US9896441B2 - Tetrahydroquinoline sulfonamide and related compounds for use as agonists of RORγ and the treatment of disease - Google Patents

Tetrahydroquinoline sulfonamide and related compounds for use as agonists of RORγ and the treatment of disease Download PDF

Info

Publication number
US9896441B2
US9896441B2 US15/308,736 US201515308736A US9896441B2 US 9896441 B2 US9896441 B2 US 9896441B2 US 201515308736 A US201515308736 A US 201515308736A US 9896441 B2 US9896441 B2 US 9896441B2
Authority
US
United States
Prior art keywords
alkyl
cycloalkyl
alkylene
halogen
phenyl
Prior art date
Legal status (The legal status is an assumption and is not a legal conclusion. Google has not performed a legal analysis and makes no representation as to the accuracy of the status listed.)
Expired - Fee Related
Application number
US15/308,736
Other versions
US20170183331A1 (en
Inventor
Thomas D. Aicher
Clarke B. Taylor
Chad A. VanHuis
Current Assignee (The listed assignees may be inaccurate. Google has not performed a legal analysis and makes no representation or warranty as to the accuracy of the list.)
Lycera Corp
Original Assignee
Lycera Corp
Priority date (The priority date is an assumption and is not a legal conclusion. Google has not performed a legal analysis and makes no representation as to the accuracy of the date listed.)
Filing date
Publication date
Application filed by Lycera Corp filed Critical Lycera Corp
Priority to US15/308,736 priority Critical patent/US9896441B2/en
Assigned to LYCERA CORPORATION reassignment LYCERA CORPORATION ASSIGNMENT OF ASSIGNORS INTEREST (SEE DOCUMENT FOR DETAILS). Assignors: AICHER, THOMAS DANIEL, TAYLOR, CLARKE B., VANHUIS, CHAD A.
Publication of US20170183331A1 publication Critical patent/US20170183331A1/en
Application granted granted Critical
Publication of US9896441B2 publication Critical patent/US9896441B2/en
Assigned to WILMINGTON TRUST, NATIONAL ASSOCIATION reassignment WILMINGTON TRUST, NATIONAL ASSOCIATION SECURITY INTEREST (SEE DOCUMENT FOR DETAILS). Assignors: LYCERA CORP.
Expired - Fee Related legal-status Critical Current
Anticipated expiration legal-status Critical

Links

Classifications

    • CCHEMISTRY; METALLURGY
    • C07ORGANIC CHEMISTRY
    • C07DHETEROCYCLIC COMPOUNDS
    • C07D413/00Heterocyclic compounds containing two or more hetero rings, at least one ring having nitrogen and oxygen atoms as the only ring hetero atoms
    • C07D413/02Heterocyclic compounds containing two or more hetero rings, at least one ring having nitrogen and oxygen atoms as the only ring hetero atoms containing two hetero rings
    • C07D413/12Heterocyclic compounds containing two or more hetero rings, at least one ring having nitrogen and oxygen atoms as the only ring hetero atoms containing two hetero rings linked by a chain containing hetero atoms as chain links
    • AHUMAN NECESSITIES
    • A61MEDICAL OR VETERINARY SCIENCE; HYGIENE
    • A61PSPECIFIC THERAPEUTIC ACTIVITY OF CHEMICAL COMPOUNDS OR MEDICINAL PREPARATIONS
    • A61P31/00Antiinfectives, i.e. antibiotics, antiseptics, chemotherapeutics
    • A61P31/04Antibacterial agents
    • AHUMAN NECESSITIES
    • A61MEDICAL OR VETERINARY SCIENCE; HYGIENE
    • A61PSPECIFIC THERAPEUTIC ACTIVITY OF CHEMICAL COMPOUNDS OR MEDICINAL PREPARATIONS
    • A61P31/00Antiinfectives, i.e. antibiotics, antiseptics, chemotherapeutics
    • A61P31/10Antimycotics
    • AHUMAN NECESSITIES
    • A61MEDICAL OR VETERINARY SCIENCE; HYGIENE
    • A61PSPECIFIC THERAPEUTIC ACTIVITY OF CHEMICAL COMPOUNDS OR MEDICINAL PREPARATIONS
    • A61P35/00Antineoplastic agents
    • AHUMAN NECESSITIES
    • A61MEDICAL OR VETERINARY SCIENCE; HYGIENE
    • A61PSPECIFIC THERAPEUTIC ACTIVITY OF CHEMICAL COMPOUNDS OR MEDICINAL PREPARATIONS
    • A61P35/00Antineoplastic agents
    • A61P35/02Antineoplastic agents specific for leukemia
    • AHUMAN NECESSITIES
    • A61MEDICAL OR VETERINARY SCIENCE; HYGIENE
    • A61PSPECIFIC THERAPEUTIC ACTIVITY OF CHEMICAL COMPOUNDS OR MEDICINAL PREPARATIONS
    • A61P37/00Drugs for immunological or allergic disorders
    • AHUMAN NECESSITIES
    • A61MEDICAL OR VETERINARY SCIENCE; HYGIENE
    • A61PSPECIFIC THERAPEUTIC ACTIVITY OF CHEMICAL COMPOUNDS OR MEDICINAL PREPARATIONS
    • A61P37/00Drugs for immunological or allergic disorders
    • A61P37/02Immunomodulators
    • AHUMAN NECESSITIES
    • A61MEDICAL OR VETERINARY SCIENCE; HYGIENE
    • A61PSPECIFIC THERAPEUTIC ACTIVITY OF CHEMICAL COMPOUNDS OR MEDICINAL PREPARATIONS
    • A61P43/00Drugs for specific purposes, not provided for in groups A61P1/00-A61P41/00
    • CCHEMISTRY; METALLURGY
    • C07ORGANIC CHEMISTRY
    • C07DHETEROCYCLIC COMPOUNDS
    • C07D215/00Heterocyclic compounds containing quinoline or hydrogenated quinoline ring systems
    • C07D215/58Heterocyclic compounds containing quinoline or hydrogenated quinoline ring systems with hetero atoms directly attached to the ring nitrogen atom
    • CCHEMISTRY; METALLURGY
    • C07ORGANIC CHEMISTRY
    • C07DHETEROCYCLIC COMPOUNDS
    • C07D265/00Heterocyclic compounds containing six-membered rings having one nitrogen atom and one oxygen atom as the only ring hetero atoms
    • C07D265/281,4-Oxazines; Hydrogenated 1,4-oxazines
    • C07D265/341,4-Oxazines; Hydrogenated 1,4-oxazines condensed with carbocyclic rings
    • C07D265/361,4-Oxazines; Hydrogenated 1,4-oxazines condensed with carbocyclic rings condensed with one six-membered ring
    • CCHEMISTRY; METALLURGY
    • C07ORGANIC CHEMISTRY
    • C07DHETEROCYCLIC COMPOUNDS
    • C07D279/00Heterocyclic compounds containing six-membered rings having one nitrogen atom and one sulfur atom as the only ring hetero atoms
    • C07D279/101,4-Thiazines; Hydrogenated 1,4-thiazines
    • C07D279/141,4-Thiazines; Hydrogenated 1,4-thiazines condensed with carbocyclic rings or ring systems
    • C07D279/161,4-Thiazines; Hydrogenated 1,4-thiazines condensed with carbocyclic rings or ring systems condensed with one six-membered ring
    • CCHEMISTRY; METALLURGY
    • C07ORGANIC CHEMISTRY
    • C07DHETEROCYCLIC COMPOUNDS
    • C07D311/00Heterocyclic compounds containing six-membered rings having one oxygen atom as the only hetero atom, condensed with other rings
    • C07D311/02Heterocyclic compounds containing six-membered rings having one oxygen atom as the only hetero atom, condensed with other rings ortho- or peri-condensed with carbocyclic rings or ring systems
    • C07D311/04Benzo[b]pyrans, not hydrogenated in the carbocyclic ring
    • C07D311/22Benzo[b]pyrans, not hydrogenated in the carbocyclic ring with oxygen or sulfur atoms directly attached in position 4
    • CCHEMISTRY; METALLURGY
    • C07ORGANIC CHEMISTRY
    • C07DHETEROCYCLIC COMPOUNDS
    • C07D401/00Heterocyclic compounds containing two or more hetero rings, having nitrogen atoms as the only ring hetero atoms, at least one ring being a six-membered ring with only one nitrogen atom
    • C07D401/02Heterocyclic compounds containing two or more hetero rings, having nitrogen atoms as the only ring hetero atoms, at least one ring being a six-membered ring with only one nitrogen atom containing two hetero rings
    • C07D401/06Heterocyclic compounds containing two or more hetero rings, having nitrogen atoms as the only ring hetero atoms, at least one ring being a six-membered ring with only one nitrogen atom containing two hetero rings linked by a carbon chain containing only aliphatic carbon atoms
    • CCHEMISTRY; METALLURGY
    • C07ORGANIC CHEMISTRY
    • C07DHETEROCYCLIC COMPOUNDS
    • C07D401/00Heterocyclic compounds containing two or more hetero rings, having nitrogen atoms as the only ring hetero atoms, at least one ring being a six-membered ring with only one nitrogen atom
    • C07D401/02Heterocyclic compounds containing two or more hetero rings, having nitrogen atoms as the only ring hetero atoms, at least one ring being a six-membered ring with only one nitrogen atom containing two hetero rings
    • C07D401/12Heterocyclic compounds containing two or more hetero rings, having nitrogen atoms as the only ring hetero atoms, at least one ring being a six-membered ring with only one nitrogen atom containing two hetero rings linked by a chain containing hetero atoms as chain links
    • CCHEMISTRY; METALLURGY
    • C07ORGANIC CHEMISTRY
    • C07DHETEROCYCLIC COMPOUNDS
    • C07D413/00Heterocyclic compounds containing two or more hetero rings, at least one ring having nitrogen and oxygen atoms as the only ring hetero atoms
    • C07D413/02Heterocyclic compounds containing two or more hetero rings, at least one ring having nitrogen and oxygen atoms as the only ring hetero atoms containing two hetero rings
    • C07D413/06Heterocyclic compounds containing two or more hetero rings, at least one ring having nitrogen and oxygen atoms as the only ring hetero atoms containing two hetero rings linked by a carbon chain containing only aliphatic carbon atoms
    • CCHEMISTRY; METALLURGY
    • C07ORGANIC CHEMISTRY
    • C07DHETEROCYCLIC COMPOUNDS
    • C07D413/00Heterocyclic compounds containing two or more hetero rings, at least one ring having nitrogen and oxygen atoms as the only ring hetero atoms
    • C07D413/14Heterocyclic compounds containing two or more hetero rings, at least one ring having nitrogen and oxygen atoms as the only ring hetero atoms containing three or more hetero rings
    • CCHEMISTRY; METALLURGY
    • C07ORGANIC CHEMISTRY
    • C07DHETEROCYCLIC COMPOUNDS
    • C07D417/00Heterocyclic compounds containing two or more hetero rings, at least one ring having nitrogen and sulfur atoms as the only ring hetero atoms, not provided for by group C07D415/00
    • C07D417/02Heterocyclic compounds containing two or more hetero rings, at least one ring having nitrogen and sulfur atoms as the only ring hetero atoms, not provided for by group C07D415/00 containing two hetero rings
    • C07D417/06Heterocyclic compounds containing two or more hetero rings, at least one ring having nitrogen and sulfur atoms as the only ring hetero atoms, not provided for by group C07D415/00 containing two hetero rings linked by a carbon chain containing only aliphatic carbon atoms
    • CCHEMISTRY; METALLURGY
    • C07ORGANIC CHEMISTRY
    • C07DHETEROCYCLIC COMPOUNDS
    • C07D417/00Heterocyclic compounds containing two or more hetero rings, at least one ring having nitrogen and sulfur atoms as the only ring hetero atoms, not provided for by group C07D415/00
    • C07D417/02Heterocyclic compounds containing two or more hetero rings, at least one ring having nitrogen and sulfur atoms as the only ring hetero atoms, not provided for by group C07D415/00 containing two hetero rings
    • C07D417/12Heterocyclic compounds containing two or more hetero rings, at least one ring having nitrogen and sulfur atoms as the only ring hetero atoms, not provided for by group C07D415/00 containing two hetero rings linked by a chain containing hetero atoms as chain links
    • CCHEMISTRY; METALLURGY
    • C07ORGANIC CHEMISTRY
    • C07DHETEROCYCLIC COMPOUNDS
    • C07D417/00Heterocyclic compounds containing two or more hetero rings, at least one ring having nitrogen and sulfur atoms as the only ring hetero atoms, not provided for by group C07D415/00
    • C07D417/14Heterocyclic compounds containing two or more hetero rings, at least one ring having nitrogen and sulfur atoms as the only ring hetero atoms, not provided for by group C07D415/00 containing three or more hetero rings
    • CCHEMISTRY; METALLURGY
    • C07ORGANIC CHEMISTRY
    • C07DHETEROCYCLIC COMPOUNDS
    • C07D471/00Heterocyclic compounds containing nitrogen atoms as the only ring hetero atoms in the condensed system, at least one ring being a six-membered ring with one nitrogen atom, not provided for by groups C07D451/00 - C07D463/00
    • C07D471/02Heterocyclic compounds containing nitrogen atoms as the only ring hetero atoms in the condensed system, at least one ring being a six-membered ring with one nitrogen atom, not provided for by groups C07D451/00 - C07D463/00 in which the condensed system contains two hetero rings
    • C07D471/04Ortho-condensed systems
    • CCHEMISTRY; METALLURGY
    • C07ORGANIC CHEMISTRY
    • C07DHETEROCYCLIC COMPOUNDS
    • C07D487/00Heterocyclic compounds containing nitrogen atoms as the only ring hetero atoms in the condensed system, not provided for by groups C07D451/00 - C07D477/00
    • C07D487/02Heterocyclic compounds containing nitrogen atoms as the only ring hetero atoms in the condensed system, not provided for by groups C07D451/00 - C07D477/00 in which the condensed system contains two hetero rings
    • C07D487/04Ortho-condensed systems
    • CCHEMISTRY; METALLURGY
    • C07ORGANIC CHEMISTRY
    • C07DHETEROCYCLIC COMPOUNDS
    • C07D491/00Heterocyclic compounds containing in the condensed ring system both one or more rings having oxygen atoms as the only ring hetero atoms and one or more rings having nitrogen atoms as the only ring hetero atoms, not provided for by groups C07D451/00 - C07D459/00, C07D463/00, C07D477/00 or C07D489/00
    • C07D491/02Heterocyclic compounds containing in the condensed ring system both one or more rings having oxygen atoms as the only ring hetero atoms and one or more rings having nitrogen atoms as the only ring hetero atoms, not provided for by groups C07D451/00 - C07D459/00, C07D463/00, C07D477/00 or C07D489/00 in which the condensed system contains two hetero rings
    • C07D491/10Spiro-condensed systems
    • CCHEMISTRY; METALLURGY
    • C07ORGANIC CHEMISTRY
    • C07DHETEROCYCLIC COMPOUNDS
    • C07D498/00Heterocyclic compounds containing in the condensed system at least one hetero ring having nitrogen and oxygen atoms as the only ring hetero atoms
    • C07D498/02Heterocyclic compounds containing in the condensed system at least one hetero ring having nitrogen and oxygen atoms as the only ring hetero atoms in which the condensed system contains two hetero rings
    • C07D498/08Bridged systems
    • CCHEMISTRY; METALLURGY
    • C07ORGANIC CHEMISTRY
    • C07DHETEROCYCLIC COMPOUNDS
    • C07D513/00Heterocyclic compounds containing in the condensed system at least one hetero ring having nitrogen and sulfur atoms as the only ring hetero atoms, not provided for in groups C07D463/00, C07D477/00 or C07D499/00 - C07D507/00
    • C07D513/02Heterocyclic compounds containing in the condensed system at least one hetero ring having nitrogen and sulfur atoms as the only ring hetero atoms, not provided for in groups C07D463/00, C07D477/00 or C07D499/00 - C07D507/00 in which the condensed system contains two hetero rings
    • C07D513/04Ortho-condensed systems

