USRE37256E1 - System and method for generating precise position determinations - Google Patents
System and method for generating precise position determinations Download PDFInfo
- Publication number
- USRE37256E1 USRE37256E1 US09/187,194 US18719498A USRE37256E US RE37256 E1 USRE37256 E1 US RE37256E1 US 18719498 A US18719498 A US 18719498A US RE37256 E USRE37256 E US RE37256E
- Authority
- US
- United States
- Prior art keywords
- gps
- receiver
- pseudolites
- carrier signals
- phase measurements
- Prior art date
- Legal status (The legal status is an assumption and is not a legal conclusion. Google has not performed a legal analysis and makes no representation as to the accuracy of the status listed.)
- Expired - Lifetime
Links
- 238000000034 method Methods 0.000 title claims abstract description 78
- 238000005259 measurement Methods 0.000 claims abstract description 230
- 230000004044 response Effects 0.000 claims abstract description 7
- 238000012545 processing Methods 0.000 claims description 103
- 230000008859 change Effects 0.000 claims description 45
- 238000013459 approach Methods 0.000 claims description 37
- 238000012937 correction Methods 0.000 claims description 11
- 238000004519 manufacturing process Methods 0.000 claims 1
- 239000013598 vector Substances 0.000 description 161
- 239000011159 matrix material Substances 0.000 description 61
- 230000008569 process Effects 0.000 description 18
- 230000006870 function Effects 0.000 description 17
- 238000013500 data storage Methods 0.000 description 12
- 230000008901 benefit Effects 0.000 description 9
- 230000009977 dual effect Effects 0.000 description 6
- 230000003068 static effect Effects 0.000 description 5
- 238000005516 engineering process Methods 0.000 description 4
- 230000001360 synchronised effect Effects 0.000 description 4
- 230000001427 coherent effect Effects 0.000 description 3
- 238000012804 iterative process Methods 0.000 description 3
- 238000004364 calculation method Methods 0.000 description 2
- 230000008030 elimination Effects 0.000 description 2
- 238000003379 elimination reaction Methods 0.000 description 2
- 230000015654 memory Effects 0.000 description 2
- 230000007123 defense Effects 0.000 description 1
- VJYFKVYYMZPMAB-UHFFFAOYSA-N ethoprophos Chemical compound CCCSP(=O)(OCC)SCCC VJYFKVYYMZPMAB-UHFFFAOYSA-N 0.000 description 1
- 239000000284 extract Substances 0.000 description 1
- 238000012986 modification Methods 0.000 description 1
- 230000004048 modification Effects 0.000 description 1
- 230000000737 periodic effect Effects 0.000 description 1
- 238000000926 separation method Methods 0.000 description 1
Images
Classifications
-
- G—PHYSICS
- G01—MEASURING; TESTING
- G01S—RADIO DIRECTION-FINDING; RADIO NAVIGATION; DETERMINING DISTANCE OR VELOCITY BY USE OF RADIO WAVES; LOCATING OR PRESENCE-DETECTING BY USE OF THE REFLECTION OR RERADIATION OF RADIO WAVES; ANALOGOUS ARRANGEMENTS USING OTHER WAVES
- G01S19/00—Satellite radio beacon positioning systems; Determining position, velocity or attitude using signals transmitted by such systems
- G01S19/01—Satellite radio beacon positioning systems transmitting time-stamped messages, e.g. GPS [Global Positioning System], GLONASS [Global Orbiting Navigation Satellite System] or GALILEO
- G01S19/13—Receivers
- G01S19/14—Receivers specially adapted for specific applications
- G01S19/15—Aircraft landing systems
-
- G—PHYSICS
- G01—MEASURING; TESTING
- G01S—RADIO DIRECTION-FINDING; RADIO NAVIGATION; DETERMINING DISTANCE OR VELOCITY BY USE OF RADIO WAVES; LOCATING OR PRESENCE-DETECTING BY USE OF THE REFLECTION OR RERADIATION OF RADIO WAVES; ANALOGOUS ARRANGEMENTS USING OTHER WAVES
- G01S19/00—Satellite radio beacon positioning systems; Determining position, velocity or attitude using signals transmitted by such systems
- G01S19/01—Satellite radio beacon positioning systems transmitting time-stamped messages, e.g. GPS [Global Positioning System], GLONASS [Global Orbiting Navigation Satellite System] or GALILEO
- G01S19/03—Cooperating elements; Interaction or communication between different cooperating elements or between cooperating elements and receivers
- G01S19/04—Cooperating elements; Interaction or communication between different cooperating elements or between cooperating elements and receivers providing carrier phase data
-
- G—PHYSICS
- G01—MEASURING; TESTING
- G01S—RADIO DIRECTION-FINDING; RADIO NAVIGATION; DETERMINING DISTANCE OR VELOCITY BY USE OF RADIO WAVES; LOCATING OR PRESENCE-DETECTING BY USE OF THE REFLECTION OR RERADIATION OF RADIO WAVES; ANALOGOUS ARRANGEMENTS USING OTHER WAVES
- G01S19/00—Satellite radio beacon positioning systems; Determining position, velocity or attitude using signals transmitted by such systems
- G01S19/01—Satellite radio beacon positioning systems transmitting time-stamped messages, e.g. GPS [Global Positioning System], GLONASS [Global Orbiting Navigation Satellite System] or GALILEO
- G01S19/03—Cooperating elements; Interaction or communication between different cooperating elements or between cooperating elements and receivers
- G01S19/07—Cooperating elements; Interaction or communication between different cooperating elements or between cooperating elements and receivers providing data for correcting measured positioning data, e.g. DGPS [differential GPS] or ionosphere corrections
- G01S19/071—DGPS corrections
-
- G—PHYSICS
- G01—MEASURING; TESTING
- G01S—RADIO DIRECTION-FINDING; RADIO NAVIGATION; DETERMINING DISTANCE OR VELOCITY BY USE OF RADIO WAVES; LOCATING OR PRESENCE-DETECTING BY USE OF THE REFLECTION OR RERADIATION OF RADIO WAVES; ANALOGOUS ARRANGEMENTS USING OTHER WAVES
- G01S19/00—Satellite radio beacon positioning systems; Determining position, velocity or attitude using signals transmitted by such systems
- G01S19/01—Satellite radio beacon positioning systems transmitting time-stamped messages, e.g. GPS [Global Positioning System], GLONASS [Global Orbiting Navigation Satellite System] or GALILEO
- G01S19/03—Cooperating elements; Interaction or communication between different cooperating elements or between cooperating elements and receivers
- G01S19/10—Cooperating elements; Interaction or communication between different cooperating elements or between cooperating elements and receivers providing dedicated supplementary positioning signals
- G01S19/11—Cooperating elements; Interaction or communication between different cooperating elements or between cooperating elements and receivers providing dedicated supplementary positioning signals wherein the cooperating elements are pseudolites or satellite radio beacon positioning system signal repeaters
-
- G—PHYSICS
- G01—MEASURING; TESTING
- G01S—RADIO DIRECTION-FINDING; RADIO NAVIGATION; DETERMINING DISTANCE OR VELOCITY BY USE OF RADIO WAVES; LOCATING OR PRESENCE-DETECTING BY USE OF THE REFLECTION OR RERADIATION OF RADIO WAVES; ANALOGOUS ARRANGEMENTS USING OTHER WAVES
- G01S19/00—Satellite radio beacon positioning systems; Determining position, velocity or attitude using signals transmitted by such systems
- G01S19/38—Determining a navigation solution using signals transmitted by a satellite radio beacon positioning system
- G01S19/39—Determining a navigation solution using signals transmitted by a satellite radio beacon positioning system the satellite radio beacon positioning system transmitting time-stamped messages, e.g. GPS [Global Positioning System], GLONASS [Global Orbiting Navigation Satellite System] or GALILEO
- G01S19/40—Correcting position, velocity or attitude
- G01S19/41—Differential correction, e.g. DGPS [differential GPS]
-
- G—PHYSICS
- G01—MEASURING; TESTING
- G01S—RADIO DIRECTION-FINDING; RADIO NAVIGATION; DETERMINING DISTANCE OR VELOCITY BY USE OF RADIO WAVES; LOCATING OR PRESENCE-DETECTING BY USE OF THE REFLECTION OR RERADIATION OF RADIO WAVES; ANALOGOUS ARRANGEMENTS USING OTHER WAVES
- G01S19/00—Satellite radio beacon positioning systems; Determining position, velocity or attitude using signals transmitted by such systems
- G01S19/38—Determining a navigation solution using signals transmitted by a satellite radio beacon positioning system
- G01S19/39—Determining a navigation solution using signals transmitted by a satellite radio beacon positioning system the satellite radio beacon positioning system transmitting time-stamped messages, e.g. GPS [Global Positioning System], GLONASS [Global Orbiting Navigation Satellite System] or GALILEO
- G01S19/42—Determining position
- G01S19/43—Determining position using carrier phase measurements, e.g. kinematic positioning; using long or short baseline interferometry
- G01S19/44—Carrier phase ambiguity resolution; Floating ambiguity; LAMBDA [Least-squares AMBiguity Decorrelation Adjustment] method
-
- G—PHYSICS
- G01—MEASURING; TESTING
- G01S—RADIO DIRECTION-FINDING; RADIO NAVIGATION; DETERMINING DISTANCE OR VELOCITY BY USE OF RADIO WAVES; LOCATING OR PRESENCE-DETECTING BY USE OF THE REFLECTION OR RERADIATION OF RADIO WAVES; ANALOGOUS ARRANGEMENTS USING OTHER WAVES
- G01S19/00—Satellite radio beacon positioning systems; Determining position, velocity or attitude using signals transmitted by such systems
- G01S19/38—Determining a navigation solution using signals transmitted by a satellite radio beacon positioning system
- G01S19/39—Determining a navigation solution using signals transmitted by a satellite radio beacon positioning system the satellite radio beacon positioning system transmitting time-stamped messages, e.g. GPS [Global Positioning System], GLONASS [Global Orbiting Navigation Satellite System] or GALILEO
- G01S19/53—Determining attitude
- G01S19/54—Determining attitude using carrier phase measurements; using long or short baseline interferometry
- G01S19/55—Carrier phase ambiguity resolution; Floating ambiguity; LAMBDA [Least-squares AMBiguity Decorrelation Adjustment] method
-
- G—PHYSICS
- G01—MEASURING; TESTING
- G01S—RADIO DIRECTION-FINDING; RADIO NAVIGATION; DETERMINING DISTANCE OR VELOCITY BY USE OF RADIO WAVES; LOCATING OR PRESENCE-DETECTING BY USE OF THE REFLECTION OR RERADIATION OF RADIO WAVES; ANALOGOUS ARRANGEMENTS USING OTHER WAVES
- G01S5/00—Position-fixing by co-ordinating two or more direction or position line determinations; Position-fixing by co-ordinating two or more distance determinations
- G01S5/0009—Transmission of position information to remote stations
Definitions
- the present invention relates generally to systems and methods for generating precise position determinations for any land, sea, air, or space vehicle. In particular, it pertains to aircraft landing systems and methods.
- GPS Global Positioning System
- L 1 L-band carrier component
- PRN pseudo random
- the PRN code provides timing information for determining when the GPS signal was broadcast.
- the data component provides information such as the satellite's orbital position.
- the carrier component allows a receiver to easily acquire the GPS signal.
- Position determination using Conventional GPS is well known in the art.
- a receiver makes ranging measurements between an antenna coupled to the receiver and each of at least four GPS satellites in view. The receiver makes these measurements from the timing information and the satellite orbital position information obtained from the PRN code and data components of each GPS signal received. By receiving four different GPS signals, the receiver can make fairly accurate position determinations.
- OPS Ordinary Differential GPS
- Position determination using Ordinary Differential GPS is also well known in the art. It involves the same kind of ranging measurements as are made with Conventional GPS, except that a ground reference receiver at a precisely known location is utilized. Ideally, satellite ranging errors will affect the position determinations made by the user's receiver in the same way as they will the position determinations made by the nearby ground receiver. Since the location of the ground receiver is already known, the ground receiver can compare the position determination it has calculated with the actual known position. As a result, the ground receiver can accurately detect ranging errors.
- the ground receiver can compute suitable corrections which are transmitted by data link to the user's receiver.
- the user's receiver can then apply the corrections to its own ranging measurements so as to provide accurate real time position determinations.
- a pseudolite i.e. ground based pseudo satellite
- a pseudolite can be used to transmit these error corrections along with an unassigned PRN code.
- the unassigned PRN code enables the user's receiver to make a redundant fifth ranging measurement for even greater precision. And, in some cases, it enables the user's receiver to make a necessary fourth ranging measurement where one of the other GPS signals has been lost.
- GPS Carrier Phase Differential GPS.
- This form of OPS utilizes the 1.575 GHz carrier component of the GPS signal on which the PRN code and the data component are superimposed.
- Carrier Phase Differential GPS involves generating position determinations based on the measured phase differences at two different antennas for the carrier component of a GPS signal.
- this technique initially requires determining how many integer wavelengths of the carrier component exist between the two antennas at a particular point in time. This is called integer ambiguity resolution.
- Narrow Correlator Spacing This technique involves using the PRN code of the GPS signal to bound the integer ambiguities. However, a significant amount of the time it can yield position determination errors of as much as several meters. This does not provide the kind of consistency which is required in aircraft landing applications.
- Dual Frequency Wide-Laning utilizes a second GPS signal broadcast by each satellite.
- This second GPS signal has an L-band carrier component (L 2 ) transmitted at a frequency of 1.227 GHz.
- L 2 L-band carrier component
- the L 2 carrier component and the L 1 carrier component are differenced so as to form a signal having an effective wavelength that is much longer than either of the two carrier components. From this signal, it is relatively easy to resolve the integer ambiguities.
- the L 2 component is not available for civilian use.
- the denial of the second carrier component can be countermeasured with cross correlation technology, the performance of this type of technology is unproven and very expensive to implement.
- the foregoing and other objects of the invention may generally be achieved by a GPS system and method which employs Carrier Phase Differential GPS.
- the system and method utilize a ground based reference GPS system and a mobile CPS system mounted on a moving vehicle.
- the elements of the reference system are stationary. They include a GPS reference receiver, an initialization pseudolite, a data link pseudolite, and a reference antenna.
- the data link pseudolite generates and broadcasts a data link signal in the form of a signal beam.
- This data link signal has at least a carrier component and data component.
- the initialization pseudolite generates and broadcasts an initialization signal in the form of a low power signal bubble.
- the initialization signal has at least a carrier component.
- the reference antenna receives GPS signals broadcast by GPS satellites and provides them to the reference receiver.
- the reference receiver makes phase measurements at periodic measurement epochs for the carrier components of the GPS signals and may do the same, depending on the configuration of the reference GPS system, for the carrier component of the initialization signal. Data representing these phase measurements is received by the data link pseudolite and broadcast to the mobile system via the data component of the data link signal.
- the elements of the mobile system are mounted on the moving vehicle and are therefore mobile.
- the mobile system includes a GPS position receiver and two antennas.
- the first antenna receives the same GPS signals as were received by the reference antenna. This is done both during and after an initialization period.
- the second antenna receives the initialization and data link signals broadcast by the two pseudolites during the initialization period. After the initialization period is over, the second antenna only receives the data link pseudolite signal.
- Each of the GPS signals received by the first antenna and the reference antenna has an integer ambiguity associated with these two antennas.
- the initialization period is used to resolve these integer ambiguities so that the mobile GPS position receiver can generate subsequent precise position determinations for the first antenna using Carrier Phase Differential GPS.
- the GPS position receiver receives from the first antenna the CPS signals and from the second antenna the initialization and data link signals. While the moving vehicle is within the signal bubble and receives the initialization signal, there is a large angular change in geometry between the moving vehicle and the initialization pseudolite as the vehicle moves through the signal bubble.
- the mobile GPS position receiver makes and records phase measurements for the GPS signals and the initialization signal over this large angular change in geometry. These phase measurements are made at the same epochs as those made by the GPS reference receiver over this same change in geometry. Furthermore, the mobile GPS receiver receives via the data link signal the phase measurements made by the GPS reference receiver and records them. From the recorded phase measurements of both receivers, the GPS position receiver can accurately compute initialization values representing resolutions of the integer ambiguities of the GPS signals. Thus, the large angular change in geometry reveals the integer ambiguities.
- the initialization period is over and the moving vehicle will have left the signal bubble.
- the mobile GPS receiver can then compute precise positions for the first antenna at each measurement epoch to within centimeters of the exact location. This is done using the computed initialization values, the phase measurements for the GPS signals made by the mobile position receiver, and the phase measurements made by the GPS reference receiver provided to the GPS position receiver via the data link signal.
- FIG. 1 shows a general view of a GPS system which employs two initialization pseudolites in accordance with the invention
- FIG. 2 shows a more detailed view of the GPS system shown in FIG. 1;
- FIG. 3 provides an illustration of how integer ambiguities at an initial epoch arise which are then resolved during an initialization period required for generating precise position determinations
- FIG. 4 provides an illustration of the integer ambiguities at an epoch after the initial epoch
- FIG. 5 shows the vector relationships associated with the integer ambiguities shown in FIGS. 3 and 4;
- FIG. 6 shows the vectors representing the surveyed positions of antennas which are mounted on an airplane with respect to the body coordinate system of the airplane;
- FIG. 7 shows the rotation of the body coordinate system of the airplane with respect to the runway coordinate system
- FIG. 8 shows a general view of a GPS system employing a single initialization pseudolite in accordance with the invention
- FIG. 9 illustrates elimination of cross track uncertainty by use of two initialization pseudolites
- FIG. 10 illustrates elimination of cross track error by overlying a single initialization pseudolite twice
- FIG. 11 provides an illustration of the vector relationships associated with the integer ambiguities which are resolved during an initialization period required for generating precise GPS attitude determinations
- FIG. 12 shows rotation of the attitude antennas about a single axis of the runway coordinate system during the initialization period required for GPS attitude determinations
- FIG. 13 shows a detailed description of a ground base GPS reference system which is part of the entire GPS system of FIG. 1 and which employs two initialization pseudolites;
- FIG. 14 shows an alternative embodiment for the GPS reference system where pseudolite signals are received directly by a reference receiver from pseudolite signal generators
- FIG. 15 shows another embodiment for the GPS reference system where the GPS reference receiver and the pseudolite signal generators share a common synthesizer
- FIG. 16 shows yet another embodiment for the GPS reference system where the GPS reference receiver and the pseudolite signal generators are combined into a single GPS reference transceiver;
- FIG. 17 provides a detailed illustration of a portion of a GPS mobile system which is part of the entire GPS system of FIG. 1 and which includes a GPS position receiver and several antennas;
- FIG. 18 provides a detailed illustration of another portion of the GPS mobile system including a GPS attitude receiver and several antennas;
- FIG. 19 shows another embodiment of the GPS mobile system where a single GPS receiver generates both position determinations and attitude determinations
- FIG. 20 shows another embodiment of the GPS mobile system where an inertial measurement unit is employed
- FIG. 21 shows another embodiment for the GPS mobile system where a single antenna and a single GPS position receiver are employed.
- FIGS. 1-21 provide illustrations of the invention described herein.
- like components are designated by like numerals.
- FIG. 1 shows a general view of a GPS system 20 for generating precise position determinations using Carrier Phase Differential GPS.
- An airplane 21 is on final approach trajectory 22 to runway 23 .
- Four GPS satellites 24 ( 1 )-( 4 ) at known orbital positions are in view and broadcast GPS signals 25 ( 1 )-( 4 ).
- Initialization pseudolites 26 ( 1 )-( 2 ) are located at known positions on each side of the horizontal component of flight trajectory 22 and respectively generate and broadcast initialization signals 27 ( 1 )-( 2 ) in the form of a low power signal bubbles 28 ( 1 )-( 2 ).
- a data and ranging link pseudolite 29 is located at a known position at the end of runway 22 and broadcasts a data link signal 30 in the form of a signal beam 31 .
- Airplane 21 is initially outside of signal bubbles 28 but within signal beam 31 .
