas and other sarcomas, leukemias, lymphomas, sinus tumors, ovarian, uretal, bladder, prostate and other genitourinary cancers, colon, esophageal and stomach cancers and other gastrointestinal cancers, lung cancers, myelomas, pancreatic cancers, liver cancers, kidney cancers, endocrine cancers, skin cancers and brain or central and peripheral nervous (CNS) system tumors, malignant or benign, including gliomas and neuroblastomas.
In particular embodiments, the macrocyclic compounds of the present invention can be used to treat post-operative ileus. In other embodiments, the compounds of the present invention can be used to treat gastroparesis. In still other embodiments, the compounds of the present invention can be used to treat diabetic gastroparesis. In another embodiment, the compounds of the present invention can be used to treat opioid-induced bowel dysfunction. In further embodiments, the compounds of the present invention can be used to treat chronic intestinal pseudoobstruction.
The present invention further provides methods of treating a horse or canine for a gastrointestinal disorder comprising administering a therapeutically effective amount of a modulator having the structure of formula I, II and/or III. In some embodiments, the gastrointestinal disorder is ileus or colic.
As used herein, “treatment” is not necessarily meant to imply cure or complete abolition of the disorder or symptoms associated therewith.
The compounds of the present invention can further be utilized for the preparation of a medicament for the treatment of a range of medical conditions including, but not limited to, metabolic and/or endocrine disorders, gastrointestinal disorders, cardiovascular disorders, obesity and obesity-associated disorders, genetic disorders, hyperproliferative disorders and inflammatory disorders.
Further embodiments of the present invention will now be described with reference to the following examples. It should be appreciated that these examples are for the purposes of illustrating embodiments of the present invention, and do not limit the scope of the invention.
EXAMPLE 1 Synthesis of Tethers
A. Standard Procedure for the Synthesis of Tether T9
Figure USRE042624-20110816-C01185
Step T9-1: To a solution of 2-iodophenol (9-0, 200 g, 0.91 mol, 1.0 eq) in DMF (DriSolv®, 560 mL) is added sodium hydride 60% in mineral oil (3.64 g, 0.091 mol, 0.1 eq) by portions (hydrogen is seen to evolve). The reaction is heated for 1 h at 100° C. under nitrogen, then ethylene carbonate is added and the reaction mixture heated O/N at 100° C. The reaction is monitored by TLC (conditions: 25/75 EtOAc/hex; Rf: 0.15. detection: UV, CMA). The reaction mixture is allowed to cool, then the solvent evaporated under reduced pressure. The residual oil is diluted in Et2O (1.5 L), then washed sequentially with 1 N sodium hydroxide (3×) and brine (2×), dried with MgSO4, filtered and the filtrate evaporated under reduced pressure. The crude product is distilled under vacuum (200 μm Hg) at 110-115° C. to provide 9-1.
Step T9-2: A solution of 9-1 (45.1 g, 0.171 mol, 1.0 eq) and Ddz-propargylamine (9-A, synthesized by standard protection procedures, 59.3 g, 0.214 mol, 1.25 eq) in acetonitrile (DriSolv®, 257 mL) was degassed by passing argon through the solution for 10-15 min. To this was added Et3N (85.5 mL, stirred O/N with CaH2, then distilled) and the mixture was again purged by bubbling with argon, this time for 5 min. Recrystallized copper (I) iodide (1.14 g, 0.006 mol, 0.035 eq) and trans-dichloro-bis(triphenylphosphine) palladium (II) (Strem Chemicals, 3.6 g, 0.0051 mol, 0.03 eq) are added and the reaction mixture stirred for 4 h under argon at rt. After 5-10 min, the reaction mixture turned black. The reaction was monitored by TLC (conditions: 55/45 EtOAc/hex). When complete, the solvent was removed under reduced pressure until dryness, then the residual oil diluted with 1 L of a 15% DCM in Et2O solution. The organic phase is washed with citrate buffer pH 4-5 (3×), saturated aqueous sodium bicarbonate (2×), and brine (1×), then dried with MgSO4, filtered and the filtrate evaporated under reduced pressure. The crude product thus obtained is purified by a dry pack column starting with 30% EtOAc/Hex (4-8 L) then increasing by 5% EtOAc increments until 55% EtOAc/Hex to give 9-2 as a brown syrup (yield: 65.8 g, 93.2%).
Step T9-3: To a solution of Ddz-amino-alcohol 9-2 (65.8 g, 0.159 mol, 1.0 eq) in 95% ethanol under nitrogen was added Platinum (IV) oxide (3.6 g, 0.016 mol, 0.1 eq) and then hydrogen gas bubbled into the solution for 2 h. The mixture was stirred O/N, maintaining an atmosphere of hydrogen using a balloon. The reaction was monitored by 1H NMR until completion. When the reaction is complete, nitrogen was bubbled for 10 min to remove the excess hydrogen. The solvent is evaporated under reduced pressure, then diluted with EtOAc, filtered through a silica gel pad and the silica washed with EtOAc until no further material was eluted as verified by TLC. (55/45 EtOAc/hex) The combined filtrates were concentrated under reduced pressure. The residue is diluted in DCM (500 mL) and 4 eq of scavenger resin was added and the suspension stirred O/N. For this latter step, any of three different resins were used. MP-TMT resin (Argonaut Technologies, Foster City, Calif., 0.73 mmol/g) is preferred, but others, for example, PS-TRIS (4.1 mmol/g) and Si-Triamine (Silicycle, Quebec City, QC, 1.21 mmol/g) can also be employed effectively. The resin was filtered and washed with DCM, the solvent evaporated under reduced pressure, then dried further under vacuum (oil pump) to provide the product. The yield of Ddz-T9 from 9-0 on a 65 g scale was 60.9 g (91%)
1H NMR (CDCl3): δ 7.19-7.01, (m, 2H), 6.92-9.83 (m, 2H), 6.53 (bs, 2H), 6.34 (t, 1H), 5.17 (bt, 1H), 4.08 (m, 2H), 3.98 (m, 2H), 3.79 (s, 6H), 3.01 (bq, 2H), 2.66 (t, 3H), 1.26 (bs, 8H);
13CNMR(CDCl3): δ 160.9, 156.8, 155.6, 149.6, 130.4, 127.5, 121.2, 111.7, 103.2, 98.4, 80.0, 69.7, 61.6, 55.5, 40.3, 30.5, 29.3, 27.4 ppm.
Tether T9 can also be synthesized from another tether molecule by reduction as in step T9-3 or with other appropriate hydrogenation catalysts known to those in the art.
B. Standard Procedure for the Synthesis of Tether T33a T33b
Figure USRE042624-20110816-C01186
The construction to the (R)-isomer of this tether (T33a) was accomplished from 2-iodophenol (33-0) and (S)-methyl lactate (33-A). Mitsunobu reaction of 33-0 and 33-A proceeded with inversion of configuration in excellent yield to give 33-1. Reduction of the ester to the corresponding alcohol (33-2) also occurred in high yield and was followed by Sonagashira reaction with Ddz-propargylamine (33-B). The alkyne in the resulting coupling product, 33-3, was reduced with catalytic hydrogenation. Workup with scavenger resin provided the desired product, Ddz-T33a.
The synthesis of the (S)-enantiomer (Ddz-T33b) was carried out in an identical manner in comparable yield starting from (R)-methyl lactate (33-B)
Figure USRE042624-20110816-C01187

C. Standard Procedure for the Synthesis of Tether Precursor RCM-TA1
Figure USRE042624-20110816-C01188
Step A1-1. To a solution of diol A 1-0 (50 g, 567 mmol, 1.0 eq) in CH2Cl2 (1.5 L) were added Et3N (34.5 mL, 341 mmol, 0.6 eq) and DMAP (1.73 g, 14.2 mmol, 0.025 eq). TBDMSC1 (42.8 g, 284 mmol. 0.5 eq) in CH2Cl2 (100 mL) was added to this mixture at rt over 4 h with a syringe pump. The reaction was monitored by TLC [EtOAc/hexanes (30:70); detection: KMnO4; Rf=0.39], which revealed starting material, mono-protected compound and di-protected compound. The mixture was stirred O/N, washed with H2O, saturated NH4Cl (aq) and brine, then dried over MgSO4, filtered and evaporated under reduced pressure. The residue was purified by flash chromatography (EtOAc/hexanes, 30:70) to give the desired mono-protected alcohol A1-1 (yield: 31%).
Step A1-2. To a solution of alcohol A1-1 (26.5 g, 131 mmol, 1.0 eq) in THF (130 mL) at 0° C. was added PPh3 (44.7 g, 170 mmol, 1.3 eq). A freshly prepared and titrated 1.3 M solution of HN3 (149 mL, 157 mmol, 1.5 eq) was added slowly to this mixture, then DIAD (32 mL, 163 mmol, 1.25 eq) also added slowly. This was an exotheric reaction. The resulting mixture was stirred at 0° C. for 1 h with monitoring of the reaction by TLC [EtOAc/hexanes (30:70); detection: KMnO4; Rf=0.77]. Compound A1-2 was obtained, but was not isolated and instead used directly for the next step in solution.
Step A1-3. PPh3 (51 g, 196 mmol, 1.5 eq) was added by portion to the solution of A1-2 and the resulting mixture was stirred at 0° C. for 2 h, allowed to warm to rt and maintained there for 3 h, then H2O (24 mL, 1331 mmol, 10 eq) added.
Figure USRE042624-20110816-C01189

This mixture was heated at 60° C. O/N. The reaction was monitored by TLC [EtOAc/hexanes (1:9); detection: KMnO4; Rf=baseline]. After cooling, a solution of 2 N HCl (327 mL, 655 mmol, 5.0 eq) was added and the resulting mixture stirred at rt for 2 h to obtain compound A1-3 in solution, which was used directly in the next step. TLC [DCM/MeOH/30% NH4OH (7:3:1); detection: KMnO4; Rf=0.32].
Step A1-4. For the next transformation, THF was evaporated under reduced pressure from the above reaction mixture and the remaining aqueous phase extracted with Et2O (5×150 mL) and CHCl3 (3×150 mL). The organic phases were monitored by TLC and if any A1-3 was observed, the organic phase was then extracted with 2 N HCl. The aqueous phase was neutralized cautiously to pH 8 with 10 N NaOH. CH3CN (400 mL) was added to this aqueous solution and Fmoc-OSu (41.9 g, 124 mmol, 0.95 eq) in CH3CN (400 mL) added slowly over 50 min. The solution was stirred at rt O/N. The reaction progress was monitored by TLC [EtOAc/hexanes (1:1); detection: ninhydrin; Rf=0.27]. The aqueous phase was extracted with Et2O, then the combined organic phase dried over MgSO4 and concentrated under reduced pressure. The solid residue obtained was mixed with H2O (120 mL), stirred 30 min, filtered (to remove succinimide byproduct) and dried O/N under vacuum (oil pump). The solid was purified by flash chromatography [gradient: EtOAc/hexanes (50:50) to EtOAc/hexanes (70:30), with the change of eluent once Fmoc-OSu was removed as indicated by TLC] to give compound TA1 as a white solid (yield: 71%).
1H NMR (CDCl3, ppm): 7.8 (d, 2H), 7.6 (d, 2H), 7.4 (t, 2H), 7.3 (t, 2H), 5.9-5.7 (1H, m), 5.6-5.5 (1H, m), 5.0 (1H, broad), 4.4 (2H, d), 4.2 (2H, d), 3.9 (2H, broad), 2.1 (1H, broad).
13C NMR (CDCl3, ppm): 156.8, 144.1, 141.5, 131.9, 128.3, 127.9, 127.3, 125.2, 120.2, 67.0, 58.0, 47.4, 38.0.
D. Standard Procedure for the Synthesis of Tether Precursor RCM-TA2
This material was accessed through application of the cross metathesis reaction shown to construct the carbon backbone. The resulting nitrile was reduced to the amine, which was protected in situ with Fmoc or other appropriate protecting group prior to attachment to the resin, which was performed using standard solid phase chemistry procedures known to those in the art. This standard procedure would also be applicable to homologues of TA2
E. Standard Procedure for the Synthesis of Tether Precursor RCM-TB1
Figure USRE042624-20110816-C01190
Step B1-1. To 2-bromobenzyl alcohol (B1-0, 30 g, 160 mmol) in DCM (DriSolv®, 530 mL) as an approximately 0.3 M solution, was added dihydropyran (B1-A, 22 mL, 241 mmol). Pyridinium p-toluenesulfonate (PPTS, 4.0 g, 16 mmol) was added and the reaction mixture stirred vigorously at rt O/N. A saturated solution of Na2CO3 (aq, 200 mL) was then added and the mixture stirred for 30 min. The DCM layer was separated, washed successively with saturated Na2CO3 (aq, 2×100 mL) and brine (2×50 mL), and dried over anhydrous MgSO4. The solvent was evaporated under reduced pressure and the crude residue was purified by dry-pack silica-gel column. [EtOAc/hexanes (1:9); before loading the crude material, the silica was neutralized by flushing with 1% Et3N in DCM] This afforded B1-1 as a colorless oil (42 g, 97%). TLC [EtOAc/hexanes (1:9); Rf=0.56]
Step B1-2. Magnesium turnings (2.21 g, 90 mmol) were added to an approximately 0.8 M solution of B1-1 (from which several portions of toluene were evaporated to remove traces of water, 22.14 g, 81.8 mmol) in anhydrous THF (distilled from sodium benzopheneone ketyl, 100 mL) under an atmosphere of nitrogen. The reaction was initiated by adding iodine chips (50 mg, 0.002 equiv). The reaction mixture was heated to reflux for 2 h, during which time most of the Mg turnings disappeared. The reaction was allowed to cool to rt. In a separate flame-dried round-bottomed flask, freshly distilled allyl bromide (6.92 mL, 81.8 mmol) was diluted with anhydrous THF (50 mL) under a nitrogen atmosphere and cooled to 0° C. using an ice-water bath. To this was gradually transferred the now cooled Grignard solution over a period of 20-30 min using a cannula ensuring that the unreacted magnesium turnings remained in the source flask. The contents of the Grignard preparation flask were washed (2×5 mL dry THF) and the washings transferred via cannula to the allyl bromide solution as well. The resulting mixture was stirred O/N under N2 while allowing it to gradually warm to rt. The reaction was quenched by adding saturated NH4Cl (aq) solution, then diluted with 100 mL Et2O and the layers separated. The aqueous phase was extracted with Et2O (3×100 mL) and the combined organic layers dried over MgSO4, then concentrated under reduced pressure to provide B1-2 (18.54 g, 98%). TLC [EtOAc/hexanes (1:9), Rf=0.53]. This material was utilized in the next step without further purification.
Step B1-3. 2-(2-Propenyl)benzyl alcohol (TB1). The crude THP ether B1-2 (18.54 g, 80 mmol) was dissolved in MeOH (160 mL) and p-toluenesulfonic acid monohydrate (PTSA, 1.52 g, 8 mmol) added. The resulting mixture was stirred at rt O/N, then concentrated under reduced pressure and the residue diluted with Et2O (100 mL). The organic layer was sequentially washed with 5% NaHCO3 (aq) solution (3×50 mL) and brine (1×50 mL), then dried over MgSO4. The solvent was evaporated under reduced pressure and the residue purified by flash chromatography (EtOAc/hexanes, 1:9), to obtain TB1 as a pale-yellow oil (9.2 g, 78%). TLC [EtOAc/hexanes (1:9), detection: UV, PMA; Rf=0.24]
F. Standard Procedure for the Synthesis of Tether Precursor RCM-TB2
Figure USRE042624-20110816-C01191
Step B2-1. To a suspension of MePPh3Br (85.7 g, 240 mmol, 2.2 eq) in THF (500 mL) was added t-BuOK in portions (26.9 g, 240 mmol, 2.2 eq) and the resulting mixture stirred at rt for 2 h during which time it became yellow. The reaction mixture was cooled to −78° C., 2-hydroxybenzaldehyde (B2-0, 11.6 mL, 109 mmol, 1.0 eq) added over 10 min, then it was stirred O/N at rt. The reaction progress was monitored by TLC [EtOAc/hexanes (20:80); detection: UV, CMA: Rf=0.25]. A saturated NH4Cl (aq) solution was added and the resulting aqueous phase extracted with Et2O (3×). The combined organic phase was dried over MgSO4, filtered and concentrated under reduced pressure. The residue was purified by flash chromatography (EtOAc/hexanes, 30:70) to give B2-1 as a yellow oil. The identity and purity were confirmed by 1H NMR (yield: 100%).
Step B2-2. To a solution of alcohol B2-1 (2.0 g, 16.7 mmol, 1.0 eq) in DMF at 0° C. was added cesium carbonate (1.1 g, 3.34 mmol, 0.2 eq) and the mixture stirred at 0° C. for 15 min. The reaction was warmed to 100° C. and ethylene carbonate added. The resulting mixture was stirred at 100° C. O/N. The reaction was monitored by TLC [EtOAc/hexanes (30:70); detection: UV, CMA; Rf=0.21]. The solution was cooled to rt and H2O added. The resulting aqueous phase was extracted with Et2O (3×). The organic phase was extracted with brine (3×), dried with MgSO4, filtered and concentrated under reduced pressure. A yellow syrup (TB2) was obtained (yield: 96%), which was of sufficient purity (as assessed by NMR) for further use without additional purification. Note that this product proved to be unstable in the presence of acid.
1H NMR (CDCl3, ppm): 7.50 (1H, dd, Ph), 7.22 (1H, td, Ph), 7.05 (dd, 1H, PhCH═CH2), 6.98 (1H, t, Ph), 7.90 (1H, d, Ph), 5.75 (1H, dd, PhCH═CHH), 5.30 (1H, dd, PhCH═CHH), 4.15-4.10 (2H, m, PhOCH 2CH2OH), 4.05-3.95 (2H, m, PhOCH2CH 2OH), 2.05 (1H, s, OH).
G. Standard Procedure for the Synthesis of Tether Precursor RCM-TB3
Figure USRE042624-20110816-C01192
To a solution of 2′-bromophenethylalcohol (B3-0, 2.0 mL, 14.9 mmol, 1.0 eq) in toluene (50 mL) were added tetrakis (triphenylphosphine)palladium(0) [Pd(PPh3)4, 347 mg, 0.30 mmol, 0.02 eq) and vinyltributyltin (6.5 mL, 22.4 mmol, 1.5 eq). The resulting mixture was stirred at reflux for 24 h under N2. Monitoring reaction progress by TLC was difficult since the starting material and product possessed the same Rf [EtOAc/hexanes (30:70)]. The reaction mixture was cooled to rt and saturated KF (aq) solution added at which time a precipitate was formed. The solid was optionally removed by filtration and the aqueous phase extracted with DCM (4×). The combined organic phase was extracted with brine, dried over MgSO4 and concentrated under reduced pressure. The residue was purified by flash chromatography (EtOAc/hexanes, 30:70) to give TB3 as a colorless oil. The identity and purity were confirmed by 1H NMR (yield: 100%).
1H NMR (CDCl3, ppm): 7.57-7.45 (1H, m, Ph), 7.30-7.15 (3H, m, Ph), 7.05 (dd, 1H, PhCH═CH2), 5.65 (1H, dd, PhCH═CHH), 5.32 (1H, dd, PhCH═CHH), 4.85 (2H, t, PhCH2CH 2OH), 2.98 (2H, t, PhCH 2CH2OH), 1.50 (1H, s, O H.
H. Standard Procedure for the Synthesis of Tether Precursor RCM-TB4
Figure USRE042624-20110816-C01193
Step B4-1. 1,2-Dihydronaphthalene (B4-0, 5.0 g, 38.4 mmol, 1.0 eq) was dissolved in 200 mL of DCM:MeOH (1:1) and the solution cooled to −78° C. Ozone (O3) was bubbled through the solution until a blue color developed. The reaction was monitored by TLC [EtOAc/hexanes (30:70); detection: UV, CMA; Rf=0.25]. Excess O3 was then removed by bubbling N2 through the solution until the blue color had dissipated. Sodium borohydride (2.9 g, 76.8 mmol, 2.0 eq) was added slowly to the mixture, then it was stirred at rt for 1 h. The reaction was monitored by TLC [EtOAc/hexanes (30:70); detection: UV, CMA; Rf=0.06]. A saturated NH4Cl (aq) solution was added slowly, then the aqueous phase was extracted with DCM (3×). The combined organic phase was dried over MgSO4, filtered and concentrated under reduced pressure. B4-1 was obtained as a yellow oil (yield: 100%). The identity and purity of the compound was confirmed by NMR analysis and typically was of sufficient purity to be used without further manipulation.
Step B4-2. To a solution of the diol B4-1 (6.38 g, 38.4 mmol, 1.0 eq) in benzene (200 mL) was added MnO2 (85%, 16.7 g. 192 mmol, 5.0 eq) and the resulting mixture stirred 1 h at rt. The reaction was monitored by TLC [EtOAc/hexanes (50:50); detection: UV, CMA; Rf=0.24] and more MnO2 (5 eq) added each 1 h period until the reaction was completed, typically this required 2-3 such additions. The MnO2 was filtered through a Celite pad, which was then washed with EtOAc. The combined filtrate and washes were evaporated under reduced pressure to give B4-2. A 1H NMR was taken to check the purity of the resulting compound, which typically contained small amounts of impurities. However, this was sufficiently pure for use in the next step, which was preferably performed on the same day as this step since the aldehyde product (B4-2) had limited stability.
Step B4-3. To a suspension of MePPh3Br (30.2 g, 84.5 mmol, 2.2 eq) in THF (200 mL) was added t-BuOK in portions (9.5 g, 84.5 mmol, 2.2 eq) and the resulting mixture stirred at rt for 2 h during which time the solution became yellow. The reaction mixture was cooled to −78° C., B4-2 [6.3 g, 38.4 mmol, 1.0 eq (based on the theoretical yield)] added over 10 min, then the mixture stirred O/N at rt. The reaction was monitored by TLC [EtOAc/hexanes (50:50); detection: UV, CMA; Rf=0.33]. A saturated NH4Cl (aq) solution was added and the resulting aqueous phase extracted with EtOAc (3×). The combined organic phase was dried over MgSO4, filtered and concentrated under reduced pressure. The residue was purified by flash chromatography (EtOAc/hexanes, 40:60) to give TB4 as a yellow oil. NMR was used to confirm the identity and purity of the product (yield: 73%, 2 steps).
1H NMR (CDCl3, ppm): 7.55-7.45 (1H, m, Ph), 7.25-7.10 (3H, m, Ph), 7.05 (dd, 1H, PhCH═CH2), 5.65 (1H, dd, PhCH═CHH), 5.30 (1H, dd, PhCH═CHH), 3.70 (2H, t, PhCH2CH2CH 2OH), 2.80 (2H, t, PhCH 2CH2CH2OH), 1.90-1.80 (2H, m, PhCH2CH 2CH2OH), 1.45 (1H, s, OH).
I. Standard Procedure for the Synthesis of Tether T45
Figure USRE042624-20110816-C01194
The protected version of this tether was obtained through standard transformations involving monoprotection of triethyleneglycol (45-0) followed by conversion of the remaining alcohol to a mesylate, displacement with azide and catalytic reduction in the presence of di-t-butyl dicarbonate.
J. Standard Procedure for the Synthesis of Tether T65
Figure USRE042624-20110816-C01195
See the preparation of T9-2 as this tether is actually an intermediate in the synthesis of tether T9.
1H NMR (CDCl3): δ 7.38-7.35 (bd, 1H), 7.30-7.19 (m, 1H), 6.92 (dd, 2H), 4.88 (bs, 1H), 4.16-4.11 (bt, 4H), 3.98-3.95 (t, 2H), 1.46 (s, 9H).
13C NMR (CDCl3): δ 156.7. 155.8, 133.6, 130.0, 121.3, 114.8, 113.1, 112.9, 90.2, 70.8, 61.4, 28.6
K. Standard Procedure for the Synthesis of Tether T66
Figure USRE042624-20110816-C01196
To a solution of alkyne (Boc-T65, 13.1 g, 45.1 mmol, 1.0 eq) in EtOH/AcOEt (5:1) under N2 is added quinoline (106 μl, 0.9 mmol. 0.02 eq) and the Lindlar catalyst (1.3 g, 10% wt), then hydrogen is bubbled into the mixture. The reaction is monitored (each 30-40 min) by 1H NMR until the reaction is complete. Then, the reaction is filtered through a Celite pad and rinsed with AcOEt until there is no more material eluting. The solvent is removed under reduced pressure. The crude product is purified by flash chromatography with 15% AcOEt/Hex to 40% AcOEt/Hex to give Boc-T66 an oil. (Yield: 7.8 g, 59%) TLC (45/55AcOEt/Hex): Rf: 0.15; detection: UV, KMnO4.
1H NMR (CDCl3): , 7.27-7.21 (td, 1H), 7.15-7.10 (dd, 1H), 7.00.6.85, (m, 2H), 6.62-6.58 (bd, 1H), 5.77-5.70 (dt, 1H), 4.13-4.03 (m, 2H), 3.97-3.95 (m, 2H), 3.9-3.88 (bd, 2H), 1.46, (s, 9H)
L. Standard Procedure for the Synthesis of Tether T67
Figure USRE042624-20110816-C01197
To a solution of Et2Zn (1 M hexanes, 153 mL, 153.6 mmol, 3.0 eq) in CH2Cl2 (150 mL) at −20° C. was added CH2I2 (12.4 mL, 153.6 mmol, 3.0 eq) (CAUTION: Pressure can develop.) and the mixture stirred at −20° C. for 15 min. Boc-T8 (15.0 g, 51.2 mmol, 1.0 eq) in CH2Cl2 (100 mL) was then added and the mixture stirred at room temperature O/N. The reaction was monitored by TLC [(60% AcOEt: 40% hexane); detection: UV and CMA; Rf=0.39]. The solution was treated with aqueous NH4Cl (saturated) and the aqueous phase was extracted with CH2Cl2. The organic phase was dried over MgSO4 and concentrated under reduced pressure. The residue was purified by flash chromatography (60% AcOEt: 40% hexane) to give Boc-T67 as a yellow oil (yield: 57%.
1H NMR (CDCl3, ppm): 7.18 (1H, t), 7.03 (1H, d), 6.88 (2H, t), 4.23-4.04 (4H, m), 3.73-3.70 (2H, m), 1.48 (1H, broad), 1.28 (9H, s), 1.12-1.06 (1H, m), 1.0-0.93 (1H, m), 0.76 (2H, dt).
M. Standard Procedure for the Synthesis of Tether T68
Figure USRE042624-20110816-C01198
To a solution of Et2Zn (1 M in hexanes, 49.2 mL, 49.2 mmol, 3.0 eq) in CH2Cl2 (30 mL) at −20° C. was added CH2I2 (3.9 mL. 49.2 mmol, 3.0 eq) and the mixture stirred at −20° C. for 15 min. The alkene (Boc-T66, 4.8 g, 16.4 mmol, 1.0 eq) in CH2Cl2 (50 mL) was then slowly added and the mixture stirred at room temperature for 2 h. The solution was treated with aqueous NH4Cl (saturated) and the aqueous phase extracted with CH2Cl2 (1×) then washed with brine (1×). The organic phase was dried over MgSO4, filtered and the solvent removed under reduced pressure. The crude product is purified by flash chromatography (gradient: 40%, then 50% and finally 60% AcOEt in hexanes) to give Boc-T68 as a yellow oil (yield: 90.7%). TLC (60% AcOEt: 40% hexanes): Rf: 0.4; detection: UV, ninhydrin.
1H NMR (CDCl3): δ 7.32-7.20 (td, 2H), 7.10-6.85, (m, 2H), 4.25-4.13 (m, 2H), 4.10-3.99 (m, 2H), 3.41-3.36 (dd, 1H), 2.15-2.02 (m, 1H), 1.38 (s, 9H), 1.04-0.96 (dq, 1H), 0.78-0.73 (q, 1H)
13CNMR(CDCl3): δ 158.0, 130.7, 130.4, 127.9, 127.5, 127.1, 121.2, 121.0, 111.6, 111.2, 79.5 69.8, 61.5, 28.7, 17.8, 16.8, 7.2
N. Standard Procedure for the Synthesis of Tether T69
Figure USRE042624-20110816-C01199
TLC (25/75 AcOEt/Hex): Rf: 0.03; detection: UV, ninhydrin
1H NMR (CDCl3): δ 7.06-7.00 (bt, 1H), 6.61-6.52 (m, 4H), 6.35 (m, 1H), 5.12 (bt, 1H), 4.03 (m, 2H), 3.95 (m, 2H), 3.77 (s, 6H), 3.11-3.04 (bq, 2H), 2.60 (bt, 2H), 1.75 (m, 8H)
13C NMR (CDCl3): δ 163.9, 160.9, 160.6, 157.6, 157.5, 155.6, 149.5, 130.8, 130.6, 125.9, 107.26, 106.9, 103.2, 98.4, 80.8, 77.5, 69.9, 61.3, 60.9, 60.6, 55.4. 40.3, 30.4, 29.3, 26.9,
LC-MS (Grad_A4) tR: 8.37 min
O. Standard Procedure for the Synthesis of Tether T70
Figure USRE042624-20110816-C01200
TLC (25/75 AcOEt/Hex): Rf: 0.03; detection: UV, ninnydrin
1H NMR (CDCl3): δ 6.84-6.75 (m, 31-1), 6.52 (bs, 2H), 6.34 (m, 1H), 5.17 (bt, 1H), 4.01 (m, 2H), 3.93 (m, 2H), 3.77 (s, 6H), 3.10 (bq, 2H), 2.63 (bt, 2H), 1.74 (m, 8H)
13C NMR (CDCl3): δ 160.9, 158.9, 155.8, 155.6, 152.9, 152.9, 149.5, 132.4, 132.3, 117.1, 116.8, 112.7, 112.6, 103.2, 98.4, 80.8, 70.4, 61.6, 55.5, 40.2, 30.3, 29.3, 27.4.
LC-MS (Grad_A4) tR: 8.29 min
P. Standard Procedure for the Synthesis of Tether T71
Figure USRE042624-20110816-C01201
TLC (25/75 AcOEt/Hex): Rf: 0.03; detection: UV, ninhydrin
1H NMR (CDCl3): δ 7.12-7.08 (hd, 2H), 6.76-6.73 (d, 1H), 6.52 (m, 2H), 6.33 (bs, 1H), 5.15 (bt, 1H), 4.02 (m, 2H), 3.95 (m, 2H), 3.79 (s, 6H), 3.09 (bq, 2H), 2.61 (bt, 2H), 1.74 (m, 8H)
13C NMR (CDCl3): δ 160.8, 155.6, 155.4, 149.5, 132.4. 130.1, 127.0, 126.0, 112.8, 103.2, 98.4, 80.8, 70.0, 61.4, 55.5, 40.3, 30.2, 29.3, 24.5, 27.4
LC-MS (Grad_A4) tR: 9.60 min
Q. Standard Procedure for the Synthesis of Tether T72
Figure USRE042624-20110816-C01202
TLC (1/1, Hex/AcOEt): Rf: 0.16
1H NMR (ppm): 1.49 (Boc), 1.8 (CH2), 2.7 (CH2), 3.1 (CH2), 4.0 (CH2), 4.1 (CH2), 4.9 (NH), 6.9 (CH aromatic), 7.35 (CH aromatic), 7.4 (CH aromatic)
13C NMR (ppm): 29, 30, 40, 61, 70, 110, 124, 128, 132, 160
R. Standard Procedure for the Synthesis of Tether T73
Figure USRE042624-20110816-C01203
TLC (60/40 AcOEt/Hex): Rf: 0.11; detection: UV, ninhydrin
1H NMR (CDCl3): δ 7.06-6.99, (m, 2H), 6.84-6.81 (m, 1H), 6.5 (m, 2H), 6.32 (m, 1H), 5.11 (bt, 1H), 4.07 (m, 2H), 3.90 (bt, 2H), 3.79 (s, 6H), 3.39 (s, 3H), 3.09 (bt, 2H), 2.64 (bt, 2H), 1.85-1.74 (m, 8H), 1.46 (bs, 9H)
13C NMR (CDCl3): δ 160.8, 157.1, 155.6, 151.9, 149.5, 131.3, 131.0, 128.43, 128.37, 111.6, 103.2, 98.4, 84.8, 80.8, 69.9, 61.4, 60.6, 55.5, 41.8, 40.2, 30.0, 29.3, 28.1, 27.3 ppm.
LC-MS (Grad_A4) tR: 8.26 min.
S. Standard Procedure for the Synthesis of Tether T74
Figure USRE042624-20110816-C01204
TLC (50/50 AcOEt/Hex): Rf: 0.09; Detection: UV, CMA
1H NMR (DMSO-d6): δ 7.14 (bd, 1H), 6.76-6.71 (m, 2H), 6.53 (m, 2H), 6.33 (bs, 1H), 5.15 (bt, 1H), 4.08 (m, 2H), 3.95 (m, 2H), 3.79 (s, 6H), 3.41 (s, 3H), 3.01 (bq, 2H), 2.64 (bt, 2H), 1.75 (m, 8H), 1.47 (s, 9H)
13C NMR (DMSO-d6): δ 156.1, 152.3, 150.8, 147.0, 144.7, 129.8, 126.9, 125.6, 116.8, 108.4, 98.5, 93.6, 80.3, 76.1, 65.1, 56.7, 50.7, 37.1, 35.6, 25.3, 24.5, 23.4, 22.6
LC-MS (Grad_A4) tR: 8.21 min
T. Standard Procedure for the Synthesis of Tether T75a and T75b
Figure USRE042624-20110816-C01205
The synthesis of the fluorinated derivative, tether T75, was carried out in an analogous matter to that of the related tether T33 starting from 33-A [(S)-methyl lactate] and appropriately substituted phenol 75-0 to provide 4.1 g of Ddz-T75a as a pale yellow solid. Although the first two steps, Mitsunobu reaction and DIBAL reduction, were high yielding, 91% and 98% respectively, isolation of the final product proved difficult after Sonagashira coupling and hydrogenation, lowering the overall yield to 17%. Again, the corresponding (R)-enantiomer, Ddz-T75b, is accessible by substituting (R)-methyl lactate (33-B) in the above procedure.
Figure USRE042624-20110816-C01206