Definitions

  • the invention provides tetrahydroquinoline sulfonamide compounds, tetrahydronaphthalene sulfonyl compounds, and related compounds (collectively “tetrahydroquinolinyl and related compounds”), methods of promoting ROR ⁇ activity and/or increasing the amount of IL-17 in a subject, and therapeutic uses of the tetrahydroquinolinyl and related compounds, such as treating medical conditions in which activation of immune response is beneficial.
  • Retinoid-related orphan receptors are reported to have an important role in numerous biological processes. See, for example, Dussault et al. in Mech. Dev . (1998) vol. 70, 147-153; and Andre et al. in EMBO J . (1998) vol. 17, 3867-3877. Scientific investigations relating to each of retinoid-related orphan receptors ROR ⁇ , ROR ⁇ , and ROR ⁇ have been described in the literature. See, for example, Hirose et al. in Biochem. Biophys. Res. Commun . (1994) vol. 205, 1976-1983; Giguere et al. in Genes. Dev . (1994) vol.
  • ROR ⁇ has been reported to be expressed in high concentration in various tissues, such as thymus, kidney, liver, muscle, and certain fat tissue. See, for example, Hirose et al. in Biochem. Biophys. Res. Commun . (1994) vol. 205, 1976-1983; Medvedev et al. in Gene (1996) vol. 181, 199-206; Ortiz et al. in Mol. Endocrinol . (1995) vol. 9, 1679-1691; and He et al. in Immunity (1998) vol. 9, 797-806.
  • Two isoforms of ROR ⁇ have been identified and are referred to as ⁇ 1 and ⁇ 2 (also referred to as ROR ⁇ t). See, for example, He et al.
  • Th17 cells are important for recruiting tumor-killing cytotoxic CD8+ T cells and natural killer cells into the tumor microenvironment.
  • Th17 cells correlated positively with patient survival or slower disease progression in certain cancers. See, for example, Kryczek et al. in Blood (2009) vol 114, 1141-1149; and Sfanos et al. in Clinical Cancer Research (2008) vol 14, 3254-3261. Compounds capable of enhancing ROR ⁇ t activity are thus contemplated to provide a therapeutic benefit in the treatment of cancer.
  • Cancer continues to be a significant health problem despite the substantial research efforts and scientific advances reported in the literature for treating this disease.
  • Some of the most frequently diagnosed cancers include prostate cancer, breast cancer, and lung cancer.
  • Prostate cancer is the most common form of cancer in men.
  • Breast cancer remains a leading cause of death in women.
  • Current treatment options for these cancers are not effective for all patients and/or can have substantial adverse side effects.
  • the invention provides tetrahydroquinoline sulfonamide compounds, tetrahydronaphthalene sulfonyl compounds, and related compounds (collectively “tetrahydroquinolinyl and related compounds”), pharmaceutical compositions, methods of promoting ROR ⁇ activity and/or increasing the amount of IL-17 in a subject, and methods of treating various medical disorders using such compounds.
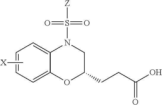
  • tetrahydroquinoline sulfonamide and related compounds such as a compound represented by Formula I:
  • Another aspect of the invention provides a collection of tetrahydronaphthalene sulfonyl compounds, such as a compound represented by Formula II:
  • Another aspect of the invention provides a method of treating a subject suffering from a medical disorder.
  • the method comprises administering to the subject a therapeutically effective amount of one or more tetrahydroquinolinyl or related compounds described herein, e.g., a compound of Formula I, I-1, I-A, I-B, II, II-1, II-A, or II-B.
  • tetrahydroquinolinyl and related compounds described herein e.g., a compound of Formula I, I-1, I-A, I-B, II, II-1, II-A, or II-B.
  • the compounds described herein can be used to treat cancer, a bacterial infection, a fungal infection, or an immune deficiency disorder.
  • Another aspect of the invention provides a method of promoting the activity of ROR ⁇ .
  • the method comprises exposing a ROR ⁇ to an effective amount of one or more tetrahydroquinolinyl or related compounds described herein, e.g., a compound of Formula I, I-1, I-A, I-B, II, II-1, II-A, or II-B, or a pharmaceutical composition described herein.
  • Another aspect of the invention provides a method of increasing the amount of IL-17 in a subject.
  • the method comprises administering to a subject an effective amount of one or more tetrahydroquinolinyl or related compounds described herein, e.g., a compound of Formula I, I-1, I-A, I-B, II, II-1, II-A, or II-B, or a pharmaceutical composition described herein, to increase the amount of IL-17 in the subject.
  • the invention provides tetrahydroquinolinyl and related compounds, pharmaceutical compositions, methods of promoting ROR ⁇ activity and/or increasing the amount of IL-17 in a subject, and therapeutic uses of the tetrahydroquinolinyl and related compounds.
  • the practice of the present invention employs, unless otherwise indicated, conventional techniques of organic chemistry, pharmacology, molecular biology (including recombinant techniques), cell biology, biochemistry, and immunology. Such techniques are explained in the literature, such as in “Comprehensive Organic Synthesis” (B. M. Trost & I. Fleming, eds., 1991-1992); “Handbook of experimental immunology” (D. M. Weir & C. C.
  • alkyl refers to a saturated straight or branched hydrocarbon, such as a straight or branched group of 1-12, 1-10, or 1-6 carbon atoms, referred to herein as C 1 -C 12 alkyl, C 1 -C 10 alkyl, and C 1 -C 6 alkyl, respectively.
  • Exemplary alkyl groups include, but are not limited to, methyl, ethyl, propyl, isopropyl, 2-methyl-1-propyl, 2-methyl-2-propyl, 2-methyl-1-butyl, 3-methyl-1-butyl, 2-methyl-3-butyl, 2,2-dimethyl-1-propyl, 2-methyl-1-pentyl, 3-methyl-1-pentyl, 4-methyl-1-pentyl, 2-methyl-2-pentyl, 3-methyl-2-pentyl, 4-methyl-2-pentyl, 2,2-dimethyl-1-butyl, 3,3-dimethyl-1-butyl, 2-ethyl-1-butyl, butyl, isobutyl, t-butyl, pentyl, isopentyl, neopentyl, hexyl, heptyl, octyl, etc.
  • alkylene refers to a diradical of an alkyl group.
  • exemplary alkylene groups include —CH 2 —, —CH 2 CH 2 —, and —CH 2 C(H)(CH 3 )CH 2 —.
  • cycloalkyl refers to a monovalent saturated cyclic, bicyclic, or bridged cyclic (e.g., adamantyl) hydrocarbon group of 3-12, 3-8, 4-8, or 4-6 carbons, referred to herein, e.g., as “C 3 -C 6 cycloalkyl,” derived from a cycloalkane.
  • exemplary cycloalkyl groups include cyclohexyl, cyclopentyl, cyclobutyl, and cyclopropyl.
  • cycloalkylene refers to a diradical of a cycloalkyl group.
  • exemplary cycloalkylene groups include
  • haloalkyl refers to an alkyl group that is substituted with at least one halogen.
  • exemplary haloalkyl groups include —CH 2 F, —CHF 2 , —CF 3 , —CH 2 CF 3 , —CF 2 CF 3 , and the like.
  • hydroxyalkyl refers to an alkyl group that is substituted with at least one hydroxyl.
  • exemplary hydroxyalkyl groups include —CH 2 CH 2 OH, —C(H)(OH)CH 3 , —CH 2 C(H)(OH)CH 2 CH 2 OH, and the like.
  • aralkyl refers to an alkyl group substituted with an aryl group.
  • exemplary aralkyl groups include
  • heteroarylkyl refers to an alkyl group substituted with a heteroaryl group.
  • alkenyl and alkynyl are art-recognized and refer to unsaturated aliphatic groups analogous in length and possible substitution to the alkyls described above, but that contain at least one double or triple bond respectively.
  • aryl is art-recognized and refers to a carbocyclic aromatic group. Representative aryl groups include phenyl, naphthyl, anthracenyl, and the like. Unless specified otherwise, the aromatic ring may be substituted at one or more ring positions with, for example, halogen, azide, alkyl, aralkyl, alkenyl, alkynyl, cycloalkyl, hydroxyl, alkoxyl, amino, nitro, sulfhydryl, imino, amido, carboxylic acid, —C(O)alkyl, —CO 2 alkyl, carbonyl, carboxyl, alkylthio, sulfonyl, sulfonamido, sulfonamide, ketone, aldehyde, ester, heterocyclyl, aryl or heteroaryl moieties, —CF 3 , —CN, or the like.
  • aryl also includes polycyclic aromatic ring systems having two or more carbocyclic rings in which two or more carbons are common to two adjoining rings (the rings are “fused rings”) wherein all of the fused rings are aromatic rings, e.g., in a naphthyl group.
  • phenylene refers to a multivalent radical (e.g., a divalent or trivalent radical) of benzene.
  • a divalent valent radical of benzene is illustrated by the formula
  • partially unsaturated bicyclic carbocyclyl refers to a bicyclic carbocyclic group that comprises at least one carbon-carbon double bond between ring carbon atoms and at least one ring in the bicyclic carbocyclic group is not aromatic.
  • Representative examples of a partially unsaturated bicyclic carbocyclyl include, for example:
  • heteroaryl is art-recognized and refers to aromatic groups that include at least one ring heteroatom.
  • a heteroaryl group contains 1, 2, 3, or 4 ring heteroatoms (e.g., O, N, and S).
  • Representative examples of heteroaryl groups include pyrrolyl, furanyl, thiophenyl, imidazolyl, oxazolyl, thiazolyl, triazolyl, pyrazolyl, pyridinyl, pyrazinyl, pyridazinyl and pyrimidinyl, and the like.
  • the heteroaryl ring may be substituted at one or more ring positions with, for example, halogen, azide, alkyl, aralkyl, alkenyl, alkynyl, cycloalkyl, hydroxyl, alkoxyl, amino, nitro, sulfhydryl, imino, amido, carboxylic acid, —C(O)alkyl, —CO 2 alkyl, carbonyl, carboxyl, alkylthio, sulfonyl, sulfonamido, sulfonamide, ketone, aldehyde, ester, heterocyclyl, aryl or heteroaryl moieties, —CF 3 , —CN, or the like.
  • heteroaryl also includes polycyclic aromatic ring systems having two or more rings in which two or more ring atoms are common to two adjoining rings (the rings are “fused rings”) wherein all of the fused rings are heteroaromatic, e.g., in a naphthyridinyl group.
  • the heteroaryl is a 5-6 membered monocyclic ring or a 9-10 membered bicyclic ring.
  • heteroarylene refers to a multi-valent (e.g., di-valent or trivalent) aromatic group that comprises at least one ring heteroatom.
  • An exemplary “heteroarylene” is pyridinylene, which is a multi-valent radical of pyridine.
  • a divalent radical of pyridine is illustrated by the formula
  • heteroarylene is a divalent, 5-6 membered heteroaromatic group containing 1, 2, or 3 ring heteroatoms (e.g., O, N, or S).
  • ortho, meta, and para are art-recognized and refer to 1,2-, 1,3- and 1,4-disubstituted benzenes, respectively.
  • 1,2-dimethylbenzene and ortho-dimethylbenzene are synonymous.
  • heterocyclic and “heterocyclyl” represent, for example, an aromatic or nonaromatic ring (e.g., a monocyclic or bicyclic ring) containing one or more heteroatoms.
  • the heteroatoms can be the same or different from each other. Examples of heteroatoms include, but are not limited to nitrogen, oxygen and sulfur.
  • Aromatic and nonaromatic heterocyclic rings are well-known in the art. Some nonlimiting examples of aromatic heterocyclic rings include, but are not limited to, pyridine, pyrimidine, indole, purine, quinoline and isoquinoline.
  • Nonlimiting examples of nonaromatic heterocyclic compounds include, but are not limited to, piperidine, piperazine, morpholine, pyrrolidine and pyrazolidine.
  • oxygen containing heterocyclic rings include, but are not limited to, furan, oxirane, 2H-pyran, 4H-pyran, 2H-chromene, benzofuran, and 2,3-dihydrobenzo[b][1,4]dioxine.
  • sulfur-containing heterocyclic rings include, but are not limited to, thiophene, benzothiophene, and parathiazine.
  • nitrogen containing rings include, but are not limited to, pyrrole, pyrrolidine, pyrazole, pyrazolidine, imidazole, imidazoline, imidazolidine, pyridine, piperidine, pyrazine, piperazine, pyrimidine, indole, purine, benzimidazole, quinoline, isoquinoline, triazole, and triazine.
  • heterocyclic rings containing two different heteroatoms include, but are not limited to, phenothiazine, morpholine, parathiazine, oxazine, oxazole, thiazine, and thiazole.
  • the heterocyclic ring is optionally further substituted at one or more ring positions with, for example, halogen, azide, alkyl, aralkyl, alkenyl, alkynyl, cycloalkyl, hydroxyl, alkoxyl, amino, nitro, sulfhydryl, imino, amido, carboxylic acid, —C(O)alkyl, —CO 2 alkyl, carbonyl, carboxyl, alkylthio, sulfonyl, sulfonamido, sulfonamide, ketone, aldehyde, ester, heterocyclyl, aryl or heteroaryl moieties, —CF 3 , —CN, or the like.
  • the heterocyclyl group is a 3-7 membered ring that, unless specified otherwise, is substituted or unsubstituted.
  • heterocycloalkyl refers to a saturated heterocyclyl group having, for example, 3-7 ring atoms (e.g., O, N, or S).
  • heterocycloalkylene refers to a multi-valent (e.g., di-valent or trivalent) saturated heterocyclyl group having, for example, 3-7 ring atoms.
  • An exemplary “heterocycloalkylene” is piperidinylene, which is a multi-valent radical of piperidine.
  • the “heterocycloalkylene” is a divalent, 5-6 membered saturated heterocyclyl containing 1 or 2 ring heteroatoms (e.g., O, N, or S).
  • partially unsaturated bicyclic heterocyclyl refers to a bicyclic heterocyclic group that comprises at least one double bond between ring atoms and at least one ring in the bicyclic heterocyclic group is not aromatic.
  • Representative examples of a partially unsaturated bicyclic heterocyclyl include, for example:
  • partially unsaturated bicyclic oxo-heterocyclyl refers to a bicyclic heterocyclic group that comprises at least one double bond between ring atoms, one oxo substituent, and at least one ring in the bicyclic heterocyclic group is not aromatic.
  • Representative examples of a partially unsaturated bicyclic oxo-heterocyclyl include, for example:
  • amine and “amino” are art-recognized and refer to both unsubstituted and substituted amines, e.g., a moiety that may be represented by the general formulas:
  • R 50 , R 51 , R 52 and R 53 each independently represent a hydrogen, an alkyl, an alkenyl, —(CH 2 ) m —R 61 , or R 50 and R 51 , taken together with the N atom to which they are attached complete a heterocycle having from 4 to 8 atoms in the ring structure;
  • R 61 represents an aryl, a cycloalkyl, a cycloalkenyl, a heterocycle or a polycycle; and m is zero or an integer in the range of 1 to 8.
  • only one of R 50 or R 51 may be a carbonyl, e.g., R 50 , R 51 and the nitrogen together do not form an imide.
  • R 50 and R 51 (and optionally R 52 ) each independently represent a hydrogen, an alkyl, an alkenyl, or —(CH 2 ) m —R 61 .
  • alkoxyl or “alkoxy” are art-recognized and refer to an alkyl group, as defined above, having an oxygen radical attached thereto.
  • Representative alkoxyl groups include methoxy, ethoxy, propyloxy, tert-butoxy and the like.
  • An “ether” is two hydrocarbons covalently linked by an oxygen. Accordingly, the substituent of an alkyl that renders that alkyl an ether is or resembles an alkoxyl, such as may be represented by one of —O-alkyl, —O-alkenyl, —O-alkynyl, and —O—(CH 2 ) m —R 61 , where m and R 61 are described above.
  • oxo is art-recognized and refers to a “ ⁇ O” substituent.
  • a cyclopentane substituted with an oxo group is cyclopentanone.
  • substituted means that one or more hydrogens on the atoms of the designated group are replaced with a selection from the indicated group, provided that the atoms' normal valencies under the existing circumstances are not exceeded, and that the substitution results in a stable compound. Combinations of substituents and/or variables are permissible only if such combinations result in stable compounds.
  • stable compound or “stable structure” refer to a compound that is sufficiently robust to survive isolation to a useful degree of purity from a reaction mixture, and formulation into an efficacious therapeutic agent.
  • One or more compounds of the invention may exist in unsolvated as well as solvated forms with pharmaceutically acceptable solvents such as water, ethanol, and the like, and it is intended that the invention embrace both solvated and unsolvated forms.
  • “Solvate” means a physical association of a compound of this invention with one or more solvent molecules. This physical association involves varying degrees of ionic and covalent bonding, including hydrogen bonding. In certain instances the solvate will be capable of isolation, for example when one or more solvent molecules are incorporated in the crystal lattice of the crystalline solid. “Solvate” encompasses both solution-phase and isolatable solvates. Nonlimiting examples of suitable solvates include ethanolates, methanolates, and the like. “Hydrate” is a solvate wherein the solvent molecule is H 2 O.
  • compositions of the present invention may exist in particular geometric or stereoisomeric forms. Further, certain compounds described herein may be optically active. The present invention contemplates all such compounds, including cis- and trans-isomers, R- and S-enantiomers, diastereomers, ( D )-isomers, ( L )-isomers, the racemic mixtures thereof, and other mixtures thereof, as falling within the scope of the invention.
  • the compounds may contain one or more stereogenic centers. For example, asymmetric carbon atoms may be present in a substituent such as an alkyl group.
  • Diastereomeric mixtures can be separated into their individual diastereomers on the basis of their physical chemical differences by methods known to those skilled in the art, such as, for example, by chromatography and/or fractional crystallization.
  • Enantiomers can be separated by converting the enantiomeric mixture into a diastereomeric mixture by reaction with an appropriate optically active compound (e.g., chiral auxiliary such as a chiral alcohol or Mosher's acid chloride), separating the diastereomers and converting (e.g., hydrolyzing) the individual diastereomers to the corresponding pure enantiomers.
  • an appropriate optically active compound e.g., chiral auxiliary such as a chiral alcohol or Mosher's acid chloride
  • a particular enantiomer of a compound of the present invention may be prepared by asymmetric synthesis.
  • diastereomeric salts are formed with an appropriate optically-active acid or base, followed by resolution of the diastereomers thus formed by fractional crystallization or chromatographic means known in the art, and subsequent recovery of the pure enantiomers.
  • Individual stereoisomers of the compounds of the invention may, for example, be substantially free of other isomers, or may be admixed, for example, as racemates or with all other, or other selected, stereoisomers.
  • Chiral center(s) in a compound of the present invention can have the S or R configuration as defined by the IUPAC 1974 Recommendations. Further, to the extent a compound described herein may exist as a atropisomer (e.g., substituted biaryls), all forms of such atropisomer are considered part of this invention.
  • the terms “subject” and “patient” are used interchangeable and refer to organisms to be treated by the methods of the present invention.
  • Such organisms preferably include, but are not limited to, mammals (e.g., murines, simians, equines, bovines, porcines, canines, felines, and the like), and most preferably includes humans.
  • EC 50 is art-recognized and refers to the concentration of a compound that is required to achieve 50% of the maximum possible activation of the target.
  • the term “effective amount” refers to the amount of a compound sufficient to effect beneficial or desired results (e.g., a therapeutic, ameliorative, inhibitory or preventative result).
  • An effective amount can be administered in one or more administrations, applications or dosages and is not intended to be limited to a particular formulation or administration route.
  • the term “treating” includes any effect, e.g., lessening, reducing, modulating, ameliorating or eliminating, that results in the improvement of the condition, disease, disorder, and the like, or ameliorating a symptom thereof.
  • composition refers to the combination of an active agent with a carrier, inert or active, making the composition especially suitable for diagnostic or therapeutic use in vivo or ex vivo.
  • the term “pharmaceutically acceptable carrier” refers to any of the standard pharmaceutical carriers, such as a phosphate buffered saline solution, water, emulsions (e.g., such as an oil/water or water/oil emulsions), and various types of wetting agents.
  • the compositions also can include stabilizers and preservatives.
  • stabilizers and adjuvants see e.g., Martin, Remington's Pharmaceutical Sciences, 15th Ed., Mack Publ. Co., Easton, Pa. [1975].
  • the term “pharmaceutically acceptable salt” refers to any pharmaceutically acceptable salt (e.g., acid or base) of a compound of the present invention which, upon administration to a subject, is capable of providing a compound of this invention or an active metabolite or residue thereof.
  • salts of the compounds of the present invention may be derived from inorganic or organic acids and bases.
  • acids include, but are not limited to, hydrochloric, hydrobromic, sulfuric, nitric, perchloric, fumaric, maleic, phosphoric, glycolic, lactic, salicylic, succinic, toluene-p-sulfonic, tartaric, acetic, citric, methanesulfonic, ethanesulfonic, formic, benzoic, malonic, naphthalene-2-sulfonic, benzenesulfonic acid, and the like.
  • Other acids such as oxalic, while not in themselves pharmaceutically acceptable, may be employed in the preparation of salts useful as intermediates in obtaining the compounds of the invention and their pharmaceutically acceptable acid addition salts.
  • bases include, but are not limited to, alkali metals (e.g., sodium) hydroxides, alkaline earth metals (e.g., magnesium), hydroxides, ammonia, and compounds of formula NW 4 + , wherein W is C 1-4 alkyl, and the like.
  • salts include, but are not limited to: acetate, adipate, alginate, aspartate, benzoate, benzenesulfonate, bisulfate, butyrate, citrate, camphorate, camphorsulfonate, cyclopentanepropionate, digluconate, dodecylsulfate, ethanesulfonate, fumarate, flucoheptanoate, glycerophosphate, hemisulfate, heptanoate, hexanoate, hydrochloride, hydrobromide, hydroiodide, 2-hydroxyethanesulfonate, lactate, maleate, methanesulfonate, 2-naphthalenesulfonate, nicotinate, oxalate, palmoate, pectinate, persulfate, phenylpropionate, picrate, pivalate, propionate, succinate, tartrate, thiocyanate,
  • salts include anions of the compounds of the present invention compounded with a suitable cation such as Na + , NH 4 + , and NW 4 + (wherein W is a C 1-4 alkyl group), and the like.
  • a suitable cation such as Na + , NH 4 + , and NW 4 + (wherein W is a C 1-4 alkyl group)
  • Further examples of salts include, but are not limited to: ascorbate, borate, nitrate, phosphate, salicylate, and sulfate.
  • acids which are generally considered suitable for the formation of pharmaceutically useful salts from basic pharmaceutical compounds are discussed, for example, by P. Stahl et al., Camille G. (eds.) Handbook of Pharmaceutical Salts. Properties, Selection and Use . (2002) Zurich: Wiley-VCH; S.
  • Additional exemplary basic salts include, but are not limited to: ammonium salts, alkali metal salts such as sodium, lithium, and potassium salts, alkaline earth metal salts such as calcium and magnesium salts, salts with organic bases (for example, organic amines) such as dicyclohexylamines, t-butyl amines, and salts with amino acids such as arginine, lysine and the like.
  • alkali metal salts such as sodium, lithium, and potassium salts
  • alkaline earth metal salts such as calcium and magnesium salts
  • salts with organic bases for example, organic amines
  • organic amines such as dicyclohexylamines, t-butyl amines
  • salts with amino acids such as arginine, lysine and the like.
  • Basic nitrogen-containing groups may be quarternized with agents such as lower alkyl halides (e.g., methyl, ethyl, and butyl chlorides, bromides and iodides), dialkyl sulfates (e.g., dimethyl, diethyl, and dibutyl sulfates), long chain halides (e.g., decyl, lauryl, and stearyl chlorides, bromides and iodides), aralkyl halides (e.g., benzyl and phenethyl bromides), and others.
  • lower alkyl halides e.g., methyl, ethyl, and butyl chlorides, bromides and iodides
  • dialkyl sulfates e.g., dimethyl, diethyl, and dibutyl sulfates
  • long chain halides e.g., decyl, lauryl, and
  • salts of the compounds of the present invention are contemplated as being pharmaceutically acceptable.
  • salts of acids and bases that are non-pharmaceutically acceptable may also find use, for example, in the preparation or purification of a pharmaceutically acceptable compound.
  • a compound of the invention contains both a basic moiety (such as, but not limited to, a pyridine or imidazole) and an acidic moiety (such as, but not limited to, a carboxylic acid) zwitterions (“inner salts”) may be formed.
  • acidic and basic salts used within the scope of the invention are pharmaceutically acceptable (i.e., non-toxic, physiologically acceptable) salts.
  • Such salts of the compounds of the invention may be formed, for example, by reacting a compound of the invention with an amount of acid or base, such as an equivalent amount, in a medium such as one in which the salt precipitates or in an aqueous medium followed by lyophilization.
  • the present invention includes the compounds of the invention in all their isolated forms (such as any solvates, hydrates, stereoisomers, and tautomers thereof). Further, the invention includes compounds in which one or more of the atoms may be artificially enriched in a particular isotope having the same atomic number, but an atomic mass or mass number different from the atomic mass or mass number predominantly found in nature.
  • the present invention is meant to include all suitable isotopic variations of the compounds of the invention.
  • different isotopic forms of hydrogen (H) include protium ( 1 H) and deuterium ( 2 H). Protium is the predominant hydrogen isotope found in nature.
  • Enriching for deuterium may afford certain therapeutic advantages, such as increasing in vivo half-life or reducing dosage requirements, or may provide a compound useful as a standard for characterization of biological samples.
  • Isotopically-enriched compounds can be prepared without undue experimentation by conventional techniques known to those skilled in the art or by processes analogous to those described in the Schemes and Examples herein using appropriate isotopically-enriched reagents and/or intermediates.
  • compositions are described as having, including, or comprising specific components, or where processes and methods are described as having, including, or comprising specific steps, it is contemplated that, additionally, there are compositions of the present invention that consist essentially of, or consist of, the recited components, and that there are processes and methods according to the present invention that consist essentially of, or consist of, the recited processing steps.
  • THF tetrahydrofuran
  • DCM dichloromethane
  • DMF dimethylformamide
  • DMA dimethylacetamide
  • EDTA ethylenediaminetetraacetic acid
  • TFA trifluoroacetic acid
  • compositions specifying a percentage are by weight unless otherwise specified.
  • the invention provides tetrahydroquinoline sulfonamide compounds, tetrahydronaphthalene sulfonyl compounds, and related compounds (collectively “tetrahydroquinolinyl and related compounds”).
  • tetrahydroquinoline sulfonamide compounds tetrahydronaphthalene sulfonyl compounds
  • related compounds collectively “tetrahydroquinolinyl and related compounds”.
  • Exemplary compounds are described in the following sections, along with exemplary procedures for making the compounds. Additional exemplary compounds and synthetic procedures are described in the Examples.
  • One aspect of the invention provides a compound represented by Formula I:
  • A is phenylene, 5-6 membered heteroarylene, or C 3-6 heterocycloalkylene
  • R 1 represents independently for each occurrence halogen, C 1-6 alkyl, C 1-6 haloalkyl, or C 3-6 cycloalkyl;
  • R 2A is one of the following:
  • R 2B is C 1-6 alkyl, C 1-3 haloalkyl, or fluoro;
  • R 3 represents independently for each occurrence hydrogen, C 1-6 haloalkyl, halogen, hydroxyl, C 1-6 alkyl, C 3-6 cycloalkyl, C 1-6 alkoxy, C 1-6 haloalkoxy, —N(R 4 )(R 8 ), —O—(C 1-6 hydroxyalkyl), or —O—(C 1-6 alkylene)-CO 2 R 4 ; or two vicinal occurrences of R 3 are taken together with intervening atoms to form a 4-6 membered ring;
  • R 4 and R 5 each represent independently for each occurrence hydrogen, C 1-6 alkyl, or C 3-6 cycloalkyl; or an occurrence of R 4 and R 5 attached to the same nitrogen atom are taken together with the nitrogen atom to which they are attached to form a 3-8 membered heterocyclic ring;
  • R 6 and R 7 each represent independently for each occurrence hydrogen, fluoro, or C 1-6 alkyl, or R 6 and R 7 are taken together with the carbon atom to which they are attached to form a 3-6 membered carbocyclic ring; or R 6 and a vicinal occurrence of R 2B are taken together to form a bond;
  • R 8 represents independently for each occurrence C 1-6 alkyl, C 3-6 cycloalkyl, —(C 1-6 alkylene)-(C 3-6 cycloalkyl), or aryl, each of which is optionally substituted with 1, 2, or 3 substituents independently selected from the group consisting of halogen, hydroxyl, or —CO 2 R 4 ; or R 8 is —CO 2 R 4 ;
  • R 9 represents independently for each occurrence C 1-6 alkyl, C 3-6 cycloalkyl, —(C 1-6 alkylene)-(C 3-6 cycloalkyl), C 1-6 haloalkyl, or C 1-6 hydroxyalkyl;
  • X is one of the following:
  • Y is —C(R 6 )(R 7 )—, —O—, —C(O)—, or —S(O) p —;
  • n and p each represent independently for each occurrence 0, 1, or 2;
  • n 1, 2, or 3.
  • A is phenylene or 5-6 membered heteroarylene.
  • R 1 represents independently for each occurrence halogen or C 1-6 alkyl. In certain other embodiments, R 1 is fluoro, chloro, methyl, or trifluoromethyl.
  • R 2A is C 1-6 alkyl substituted with 1 or 2 substituents independently selected from the group consisting of —CO 2 R 4 , —C(O)N(R 4 )(R 5 ), —C(O)—N(R 4 )—(C 1-4 alkylene)-CO 2 R 4 , —N(R 4 )C(O)R 8 , —CN, halogen, hydroxyl, C 1-6 alkoxy, C 1-6 haloalkoxy, C 1-6 haloalkyl, —N(R 4 )(R 5 ), —N(R 4 )C(O)N(R 4 )(R 5 ), —N(R 4 )CO 2 R 9 , —N(R 4 )S(O) 2 R 9 , and —N(R 4 )S(O) 2 N(R 4 )(R 5 ).
  • R 2A is C 1-6 alkyl substituted by —C(O)N(R 4 )(R 5 ), where R 4 and R 5 are taken together with the nitrogen atom to which they are attached to form a 3-8 membered heterocyclic ring substituted with 1, 2, or 3 substituents independently selected from the group consisting of C 1-6 haloalkyl, C 1-6 alkyl, and —CO 2 R 10 , where R 10 is hydrogen or C 1-6 alkyl.
  • R 3 represents independently for each occurrence hydrogen, C 1-6 haloalkyl, halogen, hydroxyl, C 1-6 alkyl, C 3-4 cycloalkyl, C 1-6 alkoxy, or C 1-6 haloalkoxy.
  • R 4 and R 5 each represent independently for each occurrence hydrogen, C 1-6 alkyl, or C 3-6 cycloalkyl; or an occurrence of R 4 and R 5 attached to the same nitrogen atom are taken together with the nitrogen atom to which they are attached to form a 3-8 membered heterocyclic ring, wherein the heterocyclic ring is substituted with 1, 2, or 3 substituents independently selected from the group consisting of halogen, C 1-6 haloalkyl, C 1-6 alkyl, C 3-6 cycloalkyl, C 1-6 alkoxy, C 1-6 haloalkoxy, hydroxyl, cyano, oxo, —CO 2 R 10 , —C(O)R 9 , —SO 2 R 9 , —N(R 10 )C(O)R 12 , and —C(O)N(R 10 )(R 11 ); wherein R 10 and R 11 each represent independently for each occurrence hydrogen or C 1-6 alkyl, or R
  • R 4 and R 5 are taken together with the nitrogen atom to which they are attached to form a 3-8 membered heterocyclic ring substituted with 1, 2, or 3 substituents independently selected from the group consisting of C 1-6 haloalkyl, C 1-6 alkyl, and —CO 2 R 10 , where R 10 is hydrogen or C 1-6 alkyl.
  • X is —O-aralkyl, —O-heteroaralkyl, —O-phenyl, —O-heteroaryl, —O-(partially unsaturated bicyclic carbocyclyl), —O—(C 1-6 alkylene)-(C 3-6 cycloalkyl), —O—(C 3-6 cycloalkyl), —N(R 4 )-aralkyl, —N(R 4 )-phenyl, —N(R 4 )-(partially unsaturated bicyclic carbocyclyl), or —N(R 4 )—(C 1-6 alkylene)-(C 3-6 cycloalkyl), each of which is optionally substituted with 1, 2, or 3 substituents independently selected from the group consisting of halogen, C 1-6 haloalkyl, C 1-6 alkyl, C 3-6 cycloalkyl, C 1-6 alkoxy, C 1-6 halo
  • X is —S-aralkyl, —S-heteroaralkyl, —S-phenyl, —S— heteroaryl, —S-(partially unsaturated bicyclic carbocyclyl), —S—(C 1-6 alkylene)-(C 3-6 cycloalkyl), or —S—(C 3-6 cycloalkyl), each of which is optionally substituted with 1, 2, or 3 substituents independently selected from the group consisting of halogen, C 1-6 haloalkyl, C 1-6 alkyl, C 3-6 cycloalkyl, C 1-6 alkoxy, C 1-6 haloalkoxy, —S—(C 1-6 alkyl), hydroxyl, cyano, —C(O)R 9 , and —SO 2 R 9 .
  • X is —(C 2-6 alkenylene)-phenyl, —(C 2-6 alkenylene)-heteroaryl, —(C 2-6 alkenylene)-(partially unsaturated 8-10 membered bicyclic ring containing 0-3 heteroatoms), —(C 1-6 alkylene)-phenyl, —(C 1-6 alkylene)-heteroaryl, —(C 1-6 alkylene)-(partially unsaturated bicyclic heterocyclyl), —(C 1-6 alkylene)-(partially unsaturated bicyclic oxo-heterocyclyl), —(C 1-6 alkylene)-(C 3 -C 6 cycloalkyl), -(5-6 membered heterocycloalkylene)-phenyl, or —(C 3-6 cycloalkylene)-phenyl, each of which is optionally substituted with 1, 2, or 3 substituents independently selected from the
  • X is —(C 2-6 alkenylene)-(C 1-6 alkyl), —(C 2-6 alkenylene)-(C 3-6 cycloalkyl), or
  • X is —(C 1-6 alkylene)-Z 1 or —(C 2-6 alkenylene)-Z 1 , wherein Z 1 is —O-aralkyl, —O-heteroaralkyl, —O-phenyl, —O-heteroaryl, —O-(partially unsaturated bicyclic carbocyclyl), —O—(C 1-6 alkylene)-(C 3-6 cycloalkyl), —O—(C 3-6 cycloalkyl), —N(R 4 )-aralkyl, —N(R 4 )-phenyl, —N(R 4 )-(partially unsaturated bicyclic carbocyclyl), —N(R 4 )—(C 1-6 alkylene)-(C 3-6 cycloalkyl), or —N(R 4 )—(C 3-6 cycloalkyl), each of which is optionally substituted with 1, 2, or 3
  • X is attached at the meta or para position on the phenyl group relative to variable Y. In certain embodiments, X is attached on the phenyl at the position located para to group Y.
  • Y is —C(R 6 )(R 7 )—. In certain other embodiments, Y is —O—. In yet other embodiments, Y is —S(O) p —.
  • variables in Formula I above encompass multiple chemical groups.
  • the application contemplates embodiments where, for example, i) the definition of a variable is a single chemical group selected from those chemical groups set forth above, ii) the definition of a variable is a collection of two or more of the chemical groups selected from those set forth above, and iii) the compound is defined by a combination of variables in which the variables are defined by (i) or (ii), e.g., such as where A is phenylene and R 3 is selected from the group consisting of C 1-6 haloalkyl, halogen, hydroxyl, and C 1-6 alkyl.
  • Another aspect of the invention provides a compound represented by Formula I-1:
  • A is phenylene, 5-6 membered heteroarylene, or C 3-6 heterocycloalkylene
  • R 1 represents independently for each occurrence halogen, C 1-6 alkyl, C 1-6 haloalkyl, or C 3-6 cycloalkyl;
  • R 2A is hydrogen, C 1-6 alkyl, C 3-6 cycloalkyl, —O—(C 1-6 alkylene)-CO 2 R 4 , —O—(C 1-6 alkylene)-C(O)—(C 1-6 alkyl), —N(R 4 )—(C 1-6 alkylene)-CO 2 R 4 , or —N(R 4 )—(C 1-6 alkylene)-C(O)—(C 1-6 alkyl), wherein the C 1-6 alkyl, C 3-6 cycloalkyl, and C 1-6 alkylene are optionally substituted with 1 or 2 substituents independently selected from the group consisting of —CO 2 R 4 , —N(R 4 )C(O)(C 1-6 alkyl), —CN, halogen, hydroxyl, C 1-6 alkoxy, C 1-6 haloalkoxy, C 1-6 haloalkyl, —N(R 4 )(R 5 ), —N
  • R 2B is C 1-6 alkyl or C 1-3 haloalkyl
  • R 3 represents independently for each occurrence hydrogen, C 1-6 haloalkyl, halogen, hydroxyl, C 1-6 alkyl, C 1-6 alkoxy, C 1-6 haloalkoxy, or —O—(C 1-6 alkylene)-OH; or two vicinal occurrences of R 3 are taken together with intervening atoms to form a 4-6 membered ring;
  • R 4 and R 5 each represent independently for each occurrence hydrogen, C 1-6 alkyl, or C 3-6 cycloalkyl; or an occurrence of R 4 and R 5 attached to the same nitrogen atom are taken together with the nitrogen atom to which they are attached to form a 3-7 membered heterocyclic ring;
  • R 6 and R 7 each represent independently for each occurrence hydrogen or C 1-6 alkyl, or R 6 and R 7 are taken together with the carbon atom to which they are attached to form a 3-6 membered carbocyclic ring; or R 6 and R 2A are taken together to form a bond;
  • X is one of the following:
  • Y is —C(R 6 )(R 7 )—, —O, —C(O)—, or —S(O) p —;
  • n and p each represent independently for each occurrence 0, 1, or 2;
  • n 1, 2, or 3.
  • A is phenylene or 5-6 membered heteroarylene.
  • R 1 represents independently for each occurrence halogen or C 1-6 alkyl.
  • X is attached at the meta or para position on the phenyl group relative to variable Y. In certain embodiments, X is attached on the phenyl at the position located para to group Y.
  • Y is —C(R 6 )(R 7 )—. In certain other embodiments, Y is —O—. In yet other embodiments, Y is —S(O) p —.
  • variables in Formula I-1 above encompass multiple chemical groups.
  • the application contemplates embodiments where, for example, i) the definition of a variable is a single chemical group selected from those chemical groups set forth above, ii) the definition of a variable is a collection of two or more of the chemical groups selected from those set forth above, and iii) the compound is defined by a combination of variables in which the variables are defined by (i) or (ii), e.g., such as where A is phenylene and R 3 is selected from the group consisting of C 1-6 haloalkyl, halogen, hydroxyl, and C 1-6 alkyl.
  • Another aspect of the invention provides a compound represented by Formula I-2:
  • A is phenylene, 5-6 membered heteroarylene, or C 3-6 heterocycloalkylene
  • R 1 represents independently for each occurrence halogen, C 1-6 alkyl, C 1-6 haloalkyl, or C 3-6 cycloalkyl;
  • R 2A is hydrogen, C 1-6 alkyl, C 3-6 cycloalkyl, —O—(C 1-6 alkylene)-CO 2 R 4 , —O—(C 1-6 alkylene)-C(O)—(C 1-6 alkyl), —N(R 4 )—(C 1-6 alkylene)-CO 2 R 4 , or —N(R 4 )—(C 1-6 alkylene)-C(O)—(C 1-6 alkyl), wherein the C 1-6 alkyl, C 3-6 cycloalkyl, and C 1-6 alkylene are optionally substituted with 1 or 2 substituents independently selected from the group consisting of —CO 2 R 4 , —N(R 4 )C(O)(C 1-6 alkyl), —CN, halogen, hydroxyl, C 1-6 alkoxy, C 1-6 haloalkoxy, C 1-6 haloalkyl, —N(R 4 )(R 5 ), —N
  • R 2B is C 1-6 alkyl or C 1-3 haloalkyl
  • R 3 represents independently for each occurrence hydrogen, C 1-6 haloalkyl, halogen, hydroxyl, C 1-6 alkyl, C 1-6 alkoxy, C 1-6 haloalkoxy, or —O—(C 1-6 alkylene)-OH; or two vicinal occurrences of R 3 are taken together with intervening atoms to form a 4-6 membered ring;
  • R 4 and R 5 each represent independently for each occurrence hydrogen, C 1-6 alkyl, or C 3-6 cycloalkyl; or an occurrence of R 4 and R 5 attached to the same nitrogen atom are taken together with the nitrogen atom to which they are attached to form a 3-7 membered heterocyclic ring;
  • R 6 and R 7 each represent independently for each occurrence hydrogen or C 1-6 alkyl, or R 6 and R 7 are taken together with the carbon atom to which they are attached to form a 3-6 membered carbocyclic ring; or R 6 and a vicinal occurrence of R 2B are taken together to form a bond;
  • X is one of the following:
  • Y is —C(R 6 )(R 7 )—, —O, —C(O)—, or —S(O) p —;
  • n and p each represent independently for each occurrence 0, 1, or 2;
  • n 1, 2, or 3.
  • A is phenylene or 5-6 membered heteroarylene.
  • R 1 represents independently for each occurrence halogen or C 1-6 alkyl.
  • Y is —C(R 6 )(R 7 )—. In certain other embodiments, Y is —O—. In yet other embodiments, Y is —S(O) p —.
  • variables in Formula I-2 above encompass multiple chemical groups.
  • the application contemplates embodiments where, for example, i) the definition of a variable is a single chemical group selected from those chemical groups set forth above, ii) the definition of a variable is a collection of two or more of the chemical groups selected from those set forth above, and iii) the compound is defined by a combination of variables in which the variables are defined by (i) or (ii), e.g., such as where A is phenylene and R 3 is selected from the group consisting of C 1-6 haloalkyl, halogen, hydroxyl, and C 1-6 alkyl.
  • Another aspect of the invention provides a compound represented by Formula I-A:
  • A is phenylene or a 5-6 membered heteroarylene
  • R 1 represents independently for each occurrence halogen, C 1-6 alkyl, or C 3-6 cycloalkyl
  • R 2A is hydrogen, C 1-6 alkyl or C 3-6 cycloalkyl, wherein the C 1-6 alkyl or C 3-6 cycloalkyl are optionally substituted with 1 or 2 substituents independently selected from the group consisting of —CO 2 R 4 , —N(R 4 )C(O)(C 1-6 alkyl), —CN, halogen, hydroxyl, C 1-6 alkoxy, C 1-6 haloalkoxy, C 1-6 haloalkyl, and —N(R 4 )(R 5 ); or R 2A is —CO 2 R 4 or —N(R 4 )C(O)(C 1-6 alkyl);
  • R 2B is C 1-6 alkyl or C 1-3 haloalkyl
  • R 3 represents independently for each occurrence hydrogen, C 1-6 haloalkyl, halogen, hydroxyl, C 1-6 alkyl, C 1-6 alkoxy, C 1-6 haloalkoxy, or —O—(C 1-6 alkylene)-OH; or two vicinal occurrences of R 3 are taken together with intervening atoms to form a 4-6 membered ring;
  • R 4 and R 5 each represent independently for each occurrence hydrogen, C 1-6 alkyl, or C 3-6 cycloalkyl; or an occurrence of R 4 and R 5 attached to the same nitrogen atom are taken together with the nitrogen atom to which they are attached to form a 3-7 membered heterocyclic ring;
  • R 6 and R 7 each represent independently for each occurrence hydrogen or C 1-6 alkyl, or R 6 and R 7 are taken together with the carbon atom to which they are attached to form a 3-6 membered carbocyclic ring; or R 6 and R 2A are taken together to form a bond;
  • X is one of the following:
  • Y is —C(R 6 )(R 7 )—, —O—, or —C(O)—;
  • n and p are independently 0, 1, or 2;
  • n 1, 2, or 3.
  • A is phenylene. In certain other embodiments, A is a 5-6 membered heteroarylene. In yet other embodiments, -A-(R 3 ) n is one of the following:
  • -A-(R 3 ) n is
  • R 1 represents independently for each occurrence halogen, methyl, or cyclopropyl.
  • R 2A is C 1-6 alkyl optionally substituted with 1 or 2 substituents independently selected from the group consisting of —CO 2 R 4 , —N(R 4 )C(O)(C 1-6 alkyl), —CN, halogen, hydroxyl, C 1-6 alkoxy, C 1-6 haloalkoxy, and —N(R 4 )(R 5 ).
  • R 2A is C 1-6 alkyl substituted with 1 or 2 substituents independently selected from the group consisting of —CO 2 R 4 , —N(R 4 )C(O)(C 1-6 alkyl), —CN, hydroxyl, and C 1-6 alkoxy.
  • R 2A is —CO 2 R 4 .
  • R 2B is C 1-6 alkyl. In certain embodiments, R 2B is methyl.
  • n is 1. In certain other embodiments, n is 1 or 2.
  • R 3 represents independently for each occurrence C 1-6 haloalkyl, halogen, C 1-6 alkyl, C 1-6 alkoxy, or —O—(C 1-6 alkylene)-OH. In certain other embodiments, R 3 is trifluoromethyl, fluoro, chloro, or methoxy. In certain other embodiments, R 3 is trifluoromethyl.
  • R 4 and R 5 each represent independently for each occurrence hydrogen or C 1-6 alkyl.
  • X is —O-aralkyl, —O-heteroaralkyl, —O-phenyl, —O-heteroaryl, —O-(partially unsaturated bicyclic carbocyclyl), —O—(C 1-6 alkylene)-(C 3-6 cycloalkyl), —N(R 4 )-aralkyl, —N(R 4 )-phenyl, —N(R 4 )-(partially unsaturated bicyclic carbocyclyl), or —N(R 4 )—(C 1-6 alkylene)-(C 3-6 cycloalkyl), each of which is optionally substituted with 1, 2, or 3 substituents independently selected from the group consisting of halogen, C 1-6 haloalkyl, C 1-6 alkyl, C 3-6 cycloalkyl, C 1-6 alkoxy, and C 1-6 haloalkoxy.
  • X is —O-aralkyl, —O-phenyl, —O-(partially unsaturated bicyclic carbocyclyl), —O—(C 1-6 alkylene)-(C 3-6 cycloalkyl), —N(R 4 )-aralkyl, —N(R 4 )-phenyl, —N(R 4 )-(partially unsaturated bicyclic carbocyclyl), or —N(R 4 )—(C 1-6 alkylene)-(C 3-6 cycloalkyl), each of which is optionally substituted with 1, 2, or 3 substituents independently selected from the group consisting of halogen, C 1-6 haloalkyl, C 1-6 alkyl, C 3-6 cycloalkyl, C 1-6 alkoxy, and C 1-6 haloalkoxy.
  • X is —O-aralkyl or —N(R 4 )-aralkyl, each of which is optionally substituted with 1, 2, or 3 substituents independently selected from the group consisting of halogen, C 1-6 haloalkyl, C 1-6 alkyl, C 3-6 cycloalkyl, C 1-6 alkoxy, and C 1-6 haloalkoxy.
  • X is —O—(C 1-6 alkylene)-phenyl or —N(R 4 )—(C 1-6 alkylene)-phenyl, each of which is substituted with 1, 2, or 3 substituents independently selected from the group consisting of halogen, C 1-6 haloalkyl, C 1-6 alkyl, C 3-6 cycloalkyl, C 1-6 alkoxy, and C 1-6 haloalkoxy, where at least one substituent is present at the ortho position on the phenyl group in variable X.
  • X is —O-benzyl or —N(R 4 )-benzyl, each of which is substituted with 1 or 2 substituents independently selected from the group consisting of chloro, bromo, and fluoro.
  • X is —(C 2-6 alkenylene)-phenyl, —(C 2-6 alkenylene)-heteroaryl, —(C 1-6 alkylene)-phenyl, —(C 1-6 alkylene)-heteroaryl, —(C 1-6 alkylene)-(partially unsaturated bicyclic heterocyclyl), —(C 1-6 alkylene)-(partially unsaturated bicyclic oxo-heterocyclyl), or -(5-6 membered heterocycloalkylene)-phenyl, each of which is optionally substituted with 1, 2, or 3 substituents independently selected from the group consisting of halogen, C 1-6 haloalkyl, C 1-6 alkyl, C 3-6 cycloalkyl, C 1-6 alkoxy, and C 1-6 haloalkoxy.
  • X is —(C 2-6 alkenylene)-phenyl, —(C 1-6 alkylene)-phenyl, —(C 1-6 alkylene)-heteroaryl, —(C 1-6 alkylene)-(partially unsaturated bicyclic heterocyclyl), —(C 1-6 alkylene)-(partially unsaturated bicyclic oxo-heterocyclyl), or -(5-6 membered heterocycloalkylene)-phenyl, each of which is optionally substituted with 1, 2, or 3 substituents independently selected from the group consisting of halogen, C 1-6 haloalkyl, C 1-6 alkyl, C 3-6 cycloalkyl, C 1-6 alkoxy, and C 1-6 haloalkoxy.
  • X is —(C 2-6 alkenylene)-phenyl, —(C 1-6 alkylene)-phenyl, or —(C 1-6 alkylene)-heteroaryl), each of which is optionally substituted with 1, 2, or 3 substituents independently selected from the group consisting of halogen, C 1-6 haloalkyl, C 1-6 alkyl, C 3-6 cycloalkyl, C 1-6 alkoxy, and C 1-6 haloalkoxy.
  • X is —(C 1-6 alkylene)-Z 1 or —(C 2-6 alkenylene)-Z 1 , wherein Z 1 is —O-aralkyl, —O-heteroaralkyl, —O-phenyl, —O-heteroaryl, —O-(partially unsaturated bicyclic carbocyclyl), —O—(C 1-6 alkylene)-(C 3-6 cycloalkyl), —O—(C 3-6 cycloalkyl), —N(R 4 )-aralkyl, —N(R 4 )-phenyl, —N(R 4 )-(partially unsaturated bicyclic carbocyclyl), or —N(R 4 )—(C 1-6 alkylene)-(C 3-6 cycloalkyl), each of which is optionally substituted with 1, 2, or 3 substituents independently selected from the group consisting of halogen, C 1-6 hal
  • X is —(C 1-6 alkylene)-Z 1 , wherein Z 1 is —O-aralkyl, —O-phenyl, —O-(partially unsaturated bicyclic carbocyclyl), —O—(C 1-6 alkylene)-(C 3-6 cycloalkyl), —O—(C 3-6 cycloalkyl), —N(R 4 )-aralkyl, —N(R 4 )-phenyl, —N(R 4 )-(partially unsaturated bicyclic carbocyclyl), or —N(R 4 )—(C 1-6 alkylene)-(C 3-6 cycloalkyl), each of which is optionally substituted with 1, 2, or 3 substituents independently selected from the group consisting of halogen, C 1-6 haloalkyl, C 1-6 alkyl, C 3-6 cycloalkyl, C 1-6 alkoxy, and C 1-6 hal
  • Y is —C(R 6 )(R 7 )—.
  • R 6 and R 7 are independently hydrogen or methyl.
  • Y is —C(R 6 )(R 7 )—, R 6 and R 7 are independently hydrogen or methyl, and X is attached at the 7-position of the 1,2,3,4-tetrahydroquinolinyl ring.
  • Y is —O—.
  • X is attached at the meta or para position on the phenyl group relative to variable Y. In certain embodiments, X is attached on the phenyl at the position located para to group Y. In certain embodiments, X is attached at the 6-position of the 3,4-dihydro-2H-benzo[b][1,4]oxazinyl ring.
  • n is 0 or 1. In certain other embodiments, m is 1.
  • p is 0. In certain other embodiments, p is 1.
  • variables in Formula I-A above encompass multiple chemical groups.
  • the application contemplates embodiments where, for example, i) the definition of a variable is a single chemical group selected from those chemical groups set forth above, ii) the definition of a variable is a collection of two or more of the chemical groups selected from those set forth above, and iii) the compound is defined by a combination of variables in which the variables are defined by (i) or (ii), e.g., such as where A is phenylene and R 3 is selected from the group consisting of C 1-6 haloalkyl, halogen, hydroxyl, and C 1-6 alkyl.
  • Another aspect of the invention provides a compound represented by Formula I-B:
  • A is phenylene
  • R 1 represents independently for each occurrence halogen, methyl, ethyl, or cyclopropyl
  • R 2A is C 1-6 alkyl substituted with 1 or 2 substituents independently selected from the group consisting of —CO 2 R 4 , —N(R 4 )C(O)(C 1-6 alkyl), —CN, halogen, hydroxyl, C 1-6 alkoxy, C 1-6 haloalkoxy, C 1-6 haloalkyl, and —N(R 4 )(R 5 );
  • R 2B is methyl or ethyl
  • R 3 represents independently for each occurrence C 1-3 haloalkyl, halogen, and C 1-3 alkyl;
  • R 4 and R 5 each represent independently for each occurrence hydrogen or methyl
  • R 6 and R 7 each represent independently for each occurrence hydrogen, methyl, or ethyl
  • X is attached at the meta or para position on the phenyl group relative to variable Y, and X is one of the following:
  • Y is —C(R 6 )(R 7 )— or —O—;
  • n and p are independently 0 or 1;
  • n 1 or 2.
  • X is —O—(C 1-6 alkylene)-phenyl optionally substituted with 1 or 2 substituents independently selected from the group consisting of halogen, C 1-6 haloalkyl, and C 1-6 alkyl.
  • Y is —C(R 6 )(R 7 )—. In certain embodiments, Y is O.
  • X is —O—(C 1-6 alkylene)-phenyl optionally substituted with 1 or 2 substituents independently selected from the group consisting of halogen, C 1-6 haloalkyl, and C 1-6 alkyl; Y is O; and X is attached at the para position on the phenyl group relative to variable Y.
  • variables in Formula I-B above encompass multiple chemical groups.
  • the application contemplates embodiments where, for example, i) the definition of a variable is a single chemical group selected from those chemical groups set forth above, ii) the definition of a variable is a collection of two or more of the chemical groups selected from those set forth above, and iii) the compound is defined by a combination of variables in which the variables are defined by (i) or (ii).
  • Another aspect of the invention provides a compound represented by Formula I-C:
  • A is phenylene or pyridinylene
  • R 1 represents independently for each occurrence halogen, methyl, ethyl, or cyclopropyl
  • R 2A is C 1-6 alkyl substituted with 1 or 2 substituents independently selected from the group consisting of —CO 2 R 4 , —C(O)N(R 4 )(R 5 ), —N(R 4 )C(O)R 8 , halogen, hydroxyl, C 1-6 alkoxy, C 1-6 haloalkoxy, and —N(R 4 )(R 5 );
  • R 2B is methyl or ethyl
  • R 3 represents independently for each occurrence C 1-3 haloalkyl, halogen, C 1-3 alkyl, or —O—(C 1-6 hydroxyalkyl);
  • R 4 and R 5 each represent independently for each occurrence hydrogen or methyl; or an occurrence of R 4 and R 5 attached to the same nitrogen atom are taken together with the nitrogen atom to which they are attached to form a 3-7 membered heterocyclic ring;
  • R 8 represents independently for each occurrence C 1-6 alkyl, C 3-6 cycloalkyl, or —(C 1-6 alkylene)-(C 3-6 cycloalkyl), each of which is optionally substituted with 1, 2, or 3 substituents independently selected from the group consisting of halogen, hydroxyl, and —CO 2 R 4 ;
  • X is —(C 2-6 alkenylene)-phenyl substituted with 1, 2, or 3 substituents independently selected from the group consisting of halogen, C 1-6 haloalkyl, C 1-6 alkyl, C 3-6 cycloalkyl, C 1-6 alkoxy, and C 1-6 haloalkoxy;
  • n and p are independently 0 or 1;
  • n 1 or 2.
  • A is phenylene. In certain other embodiments, A is pyridinylene.
  • R 1 is fluoro or methyl.
  • R 2A is C 1-6 alkyl substituted with —CO 2 R 4 . In certain other embodiments, R 2A is C 1-6 alkyl substituted with —C(O)N(R 4 )(R 5 ). In certain other embodiments, R 2A is C 1-6 alkyl substituted by —C(O)N(R 4 )(R 5 ), where R 4 and R 5 are taken together with the nitrogen atom to which they are attached to form a 3-8 membered heterocyclic ring substituted with 1, 2, or 3 substituents independently selected from the group consisting of C 1-6 haloalkyl, C 1-6 alkyl, and —CO 2 R 10 , where R 10 is hydrogen or C 1-6 alkyl.
  • R 3 represents independently for each occurrence trifluoromethyl, halogen, or —O—(C 1-6 hydroxyalkyl).
  • R 4 and R 5 are taken together with the nitrogen atom to which they are attached to form a 3-7 membered heterocyclic ring.
  • R 4 and R 5 each represent independently for each occurrence hydrogen, C 1-6 alkyl, or C 3-6 cycloalkyl; or an occurrence of R 4 and R 5 attached to the same nitrogen atom are taken together with the nitrogen atom to which they are attached to form a 3-8 membered heterocyclic ring, wherein the heterocyclic ring is substituted with 1, 2, or 3 substituents independently selected from the group consisting of halogen, C 1-6 haloalkyl, C 1-6 alkyl, C 3-6 cycloalkyl, C 1-6 alkoxy, C 1-6 haloalkoxy, hydroxyl, cyano, oxo, —CO 2 R 10 , —C(O)R 9 , —SO 2 R 9 , —N(R 10 )C(O)R 12 , and —C
  • R 4 and R 5 are taken together with the nitrogen atom to which they are attached to form a 3-8 membered heterocyclic ring substituted with 1, 2, or 3 substituents independently selected from the group consisting of C 1-6 haloalkyl, C 1-6 alkyl, and —CO 2 R 10 , where R 10 is hydrogen or C 1-6 alkyl.
  • R 8 is C 1-6 alkyl.
  • X is —(C 2-4 alkenylene)-phenyl substituted with 1, 2, or 3 substituents independently selected from the group consisting of halogen and C 1-6 haloalkyl. In certain embodiments, X is —(C 2-4 alkenylene)-phenyl substituted with 1, 2, or 3 substituents independently selected from the group consisting of chloro, fluoro, and trifluoromethyl. In certain embodiments, X is —(C 2-4 alkenylene)-phenyl substituted with 1 or 2 substituents independently selected from the group consisting of chloro, fluoro, and trifluoromethyl, and said substituents are located at the ortho positions of the phenyl group.
  • n is 1.
  • the compound is further selected from a solvate of Formula I-C or a pharmaceutically acceptable salt thereof.
  • variables in Formula I-C above encompass multiple chemical groups.
  • the application contemplates embodiments where, for example, i) the definition of a variable is a single chemical group selected from those chemical groups set forth above, ii) the definition of a variable is a collection of two or more of the chemical groups selected from those set forth above, and iii) the compound is defined by a combination of variables in which the variables are defined by (i) or (ii).
  • Another aspect of the invention provides a compound represented by Formula I-D:
  • A is phenylene or 5-6 membered heteroarylene
  • R 1 represents independently for each occurrence halogen, C 1-6 alkyl, C 1-6 haloalkyl, or C 3-6 cycloalkyl;
  • R 2A is C 1-6 alkyl, C 3-6 cycloalkyl, or —(C 1-6 alkylene)-(C 3-6 cycloalkyl), wherein the C 1-6 alkyl, C 3-6 cycloalkyl, and C 1-6 alkylene are optionally substituted with 1 or 2 substituents independently selected from the group consisting of —CO 2 R 4 , —C(O)N(R 4 )(R 5 ), —C(O)—N(R 4 )—(C 1-4 alkylene)-CO 2 R 4 , —N(R 4 )C(O)R 8 , —CN, halogen, hydroxyl, C 1-6 alkoxy, C 1-6 haloalkoxy, C 1-6 haloalkyl, —N(R 4 )(R 5 ), —N(R 4 )CO 2 R 9 , and —N(R 4 )S(O) 2 R 9 ; or
  • R 2B is C 1-6 alkyl, C 1-3 haloalkyl, or fluoro;
  • R 3 represents independently for each occurrence hydrogen, C 1-6 haloalkyl, halogen, hydroxyl, C 1-6 alkyl, C 3-6 cycloalkyl, C 1-6 alkoxy, C 1-6 haloalkoxy, —N(R 4 )(R 8 ), —O—(C 1-6 hydroxyalkyl), or —O—(C 1-6 alkylene)-CO 2 R 4 ;
  • R 4 and R 5 each represent independently for each occurrence hydrogen, C 1-6 alkyl, or C 3-6 cycloalkyl; or an occurrence of R 4 and R 5 attached to the same nitrogen atom are taken together with the nitrogen atom to which they are attached to form a 3-8 membered heterocyclic ring;
  • R 6 and R 7 each represent independently for each occurrence hydrogen, fluoro, or C 1-6 alkyl, or R 6 and R 7 are taken together with the carbon atom to which they are attached to form a 3-6 membered carbocyclic ring; or R 6 and a vicinal occurrence of R 2B are taken together to form a bond;
  • R 8 represents independently for each occurrence C 1-6 alkyl, C 3-6 cycloalkyl, —(C 1-6 alkylene)-(C 3-6 cycloalkyl), or aryl, each of which is optionally substituted with 1, 2, or 3 substituents independently selected from the group consisting of halogen, hydroxyl, or —CO 2 R 4 ; or R 8 is —CO 2 R 4 ;
  • R 9 represents independently for each occurrence C 1-6 alkyl, C 3-6 cycloalkyl, —(C 1-6 alkylene)-(C 3-6 cycloalkyl), C 1-6 haloalkyl, or C 1-6 hydroxyalkyl;
  • X is attached at the meta or para position on the phenyl group relative to variable Y, and X is —(C 2-6 alkenylene)-phenyl, —(C 2-6 alkenylene)-heteroaryl, —(C 2-6 alkenylene)-(partially unsaturated 8-10 membered bicyclic ring containing 0-3 heteroatoms), —(C 1-6 alkylene)-phenyl, —(C 1-6 alkylene)-heteroaryl, —(C 1-6 alkylene)-(partially unsaturated bicyclic heterocyclyl), —(C 1-6 alkylene)-(partially unsaturated bicyclic oxo-heterocyclyl), —(C 1-6 alkylene)-(C 3 -C 6 cycloalkyl), -(5-6 membered heterocycloalkylene)-phenyl, or —(C 3-6 cycloalkylene)-phenyl,
  • Y is —C(R 6 )(R 7 )— or —O—
  • n and p each represent independently for each occurrence 0, 1, or 2;
  • n 1, 2, or 3.
  • A is phenylene. In certain other embodiments, A is pyridinylene.
  • R 1 is fluoro or methyl.
  • R 2A is C 1-6 alkyl substituted with —CO 2 R 4 . In certain other embodiments, R 2A is C 1-6 alkyl substituted with —C(O)N(R 4 )(R 5 ). In certain other embodiments, R 2A is C 1-6 alkyl substituted by —C(O)N(R 4 )(R 5 ), where R 4 and R 5 are taken together with the nitrogen atom to which they are attached to form a 3-8 membered heterocyclic ring substituted with 1, 2, or 3 substituents independently selected from the group consisting of C 1-6 haloalkyl, C 1-6 alkyl, and —CO 2 R 10 , where R 10 is hydrogen or C 1-6 alkyl.
  • R 3 represents independently for each occurrence trifluoromethyl, halogen, or —O—(C 1-6 hydroxyalkyl).
  • R 4 and R 5 are taken together with the nitrogen atom to which they are attached to form a 3-7 membered heterocyclic ring.
  • R 4 and R 5 each represent independently for each occurrence hydrogen, C 1-6 alkyl, or C 3-6 cycloalkyl; or an occurrence of R 4 and R 5 attached to the same nitrogen atom are taken together with the nitrogen atom to which they are attached to form a 3-8 membered heterocyclic ring, wherein the heterocyclic ring is substituted with 1, 2, or 3 substituents independently selected from the group consisting of halogen, C 1-6 haloalkyl, C 1-6 alkyl, C 3-6 cycloalkyl, C 1-6 alkoxy, C 1-6 haloalkoxy, hydroxyl, cyano, oxo, —CO 2 R 10 , —C(O)R 9 , —SO 2 R 9 , —N(R 10 )C(O)R 12 , and —C
  • R 4 and R 5 are taken together with the nitrogen atom to which they are attached to form a 3-8 membered heterocyclic ring substituted with 1, 2, or 3 substituents independently selected from the group consisting of C 1-6 haloalkyl, C 1-6 alkyl, and —CO 2 R 10 , where R 10 is hydrogen or C 1-6 alkyl.
  • R 8 is C 1-6 alkyl.
  • X is attached at the para position on the phenyl group relative to variable Y.
  • X is —(C 2-4 alkenylene)-phenyl substituted with 1, 2, or 3 substituents independently selected from the group consisting of halogen and C 1-6 haloalkyl. In certain embodiments, X is —(C 2-4 alkenylene)-phenyl substituted with 1, 2, or 3 substituents independently selected from the group consisting of chloro, fluoro, and trifluoromethyl. In certain embodiments, X is —(C 2-4 alkenylene)-phenyl substituted with 1 or 2 substituents independently selected from the group consisting of chloro, fluoro, and trifluoromethyl, and said substituents are located at the ortho positions of the phenyl group.
  • n is 1.
  • the compound is further selected from a solvate of Formula I-D or a pharmaceutically acceptable salt thereof.
  • variables in Formula I-D above encompass multiple chemical groups.
  • the application contemplates embodiments where, for example, i) the definition of a variable is a single chemical group selected from those chemical groups set forth above, ii) the definition of a variable is a collection of two or more of the chemical groups selected from those set forth above, and iii) the compound is defined by a combination of variables in which the variables are defined by (i) or (ii).
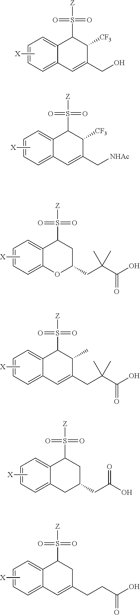
  • Another aspect of the invention provides a compound represented by Formulae III or IV:
  • A is phenylene, 5-6 membered heteroarylene, or C 3-6 heterocycloalkylene
  • R 1 represents independently for each occurrence halogen, C 1-6 alkyl, C 1-6 haloalkyl, or C 3-6 cycloalkyl;
  • R 2A is —(C 1-2 alkylene)-(2-8 membered heteroalkylene)-CO 2 R 4 , —(C 1-6 alkylene)-C(O)N(R 4 )(C 1-6 hydroxyalkylene)-CO 2 R 4 , or —(C 1-6 alkylene)-N(R 4 )C(O)N(R 4 )—(C 1-6 alkylene)-CO 2 R 4 ; wherein the C 1-6 alkylene is optionally substituted with 1 or 2 substituents independently selected from the group consisting of —CO 2 R 4 , —C(O)N(R 4 )(R 5 ), —CN, halogen, hydroxyl, C 1-6 alkoxy, C 1-6 haloalkoxy, C 1-6 haloalkyl, and —N(R 4 )(R 5 );
  • R 2B is C 1-6 alkyl, C 1-3 haloalkyl, or fluoro;
  • R 3 represents independently for each occurrence hydrogen, C 1-6 haloalkyl, halogen, hydroxyl, C 1-6 alkyl, C 3-6 cycloalkyl, C 1-6 alkoxy, C 1-6 haloalkoxy, —N(R 4 )(R 8 ), —O—(C 1-6 hydroxyalkyl), or —O—(C 1-6 alkylene)-CO 2 R 4 ; or two vicinal occurrences of R 3 are taken together with intervening atoms to form a 4-6 membered ring;
  • R 4 and R 5 each represent independently for each occurrence hydrogen, C 1-6 alkyl, or C 3-6 cycloalkyl; or an occurrence of R 4 and R 5 attached to the same nitrogen atom are taken together with the nitrogen atom to which they are attached to form a 3-8 membered heterocyclic ring;
  • R 6 and R 7 each represent independently for each occurrence hydrogen, fluoro, or C 1-6 alkyl, or R 6 and R 7 are taken together with the carbon atom to which they are attached to form a 3-6 membered carbocyclic ring; or R 6 and a vicinal occurrence of R 2B are taken together to form a bond;
  • R 8 represents independently for each occurrence C 1-6 alkyl, C 3-6 cycloalkyl, —(C 1-6 alkylene)-(C 3-6 cycloalkyl), or aryl, each of which is optionally substituted with 1, 2, or 3 substituents independently selected from the group consisting of halogen, hydroxyl, or —CO 2 R 4 ; or R 8 is —CO 2 R 4 ;
  • R 9 represents independently for each occurrence C 1-6 alkyl, C 3-6 cycloalkyl, —(C 1-6 alkylene)-(C 3-6 cycloalkyl), C 1-6 haloalkyl, or C 1-6 hydroxyalkyl;
  • X is one of the following:
  • Y is —C(R 6 )(R 7 )—, —O—, —C(O)—, or —S(O) p —;
  • n and p each represent independently for each occurrence 0, 1, or 2;
  • n 1, 2, or 3;
  • Formula IV is represented by:
  • A is phenylene, 5-6 membered heteroarylene, or C 3-6 heterocycloalkylene
  • R 1 represents independently for each occurrence halogen, C 1-6 alkyl, C 1-6 haloalkyl, or C 3-6 cycloalkyl;
  • R 2A is one of the following:
  • R 2B is C 1-6 alkyl, C 1-3 haloalkyl, or fluoro;
  • R 3 represents independently for each occurrence hydrogen, C 1-6 haloalkyl, halogen, hydroxyl, C 1-6 alkyl, C 3-6 cycloalkyl, C 1-6 alkoxy, C 1-6 haloalkoxy, —N(R 4 )(R 8 ), —O—(C 1-6 hydroxyalkyl), or —O—(C 1-6 alkylene)-CO 2 R 4 ; or two vicinal occurrences of R 3 are taken together with intervening atoms to form a 4-6 membered ring;
  • R 4 and R 5 each represent independently for each occurrence hydrogen, C 1-6 alkyl, or C 3-6 cycloalkyl; or an occurrence of R 4 and R 5 attached to the same nitrogen atom are taken together with the nitrogen atom to which they are attached to form a 3-8 membered heterocyclic ring;
  • R 6 and R 7 each represent independently for each occurrence hydrogen, fluoro, or C 1-6 alkyl, or R 6 and R 7 are taken together with the carbon atom to which they are attached to form a 3-6 membered carbocyclic ring; or R 6 and a vicinal occurrence of R 2B are taken together to form a bond;
  • R 8 represents independently for each occurrence C 1-6 alkyl, C 3-6 cycloalkyl, —(C 1-6 alkylene)-(C 3-6 cycloalkyl), or aryl, each of which is optionally substituted with 1, 2, or 3 substituents independently selected from the group consisting of halogen, hydroxyl, or —CO 2 R 4 ; or R 8 is —CO 2 R 4 ;
  • R 9 represents independently for each occurrence C 1-6 alkyl, C 3-6 cycloalkyl, —(C 1-6 alkylene)-(C 3-6 cycloalkyl), C 1-6 haloalkyl, or C 1-6 hydroxyalkyl;
  • X is C 4-7 cycloalkenyl, C 3-7 cycloalkyl, or an 8-10 membered, bicyclic partially saturated carbocyclyl, each of which is optionally substituted with 1, 2, or 3 substituents independently selected from the group consisting of halogen, C 1-6 haloalkyl, C 1-6 alkyl, C 3-6 cycloalkyl, C 1-6 alkoxy, C 1-6 haloalkoxy, —S—(C 1-6 alkyl), hydroxyl, cyano, —C(O)R 9 , and —SO 2 R 9 ;
  • Y is —C(R 6 )(R 7 )—, —O—, —C(O)—, or —S(O) p —;
  • n and p each represent independently for each occurrence 0, 1, or 2;
  • n 1, 2, or 3.
  • the compound is a compound of Formula III or a pharmaceutically acceptable salt thereof. In certain embodiments, the compound is a compound of Formula IV or a pharmaceutically acceptable salt thereof.
  • A is phenylene or 5-6 membered heteroarylene.
  • R 1 represents independently for each occurrence halogen or C 1-6 alkyl.
  • R 3 represents independently for each occurrence hydrogen, C 1-6 haloalkyl, halogen, hydroxyl, C 1-6 alkyl, C 3-4 cycloalkyl, C 1-6 alkoxy, or C 1-6 haloalkoxy.
  • R 4 and R 5 each represent independently for each occurrence hydrogen, C 1-6 alkyl, or C 3-6 cycloalkyl; or an occurrence of R 4 and R 5 attached to the same nitrogen atom are taken together with the nitrogen atom to which they are attached to form a 3-8 membered heterocyclic ring, wherein the heterocyclic ring is substituted with 1, 2, or 3 substituents independently selected from the group consisting of halogen, C 1-6 haloalkyl, C 1-6 alkyl, C 3-6 cycloalkyl, C 1-6 alkoxy, C 1-6 haloalkoxy, hydroxyl, cyano, oxo, —CO 2 R 10 , —C(O)R 9 , —SO 2 R 9 , —N(R 10 )C(O)R 12 , and —C(O)N(R 10 )(R 11 ); wherein R 10 and R 11 each represent independently for each occurrence hydrogen or C 1-6 alkyl, or R
  • R 4 and R 5 are taken together with the nitrogen atom to which they are attached to form a 3-8 membered heterocyclic ring substituted with 1, 2, or 3 substituents independently selected from the group consisting of C 1-6 haloalkyl, C 1-6 alkyl, and —CO 2 R 10 , where R 10 is hydrogen or C 1-6 alkyl.
  • Y is —C(R 6 )(R 7 )—. In certain other embodiments, Y is —O—. In yet other embodiments, Y is —S(O) p —.
  • X is —O-aralkyl, —O-heteroaralkyl, —O-phenyl, —O-heteroaryl, —O-(partially unsaturated bicyclic carbocyclyl), —O—(C 1-6 alkylene)-(C 3-6 cycloalkyl), —O—(C 3-6 cycloalkyl), —N(R 4 )-aralkyl, —N(R 4 )-phenyl, —N(R 4 )-(partially unsaturated bicyclic carbocyclyl), or —N(R 4 )—(C 1-6 alkylene)-(C 3-6 cycloalkyl), each of which is optionally substituted with 1, 2, or 3 substituents independently selected from the group consisting of halogen, C 1-6 haloalkyl, C 1-6 alkyl, C 3-6 cycloalkyl, C 1-6 alkoxy,
  • X is —S-aralkyl, —S-heteroaralkyl, —S-phenyl, —S-heteroaryl, —S-(partially unsaturated bicyclic carbocyclyl), —S—(C 1-6 alkylene)-(C 3-6 cycloalkyl), or —S—(C 3-6 cycloalkyl), each of which is optionally substituted with 1, 2, or 3 substituents independently selected from the group consisting of halogen, C 1-6 haloalkyl, C 1-6 alkyl, C 3-6 cycloalkyl, C 1-6 alkoxy, C 1-6 haloalkoxy, —S—(C 1-6 alkyl), hydroxyl, cyano, —C(O)R 9 , and —SO 2 R 9 .
  • X is —(C 2-6 alkenylene)-phenyl, —(C 2-6 alkenylene)-heteroaryl, —(C 2-6 alkenylene)-(partially unsaturated 8-10 membered bicyclic ring containing 0-3 heteroatoms), —(C 1-6 alkylene)-phenyl, —(C 1-6 alkylene)-heteroaryl, —(C 1-6 alkylene)-(partially unsaturated bicyclic heterocyclyl), —(C 1-6 alkylene)-(partially unsaturated bicyclic oxo-heterocyclyl), —(C 1-6 alkylene)-(C 3 -C 6 cycloalkyl), -(5-6 membered heterocycloalkylene)-phenyl, or —(C 3-6 cycloalkylene)-phenyl, each of which is optionally substituted with 1, 2, or 3 substituents independently selected from the
  • X is —(C 1-6 alkylene)-Z 1 or —(C 2-6 alkenylene)-Z 1 , wherein Z 1 is —O-aralkyl, —O-heteroaralkyl, —O-phenyl, —O-heteroaryl, —O-(partially unsaturated bicyclic carbocyclyl), —O—(C 1-6 alkylene)-(C 3-6 cycloalkyl), —O—(C 3-6 cycloalkyl), —N(R 4 )-aralkyl, —N(R 4 )-phenyl, —N(R 4 )-(partially unsaturated bicyclic carbocyclyl), —N(R 4 )—(C 1-6 alkylene)-(C 3-6 cycloalkyl), or —N(R 4 )—(C 3-6 cycloalkyl), each of which is optionally substituted with 1, 2, or 3
  • R 2A is C 1-6 alkyl substituted with 1 or 2 substituents independently selected from the group consisting of —CO 2 R 4 , —C(O)N(R 4 )(R 5 ), —C(O)—N(R 4 )—(C 1-4 alkylene)-CO 2 R 4 , —N(R 4 )C(O)R 8 , —CN, halogen, hydroxyl, C 1-6 alkoxy, C 1-6 haloalkoxy, C 1-6 haloalkyl, —N(R 4 )(R 5 ), —N(R 4 )C(O)N(R 4 )(R 5 ), —N(R 4 )CO 2 R 9 , —N(R 4 )S(O) 2 R 9 , and —N(R 4 )S(O) 2 N(R 4 )(R 5 ).
  • R 2A is C 1-6 alkyl substituted by —C(O)N(R 4 )(R 5 ), where R 4 and R 5 are taken together with the nitrogen atom to which they are attached to form a 3-8 membered heterocyclic ring substituted with 1, 2, or 3 substituents independently selected from the group consisting of C 1-6 haloalkyl, C 1-6 alkyl, and —CO 2 R 10 , where R 10 is hydrogen or C 1-6 alkyl.
  • variables in Formula III and IV above encompass multiple chemical groups.
  • the application contemplates embodiments where, for example, i) the definition of a variable is a single chemical group selected from those chemical groups set forth above, ii) the definition of a variable is a collection of two or more of the chemical groups selected from those set forth above, and iii) the compound is defined by a combination of variables in which the variables are defined by (i) or (ii).
  • the compound is a compound defined by one of the following formulae where variables X and Z are as defined in Table 1, or a pharmaceutically acceptable salt thereof.
  • the compound is a compound defined by one of the following formulae where variables X and Z are as defined in Table 1-A, or a pharmaceutically acceptable salt thereof.
  • the compound is a compound in Table 1, 1-A, 23, or 24, or a pharmaceutically acceptable salt thereof. In certain embodiments, the compound is a compound in Table 1, 1-A, 24, or 25, or a pharmaceutically acceptable salt thereof. In certain embodiments, the compound is a compound in Table 26, or a pharmaceutically acceptable salt
  • the synthetic route illustrated in Scheme 1 is a general method for preparing substituted 1,2,3,4-tetrahydroquinoline compounds F and G.
  • Reaction of aniline A with diethyl 2-(ethoxymethylene)malonate B followed by thermally induced cyclization with acid affords the substituted ethyl 4-oxo-1,4-dihydroquinoline-3-carboxylate C.
  • Treatment of compound C with phosphoryl trichloride affords the ethyl 4-chloroquinoline-3-carboxylate D.
  • Reduction with borane in pyridine or with transition metal-mediated hydrogenation affords the ethyl 1,2,3,4-tetrahydroquinoline-3-carboxylate E, which can be reacted with a sulphonyl chloride or sulfamoyl chloride to provide the substituted sulfonamide-tetrahydroquinoline F.
  • the ester group of F can be hydrolyzed to afford the substituted 1,2,3,4-tetrahydroquinoline-3-carboxylic acid G.
  • Compound G can be obtained in enanteriomerically enriched form by chiral separation techniques described in the literature for carboxylic acids.
  • reaction procedures in Scheme 1 are contemplated to be amenable to preparing a wide variety of 3-substituted 1,2,3,4-tetrahydroquinoline compounds having different substituents at the R, X, and 3-positions.
  • numerous substituted anilines are known in the literature and/or are commercially available or readily prepared from nitroaromatic compounds.
  • a functional group on a molecule would not be amenable to a reaction condition described in Scheme 1, it is contemplated that the functional group can first be protected using standard protecting group chemistry and strategies, and then the protecting group is removed after completing the desired synthetic transformation. See, for example, Greene, T. W.; Wuts, P. G. M.
  • ester group in compound F can be converted to another functional group using standard functional group manipulation procedures known in the art. See, for example, “Comprehensive Organic Synthesis” (B. M. Trost & I. Fleming, eds., 1991-1992).
  • Scheme 2 illustrates a general method for preparing substituted 1,2,3,4-tetrahydroquinoline compound F.
  • Condensation of a substituted 2-nitrobenzaldehyde A with diethyl malonate affords ⁇ - ⁇ -unsaturated diester B.
  • Reduction of B with sodium borohydride affords diester C.
  • Reduction of the nitro moiety of C with either metal-mediated hydrogenation or dissolving metal reductions (for example Zn/AcOH or Fe in HCl) affords 2-oxo-1,2,3,4-tetrahydroquinoline-3-carboxylate D.
  • Selective reduction of the 2-keto moiety of D affords ethyl 1,2,3,4-tetrahydroquinoline-3-carboxylate E.
  • the ester group in E can be converted to additional functional groups via the methodology described above in connection with Scheme 1.
  • Scheme 3 illustrates a general method for preparing substituted (R)-2-alkyl-1-(aryl or heteroaryl sulfonyl)-1,2-dihydroquinoline-3-carboxylic acids D.
  • a tandem Michael-aldol dehydration of a substituted N-(2-formylphenyl)(aryl or heteroaryl)sulfonamide A with a 3-substituted acrylaldehyde B catalyzed by the (S)-diphenylprolinol triethyl silyl ether see, for example, W. Wang et al., Org. Lett. 9: 965-968, 2007; and A. Cordova et al., Adv. Synth.
  • Scheme 4 illustrates a general method for preparing substituted (R)-(2-alkyl-1-(aryl or heteroaryl sulfonyl)-1,2-dihydroquinolin-3-yl)alkyl alcohol B.
  • Reduction of the aldehyde in compound A with sodium borohydride in the presence of cerium (III) chloride yields compound B where R′ is hydrogen.
  • Addition of an alkyl magnesium or alkyl lithium halide in the presence of cerium (III) chloride affords the secondary alcohol B where R′ is a lower alkyl (i.e., C 1-6 alkyl).
  • Scheme 5 illustrates a general procedure for preparing substituted (R)-3-(2-alkyl-1-(aryl or heteroaryl sulfonyl)-1,2-dihydroquinolin-3-yl)propanoic acid D.
  • Treatment of allylic alcohol A with methane sulfonyl halide (or a tosyl halide or triflic anhydride may be used to activate the hydroxyl group, and alternatively the hydroxyl group may be converted to an allylic halide by methods known in the literature) affords compound B where the allylic hydroxyl is activated with a leaving group.
  • R′ is the same as R′′
  • an ester of an appropriate substituted (or unsubstituted) acetic acid is converted to an anion with an appropriate base (e.g., LDA, lithium hexamethyldisilazide, etc.) and is alkylated with B to yield compound C where variable Q is oxygen.
  • an appropriate base e.g., LDA, lithium hexamethyldisilazide, etc.
  • B alkylated with B
  • variable Q is oxygen
  • R′ is not the same as R′′
  • various chiral enolate chemistry methods from the literature may be used to provide a chiral acid (where variable Q may be, for example, oxygen or N(R′′′)).
  • the anion of an acyloxazolidinone may be utilized.
  • Scheme 6 illustrates a general procedure for preparing substituted (R)-(2-alkyl-1-(aryl or heteroarylsulfonyl)-1,2-dihydroquinolin-3-yl)alkylamines C and D.
  • Mitsunobu reaction D. L. Hughes et al. Organic Reactions 42: 1992
  • allylic alcohol A affords substituted phthamide B.
  • hydrazine for example, ethanol or isopropanol; see, for example, H. Itoh et al. in J. Org. Chem.
  • Scheme 7 illustrates a general procedure for preparing substituted (R)—N-((2-alkyl-1-(aryl or heteroarylsulfonyl)-1,2-dihydroquinolin-3-yl)alkyl)amide B, substituted (R)—N-((2-alkyl-1-(aryl or heteroarylsulfonyl)-1,2-dihydroquinolin-3-yl)alkyl)carbamate C, substituted (R)—N-((2-alkyl-1-(aryl or heteroarylsulfonyl)-1,2-dihydroquinolin-3-yl)alkyl)ureas or substituted (R)—N-((2-alkyl-1-(aryl or heteroarylsulfonyl)-1,2-dihydroquinolin-3-yl)alkyl)thiourea D, substituted (R)—N-((2-alkyl-1-(aryl or heteroarylsulfonyl
  • amide B Reaction of substituted (R)-(2-alkyl-1-(aryl or heteroarylsulfonyl)-1,2-dihydroquinolin-3-yl)alkylamine A with an appropriate base and an acyl halide affords amide B.
  • a coupling agent e.g., a carbodiimide, PyBOP, treatment of the acid with a chloroformate to make a mixed anhydride, etc.
  • a coupling agent e.g., a carbodiimide, PyBOP, treatment of the acid with a chloroformate to make a mixed anhydride, etc.
  • the amine A may also be coupled with a chloroformate to afford compound C; with an isocyanate, carbamoyl chloride, or isothiocyanate to afford D; with a sulfonyl halide to afford E; or with a sulfamoyl halide to afford F.
  • Scheme 8 illustrates a general method of preparing substituted cis-(2R,3)-3-substituted-2-alkyl-1-(aryl or heteroarylsulfonyl)-1,2,3,4-tetrahydroquinoline B.
  • Hydrogenation of the substituted (R)-2-alkyl-1-(aryl or heteroarylsulfonyl)-1,2-dihydroquinoline A prepared via the above methods in the presence of a catalyst affords the substituted cis-(2R,3)-3-substituted-2-alkyl-1-(aryl or heteroarylsulfonyl)-1,2,3,4-tetrahydroquinoline B.
  • the choice of the catalyst depends on the substituents X and R.
  • Scheme 9 is an alternative general method to prepare substituted 3-substituted-1-(aryl or heteroarylsulfonyl)-1,2,3,4-tetrahydroquinoline E.
  • Reduction of the amide group in C with a hydride e.g., a borane or lithium aluminum hydride
  • Sulfonylation of D with a sulfonyl halide yields the substituted 3-substituted-1-(aryl or heteroarylsulfonyl)-1,2,3,4-tetrahydroquinoline E.
  • Scheme 10 illustrates an alternative general method to prepare chiral substituted 3-substituted-1-(aryl or heteroarylsulfonyl)-1,2,3,4-tetrahydroquinolines.
  • Alkylation of an acylated oxazolidinedione B with a 2-nitrobenzylic halide A affords with high diastereomeric excess the 3-arylpropionamide C.
  • Reduction of C with dissolving metal conditions affords chiral substituted 3,4-dihydroquinolin-2-one D which can be elaborated to the substituted 3-substituted-1-(aryl or heteroarylsulfonyl)-1,2,3,4-tetrahydroquinolines E and F based on procedures described above.
  • Scheme 11 illustrates an alternative general method of preparing substituted cis-2,3-disubstituted-1-(aryl or heteroarylsulfonyl)-1,2,3,4-tetrahydroquinoline
  • E Alkylation of ⁇ -ketoester B with 2-nitrobenzylic halide A affords substituted 2-(2-nitrobenzyl)- ⁇ -ketoester C. Reduction of C affords substituted ethyl cis-2-alkyl-1,2,3,4-tetrahydroquinoline-3-carboxylate D (R. A. Bunce et al. J. Heterocyclic Chem. 44: 1059-1064, 2007).
  • This material can be sulfonylated as described above to afford the substituted cis-2,3-disubstituted-1-(aryl or heteroarylsulfonyl)-1,2,3,4-tetrahydroquinoline E.
  • Scheme 12 illustrates a general method of preparing chiral substituted 1-(aryl or hetereoarylsulfonyl)-1,2,3,4-tetrahydroquinoline E substituted at the 3-position with an oxygen bearing group.
  • Wittig reaction of 2-nitroaldehyde A forms ⁇ , ⁇ -unsaturated ester B, which is subjected to Os-catalyzed asymmetric dihydroxylation with the (DHQ) 2 -PHAL ligand (see, for example, K. B. Sharpless et al. Chem. Rev. 94: 2483-2547, 1994) followed by treatment of the diol with thionyl chloride to form cyclic sulfite C (see, for example, K. B.
  • the pendant hydroxyl may be alkylated (for example with 2-chloroacetic acid).
  • the enantiomers of C and then D and E can be produced.
  • the hydroxyl group in E can be mesylated and displaced with azide, and the resulting azido product reduced to afford access to a wide variety of chiral 3-aminosubstituted-1,2,3,4-tetrahydroquinolines.
  • Scheme 13 illustrates a general method of forming substituted (E)-7-(2-aryl-alken-1-en-1-yl)-1-(aryl or heteroarylsulfonyl)-1,2,3,4-tetrahydroquinolines, substituted (E)-6-(2-aryl-alken-1-en-1-yl)-4-(aryl or heteroarylsulfonyl)-3,4-dihydro-2H-benzo[b][1,4]oxazines, and substituted (E)-N-alkyl-N-(3-(2-aryl-alken-1-en-1-yl)phenyl)(arene or heteroarene)sulfonamides.
  • Scheme 14 illustrates a general method of forming chiral substituted 7-cyclopropyl-1-(aryl or heteroarylsulfonyl)-1,2,3,4-tetrahydroquinolines, 6-cyclopropyl-4-(aryl or heteroarylsulfonyl)-3,4-dihydro-2H-benzo[b][1,4]oxazines, or N-(3-cyclopropylphenyl)-N-alkyl(aryl or heteroaryl)sulfonamides C.
  • Chiral cyclopropylboronic acids (M.-Z. Deng et al. Angew. Chem. Ed. 37: 2845-2847, 1998) A are added to the appropriate haloarenes or triflates B to afford compound C.
  • Scheme 15 illustrates a general method of forming chiral 3-substituted-1-(aryl or heteroarylsulfonyl)-1,2,3,4-tetrahydroquinolines (A is CRR′) or chiral substituted benzoxazines (A is O).
  • Esterification of the carboxylic acid A with a chiral allylic alcohol forms allylic ester B.
  • Treatment of the enolate of ester B with TMSCl, followed by a Claisen rearrangement see, for example, J. Kallmerten et al. J. Org. Chem. 52: 3889-3901, 1987) affords carboxylic acid C.
  • Scheme 16 is a general method for preparing various substituted benzoxazine compounds. Reaction of aryl sulfonamide A with an epoxide provides benzoxazine B.
  • Scheme 17 is another general method for preparing various substituted benzoxazine compounds.
  • Reaction of a 2-fluoro-nitrobenzene A with a 2-hydroxyester B provides 2-O-arylacetic acid ester C.
  • Reduction of the nitro moiety in C with a dissolving metal in an acid forms benzoxazinone D.
  • the amide group in benzoxazinone D can be reduced using, for example, lithium aluminum hydride (LiAlH 4 ) or a borane to provide benzoxazine E, which is treated with a sulfonyl halide and base to afford sulfonylated benzoxazine F.
  • LiAlH 4 lithium aluminum hydride
  • borane to provide benzoxazine E, which is treated with a sulfonyl halide and base to afford sulfonylated benzoxazine F.
  • Scheme 18 is a general method for preparing various substituted benzoxazine compounds.
  • Mitsunobu addition of sulfonamide A to chiral ⁇ -hydroxyester B affords O-aryl ether C.
  • Treatment of compound C with DIBAL affords aldehyde D, to which vinyl magnesium bromide adds to form the anti-aminoalcohol E (see, for example, D. Gryko et al. Tetrahedron: Asymmetry 8: 4059-4067, 1997).
  • Treatment of compound E with base affords benzoxazine F.
  • the vinyl moiety in F is then converted to other alkenes via olefin metathesis chemistry which can be reduced to substituted alkanes, or oxidized to a hydroxyl group, a diol, a carboxylic acid, or other functional group.
  • Scheme 19 is a general method for preparing various thioether substituted compounds. Palladium-mediated addition of a thiol A in presence of a base (such as Hunig's base) and a ligand (such as Xantphos) to bromide B (X′ is Br) affords thioether C.
  • a base such as Hunig's base
  • a ligand such as Xantphos
  • Another aspect of the invention provides a compound represented by Formula II:
  • A is phenylene, 5-6 membered heteroarylene, or C 3-6 heterocycloalkylene
  • R 1 represents independently for each occurrence halogen, C 1-6 alkyl, C 1-6 haloalkyl, or C 3-6 cycloalkyl;
  • R 2A is one of the following:
  • R 2B is C 1-6 alkyl, C 1-3 haloalkyl, or fluoro;
  • R 2C is hydrogen or C 1-6 alkyl
  • R 3 represents independently for each occurrence hydrogen, C 1-6 haloalkyl, halogen, hydroxyl, C 1-6 alkyl, C 3-6 cycloalkyl, C 1-6 alkoxy, C 1-6 haloalkoxy, —N(R 4 )(R 8 ), —O—(C 1-6 hydroxyalkyl), or —O—(C 1-6 alkylene)-CO 2 R 4 ; or two vicinal occurrences of R 3 are taken together with intervening atoms to form a 4-6 membered ring;
  • R 4 and R 5 each represent independently for each occurrence hydrogen, C 1-6 alkyl, or C 3-6 cycloalkyl; or an occurrence of R 4 and R 5 attached to the same nitrogen atom are taken together with the nitrogen atom to which they are attached to form a 3-8 membered heterocyclic ring;
  • R 6 and R 7 each represent independently for each occurrence hydrogen, fluoro, or C 1-6 alkyl, or R 6 and R 7 are taken together with the carbon atom to which they are attached to form a 3-6 membered carbocyclic ring; or R 6 and a vicinal occurrence of R 2B are taken together to form a bond;
  • R 8 represents independently for each occurrence C 1-6 alkyl, C 3-6 cycloalkyl, —(C 1-6 alkylene)-(C 3-6 cycloalkyl), or aryl, each of which is optionally substituted with 1, 2, or 3 substituents independently selected from the group consisting of halogen, hydroxyl, or —CO 2 R 4 ; or R 8 is —CO 2 R 4 ;
  • R 9 represents independently for each occurrence C 1-6 alkyl, C 3-6 cycloalkyl, —(C 1-6 alkylene)-(C 3-6 cycloalkyl), C 1-6 haloalkyl, or C 1-6 hydroxyalkyl;
  • X is one of the following:
  • Y is —C(R 6 )(R 7 )—, —O—, —C(O)—, or —S(O) p —;
  • n and p each represent independently for each occurrence 0, 1, or 2;
  • n 1, 2, or 3.
  • A is phenylene or 5-6 membered heteroarylene.
  • R 1 represents independently for each occurrence halogen or C 1-6 alkyl. In certain other embodiments, R 1 is fluoro, chloro, methyl, or trifluoromethyl.
  • R 2A is C 1-6 alkyl substituted with 1 or 2 substituents independently selected from the group consisting of —CO 2 R 4 , —C(O)N(R 4 )(R 5 ), —C(O)—N(R 4 )—(C 1-4 alkylene)-CO 2 R 4 , —N(R 4 )C(O)R 8 , —CN, halogen, hydroxyl, C 1-6 alkoxy, C 1-6 haloalkoxy, C 1-6 haloalkyl, —N(R 4 )(R 5 ), —N(R 4 )C(O)N(R 4 )(R 5 ), —N(R 4 )CO 2 R 9 , —N(R 4 )S(O) 2 R 9 , and —N(R 4 )S(O) 2 N(R 4 )(R 5 ).
  • R 3 represents independently for each occurrence hydrogen, C 1-6 haloalkyl, halogen, hydroxyl, C 1-6 alkyl, C 3-4 cycloalkyl, C 1-6 alkoxy, or C 1-6 haloalkoxy.
  • R 4 and R 5 each represent independently for each occurrence hydrogen, C 1-6 alkyl, or C 3-6 cycloalkyl; or an occurrence of R 4 and R 5 attached to the same nitrogen atom are taken together with the nitrogen atom to which they are attached to form a 3-8 membered heterocyclic ring, wherein the heterocyclic ring is substituted with 1, 2, or 3 substituents independently selected from the group consisting of halogen, C 1-6 haloalkyl, C 1-6 alkyl, C 3-6 cycloalkyl, C 1-6 alkoxy, C 1-6 haloalkoxy, hydroxyl, cyano, oxo, —CO 2 R 10 , —C(O)R 9 , —SO 2 R 9 , —N(R 10 )C(O)R 12 , and —C(O)N(R 10 )(R 11 ); wherein R 10 and R 11 each represent independently for each occurrence hydrogen or C 1-6 alkyl, or R
  • X is —O-aralkyl, —O-heteroaralkyl, —O-phenyl, —O-heteroaryl, —O-(partially unsaturated bicyclic carbocyclyl), —O—(C 1-6 alkylene)-(C 3-6 cycloalkyl), —O—(C 3-6 cycloalkyl), —N(R 4 )-aralkyl, —N(R 4 )-phenyl, —N(R 4 )-(partially unsaturated bicyclic carbocyclyl), or —N(R 4 )—(C 1-6 alkylene)-(C 3-6 cycloalkyl), each of which is optionally substituted with 1, 2, or 3 substituents independently selected from the group consisting of halogen, C 1-6 haloalkyl, C 1-6 alkyl, C 3-6 cycloalkyl, C 1-6 alkoxy, C 1-6 halo
  • X is —S-aralkyl, —S-heteroaralkyl, —S-phenyl, —S— heteroaryl, —S-(partially unsaturated bicyclic carbocyclyl), —S—(C 1-6 alkylene)-(C 3-6 cycloalkyl), or —S—(C 3-6 cycloalkyl), each of which is optionally substituted with 1, 2, or 3 substituents independently selected from the group consisting of halogen, C 1-6 haloalkyl, C 1-6 alkyl, C 3-6 cycloalkyl, C 1-6 alkoxy, C 1-6 haloalkoxy, —S—(C 1-6 alkyl), hydroxyl, cyano, —C(O)R 9 , and —SO 2 R 9 .
  • X is —(C 2-6 alkenylene)-phenyl, —(C 2-6 alkenylene)-heteroaryl, —(C 2-6 alkenylene)-(partially unsaturated 8-10 membered bicyclic ring containing 0-3 heteroatoms), —(C 1-6 alkylene)-phenyl, —(C 1-6 alkylene)-heteroaryl, —(C 1-6 alkylene)-(partially unsaturated bicyclic heterocyclyl), —(C 1-6 alkylene)-(partially unsaturated bicyclic oxo-heterocyclyl), —(C 1-6 alkylene)-(C 3 -C 6 cycloalkyl), -(5-6 membered heterocycloalkylene)-phenyl, or —(C 3-6 cycloalkylene)-phenyl, each of which is optionally substituted with 1, 2, or 3 substituents independently selected from the
  • X is —(C 2-6 alkenylene)-(C 1-6 alkyl), —(C 2-6 alkenylene)-(C 3-6 cycloalkyl), or
  • X is —(C 1-6 alkylene)-Z 1 or —(C 2-6 alkenylene)-Z 1 , wherein Z 1 is —O-aralkyl, —O-heteroaralkyl, —O-phenyl, —O-heteroaryl, —O-(partially unsaturated bicyclic carbocyclyl), —O—(C 1-6 alkylene)-(C 3-6 cycloalkyl), —O—(C 3-6 cycloalkyl), —N(R 4 )-aralkyl, —N(R 4 )-phenyl, —N(R 4 )-(partially unsaturated bicyclic carbocyclyl), —N(R 4 )—(C 1-6 alkylene)-(C 3-6 cycloalkyl), or —N(R 4 )—(C 3-6 cycloalkyl), each of which is optionally substituted with 1, 2, or 3
  • Y is —C(R 6 )(R 7 )—. In certain other embodiments, Y is —O—. In yet other embodiments, Y is —S(O) p —.
  • variables in Formula II above encompass multiple chemical groups.
  • the application contemplates embodiments where, for example, i) the definition of a variable is a single chemical group selected from those chemical groups set forth above, ii) the definition of a variable is a collection of two or more of the chemical groups selected from those set forth above, and iii) the compound is defined by a combination of variables in which the variables are defined by (i) or (ii), e.g., such as where A is phenylene and R 3 is selected from the group consisting of C 1-6 haloalkyl, halogen, hydroxyl, and C 1-6 alkyl.
  • Another aspect of the invention provides a compound represented by Formula II-1:
  • A is phenyl, 5-6 membered heteroaryl, or C 3-6 heterocycloalkyl
  • R 1 represents independently for each occurrence halogen, C 1-6 alkyl, C 1-6 haloalkyl, or C 3-6 cycloalkyl;
  • R 2A is hydrogen, C 1-6 alkyl, C 3-6 cycloalkyl, —O—(C 1-6 alkylene)-CO 2 R 4 , —O—(C 1-6 alkylene)-C(O)—(C 1-6 alkyl), —N(R 4 )—(C 1-6 alkylene)-CO 2 R 4 , or —N(R 4 )—(C 1-6 alkylene)-C(O)—(C 1-6 alkyl), wherein the C 1-6 alkyl, C 3-6 cycloalkyl, and C 1-6 alkylene are optionally substituted with 1 or 2 substituents independently selected from the group consisting of —CO 2 R 4 , —N(R 4 )C(O)(C 1-6 alkyl), —CN, halogen, hydroxyl, C 1-6 alkoxy, C 1-6 haloalkoxy, C 1-6 haloalkyl, —N(R 4 )(R 5 ), —N
  • R 2B is C 1-6 alkyl or C 1-3 haloalkyl
  • R 2C is hydrogen or C 1-6 alkyl
  • R 3 represents independently for each occurrence hydrogen, C 1-6 haloalkyl, halogen, hydroxyl, C 1-6 alkyl, C 1-6 alkoxy, C 1-6 haloalkoxy, or —O—(C 1-6 alkylene)-OH; or two vicinal occurrences of R 3 are taken together with intervening atoms to form a 4-6 membered ring;
  • R 4 and R 5 each represent independently for each occurrence hydrogen, C 1-6 alkyl, or C 3-6 cycloalkyl; or an occurrence of R 4 and R 5 attached to the same nitrogen atom are taken together with the nitrogen atom to which they are attached to form a 3-7 membered heterocyclic ring;
  • R 6 and R 7 each represent independently for each occurrence hydrogen or C 1-6 alkyl, or R 6 and R 7 are taken together with the carbon atom to which they are attached to form a 3-6 membered carbocyclic ring; or R 6 and R 2A are taken together to form a bond;
  • X is one of the following:
  • Y is —C(R 6 )(R 7 )—, —O—, —C(O)—, or —S(O) p —;