- FIG. 2 shows GPS system 20 while airplane 21 is inside GPS signal bubbles 28 ( 1 )-( 2 ).
- GPS mobile system 37 which includes GPS position receiver 32 , GPS attitude receiver 33 , GPS top side antenna 34 , GPS attitude antennas 35 ( 1 )-( 3 ), and GPS bottom side antenna 38 .
- Each of the components 32 - 34 , 35 ( 1 )-( 3 ), and 38 of the GPS mobile system 37 is mobile.
- each of the antennas 34 and 35 ( 1 )-( 3 ) receives GPS signals 25 ( 1 )-( 4 ) and is coupled to position receiver 32 .
- Antenna 38 receives pseudolite signals 27 ( 1 )-( 2 ) and 30 and is also coupled to receiver 32 .
- a ground based GPS reference system 39 Located near runway 23 is a ground based GPS reference system 39 . It includes reference GPS antenna 40 , stationary reference GPS receiver 41 , and pseudolites 26 ( 1 )-( 2 ) and 29 . Reference antenna 40 receives GPS signals 25 ( 1 )-( 4 ), initialization signals 27 ( 1 )-( 2 ), and data link signal 30 . Reference receiver 41 is coupled to reference antenna 40 for receiving these signals. Pseudolites 26 ( 1 )-( 2 ) respectively comprise signal generators 42 ( 1 )-( 2 ) and pseudolite transmit antennas 43 ( 1 )-( 2 ).
- the signal generators 42 ( 1 )-( 2 ) are respectively coupled to antennas 43 ( 1 )-( 2 ) and respectively generate pseudolite signals 27 ( 1 )-( 2 ) while antennas 43 ( 1 )-( 2 ) respectively broadcast these signals.
- Pseudolite 29 comprises signal generator 44 and pseudolite transmit antenna 45 .
- Signal generator 44 is coupled to antenna 45 and generates pseudolite signal 30 while antenna 45 broadcasts this signal.
- Reference antenna 40 , reference receiver 41 , and pseudolite antennas 43 ( 1 )-( 2 ) and 45 are at precisely surveyed locations with respect to each other and runway 23 .
- the GPS signals 25 ( 1 )-( 4 ) are L 1 C/A code GPS signals. In other words, they contain an L 1 carrier component, a C/A PRN code, and a data component.
- the initialization signals 27 ( 1 )-( 2 ) and the data link signal 30 are L 1 C/A GPS type signals in order to utilize existing GPS technology and methodology.
- the signals 27 ( 1 )-( 2 ) and 30 need not be limited to L 1 CIA GPS signals.
- the pseudolite signal 30 need only provide a data link between the reference system 39 and the mobile receiver 32 . Thus, it could simply comprise a carrier component (with a frequency in the L-band or otherwise) and a data component.
- the pseudolite signals 27 ( 1 )-( 2 ) need only provide receiver 32 with a carrier signal. Thus, they could simply comprise a carrier signal (with a frequency in the L-band or otherwise).
- the L 1 carrier is a sinusoidal wave transmitted at a frequency of 1.575 GHz.
- the L 1 carrier signal allows the position receiver 32 and the reference receiver 41 to easily acquire the GPS signals 25 ( 1 )-( 4 ), 27 ( 1 )-( 2 ), and 29 . And, as is discussed later, it also allows the position receiver 32 to compute precise position determinations for airplane 21 using Carrier Phase Differential GPS.
- the PRN code provides timing information enabling the position receiver 32 to make Conventional GPS and Ordinary Differential GPS position determinations. It comprises a series of variable width pulses broadcast at a frequency of 1.023 MHz.
- Each of the GPS satellites 24 ( 1 )-( 4 ) and the pseudolites 26 ( 1 )-( 2 ) and 29 transmits its own unique PRN code. This enables position receiver 32 and reference receiver 41 to easily identify and separate the various GPS signals received by the two receivers.
- the position receiver 32 and the reference receiver 41 generate internally the same PRN codes at substantially the same time as do GPS satellites 24 ( 1 )-( 4 ) and pseudolites 26 ( 1 )-( 2 ) and 29 .
- the receivers 32 and 41 compare the PRN codes that they generate with the corresponding PRN codes received from the GPS satellites 24 ( 1 )-( 4 ) and the pseudolites 26 ( 1 )-( 2 ) and 29 .
- the phase difference needed to match the received and generated PRN codes is then computed in terms of time.
- the computed phase difference represents the time it takes for the PRN code of the broadcasting GPS satellite 24 ( 1 )-( 4 ) or pseudolite 26 ( 1 )-( 2 ) or 29 to travel to the antenna 34 , 35 ( 1 )-( 3 ), 38 or 40 which has received the PRN code. From the measured phase difference, the range to the broadcasting GPS satellite 24 ( 1 )-( 4 ) or pseudolite 26 ( 1 )-( 2 ) or 29 can be established. With ranging measurements to the four different GPS satellites 24 ( 1 )-( 4 ), position determinations using Conventional GPS can be made by receiver 32 to within tens of meters.
- each of the GPS signals 25 ( 1 )-( 4 ) broadcast by the GPS satellites 24 ( 1 )-( 4 ) respectively when considered alone by the position receiver 32 , only contains enough information for enabling the position receiver 32 to make Conventional GPS position determinations.
- the position receiver 32 when the position receiver 32 also considers the data component of GPS signals 27 ( 1 )-( 2 ) or 30 , it can make Ordinary Differential GPS and Carrier Phase Differential GPS position determinations.
- the information in the data component of each GPS signal 25 ( 1 )-( 4 ) includes the orbital position of the GPS satellite 24 ( 1 )-( 4 ) which has broadcast it. This information is provided as a bit stream with a frequency of 50 bits per second.
- the information in the data component of the pseudolite GPS signals 27 ( 1 )-( 2 ) or 30 can include (a) the position of pseudolites 26 ( 1 )-( 2 ) and 29 , (b) the position of antenna 40 , (c) the position of reference receiver 41 , (d) corrective information computed by reference receiver 41 , (c) the raw carrier phase measurements and PRN code measurements made by reference receiver 41 for the GPS signals 25 ( 1 )-( 4 ), 27 ( 1 )-( 2 ), and 30 , and (g) important runway and airport status information. All of this information is broadcast as a bit stream with a frequency of approximately 1000 bits per second.
- FIG. 1 shows airplane 21 approaching runway 23 outside of the signal bubbles 28 ( 1 )-( 2 ). While outside the signal bubbles 28 ( 1 )-( 2 ), position receiver 32 makes position determinations using Ordinary Differential GPS from the information supplied by GPS signal 30 . This is done to provide proper navigation during an initialization period. During the initialization period, position receiver 32 is initialized for Carrier Phase Differential GPS position determinations.
- the initialization of position receiver 32 involves integer ambiguity resolution.
- Integer ambiguity resolution is the process of determining, at a particular point in time, the number of integer wavelengths of the carrier component of a GPS signal 25 ( 1 )-( 4 ), 27 ( 1 )-( 2 ), or 30 which lies between a given pair of antennas in the direction of the broadcasting GPS satellite 24 ( 1 )-( 4 ) or pseudolite 26 ( 1 )-( 2 ) or 29 .
- FIG. 3 provides an illustration of how three integer ambiguities n 25(i) , n 30 , and n 27(k) arise at the first measurement epoch of the initialization period.
- GPS satellite 24 (i) (i.e. the i th of the GPS satellites 24 ( 1 )-( 4 )) broadcasts with its transmit antenna a carrier component of GPS signal 25 (i) (i.e. the i th of the GPS signals 25 ( 1 )-( 4 )) in the direction of antennas 34 and 40 .
- the integer ambiguity n 25(i) of GPS signal 25 (i) is associated with top side antenna 34 and reference antenna 40 .
- Ranging link pseudolite 29 broadcasts with its pseudolite antenna 45 a carrier component of GPS signal 30 in the direction of antennas 34 and 40 .
- the integer ambiguity n 30 of GPS signal 30 is associated with top side antenna 38 and reference antenna 40 .
- Initialization pseudolite 26 (k) (i.e. the k th of the initialization pseudolites 26 ( 1 )-( 4 )) broadcasts with its pseudolite antenna 43 (k) (i.e. the k th of pseudolite antennas 43 ( 1 )-( 2 )) a carrier component of GPS signal 27 (k) (i.e. the k th of the GPS signals 27 ) in the direction of antennas 38 and 40 .
- the integer ambiguity n 27(k) of GPS signal 27 (k) is associated with top side antenna 34 and reference antenna 40 .
- Both of the receivers 32 and 41 are configured to make phase measurements for the acquired GPS signals 25 (i)-( 4 ), 27 ( 1 )-( 2 ), and 30 .
- Each measurement includes both a fractional wavelength phase component ⁇ fr and an integer wavelength phase change component ⁇ int .
- the integer wavelength change in phase ⁇ int for each raw phase measurement is kept track of by receiver 32 as of the time the GPS signals 25 ( 1 )-( 4 ), 27 ( 1 )-( 2 ), and 30 was first acquired.
- the phase measurements are made by the receivers 32 and 41 at a rate in the range of 1-10 Hz.
- Each cycle is a measurement epoch. This rate is selected so that the phase measurements of reference receiver 41 can be sampled and telemetered up to receiver 32 (via the pseudolite GPS signals 27 ( 1 )-( 2 ) or 30 ) for synchronization with the sampled raw phase measurements of receiver 32 .
- antennas 34 and 38 are coupled to position receiver 32 and antenna 41 is coupled to reference receiver 41 .
- Both position receiver 32 and reference receiver 41 generate internally their own carrier component for phase comparisons with the received carrier component of GPS signals 25 ( 1 )-( 4 ), 27 ( 1 )-( 2 ), and 30 .
- These carrier components are not generated at exactly the same time because at each measurement epoch the receiver 32 has clock synchronization error ⁇ T 32 , the reference receiver 41 has clock synchronization error ⁇ T 41 , the signal generator of GPS satellite 24 (i) has a clock synchronization error ⁇ T 24(i) , the signal generator 44 of the ranging link pseudolite 29 has synchronization error ⁇ T 44 , and the signal generator 42 (k) (i.e. the k th of the signal generators 42 ( 1 )-( 2 )) of initialization pseudolite 27 (k) has synchronization error ⁇ T 42(k) .
- the unknown range r 24(i)/34 between the transmit antenna of GPS satellite 24 (i) and antenna 34 includes the phase component ⁇ 25(i)/34 measured by receiver 32 and the unknown integer component n 25(i)/34 of GPS signal 25 (i).
- the unknown range r 45/38 between the pseudolite antenna 45 and the antenna 38 includes the phase component ⁇ 30/38 measured by receiver 32 and the unknown integer component n 30/38 of GPS signal 30 .
- the unknown range r 43(k)/38 between a pseudolite antenna 43 (k) and the antenna 38 , at the initial epoch of the initialization, includes the phase component ⁇ 27(k)/38 measured by receiver 32 and the unknown integer component n 27(k)/38 for GPS signal 27 (k).
- the unknown range r 24(i)/40 at the initial epoch between the transmit antenna of GPS satellite 24 (i) and antenna 40 includes the phase component ⁇ 25(i)/40 measured by receiver 41 and the unknown integer component n 25(i)/40 of GPS signal 25 (i).
- the known range r 45/40 at the initial epoch between the pseudolite antenna 45 and antenna 40 includes the phase component ⁇ 30/40 measured by receiver 41 and the unknown integer component n 30/40 of GPS signal 30 .
- the known range r 43(k)/40 at the initial epoch between a pseudolite antenna 43 (k) and antenna 40 includes the phase component ⁇ 27(k)/40 measured by receiver 41 and the unknown integer component n 27(k)/40 of GPS signal 27 (k).
- the phase measurements ⁇ 25(i)/40 , ⁇ 30/40 , and ⁇ 27(k)/40 are uplinked to receiver 32 .
- n 25(i)/34 , n 30/38 , n 27(k)/38 , n 25(i)/40 , n 30/40 , and n 27(k)/40 which are assigned at the initial epoch remain constant throughout the initialization process and the subsequent Carrier Phase Differential GPS position determinations. This fact is illustrated in FIG. 4 .
- FIG. 4 shows an epoch after the initial epoch. This second epoch could be during or after the initialization period.
- Each of the measurements ⁇ 25(i)/34 , ⁇ 25(i)/40 , ⁇ 30/30 , ⁇ 30/40 , ⁇ 27(k)/38 , and ⁇ 27(k)/40 will have changed since the initial epoch. This is due to the fact that the fractional component ⁇ fr and integer wavelength change component ⁇ int which make up the identified phase measurements have changed since the initial epoch. However, the assigned integer components n 25(i)/34 , n 30/38 , n 27(k)/38 , n 25(i)/40 , n 30/40 , and n 27(k)/40 have not changed.
- n 25(i) is the integer ambiguity between antennas 34 and 40 at the initial epoch for the carrier component of the GPS signal 25 (i) broadcast by GPS satellite 24 (i).
- n 30 is the integer ambiguity between antennas 38 and 40 at the initial epoch for the carrier component of the GPS signal 30 broadcast by pseudolite antenna 45 of ranging link pseudolite 29 .
- n 27(k) is the integer ambiguity between antennas 38 and 40 at the initial epoch for the carrier component of the GPS signal 27 (k) broadcast by pseudolite antenna 43 (k) of initialization pseudolite 26 (k).
- Equations (3), (6), and (9) must be manipulated so as to include the vector relationships t, x, y, ⁇ 24(i) , p 43(k) , p 45 , and A T k 38 associated with the ranges r 24(i)/34 , r 24(i)/40 , r 45/38 , r 45/40 , r 43(k)/38 , and r 43(k)/40 .
- These relationships are shown in FIG. 5 and are established with respect to the runway coordinate system 46 associated with the threshold of runway 23 . Coordinate system 46 is defined by the along track AT, cross track CT, and altitude A coordinates.
- t AT , t CT , and t A are respectively the along track distance between antenna 40 and the runway 23 threshold.
- x AT , x CT , and x A are respectively the along track, cross track, and altitude distances between antenna 34 and the runway 23 threshold.
- y AT , y CT , and y A are respectively the along track, cross track, and altitude distances between antenna 38 and the runway 23 threshold.
- s 24(i)/AT , s 24(i)/CT , s 24(i)A are respectively the unit along track, cross track, and altitude distances to GPS satellite 24 (i).
- This vector is computed by receiver 32 for a GPS satellite 24 (i) from the satellite position information contained in the data component of its associated GPS signal 25 (i) and from the known position of antenna 40 in the coordinate system used to determine the positions of the GPS satellite 24 (i).
- p 45/AT , p 45/CT , and p 45/A are respectively the along track, cross track, and altitude distances between antenna 40 and pseudolite antenna 45 .
- p 43(k)/AT , p 43(k)/CT , and p 43(k)A are respectively the along track, cross track, and altitude distances between antenna 40 and pseudolite antenna 43 (k).
- the vector A T k 38 [3 ⁇ 1] is the lever arm correction vector needed for determining the unknown position vector x. It is the dot product of the transposed attitude matrix A [3 ⁇ 3] and the known position vector k 38 [3 ⁇ 1] for the bottom side antenna 38 .
- bottom side antenna 38 The known position of bottom side antenna 38 relative to top side antenna 34 is precisely surveyed with respect to the body coordinate system 47 defined by the coordinates X, Y, and Z and shown in FIG. 6 .
- k 38/X , k 38/Y and k 38/Z are respectively the distances between antennas 34 and 38 in the X, Y, and Z directions.
- each element of the matrix represents the rotation of a coordinate of the body coordinate system 47 with respect to a coordinate of the runway coordinate system 46 .
- the vector A T k 38 represents the position of antenna relative to antenna 34 in the runway coordinate system 46 .
- Equations (21) and (22) can be combined with Equation (6) to establish the single difference phase relationship provided in Equation (27):
- ⁇ 30 ⁇ x - t + A T ⁇ k 38 - p 45 ⁇ - ⁇ p 45 ⁇ - n 30 + ⁇ ⁇ ⁇ T 32 - ⁇ ⁇ ⁇ T 41 ( 27 )
- Equations (23) and (24) can be combined with Equation (9) to establish the single difference phase relationship provided in Equation (28):
- ⁇ 27 ⁇ ( k ) ⁇ x - t + A T ⁇ k 38 - p 43 ⁇ ( k ) ⁇ - ⁇ p 43 ⁇ ( k ) ⁇ - n 27 ⁇ ( k ) + ⁇ ⁇ ⁇ T 32 - ⁇ ⁇ ⁇ T 41 ( 28 )
- Equations (26) and (27) can each be differenced with one of the two equations derived from Equation (28) which is associated with one of the two pseudolites 27 ( 1 )-( 2 ). Furthermore, the two equations associated with the pseudolites 27 ( 1 )-( 2 ) can be differenced with each other.
- N 25(i)27(1) , N 30/27(1) , and N 27(2)/27(1) are unknown constants which respectively represent the difference between the integer ambiguities n 25(i) and n 27(1) , the integer ambiguities n 30 and n 27(1) , and the integer ambiguities n 27(2) and n 27(1) .
- Equation (38) The relationship between the vectors x and x 0 and the vector ⁇ x is represented as follows in Equation (38):
- Equation (39) [ ⁇ x AT ⁇ x CT ⁇ x A ] ( 39 )
- ⁇ x AT , ⁇ x CT , and ⁇ x A represent respectively at each epoch the unknown precise difference between the vectors x and x 0 in the along track, cross track, and altitude distances.
- One method for computing the values N 25(i)/27(1) , N 30/27(1) , and N 27(2)/27(1) only involves making carrier phase measurements ⁇ 25(i)/34 , ⁇ 25(i)/40 , ⁇ 30/38 , ⁇ 30/40 , ⁇ 27(k)/38 , and ⁇ 27(k)/40 associated with the GPS signals 25 ( 1 )-( 4 ), 27 ( 1 )-( 2 ), and 30 .
- at least four GPS satellites 24 ( 1 )-( 4 ) are always guaranteed to be in view at any one time.
- the four GPS signals 25 ( 1 )-( 4 ) barring any sudden maneuvers, will always be received by receivers 32 and 41 .
- this method can be used with several configurations for the ground system 39 .
- receiver 32 will make phase measurements ⁇ 25(k)/34 and ⁇ 27(k)/38 and receiver 41 will make measurements ⁇ 25(i)/40 and ⁇ 27(k)/40 over a number of epochs while airplane 21 is inside the signal bubbles 28 ( 1 )-( 2 ) and receives the initialization signals 27 ( 1 )-( 2 ).
- this initialization period there is a large angular change in geometry between antennas 34 and 38 and the transmit antennas 43 ( 1 )-( 2 ) as the antennas 34 and 38 move through the signal bubbles 28 ( 1 )-( 2 ).
- receiver 32 will make the phase measurements ⁇ 25(i)/34 and ⁇ 27(1)38 and receiver 41 will make the phase measurements ⁇ 25(i)/40 and ⁇ 27(1)/40 over a number of epochs while inside signal bubble 28 ( 1 ).
- Equation (35) the phase measurements made by the receivers 32 and 41 during the large angular change in geometry are recorded by receiver 32 .
- Receiver records these measurements in such a way that equations generated from Equation (35) can be stacked in matrix form for simultaneously computing the unknown values N 25(i)/27(1) and the unknown vectors ⁇ x at each epoch.
- receiver 32 is programmed to record the phase measurements ⁇ 25(i)/34 , ⁇ 25(i)/40 , ⁇ 27(k)/38 , and ⁇ 27(k)/40 at more than the minimum number of epochs needed to compute the earlier described unknown values associated with each configuration.
- more than the required number of equations will be generated by receiver 32 from Equation (35) and, if applicable to the configuration used, Equation (37). All of these equations are stacked in matrix form for solving the unknowns associated with that configuration.
- the system and method will benefit because the set of unknowns will be over-determined.
- pseudolite 30 may be used as a carrier ranging link as well as a data link.
- phase measurements ⁇ 30/38 and ⁇ 30/40 are made by receivers 32 and 41 respectively at a number of epochs over the large change in geometry. These phase measurements are also recorded by receiver 32 .