U. Standard Procedure for the Synthesis of Tether T76
Figure USRE042624-20110816-C01207
Step T76-1. 3-Bromo-2-hydroxy-benzaldehyde. In a manner analogous to that of the literature (Hofslokken et al. Acta. Chemica Scand. 1999, 53, 258), a stirred suspension of 2-bromophenol (76-0, 3.5 g, 20 mmol) and paraformaldehyde (8.1 g, 270 mmol) in 100 mL of dry acetonitrile at room temperature was treated with MgCl2 (2.85 g, 30 mmol) and triethylamine (TEA, 10.45 ml, 75 mmol). The mixture was stirred vigorously at reflux O/N. After this period of time, the mixture was cooled to room temperature, then 30 mL of 5% HCl was added and the product extracted with Et2O to give 4.0 g (95%) of 76-1.
TLC (hexanes/dichloromethane, 3:1): Rf=0.3; detection: CMA and UV
Step T76-2. 2-Bromo-6-vinyl-phenol. To a stirred solution of CH3PPh3Br (72 g, 0.033 mol) at room temperature was added, over 5 min, a solution of tBuOK (4.1 g, 0.03 mol) in THF (50 mL). The mixture was cooled to −78° C. and 76-1 (3 g, 0.015 mol) was added dropwise over 15 min. The reaction mixture was allowed to warm to room temperature and stirred for 24 h. After this time, the solvent was removed in vacuo and the residue purified by flash chromatography using hexanes/dichloromethane (3:1) as eluent to afford 76-2 as a colorless oil (2.2 g, 75%).
TLC (hexanes/dichloromethane, 3:1): Rf=0.5; detection: CMA and UV
Step T76-3. The tosylate 76-A was synthesized using the literature method (Buono et al. Eur. J. Org. Chem. 1999, 1671)and then utilized for 76-3 (Manhas, M.S. J. Am. Chem. Soc. 1975, 97, 461-463. Nakano, J. Heterocycles 1983, 20, 1975-1978). To a solution of 76-2 (2.5 g, 12 mmol), Ph3P (4.6 g, 18 mmol) and 76-A (4.3 g, 18 mmol) in 150 mL of THF was slowly added diethylazodicarboxylate (DEAD, 3.5 mL, 18 mmol) at room temperature. The mixture was stirred at room temperature for 6 h until the reaction was complete as indicated by TLC analysis (hexanes/ethyl acetate, 8:2; Rf=0.6; detection: CMA and UV). The solvent was removed under high vacuum and the residue was purified by flash chromatography to obtain 76-3 as a pale brown liquid (4.6 g, 88%).
Step T76-4. 76-3 (3.4 g, 8 mmol) was treated with second generation Grubbs catalyst (0.02 mol %) in 50 mL of DCM (Grubbs, R. J. Org. Chem. 1998, 63, 864-866. Gross. J. Tet. Lett. 2003, 44, 8563-8565. Hoveyda, A. J. Am. Chem. Soc. 1998, 120, 2343-2351). The resulting mixture was stirred at room temperature for 12 h The solvent was then removed under high vacuum and the residue purified by flash column chromatography to obtain 76-4 as a pale brown liquid (2.15 g, 70%). TLC (hexanes/ethyl acetate, 8:2; Rf=0.4; detection: CMA and UV).
Step T76-5. To a solution of 76-4 (1.43 g, 0.023 mol) in dry DMF (50 mL) was added cesium acetate (2.09 g, 0.0109 mol) under an argon atmosphere. The solution was stirred at 50° C. O/N. After this time, the solvent was removed under high vacuum and the residue purified by flash chromatography to obtain 76-5 as a pale brown liquid (0.7 g, 70%). TLC (hexanes/ethyl acetate, 8:2; Rf=0.6; detection: CMA and UV).
Step T76-6 (8-Bromo-2H-chromen-2-yl)-methanol. To a solution of 76-5 (5.5 g, 0.023 mol) in dry MeOH (150 mL) was added sodium metal in a catalytic amount under an argon atmosphere. The solution was then stirred at room temperature for 60 min. After this time, Amberlite IRA-120 (H+) resin was added to neutralize (pH=7) excess sodium methoxide and the mixture was vigorously stirred for 10 min. The resin was removed by filtration and the filtrate evaporated in vacuo. Pure compound 76-6 was recovered as a colorless oil (4.5 g, 98%).
TLC (hexanes/ethyl acetate, 7:3): Rf=0.3; detection: CMA andUV
Step T76-7. 76-6 (4.5 g, 18 mmol) and Ddz-propargyl amine (76-B, 15.16 g, 55.8 mmol) were dissolved in dioxane (150 mL) and diisopropylamine (27 mL). The reaction mixture was degassed by bubbling argon through the solution. PdCl2PhCN)2 (430 mg, 1.11 mmol. 0.06 eq), CuI (220 mg, 1.11 mmol, 0.06 eq) and tributylphosphine (10% in hexane, 4.4 mL, 2.23 mmol) were added and the mixture was warmed to 70° C. and stirred O/N. The solvent was removed under high vacuum and the residue purified by flash column chromatography to obtain 76-7 as a pale brown liquid (3.2 g, 80%).
TLC (hexanes/ethyl acetate, 1:1): Rf=0.3; detection: CMA and UV
Step T76-8. The acetylene 76-7 (4.5 g, 0.2 mol) was dissolved in EtOH (150 mL), then purged with nitrogen for 10 min. PtO2 (10 mol %, 450 mg) was added, and the mixture purged with a balloon full of hydrogen gas. The mixture was then charged into a Parr bomb, flushed with hydrogen (simply fill with hydrogen at 60 psi, then release and refill, repeat this fill-release-refill cycle 3×), and reacted with hydrogen at 60 psi at room temperature O/N. The reaction mixture was filtered through a pad of Celite (use methanol for washing the pad) and the filtrate concentrated to afford a practically pure (clean by 1H NMR), but colored sample of Ddz-T76 in quantitative yield. Further purification was achieved by subjecting this material to flash chromatography. TLC (hexanes/ethyl acetate, 1:1; Rf=0.3; detection: CMA and UV). Since the product Ddz-T76 has the same Rf as the starting material (76-7), 1H NMR is the best way to distinguish them.
1H NMR (CDCl3): δ 1.73 (s. 6H), 1.75-1.95 (m, 4H), 2.60 (m, 2H), 2.70-2.90 (m, 2H), 3.10 (m, 2H), 3.72 (s, 6H), 3.75 (m, 2H), 4.12 (m, 1H), 5.20 (m, 1H), 6.35 (s, 1H), 6.50 (s, 2H), 6.80 (m, 1H), 6.90 (m, 2H).
13C NMR (CDCl3): δ 23.93 (CH2), 24.97 (CH2), 27.07 (CH2), 29.35 (CH3), 30.45 (CH2), 40.23 (CH2), 55.47 (CH3), 65.76 (CH2), 80.72 (CH), 98.44 (CH), 103.22 (CH), 120.29 (CH), 121.90 (Cq), 127.76 (CH), 128.14 (CH), 129.42 (Cq), 149.56 (Cq), 152.55 (Cq), 155.56 (Cq), 160.84 (Cq).
LC-MS (Grad_A4): tR: 9.46 min; Mass found: 443
V. Standard Procedure for the Synthesis of Tether T77
Figure USRE042624-20110816-C01208
Step T77-1. 3-Bromo-pyridin-2-ol. A stirred suspension of 2-pyridone (77-0, 19 g, 200 mmol) in 200 mL of 1 M aqueous KBr at room temperature was treated over 15 min with bromine (32 g, 200 mmol; CAUTION: Large quantities of Br2 should be handled carefully!) in 200 mL of 1 M aqueous KBr, then stirred vigorously at room temperature O/N. After 24 h, this solution deposited crystals which were filtered off and then recrystallized from acetonitrile to give 27.2 g (78%) of 3-bromo-pyridin-2-ol. (77-1) [J. Am. Chem. Soc. 1982, 104, 4142-4146; Bioorg Med. Chem. Lett. 2002, 12, 197-200; J Med. Chem. 1979, 22, 1284-1290.]
Molecular weight calcd. for C5H4BrNO: 173; (M+H)+ found: 174
Step T77-2. To a solution of 3-bromo-pyridin-2-ol (77-1, 5 g, 0.028 mol), Ph3P (11 g, 0.04 mol) and 2-(tert-butyldimethylsilanyloxy)-ethanol (77-A, 7 g, 0.04 mol) in 50 mL of THF was slowly added diethylazodicarboxylate (8.1 g, 0.04 mol) at room temperature. The progress of the reaction was easily monitored by TLC [hexanes/ethyl acetate (4:1); Rf=0.5; detection: CMA]. The mixture was stirred at room temperature for 24 h at which point the reaction was complete by TLC analysis. The solvent was removed under high vacuum and the residue purified by flash chromatography to obtain 77-2 as a pale brown liquid (6.3 g, 68%). [Tetrahedron Lett. 1994, 35, 2819-2822; Tetrahedron Lett. 1995, 36, 8917-8920; Synlett, 1995, 845-846. Heetrocycles 1990, 31, 819-824.
Molecular weight calcd. for C13H22BrNO2Si 331; (M+H)+ found: 332
Step T77-3. The protected alcohol 77-2 (3 g, 9.1 mmol) was dissolved in diisopropylamine (50 mL) and the reaction mixture degassed by bubbling argon through the solution. PdCl2(PPh3)2 (410 mg, 0.61 mmol, 0.06 eq), CuI (74 mg, 0.4 mmol, 0.04 eq) and triphenylphosphine (310 mg, 1.12 mmol) were added, then the mixture was warmed to 70° C. and stirred O/N. The solvent was removed under high vacuum and the residue was purified by flash chromatography to obtain 77-3 as a pale brown liquid (3.36 g, 70%) [Org. Lett. 2003, 5, 2441-2444; J. Chem. Soc. Perkin. Trans I 1999, 1505-1510; J. Org. Chem. 1993, 58, 2232-2243; J. Org. Chem. 1999, 58, 95-99; Org. Lett. 2000, 2, 2291-2293; Org. Lett. 2002, 4, 2409-2412]
TLC (hexanes/ethyl acetate, 1:3): Rf: =0.3; detection: CMA
Molecular weight calcd. for C28H40N2O6Si: 528; (M+H)+ found: 529
Step T77-4. The acetylene 77-3 (3 g, 5.67 mmol) was dissolved in EtOH (30 mL) and purged with nitrogen for 10 min. PtO2 (10 mol %, 300 mg) was added and the mixture purged with a balloon full of hydrogen gas. The mixture was then charged into a Parr bomb, flushed with hydrogen (fill with hydrogen at 80 psi then release and refill, repeat this fill-release-refill cycle 3×), and maintained with hydrogen at 80 psi at room temperature O/N. The reaction mixture was filtered through a pad of Celite (use methanol for washing the residue on the Celite) and the filtrate plus washings was concentrated under reduced pressure to afford a practically pure (clean 1H NMR), but colored sample of 77-4 in a quantitative yield. Further purification was achieved by subjecting this material to flash chromatography. The product 77-4 has the same Rf as the starting material (77-3), hence, 1H NMR is the best way to distinguish them.
TLC [(hexanes/ethyl-acetate, 1:3); Rf=0.3 detection: CMA]
Molecular weight calcd. for C28H44N2O6Si: 532, (M+H)+ found: 533
Step T77-5. 77-4 (3 g, 5.6 mmol) was dissolved in anhydrous THF (200 mL). To the clear solution was added TBAF (6.7 mmol, 7 mL) and the mixture stirred for 2 h at room temperature. The solution was then poured into ice water. The aqueous solution was extracted with dichloromethane (3×200 mL). The organic layer was washed sequentially with saturated citrate buffer (1×200 mL), water (200 mL) and brine (200 mL). The washed organic extract was dried over anhydrous sodium sulfate, filtered and evaporated to dryness under reduced pressure to give an oily residue. This syrup was purified by flash chromatography (hexanes/AcOEt, 1:2) to give Ddz-T77 as a syrup (2.10 g, yield 90%). TLC (hexanes/AcOEt, 1:2): Rf=0.3; detection: ninhydrin
1H NMR (CDCl3): δ 1.73 (s, 6H), 1.75 (m, 2H), 2.65 (m, 2H), 3.15 (m, 2H), 3.75 (s, 6H), 3.90 (m, 2H), 4.50 (m, 2H), 5.01 (sb, 1H), 6.30 (s, 1H), 6.50 (s, 2H), 6.80 (m, 1H), 7.40 (m, 1H), 8.01 (m, 1H).
13C NMR (CDCl3): δ 27.23 (CH2), 29.24 (CH3), 29.71 (CH2), 40.17 (CH2), 55.44 (CH3), 62.76 (CH2), 69.11 (CH2), 80.76 (Cq), 98.24 (CH), 103.24 (CH), 117.54 (CH), 124.68 (Cq), 138.82 (CH), 144.17 (CH), 149.45 (Cq), 155.50 (Cq), 160.84 (Cq), 162.03 (Cq).
Molecular weight calcd. for C22H30N2O6: 418; (M+H)+ found: 419
EXAMPLE 2 Synthesis of Representative Macrocyclic Compounds
The following are provided as representative examples for the macrocyclic compounds of the invention. For solid phase methods, all yields are reported starting from 300-325 mg of PS-aminomethyl resin (loading 2.0 mmol/g) unless otherwise noted. Attachment of the first building block, BB3, varies from 100% to 55% for the more difficult residues, typically sterically crowded structures such as Ile or Val. The remaining couplings for BB2 and BB, proceed in an average yield of 80-90%. Attachment of the tether using the Mitsunobu reaction yields from 50-90% of the desired linear precursor. The macrocyclization itself proceeds in an average yield of 20-50%. Minimal loss of yield occurs in post-cyclization processing.
All the retention time values presented herein are based on the UV portion of the HPLC data. In the HPLC procedure, ELSD and CLND data (not listed) were also procured to further assess purity of the final products, and for quantification (CLND). All compounds were analyzed using the same HPLC conditions. The details for the HPLC procedure used was as follows: Column: XTerra MS C18 4.6×50 mm, 3.5 μm, from Waters, HPLC: Alliance 2695 from Waters; MS: Platform LC from Micromass/Waters; CLND: 8060 from Antek; PDA: 996 from Waters; Gradient_B4: (i) 0 to 50% MeOH: 0.1% aqueous TFA in 6 min, (ii) 3 min at 50% MeOH: 0.1% aqueous TFA; (iii) 50 to 90% MeOH:0.1% aqueous TFA in 5 min; (iv) 3 min at 90% MeOH:0.1% aqueous TFA. Retention time (tR) for the compound is listed.
Modifications were made to the standard methods for compounds 58, 99, 201, 203 and 215.
Compound 1
Yield: 33.4 mg pure macrocycle was obtained (CLND quantification).
1H NMR (300 MHz, DMSO-d6): δ 8.53, 8.41, 8.34 (doublets J=8.7 Hz for all, 1H); 8.13-8.06, 7.82-7.75 (multiplets, 1H); 7.30-7.05 (m, 8H); 6.90-6.77 (m, 2H); 4.58-4.46, 4.40-4.29, 4.27-4.16 (multiplets, 1H); 4.09-3.99, 3.97-3.82 (multiplets, 2H); 3.77-3.44 (m, 2H); 3.37-3.19 (m, 4H); 3.15, 3.08 (2s, 2H); 2.98-2.86 (m, 5H); 2.52 (s, 3H); 1.94-1.75, 1.60-1.30 (multiplets, 2H); 1.22 (br s, 4H); 0.86-0.75 (m, 3H).
HRMS talc. for C29H40N4O4; 508.3049; found 508.3040±0.0015.
HPLC tR=8.94 min.
Compound 3
Yield: 33.0 mg pure macrocycle was obtained (CLND quantification).
1H NMR (300 MHz, DMSO-d6): δ 8.54 (d, J=9.4 Hz), 8.43-8.36 (m), and 8.12 (br t, J=5.65 Hz) (1H); 7.90 (d, J=6.6 Hz), 7.79-7.72 (m) (1H); 7.30-7.05 (m, 6H); 6.90-6.76 (m, 3H); 4.60-4.50 (m), 4.43 (d, J=18.3 Hz), 4.26-4.16 (m) (1H); 4.13-4.02 (m, 1H); 4.01-3.84 (m, 2H); 3.74-3.41 (m, 2H); 3.17, 3.09 (2s, 3H); 2.99-2.86 (m, 5H); 2.43-2.18 (m, 1H); 1.97-1.75 (m, 3H); 1.72-1.39 (m, 1H); 0.96 (d, 5.76 Hz, 3H); 0.93-0.77 (m, 2H); 0.68 (d, 5.76 Hz, 3H).
HRMS calc. for C28H38N4O4; 494.2893; found 494.2888±0.0015.
HPLC tR=8.11 min.
Compound 4
Yield: 15.3 mg pure macrocycle was obtained (CLND quantification).
1H NMR (300 MHz, CD3CN): δ 7.48-7.19 (m, 6H); 7.13-6.98 (m, 3H); 4.71-4.51 (m, 3H); 4.48-4.32 (m, 1H); 4.26-4.01 (m, 1H); 3.79-3.57 (m, 2H); 3.48-3.20 (m, 3H); 3.19-3.06 (m, 5H); 3.01-2.89 (m, 2H); 2.80-2.62 (m, 2H); 2.09-1.96 (m, 3H); 1.94-1.70 (m, 1H); 1.57-1.36 (m, 4H); 1.32-1.26 (m, 1H); 1.08-0.97 (m, 3H).
HRMS calcd for C29H40N4O4; 508.3049; found 508.3045±0.0015
HPLC tR=8.37 min
Compound 6
Yield: 28.2 mg macrocycle was obtained (CLND quantification).
1H NMR (300 MHz, DMSO-d6): δ 10.80 (s, 1H); 8.46 (d, J=9.65 Hz), 8.36-8.28 (m), 8.14-8.07 (m), and 8.02 (d, J=9.65 Hz) (1H); 7.73-7.65 (m), 7.59 (d, 8.2 Hz), and 7.51 (d, J=8.2 Hz) (1H); 7.3 (d, J=8.2 Hz, 1H); 7.16-6.91 (m, 5H); 6.89-6.76 (m, 2H); 4.62-4.49 (m) and 4.42-4.24 (m) (1H); 4.15-3.81 (m, 2H); 3.77-3.43 (m, 2H); 3.41-3.19 (m, 6H); 3.22-2.85 (m, 6H); 2.52 (s, 3H); 1.89-1.69 (m, 1H); 1.59-1.02 (m, 4H); 0.88-0.74 (m, 3H).
HRMS calc. for C30H39N5O4; 533.3002; found 533.2990±0.0016.
HPLC tR=8.22 min.
Compound 8
Yield: 74.9 mg pure macrocycle was obtained (CLND quantification) from 600-650 mg starting resin
1H NMR (300 MHz, DMSO-d6): δ 9.47 (br s), 9.07 (s) (1H) and 8.32 (br s) (2H); 7.94 (d, 6.6 Hz, 1H); 7.60-7.42 (m, 2H); 7.38 (d, 9.0 Hz, 1H); 7.28-7.04 (m, 7H); 6.93 (t, 8.1 Hz, 1H); 6.60 (d, J=14.4 Hz) and 6.39-6.27 (m) (1H); 4.51-4.38 (m, 1H); 4.29-4.08 (m, 2H); 3.87-3.63 (m, 2H); 3.40-3.13 (m, 2H); 2.94 (t, J=14.1 Hz, 1H); 2.53-2.50 (m, 1H); 2.32-2.17 (m, 1H); 1.86-1.06 (m, 10H); 0.95-0.79 (m, 6H).
HRMS calc. for C32H42N4O4; 546.3206; found 546.3198±0.0016.
HPLC tR=9.02 min.
Compound 9
Yield: 33.7 mg pure macrocycle was obtained (CLND quantification).
1H NMR (300 MHz, DMSO-d6): δ 8.48 (s, 1H); 7.92 (d, J=5.3 Hz, 1H); 7.81 (d, 3=8.5 Hz, 1H); 7.26-7.08 (m, 7H); 6.88-6.75 (m, 2H); 4.30 (br t, J=10.1 Hz, 1H); 4.0 (t, J=8.6 Hz, 1H); 3.87 (br d, J=8.6 Hz, 1H); 3.70-3.58 (m, 1H); 3.4-3.25 (m, 1H); 3.04-2.85 (m, 3H); 2.73 (d, 7.67 Hz, 1H); 2.53 (s, 3H); 2.35-2.09 (m, 2H); 1.92-1.44 (m, 8H); 1.42-1.18 (m, 2H); 0.85, 0.81 (2 doublets, J=6.76 Hz, 6H).
13C NMR (75 MHz, DMSO-d6): δ 176.15; 173.20; 171.27; 157.18; 140.08; 130.72; 130.52; 129.71; 128.64; 127.87; 126.62; 120.88; 111.44; 68.29; 67.10; 66.99; 55.24; 48.42; 41.11; 41.03; 39.36; 36.93; 35.77; 34.65; 32.38; 30.55; 29.96; 23.83; 22.65; 19.87.
HRMS calc. for C31H42N4O4; 534.3206; found 534.2139±0.0016.
HPLC tR=9.29 min.
Compound 10
Yield: 19.2 mg pure macrocycle was obtained (CLND quantification).
1H NMR (300 MHz, DMSO-d6): δ 8.53. 8.41, 8.38 (doublets, J=8.8, 8.5, 8.5 Hz, 1H); 8.16-8.05, 7.87-7.71 (multiplets, 1H); 7.31-7.04 (m, 7H); 6.91-6.75 (m, 2H); 4.60-4.45, 4.39-4.30, 4.28-4.16 (m, 1H), 4.10-4.00, 3.97-3.83 (m, 2H); 3.73-3.46 (m, 2H): 3.22-3.20 (m 1H), 3.16, 3.09 (2 s, 3H), 2.45-2.39 (m, 1H); 2.99-2.86 (m, 1H); 2.85-2.58 (m, 5H); 2.48-2.22 (m, 1H); 2.07 (s, 1H), 1.95-1.78 (m, 1H),1.75-1.42 (m, 1H), 1.42-1.17 (m, 4H), 0.88-0.77 (m, 3H).
HRMS calc. for C28H38N4O4; 494.2893; found 494.2888±0.0015 HPLC tR=8.27 min.
Compound 221
Yield: 50.3 mg macrocycle was obtained (CLND quantification).
1H NMR (300 MHz, DMSO-d6): δ 7.86 (d, J=6.7 Hz) and 7.65-7.58 (m) (1H); 7.28-7.06 (m, 7H); 6.88 (d, 8.06 Hz, 1H); 6.81 (t, J=6.7 Hz, 1H); 4.07-3.91 (m, 3H); 3.77-3.65 (m, 1H); 3.56-3.38 (m, 2H); 3.35-3.25 (m, 3H); 3.25-3.07 (m, 2H); 3.04-2.63 (m, 3H); 2.52 (s, 3H); 2.01-1.71 (m, 4H); 1.66-1.49 (m, 2H); 1.47-1.17 (m. 4H); 0.90-0.78 (m, 3H).
13C NMR (75 MHz, DMSO-d6): δ 172.15; 170.81; 170.74; 157.29; 139.62; 130.76; 130.56; 129.56; 128.82; 61.73; 59.29; 56.37; 47.90; 41.11; 41.03; 39.36; 35.81; 35.43; 30.23; 30.03; 29.63; 25.12; 19.15; 14.66.
HRMS calc. for C30H40N4O4; 520.3049; found 520.3041±0.0016.
HPLC tR=8.30 min.
EXAMPLE 3 Alternative Synthetic Strategies
Alternative synthetic strategies amenable to larger scale synthesis of compounds of the present invention are discussed below.
A. Method LS1 for Representative Large Scale Synthesis of Compounds of the Invention
Figure USRE042624-20110816-C01209
Figure USRE042624-20110816-C01210
Figure USRE042624-20110816-C01211
Step LS1-A: Synthesis of LS1-8
Figure USRE042624-20110816-C01212
To alcohol Cbz-T33a (2.4 g, 7.0 mmol, 1.0 eq) in CH2Cl2 (50 mL) were added NBS (1.5 g, 8.4 mmol, 1.2 eq) and PPh3 (2.2 g, 8.4 mmol, 1.2 eq). The mixture was stirred at room temperature O/N and a saturated aqueous NH4Cl solution was added. The aqueous phase was extracted with CH2Cl2 (2×) and the combined organic phases were extracted with a saturated aqueous NH4Cl solution to remove succinimide byproduct. The organic phase was dried over MgSO4 and concentrated under reduced pressure. The residue was purified by flash chromatography (20% AcOEt, 80% hexanes) to give bromide LS1-8a as a yellow oil (2.6 g, 91%).
TLC (30% AcOEt, 70% hexanes): Rf=0.56; detection: UV and CMA
1H NMR (CDCl3): δ 7.37-7.26 (5H, m, Ph), 7.19-7.13 (2H, m, Ph), 6.90 (1H, t, Ph), 6.83 (1H, d, Ph), 5.10 (2H, s, NHC (O)OCH—)Ph), 4.96 (1H, broad, NHCbz), 4.59 (1H, sextuplet, PhOCH(CH3)CH2Br), 3.58-3.47 (2H, m, CH 2Br), 3.19 (2H, q, CHNHCbz), 2.67 (2H, t, PhCH 2CH2), 1.78 (2H, quint, PhCH2CH 2), 1.44 (3H, d, CHCH 3).
LC/MS (Grad_A4): tR=11.15 min
Step LS1-B1: Synthesis of LS1-10
Figure USRE042624-20110816-C01213
The hydrochloride salt of H-Nva-OMe was dissolved in an aqueous solution of Na2CO3 (1 M) and saturated with NaCl to ensure extraction of all of the free amine. The aqueous solution was extracted with AcOEt (3×). The combined organic phases were extracted with brine, dried over MgSO4, filtered and concentrated under reduced pressure. The free amine, H-Nva-OMe, was recovered in 90% yield. It is important to perform the alkylation with the free amine (H-Nva-OMe) to eliminate chloride formation (OTs to Cl) as a side reaction. In a dried round-bottomed flask, bromide LS1-8a (740 mg, 1.83 mmol, 1.0 eq) and H-Nva-OMe (479 mg, 3.60 mmol, 2.0 eq) were added. Degassed (by stirring under vacuum for 30 min) DMF (3.7 mL), anhydrous Na2CO3 (232 mg, 2.19 mmol, 1.2 eq) and KI (61 mg, 0.37 mmol, 0.2 eq) were added and the mixture stirred at 110° C. O/N. Water was added and the aqueous phase was extracted with Et2O (3×). The combined organic phases were extracted with water (2×), then brine (1×). The organic phase was dried over MgSO4, filtered and concentrated under reduced pressure. The residue was purified by flash chromatography (30% AcOEt: 70% hexanes) to give secondary amine LS1-10 as a yellow oil (709 mg, 85%).
TLC (30% AcOEt, 70% hexanes): Rf=0.32; detection: UV and CMA
1H NMR (CDCl3): δ 7.35-7.29 (5H, m, Ph), 7.17-7.12 (2H, m, Ph), 6.91-6.84 (2H, m, Ph), 5.51 (1H, broad, CH2N HCHRR′), 5.09 (2H, s, OCH 2Ph), 4.67-4.51 (1H, m, PhOC H(CH3)R), 3.65 (3H, s, C(O)OCH 3), 3.24-3.10 (3H, m, NHC H(Pr)CO2Me and CH 2NHCbz), 2.87-2.41 (4H, m, PhC H 2CH2 and NHCH 2CH(Me)OPh), 1.86-1.76 (2H, m, PhC H 2CH 2), 1.70-1.63 (2H, m, CH3CH2CH 2), 1.36-1.28 (2H, m, CH3CH 1CH2), 1.23 (3H, d, CHCH 3), 0.90 (3H, t, C H 3CH2CH2).
13C NMR (CDCl3): δ 176.44, 156,88, 155.58, 137.14, 131.16, 130.57, 128.68, 128.34, 128.21, 127.33, 120.79, 112.62, 73.16, 66.62, 61.30, 54.21, 51.95, 40.86, 36.02, 30.60, 27.88, 19.20, 17.80, 14.07.
LC/MS (Grad_A4): tR=6.76 min
Step LS1-B2: .Alternative Synthesis of LS1-10
To a solution of alcohol Chz-T33a (8.5 g, 24.7 mmol, 1.0 eq) in CH2Cl2 (125 mL) were added Et3N (10.4 mL, 74.1 mmol, 3.0 eq), TsCl (5.2 g, 27.2 mmol, 1.1 eq) and DMAP (302 mg, 2.47 mmol, 0.1 eq). The mixture was stirred O/N at room temperature and then an aqueous solution of saturated NH4Cl was added. The aqueous phase was extracted with CH2Cl2 (2×) and the combined organic phases were dried over MgSO4, filtered and concentrated under reduced pressure. The residue was purified by flash chromatography (30% AcOEt, 70% hexanes) to give tosylate LS1-8b as an oil (9.4 g, 90%).
TLC (50% AcOEt, 50% hexanes): Rf=0.47; detection: UV and CMA
1H NMR (CDCl3): δ 7.74 (2H, d, Ph), 7.36-7.26 (7H, m, Ph), 7.14-7.08 (2H, m, Ph), 6.88 (1H, t, Ph), 6.74 (1H, d, Ph), 5.10 (2H, s, NHC(O)OCH 2Ph), 4.97 (1H, broad, NHCbz), 4.61-4.55 (1H, m, PhOCH(CH3)CH2OTs), 4.19-4.05 (2H, m, CH 2OTs), 3.15 (2H, q, CH 2NHCbz), 2.56 (2H, td, PhC H 2CH2), 2.42 (3H, s, PhCH 3) 1.74 (2H, quint, PhCH2CH). 1.27 (3H, d, CHCH 3)
13C NMR (CDCl3): δ 156.67, 155.05, 145.20, 137.04, 133.02, 131.16, 130.65, 130.11, 128.72, 128.28, 128.23, 128.10, 127.39, 121.50, 112.87, 71.99, 71.42, 66.68, 40.79, 30.32, 27.57, 21.87, 16.74.
LC-MS (Grad_A4): tR=11.02 min
Application of the procedure in Step LS1-B1, but substituting the tosylate LS1-8b as alkylating agent gave 73% yield of LS1-10 with 2 eq of H-Nva-OMe.
Step LS1-C1: Synthesis of LS1-7
Figure USRE042624-20110816-C01214
To a solution of amine LS1-10 (697 mg, 1.53 mmol, 1.0 eq) in THF/H2O (1:1, 15 mL) at 0° C. were added Na2CO3 (244 mg, 1.68 mmol, 1.5 eq) and (Boc)2O (366 mg, 1.68 mmol, 1.1 eq), then the mixture stirred at room temperature for 36-48 h. THF was evaporated under reduced pressure and the aqueous phase was extracted with Et2O (3×). The combined organic phases were extracted with brine, dried over MgSO4, filtered and concentrated under reduced pressure. The Boc compound was obtained as a yellow oil and used without further purification for the next reaction.
TLC (30% AcOEt, 70% hexane): Rf=0.49; detection: UV and CMA
To a solution of the crude Boc compound in THF/H2O (1:1, 15 mL) was added LiOH (309 mg, 7.35 mmol, 5.0 eq) and the mixture stirred O/N at rt. THF was evaporated under reduced pressure and the remaining aqueous basic phase was then acidified with 1 M HCl to pH 3 (pH paper). The aqueous phase was extracted with AcOEt and the combined organic phases were extracted with water and brine. The organic phase was dried over MgSO4, filtered and concentrated under reduced pressure. Carboxylic acid LS1-7 was obtained as a yellow oil (687 mg, 83%, 2 steps).
TLC (50% AcOEt, 50% hexane): Rf=0.32; detection: UV and CMA
13C NMR (CDCl3): δ 176.11, 156.81, 155.51, 155.18, 136.93, 131.13, 130.37, 128.72, 128.31, 127.44, 121.20, 113.70, 81.36, 73.40, 66.79, 61.99, 40.80, 32.83, 31.56, 30.33, 28.48, 27.48, 20.10, 17.53, 14.11.
LC/MS (Grad_A4): tR=12.50 min
Step LS1-C2: Divergent Synthetic Route (No Amine Protection)
Figure USRE042624-20110816-C01215
The H-Nva-OtBu-HCl was dissolved in an aqueous solution of Na2CO3 (1 M) and saturated with NaCl to ensure extraction of all of the free amine. This aqueous solution was extracted with AcOEt (3×). The combined organic phases were extracted with brine, dried over MgSO4, flitered and concentrated under reduced pressure. About 90% of the free amine, H-Nva-OtBu, was recovered. It is important to perform the alkylation with the free amine (H-Nva-OtBu) to eliminate chloride side product formation (OTs->Cl).
In a dried round-bottomed flask, tosylate LS1-8b (1.0 g, 2.01 mmol, 1.0 eq) and H-Nva-OtBu (752 mg, 4.02 mmol, 2.0 eq) were added. Degassed (by stirring under vacuum for 30 min) DMF (4 mL) and anhydrous Na2CO3 (256 mg, 2.41 mmol, 1.2 eq, note that other bases were less effective) were added and the mixture stirred at 110° C. O/N. Water was added and the aqueous phase extracted with Et2O (3×). The combined organic phases were extracted with water (2×) and brine (1×). The organic phase was dried over MgSO4, filtered and concentrated under reduced pressure. The residue was purified by flash chromatography (30% AcOEt: 70% hexanes) to give the amine, LS1-12, as a yellow oil (683 mg, 75%). This crude secondary amine (1.0 eq) was dissolved in 4 M HCl/dioxane (10 eq) and the mixture stirred O/N at room temperature. The solvent was evaporated under reduced pressure and Et2O added to the residue. A white precipitate was formed upon addition of hexanes to this mixture. The precipitate was filtered and rinsed with cold hexanes to give the desired amino acid, LS1-13, as a white solid.
TLC (50% AcOEt, 50% hexane): Rf=0.71; detection: UV and CMA
LS1-13, despite the presence of the free amine, has been used in the remaining part of the synthetic scheme to successfully access the desired macrocycle.
Step LS1-D: Synthesis of Dipeptide LS1-6
Figure USRE042624-20110816-C01216
The tosylate salt of H-(D)Phe-OBn was dissolved in an aqueous solution of 1 M Na2CO3 and the aqueous solution extracted with AcOEt (3×). The combined organic phases were extracted with brine, dried over MgSO4, filtered and concentrated under reduced pressure. The free amine H-(D) Phe-OBn was recovered in 90% yield. To a solution of H-(D) Phe-OBn (3.0 g, 11.76 mmol, 1.0 eq) in THF/CH2Cl2 1/1 (60 mL) were added Boc-(D)NMeAla-OH (2.5 g, 12.35 mmol, 1.05 eq), 6-Cl HOBI (2.0 g, 11.76 mmol, 1.0 eq) and DIPEA (10.2 mL, 58.8 mmol, 5.0 eq). The mixture was cooled to 0° C. and EDCI (2.48 g, 12.94 mmol, 1.1 eq) was added. The mixture was stirred 1 h at 0° C. and at room temperature O/N. Solvent was evaporated under reduced pressure and the residue dissolved in AcOEt. The organic phase was washed sequentially with an aqueous 1 M solution of citrate buffer (pH 3.5, 2×), an aqueous solution of saturated NaHCO3 (2×) and brine (1×). The organic phase was dried over MgSO4, filtered and concentrated under reduced pressure. The dipeptide was obtained as a yellow oil and used as obtained for the next step (5.3 g, 100%). The dipeptide was dissolved in a solution of HCl/dioxane (4 M, 30 mL, 10 eq), 50 mL of dioxane were then added to facilitate the agitation and the mixture stirred for 1 h at room temperature; a heterogeneous solution was obtained. The mixture was concentrated under reduced pressure and dried further on mechanical vacuum pump. The dipeptide hydrochloride salt LS1-6 was obtained as pale yellow solid (4.4 g, 100%).
1H NMR (DMSO-d6): δ 9.40-8.70 (3H, d and 2 broads, C(O)NH and CH3NH 2 +Cl), 7.39-7.17 (10H, m, Ph), 5.11 (2H, s, C(O)OCH 2Ph), 4.69-4.61 (1H, m, CHCH3), 3.69 (1H, dd, CHCH2Ph), 3.31 (3H, s, CH 3NH2 +Cl), 3.17-3.11 and 2.97-2.90 (CHCH 2Ph), 1.28 (3H, d, CHCH 3)
13C NMR (DMSO-d6): δ 171.33, 169.18, 137.63, 136.31, 129.92, 129.11, 128.95, 128.83, 128.63, 127.30, 67.00, 56.57, 54.38, 36.98, 31.11, 16.47.
LC/MS (Grad_A4): tR=6.17 min
Step, LS1-E: Synthesis of Amino Acid LS1-5
Figure USRE042624-20110816-C01217
To a solution of acid LS1-7 (1.45 g, 2.67 mmol, 1.05 eq) in THF/CH2Cl2 (1/1, 13 mL) at 0° C. were added hydrochloride salt LS1-6 (958 mg, 2.55 mmol, 1.0 eq), DIPEA (2.2 mL, 12.8 mmol, 5.0 eq) and HATU (1.07 g, 2.81 mmol, 1.1 eq). The mixture was stirred at room temperature O/N. Solvent was evaporated and the residue was dissolved in AcOEt. The organic phase was washed sequentially with an aqueous solution of 1 M citrate buffer (pH=3.5, 2×), aqueous solution of saturated NaHCO3 (2×), then with brine (1×). The organic phase was dried over MgSO4, filtered and concentrated under reduced pressure. The residue was purified by flash chromatography (gradient: 20% AcOEt, 80% hexanes to 30% AcOEt, 70% hexanes) to give the desired fully protected tripeptide as a pale yellow gummy foam (1.6 g, 73%).
TLC (50% AcOEt, 50% hexanes): Rf=0.78; detection: UV and CMA
LC/MS (Grad_A4): tR=15.15 min
To a solution of the protected, alkylated tripeptide (1.5 g, 1.75 mmol, 1.0 eq) in AcOEt (23 mL) was added 10% Pd/C (20% by weight, 315 mg) and then hydrogen was bubbled through the solution, The mixture was stirred O/N under a hydrogen atmosphere. Nitrogen was bubbled through the reaction, then the mixture filtered on a Celite pad and rinsed with AcOEt. The combined filtrate was evaporated under reduced pressure to give LS1-5 as a white solid (1.1 g, quantitative).
TLC (50% AcOEt, 50% hexanes): Rf=0.52; detection: UV and CMA
LCMS (Grad_A4): tR=8.23 min
Step LS1-F: Macrocyclization and Final Deprotection
Figure USRE042624-20110816-C01218
To a solution of cyclization precursor LS1-5 (50 mg, 0.08 mmol, 1.0 eq) in THF (3.2 mL, for a concentration of 25 mM) was added DIPEA (68 μL, 0.39 mmol, 5.0 eq) and DEPBT (28 mg, 0.094 mmol, 1.2 eq) and the mixture stirred at room temperature O/N. Solvent was evaporated under reduced pressure and the residue purified by flash chromatography (1% MeOH, 99% CH2Cl2) to give Boc-protected macrocycle LS1-11 as a white solid (40 mg, 0.064 mmol, 80%). On a 1 g scale of precursor LS1-5 at a reaction concentration of 25 mM, the yield was 73%.
TLC (5:95 MeOH:DCM): Rf=0.43; detection: UV and CMA
1H NMR (DMSO-d b 60° C.): δ 7.62 (1H, d, NH), 7.47 (1H, broad, NH), 7.27-7.08 (7H, m, Ph), 6.85-6.79 (2H, m, Ph), 4.78 (1H, broad), 4.51-4,38 (1H, m), 4.11-4.02 (2H, m), 3.62-3.56 (1H, m), 3.32-3.04 (5H, m), 2.92 (3H, s, N—C 3), 2.72-2.46 (2H, m), 1.90-1.59 (4H, m), 1.46 (9H, s, C(CH 3)3), 1.28-1.06 (8H, m), 0.65 (3H, t, CH2CH 3).
13C NMR (DMSO-d6): δ 172.03, 171.07, 155.83, 155.60, 139.69, 131.82, 130.82, 129.69, 128.73, 127.73, 126.75, 121.06, 113.40, 80.66, 74.75, 57.22, 56.66, 50.49, 35.88, 33.72, 32.71, 30.41, 28.68, 19.35, 18.44, 14.95, 14.19.
LC-MS (Grad_A4): tR=12.82 min
Macrocycle LS1-11 (565 mg, 0.91 mmol, 1.0 eq) was dissolved in a solution of 4 M HCl/dioxane (4.6 mL, 20 eq) and the mixture stirred 2 h at room temperature. The mixture was concentrated under reduced pressure and placed under vacuum (oil pump) to give final macrocycle Compound 410 as a white solid (508 mg, 100%).
Chiral HPLC indicated no racemization when compared to its (L)-antipode at position AA3.
1H NMR (DMSO-d6, 60° C.): δ 9.38 (1H, broad), 8.28 (1H, d), 8.13 (1H, broad), 7.81 (1H, t), 7.28-7.13 (7H, m, Ph), 6.93-6.87 (2H, m, Ph), 4.84-4.77 (1H, m), 4.54-4.40 (3H, m), 3.35-3.07 (6H, m), 2.94 (3H, s, N—CH 3), 2.90-2.81 and 2.64-2.47 (2H, m), 1.85-1.64 (4H, m), 1.38-1.21 (5H, m), 1.10 (3H, d, CH 3), 0.88 (3H, t, CH2CH 3).
13C NMR (CDCl3): δ 171.92, 171.46, 170.44, 155.11, 139.07, 131.68, 130.47, 129.87, 128.67, 127.54, 126,90, 121.50, 112.94, 69.83, 67.03, 58.14, 56.33, 55.61, 55.29, 53.88, 50.48, 37.29, 32.29, 31.08, 29.70, 28.58, 18.15, 17.89, 15.20, 14.55.
LC-MS (Grad_A4): tR=6.23 min
LC chiral (Grad35A-05): tR=26.49 min
LC chiral (Grad40A-05): tR=26.54 mm
B. Method LS2 for Representative Large Scale Synthesis of Compounds of the Invention
Figure USRE042624-20110816-C01219