  • n and p each represent independently for each occurrence 0, 1, or 2;
  • n 0, 1, 2, or 3.
  • A is phenylene or 5-6 membered heteroarylene.
  • R 1 represents independently for each occurrence halogen or C 1-6 alkyl.
  • Y is —C(R 6 )(R 7 )—. In certain other embodiments, Y is —O—. In yet other embodiments, Y is —S(O) p —.
  • variables in Formula II-1 above encompass multiple chemical groups.
  • the application contemplates embodiments where, for example, i) the definition of a variable is a single chemical group selected from those chemical groups set forth above, ii) the definition of a variable is a collection of two or more of the chemical groups selected from those set forth above, and iii) the compound is defined by a combination of variables in which the variables are defined by (i) or (ii), e.g., such as where A is phenylene and R 3 is selected from the group consisting of C 1-6 haloalkyl, halogen, hydroxyl, and C 1-6 alkyl.
  • Another aspect of the invention provides a compound represented by Formula II-A:
  • A is phenylene or a 5-6 membered heteroarylene
  • R 1 represents independently for each occurrence halogen, C 1-6 alkyl, or C 3-6 cycloalkyl
  • R 2A is hydrogen, C 1-6 alkyl or C 3-6 cycloalkyl, wherein the C 1-6 alkyl or C 3-6 cycloalkyl are optionally substituted with 1 or 2 substituents independently selected from the group consisting of —CO 2 R 4 , —N(R 4 )C(O)(C 1-6 alkyl), —CN, halogen, hydroxyl, C 1-6 alkoxy, C 1-6 haloalkoxy, C 1-6 haloalkyl, and —N(R 4 )(R 5 ); or R 2A is —CO 2 R 4 or —N(R 4 )C(O)(C 1-6 alkyl);
  • R 2B is C 1-6 alkyl or C 1-3 haloalkyl
  • R 2C is hydrogen or C 1-6 alkyl
  • R 3 represents independently for each occurrence hydrogen, C 1-6 haloalkyl, halogen, hydroxyl, C 1-6 alkyl, C 1-6 alkoxy, C 1-6 haloalkoxy, or —O—(C 1-6 alkylene)-OH; or two vicinal occurrences of R 3 are taken together with intervening atoms to form a 4-6 membered ring;
  • R 4 and R 5 each represent independently for each occurrence hydrogen, C 1-6 alkyl, or C 3-6 cycloalkyl; or an occurrence of R 4 and R 5 attached to the same nitrogen atom are taken together with the nitrogen atom to which they are attached to form a 3-7 membered heterocyclic ring;
  • R 6 and R 7 each represent independently for each occurrence hydrogen or C 1-6 alkyl, or R 6 and R 7 are taken together with the carbon atom to which they are attached to form a 3-6 membered carbocyclic ring; or R 6 and R 2A are taken together to form a bond;
  • X is one of the following:
  • Y is —C(R 6 )(R 7 )—, —O—, or —C(O)—;
  • n and p are independently 0, 1, or 2;
  • n 1, 2, or 3.
  • A is phenylene. In certain other embodiments, A is a 5-6 membered heteroarylene. In yet other embodiments, -A-(R 3 ) n is one of the following:
  • -A-(R 3 ) n is
  • R 1 represents independently for each occurrence halogen, methyl, or cyclopropyl.
  • R 2A is C 1-6 alkyl optionally substituted with 1 or 2 substituents independently selected from the group consisting of —CO 2 R 4 , —N(R 4 )C(O)(C 1-6 alkyl), —CN, halogen, hydroxyl, C 1-6 alkoxy, C 1-6 haloalkoxy, and —N(R 4 )(R 5 ).
  • R 2A is C 1-6 alkyl substituted with 1 or 2 substituents independently selected from the group consisting of —CO 2 R 4 , —N(R 4 )C(O)(C 1-6 alkyl), —CN, hydroxyl, and C 1-6 alkoxy.
  • R 2A is —CO 2 R 4 .
  • R 2B is C 1-6 alkyl. In certain other embodiments, R 2B is methyl. In certain embodiments, R 2C is hydrogen.
  • n is 1. In certain other embodiments, n is 1 or 2.
  • R 3 represents independently for each occurrence C 1-6 haloalkyl, halogen, C 1-6 alkyl, C 1-6 alkoxy, or —O—(C 1-6 alkylene)-OH. In certain other embodiments, R 3 is trifluoromethyl, fluoro, chloro, or methoxy. In certain other embodiments, R 3 is trifluoromethyl.
  • R 4 and R 5 each represent independently for each occurrence hydrogen or C 1-6 alkyl.
  • X is —O-aralkyl, —O-heteroaralkyl, —O-phenyl, —O-heteroaryl, —O-(partially unsaturated bicyclic carbocyclyl), —O—(C 1-6 alkylene)-(C 3-6 cycloalkyl), —N(R 4 )-aralkyl, —N(R 4 )-phenyl, —N(R 4 )-(partially unsaturated bicyclic carbocyclyl), or —N(R 4 )—(C 1-6 alkylene)-(C 3-6 cycloalkyl), each of which is optionally substituted with 1, 2, or 3 substituents independently selected from the group consisting of halogen, C 1-6 haloalkyl, C 1-6 alkyl, C 3-6 cycloalkyl, C 1-6 alkoxy, and C 1-6 haloalkoxy.
  • X is —O-aralkyl, —O-phenyl, —O-(partially unsaturated bicyclic carbocyclyl), —O—(C 1-6 alkylene)-(C 3-6 cycloalkyl), —N(R 4 )-aralkyl, —N(R 4 )-phenyl, —N(R 4 )-(partially unsaturated bicyclic carbocyclyl), or —N(R 4 )—(C 1-6 alkylene)-(C 3-6 cycloalkyl), each of which is optionally substituted with 1, 2, or 3 substituents independently selected from the group consisting of halogen, C 1-6 haloalkyl, C 1-6 alkyl, C 3-6 cycloalkyl, C 1-6 alkoxy, and C 1-6 haloalkoxy.
  • X is —O-aralkyl or —N(R 4 )-aralkyl, each of which is optionally substituted with 1, 2, or 3 substituents independently selected from the group consisting of halogen, C 1-6 haloalkyl, C 1-6 alkyl, C 3-6 cycloalkyl, C 1-6 alkoxy, and C 1-6 haloalkoxy.
  • X is —O—(C 1-6 alkylene)-phenyl or —N(R 4 )—(C 1-6 alkylene)-phenyl, each of which is substituted with 1, 2, or 3 substituents independently selected from the group consisting of halogen, C 1-6 haloalkyl, C 1-6 alkyl, C 3-6 cycloalkyl, C 1-6 alkoxy, and C 1-6 haloalkoxy, where at least one substituent is present at the ortho position on the phenyl group in variable X.
  • X is —O-benzyl or —N(R 4 )-benzyl, each of which is substituted with 1 or 2 substituents independently selected from the group consisting of chloro, bromo, and fluoro.
  • X is —(C 2-6 alkenylene)-phenyl, —(C 2-6 alkenylene)-heteroaryl, —(C 1-6 alkylene)-phenyl, —(C 1-6 alkylene)-heteroaryl, —(C 1-6 alkylene)-(partially unsaturated bicyclic heterocyclyl), —(C 1-6 alkylene)-(partially unsaturated bicyclic oxo-heterocyclyl), or -(5-6 membered heterocycloalkylene)-phenyl, each of which is optionally substituted with 1, 2, or 3 substituents independently selected from the group consisting of halogen, C 1-6 haloalkyl, C 1-6 alkyl, C 3-6 cycloalkyl, C 1-6 alkoxy, and C 1-6 haloalkoxy.
  • X is —(C 2-6 alkenylene)-phenyl, —(C 1-6 alkylene)-phenyl, —(C 1-6 alkylene)-heteroaryl, —(C 1-6 alkylene)-(partially unsaturated bicyclic heterocyclyl), —(C 1-6 alkylene)-(partially unsaturated bicyclic oxo-heterocyclyl), or -(5-6 membered heterocycloalkylene)-phenyl, each of which is optionally substituted with 1, 2, or 3 substituents independently selected from the group consisting of halogen, C 1-6 haloalkyl, C 1-6 alkyl, C 3-6 cycloalkyl, C 1-6 alkoxy, and C 1-6 haloalkoxy.
  • X is —(C 2-6 alkenylene)-phenyl, —(C 1-6 alkylene)-phenyl, or —(C 1-6 alkylene)-heteroaryl), each of which is optionally substituted with 1, 2, or 3 substituents independently selected from the group consisting of halogen, C 1-6 haloalkyl, C 1-6 alkyl, C 3-6 cycloalkyl, C 1-6 alkoxy, and C 1-6 haloalkoxy.
  • X is —(C 1-6 alkylene)-Z 1 or —(C 2-6 alkenylene)-Z 1 , wherein Z 1 is —O-aralkyl, —O-heteroaralkyl, —O-phenyl, —O-heteroaryl, —O-(partially unsaturated bicyclic carbocyclyl), —O—(C 1-6 alkylene)-(C 3-6 cycloalkyl), —O—(C 3-6 cycloalkyl), —N(R 4 )-aralkyl, —N(R 4 )-phenyl, —N(R 4 )-(partially unsaturated bicyclic carbocyclyl), or —N(R 4 )—(C 1-6 alkylene)-(C 3-6 cycloalkyl), each of which is optionally substituted with 1, 2, or 3 substituents independently selected from the group consisting of halogen, C 1-6 hal
  • X is —(C 1-6 alkylene)-Z 1 , wherein Z 1 is —O-aralkyl, —O-phenyl, —O-(partially unsaturated bicyclic carbocyclyl), —O—(C 1-6 alkylene)-(C 3-6 cycloalkyl), —O—(C 3-6 cycloalkyl), —N(R 4 )-aralkyl, —N(R 4 )-phenyl, —N(R 4 )-(partially unsaturated bicyclic carbocyclyl), or —N(R 4 )—(C 1-6 alkylene)-(C 3-6 cycloalkyl), each of which is optionally substituted with 1, 2, or 3 substituents independently selected from the group consisting of halogen, C 1-6 haloalkyl, C 1-6 alkyl, C 3-6 cycloalkyl, C 1-6 alkoxy, and C 1-6 hal
  • Y is —C(R 6 )(R 7 )—.
  • R 6 and R 7 are independently hydrogen or methyl.
  • Y is —C(R 6 )(R 7 )—, R 6 and R 7 are independently hydrogen or methyl, and X is attached at the 7-position of the 1,2,3,4-tetrahydronaphthalenyl ring.
  • Y is —O—. In certain embodiments, Y is —O—, and X is attached at the 4-position of the chromanyl ring.
  • n is 0. In certain other embodiments, m is 1.
  • p is 0. In certain other embodiments, p is 1.
  • variables in Formula II-A above encompass multiple chemical groups.
  • the application contemplates embodiments where, for example, i) the definition of a variable is a single chemical group selected from those chemical groups set forth above, ii) the definition of a variable is a collection of two or more of the chemical groups selected from those set forth above, and iii) the compound is defined by a combination of variables in which the variables are defined by (i) or (ii), e.g., such as where A is phenylene and R 3 is selected from the group consisting of C 1-6 haloalkyl, halogen, hydroxyl, and C 1-6 alkyl.
  • Another aspect of the invention provides a compound represented by Formula II-B:
  • A is phenylene
  • R 1 represents independently for each occurrence halogen, methyl, ethyl, or cyclopropyl
  • R 2A is C 1-6 alkyl substituted with 1 or 2 substituents independently selected from the group consisting of —CO 2 R 4 , —N(R 4 )C(O)(C 1-6 alkyl), —CN, halogen, hydroxyl, C 1-6 alkoxy, C 1-6 haloalkoxy, C 1-6 haloalkyl, and —N(R 4 )(R 5 );
  • R 2B is methyl or ethyl
  • R 2C is hydrogen
  • R 3 represents independently for each occurrence C 1-3 haloalkyl, halogen, and C 1-3 alkyl;
  • R 4 and R 5 each represent independently for each occurrence hydrogen or methyl
  • R 6 and R 7 each represent independently for each occurrence hydrogen, methyl, or ethyl
  • X is attached at the meta or para position on the phenyl group relative to variable Y, and X is one of the following:
  • Y is —C(R 6 )(R 7 )— or —O—;
  • n and p are independently 0 or 1;
  • n 1 or 2.
  • X is —O—(C 1-6 alkylene)-phenyl optionally substituted with 1 or 2 substituents independently selected from the group consisting of halogen, C 1-6 haloalkyl, and C 1-6 alkyl.
  • Y is —C(R 6 )(R 7 )—.
  • variables in Formula II-B above encompass multiple chemical groups.
  • the application contemplates embodiments where, for example, i) the definition of a variable is a single chemical group selected from those chemical groups set forth above, ii) the definition of a variable is a collection of two or more of the chemical groups selected from those set forth above, and iii) the compound is defined by a combination of variables in which the variables are defined by (i) or (ii).
  • Another aspect of the invention provides a compound represented by Formulae V or VI:
  • A is phenylene, 5-6 membered heteroarylene, or C 3-6 heterocycloalkylene
  • R 1 represents independently for each occurrence halogen, C 1-6 alkyl, C 1-6 haloalkyl, or C 3-6 cycloalkyl;
  • R 2A is —(C 1-2 alkylene)-(2-8 membered heteroalkylene)-CO 2 R 4 , —(C 1-6 alkylene)-C(O)N(R 4 )(C 1-6 hydroxyalkylene)-CO 2 R 4 , or —(C 1-6 alkylene)-N(R 4 )C(O)N(R 4 )—(C 1-6 alkylene)-CO 2 R 4 ; wherein the C 1-6 alkylene is optionally substituted with 1 or 2 substituents independently selected from the group consisting of —CO 2 R 4 , —C(O)N(R 4 )(R 5 ), —CN, halogen, hydroxyl, C 1-6 alkoxy, C 1-6 haloalkoxy, C 1-6 haloalkyl, and —N(R 4 )(R 5 );
  • R 2B is C 1-6 alkyl, C 1-3 haloalkyl, or fluoro;
  • R 2C is hydrogen or C 1-6 alkyl
  • R 3 represents independently for each occurrence hydrogen, C 1-6 haloalkyl, halogen, hydroxyl, C 1-6 alkyl, C 3-6 cycloalkyl, C 1-6 alkoxy, C 1-6 haloalkoxy, —N(R 4 )(R 8 ), —O—(C 1-6 hydroxyalkyl), or —O—(C 1-6 alkylene)-CO 2 R 4 ; or two vicinal occurrences of R 3 are taken together with intervening atoms to form a 4-6 membered ring;
  • R 4 and R 5 each represent independently for each occurrence hydrogen, C 1-6 alkyl, or C 3-6 cycloalkyl; or an occurrence of R 4 and R 5 attached to the same nitrogen atom are taken together with the nitrogen atom to which they are attached to form a 3-8 membered heterocyclic ring;
  • R 6 and R 7 each represent independently for each occurrence hydrogen, fluoro, or C 1-6 alkyl, or R 6 and R 7 are taken together with the carbon atom to which they are attached to form a 3-6 membered carbocyclic ring; or R 6 and a vicinal occurrence of R 2B are taken together to form a bond;
  • R 8 represents independently for each occurrence C 1-6 alkyl, C 3-6 cycloalkyl, —(C 1-6 alkylene)-(C 3-6 cycloalkyl), or aryl, each of which is optionally substituted with 1, 2, or 3 substituents independently selected from the group consisting of halogen, hydroxyl, or —CO 2 R 4 ; or R 8 is —CO 2 R 4 ;
  • R 9 represents independently for each occurrence C 1-6 alkyl, C 3-6 cycloalkyl, —(C 1-6 alkylene)-(C 3-6 cycloalkyl), C 1-6 haloalkyl, or C 1-6 hydroxyalkyl;
  • X is one of the following:
  • Y is —C(R 6 )(R 7 )—, —O—, —C(O)—, or —S(O) p —;
  • n and p each represent independently for each occurrence 0, 1, or 2;
  • n 1, 2, or 3;
  • Formula VI is represented by:
  • A is phenylene, 5-6 membered heteroarylene, or C 3-6 heterocycloalkylene
  • R 1 represents independently for each occurrence halogen, C 1-6 alkyl, C 1-6 haloalkyl, or C 3-6 cycloalkyl;
  • R 2A is one of the following:
  • R 2B is C 1-6 alkyl, C 1-3 haloalkyl, or fluoro;
  • R 2C is hydrogen or C 1-6 alkyl
  • R 3 represents independently for each occurrence hydrogen, C 1-6 haloalkyl, halogen, hydroxyl, C 1-6 alkyl, C 3-6 cycloalkyl, C 1-6 alkoxy, C 1-6 haloalkoxy, —N(R 4 )(R 8 ), —O—(C 1-6 hydroxyalkyl), or —O—(C 1-6 alkylene)-CO 2 R 4 ; or two vicinal occurrences of R 3 are taken together with intervening atoms to form a 4-6 membered ring;
  • R 4 and R 5 each represent independently for each occurrence hydrogen, C 1-6 alkyl, or C 3-6 cycloalkyl; or an occurrence of R 4 and R 5 attached to the same nitrogen atom are taken together with the nitrogen atom to which they are attached to form a 3-8 membered heterocyclic ring;
  • R 6 and R 7 each represent independently for each occurrence hydrogen, fluoro, or C 1-6 alkyl, or R 6 and R 7 are taken together with the carbon atom to which they are attached to form a 3-6 membered carbocyclic ring; or R 6 and a vicinal occurrence of R 2B are taken together to form a bond;
  • R 8 represents independently for each occurrence C 1-6 alkyl, C 3-6 cycloalkyl, —(C 1-6 alkylene)-(C 3-6 cycloalkyl), or aryl, each of which is optionally substituted with 1, 2, or 3 substituents independently selected from the group consisting of halogen, hydroxyl, or —CO 2 R 4 ; or R 8 is —CO 2 R 4 ;
  • R 9 represents independently for each occurrence C 1-6 alkyl, C 3-6 cycloalkyl, —(C 1-6 alkylene)-(C 3-6 cycloalkyl), C 1-6 haloalkyl, or C 1-6 hydroxyalkyl;
  • X is C 4-7 cycloalkenyl, C 3-7 cycloalkyl, or an 8-10 membered, bicyclic partially saturated carbocyclyl, each of which is optionally substituted with 1, 2, or 3 substituents independently selected from the group consisting of halogen, C 1-6 haloalkyl, C 1-6 alkyl, C 3-6 cycloalkyl, C 1-6 alkoxy, C 1-6 haloalkoxy, —S—(C 1-6 alkyl), hydroxyl, cyano, —C(O)R 9 , and —SO 2 R 9 ;
  • Y is —C(R 6 )(R 7 )—, —O—, —C(O)—, or —S(O) p —;
  • n and p each represent independently for each occurrence 0, 1, or 2;
  • n 1, 2, or 3.
  • the compound is a compound of Formula V or a pharmaceutically acceptable salt thereof. In certain embodiments, the compound is a compound of Formula VI or a pharmaceutically acceptable salt thereof.
  • A is phenylene or 5-6 membered heteroarylene.
  • R 1 represents independently for each occurrence halogen or C 1-6 alkyl.
  • R 3 represents independently for each occurrence hydrogen, C 1-6 haloalkyl, halogen, hydroxyl, C 1-6 alkyl, C 3-4 cycloalkyl, C 1-6 alkoxy, or C 1-6 haloalkoxy.
  • R 4 and R 5 each represent independently for each occurrence hydrogen, C 1-6 alkyl, or C 3-6 cycloalkyl; or an occurrence of R 4 and R 5 attached to the same nitrogen atom are taken together with the nitrogen atom to which they are attached to form a 3-8 membered heterocyclic ring, wherein the heterocyclic ring is substituted with 1, 2, or 3 substituents independently selected from the group consisting of halogen, C 1-6 haloalkyl, C 1-6 alkyl, C 3-6 cycloalkyl, C 1-6 alkoxy, C 1-6 haloalkoxy, hydroxyl, cyano, oxo, —CO 2 R 10 , —C(O)R 9 , —SO 2 R 9 , —N(R 10 )C(O)R 12 , and —C(O)N(R 10 )(R 11 ); wherein R 10 and R 11 each represent independently for each occurrence hydrogen or C 1-6 alkyl, or R
  • R 4 and R 5 are taken together with the nitrogen atom to which they are attached to form a 3-8 membered heterocyclic ring substituted with 1, 2, or 3 substituents independently selected from the group consisting of C 1-6 haloalkyl, C 1-6 alkyl, and —CO 2 R 10 , where R 10 is hydrogen or C 1-6 alkyl.
  • Y is —C(R 6 )(R 7 )—. In certain other embodiments, Y is —O—. In yet other embodiments, Y is —S(O) p —.
  • X is —O-aralkyl, —O-heteroaralkyl, —O-phenyl, —O-heteroaryl, —O-(partially unsaturated bicyclic carbocyclyl), —O—(C 1-6 alkylene)-(C 3-6 cycloalkyl), —O—(C 3-6 cycloalkyl), —N(R 4 )-aralkyl, —N(R 4 )-phenyl, —N(R 4 )-(partially unsaturated bicyclic carbocyclyl), or —N(R 4 )—(C 1-6 alkylene)-(C 3-6 cycloalkyl), each of which is optionally substituted with 1, 2, or 3 substituents independently selected from the group consisting of halogen, C 1-6 haloalkyl, C 1-6 alkyl, C 3-6 cycloalkyl, C 1-6 alkoxy,
  • X is —S-aralkyl, —S-heteroaralkyl, —S-phenyl, —S-heteroaryl, —S-(partially unsaturated bicyclic carbocyclyl), —S—(C 1-6 alkylene)-(C 3-6 cycloalkyl), or —S—(C 3-6 cycloalkyl), each of which is optionally substituted with 1, 2, or 3 substituents independently selected from the group consisting of halogen, C 1-6 haloalkyl, C 1-6 alkyl, C 3-6 cycloalkyl, C 1-6 alkoxy, C 1-6 haloalkoxy, —S—(C 1-6 alkyl), hydroxyl, cyano, —C(O)R 9 , and —SO 2 R 9 .
  • X is —(C 2-6 alkenylene)-phenyl, —(C 2-6 alkenylene)-heteroaryl, —(C 2-6 alkenylene)-(partially unsaturated 8-10 membered bicyclic ring containing 0-3 heteroatoms), —(C 1-6 alkylene)-phenyl, —(C 1-6 alkylene)-heteroaryl, —(C 1-6 alkylene)-(partially unsaturated bicyclic heterocyclyl), —(C 1-6 alkylene)-(partially unsaturated bicyclic oxo-heterocyclyl), —(C 1-6 alkylene)-(C 3 -C 6 cycloalkyl), -(5-6 membered heterocycloalkylene)-phenyl, or —(C 3-6 cycloalkylene)-phenyl, each of which is optionally substituted with 1, 2, or 3 substituents independently selected from the
  • X is —(C 1-6 alkylene)-Z 1 or —(C 2-6 alkenylene)-Z 1 , wherein Z 1 is —O-aralkyl, —O-heteroaralkyl, —O-phenyl, —O-heteroaryl, —O-(partially unsaturated bicyclic carbocyclyl), —O—(C 1-6 alkylene)-(C 3-6 cycloalkyl), —O—(C 3-6 cycloalkyl), —N(R 4 )-aralkyl, —N(R 4 )-phenyl, —N(R 4 )-(partially unsaturated bicyclic carbocyclyl), —N(R 4 )—(C 1-6 alkylene)-(C 3-6 cycloalkyl), or —N(R 4 )—(C 3-6 cycloalkyl), each of which is optionally substituted with 1, 2, or 3
  • R 2A is C 1-6 alkyl substituted with 1 or 2 substituents independently selected from the group consisting of —CO 2 R 4 , —C(O)N(R 4 )(R 5 ), —C(O)—N(R 4 )—(C 1-4 alkylene)-CO 2 R 4 , —N(R 4 )C(O)R 8 , —CN, halogen, hydroxyl, C 1-6 alkoxy, C 1-6 haloalkoxy, C 1-6 haloalkyl, —N(R 4 )(R 5 ), —N(R 4 )C(O)N(R 4 )(R 5 ), —N(R 4 )CO 2 R 9 , —N(R 4 )S(O) 2 R 9 , and —N(R 4 )S(O) 2 N(R 4 )(R 5 ).
  • R 2A is C 1-6 alkyl substituted by —C(O)N(R 4 )(R 5 ), where R 4 and R 5 are taken together with the nitrogen atom to which they are attached to form a 3-8 membered heterocyclic ring substituted with 1, 2, or 3 substituents independently selected from the group consisting of C 1-6 haloalkyl, C 1-6 alkyl, and —CO 2 R 10 , where R 10 is hydrogen or C 1-6 alkyl.
  • variables in Formula V and VI above encompass multiple chemical groups.
  • the application contemplates embodiments where, for example, i) the definition of a variable is a single chemical group selected from those chemical groups set forth above, ii) the definition of a variable is a collection of two or more of the chemical groups selected from those set forth above, and iii) the compound is defined by a combination of variables in which the variables are defined by (i) or (ii).
  • the compound is a compound defined by one of the following formulae where variables X and Z are as defined in Table 2, or a pharmaceutically acceptable salt thereof.
  • Scheme 20 is a general method of preparing substituted (2S,4R)-2-substituted-4-(aryl or heteroaryl sulfonyl)chroman F.
  • Treatment of sulfone D with n-butyl lithium, tert-butoxide or another suitable base forms an anion which can be alkylated with an epoxide to afford alcohol E.
  • Treatment of alcohol E with sodium hydride or another suitable base affords the chroman F.
  • Scheme 21 illustrates another general method of forming substituted (benzyl or heteroarylalkyl sulfonyl)benzene E.
  • Condensation of 2-hydroxyacetophenone A with aldehyde B catalyzed by pyrrolidine affords chromanone C.
  • Addition of a thiol to chromanone C under acidic conditions (e.g., BF 3 -etherate or trifluoroacetic acid) in the presence of a reductant (e.g., triethylsilane or pyridine borane) affords sulfide D.
  • Oxidation of sulfide D with metachloroperbenzoic acid, oxone, or other suitable oxidant affords substituted (benzyl or heteroarylalkyl sulfonyl)benzene E.
  • Scheme 22 illustrates a general method of forming substituted 1-(phenyl or heteroarylsulfonyl)-1,2,3,4-tetrahydronaphthalene C.
  • a thiol under acidic conditions (e.g., BF 3 -etherate or trifluoroacetic acid) in the presence of a reductant (triethylsilane or pyridine borane) to the tetralone A affords sulfide B.
  • Oxidation of sulfide B with metachloroperbenzoic acid, oxone, or other suitable oxidant affords the 1-(phenyl or heteroarylsulfonyl)-1,2,3,4-tetrahydronaphthalene C.
  • tetrahydroquinolinyl and related compounds described herein such as a compound of Formula I, I-1, I-A, I-B, II, II-1, II-A, II-B, or other compounds in Section I such as a compound of Formula III, IV, V, or VI, provide therapeutic benefits to subjects suffering from a cancer, bacterial infection, fungal infection, or immune deficiency disorder.
  • a disorder selected from the group consisting of cancer, bacterial infection, fungal infection, and immune deficiency disorder.
  • the method comprises administering a therapeutically effective amount of a tetrahydroquinolinyl or related compound described herein, such as a compound of Formula I, I-1, I-A, I-B, II, II-1, II-A, II-B, or other compounds in Section I such as a compound of Formula III, IV, V, or VI, to a subject in need thereof to ameliorate a symptom of the disorder.
  • a tetrahydroquinolinyl or related compound described herein such as a compound of Formula I, I-1, I-A, I-B, II, II-1, II-A, II-B, or other compounds in Section I such as a compound of Formula III, IV, V, or VI
  • the particular compound of Formula I, I-1, I-A, I-B, II, II-1, II-A, or II-B is a compound defined by one of the embodiments described above.
  • the disorder is cancer.
  • the cancer is a solid tumor or leukemia.
  • the cancer is colon cancer, pancreatic cancer, breast cancer, ovarian cancer, prostate cancer, squamous cell carcinoma, basal cell carcinoma, adenocarcinoma, sweat gland carcinoma, sebaceous gland carcinoma, lung cancer, leukemia, bladder cancer, stomach cancer, cervical cancer, testicular cancer, skin cancer, rectal cancer, thyroid cancer, kidney cancer, uterus cancer, espophagus cancer, liver cancer, an acoustic neuroma, oligodendroglioma, meningioma, neuroblastoma, or retinoblastoma.
  • the cancer is small cell lung cancer, non-small cell lung cancer, melanoma, cancer of the central nervous system tissue, brain cancer, Hodgkin's lymphoma, non-Hodgkin's lymphoma, cutaneous T-Cell lymphoma, cutaneous B-Cell lymphoma, or diffuse large B-Cell lymphoma.
  • the cancer is breast cancer, colon cancer, small-cell lung cancer, non-small cell lung cancer, prostate cancer, renal cancer, ovarian cancer, leukemia, melanoma, or cancer of the central nervous system tissue.
  • the cancer is colon cancer, small-cell lung cancer, non-small cell lung cancer, renal cancer, ovarian cancer, renal cancer, or melanoma.
  • the cancer is non-Hodgkin's lymphoma.
  • the non-Hodgkin's lymphoma is a B-cell lymphoma, such as a diffuse large B-cell lymphoma, primary mediastinal B-cell lymphoma, follicular lymphoma, small lymphocytic lymphoma, mantle cell lymphoma, marginal zone B-cell lymphoma, extranodal marginal zone B-cell lymphoma, nodal marginal zone B-cell lymphoma, splenic marginal zone B-cell lymphoma, Burkitt lymphoma, lymphoplasmacytic lymphoma, hairy cell leukemia, or primary central nervous system (CNS) lymphoma.
  • B-cell lymphoma such as a diffuse large B-cell lymphoma, primary mediastinal B-cell lymphoma, follicular lymphoma, small lymphocytic lymphoma, mantle cell lymphoma,
  • the non-Hodgkin's lymphoma is a T-cell lymphoma, such as a precursor T-lymphoblastic lymphoma, peripheral T-cell lymphoma, cutaneous T-cell lymphoma, angioimmunoblastic T-cell lymphoma, extranodal natural killer/T-cell lymphoma, enteropathy type T-cell lymphoma, subcutaneous panniculitis-like T-cell lymphoma, anaplastic large cell lymphoma, or peripheral T-cell lymphoma.
  • T-cell lymphoma such as a precursor T-lymphoblastic lymphoma, peripheral T-cell lymphoma, cutaneous T-cell lymphoma, angioimmunoblastic T-cell lymphoma, extranodal natural killer/T-cell lymphoma, enteropathy type T-cell lymphoma, subcutaneous panniculitis-like T-cell lymphoma, anaplastic large cell lymphoma, or
  • the leukemia is chronic lymphocytic leukemia, acute myelogenous leukemia, chronic myelogenous leukemia, or acute lymphoblastic leukemia.
  • the cancer is a vascularized tumor, squamous cell carcinoma, adenocarcinoma, small cell carcinoma, melanoma, glioma, neuroblastoma, sarcoma (e.g., an angiosarcoma or chondrosarcoma), astrocytic tumor, bartholin gland carcinoma, basal cell carcinoma, biliary cancer, bone cancer, bone marrow cancer, bronchial cancer, bronchial gland carcinoma, carcinoid, cholangiocarcinoma, chondrosarcoma, choriod plexus papilloma/carcinoma, gastric antrum cancer, gastric fundus cancer, gastrinoma, glioblastoma, glucagonoma, heart cancer, hemangioblastomas, hemangioendothelioma, hemangiomas, hepatic adenoma, hepatic adenomatosis, he
  • Additional exemplary cancers include fibrosarcoma, myxosarcoma, liposarcoma, chondrosarcoma, osteogenic sarcoma, chordoma, angiosarcoma, endotheliosarcoma, lymphangiosarcoma, lymphangioendotheliosarcoma, Ewing's tumor, leiomyosarcoma, rhabdomyosarcoma, squamous cell carcinoma, basal cell carcinoma, adenocarcinoma, sweat gland carcinoma, sebaceous gland carcinoma, papillary carcinoma, papillary adenocarcinomas, cystadenocarcinoma, medullary carcinoma, bronchogenic carcinoma, renal cell carcinoma, hepatoma, bile duct carcinoma, choriocarcinoma, seminoma, embryonal carcinoma, Wilms' tumor, epithelial carcinoma, glioma, astrocytoma, medulloblastoma, and he
  • the cancer is a neuroblastoma, meningioma, hemangiopericytoma, multiple brain metastase, glioblastoma multiforms, glioblastoma, brain stem glioma, poor prognosis malignant brain tumor, malignant glioma, anaplastic astrocytoma, anaplastic oligodendroglioma, neuroendocrine tumor, rectal adeno carcinoma, Dukes C & D colorectal cancer, unresectable colorectal carcinoma, metastatic hepatocellular carcinoma, Kaposi's sarcoma, karotype acute myeloblastic leukemia, Hodgkin's lymphoma, non-Hodgkin's lymphoma, cutaneous T-Cell lymphoma, cutaneous B-Cell lymphoma, diffuse large B-Cell lymphoma, low grade follicular lymphoma, metastatic melanoma, localized
  • the disorder is a bacterial infection.
  • the bacterial infection can be characterized according to classifications known in the art.
  • the bacterial infection is a gram-positive bacterial infection, such as a gram-positive cocci bacterial infection or a gram-positive bacilli bacterial infection.
  • the bacterial infection is a gram-negative bacterial infection, such as a gram-negative cocci bacterial infection or a gram-negative bacilli bacterial infection.
  • the bacterial infection can also be characterized according to whether it is caused by anaerobic or aerobic bacteria. Accordingly, in certain embodiments, the bacterial infection is an anaerobic bacterial infection. In certain other embodiments, the bacterial infection is an aerobic bacterial infection.
  • bacteria are contemplated to be susceptible to the tetrahydroquinoline compounds.
  • Representative bacteria include Staphylococci species, e.g., S. aureus; Enterococci species, e.g., E. faecalis and E. faecium; Streptococci species, e.g., S. pyogenes and S. pneumoniae; Escherichia species, e.g., E. coli , including enterotoxigenic, enteropathogenic, enteroinvasive, enterohemorrhagic and enteroaggregative E. coli strains; Haemophilus species, e.g., H. influenza ; and Moraxella species, e.g., M.
  • catarrhalis examples include Mycobacteria species, e.g., M. tuberculosis, M. avian - intracellulare, M. kansasii, M. bovis, M. africanum, M. genavense, M. leprae, M. xenopi, M. simiae, M. scrofulaceum, M. malmoense, M. celatum, M. abscessus, M. chelonae, M. szulgai, M. gordonae, M. haemophilum, M. fortuni and M. marinum; Corynebacteria species, e.g., C.
  • Vibrio species e.g., V. cholerae
  • Campylobacter species e.g., C. jejuni
  • Helicobacter species e.g., H. pylori
  • Pseudomonas species e.g., P. aeruginosa
  • Legionella species e.g., L. pneumophila
  • Treponema species e.g., T. pallidum
  • Borrelia species e.g., B. burgdorferi
  • Listeria species e.g., L. monocytogenes
  • Bacillus species e.g., B. cereus
  • Bordatella species e.g., B.
  • Clostridium species e.g., C. perfringens, C. tetani, C. difficile and C. botulinum
  • Neisseria species e.g., N. meningitidis and N. gonorrhoeae
  • Chlamydia species e.g., C. psittaci, C. pneumoniae and C. trachomatis
  • Rickettsia species e.g., R. rickettsii and R. prowazekii
  • Shigella species e.g., S. sonnei
  • Salmonella species e.g., S.
  • the compounds described herein are used to treat a subject suffering from a bacterial infection selected from the group consisting of S. aureus, E. faecalis, E. faecium, S. pyogenes, S. pneumonia , and P. aeruginosa.
  • the antibacterial activity of compounds described herein may be evaluated using assays known in the art, such as the microbroth dilution minimum inhibition concentration (MIC) assay, as further described in National Committee for Clinical Laboratory Standards. Performance Standards for Antimicrobial Susceptibility Testing; Fourteenth Informational Supplement. NCCLS document M100-S14 ⁇ ISBN 1-56238-516-X ⁇ .
  • This assay may be used to determine the minimum concentration of a compound necessary to prevent visible bacterial growth in a solution.
  • the drug to be tested is serially diluted into wells, and aliquots of liquid bacterial culture are added. This mixture is incubated under appropriate conditions, and then tested for growth of the bacteria. Compounds with low or no antibiotic activity (a high MIC) will allow growth at high concentrations of compound, while compounds with high antibiotic activity will allow bacterial growth only at lower concentrations (a low MIC).
  • the assay uses stock bacterial culture conditions appropriate for the chosen strain of bacteria.
  • Stock cultures from the permanent stock culture collection can be stored as frozen suspensions at ⁇ 70° C. Cultures may be suspended in 10% skim milk (BD) prior to snap freezing in dry ice/ethanol and then placed in a ⁇ 70° C. freezer. Cultures may be maintained on Tryptic Soy Agar containing 5% Sheep Blood at room temperature (20° C.), and each culture may be recovered from frozen form and transferred an additional time before MIC testing. Fresh plates are inoculated the day before testing, incubated overnight, and checked to confirm purity and identity.
  • BD skim milk
  • the identity and purity of the cultures recovered from the stock culture can be confirmed to rule out the possibility of contamination.
  • the identity of the strains may be confirmed by standard microbiological methods (See, e.g., Murray et al., Manual of Clinical Microbiology, Eighth Edition. ASM Press ⁇ ISBN 1-55581-255-4 ⁇ ). In general, cultures are streaked onto appropriate agar plates for visualization of purity, expected colony morphology, and hemolytic patterns. Gram stains can also be utilized.
  • the identities are confirmed using a MicroScan WalkAway 40 SI Instrument (Dade Behring, West Sacramento, Calif.). This device utilizes an automated incubator, reader, and computer to assess for identification purposes the biochemical reactions carried out by each organism.
  • the MicroScan WalkAway can also be used to determine a preliminary MIC, which may be confirmed using the method described below.
  • Frozen stock cultures may be used as the initial source of organisms for performing microbroth dilution minimum inhibition concentration (MIC) testing. Stock cultures are passed on their standard growth medium for at least 1 growth cycle (18-24 hours) prior to their use. Most bacteria may be prepared directly from agar plates in 10 mL aliquots of the appropriate broth medium. Bacterial cultures are adjusted to the opacity of a 0.5 McFarland Standard (optical density value of 0.28-0.33 on a Perkin-Elmer Lambda EZ150 Spectrophotometer, Wellesley, Mass., set at a wavelength of 600 nm).
  • MIC microbroth dilution minimum inhibition concentration
  • the adjusted cultures are then diluted 400 fold (0.25 mL inoculum+100 mL broth) in growth media to produce a starting suspension of approximately 5 ⁇ 105 colony forming units (CFU)/mL.
  • Most bacterial strains may be tested in cation adjusted Mueller Hinton Broth (CAMHB).
  • Test compounds are solubilized in a solvent suitable for the assay, such as DMSO.
  • Drug stock solutions may be prepared on the day of testing.
  • Microbroth dilution stock plates may be prepared in two dilution series, 64 to 0.06 g drug/mL and 0.25 to 0.00025 g drug/mL.
  • 200 ⁇ L of stock solution (2 mg/mL) is added to duplicate rows of a 96-well microtiter plate. This is used as the first well in the dilution series.
  • Serial two-fold decremental dilutions are made using a BioMek FX robot (Beckman Coulter Inc., Fullerton, Calif.) with 10 of the remaining 11 wells, each of which will contain 100 ⁇ L of the appropriate solvent/diluent.
  • Row 12 contains solvent/diluent only and serves as the control.
  • 200 ⁇ L of an 8 ⁇ g/mL stock are added to duplicate rows of a 96-well plate.
  • Serial two-fold dilutions are made as described above.
  • Daughter 96-well plates may be spotted (3.2 ⁇ L/well) from the stock plates listed above using the BioMek FX robot and used immediately or frozen at ⁇ 70° C. until use. Aerobic organisms are inoculated (100 ⁇ L volumes) into the thawed plates using the BioMek FX robot. The inoculated plates are be placed in stacks and covered with an empty plate. These plates are then incubated for 16 to 24 hours in ambient atmosphere according to CLSI guidelines (National Committee for Clinical Laboratory Standards, Methods for Dilution, Antimicrobial Tests for Bacteria that Grow Aerobically; Approved Standard-Sixth Edition. NCCLS document M7-A6 ⁇ ISBN 1-56238-486-4 ⁇ ).
  • the degree of bacterial growth can be estimated visually with the aid of a Test Reading Mirror (Dynex Technologies 220 16) in a darkened room with a single light shining directly through the top of the microbroth tray.
  • the MIC is the lowest concentration of drug that prevents macroscopically visible growth under the conditions of the test.
  • the disorder is a fungal infection.
  • fungi that may be treated include, for example, Acremonium, Absidia (e.g., Absidia corymbifera ), Alternaria, Aspergillus (e.g., Aspergillus clavatus, Aspergillus flavus, Aspergillus fumigatus, Aspergillus nidulans, Aspergillus niger, Aspergillus terreus , and Aspergillus versicolor ), Aureobasidium, Basidiobolus, Blastomyces (e.g., Blastomyces dermatitidis ), Candida (e.g., Candida albicans, Candida glabrata, Candida guilliermondii, Candida kefyr, Candida krusei, Candida lusitaniae, Candida parapsilosis, Candida pseudotropicalis, Candida stellatoidea, Candida tropicalis, Candida utilis, Candida lipolytica,
  • Absidia
  • Saccharomyces e.g., Saccharomyces cerevisiae
  • Scopulariopsis Sporothrix (e.g., Sporothrix schenckii )
  • Trichophyton e.g., Trichophyton mentagrophytes and Trichophyton rubrum
  • Trichosporon e.g., Trichosporon asahii, Trichosporon beigelii and Trichosporon cutaneum
  • Wangiella e.g., Trichosporon asahii, Trichosporon beigelii and Trichosporon cutaneum
  • the disorder is an immune deficiency disorder.
  • immune deficiency disorders include, for example, a human immunodeficiency viral infection, a patient with a deficient immune system due to chemotherapy, or a patient recovering from surgery who has a deficient immune system.
  • the subject is a human.
  • Another aspect of the invention provides for the use of a compound described herein (such as a compound of Formula I, I-1, I-A, I-B, II, II-1, II-A, II-B, or other compounds in Section I such as a compound of Formula III, IV, V, or VI) in the manufacture of a medicament.
  • the medicament is for treating a disorder described herein, such as cancer.
  • Another aspect of the invention provides for the use of a compound described herein (such as a compound of Formula I, I-1, I-A, I-B, II, II-1, II-A, II-B, or other compounds in Section I such as a compound of Formula III, IV, V, or VI) for treating a medical disorder, such a medical disorder described herein (e.g., cancer).
  • a compound described herein such as a compound of Formula I, I-1, I-A, I-B, II, II-1, II-A, II-B, or other compounds in Section I such as a compound of Formula III, IV, V, or VI
  • a medical disorder described herein e.g., cancer
  • tetrahydroquinolinyl and related compounds described herein such as a compound of Formula I, I-1, I-A, I-B, II, II-1, II-A, II-B, or other compounds in Section I such as a compound of Formula III, IV, V, or VI, can promote the activity of ROR ⁇ . Accordingly, another aspect of the invention provides a method of promoting the activity of ROR ⁇ .
  • the method comprises exposing a ROR ⁇ to an effective amount of a tetrahydroquinolinyl or related compound described herein, such as a compound of Formula I, I-1, I-A, I-B, II, II-1, II-A, II-B, or other compounds in Section I such as a compound of Formula III, IV, V, or VI, to promote ROR ⁇ activity.
  • a tetrahydroquinolinyl or related compound described herein such as a compound of Formula I, I-1, I-A, I-B, II, II-1, II-A, II-B, or other compounds in Section I such as a compound of Formula III, IV, V, or VI, to promote ROR ⁇ activity.
  • the particular compound of Formula I, I-1, I-A, I-B, II, II-1, II-A, or II-B is the compound defined by one of the embodiments described above. Promoting the activity of ROR ⁇ means to increase the activity of ROR ⁇ .
  • exposing a ROR ⁇ to an effective amount of a tetrahydroquinolinyl or related compound described herein results in an increase in ROR ⁇ activity of at least 5%, 10%, 20%, or 50% relative to the activity of ROR ⁇ under substantially the same conditions but without the presence of the tetrahydroquinolinyl or related compound.
  • tetrahydroquinolinyl and related compounds described herein such as a compound of Formula I, I-1, I-A, I-B, II, II-1, II-A, II-B, or other compounds in Section I such as a compound of Formula III, IV, V, or VI, can increase the amount of interleukin-17 (IL-17) in a subject.
  • IL-17 is a cytokine that affects numerous biological functions. Accordingly, another aspect of the invention provides a method of increasing the amount of IL-17 in a subject.
  • the method comprises administering to a subject an effective amount of a tetrahydroquinolinyl or related compound described herein, such as a compound of Formula I, I-1, I-A, I-B, II, II-1, II-A, II-B, or other compounds in Section I such as a compound of Formula III, IV, V, or VI, to increase the amount of IL-17 in the subject.
  • a tetrahydroquinolinyl or related compound described herein such as a compound of Formula I, I-1, I-A, I-B, II, II-1, II-A, II-B, or other compounds in Section I such as a compound of Formula III, IV, V, or VI, to increase the amount of IL-17 in the subject.
  • the particular compound of Formula I, I-1, I-A, I-B, II, II-1, II-A, or II-B is the compound defined by one of the embodiments described above.
  • the subject is a human.
  • administering the compound increases the amount of IL-17 produced by Th-17 cells in the subject.
  • a change in the amount of IL-17 produced by, for example, Th-17 cells can be measured using procedures described in the literature, such as an ELISA assay or intracellular staining assay.
  • tetrahydroquinolinyl and related compounds described herein such as a compound of Formula I, I-1, I-A, I-B, II, II-1, II-A, II-B, or other compounds in Section I such as a compound of Formula III, IV, V, or VI, may increase the synthesis of IL-17 in a subject.
  • another aspect of the invention provides a method of increasing the synthesis of IL-17 in a subject.
  • the method comprises administering to a subject an effective amount of a compound described herein, e.g., a compound of Formula I, I-1, I-A, I-B, II, II-1, II-A, II-B, or other compounds in Section I such as a compound of Formula III, IV, V, or VI, to increase the synthesis of IL-17 in the subject.
  • a compound described herein e.g., a compound of Formula I, I-1, I-A, I-B, II, II-1, II-A, II-B, or other compounds in Section I such as a compound of Formula III, IV, V, or VI.
  • the particular compound of Formula I, I-1, I-A, I-B, II, II-1, II-A, or II-B is a compound defined by one of the embodiments described above.
  • ROR ⁇ agonist compounds described herein may also be used in adoptive cellular therapy to treat various medical disorders, such as cancer, bacterial infections, fungal infections, and immune disorders.
  • Cells e.g., lymphocyte cells or dendritic cells
  • an ROR ⁇ agonist compound herein are exposed ex vivo to an ROR ⁇ agonist compound herein, and then the treated cells are administered to a patient.
  • adoptive cellular transfer cells are obtained from a source (typically the patient in need of treatment), cultured ex vivo with an agent, and then the resulting cells are administered to the patient in need of therapy.
  • the culturing typically subjects the cells to conditions whereby the cells increase in number (i.e., expansion) and/or acquire features providing improved therapeutic benefit.
  • General features of the adoptive cellular therapy methods and compositions are described below, along with more specific embodiments of the lymphocyte cells, dendritic cells, and procedures for isolating and culturing cells.
  • one aspect of the invention provides a method of delivering to a patient a ROR ⁇ agonist treated cell selected from the group consisting of a lymphocyte cell and dendritic cell.
  • the method comprises administering to a patient in need thereof a pharmaceutical composition comprising said cell that has been exposed ex vivo to an agonist of ROR ⁇ described herein, such as a compound of Formula I, I-1, I-A, or II.
  • the method may further comprise a culturing step.
  • the method further comprises culturing a cell (i.e., the lymphocyte cell or dendritic cell) with an agonist of ROR ⁇ to provide the cell that has been exposed ex vivo to the agonist of ROR ⁇ .
  • the culturing may comprise exposing the cell to a cytokine (e.g., IL-10, IL-2, IL-6, IL-7, IL-10, IL-12, IL-15, IL-18, IL-21, IL-23, or transforming growth factor beta).
  • a cytokine e.g., IL-10, IL-2, IL-6, IL-7, IL-10, IL-12, IL-15, IL-18, IL-21, IL-23, or transforming growth factor beta.
  • the cell may be exposed to an antigen associated with a medical disorder.
  • the antigen may be an antigen presenting cell.
  • the antigen may comprise cancer tissue.
  • the cell may be genetically altered to express a receptor specific to an antigen associated with a medical disorder.
  • the cell may be autologous or allogenic.
  • Autologous cells are cells obtained from the patient whom will receive the cell exposed ex vivo to an agonist of ROR ⁇ .
  • the method may further comprise obtaining a cell from said patient, for use in the culturing step.
  • the cells may be allogenic, i.e., obtained from a subject that produces cells allogenic to cells of the patient.
  • the method may further comprise obtaining a cell from a subject that produces cells allogenic to lymphocyte cells of the patient, for use in the culturing step.
  • the cell is a lymphocyte cell.
  • Lymphocyte cells can be obtained from human or animal tissues according to procedures described in the literature.
  • the lymphocyte cell is obtained from blood, cancer tissue, bone marrow, the spleen, a lymph node, or the thymus.
  • the lymphocyte cell is obtained from a population of peripheral blood mononuclear cells, such as human peripheral blood mononuclear cells.
  • the lymphocyte cell is obtained from a lymph node in proximity to a tumor or site of infection.
  • the lymphocyte cell is obtained from cancer tissue.
  • the lymphocyte cell is a tumor-infiltrating-lymphocyte cell.
  • Cells can be characterized according to the presence of a receptor for an antigen specific for a medical disorder.
  • the cell expresses a receptor for an antigen specific for a medical disorder.
  • such cells may provide more effective therapies for treating disease since the cells are more likely to target tissue specific to the disease to be treated.
  • the medical disorder is a cancer, bacterial infection, fungal infection, or immune disorder.
  • the cell may express a receptor that, while not specific for a medical disorder, has utility in enhancing cell efficacy in treating the disorder.
  • the lymphocyte cell is a T cell.
  • the lymphocyte cell is a CD8 + T cell, CD4 + T cell, or T H 17 cell.
  • the lymphocyte cell is a CD8 + T cell, CD4 + T cell, or a combination thereof.
  • the lymphocyte cell is a natural killer cell.
  • the lymphocyte cell is a Tc17 cell, natural killer T cell, or ⁇ T cell.
  • the lymphocyte cell is a genetically altered lymphocyte cell.
  • Cells may be administered to the patient according to procedures described in the literature.
  • the administering comprises injecting into the patient the pharmaceutical composition.
  • the injecting may be intravenous injection or injection directly into diseased tissue, such as a tumor.
  • the injecting may be subcutaneous injection into the patient.
  • the therapeutic method embraces combination therapies, such as administering (i) an agent that enhances the efficacy of the cell exposed to the agonist of ROR ⁇ and/or (ii) an agent having independent efficacy in treating the target medical disorder.
  • Another aspect of the invention provides a method of preparing a population of cells that have been exposed ex vivo to an agonist of ROR ⁇ described herein, where the cells are lymphocyte cells and/or dendritic cells.
  • the method comprises exposing a population of cells selected from the group consisting of lymphocyte cells and dendritic cells ex vivo to an agonist of ROR ⁇ described herein to thereby provide said population of cells that have been exposed ex vivo to an agonist of ROR ⁇ .
  • the population of cells may be used in therapeutic methods described herein.
  • the exposing step may comprise culturing a population of cells with the agonist of ROR ⁇ for a duration of time sufficient to increase the number of cells in the population.
  • the culturing may comprise exposing the cell to a cytokine (e.g., IL-1 ⁇ , IL-2, IL-6, IL-7, IL-10, IL-12, IL-15, IL-18, IL-21, IL-23, or transforming growth factor beta).
  • a cytokine e.g., IL-1 ⁇ , IL-2, IL-6, IL-7, IL-10, IL-12, IL-15, IL-18, IL-21, IL-23, or transforming growth factor beta
  • the cell may optionally be exposed to an antigen associated with a medical disorder.
  • the culturing step comprises exposing the cell to an antigen associated with a medical disorder.
  • the antigen may be an antigen presenting cell.
  • the antigen may comprise cancer tissue.
  • the cell may be autologous or allogenic.
  • Autologous cells are cells obtained from the patient whom will receive the cell exposed ex vivo to an agonist of ROR ⁇ .
  • the method may further comprise obtaining a cell (i.e., a lymphocyte or dendritic cell) from said patient for use in the culturing step.
  • the cells may be allogenic, i.e., obtained from subject that produces cells allogenic to cells of the patient.
  • the method may further comprise obtaining a cell from a subject that produces cells allogenic to cells of the patient, for use in the culturing step.
  • the cell is a lymphocyte cell. Lymphocyte cells can be obtained from human or animal tissues according to procedures described in the literature.
  • the lymphocyte cell is obtained from blood, cancer tissue, bone marrow, the spleen, a lymph node, or the thymus. In certain other embodiments, the lymphocyte cell is obtained from a population of peripheral blood mononuclear cells, such as human peripheral blood mononuclear cells. In certain other embodiments, the lymphocyte cell is obtained from a lymph node in proximity to a tumor or site of infection. In certain other embodiments, the lymphocyte cell is obtained from cancer tissue. In yet other embodiments, the lymphocyte cell is a tumor-infiltrating-lymphocyte cell.
  • Cells can be characterized according to the presence of a receptor for an antigen specific for a medical disorder.
  • the cell expresses a receptor for an antigen specific for a medical disorder.
  • such cells may provide more effective therapies for treating disease since the cells is more likely to target tissue specific to the disease to be treated.
  • the medical disorder is a cancer, bacterial infection, fungal infection, or immune disorder.
  • the cell may express a receptor that, while not specific for a medical disorder, has utility in enhancing cell efficacy in treating the disorder.
  • the lymphocyte cell is a T cell.
  • the lymphocyte cell is a CD8 + T cell, CD4 + T cell, or T H 17 cell.
  • the lymphocyte cell is a CD8 + T cell, CD4 + T cell, or a combination thereof.
  • the lymphocyte cell is a natural killer cell.
  • the lymphocyte cell is a Tc17, natural killer T cell, or ⁇ T cell.
  • the lymphocyte cell is a genetically altered lymphocyte cell.
  • Another aspect of the invention provides a method of treating a medical disorder.
  • the method comprises administering to a patient in need thereof a cell that has been exposed ex vivo to an agonist of ROR ⁇ described herein to treat the medical disorder, wherein the cell is a lymphocyte cell or dendritic cell.
  • the medical disorder can be, for example, a cancer, bacterial infection, fungal infection, or immune disorder. Additional exemplary medical disorders are described above, and in certain embodiments, the medical disorder is a cancer selected from the group consisting of a solid tumor, lymphoma, and leukemia.
  • the medical disorder is a cancer selected from the group consisting of ovarian cancer, melanoma, colorectal cancer, lung cancer, breast cancer, prostate cancer, pancreatic cancer, renal cell carcinoma, leukemia, a B-cell lymphoma, and non-Hodgkin lymphoma.
  • Another aspect of the invention provides a population of lymphocyte cells that have been exposed ex vivo to an agonist of ROR ⁇ described herein.
  • the population may be characterized by the presence and/or quantity of particular types of cells in the population.
  • the population comprises one or more of the following: T cells and natural killer cells.
  • a majority of lymphocyte cells in the population are T cells.
  • a majority of lymphocyte cells in the population are CD8 + T cells, CD4 + T cells, T H 17 cells, or a combination thereof.
  • a majority of lymphocyte cells in the population are natural killer cells.
  • a single type of lymphocyte cell comprises at least 60%, 70% 80%, 90% or 95% of the cells in the population.
  • the population is characterized by: (i) a majority of lymphocyte cells in the population are T cells, (ii) a majority of lymphocyte cells in the population are CD8 + T cells, CD4 + T cells, T H 17 cells, or a combination thereof, (iii) a majority of lymphocyte cells in the population are Tc17 cells, (iv) a majority of lymphocyte cells in the population are natural killer cells, or (v) a majority of lymphocyte cells in the population are natural killer T cells, ⁇ T cells, or a combination thereof. In yet other embodiments, a majority of lymphocyte cells in the population are CD8 + T cells, CD4 + T cells, or a combination thereof.
  • the population is characterized by a majority of lymphocyte cells in the population are Tc17 cells, CD4+ Th0 T lymphocyte cells, Th17-polarized CD4+ T lymphocyte cells, CD8+ Tc17 T lymphocyte cells, or a combination thereof.
  • lymphocyte cells may be characterized according to whether they are a tumor infiltrating lymphocyte, na ⁇ ve T lymphocyte, memory T lymphocyte, effector T lymphocyte, CD8 + T cell, CD4 + T cell, CD4 + /CD8 + double positive T lymphocyte, CD28 + CD8 + T cell, or T H 17 cell.
  • CD8 + T cells can be separated into na ⁇ ve CD8 + T cells, memory CD8 + T cells, and effector CD8 + T cells, according to cell surface antigens characteristic to each type of cell. Whether a cell or cell population is positive for a particular cell surface marker can be determined by flow cytometry using staining with a specific antibody for the surface marker and an isotype matched control antibody.
  • a cell population negative for a marker refers to the absence of significant staining of the cell population with the specific antibody above the isotype control, and positive refers to uniform staining of the cell population above the isotype control.
  • CD4 + T helper cells can be sorted into naive, central memory, and effector cells by identifying cell populations that have cell surface antigens.
  • central memory CD4+ T cells are CD62L positive and CD45RO positive.
  • effector CD4 + T cells are CD62L and CD45RO negative.
  • the lymphocyte cell is a Th1 cell, Tc1 cell, Th0 cell, or Tc0 cell.
  • the lymphocyte cell is a CD8 + T cell, which is optionally further characterized according to the whether the CD8 + T cell is a na ⁇ ve CD8 + T cell, a memory CD8 + T cell, or an effector CD8 + T cell.
  • the lymphocyte cell is a memory CD8 + T cell, which may be further characterized according to whether the cell is CD62L positive or CD45RO positive.
  • the lymphocyte cell is an effector CD8 + T cell, which may be further characterized according to whether the cell is CD62L negative or CD45RO negative.
  • the lymphocyte cell is a CD4+ Th0 T lymphocyte, Th17-polarized CD4+ T lymphocyte, or CD8+ Tc17 T lymphocyte.
  • the lymphocyte cell is a memory T cell present in CD62L+ or CD62L ⁇ subsets of CD8+ peripheral blood lymphocytes.
  • the central memory T cells may be CD45RO+, CD62L+, CD8+ T cells.
  • effector T cells are negative for CD62L, CCR7, CD28, and CD127, and positive for granzyme B and perforin.
  • T cells can be characterized according to identity of a T cell receptor located on the surface of the T cell.
  • the T cell receptor is a disulfide-linked membrane-anchored heterodimer that normally consists of highly variable alpha ( ⁇ ) and beta ( ⁇ ) chains expressed as part of a complex with the invariant CD3 chain molecules. T cells expressing this receptor are referred to as ⁇ : ⁇ (or ⁇ ) T cells.
  • ⁇ T cells A minority of T cells express an alternate receptor, formed by variable gamma ( ⁇ ) and delta ( ⁇ ) chains, and such T cells are referred as ⁇ T cells.
  • One subtype of T cells is natural killer T (NKT) cells.
  • NKT cells are a heterogeneous group of T cells that share properties of both T cells and natural killer NK cells.
  • NKT cells recognize the non-polymorphic CD1d molecule, an antigen-presenting molecule that binds self- and foreign lipids and glycolipids.
  • Other subtypes of T cells include, for example, CD8 + T cells, CD4 + T cells, Tc17 cells, natural killer T cells, and ⁇ T cells.
  • Still other subtypes of T cells include, for example, CD4 ⁇ CD8 ⁇ T cells and CD28 + CD8 + T cells.
  • the lymphocyte cell comprises a receptor specific for an antigen of a medical condition.
  • the receptor can be the endogenous lymphocyte cell receptor, i.e., the antigen-specific lymphocyte cell receptor that is endogenous (i.e., native to) the lymphocyte.
  • the lymphocyte comprising the endogenous lymphocyte cell receptor can be a lymphocyte cell that was isolated from the patient, which is known to express the particular medical condition-specific antigen.
  • the lymphocyte comprising the endogenous lymphocyte cell receptor can be a lymphocyte cell that was isolated from a subject that produces allogenic lymphocyte cells (i.e., lymphocyte cells that are histocompatible with the patient that will receive the lymphocyte cells).
  • the subject from which lymphocyte cells are obtained may be immunized prior to obtaining the lymphocyte cells, so that the lymphocyte cells to be administered to the patient will have specificity for the medical disorder to be treated.
  • the antigen of a disease recognized by the endogenous lymphocyte cell receptor can be any antigen which is characteristic of the disease.
  • the antigen may be, for example, a tumor antigen, such as gp100, MART-1, TRP-1, TRP-2, tyrosinase, NY-ESO-1, MAGE-1, or MAGE-3.
  • Lymphocyte cells may also be characterized according to the presence of a phenotypic marker of activation for tumor reactivity, such as the presence of 4-1BBL. Populations of lymphocyte cells enriched for such a phenotypic marker may provide therapeutic advantages. Lymphocyte cells may also be characterized according to the level of expression of the ROR ⁇ . In certain embodiments, the lymphocyte cell may be induced to express or engineered to express ROR ⁇ , thereby increasing the amount of ROR ⁇ .
  • the lymphocyte cell may be a genetically modified lymphocyte cell, such as a genetically modified lymphocyte cell described in, for example, International Patent Application Publication No. WO 2012/129514, which is hereby incorporated by reference. Genetic modification of the lymphocyte may improve the efficacy of therapy by promoting the viability and/or function of transferred lymphocyte cells, provide a genetic marker to permit selection and/or evaluation of in vivo survival or migration, or may incorporate functions that improve the safety of immunotherapy, for example, by making the cell susceptible to negative selection in vivo.
  • the lymphocyte may be genetically modified so that the lymphocyte cell expresses certain proteins, such as a survival cytokine (e.g., granulocyte-macrophage colony-stimulating factor) and/or receptor for an antigen (e.g., a tumor antigen).
  • a survival cytokine e.g., granulocyte-macrophage colony-stimulating factor
  • an antigen e.g., a tumor antigen
  • lymphocyte cells are modified with chimeric antigen receptors (CAR).
  • CARs may comprise a single-chain antibody fragment (scFv) that is derived from the variable heavy (VH) and variable light (VL) chains of a monoclonal antibody (mAb) linked to the TCR CD3 + chain that mediates T-cell activation and cytotoxicity.
  • Costimulatory signals can also be provided through the CAR by fusing the costimulatory domain of CD28 or 4-1 BB to the CD3 + chain.
  • CARs are specific for cell surface molecules independent from HLA, thus overcoming the limitations of TCR-recognition including HLA-restriction and low levels of HLA-expression on tumor cells.
  • Tetrahydroquinolinyl and related compounds e.g., a compound of Formula I, I-1, I-A, I-B, II, II-1, II-A, II-B, or other compounds in Section I such as a compound of Formula III, IV, V, or VI
  • additional therapeutic agents to treat medical disorders, such as a cancer, bacterial infection, fungal infection, and immune deficiency disorder.
  • Exemplary therapeutic agents that may be used as part of a combination therapy in treating cancer, include, for example, mitomycin, tretinoin, ribomustin, gemcitabine, vincristine, etoposide, cladribine, mitobronitol, methotrexate, doxorubicin, carboquone, pentostatin, nitracrine, zinostatin, cetrorelix, letrozole, raltitrexed, daunorubicin, fadrozole, fotemustine, thymalfasin, sobuzoxane, nedaplatin, cytarabine, bicalutamide, vinorelbine, vesnarinone, aminoglutethimide, amsacrine, proglumide, elliptinium acetate, ketanserin, doxifluridine, etretinate, isotretinoin, streptozocin,
  • Immune checkpoint inhibitors are a class of therapeutic agents that have the effect of blocking immune checkpoints. See, for example, Pardoll in Nature Reviews Cancer (2012) vol. 12, pages 252-264.
  • Exemplary immune checkpoint inhibitors include agents that inhibit one or more of (i) cytotoxic T-lymphocyte-associated antigen 4 (CTLA4), (ii) programmed cell death protein 1 (PD1), (iii) PDL1, (iv) LAB3, (v) B7-H3, (vi) B7-H4, and (vii) TIM3.
  • CTLA4 inhibitor Ipilumumab has been approved by the United States Food and Drug Administration for treating melanoma.
  • agents that may be used as part of a combination therapy in treating cancer are monoclonal antibody agents that target non-checkpoint targets (e.g., herceptin) and non-cytoxic agents (e.g., tyrosine-kinase inhibitors).
  • non-checkpoint targets e.g., herceptin
  • non-cytoxic agents e.g., tyrosine-kinase inhibitors
  • Exemplary therapeutic agents that may be used as part of a combination therapy in treating a bacterial infection, include, for example, amoxicillin, azithromycin, cefazolin, ceftriaxone, cefuroxime, cephalexin, ciprofloxacin, clindamycin, doxycycline, levofloxacin, linezolid, metronidazole, moxifloxacin, and penicillin.
  • Exemplary therapeutic agents that may be used as part of a combination therapy in treating a fungal infection, include, for example, 2-phenylphenol; 8-hydroxyquinoline sulphate; acibenzolar-S-methyl; aldimorph; amidoflumet; ampropylfos; ampropylfos-potassium; andoprim; anilazine; azaconazole; azoxystrobin; benalaxyl; benodanil; benomyl; benthiavalicarb-isopropyl; benzamacril; benzamacril-isobutyl; bilanafos; binapacryl; biphenyl; bitertanol; blasticidin-S; bromuconazole; butylamine; calcium polysulphide; capsimycin; captafol; captan; carbendazim; carboxin; carpropamid; carvone; chinomethionat; chlobenthiazone
  • the amount of tetrahydroquinolinyl or related compound e.g., a compound of Formula I, I-1, I-A, I-B, II, II-1, II-A, II-B, or other compounds in Section I such as a compound of Formula III, IV, V, or VI
  • additional therapeutic agent and the relative timing of administration may be selected in order to achieve a desired combined therapeutic effect.
  • the therapeutic agents in the combination, or a pharmaceutical composition or compositions comprising the therapeutic agents may be administered in any order such as, for example, sequentially, concurrently, together, simultaneously and the like.
  • a tetrahydroquinolinyl or related compound e.g., a compound of any one of Formula I, I-1, I-A, I-B, II, II-1, II-A, II-B, or other compounds in Section I such as a compound of Formula III, IV, V, or VI
  • a tetrahydroquinolinyl or related compound may be administered during a time when the additional therapeutic agent(s) exerts its prophylactic or therapeutic effect, or vice versa.
  • the doses and dosage regimen of the active ingredients used in the combination therapy may be determined by an attending clinician.
  • the tetrahydroquinolinyl or related compound e.g., a compound of any one of Formula I, I-1, I-A, I-B, II, II-1, II-A, II-B, or other compounds in Section I such as a compound of Formula III, IV, V, or VI
  • the additional therapeutic agent(s) are administered in doses commonly employed when such agents are used as monotherapy for treating the disorder.
  • the tetrahydroquinolinyl or related compound e.g., a compound of any one of Formula I, I-1, I-A, I-B, II, II-1, II-A, II-B, or other compounds in Section I such as a compound of Formula III, IV, V, or VI
  • the additional therapeutic agent(s) are administered in doses lower than the doses commonly employed when such agents are used as monotherapy for treating the disorder.
  • the tetrahydroquinolinyl or related compound e.g., a compound of any one of Formula I, I-1, I-A, I-B, II, II-1, II-A, II-B, or other compounds in Section I such as a compound of Formula III, IV, V, or VI
  • the additional therapeutic agent(s) are present in the same composition, which is suitable for oral administration.
  • the tetrahydroquinolinyl or related compound e.g., a compound of any one of Formula I, I-1, I-A, I-B, II, II-1, II-A, II-B, or other compounds in Section I such as a compound of Formula III, IV, V, or VI
  • the additional therapeutic agent(s) may act additively or synergistically.
  • a synergistic combination may allow the use of lower dosages of one or more agents and/or less frequent administration of one or more agents of a combination therapy.
  • a lower dosage or less frequent administration of one or more agents may lower toxicity of the therapy without reducing the efficacy of the therapy.
  • kits comprising a therapeutically effective amount of the tetrahydroquinolinyl or related compound (e.g., a compound of any one of Formula I, I-1, I-A, I-B, II, II-1, II-A, II-B, or other compounds in Section I such as a compound of Formula III, IV, V, or VI), a pharmaceutically acceptable carrier, vehicle or diluent, and optionally at least one additional therapeutic agent listed above.
  • a therapeutically effective amount of the tetrahydroquinolinyl or related compound e.g., a compound of any one of Formula I, I-1, I-A, I-B, II, II-1, II-A, II-B, or other compounds in Section I such as a compound of Formula III, IV, V, or VI
  • a pharmaceutically acceptable carrier e.g., a compound of any one of Formula I, I-1, I-A, I-B, II, II-1, II-A, II-B, or other compounds in Section I such
  • the invention provides pharmaceutical compositions, which comprise a therapeutically-effective amount of one or more of the compounds described above, formulated together with one or more pharmaceutically acceptable carriers (additives) and/or diluents.
  • the pharmaceutical compositions may be specially formulated for administration in solid or liquid form, including those adapted for the following: (1) oral administration, for example, drenches (aqueous or non-aqueous solutions or suspensions), tablets, e.g., those targeted for buccal, sublingual, and systemic absorption, boluses, powders, granules, pastes for application to the tongue; (2) parenteral administration, for example, by subcutaneous, intramuscular, intravenous or epidural injection as, for example, a sterile solution or suspension, or sustained-release formulation; (3) topical application, for example, as a cream, ointment, or a controlled-release patch or spray applied to the skin; (4) intravaginally or intrarectally, for example, as a pessary, cream or foam
  • terapéuticaally-effective amount means that amount of a compound, material, or composition comprising a compound of the present invention which is effective for producing some desired therapeutic effect in at least a sub-population of cells in an animal at a reasonable benefit/risk ratio applicable to any medical treatment.
  • phrases “pharmaceutically acceptable” is employed herein to refer to those compounds, materials, compositions, and/or dosage forms which are, within the scope of sound medical judgment, suitable for use in contact with the tissues of human beings and animals without excessive toxicity, irritation, allergic response, or other problem or complication, commensurate with a reasonable benefit/risk ratio.
  • wetting agents such as sodium lauryl sulfate and magnesium stearate, as well as coloring agents, release agents, coating agents, sweetening, flavoring and perfuming agents, preservatives and antioxidants can also be present in the compositions.
  • antioxidants examples include: (1) water soluble antioxidants, such as ascorbic acid, cysteine hydrochloride, sodium bisulfate, sodium metabisulfite, sodium sulfite and the like; (2) oil-soluble antioxidants, such as ascorbyl palmitate, butylated hydroxyanisole (BHA), butylated hydroxytoluene (BHT), lecithin, propyl gallate, alpha-tocopherol, and the like; and (3) metal chelating agents, such as citric acid, ethylenediamine tetraacetic acid (EDTA), sorbitol, tartaric acid, phosphoric acid, and the like.
  • water soluble antioxidants such as ascorbic acid, cysteine hydrochloride, sodium bisulfate, sodium metabisulfite, sodium sulfite and the like
  • oil-soluble antioxidants such as ascorbyl palmitate, butylated hydroxyanisole (BHA), butylated hydroxytoluene (BHT), le
  • Formulations of the present invention include those suitable for oral, nasal, topical (including buccal and sublingual), rectal, vaginal and/or parenteral administration.
  • the formulations may conveniently be presented in unit dosage form and may be prepared by any methods well known in the art of pharmacy.
  • the amount of active ingredient which can be combined with a carrier material to produce a single dosage form will vary depending upon the host being treated, the particular mode of administration.
  • the amount of active ingredient which can be combined with a carrier material to produce a single dosage form will generally be that amount of the compound which produces a therapeutic effect. Generally, out of one hundred percent, this amount will range from about 0.1 percent to about ninety-nine percent of active ingredient, preferably from about 5 percent to about 70 percent, most preferably from about 10 percent to about 30 percent.
  • a formulation of the present invention comprises an excipient selected from the group consisting of cyclodextrins, celluloses, liposomes, micelle forming agents, e.g., bile acids, and polymeric carriers, e.g., polyesters and polyanhydrides; and a compound of the present invention.
  • an aforementioned formulation renders orally bioavailable a compound of the present invention.
  • Methods of preparing these formulations or compositions include the step of bringing into association a compound of the present invention with the carrier and, optionally, one or more accessory ingredients.
  • the formulations are prepared by uniformly and intimately bringing into association a compound of the present invention with liquid carriers, or finely divided solid carriers, or both, and then, if necessary, shaping the product.
  • Formulations of the invention suitable for oral administration may be in the form of capsules, cachets, pills, tablets, lozenges (using a flavored basis, usually sucrose and acacia or tragacanth), powders, granules, or as a solution or a suspension in an aqueous or non-aqueous liquid, or as an oil-in-water or water-in-oil liquid emulsion, or as an elixir or syrup, or as pastilles (using an inert base, such as gelatin and glycerin, or sucrose and acacia) and/or as mouth washes and the like, each containing a predetermined amount of a compound of the present invention as an active ingredient.
  • a compound of the present invention may also be administered as a bolus, electuary or paste.
  • the active ingredient is mixed with one or more pharmaceutically-acceptable carriers, such as sodium citrate or dicalcium phosphate, and/or any of the following: (1) fillers or extenders, such as starches, lactose, sucrose, glucose, mannitol, and/or silicic acid; (2) binders, such as, for example, carboxymethylcellulose, alginates, gelatin, polyvinyl pyrrolidone, sucrose and/or acacia; (3) humectants, such as glycerol; (4) disintegrating agents, such as agar-agar, calcium carbonate, potato or tapioca starch, alginic acid, certain silicates, and sodium carbonate; (5) solution retarding agents, such as paraffin; (6) absorption accelerators, such as quaternary ammonium compounds and surfactants, such as poloxa
  • pharmaceutically-acceptable carriers such as sodium citrate or dicalcium phosphate
  • compositions may also comprise buffering agents.
  • Solid compositions of a similar type may also be employed as fillers in soft and hard-shelled gelatin capsules using such excipients as lactose or milk sugars, as well as high molecular weight polyethylene glycols and the like.
  • a tablet may be made by compression or molding, optionally with one or more accessory ingredients.
  • Compressed tablets may be prepared using binder (for example, gelatin or hydroxypropylmethyl cellulose), lubricant, inert diluent, preservative, disintegrant (for example, sodium starch glycolate or cross-linked sodium carboxymethyl cellulose), surface-active or dispersing agent.
  • Molded tablets may be made by molding in a suitable machine a mixture of the powdered compound moistened with an inert liquid diluent.
  • the tablets, and other solid dosage forms of the pharmaceutical compositions of the present invention may optionally be scored or prepared with coatings and shells, such as enteric coatings and other coatings well known in the pharmaceutical-formulating art. They may also be formulated so as to provide slow or controlled release of the active ingredient therein using, for example, hydroxypropylmethyl cellulose in varying proportions to provide the desired release profile, other polymer matrices, liposomes and/or microspheres. They may be formulated for rapid release, e.g., freeze-dried.
  • compositions may be sterilized by, for example, filtration through a bacteria-retaining filter, or by incorporating sterilizing agents in the form of sterile solid compositions which can be dissolved in sterile water, or some other sterile injectable medium immediately before use.
  • These compositions may also optionally contain opacifying agents and may be of a composition that they release the active ingredient(s) only, or preferentially, in a certain portion of the gastrointestinal tract, optionally, in a delayed manner.
  • embedding compositions which can be used include polymeric substances and waxes.
  • the active ingredient can also be in micro-encapsulated form, if appropriate, with one or more of the above-described excipients.
  • Liquid dosage forms for oral administration of the compounds of the invention include pharmaceutically acceptable emulsions, microemulsions, solutions, suspensions, syrups and elixirs.
  • the liquid dosage forms may contain inert diluents commonly used in the art, such as, for example, water or other solvents, solubilizing agents and emulsifiers, such as ethyl alcohol, isopropyl alcohol, ethyl carbonate, ethyl acetate, benzyl alcohol, benzyl benzoate, propylene glycol, 1,3-butylene glycol, oils (in particular, cottonseed, groundnut, corn, germ, olive, castor and sesame oils), glycerol, tetrahydrofuryl alcohol, polyethylene glycols and fatty acid esters of sorbitan, and mixtures thereof.
  • inert diluents commonly used in the art, such as, for example, water or other solvents, solubilizing agents and
  • the oral compositions can also include adjuvants such as wetting agents, emulsifying and suspending agents, sweetening, flavoring, coloring, perfuming and preservative agents.
  • adjuvants such as wetting agents, emulsifying and suspending agents, sweetening, flavoring, coloring, perfuming and preservative agents.
  • Suspensions in addition to the active compounds, may contain suspending agents as, for example, ethoxylated isostearyl alcohols, polyoxyethylene sorbitol and sorbitan esters, microcrystalline cellulose, aluminum metahydroxide, bentonite, agar-agar and tragacanth, and mixtures thereof.
  • suspending agents as, for example, ethoxylated isostearyl alcohols, polyoxyethylene sorbitol and sorbitan esters, microcrystalline cellulose, aluminum metahydroxide, bentonite, agar-agar and tragacanth, and mixtures thereof.
  • Formulations of the pharmaceutical compositions of the invention for rectal or vaginal administration may be presented as a suppository, which may be prepared by mixing one or more compounds of the invention with one or more suitable nonirritating excipients or carriers comprising, for example, cocoa butter, polyethylene glycol, a suppository wax or a salicylate, and which is solid at room temperature, but liquid at body temperature and, therefore, will melt in the rectum or vaginal cavity and release the active compound.
  • suitable nonirritating excipients or carriers comprising, for example, cocoa butter, polyethylene glycol, a suppository wax or a salicylate, and which is solid at room temperature, but liquid at body temperature and, therefore, will melt in the rectum or vaginal cavity and release the active compound.
  • Formulations of the present invention which are suitable for vaginal administration also include pessaries, tampons, creams, gels, pastes, foams or spray formulations containing such carriers as are known in the art to be appropriate.
  • Dosage forms for the topical or transdermal administration of a compound of this invention include powders, sprays, ointments, pastes, creams, lotions, gels, solutions, patches and inhalants.
  • the active compound may be mixed under sterile conditions with a pharmaceutically-acceptable carrier, and with any preservatives, buffers, or propellants which may be required.
  • the ointments, pastes, creams and gels may contain, in addition to an active compound of this invention, excipients, such as animal and vegetable fats, oils, waxes, paraffins, starch, tragacanth, cellulose derivatives, polyethylene glycols, silicones, bentonites, silicic acid, talc and zinc oxide, or mixtures thereof.
  • excipients such as animal and vegetable fats, oils, waxes, paraffins, starch, tragacanth, cellulose derivatives, polyethylene glycols, silicones, bentonites, silicic acid, talc and zinc oxide, or mixtures thereof.
  • Powders and sprays can contain, in addition to a compound of this invention, excipients such as lactose, talc, silicic acid, aluminum hydroxide, calcium silicates and polyamide powder, or mixtures of these substances.
  • Sprays can additionally contain customary propellants, such as chlorofluorohydrocarbons and volatile unsubstituted hydrocarbons, such as butane and propane.
  • Transdermal patches have the added advantage of providing controlled delivery of a compound of the present invention to the body.
  • dosage forms can be made by dissolving or dispersing the compound in the proper medium.
  • Absorption enhancers can also be used to increase the flux of the compound across the skin. The rate of such flux can be controlled by either providing a rate controlling membrane or dispersing the compound in a polymer matrix or gel.
  • Ophthalmic formulations are also contemplated as being within the scope of this invention.
  • compositions of this invention suitable for parenteral administration comprise one or more compounds of the invention in combination with one or more pharmaceutically-acceptable sterile isotonic aqueous or nonaqueous solutions, dispersions, suspensions or emulsions, or sterile powders which may be reconstituted into sterile injectable solutions or dispersions just prior to use, which may contain sugars, alcohols, antioxidants, buffers, bacteriostats, solutes which render the formulation isotonic with the blood of the intended recipient or suspending or thickening agents.
  • aqueous and nonaqueous carriers examples include water, ethanol, polyols (such as glycerol, propylene glycol, polyethylene glycol, and the like), and suitable mixtures thereof, vegetable oils, such as olive oil, and injectable organic esters, such as ethyl oleate.
  • polyols such as glycerol, propylene glycol, polyethylene glycol, and the like
  • vegetable oils such as olive oil
  • injectable organic esters such as ethyl oleate.
  • Proper fluidity can be maintained, for example, by the use of coating materials, such as lecithin, by the maintenance of the required particle size in the case of dispersions, and by the use of surfactants.
  • compositions may also contain adjuvants such as preservatives, wetting agents, emulsifying agents and dispersing agents. Prevention of the action of microorganisms upon the subject compounds may be ensured by the inclusion of various antibacterial and antifungal agents, for example, paraben, chlorobutanol, phenol sorbic acid, and the like. It may also be desirable to include isotonic agents, such as sugars, sodium chloride, and the like into the compositions. In addition, prolonged absorption of the injectable pharmaceutical form may be brought about by the inclusion of agents which delay absorption such as aluminum monostearate and gelatin.
  • the absorption of the drug in order to prolong the effect of a drug, it is desirable to slow the absorption of the drug from subcutaneous or intramuscular injection. This may be accomplished by the use of a liquid suspension of crystalline or amorphous material having poor water solubility. The rate of absorption of the drug then depends upon its rate of dissolution which, in turn, may depend upon crystal size and crystalline form. Alternatively, delayed absorption of a parenterally-administered drug form is accomplished by dissolving or suspending the drug in an oil vehicle.
  • Injectable depot forms are made by forming microencapsule matrices of the subject compounds in biodegradable polymers such as polylactide-polyglycolide. Depending on the ratio of drug to polymer, and the nature of the particular polymer employed, the rate of drug release can be controlled. Examples of other biodegradable polymers include poly(orthoesters) and poly(anhydrides). Depot injectable formulations are also prepared by entrapping the drug in liposomes or microemulsions which are compatible with body tissue.
  • the compounds of the present invention are administered as pharmaceuticals, to humans and animals, they can be given per se or as a pharmaceutical composition containing, for example, 0.1 to 99% (more preferably, 10 to 30%) of active ingredient in combination with a pharmaceutically acceptable carrier.
  • the preparations of the present invention may be given orally, parenterally, topically, or rectally. They are of course given in forms suitable for each administration route. For example, they are administered in tablets or capsule form, by injection, inhalation, eye lotion, ointment, suppository, etc. administration by injection, infusion or inhalation; topical by lotion or ointment; and rectal by suppositories. Oral administrations are preferred.
  • parenteral administration and “administered parenterally” as used herein means modes of administration other than enteral and topical administration, usually by injection, and includes, without limitation, intravenous, intramuscular, intraarterial, intrathecal, intracapsular, intraorbital, intracardiac, intradermal, intraperitoneal, transtracheal, subcutaneous, subcuticular, intraarticular, subcapsular, subarachnoid, intraspinal and intrasternal injection and infusion.
  • systemic administration means the administration of a compound, drug or other material other than directly into the central nervous system, such that it enters the patient's system and, thus, is subject to metabolism and other like processes, for example, subcutaneous administration.
  • These compounds may be administered to humans and other animals for therapy by any suitable route of administration, including orally, nasally, as by, for example, a spray, rectally, intravaginally, parenterally, intracisternally and topically, as by powders, ointments or drops, including buccally and sublingually.
  • the compounds of the present invention which may be used in a suitable hydrated form, and/or the pharmaceutical compositions of the present invention, are formulated into pharmaceutically-acceptable dosage forms by conventional methods known to those of skill in the art.
  • Actual dosage levels of the active ingredients in the pharmaceutical compositions of this invention may be varied so as to obtain an amount of the active ingredient which is effective to achieve the desired therapeutic response for a particular patient, composition, and mode of administration, without being toxic to the patient.
  • the selected dosage level will depend upon a variety of factors including the activity of the particular compound of the present invention employed, or the ester, salt or amide thereof, the route of administration, the time of administration, the rate of excretion or metabolism of the particular compound being employed, the rate and extent of absorption, the duration of the treatment, other drugs, compounds and/or materials used in combination with the particular compound employed, the age, sex, weight, condition, general health and prior medical history of the patient being treated, and like factors well known in the medical arts.
  • a physician or veterinarian having ordinary skill in the art can readily determine and prescribe the effective amount of the pharmaceutical composition required.
  • the physician or veterinarian could start doses of the compounds of the invention employed in the pharmaceutical composition at levels lower than that required in order to achieve the desired therapeutic effect and gradually increase the dosage until the desired effect is achieved.
  • a suitable daily dose of a compound of the invention will be that amount of the compound which is the lowest dose effective to produce a therapeutic effect. Such an effective dose will generally depend upon the factors described above.
  • the compounds are administered at about 0.01 mg/kg to about 200 mg/kg, more preferably at about 0.1 mg/kg to about 100 mg/kg, even more preferably at about 0.5 mg/kg to about 50 mg/kg.
  • the effective amount may be less than when the agent is used alone.
  • the effective daily dose of the active compound may be administered as two, three, four, five, six or more sub-doses administered separately at appropriate intervals throughout the day, optionally, in unit dosage forms. Preferred dosing is one administration per day.
  • the invention further provides a unit dosage form (such as a tablet or capsule) comprising a tetrahydroquinolinyl or related compound described herein in a therapeutically effective amount for the treatment of a medical disorder described herein.
  • a unit dosage form such as a tablet or capsule
  • a tetrahydroquinolinyl or related compound described herein in a therapeutically effective amount for the treatment of a medical disorder described herein.
  • the concentrate was purified via MPLC (Two columns: the first column eluting first with dichloromethane, the second column to purify further eluting with a gradient of 15-70% ethyl acetate in hexanes) to afford methyl (R)-3-nitro-4-((2-oxotetrahydrofuran-3-yl)oxy)benzoate (2.15 g, 75%).
  • the olefin solution was then added, and the reaction mixture was heated to 50° C. overnight. Next, the reaction mixture was cooled to room temperature, and partitioned between water and ethyl acetate. The organic phase was washed with brine, dried (Na 2 SO 4 ), and concentrated to provide a residue.
  • Tetrakis(triphenylphosphine)palladium (10 mg, 0.008 mmol) was added to the reaction mixture, and the resulting mixture was shaken at 70° C. overnight. Then, the crude mixture was partitioned between water and ethyl acetate.
  • reaction mixture was concentrated to remove the tert-butanol.
  • the remaining aqueous mixture was diluted with water, and the solution was extracted with hexanes.
  • the aqueous solution was acidified with 3 M HCl, and the mixture was extracted three times with ethyl acetate.
  • the organic extracts were combined then dried (Na 2 SO 4 ), and concentrated to provide a residue.
  • 3-Bromoaniline (10 g, 58.13 mmol) and diethyl 2-(ethoxymethylene)malonate (12.57 g, 58.13 mmol) were suspended in ethanol (60 mL), and the reaction mixture was heated to reflux overnight. Then, the crude mixture was concentrated, and the resulting residue was re-suspended in diphenyl ether. Next, the suspension was heated to 250° C. for 90 minutes. The mixture was then cooled to about 35-40° C. and filtered through a sintered glass funnel.
  • Ethyl 7-bromo-4-chloroquinoline-3-carboxylate (1 g, 3.179 mmol) was mixed with triethylamine (0.665 mL, 4.769 mmol), and [1,1′-bis(diphenylphosphino)ferrocene]dichloropalladium (II) complex with dichloromethane (243 mg, 0.318 mmol) in degassed DMF (18 mL) and water (2 mL). The olefin solution was then added to the reaction mixture, and the resulting reaction mixture was heated to 50° C. overnight. Next, the reaction mixture was cooled to room temperature, and partitioned between water and ethyl acetate.
  • Ethyl (E)-7-(2-(2-chloro-6-fluorophenyl)prop-1-en-1-yl)-2-oxo-1,2,3,4-tetrahydroquinoline-3-carboxylate (1.06 g, 2.733 mmol) was dissolved in THF (60 mL) and the reaction vessel containing the solution was cooled in an ice bath. Borane dimethylsulfide complex (1.367 mL, 13.67 mmol) was added dropwise to the reaction mixture, and the reaction mixture was stirred at room temperature overnight. Then, the reaction was quenched by adding methanol (10 mL) to the reaction mixture, and the resulting mixture was heated to reflux for ten minutes.
  • Ethyl (E)-7-(2-(2-chloro-6-fluorophenyl)prop-1-en-1-yl)-1,2,3,4-tetrahydroquinoline-3-carboxylate (460 mg, 1.23 mmol) was dissolved in pyridine (8 mL) and 3-(trifluoromethyl)benzenesulfonyl chloride (361 mg, 1.477 mmol) was added. The reaction mixture was heated to 50° C. overnight. Then, the reaction mixture was diluted with ethyl acetate. The resulting organic mixture was washed three times with 1 N HCl, washed with brine, dried (Na 2 SO 4 ), and concentrated to provide a residue.
  • Ethyl (E)-7-(2-(2-chloro-6-fluorophenyl)prop-1-en-1-yl)-1-((3-(trifluoromethyl)phenyl)sulfonyl)-1,2,3,4-tetrahydroquinoline-3-carboxylate (540 mg, 0.928 mmol) was dissolved in THF (9 mL) and water (9 mL), and lithium hydroxide (44 mg, 1.856 mmol) was added. The resulting mixture was stirred at room temperature for 3 hours. The reaction mixture was diluted with ethyl acetate, and then 1 N HCl (1 mL) was added.
  • the resulting solution was extracted three times with ethyl acetate, the organic layers were combined, and the combined organic layers were washed with water, washed with brine, and concentrated to provide a residue.
  • the residue was purified via MPLC eluting with ethyl acetate/petroleum ether (1:4).
  • the fraction containing the major component was purified further by preparative HPLC eluting with a gradient of aqueous 10 mM NH 4 HCO 3 and acetonitrile (58.0% to 65.0%) to afford racemic ((2R,3R)-7-((2-Chloro-6-fluorobenzyl)oxy)-1-((4-fluoro-3-methoxyphenyl)sulfonyl)-2-methyl-1,2,3,4-tetrahydroquinolin-3-yl)methanol (25 mg, 23%) as a white solid.
  • the residue was purified by MPLC eluting with petroleum ether:ethyl acetate (3:1).
  • the fraction containing the major component was further purified by Prep-HPLC eluting with a gradient of water (containing 0.05% trifluoroacetic acid) and acetonitrile (50.0% to 90.0% in 8 minutes) to afford the title compound (41.5 mg, 19%) as a white solid.