- receiver 32 can generate from Equation (36) additional equations at each epoch for solving the earlier discussed unknowns associated with either configuration and the unknown value N 30/27(1) .
- These additional equations can serve as redundant equations to be stacked with all the other equations generated from Equation (35) and, if applicable, from Equation (37).
- the equations generated from Equation (36) can serve as substitutes for the equations which would have been generated from Equation (35).
- receiver 32 can compute the integer ambiguities n 25(i) and n 27(1) and, if applicable, n 27(2) or/and n 30 . This is done with the relationships established in Equation (32) and, if applicable, Equation (33) or/and (34).
- Equation (32) the large change in angular geometry between the antennas 34 and 38 and the transmit antenna 43 ( 1 ), and if applicable, 43 ( 2 ), provided means for resolving the integer ambiguities n 25(i) and n 27(1) and, if applicable, n 30 and n 27(2) .
- receiver 32 can make precise position determinations using Carrier Phase Differential GPS only after the values N 25(i)/27(1) , n 25(i) , and n 27(1) and, if applicable, N 30/27(1) , N 27(2)/27(1) , n 30 and n 27(2) , have been computed. Thus, these are the initialization values generated by receiver 32 during the initialization process.
- Another method for resolving the integer ambiguities involves making and recording phase velocity measurements at a number of epochs while airplane 21 is inside the signal bubble 28 ( 1 ), and if applicable, signal bubble 28 ( 2 ).
- This method also requires taking the phase measurements ⁇ 25(i)/34 , ⁇ 27(1)/38 , ⁇ 25(i)/40 and ⁇ 27(1)/40 , and if applicable, ⁇ 27(2)/38 and ⁇ 27(2)/40 , at the same epochs and recording them.
- Both receiver 32 and 41 make phase velocity measurements at the same rate in which they make the above identified phase measurements.
- the phase measurements and the phase velocity measurements are made over a number of epochs while airplane 21 is inside the signal bubble 28 ( 1 ), and if applicable, signal bubble 28 ( 2 ). Furthermore, as the antennas 34 and 38 move through the signal bubble 28 ( 1 ) and, if applicable, 28 ( 2 ), receiver 32 records the phase measurements made during the large angular change in geometry between antennas 34 and 38 and the transmit antenna 43 ( 1 ), and if applicable, transmit antenna 43 ( 2 ).
- phase velocity measurements are also made by receivers 32 and 41 at a number of epochs over the large change in geometry.
- the phase velocity measurements made by receiver 41 are uplinked to receiver 32 in the data components of any of the pseudolite GPS signals 27 ( 1 )-( 2 ) and 30 .
- (A) ⁇ dot over ( ⁇ ) ⁇ 25(i)/34 and ⁇ dot over ( ⁇ ) ⁇ 27(k)/38 are the phase velocities measured by receiver 32
- (B) ⁇ dot over ( ⁇ ) ⁇ 25(i)/40 and ⁇ dot over ( ⁇ ) ⁇ 27(k)/40 are the phase velocities measured by receiver 41 and uplinked to receiver 32
- (C) ⁇ circumflex over ( ⁇ dot over (s) ⁇ ) ⁇ 24(i) is the rate of change of the unit direction vector ⁇ 24(i)
- (D) ⁇ dot over (x) ⁇ is the rate of change of the precise position vector x
- (E) ⁇ dot over (r) ⁇ 43(k)/38 is the rate of change in the range r 43(k)/38
- (F) ⁇ dot over (T) ⁇ 32 and ⁇ dot over (T) ⁇ 41 are the rate of changes in the clock synchronization errors ⁇ T
- phase velocity measurements ⁇ dot over ( ⁇ ) ⁇ 25(i)/34 are made by receiver 32 at each epoch of the initialization process and the phase velocity measurements ⁇ dot over ( ⁇ ) ⁇ 25(i)/40 are made by receiver 41 at these same epochs and uplinked to receiver 32 .
- receiver 32 In response, receiver 32 generates equations at each employed epoch from Equation (38) and stacks them in matrix form so as to compute ⁇ dot over (x) ⁇ and the relationship ⁇ dot over (T) ⁇ 32 - ⁇ dot over (T) ⁇ 41 at each employed epoch.
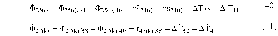
- Equation (41) the relationship ⁇ dot over (T) ⁇ 32 - ⁇ dot over (T) ⁇ 41 along with the phase velocity measurements ⁇ dot over ( ⁇ ) ⁇ 27(k)/38 made by receiver 32 at each employed epoch and the phase velocity measurements ⁇ dot over ( ⁇ ) ⁇ 27(k)/40 made by receiver 41 at these same epochs and uplinked to receiver 32 .
- Equation (42) the actual rate of change ⁇ dot over (r) ⁇ 43(k)/38 can be expressed as follows in Equation (42):
- (A) ⁇ dot over (r) ⁇ 0/43(k)/38 is the guess at each employed epoch of the rate of change of r 43(k)/38
- the guessed rate of change at each employed epoch is computed by receiver 32 using the vector relationship associated with Equation (23), where the coarse position vector x 0 calculated from Ordinary Differential GPS is substituted in place of the vector x.
- the value ⁇ dot over (r) ⁇ at each employed epoch can be computed from the values ⁇ dot over (r) ⁇ 43(k)/38 and ⁇ dot over (r) ⁇ 0/43(k)/38 using Equation (40).
- ⁇ x is the unknown constant vector representing the difference between the actual trajectory vector x and the estimated trajectory vector x 0 over the entire initialization period
- (B) ⁇ right arrow over (r) ⁇ 0/43(k)/38 is the guess at each employed epoch for the actual range vector ⁇ right arrow over (r) ⁇ 43(k)/38
- (C) ⁇ right arrow over ( ⁇ dot over (r) ⁇ ) ⁇ 0/43(k)/38 is the guess at each employed epoch for the actual rate of change in ⁇ right arrow over (r) ⁇ 43/(k)/38 .
- receiver 32 can generate equations from Equation (43) which are stacked in matrix form for solving for the unknown vector ⁇ x.
- Equation (37) The calculation for ⁇ x is iteratively repeated until it converges to within a desired level. This is done by substituting the value of ⁇ x obtained in the previous iteration into Equation (37) and computing the vector x. This calculated vector x is then used as x 0 for the next iteration. The vector ⁇ x is then computed again from Equation (43) in the way just described and compared with the previously computed ⁇ x to see if it converged to within the desired level.
- Equation (26) the integer ambiguities n 25(i) and n 27(1) , and if applicable, n 27(2) , can be computed using Equation (26). This requires substituting into Equation (26) the phase measurements ⁇ 25(i)/34 , ⁇ 27(1)/38 , ⁇ 25(i)/40 and ⁇ 27(1)/40 , and if applicable, ⁇ 27(2)/38 and ⁇ 27(2)/40 , recorded by receiver 32 . Thus, receiver 32 generates a set of equations from Equation (26) which are stacked in matrix form for solving for the integer ambiguities n 25(i) and n 27(1) , and if applicable, n 27(2) .
- the large change in angular geometry between the antennas 34 and 38 and the transmit antenna 43 ( 1 ), and if applicable, 43 ( 2 ), provides means for resolving the integer ambiguities n 25(i) and n 27(1) and, if applicable, n 30 and n 27(2) .
- receiver 32 can make precise position determinations using Carrier Phase Differential GPS only after the integer ambiguities n 25(i) and n 27(1) and, if applicable, n 30 or/and n 27(2) have been computed. Thus, these are the initialization values generated by receiver 32 during the initialization process of this method.
- integer ambiguities n 25(i) and n 27(1) and, if applicable, n 30 or/and n 27(2) are integer values serves as a built-in integrity checking device for both of the methods described.
- receiver 32 can check to see during the initialization process that these computed integer ambiguities converge to integer values.
- receiver 32 can compute at each epoch the precise position vector x. This is done by substituting the integer ambiguity n 25(i) into Equation (26), and if applicable, the integer ambiguity n 30 into Equation (27). Since airplane 21 will have left the signal bubble 28 ( 1 ), and if applicable, signal bubble 28 (2), Equation (28) is no longer usable for computing the vector x.
- Receiver 32 makes the phase measurements ⁇ 25(i)/34 at each epoch and receives the phase measurements ⁇ 25(i)/40 made by receiver 41 .
- receiver 32 can stack at each epoch the equations generated from Equation (26) in matrix form for solving for the vector x and the total clock synchronization error ⁇ T 32 ⁇ T41 .
- the position vector y for the bottom antenna 38 or any other part of the airplane 21 can easily be computed.
- the position vector y for bottom side antenna 38 can easily be computed from the relationship established in Equation (25). Additionally, it is particularly critical for the position of the landing gear of the airplane 21 to be known during a landing. Thus, using a similar equation to that of Equation (25), the precise position of the landing gear can also be computed if its location relative to top side antenna 34 in the runway coordinate system 46 is precisely surveyed beforehand.
- receiver 32 makes the phase measurement ⁇ 30/38 and receives the phase measurement ⁇ 30/40 made by receiver 41 .
- receiver 32 can stack unto the equations generated from Equation (26) the equation generated from Equation (27) for solving for the vector x and the total clock synchronization error ⁇ T 32 - ⁇ T 41 .
- the ranging pseudolite 29 serves as an integrity check in that the system and method benefit from the over-determined set of unknowns.
- Still another built-in integrity check is the use of Ordinary Differential GPS position determinations by receiver 32 .
- the system and method do not require PRN code ranging except for generating the coarse initial guess for position vector x 0 at each epoch of the initialization period.
- the coarse position determinations made by receiver 32 can be used after the initialization period to monitor the Carrier Phase Differential GPS position determinations made by receiver 32 .
- airplane 21 moves through the signal bubble 28 ( 1 ) in a simple linear trajectory 22 over the initialization pseudolite 26 ( 1 ).
- the system and method utilizes the large angular change in geometry between airplane 21 and the pseudolite antenna 43 ( 1 ) of pseudolite 26 in order to resolve the integer ambiguities n 25(i) , n 30 , and n 27(1) .
- this large angular change in geometry will make the along track component ⁇ x AT and altitude component ⁇ x A of precise position change vector ⁇ x clearly observable during this initialization period.
- the resolved integer ambiguities n 25(i) and n 30 will provide subsequent position determinations where the along track component x AT and the altitude component x A of precise position vector x are accurate to within centimeters.
- the initialization trajectory 22 will be in a line closely over the pseudolite 26 ( 1 ) with little or no cross track (i.e. lateral) deviation.
- the cross track component ⁇ x CT of precise position change vector ⁇ x will be unobservable during initialization.
- the resolved integer ambiguities n 25(i) and n 30 will result in subsequent position determinations where the cross track component x CT of precise position vector x will only be accurate to within meters. This accuracy is commensurate with the accuracy of the initial guess for the vector x 0 calculated by receiver 32 at each epoch of the initialization.
- FIG. 1 One way in which the cross track error can be reduced to within centimeters is to employ the configuration of FIG. 1 which utilizes two initialization pseudolites 26 ( 1 )-( 2 ). As shown in FIG. 9, the two initialization pseudolites 26 ( 1 )-( 2 ) are placed on each side of the along track component of the flight trajectory 22 . Because there are now two carrier ranging links 27 ( 1 )-( 2 ) in the cross track plane, the cross track component ⁇ x CT of precise position change vector ⁇ x will be clearly observable during initialization. As a result, the cross track uncertainty of the single pseudolite configuration is eliminated and the resolved integer ambiguities n 25(i) and n 30 will then provide subsequent position determinations having a cross track component x CT accurate to within centimeters.
- Another way of reducing the cross track error to within centimeters is to overfly the single initialization pseudolite 26 twice. As shown in FIG. 10, the first overflight is made in the along track AT direction and the second in the cross track CT direction.
- position receiver 32 With the first overflight, a first set of integer ambiguities n 25(i) and n 30 are resolved during a first initialization period. As was discussed for the single initialization pseudolite configuration, after initialization, position receiver 32 provides Carrier Phase Differential GPS position determinations with a cross track error of several meters.
- the coarse initial guess for position vector x 0 is calculated by position receiver 32 using Carrier Phase Differential GPS position determinations. Since the overflight is in the cross track direction (rather than in the along track direction), the cross track component ⁇ x CT and the altitude component ⁇ x CT of the precise position change vector ⁇ x will be clearly observable. But, the along track component ⁇ x AT will not be observable during this second overflight. However, the along track component x 0/AT of the initial guess for position vector x 0 calculated for the second overflight is already within centimeter level due to the earlier overflight.
- the second set of integer ambiguities n 25(i) and n 30 resolved during the second overflight will provide subsequent position determinations with the cross track component x CT , the along track component x AT , and the altitude component x A all accurate to within centimeters.
- Equation (24) The calculated position vector x and the phase measurements ⁇ 25(i)/34 and ⁇ 25(i)/40 are plugged into Equation (24) so as to solve for the new integer ambiguity n 25(i) . Then, a new equation is generated from Equation (24) at each epoch for use in solving for the position vector x.
- this technique results in a seamless integer hand-off so that a new initialization period is unnecessary.
- the attitude matrix A is generated by receiver 33 from the GPS signals 25 ( 1 )-( 4 ) received by antennas 35 ( 1 )-( 3 ) and 38 .
- receiver 33 utilizes Equation (1) associated with antenna 34 and a set of similarly derived phase relationships each associated with one of the antennas 35 ( 1 )-( 3 ).
- Equation (43) For antenna 35 (m) (i.e. the m th of the attitude antennas 35 (l)-( 3 )) this phase relationship is provided in Equation (43):
- r 24(i)/35(m) represents the unknown range from GPS satellite 24 (i) to antenna 35 (m)
- (B) ⁇ 25(i)/35(m) represents the phase component of the unknown range r 24(i)/35(m) measured by receiver 32 for the GPS signal 25 (i) received at antenna 35 (m)
- (C) n 25(i)/35(m) represents the integer component of the unknown range r 24(i)/35(m) associated with GPS signal 25 (i) received at antenna 35 (m).
- Receiver 33 measures ⁇ 25(i)/34 and ⁇ 25(i)/35(m) in the same way as was discussed earlier for receivers 32 and 41 . These measurements are made at the same rate as is used by receivers 32 and 41 so that the attitude solutions generated by receiver 33 are synchronized with the position determinations of receiver 32 .
- Equation (44) Differencing Equations (1) and (43) provides the single difference phase relationship given as follows in Equation (44):
- n 25(i)/34/35(m) represents the unknown integer ambiguity for GPS signal 25 (i) associated with antennas 34 and 35 (m) and (B) ⁇ r 24(i)/34/35(m) represents the difference in the unknown ranges r 24(i)/34 and r 24(i)/35(m) .
- Equation (44) In order to resolve the integers ambiguities n 25(i)/34/35(m) properly, Equation (44) must be manipulated so as to include the baseline vector relationships which are associated with the ranges r 24(i)/34 and r 24(i)/35(m) . These relationships are shown in FIG. 11 and are established with respect to the runway coordinate system 46 which is defined by the coordinates along track AT, cross track CT and altitude A.
- the baseline vectors b 35(1) , b 35(2) , and b 35(3) respectively represent the unknown positions of attitude antennas 35 ( 1 )-( 3 ) with respect to antenna 34 at the initial epoch of the initialization period.
- b 35(m)/AT , b 35(m)/CT , and b 35(m)/A are respectively the distances between antennas 35 (m) and 34 in the along track AT, cross track CT, and altitude A directions.
- ⁇ 24 (i)/ 34 /AT, ⁇ 24(i)/34/CT , ⁇ 24(k)/34/A are respectively the unit distances to GPS satellite 24 (i) in the along track AT, cross track CT, and altitude A directions.
- This vector is computed by receiver 33 for a GPS satellite 24 (i) from the satellite position information contained in the data component of the associated GPS signal 25 (i) and form the coarse position fix generated by receiver 32 for antenna 34 with respect to the coordinate system used to determine the positions of the GPS satellite 24 (i).
- the integer ambiguities n 25(i)/34/35(m) can be computed during an initialization period using two different approaches.
- the first approach requires that the airplane 21 remain stationary during the initialization process.
- the second is motion-based.
- receiver 33 can generate equations from Equation (47) which are stacked in matrix form for solving the integer ambiguities n 25(i)/34/35(m) .
- receiver 33 In order to insure greater accuracy for the computed values, receiver 33 employs more than the minimum number of epochs needed to compute these values. As a result, the system benefits from the over-determined set of unknowns.
- receiver 33 makes measurement epochs over a large enough time period to allow the slowly changing GPS satellite geometry to reveal the integer ambiguities n 25(i)/34/35(m) . This typically requires approximately fifteen minutes.
- phase measurements ⁇ 25(i)/34 and ⁇ 25(i)/35(m) for additional GPS signals 25 (i) are made by receiver 33 . Again, the system benefits from the over-determined set of unknowns.
- the second approach to resolving the integer ambiguities n 25(i)/34/35(m) requires rotation of the antennas 35 ( 1 )-( 3 ) about at least one of the axis of the runway coordinate system 46 .
- FIG. 12 shows the vector relationships for such a rotation.
- antennas 35 ( 1 )-( 3 ) rotate about the altitude A axis.
- the baseline vectors b 35(1) , b 35(2) , and b 35(3) are unknown at the initial epoch of the initialization process.
- the vectors ⁇ b 35(1) , ⁇ b 35(2) , and ⁇ b 35(3) respectively represent the change in positions of the antennas 35 ( 1 )-( 3 ) at a second epoch with respect to the initial baseline vectors b 35(1) , b 35(2) , and b 35(3) .
- the vector ⁇ b 35(m) i.e.
- ⁇ b 35(m)/AT , ⁇ b 35(m)/CT , and ⁇ b 35(m)/A are respectively the change in position of the antenna 35 (m) at the second epoch in the along track AT, cross track CT, and altitude directions.
- ⁇ 25(i)/34/35(m) represents the change in ⁇ 25(i)/34/35(m) between the initial epoch and the second epoch.
- Equation (50) may be stacked at a number of epochs after the initial epoch to solve for the vectors ⁇ b 35(m) .
- the vectors ⁇ b 35(m) may be simultaneously computed at each of these epochs without resolving the integer ambiguities n 25(i)/34/35(m) .
- the antennas 35 ( 1 )-( 3 ) are fixed to the airplane 21 .
- receiver 33 can generate additional equations from Equation (53) for simultaneously solving the over-determined set of unknown baseline values.
- receiver 33 can compute each integer ambiguity n 25(i)/34/35(m) . This is done by plugging a computed baseline vector b 35(m) and the phase measurement ⁇ 25(i)/34/35(m) recorded by receiver 33 at the initial epoch into Equation (48) and solving for the integer ambiguity n 25(i)/34/35(m) . As a built in integrity check, the computed n 25(i)/34/35(m) values are checked during the initialization period to see that they converge to integer values.
- the initialization process is over and attitude solutions for airplane 21 can then be computed.
- the integer ambiguities n 25(i)/34/35(m) are included in the set of initialization values needed for computing the attitude solutions.
- FIG. 7 shows the vector relationships associated with antennas 35 ( 1 )-( 3 ) with respect to the body coordinate system 47 .
- the known vectors k 35(1) , k 35(2) , and k 35(3) respectively represent the precisely surveyed positions of attitude antennas 35 ( 1 )-( 3 ) from antenna 34 with respect to the body coordinate system 47 .
- the known vector k 35(m) [3 ⁇ 1] i.e.
- k 35(m)/X , k 35(m)/Y , and k 35(m)/Z are respectively the known distances between antennas 35 (m) and 34 in the X, Y, and Z directions.
- FIG. 8 shows the vector relationships associated with antennas 35 ( 1 )-( 3 ) as the body coordinate system 47 rotates about the runway coordinate system 46 .
- the unknown vectors x 35(1) , x 35(2) , and x 35(3) respectively represent the unknown positions of attitude antennas 35 ( 1 ), 35 ( 2 ), and 35 ( 3 ) from antenna 34 with respect to the runway coordinate system 46 .
- the unknown vector x 35(m) [3 ⁇ 1] i.e.