Step LS2-A: Synthesis of Dipeptide LS2-21
Figure USRE042624-20110816-C01220
A stirred suspension of H-(D)Phe-OtBu-HCl (5 g, 0.02 mol, 1 eq) and Z-(D)NMeAla-OH (4.98 g. 0.021 mol, 1.05 eq) in 130 mL of anhydrous THF-DCM (1:1) at room temperature was treated with DIPEA (17.50 mL, 0.1 mol, 5 eq) and 6-Cl-HOBt (3.40 g, 0.02 mol, 1 eq). The mixture was stirred vigorously at room temperature for several minutes, cooled with an ice bath, then EDCI (4.20 g, 0.022 mol, 1.1 eq) was added and the mixture stirred for 1 h. After this period of time, the ice bath was removed and the reaction was stirred at room temperature O/N. The solvent was removed under reduced pressure and the residue dissolved in 100 mL of AcOEt and washed with citrate buffer solution (1 N, 2×100 mL), saturated NaHCO3 solution (2×100 mL) and brine. The organic layer was dried over anhydrous sodium sulfate, filtered and evaporated to dryness under reduced pressure to give 9.25 g (100%) of a colorless oil, LS2-24.
TLC (hexanes/ethyl acetate, 1:1): Rf=0.3; detection: CMA and UV
H NMR (CDCl3): δ 1.25 (m, 2H), 1.40 (s, 9H), 2.66 (s, 3H), 2.85 (dd, 1H), 3.15 (dd, 1H), 4.70 (q, 2H), 5.15 (s, 2H), 6.50 (sb, 1H), 7.15 (m, 2H), 7.20 (m, 3H), 7.35 (m, 5H).
13C NMR (CDCl3): δ 28.18, 38.23, 53.61, 53.61, 67.87, 127.12, 128.40, 128.19. 128.40, 128.61, 128.8, 129.53, 170.01.
LC/MS (Grad_A4); tR=9.73 min; Mass found: 440
Dipeptide LS2-24 (6.9 g, 0.015 mol) was dissolved in AcOEt (100 mL), then purged with nitrogen for 10 min. 10% Pd—C (690 mg) was added and the mixture purged with a balloon full of hydrogen gas. The mixture was then hydrogenated under atmospheric pressure using a H2 balloon. After 12 h, the reaction mixture was filtered through a short pad of Celite, and the filter cake washed with AcOEt. The combined filtrate and washings were concentrated under reduced pressure to afford practically pure (clean NMR), colorless, solid compound LS2-21 (4.30 g, 90%) which was used directly in the next step without further purification.
TLC (100% AcOEt): Rf=0.1; detection: CMA and UV.
1H NMR (CDCl3): δ 1.20 (d J=7.03 Hz, 3H) (s, 9H), 2.40 (s, /H), 3.01-3.20 (m, 3H), 4.80 (q, 1H), 7.20 (m, 5H), 7.60 (m. 1H).
3C NMR (CDCl3): δ 19.64, 28.18, 35.12, 38.46, 53.06, 60.42, 82.29, 127.05, 128.50, 129.71, 136.61, 170.85, 174.28.
LC-MS (Grad_A4): tR=5.86 min; Mass found: 306
Step LS2-B: Synthesis of Tripeptide LS2-22
Figure USRE042624-20110816-C01221
A stirred suspension of dipeptide LS2-21 (2 g, 6.50 mmol, 1 eq) and Bts-Nva-OH (LS2-28, 2.15 g, 6.85 mmol, 1.05 eq) in 32 mL of anhydrous DCM at 0° C. was treated with DIPEA (4.50 mL, 0.026 mol, 4 eq) and HATU (2.72 g, 7.18 mmol, 1.1 eq). The mixture was stirred vigorously at 0° C. for 1 h. After this period of time, the ice bath was removed and the reaction stirred at room temperature O/N. The solvent was removed in vacuo and the residue dissolved in 30 mL of AcOEt. The organic phase was sequentially washed with 1 N citrate buffer solution (2×30 mL), saturated NaHCO3 solution (2×30 mL) and brine (1×30 mL). The organic layer was then dried over anhydrous sodium sulfate, filtered and evaporated to dryness under reduced pressure. The residue was purified by flash chromatography [ethyl acetate/hexanes (1/1)] to afford LS2-22 as a colorless solid (3.13 g, 80%).
TLC (hexanes/ethyl acetate, 3:2): Rf=0.3; detection: CMA and UV
1H NMR (CDCl3): δ 0.95 (m, 3H), 1.20 (d, 2H), 1.40 (s, 9H), 1.42-1.70 (m, 4H), 2.60 (m, 2H), 2.90 (s, 3H), 4.40 (m, 1H), 4.80 (m, 1H), 4.92 (m, 1H), 6.10 (m, 1H), 6.30 (M, 1H), 6.40 (m, 1H), 6.90 (m, 2H), 7.20 (m, 3H), 7.40-7.60 (m, 2H), 7.90 (m, 1H), 8.10 (m, 1H).
13C NMR (CDCl3): δ 23.42, 26.32, 33.12, 48.63, 49.10, 49.85, 77.56, 117.63, 120.67, 122.35, 122.93, 123.11, 123.80, 124.13, 124.68, 124.75, 131.45, 147.67, 165.16, 165.68, 167.66.
LC-MS (Grad_A4): tR=11.48 min; Mass found: 602
Step LS2-C: Synthesis of LS2-23
Figure USRE042624-20110816-C01222
A stirred suspension of tripeptide LS2-22 (0.4 g, 0.66 mmol) and tether bromide LS2-9 (0.5 g, 1.32 mmol, synthesized as in Step LS1-A for the corresponding Cbz derivative) in 1.33 mL of anhydrous DMF at room temperature was treated with KI (0.12 g, 0.66 mmol) and K2CO3 (0.185 g, 1.32 mmol). The mixture was stirred vigorously at 80° C. for 24 h. After this period of time, this mixture was cooled to room temperature, then 20 mL of water was added and the product extracted with Et2O (3×30 mL). The combined organic layer was washed with brine (2×30 mL), dried over magnesium sulfate and concentrated under vacuum. The residue was purified by flash chromatography [hexanes/ethyl acetate (1:2)] to afford LS2-25 as a white solid (70%).
TLC (hexanes/ethyl acetate. 2:1): Rf=0.4; detection: CMA and UV
1H NMR (DMSO-d6): δ 0.5 (m, 1H), 0.70 (m, 1H), 1.01-1.40 (m) 1.60 (m, 3H), 1.80 (m, 1H), 2.55 (m), 2.95 (m, 4H), 3.1 (m, 2), 3.30 (m, 2H), 3.60 (m, 1H), 3.90 (m, 1H), 4.30 (m, 1H), 4.80 (m), 6.80 (m, 3H), 7.05 (m, 6H), 7.60 (2H), 7.95 (m, 1H), 8.20 (m, 1H), 8.25 (m, 1H), 8.90 (s, 2H).
13C NMR (CDCl3): δ 13.84, 15.36, 17.40, 17.70, 19.40, 22.17, 27.52, 28.14, 28.67, 30.29, 31.27, 33.27, 38.01, 40.35, 51.02, 53.08, 54.35, 56.72, 70.25, 73.13, 81.10, 113.49, 120.94, 122.28, 125.44, 127.01, 127.19, 127.19, 127.68, 127.68, 127.79, 128.64, 129.57, 130.06, 136.2, 137.10, 165.10, 170.10, 171.10.
LC-MS (Grad_A4): tR=15.10 min; Mass found: 892 100 mg of alkylated tripeptide LS2-25 (100 mg, 0.11 mmol) was treated with 2 mL of 50% TFA, 3% triethylsilane (TES) in DCM, then the mixture stirred for 1 h at room temperature. After this period of time, all solvents were removed under reduced pressure. The crude compound LS2-23 was dried using vacuum pump for 1 h and used directly in the next step without further purification.
LC/MS (Grad_A4): tR=8.55 min; Mass found: 737
Step LS2-D: Synthesis of LS2-26 (Macrolactamization)
Figure USRE042624-20110816-C01223
To a stirred suspension of alkylated-tripeptide 23 (0.12 mmol) and DIPEA (0.100 mL, 0.56 mmol) in 11.22 mL of anhydrous THF at room temperature was added DEPBT (41 mg, 0.14 mmol). The mixture was stirred vigorously at room temperature O/N. The reaction was then concentrated to dryness under reduced pressure and the residue dissolved in 10 mL of AcOEt. The organic solution was sequentially washed with citrate buffer solution (1 N, 2×30 mL), saturated NaHCO3 (2×30 mL) and brine (1×30 mL). The organic layer was dried over anhydrous sodium sulfate, filtered and evaporated to dryness under reduced pressure. The residue was purified by flash chromatography using [ethyl acetate/hexanes (3:1)] to afford LS2-26 (Bts-410) as a white solid (80 mg, 98%).
TLC (ethyl acetate/hexanes, 3:1): Rf=0.3; detection: CMA and UV
H NMR (CDCl3): δ 0.64 (m, 3H), 0.87 (m, 1H), 1.02 (m, 2H), 1.20 (m, 6H), 1.40 (m, 3H), 1.60 (m, 4H), 1.80 m, 1H0, 2.01 (m, 1H), 2.40 (m, 1H), 2.80 (m, 1H), 3.15 (s, 3H), 3.20 (m, 2H), 3.45 (m, 1H), 3.60-3.80 (m, 2H), 4.40-4.60 (dd, 2H), 4.70 (m, 2H), 5.01 (m, 1H), 5.90 (m, 1H), 6.80 (m, 2H), 6.90 (m, 1H), 7.15-7.25 (m, 7H), 7.60 (m, 2H), 8.01 (m, 1H), 8.10 (m, 1H).
13C NMR (CDCl3): δ 13.28, 13.55, 18.75, 18.98, 28.89, 29.92, 29.92, 33.19, 36.81, 36.98, 39.55, 51.94, 53.83, 55.25, 59.51, 74.64, 111.66, 120.64, 122.51, 125.15, 127.10, 127.37, 127.84, 128.07, 128.86, 129.47, 130.51, 136.55, 137.30, 152.58, 155.86, 165.33, 169.75, 170.09, 171.66.
LC/MS (Grad_A4): tR=13.17 min; Mass found: 719
LC Chiral (column ODRH, Grad 55A-05): tR=42.059.
Step LS2-E: Synthesis of Compound 410
Figure USRE042624-20110816-C01224
To a stirred suspension of macrocycle LS2-26 (40 mg, 0.003 mmol) in 0.110 mL of DMF was added 23 mg of K2CO3 and 10 μl of mercaptopropanoic acid at room temperature, then the reaction left O/N. The reaction was concentrated to dryness under redcued pressure and the crude residue dissolved in 10 mL of AcOEt. The organic solution was washed with a saturated solution of NaHCO3 (2×30 mL), then brine (1×30 mL). The organic layer was dried over anhydrous sodium sulfate, filtered and evaporated to dryness under reduced pressure. Compound 410 was thus isolated in 90% yield.
TLC (100% AcOEt): Rf=0.2; detection: CMA and UV
1H NMR (DMSO-d6): δ 0.79 (m, 3H), 1.20 (m, 9H), 1.30 (M, 1H), 1.60 (m, 1H), 1.90 (m, 1H), 2.10 (Sb, 1H), 2.35 (ddd, J=4.98, 4.95, 4.69 Hz, 1H), 2.56 (Sb, 1H), 2.63 (m, 1H), 2.80 (ddd, J=4.99, 4.69, 4.40 Hz, 1H), 3.01-3.15 (m, 5H), 3.25 (dd, J=4.69, 4.11 Hz, 1H), 3.30 (s, 2H), 3.55 (sb, 1H), 3.95 (q, J=7.33, 7.04 Hz, 1H), 4.50 (sb, 1H), 6.80 (m, 1H), 6.90 (m, 1H), 7.10-7.30 (m, 7H), 7.70 (m, 2H).
13C NMR (DMSO-d6): δ 14.60, 14.84, 18.46, 18.85, 29.80, 29.96, 34.03, 35.84, 36.31, 40.68, 54.79, 55.67, 57.77, 58.11, 73.42, 112.26, 120.58, 126.84, 127.81, 128.80, 129.73, 131.10, 140.10, 158.10, 172.10, 172.40, 176.10.
LC/MS (Grad_A4): tR=6.19 min; Mass found: 522
EXAMPLE 4 Synthesis and Biological Results for Representative Compound 298
Figure USRE042624-20110816-C01225
Figure USRE042624-20110816-C01226
Figure USRE042624-20110816-C01227
Step LS3-1. Synthesis of cyclopropylglycine methyl ester hydrochloride salt. To a suspension of H—Cpg-OH (LS3-A, 20.0 g, 174 mmol, 1.0 eq) in anhydrous MeOH (350 mL) at 0° C. was slowly added freshly distilled (from PCl5) acetyl chloride (185 mL, 2.6 mol, 15 eq) over 45 min. The mixture was allowed to warm to room temperature and stirred 16-18 h. The reaction was monitored by TLC [MeOH/NH4OH/AcOEt (10:2:88); detection: ninhydrin; Rf=0.50]. The mixture was then concentrated under vacuum, azeotroped with toluene (3×) and dried under high vacuum 16-18 h to give LS3-1 as a pale yellow solid (30.0 g, >100% crude yield).
1H NMR (CD3OD): δ 4.88 (3H, s, NH 3 +), 3.85 (3H, s, C H 3O), 3.36-3.33 (1H, d, NH3 +CHCH3O), 1.19-1.10 (1H, m, CH(CH2)2), 0.83-0.53 (4H, m, CH(CH 2)2).
Step LS3-2. Synthesis of tether bromide. To alcohol Cbz-T33a (21.5 g, 62.6 mmol, 1.0 eq) in anhydrous CH2Cl2 (250 mL) were added NBS (12.8 g, 72.0 mmol, 1.15 eq, larger amounts of NBS lead to dibrominated side product) and PPh3 (18.9 g, 72.0 mmol, 1.15 eq). The round bottom flask was protected from light with foil and the mixture stirred at room temperature 16-18 h with monitoring by TLC [AcOEt/Hexanes (3:7); detection: UV and CMA; Rf=0.42]. A saturated aqueous NH4Cl solution (200 mL) was added and the aqueous phase extracted with CH2Cl2 (2×150 mL). The combined organic phases were washed with a saturated aqueous NH4Cl solution (2×200 mL), dried over MgSO4, filtered and concentrated under reduced pressure. The residue was purified by flash chromatography (AcOEt:hexanes, gradient, 5:95 to 15:85) to give bromide LS3-2 as a slightly yellow oil (22.2 g, 88.4%).
1H NMR (CDCl3): δ 7.37-7.26 (5H, m, Ph), 7.19-7.13 (2H, m, Ph), 6.92-6.88 (1H, t, Ph), 6.84-6.81 (1H, d, Ph), 5.10 (2H, s, NHC(O)OCH 2Ph), 4.96 (1H, broad, NHCbz), 4.62-4.56 (1H, sextuplet, PhOCH(CH3)CH2Br), 3.58-3.45 (2H, m, C H 2Br), 3.22-3.16 (2H, q, CH 2NHCbz), 2.69-2.64 (2H, t, PhC H 2CH2), 1.83-1.78 (2H, quint, PhCH2CH 2), 1.45 (3H, d, CHCH 3).
13C NMR (CDCl3): δ 156.66, 155.08, 136.99, 131.28, 130.77, 128.75, 128.32, 128.28, 127.49, 121.56, 113.03, 73.12, 66.76, 40.69, 36.12, 30.45, 27.48, 19.00.
LC/MS (Grad_A4): tR=11.04 min
Step LS3-3. The hydrochloride salt LS3-1 was dissolved in an aqueous solution of Na2CO3 (1 M, 275 mL, 0.272 mol, 1.5 eq). The basic aqueous phase was saturated with NaCl and extracted with AcOEt/CH2Cl2 (2:1) (5×100 mL). TLC [MeOH/NH4OH/AcOEt (10:2:88); detection: ninhydrin; Rf=0.50]. The combined organic phases were dried over MgSO4, filtered and concentrated under low vacuum at room temperature to give free amino-ester LS3-3 as a yellow oil (19.1 g, 85%, 2 steps). LS3-3 is volatile and should not be left on a mechanical vacuum pump for extended periods of time. To minimize diketopiperazine formation, Step LS3-4 should occur immediately after isolation of LS3-3.
1H NMR (CDCl3): δ 3.70 (3H, s, CH 3O), 2.88-2.85 (1H, d, NH2CHCH3O), 1.54 (1H, s, NH2), 1.04-0.97 (1H, m, C H(CH2)2), 0.56-0.27 (4H, m, CH(CH2)2).
Step LS3-4. In a dried round-bottom flask, bromide LS3-2 (47.2 g, 117 mmol, 1.0 eq) and freshly prepared LS3-3 (19.1 g, 148 mmol, 1.2 eq) were added. Degassed anhydrous DMF (117 mL), anhydrous Na2CO3 (14.8 g, 140 mmol, 1.2 eq) and KI (19.4 g, 117 mmol, 1.0 eq) were added and the mixture was stirred at 100° C. under a nitrogen atmosphere for 16-18 h. Reaction progress was monitored by LC-MS and/or TLC. The mixture was cooled down to room temperature and water (200 mL) added and the aqueous phase extracted with MTBE (3×100 mL). The combined organic phases were washed sequentially with water (2×100 mL) and brine (1×100 mL), dried over MgSO4, filtered and concentrated under reduced pressure. The residue was purified by flash chromatography [hexanes/AcOEt/DCM, gradient (85:10:5) to (50:45:5)] to give LS3-4 as an orange oil (43.1 g, 81%).
TLC [hexanes/AcOEt (1:1)]: Rf=0.35; detection: UV and CMA
1H NMR (CDCl3): δ 7.31-7.22 (5H, m, Ph), 7.07-7.03 (2H, m, Ph), 6.80-6.74 (2H, m, Ph), 5.48 (1H, broad, CH2N HCHRR′), 5.00 (2H, s, OCH 2Ph), 4.49-4.43 (1H, m, PhOC H(CH3)R), 3.56 (3H, s, C(O)OCH 3), 3.18-3.11 (3H, m, NHC H(Pr)CO2Me and CH 2NHCbz), 2.75-2.50 (4H, m, PhC H 2CH2 and NHCH 2CH(Me)OPh), 1.76-1.68 (2H, m, PhCH2CH 2), 1.19-1.14 (3H, d, PhOCH(CH 3)R), 0.88-0.80 (1H, m, CH(CH2)2), 0.46-0.13 (4H, m, CH(CH 2)2).
LC/MS (Grad_A4) : tR=6.63 min
Step LS3-5. To a solution of secondary amine LS3-4 (43.0 g. 94.7 mmol, 1.0 eq) in THF/H2O (1:1, 475 mL) at 0° C. were added Na2CO3 (15.1 g, 113.7 mmol, 1.5 eq) and (Boc)2O (24.8 g, 142.1 mmol, 1.2 eq). The mixture was allowed to warm to room temperature and stirred 24 h. Reaction was monitored by LC/MS and/or TLC. THF was evaporated under vacuum and the residual aqueous phase was extracted with MTBE (3×100 mL). The combined organic phases were washed with brine (1×100 mL), dried over MgSO4, filtered and evaporated under vacuum to give the crude LS3-5 as an orange oil (59.1 g, >100% crude yield).
TLC [hexanes/AcOEt (1:1)]: Rf=0.57; detection: UV and CMA
LC/MS (Grad_A4): 12.98 min.
Step LS3-6. To a solution of LS3-5 (52.5 g, 94.7 mmol, 1.0 eq.) in THF/H2O (1:1, 475 mL) at room temperature was added LiOH monohydrate (19.9 g, 474 mmol, 5.0 eq.). The mixture was stirred 16-18 h at room temperature. The reaction was monitored by LC/MS (Grad_A4): tR=12.21 min. TLC [Hexanes/AcOEt (1:1); detection: UV and CMA; Rf=baseline]. The reaction mixture was acidified with citrate buffer (1 M, pH 3.5) and THF was then evaporated under vacuum. The residual aqueous phase was extracted with AcOEt (3×150 mL), then the combined organic phases washed with brine (×100 mL), dried over MgSO4, filtered and concentrated under redcued pressure to give carboxylic acid LS3-6 as a white gummy solid (47.3 g, 93% for 2 steps).
LC/MS (Grad_A4): tR=12.16 min
Step LS3-7. To a suspension of H-(D)Phe(4F)—OH (LS3-B, 55.6 g, 0.30 mol, 1.0 eq) in benzene (1.2 L) was added p-TSA (69.4 g, 0.37 mol, 1.2 eq) and benzyl alcohol (157 mL, 1.52 mol, 5.0 eq). The mixture was stirred at reflux 16-18 h in a Dean-Stark apparatus during which a homogeneous solution was obtained. The mixture was cooled down to room temperature and a white precipitate formed. The precipitate was diluted with Et2O (500 mL), filtered and triturated with Et2O (3×500 mL). The solid was dried under vacuum to give LS3-7 as a white solid (126 g, 93.1%). Substitution of toluene for benzene resulted in reduced reaction time, 2-3 h.
1H NMR (DMSO-d6): δ 8.40 (3H, bs, NH3Cl), 7.47-7.36 (2H, d, Ph), 7.37-7.06 (11H, m, Ph), 5.15 (2H, s, OCH 2Ph), 4.37 (1H, bt, CHCH2Ph), 3.09-3.05 (2H, m, CHCH 2Ph), 2.27 (3H, s, CH 3Ph).
13C NMR (DMSO-d6): δ 169.52 163.83, 160.62, 140.01, 138.56, 135.48, 132.16, 132.04, 131.33, 131.28, 129.09, 129.05, 128.84, 128.72, 127.09, 126.20, 116.18, 115.89, 67.83, 53.88, 35.83, 21.47.
LC/MS (Grad_A4): tR=6.12 min
Melting point (uncorrected): 165-167° C.
Step LS3-8._The tosylate salt LS3-7 (122 g) was taken up in an aqueous solution of Na2CO3 (1 M, 500 mL). The resulting basic aqueous solution was extracted with AcOEt (4×500 mL) and the combined organic phases were washed with brine (1×250 mL), dried over MgSO4, filtered and concentrated under redcued pressure to give the amino-ester LS3-8 as a white solid (74.4 g, 99%).
1H NMR (CDCl3): δ 7.38-7.28 (5H, m, OCH2 Ph), 7.10-7.06 (2H, m, Ph(4F)), 6.96-6.90 (2H, m, Ph(4F)), 5.13 (2H, d, OCH 2Ph), 3.76-3.71 (1H, t, CHCH2Ph), (2H, dq, CHC H 2Ph), 1.53 (2H, s, NH2)
Step LS3-9. To a solution of LS3-8 (74.4 g, 0.27 mol, 1.0 eq) in anhydrous THF/CH2Cl2 (1:1, 1120 mL) were added Boc-(D)NMeAla-OH (LS3-C, 57.1 g, 0.28 mol, 1.03 eq), 6-Cl—HOBt (46.2 g, 0.27 mol, 1.0 eq) and DIPEA (238 mL, 1.37 mol, 5.0 eq). The mixture was cooled to 0° C. and EDCI (57.6 g, 0.3 mol, 1.1 eq) was added. The mixture was stirred 1 h at 4° C., allowed to warm to room temperature and stirred 18 h. The solvent was evaporated in vacuo and the residue dissolved in AcOEt (1000 mL). The organic phase was washed sequentially with an aqueous solution of citrate buffer (1 M, pH 3.5, 2×500 mL), H2O (1×500 mL), an aqueous solution of saturated NaHCO3 (CAUTION: CO2 is evolved, 2×500 mL) and brine (1×500 mL). The organic phase was dried over MgSO4 (180 g), filtered and concentrated under reduced pressure to give crude dipeptide LS3-9 as a yellow oil. (127 g, >100% crude yield).
Step LS3-10. The oil LS3-9 was dissolved in 150 mL of dioxane, then a solution of 4 M HCl in dioxane (1360 mL, 20 eq) added and the mixture stirred for 1 h at room temperature. Reaction was monitored by TLC [AcOEt/Hexanes (3:2)]; Rf=baseline; detection: UV and ninhydrin]. The mixture was concentrated under reduced pressure and the resulting residue co-evaporated with Et2O (2×500 mL), then dried under vacuum. The crude LS3-10 was obtained as a slightly yellow solid (96 g, 89.7%). This was dissolved in hot 95% EtOH (200 mL), then MTBE (900 mL) added. The mixture was cooled down to room temperature, then put in a freezer (−20° C.) for 18 h. The resulting crystals were collected by filtration and washed with MTBE (2×200 mL), then dried under vacuum to give crystalline dipeptide hydrochloride LS3-10 (62 g, 64.5% recovery).
1H NMR (DMSO-d6): δ 9.31-9.28 (1H, d, C(O)NH), 7.38-7.26 (7H, m, Ph), 7.09-7.04 (2H, m, Ph), 5.10 (2H, s, C(O)OC H 2Ph), 4.65-4.57 (1H, m, CHCH3), 3.76-3.69 (1H, d, C HCH2Ph), 3.15-3.08 and 2.99-2.91 (CHCH 2 Ph), 2.221 (3H, s, CH 3NH2 +Cl), 1.31-1.28 (3H, d, CHCH 3).
13C NMR (DMSO-d6): δ 171.33, 169.18, 137.63, 136.31, 129.92, 129.11, 128.95, 128.83, 128.63, 127.30, 67.00, 56.57, 54.38, 36.98, 31.11, 16.47.
LC/MS (Grad_A4): tR=6.26 min
LC Chiral (Isol00B05): tR=29.6 min, 97% UV
Melting point (uncorrected): 140-142° C.
Step LS3-11. To a solution of carboxylic acid LS3-6 (47.3 g, 87.6 mmol, 1.0 eq) and dipeptide hydrochloride salt LS3-10 (36.2 g, 91.9 mmol, 1.05 eq) in anhydrous THF/CH2Cl2 (1:1) (438 mL) at 0° C. were added DIPEA (92 mL, 526 mmol, 6.0 eq) and HATU (34.9 g, 91.9 mmol, 1.05 eq). The mixture was allowed to warm to room temperature and stirred 16-18 h. Reaction was monitored by TLC [AcOEt/Hex (1:1); Rf=0.48; detection: UV and CMA] The mixture was concentrated under reduced pressure and the residue dissolved in AcOEt (250 mL). The organic phase was washed sequentially with an aqueous solution of citrate buffer (1 M, pH 3.5, 3×150 mL), H2O (1×150 mL), an aqueous solution of saturated NaHCO3 (2×150 mL) and brine (1×150 mL). The organic phase was dried over MgSO4, filtered and concentrated under reduced pressure. The residue was purified by flash chromatography [AcOEt:hexanes, gradient (10:90) to (50:50)] to give LS3-11 as a white gummy solid (70.0 g, 90%).
LC/MS (Grad_A4): tR=15.06 min
Step LS3-12. To a suspension of 10% Pd/C (13.8 g, 20% by weight) in AcOEt (150 mL) was added a solution of alkylated tripeptide LS3-11 (69.0 g, 78.4 mmol, 1.0 eq) in AcOEt (375 mL), then hydrogen was bubbled through the solution for 16-18 h. The reaction was monitored by TLC [AcOEt/hexanes (1:1); Rf=0.22; detection: UV and CMA]. The mixture was purged by nitrogen bubbling, filtered through a Celite pad and rinsed with AcOEt (3×). The combined filtrate and washings were evaporated under reduced pressure to give LS3-12 as a white solid (51.4 g, 100%).
LC/MS (Grad_A4): tR=8.05 min
Step LS3-13. To LS3-12 (51.4 g, 78.4 mmol, 1.0 eq) was added a solution of 3.0 M HCl in dioxane/H2O (75:25, 525 mL, 1.57 mol, 20 eq) and the mixture stirred at room temperature 1.5 h. The solvent was evaporated under vacuum, then the residue was azeotroped with toluene (3×) and dried under vacuum to give crude LS3-13 as an off-white solid (58.0 g, >100% yield).
LC/MS (Grad_A4): tR=5.38 min.