Landscapes

  • Chemical & Material Sciences (AREA)
  • Organic Chemistry (AREA)
  • Health & Medical Sciences (AREA)
  • General Health & Medical Sciences (AREA)
  • Veterinary Medicine (AREA)
  • General Chemical & Material Sciences (AREA)
  • Medicinal Chemistry (AREA)
  • Nuclear Medicine, Radiotherapy & Molecular Imaging (AREA)
  • Chemical Kinetics & Catalysis (AREA)
  • Pharmacology & Pharmacy (AREA)
  • Life Sciences & Earth Sciences (AREA)
  • Animal Behavior & Ethology (AREA)
  • Public Health (AREA)
  • Oncology (AREA)
  • Immunology (AREA)
  • Engineering & Computer Science (AREA)
  • Bioinformatics & Cheminformatics (AREA)
  • Communicable Diseases (AREA)
  • Hematology (AREA)
  • Pharmaceuticals Containing Other Organic And Inorganic Compounds (AREA)
  • Nitrogen Condensed Heterocyclic Rings (AREA)
  • Quinoline Compounds (AREA)
  • Heterocyclic Carbon Compounds Containing A Hetero Ring Having Nitrogen And Oxygen As The Only Ring Hetero Atoms (AREA)
  • Nitrogen And Oxygen Or Sulfur-Condensed Heterocyclic Ring Systems (AREA)
  • Nitrogen- Or Sulfur-Containing Heterocyclic Ring Compounds With Rings Of Six Or More Members (AREA)
  • Pyrane Compounds (AREA)
  • Plural Heterocyclic Compounds (AREA)

Abstract

The invention provides tetrahydroquinoline sulfonamide compounds, tetrahydronaphthalene sulfonyl compounds, and related compounds, pharmaceutical compositions, methods of promoting RORγ activity, methods of increasing the amount of IL-17 in a subject, and methods of treating cancer and other medical disorders using such compounds.