- x 35(m)/AT , x 35(m)CT , and x 35(m)/A are respectively the unknown distances between antennas 35 (m) and 34 in the along track AT, cross track CT, and altitude A directions.
- Equation (57) ⁇ 25 ⁇ ( i ) / 34 / 35 ⁇ ( m ) ⁇ s ⁇ 24 ⁇ ( i ) T ⁇ x 35 ⁇ ( m ) - n 25 ⁇ ( i ) / 34 / 35 ⁇ ( m ) ( 57 )
- Equation (58) ⁇ 25 ⁇ ( i ) / 34 / 35 ⁇ ( m ) ⁇ s ⁇ 24 ⁇ ( i ) T ⁇ A T ⁇ k 35 ⁇ ( m ) - n 25 ⁇ ( i ) / 34 / 35 ⁇ ( m ) ( 59 )
- w 35(m)/24(i) represent the optional measurement weighting associated with antenna 35 (m) and GPS satellite 24 (i).
- ⁇ A [3 ⁇ 3] is an attitude correction matrix of small angle rotations.
- attitude matrix A may be expressed as follows in Equation (62):
- Equation (63) The correction matrix ⁇ A is expressed as follows in Equation (63):
- Equation (64) [ ⁇ x ⁇ y ⁇ z ] ( 64 )
- ⁇ x , ⁇ y , and ⁇ z respectively represent the unknown small angle rotations about the X, Y, and Z coordinates of the body coordinate system 47 .
- Equation (65) [ 0 - ⁇ Z ⁇ ⁇ ⁇ ⁇ Y ⁇ Z 0 - ⁇ X - ⁇ Y ⁇ X 0 ] ( 65 )
- the vector ⁇ may be computed by receiver 33 .
- the matrix ⁇ x may be computed from Equation (65) and the matrix ⁇ A may then be computed from Equation (63).
- receiver 33 uses the computed matrix ⁇ A and the computed matrix A 0 , receiver 33 computes a more accurate estimate for matrix A from Equation (62).
- the estimate A from the previous iteration is used as the current solution A 0 for the next iteration.
- the new estimate A is then computed and compared with the estimate A from the previous iteration. This process is continued until the estimate for A converges to within a desired level.
- Equation (54) The calculated attitude matrix A and the phase measurements ⁇ 25(i)/34 and ⁇ 25(i)/35(m) are plugged into Equation (54) so as to solve for the new integer ambiguity n 25(i)/34/35(m) . Then, this newly computed integer ambiguity n 25(i)/34/35(m) together with the phase measurements for the newly acquired GPS signal 25 (i) may be used in computing the matrix A in the two ways just described. Thus, this technique results in a seamless integer hand-off so that a new initialization period is unnecessary.
- FIGS. 13-17 provide detailed illustrations of the elements of the ground system 39 .
- the functions of these elements, in relation to the previously described equations, are better understood with reference to these figures.
- FIG. 13 shows the reference system 39 in the configuration which employs dual initialization pseudolites 26 . It comprises reference GPS antenna 40 , reference GPS receiver 41 , the two initialization pseudolites 26 ( 1 )-( 2 ), and the data and ranging link pseudolite 29 .
- Reference antenna 40 receives GPS signals 25 ( 1 )-( 4 ), 27 ( 1 )-( 2 ), and 30 . It is at a known ground location, represented by the previously described vector t, with respect to the runway 23 threshold. In this configuration, this location can be on either side of the runway 23 but is within the broadcast radius of the signal bubbles 28 ( 1 )-( 2 ). It is also at a known location with respect to the coordinate system used to define the positions of the GPS satellites 24 ( 1 )-( 4 ).
- Reference GPS receiver 41 receives the GPS signals 25 ( 1 )-( 4 ), 27 ( 1 )-( 2 ), 30 from the reference antenna 40 . It includes a signal receiving block 50 , a signal processing block 51 , a reference oscillator 55 , a synthesizer 56 , and a computer 57 .
- the signal receiving block 50 comprises a single signal receiving stage 53 .
- the signal receiving stage 53 is coupled to reference antenna 40 for receiving the GPS signals 25 ( 1 )-( 4 ), 27 ( 1 )-( 2 ), and 30 from reference antenna 40 . It extracts the received GPS signals 25 ( 1 )-( 4 ), 27 ( 1 (-( 2 ), and 30 and down converts them to an intermediate frequency for signal processing by the signal processing block 51 .
- the signal processing block 51 in this configuration includes a single multi-channel signal processing stage 54 .
- the signal processing stage is coupled to the signal receiving stage 53 for receiving the down converted GPS signals 25 ( 1 )-( 4 ), 27 ( 1 )-( 2 ), and 30 . It is also coupled to computer 57 for receiving signal processing control signals from the computer 56 .
- the signal processing stage 54 separates (i.e. demodulates) each of the down converted GPS signal 25 ( 1 ( 4 ), 27 ( 1 )-( 2 ), or 30 into its carrier, PRN code, and data components.
- the signal processing stage 54 phase locks the carrier and PRN code components of each of the GPS signals 25 ( 1 )-( 4 ), 27 ( 1 )-( 2 ), or 30 with the carrier and PRN code signals it generates.
- the signal processing stage 54 provides the computer 57 with information for making the earlier described carrier phase measurements, PRN code phase measurements, and carrier phase velocity measurements for the GPS signal 25 ( 1 )-( 4 ), 27 ( 1 )-( 2 ), or 30 .
- the computer 57 is coupled to the signal processing stage 54 . It includes a central processing unit (CPU) 58 and a computer memory 59 .
- CPU central processing unit
- the CPU 58 receives from the signal processing block 51 the information for making the earlier described carrier phase measurements, PRN code phase measurements, and phase velocity measurements described earlier for the GPS signal 25 ( 1 )-( 4 ), 27 ( 1 )-( 2 ), and 30 . Furthermore, the CPU also receives from the signal processing block 51 the demodulated data components of the GPS signal 25 ( 1 )-( 4 ), 27 ( 1 )-( 2 ), and 30 .
- the computer memory 59 stores the signal processing routine 160 , the carrier phase measuring routine 161 , the PRN code phase measuring routine 162 , the phase velocity measuring routine 163 , and the data formatting routine 164 .
- the CPU 58 is coupled to the computer memory 59 for receiving the routines 160 - 164 .
- the signal processing routine 160 generates the signal processing control signals for controlling the carrier and PRN code phase locking operations of the signal processing block 51 . These control signals are outputted by the CPU 58 and received by the signal processing block 51 .
- the carrier phase measuring routine 161 makes the phase measurements ⁇ 25(1)/40 , ⁇ 30/40 and ⁇ 27(k)/40 based on the information received from the signal processing block 51 .
- the routine 161 and the signal processing block 51 make up the carrier phase measuring component of the receiver 41 .
- each of these carrier phase measurement includes both a fractional wavelength phase component ⁇ fr and an integer wavelength phase change component ⁇ int .
- These phase measurements are used by receiver 32 for making Carrier Phase Differential GPS position determinations.
- the PRN code phase measuring routine 162 makes the earlier described PRN code phase measurements for the GPS signals 25 ( 1 )-( 4 ), 27 ( 1 )-( 2 ), and 30 based on the information received from the signal processing block 51 .
- the routine 162 and the signal processing block 51 make up the PRN code phase measuring component of the receiver 41 .
- these measurements are used by receiver 32 for Conventional GPS and Ordinary Differential GPS position determinations.
- the carrier phase velocity measuring routine 163 makes the phase velocity measurements ⁇ 25(i)/40 and ⁇ 27(k)/40 based on the information received from the signal processing block 51 .
- the routine 163 and the signal processing block 51 make up the carrier phase velocity measuring component of the receiver 41 .
- each of these phase velocity measurements are used by receiver 32 for calculating the initialization values necessary for Carrier Phase Differential GPS position determinations.
- the routines 161 - 163 issue their respective measurements at the same rate as is do the measurement routines in receivers 32 and 33 . This is done so that the carrier and PRN code phase measurements and the phase velocity measurements of receivers 32 and 33 can be synchronized with the carrier and PRN code phase measurements and phase velocity measurements of receiver 41 which have been uplinked to receiver 32 . As was discussed earlier, these carrier phase measurements are made by the routines 161 - 163 at the rate or approximately 1-10 Hz.
- the formatting routine 164 then formats together the carrier and PRN code phase measurements and phase velocity measurements made for each of the GPS signals 25 ( 1 )-( 4 ), 27 ( 1 )-( 2 ), and 30 . This formatted data is then outputted by the CPU 58 and received by the signal generators 42 ( 1 )-( 2 ) and 44 .
- the synthesizer 56 and the reference oscillator 55 are coupled together.
- the reference frequency signal outputted by the oscillator 55 is used by the synthesizer 56 to generate a down converting signal and a clock signal.
- the down converting signal is received by the signal receiving stage 53 . It is used to down convert the received GPS signals 25 ( 1 )-( 4 ), 27 ( 1 )-( 2 ), and 30 to the intermediate frequency.
- the clock signal is received by the signal processing stage 54 and the CPU 58 . Since the CPU 58 and the signal processing stage 54 operate based on the same clock source, the carrier phase measurements, PRN code phase measurements, and carrier phase velocity measurements made for each of the GPS signals 25 ( 1 )-( 4 ), 27 ( 1 )-( 2 ), and 30 are coherent (i.e. made at the same time) with respect to each other.
- Pseudolites 26 ( 1 )-( 2 ) and 29 respectively generate and broadcast the GPS signals 27 ( 1 )-( 2 ) and 30 . Each is coupled to the reference receiver 41 .
- Pseudolites 26 ( 1 )-( 2 ) and 29 respectively include the GPS signal generators 42 ( 1 )-( 2 ) and 44 and respectively include the pseudolite antennas 43 ( 1 )-( 2 ) and 45 .
- the signal generators 42 ( 1 )-( 2 ) and 44 are respectively coupled to the pseudolite antennas 43 ( 1 )-( 2 ) and 45 .
- the signal generators 42 ( 1 )-( 2 ) and 44 respectively include the computers 62 ( 1 )-( 3 ), the reference oscillators 63 ( 1 )-( 3 ). the synthesizers 64 ( 1 )-( 3 ), the PRN code generators 65 ( 1 )-( 3 ), the mixing stages 66 ( 1 )-( 3 ), and the amplifiers 67 ( 1 )-( 3 ).
- the computers 62 ( 1 )-( 3 ) respectively have CPUs 68 ( 1 )-( 3 ) and computer memories 69 ( 1 )-( 3 ).
- the CPUs 68 ( 1 )-( 3 ) each receive the data formatted by the formatting routine 164 of computer 57 .
- the computer memories 69 ( 1 )-( 3 ) respectively store the data modulating routines 70 ( 1 )-( 3 ) and the reference system data bases 72 ( 1 )-( 3 ).
- the reference system data bases 72 ( 1 )-( 3 ) can include (a) the precisely surveyed position of reference antenna 40 with respect to the coordinate system used to determine the positions of the GPS satellites 24 ( 1 )-( 4 ), (b) the precisely surveyed vectors t, p 45 , and p 43(k) , and (c) important runway and airport status information.
- the data formatting routines 70 ( 1 )-( 3 ) respectively format the data in the data bases 72 ( 1 )-( 3 ) with the carrier and PRN phase data and phase velocity data received from the receiver 41 .
- the formatted data of the routines 70 ( 1 )-( 3 ) is respectively outputted to the mixing stages 66 ( 1 )-( 3 ) at a frequency of approximately 1000 bits per second.
- the synthesizers 64 ( 1 )-( 3 ) are coupled to the reference oscillators 63 ( 1 )-( 3 ).
- the synthesizers 64 ( 1 )-( 3 ) respectively use the reference frequency signal outputted by the oscillators 63 ( 1 )-( 3 ) for generating a clock signal and a GPS carrier signal.
- the computers 62 ( 1 )-( 3 ) are coupled to and receive clock signals from the synthesizers 64 ( 1 )-( 3 ) respectively.
- the operation of the computers 62 ( 1 )-( 3 ) is therefore based on the oscillators 63 ( 1 )-( 3 ) respectively.
- the PRN code generators 65 ( 1 ( 3 ) are coupled to and receive clock signals from the synthesizers 64 ( 1 )-( 3 ) respectively.
- the PRN code generators 65 ( 1 )-( 3 ) respectively generate a unique unassigned PRN code from the received clock signals of the synthesizers 64 ( 1 )-( 3 ).
- the mixing stages 66 ( 1 )-( 3 ) are respectively coupled to the computers 62 ( 1 )-( 3 ), the PRN code generators 65 ( 1 )-( 3 ) and the synthesizers 64 ( 1 )-( 3 ).
- the mixing stages 66 ( 1 )-( 3 ) respectively modulate the data received from the data generators 62 ( 1 )-( 3 ) onto the PRN codes respectively received from the PRN code generators 65 ( 1 )-( 3 ).
- the mixing stages 66 ( 1 )-( 3 ) then respectively convert the modulated PRN codes with the L-band carrier signals respectively received from the synthesizers 64 ( 1 )-( 3 ).
- the GPS signals 27 ( 1 )-( 2 ) and 30 are respectively generated by the signal generators 42 ( 1 )-( 3 ) and 44 .
- the amplifiers 67 ( 1 )-( 30 ) are respectively coupled to the mixing stages 66 ( 1 )-( 3 ) and respectively receive the GPS signals 27 ( 1 )-( 2 ) or 30 .
- the amplifiers 67 ( 1 )-( 3 ) then respectively amplify the GPS signals 27 ( 1 )-( 2 ) or 30 .
- the amplifiers 67 ( 1 )-( 2 ) respectively amplify the GPS signals 27 ( 1 )-( 2 ) at the same low power level.
- This power level is selected so that the broadcast radii of the two signal bubbles 28 ( 1 )-( 2 ) will overlap at a height which is larger than the nominal altitude (i.e. the normal altitude) for an estimated flight trajectory along the along track axis and between the pseudolite antennas 43 ( 1 )-( 2 ).
- the nominal altitude for a flight trajectory inside the signal bubbles 28 ( 1 )-( 2 ) will be approximately several hundred meters.
- the power used will be on the order of several ⁇ W so that signal bubbles 28 ( 1 )-( 2 ) have broadcast radii which overlap at a height greater than the preferred nominal altitude of several hundred meters.
- the amplifier 67 of the signal generator 42 amplifies the GPS signal 27 at a low power level. This power level is selected so that the broadcast radius of signal bubble 28 will be larger than the nominal altitude for an estimated flight trajectory along the along track axis over the signal bubble 28 .
- the nominal altitude for a flight trajectory inside the signal bubbles 28 ( 1 )-( 2 ) will be approximately several hundred meters.
- the power used will be on the order of several ⁇ W so that signal bubble 28 ( 1 ) will have a broadcast radius greater than the preferred nominal altitude of several hundred meters.
- pseudolite antennas 43 ( 1 )-( 2 ) are at known locations, represented by the vectors p 43(k) , with respect to the reference antenna 40 .
- these antennas are located on each side of the along track axis approximately 100 meters apart in the cross track direction.
- these antennas are located approximately 1000 meters in front of the runway 23 threshold in the along track direction.
- pseudolite antenna 43 will be preferably located approximately 1000 meters in front of the runway 23 on the along track axis.
- Pseudolite antennas 43 ( 1 )-( 2 ) are respectively coupled to the amplifiers 67 ( 1 )-( 2 ) and respectively receive the GPS signals 27 ( 1 )-( 2 ).
- the antennas 43 ( 1 )-( 2 ) then respectively broadcast the GPS signals 27 ( 1 )-( 2 ) as the low power signal bubbles 28 ( 1 )-( 2 ).
- pseudolite antenna 45 is at a known location, represented by the vector p 45 , with respect to the reference antenna 40 .
- this location is approximately 1000 meters in front of the end of runway 23 on the along track axis.
- Pseudolite antenna 45 is also coupled to the mixing stage 66 ( 3 ) of the signal generator 44 and receives the GPS signal 30 from it.
- the pseudolite antenna 45 broadcasts the GPS signal 30 as the signal beam 31 .
- FIG. 14 shows another embodiment of the reference system 39 .
- the amplifiers 67 ( 1 )-( 3 ) are respectively coupled to the signal receiving block 50 of reference receiver 41 by the coaxial cables 68 ( 1 )-( 3 ).
- the GPS signals 27 ( 1 )-( 2 ) and 30 are received by the reference receiver 41 directly from signal generators 42 ( 1 )-( 2 ) and 44 rather than from reference antenna 40 .
- reference antenna 40 need not be located within the signal bubbles 28 ( 1 )-( 2 ) in this configuration.
- reference receiver 41 has four signal paths. The first accommodates the GPS signals 25 ( 1 )-( 4 ) received from the antenna 40 . The second, third, and fourth respectively accommodate the GPS signals 27 ( 1 )-( 2 ) and 30 received respectively from the three coaxial cables 68 ( 1 )-( 3 ).
- the signal receiving block 67 has four signal receiving stages 53 ( 1 )-( 4 ) and the signal processing block 68 has four signal processing stages 54 ( 1 )-( 4 ).
- the signal receiving stages 53 ( 1 )-( 4 ) are respectively coupled to the signal processing stages 54 ( 1 )-( 4 ).
- the signal receiving stage 53 ( 1 ) is coupled to antenna 40 for receiving GPS signals 25 ( 1 )-( 4 ).
- the signal receiving stages 53 ( 2 )-( 4 ) are respectively coupled the coaxial cables 68 ( 1 )-( 3 ) for respectively receiving the GPS signals 27 ( 1 )-( 2 ) and 30 .
- each of the signal receiving stages 53 ( 1 )-( 4 ) is otherwise configured and coupled in the same way and performs the same signal extracting and down converting functions as was earlier described for the signal receiving stage 53 of FIG. 11 .
- each of the signal processing stages 54 ( 1 )-( 4 ) is configured and coupled in the same way and performs the same separating and information providing functions as was earlier described for the signal processing stage 54 of FIG. 13 .
- the integer ambiguities n 30 and n 27(k) are associated with the reference receiver 41 and the antenna 38 , rather than with reference antenna 40 and antenna 38 .
- the vectors p 43(k) and p 45 represent the distances from each of the signal generators 42 ( 1 )-( 2 ) and 44 to the reference receiver 41 , rather than the distances from the pseudolite antennas 43 ( 1 )-( 2 ) and 45 to the reference antenna 40 .
- FIG. 15 shows still another embodiment of the reference system 39 .
- the configuration shown in FIG. 13 is the same as that in FIG. 13 except that the synthesizer 56 of reference receiver 41 is coupled to each of the signal generators 42 ( 1 )-( 3 ) respectively.
- Equations (5) and (8) in this configuration no longer include any clock synchronization errors. Unlike the case for the configurations of FIGS. 13 and 14, the Equations (5) and (8) are no longer required for cancelling out the clock synchronization errors ⁇ T 43(k) and ⁇ T 44 with the single phase relationships of Equations (6) and (9) respectively.
- the phase measurements ⁇ 30/40 and ⁇ 27(k)/40 and corresponding phase velocity measurements ⁇ 25(i)/40 and ⁇ 27(k)/40 need not be measured by receiver 41 and uplinked to receiver 32 .
- the values r 45/40 , n 30/40 , r 43(k)/40 , and n 27(k)/40 need not be computed by receiver 32 .
- the values ⁇ 30/40 , ⁇ 27(k)/40 , ⁇ 25(i)/40 , ⁇ 27(k)/40 , r 45/40 , n 30/40 , r 43(k)/40 , and n 27(k)/40 can be implicitly removed from consideration in the set of Equations (1)-( 42 ) by setting them to zero.
- This configuration has an advantage over the configuration of FIG. 13 in that the number of channels required by the signal processing block 51 is reduced by three. This stems from the fact that the carrier phase measurements for the three GPS signals 27 ( 1 )-( 2 ) and 30 need not be made.