Step LS3-14. To a solution of macrocyclic precursor LS3-13 (78.4 mmol based on LS3-12, 1.0 eq) in anhydrous THF (1.57 L, 50 mM) were added DIPEA (68.0 mL, 392 mmol, 7.0 eq) and DEPBT (25.8 g, 86.2 mmol, 1.1 eq). The mixture was stirred at room temperature 16-18 h. The reaction was monitored by TLC [MeOH/AcOEt (1:9); Rf=0.38; detection: UV and CMA]. At the end of the reaction, significant quantities of DIPEA salts were in suspension in the solution. Prior to evaporation, these salts were filtered and washed with THF to avoid excessive bumping of the solution during evaporation. The solvent was evaporated under vacuum and the residue taken up in an aqueous solution of Na2CO3 (1 M, 500 mL) and AcOEt (250 mL). The separated basic aqueous phase was extracted with AcOEt (2×250 mL). The combined organic phases were washed with brine (2×250 mL), dried over MgSO4, filtered and evaporated under reduced pressure. The crude material so obtained was purified by flash chromatography [AcOEt:MeOH, gradient (100:0) to (90:10)] to give macrocycle compound 298 as a pale yellow solid (35.0 g. 83%, 2 steps).
LC/MS (Grad_A4): tR=6.19 min
Step LS3-15. To crude compound 298 (18.5 g, 34.4 mmol, 1.0 eq) in anhydrous EtOH (100 mL) was slowly added 1.25 M HCl in EtOH (41.2 mL, 51.5 mmol, 1.5 eq). The mixture was stirred 5 min, cooled down to 0° C. and filtered while still cold. The white precipitate was washed with cold anhydrous EtOH (3×75 mL) and dried under vacuum to give compound 298 hydrochloride as an amorphous white solid (15.3 g, 88% recovery, corrected).
Purification of Compound 298, Amorphous compound 298 hydrochloride (14.2 g, 24.7 mmol) was dissolved in a hot mixture of EtOH/H2O (9:1, 215 mL). The solution was cooled down to room temperature and then placed in a freezer (−20° C.) for 16-18 h. The crystals were collected by filtration and washed with cold anhydrous EtOH (3×75 mL) to give compound 298 hydrochloride as a crystalline white solid (12.4 g, 86% recovery). Crystalline compound 298 hydrochloride (11.4 g, 19.9 mmol) was taken up in 1 M Na2CO3/AcOEt (1:1, 200 mL) and stirred until complete dissolution of the solid. The separated basic aqueous phase was extracted with AcOEt (2×50 mL). The combined organic phases were washed with brine (1×50 mL), dried over MgSO4, filtered and evaporated under vacuum. The oily residue was dissolved in a minimum amount of AcOEt, then hexanes was added until a white precipitate formed. The mixture was evaporated and dried under vacuum to give compound 298 as a white amorphous solid (11.1 g, 100% recovery).
LC/MS (Grad_A4): 6.18 min; Purity (UV/ELSD/CLND): 100/100/100.
This reaction sequence has been repeated in comparable yields starting from 1 kg Cbz-T33a, 518 g LS3-A and 1 kg LS3-B to yield over 400 g of the desired macrocyclic product compound 298 and/or the corresponding HCl salt form. Similar procedures can be applied for other compounds of the invention.
As an alternative, the t-butyl ester of Cpg (LS3-14), produced under standard conditions, can be utilized as was described in Step LS3-4 to provide alkylated Cpg LS3-15 by reaction with Cbz-T33a. This species, without protection of the secondary amine on LS3-16 (produced by standard acid deprotection of the t-butyl ester of LS3-15), then undergoes chemoselective coupling with dipeptide LS3-10 to prepare LS3-17. Straightforward simultaneous hydrogenolysis of both Cbz and benzyl protecting groups then leads to intermediate LS3-13 in a more efficient approach that avoids two steps.
Figure USRE042624-20110816-C01228
Step LS3-17. To the hydrochloride salt of carboxylic acid LS3-16 (2.1 g, 4.41 mmol, 1.0 eq) and LS3-10 (1.7 g, 4.59 mmol, 1.05 eq) in anhydrous THF/CH2Cl2 (1:1, 22 mL) at 0° C. were added DIPEA (5.3 mL, 30.6 mmol, 7.0 eq) and HATU (1.7 g, 4.59 mmol, 1.05 eq). The mixture was allowed to warm to room temperature and stirred 16-18 h. The reaction was monitored by LC-MS. The mixture was concentrated under reduced pressure and the residue dissolved in AcOEt (150 mL). The organic phase was washed sequentially with an aqueous solution of citrate buffer (1 M, pH 3.5, 3×25 mL), H2O (1×25 mL), an aqueous solution of saturated NaHCO3 (2×25 mL) and brine (1×25 mL). The organic phase was dried over MgSO4, filtered and concentrated under vacuum to give LS3-17 as a white solid (3.5 g, >100% crude yield).
LC/MS (Grad_A4): tR=12.09 min.
Step LS3-18. To a suspension of 10% Pd/C (596 mg, 20% by weight) in 95% EtOH (10 mL) was added a solution of alkylated tripeptide LS3-17 (3.0 g, 3.82 mmol, 1.0 eq) in AcOEt (15 mL) and hydrogen bubbled through the solution for 2 h. The mixture was then stirred under a hydrogen atmosphere for 16-18 h. The reaction was monitored by TLC [100% AcOEt; Rf=Baseline; detection: UV and CMA]. The mixture was purged by nitrogen bubbling, filtered through a Celite pad and rinsed with 95% EtOH (3×20 mL). The combined filtrate and rinses were evaporated under reduced pressure to give LS3-13 as a white solid (2.0 g, 94%).
LC/MS (Grad_A4): tR=5.40 min.
B. Biological Results
1. Radioligand Binding Assay on Ghrelin Receptor (Human Clone, hGHS-R1a)
Objective
    • 1. To demonstrate that compound 298 has a direct, high affinity interaction with hGHS-R1a.
      Key Aspects of Method
    • 1. Binding performed on membranes prepared from HEK293 expressing the transfected, cloned human ghrelin receptor (hGHS-R1a).
    • 2. [125I]Ghrelin was used as the radioligand for displacement (Kd=0.01 nM, test concentration=0.007 nM).
    • 3. Ghrelin (unlabeled, 1 μM) was used to determine non-specific binding.
    • 4. Compound 298 tested in duplicate samples over an 11-point concentration curve.
      Results
Compound 298 binding to hGHS-R1a has been run multiple times. A representative binding inhibition curve as shown in FIG. 10 demonstrates that compound 298 binds competitively, reversibly, and with high affinity to hGHS-R1a.
2. Cell-Based, Functional Assays on Ghrelin Receptor (Human Clone, hGHS-R1a)
Objectives
    • 1. To demonstrate that compound 298 is a full agonist at hGHS-R1a.
    • 2. To measure the potency of compound 298 agonist activity at hGHS-R1a.
      Key Aspects of Method
    • 1. Assay performed on CHO—Kl cells expressing the transfected, cloned human ghrelin receptor (hGHS-R1a) and Gα16.
    • 2. Suspended cells incubated O/N with coelenterazine.
    • 3. Stimulation of hGHS-R1a activates Gα16, causing intercellular Ca2+ release which ultimately leads to the oxidation of coelenterazine and the emission of a quantitative luminescent signal.
    • 4. Ghrelin was used as the positive control.
    • 5. Compound 298 tested in duplicate samples over an 8-point concentration curve.
      Results
Compound 298 activates hGHS-R1a with an EC50=25 nM as shown in FIG. 11. Compound 298 is a full agonist based on its similar, maximal efficacy to the ghrelin peptide (positive control).
3. Compound 298 (i.v.) Effect on Growth Hormone (GH) Release in Conscious, Freely-Moving Rats.
Ghrelin (and analogues thereof) is known to potently stimulate GH release from the pituitary in various species including rat following intravenous dosing.
Objectives
    • 1. To determine whether compound 298 stimulates GH release in rat.
    • 2. To determine whether compound 298 modulates ghrelin-induced GH release in rat.
      Method
    • 1. Model adapted from Tannenbaum et al. (2003), Endocrinology 144:967-974.
    • 2. Rats implanted with chronic, intravenous (i.v.) cannulae.
    • 3. Rats allowed to move freely even while dosing drug or sampling blood to minimize stress-induced changes in GH release.
    • 4. Compound 298 administered at GH peak and trough levels to measure:
      • a. Stimulatory effect, if any, on GH release; and
      • b. Whether any stimulatory effect is sustained with repeated dosing.
    • 5. Blood samples are drawn at defined, 15-minute intervals throughout the test day and growth hormone (GH) measured directly by radioimmunoassay.
    • 6. Compound 298 tested at 3, 30, 300, 1000 μg/kg (i.v., N=5-6/rats per group).
    • 7. Ghrelin (positive control) tested at 5 μg (i.v.).
      Results
Compound 298 at doses up to 1000 μg/kg causes no significant difference in pulsatile GH release in comparison to vehicle controls (see FIG. 9 for effects of 30 μg/kg and 300 μg/kg doses). Ghrelin at a dose of 5 μg causes a significant increase in GH release when dosed at both peak and trough levels (positive control). Compound 298 dosed 10 min. prior to ghrelin neither inhibits nor augments ghrelin-induced GH release (FIG. 12). As a secondary indicator of GH release, the effects of compound 298 on the levels of IGF-1 were also examined at the 1000 μg/kg dose. No appreciable changes in IGF-1 levels from control upon treatment with compound 298 were observed.
4. Compound 298 Effect on hGHS-R1a Receptor Desensitization
G-protein coupled receptors can undergo receptor desensitization upon agonist stimulation, where the degree of receptor desensitization is partly characteristic of the agonist. Lesser receptor desensitization is desirable because this correlates with lesser development of tolerance with chronic use of drug. This factor, among others, has been implicated in the poor clinical performance of GHS.
Objective
    • 1. To determine the extent to which Compound 298 causes desensitization of the ghrelin receptor (human clone, hGHS-R1a).
      Method
    • 1. Studies by FLIPR (Fluorometric Imaging Plate Reader, Molecular Devices).
    • 2. Assay performed on HEK293 cells expressing hGHS-R1a.
    • 3. Compound 298 agonist potency was measured using duplicate samples over a 12-point concentration curve; EC50 for compound 298 established.
    • 4. In a separate experiment, cells expressing hGHS-R1a are exposed to a range of concentrations of compound 298 (1, 10, 100, 1000 nM) for 3 minutes. Compound 298 washed out, then cells treated with a concentration of ghrelin (EC100) that elicits maximal stimulation at non-desensitized receptors.
    • 5. A DC50 value is calculated. The DC50 value is defined as the pre-treatment concentration of compound 298 that desensitizes the ghrelin (EC100) response by 50%.
      Results
Compound 298 is a full agonist (EC50=5 nM; FIG. 13A). Increasing pre-treatment concentrations of compound 298 desensitize the maximal response to EC100 ghrelin (DC50=32 nM; FIG. 13B). The DC50 value is >6-fold less potent than the EC50 value, thus compound 298 stimulates the receptor more potently than it desensitizes the receptor. Compound 298 desensitizes the receptor ˜10-fold less potently than other ghrelin agonists (i.e. ghrelin peptide and the GHS capromorelin [Pfizer]; FIG. 13C).
Compound 298 has a favorable desensitization profile since it (1) stimulates the receptor 6-fold more potently that it desensitizes the receptor and (2) elicits desensitization at a 10-fold lower potency than the endogenous ligand (i.e. ghrelin) and alternate, small-molecule ghrelin agonists. Accordingly, compound 298 may elicit less tolerance than alternate ghrelin agonists with chronic dosing.
5. Compound 298 Effect on Gastric Emptying of a Solid Meal in Naïve Rat
Objectives
    • 1. To ascertain data for compound 298 as a prokinetic agent with potent effects on gastric emptying, a model for gastroparesis.
      Methods
    • 1. Overnight-fasted rats (male, Wistar, ˜200 g, N=5/group) were given a meal of methylcellulose (2%) by intragastric gavage. The meal was labeled with phenol red (0.05%).
    • 2. Test articles (i.e, vehicle, compound 298, metoclopramide, etc.) were administered by intravenous injection immediately after meal.
    • 3. Animals were sacrificed 15 minutes later; the stomach was immediately removed and homogenized in 0.1 N NaOH and centrifuged.
    • 4. Total phenol red remaining in the stomach was quantified by a colorimetric method at 560 nm.
    • 5. A >30% increase in gastric emptying, detected based on the phenol red concentration in comparison to the control group, is considered significant.
      Results
Metoclopramide (marketed gastroparesis product), ghrelin and GHRP-6 (reference peptide agonists at hGHS-R1a) all demonstrated significant gastric emptying (FIG. 14A). Compound 298 caused significant gastric emptying in a dose-dependent manner with ˜100-fold superior potency to metoclopramide (FIG. 14B). Compound 298 potently stimulated gastric emptying of a solid meal in naïve rats with a 100-fold superior potency to metoclopramide, a currently used drug with prokinetic activity.
6. Effect of Compound 298 in the Treatment of Post-Operative Ileus in Rat
Objective
To measure the therapeutic utility of compound 298 in a rat model of post-operative ileus (POI).
Methods
    • 1. Model adapted from Kälff et al. (1998), Ann Surg 228: 652-63.
    • 2. Rats (male, Sprague-Dawley, 250-300 g) were implanted with jugular vein catheters to accommodate dosing of test articles.
    • 3. Rats were fasted O/N, anesthetized with isofluorane and subjected to abdominal surgery.
    • 4. Following an abdominal incision, the small intestine caecum and large intestine were eviscerated for a period of 15 min and kept moist with saline.
    • 5. A “running of the bowel” was performed, a clinically-relevant manipulation of the intestines characterized by first pinching the upper small intestine and continuing this manipulation down through the large intestine.
    • 6. Rats are allowed a 15 min recovery beginning after the disappearance of any effects of the isofluorane anesthesia.
    • 7. Rats are dosed with vehicle or compound 298 (30, 100, or 300 μg/kg, i.v., N=6/gp) followed by intragastric gavage of 99mTc methylcellulose (2%) meal.
    • 8. After 15 min, the rats were euthanized and the stomach and consecutive 10 cm segments of the intestine were isolated. Radioactivity (99mTc) in each tissue isolate was measured as a means of measuring the transit of the meal.
      Results
In FIG. 15, the distribution of the bars indicates the distribution of the meal in the stomach (‘ST’) and consecutive 10 cm segments of the small intestine at 15 min post-oral gavage. Abdominal surgery coupled with a running of the bowel caused a significant ileus in rats as determined by comparison of the naïve (i.e. unoperated) and POI treatment groups. Compound 298 significantly increased gastric emptying and intestinal transit at test concentrations of 100 and 300 μg/kg (i.v.). The data corresponding to the 100 μg/kg dose is presented in FIG. 15. At 100 μg/kg (i.v.). compound 298 significantly promoted GI transit by 2.7× as measured by the geometric center of the meal in comparison to the POI+vehicle treatment group. Compound 298 significantly improved gastric emptying and intestinal transit in rats with post-operative ileus. Compound 298 can effectively treat an existing, post-surgical ileus; thus, prophylactic use prior to surgery is not required as is the case for opioid antagonists in clinical development.
7. The Effect of Compounds of the Invention on Gastric Emptying and Gastrointestinal Transit in a Model of Opioid-Delayed Gastric Emptying
Opioid analgesics, such as morphine, are well known to delay gastrointestinal transit which is an important side-effect for this class of drugs. The clinical term for this syndrome is opioid bowel dysfunction (OBD). Importantly, patients recovering from abdominal surgery experience post-operative ileus that is further exacerbated by concomitant opioid therapy for post-surgical pain.
Objective
  • 1. To determine whether compounds of the invention may have therapeutic utility in the treatment of OBD.
    Methods
  • 1. Rats (male, Sprague-Dawley, 250-300 g) are implanted with jugular vein catheters to accommodate dosing of test articles.
  • 2. Overnight-fasted rats are administered morphine (3 mg/kg s.c.).
  • 3. After 30 min, rats are to be dosed with vehicle or compound 298 (300 or 1000 μg/kg, i.v., n=4-to-6/gp) followed by intragastric gavage of 99mTc methylcellulose (2%) meal,
  • 4. After 15 min, the rats are euthanized and the stomach and consecutive 10 cm segments of the intestine are isolated, Radioactivity (99mTc) in each tissue isolate is measured as a means of measuring the transit of the meal.
    Results
Morphine (3 mg/kg, s.c.) significantly delayed gastric emptying and intestinal transit in rats (FIG. 16A). Opioid-delayed gastrointestinal transit was effectively reversed in a dose-dependent manner by treatment with compound 298 (i.v.) (FIG. 16B).
8. Metabolic Stability in Human Plasma
Drugs are susceptible to enzymatic degradation in plasma through the action of various proteinases and esterases. Thus, plasma stability is often performed as a metabolic screen in the early phases of drug discovery. The aim of this study was to measure the metabolic stability of compounds of the invention in human plasma.
Experimental Method
The stability of compound 298 in human plasma at 37° C. has been measured at 2 and 24 h. Two forms of compound 298 have been studied: free amine and corresponding HCl salt. Also, the stability of compound 298 has been established in plasma alone and in plasma buffered with phosphate-buffered saline (PBS) where the ratio of plasma to phosphate buffer (pH 7.0) is 20:1. Assays were both performed and analyzed in triplicate samples. Compound 298 was extracted from plasma matrix using an SPE technique (Oasis MCX cartridge). Sample analysis is done using LC-MS in APCI+ mode. The level of compound 298 in plasma samples is compared to the level of compound 298 in a spiked sample stored at −60° C. from the same pool of plasma. Results are presented as a percent recovery of compound 298.
TABLE 8
Percent Recovery of Compound 298 Following Incubation in Human
Plasma (37° C.).
Free Amine + HCl Salt +
Free amine PBS HCl Salt PBS
2 24 2 24 2 24 2 24
Hours Hours Hours Hours Hours Hours Hours Hours
Triplicates (%) (%) (%) (%) (%) (%) (%) (%)
Assay #1 101.0 105.5 98.3 97.9 100.2 96.6 102.9 97.8
Assay #2 100.3 95.6 100.4 100.8 99.1 104.3 97.4 101.9
Assay #3 101.3 100.9 98.3 101.9 101.6 102.3 99.4 98.5
Mean 100.9 100.7 99.0 100.2 100.3 101.1 99.9 99.4
Standard 0.5 4.9 1.2 2.1 1.3 4.0 2.7 2.2
Deviation
RSD 0.5 4.9 1.3 2.1 1.3 4.0 2.7 2.2
As shown in Table 8, compound 298 is stable in human plasma at 37° C. for at least 24 hours independent of compound form (i.e. free amine or salt) or whether or not the plasma samples are pH buffered with PBS.
9. Compound 298 Interaction Profile at Nine Human Cytochrome P450 Enzyme Subtypes
Compound 298 (0.0457 to 100 μM) has minimal inhibitory activity at all cyp450 enzymes tested, except cyp3A4, and has moderate inhibitory activity at cyp3A4. The inhibitory activity observed for compound 298 at cyp3A4 was not anticipated to be physiologically relevant based on the low doses of compound 298 required for therapeutic activity. Also, there was no indication that compound 298 would undergo a drug-drug interaction with opioid analgesics that may be co-administered to POI patients.
10. Compound 298 Profile in hERG Channel Inhibition
Compound 298 (1, 10 μM) had no significant effect on hERG channel function in comparison to vehicle (0.1% DMSO) controls. E-4031 (positive control) completely inhibited hERG channel currents at 500 nM.
EXAMPLE 5 Gastroparesis Animal Model
High caloric meals are well known to impede gastric emptying. This observation has recently been exploited by Megens, A. A.; et al. (unpublished) to develop a rat model for delayed gastric emptying as experienced in gastroparesis.
Materials
  • 1. Wistar rats, male, 200-250 g
  • 2. Chocolate test meal: 2 mL Clinutren ISO® (1.0 kcal/mL, Nestle S A, Vevey Switzerland)
    Method
The test meal is given to the subjects by oral gavage at time=0. After 60 min, the subjects are sacrificed, the stomachs excised and the contents weighed. Untreated animals experienced a significant delay in gastric emptying as denoted by the higher residual stomach content.
Test compounds were administered intravenously as aqueous solutions, or solutions in normal saline, at time=0 at three dose levels (0.08 mg/kg; 0.30-0.31 mg/kg, 1.25 mg/kg). When necessary, for example compounds 21, 299 and 415, 10% cyclodextrin (CD) was added to solubilize the material. Test compounds examined utilizing subcutaneous injection are administered at time=−30 min. Four to five (4-5) rats were tested per group, except in the case of the cyclodextrin control in which ten (10) rats comprised the group.
Results are reported as percentage relative to the stomach weight for injection only of solvent as a control as shown in FIGS. 17A and 17B and illustrate the gastric emptying capability of the compounds of the present invention. These results are applicable for the utility of these compounds for the prevention and/or treatment of gastroparesis and/or post-operative ileus.
The foregoing is illustrative of the present invention, and is not to be construed as limiting thereof. The invention is defined by the following claims, with equivalents of the claims to be included therein.