Description

CROSS-REFERENCE TO RELATED APPLICATIONS
This application is the national stage of International (PCT) Patent Application Serial No. PCT/US2015/029240, filed May 5, 2015 which claims the benefit of and priority to U.S. Provisional Patent Application Ser. No. 61/988,710, filed May 5, 2014, and U.S. Provisional Patent Application Ser. No. 62/121,800, filed Feb. 27, 2015; the contents of each of which are hereby incorporated by reference.
FIELD OF THE INVENTION
The invention provides tetrahydroquinoline sulfonamide compounds, tetrahydronaphthalene sulfonyl compounds, and related compounds (collectively “tetrahydroquinolinyl and related compounds”), methods of promoting RORγ activity and/or increasing the amount of IL-17 in a subject, and therapeutic uses of the tetrahydroquinolinyl and related compounds, such as treating medical conditions in which activation of immune response is beneficial.
BACKGROUND
Retinoid-related orphan receptors (ROR) are reported to have an important role in numerous biological processes. See, for example, Dussault et al. in Mech. Dev. (1998) vol. 70, 147-153; and Andre et al. in EMBO J. (1998) vol. 17, 3867-3877. Scientific investigations relating to each of retinoid-related orphan receptors RORα, RORβ, and RORγ have been described in the literature. See, for example, Hirose et al. in Biochem. Biophys. Res. Commun. (1994) vol. 205, 1976-1983; Giguere et al. in Genes. Dev. (1994) vol. 8, 538-553; Medvedev et al. in Gene (1996) vol. 181, 199-206; Ortiz et al. in Mol. Endocrinol. (1995) vol. 9, 1679-1691; and A. M. Jetten in Curr Drug Targets Inflamm Allergy (2004) vol. 3, 395-412). Continuing research in this field is spurred by the promise of developing new therapeutic agents to treat medical disorders associated with retinoid-related orphan receptor activity.
RORγ has been reported to be expressed in high concentration in various tissues, such as thymus, kidney, liver, muscle, and certain fat tissue. See, for example, Hirose et al. in Biochem. Biophys. Res. Commun. (1994) vol. 205, 1976-1983; Medvedev et al. in Gene (1996) vol. 181, 199-206; Ortiz et al. in Mol. Endocrinol. (1995) vol. 9, 1679-1691; and He et al. in Immunity (1998) vol. 9, 797-806. Two isoforms of RORγ have been identified and are referred to as γ1 and γ2 (also referred to as RORγt). See, for example, He et al. in Immunity (1998) vol. 9, 797-806. Expression of the γ2 isoform has been reported to appear in, for example, double-positive thymocytes. See, for example, He et al. in Immunity (1998) vol. 9, 797-806; and Villey et al. in Eur. J. Immunol. (1999) vol. 29, 4072-4080. RORγt plays a critical role in regulating differentiation of Th17 cells, a subset of T helper lymphocytes. See, for example, Ivanov et al. in Cell (2006) vol. 126, 1121-1133. Th17 cells are important for recruiting tumor-killing cytotoxic CD8+ T cells and natural killer cells into the tumor microenvironment. The level of Th17 cells correlated positively with patient survival or slower disease progression in certain cancers. See, for example, Kryczek et al. in Blood (2009) vol 114, 1141-1149; and Sfanos et al. in Clinical Cancer Research (2008) vol 14, 3254-3261. Compounds capable of enhancing RORγt activity are thus contemplated to provide a therapeutic benefit in the treatment of cancer.
Cancer continues to be a significant health problem despite the substantial research efforts and scientific advances reported in the literature for treating this disease. Some of the most frequently diagnosed cancers include prostate cancer, breast cancer, and lung cancer. Prostate cancer is the most common form of cancer in men. Breast cancer remains a leading cause of death in women. Current treatment options for these cancers are not effective for all patients and/or can have substantial adverse side effects.
Accordingly, a need exists for improved treatments for cancer. The present invention addresses this need and provides other related advantages.
SUMMARY
The invention provides tetrahydroquinoline sulfonamide compounds, tetrahydronaphthalene sulfonyl compounds, and related compounds (collectively “tetrahydroquinolinyl and related compounds”), pharmaceutical compositions, methods of promoting RORγ activity and/or increasing the amount of IL-17 in a subject, and methods of treating various medical disorders using such compounds. In particular, one aspect of the invention provides a collection of tetrahydroquinoline sulfonamide and related compounds, such as a compound represented by Formula I:
Figure US09896441-20180220-C00001

or a pharmaceutically acceptable salt thereof; wherein the variables are as defined in the detailed description. Another aspect of the invention provides a collection of tetrahydronaphthalene sulfonyl compounds, such as a compound represented by Formula II:
Figure US09896441-20180220-C00002

or a pharmaceutically acceptable salt thereof; wherein the variables are as defined in the detailed description. Further description of additional collections of tetrahydroquinoline sulfonamide, tetrahydronaphthalene sulfonyl, and related compounds are described in the detailed description.
Another aspect of the invention provides a method of treating a subject suffering from a medical disorder. The method comprises administering to the subject a therapeutically effective amount of one or more tetrahydroquinolinyl or related compounds described herein, e.g., a compound of Formula I, I-1, I-A, I-B, II, II-1, II-A, or II-B. A large number of disorders can be treated using the tetrahydroquinolinyl and related compounds described herein. For example, the compounds described herein can be used to treat cancer, a bacterial infection, a fungal infection, or an immune deficiency disorder.
Another aspect of the invention provides a method of promoting the activity of RORγ. The method comprises exposing a RORγ to an effective amount of one or more tetrahydroquinolinyl or related compounds described herein, e.g., a compound of Formula I, I-1, I-A, I-B, II, II-1, II-A, or II-B, or a pharmaceutical composition described herein.
Another aspect of the invention provides a method of increasing the amount of IL-17 in a subject. The method comprises administering to a subject an effective amount of one or more tetrahydroquinolinyl or related compounds described herein, e.g., a compound of Formula I, I-1, I-A, I-B, II, II-1, II-A, or II-B, or a pharmaceutical composition described herein, to increase the amount of IL-17 in the subject.
DETAILED DESCRIPTION
The invention provides tetrahydroquinolinyl and related compounds, pharmaceutical compositions, methods of promoting RORγ activity and/or increasing the amount of IL-17 in a subject, and therapeutic uses of the tetrahydroquinolinyl and related compounds. The practice of the present invention employs, unless otherwise indicated, conventional techniques of organic chemistry, pharmacology, molecular biology (including recombinant techniques), cell biology, biochemistry, and immunology. Such techniques are explained in the literature, such as in “Comprehensive Organic Synthesis” (B. M. Trost & I. Fleming, eds., 1991-1992); “Handbook of experimental immunology” (D. M. Weir & C. C. Blackwell, eds.); “Current protocols in molecular biology” (F. M. Ausubel et al., eds., 1987, and periodic updates); and “Current protocols in immunology” (J. E. Coligan et al., eds., 1991), each of which is herein incorporated by reference in its entirety.
Various aspects of the invention are set forth below in sections; however, aspects of the invention described in one particular section are not to be limited to any particular section. Further, when a variable is not accompanied by a definition, the previous definition of the variable controls.
Definitions
The terms used herein have their ordinary meaning and the meaning of such terms is independent at each occurrence thereof. That notwithstanding and except where stated otherwise, the following definitions apply throughout the specification and claims. Chemical names, common names, and chemical structures may be used interchangeably to describe the same structure. If a chemical compound is referred to using both a chemical structure and a chemical name, and an ambiguity exists between the structure and the name, the structure predominates. These definitions apply regardless of whether a term is used by itself or in combination with other terms, unless otherwise indicated. Hence, the definition of “alkyl” applies to “alkyl” as well as the “alkyl” portions of “—O-alkyl” etc.
The term “alkyl” refers to a saturated straight or branched hydrocarbon, such as a straight or branched group of 1-12, 1-10, or 1-6 carbon atoms, referred to herein as C1-C12 alkyl, C1-C10 alkyl, and C1-C6 alkyl, respectively. Exemplary alkyl groups include, but are not limited to, methyl, ethyl, propyl, isopropyl, 2-methyl-1-propyl, 2-methyl-2-propyl, 2-methyl-1-butyl, 3-methyl-1-butyl, 2-methyl-3-butyl, 2,2-dimethyl-1-propyl, 2-methyl-1-pentyl, 3-methyl-1-pentyl, 4-methyl-1-pentyl, 2-methyl-2-pentyl, 3-methyl-2-pentyl, 4-methyl-2-pentyl, 2,2-dimethyl-1-butyl, 3,3-dimethyl-1-butyl, 2-ethyl-1-butyl, butyl, isobutyl, t-butyl, pentyl, isopentyl, neopentyl, hexyl, heptyl, octyl, etc.
The term “alkylene” refers to a diradical of an alkyl group. Exemplary alkylene groups include —CH2—, —CH2CH2—, and —CH2C(H)(CH3)CH2—.
The term “cycloalkyl” refers to a monovalent saturated cyclic, bicyclic, or bridged cyclic (e.g., adamantyl) hydrocarbon group of 3-12, 3-8, 4-8, or 4-6 carbons, referred to herein, e.g., as “C3-C6 cycloalkyl,” derived from a cycloalkane. Exemplary cycloalkyl groups include cyclohexyl, cyclopentyl, cyclobutyl, and cyclopropyl.
The term “cycloalkylene” refers to a diradical of a cycloalkyl group. Exemplary cycloalkylene groups include
Figure US09896441-20180220-C00003
The term “haloalkyl” refers to an alkyl group that is substituted with at least one halogen. Exemplary haloalkyl groups include —CH2F, —CHF2, —CF3, —CH2CF3, —CF2CF3, and the like.
The term “hydroxyalkyl” refers to an alkyl group that is substituted with at least one hydroxyl. Exemplary hydroxyalkyl groups include —CH2CH2OH, —C(H)(OH)CH3, —CH2C(H)(OH)CH2CH2OH, and the like.
The term “aralkyl” refers to an alkyl group substituted with an aryl group. Exemplary aralkyl groups include
Figure US09896441-20180220-C00004
The term “heteroaralkyl” refers to an alkyl group substituted with a heteroaryl group.
The terms “alkenyl” and “alkynyl” are art-recognized and refer to unsaturated aliphatic groups analogous in length and possible substitution to the alkyls described above, but that contain at least one double or triple bond respectively.
The term “aryl” is art-recognized and refers to a carbocyclic aromatic group. Representative aryl groups include phenyl, naphthyl, anthracenyl, and the like. Unless specified otherwise, the aromatic ring may be substituted at one or more ring positions with, for example, halogen, azide, alkyl, aralkyl, alkenyl, alkynyl, cycloalkyl, hydroxyl, alkoxyl, amino, nitro, sulfhydryl, imino, amido, carboxylic acid, —C(O)alkyl, —CO2alkyl, carbonyl, carboxyl, alkylthio, sulfonyl, sulfonamido, sulfonamide, ketone, aldehyde, ester, heterocyclyl, aryl or heteroaryl moieties, —CF3, —CN, or the like. The term “aryl” also includes polycyclic aromatic ring systems having two or more carbocyclic rings in which two or more carbons are common to two adjoining rings (the rings are “fused rings”) wherein all of the fused rings are aromatic rings, e.g., in a naphthyl group.
The term “phenylene” refers to a multivalent radical (e.g., a divalent or trivalent radical) of benzene. To illustrate, a divalent valent radical of benzene is illustrated by the formula
Figure US09896441-20180220-C00005
The term “partially unsaturated bicyclic carbocyclyl” refers to a bicyclic carbocyclic group that comprises at least one carbon-carbon double bond between ring carbon atoms and at least one ring in the bicyclic carbocyclic group is not aromatic. Representative examples of a partially unsaturated bicyclic carbocyclyl include, for example:
Figure US09896441-20180220-C00006
The term “heteroaryl” is art-recognized and refers to aromatic groups that include at least one ring heteroatom. In certain instances, a heteroaryl group contains 1, 2, 3, or 4 ring heteroatoms (e.g., O, N, and S). Representative examples of heteroaryl groups include pyrrolyl, furanyl, thiophenyl, imidazolyl, oxazolyl, thiazolyl, triazolyl, pyrazolyl, pyridinyl, pyrazinyl, pyridazinyl and pyrimidinyl, and the like. Unless specified otherwise, the heteroaryl ring may be substituted at one or more ring positions with, for example, halogen, azide, alkyl, aralkyl, alkenyl, alkynyl, cycloalkyl, hydroxyl, alkoxyl, amino, nitro, sulfhydryl, imino, amido, carboxylic acid, —C(O)alkyl, —CO2alkyl, carbonyl, carboxyl, alkylthio, sulfonyl, sulfonamido, sulfonamide, ketone, aldehyde, ester, heterocyclyl, aryl or heteroaryl moieties, —CF3, —CN, or the like. The term “heteroaryl” also includes polycyclic aromatic ring systems having two or more rings in which two or more ring atoms are common to two adjoining rings (the rings are “fused rings”) wherein all of the fused rings are heteroaromatic, e.g., in a naphthyridinyl group. In certain embodiments, the heteroaryl is a 5-6 membered monocyclic ring or a 9-10 membered bicyclic ring.
The term “heteroarylene” refers to a multi-valent (e.g., di-valent or trivalent) aromatic group that comprises at least one ring heteroatom. An exemplary “heteroarylene” is pyridinylene, which is a multi-valent radical of pyridine. For example, a divalent radical of pyridine is illustrated by the formula
Figure US09896441-20180220-C00007

In certain embodiments, the “heteroarylene” is a divalent, 5-6 membered heteroaromatic group containing 1, 2, or 3 ring heteroatoms (e.g., O, N, or S).
The terms ortho, meta, and para are art-recognized and refer to 1,2-, 1,3- and 1,4-disubstituted benzenes, respectively. For example, the names 1,2-dimethylbenzene and ortho-dimethylbenzene are synonymous.
As used herein, the terms “heterocyclic” and “heterocyclyl” represent, for example, an aromatic or nonaromatic ring (e.g., a monocyclic or bicyclic ring) containing one or more heteroatoms. The heteroatoms can be the same or different from each other. Examples of heteroatoms include, but are not limited to nitrogen, oxygen and sulfur. Aromatic and nonaromatic heterocyclic rings are well-known in the art. Some nonlimiting examples of aromatic heterocyclic rings include, but are not limited to, pyridine, pyrimidine, indole, purine, quinoline and isoquinoline. Nonlimiting examples of nonaromatic heterocyclic compounds include, but are not limited to, piperidine, piperazine, morpholine, pyrrolidine and pyrazolidine. Examples of oxygen containing heterocyclic rings include, but are not limited to, furan, oxirane, 2H-pyran, 4H-pyran, 2H-chromene, benzofuran, and 2,3-dihydrobenzo[b][1,4]dioxine. Examples of sulfur-containing heterocyclic rings include, but are not limited to, thiophene, benzothiophene, and parathiazine. Examples of nitrogen containing rings include, but are not limited to, pyrrole, pyrrolidine, pyrazole, pyrazolidine, imidazole, imidazoline, imidazolidine, pyridine, piperidine, pyrazine, piperazine, pyrimidine, indole, purine, benzimidazole, quinoline, isoquinoline, triazole, and triazine. Examples of heterocyclic rings containing two different heteroatoms include, but are not limited to, phenothiazine, morpholine, parathiazine, oxazine, oxazole, thiazine, and thiazole. The heterocyclic ring is optionally further substituted at one or more ring positions with, for example, halogen, azide, alkyl, aralkyl, alkenyl, alkynyl, cycloalkyl, hydroxyl, alkoxyl, amino, nitro, sulfhydryl, imino, amido, carboxylic acid, —C(O)alkyl, —CO2alkyl, carbonyl, carboxyl, alkylthio, sulfonyl, sulfonamido, sulfonamide, ketone, aldehyde, ester, heterocyclyl, aryl or heteroaryl moieties, —CF3, —CN, or the like. In certain embodiments, the heterocyclyl group is a 3-7 membered ring that, unless specified otherwise, is substituted or unsubstituted.
The term “heterocycloalkyl” refers to a saturated heterocyclyl group having, for example, 3-7 ring atoms (e.g., O, N, or S).
The term “heterocycloalkylene” refers to a multi-valent (e.g., di-valent or trivalent) saturated heterocyclyl group having, for example, 3-7 ring atoms. An exemplary “heterocycloalkylene” is piperidinylene, which is a multi-valent radical of piperidine. In certain embodiments, the “heterocycloalkylene” is a divalent, 5-6 membered saturated heterocyclyl containing 1 or 2 ring heteroatoms (e.g., O, N, or S).
The term “partially unsaturated bicyclic heterocyclyl” refers to a bicyclic heterocyclic group that comprises at least one double bond between ring atoms and at least one ring in the bicyclic heterocyclic group is not aromatic. Representative examples of a partially unsaturated bicyclic heterocyclyl include, for example:
Figure US09896441-20180220-C00008
The term “partially unsaturated bicyclic oxo-heterocyclyl” refers to a bicyclic heterocyclic group that comprises at least one double bond between ring atoms, one oxo substituent, and at least one ring in the bicyclic heterocyclic group is not aromatic. Representative examples of a partially unsaturated bicyclic oxo-heterocyclyl include, for example:
Figure US09896441-20180220-C00009
The terms “amine” and “amino” are art-recognized and refer to both unsubstituted and substituted amines, e.g., a moiety that may be represented by the general formulas:
Figure US09896441-20180220-C00010

wherein R50, R51, R52 and R53 each independently represent a hydrogen, an alkyl, an alkenyl, —(CH2)m—R61, or R50 and R51, taken together with the N atom to which they are attached complete a heterocycle having from 4 to 8 atoms in the ring structure; R61 represents an aryl, a cycloalkyl, a cycloalkenyl, a heterocycle or a polycycle; and m is zero or an integer in the range of 1 to 8. In certain embodiments, only one of R50 or R51 may be a carbonyl, e.g., R50, R51 and the nitrogen together do not form an imide. In other embodiments, R50 and R51 (and optionally R52) each independently represent a hydrogen, an alkyl, an alkenyl, or —(CH2)m—R61.
The terms “alkoxyl” or “alkoxy” are art-recognized and refer to an alkyl group, as defined above, having an oxygen radical attached thereto. Representative alkoxyl groups include methoxy, ethoxy, propyloxy, tert-butoxy and the like. An “ether” is two hydrocarbons covalently linked by an oxygen. Accordingly, the substituent of an alkyl that renders that alkyl an ether is or resembles an alkoxyl, such as may be represented by one of —O-alkyl, —O-alkenyl, —O-alkynyl, and —O—(CH2)m—R61, where m and R61 are described above.
The term “oxo” is art-recognized and refers to a “═O” substituent. For example, a cyclopentane substituted with an oxo group is cyclopentanone.
The symbol “
Figure US09896441-20180220-P00001
” indicates a point of attachment.
The term “substituted” means that one or more hydrogens on the atoms of the designated group are replaced with a selection from the indicated group, provided that the atoms' normal valencies under the existing circumstances are not exceeded, and that the substitution results in a stable compound. Combinations of substituents and/or variables are permissible only if such combinations result in stable compounds. The terms “stable compound’ or “stable structure” refer to a compound that is sufficiently robust to survive isolation to a useful degree of purity from a reaction mixture, and formulation into an efficacious therapeutic agent.
When any substituent or variable occurs more than one time in any constituent or the compound of the invention, its definition on each occurrence is independent of its definition at every other occurrence, unless otherwise indicated.
It should also be noted that any carbon as well as heteroatom with unsatisfied valences in the text, schemes, examples and tables herein is assumed to have the sufficient number of hydrogen atom(s) to satisfy the valences.
One or more compounds of the invention may exist in unsolvated as well as solvated forms with pharmaceutically acceptable solvents such as water, ethanol, and the like, and it is intended that the invention embrace both solvated and unsolvated forms. “Solvate” means a physical association of a compound of this invention with one or more solvent molecules. This physical association involves varying degrees of ionic and covalent bonding, including hydrogen bonding. In certain instances the solvate will be capable of isolation, for example when one or more solvent molecules are incorporated in the crystal lattice of the crystalline solid. “Solvate” encompasses both solution-phase and isolatable solvates. Nonlimiting examples of suitable solvates include ethanolates, methanolates, and the like. “Hydrate” is a solvate wherein the solvent molecule is H2O.
Certain compounds contained in compositions of the present invention may exist in particular geometric or stereoisomeric forms. Further, certain compounds described herein may be optically active. The present invention contemplates all such compounds, including cis- and trans-isomers, R- and S-enantiomers, diastereomers, (D)-isomers, (L)-isomers, the racemic mixtures thereof, and other mixtures thereof, as falling within the scope of the invention. The compounds may contain one or more stereogenic centers. For example, asymmetric carbon atoms may be present in a substituent such as an alkyl group. All such isomers, as well as mixtures thereof, are intended to be included in this invention, such as, for example, racemic mixtures, single enantiomers, diastereomeric mixtures and individual diastereomers. Additional asymmetric centers may be present depending upon the nature of the various substituents on the molecule. Each such asymmetric center will independently produce two optical isomers, and it is intended that all of the possible optical isomers, diastereomers in mixtures, and pure or partially purified compounds are included within the ambit of this invention.
Diastereomeric mixtures can be separated into their individual diastereomers on the basis of their physical chemical differences by methods known to those skilled in the art, such as, for example, by chromatography and/or fractional crystallization. Enantiomers can be separated by converting the enantiomeric mixture into a diastereomeric mixture by reaction with an appropriate optically active compound (e.g., chiral auxiliary such as a chiral alcohol or Mosher's acid chloride), separating the diastereomers and converting (e.g., hydrolyzing) the individual diastereomers to the corresponding pure enantiomers. Alternatively, a particular enantiomer of a compound of the present invention may be prepared by asymmetric synthesis. Still further, where the molecule contains a basic functional group (such as amino) or an acidic functional group (such as carboxylic acid) diastereomeric salts are formed with an appropriate optically-active acid or base, followed by resolution of the diastereomers thus formed by fractional crystallization or chromatographic means known in the art, and subsequent recovery of the pure enantiomers.
Individual stereoisomers of the compounds of the invention may, for example, be substantially free of other isomers, or may be admixed, for example, as racemates or with all other, or other selected, stereoisomers. Chiral center(s) in a compound of the present invention can have the S or R configuration as defined by the IUPAC 1974 Recommendations. Further, to the extent a compound described herein may exist as a atropisomer (e.g., substituted biaryls), all forms of such atropisomer are considered part of this invention.
As used herein, the terms “subject” and “patient” are used interchangeable and refer to organisms to be treated by the methods of the present invention. Such organisms preferably include, but are not limited to, mammals (e.g., murines, simians, equines, bovines, porcines, canines, felines, and the like), and most preferably includes humans.
The term “EC50” is art-recognized and refers to the concentration of a compound that is required to achieve 50% of the maximum possible activation of the target.
As used herein, the term “effective amount” refers to the amount of a compound sufficient to effect beneficial or desired results (e.g., a therapeutic, ameliorative, inhibitory or preventative result). An effective amount can be administered in one or more administrations, applications or dosages and is not intended to be limited to a particular formulation or administration route. As used herein, the term “treating” includes any effect, e.g., lessening, reducing, modulating, ameliorating or eliminating, that results in the improvement of the condition, disease, disorder, and the like, or ameliorating a symptom thereof.
As used herein, the term “pharmaceutical composition” refers to the combination of an active agent with a carrier, inert or active, making the composition especially suitable for diagnostic or therapeutic use in vivo or ex vivo.
As used herein, the term “pharmaceutically acceptable carrier” refers to any of the standard pharmaceutical carriers, such as a phosphate buffered saline solution, water, emulsions (e.g., such as an oil/water or water/oil emulsions), and various types of wetting agents. The compositions also can include stabilizers and preservatives. For examples of carriers, stabilizers and adjuvants, see e.g., Martin, Remington's Pharmaceutical Sciences, 15th Ed., Mack Publ. Co., Easton, Pa. [1975].
As used herein, the term “pharmaceutically acceptable salt” refers to any pharmaceutically acceptable salt (e.g., acid or base) of a compound of the present invention which, upon administration to a subject, is capable of providing a compound of this invention or an active metabolite or residue thereof. As is known to those of skill in the art, “salts” of the compounds of the present invention may be derived from inorganic or organic acids and bases. Examples of acids include, but are not limited to, hydrochloric, hydrobromic, sulfuric, nitric, perchloric, fumaric, maleic, phosphoric, glycolic, lactic, salicylic, succinic, toluene-p-sulfonic, tartaric, acetic, citric, methanesulfonic, ethanesulfonic, formic, benzoic, malonic, naphthalene-2-sulfonic, benzenesulfonic acid, and the like. Other acids, such as oxalic, while not in themselves pharmaceutically acceptable, may be employed in the preparation of salts useful as intermediates in obtaining the compounds of the invention and their pharmaceutically acceptable acid addition salts.
Examples of bases include, but are not limited to, alkali metals (e.g., sodium) hydroxides, alkaline earth metals (e.g., magnesium), hydroxides, ammonia, and compounds of formula NW4 +, wherein W is C1-4 alkyl, and the like.
Examples of salts include, but are not limited to: acetate, adipate, alginate, aspartate, benzoate, benzenesulfonate, bisulfate, butyrate, citrate, camphorate, camphorsulfonate, cyclopentanepropionate, digluconate, dodecylsulfate, ethanesulfonate, fumarate, flucoheptanoate, glycerophosphate, hemisulfate, heptanoate, hexanoate, hydrochloride, hydrobromide, hydroiodide, 2-hydroxyethanesulfonate, lactate, maleate, methanesulfonate, 2-naphthalenesulfonate, nicotinate, oxalate, palmoate, pectinate, persulfate, phenylpropionate, picrate, pivalate, propionate, succinate, tartrate, thiocyanate, tosylate (also known as toluenesulfonate), undecanoate, and the like. Other examples of salts include anions of the compounds of the present invention compounded with a suitable cation such as Na+, NH4 +, and NW4 + (wherein W is a C1-4 alkyl group), and the like. Further examples of salts include, but are not limited to: ascorbate, borate, nitrate, phosphate, salicylate, and sulfate. Further, acids which are generally considered suitable for the formation of pharmaceutically useful salts from basic pharmaceutical compounds are discussed, for example, by P. Stahl et al., Camille G. (eds.) Handbook of Pharmaceutical Salts. Properties, Selection and Use. (2002) Zurich: Wiley-VCH; S. Berge et al., Journal of Pharmaceutical Sciences (1977) 66(1) 1-19; P. Gould, International J. of Pharmaceutics (1986) 33 201-217; Anderson et al., The Practice of Medicinal Chemistry (1996), Academic Press, New York; and in The Orange Book (Food & Drug Administration, Washington, D.C. on their website). These disclosures are incorporated herein by reference.
Additional exemplary basic salts include, but are not limited to: ammonium salts, alkali metal salts such as sodium, lithium, and potassium salts, alkaline earth metal salts such as calcium and magnesium salts, salts with organic bases (for example, organic amines) such as dicyclohexylamines, t-butyl amines, and salts with amino acids such as arginine, lysine and the like. Basic nitrogen-containing groups may be quarternized with agents such as lower alkyl halides (e.g., methyl, ethyl, and butyl chlorides, bromides and iodides), dialkyl sulfates (e.g., dimethyl, diethyl, and dibutyl sulfates), long chain halides (e.g., decyl, lauryl, and stearyl chlorides, bromides and iodides), aralkyl halides (e.g., benzyl and phenethyl bromides), and others.
For therapeutic use, salts of the compounds of the present invention are contemplated as being pharmaceutically acceptable. However, salts of acids and bases that are non-pharmaceutically acceptable may also find use, for example, in the preparation or purification of a pharmaceutically acceptable compound.
In addition, when a compound of the invention contains both a basic moiety (such as, but not limited to, a pyridine or imidazole) and an acidic moiety (such as, but not limited to, a carboxylic acid) zwitterions (“inner salts”) may be formed. Such acidic and basic salts used within the scope of the invention are pharmaceutically acceptable (i.e., non-toxic, physiologically acceptable) salts. Such salts of the compounds of the invention may be formed, for example, by reacting a compound of the invention with an amount of acid or base, such as an equivalent amount, in a medium such as one in which the salt precipitates or in an aqueous medium followed by lyophilization.
The present invention includes the compounds of the invention in all their isolated forms (such as any solvates, hydrates, stereoisomers, and tautomers thereof). Further, the invention includes compounds in which one or more of the atoms may be artificially enriched in a particular isotope having the same atomic number, but an atomic mass or mass number different from the atomic mass or mass number predominantly found in nature. The present invention is meant to include all suitable isotopic variations of the compounds of the invention. For example, different isotopic forms of hydrogen (H) include protium (1H) and deuterium (2H). Protium is the predominant hydrogen isotope found in nature. Enriching for deuterium may afford certain therapeutic advantages, such as increasing in vivo half-life or reducing dosage requirements, or may provide a compound useful as a standard for characterization of biological samples. Isotopically-enriched compounds can be prepared without undue experimentation by conventional techniques known to those skilled in the art or by processes analogous to those described in the Schemes and Examples herein using appropriate isotopically-enriched reagents and/or intermediates.
Throughout the description, where compositions are described as having, including, or comprising specific components, or where processes and methods are described as having, including, or comprising specific steps, it is contemplated that, additionally, there are compositions of the present invention that consist essentially of, or consist of, the recited components, and that there are processes and methods according to the present invention that consist essentially of, or consist of, the recited processing steps.
The terms “a” and “an” as used herein mean “one or more” and include the plural unless the context is inappropriate.
The abbreviation “THF” is art-recognized and refers to tetrahydrofuran. The abbreviation “DCM” is art-recognized and refers to dichloromethane. The abbreviation “DMF” is art-recognized and refers to dimethylformamide. The abbreviation “DMA” is art-recognized and refers to dimethylacetamide. The abbreviation “EDTA” is art-recognized and refers to ethylenediaminetetraacetic acid. The abbreviation “TFA” is art-recognized and refers to trifluoroacetic acid.
As a general matter, compositions specifying a percentage are by weight unless otherwise specified.
I. Tetrahydroquinolinyl and Related Compounds
The invention provides tetrahydroquinoline sulfonamide compounds, tetrahydronaphthalene sulfonyl compounds, and related compounds (collectively “tetrahydroquinolinyl and related compounds”). Exemplary compounds are described in the following sections, along with exemplary procedures for making the compounds. Additional exemplary compounds and synthetic procedures are described in the Examples.
Part I: Tetrahydroquinoline Sulfonamide and Related Compounds
One aspect of the invention provides a compound represented by Formula I:
Figure US09896441-20180220-C00011
or a pharmaceutically acceptable salt thereof; wherein:
A is phenylene, 5-6 membered heteroarylene, or C3-6 heterocycloalkylene;
R1 represents independently for each occurrence halogen, C1-6 alkyl, C1-6 haloalkyl, or C3-6 cycloalkyl;
R2A is one of the following:
  • (i) hydrogen, C1-6 alkyl, C1-3 haloalkyl, C3-6 cycloalkyl, —(C1-6 alkylene)-(C3-6 cycloalkyl), —O—(C1-6 alkylene)-CO2R4, —O—(C1-6 alkylene)-C(O)—(C1-6 alkyl), —N(R4)—(C1-6 alkylene)-CO2R4, or —N(R4)—(C1-6 alkylene)-C(O)—(C1-6 alkyl), wherein the C1-6 alkyl, C3-6 cycloalkyl, and C1-6 alkylene are optionally substituted with 1 or 2 substituents independently selected from the group consisting of —CO2R4, —C(O)N(R4)(R5), —C(O)—N(R4)—(C1-4 alkylene)-CO2R4, —N(R4)C(O)R8, —CN, halogen, hydroxyl, C1-6 alkoxy, C1-6 haloalkoxy, C1-6 haloalkyl, —N(R4)(R5), —N(R4)C(O)N(R4)(R5), —N(R4)CO2R9, —N(R4)S(O)2R9, and —N(R4)S(O)2N(R4)(R5); or
  • (ii) —CO2R4, —N(R4)C(O)R9, —N(R4)CO2R9, —N(R4)C(O)N(R4)(R5), —N(R4)C(O)N(R4)(heteroaryl), —N(R4)S(O)2R9, —N(R4)(R5), or —OH;
R2B is C1-6 alkyl, C1-3 haloalkyl, or fluoro;
R3 represents independently for each occurrence hydrogen, C1-6 haloalkyl, halogen, hydroxyl, C1-6 alkyl, C3-6 cycloalkyl, C1-6 alkoxy, C1-6 haloalkoxy, —N(R4)(R8), —O—(C1-6 hydroxyalkyl), or —O—(C1-6 alkylene)-CO2R4; or two vicinal occurrences of R3 are taken together with intervening atoms to form a 4-6 membered ring;
R4 and R5 each represent independently for each occurrence hydrogen, C1-6 alkyl, or C3-6 cycloalkyl; or an occurrence of R4 and R5 attached to the same nitrogen atom are taken together with the nitrogen atom to which they are attached to form a 3-8 membered heterocyclic ring;
R6 and R7 each represent independently for each occurrence hydrogen, fluoro, or C1-6 alkyl, or R6 and R7 are taken together with the carbon atom to which they are attached to form a 3-6 membered carbocyclic ring; or R6 and a vicinal occurrence of R2B are taken together to form a bond;
R8 represents independently for each occurrence C1-6 alkyl, C3-6 cycloalkyl, —(C1-6 alkylene)-(C3-6 cycloalkyl), or aryl, each of which is optionally substituted with 1, 2, or 3 substituents independently selected from the group consisting of halogen, hydroxyl, or —CO2R4; or R8 is —CO2R4;
R9 represents independently for each occurrence C1-6 alkyl, C3-6 cycloalkyl, —(C1-6 alkylene)-(C3-6 cycloalkyl), C1-6 haloalkyl, or C1-6 hydroxyalkyl;
X is one of the following:
  • (i) —O-aralkyl, —O-heteroaralkyl, —O-phenyl, —O-heteroaryl, —O-(partially unsaturated bicyclic carbocyclyl), —O—(C1-6 alkylene)-(C3-6 cycloalkyl), —O—(C3-6 cycloalkyl), —N(R4)-aralkyl, —N(R4)-phenyl, —N(R4)-(partially unsaturated bicyclic carbocyclyl), or —N(R4)—(C1-6 alkylene)-(C3-6 cycloalkyl), each of which is optionally substituted with 1, 2, or 3 substituents independently selected from the group consisting of halogen, C1-6 haloalkyl, C1-6 alkyl, C3-6 cycloalkyl, C1-6 alkoxy, C1-6 haloalkoxy, —S—(C1-6 alkyl), hydroxyl, cyano, —C(O)R9, and —SO2R9;
  • (ii) —S-aralkyl, —S-heteroaralkyl, —S-phenyl, —S-heteroaryl, —S-(partially unsaturated bicyclic carbocyclyl), —S—(C1-6 alkylene)-(C3-6 cycloalkyl), or —S—(C3-6 cycloalkyl), each of which is optionally substituted with 1, 2, or 3 substituents independently selected from the group consisting of halogen, C1-6 haloalkyl, C1-6 alkyl, C3-6 cycloalkyl, C1-6 alkoxy, C1-6 haloalkoxy, —S—(C1-6 alkyl), hydroxyl, cyano, —C(O)R9, and —SO2R9;
  • (iii) —(C2-6 alkenylene)-phenyl, —(C2-6 alkenylene)-heteroaryl, —(C2-6 alkenylene)-(partially unsaturated 8-10 membered bicyclic ring containing 0-3 heteroatoms), —(C1-6 alkylene)-phenyl, —(C1-6 alkylene)-heteroaryl, —(C1-6 alkylene)-(partially unsaturated bicyclic heterocyclyl), —(C1-6 alkylene)-(partially unsaturated bicyclic oxo-heterocyclyl), —(C1-6 alkylene)-(C3-C6 cycloalkyl), -(5-6 membered heterocycloalkylene)-phenyl, or —(C3-6 cycloalkylene)-phenyl, each of which is optionally substituted with 1, 2, or 3 substituents independently selected from the group consisting of halogen, C1-6 haloalkyl, C1-6 alkyl, C3-6 cycloalkyl, C1-6 alkoxy, C1-6 haloalkoxy, —S—(C1-6 alkyl), hydroxyl, cyano, —C(O)R9, and —SO2R9;
  • (iv) —(C2-6 alkenylene)-(C1-6 alkyl), —(C2-6 alkenylene)-(C3-6 cycloalkyl), or
Figure US09896441-20180220-C00012

each of which is optionally substituted with 1, 2, or 3 substituents independently selected from the group consisting of halogen, C1-6 haloalkyl, C1-6 alkyl, C3-6 cycloalkyl, C1-6 alkoxy, C1-6 haloalkoxy, —S—(C1-6 alkyl), hydroxyl, cyano, —CO2R4, and —SO2R9, wherein A* is a 5-8 membered, partially saturated carbocyclic or heterocyclic ring; or
  • (v) —(C1-6 alkylene)-Z1 or —(C2-6 alkenylene)-Z1, wherein Z1 is —O-aralkyl, —O-heteroaralkyl, —O-phenyl, —O-heteroaryl, —O-(partially unsaturated bicyclic carbocyclyl), —O—(C1-6 alkylene)-(C3-6 cycloalkyl), —O—(C3-6 cycloalkyl), —N(R4)-aralkyl, —N(R4)-phenyl, —N(R4)-(partially unsaturated bicyclic carbocyclyl), —N(R4)—(C1-6 alkylene)-(C3-6 cycloalkyl), or —N(R4)—(C3-6 cycloalkyl), each of which is optionally substituted with 1, 2, or 3 substituents independently selected from the group consisting of halogen, C1-6 haloalkyl, C1-6 alkyl, C3-6 cycloalkyl, C1-6 alkoxy, C1-6 haloalkoxy, —S—(C1-6 alkyl), hydroxyl, cyano, —C(O)R9, and —SO2R9;
Y is —C(R6)(R7)—, —O—, —C(O)—, or —S(O)p—;
m and p each represent independently for each occurrence 0, 1, or 2; and
n is 1, 2, or 3.
In certain embodiments, A is phenylene or 5-6 membered heteroarylene.
In certain embodiments, R1 represents independently for each occurrence halogen or C1-6 alkyl. In certain other embodiments, R1 is fluoro, chloro, methyl, or trifluoromethyl.
In certain embodiments, R2A is C1-6 alkyl substituted with 1 or 2 substituents independently selected from the group consisting of —CO2R4, —C(O)N(R4)(R5), —C(O)—N(R4)—(C1-4 alkylene)-CO2R4, —N(R4)C(O)R8, —CN, halogen, hydroxyl, C1-6 alkoxy, C1-6 haloalkoxy, C1-6 haloalkyl, —N(R4)(R5), —N(R4)C(O)N(R4)(R5), —N(R4)CO2R9, —N(R4)S(O)2R9, and —N(R4)S(O)2N(R4)(R5). In certain other embodiments, R2A is C1-6 alkyl substituted by —C(O)N(R4)(R5), where R4 and R5 are taken together with the nitrogen atom to which they are attached to form a 3-8 membered heterocyclic ring substituted with 1, 2, or 3 substituents independently selected from the group consisting of C1-6 haloalkyl, C1-6 alkyl, and —CO2R10, where R10 is hydrogen or C1-6 alkyl.
In certain embodiments, R3 represents independently for each occurrence hydrogen, C1-6 haloalkyl, halogen, hydroxyl, C1-6 alkyl, C3-4 cycloalkyl, C1-6 alkoxy, or C1-6 haloalkoxy.
In certain embodiments, R4 and R5 each represent independently for each occurrence hydrogen, C1-6 alkyl, or C3-6 cycloalkyl; or an occurrence of R4 and R5 attached to the same nitrogen atom are taken together with the nitrogen atom to which they are attached to form a 3-8 membered heterocyclic ring, wherein the heterocyclic ring is substituted with 1, 2, or 3 substituents independently selected from the group consisting of halogen, C1-6 haloalkyl, C1-6 alkyl, C3-6 cycloalkyl, C1-6 alkoxy, C1-6 haloalkoxy, hydroxyl, cyano, oxo, —CO2R10, —C(O)R9, —SO2R9, —N(R10)C(O)R12, and —C(O)N(R10)(R11); wherein R10 and R11 each represent independently for each occurrence hydrogen or C1-6 alkyl, or R10 and R11 are taken together with the carbon atom to which they are attached to form a 3-6 membered carbocyclic ring; and R12 is C1-6 alkyl, C3-6 cycloalkyl, —(C1-6 alkylene)-(C3-6 cycloalkyl), or aryl, each of which is optionally substituted with 1, 2, or 3 substituents independently selected from the group consisting of halogen, hydroxyl, or —CO2R10. In certain other embodiments, R4 and R5 are taken together with the nitrogen atom to which they are attached to form a 3-8 membered heterocyclic ring substituted with 1, 2, or 3 substituents independently selected from the group consisting of C1-6 haloalkyl, C1-6 alkyl, and —CO2R10, where R10 is hydrogen or C1-6 alkyl.
In certain embodiments, X is —O-aralkyl, —O-heteroaralkyl, —O-phenyl, —O-heteroaryl, —O-(partially unsaturated bicyclic carbocyclyl), —O—(C1-6 alkylene)-(C3-6 cycloalkyl), —O—(C3-6 cycloalkyl), —N(R4)-aralkyl, —N(R4)-phenyl, —N(R4)-(partially unsaturated bicyclic carbocyclyl), or —N(R4)—(C1-6 alkylene)-(C3-6 cycloalkyl), each of which is optionally substituted with 1, 2, or 3 substituents independently selected from the group consisting of halogen, C1-6 haloalkyl, C1-6 alkyl, C3-6 cycloalkyl, C1-6 alkoxy, C1-6 haloalkoxy, —S—(C1-6 alkyl), hydroxyl, cyano, —C(O)R9, and —SO2R9.
In certain embodiments, X is —S-aralkyl, —S-heteroaralkyl, —S-phenyl, —S— heteroaryl, —S-(partially unsaturated bicyclic carbocyclyl), —S—(C1-6 alkylene)-(C3-6 cycloalkyl), or —S—(C3-6 cycloalkyl), each of which is optionally substituted with 1, 2, or 3 substituents independently selected from the group consisting of halogen, C1-6 haloalkyl, C1-6 alkyl, C3-6 cycloalkyl, C1-6 alkoxy, C1-6 haloalkoxy, —S—(C1-6 alkyl), hydroxyl, cyano, —C(O)R9, and —SO2R9.
In certain embodiments, X is —(C2-6 alkenylene)-phenyl, —(C2-6 alkenylene)-heteroaryl, —(C2-6 alkenylene)-(partially unsaturated 8-10 membered bicyclic ring containing 0-3 heteroatoms), —(C1-6 alkylene)-phenyl, —(C1-6 alkylene)-heteroaryl, —(C1-6 alkylene)-(partially unsaturated bicyclic heterocyclyl), —(C1-6 alkylene)-(partially unsaturated bicyclic oxo-heterocyclyl), —(C1-6 alkylene)-(C3-C6 cycloalkyl), -(5-6 membered heterocycloalkylene)-phenyl, or —(C3-6 cycloalkylene)-phenyl, each of which is optionally substituted with 1, 2, or 3 substituents independently selected from the group consisting of halogen, C1-6 haloalkyl, C1-6 alkyl, C3-6 cycloalkyl, C1-6 alkoxy, C1-6 haloalkoxy, —S—(C1-6 alkyl), hydroxyl, cyano, —C(O)R9, and —SO2R9.
In certain embodiments, X is —(C2-6 alkenylene)-(C1-6 alkyl), —(C2-6 alkenylene)-(C3-6 cycloalkyl), or
Figure US09896441-20180220-C00013

each of which is optionally substituted with 1, 2, or 3 substituents independently selected from the group consisting of halogen, C1-6 haloalkyl, C1-6 alkyl, C3-6 cycloalkyl, C1-6 alkoxy, C1-6 haloalkoxy, —S—(C1-6 alkyl), hydroxyl, cyano, —C(O)R9, and —SO2R9, wherein A* is a 5-8 membered, partially saturated carbocyclic or heterocyclic ring.
In certain embodiments, X is —(C1-6 alkylene)-Z1 or —(C2-6 alkenylene)-Z1, wherein Z1 is —O-aralkyl, —O-heteroaralkyl, —O-phenyl, —O-heteroaryl, —O-(partially unsaturated bicyclic carbocyclyl), —O—(C1-6 alkylene)-(C3-6 cycloalkyl), —O—(C3-6 cycloalkyl), —N(R4)-aralkyl, —N(R4)-phenyl, —N(R4)-(partially unsaturated bicyclic carbocyclyl), —N(R4)—(C1-6 alkylene)-(C3-6 cycloalkyl), or —N(R4)—(C3-6 cycloalkyl), each of which is optionally substituted with 1, 2, or 3 substituents independently selected from the group consisting of halogen, C1-6 haloalkyl, C1-6 alkyl, C3-6 cycloalkyl, C1-6 alkoxy, C1-6 haloalkoxy, —S—(C1-6 alkyl), hydroxyl, cyano, —C(O)R9, and —SO2R9.
In certain embodiments, X is attached at the meta or para position on the phenyl group relative to variable Y. In certain embodiments, X is attached on the phenyl at the position located para to group Y.
In certain embodiments, Y is —C(R6)(R7)—. In certain other embodiments, Y is —O—. In yet other embodiments, Y is —S(O)p—.
The definitions of variables in Formula I above encompass multiple chemical groups. The application contemplates embodiments where, for example, i) the definition of a variable is a single chemical group selected from those chemical groups set forth above, ii) the definition of a variable is a collection of two or more of the chemical groups selected from those set forth above, and iii) the compound is defined by a combination of variables in which the variables are defined by (i) or (ii), e.g., such as where A is phenylene and R3 is selected from the group consisting of C1-6 haloalkyl, halogen, hydroxyl, and C1-6 alkyl.
Another aspect of the invention provides a compound represented by Formula I-1:
Figure US09896441-20180220-C00014
or a pharmaceutically acceptable salt thereof; wherein:
A is phenylene, 5-6 membered heteroarylene, or C3-6 heterocycloalkylene;
R1 represents independently for each occurrence halogen, C1-6 alkyl, C1-6 haloalkyl, or C3-6 cycloalkyl;
R2A is hydrogen, C1-6 alkyl, C3-6 cycloalkyl, —O—(C1-6 alkylene)-CO2R4, —O—(C1-6 alkylene)-C(O)—(C1-6 alkyl), —N(R4)—(C1-6 alkylene)-CO2R4, or —N(R4)—(C1-6 alkylene)-C(O)—(C1-6 alkyl), wherein the C1-6 alkyl, C3-6 cycloalkyl, and C1-6 alkylene are optionally substituted with 1 or 2 substituents independently selected from the group consisting of —CO2R4, —N(R4)C(O)(C1-6 alkyl), —CN, halogen, hydroxyl, C1-6 alkoxy, C1-6 haloalkoxy, C1-6 haloalkyl, —N(R4)(R5), —N(R4)C(O)N(R4)(R5), —N(R4)CO2—(C1-6 alkyl), —N(R4)S(O)2—(C1-6 alkyl), and —N(R4)S(O)2N(R4)(R5); or R2A is —CO2R4 or —N(R4)C(O)(C1-6 alkyl);
R2B is C1-6 alkyl or C1-3 haloalkyl;
R3 represents independently for each occurrence hydrogen, C1-6 haloalkyl, halogen, hydroxyl, C1-6 alkyl, C1-6 alkoxy, C1-6 haloalkoxy, or —O—(C1-6 alkylene)-OH; or two vicinal occurrences of R3 are taken together with intervening atoms to form a 4-6 membered ring;
R4 and R5 each represent independently for each occurrence hydrogen, C1-6 alkyl, or C3-6 cycloalkyl; or an occurrence of R4 and R5 attached to the same nitrogen atom are taken together with the nitrogen atom to which they are attached to form a 3-7 membered heterocyclic ring;
R6 and R7 each represent independently for each occurrence hydrogen or C1-6 alkyl, or R6 and R7 are taken together with the carbon atom to which they are attached to form a 3-6 membered carbocyclic ring; or R6 and R2A are taken together to form a bond;
X is one of the following:
  • (i) —O-aralkyl, —O-heteroaralkyl, —O-phenyl, —O-heteroaryl, —O-(partially unsaturated bicyclic carbocyclyl), —O—(C1-6 alkylene)-(C3-6 cycloalkyl), —O—(C3-6 cycloalkyl), —N(R4)-aralkyl, —N(R4)-phenyl, —N(R4)-(partially unsaturated bicyclic carbocyclyl), or —N(R4)—(C1-6 alkylene)-(C3-6 cycloalkyl), each of which is optionally substituted with 1, 2, or 3 substituents independently selected from the group consisting of halogen, C1-6 haloalkyl, C1-6 alkyl, C3-6 cycloalkyl, C1-6 alkoxy, C1-6 haloalkoxy, hydroxyl, and cyano;
  • (ii) —(C2-6 alkenylene)-phenyl, —(C2-6 alkenylene)-heteroaryl, —(C1-6 alkylene)-phenyl, —(C1-6 alkylene)-heteroaryl, —(C1-6 alkylene)-(partially unsaturated bicyclic heterocyclyl), —(C1-6 alkylene)-(partially unsaturated bicyclic oxo-heterocyclyl), -(5-6 membered heterocycloalkylene)-phenyl, or —(C3-6 cycloalkylene)-phenyl, each of which is optionally substituted with 1, 2, or 3 substituents independently selected from the group consisting of halogen, C1-6 haloalkyl, C1-6 alkyl, C3-6 cycloalkyl, C1-6 alkoxy, C1-6 haloalkoxy, hydroxyl, and cyano; or
  • (iii) —(C1-6 alkylene)-Z1 or —(C2-6 alkenylene)-Z1, wherein Z1 is —O-aralkyl, —O-heteroaralkyl, —O-phenyl, —O-heteroaryl, —O-(partially unsaturated bicyclic carbocyclyl), —O—(C1-6 alkylene)-(C3-6 cycloalkyl), —O—(C3-6 cycloalkyl), —N(R4)-aralkyl, —N(R4)-phenyl, —N(R4)-(partially unsaturated bicyclic carbocyclyl), —N(R4)—(C1-6 alkylene)-(C3-6 cycloalkyl), or —N(R4)—(C3-6 cycloalkyl), each of which is optionally substituted with 1, 2, or 3 substituents independently selected from the group consisting of halogen, C1-6 haloalkyl, C1-6 alkyl, C3-6 cycloalkyl, C1-6 alkoxy, C1-6 haloalkoxy, hydroxyl, and cyano;
Y is —C(R6)(R7)—, —O, —C(O)—, or —S(O)p—;
m and p each represent independently for each occurrence 0, 1, or 2; and
n is 1, 2, or 3.
In certain embodiments, A is phenylene or 5-6 membered heteroarylene.
In certain embodiments, R1 represents independently for each occurrence halogen or C1-6 alkyl.
In certain embodiments, X is attached at the meta or para position on the phenyl group relative to variable Y. In certain embodiments, X is attached on the phenyl at the position located para to group Y.
In certain embodiments, Y is —C(R6)(R7)—. In certain other embodiments, Y is —O—. In yet other embodiments, Y is —S(O)p—.
The definitions of variables in Formula I-1 above encompass multiple chemical groups. The application contemplates embodiments where, for example, i) the definition of a variable is a single chemical group selected from those chemical groups set forth above, ii) the definition of a variable is a collection of two or more of the chemical groups selected from those set forth above, and iii) the compound is defined by a combination of variables in which the variables are defined by (i) or (ii), e.g., such as where A is phenylene and R3 is selected from the group consisting of C1-6 haloalkyl, halogen, hydroxyl, and C1-6 alkyl.
Another aspect of the invention provides a compound represented by Formula I-2:
Figure US09896441-20180220-C00015
or a pharmaceutically acceptable salt thereof; wherein:
A is phenylene, 5-6 membered heteroarylene, or C3-6 heterocycloalkylene;
R1 represents independently for each occurrence halogen, C1-6 alkyl, C1-6 haloalkyl, or C3-6 cycloalkyl;
R2A is hydrogen, C1-6 alkyl, C3-6 cycloalkyl, —O—(C1-6 alkylene)-CO2R4, —O—(C1-6 alkylene)-C(O)—(C1-6 alkyl), —N(R4)—(C1-6 alkylene)-CO2R4, or —N(R4)—(C1-6 alkylene)-C(O)—(C1-6 alkyl), wherein the C1-6 alkyl, C3-6 cycloalkyl, and C1-6 alkylene are optionally substituted with 1 or 2 substituents independently selected from the group consisting of —CO2R4, —N(R4)C(O)(C1-6 alkyl), —CN, halogen, hydroxyl, C1-6 alkoxy, C1-6 haloalkoxy, C1-6 haloalkyl, —N(R4)(R5), —N(R4)C(O)N(R4)(R5), —N(R4)CO2—(C1-6 alkyl), —N(R4)S(O)2—(C1-6 alkyl), and —N(R4)S(O)2N(R4)(R5); or R2A is —CO2R4 or —N(R4)C(O)(C1-6 alkyl);
R2B is C1-6 alkyl or C1-3 haloalkyl;
R3 represents independently for each occurrence hydrogen, C1-6 haloalkyl, halogen, hydroxyl, C1-6 alkyl, C1-6 alkoxy, C1-6 haloalkoxy, or —O—(C1-6 alkylene)-OH; or two vicinal occurrences of R3 are taken together with intervening atoms to form a 4-6 membered ring;
R4 and R5 each represent independently for each occurrence hydrogen, C1-6 alkyl, or C3-6 cycloalkyl; or an occurrence of R4 and R5 attached to the same nitrogen atom are taken together with the nitrogen atom to which they are attached to form a 3-7 membered heterocyclic ring;
R6 and R7 each represent independently for each occurrence hydrogen or C1-6 alkyl, or R6 and R7 are taken together with the carbon atom to which they are attached to form a 3-6 membered carbocyclic ring; or R6 and a vicinal occurrence of R2B are taken together to form a bond;
X is one of the following:
  • (i) —O-aralkyl, —O-heteroaralkyl, —O-phenyl, —O-heteroaryl, —O-(partially unsaturated bicyclic carbocyclyl), —O—(C1-6 alkylene)-(C3-6 cycloalkyl), —O—(C3-6 cycloalkyl), —N(R4)-aralkyl, —N(R4)-phenyl, —N(R4)-(partially unsaturated bicyclic carbocyclyl), or —N(R4)—(C1-6 alkylene)-(C3-6 cycloalkyl), each of which is optionally substituted with 1, 2, or 3 substituents independently selected from the group consisting of halogen, C1-6 haloalkyl, C1-6 alkyl, C3-6 cycloalkyl, C1-6 alkoxy, C1-6 haloalkoxy, hydroxyl, and cyano;
  • (ii) —(C2-6 alkenylene)-phenyl, —(C2-6 alkenylene)-heteroaryl, —(C1-6 alkylene)-phenyl, —(C1-6 alkylene)-heteroaryl, —(C1-6 alkylene)-(partially unsaturated bicyclic heterocyclyl), —(C1-6 alkylene)-(partially unsaturated bicyclic oxo-heterocyclyl), -(5-6 membered heterocycloalkylene)-phenyl, or —(C3-6 cycloalkylene)-phenyl, each of which is optionally substituted with 1, 2, or 3 substituents independently selected from the group consisting of halogen, C1-6 haloalkyl, C1-6 alkyl, C3-6 cycloalkyl, C1-6 alkoxy, C1-6 haloalkoxy, hydroxyl, and cyano; or
  • (iii) —(C1-6 alkylene)-Z1 or —(C2-6 alkenylene)-Z1, wherein Z1 is —O-aralkyl, —O-heteroaralkyl, —O-phenyl, —O-heteroaryl, —O-(partially unsaturated bicyclic carbocyclyl), —O—(C1-6 alkylene)-(C3-6 cycloalkyl), —O—(C3-6 cycloalkyl), —N(R4)-aralkyl, —N(R4)-phenyl, —N(R4)-(partially unsaturated bicyclic carbocyclyl), —N(R4)—(C1-6 alkylene)-(C3-6 cycloalkyl), or —N(R4)—(C3-6 cycloalkyl), each of which is optionally substituted with 1, 2, or 3 substituents independently selected from the group consisting of halogen, C1-6 haloalkyl, C1-6 alkyl, C3-6 cycloalkyl, C1-6 alkoxy, C1-6 haloalkoxy, hydroxyl, and cyano;
Y is —C(R6)(R7)—, —O, —C(O)—, or —S(O)p—;
m and p each represent independently for each occurrence 0, 1, or 2; and
n is 1, 2, or 3.
In certain embodiments, A is phenylene or 5-6 membered heteroarylene.
In certain embodiments, R1 represents independently for each occurrence halogen or C1-6 alkyl.
In certain embodiments, Y is —C(R6)(R7)—. In certain other embodiments, Y is —O—. In yet other embodiments, Y is —S(O)p—.
The definitions of variables in Formula I-2 above encompass multiple chemical groups. The application contemplates embodiments where, for example, i) the definition of a variable is a single chemical group selected from those chemical groups set forth above, ii) the definition of a variable is a collection of two or more of the chemical groups selected from those set forth above, and iii) the compound is defined by a combination of variables in which the variables are defined by (i) or (ii), e.g., such as where A is phenylene and R3 is selected from the group consisting of C1-6 haloalkyl, halogen, hydroxyl, and C1-6 alkyl.
Another aspect of the invention provides a compound represented by Formula I-A:
Figure US09896441-20180220-C00016
or a pharmaceutically acceptable salt thereof; wherein:
A is phenylene or a 5-6 membered heteroarylene;
R1 represents independently for each occurrence halogen, C1-6 alkyl, or C3-6 cycloalkyl;
R2A is hydrogen, C1-6 alkyl or C3-6 cycloalkyl, wherein the C1-6 alkyl or C3-6 cycloalkyl are optionally substituted with 1 or 2 substituents independently selected from the group consisting of —CO2R4, —N(R4)C(O)(C1-6 alkyl), —CN, halogen, hydroxyl, C1-6 alkoxy, C1-6 haloalkoxy, C1-6 haloalkyl, and —N(R4)(R5); or R2A is —CO2R4 or —N(R4)C(O)(C1-6 alkyl);
R2B is C1-6 alkyl or C1-3 haloalkyl;
R3 represents independently for each occurrence hydrogen, C1-6 haloalkyl, halogen, hydroxyl, C1-6 alkyl, C1-6 alkoxy, C1-6 haloalkoxy, or —O—(C1-6 alkylene)-OH; or two vicinal occurrences of R3 are taken together with intervening atoms to form a 4-6 membered ring;
R4 and R5 each represent independently for each occurrence hydrogen, C1-6 alkyl, or C3-6 cycloalkyl; or an occurrence of R4 and R5 attached to the same nitrogen atom are taken together with the nitrogen atom to which they are attached to form a 3-7 membered heterocyclic ring;
R6 and R7 each represent independently for each occurrence hydrogen or C1-6 alkyl, or R6 and R7 are taken together with the carbon atom to which they are attached to form a 3-6 membered carbocyclic ring; or R6 and R2A are taken together to form a bond;
X is one of the following:
  • (i) —O-aralkyl, —O-heteroaralkyl, —O-phenyl, —O-heteroaryl, —O-(partially unsaturated bicyclic carbocyclyl), —O—(C1-6 alkylene)-(C3-6 cycloalkyl), —N(R4)-aralkyl, —N(R4)-phenyl, —N(R4)-(partially unsaturated bicyclic carbocyclyl), or —N(R4)—(C1-6 alkylene)-(C3-6 cycloalkyl), each of which is optionally substituted with 1, 2, or 3 substituents independently selected from the group consisting of halogen, C1-6 haloalkyl, C1-6 alkyl, C3-6 cycloalkyl, C1-6 alkoxy, and C1-6 haloalkoxy;
  • (ii) —(C2-6 alkenylene)-phenyl, —(C2-6 alkenylene)-heteroaryl, —(C1-6 alkylene)-phenyl, —(C1-6 alkylene)-heteroaryl, —(C1-6 alkylene)-(partially unsaturated bicyclic heterocyclyl), —(C1-6 alkylene)-(partially unsaturated bicyclic oxo-heterocyclyl), or -(5-6 membered heterocycloalkylene)-phenyl, each of which is optionally substituted with 1, 2, or 3 substituents independently selected from the group consisting of halogen, C1-6 haloalkyl, C1-6 alkyl, C3-6 cycloalkyl, C1-6 alkoxy, and C1-6 haloalkoxy; or
  • (iii) —(C1-6 alkylene)-Z1 or —(C2-6 alkenylene)-Z1, wherein Z1 is —O-aralkyl, —O-heteroaralkyl, —O-phenyl, —O-heteroaryl, —O-(partially unsaturated bicyclic carbocyclyl), —O—(C1-6 alkylene)-(C3-6 cycloalkyl), —O—(C3-6 cycloalkyl), —N(R4)-aralkyl, —N(R4)-phenyl, —N(R4)-(partially unsaturated bicyclic carbocyclyl), or —N(R4)—(C1-6 alkylene)-(C3-6 cycloalkyl), each of which is optionally substituted with 1, 2, or 3 substituents independently selected from the group consisting of halogen, C1-6 haloalkyl, C1-6 alkyl, C3-6 cycloalkyl, C1-6 alkoxy, and C1-6 haloalkoxy;
Y is —C(R6)(R7)—, —O—, or —C(O)—;
m and p are independently 0, 1, or 2; and
n is 1, 2, or 3.
In certain embodiments, A is phenylene. In certain other embodiments, A is a 5-6 membered heteroarylene. In yet other embodiments, -A-(R3)n is one of the following:
Figure US09896441-20180220-C00017

yet other embodiments, -A-(R3)n is
Figure US09896441-20180220-C00018
In certain embodiments, R1 represents independently for each occurrence halogen, methyl, or cyclopropyl.
In certain embodiments, R2A is C1-6 alkyl optionally substituted with 1 or 2 substituents independently selected from the group consisting of —CO2R4, —N(R4)C(O)(C1-6 alkyl), —CN, halogen, hydroxyl, C1-6 alkoxy, C1-6 haloalkoxy, and —N(R4)(R5). In certain other embodiments, R2A is C1-6 alkyl substituted with 1 or 2 substituents independently selected from the group consisting of —CO2R4, —N(R4)C(O)(C1-6 alkyl), —CN, hydroxyl, and C1-6 alkoxy. In certain other embodiments, R2A is —CO2R4.
In certain embodiments, R2B is C1-6 alkyl. In certain embodiments, R2B is methyl.
In certain embodiments, n is 1. In certain other embodiments, n is 1 or 2.
In certain embodiments, R3 represents independently for each occurrence C1-6 haloalkyl, halogen, C1-6 alkyl, C1-6 alkoxy, or —O—(C1-6 alkylene)-OH. In certain other embodiments, R3 is trifluoromethyl, fluoro, chloro, or methoxy. In certain other embodiments, R3 is trifluoromethyl.
In certain embodiments, R4 and R5 each represent independently for each occurrence hydrogen or C1-6 alkyl.
In certain embodiments, X is —O-aralkyl, —O-heteroaralkyl, —O-phenyl, —O-heteroaryl, —O-(partially unsaturated bicyclic carbocyclyl), —O—(C1-6 alkylene)-(C3-6 cycloalkyl), —N(R4)-aralkyl, —N(R4)-phenyl, —N(R4)-(partially unsaturated bicyclic carbocyclyl), or —N(R4)—(C1-6 alkylene)-(C3-6 cycloalkyl), each of which is optionally substituted with 1, 2, or 3 substituents independently selected from the group consisting of halogen, C1-6 haloalkyl, C1-6 alkyl, C3-6 cycloalkyl, C1-6 alkoxy, and C1-6 haloalkoxy. In certain other embodiments, X is —O-aralkyl, —O-phenyl, —O-(partially unsaturated bicyclic carbocyclyl), —O—(C1-6 alkylene)-(C3-6 cycloalkyl), —N(R4)-aralkyl, —N(R4)-phenyl, —N(R4)-(partially unsaturated bicyclic carbocyclyl), or —N(R4)—(C1-6 alkylene)-(C3-6 cycloalkyl), each of which is optionally substituted with 1, 2, or 3 substituents independently selected from the group consisting of halogen, C1-6 haloalkyl, C1-6 alkyl, C3-6 cycloalkyl, C1-6 alkoxy, and C1-6 haloalkoxy. In certain other embodiments, X is —O-aralkyl or —N(R4)-aralkyl, each of which is optionally substituted with 1, 2, or 3 substituents independently selected from the group consisting of halogen, C1-6 haloalkyl, C1-6 alkyl, C3-6 cycloalkyl, C1-6 alkoxy, and C1-6 haloalkoxy. In certain other embodiments, X is —O—(C1-6 alkylene)-phenyl or —N(R4)—(C1-6 alkylene)-phenyl, each of which is substituted with 1, 2, or 3 substituents independently selected from the group consisting of halogen, C1-6 haloalkyl, C1-6 alkyl, C3-6 cycloalkyl, C1-6 alkoxy, and C1-6 haloalkoxy, where at least one substituent is present at the ortho position on the phenyl group in variable X. In certain other embodiments, X is —O-benzyl or —N(R4)-benzyl, each of which is substituted with 1 or 2 substituents independently selected from the group consisting of chloro, bromo, and fluoro.
In certain embodiments, X is —(C2-6 alkenylene)-phenyl, —(C2-6 alkenylene)-heteroaryl, —(C1-6 alkylene)-phenyl, —(C1-6 alkylene)-heteroaryl, —(C1-6 alkylene)-(partially unsaturated bicyclic heterocyclyl), —(C1-6 alkylene)-(partially unsaturated bicyclic oxo-heterocyclyl), or -(5-6 membered heterocycloalkylene)-phenyl, each of which is optionally substituted with 1, 2, or 3 substituents independently selected from the group consisting of halogen, C1-6 haloalkyl, C1-6 alkyl, C3-6 cycloalkyl, C1-6 alkoxy, and C1-6 haloalkoxy. In certain other embodiments, X is —(C2-6 alkenylene)-phenyl, —(C1-6 alkylene)-phenyl, —(C1-6 alkylene)-heteroaryl, —(C1-6 alkylene)-(partially unsaturated bicyclic heterocyclyl), —(C1-6 alkylene)-(partially unsaturated bicyclic oxo-heterocyclyl), or -(5-6 membered heterocycloalkylene)-phenyl, each of which is optionally substituted with 1, 2, or 3 substituents independently selected from the group consisting of halogen, C1-6 haloalkyl, C1-6 alkyl, C3-6 cycloalkyl, C1-6 alkoxy, and C1-6 haloalkoxy. In certain other embodiments, X is —(C2-6 alkenylene)-phenyl, —(C1-6 alkylene)-phenyl, or —(C1-6 alkylene)-heteroaryl), each of which is optionally substituted with 1, 2, or 3 substituents independently selected from the group consisting of halogen, C1-6 haloalkyl, C1-6 alkyl, C3-6 cycloalkyl, C1-6 alkoxy, and C1-6 haloalkoxy.
In certain embodiments, X is —(C1-6 alkylene)-Z1 or —(C2-6 alkenylene)-Z1, wherein Z1 is —O-aralkyl, —O-heteroaralkyl, —O-phenyl, —O-heteroaryl, —O-(partially unsaturated bicyclic carbocyclyl), —O—(C1-6 alkylene)-(C3-6 cycloalkyl), —O—(C3-6 cycloalkyl), —N(R4)-aralkyl, —N(R4)-phenyl, —N(R4)-(partially unsaturated bicyclic carbocyclyl), or —N(R4)—(C1-6 alkylene)-(C3-6 cycloalkyl), each of which is optionally substituted with 1, 2, or 3 substituents independently selected from the group consisting of halogen, C1-6 haloalkyl, C1-6 alkyl, C3-6 cycloalkyl, C1-6 alkoxy, and C1-6 haloalkoxy. In certain other embodiments, X is —(C1-6 alkylene)-Z1, wherein Z1 is —O-aralkyl, —O-phenyl, —O-(partially unsaturated bicyclic carbocyclyl), —O—(C1-6alkylene)-(C3-6 cycloalkyl), —O—(C3-6 cycloalkyl), —N(R4)-aralkyl, —N(R4)-phenyl, —N(R4)-(partially unsaturated bicyclic carbocyclyl), or —N(R4)—(C1-6 alkylene)-(C3-6 cycloalkyl), each of which is optionally substituted with 1, 2, or 3 substituents independently selected from the group consisting of halogen, C1-6 haloalkyl, C1-6 alkyl, C3-6 cycloalkyl, C1-6 alkoxy, and C1-6 haloalkoxy.
In certain embodiments, Y is —C(R6)(R7)—.
In certain embodiments, R6 and R7 are independently hydrogen or methyl.
In certain embodiments, Y is —C(R6)(R7)—, R6 and R7 are independently hydrogen or methyl, and X is attached at the 7-position of the 1,2,3,4-tetrahydroquinolinyl ring.
In certain embodiments, Y is —O—.
In certain embodiments, X is attached at the meta or para position on the phenyl group relative to variable Y. In certain embodiments, X is attached on the phenyl at the position located para to group Y. In certain embodiments, X is attached at the 6-position of the 3,4-dihydro-2H-benzo[b][1,4]oxazinyl ring.
In certain embodiments, m is 0 or 1. In certain other embodiments, m is 1.
In certain embodiments, p is 0. In certain other embodiments, p is 1.
The definitions of variables in Formula I-A above encompass multiple chemical groups. The application contemplates embodiments where, for example, i) the definition of a variable is a single chemical group selected from those chemical groups set forth above, ii) the definition of a variable is a collection of two or more of the chemical groups selected from those set forth above, and iii) the compound is defined by a combination of variables in which the variables are defined by (i) or (ii), e.g., such as where A is phenylene and R3 is selected from the group consisting of C1-6 haloalkyl, halogen, hydroxyl, and C1-6 alkyl.
Another aspect of the invention provides a compound represented by Formula I-B:
Figure US09896441-20180220-C00019
or a pharmaceutically acceptable salt thereof; wherein:
A is phenylene;
R1 represents independently for each occurrence halogen, methyl, ethyl, or cyclopropyl;
R2A is C1-6 alkyl substituted with 1 or 2 substituents independently selected from the group consisting of —CO2R4, —N(R4)C(O)(C1-6 alkyl), —CN, halogen, hydroxyl, C1-6 alkoxy, C1-6 haloalkoxy, C1-6 haloalkyl, and —N(R4)(R5);
R2B is methyl or ethyl;
R3 represents independently for each occurrence C1-3 haloalkyl, halogen, and C1-3 alkyl;
R4 and R5 each represent independently for each occurrence hydrogen or methyl;
R6 and R7 each represent independently for each occurrence hydrogen, methyl, or ethyl;
X is attached at the meta or para position on the phenyl group relative to variable Y, and X is one of the following:
  • (i) —O—(C1-6 alkylene)-phenyl, —O-(partially unsaturated bicyclic carbocyclyl), or —O—(C1-6 alkylene)-(C3-6 cycloalkyl), each of which is optionally substituted with 1, 2, or 3 substituents independently selected from the group consisting of halogen, C1-6 haloalkyl, C1-6 alkyl, and C1-6 alkoxy;
  • (ii) —(C2-6 alkenylene)-phenyl or —(C1-6 alkylene)-phenyl, each of which is optionally substituted with 1, 2, or 3 substituents independently selected from the group consisting of halogen, C1-6 haloalkyl, C1-6 alkyl, C3-6 cycloalkyl, C1-6 alkoxy, and C1-6 haloalkoxy; or
  • (iii) —(C1-6 alkylene)-Z1, wherein Z1 is —O-aralkyl, —O-phenyl, —O-(partially unsaturated bicyclic carbocyclyl), —O—(C1-6 alkylene)-(C3-6 cycloalkyl), —O—(C3-6 cycloalkyl), —N(R4)-aralkyl, —N(R4)-phenyl, —N(R4)-(partially unsaturated bicyclic carbocyclyl), or —N(R4)—(C1-6 alkylene)-(C3-6 cycloalkyl), each of which is optionally substituted with 1, 2, or 3 substituents independently selected from the group consisting of halogen, C1-6 haloalkyl, C1-6 alkyl, and C1-6 alkoxy;
Y is —C(R6)(R7)— or —O—;
m and p are independently 0 or 1; and
n is 1 or 2.
In certain embodiments, X is —O—(C1-6 alkylene)-phenyl optionally substituted with 1 or 2 substituents independently selected from the group consisting of halogen, C1-6 haloalkyl, and C1-6 alkyl.
In certain embodiments, Y is —C(R6)(R7)—. In certain embodiments, Y is O.
In certain embodiments, X is —O—(C1-6 alkylene)-phenyl optionally substituted with 1 or 2 substituents independently selected from the group consisting of halogen, C1-6 haloalkyl, and C1-6 alkyl; Y is O; and X is attached at the para position on the phenyl group relative to variable Y.
The definitions of variables in Formula I-B above encompass multiple chemical groups. The application contemplates embodiments where, for example, i) the definition of a variable is a single chemical group selected from those chemical groups set forth above, ii) the definition of a variable is a collection of two or more of the chemical groups selected from those set forth above, and iii) the compound is defined by a combination of variables in which the variables are defined by (i) or (ii).
Another aspect of the invention provides a compound represented by Formula I-C:
Figure US09896441-20180220-C00020
or a pharmaceutically acceptable salt thereof; wherein:
A is phenylene or pyridinylene;
R1 represents independently for each occurrence halogen, methyl, ethyl, or cyclopropyl;
R2A is C1-6 alkyl substituted with 1 or 2 substituents independently selected from the group consisting of —CO2R4, —C(O)N(R4)(R5), —N(R4)C(O)R8, halogen, hydroxyl, C1-6 alkoxy, C1-6 haloalkoxy, and —N(R4)(R5);
R2B is methyl or ethyl;
R3 represents independently for each occurrence C1-3 haloalkyl, halogen, C1-3 alkyl, or —O—(C1-6 hydroxyalkyl);
R4 and R5 each represent independently for each occurrence hydrogen or methyl; or an occurrence of R4 and R5 attached to the same nitrogen atom are taken together with the nitrogen atom to which they are attached to form a 3-7 membered heterocyclic ring;
R8 represents independently for each occurrence C1-6 alkyl, C3-6 cycloalkyl, or —(C1-6 alkylene)-(C3-6 cycloalkyl), each of which is optionally substituted with 1, 2, or 3 substituents independently selected from the group consisting of halogen, hydroxyl, and —CO2R4;
X is —(C2-6 alkenylene)-phenyl substituted with 1, 2, or 3 substituents independently selected from the group consisting of halogen, C1-6 haloalkyl, C1-6 alkyl, C3-6 cycloalkyl, C1-6 alkoxy, and C1-6 haloalkoxy;
m and p are independently 0 or 1; and
n is 1 or 2.
In certain embodiments, A is phenylene. In certain other embodiments, A is pyridinylene.
In certain embodiments, R1 is fluoro or methyl.
In certain embodiments, R2A is C1-6 alkyl substituted with —CO2R4. In certain other embodiments, R2A is C1-6 alkyl substituted with —C(O)N(R4)(R5). In certain other embodiments, R2A is C1-6 alkyl substituted by —C(O)N(R4)(R5), where R4 and R5 are taken together with the nitrogen atom to which they are attached to form a 3-8 membered heterocyclic ring substituted with 1, 2, or 3 substituents independently selected from the group consisting of C1-6 haloalkyl, C1-6 alkyl, and —CO2R10, where R10 is hydrogen or C1-6 alkyl.
In certain embodiments, R3 represents independently for each occurrence trifluoromethyl, halogen, or —O—(C1-6 hydroxyalkyl).
In certain embodiments, R4 and R5 are taken together with the nitrogen atom to which they are attached to form a 3-7 membered heterocyclic ring. In certain other embodiments, R4 and R5 each represent independently for each occurrence hydrogen, C1-6 alkyl, or C3-6 cycloalkyl; or an occurrence of R4 and R5 attached to the same nitrogen atom are taken together with the nitrogen atom to which they are attached to form a 3-8 membered heterocyclic ring, wherein the heterocyclic ring is substituted with 1, 2, or 3 substituents independently selected from the group consisting of halogen, C1-6 haloalkyl, C1-6 alkyl, C3-6 cycloalkyl, C1-6 alkoxy, C1-6 haloalkoxy, hydroxyl, cyano, oxo, —CO2R10, —C(O)R9, —SO2R9, —N(R10)C(O)R12, and —C(O)N(R10)(R11); wherein R10 and R11 each represent independently for each occurrence hydrogen or C1-6 alkyl, or R10 and R11 are taken together with the carbon atom to which they are attached to form a 3-6 membered carbocyclic ring; and R12 is C1-6 alkyl, C3-6 cycloalkyl, —(C1-6 alkylene)-(C3-6 cycloalkyl), or aryl, each of which is optionally substituted with 1, 2, or 3 substituents independently selected from the group consisting of halogen, hydroxyl, or —CO2R10. In certain other embodiments, R4 and R5 are taken together with the nitrogen atom to which they are attached to form a 3-8 membered heterocyclic ring substituted with 1, 2, or 3 substituents independently selected from the group consisting of C1-6 haloalkyl, C1-6 alkyl, and —CO2R10, where R10 is hydrogen or C1-6 alkyl.
In certain embodiments, R8 is C1-6 alkyl.
In certain embodiments, X is —(C2-4 alkenylene)-phenyl substituted with 1, 2, or 3 substituents independently selected from the group consisting of halogen and C1-6 haloalkyl. In certain embodiments, X is —(C2-4 alkenylene)-phenyl substituted with 1, 2, or 3 substituents independently selected from the group consisting of chloro, fluoro, and trifluoromethyl. In certain embodiments, X is —(C2-4 alkenylene)-phenyl substituted with 1 or 2 substituents independently selected from the group consisting of chloro, fluoro, and trifluoromethyl, and said substituents are located at the ortho positions of the phenyl group.
In certain embodiments, m and p are independently 0. In certain embodiments, n is 1.
In certain embodiments, the compound is further selected from a solvate of Formula I-C or a pharmaceutically acceptable salt thereof.
The definitions of variables in Formula I-C above encompass multiple chemical groups. The application contemplates embodiments where, for example, i) the definition of a variable is a single chemical group selected from those chemical groups set forth above, ii) the definition of a variable is a collection of two or more of the chemical groups selected from those set forth above, and iii) the compound is defined by a combination of variables in which the variables are defined by (i) or (ii).
Another aspect of the invention provides a compound represented by Formula I-D:
Figure US09896441-20180220-C00021
or a pharmaceutically acceptable salt thereof; wherein:
A is phenylene or 5-6 membered heteroarylene;
R1 represents independently for each occurrence halogen, C1-6 alkyl, C1-6 haloalkyl, or C3-6 cycloalkyl;
R2A is C1-6 alkyl, C3-6 cycloalkyl, or —(C1-6 alkylene)-(C3-6 cycloalkyl), wherein the C1-6 alkyl, C3-6 cycloalkyl, and C1-6 alkylene are optionally substituted with 1 or 2 substituents independently selected from the group consisting of —CO2R4, —C(O)N(R4)(R5), —C(O)—N(R4)—(C1-4 alkylene)-CO2R4, —N(R4)C(O)R8, —CN, halogen, hydroxyl, C1-6 alkoxy, C1-6 haloalkoxy, C1-6 haloalkyl, —N(R4)(R5), —N(R4)CO2R9, and —N(R4)S(O)2R9; or
R2B is C1-6 alkyl, C1-3 haloalkyl, or fluoro;
R3 represents independently for each occurrence hydrogen, C1-6 haloalkyl, halogen, hydroxyl, C1-6 alkyl, C3-6 cycloalkyl, C1-6 alkoxy, C1-6 haloalkoxy, —N(R4)(R8), —O—(C1-6 hydroxyalkyl), or —O—(C1-6 alkylene)-CO2R4;
R4 and R5 each represent independently for each occurrence hydrogen, C1-6 alkyl, or C3-6 cycloalkyl; or an occurrence of R4 and R5 attached to the same nitrogen atom are taken together with the nitrogen atom to which they are attached to form a 3-8 membered heterocyclic ring;
R6 and R7 each represent independently for each occurrence hydrogen, fluoro, or C1-6 alkyl, or R6 and R7 are taken together with the carbon atom to which they are attached to form a 3-6 membered carbocyclic ring; or R6 and a vicinal occurrence of R2B are taken together to form a bond;
R8 represents independently for each occurrence C1-6 alkyl, C3-6 cycloalkyl, —(C1-6 alkylene)-(C3-6 cycloalkyl), or aryl, each of which is optionally substituted with 1, 2, or 3 substituents independently selected from the group consisting of halogen, hydroxyl, or —CO2R4; or R8 is —CO2R4;
R9 represents independently for each occurrence C1-6 alkyl, C3-6 cycloalkyl, —(C1-6 alkylene)-(C3-6 cycloalkyl), C1-6 haloalkyl, or C1-6 hydroxyalkyl;
X is attached at the meta or para position on the phenyl group relative to variable Y, and X is —(C2-6 alkenylene)-phenyl, —(C2-6 alkenylene)-heteroaryl, —(C2-6 alkenylene)-(partially unsaturated 8-10 membered bicyclic ring containing 0-3 heteroatoms), —(C1-6 alkylene)-phenyl, —(C1-6 alkylene)-heteroaryl, —(C1-6 alkylene)-(partially unsaturated bicyclic heterocyclyl), —(C1-6 alkylene)-(partially unsaturated bicyclic oxo-heterocyclyl), —(C1-6 alkylene)-(C3-C6 cycloalkyl), -(5-6 membered heterocycloalkylene)-phenyl, or —(C3-6 cycloalkylene)-phenyl, each of which is optionally substituted with 1, 2, or 3 substituents independently selected from the group consisting of halogen, C1-6 haloalkyl, C1-6 alkyl, C3-6 cycloalkyl, C1-6 alkoxy, C1-6 haloalkoxy, —S—(C1-6 alkyl), hydroxyl, cyano, —C(O)R9, and —SO2R9;
Y is —C(R6)(R7)— or —O—,
m and p each represent independently for each occurrence 0, 1, or 2; and
n is 1, 2, or 3.
In certain embodiments, A is phenylene. In certain other embodiments, A is pyridinylene.
In certain embodiments, R1 is fluoro or methyl.
In certain embodiments, R2A is C1-6 alkyl substituted with —CO2R4. In certain other embodiments, R2A is C1-6 alkyl substituted with —C(O)N(R4)(R5). In certain other embodiments, R2A is C1-6 alkyl substituted by —C(O)N(R4)(R5), where R4 and R5 are taken together with the nitrogen atom to which they are attached to form a 3-8 membered heterocyclic ring substituted with 1, 2, or 3 substituents independently selected from the group consisting of C1-6 haloalkyl, C1-6 alkyl, and —CO2R10, where R10 is hydrogen or C1-6 alkyl.
In certain embodiments, R3 represents independently for each occurrence trifluoromethyl, halogen, or —O—(C1-6 hydroxyalkyl).
In certain embodiments, R4 and R5 are taken together with the nitrogen atom to which they are attached to form a 3-7 membered heterocyclic ring. In certain other embodiments, R4 and R5 each represent independently for each occurrence hydrogen, C1-6 alkyl, or C3-6 cycloalkyl; or an occurrence of R4 and R5 attached to the same nitrogen atom are taken together with the nitrogen atom to which they are attached to form a 3-8 membered heterocyclic ring, wherein the heterocyclic ring is substituted with 1, 2, or 3 substituents independently selected from the group consisting of halogen, C1-6 haloalkyl, C1-6 alkyl, C3-6 cycloalkyl, C1-6 alkoxy, C1-6 haloalkoxy, hydroxyl, cyano, oxo, —CO2R10, —C(O)R9, —SO2R9, —N(R10)C(O)R12, and —C(O)N(R10)(R11); wherein R10 and R11 each represent independently for each occurrence hydrogen or C1-6 alkyl, or R10 and R11 are taken together with the carbon atom to which they are attached to form a 3-6 membered carbocyclic ring; and R12 is C1-6 alkyl, C3-6 cycloalkyl, —(C1-6 alkylene)-(C3-6 cycloalkyl), or aryl, each of which is optionally substituted with 1, 2, or 3 substituents independently selected from the group consisting of halogen, hydroxyl, or —CO2R10. In certain other embodiments, R4 and R5 are taken together with the nitrogen atom to which they are attached to form a 3-8 membered heterocyclic ring substituted with 1, 2, or 3 substituents independently selected from the group consisting of C1-6 haloalkyl, C1-6 alkyl, and —CO2R10, where R10 is hydrogen or C1-6 alkyl.
In certain embodiments, R8 is C1-6 alkyl.
In certain embodiments, X is attached at the para position on the phenyl group relative to variable Y.
In certain embodiments, X is —(C2-4 alkenylene)-phenyl substituted with 1, 2, or 3 substituents independently selected from the group consisting of halogen and C1-6 haloalkyl. In certain embodiments, X is —(C2-4 alkenylene)-phenyl substituted with 1, 2, or 3 substituents independently selected from the group consisting of chloro, fluoro, and trifluoromethyl. In certain embodiments, X is —(C2-4 alkenylene)-phenyl substituted with 1 or 2 substituents independently selected from the group consisting of chloro, fluoro, and trifluoromethyl, and said substituents are located at the ortho positions of the phenyl group.
In certain embodiments, m and p are independently 0. In certain embodiments, n is 1.
In certain embodiments, the compound is further selected from a solvate of Formula I-D or a pharmaceutically acceptable salt thereof.
The definitions of variables in Formula I-D above encompass multiple chemical groups. The application contemplates embodiments where, for example, i) the definition of a variable is a single chemical group selected from those chemical groups set forth above, ii) the definition of a variable is a collection of two or more of the chemical groups selected from those set forth above, and iii) the compound is defined by a combination of variables in which the variables are defined by (i) or (ii).
Another aspect of the invention provides a compound represented by Formulae III or IV:
Figure US09896441-20180220-C00022
or a pharmaceutically acceptable salt thereof; wherein:
A is phenylene, 5-6 membered heteroarylene, or C3-6 heterocycloalkylene;
R1 represents independently for each occurrence halogen, C1-6 alkyl, C1-6 haloalkyl, or C3-6 cycloalkyl;
R2A is —(C1-2 alkylene)-(2-8 membered heteroalkylene)-CO2R4, —(C1-6 alkylene)-C(O)N(R4)(C1-6 hydroxyalkylene)-CO2R4, or —(C1-6 alkylene)-N(R4)C(O)N(R4)—(C1-6 alkylene)-CO2R4; wherein the C1-6 alkylene is optionally substituted with 1 or 2 substituents independently selected from the group consisting of —CO2R4, —C(O)N(R4)(R5), —CN, halogen, hydroxyl, C1-6 alkoxy, C1-6 haloalkoxy, C1-6 haloalkyl, and —N(R4)(R5);
R2B is C1-6 alkyl, C1-3 haloalkyl, or fluoro;
R3 represents independently for each occurrence hydrogen, C1-6 haloalkyl, halogen, hydroxyl, C1-6 alkyl, C3-6 cycloalkyl, C1-6 alkoxy, C1-6 haloalkoxy, —N(R4)(R8), —O—(C1-6 hydroxyalkyl), or —O—(C1-6 alkylene)-CO2R4; or two vicinal occurrences of R3 are taken together with intervening atoms to form a 4-6 membered ring;
R4 and R5 each represent independently for each occurrence hydrogen, C1-6 alkyl, or C3-6 cycloalkyl; or an occurrence of R4 and R5 attached to the same nitrogen atom are taken together with the nitrogen atom to which they are attached to form a 3-8 membered heterocyclic ring;
R6 and R7 each represent independently for each occurrence hydrogen, fluoro, or C1-6 alkyl, or R6 and R7 are taken together with the carbon atom to which they are attached to form a 3-6 membered carbocyclic ring; or R6 and a vicinal occurrence of R2B are taken together to form a bond;
R8 represents independently for each occurrence C1-6 alkyl, C3-6 cycloalkyl, —(C1-6 alkylene)-(C3-6 cycloalkyl), or aryl, each of which is optionally substituted with 1, 2, or 3 substituents independently selected from the group consisting of halogen, hydroxyl, or —CO2R4; or R8 is —CO2R4;
R9 represents independently for each occurrence C1-6 alkyl, C3-6 cycloalkyl, —(C1-6 alkylene)-(C3-6 cycloalkyl), C1-6 haloalkyl, or C1-6 hydroxyalkyl;
X is one of the following:
  • (i) —O-aralkyl, —O-heteroaralkyl, —O-phenyl, —O-heteroaryl, —O-(partially unsaturated bicyclic carbocyclyl), —O—(C1-6 alkylene)-(C3-6 cycloalkyl), —O—(C3-6 cycloalkyl), —N(R4)-aralkyl, —N(R4)-phenyl, —N(R4)-(partially unsaturated bicyclic carbocyclyl), or —N(R4)—(C1-6 alkylene)-(C3-6 cycloalkyl), each of which is optionally substituted with 1, 2, or 3 substituents independently selected from the group consisting of halogen, C1-6 haloalkyl, C1-6 alkyl, C3-6 cycloalkyl, C1-6 alkoxy, C1-6 haloalkoxy, —S—(C1-6 alkyl), hydroxyl, cyano, —C(O)R9, and —SO2R9;
  • (ii) —S-aralkyl, —S-heteroaralkyl, —S-phenyl, —S-heteroaryl, —S-(partially unsaturated bicyclic carbocyclyl), —S—(C1-6 alkylene)-(C3-6 cycloalkyl), or —S—(C3-6 cycloalkyl), each of which is optionally substituted with 1, 2, or 3 substituents independently selected from the group consisting of halogen, C1-6 haloalkyl, C1-6 alkyl, C3-6 cycloalkyl, C1-6 alkoxy, C1-6 haloalkoxy, —S—(C1-6 alkyl), hydroxyl, cyano, —C(O)R9, and —SO2R9;
  • (iii) —(C2-6 alkenylene)-phenyl, —(C2-6 alkenylene)-heteroaryl, —(C2-6 alkenylene)-(partially unsaturated 8-10 membered bicyclic ring containing 0-3 heteroatoms), —(C1-6 alkylene)-phenyl, —(C1-6 alkylene)-heteroaryl, —(C1-6 alkylene)-(partially unsaturated bicyclic heterocyclyl), —(C1-6 alkylene)-(partially unsaturated bicyclic oxo-heterocyclyl), —(C1-6 alkylene)-(C3-C6 cycloalkyl), -(5-6 membered heterocycloalkylene)-phenyl, or —(C3-6 cycloalkylene)-phenyl, each of which is optionally substituted with 1, 2, or 3 substituents independently selected from the group consisting of halogen, C1-6 haloalkyl, C1-6 alkyl, C3-6 cycloalkyl, C1-6 alkoxy, C1-6 haloalkoxy, —S—(C1-6 alkyl), hydroxyl, cyano, —C(O)R9, and —SO2R9;
  • (iv) —(C2-6 alkenylene)-(C1-6 alkyl), —(C2-6 alkenylene)-(C3-6 cycloalkyl), or
Figure US09896441-20180220-C00023