- This configuration also has an advantage over the configuration of FIG. 14 in that it eliminates the three signal receiving stages 53 ( 2 )-( 4 ) and the three signal processing stages 54 ( 2 )-( 4 ) needed for making the phase measurements for the GPS signals 27 ( 1 )-( 2 ) and 30 . It also eliminates the need for the coaxial cables 68 ( 1 )-( 3 ).
- FIG. 16 shows a variation of the embodiment in FIG. 15 .
- the receiver 41 and the signal generators 42 ( 1 )-( 2 ) and 44 are combined into a single transceiver 70 .
- the CPU 58 of computer 57 is directly coupled to the mixing stages 66 ( 1 )-( 3 ).
- the synthesizer 56 is coupled to the mixing stages 66 ( 1 )-( 3 ) for providing the carrier components of the pseudolite signals 27 ( 1 )-( 2 ) and 30 .
- the synthesizer 56 is also coupled to the PRN code generators 65 ( 1 )-( 3 ) for providing the clock signals necessary in generating the PRN codes of the pseudolite signals 27 ( 1 )-( 2 ) and 30 respectively.
- the computer memory 59 of computer 55 stores the signal processing routine 160 , the carrier phase measuring routine 161 , the PRN code measuring routine 162 , the phase velocity measuring routine 163 , the data formatting routine 164 , and the reference system data base 72 .
- the data formatting routine 164 formats the measurements made by the routines 161 - 163 with the data in the data base 72 .
- the pseudolite signals 27 ( 1 )-( 2 ) and 30 need not be GPS signals.
- synthesizers 64 may generate carrier components for the pseudolite signals 27 ( 1 )-( 2 ) or 30 at a frequency other than the GPS L 1 frequency of 1.575 GHz. This may be done in order to avoid interference with the GPS signals 25 ( 1 )-( 4 ).
- the pseduolite signals need not have PRN code components.
- signal generators 42 ( 1 )-( 2 ) or 44 need not include the PRN code generators 65 ( 1 )-( 3 ).
- the pseudolite signals 27 ( 1 )-( 2 ) need not contain data components since the data component of the pseudolite signal 30 will suffice to provide receiver 32 with the all of information necessary for making precise position determinations. Therefore, the signal generators 42 ( 1 )-( 2 ) need not include the computers 62 ( 1 )-( 2 ) for providing formatted data to be modulated onto the carrier components of the signals 27 ( 1 )-( 2 ).
- signal generators 42 ( 1 )-( 2 ) and 44 generate the pseudolite signals 27 ( 1 )-( 2 ) and 30 as GPS signals.
- the synthesizers 64 generate carrier components having a frequency of 1.575 GHz and the signal generators 42 ( 1 )-( 2 ) and 44 include PRN code generators 62 .
- FIGS. 17-21 provide detailed illustrations of the GPS mobile system 37 which makes up part of the entire GPS system 20 .
- the functions of the components of the mobile system 37 in relation to the previously described equations, are better understood with reference to these figures.
- FIG. 2 shows one embodiment of mobile system 37 .
- mobile system 37 includes GPS position receiver 32 , GPS attitude receiver 33 , antennas 34 , 35 ( 1 )-( 3 ), and 38 .
- FIG. 17 provides a more detailed illustration of part of the configuration of FIG. 2 . This figure shows the relationship between antennas 34 and 38 and GPS receiver 32 .
- the antenna 34 receives GPS signals 25 ( 1 )-( 4 ). As was indicated earlier, its position with respect to the runway 23 threshold is given by the vector x.
- the antenna 38 receives GPS signals 27 ( 1 )-( 2 ) and 30 . As was also indicated earlier, its position with respect to the runway 23 threshold is given by the vector y.
- GPS position receiver 32 receives the GPS signals 25 ( 1 )-( 4 ), 27 ( 1 )-( 2 ), and 30 from the antennas 34 and 38 .
- the reference receiver 41 includes a signal receiving block 80 , a signal processing block 81 , a reference oscillator 85 , a synthesizer 86 , and a computer 87 .
- the signal receiving block 80 comprises two signal receiving stages 83 ( 1 )-( 2 ).
- the signal receiving stage 83 ( 1 ) is coupled to antenna 34 for receiving the GPS signals 25 ( 1 )-( 4 ).
- the signal receiving stage 83 ( 2 ) is coupled to antenna 38 for receiving the GPS signals 27 ( 1 )-( 2 ) and 30 .
- the signal receiving stages 83 ( 1 )-( 2 ) are configured and coupled in the same way and perform the same signal extracting and down converting functions as was described earlier for the signal receiving stage 53 of the reference receiver 41 in FIG. 11 .
- the signal processing block 81 includes two multi-channel signal processing stages 84 ( 1 )-( 2 ).
- the signal processing stages 84 ( 1 )-( 2 ) are respectively coupled to the signal receiving stages 83 ( 1 )-( 2 ).
- the signal processing stages 84 ( 1 )-( 2 ) are configured and coupled in the same way, perform the same signal separating and phase locking functions, and generate the same type of phase and phase velocity information as was described earlier for the signal processing stage 53 of reference receiver 41 of FIG. 11 .
- the computer 87 is coupled to each of the signal processing stages 84 ( 1 )-( 2 ). It includes a central processing unit (CPU) 88 and a computer memory 89 .
- CPU central processing unit
- the CPU 88 receives from the signal processing stages 84 ( 1 )-( 2 ) the information necessary for making the earlier described carrier phase and PRN code measurements and phase velocity measurements for each received GPS signal 25 ( 1 )-( 4 ), 27 ( 1 )-( 2 ), and 30 . Furthermore, the CPU 88 also receives from the signal processing block 81 the demodulated data components of the GPS signal 25 ( 1 )-( 4 ), 27 ( 1 )-( 2 ), and 30 .
- the computer memory 89 stores the signal processing routine 190 , the carrier phase measuring routine 191 , the PRN code phase measuring routine 192 , the phase velocity measuring routine 193 , the coarse position generating routine 194 , the accurate position generating routine 195 , the GPS satellite unit directional vector computation routine 196 , the initialization routine 197 using just phase measurements, the initialization routine 198 using both phase measurements and phase velocity measurements, the precise position generating routine 199 , and the precise position integer hand-off routine 200 .
- Data generated by the routines 190 - 200 are stored in the data storage area 201 of the computer memory 89 .
- the CPU 88 is coupled to the computer memory 89 for receiving the routines 190 - 200 and the data in the data storage area 201 .
- the signal processing routine 190 generates the signal processing control signals for controlling the carrier and PRN code phase locking operations of the signal processing block 81 . These control signals are outputted by the CPU 88 and received by the signal processing block 81 .
- the carrier phase measuring routine 191 makes the phase measurements ⁇ 25(i)/34 , ⁇ 30/38 , and ⁇ 27(k)/38 based on the information received from the signal processing block 81 .
- the routine 191 and the signal processing block 81 make up the carrier phase measuring component of the receiver 32 .
- each of these carrier phase measurement includes both a fractional wavelength phase component ⁇ fr and an integer wavelength phase change component ⁇ int .
- These phase measurements are used by receiver 32 for making Carrier Phase Differential GPS position determinations.
- the PRN code phase measuring routine 192 makes the PRN code phase measurements described earlier based on the information received from the signal processing block 81 .
- the routine 192 and the signal processing block 81 make up the PRN code phase measuring component of the receiver 32 . As was indicated earlier, these measurements are used by receiver 32 for Conventional GPS and Ordinary Differential GPS position determinations.
- the Carrier phase velocity measuring routine 193 makes the phase velocity measurements ⁇ 25(i)/34 and ⁇ 27(k)/38 from the information received from the signal processing block 81 .
- the routine 193 and the signal processing 32 block 81 make up the carrier phase velocity measuring component of the receiver 32 .
- each of these phase velocity measurements are used by receiver 32 for calculating the initialization values necessary for Carrier Phase Differential GPS position determinations.
- the routines 191 - 193 issue their respective measurements at the same rate as is do the measurement routines in receivers 41 and 33 . This is done so that the carrier and PRN code phase measurements and the phase velocity measurements of receivers 41 and 33 can be synchronized with the carrier and PRN code phase measurements and phase velocity measurements of receiver 32 . As was discussed earlier, these carrier phase measurements are made by the routines 191 - 193 at the rate of approximately 1-10 Hz.
- the coarse position generating routine 194 is called up by CPU 88 for coarse navigation when airplane 21 is out of view of the pseudolites 26 ( 1 )-( 2 ) and 29 .
- the routine 194 computes position determinations using Conventional GPS to within tens of meters of the exact location. It generates these position determinations from (A) the PRN code phase measurements which were made for each of the CPS signals 25 ( 1 )-( 4 ) by signal processing block 81 and which were measured by the routine 192 , and (B) the GPS satellite position data in the data components of the GPS signals 25 ( 1 )-( 4 ) which were demodulated by signal processing block 81 .
- the accurate position generating routine 195 is called up by CPU 88 for more accurate navigation when airplane 21 is in view of any of the pseudolites 26 ( 1 )-( 2 ) or 29 .
- the routine 195 generates position determinations using Ordinary Differential GPS to within several meters of the exact location. It does so by computing corrections for the PRN code phase measurements which were made for each of the GPS signals 25 ( 1 )-( 4 ) by the signal receiving block 81 and which were measured by the routine 192 .
- corrections are computed from (A) the PRN code phase measurements which were made for GPS signals 25 ( 1 )-( 4 ) by receiver 41 and which were sampled and uplinked to receiver 32 by any of the pseudolites 26 ( 1 )-( 2 ) or 29 , (B) the known position of reference antenna 40 with respect to the coordinate system used to determine the positions of the GPS satellites 24 ( 1 )-( 4 ), and (C) the GPS satellite position data in the data components or the GPS signals 25 ( 1 )-( 4 ) which were demodulated by the signal processing block 81 .
- the coarse position determinations of routine 195 are then computed in the same way as in routine 194 except that the computed corrections are applied.
- the unit directional vector computation routine 196 computes the vectors ⁇ 24(i) in the manner described earlier. Thus, these vectors are computed from the satellite orbital positions received in the data components of the GPS signals 25 ( 1 )-( 4 ) and from the known location of reference antenna 40 in the coordinate system used to define the satellite orbital positions.
- the initialization routine 197 generates the earlier described initialization values necessary for precise position determinations using Carrier Phase Differential GPS. This initialization routine 197 only employs the carrier phase measurements made by receivers 32 and 41 and involves a multiple step process.
- the routine 197 first uses Equations (35) and, if applicable Equations (36) or/and (37) to compute in the manner described earlier the initialization values N 25(i)/27(1) , and if applicable, N 30/27(1) or/and N 27(2)/27(1) .
- the routine initially computes these initialization values from (A) the measurements ⁇ 25(i)/34 and ⁇ 27(1)/38 and, if applicable ⁇ 30/38 and ⁇ 27(2)/38 made at a number of epochs during the initialization period by receiver 32 , (B) the measurements ⁇ 25(i)/40 and ⁇ 27(1)/40 and, if applicable ⁇ 30/40 and ⁇ 27(2)/40 made at the same epochs by receiver 41 and contained in the data component of pseudolite signal 30 and, if applicable, 27 ( 1 ) or/and 27 ( 2 ), (C) the vector ⁇ 24(i) computed by routine 196 , (D) the coarse initial guess for position vector x 0 computed by the routine 195 , (E) the matrix A received from receiver 33 , and (F) the predetermined vectors t, k 38 , p 43(k) , and p 45 contained in the data component of the pseudolite signal 30 and if applicable, 27 ( 1 ) or//
- Routine 197 uses the iterative process described earlier for computing these values.
- routine 197 uses Equation (32) and, if applicable Equations (33) or/and (34) to compute the initialization values n 25(i) and, if applicable, n 30 or/and n 27(k) .
- routine 197 checks to see that the values n 25(i) , n 30 , n 27(k) converge to integer values at each iteration or after the entire iterative process has been completed. These values are then stored in storage area 201 for use by the routines 199 and 200 .
- the initialization routine 198 generates the initialization values necessary for precise position determinations using Carrier Phase Differential GPS.
- the initialization routine 198 employs both the carrier phase measurements and phase velocity measurements made by receivers 32 and 41 and involves a multiple step process.
- the routine 198 first uses Equation (40) to compute the value ⁇ dot over (T) ⁇ 32 - ⁇ dot over (T) ⁇ 41 at a number of epochs in the manner described earlier.
- the routine initially computes these initialization values from (A) the phase velocity measurements ⁇ 25(i)/34 made at these epochs during the initialization period by receiver 32 , (B) the phase velocity measurements ⁇ 25(i)/40 made at the same epochs by receiver 41 and contained in the data component of pseudolite signal 30 and, if applicable, 27 ( 1 ) or/and 27 ( 2 ), and (C) the vector ⁇ 24(i) computed by routine 196 .
- routine 198 uses Equation (41) to compute the range rate ⁇ dot over (r) ⁇ 43(k)/38 at each epoch employed in the manner described earlier.
- the routine 198 computes this value from (A) the phase velocity measurement ⁇ 27(k)/38 made by receiver 32 , (B) the phase velocity measurement ⁇ 27(k)/40 made by receiver 41 and contained in the data component of pseudolite signal 30 and, if applicable, 27 ( 1 ) or/and 27 ( 2 ), and (C) the value ⁇ dot over (T) ⁇ 32 - ⁇ dot over (T) ⁇ 41 computed by routine 198 .
- routine 198 uses Equation (42) to compute the value ⁇ dot over (r) ⁇ at each epoch employed in the way described earlier.
- ⁇ dot over (r) ⁇ is computed from (A) the range rate ⁇ dot over (r) ⁇ 43(k)/38 at each of these epochs by routine 198 , and (B) the guess ⁇ dot over (r) ⁇ 0/43(k)/38 for the actual range rate ⁇ dot over (r) ⁇ 43(k)/38 which is computed by routine 198 at each of these epochs.
- Routine 198 then computes ⁇ x from Equation (43) in the manner described earlier. Thus, it is computed from (A) the guess ⁇ right arrow over (r) ⁇ 0/43(k)/38 for the actual range vector ⁇ right arrow over (r) ⁇ 43(k)/38 computed from x 0 , (B) the guess ⁇ right arrow over ( ⁇ dot over (r) ⁇ ) ⁇ 0/43(k)/38 for the actual rate of change in ⁇ right arrow over (r) ⁇ 43(k)/38 computed from x 0 , (C) the earlier described guess ⁇ dot over (r) ⁇ 0/43(k)/38 , and (D) the earlier computed value ⁇ dot over (r) ⁇ .
- Equation (41) which are stacked in matrix form for solving for the unknown vector ⁇ x.
- the calculation for ⁇ x is iteratively repeated until it converges to within a desired level. This is done by substituting the value of ⁇ x obtained in the previous iteration into Equation (37) and computing the vector x. This calculated vector x is then used as x 0 for the next iteration. The vector ⁇ x is then computed again from Equation (43) in the way just described and compared with the previously computed ⁇ x to see if it converged to within the desired level.
- routine 198 uses Equation (32) and, if applicable Equations (33) or/and (34) to compute the initialization values n 25(i) and, if applicable, n 30 or/and n 27(k) .
- routine 198 checks to see that the values n 25(i) , n 30 , n 27(k) converge to integer values at each iteration or after the entire iterative process has been completed. These values are then stored in storage area 201 for use by the routines 199 and 200 .
- the precise position generating routine 199 is called up by CPU 88 for precise position determinations when airplane 21 is in view of the pseudolites 26 ( 1 )-( 2 ) and 29 .
- the routine 93 generates position determinations using Carrier Phase Differential GPS to within centimeters of the exact location.
- the precise position routine 199 generates the precise position vector x using Equations (26) and, if applicable, Equation (27).
- the vector x is generated from (A) the measurements ⁇ 25(i)/34 and ⁇ 27(1)/38 and, if applicable ⁇ 30/38 and ⁇ 27(2)/38 made at a each epoch after the initialization period by receiver 32 , (B) the measurements ⁇ 25(i)/40 and ⁇ 27(1)/40 and, if applicable ⁇ 30/40 and ⁇ 27(2)/40 made at the same epochs by receiver 41 , (C) the vector ⁇ 24(i) computed by routine 196 , and (D) the initialization values n 25(i) and, if applicable, n 30 .
- the precise position routine 199 can compute the precise position y of the bottom side antenna 38 using Equation (25). Thus, it computes this position from (A) the attitude matrix A computed by receiver 33 , (B) the computed vector x, and (C) the known vector k 38 . For even greater accuracy in landing, routine 199 will compute the position of the landing gear in the same manner.
- the integer hand-off routine 200 computes after the initialization period the integer ambiguities n 25(1) and n 30 for any GPS signals 25 (i) or 30 which were not in view during the initialization period or which were lost after this period. This is done by using Equation (26), or if applicable, Equation (27).
- the values for the new integer ambiguities n 25(i) and, if applicable, n 30 are generated from (A) the measurements ⁇ 25(i)/34 and ⁇ 27(1)/38 and, if applicable ⁇ 30/38 and ⁇ 27(2(/38 made at an epoch of after the initialization period by receiver 32 , (B) the measurements ⁇ 25(i)/40 and ⁇ 27(1)/40 and, if applicable ⁇ 30/40 and ⁇ 27(2)/40 made at the same epoch by receiver 41 , (C) the victor ⁇ 24(i) computed by routine 196 , (D) the vector x computed by routine 199 at the same epoch, (E) the predetermined vector t and, if applicable, the vectors p 45 and k 38 , received from the data component of the GPS signal 30 , and, if applicable, (E) the matrix A.
- the routine 199 will then use these additionally computed integer ambiguities for computing the precise position vector x.
- the synthesizer 86 and the reference oscillator 85 are coupled together.
- the synthesizer 86 is configured and coupled in the same way and generates the same type of down converting and clock signals as was described earlier for the synthesizer 56 of reference receiver 41 of FIG. 11 .
- the oscillator 85 is configured and coupled in the same way and generates the same type of reference frequency signal as was described earlier for the reference oscillator 55 of reference receiver 41 of FIG. 11 .
- the clock signal generated by the synthesizer 85 is received by the signal processing stages 84 ( 1 )-( 2 ) and the CPU 88 : Since the CPU 88 and the signal processing stages 84 ( 1 )-( 2 ) operate based on the same clock source, the carrier phase measurements, PRN code phase measurements, and carrier phase velocity measurements made for each of the GPS signals 25 ( 1 )-( 4 ), 27 ( 1 )-( 2 ), and 30 are coherent (i.e. made at the same time) with respect to each other.
- FIG. 18 provides another detailed illustration of part of the mobile system 37 . It shows the antennas 34 and 35 ( 1 )-( 3 ) and the GPS attitude receiver 33 .
- Antennas 34 and 35 ( 1 )-( 3 ) receive GPS signals 25 ( 1 )-( 4 ).
- the positions of antennas 35 ( 1 )-( 3 ) with respect to antenna 34 are respectively given by the vectors x 35(1) , x 35(2) , and x 35(3) in the runway coordinate system 46 and given by the vectors k 35(1) , k 35(2) , and k 35(3) in the body coordinate system 47 .
- the GPS attitude receiver 33 is coupled to GPS position receiver 32 . It computes the attitude matrix A using Carrier Phase Differential GPS. As was described earlier, the attitude matrix A is used by the routines 197 and 198 of receiver 32 in computing the initialization values described earlier and is used by routine 199 of receiver 32 in computing the precise position vector y.
- GPS receiver 33 receives the GPS signals 25 ( 1 )-( 4 ) from each of the antennas 34 and 35 ( 1 )-( 3 ). Like the reference receiver 41 and the position receiver 32 , it includes a signal receiving block 110 , a signal processing block 111 , a reference oscillator 115 , a synthesizer 116 , and a computer 117 .
- the signal receiving block 110 comprises four signal receiving stages 113 ( 1 )-( 4 ).
- the signal receiving stage 113 ( 4 ) is coupled to antenna 34 for receiving the GPS signals 25 ( 1 )-( 4 ).
- the signal receiving stages 113 ( 1 )-( 3 ) are respectively coupled to antennas 35 ( 1 )-( 3 ) for also receiving the GPS signals 25 ( 1 )-( 4 ).