Claims (18)

1. A method of stimulating gastrointestinal motility comprising administering to a subject in need thereof an effective amount of a compound selected from the group consisting of the following:
Figure USRE042624-20110816-C01229
Figure USRE042624-20110816-C01230
Figure USRE042624-20110816-C01231
Figure USRE042624-20110816-C01232
Figure USRE042624-20110816-C01233
Figure USRE042624-20110816-C01234
or pharmaceutically acceptable salts thereof.
2. The method of claim 1, wherein the compound is administered orally.
3. The method of claim 1, wherein the compound is administered parenterally.
4. The method of claim 3, wherein the compound is administered intracranially.
5. The method of claim 1, wherein the compound is co-administered with an additional agent useful for stimulating gastrointestinal motility.
6. A method of treating a gastrointestinal disorder comprising administering to a subject in need thereof an effective amount of a compound selected from the group consisting of the following:
Figure USRE042624-20110816-C01235
Figure USRE042624-20110816-C01236
Figure USRE042624-20110816-C01237
Figure USRE042624-20110816-C01238
Figure USRE042624-20110816-C01239
Figure USRE042624-20110816-C01240
or pharmaceutically acceptable salts thereof.
7. The method of claim 6, wherein the gastrointestinal disorder is characterized by gastrointestinal dysmotility.
8. The method of claim 6, wherein the gastrointestinal disorder is postoperative ileus, gastroparesis, opioid-induced bowel dysfunction, chronic intestinal pseudo-obstruction, short bowel syndrome, emesis, constipation-predominant irritable bowel syndrome (IBS), delayed gastric emptying, gastroesophageal reflux disease (GERD), gastric ulcers, or Crohn's disease.
9. The method of claim 8, wherein the gastroparesis is diabetic gastroparesis.
10. The method of claim 6, wherein the compound is administered orally.
11. The method of claim 6, wherein the compound is co-administered with an additional agent useful for treating a gastrointestinal disorder.
12. A method of treating postoperative ileus in a subject comprising administering to a subject in need thereof an effective amount of a compound selected from the group consisting of the following:
Figure USRE042624-20110816-C01241
Figure USRE042624-20110816-C01242
Figure USRE042624-20110816-C01243
Figure USRE042624-20110816-C01244
Figure USRE042624-20110816-C01245
Figure USRE042624-20110816-C01246
or pharmaceutically acceptable salts thereof, whereinto compound is administered parenteraily.
13. The method of claim 12, wherein the compound is administered intravenously.
14. The method of claim 12, wherein the compound is administered subcutaneously.
15. A method of treating gastroparesis in a subject comprising administering to a subject in need thereof an effective amount of a compound selected from the group consisting of the following:
Figure USRE042624-20110816-C01247
Figure USRE042624-20110816-C01248
Figure USRE042624-20110816-C01249
Figure USRE042624-20110816-C01250
Figure USRE042624-20110816-C01251
Figure USRE042624-20110816-C01252
or pharmaceutically acceptable salts thereof, wherein the compound is administered parenterally.
16. The method of claim 15, wherein the gastroparesis is diabetic gastroparesis.
17. The method of claim 15, wherein the compound is administered intravenously.
18. The method of claim 15, wherein the compound is administered subcutaneously.
US12/635,871 2003-06-18 2009-12-11 Methods of using macrocyclic modulators of the ghrelin receptor Expired - Fee Related USRE42624E1 (en)