each of which is optionally substituted with 1, 2, or 3 substituents independently selected from the group consisting of halogen, C1-6 haloalkyl, C1-6 alkyl, C3-6 cycloalkyl, C1-6 alkoxy, C1-6 haloalkoxy, —S—(C1-6 alkyl), hydroxyl, cyano, —C(O)R9, and —SO2R9, wherein A* is a 5-8 membered, partially saturated carbocyclic or heterocyclic ring; or
  • (v) —(C1-6 alkylene)-Z1 or —(C2-6 alkenylene)-Z1, wherein Z1 is —O-aralkyl, —O-heteroaralkyl, —O-phenyl, —O-heteroaryl, —O-(partially unsaturated bicyclic carbocyclyl), —O—(C1-6 alkylene)-(C3-6 cycloalkyl), —O—(C3-6 cycloalkyl), —N(R4)-aralkyl, —N(R4)-phenyl, —N(R4)-(partially unsaturated bicyclic carbocyclyl), —N(R4)—(C1-6 alkylene)-(C3-6 cycloalkyl), or —N(R4)—(C3-6 cycloalkyl), each of which is optionally substituted with 1, 2, or 3 substituents independently selected from the group consisting of halogen, C1-6 haloalkyl, C1-6 alkyl, C3-6 cycloalkyl, C1-6 alkoxy, C1-6 haloalkoxy, —S—(C1-6 alkyl), hydroxyl, cyano, —C(O)R9, and —SO2R9;
Y is —C(R6)(R7)—, —O—, —C(O)—, or —S(O)p—;
m and p each represent independently for each occurrence 0, 1, or 2; and
n is 1, 2, or 3; and
Formula IV is represented by:
Figure US09896441-20180220-C00024
or a pharmaceutically acceptable salt thereof; wherein:
A is phenylene, 5-6 membered heteroarylene, or C3-6 heterocycloalkylene;
R1 represents independently for each occurrence halogen, C1-6 alkyl, C1-6 haloalkyl, or C3-6 cycloalkyl;
R2A is one of the following:
  • (i) hydrogen, C1-6 alkyl, C1-3 haloalkyl, C3-6 cycloalkyl, —(C1-6 alkylene)-(C3-6 cycloalkyl), —O—(C1-6 alkylene)-CO2R4, —O—(C1-6 alkylene)-C(O)—(C1-6 alkyl), —N(R4)—(C1-6 alkylene)-CO2R4, or —N(R4)—(C1-6 alkylene)-C(O)—(C1-6 alkyl), wherein the C1-6 alkyl, C3-6 cycloalkyl, and C1-6 alkylene are optionally substituted with 1 or 2 substituents independently selected from the group consisting of —CO2R4, —C(O)N(R4)(R5), —C(O)—N(R4)—(C1-4 alkylene)-CO2R4, —N(R4)C(O)R8, —CN, halogen, hydroxyl, C1-6 alkoxy, C1-6 haloalkoxy, C1-6 haloalkyl, —N(R4)(R5), —N(R4)C(O)N(R4)(R5), —N(R4)CO2R9, —N(R4)S(O)2R9, and —N(R4)S(O)2N(R4)(R5); or
  • (ii) —CO2R4, —N(R4)C(O)R9, —N(R4)CO2R9, —N(R4)C(O)N(R4)(R5), —N(R4)C(O)N(R4)(heteroaryl), —N(R4)S(O)2R9, —N(R4)(R5), —OH, or —(C1-2 alkylene)-(2-8 membered heteroalkylene)-CO2R4;
R2B is C1-6 alkyl, C1-3 haloalkyl, or fluoro;
R3 represents independently for each occurrence hydrogen, C1-6 haloalkyl, halogen, hydroxyl, C1-6 alkyl, C3-6 cycloalkyl, C1-6 alkoxy, C1-6 haloalkoxy, —N(R4)(R8), —O—(C1-6 hydroxyalkyl), or —O—(C1-6 alkylene)-CO2R4; or two vicinal occurrences of R3 are taken together with intervening atoms to form a 4-6 membered ring;
R4 and R5 each represent independently for each occurrence hydrogen, C1-6 alkyl, or C3-6 cycloalkyl; or an occurrence of R4 and R5 attached to the same nitrogen atom are taken together with the nitrogen atom to which they are attached to form a 3-8 membered heterocyclic ring;
R6 and R7 each represent independently for each occurrence hydrogen, fluoro, or C1-6 alkyl, or R6 and R7 are taken together with the carbon atom to which they are attached to form a 3-6 membered carbocyclic ring; or R6 and a vicinal occurrence of R2B are taken together to form a bond;
R8 represents independently for each occurrence C1-6 alkyl, C3-6 cycloalkyl, —(C1-6 alkylene)-(C3-6 cycloalkyl), or aryl, each of which is optionally substituted with 1, 2, or 3 substituents independently selected from the group consisting of halogen, hydroxyl, or —CO2R4; or R8 is —CO2R4;
R9 represents independently for each occurrence C1-6 alkyl, C3-6 cycloalkyl, —(C1-6 alkylene)-(C3-6 cycloalkyl), C1-6 haloalkyl, or C1-6 hydroxyalkyl;
X is C4-7 cycloalkenyl, C3-7 cycloalkyl, or an 8-10 membered, bicyclic partially saturated carbocyclyl, each of which is optionally substituted with 1, 2, or 3 substituents independently selected from the group consisting of halogen, C1-6 haloalkyl, C1-6 alkyl, C3-6 cycloalkyl, C1-6 alkoxy, C1-6 haloalkoxy, —S—(C1-6 alkyl), hydroxyl, cyano, —C(O)R9, and —SO2R9;
Y is —C(R6)(R7)—, —O—, —C(O)—, or —S(O)p—;
m and p each represent independently for each occurrence 0, 1, or 2; and
n is 1, 2, or 3.
In certain embodiments, the compound is a compound of Formula III or a pharmaceutically acceptable salt thereof. In certain embodiments, the compound is a compound of Formula IV or a pharmaceutically acceptable salt thereof.
In certain embodiments, A is phenylene or 5-6 membered heteroarylene.
In certain embodiments, R1 represents independently for each occurrence halogen or C1-6 alkyl.
In certain embodiments, R3 represents independently for each occurrence hydrogen, C1-6 haloalkyl, halogen, hydroxyl, C1-6 alkyl, C3-4 cycloalkyl, C1-6 alkoxy, or C1-6 haloalkoxy.
In certain embodiments, R4 and R5 each represent independently for each occurrence hydrogen, C1-6 alkyl, or C3-6 cycloalkyl; or an occurrence of R4 and R5 attached to the same nitrogen atom are taken together with the nitrogen atom to which they are attached to form a 3-8 membered heterocyclic ring, wherein the heterocyclic ring is substituted with 1, 2, or 3 substituents independently selected from the group consisting of halogen, C1-6 haloalkyl, C1-6 alkyl, C3-6 cycloalkyl, C1-6 alkoxy, C1-6 haloalkoxy, hydroxyl, cyano, oxo, —CO2R10, —C(O)R9, —SO2R9, —N(R10)C(O)R12, and —C(O)N(R10)(R11); wherein R10 and R11 each represent independently for each occurrence hydrogen or C1-6 alkyl, or R10 and R11 are taken together with the carbon atom to which they are attached to form a 3-6 membered carbocyclic ring; and R12 is C1-6 alkyl, C3-6 cycloalkyl, —(C1-6 alkylene)-(C3-6 cycloalkyl), or aryl, each of which is optionally substituted with 1, 2, or 3 substituents independently selected from the group consisting of halogen, hydroxyl, or —CO2R10. In certain other embodiments, R4 and R5 are taken together with the nitrogen atom to which they are attached to form a 3-8 membered heterocyclic ring substituted with 1, 2, or 3 substituents independently selected from the group consisting of C1-6 haloalkyl, C1-6 alkyl, and —CO2R10, where R10 is hydrogen or C1-6 alkyl.
In certain embodiments, Y is —C(R6)(R7)—. In certain other embodiments, Y is —O—. In yet other embodiments, Y is —S(O)p—.
In connection with Formula III, in certain embodiments, X is —O-aralkyl, —O-heteroaralkyl, —O-phenyl, —O-heteroaryl, —O-(partially unsaturated bicyclic carbocyclyl), —O—(C1-6 alkylene)-(C3-6 cycloalkyl), —O—(C3-6 cycloalkyl), —N(R4)-aralkyl, —N(R4)-phenyl, —N(R4)-(partially unsaturated bicyclic carbocyclyl), or —N(R4)—(C1-6 alkylene)-(C3-6 cycloalkyl), each of which is optionally substituted with 1, 2, or 3 substituents independently selected from the group consisting of halogen, C1-6 haloalkyl, C1-6 alkyl, C3-6 cycloalkyl, C1-6 alkoxy, C1-6 haloalkoxy, —S—(C1-6 alkyl), hydroxyl, cyano, —C(O)R9, and —SO2R9. In certain embodiments, X is —S-aralkyl, —S-heteroaralkyl, —S-phenyl, —S-heteroaryl, —S-(partially unsaturated bicyclic carbocyclyl), —S—(C1-6 alkylene)-(C3-6 cycloalkyl), or —S—(C3-6 cycloalkyl), each of which is optionally substituted with 1, 2, or 3 substituents independently selected from the group consisting of halogen, C1-6 haloalkyl, C1-6 alkyl, C3-6 cycloalkyl, C1-6 alkoxy, C1-6 haloalkoxy, —S—(C1-6 alkyl), hydroxyl, cyano, —C(O)R9, and —SO2R9. In certain embodiments, X is —(C2-6 alkenylene)-phenyl, —(C2-6 alkenylene)-heteroaryl, —(C2-6 alkenylene)-(partially unsaturated 8-10 membered bicyclic ring containing 0-3 heteroatoms), —(C1-6 alkylene)-phenyl, —(C1-6 alkylene)-heteroaryl, —(C1-6 alkylene)-(partially unsaturated bicyclic heterocyclyl), —(C1-6 alkylene)-(partially unsaturated bicyclic oxo-heterocyclyl), —(C1-6 alkylene)-(C3-C6 cycloalkyl), -(5-6 membered heterocycloalkylene)-phenyl, or —(C3-6 cycloalkylene)-phenyl, each of which is optionally substituted with 1, 2, or 3 substituents independently selected from the group consisting of halogen, C1-6 haloalkyl, C1-6 alkyl, C3-6 cycloalkyl, C1-6 alkoxy, C1-6 haloalkoxy, —S—(C1-6 alkyl), hydroxyl, cyano, —C(O)R9, and —SO2R9. In certain embodiments, X is —(C2-6 alkenylene)-(C1-6 alkyl), —(C2-6 alkenylene)-(C3-6 cycloalkyl), or
Figure US09896441-20180220-C00025

each of which is optionally substituted with 1, 2, or 3 substituents independently selected from the group consisting of halogen, C1-6 haloalkyl, C1-6 alkyl, C3-6 cycloalkyl, C1-6 alkoxy, C1-6 haloalkoxy, —S—(C1-6 alkyl), hydroxyl, cyano, —C(O)R9, and —SO2R9, wherein A* is a 5-8 membered, partially saturated carbocyclic or heterocyclic ring. In certain embodiments, X is —(C1-6 alkylene)-Z1 or —(C2-6 alkenylene)-Z1, wherein Z1 is —O-aralkyl, —O-heteroaralkyl, —O-phenyl, —O-heteroaryl, —O-(partially unsaturated bicyclic carbocyclyl), —O—(C1-6 alkylene)-(C3-6 cycloalkyl), —O—(C3-6 cycloalkyl), —N(R4)-aralkyl, —N(R4)-phenyl, —N(R4)-(partially unsaturated bicyclic carbocyclyl), —N(R4)—(C1-6 alkylene)-(C3-6 cycloalkyl), or —N(R4)—(C3-6 cycloalkyl), each of which is optionally substituted with 1, 2, or 3 substituents independently selected from the group consisting of halogen, C1-6 haloalkyl, C1-6 alkyl, C3-6 cycloalkyl, C1-6 alkoxy, C1-6 haloalkoxy, —S—(C1-6 alkyl), hydroxyl, cyano, —C(O)R9, and —SO2R9. In certain embodiments, X is attached at the meta or para position on the phenyl group relative to variable Y. In certain embodiments, X is attached on the phenyl at the position located para to group Y.
In connection with Formula IV, in certain embodiments, R2A is C1-6 alkyl substituted with 1 or 2 substituents independently selected from the group consisting of —CO2R4, —C(O)N(R4)(R5), —C(O)—N(R4)—(C1-4 alkylene)-CO2R4, —N(R4)C(O)R8, —CN, halogen, hydroxyl, C1-6 alkoxy, C1-6 haloalkoxy, C1-6 haloalkyl, —N(R4)(R5), —N(R4)C(O)N(R4)(R5), —N(R4)CO2R9, —N(R4)S(O)2R9, and —N(R4)S(O)2N(R4)(R5). In certain other embodiments, R2A is C1-6 alkyl substituted by —C(O)N(R4)(R5), where R4 and R5 are taken together with the nitrogen atom to which they are attached to form a 3-8 membered heterocyclic ring substituted with 1, 2, or 3 substituents independently selected from the group consisting of C1-6 haloalkyl, C1-6 alkyl, and —CO2R10, where R10 is hydrogen or C1-6 alkyl.
The definitions of variables in Formula III and IV above encompass multiple chemical groups. The application contemplates embodiments where, for example, i) the definition of a variable is a single chemical group selected from those chemical groups set forth above, ii) the definition of a variable is a collection of two or more of the chemical groups selected from those set forth above, and iii) the compound is defined by a combination of variables in which the variables are defined by (i) or (ii).
In certain other embodiments, the compound is a compound defined by one of the following formulae where variables X and Z are as defined in Table 1, or a pharmaceutically acceptable salt thereof.
Figure US09896441-20180220-C00026
Figure US09896441-20180220-C00027
Figure US09896441-20180220-C00028
Figure US09896441-20180220-C00029
Figure US09896441-20180220-C00030
Figure US09896441-20180220-C00031
TABLE 1
No. X Z
I-1 
Figure US09896441-20180220-C00032
Figure US09896441-20180220-C00033
I-2 
Figure US09896441-20180220-C00034
Figure US09896441-20180220-C00035
I-3 
Figure US09896441-20180220-C00036
Figure US09896441-20180220-C00037
I-4 
Figure US09896441-20180220-C00038
Figure US09896441-20180220-C00039
I-5 
Figure US09896441-20180220-C00040
Figure US09896441-20180220-C00041
I-6 
Figure US09896441-20180220-C00042
Figure US09896441-20180220-C00043
I-7 
Figure US09896441-20180220-C00044
Figure US09896441-20180220-C00045
I-8 
Figure US09896441-20180220-C00046
Figure US09896441-20180220-C00047
I-9 
Figure US09896441-20180220-C00048
Figure US09896441-20180220-C00049
I-10
Figure US09896441-20180220-C00050
Figure US09896441-20180220-C00051
I-11
Figure US09896441-20180220-C00052
Figure US09896441-20180220-C00053
I-12
Figure US09896441-20180220-C00054
Figure US09896441-20180220-C00055
I-13
Figure US09896441-20180220-C00056
Figure US09896441-20180220-C00057
I-14
Figure US09896441-20180220-C00058
Figure US09896441-20180220-C00059
I-15
Figure US09896441-20180220-C00060
Figure US09896441-20180220-C00061
I-16
Figure US09896441-20180220-C00062
Figure US09896441-20180220-C00063
I-17
Figure US09896441-20180220-C00064
Figure US09896441-20180220-C00065
I-18
Figure US09896441-20180220-C00066
Figure US09896441-20180220-C00067
I-19
Figure US09896441-20180220-C00068
Figure US09896441-20180220-C00069
I-20
Figure US09896441-20180220-C00070
Figure US09896441-20180220-C00071
I-21
Figure US09896441-20180220-C00072
Figure US09896441-20180220-C00073
I-22
Figure US09896441-20180220-C00074
Figure US09896441-20180220-C00075
I-23
Figure US09896441-20180220-C00076
Figure US09896441-20180220-C00077
I-24
Figure US09896441-20180220-C00078
Figure US09896441-20180220-C00079
I-33
Figure US09896441-20180220-C00080
Figure US09896441-20180220-C00081
I-25
Figure US09896441-20180220-C00082
Figure US09896441-20180220-C00083
I-26
Figure US09896441-20180220-C00084
Figure US09896441-20180220-C00085
I-27
Figure US09896441-20180220-C00086
Figure US09896441-20180220-C00087
I-28
Figure US09896441-20180220-C00088
Figure US09896441-20180220-C00089
I-29
Figure US09896441-20180220-C00090
Figure US09896441-20180220-C00091
I-30
Figure US09896441-20180220-C00092
Figure US09896441-20180220-C00093
I-31
Figure US09896441-20180220-C00094
Figure US09896441-20180220-C00095
I-32
Figure US09896441-20180220-C00096
Figure US09896441-20180220-C00097
I-42
Figure US09896441-20180220-C00098
Figure US09896441-20180220-C00099
I-34
Figure US09896441-20180220-C00100
Figure US09896441-20180220-C00101
I-35
Figure US09896441-20180220-C00102
Figure US09896441-20180220-C00103
I-36
Figure US09896441-20180220-C00104
Figure US09896441-20180220-C00105
I-37
Figure US09896441-20180220-C00106
Figure US09896441-20180220-C00107
I-38
Figure US09896441-20180220-C00108
Figure US09896441-20180220-C00109
I-39
Figure US09896441-20180220-C00110
Figure US09896441-20180220-C00111
I-40
Figure US09896441-20180220-C00112
Figure US09896441-20180220-C00113
I-41
Figure US09896441-20180220-C00114
Figure US09896441-20180220-C00115
I-51
Figure US09896441-20180220-C00116
Figure US09896441-20180220-C00117
I-43
Figure US09896441-20180220-C00118
Figure US09896441-20180220-C00119
I-44
Figure US09896441-20180220-C00120
Figure US09896441-20180220-C00121
I-45
Figure US09896441-20180220-C00122
Figure US09896441-20180220-C00123
I-46
Figure US09896441-20180220-C00124
Figure US09896441-20180220-C00125
I-47
Figure US09896441-20180220-C00126
Figure US09896441-20180220-C00127
I-48
Figure US09896441-20180220-C00128
Figure US09896441-20180220-C00129
I-49
Figure US09896441-20180220-C00130
Figure US09896441-20180220-C00131
I-50
Figure US09896441-20180220-C00132
Figure US09896441-20180220-C00133
I-59
Figure US09896441-20180220-C00134
Figure US09896441-20180220-C00135
I-52
Figure US09896441-20180220-C00136
Figure US09896441-20180220-C00137
I-53
Figure US09896441-20180220-C00138
Figure US09896441-20180220-C00139
I-54
Figure US09896441-20180220-C00140
Figure US09896441-20180220-C00141
I-55
Figure US09896441-20180220-C00142
Figure US09896441-20180220-C00143
I-56
Figure US09896441-20180220-C00144
Figure US09896441-20180220-C00145
I-57
Figure US09896441-20180220-C00146
Figure US09896441-20180220-C00147
I-58
Figure US09896441-20180220-C00148
Figure US09896441-20180220-C00149
I-67
Figure US09896441-20180220-C00150
Figure US09896441-20180220-C00151
I-68
Figure US09896441-20180220-C00152
Figure US09896441-20180220-C00153
I-60
Figure US09896441-20180220-C00154
Figure US09896441-20180220-C00155
I-61
Figure US09896441-20180220-C00156
Figure US09896441-20180220-C00157
I-62
Figure US09896441-20180220-C00158
Figure US09896441-20180220-C00159
I-63
Figure US09896441-20180220-C00160
Figure US09896441-20180220-C00161
I-64
Figure US09896441-20180220-C00162
Figure US09896441-20180220-C00163
I-65
Figure US09896441-20180220-C00164
Figure US09896441-20180220-C00165
I-66
Figure US09896441-20180220-C00166
Figure US09896441-20180220-C00167
I-76
Figure US09896441-20180220-C00168
Figure US09896441-20180220-C00169
I-77
Figure US09896441-20180220-C00170
Figure US09896441-20180220-C00171
I-69
Figure US09896441-20180220-C00172
Figure US09896441-20180220-C00173
I-70
Figure US09896441-20180220-C00174
Figure US09896441-20180220-C00175
I-71
Figure US09896441-20180220-C00176
Figure US09896441-20180220-C00177
I-72
Figure US09896441-20180220-C00178
Figure US09896441-20180220-C00179
I-73
Figure US09896441-20180220-C00180
Figure US09896441-20180220-C00181
I-74
Figure US09896441-20180220-C00182
Figure US09896441-20180220-C00183
I-75
Figure US09896441-20180220-C00184
Figure US09896441-20180220-C00185
I-85
Figure US09896441-20180220-C00186
Figure US09896441-20180220-C00187
I-78
Figure US09896441-20180220-C00188
Figure US09896441-20180220-C00189
I-79
Figure US09896441-20180220-C00190
Figure US09896441-20180220-C00191
I-80
Figure US09896441-20180220-C00192
Figure US09896441-20180220-C00193
I-81
Figure US09896441-20180220-C00194
Figure US09896441-20180220-C00195
I-82
Figure US09896441-20180220-C00196
Figure US09896441-20180220-C00197
I-83
Figure US09896441-20180220-C00198
Figure US09896441-20180220-C00199
I-84
Figure US09896441-20180220-C00200
Figure US09896441-20180220-C00201
I-86
Figure US09896441-20180220-C00202
Figure US09896441-20180220-C00203
In certain other embodiments, the compound is a compound defined by one of the following formulae where variables X and Z are as defined in Table 1-A, or a pharmaceutically acceptable salt thereof.
Figure US09896441-20180220-C00204
Figure US09896441-20180220-C00205
Figure US09896441-20180220-C00206
Figure US09896441-20180220-C00207
Figure US09896441-20180220-C00208
Figure US09896441-20180220-C00209
Figure US09896441-20180220-C00210
Figure US09896441-20180220-C00211
Figure US09896441-20180220-C00212
Figure US09896441-20180220-C00213
TABLE 1-A
No. X Z
I-A1 
Figure US09896441-20180220-C00214
Figure US09896441-20180220-C00215
I-A2 
Figure US09896441-20180220-C00216
Figure US09896441-20180220-C00217
I-A3 
Figure US09896441-20180220-C00218
Figure US09896441-20180220-C00219
I-A4 
Figure US09896441-20180220-C00220
Figure US09896441-20180220-C00221
I-A5 
Figure US09896441-20180220-C00222
Figure US09896441-20180220-C00223
I-A6 
Figure US09896441-20180220-C00224
Figure US09896441-20180220-C00225
I-A7 
Figure US09896441-20180220-C00226
Figure US09896441-20180220-C00227
I-A8 
Figure US09896441-20180220-C00228
Figure US09896441-20180220-C00229
IA-9 
Figure US09896441-20180220-C00230
Figure US09896441-20180220-C00231
I-A10
Figure US09896441-20180220-C00232
Figure US09896441-20180220-C00233
I-A11
Figure US09896441-20180220-C00234
Figure US09896441-20180220-C00235
I-A12
Figure US09896441-20180220-C00236
Figure US09896441-20180220-C00237
I-A13
Figure US09896441-20180220-C00238
Figure US09896441-20180220-C00239
I-A14
Figure US09896441-20180220-C00240
Figure US09896441-20180220-C00241
I-A15
Figure US09896441-20180220-C00242
Figure US09896441-20180220-C00243
I-A16
Figure US09896441-20180220-C00244
Figure US09896441-20180220-C00245
I-A17
Figure US09896441-20180220-C00246
Figure US09896441-20180220-C00247
I-A18
Figure US09896441-20180220-C00248
Figure US09896441-20180220-C00249
I-A19
Figure US09896441-20180220-C00250
Figure US09896441-20180220-C00251
I-A20
Figure US09896441-20180220-C00252
Figure US09896441-20180220-C00253
I-A21
Figure US09896441-20180220-C00254
Figure US09896441-20180220-C00255
I-A22
Figure US09896441-20180220-C00256
Figure US09896441-20180220-C00257
I-A23
Figure US09896441-20180220-C00258
Figure US09896441-20180220-C00259
I-A24
Figure US09896441-20180220-C00260
Figure US09896441-20180220-C00261
I-A33
Figure US09896441-20180220-C00262
Figure US09896441-20180220-C00263
I-A25
Figure US09896441-20180220-C00264
Figure US09896441-20180220-C00265
I-A26
Figure US09896441-20180220-C00266
Figure US09896441-20180220-C00267
I-A27
Figure US09896441-20180220-C00268
Figure US09896441-20180220-C00269
I-A28
Figure US09896441-20180220-C00270
Figure US09896441-20180220-C00271
I-A29
Figure US09896441-20180220-C00272
Figure US09896441-20180220-C00273
I-A30
Figure US09896441-20180220-C00274
Figure US09896441-20180220-C00275
I-A31
Figure US09896441-20180220-C00276
Figure US09896441-20180220-C00277
I-A32
Figure US09896441-20180220-C00278
Figure US09896441-20180220-C00279
I-A42
Figure US09896441-20180220-C00280
Figure US09896441-20180220-C00281
I-A34
Figure US09896441-20180220-C00282
Figure US09896441-20180220-C00283
I-A35
Figure US09896441-20180220-C00284
Figure US09896441-20180220-C00285
I-A36
Figure US09896441-20180220-C00286
Figure US09896441-20180220-C00287
I-A37
Figure US09896441-20180220-C00288
Figure US09896441-20180220-C00289
I-A38
Figure US09896441-20180220-C00290
Figure US09896441-20180220-C00291
I-A39
Figure US09896441-20180220-C00292
Figure US09896441-20180220-C00293
I-A40
Figure US09896441-20180220-C00294
Figure US09896441-20180220-C00295
I-A41
Figure US09896441-20180220-C00296
Figure US09896441-20180220-C00297
I-A51
Figure US09896441-20180220-C00298
Figure US09896441-20180220-C00299
I-A43
Figure US09896441-20180220-C00300
Figure US09896441-20180220-C00301
I-A44
Figure US09896441-20180220-C00302
Figure US09896441-20180220-C00303
I-A45
Figure US09896441-20180220-C00304
Figure US09896441-20180220-C00305
I-A46
Figure US09896441-20180220-C00306
Figure US09896441-20180220-C00307
I-A47
Figure US09896441-20180220-C00308
Figure US09896441-20180220-C00309
I-A48
Figure US09896441-20180220-C00310
Figure US09896441-20180220-C00311
I-A49
Figure US09896441-20180220-C00312
Figure US09896441-20180220-C00313
I-A50
Figure US09896441-20180220-C00314
Figure US09896441-20180220-C00315
I-A59
Figure US09896441-20180220-C00316
Figure US09896441-20180220-C00317
I-A52
Figure US09896441-20180220-C00318
Figure US09896441-20180220-C00319
I-A53
Figure US09896441-20180220-C00320
Figure US09896441-20180220-C00321
I-A54
Figure US09896441-20180220-C00322
Figure US09896441-20180220-C00323
I-A55
Figure US09896441-20180220-C00324
Figure US09896441-20180220-C00325
I-A56
Figure US09896441-20180220-C00326
Figure US09896441-20180220-C00327
I-A57
Figure US09896441-20180220-C00328
Figure US09896441-20180220-C00329
I-A58
Figure US09896441-20180220-C00330
Figure US09896441-20180220-C00331
I-A67
Figure US09896441-20180220-C00332
Figure US09896441-20180220-C00333
I-A60
Figure US09896441-20180220-C00334
Figure US09896441-20180220-C00335
I-A61
Figure US09896441-20180220-C00336
Figure US09896441-20180220-C00337
I-A62
Figure US09896441-20180220-C00338
Figure US09896441-20180220-C00339
I-A63
Figure US09896441-20180220-C00340
Figure US09896441-20180220-C00341
I-A64
Figure US09896441-20180220-C00342
Figure US09896441-20180220-C00343
I-A65
Figure US09896441-20180220-C00344
Figure US09896441-20180220-C00345
I-A66
Figure US09896441-20180220-C00346
Figure US09896441-20180220-C00347
I-A76
Figure US09896441-20180220-C00348
Figure US09896441-20180220-C00349
I-A68
Figure US09896441-20180220-C00350
Figure US09896441-20180220-C00351
I-A69
Figure US09896441-20180220-C00352
Figure US09896441-20180220-C00353
I-A70
Figure US09896441-20180220-C00354
Figure US09896441-20180220-C00355
I-A71
Figure US09896441-20180220-C00356
Figure US09896441-20180220-C00357
I-A72
Figure US09896441-20180220-C00358
Figure US09896441-20180220-C00359
I-A73
Figure US09896441-20180220-C00360
Figure US09896441-20180220-C00361
I-A74
Figure US09896441-20180220-C00362
Figure US09896441-20180220-C00363
I-A75
Figure US09896441-20180220-C00364
Figure US09896441-20180220-C00365
I-A85
Figure US09896441-20180220-C00366
Figure US09896441-20180220-C00367
I-A77
Figure US09896441-20180220-C00368
Figure US09896441-20180220-C00369
I-A78
Figure US09896441-20180220-C00370
Figure US09896441-20180220-C00371
I-A79
Figure US09896441-20180220-C00372
Figure US09896441-20180220-C00373
I-A80
Figure US09896441-20180220-C00374
Figure US09896441-20180220-C00375
I-A81
Figure US09896441-20180220-C00376
Figure US09896441-20180220-C00377
I-A82
Figure US09896441-20180220-C00378
Figure US09896441-20180220-C00379
I-A83
Figure US09896441-20180220-C00380
Figure US09896441-20180220-C00381
I-A84
Figure US09896441-20180220-C00382
Figure US09896441-20180220-C00383
I-A96
Figure US09896441-20180220-C00384
Figure US09896441-20180220-C00385
I-A86
Figure US09896441-20180220-C00386
Figure US09896441-20180220-C00387
I-A87
Figure US09896441-20180220-C00388
Figure US09896441-20180220-C00389
I-A88
Figure US09896441-20180220-C00390
Figure US09896441-20180220-C00391
I-A89
Figure US09896441-20180220-C00392
Figure US09896441-20180220-C00393
I-A90
Figure US09896441-20180220-C00394
Figure US09896441-20180220-C00395
I-A91
Figure US09896441-20180220-C00396
Figure US09896441-20180220-C00397
I-A92
Figure US09896441-20180220-C00398
Figure US09896441-20180220-C00399
I-A93
Figure US09896441-20180220-C00400
Figure US09896441-20180220-C00401
I-A94
Figure US09896441-20180220-C00402
Figure US09896441-20180220-C00403
I-A95
Figure US09896441-20180220-C00404
Figure US09896441-20180220-C00405
I-A97
Figure US09896441-20180220-C00406
Figure US09896441-20180220-C00407
I-A98
Figure US09896441-20180220-C00408
Figure US09896441-20180220-C00409
I-A99
Figure US09896441-20180220-C00410
Figure US09896441-20180220-C00411
 I-A100
Figure US09896441-20180220-C00412
Figure US09896441-20180220-C00413
 I-A101
Figure US09896441-20180220-C00414
Figure US09896441-20180220-C00415
 I-A102
Figure US09896441-20180220-C00416
Figure US09896441-20180220-C00417
 I-A103
Figure US09896441-20180220-C00418
Figure US09896441-20180220-C00419
 I-A104
Figure US09896441-20180220-C00420
Figure US09896441-20180220-C00421
 I-A105
Figure US09896441-20180220-C00422
Figure US09896441-20180220-C00423
 I-A106
Figure US09896441-20180220-C00424
Figure US09896441-20180220-C00425
In certain embodiments, the compound is a compound in Table 1, 1-A, 23, or 24, or a pharmaceutically acceptable salt thereof. In certain embodiments, the compound is a compound in Table 1, 1-A, 24, or 25, or a pharmaceutically acceptable salt thereof. In certain embodiments, the compound is a compound in Table 26, or a pharmaceutically acceptable salt
Methods for preparing compounds described herein are illustrated in the following synthetic Schemes. The Schemes are given for the purpose of illustrating the invention, and are not intended to limit the scope or spirit of the invention. Starting materials shown in the Schemes can be obtained from commercial sources or be prepared based on procedures described in the literature.
The synthetic route illustrated in Scheme 1 is a general method for preparing substituted 1,2,3,4-tetrahydroquinoline compounds F and G. Reaction of aniline A with diethyl 2-(ethoxymethylene)malonate B followed by thermally induced cyclization with acid affords the substituted ethyl 4-oxo-1,4-dihydroquinoline-3-carboxylate C. Treatment of compound C with phosphoryl trichloride affords the ethyl 4-chloroquinoline-3-carboxylate D. Reduction with borane in pyridine or with transition metal-mediated hydrogenation affords the ethyl 1,2,3,4-tetrahydroquinoline-3-carboxylate E, which can be reacted with a sulphonyl chloride or sulfamoyl chloride to provide the substituted sulfonamide-tetrahydroquinoline F. The ester group of F can be hydrolyzed to afford the substituted 1,2,3,4-tetrahydroquinoline-3-carboxylic acid G. Compound G can be obtained in enanteriomerically enriched form by chiral separation techniques described in the literature for carboxylic acids.
The reaction procedures in Scheme 1 are contemplated to be amenable to preparing a wide variety of 3-substituted 1,2,3,4-tetrahydroquinoline compounds having different substituents at the R, X, and 3-positions. For example, numerous substituted anilines are known in the literature and/or are commercially available or readily prepared from nitroaromatic compounds. Furthermore, if a functional group on a molecule would not be amenable to a reaction condition described in Scheme 1, it is contemplated that the functional group can first be protected using standard protecting group chemistry and strategies, and then the protecting group is removed after completing the desired synthetic transformation. See, for example, Greene, T. W.; Wuts, P. G. M. Protective Groups in Organic Synthesis, 2nd ed.; Wiley: New York, 1991, for further description of protecting chemistry and strategies. For example, if X is OMe, the methyl moiety can be removed from F with boron tribromide to afford a 6- or 7-hydroxytetrahydroquinoline. The resulting compound can be subjected to either alkylation with halides or with the Mitsunobu reaction to afford a wide variety of OR groups as X. In other embodiments, the —OH may be converted to triflate and be subjected to Pd-mediated catalyzed reactions to afford a wide variety of carbon linked substituents. In certain other embodiments, the ester group in compound F can be converted to another functional group using standard functional group manipulation procedures known in the art. See, for example, “Comprehensive Organic Synthesis” (B. M. Trost & I. Fleming, eds., 1991-1992).
Figure US09896441-20180220-C00426
Scheme 2 illustrates a general method for preparing substituted 1,2,3,4-tetrahydroquinoline compound F. Condensation of a substituted 2-nitrobenzaldehyde A with diethyl malonate affords α-β-unsaturated diester B. Reduction of B with sodium borohydride affords diester C. Reduction of the nitro moiety of C with either metal-mediated hydrogenation or dissolving metal reductions (for example Zn/AcOH or Fe in HCl) affords 2-oxo-1,2,3,4-tetrahydroquinoline-3-carboxylate D. Selective reduction of the 2-keto moiety of D affords ethyl 1,2,3,4-tetrahydroquinoline-3-carboxylate E. The ester group in E can be converted to additional functional groups via the methodology described above in connection with Scheme 1.
Figure US09896441-20180220-C00427
Scheme 3 illustrates a general method for preparing substituted (R)-2-alkyl-1-(aryl or heteroaryl sulfonyl)-1,2-dihydroquinoline-3-carboxylic acids D. A tandem Michael-aldol dehydration of a substituted N-(2-formylphenyl)(aryl or heteroaryl)sulfonamide A with a 3-substituted acrylaldehyde B catalyzed by the (S)-diphenylprolinol triethyl silyl ether (see, for example, W. Wang et al., Org. Lett. 9: 965-968, 2007; and A. Cordova et al., Adv. Synth. Catal. 349: 827-832, 2007) affords substituted (R)-2-alkyl-1-(aryl or heteroaryl sulfonyl)-1,2-dihydroquinoline-3-carbaldehyde C. Oxidation (see, for example, Y. K. Bae et al. Synlett. 24: 1848-1850, 2013; S. J. Williams et al. in WO2011/047432) of the aldehyde in C affords substituted (R)-2-alkyl-1-(aryl or heteroaryl sulfonyl)-1,2-dihydroquinoline-3-carboxylic acid D.
Figure US09896441-20180220-C00428
Scheme 4 illustrates a general method for preparing substituted (R)-(2-alkyl-1-(aryl or heteroaryl sulfonyl)-1,2-dihydroquinolin-3-yl)alkyl alcohol B. Reduction of the aldehyde in compound A with sodium borohydride in the presence of cerium (III) chloride (Y. Hamada et al., Tetrahedron 64: 11568-11579, 2008) yields compound B where R′ is hydrogen. Addition of an alkyl magnesium or alkyl lithium halide in the presence of cerium (III) chloride affords the secondary alcohol B where R′ is a lower alkyl (i.e., C1-6 alkyl).
Figure US09896441-20180220-C00429
Scheme 5 illustrates a general procedure for preparing substituted (R)-3-(2-alkyl-1-(aryl or heteroaryl sulfonyl)-1,2-dihydroquinolin-3-yl)propanoic acid D. Treatment of allylic alcohol A with methane sulfonyl halide (or a tosyl halide or triflic anhydride may be used to activate the hydroxyl group, and alternatively the hydroxyl group may be converted to an allylic halide by methods known in the literature) affords compound B where the allylic hydroxyl is activated with a leaving group. When R′ is the same as R″, an ester of an appropriate substituted (or unsubstituted) acetic acid is converted to an anion with an appropriate base (e.g., LDA, lithium hexamethyldisilazide, etc.) and is alkylated with B to yield compound C where variable Q is oxygen. When R′ is not the same as R″, various chiral enolate chemistry methods from the literature may be used to provide a chiral acid (where variable Q may be, for example, oxygen or N(R′″)). For example, the anion of an acyloxazolidinone may be utilized. Removal of the chiral auxiliary with an appropriate base (e.g., potassium carbonate, lithium hydroxide in the presence of peroxide) or an acid (for tert-butyl esters) affords (R)-3-(2-alkyl-1-(aryl or heteroaryl sulfonyl)-1,2-dihydroquinolin-3-yl)propanoic acid D.
Figure US09896441-20180220-C00430
Scheme 6 illustrates a general procedure for preparing substituted (R)-(2-alkyl-1-(aryl or heteroarylsulfonyl)-1,2-dihydroquinolin-3-yl)alkylamines C and D. Mitsunobu reaction (D. L. Hughes et al. Organic Reactions 42: 1992) of allylic alcohol A with phthalamide affords substituted phthamide B. Treatment of compound B with hydrazine in an appropriate solvent (for example, ethanol or isopropanol; see, for example, H. Itoh et al. in J. Org. Chem. 43: 2320, 1978) affords (R)-(2-alkyl-1-(aryl or heteroarylsulfonyl)-1,2-dihydroquinolin-3-yl)alkylamine C. Reductive amination of the amine group in compound C (C. A. Maryanoff et al. J. Org. Chem. 61: 3849-3860, 1996) affords (R)-(2-alkyl-1-(aryl or heteroarylsulfonyl)-1,2-dihydroquinolin-3-yl)alkylamine D.
Figure US09896441-20180220-C00431
Scheme 7 illustrates a general procedure for preparing substituted (R)—N-((2-alkyl-1-(aryl or heteroarylsulfonyl)-1,2-dihydroquinolin-3-yl)alkyl)amide B, substituted (R)—N-((2-alkyl-1-(aryl or heteroarylsulfonyl)-1,2-dihydroquinolin-3-yl)alkyl)carbamate C, substituted (R)—N-((2-alkyl-1-(aryl or heteroarylsulfonyl)-1,2-dihydroquinolin-3-yl)alkyl)ureas or substituted (R)—N-((2-alkyl-1-(aryl or heteroarylsulfonyl)-1,2-dihydroquinolin-3-yl)alkyl)thiourea D, substituted (R)—N-((2-alkyl-1-(aryl or heteroarylsulfonyl)-1,2-dihydroquinolin-3-yl)alkyl)sulfonamide E, and substituted (R)—N-((2-alkyl-1-(aryl or heteroarylsulfonyl)-1,2-dihydroquinolin-3-yl)alkyl)sulfamide F. Reaction of substituted (R)-(2-alkyl-1-(aryl or heteroarylsulfonyl)-1,2-dihydroquinolin-3-yl)alkylamine A with an appropriate base and an acyl halide affords amide B. Alternatively, a coupling agent (e.g., a carbodiimide, PyBOP, treatment of the acid with a chloroformate to make a mixed anhydride, etc.) may be utilized to couple a wide variety of acids to form amide B. The amine A may also be coupled with a chloroformate to afford compound C; with an isocyanate, carbamoyl chloride, or isothiocyanate to afford D; with a sulfonyl halide to afford E; or with a sulfamoyl halide to afford F.
Figure US09896441-20180220-C00432
Scheme 8 illustrates a general method of preparing substituted cis-(2R,3)-3-substituted-2-alkyl-1-(aryl or heteroarylsulfonyl)-1,2,3,4-tetrahydroquinoline B. Hydrogenation of the substituted (R)-2-alkyl-1-(aryl or heteroarylsulfonyl)-1,2-dihydroquinoline A prepared via the above methods in the presence of a catalyst affords the substituted cis-(2R,3)-3-substituted-2-alkyl-1-(aryl or heteroarylsulfonyl)-1,2,3,4-tetrahydroquinoline B. The choice of the catalyst depends on the substituents X and R. In cases where dehalogenation or reductive removal of benzylic heteroatom is not an issue, Pd or Pt on C may be utilized. In other cases Rh and/or a heterogeneous catalyst which does not reduce these functionalities is more appropriate as is known to those skilled in the art.
Figure US09896441-20180220-C00433
Scheme 9 is an alternative general method to prepare substituted 3-substituted-1-(aryl or heteroarylsulfonyl)-1,2,3,4-tetrahydroquinoline E. A tandem reaction combining radical and ionic cyclization of an halogenated aniline A and a substituted acrylate B affords substituted 3,4-dihydroquinolin-2-one C (N. Jiao et al. Tetrahedron 65: 1982-1987, 2009). Reduction of the amide group in C with a hydride (e.g., a borane or lithium aluminum hydride) affords substituted 1,2,3,4-tetrahydroquinoline D. Sulfonylation of D with a sulfonyl halide yields the substituted 3-substituted-1-(aryl or heteroarylsulfonyl)-1,2,3,4-tetrahydroquinoline E.
Figure US09896441-20180220-C00434
Scheme 10 illustrates an alternative general method to prepare chiral substituted 3-substituted-1-(aryl or heteroarylsulfonyl)-1,2,3,4-tetrahydroquinolines. Alkylation of an acylated oxazolidinedione B with a 2-nitrobenzylic halide A affords with high diastereomeric excess the 3-arylpropionamide C. Reduction of C with dissolving metal conditions affords chiral substituted 3,4-dihydroquinolin-2-one D which can be elaborated to the substituted 3-substituted-1-(aryl or heteroarylsulfonyl)-1,2,3,4-tetrahydroquinolines E and F based on procedures described above.
Figure US09896441-20180220-C00435
Scheme 11 illustrates an alternative general method of preparing substituted cis-2,3-disubstituted-1-(aryl or heteroarylsulfonyl)-1,2,3,4-tetrahydroquinoline E. Alkylation of β-ketoester B with 2-nitrobenzylic halide A affords substituted 2-(2-nitrobenzyl)-β-ketoester C. Reduction of C affords substituted ethyl cis-2-alkyl-1,2,3,4-tetrahydroquinoline-3-carboxylate D (R. A. Bunce et al. J. Heterocyclic Chem. 44: 1059-1064, 2007). This material can be sulfonylated as described above to afford the substituted cis-2,3-disubstituted-1-(aryl or heteroarylsulfonyl)-1,2,3,4-tetrahydroquinoline E.
Figure US09896441-20180220-C00436
Scheme 12 illustrates a general method of preparing chiral substituted 1-(aryl or hetereoarylsulfonyl)-1,2,3,4-tetrahydroquinoline E substituted at the 3-position with an oxygen bearing group. Wittig reaction of 2-nitroaldehyde A forms α,β-unsaturated ester B, which is subjected to Os-catalyzed asymmetric dihydroxylation with the (DHQ)2-PHAL ligand (see, for example, K. B. Sharpless et al. Chem. Rev. 94: 2483-2547, 1994) followed by treatment of the diol with thionyl chloride to form cyclic sulfite C (see, for example, K. B. Sharpless et al. J. Am. Chem. Soc. 110: 7538-7539, 1988). Sulfite C undergoes a one-pot cobalt chloride catalyzed reductive cyclization with sodium borohydride (see, for example, A. Sudalai et al. Organic Letters 11: 803-806, 2009) to form the substituted chiral 3-hydroxy-1,2,3,4-tetrahydroquinoline D. This material is sulfonylated as described above to afford chiral substituted 1-(aryl or hetereoarylsulfonyl)-3-hydroxy-1,2,3,4-tetrahydroquinoline E. The pendant hydroxyl may be alkylated (for example with 2-chloroacetic acid). When using a different, suitable ligand in the chiral osmylation, the enantiomers of C and then D and E can be produced. The hydroxyl group in E can be mesylated and displaced with azide, and the resulting azido product reduced to afford access to a wide variety of chiral 3-aminosubstituted-1,2,3,4-tetrahydroquinolines.
Figure US09896441-20180220-C00437
Scheme 13 illustrates a general method of forming substituted (E)-7-(2-aryl-alken-1-en-1-yl)-1-(aryl or heteroarylsulfonyl)-1,2,3,4-tetrahydroquinolines, substituted (E)-6-(2-aryl-alken-1-en-1-yl)-4-(aryl or heteroarylsulfonyl)-3,4-dihydro-2H-benzo[b][1,4]oxazines, and substituted (E)-N-alkyl-N-(3-(2-aryl-alken-1-en-1-yl)phenyl)(arene or heteroarene)sulfonamides. Copper(I)-catalyzed carboboration (R. Alfaro et al. J. Am. Chem. Soc. 134: 15165-15168, 2012) of an aryl-alkyne affords tri- and tetrasubstituted vinylboronates that are suitable for Pd-mediated stereoselective addition to the appropriate 7-halo or triflate-1,2,3,4-tetrahydroquinoline (variable A is CRR′), or 6-halo or triflate-3,4-dihydro-2H-benzo[b][1,4]oxazine (variable A is O) to afford the final product.
Figure US09896441-20180220-C00438
Scheme 14 illustrates a general method of forming chiral substituted 7-cyclopropyl-1-(aryl or heteroarylsulfonyl)-1,2,3,4-tetrahydroquinolines, 6-cyclopropyl-4-(aryl or heteroarylsulfonyl)-3,4-dihydro-2H-benzo[b][1,4]oxazines, or N-(3-cyclopropylphenyl)-N-alkyl(aryl or heteroaryl)sulfonamides C. Chiral cyclopropylboronic acids (M.-Z. Deng et al. Angew. Chem. Ed. 37: 2845-2847, 1998) A are added to the appropriate haloarenes or triflates B to afford compound C.
Figure US09896441-20180220-C00439
Scheme 15 illustrates a general method of forming chiral 3-substituted-1-(aryl or heteroarylsulfonyl)-1,2,3,4-tetrahydroquinolines (A is CRR′) or chiral substituted benzoxazines (A is O). Esterification of the carboxylic acid A with a chiral allylic alcohol forms allylic ester B. Treatment of the enolate of ester B with TMSCl, followed by a Claisen rearrangement (see, for example, J. Kallmerten et al. J. Org. Chem. 52: 3889-3901, 1987) affords carboxylic acid C. Esterification of carboxylic acid C with an alcohol followed by a dissolving metal reduction affords lactam D. Reduction of lactam D with borane or lithium aluminum hydride affords tetrahydroquinoline or benzoxazine E, which is sulfonylated to afford the chiral 3-substituted-1-(aryl or heteroarylsulfonyl)-1,2,3,4-tetrahydroquinoline (A is CRR′) or chiral substituted benzoxazine (A is O) F. The alkene of F, may be converted to other functional groups (for example to a COOH by oxidation).
Figure US09896441-20180220-C00440
Scheme 16 is a general method for preparing various substituted benzoxazine compounds. Reaction of aryl sulfonamide A with an epoxide provides benzoxazine B.
Figure US09896441-20180220-C00441
Scheme 17 is another general method for preparing various substituted benzoxazine compounds. Reaction of a 2-fluoro-nitrobenzene A with a 2-hydroxyester B provides 2-O-arylacetic acid ester C. Reduction of the nitro moiety in C with a dissolving metal in an acid forms benzoxazinone D. The amide group in benzoxazinone D can be reduced using, for example, lithium aluminum hydride (LiAlH4) or a borane to provide benzoxazine E, which is treated with a sulfonyl halide and base to afford sulfonylated benzoxazine F.
Figure US09896441-20180220-C00442
Scheme 18 is a general method for preparing various substituted benzoxazine compounds. Mitsunobu addition of sulfonamide A to chiral α-hydroxyester B affords O-aryl ether C. Treatment of compound C with DIBAL affords aldehyde D, to which vinyl magnesium bromide adds to form the anti-aminoalcohol E (see, for example, D. Gryko et al. Tetrahedron: Asymmetry 8: 4059-4067, 1997). Treatment of compound E with base affords benzoxazine F. The vinyl moiety in F is then converted to other alkenes via olefin metathesis chemistry which can be reduced to substituted alkanes, or oxidized to a hydroxyl group, a diol, a carboxylic acid, or other functional group.
Figure US09896441-20180220-C00443
Scheme 19 is a general method for preparing various thioether substituted compounds. Palladium-mediated addition of a thiol A in presence of a base (such as Hunig's base) and a ligand (such as Xantphos) to bromide B (X′ is Br) affords thioether C.
Figure US09896441-20180220-C00444
Part II: Tetrahydronaphthalene Sulfonyl and Related Compounds
Another aspect of the invention provides a compound represented by Formula II:
Figure US09896441-20180220-C00445
or a pharmaceutically acceptable salt thereof; wherein:
A is phenylene, 5-6 membered heteroarylene, or C3-6 heterocycloalkylene;
R1 represents independently for each occurrence halogen, C1-6 alkyl, C1-6 haloalkyl, or C3-6 cycloalkyl;
R2A is one of the following:
    • (i) hydrogen, C1-6 alkyl, C1-3 haloalkyl, C3-6 cycloalkyl, —(C1-6 alkylene)-(C3-6 cycloalkyl), —O—(C1-6 alkylene)-CO2R4, —O—(C1-6 alkylene)-C(O)—(C1-6 alkyl), —N(R4)—(C1-6 alkylene)-CO2R4, or —N(R4)—(C1-6 alkylene)-C(O)—(C1-6 alkyl), wherein the C1-6 alkyl, C3-6 cycloalkyl, and C1-6 alkylene are optionally substituted with 1 or 2 substituents independently selected from the group consisting of —CO2R4, —C(O)N(R4)(R5), —C(O)—N(R4)—(C1-4 alkylene)-CO2R4, —N(R4)C(O)R8, —CN, halogen, hydroxyl, C1-6 alkoxy, C1-6 haloalkoxy, C1-6 haloalkyl, —N(R4)(R5), —N(R4)C(O)N(R4)(R5), —N(R4)CO2R9, —N(R4)S(O)2R9, and —N(R4)S(O)2N(R4)(R5); or
    • (ii) —CO2R4, —N(R4)C(O)R9, —N(R4)CO2R9, —N(R4)C(O)N(R4)(R5), —N(R4)C(O)N(R4) (heteroaryl), —N(R4)S(O)2R9, —N(R4)(R5), or —OH;
R2B is C1-6 alkyl, C1-3 haloalkyl, or fluoro;
R2C is hydrogen or C1-6 alkyl;
R3 represents independently for each occurrence hydrogen, C1-6 haloalkyl, halogen, hydroxyl, C1-6 alkyl, C3-6 cycloalkyl, C1-6 alkoxy, C1-6 haloalkoxy, —N(R4)(R8), —O—(C1-6 hydroxyalkyl), or —O—(C1-6 alkylene)-CO2R4; or two vicinal occurrences of R3 are taken together with intervening atoms to form a 4-6 membered ring;
R4 and R5 each represent independently for each occurrence hydrogen, C1-6 alkyl, or C3-6 cycloalkyl; or an occurrence of R4 and R5 attached to the same nitrogen atom are taken together with the nitrogen atom to which they are attached to form a 3-8 membered heterocyclic ring;
R6 and R7 each represent independently for each occurrence hydrogen, fluoro, or C1-6 alkyl, or R6 and R7 are taken together with the carbon atom to which they are attached to form a 3-6 membered carbocyclic ring; or R6 and a vicinal occurrence of R2B are taken together to form a bond;
R8 represents independently for each occurrence C1-6 alkyl, C3-6 cycloalkyl, —(C1-6 alkylene)-(C3-6 cycloalkyl), or aryl, each of which is optionally substituted with 1, 2, or 3 substituents independently selected from the group consisting of halogen, hydroxyl, or —CO2R4; or R8 is —CO2R4;
R9 represents independently for each occurrence C1-6 alkyl, C3-6 cycloalkyl, —(C1-6 alkylene)-(C3-6 cycloalkyl), C1-6 haloalkyl, or C1-6 hydroxyalkyl;
X is one of the following:
    • (i) —O-aralkyl, —O-heteroaralkyl, —O-phenyl, —O-heteroaryl, —O-(partially unsaturated bicyclic carbocyclyl), —O—(C1-6 alkylene)-(C3-6 cycloalkyl), —O—(C3-6 cycloalkyl), —N(R4)-aralkyl, —N(R4)-phenyl, —N(R4)-(partially unsaturated bicyclic carbocyclyl), or —N(R4)—(C1-6 alkylene)-(C3-6 cycloalkyl), each of which is optionally substituted with 1, 2, or 3 substituents independently selected from the group consisting of halogen, C1-6 haloalkyl, C1-6 alkyl, C3-6 cycloalkyl, C1-6 alkoxy, C1-6 haloalkoxy, —S—(C1-6 alkyl), hydroxyl, cyano, —C(O)R9, and —SO2R9;
    • (ii) —S-aralkyl, —S-heteroaralkyl, —S-phenyl, —S-heteroaryl, —S-(partially unsaturated bicyclic carbocyclyl), —S—(C1-6 alkylene)-(C3-6 cycloalkyl), or —S—(C3-6 cycloalkyl), each of which is optionally substituted with 1, 2, or 3 substituents independently selected from the group consisting of halogen, C1-6 haloalkyl, C1-6 alkyl, C3-6 cycloalkyl, C1-6 alkoxy, C1-6 haloalkoxy, —S—(C1-6 alkyl), hydroxyl, cyano, —C(O)R9, and —SO2R9;
    • (iii) —(C2-6 alkenylene)-phenyl, —(C2-6 alkenylene)-heteroaryl, —(C2-6 alkenylene)-(partially unsaturated 8-10 membered bicyclic ring containing 0-3 heteroatoms), —(C1-6 alkylene)-phenyl, —(C1-6 alkylene)-heteroaryl, —(C1-6 alkylene)-(partially unsaturated bicyclic heterocyclyl), —(C1-6 alkylene)-(partially unsaturated bicyclic oxo-heterocyclyl), —(C1-6 alkylene)-(C3-C6 cycloalkyl), -(5-6 membered heterocycloalkylene)-phenyl, or —(C3-6 cycloalkylene)-phenyl, each of which is optionally substituted with 1, 2, or 3 substituents independently selected from the group consisting of halogen, C1-6 haloalkyl, C1-6 alkyl, C3-6 cycloalkyl, C1-6 alkoxy, C1-6 haloalkoxy, —S—(C1-6 alkyl), hydroxyl, cyano, —C(O)R9, and —SO2R9;
    • (iv) —(C2-6 alkenylene)-(C1-6 alkyl), —(C2-6 alkenylene)-(C3-6 cycloalkyl), or
Figure US09896441-20180220-C00446
    •  each of which is optionally substituted with 1, 2, or 3 substituents independently selected from the group consisting of halogen, C1-6 haloalkyl, C1-6 alkyl, C3-6 cycloalkyl, C1-6 alkoxy, C1-6 haloalkoxy, —S—(C1-6 alkyl), hydroxyl, cyano, —C(O)R9, and —SO2R9, wherein A* is a 5-8 membered, partially saturated carbocyclic or heterocyclic ring; or
    • (v) —(C1-6 alkylene)-Z1 or —(C2-6 alkenylene)-Z1, wherein Z1 is —O-aralkyl, —O-heteroaralkyl, —O-phenyl, —O-heteroaryl, —O-(partially unsaturated bicyclic carbocyclyl), —O—(C1-6 alkylene)-(C3-6 cycloalkyl), —O—(C3-6 cycloalkyl), —N(R4)-aralkyl, —N(R4)-phenyl, —N(R4)-(partially unsaturated bicyclic carbocyclyl), —N(R4)—(C1-6 alkylene)-(C3-6 cycloalkyl), or —N(R4)—(C3-6 cycloalkyl), each of which is optionally substituted with 1, 2, or 3 substituents independently selected from the group consisting of halogen, C1-6 haloalkyl, C1-6 alkyl, C3-6 cycloalkyl, C1-6 alkoxy, C1-6 haloalkoxy, —S—(C1-6 alkyl), hydroxyl, cyano, —C(O)R9, and —SO2R9;
Y is —C(R6)(R7)—, —O—, —C(O)—, or —S(O)p—;
m and p each represent independently for each occurrence 0, 1, or 2; and
n is 1, 2, or 3.
In certain embodiments, A is phenylene or 5-6 membered heteroarylene.
In certain embodiments, R1 represents independently for each occurrence halogen or C1-6 alkyl. In certain other embodiments, R1 is fluoro, chloro, methyl, or trifluoromethyl.
In certain embodiments, R2A is C1-6 alkyl substituted with 1 or 2 substituents independently selected from the group consisting of —CO2R4, —C(O)N(R4)(R5), —C(O)—N(R4)—(C1-4 alkylene)-CO2R4, —N(R4)C(O)R8, —CN, halogen, hydroxyl, C1-6 alkoxy, C1-6 haloalkoxy, C1-6 haloalkyl, —N(R4)(R5), —N(R4)C(O)N(R4)(R5), —N(R4)CO2R9, —N(R4)S(O)2R9, and —N(R4)S(O)2N(R4)(R5).
In certain embodiments, R3 represents independently for each occurrence hydrogen, C1-6 haloalkyl, halogen, hydroxyl, C1-6 alkyl, C3-4 cycloalkyl, C1-6 alkoxy, or C1-6 haloalkoxy.
In certain embodiments, R4 and R5 each represent independently for each occurrence hydrogen, C1-6 alkyl, or C3-6 cycloalkyl; or an occurrence of R4 and R5 attached to the same nitrogen atom are taken together with the nitrogen atom to which they are attached to form a 3-8 membered heterocyclic ring, wherein the heterocyclic ring is substituted with 1, 2, or 3 substituents independently selected from the group consisting of halogen, C1-6 haloalkyl, C1-6 alkyl, C3-6 cycloalkyl, C1-6 alkoxy, C1-6 haloalkoxy, hydroxyl, cyano, oxo, —CO2R10, —C(O)R9, —SO2R9, —N(R10)C(O)R12, and —C(O)N(R10)(R11); wherein R10 and R11 each represent independently for each occurrence hydrogen or C1-6 alkyl, or R10 and R11 are taken together with the carbon atom to which they are attached to form a 3-6 membered carbocyclic ring; and R12 is C1-6 alkyl, C3-6 cycloalkyl, —(C1-6 alkylene)-(C3-6 cycloalkyl), or aryl, each of which is optionally substituted with 1, 2, or 3 substituents independently selected from the group consisting of halogen, hydroxyl, or —CO2R10.
In certain embodiments, X is —O-aralkyl, —O-heteroaralkyl, —O-phenyl, —O-heteroaryl, —O-(partially unsaturated bicyclic carbocyclyl), —O—(C1-6 alkylene)-(C3-6 cycloalkyl), —O—(C3-6 cycloalkyl), —N(R4)-aralkyl, —N(R4)-phenyl, —N(R4)-(partially unsaturated bicyclic carbocyclyl), or —N(R4)—(C1-6 alkylene)-(C3-6 cycloalkyl), each of which is optionally substituted with 1, 2, or 3 substituents independently selected from the group consisting of halogen, C1-6 haloalkyl, C1-6 alkyl, C3-6 cycloalkyl, C1-6 alkoxy, C1-6 haloalkoxy, —S—(C1-6 alkyl), hydroxyl, cyano, —C(O)R9, and —SO2R9.
In certain embodiments, X is —S-aralkyl, —S-heteroaralkyl, —S-phenyl, —S— heteroaryl, —S-(partially unsaturated bicyclic carbocyclyl), —S—(C1-6 alkylene)-(C3-6 cycloalkyl), or —S—(C3-6 cycloalkyl), each of which is optionally substituted with 1, 2, or 3 substituents independently selected from the group consisting of halogen, C1-6 haloalkyl, C1-6 alkyl, C3-6 cycloalkyl, C1-6 alkoxy, C1-6 haloalkoxy, —S—(C1-6 alkyl), hydroxyl, cyano, —C(O)R9, and —SO2R9.
In certain embodiments, X is —(C2-6 alkenylene)-phenyl, —(C2-6 alkenylene)-heteroaryl, —(C2-6 alkenylene)-(partially unsaturated 8-10 membered bicyclic ring containing 0-3 heteroatoms), —(C1-6 alkylene)-phenyl, —(C1-6 alkylene)-heteroaryl, —(C1-6 alkylene)-(partially unsaturated bicyclic heterocyclyl), —(C1-6 alkylene)-(partially unsaturated bicyclic oxo-heterocyclyl), —(C1-6 alkylene)-(C3-C6 cycloalkyl), -(5-6 membered heterocycloalkylene)-phenyl, or —(C3-6 cycloalkylene)-phenyl, each of which is optionally substituted with 1, 2, or 3 substituents independently selected from the group consisting of halogen, C1-6 haloalkyl, C1-6 alkyl, C3-6 cycloalkyl, C1-6 alkoxy, C1-6 haloalkoxy, —S—(C1-6 alkyl), hydroxyl, cyano, —C(O)R9, and —SO2R9.
In certain embodiments, X is —(C2-6 alkenylene)-(C1-6 alkyl), —(C2-6 alkenylene)-(C3-6 cycloalkyl), or
Figure US09896441-20180220-C00447

each of which is optionally substituted with 1, 2, or 3 substituents independently selected from the group consisting of halogen, C1-6 haloalkyl, C1-6 alkyl, C3-6 cycloalkyl, C1-6 alkoxy, C1-6 haloalkoxy, —S—(C1-6 alkyl), hydroxyl, cyano, —C(O)R9, and —SO2R9, wherein A* is a 5-8 membered, partially saturated carbocyclic or heterocyclic ring.
In certain embodiments, X is —(C1-6 alkylene)-Z1 or —(C2-6 alkenylene)-Z1, wherein Z1 is —O-aralkyl, —O-heteroaralkyl, —O-phenyl, —O-heteroaryl, —O-(partially unsaturated bicyclic carbocyclyl), —O—(C1-6 alkylene)-(C3-6 cycloalkyl), —O—(C3-6 cycloalkyl), —N(R4)-aralkyl, —N(R4)-phenyl, —N(R4)-(partially unsaturated bicyclic carbocyclyl), —N(R4)—(C1-6 alkylene)-(C3-6 cycloalkyl), or —N(R4)—(C3-6 cycloalkyl), each of which is optionally substituted with 1, 2, or 3 substituents independently selected from the group consisting of halogen, C1-6 haloalkyl, C1-6 alkyl, C3-6 cycloalkyl, C1-6 alkoxy, C1-6 haloalkoxy, —S—(C1-6 alkyl), hydroxyl, cyano, —C(O)R9, and —SO2R9.
In certain embodiments, Y is —C(R6)(R7)—. In certain other embodiments, Y is —O—. In yet other embodiments, Y is —S(O)p—.
The definitions of variables in Formula II above encompass multiple chemical groups. The application contemplates embodiments where, for example, i) the definition of a variable is a single chemical group selected from those chemical groups set forth above, ii) the definition of a variable is a collection of two or more of the chemical groups selected from those set forth above, and iii) the compound is defined by a combination of variables in which the variables are defined by (i) or (ii), e.g., such as where A is phenylene and R3 is selected from the group consisting of C1-6 haloalkyl, halogen, hydroxyl, and C1-6 alkyl.
Another aspect of the invention provides a compound represented by Formula II-1:
Figure US09896441-20180220-C00448
or a pharmaceutically acceptable salt thereof; wherein:
A is phenyl, 5-6 membered heteroaryl, or C3-6 heterocycloalkyl;
R1 represents independently for each occurrence halogen, C1-6 alkyl, C1-6 haloalkyl, or C3-6 cycloalkyl;
R2A is hydrogen, C1-6 alkyl, C3-6 cycloalkyl, —O—(C1-6 alkylene)-CO2R4, —O—(C1-6 alkylene)-C(O)—(C1-6 alkyl), —N(R4)—(C1-6 alkylene)-CO2R4, or —N(R4)—(C1-6 alkylene)-C(O)—(C1-6 alkyl), wherein the C1-6 alkyl, C3-6 cycloalkyl, and C1-6 alkylene are optionally substituted with 1 or 2 substituents independently selected from the group consisting of —CO2R4, —N(R4)C(O)(C1-6 alkyl), —CN, halogen, hydroxyl, C1-6 alkoxy, C1-6 haloalkoxy, C1-6 haloalkyl, —N(R4)(R5), —N(R4)C(O)N(R4)(R5), —N(R4)CO2—(C1-6 alkyl), —N(R4)S(O)2—(C1-6 alkyl), and —N(R4)S(O)2N(R4)(R5); or R2A is —CO2R4 or —N(R4)C(O)(C1-6 alkyl);
R2B is C1-6 alkyl or C1-3 haloalkyl;
R2C is hydrogen or C1-6 alkyl;
R3 represents independently for each occurrence hydrogen, C1-6 haloalkyl, halogen, hydroxyl, C1-6 alkyl, C1-6 alkoxy, C1-6 haloalkoxy, or —O—(C1-6 alkylene)-OH; or two vicinal occurrences of R3 are taken together with intervening atoms to form a 4-6 membered ring;
R4 and R5 each represent independently for each occurrence hydrogen, C1-6 alkyl, or C3-6 cycloalkyl; or an occurrence of R4 and R5 attached to the same nitrogen atom are taken together with the nitrogen atom to which they are attached to form a 3-7 membered heterocyclic ring;
R6 and R7 each represent independently for each occurrence hydrogen or C1-6 alkyl, or R6 and R7 are taken together with the carbon atom to which they are attached to form a 3-6 membered carbocyclic ring; or R6 and R2A are taken together to form a bond;
X is one of the following:
    • (i) —O-aralkyl, —O-heteroaralkyl, —O-phenyl, —O-heteroaryl, —O-(partially unsaturated bicyclic carbocyclyl), —O—(C1-6 alkylene)-(C3-6 cycloalkyl), —O—(C3-6 cycloalkyl), —N(R4)-aralkyl, —N(R4)-phenyl, —N(R4)-(partially unsaturated bicyclic carbocyclyl), or —N(R4)—(C1-6 alkylene)-(C3-6 cycloalkyl), each of which is optionally substituted with 1, 2, or 3 substituents independently selected from the group consisting of halogen, C1-6 haloalkyl, C1-6 alkyl, C3-6 cycloalkyl, C1-6 alkoxy, C1-6 haloalkoxy, and cyano;
    • (ii) —(C2-6 alkenylene)-phenyl, —(C2-6 alkenylene)-heteroaryl, —(C1-6 alkylene)-phenyl, —(C1-6 alkylene)-heteroaryl, —(C1-6 alkylene)-(partially unsaturated bicyclic heterocyclyl), —(C1-6 alkylene)-(partially unsaturated bicyclic oxo-heterocyclyl), or -(5-6 membered heterocycloalkylene)-phenyl, each of which is optionally substituted with 1, 2, or 3 substituents independently selected from the group consisting of halogen, C1-6 haloalkyl, C1-6 alkyl, C3-6 cycloalkyl, C1-6 alkoxy, C1-6haloalkoxy, and cyano; or
    • (iii) —(C1-6 alkylene)-Z1 or —(C2-6 alkenylene)-Z1, wherein Z1 is —O-aralkyl, —O-heteroaralkyl, —O-phenyl, —O-heteroaryl, —O-(partially unsaturated bicyclic carbocyclyl), —O—(C1-6 alkylene)-(C3-6 cycloalkyl), —O—(C3-6 cycloalkyl), —N(R4)-aralkyl, —N(R4)-phenyl, —N(R4)-(partially unsaturated bicyclic carbocyclyl), —N(R4)—(C1-6 alkylene)-(C3-6 cycloalkyl), or —N(R4)—(C3-6 cycloalkyl), each of which is optionally substituted with 1, 2, or 3 substituents independently selected from the group consisting of halogen, C1-6 haloalkyl, C1-6 alkyl, C3-6 cycloalkyl, C1-6 alkoxy, C1-6 haloalkoxy, hydroxyl, and cyano;
Y is —C(R6)(R7)—, —O—, —C(O)—, or —S(O)p—;
m and p each represent independently for each occurrence 0, 1, or 2; and
n is 0, 1, 2, or 3.
In certain embodiments, A is phenylene or 5-6 membered heteroarylene.
In certain embodiments, R1 represents independently for each occurrence halogen or C1-6 alkyl.
In certain embodiments, Y is —C(R6)(R7)—. In certain other embodiments, Y is —O—. In yet other embodiments, Y is —S(O)p—.
The definitions of variables in Formula II-1 above encompass multiple chemical groups. The application contemplates embodiments where, for example, i) the definition of a variable is a single chemical group selected from those chemical groups set forth above, ii) the definition of a variable is a collection of two or more of the chemical groups selected from those set forth above, and iii) the compound is defined by a combination of variables in which the variables are defined by (i) or (ii), e.g., such as where A is phenylene and R3 is selected from the group consisting of C1-6 haloalkyl, halogen, hydroxyl, and C1-6 alkyl.
Another aspect of the invention provides a compound represented by Formula II-A:
Figure US09896441-20180220-C00449
or a pharmaceutically acceptable salt thereof; wherein:
A is phenylene or a 5-6 membered heteroarylene;
R1 represents independently for each occurrence halogen, C1-6 alkyl, or C3-6 cycloalkyl;
R2A is hydrogen, C1-6 alkyl or C3-6 cycloalkyl, wherein the C1-6 alkyl or C3-6 cycloalkyl are optionally substituted with 1 or 2 substituents independently selected from the group consisting of —CO2R4, —N(R4)C(O)(C1-6 alkyl), —CN, halogen, hydroxyl, C1-6 alkoxy, C1-6 haloalkoxy, C1-6 haloalkyl, and —N(R4)(R5); or R2A is —CO2R4 or —N(R4)C(O)(C1-6 alkyl);
R2B is C1-6 alkyl or C1-3 haloalkyl;
R2C is hydrogen or C1-6 alkyl;
R3 represents independently for each occurrence hydrogen, C1-6 haloalkyl, halogen, hydroxyl, C1-6 alkyl, C1-6 alkoxy, C1-6 haloalkoxy, or —O—(C1-6 alkylene)-OH; or two vicinal occurrences of R3 are taken together with intervening atoms to form a 4-6 membered ring;
R4 and R5 each represent independently for each occurrence hydrogen, C1-6 alkyl, or C3-6 cycloalkyl; or an occurrence of R4 and R5 attached to the same nitrogen atom are taken together with the nitrogen atom to which they are attached to form a 3-7 membered heterocyclic ring;
R6 and R7 each represent independently for each occurrence hydrogen or C1-6 alkyl, or R6 and R7 are taken together with the carbon atom to which they are attached to form a 3-6 membered carbocyclic ring; or R6 and R2A are taken together to form a bond;
X is one of the following:
    • (i) —O-aralkyl, —O-heteroaralkyl, —O-phenyl, —O-heteroaryl, —O-(partially unsaturated bicyclic carbocyclyl), —O—(C1-6 alkylene)-(C3-6 cycloalkyl), —N(R4)-aralkyl, —N(R4)-phenyl, —N(R4)-(partially unsaturated bicyclic carbocyclyl), or —N(R4)—(C1-6 alkylene)-(C3-6 cycloalkyl), each of which is optionally substituted with 1, 2, or 3 substituents independently selected from the group consisting of halogen, C1-6 haloalkyl, C1-6 alkyl, C3-6 cycloalkyl, C1-6 alkoxy, and C1-6 haloalkoxy;
    • (ii) —(C2-6 alkenylene)-phenyl, —(C2-6 alkenylene)-heteroaryl, —(C1-6 alkylene)-phenyl, —(C1-6 alkylene)-heteroaryl, —(C1-6 alkylene)-(partially unsaturated bicyclic heterocyclyl), —(C1-6 alkylene)-(partially unsaturated bicyclic oxo-heterocyclyl), or -(5-6 membered heterocycloalkylene)-phenyl, each of which is optionally substituted with 1, 2, or 3 substituents independently selected from the group consisting of halogen, C1-6 haloalkyl, C1-6 alkyl, C3-6 cycloalkyl, C1-6 alkoxy, and C1-6 haloalkoxy; or
    • (iii) —(C1-6 alkylene)-Z1 or —(C2-6 alkenylene)-Z1, wherein Z1 is —O-aralkyl, —O-heteroaralkyl, —O-phenyl, —O-heteroaryl, —O-(partially unsaturated bicyclic carbocyclyl), —O—(C1-6 alkylene)-(C3-6 cycloalkyl), —O—(C3-6 cycloalkyl), —N(R4)-aralkyl, —N(R4)-phenyl, —N(R4)-(partially unsaturated bicyclic carbocyclyl), or —N(R4)—(C1-6 alkylene)-(C3-6 cycloalkyl), each of which is optionally substituted with 1, 2, or 3 substituents independently selected from the group consisting of halogen, C1-6 haloalkyl, C1-6 alkyl, C3-6 cycloalkyl, C1-6 alkoxy, and C1-6 haloalkoxy;
Y is —C(R6)(R7)—, —O—, or —C(O)—;
m and p are independently 0, 1, or 2; and
n is 1, 2, or 3.
In certain embodiments, A is phenylene. In certain other embodiments, A is a 5-6 membered heteroarylene. In yet other embodiments, -A-(R3)n is one of the following:
Figure US09896441-20180220-C00450