- the signal receiving stages 113 ( 1 )-( 4 ) are otherwise configured and coupled in the same way and perform the same signal extracting and down converting functions as do the signal receiving stages 53 ( 1 )-( 4 ) and 83 ( 1 )-( 2 ) described earlier for reference receiver 41 and position receiver 32 respectively.
- the signal processing block 111 includes four multichannel signal processing stages 114 ( 1 )-( 4 ).
- the signal processing stages 114 ( 1 )-( 4 ) are respectively coupled to the signal receiving stages 113 ( 1 )-( 4 ).
- the signal processing stages 114 ( 1 )-( 4 ) are configured and coupled in the same way, perform the same type of signal separating and phase locking functions, and generate the same type of phase and phase velocity information as do the signal processing stages 53 ( 1 )-( 4 ) and 83 ( 1 )-( 2 ).
- the computer 117 is coupled to each of the signal processing stages 114 ( 1 )-( 4 ). It includes a central processing unit (CPU) 118 and a computer memory 119 .
- CPU central processing unit
- the CPU 118 receives from the signal processing stages 114 ( 1 )-( 4 ) the raw carrier phase measurements for GPS signals 25 ( 1 )-( 4 ).
- the computer memory 119 stores the signal processing routine 120 , the carrier phase measuring routine 121 , the directional vector computation routine 122 , the static attitude initialization routine 123 , the motion based attitude initialization routine 124 , the attitude generating routine 125 , and the attitude integer ambiguity hand-off routine 126 .
- the computer memory also stores data generated from these routines 120 - 126 in the data storage area 127 .
- the CPU 118 is coupled to the computer memory 119 for receiving the routines 120 - 126 and the data in the data storage area 127 .
- the CPU 118 is also coupled to the CPU 88 of the GPS position receiver 32 for passing the computed attitude matrix A to the receiver 32 .
- the signal processing routine 120 generates the signal processing control signals for controlling the carrier and PRN code phase locking operations of the signal processing block 111 . These control signals are outputted by the CPU 118 and received by the signal processing block 111 .
- the carrier phase measuring routine 121 makes the phase measurements ⁇ 25(i)/34 and ⁇ 25(i)/35)(m) based on the information received from the signal processing block 111 .
- the routine 121 and the signal processing block 111 make up the carrier phase measuring component of the receiver 33 .
- each of these carrier phase measurement includes both a fractional wavelength phase component ⁇ fr and an integer wavelength phase change component ⁇ int .
- These phase measurements are used by receiver 33 for making Carrier Phase Differential GPS attitude determinations.
- the routine 121 issues the phase measurements at the same rate as is do the measurement routines in receivers 41 and 32 . This is done so that the phase measurements and the phase velocity measurements of receivers 41 and 32 can be synchronized with the carrier phase measurements of receiver 33 . As was discussed earlier, these carrier phase measurements are made by the routine 121 at the rate of approximately 1-10 Hz.
- the unit directional vector computation routine 122 computes the vectors ⁇ 24(i)/34 in the manner described earlier. Thus, these vectors are computed from (A) the satellite orbital positions received in the data components of the GPS signals 25 ( 1 )-( 4 ), and (B) the location of reference antenna 34 in the coordinate system used to define the satellite orbital positions computed by routine 122 from Conventional GPS or Ordinary Differential GPS.
- the static attitude initialization routine 123 when selected computes the initialization values n 25(i)/34/35(m) from Equation (48) in the manner described earlier.
- routine 123 is responsive to (A) the measurements ⁇ 25(i)/34 and ⁇ 25(i)/35(m) made by routine 122 over several epochs, and (B) the directional vectors ⁇ 24(i)/34 computed by routine 122 . Since routine 123 records these values so that Equation (43) is stacked in matrix form, the values n 25(i)/34/35(m) can be simultaneously solved.
- These initialization values n 25(i)/34/35(m) are then stored in the data storage area 127 for use by the attitude determination routine 125 . As a built in integrity check, these values are checked to see that they converge to integer values.
- the motion based attitude initialization routine 124 when selected also computes the initialization values n 25(i)/34/35(m) in the manner described earlier. This requires a multiple step process.
- routine 124 initially computes the vectors ⁇ b 35(m) using Equation (50) in the manner described earlier.
- Routine 124 records in data storage area 127 the measurements ⁇ 25(i)/34 and ⁇ 25(i)/35(m) made by routine 122 at an initial epoch. Then, at a number of succeeding epochs routine 124 computes the vectors ⁇ b 35(m) from (A) the measurements ⁇ 25(i)/34 and ⁇ 25(i)/35(m) recorded at the initial epoch and made at these succeeding epochs, and (B) the unit directional vectors ⁇ 24(i)/34 computed by routine 122 .
- Routine 124 then computes the baseline vectors b 35(m) from Equation (53). These values are generated from (A) measurements ⁇ 25(i)/34 and ⁇ 25(i)/35(m) made by routine 122 at the epochs employed, (B) the vectors ⁇ b 35(m) computed from Equation (43) at each of the epochs employed after the initial epoch, and (C) the unit directional vectors ⁇ 24(i)/34 computed by routine 122 . Routine 124 records those values in the data storage area 127 so that Equation (53) is stacked in matrix form. As a result, the baseline vectors b 35(m) can be simultaneously solved and stored in the data storage area 127 .
- routine 124 computes the values n 25(i)/34/35(m) from Equation (48). Thus, these values are generated by routine 124 from (A) the measurements ⁇ 25(i)/34 and ⁇ 25(i)/35(m) made by routine 122 and recorded at the initial epoch, (B) from the baseline vectors b 35(m) computed and stored in storage area 127 , and (C) the unit directional vectors ⁇ 24(i)/34 computed by routine 122 . The computed initialization values n 25(i)/34/35(m) are then stored in data storage area 127 for use by the attitude determination routine 125 . As a built in integrity check, the values n 25(i)/34/35(m) can be checked to see that they converge to integer values.
- the attitude determination routine 125 computes the attitude matrix A at each epoch in the manner described earlier. This involves a five step process.
- routine 125 computes at each epoch the differential ranges ⁇ r 24(i)/34/35(m) using Equation (44).
- these differential ranges ⁇ r 24(i)/34/35(m) are computed from (A) the measurements ⁇ 25(i)/34 and ⁇ 25(i)/35(m) made by routine 122 at each epoch, (B) the initialization values n 25(i)/34/35(m) computed by routines 123 or 124 , and (C) the unit directional vectors ⁇ 24(i)/34 computed by routine 122 .
- Routine 125 computes the initial estimate A 0 at each epoch by minimizing Equation (60).
- the initial estimate A 0 is generated by routine 125 from (A) the predetermined measurement weights w 35(m)/24(i) , (B) the differential ranges ⁇ r 24(i)/34/35(m) computed by routine 125 , (C) the known vectors k 35(m) , and (D) the unit directional vectors ⁇ 24(i) computed by routine 122 .
- the routine 125 then computes the vector ⁇ at each epoch by minimizing the Equation (66).
- the vector ⁇ is generated by routine 125 from (A) the predetermined measurement weights w 35(m)/24(i) , (B) the differential ranges ⁇ r 24(i)/34/35(m) computed by routine 125 , (C) the initial estimate A 0 computed by routine 125 , (D) the matrix B 35(m) x computed by routine 125 , and (E) the computed unit directional vectors ⁇ 24(i)/34 .
- Routine 125 then computes the matrix ⁇ x using Equation (65).
- the matrix ⁇ x is generated by routine 125 from the elements of the computed vector ⁇ .
- the routine 125 then computes the correctional matrix ⁇ A using Equation (63). As a result, the matrix ⁇ A is generated by routine 125 from the computed matrix ⁇ x .
- the routine 125 then computes the matrix A using Equation (63).
- matrix A is generated by routine from the computed correctional matrix ⁇ A.
- the routine 125 repeats this process iteratively until the value for A converges to within a desired level. As was discussed earlier, this is done by substituting the estimate matrix A from the previous iteration into Equation (66) as the matrix A 0 for the next iteration. The new estimate A is then computed and compared with the estimate A from the previous iteration. This process is continued until the estimate for A converges to within the desired level.
- the integer hand-off routine 126 computes after the initialization period the integer ambiguities n 25(i)/34/35(m) for any GPS signals 25 (i) which were not in view during the initialization period or which were lost after this period. This is done by using Equation (59).
- the values for the new integer ambiguities n 25(i)/34/35(m) are generated from (A) the measurements ⁇ 25(i)/34 and ⁇ 25(i)/35(m) made at an epoch, (B) the known vectors k 35(m) , and (C) the known attitude matrix A computed by routine 125 .
- the routine 125 will then use these additionally computed integer ambiguities in computing the attitude matrix A.
- the synthesizer 116 and the reference oscillator 115 are coupled together.
- the synthesizer 116 is configured and coupled in the same way and performs the same down converting and clock signal generating functions as do the synthesizers 56 and 86 .
- the oscillator 115 is configured and coupled in the same way and performs the same reference frequency signal generating functions as does the reference oscillator 55 and 85 .
- the clock signal generated by the synthesizer 116 is received by the signal processing stage 114 and the CPU 118 . Since the CPU 118 and the signal processing stage 114 operate based on the same clock source, the carrier phase measurements made for each of the GPS signals 25 ( 1 )-( 4 ) are coherent (i.e. made at the same time) with respect to each other.
- FIG. 19 shows an alternative embodiment for the airborne components of system 20 .
- this configuration there is a single GPS receiver 32 which computes both position determinations and attitude determinations.
- Receiver 32 now has five signal paths. The first accommodates the GPS signals 25 ( 1 )-( 4 ) received from the antenna 34 . The second, third, and fourth signal paths respectively accommodate the GPS signals 25 ( 1 )-( 4 ) received by the antennas 35 ( 1 )-( 3 ). And, the fifth accommodates the GPS signals 27 ( 1 )-( 2 ) and 30 received from the antenna 38 .
- the signal receiving block 80 has five signal receiving stages 83 ( 1 )-( 5 ) and the signal processing block 81 has five signal processing stages 84 ( 1 )-( 5 ).
- the signal receiving stages 83 ( 1 )-( 5 ) are respectively coupled to the signal processing stages 84 ( 1 )-( 5 ).
- the signal receiving stages 83 ( 1 )-( 5 ) are respectively coupled to the antennas 34 , 35 ( 1 )-( 3 ), and 38 . Except for this difference, each of the signal receiving stages 83 ( 1 )-( 5 ) is otherwise configured and coupled in the same way and performs the same signal extracting and down converting functions as was earlier described for the signal receiving stage 53 of FIG. 11 . Moreover, each of the signal processing stages 84 ( 1 )-( 5 ) is configured and coupled in the same way, perform the same type of separating and phase locking functions, and generate the same type of phase and phase velocity information as was described earlier for the signal processing stage 54 .
- computer memory 89 of computer 87 stores in this configuration the signal processing routine 190 , the carrier phase measuring routine 191 , the PRN code phase measuring routine 192 , the phase velocity measuring routine 193 , the coarse position generating routine 194 , the accurate position generating routine 195 , the unit directional vector computing routines 196 and 122 , the initializing routines 196 and 197 , the precise position generating routine 198 , the precise position hand-off routine 199 , the static attitude initialization routine 123 , the motion based attitude initialization routine 124 , the altitude generating routine 125 , and the attitude integer hand-off routine 126 .
- the computer memory also stores data generated from these routines 190 - 200 and 122 - 126 in the data storage area 201 .
- the CPU 88 is coupled to the computer memory 89 for receiving the routines 190 - 200 and 122 - 126 and the data in the data storage area 201 .
- FIG. 20 shows another embodiment for the airborne components of system 20 .
- an inertial measurement unit (IMU) 130 has been substituted for the GPS attitude receiver 33 .
- the IMU 130 is coupled to the CPU 88 of receiver 32 .
- the IMU 130 can directly provide receiver 32 with the computed attitude matrix A.
- the computer memory 89 can store a routine 131 for converting the attitude parameters yaw, pitch, and roll supplied by the IMU 130 into the matrix A.
- FIG. 21 shows another embodiment for the airborne components of system 20 .
- a single antenna 34 and a single receiver 32 are mounted on airplane 21 .
- Receiver 32 now has only one signal path. It accommodates the GPS signals 25 ( 1 )-( 4 ), 27 ( 1 )-( 2 ), and 30 all received from the antenna 34 .
- the signal receiving block 80 has a single receiving stage 83 and the signal processing block 81 has a single signal processing stages 84 .
- the signal receiving stage 83 is coupled to the signal processing stage 84 .
- the signal receiving stage 83 is coupled to the antenna 34 . Except for this difference, the signal receiving stage 83 is otherwise configured and coupled in the same way and performs the same signal extracting and down converting functions as was earlier described for the signal receiving stage 53 of FIG. 11 . Moreover, the signal processing stage 84 is configured and coupled in the same way, performs the same type of separating and phase locking functions, and generates the same type of phase and phase velocity information as was described earlier for the signal processing stage 54 .
- the computer 87 is coupled to the signal processing stage 83 . It otherwise is coupled in the same way and stores the same routines as was described earlier for the receiver 32 of the embodiment of FIG. 2 .
- the GPS antennas 34 , 35 ( 1 )-( 3 ), 38 , 40 and 43 ( 1 )-( 2 ) are of the type commonly known as standard hemispherical microstrip patch antennas.
- the GPS antenna 45 is of the type commonly known as a standard helical antenna.
- the reference oscillators 63 ( 1 )-( 3 ), the synthesizers 64 ( 1 )-( 3 ), the PRN code generators 65 ( 1 )-( 3 ), the mixing stages 66 ( 1 )-( 3 ), and the amplifiers 67 ( 1 )-( 3 ) may be commonly found in a GS-100 signal generator produced by Welnavigate.
Landscapes
- Engineering & Computer Science (AREA)
- Radar, Positioning & Navigation (AREA)
- Remote Sensing (AREA)
- Physics & Mathematics (AREA)
- General Physics & Mathematics (AREA)
- Computer Networks & Wireless Communication (AREA)
- Aviation & Aerospace Engineering (AREA)
- Position Fixing By Use Of Radio Waves (AREA)
- Radar Systems Or Details Thereof (AREA)
- Control Of Electric Motors In General (AREA)
Abstract
Description
Claims (25)
Priority Applications (1)
| Application Number | Priority Date | Filing Date | Title |
|---|---|---|---|
| US09/187,194 USRE37256E1 (en) | 1993-03-24 | 1998-11-05 | System and method for generating precise position determinations |
Applications Claiming Priority (4)
| Application Number | Priority Date | Filing Date | Title |
|---|---|---|---|
| US3631993A | 1993-03-24 | 1993-03-24 | |
| US41001195A | 1995-03-22 | 1995-03-22 | |
| US08/480,021 US5572218A (en) | 1993-03-24 | 1995-06-07 | System and method for generating precise position determinations |
| US09/187,194 USRE37256E1 (en) | 1993-03-24 | 1998-11-05 | System and method for generating precise position determinations |
Related Parent Applications (1)
| Application Number | Title | Priority Date | Filing Date |
|---|---|---|---|
| US08/480,021 Reissue US5572218A (en) | 1993-03-24 | 1995-06-07 | System and method for generating precise position determinations |
Publications (1)
| Publication Number | Publication Date |
|---|---|
| USRE37256E1 true USRE37256E1 (en) | 2001-07-03 |
Family
ID=21887926
Family Applications (3)
| Application Number | Title | Priority Date | Filing Date |
|---|---|---|---|
| US08/165,394 Expired - Lifetime US5548293A (en) | 1993-03-24 | 1993-12-10 | System and method for generating attitude determinations using GPS |
| US08/480,021 Expired - Lifetime US5572218A (en) | 1993-03-24 | 1995-06-07 | System and method for generating precise position determinations |
| US09/187,194 Expired - Lifetime USRE37256E1 (en) | 1993-03-24 | 1998-11-05 | System and method for generating precise position determinations |
Family Applications Before (2)
| Application Number | Title | Priority Date | Filing Date |
|---|---|---|---|
| US08/165,394 Expired - Lifetime US5548293A (en) | 1993-03-24 | 1993-12-10 | System and method for generating attitude determinations using GPS |
| US08/480,021 Expired - Lifetime US5572218A (en) | 1993-03-24 | 1995-06-07 | System and method for generating precise position determinations |
Country Status (7)
| Country | Link |
|---|---|
| US (3) | US5548293A (en) |
| EP (1) | EP0690992A4 (en) |
| JP (1) | JP3492692B2 (en) |
| AU (1) | AU684273B2 (en) |
| BR (1) | BR9405971A (en) |
| CA (1) | CA2158993C (en) |
| WO (1) | WO1994022032A1 (en) |
Cited By (11)
| Publication number | Priority date | Publication date | Assignee | Title |
|---|---|---|---|---|
| US6611228B2 (en) * | 2000-07-24 | 2003-08-26 | Furuno Electric Company, Limited | Carrier phase-based relative positioning apparatus |
| US20030159633A1 (en) * | 2001-06-29 | 2003-08-28 | The Regents Of The University Of California | Method and apparatus for ultra precise GPS-based mapping of seeds or vegetation during planting |
| US20060033657A1 (en) * | 2004-08-11 | 2006-02-16 | Integrinautics, Inc. | Method and system for circular polarization correction for independently moving GNSS antennas |
| US7026984B1 (en) | 2004-11-08 | 2006-04-11 | Cingular Wireless Ii, L.L.C. | Intelligent utilization of resources in mobile devices |
| US20060129317A1 (en) * | 2004-10-19 | 2006-06-15 | Farmer Dominic G | Mobile cellular identification database for enhanced GPS performance |
| US20070057839A1 (en) * | 2003-12-02 | 2007-03-15 | Kazunori Kagawa | Carrier phase gps positioning device and method |
| US7627428B2 (en) | 2006-11-01 | 2009-12-01 | The University Of Akron | Method of evaluating surface deformation |