Priority Applications (1)

Application Number Priority Date Filing Date Title
US12/635,871 USRE42624E1 (en) 2003-06-18 2009-12-11 Methods of using macrocyclic modulators of the ghrelin receptor

Applications Claiming Priority (7)

Application Number Priority Date Filing Date Title
US47922303P 2003-06-18 2003-06-18
US10/872,142 US7521420B2 (en) 2003-06-18 2004-06-18 Macrocyclic antagonists of the motilin receptor
US62164204P 2004-10-26 2004-10-26
US62205504P 2004-10-27 2004-10-27
US64227105P 2005-01-07 2005-01-07
US11/149,512 US7491695B2 (en) 2003-06-18 2005-06-10 Methods of using macrocyclic modulators of the ghrelin receptor
US12/635,871 USRE42624E1 (en) 2003-06-18 2009-12-11 Methods of using macrocyclic modulators of the ghrelin receptor

Related Parent Applications (1)

Application Number Title Priority Date Filing Date
US11/149,512 Reissue US7491695B2 (en) 2003-06-18 2005-06-10 Methods of using macrocyclic modulators of the ghrelin receptor

Publications (1)

Publication Number Publication Date
USRE42624E1 true USRE42624E1 (en) 2011-08-16

Family

ID=46206207

Family Applications (1)

Application Number Title Priority Date Filing Date
US12/635,871 Expired - Fee Related USRE42624E1 (en) 2003-06-18 2009-12-11 Methods of using macrocyclic modulators of the ghrelin receptor

Country Status (1)

Country Link
US (1) USRE42624E1 (en)

Cited By (11)

* Cited by examiner, † Cited by third party
Publication number Priority date Publication date Assignee Title
US20090170757A1 (en) * 2003-06-18 2009-07-02 Tranzyme Pharma Inc. Methods of using macrocyclic modulators of the ghrelin receptor
US9096684B2 (en) 2011-10-18 2015-08-04 Aileron Therapeutics, Inc. Peptidomimetic macrocycles
US9845287B2 (en) 2012-11-01 2017-12-19 Aileron Therapeutics, Inc. Disubstituted amino acids and methods of preparation and use thereof
US20180110824A1 (en) * 2016-10-21 2018-04-26 Ocera Therapeutics, Inc. Macrocyclic Modulators of the Ghrelin Receptor
US9957299B2 (en) 2010-08-13 2018-05-01 Aileron Therapeutics, Inc. Peptidomimetic macrocycles
US10202431B2 (en) 2007-01-31 2019-02-12 Aileron Therapeutics, Inc. Stabilized P53 peptides and uses thereof
US10213477B2 (en) 2012-02-15 2019-02-26 Aileron Therapeutics, Inc. Peptidomimetic macrocycles
US10227380B2 (en) 2012-02-15 2019-03-12 Aileron Therapeutics, Inc. Triazole-crosslinked and thioether-crosslinked peptidomimetic macrocycles
US10253067B2 (en) 2015-03-20 2019-04-09 Aileron Therapeutics, Inc. Peptidomimetic macrocycles and uses thereof
US10301351B2 (en) 2007-03-28 2019-05-28 President And Fellows Of Harvard College Stitched polypeptides
US10471120B2 (en) 2014-09-24 2019-11-12 Aileron Therapeutics, Inc. Peptidomimetic macrocycles and uses thereof

Citations (8)

* Cited by examiner, † Cited by third party
Publication number Priority date Publication date Assignee Title
WO2001025257A2 (en) 1999-10-04 2001-04-12 Neokimia, Inc. Combinatorial synthesis of libraries of macrocyclic compounds useful in drug discovery
EP1159964A2 (en) 2000-05-31 2001-12-05 Pfizer Products Inc. Compositions and methods for stimulating gastrointestinal motility
US6586403B1 (en) 2000-07-20 2003-07-01 Salpep Biotechnology, Inc. Treating allergic reactions and inflammatory responses with tri-and dipeptides
WO2004111077A1 (en) 2003-06-18 2004-12-23 Tranzyme Pharma Inc. Macrocyclic antagonists of the motilin receptor
US6849597B2 (en) 1999-12-28 2005-02-01 Kaken Pharmaceutical Co., Ltd. Neuroprotective drug
WO2005012332A1 (en) 2003-07-31 2005-02-10 Tranzyme Pharma Spatially-defined macrocycles incorporating peptide bond surrogates
WO2005012331A1 (en) 2003-07-31 2005-02-10 Tranzyme Pharma Spatially-defined macrocyclic compounds useful for drug discovery
US7592305B2 (en) 2002-10-10 2009-09-22 Gastrotech Pharma A/S Use of ghrelin for treating malnutrition in gastrectomized individuals

Patent Citations (10)