In yet other embodiments, -A-(R3)n is
Figure US09896441-20180220-C00451
In certain embodiments, R1 represents independently for each occurrence halogen, methyl, or cyclopropyl.
In certain embodiments, R2A is C1-6 alkyl optionally substituted with 1 or 2 substituents independently selected from the group consisting of —CO2R4, —N(R4)C(O)(C1-6 alkyl), —CN, halogen, hydroxyl, C1-6 alkoxy, C1-6 haloalkoxy, and —N(R4)(R5). In certain other embodiments, R2A is C1-6 alkyl substituted with 1 or 2 substituents independently selected from the group consisting of —CO2R4, —N(R4)C(O)(C1-6 alkyl), —CN, hydroxyl, and C1-6 alkoxy. In certain other embodiments, R2A is —CO2R4.
In certain embodiments, R2B is C1-6 alkyl. In certain other embodiments, R2B is methyl. In certain embodiments, R2C is hydrogen.
In certain embodiments, n is 1. In certain other embodiments, n is 1 or 2.
In certain embodiments, R3 represents independently for each occurrence C1-6 haloalkyl, halogen, C1-6 alkyl, C1-6 alkoxy, or —O—(C1-6 alkylene)-OH. In certain other embodiments, R3 is trifluoromethyl, fluoro, chloro, or methoxy. In certain other embodiments, R3 is trifluoromethyl.
In certain embodiments, R4 and R5 each represent independently for each occurrence hydrogen or C1-6 alkyl.
In certain embodiments, X is —O-aralkyl, —O-heteroaralkyl, —O-phenyl, —O-heteroaryl, —O-(partially unsaturated bicyclic carbocyclyl), —O—(C1-6 alkylene)-(C3-6 cycloalkyl), —N(R4)-aralkyl, —N(R4)-phenyl, —N(R4)-(partially unsaturated bicyclic carbocyclyl), or —N(R4)—(C1-6 alkylene)-(C3-6 cycloalkyl), each of which is optionally substituted with 1, 2, or 3 substituents independently selected from the group consisting of halogen, C1-6 haloalkyl, C1-6 alkyl, C3-6 cycloalkyl, C1-6 alkoxy, and C1-6 haloalkoxy. In certain other embodiments, X is —O-aralkyl, —O-phenyl, —O-(partially unsaturated bicyclic carbocyclyl), —O—(C1-6 alkylene)-(C3-6 cycloalkyl), —N(R4)-aralkyl, —N(R4)-phenyl, —N(R4)-(partially unsaturated bicyclic carbocyclyl), or —N(R4)—(C1-6 alkylene)-(C3-6 cycloalkyl), each of which is optionally substituted with 1, 2, or 3 substituents independently selected from the group consisting of halogen, C1-6 haloalkyl, C1-6 alkyl, C3-6 cycloalkyl, C1-6 alkoxy, and C1-6 haloalkoxy. In certain other embodiments, X is —O-aralkyl or —N(R4)-aralkyl, each of which is optionally substituted with 1, 2, or 3 substituents independently selected from the group consisting of halogen, C1-6 haloalkyl, C1-6 alkyl, C3-6 cycloalkyl, C1-6 alkoxy, and C1-6 haloalkoxy. In certain other embodiments, X is —O—(C1-6 alkylene)-phenyl or —N(R4)—(C1-6 alkylene)-phenyl, each of which is substituted with 1, 2, or 3 substituents independently selected from the group consisting of halogen, C1-6 haloalkyl, C1-6 alkyl, C3-6 cycloalkyl, C1-6 alkoxy, and C1-6 haloalkoxy, where at least one substituent is present at the ortho position on the phenyl group in variable X. In certain other embodiments, X is —O-benzyl or —N(R4)-benzyl, each of which is substituted with 1 or 2 substituents independently selected from the group consisting of chloro, bromo, and fluoro.
In certain embodiments, X is —(C2-6 alkenylene)-phenyl, —(C2-6 alkenylene)-heteroaryl, —(C1-6 alkylene)-phenyl, —(C1-6 alkylene)-heteroaryl, —(C1-6 alkylene)-(partially unsaturated bicyclic heterocyclyl), —(C1-6 alkylene)-(partially unsaturated bicyclic oxo-heterocyclyl), or -(5-6 membered heterocycloalkylene)-phenyl, each of which is optionally substituted with 1, 2, or 3 substituents independently selected from the group consisting of halogen, C1-6 haloalkyl, C1-6 alkyl, C3-6 cycloalkyl, C1-6 alkoxy, and C1-6 haloalkoxy. In certain other embodiments, X is —(C2-6 alkenylene)-phenyl, —(C1-6 alkylene)-phenyl, —(C1-6 alkylene)-heteroaryl, —(C1-6 alkylene)-(partially unsaturated bicyclic heterocyclyl), —(C1-6 alkylene)-(partially unsaturated bicyclic oxo-heterocyclyl), or -(5-6 membered heterocycloalkylene)-phenyl, each of which is optionally substituted with 1, 2, or 3 substituents independently selected from the group consisting of halogen, C1-6 haloalkyl, C1-6 alkyl, C3-6 cycloalkyl, C1-6 alkoxy, and C1-6 haloalkoxy. In certain other embodiments, X is —(C2-6 alkenylene)-phenyl, —(C1-6 alkylene)-phenyl, or —(C1-6 alkylene)-heteroaryl), each of which is optionally substituted with 1, 2, or 3 substituents independently selected from the group consisting of halogen, C1-6 haloalkyl, C1-6 alkyl, C3-6 cycloalkyl, C1-6 alkoxy, and C1-6 haloalkoxy.
In certain embodiments, X is —(C1-6 alkylene)-Z1 or —(C2-6 alkenylene)-Z1, wherein Z1 is —O-aralkyl, —O-heteroaralkyl, —O-phenyl, —O-heteroaryl, —O-(partially unsaturated bicyclic carbocyclyl), —O—(C1-6 alkylene)-(C3-6 cycloalkyl), —O—(C3-6 cycloalkyl), —N(R4)-aralkyl, —N(R4)-phenyl, —N(R4)-(partially unsaturated bicyclic carbocyclyl), or —N(R4)—(C1-6 alkylene)-(C3-6 cycloalkyl), each of which is optionally substituted with 1, 2, or 3 substituents independently selected from the group consisting of halogen, C1-6 haloalkyl, C1-6 alkyl, C3-6 cycloalkyl, C1-6 alkoxy, and C1-6 haloalkoxy. In certain other embodiments, X is —(C1-6 alkylene)-Z1, wherein Z1 is —O-aralkyl, —O-phenyl, —O-(partially unsaturated bicyclic carbocyclyl), —O—(C1-6alkylene)-(C3-6 cycloalkyl), —O—(C3-6 cycloalkyl), —N(R4)-aralkyl, —N(R4)-phenyl, —N(R4)-(partially unsaturated bicyclic carbocyclyl), or —N(R4)—(C1-6 alkylene)-(C3-6 cycloalkyl), each of which is optionally substituted with 1, 2, or 3 substituents independently selected from the group consisting of halogen, C1-6 haloalkyl, C1-6 alkyl, C3-6 cycloalkyl, C1-6 alkoxy, and C1-6 haloalkoxy.
In certain embodiments, Y is —C(R6)(R7)—.
In certain embodiments, R6 and R7 are independently hydrogen or methyl.
In certain embodiments, Y is —C(R6)(R7)—, R6 and R7 are independently hydrogen or methyl, and X is attached at the 7-position of the 1,2,3,4-tetrahydronaphthalenyl ring.
In certain other embodiments, Y is —O—. In certain embodiments, Y is —O—, and X is attached at the 4-position of the chromanyl ring.
In certain embodiments, m is 0. In certain other embodiments, m is 1.
In certain embodiments, p is 0. In certain other embodiments, p is 1.
The definitions of variables in Formula II-A above encompass multiple chemical groups. The application contemplates embodiments where, for example, i) the definition of a variable is a single chemical group selected from those chemical groups set forth above, ii) the definition of a variable is a collection of two or more of the chemical groups selected from those set forth above, and iii) the compound is defined by a combination of variables in which the variables are defined by (i) or (ii), e.g., such as where A is phenylene and R3 is selected from the group consisting of C1-6 haloalkyl, halogen, hydroxyl, and C1-6 alkyl.
Another aspect of the invention provides a compound represented by Formula II-B:
Figure US09896441-20180220-C00452
or a pharmaceutically acceptable salt thereof; wherein:
A is phenylene;
R1 represents independently for each occurrence halogen, methyl, ethyl, or cyclopropyl;
R2A is C1-6 alkyl substituted with 1 or 2 substituents independently selected from the group consisting of —CO2R4, —N(R4)C(O)(C1-6 alkyl), —CN, halogen, hydroxyl, C1-6 alkoxy, C1-6 haloalkoxy, C1-6 haloalkyl, and —N(R4)(R5);
R2B is methyl or ethyl;
R2C is hydrogen.
R3 represents independently for each occurrence C1-3 haloalkyl, halogen, and C1-3 alkyl;
R4 and R5 each represent independently for each occurrence hydrogen or methyl;
R6 and R7 each represent independently for each occurrence hydrogen, methyl, or ethyl;
X is attached at the meta or para position on the phenyl group relative to variable Y, and X is one of the following:
    • (i) —O—(C1-6 alkylene)-phenyl, —O-(partially unsaturated bicyclic carbocyclyl), or —O—(C1-6 alkylene)-(C3-6 cycloalkyl), each of which is optionally substituted with 1, 2, or 3 substituents independently selected from the group consisting of halogen, C1-6 haloalkyl, C1-6 alkyl, and C1-6 alkoxy;
    • (ii) —(C2-6 alkenylene)-phenyl or —(C1-6 alkylene)-phenyl, each of which is optionally substituted with 1, 2, or 3 substituents independently selected from the group consisting of halogen, C1-6 haloalkyl, C1-6 alkyl, C3-6 cycloalkyl, C1-6 alkoxy, and C1-6 haloalkoxy; or
    • (iii) —(C1-6 alkylene)-Z1, wherein Z1 is —O-aralkyl, —O-phenyl, —O-(partially unsaturated bicyclic carbocyclyl), —O—(C1-6 alkylene)-(C3-6 cycloalkyl), —O—(C3-6 cycloalkyl), —N(R4)-aralkyl, —N(R4)-phenyl, —N(R4)-(partially unsaturated bicyclic carbocyclyl), or —N(R4)—(C1-6 alkylene)-(C3-6 cycloalkyl), each of which is optionally substituted with 1, 2, or 3 substituents independently selected from the group consisting of halogen, C1-6 haloalkyl, C1-6 alkyl, and C1-6 alkoxy;
Y is —C(R6)(R7)— or —O—;
m and p are independently 0 or 1; and
n is 1 or 2.
In certain embodiments, X is —O—(C1-6 alkylene)-phenyl optionally substituted with 1 or 2 substituents independently selected from the group consisting of halogen, C1-6 haloalkyl, and C1-6 alkyl.
In certain embodiments, Y is —C(R6)(R7)—.
The definitions of variables in Formula II-B above encompass multiple chemical groups. The application contemplates embodiments where, for example, i) the definition of a variable is a single chemical group selected from those chemical groups set forth above, ii) the definition of a variable is a collection of two or more of the chemical groups selected from those set forth above, and iii) the compound is defined by a combination of variables in which the variables are defined by (i) or (ii).
Another aspect of the invention provides a compound represented by Formulae V or VI:
Figure US09896441-20180220-C00453
or a pharmaceutically acceptable salt thereof; wherein:
A is phenylene, 5-6 membered heteroarylene, or C3-6 heterocycloalkylene;
R1 represents independently for each occurrence halogen, C1-6 alkyl, C1-6 haloalkyl, or C3-6 cycloalkyl;
R2A is —(C1-2 alkylene)-(2-8 membered heteroalkylene)-CO2R4, —(C1-6 alkylene)-C(O)N(R4)(C1-6 hydroxyalkylene)-CO2R4, or —(C1-6 alkylene)-N(R4)C(O)N(R4)—(C1-6 alkylene)-CO2R4; wherein the C1-6 alkylene is optionally substituted with 1 or 2 substituents independently selected from the group consisting of —CO2R4, —C(O)N(R4)(R5), —CN, halogen, hydroxyl, C1-6 alkoxy, C1-6 haloalkoxy, C1-6 haloalkyl, and —N(R4)(R5);
R2B is C1-6 alkyl, C1-3 haloalkyl, or fluoro;
R2C is hydrogen or C1-6 alkyl;
R3 represents independently for each occurrence hydrogen, C1-6 haloalkyl, halogen, hydroxyl, C1-6 alkyl, C3-6 cycloalkyl, C1-6 alkoxy, C1-6 haloalkoxy, —N(R4)(R8), —O—(C1-6 hydroxyalkyl), or —O—(C1-6 alkylene)-CO2R4; or two vicinal occurrences of R3 are taken together with intervening atoms to form a 4-6 membered ring;
R4 and R5 each represent independently for each occurrence hydrogen, C1-6 alkyl, or C3-6 cycloalkyl; or an occurrence of R4 and R5 attached to the same nitrogen atom are taken together with the nitrogen atom to which they are attached to form a 3-8 membered heterocyclic ring;
R6 and R7 each represent independently for each occurrence hydrogen, fluoro, or C1-6 alkyl, or R6 and R7 are taken together with the carbon atom to which they are attached to form a 3-6 membered carbocyclic ring; or R6 and a vicinal occurrence of R2B are taken together to form a bond;
R8 represents independently for each occurrence C1-6 alkyl, C3-6 cycloalkyl, —(C1-6 alkylene)-(C3-6 cycloalkyl), or aryl, each of which is optionally substituted with 1, 2, or 3 substituents independently selected from the group consisting of halogen, hydroxyl, or —CO2R4; or R8 is —CO2R4;
R9 represents independently for each occurrence C1-6 alkyl, C3-6 cycloalkyl, —(C1-6 alkylene)-(C3-6 cycloalkyl), C1-6 haloalkyl, or C1-6 hydroxyalkyl;
X is one of the following:
    • (i) —O-aralkyl, —O-heteroaralkyl, —O-phenyl, —O-heteroaryl, —O-(partially unsaturated bicyclic carbocyclyl), —O—(C1-6 alkylene)-(C3-6 cycloalkyl), —O—(C3-6 cycloalkyl), —N(R4)-aralkyl, —N(R4)-phenyl, —N(R4)-(partially unsaturated bicyclic carbocyclyl), or —N(R4)—(C1-6 alkylene)-(C3-6 cycloalkyl), each of which is optionally substituted with 1, 2, or 3 substituents independently selected from the group consisting of halogen, C1-6 haloalkyl, C1-6 alkyl, C3-6 cycloalkyl, C1-6 alkoxy, C1-6 haloalkoxy, —S—(C1-6 alkyl), hydroxyl, cyano, —C(O)R9, and —SO2R9;
    • (ii) —S-aralkyl, —S-heteroaralkyl, —S-phenyl, —S-heteroaryl, —S-(partially unsaturated bicyclic carbocyclyl), —S—(C1-6 alkylene)-(C3-6 cycloalkyl), or —S—(C3-6 cycloalkyl), each of which is optionally substituted with 1, 2, or 3 substituents independently selected from the group consisting of halogen, C1-6 haloalkyl, C1-6 alkyl, C3-6 cycloalkyl, C1-6 alkoxy, C1-6 haloalkoxy, —S—(C1-6 alkyl), hydroxyl, cyano, —C(O)R9, and —SO2R9;
    • (iii) —(C2-6 alkenylene)-phenyl, —(C2-6 alkenylene)-heteroaryl, —(C2-6 alkenylene)-(partially unsaturated 8-10 membered bicyclic ring containing 0-3 heteroatoms), —(C1-6 alkylene)-phenyl, —(C1-6 alkylene)-heteroaryl, —(C1-6 alkylene)-(partially unsaturated bicyclic heterocyclyl), —(C1-6 alkylene)-(partially unsaturated bicyclic oxo-heterocyclyl), —(C1-6 alkylene)-(C3-C6 cycloalkyl), -(5-6 membered heterocycloalkylene)-phenyl, or —(C3-6 cycloalkylene)-phenyl, each of which is optionally substituted with 1, 2, or 3 substituents independently selected from the group consisting of halogen, C1-6 haloalkyl, C1-6 alkyl, C3-6 cycloalkyl, C1-6 alkoxy, C1-6 haloalkoxy, —S—(C1-6 alkyl), hydroxyl, cyano, —C(O)R9, and —SO2R9;
    • (iv) —(C2-6 alkenylene)-(C1-6 alkyl), —(C2-6 alkenylene)-(C3-6 cycloalkyl), or
Figure US09896441-20180220-C00454
    •  each of which is optionally substituted with 1, 2, or 3 substituents independently selected from the group consisting of halogen, C1-6 haloalkyl, C1-6 alkyl, C3-6 cycloalkyl, C1-6 alkoxy, C1-6 haloalkoxy, —S—(C1-6 alkyl), hydroxyl, cyano, —C(O)R9, and —SO2R9, wherein A* is a 5-8 membered, partially saturated carbocyclic or heterocyclic ring; or
    • (v) —(C1-6 alkylene)-Z1 or —(C2-6 alkenylene)-Z1, wherein Z1 is —O-aralkyl, —O-heteroaralkyl, —O-phenyl, —O-heteroaryl, —O-(partially unsaturated bicyclic carbocyclyl), —O—(C1-6 alkylene)-(C3-6 cycloalkyl), —O—(C3-6 cycloalkyl), —N(R4)-aralkyl, —N(R4)-phenyl, —N(R4)-(partially unsaturated bicyclic carbocyclyl), —N(R4)—(C1-6 alkylene)-(C3-6 cycloalkyl), or —N(R4)—(C3-6 cycloalkyl), each of which is optionally substituted with 1, 2, or 3 substituents independently selected from the group consisting of halogen, C1-6 haloalkyl, C1-6 alkyl, C3-6 cycloalkyl, C1-6 alkoxy, C1-6 haloalkoxy, —S—(C1-6 alkyl), hydroxyl, cyano, —C(O)R9, and —SO2R9;
Y is —C(R6)(R7)—, —O—, —C(O)—, or —S(O)p—;
m and p each represent independently for each occurrence 0, 1, or 2; and
n is 1, 2, or 3; and
Formula VI is represented by:
Figure US09896441-20180220-C00455
or a pharmaceutically acceptable salt thereof; wherein:
A is phenylene, 5-6 membered heteroarylene, or C3-6 heterocycloalkylene;
R1 represents independently for each occurrence halogen, C1-6 alkyl, C1-6 haloalkyl, or C3-6 cycloalkyl;
R2A is one of the following:
    • (i) hydrogen, C1-6 alkyl, C1-3 haloalkyl, C3-6 cycloalkyl, —(C1-6 alkylene)-(C3-6 cycloalkyl), —O—(C1-6 alkylene)-CO2R4, —O—(C1-6 alkylene)-C(O)—(C1-6 alkyl), —N(R4)—(C1-6 alkylene)-CO2R4, or —N(R4)—(C1-6 alkylene)-C(O)—(C1-6 alkyl), wherein the C1-6 alkyl, C3-6 cycloalkyl, and C1-6 alkylene are optionally substituted with 1 or 2 substituents independently selected from the group consisting of —CO2R4, —C(O)N(R4)(R5), —C(O)—N(R4)—(C1-4 alkylene)-CO2R4, —N(R4)C(O)R8, —CN, halogen, hydroxyl, C1-6 alkoxy, C1-6 haloalkoxy, C1-6 haloalkyl, —N(R4)(R5), —N(R4)C(O)N(R4)(R5), —N(R4)CO2R9, —N(R4)S(O)2R9, and —N(R4)S(O)2N(R4)(R5); or
    • (ii) —CO2R4, —N(R4)C(O)R9, —N(R4)CO2R9, —N(R4)C(O)N(R4)(R5), —N(R4)C(O)N(R4) (heteroaryl), —N(R4)S(O)2R9, —N(R4)(R5), —OH, or —(C1-2 alkylene)-(2-8 membered heteroalkylene)-CO2R4;
R2B is C1-6 alkyl, C1-3 haloalkyl, or fluoro;
R2C is hydrogen or C1-6 alkyl;
R3 represents independently for each occurrence hydrogen, C1-6 haloalkyl, halogen, hydroxyl, C1-6 alkyl, C3-6 cycloalkyl, C1-6 alkoxy, C1-6 haloalkoxy, —N(R4)(R8), —O—(C1-6 hydroxyalkyl), or —O—(C1-6 alkylene)-CO2R4; or two vicinal occurrences of R3 are taken together with intervening atoms to form a 4-6 membered ring;
R4 and R5 each represent independently for each occurrence hydrogen, C1-6 alkyl, or C3-6 cycloalkyl; or an occurrence of R4 and R5 attached to the same nitrogen atom are taken together with the nitrogen atom to which they are attached to form a 3-8 membered heterocyclic ring;
R6 and R7 each represent independently for each occurrence hydrogen, fluoro, or C1-6 alkyl, or R6 and R7 are taken together with the carbon atom to which they are attached to form a 3-6 membered carbocyclic ring; or R6 and a vicinal occurrence of R2B are taken together to form a bond;
R8 represents independently for each occurrence C1-6 alkyl, C3-6 cycloalkyl, —(C1-6 alkylene)-(C3-6 cycloalkyl), or aryl, each of which is optionally substituted with 1, 2, or 3 substituents independently selected from the group consisting of halogen, hydroxyl, or —CO2R4; or R8 is —CO2R4;
R9 represents independently for each occurrence C1-6 alkyl, C3-6 cycloalkyl, —(C1-6 alkylene)-(C3-6 cycloalkyl), C1-6 haloalkyl, or C1-6 hydroxyalkyl;
X is C4-7 cycloalkenyl, C3-7 cycloalkyl, or an 8-10 membered, bicyclic partially saturated carbocyclyl, each of which is optionally substituted with 1, 2, or 3 substituents independently selected from the group consisting of halogen, C1-6 haloalkyl, C1-6 alkyl, C3-6 cycloalkyl, C1-6 alkoxy, C1-6 haloalkoxy, —S—(C1-6 alkyl), hydroxyl, cyano, —C(O)R9, and —SO2R9;
Y is —C(R6)(R7)—, —O—, —C(O)—, or —S(O)p—;
m and p each represent independently for each occurrence 0, 1, or 2; and
n is 1, 2, or 3.
In certain embodiments, the compound is a compound of Formula V or a pharmaceutically acceptable salt thereof. In certain embodiments, the compound is a compound of Formula VI or a pharmaceutically acceptable salt thereof.
In certain embodiments, A is phenylene or 5-6 membered heteroarylene.
In certain embodiments, R1 represents independently for each occurrence halogen or C1-6 alkyl.
In certain embodiments, R3 represents independently for each occurrence hydrogen, C1-6 haloalkyl, halogen, hydroxyl, C1-6 alkyl, C3-4 cycloalkyl, C1-6 alkoxy, or C1-6 haloalkoxy.
In certain embodiments, R4 and R5 each represent independently for each occurrence hydrogen, C1-6 alkyl, or C3-6 cycloalkyl; or an occurrence of R4 and R5 attached to the same nitrogen atom are taken together with the nitrogen atom to which they are attached to form a 3-8 membered heterocyclic ring, wherein the heterocyclic ring is substituted with 1, 2, or 3 substituents independently selected from the group consisting of halogen, C1-6 haloalkyl, C1-6 alkyl, C3-6 cycloalkyl, C1-6 alkoxy, C1-6 haloalkoxy, hydroxyl, cyano, oxo, —CO2R10, —C(O)R9, —SO2R9, —N(R10)C(O)R12, and —C(O)N(R10)(R11); wherein R10 and R11 each represent independently for each occurrence hydrogen or C1-6 alkyl, or R10 and R11 are taken together with the carbon atom to which they are attached to form a 3-6 membered carbocyclic ring; and R12 is C1-6 alkyl, C3-6 cycloalkyl, —(C1-6 alkylene)-(C3-6 cycloalkyl), or aryl, each of which is optionally substituted with 1, 2, or 3 substituents independently selected from the group consisting of halogen, hydroxyl, or —CO2R10. In certain other embodiments, R4 and R5 are taken together with the nitrogen atom to which they are attached to form a 3-8 membered heterocyclic ring substituted with 1, 2, or 3 substituents independently selected from the group consisting of C1-6 haloalkyl, C1-6 alkyl, and —CO2R10, where R10 is hydrogen or C1-6 alkyl.
In certain embodiments, Y is —C(R6)(R7)—. In certain other embodiments, Y is —O—. In yet other embodiments, Y is —S(O)p—.
In connection with Formula V, in certain embodiments, X is —O-aralkyl, —O-heteroaralkyl, —O-phenyl, —O-heteroaryl, —O-(partially unsaturated bicyclic carbocyclyl), —O—(C1-6 alkylene)-(C3-6 cycloalkyl), —O—(C3-6 cycloalkyl), —N(R4)-aralkyl, —N(R4)-phenyl, —N(R4)-(partially unsaturated bicyclic carbocyclyl), or —N(R4)—(C1-6 alkylene)-(C3-6 cycloalkyl), each of which is optionally substituted with 1, 2, or 3 substituents independently selected from the group consisting of halogen, C1-6 haloalkyl, C1-6 alkyl, C3-6 cycloalkyl, C1-6 alkoxy, C1-6 haloalkoxy, —S—(C1-6 alkyl), hydroxyl, cyano, —C(O)R9, and —SO2R9. In certain embodiments, X is —S-aralkyl, —S-heteroaralkyl, —S-phenyl, —S-heteroaryl, —S-(partially unsaturated bicyclic carbocyclyl), —S—(C1-6 alkylene)-(C3-6 cycloalkyl), or —S—(C3-6 cycloalkyl), each of which is optionally substituted with 1, 2, or 3 substituents independently selected from the group consisting of halogen, C1-6 haloalkyl, C1-6 alkyl, C3-6 cycloalkyl, C1-6 alkoxy, C1-6 haloalkoxy, —S—(C1-6 alkyl), hydroxyl, cyano, —C(O)R9, and —SO2R9. In certain embodiments, X is —(C2-6 alkenylene)-phenyl, —(C2-6 alkenylene)-heteroaryl, —(C2-6 alkenylene)-(partially unsaturated 8-10 membered bicyclic ring containing 0-3 heteroatoms), —(C1-6 alkylene)-phenyl, —(C1-6 alkylene)-heteroaryl, —(C1-6 alkylene)-(partially unsaturated bicyclic heterocyclyl), —(C1-6 alkylene)-(partially unsaturated bicyclic oxo-heterocyclyl), —(C1-6 alkylene)-(C3-C6 cycloalkyl), -(5-6 membered heterocycloalkylene)-phenyl, or —(C3-6 cycloalkylene)-phenyl, each of which is optionally substituted with 1, 2, or 3 substituents independently selected from the group consisting of halogen, C1-6 haloalkyl, C1-6 alkyl, C3-6 cycloalkyl, C1-6 alkoxy, C1-6 haloalkoxy, —S—(C1-6 alkyl), hydroxyl, cyano, —C(O)R9, and —SO2R9. In certain embodiments, X is —(C2-6 alkenylene)-(C1-6 alkyl), —(C2-6 alkenylene)-(C3-6 cycloalkyl), or
Figure US09896441-20180220-C00456

each of which is optionally substituted with 1, 2, or 3 substituents independently selected from the group consisting of halogen, C1-6 haloalkyl, C1-6 alkyl, C3-6 cycloalkyl, C1-6 alkoxy, C1-6 haloalkoxy, —S—(C1-6 alkyl), hydroxyl, cyano, —C(O)R9, and —SO2R9, wherein A* is a 5-8 membered, partially saturated carbocyclic or heterocyclic ring. In certain embodiments, X is —(C1-6 alkylene)-Z1 or —(C2-6 alkenylene)-Z1, wherein Z1 is —O-aralkyl, —O-heteroaralkyl, —O-phenyl, —O-heteroaryl, —O-(partially unsaturated bicyclic carbocyclyl), —O—(C1-6 alkylene)-(C3-6 cycloalkyl), —O—(C3-6 cycloalkyl), —N(R4)-aralkyl, —N(R4)-phenyl, —N(R4)-(partially unsaturated bicyclic carbocyclyl), —N(R4)—(C1-6 alkylene)-(C3-6 cycloalkyl), or —N(R4)—(C3-6 cycloalkyl), each of which is optionally substituted with 1, 2, or 3 substituents independently selected from the group consisting of halogen, C1-6 haloalkyl, C1-6 alkyl, C3-6 cycloalkyl, C1-6 alkoxy, C1-6 haloalkoxy, —S—(C1-6 alkyl), hydroxyl, cyano, —C(O)R9, and —SO2R9. In certain embodiments, X is attached at the meta or para position on the phenyl group relative to variable Y. In certain embodiments, X is attached on the phenyl at the position located para to group Y.
In connection with Formula VI, in certain embodiments, R2A is C1-6 alkyl substituted with 1 or 2 substituents independently selected from the group consisting of —CO2R4, —C(O)N(R4)(R5), —C(O)—N(R4)—(C1-4 alkylene)-CO2R4, —N(R4)C(O)R8, —CN, halogen, hydroxyl, C1-6 alkoxy, C1-6 haloalkoxy, C1-6 haloalkyl, —N(R4)(R5), —N(R4)C(O)N(R4)(R5), —N(R4)CO2R9, —N(R4)S(O)2R9, and —N(R4)S(O)2N(R4)(R5). In certain other embodiments, R2A is C1-6 alkyl substituted by —C(O)N(R4)(R5), where R4 and R5 are taken together with the nitrogen atom to which they are attached to form a 3-8 membered heterocyclic ring substituted with 1, 2, or 3 substituents independently selected from the group consisting of C1-6 haloalkyl, C1-6 alkyl, and —CO2R10, where R10 is hydrogen or C1-6 alkyl.
The definitions of variables in Formula V and VI above encompass multiple chemical groups. The application contemplates embodiments where, for example, i) the definition of a variable is a single chemical group selected from those chemical groups set forth above, ii) the definition of a variable is a collection of two or more of the chemical groups selected from those set forth above, and iii) the compound is defined by a combination of variables in which the variables are defined by (i) or (ii).
In certain other embodiments, the compound is a compound defined by one of the following formulae where variables X and Z are as defined in Table 2, or a pharmaceutically acceptable salt thereof.
Figure US09896441-20180220-C00457
Figure US09896441-20180220-C00458
Figure US09896441-20180220-C00459
Figure US09896441-20180220-C00460
Figure US09896441-20180220-C00461
Figure US09896441-20180220-C00462
Figure US09896441-20180220-C00463
TABLE 2
No. X Z
II-1 
Figure US09896441-20180220-C00464
Figure US09896441-20180220-C00465
II-2 
Figure US09896441-20180220-C00466
Figure US09896441-20180220-C00467
II-3 
Figure US09896441-20180220-C00468
Figure US09896441-20180220-C00469
II-4 
Figure US09896441-20180220-C00470
Figure US09896441-20180220-C00471
II-5 
Figure US09896441-20180220-C00472
Figure US09896441-20180220-C00473
II-6 
Figure US09896441-20180220-C00474
Figure US09896441-20180220-C00475
II-7 
Figure US09896441-20180220-C00476
Figure US09896441-20180220-C00477
II-8 
Figure US09896441-20180220-C00478
Figure US09896441-20180220-C00479
II-9 
Figure US09896441-20180220-C00480
Figure US09896441-20180220-C00481
II-10
Figure US09896441-20180220-C00482
Figure US09896441-20180220-C00483
II-11
Figure US09896441-20180220-C00484
Figure US09896441-20180220-C00485
II-12
Figure US09896441-20180220-C00486
Figure US09896441-20180220-C00487
II-13
Figure US09896441-20180220-C00488
Figure US09896441-20180220-C00489
II-14
Figure US09896441-20180220-C00490
Figure US09896441-20180220-C00491
II-15
Figure US09896441-20180220-C00492
Figure US09896441-20180220-C00493
II-16
Figure US09896441-20180220-C00494
Figure US09896441-20180220-C00495
II-17
Figure US09896441-20180220-C00496
Figure US09896441-20180220-C00497
II-18
Figure US09896441-20180220-C00498
Figure US09896441-20180220-C00499
II-19
Figure US09896441-20180220-C00500
Figure US09896441-20180220-C00501
II-20
Figure US09896441-20180220-C00502
Figure US09896441-20180220-C00503
II-21
Figure US09896441-20180220-C00504
Figure US09896441-20180220-C00505
II-22
Figure US09896441-20180220-C00506
Figure US09896441-20180220-C00507
II-23
Figure US09896441-20180220-C00508
Figure US09896441-20180220-C00509
II-24
Figure US09896441-20180220-C00510
Figure US09896441-20180220-C00511
II-33
Figure US09896441-20180220-C00512
Figure US09896441-20180220-C00513
II-25
Figure US09896441-20180220-C00514
Figure US09896441-20180220-C00515
II-26
Figure US09896441-20180220-C00516
Figure US09896441-20180220-C00517
II-27
Figure US09896441-20180220-C00518
Figure US09896441-20180220-C00519
II-28
Figure US09896441-20180220-C00520
Figure US09896441-20180220-C00521
II-29
Figure US09896441-20180220-C00522
Figure US09896441-20180220-C00523
II-30
Figure US09896441-20180220-C00524
Figure US09896441-20180220-C00525
II-31
Figure US09896441-20180220-C00526
Figure US09896441-20180220-C00527
II-32
Figure US09896441-20180220-C00528
Figure US09896441-20180220-C00529
II-42
Figure US09896441-20180220-C00530
Figure US09896441-20180220-C00531
II-34
Figure US09896441-20180220-C00532
Figure US09896441-20180220-C00533
II-35
Figure US09896441-20180220-C00534
Figure US09896441-20180220-C00535
II-36
Figure US09896441-20180220-C00536
Figure US09896441-20180220-C00537
II-37
Figure US09896441-20180220-C00538
Figure US09896441-20180220-C00539
II-38
Figure US09896441-20180220-C00540
Figure US09896441-20180220-C00541
II-39
Figure US09896441-20180220-C00542
Figure US09896441-20180220-C00543
II-40
Figure US09896441-20180220-C00544
Figure US09896441-20180220-C00545
II-41
Figure US09896441-20180220-C00546
Figure US09896441-20180220-C00547
II-51
Figure US09896441-20180220-C00548
Figure US09896441-20180220-C00549
II-43
Figure US09896441-20180220-C00550
Figure US09896441-20180220-C00551
II-44
Figure US09896441-20180220-C00552
Figure US09896441-20180220-C00553
II-45
Figure US09896441-20180220-C00554
Figure US09896441-20180220-C00555
II-46
Figure US09896441-20180220-C00556
Figure US09896441-20180220-C00557
II-47
Figure US09896441-20180220-C00558
Figure US09896441-20180220-C00559
II-48
Figure US09896441-20180220-C00560
Figure US09896441-20180220-C00561
II-49
Figure US09896441-20180220-C00562
Figure US09896441-20180220-C00563
II-50
Figure US09896441-20180220-C00564
Figure US09896441-20180220-C00565
II-59
Figure US09896441-20180220-C00566
Figure US09896441-20180220-C00567
II-52
Figure US09896441-20180220-C00568
Figure US09896441-20180220-C00569
II-53
Figure US09896441-20180220-C00570
Figure US09896441-20180220-C00571
II-54
Figure US09896441-20180220-C00572
Figure US09896441-20180220-C00573
II-55
Figure US09896441-20180220-C00574
Figure US09896441-20180220-C00575
II-56
Figure US09896441-20180220-C00576
Figure US09896441-20180220-C00577
II-57
Figure US09896441-20180220-C00578
Figure US09896441-20180220-C00579
II-58
Figure US09896441-20180220-C00580
Figure US09896441-20180220-C00581
II-67
Figure US09896441-20180220-C00582
Figure US09896441-20180220-C00583
II-68
Figure US09896441-20180220-C00584
Figure US09896441-20180220-C00585
II-60
Figure US09896441-20180220-C00586
Figure US09896441-20180220-C00587
II-61
Figure US09896441-20180220-C00588
Figure US09896441-20180220-C00589
II-62
Figure US09896441-20180220-C00590
Figure US09896441-20180220-C00591
II-63
Figure US09896441-20180220-C00592
Figure US09896441-20180220-C00593
II-64
Figure US09896441-20180220-C00594
Figure US09896441-20180220-C00595
II-65
Figure US09896441-20180220-C00596
Figure US09896441-20180220-C00597
II-66
Figure US09896441-20180220-C00598
Figure US09896441-20180220-C00599
II-76
Figure US09896441-20180220-C00600
Figure US09896441-20180220-C00601
II-77
Figure US09896441-20180220-C00602
Figure US09896441-20180220-C00603
II-69
Figure US09896441-20180220-C00604
Figure US09896441-20180220-C00605
II-70
Figure US09896441-20180220-C00606
Figure US09896441-20180220-C00607
II-71
Figure US09896441-20180220-C00608
Figure US09896441-20180220-C00609
II-72
Figure US09896441-20180220-C00610
Figure US09896441-20180220-C00611
II-73
Figure US09896441-20180220-C00612
Figure US09896441-20180220-C00613
II-74
Figure US09896441-20180220-C00614
Figure US09896441-20180220-C00615
II-75
Figure US09896441-20180220-C00616
Figure US09896441-20180220-C00617
II-85
Figure US09896441-20180220-C00618
Figure US09896441-20180220-C00619
II-78
Figure US09896441-20180220-C00620
Figure US09896441-20180220-C00621
II-79
Figure US09896441-20180220-C00622
Figure US09896441-20180220-C00623
II-80
Figure US09896441-20180220-C00624
Figure US09896441-20180220-C00625
II-81
Figure US09896441-20180220-C00626
Figure US09896441-20180220-C00627
II-82
Figure US09896441-20180220-C00628
Figure US09896441-20180220-C00629
II-83
Figure US09896441-20180220-C00630
Figure US09896441-20180220-C00631
II-84
Figure US09896441-20180220-C00632
Figure US09896441-20180220-C00633
II-86
Figure US09896441-20180220-C00634
Figure US09896441-20180220-C00635
Methods for preparing compounds described herein are illustrated in the following synthetic Schemes. The Schemes are given for the purpose of illustrating the invention, and are not intended to limit the scope or spirit of the invention. Starting materials shown in the Schemes can be obtained from commercial sources or be prepared based on procedures described in the literature.
Scheme 20 is a general method of preparing substituted (2S,4R)-2-substituted-4-(aryl or heteroaryl sulfonyl)chroman F. Treatment of benzylic halide A with mercaptan B affords thioether C. Oxidation of thioether C with meta-chloroperbenzoic acid or another oxidant affords sulfone D. Treatment of sulfone D with n-butyl lithium, tert-butoxide or another suitable base forms an anion which can be alkylated with an epoxide to afford alcohol E. Treatment of alcohol E with sodium hydride or another suitable base affords the chroman F.
Figure US09896441-20180220-C00636
Scheme 21 illustrates another general method of forming substituted (benzyl or heteroarylalkyl sulfonyl)benzene E. Condensation of 2-hydroxyacetophenone A with aldehyde B catalyzed by pyrrolidine affords chromanone C. Addition of a thiol to chromanone C under acidic conditions (e.g., BF3-etherate or trifluoroacetic acid) in the presence of a reductant (e.g., triethylsilane or pyridine borane) affords sulfide D. Oxidation of sulfide D with metachloroperbenzoic acid, oxone, or other suitable oxidant affords substituted (benzyl or heteroarylalkyl sulfonyl)benzene E.
Figure US09896441-20180220-C00637
Scheme 22 illustrates a general method of forming substituted 1-(phenyl or heteroarylsulfonyl)-1,2,3,4-tetrahydronaphthalene C. Addition of a thiol under acidic conditions (e.g., BF3-etherate or trifluoroacetic acid) in the presence of a reductant (triethylsilane or pyridine borane) to the tetralone A affords sulfide B. Oxidation of sulfide B with metachloroperbenzoic acid, oxone, or other suitable oxidant affords the 1-(phenyl or heteroarylsulfonyl)-1,2,3,4-tetrahydronaphthalene C.
Figure US09896441-20180220-C00638