| WO2011142872A1 (en) | 2010-05-14 | 2011-11-17 | The Boeing Company | Bit signal structure for differentially encoded broadcasts |
| EP2698644A1 (en) | 2004-01-15 | 2014-02-19 | The Boeing Company | Methods and systems for enhanced navigational performance |
| US9190455B2 (en) | 2013-05-03 | 2015-11-17 | Kabushiki Kaisha Toshiba | Semiconductor memory device and production method thereof |
| US10318903B2 (en) | 2016-05-06 | 2019-06-11 | General Electric Company | Constrained cash computing system to optimally schedule aircraft repair capacity with closed loop dynamic physical state and asset utilization attainment control |
Families Citing this family (152)
| Publication number | Priority date | Publication date | Assignee | Title |
|---|---|---|---|---|
| US5708440A (en) * | 1995-05-30 | 1998-01-13 | Trimble Navigation Limited | Pseudolite translator for unlicensed frequencies |
| FR2735240B1 (en) * | 1995-06-06 | 1998-01-30 | Soc Et Rech Et Const Electroni | METHOD AND DEVICE FOR THE PRECISE DETERMINATION OF A MASK POINT BY SATELLITE RADIOLOCATION. |
| US5610614A (en) * | 1995-09-13 | 1997-03-11 | Trimble Navigation Limited | Real-time kinematic initialization test system |
| FR2741955B1 (en) * | 1995-12-01 | 1998-02-06 | Matra Marconi Space France | SATELLITE ATTITUDE MEASURING METHOD AND DEVICE |
| GB9524754D0 (en) * | 1995-12-04 | 1996-04-24 | Symmetricom Inc | Mobile position determination |
| US6125325A (en) | 1996-04-25 | 2000-09-26 | Sirf Technology, Inc. | GPS receiver with cross-track hold |
| US5903236A (en) * | 1996-06-05 | 1999-05-11 | The Board Of Trustees Of The Leland Stanford Junior University | Reference carrier phase prediction for kinematic GPS |
| US7714778B2 (en) | 1997-08-20 | 2010-05-11 | Tracbeam Llc | Wireless location gateway and applications therefor |
| WO1998010307A1 (en) | 1996-09-09 | 1998-03-12 | Dennis Jay Dupray | Location of a mobile station |
| US6236365B1 (en) | 1996-09-09 | 2001-05-22 | Tracbeam, Llc | Location of a mobile station using a plurality of commercial wireless infrastructures |
| US9134398B2 (en) | 1996-09-09 | 2015-09-15 | Tracbeam Llc | Wireless location using network centric location estimators |
| US7903029B2 (en) | 1996-09-09 | 2011-03-08 | Tracbeam Llc | Wireless location routing applications and architecture therefor |
| US7274332B1 (en) | 1996-09-09 | 2007-09-25 | Tracbeam Llc | Multiple evaluators for evaluation of a purality of conditions |
| US6449010B1 (en) * | 1996-12-20 | 2002-09-10 | Forsum Digital Effects | System and method for enhancing display of a sporting event |
| US5917445A (en) * | 1996-12-31 | 1999-06-29 | Honeywell Inc. | GPS multipath detection method and system |
| US6114988A (en) * | 1996-12-31 | 2000-09-05 | Honeywell Inc. | GPS receiver fault detection method and system |
| AU727360B2 (en) | 1997-03-21 | 2000-12-14 | Board Of Trustees Of The Leland Stanford Junior University | A system using LEO satellites for centimeter-level navigation |
| US5990827A (en) * | 1997-03-28 | 1999-11-23 | Vectorlink, Inc. | Structure of a position processing apparatus |
| US5929805A (en) * | 1997-04-10 | 1999-07-27 | Tadros; Alfred | Differential phase measurement scheme for a multiplexing GPS attitude receiver |
| US6128417A (en) * | 1997-06-09 | 2000-10-03 | Ausbeck, Jr.; Paul J. | Image partition moment operators |
| US6052647A (en) * | 1997-06-20 | 2000-04-18 | Stanford University | Method and system for automatic control of vehicles based on carrier phase differential GPS |
| US6389333B1 (en) | 1997-07-09 | 2002-05-14 | Massachusetts Institute Of Technology | Integrated flight information and control system |
| US6101178A (en) * | 1997-07-10 | 2000-08-08 | Ksi Inc. | Pseudolite-augmented GPS for locating wireless telephones |
| US6266582B1 (en) * | 1997-08-06 | 2001-07-24 | Rockwell Collins. Inc. | GPS analytic redundancy for gyroscope failure detection |
| US5850197A (en) * | 1997-08-25 | 1998-12-15 | Trimble Navigation | Attitude determination using fewer than three antennas |
| US6005514A (en) * | 1997-09-15 | 1999-12-21 | United States Of America As Represented By The Administrator Of The National Aeronautics And Space Administration | Method for attitude determination using GPS carrier phase measurements from nonaligned antennas |
| US6101430A (en) * | 1997-09-16 | 2000-08-08 | Space Systems/Loral, Inc. | Global positioning system self calibration attitude determination |
| US5943008A (en) * | 1997-09-23 | 1999-08-24 | Rockwell Science Center, Inc. | Single global positioning system receiver capable of attitude determination |
| US6133872A (en) * | 1997-10-17 | 2000-10-17 | Ball Aerospace & Technologies Corp. | Real time precision orbit determination system |
| KR100265465B1 (en) * | 1997-11-03 | 2000-09-15 | 손상호 | Posture Determination Using GPS |
| US5952961A (en) * | 1998-01-30 | 1999-09-14 | Trimble Navigation Limited | Low observable radar augmented GPS navigation system |
| US6166683A (en) * | 1998-02-19 | 2000-12-26 | Rockwell International Corporation | System and method for high-integrity detection and correction of cycle slip in a carrier phase-related system |
| US5933110A (en) * | 1998-07-13 | 1999-08-03 | Arinc, Inc. | Vessel attitude determination system and method |
| US6313788B1 (en) | 1998-08-14 | 2001-11-06 | Seagull Technology, Inc. | Method and apparatus for reliable inter-antenna baseline determination |
| US8135413B2 (en) | 1998-11-24 | 2012-03-13 | Tracbeam Llc | Platform and applications for wireless location and other complex services |
| JP3878345B2 (en) * | 1998-12-01 | 2007-02-07 | 富士通株式会社 | Simulation apparatus and method, and program recording medium |
| US6023240A (en) * | 1999-05-17 | 2000-02-08 | Rockwell Collins, Inc. | Method for determining a phase measurement error map using rotating antenna information |
| US7557748B1 (en) * | 1999-09-10 | 2009-07-07 | General Electric Company | Methods and apparatus for measuring navigational parameters of a locomotive |
| AU1367101A (en) | 1999-09-24 | 2002-01-08 | Dennis J. Dupray | Geographically constrained network services |
| US6259976B1 (en) | 1999-09-25 | 2001-07-10 | Jerome H. Lemelson | Fuzzy logic based emergency flight control with thrust vectoring |
| US6282231B1 (en) | 1999-12-14 | 2001-08-28 | Sirf Technology, Inc. | Strong signal cancellation to enhance processing of weak spread spectrum signal |
| EP1252533A2 (en) * | 2000-01-24 | 2002-10-30 | Integrinautics Corportion | Multi-frequency pseudolites for carrier-based differential-position determination |
| US6297769B1 (en) | 2000-02-22 | 2001-10-02 | Rockwell Collins | System and method to estimate carrier signal in global positioning systems (GPS) |
| US6336061B1 (en) | 2000-02-22 | 2002-01-01 | Rockwell Collins, Inc. | System and method for attitude determination in global positioning systems (GPS) |
| US6430504B1 (en) | 2000-03-07 | 2002-08-06 | Trimble Navigation Ltd. | User interface for global positioning system receiver |
| US6463366B2 (en) | 2000-03-10 | 2002-10-08 | Schafer Corp | Attitude determination and alignment using electro-optical sensors and global navigation satellites |
| US6421003B1 (en) | 2000-05-19 | 2002-07-16 | Sri International | Attitude determination using multiple baselines in a navigational positioning system |
| US6259398B1 (en) | 2000-05-19 | 2001-07-10 | Sri International | Multi-valued variable ambiguity resolution for satellite navigation signal carrier wave path length determination |
| US10684350B2 (en) | 2000-06-02 | 2020-06-16 | Tracbeam Llc | Services and applications for a communications network |
| US10641861B2 (en) | 2000-06-02 | 2020-05-05 | Dennis J. Dupray | Services and applications for a communications network |
| US9875492B2 (en) | 2001-05-22 | 2018-01-23 | Dennis J. Dupray | Real estate transaction system |
| US6980812B1 (en) | 2000-11-09 | 2005-12-27 | @Road, Inc. | System and method for providing a handheld unit to a mobile position device |
| US6681180B2 (en) | 2001-01-29 | 2004-01-20 | The Board Of Trustees Of The Leland Stanford Junior University | Determination and control of vehicle sideslip using GPS |
| US6429809B1 (en) * | 2001-01-30 | 2002-08-06 | Qualcomm Incorporated | Method and apparatus for determining location using a coarse position estimate |
| US6754584B2 (en) | 2001-02-28 | 2004-06-22 | Enpoint, Llc | Attitude measurement using a single GPS receiver with two closely-spaced antennas |
| KR100376657B1 (en) * | 2001-03-19 | 2003-03-19 | 주식회사 네비콤 | Half Cycle Ambiguity Resolution Method for GPS, and GPS Attitude Determination System and Method using the same |
| KR100401154B1 (en) * | 2001-04-13 | 2003-10-10 | 주식회사 네비콤 | Method for determining 3-dimensional attitude of object using satellite vehicle and decrease of integer ambiguity to be searched |
| US8082096B2 (en) | 2001-05-22 | 2011-12-20 | Tracbeam Llc | Wireless location routing applications and architecture therefor |
| US6434462B1 (en) | 2001-06-28 | 2002-08-13 | Deere & Company | GPS control of a tractor-towed implement |
| KR100387136B1 (en) * | 2001-07-06 | 2003-06-12 | 주식회사 네비콤 | Satellite Navigation System and Attitude Determination Method of Object using the same |
| FI110455B (en) | 2001-09-17 | 2003-01-31 | Nokia Corp | Method for performing position determination and electronic device |
| US7099796B2 (en) * | 2001-10-22 | 2006-08-29 | Honeywell International Inc. | Multi-sensor information fusion technique |
| JP4116792B2 (en) | 2001-12-19 | 2008-07-09 | 古野電気株式会社 | Carrier phase relative positioning device |
| US7948769B2 (en) | 2007-09-27 | 2011-05-24 | Hemisphere Gps Llc | Tightly-coupled PCB GNSS circuit and manufacturing method |
| US6928339B2 (en) * | 2002-11-21 | 2005-08-09 | Reinke Manufacturing Company, Inc. | GPS-based control system and method for controlling mechanized irrigation systems |
| US7328074B2 (en) * | 2002-12-02 | 2008-02-05 | United Technologies Corporation | Real-time quadratic programming for control of dynamical systems |
| US7689354B2 (en) | 2003-03-20 | 2010-03-30 | Hemisphere Gps Llc | Adaptive guidance system and method |
| US7400956B1 (en) | 2003-03-20 | 2008-07-15 | Hemisphere Gps Inc. | Satellite position and heading sensor for vehicle steering control |
| US7162348B2 (en) | 2002-12-11 | 2007-01-09 | Hemisphere Gps Llc | Articulated equipment position control system and method |
| US7885745B2 (en) | 2002-12-11 | 2011-02-08 | Hemisphere Gps Llc | GNSS control system and method |
| JP3892401B2 (en) * | 2003-01-20 | 2007-03-14 | Hoya株式会社 | Manufacturing method of disk substrate for perpendicular magnetic recording medium, and manufacturing method of perpendicular magnetic recording disk |
| US8190337B2 (en) | 2003-03-20 | 2012-05-29 | Hemisphere GPS, LLC | Satellite based vehicle guidance control in straight and contour modes |
| US8271194B2 (en) | 2004-03-19 | 2012-09-18 | Hemisphere Gps Llc | Method and system using GNSS phase measurements for relative positioning |
| US8594879B2 (en) | 2003-03-20 | 2013-11-26 | Agjunction Llc | GNSS guidance and machine control |
| US8138970B2 (en) | 2003-03-20 | 2012-03-20 | Hemisphere Gps Llc | GNSS-based tracking of fixed or slow-moving structures |
| US8214111B2 (en) | 2005-07-19 | 2012-07-03 | Hemisphere Gps Llc | Adaptive machine control system and method |
| US8634993B2 (en) | 2003-03-20 | 2014-01-21 | Agjunction Llc | GNSS based control for dispensing material from vehicle |
| US8140223B2 (en) | 2003-03-20 | 2012-03-20 | Hemisphere Gps Llc | Multiple-antenna GNSS control system and method |
| US8265826B2 (en) | 2003-03-20 | 2012-09-11 | Hemisphere GPS, LLC | Combined GNSS gyroscope control system and method |
| US8686900B2 (en) * | 2003-03-20 | 2014-04-01 | Hemisphere GNSS, Inc. | Multi-antenna GNSS positioning method and system |
| US9002565B2 (en) | 2003-03-20 | 2015-04-07 | Agjunction Llc | GNSS and optical guidance and machine control |
| US7027918B2 (en) * | 2003-04-07 | 2006-04-11 | Novariant, Inc. | Satellite navigation system using multiple antennas |
| US7042392B2 (en) * | 2003-05-30 | 2006-05-09 | The Boeing Company | GPS access system and method |
| US7412012B2 (en) * | 2003-07-08 | 2008-08-12 | Nokia Corporation | Pattern sequence synchronization |
| US8583315B2 (en) | 2004-03-19 | 2013-11-12 | Agjunction Llc | Multi-antenna GNSS control system and method |
| US7212155B2 (en) * | 2004-05-07 | 2007-05-01 | Navcom Technology, Inc. | GPS navigation using successive differences of carrier-phase measurements |
| WO2005119290A1 (en) * | 2004-05-17 | 2005-12-15 | Csi Wireless Inc. | Satellite position and heading sensor for vehicle steering control |
| US6861980B1 (en) * | 2004-05-26 | 2005-03-01 | Qualcomm Incorporated | Data messaging efficiency for an assisted wireless position determination system |
| US7342538B2 (en) * | 2004-07-30 | 2008-03-11 | Novariant, Inc. | Asynchronous local position determination system and method |
| US7532160B1 (en) * | 2004-07-30 | 2009-05-12 | Novariant, Inc. | Distributed radio frequency ranging signal receiver for navigation or position determination |
| US7339525B2 (en) * | 2004-07-30 | 2008-03-04 | Novariant, Inc. | Land-based local ranging signal methods and systems |
| US7271766B2 (en) * | 2004-07-30 | 2007-09-18 | Novariant, Inc. | Satellite and local system position determination |
| US7339524B2 (en) * | 2004-07-30 | 2008-03-04 | Novariant, Inc. | Analog decorrelation of ranging signals |
| US7205939B2 (en) * | 2004-07-30 | 2007-04-17 | Novariant, Inc. | Land-based transmitter position determination |
| US7339526B2 (en) * | 2004-07-30 | 2008-03-04 | Novariant, Inc. | Synchronizing ranging signals in an asynchronous ranging or position system |
| US7315278B1 (en) * | 2004-07-30 | 2008-01-01 | Novariant, Inc. | Multiple frequency antenna structures and methods for receiving navigation or ranging signals |
| US7225060B2 (en) * | 2004-07-30 | 2007-05-29 | Novariant, Inc. | Vehicle control system with user-guided calibration |
| EP2017639A1 (en) | 2004-08-03 | 2009-01-21 | Locata Corporation | A system and method for determining attitude using spatial shift key (SSK) modulation signatures |
| EP1684084A1 (en) * | 2005-01-22 | 2006-07-26 | Leica Geosystems AG | Method for determining the orientation of an antenna assembly |
| US20070001035A1 (en) * | 2005-06-29 | 2007-01-04 | Reinke Manufacturing Company, Inc. | GPS guidance system for linear move irrigation apparatus |
| US7388539B2 (en) | 2005-10-19 | 2008-06-17 | Hemisphere Gps Inc. | Carrier track loop for GNSS derived attitude |
| US7376471B2 (en) * | 2006-02-21 | 2008-05-20 | United Technologies Corporation | System and method for exploiting a good starting guess for binding constraints in quadratic programming with an infeasible and inconsistent starting guess for the solution |
| US7509199B2 (en) * | 2006-06-30 | 2009-03-24 | Deere & Company | System and method for calculating instantaneous placement corrections to achieve towed implement placement on curved paths |
| US7411545B2 (en) * | 2006-09-29 | 2008-08-12 | Honeywell International Inc. | Carrier phase interger ambiguity resolution with multiple reference receivers |
| US7760139B1 (en) * | 2006-10-06 | 2010-07-20 | Massachusetts Institute Of Technology | GPS based attitude reference system |
| US7835832B2 (en) | 2007-01-05 | 2010-11-16 | Hemisphere Gps Llc | Vehicle control system |
| US8311696B2 (en) | 2009-07-17 | 2012-11-13 | Hemisphere Gps Llc | Optical tracking vehicle control system and method |
| USRE48527E1 (en) | 2007-01-05 | 2021-04-20 | Agjunction Llc | Optical tracking vehicle control system and method |
| US8000381B2 (en) | 2007-02-27 | 2011-08-16 | Hemisphere Gps Llc | Unbiased code phase discriminator |
| US8400351B2 (en) * | 2009-02-22 | 2013-03-19 | Trimble Navigation Limited | GNSS moving base positioning |
| CN101711369B (en) * | 2007-06-22 | 2012-11-21 | 特林布尔特拉萨特有限公司 | Position tracking device and method |
| US7808428B2 (en) | 2007-10-08 | 2010-10-05 | Hemisphere Gps Llc | GNSS receiver and external storage device system and GNSS data processing method |
| US8542146B2 (en) * | 2007-10-30 | 2013-09-24 | Trimble Navigation Limited | Generalized partial fixing |
| US8519886B2 (en) * | 2007-12-13 | 2013-08-27 | The Government Of The United States Of America, As Represented By The Secretary Of The Navy | System and method for using GPS interferometry to determine atmospheric conditions |
| WO2009100463A1 (en) | 2008-02-10 | 2009-08-13 | Hemisphere Gps Llc | Visual, gnss and gyro autosteering control |
| US7885717B2 (en) * | 2008-03-31 | 2011-02-08 | Sikorsky Aircraft Corporation | Fast control law optimization |
| US8018376B2 (en) | 2008-04-08 | 2011-09-13 | Hemisphere Gps Llc | GNSS-based mobile communication system and method |
| US7671794B2 (en) * | 2008-06-02 | 2010-03-02 | Enpoint, Llc | Attitude estimation using intentional translation of a global navigation satellite system (GNSS) antenna |
| US8217833B2 (en) | 2008-12-11 | 2012-07-10 | Hemisphere Gps Llc | GNSS superband ASIC with simultaneous multi-frequency down conversion |
| US8386129B2 (en) | 2009-01-17 | 2013-02-26 | Hemipshere GPS, LLC | Raster-based contour swathing for guidance and variable-rate chemical application |
| DE112010000674B4 (en) | 2009-02-22 | 2024-03-07 | Trimble Navigation Limited | Method and device for GNSS surveying |
| US8085196B2 (en) | 2009-03-11 | 2011-12-27 | Hemisphere Gps Llc | Removing biases in dual frequency GNSS receivers using SBAS |
| US8401704B2 (en) | 2009-07-22 | 2013-03-19 | Hemisphere GPS, LLC | GNSS control system and method for irrigation and related applications |
| US8174437B2 (en) | 2009-07-29 | 2012-05-08 | Hemisphere Gps Llc | System and method for augmenting DGNSS with internally-generated differential correction |
| US8334804B2 (en) | 2009-09-04 | 2012-12-18 | Hemisphere Gps Llc | Multi-frequency GNSS receiver baseband DSP |
| US8649930B2 (en) | 2009-09-17 | 2014-02-11 | Agjunction Llc | GNSS integrated multi-sensor control system and method |
| US8130142B2 (en) | 2009-09-21 | 2012-03-06 | Appareo Systems, Llc | GNSS ultra-short baseline heading determination system and method |
| US8548649B2 (en) | 2009-10-19 | 2013-10-01 | Agjunction Llc | GNSS optimized aircraft control system and method |
| US8583326B2 (en) | 2010-02-09 | 2013-11-12 | Agjunction Llc | GNSS contour guidance path selection |
| IT1406752B1 (en) * | 2010-06-14 | 2014-03-07 | Univ Roma | MEASUREMENT SYSTEM OF REAL-TIME MOVEMENTS, IN PARTICULAR OF COSISMIC MOVEMENTS AND STRUCTURE VIBRATIONS |
| US9538493B2 (en) | 2010-08-23 | 2017-01-03 | Finetrak, Llc | Locating a mobile station and applications therefor |