* Cited by examiner, † Cited by third party
Publication number Priority date Publication date Assignee Title
WO2001025257A2 (en) 1999-10-04 2001-04-12 Neokimia, Inc. Combinatorial synthesis of libraries of macrocyclic compounds useful in drug discovery
US6849597B2 (en) 1999-12-28 2005-02-01 Kaken Pharmaceutical Co., Ltd. Neuroprotective drug
EP1159964A2 (en) 2000-05-31 2001-12-05 Pfizer Products Inc. Compositions and methods for stimulating gastrointestinal motility
US6548501B2 (en) 2000-05-31 2003-04-15 Pfizer Inc. Composition and methods for stimulating gastrointestinal motility
US6852722B2 (en) 2000-05-31 2005-02-08 Pfizer Inc. Compositions and methods for stimulating gastrointestinal mobility
US6586403B1 (en) 2000-07-20 2003-07-01 Salpep Biotechnology, Inc. Treating allergic reactions and inflammatory responses with tri-and dipeptides
US7592305B2 (en) 2002-10-10 2009-09-22 Gastrotech Pharma A/S Use of ghrelin for treating malnutrition in gastrectomized individuals
WO2004111077A1 (en) 2003-06-18 2004-12-23 Tranzyme Pharma Inc. Macrocyclic antagonists of the motilin receptor
WO2005012332A1 (en) 2003-07-31 2005-02-10 Tranzyme Pharma Spatially-defined macrocycles incorporating peptide bond surrogates
WO2005012331A1 (en) 2003-07-31 2005-02-10 Tranzyme Pharma Spatially-defined macrocyclic compounds useful for drug discovery

Non-Patent Citations (132)

* Cited by examiner, † Cited by third party
Title
Ahnfelt-Ronne et al. "Do Growth Hormone-Releasing Peptides Act as Ghrelin Secretagogues?" Endocrine 14(1): 133-135 (2001).
Arcadi et al. "Electrophilic Cyclization of o-Acetoxy- and o-Benzyloxyalkynylpyridines: An Easy Entry into 2, 3-Disubsituted Furopyridines" Organic Letters 4(14): 2409-2412 (2002).
Ariyasu et al. "Stomach is a Major Source of Circulating Ghrelin, and Feeding State Determines Plasma Ghrelin-Like Immunoreactivity Levels in Humans" The Journal of Clinical Endocrinology & Metabolism 86(10);: 4756-4758 (2001).
Arvat et al. "Growth Hormone-Releasing Hormone and Growth Hormone Secretagogue-Receptor Ligands" Endocrine 14(1): 35-43 (2001).
Arvat et al. "Ghrelin and synthetic GH secretagogues" Best Practice and Research Clinical Endocrinology and Metabolism 16(3): 505-517 (2002).
Backes et al. "Solid Support Linker Strategies" Current Opinion in Chemical Biology 1: 86-93 (1997).
Baig et al. "Postoperative Ileus: A Review" Diseases of the Colon & Rectum 47: 516-526 (2002).
Baldanzi et al. "Ghrelin and des-acyl Ghrelin Inhibit Cell Death in Cardiomyocytes and Endothelial Cells through ERK1/2 and PI 3-kinase/AKT" The Journal of Cell Biology 159(6): 1029-1037 (2002).
Baldwin et al. "Symbiotic Approach to Drug Design: Antihypertensive 62 -Adrenergic Blocking Agents" Journal of Medicinal Chemistry 22(11): 1284-1290 (1979).
Banks et al. "Extent and Direction of Ghrelin Transport Across the Blood-Brain Barrier Is Determined by its Unique Primary Structure" The Journal of Pharmacology and Experimental Therapeutics 302: 822-827 (2002).
Barreiro et al. "Developmental, State-Specific, and Hormonally Regulated Expression of Growth Hormone Secretagogue Receptor Messenger RNA in Rat Testis" Biology of Reproduction 68: 1631-1640 (2002).
Barth et al. "Tailoring Ultraresins Based on the Cross-Linking of Polyethylene Imines. Comparative Investigation of the Chemical Composition, the Swelling, the Mobility, the Chemical Accessibility, and the Performance in Solid-Phase Synthesis of Very High Loaded Resins" Journal of Combinatorial Chemistry 6: 340-349 (2004).
Bedendi et al. "cardiac Effects of Ghrelin and Its Endogenous derivatives des-octanoyl Ghrelin and des-Gin14 -ghrelin" European Journal of Pharmacology 476: 87-95 (2003).
Bednarek et al. "Structure-Function Studies on the New Growth Hormone-Releasing Peptide, Ghrelin: Minimal Sequence of Ghrelin Necessary for Activation of Growth Hormone Secretagogue Receptor 1 a" Journal of Medicinal Chemistry 43: 4370-4376 (2000).
Birr et al. "Der ●.●-Dimethyl-3.5-dimethoxybenzyloxycarbonyl (Ddz)-Rest, eine photo- und säurelabile Stickstoff-Schutzgruppe für die Peptidehemie" Liebigs Ann Chem 763: 162-172 (1972).
Bossharth et al. "Palladium-Mediated Three-Component Sythesis of Furo[2,3-b]pyridones by One=Pot Coupling of 3-Iodopyridones, Alkynes, and Organic Halides" Organic Letters 5(14): 2441-2444 (2003).
Bowers "Growth Hormone Releasing Peptides: Physiology and Clinical Applications" Current Opinion in Endocrinology & Diabetes 7: 168-174 (2000).
Bowers et al. "Structure-Activity Relationships of a Synthetic Pentapeptide that Specifically Releases Growth Hormone in Vitro" Endocrinology 106(3): 663-667 (1980).
Broglio et al. "Endocrine and Non-Edocrine Actions of Ghrelin" Hormone Research 59: 109-117 (2003).
Camanni et al. "Growth Hormone-Releasing Peptides and Their Analogs" Frontiers in Neuroendocrinology 19: 47-72 (1998).
Camilleri "Advances in Diabetic Gastroparesis" Reviews in Gastroenterological Disorders 2(2): 47-56 (2002).
Carlini et al. "Ghrelin Increases Anxiety-Like Behavior and Memory Retention in Rats" Biochemical and Biophysical Research Communications 299: 739-743 (2002).
Carpino et al. "recent Developments in Ghrelin Receptor (GHS-R1a) Agonists and Antagonists" Expert Opinion in Ther. Patents 12(11): 1599-1618 (2002).
Carreira et al. "Agonist-Specific Coupling of Growth Hormone Secretagogue Receptor Type 1a to Different Intracellular Signaling Systems" Neuroendocrinology 79: 13-25 (2004).
Casanueva et al. "Ghrelin: The Link Connection Growth with Metabolism and Energy Homeostatis" Reviews in Endocrine & Metabolic Disorders 3: 325-338 (2002).
Cassoni et al. "Expression of Ghrelin and Biological Activity of Specific Receptors for Ghrelin and des-acyl Ghrelin in Human Prostate Neoplasms and Related Cell Lines" European Journal of Endocrinology 150: 173-184 (2004).
Chan et al. "Identification and Functional Characterization of Two Alternatively Spliced Growth Hormone Secretagogue Receptor Transcripts from the Pituitary of Black Seabream Acanthopagrus schlegeli" Molecular and Cellular Endocrinology 241: 81-95 (2004).
Chang et al. "A Highly Efficient and practical Synthesis of Chromene Derivatives Using Ring-Closing Olefin Metathesis" Journal of Organic Chemistry 63: 864-866 (1998).
Chang et al. "Activity of a Novel Nonpeptidyl Growth Hormone Secretagogue, L-700, 653, in Swine" Endocrinology 136(3): 1065-1071 (1995).
Cheng et al. "The Synergisitc Effects of His-D-Trp-Ala-Trp-D-Phe-Lys-NH2, on Growth Hormone (GH)-Releasing Factor-Stimulated GH Release and Intracellular Adenosine 3', 5'-Monophosphate Accumulation in Rat Primary Pituitary Cell Culture" Endocrinology 124(6): 2791-2798 (1989).
Cheng et al. "The Synergisitc Effects of His-D-Trp-Ala-Trp-D-Phe-Lys-NH2, on Growth Hormone (GH)-Releasing Factor-Stimulated GH Release and Intracellular Adenosine 3′, 5′-Monophosphate Accumulation in Rat Primary Pituitary Cell Culture" Endocrinology 124(6): 2791-2798 (1989).
Comins et al. "N- vs. O- Alkylation in the Mitsunobu Reaction of 2-Pyridone" Tetrahedron Letters 35(18): 2819-2822 (1994).
Cummings et al. "Plasma Ghrelin Levels After Diet-Induced Weight Loss or Gastric Bypass Surgery" New England Journal of Medicine 346(21): 1623-1630 (2002).
Cunha et al. "Ghrelin and Growth Hormone (GH) Secretagogues Potentiate GH-Releasing Hormone (GHRH)-Induced Cyclic Adenosine 3'', 3''-Monophosphate Production in Cells Expressing Transfected GHRH and GH Secretagogue Receptors" Endocrinology 143(12): 4570-4582 (2002).
Cunha et al. "Ghrelin and Growth Hormone (GH) Secretagogues Potentiate GH-Releasing Hormone (GHRH)-Induced Cyclic Adenosine 3″, 3″-Monophosphate Production in Cells Expressing Transfected GHRH and GH Secretagogue Receptors" Endocrinology 143(12): 4570-4582 (2002).
D. Voet and J.G. Voet. Biochemistry, 2nd Edition. (1995), pp. 235-241.
D.E. Smilek, et al. Proc. Natl. Acad. Sci. USA (1991) 88, pp. 9633-9637.
Deghenghi et al. "GH-Releasing Activity of Hexarelin, A New Growth Hormone Releasing Peptide, in iNfant and Adult Rats" Life Sciences 54(18): 1324-1328 (1994).
Deghenghi et al. "Somatostatin Octapeptides (Lanreotide, Octreotide, Vapreotide, and their Analogs) Share the Growth Hormone-Releasing Peptide Receptor in the Human Pituitary Gland" Endocrine 14(1): 29-33 (2001).
Deghenghi et al. "Targeting the Ghrelin Receptor" Endocrine 22(1): 13-18 (2003).
Depoortere et al. "Interaction of the Growth Hormone-Releasing Peptides Ghrelin and Growth Hormone-Releasing Peptide-6 with the Motilin Receptor in the Rabbit Gastric Antrum" The Journal of Pharmacology and Experimental Therapeutics 305: 660-667 (2003).
Devi "Heterodimerization of G-Protein-Coupled Receptors: Pharmacology, Signaling and Trafficking" Trends in Pharmacological Sciences 22(10): 532-537 (2001).
Edholm et al. "Ghrelin Stimulates Motility in the Small Intestine of Rats Through Intrinsic Cholinergic Neurons" Regulatory Peptides 121: 25-30 (2004).
Eggenweiler "Linkers for Solid-Phase Synthesis of Small Molecules: Coupling and Cleavage Techniques" DDT 3(12): 552-560 (1998).
Elias et al. "In Vitro Characterization of Four Novel Classes of Growth Hormone-Releasing Peptide" Endocrinology 136(12): 5694-5699 (1995).
Examination Report corresponding to European Patent Application No. 05785185.9 dated Jun. 11, 2010.
Fehrentz et al. "Growth Hormone Secretagogues: Past, Present and Future" Drugs 5(8): 804-814 (2002).
Feighner et al. "Receptor for Motilin Identified in the Human Gastrointestinal System" Science284: 2184-2188 (1999).
Frechet et al. "Use of Polymers as Protecting Groups in Organic Synthesis. II. Protection of Primary Alcohol Functional Groups" Tetrahedron Letters 35: 3055-3056 (1975).
Fujino et al. "Ghrelin Induces Fasted Motor Activity of the Gastrointestinal Tract in Conscious Fed Rats" Journal of Physiology 550(1): 227-240 (2004).
Ghigo et al. "Orally Active Growth Hormone Secretagogues: State of the Art and Clinical Perspectives" Trends in Clinical Practice Ann. Med. 30:159-168 (1998).
Gross "A Concise Sterospecific Synthesis of Repinotan (BAY×3702)" Tetrahedron Letters 44: 8563-8565 (2003).
Halem et al. "Novel Analogs of Ghrelin: Physiological and Clinical Implications" European Journal of Endocrinology 151: S71-S75 (2004).
Hansen, Jr. et al. "Chemoselective N-Ethylation of Boc Amino Acids without Racemization" Journal of Organic Chemistry 50: 945-950 (1985).
Harrity et al. "Chromenes through Metal-Catalyzed Reactions of Styrenyl Ethers. Mechanism and Utility in Synthesis" Journal of the American Chemical Society 120: 2343-2351 (1998).
Hickey et al. "Efficacy and Specificity of L-692, 429, A Novel Nonpeptidyl Growth Hormone Secretagogue, in Beagles" Endocrinology 134(2): 695-701 (1994).
Hickey et al. "Repeat Administration of the GH Secretagogue MK-0677 Increases and Maintains Elevated IGF-I Levels in Beagles" Journal of Endocrinology 152: 182-192 (1997).
Hirano et al. "Chronic Intestinal Pseudo-Obstruction" Digestive Diseases 18: 83-92 (2000).
Hofslokken et al. "Convenient Method for the ortho-Formylation of Phenols" Acta Chemica Scandinavica 53: 258-262 (1999).
Hojo eta l. "Poly peptide Synthesis Using the S-Alkyl Thioester of a Partially Protected Peptide Segment. Synthesis of the DNA-Binding Domain of c-Myb Protein (142-193)-NH2" Bulletin of the Chemical Society of Japan 64: 111-117 (1991).
Horvath et al. "Minireview: Ghrelin and the regulation of Energy Balance-A Hypothalamic Perspective" Endocrinology 142(10): 4163-4169 (2001).
Hosoda et al. "Purification and Characterization of Rat des-Gln14-Ghrelin, a Second Endogenous Ligand for the Growth Hormone Secretagogue Receptor" The Journal of Biological Chemistry 275(29): 21995-22000 (2000).
Hosoda et al. "Structural Divergence of Human Ghrelin" The Journal of Biological Chemistry 278(1): 64-70 (2003).
Howard et al. "A Receptor in Pituitary and Hypothalamus that Functions in Growth Hormone Relase" Science 273: 974-977 (1996).
International Search Report and the Written Opinion of the International Searching Authority for International application PCT/US2005/020654 mailed on Dec. 16, 2005.
Iwaki et al. "Novel Synthetic Strategy Of Carbolines Via Palladium-Catalyzed Amination And Arylation Reaction" J Chem Soc, Perkin Trans 1: 1505-1510 (1999).
J. Rudinger. In: Peptide Hormones, JA Parsons, Ed, (1976) 1-7.
J.-M. Cao et al. Trends Endocrin. Metab. (2006) 17(1), pp. 14-18.
Jacks et al. "Effects of Acute and Repeated Intravenous Administration of L-692,585, A Novel Non-Peptidyl Growth Hormone Secretagogue, on Plasma Growth Hormone, IGF-1, ACTH, Cortisol, Prolactin, Insulin, and Thyroxine Levels in Beagles" Journal of Endocrinology 143: 399-406 (1994).
James "Linkers for Solid Phase Organic Synthesis" Tetrahedron 55: 4855-4946 (1999).
Kalff et al. "Surgical Manipulation of the Gut Elicits and Intestinal Muscularis Inflammatory Response Resulting in Postsurgical Ileus" Annals of Surgery 228(5): 652-663 (1998).
Kojima et al. "Ghrelin is a Growth-Hormone-Releasing Acylated Peptide from Stomach" Nature 402: 656-660 (1999).
Kojima et al. "Ghrelin, an Orexigenic Signaling Molecule from the Gastrointestinal Tract" Curent Opinion in Pharmacology 2: 665-668 (2002).
Kojima et al. "Purification and Distribution of Ghrelin: The Natural Endogenous Ligand for the Growth Hormone Secretagogue Receptor" Hormone Research 56(supp 1): 93-97 (2001).
Krsek et al. "Plasma Ghrelin Levels in Patients with Short Bowel Syndrome" Endocrine Research 28(1&2): 27-33 (2002).
Kurz et al. "Opioid-Induced Bowel Dysfunction: Pathophysiology and Potential new Therapies" Drugs 63(7): 649-671 (2003).
Lasseter et al. "Ghrelin Agonist (TZP-101): Safety, Pharmacokinetics and Pharmacodynamic Evaluation in Healthy Volunteers: A Phase 1, First-in-Human Study" J. Clin. Pharmacol, 48: 193-202 (2008).
LePoul et al. "Adaptation of Aequorin Functional Assay to High Throughput Screening" Journal of Biomolecular Screening 7(1): 57-65 (2002).
Lindstrom et al. "Sythesis of Two Conformationally Constrained Analogues of the Minor Tobacco Alkaloid Anabasine" Organic Letters 2(15): 2291-2293 (2000).
Liu et al. "Selective N-Functionalization of 6-Substituted-2-Pyridones" Tetrahedron Letters 36(49): 8917-8920 (1995).
Locatelli et al. "Growth Hormone Secretagogues: Focus on the Growth Hormone-Releasing Peptides" Pharmacological Research 36(6): 415-423 (1997).
Luckey eta l. "Mechanisms and Treatment of Postoperative Ileus" Archives of Surgery 138: 206-214 (2003).
Maarseveen et al. "Solid Phase Synthesis of Heterocycles by Cyclization/Cleavage Methodologies" Combinatorial Chemistry & High Throughput Screening 1: 185-214 (1998).
Malagon et al. "Intracellular Signaling Mechanism Mediating Ghrelin-Stimulated Growth Hormone Release in Somatotropes" Endocrinology 144(12): 5372-5380 (2003).
Manhas et al. "Steroids. Part X. A Convenient Synthesis of Alkyl Aryl Ethers" Journal of the American Chemical Society 94: 461-463 (1972).
Marguet et al, "New Synthesis of sn-1, 2- and sn-2,3-O-Diacylglycerols-Application to the Synthesis of Enantiopure Phosphonates Analogous to Triglycerides: A New Class of Inhibitors of Lipases" European Journal of Organic Chemistry pp. 1671-1678 (1999).
Meldal et al. "PEGA: A Flow Stable Polyethylene Glycol Dimethyl Acrylamide Copolymer for Solid Phase Synthesis" Tetrahedron Letters 33(21): 3077-3080 (1992).
Moreaux et al. "Activation of the GHS-Receptor Accelerates Gastric Emptying in Dogs" Department of Gastrointestinal an Demerging Diseases, Johnson & Johnson Pharmaceutical Research & Development 1 page, no date.
Murray et al. "Ghrelin for the Gastroenterologist: History and Potential" Gastroenterology 125: 1492-1502 (2003).
Nagaya et al. "Ghrelin Improves Left ventricular Dysfunction and Cardiac Cachexia in Heart Failure" Current Opinion in Pharmacology 3: 146-151 (2003).
Nagaya et al. "Ghrelin, a Novel Growth Hormone-Releasing Peptide, in the Treatment of Chronic Heart Failure" Regulatory Peptides 114: 71-77 (2003).
Nakano et al. "An Efficient Synthesis of (S)-(-)-Befunolol Hydrochloride, Involving the Regioselective Condensation of (R)-Glycidol and 2-Acetyl-7-Hydroxybenzofuran" Heterocycles 20(10): 1975-1978 (1983).
Nakazato et al. "A Role for Ghrelin in the Central Regulation of Feeding" Nature 409: 194-198 (2001).
Nargund et al. "Peptidomimetic Growth Hormone Secretagogues. Design Considerations and Therapeutic Potential" Journal of Medicinal Chemistry 41(17): 3103-3127 (1998).
Ong et al. "Identification of a Pituitary Growth Hormone-Releasing Peptide (GHRP) Receptor subtype by Photoaffinity Labeling" Endocrinology 139(1): 432-435 (1998).
Palucki et al. "Spiro(indoline-3,4''-piperidine) Growth Hormone Secretagogues as Ghrelin Mimetics" Bioorganic & Medicinal Chemistry Letters 11: 1955-1957 (2001).
Palucki et al. "Spiro(indoline-3,4″-piperidine) Growth Hormone Secretagogues as Ghrelin Mimetics" Bioorganic & Medicinal Chemistry Letters 11: 1955-1957 (2001).
Park et al. "Oligomerization of G Protein-Coupled Receptors: Past, Present, and Future" Biochemistry 43(50): 15643-15656 (2004).
Peeters "Central and Peripheral Mechanisms y which Ghrelin Regulates Gut Motility" Journal of Physiology and Pharmacology 54(suppl 4): 95-103 (2003).
Persico et al. "Use of Hydrogen Bonds to Control Molecular Aggregation. Behavior of a Self-Complementary Dipyridone Designed to Self-Replicate" Journal of Organic Chemistry 58: 95-99 (1993).
Peschke et al. "New Growth Hormone Secretagogues: C-Terminal Modified Sulfonamide-Analogues of NN703" Bioorganic & Medicinal Chemistry Letters 9: 1295-1298 (1999).
Rapp et al. "Continuous Flow Peptide Synthesis on Pspoe-Graft-Copolymers" in Innovation and perspectives in solid-phase synthesis (Epton, R., ed.) pp. 205-210, SPCC, Birmingham. (1990).
Rios et al. "G-Protein-Coupled Receptor Dimerization: Modulation of Receptor Function" Pharmacology & Therapeutics 92: 71-87 (2001).
Roussel Jr., et al. "Risk Factors Associated with Development of Postoperative Ileus in Horses" JAVMA 219(1): 72-78 (2001).
S. Rudikoff, et al. Proc. Natl. Acad. Sci. USA (1982) 79. pp. 1979-1983.
Samson et al. "Motilin: A Novel Growth Hormone Releasing Agent" Brain Research Bulletin 12: 57-62 (1984).
Sato et al. "CsF in Organic Synthesis. Tuning of N- or O- Alkylation of 2-Pyridone" Synlett pp. 845-846 (Aug. 1995).
Semple et al. "3-Aryl Pyridone Derivatives. Potent and Selective Kappa Opioid Receptor Agonists" Bioorganic & Medicinal Chemistry Letters 12: 197-200 (2002).
Shiao et al. "A Facile Synthesis of Bromo-2-Alkoxypyridines" Heterocycles 31(5): 819-824 (1990).
Sibilia et al. "Ghrelin Protects Against Ethanol-Induced Gastric Ulcers in Rats: Studies on the Mechanisms of Action" Endocrinology 144(1): 353-359 (2003).
Smith et al. "Current Concepts in Diabetic Gastroparesis" Drugs 63(13): 1339-1358 (2003).
Smith et al. "Growth Hormone Secretagogues: Prospects and Potential Pitfalls" Best Practice & Research Clinical Endocrinology & Metabolism 18(3): 333-347 (2004).
Smith et al. "Peptidomimetic Regulation of Growth Hormone Secretion" Endocrine Reviews 18(5): 621-645 (1997).
Solomon et al. "Chemical Synthesis and Characterization of Duplex DNA Containing a New Base Pair: A Nondisruptive, Benzofused Pyrimiine Analog" Journal of Organic Chemistry 58: 2232-2243 (1993).
Svensson et al. "Growth Hormone Secretagogues" Expert Opinion on Therapeutic Patents 10(7): 1071-1080 (2000).
Tack et al. "Influence of Ghrelin on Gastric Emptying and Meal-Related Symptoms in Idiopathic Gastroparesis" Aliment Pharmacol Ther 22: 847-853 (2005).
Tack et al. "Influence of Ghrelin on Interdigestive Gastrointestinal motility in Humans" Gut 55:327-333 (2006).
Tannenbaum et al. "Interrelationship Between the Novel Peptide Ghrelin and Somatostatin/Growth Hormone-Releasing Hormone in Regulation of Pulsatile Growth Hormone Secretion" Endocrinology 144(3): 967-974 (2003).
Tee et al. "Kinetics and Mechanism of Bromination of 2-Pyridone and Related Derivatives in Aqueous Solution" Journal of the American Chemical Society 104: 4142-4146 (1982).
Theodoridis "Nitrogen Protecting Gropus: Recent Developments and New Applications" Tetrahedron Letters 56: 2339-2358 (2000).
Thompson et al. "Ghrelin and Des-Octanoyl Ghrelin Promote Adipogenesis Directly in Vivo by a Mechanism Independent of the Type 1a Growth Hormone Secretagogue Receptor" Endocrinology 145(1): 234-242 (2004).
Tomasetto et al. "Identification oand Characterization of a Novel Gastric Peptide Hormone: The Motilin-Related Peptide" Gastroenterology 119: 395-405 (2000).
Torsello et al. "Differential Orexigenic Effects of Hexarelin and Its Analogs in the Rat Hypothalamus: Indication for Multiple Growth Hormone Secretagogue Receptor Subtypes" Neuroendocrinology 72: 327-332 (2000).
Trudel et al. "Ghrelin/Motilin-Related Peptide is a Potent Prokinetic to Reverse Gastric Postoperative Ileus in Rat" American Journal of Gastrointestinal and Liver Physiology 282: G948-G952 (2002).
Trudel et al. "Ghrelin/motilin-related peptide is a potent prokinetic to reverse gastric postoperative ileus in rat" American Journal of Physiology 282(6): G948-G952 (2002).
Trudel et al. "Two New Peptides to Improve Post-Operative Gastric Ileus in Dog" Peptides 24: 531-534 (2003).
Van Hoogmoed et al. "Survey of Prokinetic use in Horses with Gastrointestinal Injury" Veterinary Surgery 33: 279-285 (2004).
Vedejs et al. "Heteroarene-2-sulfonyl Chlorides (BtsCl; ThsCl): Reagents for Nitrogen Protection and >99% Racemization-Free Phenylglycine Activation with SoCl2," Journal of the American Chemical Society 118: 9796-9797 (1996).
W.-C. Qui et al. J. Gastroenterol. (2008) 14(9), pp. 1419-1424.
W.S. Messer, "Vasopressin and Oxytocin", web document updated Apr. 3, 2000; http://www.neurosci.pharm.utoledo.edu/MBC3320/vasopressin.htm>, 5 pages.
Zdravkovic et al. "A Clinical Study Investigating the Pharmacokinetic Interaction Between NN703 (tabimorelin), a Potential Inhibitor of CYP3A4 Activity, and Midazolam, a CYP3A4 Substrate" European Journal of Pharmacology 58: 683-688 (2003).
Zhang et al. "Lactone and Lactam Library Synthesis by Silver Ion-Assisted Orthogonal Cyclization of Unprotected Peptides" Journal of the American Chemical Society 121: 3311-3320 (1999).