| US9829582B2 (en) * | 2011-09-19 | 2017-11-28 | Raytheon Company | Method and apparatus for differential global positioning system (DGPS)-based real time attitude determination (RTAD) |
| US9529093B2 (en) * | 2012-10-12 | 2016-12-27 | Google Inc. | Systems and methods for estimating attitude using double differenced GPS carrier phase measurements |
| US8825396B2 (en) | 2012-11-30 | 2014-09-02 | Applanix Corporation | Quasi tightly coupled GNSS-INS integration process |
| US8915116B2 (en) * | 2013-01-23 | 2014-12-23 | Freescale Semiconductor, Inc. | Systems and method for gyroscope calibration |
| US9329274B2 (en) | 2013-07-09 | 2016-05-03 | Honeywell International Inc. | Code minus carrier multipath observation for satellite exclusion |
| US10215862B2 (en) * | 2014-04-07 | 2019-02-26 | Honeywell International Inc. | Systems and methods for a code carrier divergence high-pass filter monitor |
| US10024973B1 (en) | 2015-04-03 | 2018-07-17 | Interstate Electronics Corporation | Global navigation satellite system spoofer identification technique |
| US10031234B1 (en) | 2015-04-03 | 2018-07-24 | Interstate Electronics Corporation | Global navigation satellite system beam based attitude determination |
| US10473789B1 (en) * | 2015-04-13 | 2019-11-12 | Lockheed Martin Corporation | Real-time ship position error compensation system and method |
| US10114126B2 (en) | 2015-04-30 | 2018-10-30 | Raytheon Company | Sensor installation monitoring |
| US10551196B2 (en) | 2015-04-30 | 2020-02-04 | Raytheon Company | Sensor installation monitoring |
| JP2019523390A (en) * | 2016-05-13 | 2019-08-22 | テレフオンアクチーボラゲット エルエム エリクソン(パブル) | Method, user equipment, radio transmitter and network node for managing positioning reference signals |
| US10545246B1 (en) | 2016-07-08 | 2020-01-28 | Interstate Electronics Corporation | Global navigation satellite system spoofer identification technique based on carrier to noise ratio signatures |
| US10247829B2 (en) | 2016-08-10 | 2019-04-02 | Raytheon Company | Systems and methods for real time carrier phase monitoring |
| CN106501826B (en) * | 2016-09-14 | 2017-08-25 | 申研 | Satellite positioning method during a kind of high-precision real |
| US10725182B2 (en) | 2018-01-04 | 2020-07-28 | Interstate Electronics Corporation | Systems and methods for providing anti-spoofing capability to a global navigation satellite system receiver |
| US11609346B2 (en) | 2018-05-29 | 2023-03-21 | Topcon Positioning Systems, Inc. | GNSS-based attitude determination algorithm and triple-antenna GNSS receiver for its implementation |
| JP7078464B2 (en) * | 2018-06-14 | 2022-05-31 | 株式会社Subaru | Navigation systems, navigation methods and aircraft |
| CN114207476A (en) * | 2019-08-01 | 2022-03-18 | 古野电气株式会社 | Attitude measurement device, attitude measurement method, and attitude measurement program |
| US11821998B2 (en) | 2020-05-21 | 2023-11-21 | Honeywell International Inc. | Three-dimensional attitude determination system with multi-faceted integrity solution |
| DE102022119831B4 (en) * | 2022-08-07 | 2025-04-24 | Robert Brun | Aircraft and procedures |
Citations (10)
| Publication number | Priority date | Publication date | Assignee | Title |
|---|---|---|---|---|
| US4667203A (en) * | 1982-03-01 | 1987-05-19 | Aero Service Div, Western Geophysical | Method and system for determining position using signals from satellites |
| US4672382A (en) * | 1984-12-07 | 1987-06-09 | Nissan Motor Co., Ltd. | Position measuring system |
| US4754465A (en) * | 1984-05-07 | 1988-06-28 | Trimble Navigation, Inc. | Global positioning system course acquisition code receiver |
| US4894655A (en) * | 1987-02-27 | 1990-01-16 | Lmt Radioprofessionnelle | Landing assistance system using navigation satellites |
| US4928106A (en) * | 1988-07-14 | 1990-05-22 | Ashtech Telesis, Inc. | Global positioning system receiver with improved radio frequency and digital processing |
| US4972431A (en) * | 1989-09-25 | 1990-11-20 | Magnavox Government And Industrial Electronics Company | P-code-aided global positioning system receiver |
| US5134407A (en) * | 1991-04-10 | 1992-07-28 | Ashtech Telesis, Inc. | Global positioning system receiver digital processing technique |
| US5177489A (en) * | 1989-09-26 | 1993-01-05 | Magnavox Electronic Systems Company | Pseudolite-aided method for precision kinematic positioning |
| US5252982A (en) * | 1990-08-24 | 1993-10-12 | Leica Heerbrugg A.G. | Method of precise position determination |
| US5311194A (en) * | 1992-09-15 | 1994-05-10 | Navsys Corporation | GPS precision approach and landing system for aircraft |
Family Cites Families (2)
| Publication number | Priority date | Publication date | Assignee | Title |
|---|---|---|---|---|
| US5101356A (en) * | 1989-11-21 | 1992-03-31 | Unisys Corporation | Moving vehicle attitude measuring system |
| US5268695A (en) * | 1992-10-06 | 1993-12-07 | Trimble Navigation Limited | Differential phase measurement through antenna multiplexing |
-
1993
- 1993-12-10 US US08/165,394 patent/US5548293A/en not_active Expired - Lifetime
-
1994
- 1994-03-22 JP JP52133494A patent/JP3492692B2/en not_active Expired - Lifetime
- 1994-03-22 CA CA002158993A patent/CA2158993C/en not_active Expired - Lifetime
- 1994-03-22 BR BR9405971A patent/BR9405971A/en not_active IP Right Cessation
- 1994-03-22 WO PCT/US1994/003105 patent/WO1994022032A1/en not_active Ceased
- 1994-03-22 EP EP94912287A patent/EP0690992A4/en not_active Ceased
- 1994-03-22 AU AU64906/94A patent/AU684273B2/en not_active Ceased
-
1995
- 1995-06-07 US US08/480,021 patent/US5572218A/en not_active Expired - Lifetime
-
1998
- 1998-11-05 US US09/187,194 patent/USRE37256E1/en not_active Expired - Lifetime
Patent Citations (10)
| Publication number | Priority date | Publication date | Assignee | Title |
|---|---|---|---|---|
| US4667203A (en) * | 1982-03-01 | 1987-05-19 | Aero Service Div, Western Geophysical | Method and system for determining position using signals from satellites |
| US4754465A (en) * | 1984-05-07 | 1988-06-28 | Trimble Navigation, Inc. | Global positioning system course acquisition code receiver |
| US4672382A (en) * | 1984-12-07 | 1987-06-09 | Nissan Motor Co., Ltd. | Position measuring system |
| US4894655A (en) * | 1987-02-27 | 1990-01-16 | Lmt Radioprofessionnelle | Landing assistance system using navigation satellites |
| US4928106A (en) * | 1988-07-14 | 1990-05-22 | Ashtech Telesis, Inc. | Global positioning system receiver with improved radio frequency and digital processing |
| US4972431A (en) * | 1989-09-25 | 1990-11-20 | Magnavox Government And Industrial Electronics Company | P-code-aided global positioning system receiver |
| US5177489A (en) * | 1989-09-26 | 1993-01-05 | Magnavox Electronic Systems Company | Pseudolite-aided method for precision kinematic positioning |
| US5252982A (en) * | 1990-08-24 | 1993-10-12 | Leica Heerbrugg A.G. | Method of precise position determination |
| US5134407A (en) * | 1991-04-10 | 1992-07-28 | Ashtech Telesis, Inc. | Global positioning system receiver digital processing technique |
| US5311194A (en) * | 1992-09-15 | 1994-05-10 | Navsys Corporation | GPS precision approach and landing system for aircraft |
Non-Patent Citations (20)
| Title |
|---|
| "Application & Technical Notes,-Real-Time Kinematic GPS Surveying Technical Overview," by Trimble Navigation.* |
| "Site Surveyor,-Real-Time GPS Survey System," by Trimble Navigation, Oct. 1992.* |
| "Surveying and Mapping Products-System Surveyor, Series 4000, GPS Survey System," by Trimble Navigation, 1992.* |
| A GPS Precision Approach And Landing System, by Dr. Alison K. Brown, Inst. of Navigation, GPS-92, Albuquerque, NM, Sep. 1992, pp. 373-381.* |
| Aircraft Applications of GPS-Based Attitude Determination, by Clark E. Cohen, et al., Institute of Navigation, GPS-92, Albuquerque, NM, Sep. 1992.* |
| Aircraft Applications OF GPS-Based Attitude Determination, by Clark E. Cohen, et al., Stanford University, Dept. of Aeronautics and Astronautics.* |
| Ambiguity Resolution On-The-Fly-A Comparison of P Code And High Performance C/A Code, by Dr. Gerard Lachapelle, et al., Institute of Navigation, GPS-92, Albuquerque, NM, Sep. 1992.* |
| Ambiguity Resolution On-The-Fly-Comparison Of P Code And High Performance C/A Code Receiver Technologies, by Dr. Gerard Lachapelle, et al., pp. 1025-1032.* |
| Application & Technical Notes, Real-Time Kinematic GPS Surveying Technical Overview, published by Trimble Navigation, Jan. 1992.* |
| Attitude Determination Using GPS, by Clark E. Cohen, Dissertation for Ph.A. from Stanford University, Dec. 1992.* |
| Expanding The Performance Envelope of GPS-Based Attitude Determination, by Clark E. Cohen, et al., Institute of Washington, Albuquerque, NM, Sep. 9-13, 1991.* |
| Flight Tests of Attitude Determination Using GPS Compared Against An Inertial Navigation Unit, by Clark E. Cohen, et al., Institute of Navigation, San Francisco, CA, Jan. 20-22, 1993.* |
| Instantaneous Ambiquity Resolution, by Ron Hatch, Paper Presented Sep. 11, 1990 at Banff, Canada at KIS Symposium 1990.* |
| Integer Ambiguity Resolution Of The GPS Carrier For Spacecraft Attitude Determination, by Clark E. Cohen, et al., 15th Annual AAS Guidance & Control Conference, Keystone, CO, Feb. 8-12, 1992.* |
| Kinematic GPS For Differential Positioning: Resolving Integer Ambiguities On The Fly, by Patrick Y. C. Hwang, GPS Papers published in Navigation, vol. 38, No.1, Jan. 1991.* |
| Kinematic GPS For Differential Positioning: Resolving Integer Ambiguities On The Fly, by Patrick Y.C. Hwang, Rockwell Intl. Corp., Cedar Rapids, Iowa, Jan. 1991.* |
| Landau, H., et al., "Precise Real-Time Differential GPS Positioning Using On-The Fly Ambiguity Resolution", Institute of Astonomical and Physical Geodesy, University FAF Munich.* |
| RTCM SC-104 Recommended Pseudolite Signal Specification, by Thomas A. Stansell, Jr., GPS Papers Published in Navigation, vol. III, 1986, pp. 117-134. * |
| The Application Of Navstar Differential GPS In The Civilian Community, by Jacques Beser, et al., GPS Papers Published in Navigation, vol. II, 1984, pp. 167-196.* |
| The Use Of Pseudo Satellites For Improving GPS Performance, by Dale Klein, et al., GPS Papers Published in Navigation, vol. III, 1986, pp. 135-146.* |
Cited By (20)
| Publication number | Priority date | Publication date | Assignee | Title |
|---|---|---|---|---|
| US6611228B2 (en) * | 2000-07-24 | 2003-08-26 | Furuno Electric Company, Limited | Carrier phase-based relative positioning apparatus |
| US20030159633A1 (en) * | 2001-06-29 | 2003-08-28 | The Regents Of The University Of California | Method and apparatus for ultra precise GPS-based mapping of seeds or vegetation during planting |
| US6941225B2 (en) | 2001-06-29 | 2005-09-06 | The Regents Of The University Of California | Method and apparatus for ultra precise GPS-based mapping of seeds or vegetation during planting |
| US7498980B2 (en) * | 2003-12-02 | 2009-03-03 | Toyota Jidosha Kabushiki Kaisha | Carrier phase GPS positioning device and method |
| US20070057839A1 (en) * | 2003-12-02 | 2007-03-15 | Kazunori Kagawa | Carrier phase gps positioning device and method |
| EP2698644A1 (en) | 2004-01-15 | 2014-02-19 | The Boeing Company | Methods and systems for enhanced navigational performance |
| US20060033657A1 (en) * | 2004-08-11 | 2006-02-16 | Integrinautics, Inc. | Method and system for circular polarization correction for independently moving GNSS antennas |
| US7504995B2 (en) * | 2004-08-11 | 2009-03-17 | Novariant, Inc. | Method and system for circular polarization correction for independently moving GNSS antennas |
| US8131464B2 (en) | 2004-10-19 | 2012-03-06 | Qualcomm Incorporated | Transmitter identifier database for enhanced GPS performance |
| US7706975B2 (en) * | 2004-10-19 | 2010-04-27 | Qualcomm Incorporated | Mobile cellular identification database for enhanced GPS performance |
| US20100156706A1 (en) * | 2004-10-19 | 2010-06-24 | Qualcomm Incorporated | Mobile cellular identification database for enhanced gps performance |
| US20060129317A1 (en) * | 2004-10-19 | 2006-06-15 | Farmer Dominic G | Mobile cellular identification database for enhanced GPS performance |
| US20060256005A1 (en) * | 2004-11-08 | 2006-11-16 | Cingular Wireless Ii, L.L.C. | Intelligent utilization of battery and bandwidth resources in mobile devices |
| US7538722B2 (en) | 2004-11-08 | 2009-05-26 | At&T Mobility Ii Llc | Intelligent utilization of battery and bandwidth resources in mobile devices |
| US7026984B1 (en) | 2004-11-08 | 2006-04-11 | Cingular Wireless Ii, L.L.C. | Intelligent utilization of resources in mobile devices |
| US7627428B2 (en) | 2006-11-01 | 2009-12-01 | The University Of Akron | Method of evaluating surface deformation |
| WO2011142872A1 (en) | 2010-05-14 | 2011-11-17 | The Boeing Company | Bit signal structure for differentially encoded broadcasts |
| US9190455B2 (en) | 2013-05-03 | 2015-11-17 | Kabushiki Kaisha Toshiba | Semiconductor memory device and production method thereof |
| US10318903B2 (en) | 2016-05-06 | 2019-06-11 | General Electric Company | Constrained cash computing system to optimally schedule aircraft repair capacity with closed loop dynamic physical state and asset utilization attainment control |
| US10318904B2 (en) | 2016-05-06 | 2019-06-11 | General Electric Company | Computing system to control the use of physical state attainment of assets to meet temporal performance criteria |
Also Published As
| Publication number | Publication date |
|---|---|
| EP0690992A1 (en) | 1996-01-10 |
| JPH09502515A (en) | 1997-03-11 |
| EP0690992A4 (en) | 1996-08-21 |
| US5572218A (en) | 1996-11-05 |
| JP3492692B2 (en) | 2004-02-03 |
| BR9405971A (en) | 1995-12-12 |
| CA2158993C (en) | 2000-05-16 |
| AU6490694A (en) | 1994-10-11 |
| WO1994022032A1 (en) | 1994-09-29 |
| CA2158993A1 (en) | 1994-09-29 |
| AU684273B2 (en) | 1997-12-11 |
| US5548293A (en) | 1996-08-20 |
Similar Documents
| Publication | Publication Date | Title |
|---|---|---|
| USRE37256E1 (en) | System and method for generating precise position determinations | |
| US5583513A (en) | System and method for generating precise code based and carrier phase position determinations | |
| US7292185B2 (en) | Attitude determination exploiting geometry constraints | |
| US6246960B1 (en) | Enhanced integrated positioning method and system thereof for vehicle | |
| US6424914B1 (en) | Fully-coupled vehicle positioning method and system thereof | |
| US8232917B2 (en) | Post-mission high accuracy position and orientation system | |
| US6697736B2 (en) | Positioning and navigation method and system thereof | |
| US5438337A (en) | Navigation system using re-transmitted GPS | |
| US6292750B1 (en) | Vehicle positioning method and system thereof | |
| US7409290B2 (en) | Positioning and navigation method and system thereof | |
| US4405986A (en) | GSP/Doppler sensor velocity derived attitude reference system | |
| US7119741B2 (en) | Method for combined use of a local RTK system and a regional, wide-area, or global carrier-phase positioning system | |
| EP0856747A1 (en) | Method and apparatus for attitude determination utilizing an inertial measurement unit and a plurality of satellite transmitters | |
| US20090093959A1 (en) | Real-time high accuracy position and orientation system | |
| Yunck et al. | GPS-based satellite tracking system for precise positioning | |
| US5781151A (en) | Interferometric trajectory reconstruction technique for flight inspection of radio navigation aids | |
| Calliess et al. | Long-term analysis of Sentinel-6A orbit determination: Insights from three years of flight data | |
| US6336061B1 (en) | System and method for attitude determination in global positioning systems (GPS) | |
| Glazer | GPS receiver operation | |
| Tiemeyer et al. | Satellite navigation for high precision aircraft navigation with emphasis on atmospheric effects | |
| Renzetti et al. | The Deep Space Network. An instrument for radio navigation of deep space probes | |
| HOEFENER et al. | Missile Tracking with Global Positioning System (GPS) Satellites | |
| NATO. ADVISORY GROUP FOR AEROSPACE RESEARCH AND DEVELOPMENT. et al. | GPS OVERVIEW AND NAVIGATION SYSTEM CONCEPT.. | |
| Knauf Jr | An integration technique for aircraft navigation sensors. | |
| Dennis | Using Existing Geostationary Communication Satellites for Precise Positioning in the Offshore Environment |
Legal Events
| Date | Code | Title | Description |
|---|---|---|---|
| FEPP | Fee payment procedure |
Free format text: PAYOR NUMBER ASSIGNED (ORIGINAL EVENT CODE: ASPN); ENTITY STATUS OF PATENT OWNER: SMALL ENTITY |
|
| FPAY | Fee payment |
Year of fee payment: 8 |
|
| AS | Assignment |
Owner name: NOVARIANT, INC., CALIFORNIA Free format text: CHANGE OF NAME;ASSIGNOR:INTERGRINAUTICS CORPORATION;REEL/FRAME:015991/0639 Effective date: 20040827 |
|
| AS | Assignment |
Owner name: ORIX VENTURE FINANCE LLC,VIRGINIA Free format text: SECURITY AGREEMENT;ASSIGNOR:NOVARIANT, INC.;REEL/FRAME:018442/0556 Effective date: 20061024 Owner name: ORIX VENTURE FINANCE LLC, VIRGINIA Free format text: SECURITY AGREEMENT;ASSIGNOR:NOVARIANT, INC.;REEL/FRAME:018442/0556 Effective date: 20061024 |
|
| FEPP | Fee payment procedure |
Free format text: PAYER NUMBER DE-ASSIGNED (ORIGINAL EVENT CODE: RMPN); ENTITY STATUS OF PATENT OWNER: SMALL ENTITY Free format text: PAYOR NUMBER ASSIGNED (ORIGINAL EVENT CODE: ASPN); ENTITY STATUS OF PATENT OWNER: SMALL ENTITY |
|
| FPAY | Fee payment |
Year of fee payment: 12 |
|
| AS | Assignment |
Owner name: SILICON VALLEY BANK, CALIFORNIA Free format text: SECURITY AGREEMENT;ASSIGNOR:NOVARIANT, INC.;REEL/FRAME:024358/0501 Effective date: 20100510 Owner name: SILICON VALLEY BANK,CALIFORNIA Free format text: SECURITY AGREEMENT;ASSIGNOR:NOVARIANT, INC.;REEL/FRAME:024358/0501 Effective date: 20100510 |
|
| AS | Assignment |
Owner name: NOVARIANT, INC.,CALIFORNIA Free format text: RELEASE BY SECURED PARTY;ASSIGNOR:ORIX VENTURE FINANCE, LLC;REEL/FRAME:024380/0678 Effective date: 20100510 |
|
| AS | Assignment |
Owner name: NOVARIANT, INC., CALIFORNIA Free format text: RELEASE;ASSIGNOR:SILICON VALLEY BANK;REEL/FRAME:027400/0587 Effective date: 20111207 |
|
| AS | Assignment |
Owner name: BLUECREST CAPITAL FINANCE, L.P., ILLINOIS Free format text: SECURITY INTEREST;ASSIGNOR:NOVARIANT INC.;REEL/FRAME:027697/0865 Effective date: 20111121 |
|
| AS | Assignment |
Owner name: NOVARIANT, INC., CALIFORNIA Free format text: RELEASE;ASSIGNOR:SILICON VALLEY BANK;REEL/FRAME:033972/0405 Effective date: 20140922 |
|
| AS | Assignment |
Owner name: NOVARIANT, INC., CALIFORNIA Free format text: RELEASE BY SECURED PARTY;ASSIGNOR:BLUECREST CAPITAL INTERNATIONAL MASTER FUND LIMITED;REEL/FRAME:036748/0755 Effective date: 20150924 |













