Cited By (17)

* Cited by examiner, † Cited by third party
Publication number Priority date Publication date Assignee Title
US8349887B2 (en) 2003-06-18 2013-01-08 Tranzyme Pharma Inc. Methods of treating cachexia with macrocyclic modulators of the ghrelin receptor
US8450268B2 (en) 2003-06-18 2013-05-28 Tranzyme Pharma Inc. Methods of using macrocyclic modulators of the ghrelin receptor
US20090170757A1 (en) * 2003-06-18 2009-07-02 Tranzyme Pharma Inc. Methods of using macrocyclic modulators of the ghrelin receptor
US10202431B2 (en) 2007-01-31 2019-02-12 Aileron Therapeutics, Inc. Stabilized P53 peptides and uses thereof
US10301351B2 (en) 2007-03-28 2019-05-28 President And Fellows Of Harvard College Stitched polypeptides
US9957299B2 (en) 2010-08-13 2018-05-01 Aileron Therapeutics, Inc. Peptidomimetic macrocycles
US9522947B2 (en) 2011-10-18 2016-12-20 Aileron Therapeutics, Inc. Peptidomimetic macrocycles
US9096684B2 (en) 2011-10-18 2015-08-04 Aileron Therapeutics, Inc. Peptidomimetic macrocycles
US10308699B2 (en) 2011-10-18 2019-06-04 Aileron Therapeutics, Inc. Peptidomimetic macrocycles
US10213477B2 (en) 2012-02-15 2019-02-26 Aileron Therapeutics, Inc. Peptidomimetic macrocycles
US10227380B2 (en) 2012-02-15 2019-03-12 Aileron Therapeutics, Inc. Triazole-crosslinked and thioether-crosslinked peptidomimetic macrocycles
US10967042B2 (en) 2012-02-15 2021-04-06 Aileron Therapeutics, Inc. Peptidomimetic macrocycles
US9845287B2 (en) 2012-11-01 2017-12-19 Aileron Therapeutics, Inc. Disubstituted amino acids and methods of preparation and use thereof
US10669230B2 (en) 2012-11-01 2020-06-02 Aileron Therapeutics, Inc. Disubstituted amino acids and methods of preparation and use thereof
US10471120B2 (en) 2014-09-24 2019-11-12 Aileron Therapeutics, Inc. Peptidomimetic macrocycles and uses thereof
US10253067B2 (en) 2015-03-20 2019-04-09 Aileron Therapeutics, Inc. Peptidomimetic macrocycles and uses thereof
US20180110824A1 (en) * 2016-10-21 2018-04-26 Ocera Therapeutics, Inc. Macrocyclic Modulators of the Ghrelin Receptor

Similar Documents

Publication Publication Date Title
US7491695B2 (en) Methods of using macrocyclic modulators of the ghrelin receptor
US7476653B2 (en) Macrocyclic modulators of the ghrelin receptor
USRE42013E1 (en) Macrocyclic modulators of the ghrelin receptor
USRE42624E1 (en) Methods of using macrocyclic modulators of the ghrelin receptor
US20090198050A1 (en) Macrocyclic Modulators of the Ghrelin Receptor
EP2644618B1 (en) tether intermediates for the synthesis of macrocyclic ghrelin receptor modulators
US20090275648A1 (en) Macrocyclic ghrelin receptor antagonists and inverse agonists and methods of using the same
WO2006137974A2 (en) Macrocyclic ghrelin receptor antagonists and inverse agonists and methods of using the same
US9493505B2 (en) Macrocyclic modulators of the ghrelin receptor
US20180110824A1 (en) Macrocyclic Modulators of the Ghrelin Receptor
WO2006046977A1 (en) Macrocyclic ghrelin receptor antagonists and methods of using the same
JP5730835B2 (en) Use of macrocyclic modulators of ghrelin receptor
JP5739766B2 (en) Use of macrocyclic modulators of ghrelin receptor
ES2646887T3 (en) Intermediates for ghrelin receptor macrocyclic modulators

Legal Events

Date Code Title Description
FPAY Fee payment

Year of fee payment: 4

CC Certificate of correction
AS Assignment

Owner name: OCERA THERAPEUTICS, INC., CALIFORNIA

Free format text: ASSIGNMENT OF ASSIGNORS INTEREST;ASSIGNOR:TRANZYME PHARMA INC.;REEL/FRAME:031994/0084

Effective date: 20131213

FEPP Fee payment procedure

Free format text: PAT HOLDER CLAIMS SMALL ENTITY STATUS, ENTITY STATUS SET TO SMALL (ORIGINAL EVENT CODE: LTOS); ENTITY STATUS OF PATENT OWNER: LARGE ENTITY

FPAY Fee payment

Year of fee payment: 8

AS Assignment

Owner name: DEUTSCHE BANK AG NEW YORK BRANCH, AS COLLATERAL AG

Free format text: NOTICE OF GRANT OF SECURITY INTEREST IN INTELLECTUAL PROPERTY;ASSIGNOR:OCERA THERAPEUTICS, INC.;REEL/FRAME:044949/0634

Effective date: 20171222

FEPP Fee payment procedure

Free format text: ENTITY STATUS SET TO UNDISCOUNTED (ORIGINAL EVENT CODE: BIG.); ENTITY STATUS OF PATENT OWNER: LARGE ENTITY

FEPP Fee payment procedure

Free format text: MAINTENANCE FEE REMINDER MAILED (ORIGINAL EVENT CODE: REM.); ENTITY STATUS OF PATENT OWNER: LARGE ENTITY

LAPS Lapse for failure to pay maintenance fees

Free format text: PATENT EXPIRED FOR FAILURE TO PAY MAINTENANCE FEES (ORIGINAL EVENT CODE: EXP.); ENTITY STATUS OF PATENT OWNER: LARGE ENTITY

AS Assignment

Owner name: INO THERAPEUTICS LLC, MISSOURI

Free format text: RELEASE OF PATENT SECURITY INTERESTS RECORDED AT REEL 044949, FRAME 0634;ASSIGNOR:DEUTSCHE BANK AG NEW YORK BRANCH, AS COLLATERAL AGENT;REEL/FRAME:065610/0460

Effective date: 20231114

Owner name: IKARIA THERAPEUTICS LLC, NEW JERSEY

Free format text: RELEASE OF PATENT SECURITY INTERESTS RECORDED AT REEL 044949, FRAME 0634;ASSIGNOR:DEUTSCHE BANK AG NEW YORK BRANCH, AS COLLATERAL AGENT;REEL/FRAME:065610/0460

Effective date: 20231114

Owner name: THERAKOS, INC., MISSOURI

Free format text: RELEASE OF PATENT SECURITY INTERESTS RECORDED AT REEL 044949, FRAME 0634;ASSIGNOR:DEUTSCHE BANK AG NEW YORK BRANCH, AS COLLATERAL AGENT;REEL/FRAME:065610/0460

Effective date: 20231114

Owner name: ST SHARED SERVICES LLC, MISSOURI

Free format text: RELEASE OF PATENT SECURITY INTERESTS RECORDED AT REEL 044949, FRAME 0634;ASSIGNOR:DEUTSCHE BANK AG NEW YORK BRANCH, AS COLLATERAL AGENT;REEL/FRAME:065610/0460

Effective date: 20231114

Owner name: INFACARE PHARMACEUTICAL CORPORATION, MISSOURI

Free format text: RELEASE OF PATENT SECURITY INTERESTS RECORDED AT REEL 044949, FRAME 0634;ASSIGNOR:DEUTSCHE BANK AG NEW YORK BRANCH, AS COLLATERAL AGENT;REEL/FRAME:065610/0460

Effective date: 20231114

Owner name: MALLINCKRODT PHARMA IP TRADING UNLIMITED COMPANY (F/K/A MALLINCKRODT PHARMA IP TRADING D.A.C.), IRELAND

Free format text: RELEASE OF PATENT SECURITY INTERESTS RECORDED AT REEL 044949, FRAME 0634;ASSIGNOR:DEUTSCHE BANK AG NEW YORK BRANCH, AS COLLATERAL AGENT;REEL/FRAME:065610/0460

Effective date: 20231114

Owner name: MALLINCKRODT PHARMACEUTICALS IRELAND LIMITED, IRELAND

Free format text: RELEASE OF PATENT SECURITY INTERESTS RECORDED AT REEL 044949, FRAME 0634;ASSIGNOR:DEUTSCHE BANK AG NEW YORK BRANCH, AS COLLATERAL AGENT;REEL/FRAME:065610/0460

Effective date: 20231114

Owner name: VTESSE LLC (F/K/A VTESSE INC.), MISSOURI

Free format text: RELEASE OF PATENT SECURITY INTERESTS RECORDED AT REEL 044949, FRAME 0634;ASSIGNOR:DEUTSCHE BANK AG NEW YORK BRANCH, AS COLLATERAL AGENT;REEL/FRAME:065610/0460

Effective date: 20231114

Owner name: SUCAMPO PHARMA AMERICAS LLC, MISSOURI

Free format text: RELEASE OF PATENT SECURITY INTERESTS RECORDED AT REEL 044949, FRAME 0634;ASSIGNOR:DEUTSCHE BANK AG NEW YORK BRANCH, AS COLLATERAL AGENT;REEL/FRAME:065610/0460

Effective date: 20231114

Owner name: STRATATECH CORPORATION, WISCONSIN

Free format text: RELEASE OF PATENT SECURITY INTERESTS RECORDED AT REEL 044949, FRAME 0634;ASSIGNOR:DEUTSCHE BANK AG NEW YORK BRANCH, AS COLLATERAL AGENT;REEL/FRAME:065610/0460

Effective date: 20231114

Owner name: SPECGX LLC, MISSOURI

Free format text: RELEASE OF PATENT SECURITY INTERESTS RECORDED AT REEL 044949, FRAME 0634;ASSIGNOR:DEUTSCHE BANK AG NEW YORK BRANCH, AS COLLATERAL AGENT;REEL/FRAME:065610/0460

Effective date: 20231114

Owner name: OCERA THERAPEUTICS LLC (F/K/A OCERA THERAPEUTICS, INC.), MISSOURI

Free format text: RELEASE OF PATENT SECURITY INTERESTS RECORDED AT REEL 044949, FRAME 0634;ASSIGNOR:DEUTSCHE BANK AG NEW YORK BRANCH, AS COLLATERAL AGENT;REEL/FRAME:065610/0460

Effective date: 20231114

Owner name: MALLINCKRODT ARD IP UNLIMITED COMPANY (F/K/A MALLINCKRODT ARD IP LIMITED), IRELAND

Free format text: RELEASE OF PATENT SECURITY INTERESTS RECORDED AT REEL 044949, FRAME 0634;ASSIGNOR:DEUTSCHE BANK AG NEW YORK BRANCH, AS COLLATERAL AGENT;REEL/FRAME:065610/0460

Effective date: 20231114

Owner name: MALLINCKRODT HOSPITAL PRODUCTS IP UNLIMITED COMPANY (F/K/A MALLINCKRODT HOSPITAL PRODUCTS IP LIMITED), IRELAND

Free format text: RELEASE OF PATENT SECURITY INTERESTS RECORDED AT REEL 044949, FRAME 0634;ASSIGNOR:DEUTSCHE BANK AG NEW YORK BRANCH, AS COLLATERAL AGENT;REEL/FRAME:065610/0460

Effective date: 20231114

Owner name: MEH, INC., MISSOURI

Free format text: RELEASE OF PATENT SECURITY INTERESTS RECORDED AT REEL 044949, FRAME 0634;ASSIGNOR:DEUTSCHE BANK AG NEW YORK BRANCH, AS COLLATERAL AGENT;REEL/FRAME:065610/0460

Effective date: 20231114

Owner name: IMC EXPLORATION COMPANY, MISSOURI

Free format text: RELEASE OF PATENT SECURITY INTERESTS RECORDED AT REEL 044949, FRAME 0634;ASSIGNOR:DEUTSCHE BANK AG NEW YORK BRANCH, AS COLLATERAL AGENT;REEL/FRAME:065610/0460

Effective date: 20231114

Owner name: MALLINCKRODT US HOLDINGS LLC, MISSOURI

Free format text: RELEASE OF PATENT SECURITY INTERESTS RECORDED AT REEL 044949, FRAME 0634;ASSIGNOR:DEUTSCHE BANK AG NEW YORK BRANCH, AS COLLATERAL AGENT;REEL/FRAME:065610/0460

Effective date: 20231114

Owner name: MALLINCKRODT VETERINARY, INC., MISSOURI

Free format text: RELEASE OF PATENT SECURITY INTERESTS RECORDED AT REEL 044949, FRAME 0634;ASSIGNOR:DEUTSCHE BANK AG NEW YORK BRANCH, AS COLLATERAL AGENT;REEL/FRAME:065610/0460

Effective date: 20231114

Owner name: MALLINCKRODT BRAND PHARMACEUTICALS LLC (F/K/A MALLINCKRODT BRAND PHARMACEUTICALS, INC.), MISSOURI

Free format text: RELEASE OF PATENT SECURITY INTERESTS RECORDED AT REEL 044949, FRAME 0634;ASSIGNOR:DEUTSCHE BANK AG NEW YORK BRANCH, AS COLLATERAL AGENT;REEL/FRAME:065610/0460

Effective date: 20231114

Owner name: LIEBEL-FLARSHEIM COMPANY LLC, MISSOURI

Free format text: RELEASE OF PATENT SECURITY INTERESTS RECORDED AT REEL 044949, FRAME 0634;ASSIGNOR:DEUTSCHE BANK AG NEW YORK BRANCH, AS COLLATERAL AGENT;REEL/FRAME:065610/0460

Effective date: 20231114

Owner name: LAFAYETTE PHARMACEUTICALS LLC, MISSOURI

Free format text: RELEASE OF PATENT SECURITY INTERESTS RECORDED AT REEL 044949, FRAME 0634;ASSIGNOR:DEUTSCHE BANK AG NEW YORK BRANCH, AS COLLATERAL AGENT;REEL/FRAME:065610/0460

Effective date: 20231114

Owner name: MALLINCKRODT LLC, MISSOURI

Free format text: RELEASE OF PATENT SECURITY INTERESTS RECORDED AT REEL 044949, FRAME 0634;ASSIGNOR:DEUTSCHE BANK AG NEW YORK BRANCH, AS COLLATERAL AGENT;REEL/FRAME:065610/0460

Effective date: 20231114

Owner name: MALLINCKRODT ENTERPRISES LLC, MISSOURI

Free format text: RELEASE OF PATENT SECURITY INTERESTS RECORDED AT REEL 044949, FRAME 0634;ASSIGNOR:DEUTSCHE BANK AG NEW YORK BRANCH, AS COLLATERAL AGENT;REEL/FRAME:065610/0460

Effective date: 20231114

Owner name: MALLINCKRODT ENTERPRISES HOLDINGS LLC (F/K/A MALLINCKRODT ENTERPRISES HOLDINGS, INC.), MISSOURI

Free format text: RELEASE OF PATENT SECURITY INTERESTS RECORDED AT REEL 044949, FRAME 0634;ASSIGNOR:DEUTSCHE BANK AG NEW YORK BRANCH, AS COLLATERAL AGENT;REEL/FRAME:065610/0460

Effective date: 20231114

Owner name: CNS THERAPEUTICS, INC., MISSOURI

Free format text: RELEASE OF PATENT SECURITY INTERESTS RECORDED AT REEL 044949, FRAME 0634;ASSIGNOR:DEUTSCHE BANK AG NEW YORK BRANCH, AS COLLATERAL AGENT;REEL/FRAME:065610/0460

Effective date: 20231114

Owner name: LUDLOW LLC (F/K/A LUDLOW CORPORATION), MISSOURI

Free format text: RELEASE OF PATENT SECURITY INTERESTS RECORDED AT REEL 044949, FRAME 0634;ASSIGNOR:DEUTSCHE BANK AG NEW YORK BRANCH, AS COLLATERAL AGENT;REEL/FRAME:065610/0460

Effective date: 20231114

Owner name: MNK 2011 LLC (F/K/A MALLINCKRODT INC.), MISSOURI

Free format text: RELEASE OF PATENT SECURITY INTERESTS RECORDED AT REEL 044949, FRAME 0634;ASSIGNOR:DEUTSCHE BANK AG NEW YORK BRANCH, AS COLLATERAL AGENT;REEL/FRAME:065610/0460

Effective date: 20231114

Owner name: MALLINCKRODT US POOL LLC, MISSOURI

Free format text: RELEASE OF PATENT SECURITY INTERESTS RECORDED AT REEL 044949, FRAME 0634;ASSIGNOR:DEUTSCHE BANK AG NEW YORK BRANCH, AS COLLATERAL AGENT;REEL/FRAME:065610/0460

Effective date: 20231114

Owner name: MALLINCKRODT CARRIBEAN, INC., MISSOURI

Free format text: RELEASE OF PATENT SECURITY INTERESTS RECORDED AT REEL 044949, FRAME 0634;ASSIGNOR:DEUTSCHE BANK AG NEW YORK BRANCH, AS COLLATERAL AGENT;REEL/FRAME:065610/0460

Effective date: 20231114

Owner name: MALLINCKRODT US HOLDINGS LLC (F/K/A MALLINCKRODT US HOLDINGS INC.), MISSOURI

Free format text: RELEASE OF PATENT SECURITY INTERESTS RECORDED AT REEL 044949, FRAME 0634;ASSIGNOR:DEUTSCHE BANK AG NEW YORK BRANCH, AS COLLATERAL AGENT;REEL/FRAME:065610/0460

Effective date: 20231114

Owner name: MALLINCKRODT FINANCE GMBH, SWITZERLAND

Free format text: RELEASE OF PATENT SECURITY INTERESTS RECORDED AT REEL 044949, FRAME 0634;ASSIGNOR:DEUTSCHE BANK AG NEW YORK BRANCH, AS COLLATERAL AGENT;REEL/FRAME:065610/0460

Effective date: 20231114

Owner name: MALLINCKRODT CB LLC, MISSOURI

Free format text: RELEASE OF PATENT SECURITY INTERESTS RECORDED AT REEL 044949, FRAME 0634;ASSIGNOR:DEUTSCHE BANK AG NEW YORK BRANCH, AS COLLATERAL AGENT;REEL/FRAME:065610/0460

Effective date: 20231114

Owner name: MALLINCKRODT INTERNATIONAL FINANCE S.A., LUXEMBOURG

Free format text: RELEASE OF PATENT SECURITY INTERESTS RECORDED AT REEL 044949, FRAME 0634;ASSIGNOR:DEUTSCHE BANK AG NEW YORK BRANCH, AS COLLATERAL AGENT;REEL/FRAME:065610/0460

Effective date: 20231114