II. Therapeutic Applications of Tetrahydroquinolinyl and Related Compounds
It is contemplated that the tetrahydroquinolinyl and related compounds described herein, such as a compound of Formula I, I-1, I-A, I-B, II, II-1, II-A, II-B, or other compounds in Section I such as a compound of Formula III, IV, V, or VI, provide therapeutic benefits to subjects suffering from a cancer, bacterial infection, fungal infection, or immune deficiency disorder. Accordingly, one aspect of the invention provides a method of treating a disorder selected from the group consisting of cancer, bacterial infection, fungal infection, and immune deficiency disorder. The method comprises administering a therapeutically effective amount of a tetrahydroquinolinyl or related compound described herein, such as a compound of Formula I, I-1, I-A, I-B, II, II-1, II-A, II-B, or other compounds in Section I such as a compound of Formula III, IV, V, or VI, to a subject in need thereof to ameliorate a symptom of the disorder. In certain embodiments, the particular compound of Formula I, I-1, I-A, I-B, II, II-1, II-A, or II-B is a compound defined by one of the embodiments described above.
In certain embodiments, the disorder is cancer. In certain embodiments, the cancer is a solid tumor or leukemia. In certain other embodiments, the cancer is colon cancer, pancreatic cancer, breast cancer, ovarian cancer, prostate cancer, squamous cell carcinoma, basal cell carcinoma, adenocarcinoma, sweat gland carcinoma, sebaceous gland carcinoma, lung cancer, leukemia, bladder cancer, stomach cancer, cervical cancer, testicular cancer, skin cancer, rectal cancer, thyroid cancer, kidney cancer, uterus cancer, espophagus cancer, liver cancer, an acoustic neuroma, oligodendroglioma, meningioma, neuroblastoma, or retinoblastoma. In certain other embodiments, the cancer is small cell lung cancer, non-small cell lung cancer, melanoma, cancer of the central nervous system tissue, brain cancer, Hodgkin's lymphoma, non-Hodgkin's lymphoma, cutaneous T-Cell lymphoma, cutaneous B-Cell lymphoma, or diffuse large B-Cell lymphoma. In certain other embodiments, the cancer is breast cancer, colon cancer, small-cell lung cancer, non-small cell lung cancer, prostate cancer, renal cancer, ovarian cancer, leukemia, melanoma, or cancer of the central nervous system tissue. In certain other embodiments, the cancer is colon cancer, small-cell lung cancer, non-small cell lung cancer, renal cancer, ovarian cancer, renal cancer, or melanoma.
In certain embodiments, the cancer is non-Hodgkin's lymphoma. In certain embodiments, the non-Hodgkin's lymphoma is a B-cell lymphoma, such as a diffuse large B-cell lymphoma, primary mediastinal B-cell lymphoma, follicular lymphoma, small lymphocytic lymphoma, mantle cell lymphoma, marginal zone B-cell lymphoma, extranodal marginal zone B-cell lymphoma, nodal marginal zone B-cell lymphoma, splenic marginal zone B-cell lymphoma, Burkitt lymphoma, lymphoplasmacytic lymphoma, hairy cell leukemia, or primary central nervous system (CNS) lymphoma.
In certain embodiments, the non-Hodgkin's lymphoma is a T-cell lymphoma, such as a precursor T-lymphoblastic lymphoma, peripheral T-cell lymphoma, cutaneous T-cell lymphoma, angioimmunoblastic T-cell lymphoma, extranodal natural killer/T-cell lymphoma, enteropathy type T-cell lymphoma, subcutaneous panniculitis-like T-cell lymphoma, anaplastic large cell lymphoma, or peripheral T-cell lymphoma.
In certain embodiments, the leukemia is chronic lymphocytic leukemia, acute myelogenous leukemia, chronic myelogenous leukemia, or acute lymphoblastic leukemia.
In yet other embodiments, the cancer is a vascularized tumor, squamous cell carcinoma, adenocarcinoma, small cell carcinoma, melanoma, glioma, neuroblastoma, sarcoma (e.g., an angiosarcoma or chondrosarcoma), astrocytic tumor, bartholin gland carcinoma, basal cell carcinoma, biliary cancer, bone cancer, bone marrow cancer, bronchial cancer, bronchial gland carcinoma, carcinoid, cholangiocarcinoma, chondrosarcoma, choriod plexus papilloma/carcinoma, gastric antrum cancer, gastric fundus cancer, gastrinoma, glioblastoma, glucagonoma, heart cancer, hemangioblastomas, hemangioendothelioma, hemangiomas, hepatic adenoma, hepatic adenomatosis, hepatobiliary cancer, hepatocellular carcinoma, Hodgkin's disease, ileum cancer, insulinoma, intraepithelial neoplasia, interepithelial squamous cell neoplasia, intrahepatic bile duct cancer, invasive squamous cell carcinoma, jejunum cancer, joint cancer, Kaposi's sarcoma, chronic lymphocytic leukemia, chronic myeloid leukemia, clear cell carcinoma, connective tissue cancer, cystadenoma, digestive system cancer, duodenum cancer, endocrine system cancer, endodermal sinus tumor, endometrial hyperplasia, endometrial stromal sarcoma, endometrioid adenocarcinoma, endothelial cell cancer, ependymal cancer, epithelial cell cancer, Ewing's sarcoma, eye and orbit cancer, female genital cancer, focal nodular hyperplasia, gallbladder cancer, pelvic cancer, large cell carcinoma, large intestine cancer, leiomyosarcoma, lentigo maligna melanomas, lymphoma, male genital cancer, malignant melanoma, malignant mesothelial tumors, medulloblastoma, medulloepithelioma, meningeal cancer, mesothelial cancer, metastatic carcinoma, mouth cancer, mucoepidermoid carcinoma, multiple myeloma, muscle cancer, nasal tract cancer, nervous system cancer, small intestine cancer, smooth muscle cancer, soft tissue cancer, somatostatin-secreting tumor, spine cancer, squamous cell carcinoma, striated muscle cancer, submesothelial cancer, superficial spreading melanoma, T cell leukemia, tongue cancer, undifferentiated carcinoma, ureter cancer, urethra cancer, urinary bladder cancer, urinary system cancer, uterine cervix cancer, uterine corpus cancer, uveal melanoma, vaginal cancer, verrucous carcinoma, VIPoma, vulva cancerneuroepithelial adenocarcinoma nodular melanoma, non-epithelial skin cancer, non-Hodgkin's lymphoma, oat cell carcinoma, oligodendroglial cancer, oral cavity cancer, osteosarcoma, papillary serous adenocarcinoma, penile cancer, pharynx cancer, pituitary tumors, plasmacytoma, pseudosarcoma, pulmonary blastoma, rectal cancer, renal cell carcinoma, respiratory system cancer, retinoblastoma, rhabdomyosarcoma, sarcoma, serous carcinoma, sinus cancer, larynx cancer, parotid cancer, bilary tract cancer, thyroid cancer, acral lentiginous melanoma, actinic keratoses, acute lymphocytic leukemia, acute myeloid leukemia, adenoid cycstic carcinoma, adenomas, adenosarcoma, adenosquamous carcinoma, anal canal cancer, anal cancer, or anorectum cancer.
Additional exemplary cancers include fibrosarcoma, myxosarcoma, liposarcoma, chondrosarcoma, osteogenic sarcoma, chordoma, angiosarcoma, endotheliosarcoma, lymphangiosarcoma, lymphangioendotheliosarcoma, Ewing's tumor, leiomyosarcoma, rhabdomyosarcoma, squamous cell carcinoma, basal cell carcinoma, adenocarcinoma, sweat gland carcinoma, sebaceous gland carcinoma, papillary carcinoma, papillary adenocarcinomas, cystadenocarcinoma, medullary carcinoma, bronchogenic carcinoma, renal cell carcinoma, hepatoma, bile duct carcinoma, choriocarcinoma, seminoma, embryonal carcinoma, Wilms' tumor, epithelial carcinoma, glioma, astrocytoma, medulloblastoma, and hemangioblastoma.
In certain embodiments, the cancer is a neuroblastoma, meningioma, hemangiopericytoma, multiple brain metastase, glioblastoma multiforms, glioblastoma, brain stem glioma, poor prognosis malignant brain tumor, malignant glioma, anaplastic astrocytoma, anaplastic oligodendroglioma, neuroendocrine tumor, rectal adeno carcinoma, Dukes C & D colorectal cancer, unresectable colorectal carcinoma, metastatic hepatocellular carcinoma, Kaposi's sarcoma, karotype acute myeloblastic leukemia, Hodgkin's lymphoma, non-Hodgkin's lymphoma, cutaneous T-Cell lymphoma, cutaneous B-Cell lymphoma, diffuse large B-Cell lymphoma, low grade follicular lymphoma, metastatic melanoma, localized melanoma, malignant mesothelioma, malignant pleural effusion mesothelioma syndrome, peritoneal carcinoma, papillary serous carcinoma, gynecologic sarcoma, soft tissue sarcoma, scelroderma, cutaneous vasculitis, Langerhans cell histiocytosis, leiomyosarcoma, fibrodysplasia ossificans progressive, hormone refractory prostate cancer, resected high-risk soft tissue sarcoma, unrescectable hepatocellular carcinoma, Waidenstrom's macroglobulinemia, smoldering myeloma, indolent myeloma, fallopian tube cancer, androgen independent prostate cancer, androgen dependent stage IV non-metastatic prostate cancer, hormone-insensitive prostate cancer, chemotherapy-insensitive prostate cancer, papillary thyroid carcinoma, follicular thyroid carcinoma, medullary thyroid carcinoma, or leiomyoma.
In certain embodiments, the disorder is a bacterial infection. The bacterial infection can be characterized according to classifications known in the art. For example, in certain embodiments, the bacterial infection is a gram-positive bacterial infection, such as a gram-positive cocci bacterial infection or a gram-positive bacilli bacterial infection. In other embodiments, the bacterial infection is a gram-negative bacterial infection, such as a gram-negative cocci bacterial infection or a gram-negative bacilli bacterial infection. The bacterial infection can also be characterized according to whether it is caused by anaerobic or aerobic bacteria. Accordingly, in certain embodiments, the bacterial infection is an anaerobic bacterial infection. In certain other embodiments, the bacterial infection is an aerobic bacterial infection.
A variety of bacteria are contemplated to be susceptible to the tetrahydroquinoline compounds. Representative bacteria include Staphylococci species, e.g., S. aureus; Enterococci species, e.g., E. faecalis and E. faecium; Streptococci species, e.g., S. pyogenes and S. pneumoniae; Escherichia species, e.g., E. coli, including enterotoxigenic, enteropathogenic, enteroinvasive, enterohemorrhagic and enteroaggregative E. coli strains; Haemophilus species, e.g., H. influenza; and Moraxella species, e.g., M. catarrhalis. Other examples include Mycobacteria species, e.g., M. tuberculosis, M. avian-intracellulare, M. kansasii, M. bovis, M. africanum, M. genavense, M. leprae, M. xenopi, M. simiae, M. scrofulaceum, M. malmoense, M. celatum, M. abscessus, M. chelonae, M. szulgai, M. gordonae, M. haemophilum, M. fortuni and M. marinum; Corynebacteria species, e.g., C. diphtheriae; Vibrio species, e.g., V. cholerae; Campylobacter species, e.g., C. jejuni; Helicobacter species, e.g., H. pylori; Pseudomonas species, e.g., P. aeruginosa; Legionella species, e.g., L. pneumophila; Treponema species, e.g., T. pallidum; Borrelia species, e.g., B. burgdorferi; Listeria species, e.g., L. monocytogenes; Bacillus species, e.g., B. cereus; Bordatella species, e.g., B. pertussis; Clostridium species, e.g., C. perfringens, C. tetani, C. difficile and C. botulinum; Neisseria species, e.g., N. meningitidis and N. gonorrhoeae; Chlamydia species, e.g., C. psittaci, C. pneumoniae and C. trachomatis; Rickettsia species, e.g., R. rickettsii and R. prowazekii; Shigella species, e.g., S. sonnei; Salmonella species, e.g., S. typhimurium; Yersinia species, e.g., Y. enterocolitica and Y. pseudotuberculosis; Klebsiella species, e.g., K. pneumoniae; Mycoplasma species, e.g., M. pneumoniae; and Trypanosoma brucei. In certain embodiments, the compounds described herein are used to treat a subject suffering from a bacterial infection selected from the group consisting of S. aureus, E. faecalis, E. faecium, S. pyogenes, S. pneumonia, and P. aeruginosa.
The antibacterial activity of compounds described herein may be evaluated using assays known in the art, such as the microbroth dilution minimum inhibition concentration (MIC) assay, as further described in National Committee for Clinical Laboratory Standards. Performance Standards for Antimicrobial Susceptibility Testing; Fourteenth Informational Supplement. NCCLS document M100-S14 {ISBN 1-56238-516-X}. This assay may be used to determine the minimum concentration of a compound necessary to prevent visible bacterial growth in a solution. In general, the drug to be tested is serially diluted into wells, and aliquots of liquid bacterial culture are added. This mixture is incubated under appropriate conditions, and then tested for growth of the bacteria. Compounds with low or no antibiotic activity (a high MIC) will allow growth at high concentrations of compound, while compounds with high antibiotic activity will allow bacterial growth only at lower concentrations (a low MIC).
The assay uses stock bacterial culture conditions appropriate for the chosen strain of bacteria. Stock cultures from the permanent stock culture collection can be stored as frozen suspensions at −70° C. Cultures may be suspended in 10% skim milk (BD) prior to snap freezing in dry ice/ethanol and then placed in a −70° C. freezer. Cultures may be maintained on Tryptic Soy Agar containing 5% Sheep Blood at room temperature (20° C.), and each culture may be recovered from frozen form and transferred an additional time before MIC testing. Fresh plates are inoculated the day before testing, incubated overnight, and checked to confirm purity and identity.
The identity and purity of the cultures recovered from the stock culture can be confirmed to rule out the possibility of contamination. The identity of the strains may be confirmed by standard microbiological methods (See, e.g., Murray et al., Manual of Clinical Microbiology, Eighth Edition. ASM Press {ISBN 1-55581-255-4}). In general, cultures are streaked onto appropriate agar plates for visualization of purity, expected colony morphology, and hemolytic patterns. Gram stains can also be utilized. The identities are confirmed using a MicroScan WalkAway 40 SI Instrument (Dade Behring, West Sacramento, Calif.). This device utilizes an automated incubator, reader, and computer to assess for identification purposes the biochemical reactions carried out by each organism. The MicroScan WalkAway can also be used to determine a preliminary MIC, which may be confirmed using the method described below.
Frozen stock cultures may be used as the initial source of organisms for performing microbroth dilution minimum inhibition concentration (MIC) testing. Stock cultures are passed on their standard growth medium for at least 1 growth cycle (18-24 hours) prior to their use. Most bacteria may be prepared directly from agar plates in 10 mL aliquots of the appropriate broth medium. Bacterial cultures are adjusted to the opacity of a 0.5 McFarland Standard (optical density value of 0.28-0.33 on a Perkin-Elmer Lambda EZ150 Spectrophotometer, Wellesley, Mass., set at a wavelength of 600 nm). The adjusted cultures are then diluted 400 fold (0.25 mL inoculum+100 mL broth) in growth media to produce a starting suspension of approximately 5×105 colony forming units (CFU)/mL. Most bacterial strains may be tested in cation adjusted Mueller Hinton Broth (CAMHB).
Test compounds (“drugs”) are solubilized in a solvent suitable for the assay, such as DMSO. Drug stock solutions may be prepared on the day of testing. Microbroth dilution stock plates may be prepared in two dilution series, 64 to 0.06 g drug/mL and 0.25 to 0.00025 g drug/mL. For the high concentration series, 200 μL of stock solution (2 mg/mL) is added to duplicate rows of a 96-well microtiter plate. This is used as the first well in the dilution series. Serial two-fold decremental dilutions are made using a BioMek FX robot (Beckman Coulter Inc., Fullerton, Calif.) with 10 of the remaining 11 wells, each of which will contain 100 μL of the appropriate solvent/diluent. Row 12 contains solvent/diluent only and serves as the control. For the first well of the low concentration series, 200 μL of an 8 μg/mL stock are added to duplicate rows of a 96-well plate. Serial two-fold dilutions are made as described above.
Daughter 96-well plates may be spotted (3.2 μL/well) from the stock plates listed above using the BioMek FX robot and used immediately or frozen at −70° C. until use. Aerobic organisms are inoculated (100 μL volumes) into the thawed plates using the BioMek FX robot. The inoculated plates are be placed in stacks and covered with an empty plate. These plates are then incubated for 16 to 24 hours in ambient atmosphere according to CLSI guidelines (National Committee for Clinical Laboratory Standards, Methods for Dilution, Antimicrobial Tests for Bacteria that Grow Aerobically; Approved Standard-Sixth Edition. NCCLS document M7-A6 {ISBN 1-56238-486-4}).
After inoculation and incubation, the degree of bacterial growth can be estimated visually with the aid of a Test Reading Mirror (Dynex Technologies 220 16) in a darkened room with a single light shining directly through the top of the microbroth tray. The MIC is the lowest concentration of drug that prevents macroscopically visible growth under the conditions of the test.
In certain embodiments, the disorder is a fungal infection. Exemplary fungi that may be treated include, for example, Acremonium, Absidia (e.g., Absidia corymbifera), Alternaria, Aspergillus (e.g., Aspergillus clavatus, Aspergillus flavus, Aspergillus fumigatus, Aspergillus nidulans, Aspergillus niger, Aspergillus terreus, and Aspergillus versicolor), Aureobasidium, Basidiobolus, Blastomyces (e.g., Blastomyces dermatitidis), Candida (e.g., Candida albicans, Candida glabrata, Candida guilliermondii, Candida kefyr, Candida krusei, Candida lusitaniae, Candida parapsilosis, Candida pseudotropicalis, Candida stellatoidea, Candida tropicalis, Candida utilis, Candida lipolytica, Candidafamata and Candida rugosa), Cephalosporium, Chaetomium, Chrysosporium, Cladosporium (e.g., Cladosporium carrionii and Cladosporium trichloides), Coccidioides (e.g., Coccidioides immitis), Conidiobolus, Coprinus, Corynespora, Cryptococcus (e.g., Cryptococcus neoformans), Curvularia, Cunninghamella (e.g., Cunninghamella elegans), Exophiala (e.g., Exophiala dermatitidis and Exophiala spinifera), Epidermophyton (e.g., Epidermophyton floccosum), Fonsecaea (e.g., Fonsecaea pedrosoi), Fusarium (e.g., Fusarium solani), Geotrichum (e.g., Geotrichum candiddum and Geotrichum clavatum), Hendersonula, Histoplasma, Leptosphaeria, Loboa, Madurella, Malassezia (e.g., Malassezia furfur), Microsporum (e.g., Microsporum canis and Microsporum gypseum), Mycocentrospora, Mucor, Neotestudina, Paecilomyces, Paracoccidioides (e.g., Paracoccidioides brasiliensis), Penicillium (e.g., Penicillium marneffei), Phialophora, Pneumocystis (e.g., Pneumocystis carinii), Pseudallescheria (e.g., Pseudallescheria boydii), Rhinosporidium, Rhizomucor, Rhizopus (e.g., Rhizopus microsporus var. rhizopodiformis and Rhizopus oryzae), Saccharomyces (e.g., Saccharomyces cerevisiae), Scopulariopsis, Sporothrix (e.g., Sporothrix schenckii), Trichophyton (e.g., Trichophyton mentagrophytes and Trichophyton rubrum), Trichosporon (e.g., Trichosporon asahii, Trichosporon beigelii and Trichosporon cutaneum), and Wangiella.
In certain embodiments, the disorder is an immune deficiency disorder. Exemplary immune deficiency disorders include, for example, a human immunodeficiency viral infection, a patient with a deficient immune system due to chemotherapy, or a patient recovering from surgery who has a deficient immune system.
In certain embodiments, the subject is a human.
Another aspect of the invention provides for the use of a compound described herein (such as a compound of Formula I, I-1, I-A, I-B, II, II-1, II-A, II-B, or other compounds in Section I such as a compound of Formula III, IV, V, or VI) in the manufacture of a medicament. In certain embodiments, the medicament is for treating a disorder described herein, such as cancer.
Another aspect of the invention provides for the use of a compound described herein (such as a compound of Formula I, I-1, I-A, I-B, II, II-1, II-A, II-B, or other compounds in Section I such as a compound of Formula III, IV, V, or VI) for treating a medical disorder, such a medical disorder described herein (e.g., cancer).
Further, it is contemplated that tetrahydroquinolinyl and related compounds described herein, such as a compound of Formula I, I-1, I-A, I-B, II, II-1, II-A, II-B, or other compounds in Section I such as a compound of Formula III, IV, V, or VI, can promote the activity of RORγ. Accordingly, another aspect of the invention provides a method of promoting the activity of RORγ. The method comprises exposing a RORγ to an effective amount of a tetrahydroquinolinyl or related compound described herein, such as a compound of Formula I, I-1, I-A, I-B, II, II-1, II-A, II-B, or other compounds in Section I such as a compound of Formula III, IV, V, or VI, to promote RORγ activity. In certain embodiments, the particular compound of Formula I, I-1, I-A, I-B, II, II-1, II-A, or II-B is the compound defined by one of the embodiments described above. Promoting the activity of RORγ means to increase the activity of RORγ. In certain embodiments, exposing a RORγ to an effective amount of a tetrahydroquinolinyl or related compound described herein (such as a compound of Formula I, I-1, I-A, I-B, II, II-1, II-A, II-B, or other compounds in Section I such as a compound of Formula III, IV, V, or VI) results in an increase in RORγ activity of at least 5%, 10%, 20%, or 50% relative to the activity of RORγ under substantially the same conditions but without the presence of the tetrahydroquinolinyl or related compound.
Further, it is contemplated that tetrahydroquinolinyl and related compounds described herein, such as a compound of Formula I, I-1, I-A, I-B, II, II-1, II-A, II-B, or other compounds in Section I such as a compound of Formula III, IV, V, or VI, can increase the amount of interleukin-17 (IL-17) in a subject. IL-17 is a cytokine that affects numerous biological functions. Accordingly, another aspect of the invention provides a method of increasing the amount of IL-17 in a subject. The method comprises administering to a subject an effective amount of a tetrahydroquinolinyl or related compound described herein, such as a compound of Formula I, I-1, I-A, I-B, II, II-1, II-A, II-B, or other compounds in Section I such as a compound of Formula III, IV, V, or VI, to increase the amount of IL-17 in the subject. In certain embodiments, the particular compound of Formula I, I-1, I-A, I-B, II, II-1, II-A, or II-B is the compound defined by one of the embodiments described above.
In certain embodiments, the subject is a human. In certain embodiments, administering the compound increases the amount of IL-17 produced by Th-17 cells in the subject. A change in the amount of IL-17 produced by, for example, Th-17 cells can be measured using procedures described in the literature, such as an ELISA assay or intracellular staining assay.
Further, it is contemplated that tetrahydroquinolinyl and related compounds described herein, such as a compound of Formula I, I-1, I-A, I-B, II, II-1, II-A, II-B, or other compounds in Section I such as a compound of Formula III, IV, V, or VI, may increase the synthesis of IL-17 in a subject. Accordingly, another aspect of the invention provides a method of increasing the synthesis of IL-17 in a subject. The method comprises administering to a subject an effective amount of a compound described herein, e.g., a compound of Formula I, I-1, I-A, I-B, II, II-1, II-A, II-B, or other compounds in Section I such as a compound of Formula III, IV, V, or VI, to increase the synthesis of IL-17 in the subject. In certain embodiments, the particular compound of Formula I, I-1, I-A, I-B, II, II-1, II-A, or II-B is a compound defined by one of the embodiments described above.
Adoptive Cellular Therapy
RORγ agonist compounds described herein may also be used in adoptive cellular therapy to treat various medical disorders, such as cancer, bacterial infections, fungal infections, and immune disorders. Cells, e.g., lymphocyte cells or dendritic cells, are exposed ex vivo to an RORγ agonist compound herein, and then the treated cells are administered to a patient. In adoptive cellular transfer, cells are obtained from a source (typically the patient in need of treatment), cultured ex vivo with an agent, and then the resulting cells are administered to the patient in need of therapy. The culturing typically subjects the cells to conditions whereby the cells increase in number (i.e., expansion) and/or acquire features providing improved therapeutic benefit. General features of the adoptive cellular therapy methods and compositions are described below, along with more specific embodiments of the lymphocyte cells, dendritic cells, and procedures for isolating and culturing cells.
Accordingly, one aspect of the invention provides a method of delivering to a patient a RORγ agonist treated cell selected from the group consisting of a lymphocyte cell and dendritic cell. The method comprises administering to a patient in need thereof a pharmaceutical composition comprising said cell that has been exposed ex vivo to an agonist of RORγ described herein, such as a compound of Formula I, I-1, I-A, or II. The method may further comprise a culturing step. In such embodiments, the method further comprises culturing a cell (i.e., the lymphocyte cell or dendritic cell) with an agonist of RORγ to provide the cell that has been exposed ex vivo to the agonist of RORγ. The culturing may comprise exposing the cell to a cytokine (e.g., IL-10, IL-2, IL-6, IL-7, IL-10, IL-12, IL-15, IL-18, IL-21, IL-23, or transforming growth factor beta). During the culturing step, the cell may be exposed to an antigen associated with a medical disorder. Although not to be bound by theory, cells having an receptor specific to an antigen associated with a medical disorder can provide a more effective therapy than cells lacking such a receptor. Accordingly, in certain embodiments, the culturing step comprises exposing the cell to an antigen associated with a medical disorder. The antigen may be an antigen presenting cell. Alternatively, the antigen may comprise cancer tissue. Further, as described below, the cell may be genetically altered to express a receptor specific to an antigen associated with a medical disorder.
The cell may be autologous or allogenic. Autologous cells are cells obtained from the patient whom will receive the cell exposed ex vivo to an agonist of RORγ. As such, in certain embodiments, the method may further comprise obtaining a cell from said patient, for use in the culturing step. Alternatively, the cells may be allogenic, i.e., obtained from a subject that produces cells allogenic to cells of the patient. In such embodiments, the method may further comprise obtaining a cell from a subject that produces cells allogenic to lymphocyte cells of the patient, for use in the culturing step.
In certain embodiments, the cell is a lymphocyte cell. Lymphocyte cells can be obtained from human or animal tissues according to procedures described in the literature. In certain embodiments, the lymphocyte cell is obtained from blood, cancer tissue, bone marrow, the spleen, a lymph node, or the thymus. In certain other embodiments, the lymphocyte cell is obtained from a population of peripheral blood mononuclear cells, such as human peripheral blood mononuclear cells. In certain other embodiments, the lymphocyte cell is obtained from a lymph node in proximity to a tumor or site of infection. In certain other embodiments, the lymphocyte cell is obtained from cancer tissue. In yet other embodiments, the lymphocyte cell is a tumor-infiltrating-lymphocyte cell.
Cells can be characterized according to the presence of a receptor for an antigen specific for a medical disorder. In certain embodiments, the cell expresses a receptor for an antigen specific for a medical disorder. As indicate above, such cells may provide more effective therapies for treating disease since the cells are more likely to target tissue specific to the disease to be treated. In certain embodiments, the medical disorder is a cancer, bacterial infection, fungal infection, or immune disorder. In yet other embodiments, the cell may express a receptor that, while not specific for a medical disorder, has utility in enhancing cell efficacy in treating the disorder.
Various types of lymphocyte cells have been described in the literature for use in adoptive cellular transfer. In certain embodiments, the lymphocyte cell is a T cell. In certain other embodiments, the lymphocyte cell is a CD8+ T cell, CD4+ T cell, or TH17 cell. In certain other embodiments, the lymphocyte cell is a CD8+ T cell, CD4+ T cell, or a combination thereof. In certain other embodiments, the lymphocyte cell is a natural killer cell. In certain other embodiments, the lymphocyte cell is a Tc17 cell, natural killer T cell, or γδ T cell. In yet other embodiments, the lymphocyte cell is a genetically altered lymphocyte cell.
Cells may be administered to the patient according to procedures described in the literature. In certain embodiments, the administering comprises injecting into the patient the pharmaceutical composition. The injecting may be intravenous injection or injection directly into diseased tissue, such as a tumor. In yet other embodiments, the injecting may be subcutaneous injection into the patient.
The therapeutic method embraces combination therapies, such as administering (i) an agent that enhances the efficacy of the cell exposed to the agonist of RORγ and/or (ii) an agent having independent efficacy in treating the target medical disorder.
Another aspect of the invention provides a method of preparing a population of cells that have been exposed ex vivo to an agonist of RORγ described herein, where the cells are lymphocyte cells and/or dendritic cells. The method comprises exposing a population of cells selected from the group consisting of lymphocyte cells and dendritic cells ex vivo to an agonist of RORγ described herein to thereby provide said population of cells that have been exposed ex vivo to an agonist of RORγ. The population of cells may be used in therapeutic methods described herein. The exposing step may comprise culturing a population of cells with the agonist of RORγ for a duration of time sufficient to increase the number of cells in the population. The culturing may comprise exposing the cell to a cytokine (e.g., IL-1β, IL-2, IL-6, IL-7, IL-10, IL-12, IL-15, IL-18, IL-21, IL-23, or transforming growth factor beta). Further during the culturing step, the cell may optionally be exposed to an antigen associated with a medical disorder. Accordingly, in certain embodiments, the culturing step comprises exposing the cell to an antigen associated with a medical disorder. The antigen may be an antigen presenting cell. Alternatively, the antigen may comprise cancer tissue. The cell may be autologous or allogenic. Autologous cells are cells obtained from the patient whom will receive the cell exposed ex vivo to an agonist of RORγ. As such, in certain embodiments, the method may further comprise obtaining a cell (i.e., a lymphocyte or dendritic cell) from said patient for use in the culturing step. Alternatively, the cells may be allogenic, i.e., obtained from subject that produces cells allogenic to cells of the patient. In such embodiments, the method may further comprise obtaining a cell from a subject that produces cells allogenic to cells of the patient, for use in the culturing step. In certain embodiments, the cell is a lymphocyte cell. Lymphocyte cells can be obtained from human or animal tissues according to procedures described in the literature. In certain embodiments, the lymphocyte cell is obtained from blood, cancer tissue, bone marrow, the spleen, a lymph node, or the thymus. In certain other embodiments, the lymphocyte cell is obtained from a population of peripheral blood mononuclear cells, such as human peripheral blood mononuclear cells. In certain other embodiments, the lymphocyte cell is obtained from a lymph node in proximity to a tumor or site of infection. In certain other embodiments, the lymphocyte cell is obtained from cancer tissue. In yet other embodiments, the lymphocyte cell is a tumor-infiltrating-lymphocyte cell.
Cells can be characterized according to the presence of a receptor for an antigen specific for a medical disorder. In certain embodiments, the cell expresses a receptor for an antigen specific for a medical disorder. As indicated above, such cells may provide more effective therapies for treating disease since the cells is more likely to target tissue specific to the disease to be treated. In certain embodiments, the medical disorder is a cancer, bacterial infection, fungal infection, or immune disorder. In yet other embodiments, the cell may express a receptor that, while not specific for a medical disorder, has utility in enhancing cell efficacy in treating the disorder.
As described above, various types of lymphocyte cells have been described in the literature for use in adoptive cellular transfer. In certain embodiments, the lymphocyte cell is a T cell. In certain other embodiments, the lymphocyte cell is a CD8+ T cell, CD4+ T cell, or TH17 cell. In certain other embodiments, the lymphocyte cell is a CD8+ T cell, CD4+ T cell, or a combination thereof. In certain other embodiments, the lymphocyte cell is a natural killer cell. In certain other embodiments, the lymphocyte cell is a Tc17, natural killer T cell, or γδ T cell. In yet other embodiments, the lymphocyte cell is a genetically altered lymphocyte cell.
Another aspect of the invention provides a method of treating a medical disorder. The method comprises administering to a patient in need thereof a cell that has been exposed ex vivo to an agonist of RORγ described herein to treat the medical disorder, wherein the cell is a lymphocyte cell or dendritic cell. The medical disorder can be, for example, a cancer, bacterial infection, fungal infection, or immune disorder. Additional exemplary medical disorders are described above, and in certain embodiments, the medical disorder is a cancer selected from the group consisting of a solid tumor, lymphoma, and leukemia. In certain other embodiments, the medical disorder is a cancer selected from the group consisting of ovarian cancer, melanoma, colorectal cancer, lung cancer, breast cancer, prostate cancer, pancreatic cancer, renal cell carcinoma, leukemia, a B-cell lymphoma, and non-Hodgkin lymphoma.
Another aspect of the invention provides a population of lymphocyte cells that have been exposed ex vivo to an agonist of RORγ described herein. The population may be characterized by the presence and/or quantity of particular types of cells in the population. For example, in certain embodiments, the population comprises one or more of the following: T cells and natural killer cells. In certain other embodiments, a majority of lymphocyte cells in the population are T cells. In certain other embodiments, a majority of lymphocyte cells in the population are CD8+ T cells, CD4+ T cells, TH17 cells, or a combination thereof. In yet other embodiments, a majority of lymphocyte cells in the population are natural killer cells. In yet other embodiments, a single type of lymphocyte cell (e.g., a T cell, CD8+ T cell, CD4+ T cell, TH17 cell, Tc17 cell, natural killer T cell, or γδ T cell) comprises at least 60%, 70% 80%, 90% or 95% of the cells in the population. In yet other embodiments, the population is characterized by: (i) a majority of lymphocyte cells in the population are T cells, (ii) a majority of lymphocyte cells in the population are CD8+ T cells, CD4+ T cells, TH17 cells, or a combination thereof, (iii) a majority of lymphocyte cells in the population are Tc17 cells, (iv) a majority of lymphocyte cells in the population are natural killer cells, or (v) a majority of lymphocyte cells in the population are natural killer T cells, γδ T cells, or a combination thereof. In yet other embodiments, a majority of lymphocyte cells in the population are CD8+ T cells, CD4+ T cells, or a combination thereof. In yet other embodiments, the population is characterized by a majority of lymphocyte cells in the population are Tc17 cells, CD4+ Th0 T lymphocyte cells, Th17-polarized CD4+ T lymphocyte cells, CD8+ Tc17 T lymphocyte cells, or a combination thereof.
In each of the above aspects and embodiments, lymphocyte cells may be characterized according to whether they are a tumor infiltrating lymphocyte, naïve T lymphocyte, memory T lymphocyte, effector T lymphocyte, CD8+ T cell, CD4+ T cell, CD4+/CD8+ double positive T lymphocyte, CD28+CD8+ T cell, or TH17 cell. CD8+ T cells can be separated into naïve CD8+ T cells, memory CD8+ T cells, and effector CD8+ T cells, according to cell surface antigens characteristic to each type of cell. Whether a cell or cell population is positive for a particular cell surface marker can be determined by flow cytometry using staining with a specific antibody for the surface marker and an isotype matched control antibody. A cell population negative for a marker refers to the absence of significant staining of the cell population with the specific antibody above the isotype control, and positive refers to uniform staining of the cell population above the isotype control. For instance, CD4+ T helper cells can be sorted into naive, central memory, and effector cells by identifying cell populations that have cell surface antigens. In certain embodiments, central memory CD4+ T cells are CD62L positive and CD45RO positive. In certain embodiments, effector CD4+ T cells are CD62L and CD45RO negative. In yet other embodiments, the lymphocyte cell is a Th1 cell, Tc1 cell, Th0 cell, or Tc0 cell. In certain embodiments, the lymphocyte cell is a CD8+ T cell, which is optionally further characterized according to the whether the CD8+ T cell is a naïve CD8+ T cell, a memory CD8+ T cell, or an effector CD8+ T cell. In certain embodiments, the lymphocyte cell is a memory CD8+ T cell, which may be further characterized according to whether the cell is CD62L positive or CD45RO positive. In certain other embodiments, the lymphocyte cell is an effector CD8+ T cell, which may be further characterized according to whether the cell is CD62L negative or CD45RO negative. In yet other embodiments, the lymphocyte cell is a CD4+ Th0 T lymphocyte, Th17-polarized CD4+ T lymphocyte, or CD8+ Tc17 T lymphocyte. In still other embodiments, the lymphocyte cell is a memory T cell present in CD62L+ or CD62L− subsets of CD8+ peripheral blood lymphocytes. In certain embodiments, the central memory T cells may be CD45RO+, CD62L+, CD8+ T cells. In certain embodiments, effector T cells are negative for CD62L, CCR7, CD28, and CD127, and positive for granzyme B and perforin.
T cells can be characterized according to identity of a T cell receptor located on the surface of the T cell. The T cell receptor is a disulfide-linked membrane-anchored heterodimer that normally consists of highly variable alpha (α) and beta (β) chains expressed as part of a complex with the invariant CD3 chain molecules. T cells expressing this receptor are referred to as α:β (or αβ) T cells. A minority of T cells express an alternate receptor, formed by variable gamma (γ) and delta (δ) chains, and such T cells are referred as γδ T cells. One subtype of T cells is natural killer T (NKT) cells. NKT cells are a heterogeneous group of T cells that share properties of both T cells and natural killer NK cells. Many NKT cells recognize the non-polymorphic CD1d molecule, an antigen-presenting molecule that binds self- and foreign lipids and glycolipids. Other subtypes of T cells include, for example, CD8+ T cells, CD4+ T cells, Tc17 cells, natural killer T cells, and γδ T cells. Still other subtypes of T cells include, for example, CD4 CD8 T cells and CD28+CD8+ T cells.
Preferably the lymphocyte cell comprises a receptor specific for an antigen of a medical condition. The receptor can be the endogenous lymphocyte cell receptor, i.e., the antigen-specific lymphocyte cell receptor that is endogenous (i.e., native to) the lymphocyte. In such instances, the lymphocyte comprising the endogenous lymphocyte cell receptor can be a lymphocyte cell that was isolated from the patient, which is known to express the particular medical condition-specific antigen. Alternatively, the lymphocyte comprising the endogenous lymphocyte cell receptor can be a lymphocyte cell that was isolated from a subject that produces allogenic lymphocyte cells (i.e., lymphocyte cells that are histocompatible with the patient that will receive the lymphocyte cells). In certain embodiments, the subject from which lymphocyte cells are obtained may be immunized prior to obtaining the lymphocyte cells, so that the lymphocyte cells to be administered to the patient will have specificity for the medical disorder to be treated.
The antigen of a disease recognized by the endogenous lymphocyte cell receptor can be any antigen which is characteristic of the disease. For example, the antigen may be, for example, a tumor antigen, such as gp100, MART-1, TRP-1, TRP-2, tyrosinase, NY-ESO-1, MAGE-1, or MAGE-3.
Lymphocyte cells may also be characterized according to the presence of a phenotypic marker of activation for tumor reactivity, such as the presence of 4-1BBL. Populations of lymphocyte cells enriched for such a phenotypic marker may provide therapeutic advantages. Lymphocyte cells may also be characterized according to the level of expression of the RORγ. In certain embodiments, the lymphocyte cell may be induced to express or engineered to express RORγ, thereby increasing the amount of RORγ.
The lymphocyte cell may be a genetically modified lymphocyte cell, such as a genetically modified lymphocyte cell described in, for example, International Patent Application Publication No. WO 2012/129514, which is hereby incorporated by reference. Genetic modification of the lymphocyte may improve the efficacy of therapy by promoting the viability and/or function of transferred lymphocyte cells, provide a genetic marker to permit selection and/or evaluation of in vivo survival or migration, or may incorporate functions that improve the safety of immunotherapy, for example, by making the cell susceptible to negative selection in vivo. The lymphocyte may be genetically modified so that the lymphocyte cell expresses certain proteins, such as a survival cytokine (e.g., granulocyte-macrophage colony-stimulating factor) and/or receptor for an antigen (e.g., a tumor antigen).
Accordingly, in embodiments, lymphocyte cells are modified with chimeric antigen receptors (CAR). The CARs may comprise a single-chain antibody fragment (scFv) that is derived from the variable heavy (VH) and variable light (VL) chains of a monoclonal antibody (mAb) linked to the TCR CD3+ chain that mediates T-cell activation and cytotoxicity. Costimulatory signals can also be provided through the CAR by fusing the costimulatory domain of CD28 or 4-1 BB to the CD3+ chain. CARs are specific for cell surface molecules independent from HLA, thus overcoming the limitations of TCR-recognition including HLA-restriction and low levels of HLA-expression on tumor cells.
The description above describes multiple embodiments providing definitions for variables used herein. The application specifically contemplates all combinations of such variables, e.g., particular combinations of the definitions set forth for variables A and X.
III. Combination Therapy
Another aspect of the invention provides for combination therapy. Tetrahydroquinolinyl and related compounds (e.g., a compound of Formula I, I-1, I-A, I-B, II, II-1, II-A, II-B, or other compounds in Section I such as a compound of Formula III, IV, V, or VI) or their pharmaceutically acceptable salts may be used in combination with additional therapeutic agents to treat medical disorders, such as a cancer, bacterial infection, fungal infection, and immune deficiency disorder.
Exemplary therapeutic agents that may be used as part of a combination therapy in treating cancer, include, for example, mitomycin, tretinoin, ribomustin, gemcitabine, vincristine, etoposide, cladribine, mitobronitol, methotrexate, doxorubicin, carboquone, pentostatin, nitracrine, zinostatin, cetrorelix, letrozole, raltitrexed, daunorubicin, fadrozole, fotemustine, thymalfasin, sobuzoxane, nedaplatin, cytarabine, bicalutamide, vinorelbine, vesnarinone, aminoglutethimide, amsacrine, proglumide, elliptinium acetate, ketanserin, doxifluridine, etretinate, isotretinoin, streptozocin, nimustine, vindesine, flutamide, drogenil, butocin, carmofur, razoxane, sizofilan, carboplatin, mitolactol, tegafur, ifosfamide, prednimustine, picibanil, levamisole, teniposide, improsulfan, enocitabine, lisuride, oxymetholone, tamoxifen, progesterone, mepitiostane, epitiostanol, formestane, interferon-alpha, interferon-2 alpha, interferon-beta, interferon-gamma, colony stimulating factor-1, colony stimulating factor-2, denileukin diftitox, interleukin-2, and leutinizing hormone releasing factor.
An additional class of agents that may be used as part of a combination therapy in treating cancer is immune checkpoint inhibitors (also referred to as immune checkpoint blockers). Immune checkpoint inhibitors are a class of therapeutic agents that have the effect of blocking immune checkpoints. See, for example, Pardoll in Nature Reviews Cancer (2012) vol. 12, pages 252-264. Exemplary immune checkpoint inhibitors include agents that inhibit one or more of (i) cytotoxic T-lymphocyte-associated antigen 4 (CTLA4), (ii) programmed cell death protein 1 (PD1), (iii) PDL1, (iv) LAB3, (v) B7-H3, (vi) B7-H4, and (vii) TIM3. The CTLA4 inhibitor Ipilumumab has been approved by the United States Food and Drug Administration for treating melanoma.
Yet other agents that may be used as part of a combination therapy in treating cancer are monoclonal antibody agents that target non-checkpoint targets (e.g., herceptin) and non-cytoxic agents (e.g., tyrosine-kinase inhibitors).
Exemplary therapeutic agents that may be used as part of a combination therapy in treating a bacterial infection, include, for example, amoxicillin, azithromycin, cefazolin, ceftriaxone, cefuroxime, cephalexin, ciprofloxacin, clindamycin, doxycycline, levofloxacin, linezolid, metronidazole, moxifloxacin, and penicillin.
Exemplary therapeutic agents that may be used as part of a combination therapy in treating a fungal infection, include, for example, 2-phenylphenol; 8-hydroxyquinoline sulphate; acibenzolar-S-methyl; aldimorph; amidoflumet; ampropylfos; ampropylfos-potassium; andoprim; anilazine; azaconazole; azoxystrobin; benalaxyl; benodanil; benomyl; benthiavalicarb-isopropyl; benzamacril; benzamacril-isobutyl; bilanafos; binapacryl; biphenyl; bitertanol; blasticidin-S; bromuconazole; butylamine; calcium polysulphide; capsimycin; captafol; captan; carbendazim; carboxin; carpropamid; carvone; chinomethionat; chlobenthiazone; chlorfenazole; chloroneb; chlorothalonil; chlozolinate; clozylacon; cyazofamid; cyflufenamid; cymoxanil; cyproconazole; cyprodinil; cyprofuram; Dagger G; debacarb; dichlofluanid; dichlone; dichlorophen; diclocymet; diclomezine; dicloran; diethofencarb; difenoconazole; diflumetorim; dimethirimol; dimethomorph; dimoxystrobin; diniconazole; diniconazole-M; dinocap; diphenylamine; dipyrithione; ditalimfos; dithianon; dodine; drazoxolon; edifenphos; epoxiconazole; ethaboxam; ethirimol; etridiazole; famoxadone; fenamidone; fenapanil; fenarimol; fenbuconazole; fenfuram; fenhexamid; fenitropan; fenoxanil; fenpiclonil; fenpropidin; fenpropimorph; ferbam; fluazinam; flubenzimine; fludioxonil; flumetover; flumorph; fluoromide; fluoxastrobin; fluquinconazole; flurprimidol; flusilazole; flusulphamide, hexaconazole; hymexazole; imazalil; imibenconazole; iminoctadine triacetate; iminoctadine tris(albesil); iodocarb; ipconazole; iprobenfos; iprodione; iprovalicarb; irumamycin; isoprothiolane; isovaledione; kasugamycin; kresoxim-methyl; oxyfenthiin; paclobutrazole; pefurazoate; penconazole; pencycuron; phosdiphen; phthalide; picoxystrobin; piperalin; polyoxins; polyoxorim; probenazole; prochloraz; procymidone; propamocarb; propanosine-sodium; propiconazole; propineb; proquinazid; prothioconazole; pyraclostrobin; pyrazophos; pyrifenox; pyrimethanil; pyroquilon; pyroxyfur; pyrrolenitrine; tetraconazole; thiabendazole; thicyofen; thifluzamide; thiophanate-methyl; thiram; tioxymid; tricyclazole; tridemorph; trifloxystrobin; triflumizole; triforine; triticonazole; uniconazole; validamycin A; vinclozolin; zineb; ziram; and zoxamide.
The amount of tetrahydroquinolinyl or related compound (e.g., a compound of Formula I, I-1, I-A, I-B, II, II-1, II-A, II-B, or other compounds in Section I such as a compound of Formula III, IV, V, or VI) and additional therapeutic agent and the relative timing of administration may be selected in order to achieve a desired combined therapeutic effect. For example, when administering a combination therapy to a patient in need of such administration, the therapeutic agents in the combination, or a pharmaceutical composition or compositions comprising the therapeutic agents, may be administered in any order such as, for example, sequentially, concurrently, together, simultaneously and the like. Further, for example, a tetrahydroquinolinyl or related compound (e.g., a compound of any one of Formula I, I-1, I-A, I-B, II, II-1, II-A, II-B, or other compounds in Section I such as a compound of Formula III, IV, V, or VI) may be administered during a time when the additional therapeutic agent(s) exerts its prophylactic or therapeutic effect, or vice versa.
The doses and dosage regimen of the active ingredients used in the combination therapy may be determined by an attending clinician. In certain embodiments, the tetrahydroquinolinyl or related compound (e.g., a compound of any one of Formula I, I-1, I-A, I-B, II, II-1, II-A, II-B, or other compounds in Section I such as a compound of Formula III, IV, V, or VI) and the additional therapeutic agent(s) are administered in doses commonly employed when such agents are used as monotherapy for treating the disorder. In other embodiments, the tetrahydroquinolinyl or related compound (e.g., a compound of any one of Formula I, I-1, I-A, I-B, II, II-1, II-A, II-B, or other compounds in Section I such as a compound of Formula III, IV, V, or VI) and the additional therapeutic agent(s) are administered in doses lower than the doses commonly employed when such agents are used as monotherapy for treating the disorder. In certain embodiments, the tetrahydroquinolinyl or related compound (e.g., a compound of any one of Formula I, I-1, I-A, I-B, II, II-1, II-A, II-B, or other compounds in Section I such as a compound of Formula III, IV, V, or VI) and the additional therapeutic agent(s) are present in the same composition, which is suitable for oral administration.
In certain embodiments, the tetrahydroquinolinyl or related compound (e.g., a compound of any one of Formula I, I-1, I-A, I-B, II, II-1, II-A, II-B, or other compounds in Section I such as a compound of Formula III, IV, V, or VI) and the additional therapeutic agent(s) may act additively or synergistically. A synergistic combination may allow the use of lower dosages of one or more agents and/or less frequent administration of one or more agents of a combination therapy. A lower dosage or less frequent administration of one or more agents may lower toxicity of the therapy without reducing the efficacy of the therapy.
Another aspect of this invention is a kit comprising a therapeutically effective amount of the tetrahydroquinolinyl or related compound (e.g., a compound of any one of Formula I, I-1, I-A, I-B, II, II-1, II-A, II-B, or other compounds in Section I such as a compound of Formula III, IV, V, or VI), a pharmaceutically acceptable carrier, vehicle or diluent, and optionally at least one additional therapeutic agent listed above.
IV. Pharmaceutical Compositions and Dosing Considerations
As indicated above, the invention provides pharmaceutical compositions, which comprise a therapeutically-effective amount of one or more of the compounds described above, formulated together with one or more pharmaceutically acceptable carriers (additives) and/or diluents. The pharmaceutical compositions may be specially formulated for administration in solid or liquid form, including those adapted for the following: (1) oral administration, for example, drenches (aqueous or non-aqueous solutions or suspensions), tablets, e.g., those targeted for buccal, sublingual, and systemic absorption, boluses, powders, granules, pastes for application to the tongue; (2) parenteral administration, for example, by subcutaneous, intramuscular, intravenous or epidural injection as, for example, a sterile solution or suspension, or sustained-release formulation; (3) topical application, for example, as a cream, ointment, or a controlled-release patch or spray applied to the skin; (4) intravaginally or intrarectally, for example, as a pessary, cream or foam; (5) sublingually; (6) ocularly; (7) transdermally; or (8) nasally.
The phrase “therapeutically-effective amount” as used herein means that amount of a compound, material, or composition comprising a compound of the present invention which is effective for producing some desired therapeutic effect in at least a sub-population of cells in an animal at a reasonable benefit/risk ratio applicable to any medical treatment.
The phrase “pharmaceutically acceptable” is employed herein to refer to those compounds, materials, compositions, and/or dosage forms which are, within the scope of sound medical judgment, suitable for use in contact with the tissues of human beings and animals without excessive toxicity, irritation, allergic response, or other problem or complication, commensurate with a reasonable benefit/risk ratio.
Wetting agents, emulsifiers and lubricants, such as sodium lauryl sulfate and magnesium stearate, as well as coloring agents, release agents, coating agents, sweetening, flavoring and perfuming agents, preservatives and antioxidants can also be present in the compositions.
Examples of pharmaceutically-acceptable antioxidants include: (1) water soluble antioxidants, such as ascorbic acid, cysteine hydrochloride, sodium bisulfate, sodium metabisulfite, sodium sulfite and the like; (2) oil-soluble antioxidants, such as ascorbyl palmitate, butylated hydroxyanisole (BHA), butylated hydroxytoluene (BHT), lecithin, propyl gallate, alpha-tocopherol, and the like; and (3) metal chelating agents, such as citric acid, ethylenediamine tetraacetic acid (EDTA), sorbitol, tartaric acid, phosphoric acid, and the like.
Formulations of the present invention include those suitable for oral, nasal, topical (including buccal and sublingual), rectal, vaginal and/or parenteral administration. The formulations may conveniently be presented in unit dosage form and may be prepared by any methods well known in the art of pharmacy. The amount of active ingredient which can be combined with a carrier material to produce a single dosage form will vary depending upon the host being treated, the particular mode of administration. The amount of active ingredient which can be combined with a carrier material to produce a single dosage form will generally be that amount of the compound which produces a therapeutic effect. Generally, out of one hundred percent, this amount will range from about 0.1 percent to about ninety-nine percent of active ingredient, preferably from about 5 percent to about 70 percent, most preferably from about 10 percent to about 30 percent.
In certain embodiments, a formulation of the present invention comprises an excipient selected from the group consisting of cyclodextrins, celluloses, liposomes, micelle forming agents, e.g., bile acids, and polymeric carriers, e.g., polyesters and polyanhydrides; and a compound of the present invention. In certain embodiments, an aforementioned formulation renders orally bioavailable a compound of the present invention.
Methods of preparing these formulations or compositions include the step of bringing into association a compound of the present invention with the carrier and, optionally, one or more accessory ingredients. In general, the formulations are prepared by uniformly and intimately bringing into association a compound of the present invention with liquid carriers, or finely divided solid carriers, or both, and then, if necessary, shaping the product.
Formulations of the invention suitable for oral administration may be in the form of capsules, cachets, pills, tablets, lozenges (using a flavored basis, usually sucrose and acacia or tragacanth), powders, granules, or as a solution or a suspension in an aqueous or non-aqueous liquid, or as an oil-in-water or water-in-oil liquid emulsion, or as an elixir or syrup, or as pastilles (using an inert base, such as gelatin and glycerin, or sucrose and acacia) and/or as mouth washes and the like, each containing a predetermined amount of a compound of the present invention as an active ingredient. A compound of the present invention may also be administered as a bolus, electuary or paste.
In solid dosage forms of the invention for oral administration (capsules, tablets, pills, dragees, powders, granules, trouches and the like), the active ingredient is mixed with one or more pharmaceutically-acceptable carriers, such as sodium citrate or dicalcium phosphate, and/or any of the following: (1) fillers or extenders, such as starches, lactose, sucrose, glucose, mannitol, and/or silicic acid; (2) binders, such as, for example, carboxymethylcellulose, alginates, gelatin, polyvinyl pyrrolidone, sucrose and/or acacia; (3) humectants, such as glycerol; (4) disintegrating agents, such as agar-agar, calcium carbonate, potato or tapioca starch, alginic acid, certain silicates, and sodium carbonate; (5) solution retarding agents, such as paraffin; (6) absorption accelerators, such as quaternary ammonium compounds and surfactants, such as poloxamer and sodium lauryl sulfate; (7) wetting agents, such as, for example, cetyl alcohol, glycerol monostearate, and non-ionic surfactants; (8) absorbents, such as kaolin and bentonite clay; (9) lubricants, such as talc, calcium stearate, magnesium stearate, solid polyethylene glycols, sodium lauryl sulfate, zinc stearate, sodium stearate, stearic acid, and mixtures thereof; (10) coloring agents; and (11) controlled release agents such as crospovidone or ethyl cellulose. In the case of capsules, tablets and pills, the pharmaceutical compositions may also comprise buffering agents. Solid compositions of a similar type may also be employed as fillers in soft and hard-shelled gelatin capsules using such excipients as lactose or milk sugars, as well as high molecular weight polyethylene glycols and the like.
A tablet may be made by compression or molding, optionally with one or more accessory ingredients. Compressed tablets may be prepared using binder (for example, gelatin or hydroxypropylmethyl cellulose), lubricant, inert diluent, preservative, disintegrant (for example, sodium starch glycolate or cross-linked sodium carboxymethyl cellulose), surface-active or dispersing agent. Molded tablets may be made by molding in a suitable machine a mixture of the powdered compound moistened with an inert liquid diluent.
The tablets, and other solid dosage forms of the pharmaceutical compositions of the present invention, such as dragees, capsules, pills and granules, may optionally be scored or prepared with coatings and shells, such as enteric coatings and other coatings well known in the pharmaceutical-formulating art. They may also be formulated so as to provide slow or controlled release of the active ingredient therein using, for example, hydroxypropylmethyl cellulose in varying proportions to provide the desired release profile, other polymer matrices, liposomes and/or microspheres. They may be formulated for rapid release, e.g., freeze-dried. They may be sterilized by, for example, filtration through a bacteria-retaining filter, or by incorporating sterilizing agents in the form of sterile solid compositions which can be dissolved in sterile water, or some other sterile injectable medium immediately before use. These compositions may also optionally contain opacifying agents and may be of a composition that they release the active ingredient(s) only, or preferentially, in a certain portion of the gastrointestinal tract, optionally, in a delayed manner. Examples of embedding compositions which can be used include polymeric substances and waxes. The active ingredient can also be in micro-encapsulated form, if appropriate, with one or more of the above-described excipients.
Liquid dosage forms for oral administration of the compounds of the invention include pharmaceutically acceptable emulsions, microemulsions, solutions, suspensions, syrups and elixirs. In addition to the active ingredient, the liquid dosage forms may contain inert diluents commonly used in the art, such as, for example, water or other solvents, solubilizing agents and emulsifiers, such as ethyl alcohol, isopropyl alcohol, ethyl carbonate, ethyl acetate, benzyl alcohol, benzyl benzoate, propylene glycol, 1,3-butylene glycol, oils (in particular, cottonseed, groundnut, corn, germ, olive, castor and sesame oils), glycerol, tetrahydrofuryl alcohol, polyethylene glycols and fatty acid esters of sorbitan, and mixtures thereof.
Besides inert diluents, the oral compositions can also include adjuvants such as wetting agents, emulsifying and suspending agents, sweetening, flavoring, coloring, perfuming and preservative agents.
Suspensions, in addition to the active compounds, may contain suspending agents as, for example, ethoxylated isostearyl alcohols, polyoxyethylene sorbitol and sorbitan esters, microcrystalline cellulose, aluminum metahydroxide, bentonite, agar-agar and tragacanth, and mixtures thereof.
Formulations of the pharmaceutical compositions of the invention for rectal or vaginal administration may be presented as a suppository, which may be prepared by mixing one or more compounds of the invention with one or more suitable nonirritating excipients or carriers comprising, for example, cocoa butter, polyethylene glycol, a suppository wax or a salicylate, and which is solid at room temperature, but liquid at body temperature and, therefore, will melt in the rectum or vaginal cavity and release the active compound.
Formulations of the present invention which are suitable for vaginal administration also include pessaries, tampons, creams, gels, pastes, foams or spray formulations containing such carriers as are known in the art to be appropriate.
Dosage forms for the topical or transdermal administration of a compound of this invention include powders, sprays, ointments, pastes, creams, lotions, gels, solutions, patches and inhalants. The active compound may be mixed under sterile conditions with a pharmaceutically-acceptable carrier, and with any preservatives, buffers, or propellants which may be required.
The ointments, pastes, creams and gels may contain, in addition to an active compound of this invention, excipients, such as animal and vegetable fats, oils, waxes, paraffins, starch, tragacanth, cellulose derivatives, polyethylene glycols, silicones, bentonites, silicic acid, talc and zinc oxide, or mixtures thereof.
Powders and sprays can contain, in addition to a compound of this invention, excipients such as lactose, talc, silicic acid, aluminum hydroxide, calcium silicates and polyamide powder, or mixtures of these substances. Sprays can additionally contain customary propellants, such as chlorofluorohydrocarbons and volatile unsubstituted hydrocarbons, such as butane and propane.
Transdermal patches have the added advantage of providing controlled delivery of a compound of the present invention to the body. Such dosage forms can be made by dissolving or dispersing the compound in the proper medium. Absorption enhancers can also be used to increase the flux of the compound across the skin. The rate of such flux can be controlled by either providing a rate controlling membrane or dispersing the compound in a polymer matrix or gel.
Ophthalmic formulations, eye ointments, powders, solutions and the like, are also contemplated as being within the scope of this invention.
Pharmaceutical compositions of this invention suitable for parenteral administration comprise one or more compounds of the invention in combination with one or more pharmaceutically-acceptable sterile isotonic aqueous or nonaqueous solutions, dispersions, suspensions or emulsions, or sterile powders which may be reconstituted into sterile injectable solutions or dispersions just prior to use, which may contain sugars, alcohols, antioxidants, buffers, bacteriostats, solutes which render the formulation isotonic with the blood of the intended recipient or suspending or thickening agents.
Examples of suitable aqueous and nonaqueous carriers which may be employed in the pharmaceutical compositions of the invention include water, ethanol, polyols (such as glycerol, propylene glycol, polyethylene glycol, and the like), and suitable mixtures thereof, vegetable oils, such as olive oil, and injectable organic esters, such as ethyl oleate. Proper fluidity can be maintained, for example, by the use of coating materials, such as lecithin, by the maintenance of the required particle size in the case of dispersions, and by the use of surfactants.
These compositions may also contain adjuvants such as preservatives, wetting agents, emulsifying agents and dispersing agents. Prevention of the action of microorganisms upon the subject compounds may be ensured by the inclusion of various antibacterial and antifungal agents, for example, paraben, chlorobutanol, phenol sorbic acid, and the like. It may also be desirable to include isotonic agents, such as sugars, sodium chloride, and the like into the compositions. In addition, prolonged absorption of the injectable pharmaceutical form may be brought about by the inclusion of agents which delay absorption such as aluminum monostearate and gelatin.
In some cases, in order to prolong the effect of a drug, it is desirable to slow the absorption of the drug from subcutaneous or intramuscular injection. This may be accomplished by the use of a liquid suspension of crystalline or amorphous material having poor water solubility. The rate of absorption of the drug then depends upon its rate of dissolution which, in turn, may depend upon crystal size and crystalline form. Alternatively, delayed absorption of a parenterally-administered drug form is accomplished by dissolving or suspending the drug in an oil vehicle.
Injectable depot forms are made by forming microencapsule matrices of the subject compounds in biodegradable polymers such as polylactide-polyglycolide. Depending on the ratio of drug to polymer, and the nature of the particular polymer employed, the rate of drug release can be controlled. Examples of other biodegradable polymers include poly(orthoesters) and poly(anhydrides). Depot injectable formulations are also prepared by entrapping the drug in liposomes or microemulsions which are compatible with body tissue.
When the compounds of the present invention are administered as pharmaceuticals, to humans and animals, they can be given per se or as a pharmaceutical composition containing, for example, 0.1 to 99% (more preferably, 10 to 30%) of active ingredient in combination with a pharmaceutically acceptable carrier.
The preparations of the present invention may be given orally, parenterally, topically, or rectally. They are of course given in forms suitable for each administration route. For example, they are administered in tablets or capsule form, by injection, inhalation, eye lotion, ointment, suppository, etc. administration by injection, infusion or inhalation; topical by lotion or ointment; and rectal by suppositories. Oral administrations are preferred.
The phrases “parenteral administration” and “administered parenterally” as used herein means modes of administration other than enteral and topical administration, usually by injection, and includes, without limitation, intravenous, intramuscular, intraarterial, intrathecal, intracapsular, intraorbital, intracardiac, intradermal, intraperitoneal, transtracheal, subcutaneous, subcuticular, intraarticular, subcapsular, subarachnoid, intraspinal and intrasternal injection and infusion.
The phrases “systemic administration,” “administered systemically,” “peripheral administration” and “administered peripherally” as used herein mean the administration of a compound, drug or other material other than directly into the central nervous system, such that it enters the patient's system and, thus, is subject to metabolism and other like processes, for example, subcutaneous administration.
These compounds may be administered to humans and other animals for therapy by any suitable route of administration, including orally, nasally, as by, for example, a spray, rectally, intravaginally, parenterally, intracisternally and topically, as by powders, ointments or drops, including buccally and sublingually.
Regardless of the route of administration selected, the compounds of the present invention, which may be used in a suitable hydrated form, and/or the pharmaceutical compositions of the present invention, are formulated into pharmaceutically-acceptable dosage forms by conventional methods known to those of skill in the art.
Actual dosage levels of the active ingredients in the pharmaceutical compositions of this invention may be varied so as to obtain an amount of the active ingredient which is effective to achieve the desired therapeutic response for a particular patient, composition, and mode of administration, without being toxic to the patient.
The selected dosage level will depend upon a variety of factors including the activity of the particular compound of the present invention employed, or the ester, salt or amide thereof, the route of administration, the time of administration, the rate of excretion or metabolism of the particular compound being employed, the rate and extent of absorption, the duration of the treatment, other drugs, compounds and/or materials used in combination with the particular compound employed, the age, sex, weight, condition, general health and prior medical history of the patient being treated, and like factors well known in the medical arts.
A physician or veterinarian having ordinary skill in the art can readily determine and prescribe the effective amount of the pharmaceutical composition required. For example, the physician or veterinarian could start doses of the compounds of the invention employed in the pharmaceutical composition at levels lower than that required in order to achieve the desired therapeutic effect and gradually increase the dosage until the desired effect is achieved.
In general, a suitable daily dose of a compound of the invention will be that amount of the compound which is the lowest dose effective to produce a therapeutic effect. Such an effective dose will generally depend upon the factors described above. Preferably, the compounds are administered at about 0.01 mg/kg to about 200 mg/kg, more preferably at about 0.1 mg/kg to about 100 mg/kg, even more preferably at about 0.5 mg/kg to about 50 mg/kg. When the compounds described herein are co-administered with another agent (e.g., as sensitizing agents), the effective amount may be less than when the agent is used alone.
If desired, the effective daily dose of the active compound may be administered as two, three, four, five, six or more sub-doses administered separately at appropriate intervals throughout the day, optionally, in unit dosage forms. Preferred dosing is one administration per day.
The invention further provides a unit dosage form (such as a tablet or capsule) comprising a tetrahydroquinolinyl or related compound described herein in a therapeutically effective amount for the treatment of a medical disorder described herein.
EXAMPLES
The invention now being generally described, will be more readily understood by reference to the following examples, which are included merely for purposes of illustration of certain aspects and embodiments of the present invention, and are not intended to limit the invention. Starting materials described herein can be obtained from commercial sources or may be readily prepared from commercially available materials using transformations known to those of skill in the art.
Example 1—Synthesis of (S)-6-((2-Chloro-6-fluorophenoxy)methyl)-2-methyl-4-((3-(trifluoromethyl)phenyl)sulfonyl)-3,4-dihydro-2H-benzo[b][1,4]oxazine
Figure US09896441-20180220-C00639
Part I—Synthesis of Methyl (S)-4-((1-methoxy-1-oxopropan-2-yl)oxy)-3-nitrobenzoate
Figure US09896441-20180220-C00640
Methyl-4-hydroxy-3-nitrobenzoate (3 g, 13.76 mmol), methyl-(R)-lactate (1.433 g, 13.8 mmol), and triphenylphosphine (4.33 g, 16.5 mmol) were suspended in dichloromethane (36 mL), and diisopropyl azodicarboxylate (3.25 mL, 16.51 mmol) was added dropwise. The reaction mixture was stirred at room temperature for one hour, and then the crude was washed with water, dried (Na2SO4), and concentrated to provide a residue. The residue was purified via MPLC eluting with a gradient of ethyl acetate in hexanes, followed by a second MPLC purification eluting with dichloromethane to afford methyl (S)-4-((1-methoxy-1-oxopropan-2-yl)oxy)-3-nitrobenzoate (2.56 g, 66%) as a light yellow oil. 1H-NMR (400 MHz, DMSO-d6) δ 8.37 (s, 1H), 8.12 (d, 1H), 7.36 (d, 1H), 5.40 (q, 1H), 3.83 (s, 3H), 3.65 (s, 3H), 1.54 (d, 3H).
Part II—Synthesis of Methyl (S)-2-methyl-3-oxo-3,4-dihydro-2H-benzo[b][1,4]oxazine-6-carboxylate
Figure US09896441-20180220-C00641
Methyl (S)-4-((1-methoxy-1-oxopropan-2-yl)oxy)-3-nitrobenzoate (2.38 g, 8.42 mmol) was dissolved in acetic acid (30 mL) and powdered iron (2.35 g, 42.1 mmol) was added. The mixture was heated to 70° C. for two hours. Then, the resulting suspension was filtered through a pad of Celite, and the material was washed through with ethyl acetate. The filtrate was then partitioned between ethyl acetate and water, and the organic phase was washed a second time with water, washed with brine, and concentrated to provide a residue. The residue was purified by MPLC, eluting with a gradient of hexanes and ethyl acetate (85:15 to 3:7) to afford methyl (S)-2-methyl-3-oxo-3,4-dihydro-2H-benzo[b][1,4]oxazine-6-carboxylate (1.16 g, 62%) as a white solid. 1H-NMR (400 MHz, DMSO-d6) δ 10.81 (s, 1H), 7.52 (m, 2H), 7.02 (d, 1H), 4.77 (q, 1H), 3.79 (s, 3H), 1.42 (d, 3H).
Part III—Synthesis of (S)-(2-Methyl-3,4-dihydro-2H-benzo[b][1,4]oxazin-6-yl)methanol
Figure US09896441-20180220-C00642
To a solution of methyl (S)-2-methyl-3-oxo-3,4-dihydro-2H-benzo[b][1,4]oxazine-6-carboxylate (1.16 g, 5.24 mmol) in anhydrous THF (26 mL) at ambient temperature was carefully added 1M solution of lithium aluminum hydride in diethyl ether (20.98 mL, 20.98 mmol). The mixture was heated in an oil bath at 50° C. overnight. The resulting crude mixture was carefully treated with 0.75 mL water, then 0.75 mL of 15% NaOH solution, and then 2.25 mL of water. The resulting mixture was stirred vigorously for several minutes, and then filtered. The filtrate was concentrated to afford the title compound (0.96 g, 102%) which was used without purification. 1H-NMR (400 MHz, DMSO-d6) δ 6.50 (m, 2H), 6.36 (d, 1H), 5.66 (s, 1H), 4.86 (t, 1H), 4.26 (d, 2H), 4.01 (m, 1H), 3.24 (m, 1H), 2.87 (m, 1H), 1.22 (d, 3H).
Part IV—Synthesis of (S)-(2-Methyl-4-((3-(trifluoromethyl)phenyl)sulfonyl)-3,4-dihydro-2H-benzo[b][1,4]oxazin-6-yl)methanol
Figure US09896441-20180220-C00643
(S)-(2-Methyl-3,4-dihydro-2H-benzo[b][1,4]oxazin-6-yl)methanol (0.9 g, 5.02 mmol), 3-(trifluoromethyl)benzenesulfonyl chloride (3.07 g, 12.5 mmol), and potassium carbonate (2.08 g, 15.1 mmol) were suspended in acetone, and the mixture was shaken at room temperature for 18 hours. Next, the crude was filtered, and the filtrate was concentrated onto silica gel and purified by chromatography delivering the title compound. 1H-NMR (400 MHz, DMSO-d6) δ 8.08 (d, 1H), 7.97 (m, 2H), 7.81 (t, 1H), 7.65 (s, 1H), 6.99 (d, 1H), 6.74 (d, 1H), 5.18 (bs, 1H), 4.40 (s, 2H), 4.35 (d, 1H), 3.45 (m, 1H), 3.22 (m, 1H), 1.18 (d, 3H).
Part V—Synthesis of (S)-6-((2-Chloro-6-fluorophenoxy)methyl)-2-methyl-4-((3-(trifluoromethyl)phenyl)sulfonyl)-3,4-dihydro-2H-benzo[b][1,4]oxazine
Figure US09896441-20180220-C00644
(S)-(2-Methyl-4-((3-(trifluoromethyl)phenyl)sulfonyl)-3,4-dihydro-2H-benzo[b][1,4]oxazin-6-yl)methanol (1.28 g, 3.304 mmol), 2-chloro-6-fluorophenol (0.484 g, 3.304 mmol), and triphenylphosphine (1.04 g, 3.965 mmol) were suspended in dichloromethane (7 mL), and diisopropylazodicarboxylate (0.78 mL, 3.965 mmol) was added dropwise. The reaction mixture was stirred at room temperature for one hour, then washed with water, dried (Na2SO4) and concentrated to provide a residue. The residue was purified via MPLC, eluting with a gradient of 0-5% methanol in dichloromethane to afford the title compound (1.3 g, 73%). 1H-NMR (400 MHz, DMSO-d6) δ 8.08 (d, 1H), 7.94 (m, 2H), 7.80 (m, 2H), 7.27 (m, 2H), 7.13 (m, 2H), 6.80 (d, 1H), 5.03 (s, 2H), 4.36 (d, 1H), 3.49 (m, 1H), 3.25 (m, 1H), 1.19 (d, 3H).
Example 2—Preparation of (S)-6-((2-Chloro-6-fluorophenoxy)methyl)-4-((4-fluorophenyl)sulfonyl)-2-methyl-3,4-dihydro-2H-benzo[b][1,4]oxazine
Figure US09896441-20180220-C00645
The title compound was prepared based on experimental procedures described in Examples 4 and 5 and the detailed description. (ES, m/z): (M+NH4)+ 466.
Example 3—Synthesis of (S)-2-(6-((2-Chloro-6-fluorophenoxy)methyl)-4-((3-(trifluoromethyl)phenyl)sulfonyl)-3,4-dihydro-2H-benzo[b][1,4]oxazin-2-yl)ethan-1-ol
Figure US09896441-20180220-C00646
Part I—Synthesis of Methyl (R)-3-Nitro-4-((2-oxotetrahydrofuran-3-yl)oxy)benzoate
Figure US09896441-20180220-C00647
Methyl 4-hydroxy-3-nitrobenzoate (2.0 g, 10.2 mmol), (3R)-3-hydroxytetrahydrofuran-2-one (1.036 g, 10.2 mmol), and triphenylphosphine (3.19 g, 12.2 mmol) were suspended in dichloromethane (25 mL), the reaction vessel was cooled in an ice bath, and diisopropyl azodicarboxylate (2.40 mL, 12.2 mmol) was added dropwise to the reaction mixture. The reaction mixture was stirred at room temperature for one hour, then washed with water, dried (Na2SO4), and concentrated. The concentrate was purified via MPLC (Two columns: the first column eluting first with dichloromethane, the second column to purify further eluting with a gradient of 15-70% ethyl acetate in hexanes) to afford methyl (R)-3-nitro-4-((2-oxotetrahydrofuran-3-yl)oxy)benzoate (2.15 g, 75%). 1H-NMR (400 MHz, DMSO-d6) δ 8.38 (s, 1H), 8.20 (d, 1H), 7.62 (d, 1H), 5.71 (t, 1H), 4.44 (t, 1H), 4.28 (m, 1H), 3.84 (s, 3H), 2.80 (m, 1H), 2.35 (m, 1H).
Part II—Synthesis of Methyl (S)-2-(2-hydroxyethyl)-3-oxo-3,4-dihydro-2H-benzo[b][1,4]oxazine-6-carboxylate
Figure US09896441-20180220-C00648
Methyl (R)-3-nitro-4-((2-oxotetrahydrofuran-3-yl)oxy)benzoate (2.15 g, 7.65 mmol) was dissolved in acetic acid (25 mL) and powdered iron (2.14 g, 38.2 mmol) was added. The reaction mixture was heated to 70° C. for two hours. Then, the suspension was filtered through a pad of Celite. The filtrate was partitioned between ethyl acetate and water. The organic phase was washed with saturated sodium bicarbonate, washed with brine, and then concentrated to provide a residue. The residue was purified via MPLC eluting with a gradient of 15-70% ethyl acetate in hexanes to afford methyl (S)-2-(2-hydroxyethyl)-3-oxo-3,4-dihydro-2H-benzo[b][1,4]oxazine-6-carboxylate. 1H-NMR (400 MHz, DMSO-d6) δ 10.81 (bs, 1H), 7.52 (d, 1H), 7.47 (s, 1H), 7.02 (d, 1H), 4.75 (m, 1H), 4.63 (t, 1H), 3.78 (s, 3H), 3.55 (m, 2H), 1.95 (m, 1H), 1.80 (m, 1H).
Part III—Synthesis of Methyl (S)-2-(2-((tert-butyldimethylsilyl)oxy)ethyl)-3-oxo-3,4-dihydro-2H-benzo[b][1,4]oxazine-6-carboxylate
Figure US09896441-20180220-C00649
Methyl (S)-2-(2-hydroxyethyl)-3-oxo-3,4-dihydro-2H-benzo[b][1,4]oxazine-6-carboxylate (1.24 g, 4.94 mmol), tert-butyldimethylsilyl chloride (0.967 g, 6.42 mmol), and imidazole (0.672 g, 9.87 mmol) were suspended in DMF (16 mL), and stirred at room temperature overnight. The resulting mixture was partitioned between water and ethyl acetate, and the organic layer was washed twice with water, washed with brine, dried (Na2SO4), and concentrated to provide a residue. The residue was purified via MPLC, eluting with a gradient of 5-30% ethyl acetate in hexanes to afford methyl (S)-2-(2-((tert-butyldimethylsilyl)oxy)ethyl)-3-oxo-3,4-dihydro-2H-benzo[b][1,4]oxazine-6-carboxylate (1.20 g, 67%). 1H-NMR (400 MHz, DMSO-d6) δ 10.82 (bs, 1H), 7.52 (d, 1H), 7.46 (s, 1H), 7.01 (d, 1H), 4.70 (m, 1H), 3.79 (s, 3H), 3.73 (m, 2H), 2.00 (m, 1H), 1.87 (m, 1H), 0.81 (s, 9H), 0.00 (s, 6H).
Part IV—Synthesis of (S)-2-(6-(Hydroxymethyl)-3,4-dihydro-2H-benzo[b][1,4]oxazin-2-yl)ethan-1-ol
Figure US09896441-20180220-C00650
Methyl (S)-2-(2-((tert-butyldimethylsilyl)oxy)ethyl)-3-oxo-3,4-dihydro-2H-benzo[b][1,4]oxazine-6-carboxylate (1.2 g, 3.283 mmol) was dissolved in anhydrous THF (16 mL) and a 1M solution of lithium aluminum hydride in ether (13.1 mL, 13.1 mmol) was added. The mixture was heated in an oil bath at 50° C. overnight. Then, the crude mixture was carefully treated with water (0.5 mL), 15% NaOH (0.5 mL), and then treated again with water (1.5 mL). The resulting mixture was stirred vigorously for several minutes and then filtered. The filtrate was concentrated onto silica gel and purified by MPLC delivering (S)-2-(6-(hydroxymethyl)-3,4-dihydro-2H-benzo[b][1,4]oxazin-2-yl)ethan-1-ol as a clear oil (0.62 g, 90%). 1H-NMR (400 MHz, DMSO-d6) δ 6.51 (m, 2H), 6.36 (d, 1H), 5.65 (bs, 1H), 4.85 (t, 1H), 4.51 (t, 1H), 4.23 (d, 2H), 4.02 (m, 1H), 3.53 (m, 2H), 3.27 (m, 1H), 2.92 (m, 1H), 1.67 (m, 2H).
Part V—Synthesis of (S)-2-(6-(Hydroxymethyl)-4-((3-(trifluoromethyl)phenyl)sulfonyl)-3,4-dihydro-2H-benzo[b][1,4]oxazin-2-yl)ethan-1-ol
Figure US09896441-20180220-C00651
(S)-2-(6-(Hydroxymethyl)-3,4-dihydro-2H-benzo[b][1,4]oxazin-2-yl)ethan-1-ol (0.62 g, 2.96 mmol) and 3-(trifluoromethyl)benzenesulfonyl chloride (1.812 g, 7.408 mmol) were suspended in acetone (30 mL), and potassium carbonate (1.23 g, 8.89 mmol) was added. The mixture was stirred at room temperature overnight. Then, the crude mixture was then filtered, and the filtrate was concentrated onto silica gel and purified by MPLC affording (S)-2-(6-(hydroxymethyl)-4-((3-(trifluoromethyl)phenyl)sulfonyl)-3,4-dihydro-2H-benzo[b][1,4]oxazin-2-yl)ethan-1-ol (0.8 g, 65%). 1H-NMR (400 MHz, DMSO-d6) δ 8.06 (d, 1H), 7.92 (m, 2H), 7.80 (t, 1H), 7.64 (s, 1H), 6.98 (d, 1H), 6.73 (d, 1H), 5.15 (t, 1H), 4.55 (t, 1H), 4.39 (m, 3H), 3.43 (m, 3H), 3.26 (m, 1H), 1.61 (m, 2H).
Part VI—Synthesis of (S)-2-(6-((2-Chloro-6-fluorophenoxy)methyl)-4-((3-(trifluoromethyl)phenyl)sulfonyl)-3,4-dihydro-2H-benzo[b][1,4]oxazin-2-yl)ethan-1-ol
Figure US09896441-20180220-C00652
(S)-2-(6-(Hydroxymethyl)-4-((3-(trifluoromethyl)phenyl)sulfonyl)-3,4-dihydro-2H-benzo[b][1,4]oxazin-2-yl)ethan-1-ol (0.1 g, 0.24 mmol), 2-chloro-6-fluorophenol (0.035 g, 0.24 mmol), and triphenylphosphine (0.075 g, 0.287 mmol) were suspended in dichloromethane (3 mL), and diisopropylazodicarboxylate (0.057 mL, 0.287 mmol) was added dropwise. The reaction mixture was stirred at room temperature for one hour, washed with water, dried (Na2SO4) and concentrated to provide a residue. The residue was purified by MPLC twice (2 columns: first, eluting with a gradient of 10-40% ethyl acetate in hexanes; second eluting with dichloromethane) to afford (S)-2-(6-((2-chloro-6-fluorophenoxy)methyl)-4-((3-(trifluoromethyl)phenyl)sulfonyl)-3,4-dihydro-2H-benzo[b][1,4]oxazin-2-yl)ethan-1-ol (0.125 g, 89%). 1H-NMR (400 MHz, DMSO-d6) δ 8.07 (d, 1H), 7.93 (s, 1H), 7.84 (d, 1H), 7.78 (m, 2H), 7.27 (m, 2H), 7.13 (m, 2H), 6.81 (d, 1H), 5.05 (s, 2H), 4.56 (t, 1H), 4.40 (d, 1H), 3.43 (m, 3H), 3.25 (m, 1H), 1.64 (m, 2H).
Example 4—Synthesis of (S)-2-(6-((2-Chloro-6-fluorophenoxy)methyl)-4-((3-(trifluoromethyl)phenyl)sulfonyl)-3,4-dihydro-2H-benzo[b][1,4]oxazin-2-yl)acetic acid
Figure US09896441-20180220-C00653
(S)-2-(6-((2-Chloro-6-fluorophenoxy)methyl)-4-((3-(trifluoromethyl)phenyl) sulfonyl)-3,4-dihydro-2H-benzo[b][1,4]oxazin-2-yl)ethan-1-ol (30 mg, 0.055 mmol) was dissolved in acetone (2 mL) and Jones' reagent was added dropwise until the orange color remained. Then, isopropyl alcohol was added dropwise until the orange color was gone. Next, the solution was decanted, and concentrated, then re-dissolved in methanol and purified by preparative HPLC eluting with a gradient of water (containing 0.05% trifluoroacetic acid) and acetonitrile to afford (S)-2-(6-((2-chloro-6-fluorophenoxy)methyl)-4-((3-(trifluoromethyl) phenyl)sulfonyl)-3,4-dihydro-2H-benzo[b][1,4]oxazin-2-yl)acetic acid (10 mg, 33%) as a white solid. 1H-NMR (400 MHz, DMSO-d6) δ 8.10 (m, 1H), 7.96 (s, 1H), 7.81 (m, 3H), 7.27 (m, 2H), 7.13 (m, 2H), 6.80 (d, 1H), 6.49 (bs, 1H), 5.04 (s, 2H), 4.45 (d, 1H), 3.63 (m, 1H), 3.33 (m, 1H), 2.78 (dd, 1H), 2.58 (dd, 1H).
Example 5—Synthesis of (S)-3-(6-(2-Chloro-6-fluorophenethyl)-4-((3-(trifluoromethyl)phenyl)sulfonyl)-3,4-dihydro-2H-benzo[b][1,4]oxazin-2-yl)propanenitrile
Figure US09896441-20180220-C00654
Part I—Synthesis of (R)-3-(4-Bromo-2-nitrophenoxy)dihydrofuran-2(3H)-one
Figure US09896441-20180220-C00655
4-Bromo-2-nitrophenol (3 g, 13.76 mmol), (3R)-3-hydroxytetrahydrofuran-2-one (1.405 g, 13.76 mmol), and triphenylphosphine (4.33 g, 16.51 mmol) were suspended in dichloromethane (36 mL), and diisopropylazodicarboxylate (3.25 mL, 16.5 mmol) was added dropwise. The reaction mixture was stirred at room temperature for one hour, washed with water, dried (Na2SO4), and concentrated onto silica gel. The residue on the silica gel was purified by MPLC (2 columns: first, dichloromethane; second, a gradient of EtOAc/hexanes) affording (R)-3-(4-bromo-2-nitrophenoxy)dihydrofuran-2(3H)-one as a white solid (1.93 g, 46%). 1H-NMR (400 MHz, DMSO-d6) δ 8.12 (s, 1H), 7.86 (d, 1H), 7.47 (d, 1H), 5.55 (t, 1H), 4.42 (m, 1H), 4.26 (m, 1H), 2.75 (m, 1H), 2.30 (m, 1H).
Part II—Synthesis of (S)-6-Bromo-2-(2-hydroxyethyl)-2H-benzo[b][1,4]oxazin-3(4H)-one
Figure US09896441-20180220-C00656
(R)-3-(4-Bromo-2-nitrophenoxy)dihydrofuran-2(3H)-one (1.93 g, 6.39 mmol) was dissolved in acetic acid and powdered iron (1.784 g, 31.95 mmol) was added. The resulting mixture was heated to 70° C. for two hours. The resulting suspension was filtered through a pad of Celite, and the pad was washed with ethyl acetate. The combined filtrates were partitioned between ethyl acetate and water, and the organic phase was washed a second time with water, washed with brine, and concentrated to provide a residue. The residue was purified via MPLC eluting with a gradient of 15-70% ethyl acetate in hexanes to afford (S)-6-bromo-2-(2-hydroxyethyl)-2H-benzo[b][1,4]oxazin-3(4H)-one as a white solid (1.32 g, 76%). 1H-NMR (400 MHz, DMSO-d6) δ 10.73 (bs, 1H), 7.04 (d, 1H), 6.98 (s, 1H), 6.90 (d, 1H), 4.62 (m, 2H), 3.53 (m, 2H), 1.91 (m, 1H), 1.88 (m, 1H).
Part III—Synthesis of (S)-2-(6-Bromo-3,4-dihydro-2H-benzo[b][1,4]oxazin-2-yl)ethan-1-ol
Figure US09896441-20180220-C00657
(S)-6-Bromo-2-(2-hydroxyethyl)-2H-benzo[b][1,4]oxazin-3(4H)-one (1.32 g, 4.85 mmol) was dissolved in anhydrous THF (49 mL) under nitrogen at ambient temperature and borane-dimethylsulfide complex (1.47 g, 19.41 mmol) was added dropwise. The reaction mixture was heated to reflux for 90 minutes. Then, the reaction mixture was cooled in an ice bath and subsequently methanol was added to the reaction mixture to quench the reaction. The resulting solution was heated to reflux for 20 minutes, and then concentrated to provide a residue. The residue was partitioned between ethyl acetate and water, washed with brine, dried (Na2SO4), and concentrated to provide crude product. The crude product was purified by MPLC eluting with a gradient of 15-70% ethyl acetate in hexanes to afford (S)-2-(6-bromo-3,4-dihydro-2H-benzo[b][1,4]oxazin-2-yl)ethan-1-ol (1.05 g, 84%).
Part IV—Synthesis of (S)-6-Bromo-2-(2-((tert-butyldimethylsilyl)oxy)ethyl)-3,4-dihydro-2H-benzo[b][1,4]oxazine
Figure US09896441-20180220-C00658
(S)-2-(6-Bromo-3,4-dihydro-2H-benzo[b][1,4]oxazin-2-yl)ethan-1-ol (0.28 g, 1.085 mmol), tert-butyldimethylchlorosilane (0.196 g, 1.302 mmol), and imidazole (0.148 g, 2.17 mmol) were dissolved in DMF (4 mL), and the reaction mixture was stirred at room temperature overnight. Next, the reaction mixture was partitioned between water and ethyl acetate, and the organic layer was washed twice more with water, washed with brine, dried (Na2SO4), and concentrated onto silica gel. The residue on the silica gel was purified by MPLC eluting with a gradient of 5-30% ethyl acetate in hexanes to afford (S)-6-bromo-2-(2-((tert-butyldimethylsilyl)oxy)ethyl)-3,4-dihydro-2H-benzo[b][1,4]oxazine (0.19 g, 47%). 1H-NMR (400 MHz, DMSO-d6) δ 6.66 (s, 1H), 6.52 (s, 2H), 6.06 (bs, 1H), 4.02 (q, 1H), 3.72 (m, 2H), 3.33 (m, 1H), 2.94 (m, 1H), 1.70 (q, 2H), 0.82 (s, 9H), 0.01 (s, 6H).
Part V—Synthesis of (S)-2-(6-Bromo-4-((3-(trifluoromethyl)phenyl)sulfonyl)-3,4-dihydro-2H-benzo[b][1,4]oxazin-2-yl)ethan-1-ol
Figure US09896441-20180220-C00659
(S)-6-Bromo-2-(2-((tert-butyldimethylsilyl)oxy)ethyl)-3,4-dihydro-2H-benzo[b][1,4]oxazine (1.04 g, 2.79 mmol), 3-(trifluoromethyl)benzenesulfonyl chloride (1.025 g, 4.19 mmol), and potassium carbonate (0.772 g, 5.586 mmol) were suspended in acetone (28 mL), and the mixture was shaken at room temperature for 18 hours. The crude material was filtered, and the filtrate was concentrated onto silica gel and purified by chromatography delivering (S)-2-(6-bromo-4-((3-(trifluoromethyl)phenyl)sulfonyl)-3,4-dihydro-2H-benzo[b][1,4]oxazin-2-yl)ethan-1-ol (1.61 g, 99%). It is noted that the silyl protecting group did not hydrolyze immediately, but after several days at room temperature degradation to the alcohol was observed. 1H-NMR (400 MHz, DMSO-d6) δ 8.11 (d, 1H), 7.95 (m, 2H), 7.84 (t, 1H), 7.78 (s, 1H), 7.25 (d, 1H), 6.80 (d, 1H), 4.56 (s, 1H), 3.39 (d, 1H), 3.41 (m, 3H), 3.28 (m, 1H), 1.63 (m, 2H).
Part VI—Synthesis of (S)-2-(6-Bromo-4-((3-(trifluoromethyl)phenyl)sulfonyl)-3,4-dihydro-2H-benzo[b][1,4]oxazin-2-yl)ethyl 4-methylbenzenesulfonate
Figure US09896441-20180220-C00660
(S)-2-(6-Bromo-4-((3-(trifluoromethyl)phenyl)sulfonyl)-3,4-dihydro-2H-benzo[b][1,4]oxazin-2-yl)ethan-1-ol (0.13 g, 0.28 mmol) was dissolved in dichloromethane (6 mL) and triethylamine (0.058 mL, 0.42 mmol) was added followed by tosyl chloride (0.056 g, 0.293 mmol). The reaction mixture was stirred at room temperature overnight. Then, an additional 56 mg of tosyl chloride and triethylamine (60 μL) were added, and the reaction mixture was stirred for one additional day. Then, the crude solution was washed with dilute HCl, washed with brine, dried (Na2SO4), and concentrated onto silica gel for purification by chromatography to afford (S)-2-(6-bromo-4-((3-(trifluoromethyl)phenyl)sulfonyl)-3,4-dihydro-2H-benzo[b][1,4]oxazin-2-yl)ethyl 4-methylbenzenesulfonate as a white solid (0.14 g, 81%). 1H-NMR (400 MHz, DMSO-d6) δ 8.12 (d, 1H), 7.98 (m, 2H), 7.87 (t, 1H), 7.76 (s, 1H), 7.59 (d, 2H), 7.33 (d, 2H), 7.24 (dd, 1H), 6.54 (d, 1H), 4.33 (dd, 1H), 4.08 (m, 1H), 4.00 (m, 1H), 3.24 (m, 2H), 2.32 (s, 3H), 1.97 (m, 1H), 1.70 (m, 1H).
Part VII—Synthesis of (S)-3-(6-Bromo-4-((3-(trifluoromethyl)phenyl)sulfonyl)-3,4-dihydro-2H-benzo[b][1,4]oxazin-2-yl)propanenitrile
Figure US09896441-20180220-C00661
(S)-2-(6-Bromo-4-((3-(trifluoromethyl)phenyl)sulfonyl)-3,4-dihydro-2H-benzo[b][1,4]oxazin-2-yl)ethyl 4-methylbenzenesulfonate (0.14 g, 0.226 mmol) was dissolved in DMSO (1 mL) and potassium cyanide (0.016 g, 0.248 mmol) was added. After one hour, additional potassium cyanide (17 mg) was added, and stirring was continued overnight. Then, the crude material was then partitioned between water and ethyl acetate. The organic phase was washed a second time, then washed with brine, dried (Na2SO4), and concentrated to afford (S)-3-(6-bromo-4-((3-(trifluoromethyl)phenyl)sulfonyl)-3,4-dihydro-2H-benzo[b][1,4]oxazin-2-yl)propanenitrile (0.09 g, 84%). 1H-NMR (400 MHz, DMSO-d6) δ 8.09 (d, 1H), 8.00 (m, 2H), 7.84 (t, 1H), 7.78 (s, 1H), 7.27 (d, 1H), 6.82 (d, 1H), 4.40 (d, 1H), 3.37 (m, 2H), 2.56 (m, 2H), 1.92 (m, 1H), 1.72 (m, 1H).
Part VIII—Synthesis of (S)-3-(6-(2-Chloro-6-fluorophenethyl)-4-((3-(trifluoromethyl)phenyl)sulfonyl)-3,4-dihydro-2H-benzo[b][1,4]oxazin-2-yl)propanenitrile
Figure US09896441-20180220-C00662
1-Chloro-3-fluoro-2-vinylbenzene (40 mg, 0.257 mmol) was dissolved in THF (2 mL) and the solution was cooled in an ice bath. A 0.5 M solution of 9-borabicyclo[3.3.1]nonane in toluene (0.52 mL, 0.26 mmol) was then added, and the reaction mixture was stirred at room temperature for five hours. (S)-3-(6-Bromo-4-((3-(trifluoromethyl)phenyl)sulfonyl)-3,4-dihydro-2H-benzo[b][1,4]oxazin-2-yl)propanenitrile (61 mg, 0.129 mmol) was mixed with triethylamine (0.027 mL, 0.193 mmol), and [1,1′-bis(diphenylphosphino)ferrocene] dichloropalladium (II) complex with dichloromethane (10 mg, 0.013 mmol) in degassed DMF (1.9 mL) and water (0.19 mL). The olefin solution was then added, and the reaction mixture was heated to 50° C. overnight. Next, the reaction mixture was cooled to room temperature, and partitioned between water and ethyl acetate. The organic phase was washed with brine, dried (Na2SO4), and concentrated to provide a residue. The residue was purified by MPLC eluting with a gradient of 10-40% ethyl acetate in hexanes to afford (S)-3-(6-(2-chloro-6-fluorophenethyl)-4-((3-(trifluoromethyl)phenyl)sulfonyl)-3,4-dihydro-2H-benzo[b][1,4]oxazin-2-yl)propanenitrile (20 mg, 28%). 1H-NMR (400 MHz, DMSO-d6) δ 8.07 (d, 1H), 7.94 (m, 2H), 7.82 (t, 1H), 7.47 (s, 1H), 7.28 (m, 2H), 7.15 (m, 1H), 6.86 (dd, 1H), 6.73 (d, 1H), 4.39 (d, 1H), 3.33 (m, 2H), 2.92 (t, 2H), 2.73 (t, 2H), 2.56 (m, 2H), 1.92 (m, 1H), 1.73 (m, 1H).
Example 6—Synthesis of (S,E)-3-(6-(2-(2-Chloro-6-fluorophenyl)prop-1-en-1-yl)-4-((3-(trifluoromethyl)phenyl) sulfonyl)-3,4-dihydro-2H-benzo[b][1,4]oxazin-2-yl)propanenitrile
Figure US09896441-20180220-C00663
Part I—Synthesis of 1-Chloro-2-ethynyl-3-fluorobenzene
Figure US09896441-20180220-C00664
2-Chloro-6-fluorobenzaldehyde (2 g, 12.61 mmol) was dissolved in methanol (84 mL), and dimethyl (diazomethyl)phosphonate (2.39 mL, 15.77 mmol) was added followed by potassium carbonate (4.36 g, 31.53 mmol). The reaction mixture was stirred at room temperature overnight. Then, the crude mixture was diluted with methyl tert-butyl ether, washed with water, washed with brine, dried (Na2SO4), and concentrated to afford 1-chloro-2-ethynyl-3-fluorobenzene (1.83 g, 94%). 1H-NMR (400 MHz, DMSO-d6) δ 7.45 (m, 2H), 7.32 (t, 1H), 4.86 (s, 1H).
Part II—Synthesis of (E)-2-(2-(2-Chloro-6-fluorophenyl)prop-1-en-1-yl)-4,4,5,5-tetramethyl-1,3,2-dioxaborolane
Figure US09896441-20180220-C00665
Bis(pinacolato)diborane (5.82 g, 22.92 mmol), copper (I) chloride (0.21 g, 2.08 mmol), and 4,5-bis(diphenylphosphino)-9,9-dimethylxanthene (1.21 g, 2.08 mmol) were suspended in THF (208 mL) and the mixture was degassed with nitrogen, and stirred for five minutes. A solution of sodium tert-butoxide (2.202 g, 22.92 mmol) in minimal THF was then added, and the mixture stirred for an additional five minutes. 1-Chloro-2-ethynyl-3-fluorobenzene (3.22 g, 20.83 mmol) and methyl iodide (11.83 g, 83.33 mmol) were then added to the reaction mixture, and the resulting mixture was stirred at room temperature overnight. Next, the crude product mixture was concentrated onto silica gel and purified by MPLC eluting with a gradient of 0-5% ethyl acetate in hexanes to afford (E)-2-(2-(2-chloro-6-fluorophenyl)prop-1-en-1-yl)-4,4,5,5-tetramethyl-1,3,2-dioxaborolane (2.41 g, 39%). 1H-NMR (400 MHz, DMSO-d6) δ 7.31 (m, 2H), 7.20 (t, 1H), 5.18 (s, 1H), 2.15 (s, 3H), 1.23 (s, 12H).
Part III—Synthesis of (S,E)-3-(6-(2-(2-Chloro-6-fluorophenyl)prop-1-en-1-yl)-4-((3-(trifluoromethyl)phenyl)sulfonyl)-3,4-dihydro-2H-benzo[b][1,4]oxazin-2-yl)propanenitrile
Figure US09896441-20180220-C00666
(S)-3-(6-Bromo-4-((3-(trifluoromethyl)phenyl)sulfonyl)-3,4-dihydro-2H-benzo[b][1,4]oxazin-2-yl)propanenitrile (40 mg, 0.084 mmol), (E)-2-(2-(2-chloro-6-fluorophenyl)prop-1-en-1-yl)-4,4,5,5-tetramethyl-1,3,2-dioxaborolane (25 mg, 0.084 mmol), THF (3 mL), and sodium hydroxide (10 mg, 0.252 mmol) were combined in a vial, and the mixture was degassed by bubbling nitrogen. Tetrakis(triphenylphosphine)palladium (10 mg, 0.008 mmol) was added to the reaction mixture, and the resulting mixture was shaken at 70° C. overnight. Then, the crude mixture was partitioned between water and ethyl acetate. The organic phase was then washed with brine, dried (Na2SO4), and concentrated onto silica gel and purified by chromatography to afford (S,E)-3-(6-(2-(2-chloro-6-fluorophenyl)prop-1-en-1-yl)-4-((3-(trifluoromethyl)phenyl)sulfonyl)-3,4-dihydro-2H-benzo[b][1,4]oxazin-2-yl)propanenitrile as a yellow oil (31 mg, 65%). 1H-NMR (400 MHz, DMSO-d6) δ 8.03 (m, 3H), 7.82 (m, 2H), 7.67 (s, 1H), 7.35 (m, 4H), 7.11 (d, 1H), 6.89 (d, 1H), 6.38 (s, 1H), 4.42 (d, 1H), 3.40 (m, 3H), 2.60 (m, 3H), 2.07 (s, 3H), 1.96 (m, 2H), 1.78 (m, 2H), 1.20 (m, 2H), 1.02 (s, 3H).
Example 7—Synthesis of (S)-3-(6-(2-Chloro-6-fluorophenethyl)-4-((3-(trifluoromethyl)phenyl)sulfonyl)-3,4-dihydro-2H-benzo[b][1,4]oxazin-2-yl)propanoic acid
Figure US09896441-20180220-C00667
Part I—Synthesis of (S)-3-(6-(2-Chloro-6-fluorophenethyl)-4-((3-(trifluoromethyl)phenyl)sulfonyl)-3,4-dihydro-2H-benzo[b][1,4]oxazin-2-yl)propanal
Figure US09896441-20180220-C00668
A solution of (S)-3-(6-(2-chloro-6-fluorophenethyl)-4-((3-(trifluoromethyl) phenyl)sulfonyl)-3,4-dihydro-2H-benzo[b][1,4]oxazin-2-yl)propanenitrile (80 mg, 0.145 mmol) in dichloromethane (6 mL) contained in a reaction vessel was cooled by placing the reaction vessel in an ice bath, and a 1 M solution of diisobutylaluminum hydride solution in dichloromethane (0.44 mL, 0.44 mmol) was added to the reaction vessel. The reaction mixture was stirred at 0° C. for one hour, then at room temperature for two additional hours. Then, the reaction was quenched by adding Rochelle's salt solution to the reaction mixture, and the resulting mixture was stirred at room temperature for two hours. Next, the phases of the resulting mixture were separated, and the organic phase was dried (Na2SO4), concentrated onto silica gel and purified by chromatography eluting with a gradient of 5-30% ethyl acetate in hexanes to afford (S)-3-(6-(2-chloro-6-fluorophenethyl)-4-((3-(trifluoromethyl)phenyl)sulfonyl)-3,4-dihydro-2H-benzo[b][1,4]oxazin-2-yl)propanal (21 mg, 26%). MS (ESI+) (M+Na)+ 577.99.
Part II—Synthesis of (S)-3-(6-(2-Chloro-6-fluorophenethyl)-4-((3-(trifluoromethyl)phenyl)sulfonyl)-3,4-dihydro-2H-benzo[b][1,4]oxazin-2-yl)propanoic acid
Figure US09896441-20180220-C00669
(S)-3-(6-(2-Chloro-6-fluorophenethyl)-4-((3-(trifluoromethyl)phenyl)sulfonyl)-3,4-dihydro-2H-benzo[b][1,4]oxazin-2-yl)propanal (0.038 mmol) was dissolved in tert-butanol (1 mL), and 2-methyl-2-butene (8 mg, 0.113 mmol) was added. To this mixture, a solution of sodium chlorite (3 mg, 0.038 mmol) and sodium phosphate monobasic (7 mg, 0.057 mmol) in water (1 mL) was added dropwise over several minutes, and the reaction mixture was stirred at room temperature overnight. Then, the reaction mixture was concentrated to remove the tert-butanol. The remaining aqueous mixture was diluted with water, and the solution was extracted with hexanes. The aqueous solution was acidified with 3 M HCl, and the mixture was extracted three times with ethyl acetate. The organic extracts were combined then dried (Na2SO4), and concentrated to provide a residue. The residue was purified by preparative HPLC providing (S)-3-(6-(2-chloro-6-fluorophenethyl)-4-((3-(trifluoromethyl) phenyl)sulfonyl)-3,4-dihydro-2H-benzo[b][1,4]oxazin-2-yl)propanoic acid. 1H-NMR (400 MHz, DMSO-d6) δ 12.13 (bs, 1H), 8.07 (d, 1H), 7.93 (m, 2H), 7.82 (t, 1H), 7.45 (s, 1H), 7.27 (m, 2H), 7.14 (m, 1H), 6.84 (dd, 1H), 6.70 (d, 1H), 4.31 (d, 1H), 3.28 (m, 2H), 2.91 (t, 2H), 2.72 (t, 2H), 2.27 (m, 2H), 1.78 (m, 1H), 1.65 (m, 1H). MS (ESI+) (M+Na)+ 593.99
Example 8—Synthesis of (7-((2-Chloro-6-fluorobenzyl)oxy)-1-((3-(trifluoromethyl) phenyl)sulfonyl)-1,2,3,4-tetrahydroquinolin-3-yl)methanol
Figure US09896441-20180220-C00670
Part I—Synthesis of Diethyl 2-(4-methoxy-2-nitrobenzylidene)malonate
Figure US09896441-20180220-C00671
4-Methoxy-2-nitrobenzaldehyde (10 g, 55.20 mmol) was dissolved in ethanol (110 mL), and diethyl malonate (9.73 g, 60.72 mmol) was added followed by piperidine (0.94 g, 11.04 mmol) and acetic acid (0.663 g, 11.04 mmol). The reaction mixture was then heated at reflux overnight. Next, the reaction mixture was concentrated, and the resulting residue was partitioned between 1N HCl and ethyl acetate. The organic phase was washed with 10% sodium carbonate solution, washed with brine, dried (Na2SO4), and concentrated to provide a residue. The residue was purified by MPLC eluting with a gradient of 5-15% ethyl acetate in hexanes to afford diethyl 2-(4-methoxy-2-nitrobenzylidene)malonate as an oil (10.01 g, 56%).
Part II—Synthesis of Diethyl 2-(4-methoxy-2-nitrobenzyl)malonate
Figure US09896441-20180220-C00672
Diethyl 2-(4-methoxy-2-nitrobenzylidene)malonate (10.01 g, 30.96 mmol) was dissolved in ethanol (103 mL) and the solution was cooled to 0° C. To this mixture, sodium borohydride (1.347 g, 35.606 mmol) was added, and the reaction mixture was stirred while the reaction vessel was placed in the ice bath for one hour. Next, the reaction was neutralized by adding aqueous ammonium chloride to the reaction mixture, and the resulting crude was partitioned between water and ethyl acetate. The organic phase was then washed with brine, dried (Na2SO4), and concentrated to afford diethyl 2-(4-methoxy-2-nitrobenzyl)malonate (9.51 g, 94%).
Part III—Synthesis of Ethyl 7-methoxy-2-oxo-1,2,3,4-tetrahydroquinoline-3-carboxylate
Figure US09896441-20180220-C00673
Diethyl 2-(4-methoxy-2-nitrobenzyl)malonate (9.51 g, 29.23 mmol) was dissolved in acetic acid (147 mL) and powdered iron (6.53 g, 116.94 mmol) was added. The reaction mixture was heated to 60° C. for two hours. Then, the crude solution was filtered through a plug of Celite, and the filtrate was concentrated to provide a residue. The residue was partitioned between water and ethyl acetate. The organic phase was then washed with brine, and dried (Na2SO4), and concentrated to afford ethyl 7-methoxy-2-oxo-1,2,3,4-tetrahydroquinoline-3-carboxylate as a light yellow solid (5.72 g, 78%).
Part IV—Synthesis of Ethyl 7-hydroxy-2-oxo-1,2,3,4-tetrahydroquinoline-3-carboxylate
Figure US09896441-20180220-C00674
Ethyl 7-methoxy-2-oxo-1,2,3,4-tetrahydroquinoline-3-carboxylate (2 g, 8.02 mmol) was dissolved in dichloromethane (80 mL) and the solution was cooled to −78° C. to the mixture, a 1M solution of boron tribromide in THF (24.1 mL, 24.1 mmol) was added dropwise, and then the reaction mixture was stirred at −20° C. for one hour. To the resulting crude mixture ethanol was added, and solid sodium bicarbonate was added. Next, the resulting mixture was poured into a separatory funnel and diluted with dichloromethane. The organic phase was washed with brine, dried (Na2SO4), and concentrated to afford ethyl 7-hydroxy-2-oxo-1,2,3,4-tetrahydroquinoline-3-carboxylate (1.71 g, 91%). MS (ESI+) (M+H)+ 236.14.
Part V—Synthesis of Ethyl 7-((2-chloro-6-fluorobenzyl)oxy)-2-oxo-1,2,3,4-tetrahydroquinoline-3-carboxylate
Figure US09896441-20180220-C00675
Ethyl 7-hydroxy-2-oxo-1,2,3,4-tetrahydroquinoline-3-carboxylate (1.5 g, 6.38 mmol), 2-chloro-6-fluorobenzyl alcohol (1.075 g, 6.70 mmol), and triphenylphosphine (2.01 g, 7.65 mmol) were suspended in dichloromethane (64 mL), and diisopropyl azodicarboxylate (1.51 mL, 7.65 mmol) was added dropwise. The reaction mixture was stirred at room temperature for one hour, and then the crude was washed with water, dried (Na2SO4), and concentrated to provide a residue. The residue was purified by MPLC eluting with a gradient of 10-30% ethyl acetate in hexanes to afford ethyl 7-((2-chloro-6-fluorobenzyl)oxy)-2-oxo-1,2,3,4-tetrahydroquinoline-3-carboxylate as a solid (1.4 g, 58%).
Part VI—Synthesis of (7-((2-Chloro-6-fluorobenzyl)oxy)-1,2,3,4-tetrahydroquinolin-3-yl)methanol
Figure US09896441-20180220-C00676
Ethyl 7-((2-chloro-6-fluorobenzyl)oxy)-2-oxo-1,2,3,4-tetrahydroquinoline-3-carboxylate (1.4 g, 3.706 mmol) was dissolved in THF (37 mL) and borane dimethylsulfide complex (1.408 g, 18.53 mmol) was added. The reaction mixture was heated at reflux for two hours. Then, the crude solution was cooled by placing the reaction vessel in an ice bath, and the reaction carefully quenched by adding methanol to the reaction mixture. The resulting mixture was then refluxed for ten minutes, cooled and concentrated to provide a residue. The residue was partitioned between ethyl acetate and water. The organic phase was washed with brine, dried (Na2SO4), and concentrated to provide a residue. The residue was purified via MPLC to afford (7-((2-chloro-6-fluorobenzyl)oxy)-1,2,3,4-tetrahydroquinolin-3-yl)methanol as a light yellow oil (0.48 g, 40%).
Part VII—Synthesis of (7-((2-Chloro-6-fluorobenzyl)oxy)-1-((3-(trifluoromethyl)phenyl)sulfonyl)-1,2,3,4-tetrahydroquinolin-3-yl)methanol
Figure US09896441-20180220-C00677
(7-((2-Chloro-6-fluorobenzyl)oxy)-1,2,3,4-tetrahydroquinolin-3-yl)methanol (0.1 g, 0.311 mmol) was dissolved in pyridine (2 mL) and 3-(trifluoromethyl) benzenesulfonyl chloride (84 mg, 0.342 mmol) was added. The reaction mixture was heated to 50° C. overnight. Then, the reaction mixture was diluted in ethyl acetate, washed three times with 1 N HCl, washed with brine, dried (Na2SO4), and then concentrated to provide a residue. The residue was purified by MPLC to afford (7-((2-chloro-6-fluorobenzyl)oxy)-1-((3-(trifluoromethyl)phenyl) sulfonyl)-1,2,3,4-tetrahydroquinolin-3-yl)methanol (51 mg, 31%).
Example 9—Preparation of Additional 1,2,3,4-Tetrahydroquinolin-3-yl)methanol Compounds
Compounds in Table 3 were prepared based on experimental procedures described in Example 8 and the detailed description.
TABLE 3
Observed
No. Structure Name m/z
9A
Figure US09896441-20180220-C00678
(7-((2-chloro-6-fluorobenzyl)oxy)-1- ((4-fluoro-3-methoxyphenyl) sulfonyl)-1,2,3,4-tetrahydroquinolin- 3-yl)methanol 510 (M + H)+
9B
Figure US09896441-20180220-C00679
(7-((2-chloro-6-fluorobenzyl)oxy)-1- ((3-ethoxy-1-ethyl-1H-pyrazol-4- yl)sulfonyl)-1,2,3,4- tetrahydroquinolin-3-yl)methanol 524 (M + H)+
9C
Figure US09896441-20180220-C00680
(1-((3-chloro-1-ethyl-1H-pyrazol-4- yl)sulfonyl)-7-((2-chloro-6- fluorobenzyl)oxy)-1,2,3,4- tetrahydroquinolin-3-yl)methanol 514 (M + H)+
9D
Figure US09896441-20180220-C00681
(7-((2-chloro)-6-fluorobenzyl)oxy)-1- ((1-(difluoromethyl)-3-methyl-1H- pyrazol-4-yl)sulfonyl)-1,2,3,4- tetrahydroquinolin-3-yl)methanol 516 (M + H)+
9E
Figure US09896441-20180220-C00682
ethyl 1-((3-chloro-1-ethyl-1H- pyrazol-4-yl)sulfonyl)-7-((2-chloro- 6-fluorobenzyl)oxy)-1,2,3,4- tetrahydroquinoline-3-carboxylate 556 (M + H)+
Example 10—Synthesis of 7-((2-Chloro-6-fluorobenzyl)oxy)-1-((3-(trifluoromethyl)phenyl)sulfonyl)-1,2,3,4-tetrahydroquinoline-3-carboxylic acid
Figure US09896441-20180220-C00683
(7-((2-Chloro-6-fluorobenzyl)oxy)-1-((3-(trifluoromethyl)phenyl)sulfonyl)-1,2,3,4-tetrahydroquinolin-3-yl)methanol (43 mg, 0.081 mmol) was dissolved in acetone (4 mL), and Jones' reagent was added dropwise until the orange color persisted. The mixture was stirred at room temperature for two hours, then the reaction was quenched by addition of isopropyl alcohol to the reaction mixture, and the resulting mixture was concentrated to provide a residue. The residue was partitioned between 1 N HCl and ethyl acetate/THF. The organic phase was washed with brine, dried (Na2SO4), and concentrated to provide a residue. The residue was purified by MPLC eluting with a gradient of 0-10% methanol in dichloromethane to afford 7-((2-chloro-6-fluorobenzyl)oxy)-1-((3-(trifluoromethyl)phenyl)sulfonyl)-1,2,3,4-tetrahydroquinoline-3-carboxylic acid (19 mg, 43%). 1H-NMR (400 MHz, DMSO-d6) δ 12.25 (bs, 1H), 8.08 (d, 1H), 7.95 (d, 1H), 7.80 (m, 2H), 7.48 (m, 1H), 7.40 (m, 1H), 7.28 (t, 1H), 7.18 (s, 1H), 7.07 (d, 1H), 6.83 (d, 1H), 5.08 (s, 2H), 4.19 (d, 1H), 3.67 (m, 1H), 2.53 (m, 3H). MS (ESI+) (M+Na)+ 565.95.
Example 11—Preparation of Additional 1,2,3,4-Tetrahydroquinoline-3-carboxylic acids
Compounds in Table 4 were prepared based on experimental procedures described in Example 10 and the detailed description.
TABLE 4
Observed
No. Structure Name m/z
11A
Figure US09896441-20180220-C00684
1-((3-chloro-1-ethyl-1H-pyrazol-4- yl)sulfonyl)-7-((2-chloro-6- fluorobenzyl)oxy)-1,2,3,4- tetrahydroquinoline-3-carboxylic acid 528 (M + H)+
11B
Figure US09896441-20180220-C00685
7-((2-chloro-6-fluorobenzyl)oxy)- 1-((4-fluoro-3-methoxyphenyl) sulfonyl)-1,2,3,4- tetrahydroquinoline-3-carboxylic acid 524 (M + H)+
11C
Figure US09896441-20180220-C00686
7-((2-chloro-6-fluorobenzyl)oxy)- 1-((1-(difluoromethyl)-3-methyl- 1H-pyrazol-4-yl)sulfonyl)-1,2,3,4- tetrahydroquinoline-3-carboxylic acid 530 (M + H)+
11D
Figure US09896441-20180220-C00687
7-((2-chloro-6-fluorobenzyl)oxy)- 1-((3-ethoxy-1-ethyl-1H-pyrazol- 4-yl)sulfonyl)-1,2,3,4- tetrahydroquinoline-3-carboxylic acid 538 (M + H)+
11E
Figure US09896441-20180220-C00688
7-((2-fluoro-6- (trifluoromethyl)benzyl)oxy)-1-((3- (trifluoromethyl)phenyl)sulfonyl)- 1,2,3,4-tetrahydroquinoline-3- carboxylic acid 578 (M + H)+
11F
Figure US09896441-20180220-C00689
7-((2-fluorobenzyl)oxy)-1-((3- (trifluoromethyl)phenyl)sulfonyl)- 1,2,3,4-tetrahydroquinoline-3- carboxylic acid 510 (M + H)+
11G
Figure US09896441-20180220-C00690
7-((2-fluoro-5- (trifluoromethyl)benzyl)oxy)- 1-((3-(trifluoromethyl) phenyl)sulfonyl)- 1,2,3,4-tetrahydroquinoline-3- carboxylic acid 578 (M + H)+
11H
Figure US09896441-20180220-C00691
7-((2-chloro-5-fluorobenzyl) oxy)-1-((3-(trifluoromethyl) phenyl)sulfonyl)-1,2,3,4- tetrahydroquinoline-3-carboxylic acid 544 (M + H)+
11I
Figure US09896441-20180220-C00692
7-((2,6-dichlorobenzyl)oxy)-1-((3- (trifluoromethyl)phenyl)sulfonyl)- 1,2,3,4-tetrahydroquinoline-3- carboxylic acid 560 (M + H)+
11J
Figure US09896441-20180220-C00693
7-((3-fluoro-4-methylbenzyl) oxy)-1-((3-(trifluoromethyl) phenyl)sulfonyl)-1,2,3,4 tetrahydroquinoline-3-carboxylic acid 524 (M + H)+
11K
Figure US09896441-20180220-C00694
7-((3-fluoro-4-(trifluoromethyl) benzyl)oxy)-1-((3-(trifluoromethyl) phenyl)sulfonyl)-1,2,3,4- trtrahydroquinoline-3-carboxylic acid 578 (M + H)+
11L
Figure US09896441-20180220-C00695
7-((4-(tert-butyl)benzyl)oxy)-1-((3- (trifluoromethyl)phenyl)sulfonyl)- 1,2,3,4-tetrahydroquinoline-3- carboxylic acid 548 (M + H)+
11M
Figure US09896441-20180220-C00696
7-(naphthalen-2-ylmethoxy)-1-((3- (trifluoromethyl)phenyl)sulfonyl)- 1,2,3,4-tetrahydroquinoline-3- carboxylic acid 542 (M + H)+
Example 12—Synthesis of Ethyl 7-(2-chloro-6-fluorophenethyl)-1-((3-(trifluoromethyl)phenyl)sulfonyl)-1,2,3,4-tetrahydroquinoline-3-carboxylate
Figure US09896441-20180220-C00697
Part I—Synthesis of Ethyl 7-bromo-4-oxo-1,4-dihydroquinoline-3-carboxylate
Figure US09896441-20180220-C00698
3-Bromoaniline (10 g, 58.13 mmol) and diethyl 2-(ethoxymethylene)malonate (12.57 g, 58.13 mmol) were suspended in ethanol (60 mL), and the reaction mixture was heated to reflux overnight. Then, the crude mixture was concentrated, and the resulting residue was re-suspended in diphenyl ether. Next, the suspension was heated to 250° C. for 90 minutes. The mixture was then cooled to about 35-40° C. and filtered through a sintered glass funnel. The isolated solid was washed with 2:1 ethyl acetate:hexanes, and recrystallized from 70% ethanol affording ethyl 7-bromo-4-oxo-1,4-dihydroquinoline-3-carboxylate as a white solid (5.11 g, 30%).
Part II—Synthesis of Ethyl 7-bromo-4-chloroquinoline-3-carboxylate
Figure US09896441-20180220-C00699
Ethyl 7-bromo-4-oxo-1,4-dihydroquinoline-3-carboxylate (5.11 g, 17.3 mmol) was dissolved in thionyl chloride (70 mL), and DMF (0.5 mL) was added. The reaction mixture was heated to reflux overnight. The resulting solution was concentrated to provide a residue, and the residue was carefully treated with a saturated sodium carbonate solution. The resulting mixture was slurried, and then filtered. The solid isolated by filtration was washed with water, and dried in a vacuum oven to produce a yellow solid. The yellow solid was then loaded onto silica gel and purified by MPLC eluting with a gradient of 5-80% ethyl acetate in hexanes to afford ethyl 7-bromo-4-chloroquinoline-3-carboxylate as a white solid (4.12 g, 76%).
Part III—Synthesis of Ethyl 4-chloro-7-(2-chloro-6-fluorophenethyl)quinoline-3-carboxylate
Figure US09896441-20180220-C00700
1-Chloro-3-fluoro-2-vinyl benzene (996 mg, 6.358 mmol) was dissolved in THF (16 mL) and the reaction vessel containing the solution was cooled in an ice bath. To this solution, a 0.5 M solution of 9-borabicyclo[3.3.1] nonane in toluene (12.7, 6.35 mmol) was added, and the resulting mixture allowed to warm to room temperature where it was held for six days. Ethyl 7-bromo-4-chloroquinoline-3-carboxylate (1 g, 3.179 mmol) was mixed with triethylamine (0.665 mL, 4.769 mmol), and [1,1′-bis(diphenylphosphino)ferrocene]dichloropalladium (II) complex with dichloromethane (243 mg, 0.318 mmol) in degassed DMF (18 mL) and water (2 mL). The olefin solution was then added to the reaction mixture, and the resulting reaction mixture was heated to 50° C. overnight. Next, the reaction mixture was cooled to room temperature, and partitioned between water and ethyl acetate. The organic phase was washed with brine, dried (Na2SO4), and concentrated to provide a residue. The residue was purified by MPLC eluting with a gradient of 10-30% ethyl acetate in hexanes to afford ethyl 4-chloro-7-(2-chloro-6-fluorophenethyl)quinoline-3-carboxylate (610 mg, 49%). MS (ESI+) (M+H)+ 391.99.
Part IV—Synthesis of Ethyl 7-(2-chloro-6-fluorophenethyl)-1,2,3,4-tetrahydroquinoline-3-carboxylate
Figure US09896441-20180220-C00701
Ethyl 4-chloro-7-(2-chloro-6-fluorophenethyl)quinoline-3-carboxylate (230 mg, 0.586 mmol) was dissolved in acetic acid (4 mL) and a 8M solution of borane pyridine complex (0.147 mL, 1.173 mmol) was added. The reaction mixture was stirred at room temperature for 18 hours. Then, the reaction mixture was concentrated to provide a residue. To the residue was added 1 M sodium carbonate. The resulting mixture was extracted three times with dichloromethane. The organic extracts were combined, dried (Na2SO4), and concentrated to provide a residue. The residue was purified by MPLC to afford ethyl 7-(2-chloro-6-fluorophenethyl)-1,2,3,4-tetrahydroquinoline-3-carboxylate (80 mg, 38%). MS (ESI+) (M+H)+ 362.08.
Part V—Synthesis of Ethyl 7-(2-chloro-6-fluorophenethyl)-1-((3-(trifluoromethyl)phenyl)sulfonyl)-1,2,3,4-tetrahydroquinoline-3-carboxylate
Figure US09896441-20180220-C00702
Ethyl 7-(2-chloro-6-fluorophenethyl)-1,2,3,4-tetrahydroquinoline-3-carboxylate (115 mg, 0.318 mmol) and 3-(trifluoromethyl)benzenesulfonyl chloride (311 mg, 1.271 mmol) were dissolved in acetone (2 mL), and potassium carbonate (220 mg, 1.59 mmol) was added. The mixture was shaken at room temperature overnight. Additional aliquots of 3-(trifluoromethyl)benzenesulfonyl chloride (311 mg, 1.271 mmol), and potassium carbonate (220 mg, 1.59 mmol) were then added, and the reaction mixture stirred for an additional five hours. Next, the reaction mixture was filtered, and the filtrate was concentrated onto silica gel and purified by MPLC providing ethyl 7-(2-chloro-6-fluorophenethyl)-1-((3-(trifluoromethyl)phenyl) sulfonyl)-1,2,3,4-tetrahydroquinoline-3-carboxylate (76 mg, 0.1093 mmol). MS (ESI+) (M+Na)+ 592.04.
Example 13—Synthesis of Ethyl (E)-7-(2-(2-chloro-6-fluorophenyl)prop-1-en-1-yl)-1-((3-(trifluoromethyl)phenyl)sulfonyl)-1,2,3,4-tetrahydroquinoline-3-carboxylate
Figure US09896441-20180220-C00703
Part I—Synthesis of Ethyl (E)-7-(2-(2-chloro-6-fluorophenyl)prop-1-en-1-yl)-2-oxo-1,2,3,4-tetrahydroquinoline-3-carboxylate
Figure US09896441-20180220-C00704
Ethyl 7-bromo-2-oxo-1,2,3,4-tetrahydroquinoline-3-carboxylate (1.7 g, 5.702 mmol), (E)-2-(2-(2-chloro-6-fluorophenyl)prop-1-en-1-yl)-4,4,5,5-tetramethyl-1,3,2-dioxaborolane (2.20 g, 7.413 mmol), dioxane (40 mL), water (10 mL), and potassium carbonate (946 mg, 6.843 mmol) were combined in a vial, and the mixture was degassed by bubbling nitrogen in. To this mixture was added [1,1′-bis(diphenylphosphino)ferrocene]dichloropalladium (II) complex with dichloromethane (435 mg, 0.57 mmol), and the resulting mixture was shaken at 70° C. for 45 minutes. Next, the crude mixture was partitioned between water and ethyl acetate. The organic phase was then washed with brine, dried (Na2SO4), and concentrated onto silica gel. This residue was purified by MPLC eluting with a gradient of 5-20% ethyl acetate in hexanes to afford ethyl (E)-7-(2-(2-chloro-6-fluorophenyl)prop-1-en-1-yl)-2-oxo-1,2,3,4-tetrahydroquinoline-3-carboxylate as a white solid (1.75 g, 79%). MS (ESI+) (M+K)+ 425.95.
Part II—Synthesis of Ethyl (E)-7-(2-(2-chloro-6-fluorophenyl)prop-1-en-1-yl)-1,2,3,4-tetrahydroquinoline-3-carboxylate
Figure US09896441-20180220-C00705
Ethyl (E)-7-(2-(2-chloro-6-fluorophenyl)prop-1-en-1-yl)-2-oxo-1,2,3,4-tetrahydroquinoline-3-carboxylate (1.06 g, 2.733 mmol) was dissolved in THF (60 mL) and the reaction vessel containing the solution was cooled in an ice bath. Borane dimethylsulfide complex (1.367 mL, 13.67 mmol) was added dropwise to the reaction mixture, and the reaction mixture was stirred at room temperature overnight. Then, the reaction was quenched by adding methanol (10 mL) to the reaction mixture, and the resulting mixture was heated to reflux for ten minutes. Then, the crude was concentrated, and next purified by chromatography providing ethyl (E)-7-(2-(2-chloro-6-fluorophenyl)prop-1-en-1-yl)-1,2,3,4-tetrahydroquinoline-3-carboxylate (0.39 g, 38%).
Part III—Synthesis of Ethyl (E)-7-(2-(2-chloro-6-fluorophenyl)prop-1-en-1-yl)-1-((3-(trifluoromethyl)phenyl)sulfonyl)-1,2,3,4-tetrahydroquinoline-3-carboxylate
Figure US09896441-20180220-C00706
Ethyl (E)-7-(2-(2-chloro-6-fluorophenyl)prop-1-en-1-yl)-1,2,3,4-tetrahydroquinoline-3-carboxylate (460 mg, 1.23 mmol) was dissolved in pyridine (8 mL) and 3-(trifluoromethyl)benzenesulfonyl chloride (361 mg, 1.477 mmol) was added. The reaction mixture was heated to 50° C. overnight. Then, the reaction mixture was diluted with ethyl acetate. The resulting organic mixture was washed three times with 1 N HCl, washed with brine, dried (Na2SO4), and concentrated to provide a residue. The residue was purified by chromatography to afford ethyl (E)-7-(2-(2-chloro-6-fluorophenyl)prop-1-en-1-yl)-1-((3-(trifluoromethyl)phenyl)sulfonyl)-1,2,3,4-tetrahydroquinoline-3-carboxylate (540 mg, 75%).
Example 14—Synthesis of (E)-7-(2-(2-Chloro-6-fluorophenyl)prop-1-en-1-yl)-1-((3-(trifluoromethyl)phenyl)sulfonyl)-1,2,3,4-tetrahydroquinoline-3-carboxylic acid and it's Sodium Salt
Figure US09896441-20180220-C00707
Ethyl (E)-7-(2-(2-chloro-6-fluorophenyl)prop-1-en-1-yl)-1-((3-(trifluoromethyl)phenyl)sulfonyl)-1,2,3,4-tetrahydroquinoline-3-carboxylate (540 mg, 0.928 mmol) was dissolved in THF (9 mL) and water (9 mL), and lithium hydroxide (44 mg, 1.856 mmol) was added. The resulting mixture was stirred at room temperature for 3 hours. The reaction mixture was diluted with ethyl acetate, and then 1 N HCl (1 mL) was added. The organic phase was washed with brine, dried (Na2SO4), and concentrated to provide a residue. The residue was purified by MPLC eluting with a gradient of 0-10% methanol in dichloromethane to afford (E)-7-(2-(2-chloro-6-fluorophenyl)prop-1-en-1-yl)-1-((3-(trifluoromethyl)phenyl)sulfonyl)-1,2,3,4-tetrahydroquinoline-3-carboxylic acid as a white solid (430 mg, 84%). 1H-NMR (400 MHz, DMSO-d6) δ 12.73 (bs, 1H), 8.07 (d, 1H), 7.99 (d, 1H), 7.82 (m, 2H), 7.52 (s, 1H), 7.36 (m, 2H), 7.25 (m, 1H), 7.18 (d, 1H), 7.11 (d, 1H), 6.38 (s, 1H), 4.21 (d, 1H), 4.05 (m, 1H), 3.75 (m, 1H), 3.13 (s, 3H), 2.60 (m, 3H), 2.02 (s, 3H).
Preparation of Sodium (E)-7-(2-(2-chloro-6-fluorophenyl)prop-1-en-1-yl)-1-((3-(trifluoromethyl)phenyl)sulfonyl)-1,2,3,4-tetrahydroquinoline-3-carboxylate
Figure US09896441-20180220-C00708
(E)-7-(2-(2-Chloro-6-fluorophenyl)prop-1-en-1-yl)-1-((3-(trifluoromethyl)phenyl)sulfonyl)-1,2,3,4-tetrahydroquinoline-3-carboxylic acid (388 mg, 0.7 mmol) was dissolved in 10 mL of 1:1 MeOH:THF, and a sodium hydroxide solution (0.219 mL of 3.2 M NaOH in water) was added. The solution was then concentrated, and held under vacuum for 18 hours to afford the title compound as a white solid (380 mg, 94%).
Example 15—Preparation of Additional Aryl-alkenylene 1,2,3,4-Tetrahydroquinolines
Compounds in Table 5 were prepared based on experimental procedures described in Example 13 and 14 and the detailed description using the appropriate vinyl boronate.
TABLE 5
Observed
No. Structure Name m/z
15A
Figure US09896441-20180220-C00709
(E)-1-((3-chloro-1-ethyl-1H- pyrazol-4-yl)sulfonyl)-7-(2-(2- chloro-6-fluorophenyl)prop-1-en- 1-yl)-1,2,3,4-tetrahydroquinoline- 3-carboxylic acid 538 (M + H)+
15B
Figure US09896441-20180220-C00710
(E)-7-(2-(2-chloro-6- (trifluoromethyl)phenyl)prop-2-en- 1-yl)-1-((3-(trifluoromethyl) phenyl)sulfonyl)-1,2,3,4- tetrahydroquinoline-3-carboxylic acid 604 (M + H)+
15C
Figure US09896441-20180220-C00711
(E)-7-(2-(2-fluoro-6- (trifluoromethyl)phenyl)prop-1-en- 1-yl)-1-((3-(trifluoromethyl) phenyl)sulfonyl)-1,2,3,4- tetrahydroquinoline-3-carboxylic acid 588 (M + H)+
15D
Figure US09896441-20180220-C00712
(E)-7-(2-chloro-6-(trifluoromethyl) styryl)-1-((3-(trifluoromethyl) phenyl)sulfonyl)-1,2,3,4- tetrahydroquinoline-3-carboxylic acid 590 (M + H)+
Example 16—Synthesis of (S)—N-((6-((2-Chloro-6-fluorobenzyl)amino)-4-((3-(trifluoromethyl)phenyl)sulfonyl)-3,4-dihydro-2H-benzo[b][1,4]oxazin-2-yl)methyl)acetamide
Figure US09896441-20180220-C00713
Part I—Synthesis of 2-[[(2S)-3-Chloro-2-hydroxypropyl]amino]-4-nitrophenol
Figure US09896441-20180220-C00714
A solution of 2-amino-4-nitrophenol (250 g, 1.62 mol) and (2S)-2-(chloromethyl)oxirane (330.0 g, 3.57 mol) in ethanol/water (2500/25 mL) was stirred for twelve hours at 60° C. in an oil bath. The resulting mixture was cooled and concentrated to afford 2-[[(2S)-3-chloro-2-hydroxypropyl]amino]-4-nitrophenol as a brown oil.
Part II—Synthesis of [(2R)-6-Nitro-3,4-dihydro-2H-1,4-benzoxazin-2-yl]methanol
Figure US09896441-20180220-C00715
A solution of 2-[[(2S)-3-chloro-2-hydroxypropyl]amino]-4-nitrophenol (400 g, 1.62 mol) in ethanol (2.5 L) and potassium carbonate (134.5 g, 973 mmol) was stirred for twelve hours at 90° C. in an oil bath. Then, the mixture was filtered, and the filtrate was concentrated to provide a residue. The residue was diluted with water (1.5 L) and extracted three times with ethyl acetate (1 L). The organic layers were combined and then washed with brine, dried (Na2SO4), and concentrated to provide a residue. The residue was purified via MPLC over silica gel eluting with ethyl acetate/petroleum ether (1:1) to afford [(2R)-6-nitro-3,4-dihydro-2H-1,4-benzoxazin-2-yl]methanol as a red solid.
Part III—Synthesis of ((R)-2-Hydroxymethyl-3,4-dihydro-2H-benzo[1,4]oxazin-6-yl)-carbamic acid tert-butyl ester
Figure US09896441-20180220-C00716
The atmosphere above a solution of [(2R)-6-nitro-3,4-dihydro-2H-1,4-benzoxazin-2-yl]methanol (137 g, 652 mmol), palladium carbon (13.7 g), and di-tert-butyl dicarbonate (157 g, 717 mmol) in methanol (1400 mL) was exchanged with hydrogen. The resulting solution was stirred for twelve hours at room temperature. Next, the mixture was filtered, and the filtrate was concentrated to provide a crude product that was purified by re-crystallization from ether to afford ((R)-2-hydroxymethyl-3,4-dihydro-2H-benzo[1,4]oxazin-6-yl)-carbamic acid tert-butyl ester as an off-white solid. LRMS (ESI) calculated for C14H20N2O4 280: Found: 225 (M-C4H8+H)+; 281 (M+H)+. 1H-NMR (400 MHz, CDCl3): δ 6.92 (s, 1H), 6.71 (d, 1H), 6.41 (dd, 1H), 6.26 (s, 1H), 4.20-4.21 (m, 1H), 3.76-3.86 (m, 2H), 3.26-3.35 (m, 2H), 1.53 (s, 9H).
Part IV—Synthesis of (R)-tert-Butyl (2-((1,3-dioxoisoindolin-2-yl)methyl)-3,4-dihydro-2H-benzo[b][1,4]oxazin-6-yl)carbamate
Figure US09896441-20180220-C00717
At 0° C., diisopropyl azodicarboxylate (1.38 mL, 7.12 mmol) was added slowly to a solution of (R)-tert-butyl (2-(hydroxymethyl)-3,4-dihydro-2H-benzo[b][1,4]oxazin-6-yl)carbamate (1.9 g, 6.78 mmol), triphenylphosphine (1.78 g, 6.78 mmol), and phthalimide (1.00 g, 6.78 mmol) in THF (20 mL). The reaction mixture was stirred at room temperature overnight. Then, the reaction mixture was partitioned between ethyl acetate and water. The organic layer was dried (MgSO4) and concentrated to provide a residue. The residue was purified by column chromatography on silica, eluting with 50% ethyl acetate in hexane to afford (R)-tert-butyl (2-((1,3-dioxoisoindolin-2-yl)methyl)-3,4-dihydro-2H-benzo[b][1,4]oxazin-6-yl)carbamate as a yellow solid.
Part V—Synthesis of (S)-tert-Butyl (2-(aminomethyl)-3,4-dihydro-2H-benzo[b][1,4]oxazin-6-yl)carbamate
Figure US09896441-20180220-C00718
Hydrazine hydrate (2.00 g, 40.0 mmol) was added to a stirred mixture of (R)-tert-butyl (2-((1,3-dioxoisoindolin-2-yl)methyl)-3,4-dihydro-2H-benzo[b][1,4]oxazin-6-yl)carbamate (2.25 g, 5.50 mmol) in ethanol (20 mL). After sixteen hours, the reaction mixture was concentrated, and the resulting residue was triturated with dichloromethane. The resulting mixture was filtered, and the filtrate was concentrated to provide a residue. The residue was crystallized to obtain (S)-tert-butyl (2-(aminomethyl)-3,4-dihydro-2H-benzo[b][1,4]oxazin-6-yl)carbamate.
Part VI—Synthesis of (R)-tert-Butyl (2-(acetamidomethyl)-3,4-dihydro-2H-benzo[b][1,4]oxazin-6-yl)carbamate
Figure US09896441-20180220-C00719
To a stirred solution of (S)-tert-butyl (2-(aminomethyl)-3,4-dihydro-2H-benzo[b][1,4]oxazin-6-yl)carbamate (7.9 g, 28.3 mmol), (benzotriazol-1-yloxy)tris (dimethylamino)phosphonium hexafluorophosphate (13.8 g, 31.1 mmol), and acetic acid (1.6 mL, 28.3 mmol) in THF (141 mL) was added N,N′-diisopropylethylamine (19.8 mL, 113 mmol). After two hours, the mixture was partitioned between isopropanol/chloroform (1:3, v/v) and saturated sodium bicarbonate. The organic layer was isolated, dried (MgSO4), and concentrated to afford (R)-tert-butyl (2-(acetamidomethyl)-3,4-dihydro-2H-benzo[b][1,4]oxazin-6-yl)carbamate.
Part VII—Synthesis of tert-Butyl (S)-(2-(acetamidomethyl)-4-((3-(trifluoromethyl) phenyl)sulfonyl)-3,4-dihydro-2H-benzo[b][1,4]oxazin-6-yl)carbamate
Figure US09896441-20180220-C00720
To a solution of tert-butyl (R)-(2-(acetamidomethyl)-3,4-dihydro-2H-benzo[b][1,4]oxazin-6-yl)carbamate (0.3 g, 0.93 mmol) in pyridine (4 mL) was added 3-(trifluoromethyl)benzenesulfonyl chloride (0.27 g, 1.1 mmol). The solution was stirred at 60° C. for two hours. The resulting mixture was diluted with ethyl acetate, washed with 1M hydrochloric acid (3×), washed with brine, dried (Na2SO4) and concentrated. The concentrate was purified by column chromatography eluting with a gradient of ethyl acetate in hexanes. Fractions containing the title compound in pure form were combined and concentrated to provide the title compound (120 mg, 24%).
Part VIII—Synthesis of (S)—N-((6-Amino-4-((3-(trifluoromethyl)phenyl)sulfonyl)-3,4-dihydro-2H-benzo[b][1,4]oxazin-2-yl)methyl)acetamide
Figure US09896441-20180220-C00721
To a solution of tert-butyl (S)-(2-(acetamidomethyl)-4-((3-(trifluoromethyl) phenyl)sulfonyl)-3,4-dihydro-2H-benzo[b][1,4]oxazin-6-yl)carbamate (0.12 g, 0.23 mmol) in dichloromethane (3 mL) was added trichloroacetic acid (3 mL), and the reaction mixture was stirred at ambient temperature for 2 hours. Then, the reaction mixture was concentrated in vacuo. The resulting concentrate was partitioned between ethyl acetate and saturated sodium bicarbonate. The organic layer was separated, washed with brine, dried (Na2SO4) and concentrated to provide the title compound (100 mg, 24%).
Part IX—Synthesis of (S)—N-((6-((2-Chloro-6-fluorobenzyl)amino)-4-((3-(trifluoromethyl)phenyl)sulfonyl)-3,4-dihydro-2H-benzo[b][1,4]oxazin-2-yl)methyl)acetamide
Figure US09896441-20180220-C00722
To a solution of 2-chloro-6-fluorobenzaldehyde (20 mg, 0.13 mmol) and (S)—N-((6-amino-4-((3-(trifluoromethyl)phenyl)sulfonyl)-3,4-dihydro-2H-benzo[b][1,4]oxazin-2-yl)methyl)acetamide (50 mg, 0.12 mmol) in 1,2-dichloroethane (0.5 mL) was added sodium triacetoxyborohydride (32 mg, 0.15 mmol). The resulting mixture was stirred at ambient temperature overnight. Then, the reaction mixture was concentrated, and the concentrate was subjected to preparatory HPLC. Fractions containing the title compound in pure form were combined and concentrated to provide the title compound (24 mg, 36%). 1H-NMR (400 MHz, DMSO-d6) δ 8.07-8.00 (m, 2H), 7.92 (m, 1H), 7.86 (s, 1H), 7.80 (t, 1H), 7.38 (m, 2H), 7.22 (m, 1H), 7.04 (m, 1H), 6.59 (d, 1H), 6.46 (m, 1H), 4.27 (m, 1H), 4.22 (m, 2H), 3.3-3.0 (m, 3H), 1.80 (s, 3H).
Example 17—Preparation of (S)—N-((4-((3-Chloro-1-ethyl-1H-pyrazol-4-yl)sulfonyl)-6-((2-chloro-6-fluorobenzyl)amino)-3,4-dihydro-2H-benzo[b][1,4]oxazin-2-yl)methyl)acetamide
Figure US09896441-20180220-C00723
The title compound was prepared based on experimental procedures described in Example 16 and the detailed description. (ES, m/z): (M+H)+ 556.
Example 18—Preparation of Additional Benzylamino-3,4-dihydro-2H-benzo[b][1,4]oxazin-2-yl Compounds
Compounds in Table 6 were prepared based on experimental procedures described in Examples 14 and 16 and the detailed description.
TABLE 6
Observed
No. Structure Name m/z
18A
Figure US09896441-20180220-C00724
(S)-2-(6-((2-chloro-6- fluorobenzyl)amino)-4-((3- (trifluoromethyl)phenyl)sulfonyl)- 3,4-dihydro-2H- benzo[b][1,4]oxazin-2-yl)acetic acid 559 (M + H)+
18B
Figure US09896441-20180220-C00725
(S)-methyl 2-(6-((2-chloro-6- fluorobenzyl)amino)-4-((3- (trifluoromethyl)phenyl)sulfonyl)- 3,4-dihydro-2H- benzo[b][1,4]oxazin-2-yl)acetate 573 (M + H)+
Example 19—Synthesis of Racemic (2R,3R)-Ethyl 7-((2-chloro-6-fluorobenzyl)oxy)-1-((4-fluoro-3-methoxyphenyl)sulfonyl)-2-methyl-1,2,3,4-tetrahydroquinoline-3-carboxylate
Figure US09896441-20180220-C00726
Part I—Synthesis of Ethyl 2-(4-acetoxy-2-nitrobenzyl)-3-oxobutanoate
Figure US09896441-20180220-C00727
Ethyl 3-oxobutanoate (2.83 g, 21.7 mmol) was added to a mixture of THF (100 mL) and 60% sodium hydride in mineral oil (870 mg, 21.7 mmol). The resulting solution was stirred for one hour at 0° C. Then, a solution of 4-(bromomethyl)-3-nitrophenyl acetate (4.58 g, 16.71 mmol) in THF (20 mL) was added dropwise to the reaction mixture. The resulting solution was stirred for an additional three hours at room temperature. Then, the reaction was quenched by the addition of water (30 mL) to the reaction mixture. The resulting solution was extracted three times with ethyl acetate and the organic layers were combined. The organic solution was washed with water, washed with brine, dried (Na2SO4) and concentrated to provide a residue. The residue was purified via MPLC eluting with ethyl acetate/petroleum ether (1:10) to afford ethyl 2-[[4-(acetyloxy)-2-nitrophenyl]methyl]-3-oxobutanoate (3.75 g, 69%) as a colorless oil.
Part II—Synthesis of Racemic (2R,3R)-Ethyl 7-acetoxy-2-methyl-1,2,3,4-tetrahydroquinoline-3-carboxylate
Figure US09896441-20180220-C00728
In a 100-mL high-pressure reactor was placed ethyl 2-[[4-(acetyloxy)-2-nitrophenyl]methyl]-3-oxobutanoate (3.75 g, 11.60 mmol), ethyl acetate (80 mL), palladium carbon 10% containing water (380 mg, 0.10 equiv). The resulting solution was stirred for 20 hours at 40° C. under 10 atmospheres of hydrogen gas pressure. Then, the reaction mixture was cooled, the pressure in the reaction vessel was released, and the reaction mixture was filtered through Celite. The filtrate was concentrated to provide a residue that was purified via MPLC eluting with ethyl acetate/petroleum ether (1:10) to afford racemic (2R,3R)-ethyl 7-acetoxy-2-methyl-1,2,3,4-tetrahydroquinoline-3-carboxylate (1.3 g, 40%) as a colorless oil.
Part III—Synthesis of Racemic (2R,3R)-Ethyl 7-acetoxy-1-((4-fluoro-3-methoxyphenyl)sulfonyl)-2-methyl-1,2,3,4-tetrahydroquinoline-3-carboxylate
Figure US09896441-20180220-C00729
A solution of racemic (2R,3R)-ethyl 7-(acetyloxy)-2-methyl-1,2,3,4-tetrahydroquinoline-3-carboxylate (750 mg, 2.70 mmol), dichloromethane (30 mL), triethylamine (1.37 g, 13.54 mmol), 4-fluoro-3-methoxybenzene-1-sulfonyl chloride (1.1 g, 4.90 mmol) was refluxed for 18 hours. Then, the reaction mixture was cooled and water was added to quench the reaction. The resulting mixture was extracted twice with ethyl acetate. The organic extracts were combined and washed twice with water, washed with brine, dried (Na2SO4) and concentrated to provide a residue. The residue was purified via MPLC eluting with ethyl acetate/petroleum ether (1:10) to afford racemic (2R,3R)-ethyl 7-acetoxy-1-((4-fluoro-3-methoxyphenyl)sulfonyl)-2-methyl-1,2,3,4-tetrahydroquinoline-3-carboxylate (730 mg, 58%) as light yellow oil.
Part IV—Synthesis of Racemic (2R,3R)-Ethyl 1-((4-fluoro-3-methoxyphenyl)sulfonyl)-7-hydroxy-2-methyl-1,2,3,4-tetrahydroquinoline-3-carboxylate
Figure US09896441-20180220-C00730
To a solution of racemic (2R,3R)-ethyl 7-acetoxy-1-((4-fluoro-3-methoxyphenyl)sulfonyl)-2-methyl-1,2,3,4-tetrahydroquinoline-3-carboxylate (620 mg, 1.33 mmol) in methanol (20 mL) was added acetyl chloride (1.0 mL, 13.3 mmol). The resulting solution was stirred for one hour at room temperature, concentrated and diluted in water (30 ml). The pH value of the resulting solution was adjusted to 4-5 by adding saturated sodium bicarbonate. Next, the reaction mixture was extracted three times with ethyl acetate. The organic extracts were combined and washed with water, washed with brine, dried (Na2SO4) and concentrated to provide a residue. The residue was purified via MPLC eluting with ethyl acetate/petroleum ether (1:10) to afford racemic (2R,3R)-ethyl 1-((4-fluoro-3-methoxyphenyl)sulfonyl)-7-hydroxy-2-methyl-1,2,3,4-tetrahydroquinoline-3-carboxylate (560 mg, 99%) as a light yellow oil.
Part V—Synthesis of Racemic (2R,3R)-Ethyl 7-((2-chloro-6-fluorobenzyl)oxy)-1-((4-fluoro-3-methoxyphenyl)sulfonyl)-2-methyl-1,2,3,4-tetrahydroquinoline-3-carboxylate
Figure US09896441-20180220-C00731
To a solution of racemic (2R,3R)-ethyl 1-((4-fluoro-3-methoxyphenyl)sulfonyl)-7-hydroxy-2-methyl-1,2,3,4-tetrahydroquinoline-3-carboxylate (130 mg, 0.31 mmol), (2-chloro-6-fluorophenyl)methanol (59 mg, 0.37 mmol), and triphenyl phosphine (120 mg, 0.46 mmol) in THF (10 mL) was added diisopropyl azodicarboxylate (93 mg, 0.46 mmol) dropwise. The resulting solution was stirred for one hour at room temperature and then partitioned between ethyl acetate and water. The organic layer was washed twice with water, washed with brine, dried (Na2SO4) and concentrated to provide a residue. The residue was applied onto a silica gel column that was eluted using ethyl acetate/petroleum ether (1:10) to afford racemic (2R,3R)-ethyl 7-((2-chloro-6-fluorobenzyl)oxy)-1-((4-fluoro-3-methoxyphenyl)sulfonyl)-2-methyl-1,2,3,4-tetrahydroquinoline-3-carboxylate (94 mg, 54%) as a white solid. 1H-NMR (400 MHz, CDCl3): δ 7.63 (s, 1H), 7.40-7.20 (m, 3H), 7.17-7.00 (m, 4H), 6.83 (d, J=8.4 Hz, 1H), 5.20 (s, 2H), 5.00-4.90 (m, 1H), 4.25-4.20 (m, 2H), 3.74 (s, 3H), 2.90-2.80 (m, 1H), 2.60 (dd, J=18.0, 6.4 Hz, 1H), 2.30-2.20 (m, 1H), 1.12 (d, J=6.8 Hz, 3H). (ES, m/z:) (M+H)+566.1.
Example 20—Synthesis of Racemic (2R,3R)-Ethyl 7-((2,3-dihydro-1H-inden-1-yl)oxy)-1-((4-fluoro-3-methoxyphenyl)sulfonyl)-2-methyl-1,2,3,4-tetrahydroquinoline-3-carboxylate
Figure US09896441-20180220-C00732
The title compound was prepared based on procedures described in Example 1, Part V. 1H-NMR (400 MHz, CDCl3) δ 7.61 (dd, 1H), 7.50 (d, 1H), 7.40-7.45 (m, 2H), 7.09-7.31 (m, 4H), 7.01 (d, 1H), 6.82 (t, 1H), 5.79 (dd, 1H), 4.92 (m, 1H), 4.17 (m, 2H), 3.75 (s, 3H), 3.16 (m, 1H), 2.88-3.00 (m, 2H), 2.58 (m, 2H), 2.15-2.28 (m, 2H), 1.28 (t, 3H), 1.07 (d, 3H). (ES, m/z:) 562 (M+Na).+
Example 21—Synthesis of Racemic (2R,3R)-7-((2-Chloro-6-fluorobenzyl)oxy)-1-((4-fluoro-3-methoxyphenyl)sulfonyl)-2-methyl-1,2,3,4-tetrahydroquinoline-3-carboxylic acid
Figure US09896441-20180220-C00733
To a solution of racemic (2R,3R)-ethyl 7-((2-chloro-6-fluorobenzyl)oxy)-1-((4-fluoro-3-methoxyphenyl)sulfonyl)-2-methyl-1,2,3,4-tetrahydroquinoline-3-carboxylate (70 mg, 0.12 mmol) in THF (3 mL) and water (1.5 mL) was added lithium hydroxide monohydrate (21 mg, 0.50 mmol). The resulting solution was stirred overnight at room temperature. Next, the reaction mixture was diluted with water (15 mL) and the pH of the mixture was adjusted to 4-5 by adding concentrated hydrogen chloride to the mixture. Next, the mixture was extracted three times with ethyl acetate. The organic extracts were combined, washed brine, dried (Na2SO4) and concentrated to provide a residue. The residue was purified by reverse phase HPLC eluting with a gradient of water (containing 0.05% trifluoroacetic acid) and acetonitrile to afford racemic (2R,3R)-7-((2-chloro-6-fluorobenzyl)oxy)-1-((4-fluoro-3-methoxyphenyl)sulfonyl)-2-methyl-1,2,3,4-tetrahydroquinoline-3-carboxylic acid (40 mg, 60%) as a white solid. 1H-NMR (400 MHz, CDCl3): δ 7.64 (s, 1H), 7.40-7.20 (m, 3H), 7.17-7.00 (m, 4H), 6.84 (dd, J=8.4, 2.4 Hz, 1H), 5.21 (s, 2H), 5.04-4.96 (m, 1H), 3.75 (s, 3H), 2.95-2.80 (m, 1H), 2.64 (dd, J=18.0, 6.4 Hz, 1H), 2.30-2.20 (m, 1H), 1.12 (d, J=6.8 Hz, 3H). (ES, m/z:) (M+H)+ 538.3.
Example 22—Preparation of Racemic (2R,3R)-7-((2,3-Dihydro-1H-inden-1-yl)oxy)-1-((4-fluoro-3-methoxy-phenyl)sulfonyl)-2-methyl-1,2,3,4-tetrahydroquinoline-3-carboxylic acid
Figure US09896441-20180220-C00734
The title compound was prepared based on the experimental procedures described in Examples 19, 20, and 21 and the detailed description. (ES, m/z): (M+H)+ 512.
Example 23—Synthesis of ((2R,3R)-7-((2-Chloro-6-fluorobenzyl)oxy)-1-((4-fluoro-3-methoxyphenyl)sulfonyl)-2-methyl-1,2,3,4-tetrahydroquinolin-3-yl)methanol
Figure US09896441-20180220-C00735
To a solution of (2R,3R)-ethyl 7-((2-chloro-6-fluorobenzyl)oxy)-1-((4-fluoro-3-methoxyphenyl)sulfonyl)-2-methyl-1,2,3,4-tetrahydroquinoline-3-carboxylate (120 mg, 0.21 mmol) in tetrahydrofuran (10 mL) was added of lithium aluminum hydride (20 mg, 0.53 mmol) in portions at room temperature. The resulting solution was stirred for two hours at room temperature. The reaction was then quenched by the addition of 15 mL of water to the reaction mixture, and the resulting mixture was stirred for 2 hours. The resulting solution was extracted three times with ethyl acetate, the organic layers were combined, and the combined organic layers were washed with water, washed with brine, and concentrated to provide a residue. The residue was purified via MPLC eluting with ethyl acetate/petroleum ether (1:4). The fraction containing the major component was purified further by preparative HPLC eluting with a gradient of aqueous 10 mM NH4HCO3 and acetonitrile (58.0% to 65.0%) to afford racemic ((2R,3R)-7-((2-Chloro-6-fluorobenzyl)oxy)-1-((4-fluoro-3-methoxyphenyl)sulfonyl)-2-methyl-1,2,3,4-tetrahydroquinolin-3-yl)methanol (25 mg, 23%) as a white solid. 1H-NMR (400 MHz, CDCl3) δ 1.08 (d, J=6.8 Hz, 3H), 1.55-1.70 (m, 1H), 2.15-2.30 (m, 1H), 2.44 (dd, J=16.8, 6.0 Hz, 1H), 3.37-3.55 (m, 2H), 3.74 (s, 3H), 4.70-4.80 (m, 1H), 5.20 (s, 2H), 6.78 (dd, J=12.4, 2.8 Hz, 2H), 6.95 (d, J=8.8 Hz, 1H), 7.03-7.20 (m, 3H), 7.25-7.35 (m, 3H), 7.64 (s, 1H). (ES, m/z:) 524.1 (M+H).+
Example 24—Synthesis of 7-((2-Chloro-6-fluorobenzyl)oxy)-1-((4-fluoro-3-methoxyphenyl)sulfonyl)-1,2,3,4-tetrahydroquinoline
Figure US09896441-20180220-C00736
Part I—Synthesis of 1-((4-Fluoro-3-methoxyphenyl)sulfonyl)-1,2,3,4-tetrahydroquinolin-7-ol
Figure US09896441-20180220-C00737
To a solution of 1,2,3,4-tetrahydroquinolin-7-ol (2.5 g, 16.76 mmol) in dichloromethane (100 mL) was added pyridine (2.6 g, 32.9 mmol) and 4-fluoro-3-methoxybenzene-1-sulfonyl chloride (5.6 g, 24.93 mmol, 1.50 equiv). The mixture was stirred for one hour at room temperature. Then, methanol (2 mL) was added to the reaction mixture, and the resulting mixture was concentrated to provide a residue. The residue was purified via MPLC eluting with dichloromethane/ethyl acetate (2:1) to afford 1-[(4-fluoro-3-methoxybenzene)sulfonyl]-1,2,3,4-tetrahydroquinolin-7-ol (7.0 g) as a red oil.
Part II—Synthesis of 7-((2-Chloro-6-fluorobenzyl)oxy)-1-((4-fluoro-3-methoxyphenyl)sulfonyl)-1,2,3,4-tetrahydroquinoline
Figure US09896441-20180220-C00738
To a solution of 1-[(4-fluoro-3-methoxybenzene)sulfonyl]-1,2,3,4-tetrahydroquinolin-7-ol (150 mg, 0.44 mmol), (2-chloro-6-fluorophenyl)methanol (71 mg, 0.44 mmol), triphenylphosphine (140 mg, 0.53 mmol), in anhydrous THF (5 mL) was added diisopropyl azodicarboxylate (108 mg, 0.53 mmol) dropwise at 0° C. The resulting solution was stirred overnight at 25° C., and then concentrated to provide a residue. The residue was purified by MPLC eluting with petroleum ether:ethyl acetate (3:1). The fraction containing the major component was further purified by Prep-HPLC eluting with a gradient of water (containing 0.05% trifluoroacetic acid) and acetonitrile (50.0% to 90.0% in 8 minutes) to afford the title compound (41.5 mg, 19%) as a white solid. 1H-NMR (400 MHz, CDCl3) δ 7.61-7.60 (d, 1H), 7.36-7.28 (m, 3H), 7.15-7.02 (m, 3H), 6.96-6.94 (d, 1H), 6.81-6.78 (d, 1H), 5.21 (s, 2H), 3.84-3.81 (t, 2H), 3.71 (s, 3H), 2.44-2.40 (t, 2H), 1.67-1.58 (m, 2H). (ES, m/z): (M+H)+: 480.
Example 25—Preparation of Additional 1,2,3,4-Tetrahydroquinoline Sulfonamides
Compounds in Table 7 were prepared based on experimental procedures described in Examples 19, 20, and 21 and the detailed description.
TABLE 7
Observed
No. Structure Name m/z
25A
Figure US09896441-20180220-C00739
(S)-7-((2,3-dihydro-1H-inden-1- yl)oxy)-1-((4-fluoro-3- methoxyphenyl)sulfonyl)-1,2,3,4- tetrahydroquinoline 454 (M + H)+
25B
Figure US09896441-20180220-C00740
(R)-7-((2,3-dihydro-1H-inden-1- yl)oxy)-1-((4-fluoro-3- methoxyphenyl)sulfonyl)-1,2,3,4- tetrahydroquinoline 454 (M + H)+
25C
Figure US09896441-20180220-C00741
1-((4-fluoro-3- methoxyphenyl)sulfonyl)-7- ((1,2,3,4-tetrahydronaphthalen-1- yl)oxy)-1,2,3,4- tetrahydroquinoline 468 (M + H)+
25D
Figure US09896441-20180220-C00742
1-((4-fluoro-3- methoxyphenyl)sulfonyl)-7- (((cis)-2-methyl-2,3-dihydro-1H- inden-1-yl)oxy)-1,2,3,4- tetrahydroquinoline 468 (M + H)+
25E
Figure US09896441-20180220-C00743
1-((4-fluoro-3- methoxyphenyl)sulfonyl)-7- (((trans)-2-methyl-2,3-dihydro- 1H-inden-1-yl)oxy)-1,2,3,4- tetrahydroquinoline 468 (M + H)+
25F
Figure US09896441-20180220-C00744
7-((2,6-dichlorobenzyl)oxy)-1- ((3- (trifluoromethyl)phenyl)sulfonyl)- 1,2,3,4-tetrahydroquinoline 516 (M + H)+
25G
Figure US09896441-20180220-C00745
7-((2-fluoro-6- (trifluoromethyl)benzyl)oxy)-1- ((3- (trifluoromethyl)phenyl)sulfonyl)- 1,2,3,4-tetrahydroquinoline 534 (M + H)+
25H
Figure US09896441-20180220-C00746
7-((2-cyclopropyl-6- fluorobenzyl)oxy)-1-((3- (trifluoromethyl)phenyl)sulfonyl)- 1,2,3,4-tetrahydroquinoline 506 (M + H)+
25I
Figure US09896441-20180220-C00747
7-((2-chloro-6- cyclopropylbenzyl)oxy)-1-((3- (trifluoromethyl)phenyl)sulfonyl)- 1,2,3,4-tetrahydroquinoline 522 (M + H)+
25J
Figure US09896441-20180220-C00748
6-((2-chloro-6-fluorobenzyl)oxy)- 1-((3- (trifluoromethyl)phenyl)sulfonyl)- 1,2,3,4-tetrahydroquinoline 500 (M + H)+
25K
Figure US09896441-20180220-C00749
6-(benzyloxy)-1-((3- (trifluoromethyl)phenyl)sulfonyl)- 1,2,3,4-tetrahydroquinoline 448 (M + H)+
25L
Figure US09896441-20180220-C00750
6-(cyclohexyloxy)-1-((3- (trifluoromethyl)phenyl)sulfonyl)- 1,2,3,4-tetrahydroquinoline 440 (M + H)+
25M
Figure US09896441-20180220-C00751
6-(cyclohexylmethoxy)-1-((3- (trifluoromethyl)phenyl)sulfonyl)- 1,2,3,4-tetrahydroquinoline 454 (M + H)+
25N
Figure US09896441-20180220-C00752
6-phenethoxy-1-((3- (trifluoromethyl)phenyl)sulfonyl)- 1,2,3,4-tetrahydroquinoline 462 (M + H)+
25O
Figure US09896441-20180220-C00753
6-((2-chloro-6-fluorobenzyl)oxy)- 1-((4-fluoro-3- methoxyphenyl)sulfonyl)-1,2,3,4- tetrahydroquinoline 480 (M + H)+
25P
Figure US09896441-20180220-C00754
7-((2,6-dichlorobenzyl)oxy)-1- ((4-fluoro-3- methoxyphenyl)sulfonyl)-1,2,3,4- tetrahydroquinoline 496 (M + H)+
25Q
Figure US09896441-20180220-C00755
7-((2-chloro-6- (trifluoromethyl)benzyl)oxy)-1- ((4-fluoro-3- methoxyphenyl)sulfonyl)-1,2,3,4- tetrahydroquinoline 530 (M + H)+
25R
Figure US09896441-20180220-C00756
1-((4-fluoro-3- methoxyphenyl)sulfonyl)-7-((2- fluoro-6- (trifluoromethyl)benzyl)oxy)- 1,2,3,4-tetrahydroquinoline 514 (M + H)+
25S
Figure US09896441-20180220-C00757
7-((2-chloro-6- cyclopropylbenzyl)oxy)-1-((4- fluoro-3- methoxyphenyl)sulfonyl)-1,2,3,4- tetrahydroquinoline 502 (M + H)+
25T
Figure US09896441-20180220-C00758
7-((2-cyclopropyl-6- fluorobenzyl)oxy)-1-((4-fluoro-3- methoxyphenyl)sulfonyl)-1,2,3,4- tetrahydroquinoline 486 (M + H)+
25U
Figure US09896441-20180220-C00759
(R)-6-((2,3-dihydro-1H-inden-1- yl)oxy)-1-((3-(trifluoromethyl)- phenyl)sulfonyl)-1,2,3,4- tetrahydroquinoline 474 (M + H)+
25V
Figure US09896441-20180220-C00760
(S)-6-((2,3-dihydro-1H-inden-1- yl)oxy)-1-((3-(trifluoromethyl)- phenyl)sulfonyl)-1,2,3,4- tetrahydroquinoline 474 (M + H)+
25W
Figure US09896441-20180220-C00761
7-((2-chloro-6- methylbenzyl)oxy)-1-((4-fluoro- 3-methoxyphenyl)sulfonyl)- 1,2,3,4-tetrahydroquinoline 476 (M + H)+
Example 26—Synthesis of (S)-Methyl 3-(7-((2-chloro-6-fluorobenzyl)oxy)-1-((4-fluoro-3-methoxyphenyl)sulfonyl)-1,2,3,4-tetrahydroquinolin-3-yl)-2,2-dimethylpropanoate
Figure US09896441-20180220-C00762
Part I—Synthesis of 2,2-Dimethyl-5-oxo-5-[(4S)-2-oxo-4-(propan-2-yl)-1,3-oxazolidin-3-yl]pentanoic acid
Figure US09896441-20180220-C00763
To a mixture of (4S)-4-(propan-2-yl)-1,3-oxazolidin-2-one (5 g, 38.7 mmol) and lithium chloride (1.79 g, 42.6 mmol) in tetrahydrofuran (15 mL) was added triethylamine (6.97 mL, 50.1 mmol) dropwise. To this mixture was added 3,3-dimethyloxane-2,6-dione (5.78 g, 40.66 mmol) in portions. The resulting solution was stirred for two hours at room temperature, and then the reaction was quenched by the addition of brine (15 mL) to the reaction solution. The pH value of the solution was adjusted to pH 1 by adding hydrogen chloride (1 mol/L). Next, the resulting solution was extracted three times dichloromethane, organic layers were combined, and then concentrated to afford 2,2-dimethyl-5-oxo-5-[(4S)-2-oxo-4-(propan-2-yl)-1,3-oxazolidin-3-yl]pentanoic acid (11.32 g) as a colorless oil which was used without any further purification.
Part II—Synthesis of 2,2-Dimethyl-5-oxo-5-[(4S)-2-oxo-4-(propan-2-yl)-1,3-oxazolidin-3-yl]pentanoate
Figure US09896441-20180220-C00764
To a solution of 2,2-dimethyl-5-oxo-5-[(4S)-2-oxo-4-(propan-2-yl)-1,3-oxazolidin-3-yl]pentanoic acid (11.29 g, 41.61 mmol) in acetonitrile (78.7 mL) and methanol (7.9 mL) was added 2M solution of trimethylsilyl diazomethane in hexanes (41.6 mL) dropwise with stirring at 0° C. The resulting solution was stirred for 2 h at 0° C. in an ice bath, and then the reaction solution was concentrated to provide a residue. The residue was purified using MPLC eluting with ethyl acetate/petroleum ether (1:2) as eluent to yield methyl 2,2-dimethyl-5-oxo-5-[(4S)-2-oxo-4-(propan-2-yl)-1,3-oxazolidin-3-yl]pentanoate (2.27 g, 19%) as a light yellow oil.
Part III—Synthesis of (4S)-4-[(4-Hydroxy-2-nitrophenyl)methyl]-2,2-dimethyl-5-oxo-5-[(4S)-2-oxo-4-(propan-2-yl)-1,3-oxazolidin-3-yl]pentanoate
Figure US09896441-20180220-C00765
To a solution of methyl 2,2-dimethyl-5-oxo-5-[(4S)-2-oxo-4-(propan-2-yl)-1,3-oxazolidin-3-yl]pentanoate (2.27 g, 7.96 mmol) in anhydrous tetrahydrofuran (22.8 mL) was added a 1M solution of LiHMDS in THF (8.9 mL) at −78° C., and the reaction mixture stirred for 10 minutes. To this was added a solution of 4-(bromomethyl)-3-nitrophenyl acetate (2.18 g, 7.95 mmol) in tetrahydrofuran (11.4 mL) dropwise with stirring. The resulting solution was stirred overnight at room temperature, and then the reaction was quenched by the addition of saturated ammonium chloride (100 mL) to the reaction mixture. The resulting solution was extracted three times with dichloromethane, organic layers were combined, then concentrated to provide a residue. The residue was purified using MPLC eluting with ethyl acetate/petroleum ether (1:1) to afford methyl (4S)-4-[(4-hydroxy-2-nitrophenyl)methyl]-2,2-dimethyl-5-oxo-5-[(4S)-2-oxo-4-(propan-2-yl)-1,3-oxazolidin-3-yl]pentanoate (1.84 g, 53%) as a yellow oil.
Part IV—Synthesis of (S)-Methyl 3-(7-hydroxy-2-oxo-1,2,3,4-tetrahydroquinolin-3-yl)-2,2-dimethylpropanoate
Figure US09896441-20180220-C00766
A mixture of methyl (4S)-4-[(4-hydroxy-2-nitrophenyl)methyl]-2,2-dimethyl-5-oxo-5-[(4S)-2-oxo-4-(propan-2-yl)-1,3-oxazolidin-3-yl]pentanoate (1.84 g, 4.22 mmol), acetic acid (17.1 mL) and zinc (4 g, 50.6 mmol) was stirred for thirty minutes at 70° C. where the reaction vessel was placed in an oil bath. Next, the reaction was quenched by the addition of saturated sodium bicarbonate (100 mL) to the reaction mixture. The resulting mixture was extracted three times with dichloromethane, the organic layers were combined, then concentrated to provide a residue. The residue was purified via MPLC eluting with a gradient of 2:1 to 1:2 of petroleum ether to ethyl acetate to afford (S)-methyl 3-(7-hydroxy-2-oxo-1,2,3,4-tetrahydroquinolin-3-yl)-2,2-dimethylpropanoate (1.27 g) as a yellow oil.
Part V—Synthesis of (S)-Methyl 3-(7-hydroxy-1,2,3,4-tetrahydroquinolin-3-yl)-2,2-dimethylpropanoate
Figure US09896441-20180220-C00767
To a solution of (S)-methyl 3-(7-hydroxy-2-oxo-1,2,3,4-tetrahydroquinolin-3-yl)-2,2-dimethylpropanoate (1.25 g, 4.51 mmol) in tetrahydrofuran (30 mL) was added a 1M solution of borane in THF (20.1 mL) dropwise with stirring at 0° C. The resulting solution was stirred for four hours at room temperature. Then, the reaction was quenched by adding water (100 mL) to the reaction mixture. The resulting mixture was extracted three times with dichloromethane. The organic layers were combined, then concentrated to provide a residue. The residue was purified using MPLC eluting with a gradient of petroleum ether:ethyl acetate of 4:1 to 1:1 to afford (S)-methyl 3-(7-hydroxy-1,2,3,4-tetrahydroquinolin-3-yl)-2,2-dimethylpropanoate (640 mg, 54%) as a yellow oil.
Part VI—Synthesis of (S)-Methyl 3-(1-((4-fluoro-3-methoxyphenyl)sulfonyl)-7-hydroxy-1,2,3,4-tetrahydroquinolin-3-yl)-2,2-dimethylpropanoate
Figure US09896441-20180220-C00768
A solution (S)-methyl 3-(7-hydroxy-1,2,3,4-tetrahydroquinolin-3-yl)-2,2-dimethylpropanoate (189 mg, 0.72 mmol), pyridine (0.45 mL, 5.59 mmol), 4-fluoro-3-methoxybenzene-1-sulfonyl chloride (171.4 mg, 0.76 mmol) in dichloromethane (0.11 mL) was stirred for one hour at room temperature and then concentrated to provide a residue. The residue was purified by MPLC eluting with a gradient of 4:1 to 1:1 petroleum ether:ethyl acetate to afford (S)-methyl 3-(1-((4-fluoro-3-methoxyphenyl)sulfonyl)-7-hydroxy-1,2,3,4-tetrahydroquinolin-3-yl)-2,2-dimethylpropanoate (302 mg, 93%) as a dark red solid.
Part VII—Synthesis of (S)-Methyl 3-(7-((2-chloro-6-fluorobenzyl)oxy)-1-((4-fluoro-3-methoxyphenyl)sulfonyl)-1,2,3,4-tetrahydroquinolin-3-yl)-2,2-dimethylpropanoate
Figure US09896441-20180220-C00769
A mixture of (S)-methyl 3-(1-((4-fluoro-3-methoxyphenyl)sulfonyl)-7-hydroxy-1,2,3,4-tetrahydroquinolin-3-yl)-2,2-dimethylpropanoate (260 mg, 0.58 mmol), potassium carbonate (79.5 mg, 0.58 mmol), and 2-(bromomethyl)-1-chloro-3-fluorobenzene (0.080 mL, 0.58 mmol) in N,N-dimethylformamide (1.0 mL) was stirred overnight at room temperature. Then, the resulting solution was diluted with water. The resulting mixture was extracted three times dichloromethane, the organic layers were combined, then concentrated to provide a residue. The residue was purified by MPLC eluting with a gradient of 10:1 to 2:1 petroleum ether:ethyl acetate. The major component was further purified by preparative HPLC with water (containing 0.05% trifluoroacetic acid) and acetonitrile (58.0% to 88.0% in 8 minutes) to afford (S)-methyl 3-(7-((2-chloro-6-fluorobenzyl)oxy)-1-((4-fluoro-3-methoxyphenyl)sulfonyl)-1,2,3,4-tetrahydroquinolin-3-yl)-2,2-dimethylpropanoate (338 mg, 99%) as a yellow oil. 1H-NMR (400 MHz, CDCl3) δ 1.17 (s, 3H), 1.19 (s, 3H), 1.43-1.53 (m, 3H), 2.11 (dd, J=10.8 Hz, 16.8 Hz, 1H), 2.50 (dd, J=5.2 Hz, 16.4 Hz, 1H), 3.01 (dd, J=10.8 Hz, 13.6 Hz, 1H), 3.72 (s, 3H), 3.74 (s, 3H), 4.19 (dd, J=1.6 Hz, 13.2 Hz, 1H), 5.20 (d, J=1.6 Hz, 2H), 6.78 (dd, J=2.4 Hz, 8.4 Hz, 1H), 6.92 (d, J=8.4 Hz, 1H), 7.06-7.15 (m, 3H), 7.23-7.26 (m, 1H), 7.28-7.36 (m, 2H), 7.62 (d, J=2.4 Hz, 1H). (ES, m/z): (M+H)+ 594.
Example 27—Synthesis of (S)-3-(7-((2-Chloro-6-fluorobenzyl)oxy)-1-((4-fluoro-3-methoxyphenyl)sulfonyl)-1,2,3,4-tetrahydroquinolin-3-yl)-2,2-dimethylpropanoic acid
Figure US09896441-20180220-C00770
A mixture of (S)-methyl 3-(7-((2-chloro-6-fluorobenzyl)oxy)-1-((4-fluoro-3-methoxyphenyl)sulfonyl)-1,2,3,4-tetrahydroquinolin-3-yl)-2,2-dimethylpropanoate (200 mg, 0.34 mmol), dioxane (1.5 mL), methanol (0.8 mL), water (0.8 mL), and lithium hydroxide monohydrate (282 mg, 6.73 mmol) was stirred for four hours at 50° C. The pH value of the solution was adjusted to pH 6 with hydrogen chloride (1 mol/L). The resulting solution was extracted three times with dichloromethane, the organic layers were combined, then concentrated to provide a crude product that was purified by Prep-HPLC eluting with a gradient of water (containing 0.05% TFA) and acetonitrile (55.0% to 80.0% in 8 minutes) to afford (S)-3-(7-((2-chloro-6-fluorobenzyl)oxy)-1-((4-fluoro-3-methoxyphenyl)sulfonyl)-1,2,3,4-tetrahydroquinolin-3-yl)-2,2-dimethylpropanoic acid (85.5 mg, 44%) as a white solid. 1H-NMR (400 MHz, CD3OD) δ 1.15 (s, 3H), 1.18 (s, 3H), 1.41-1.57 (m, 3H), 2.22-2.10 (m, 1H), 2.59-2.51 (m, 1H), 3.03 (dd, J=10.8 Hz, 13.8 Hz), 3.69 (s, 3H), 4.31 (dd, J=2.1 Hz, 13.8 Hz, 1H), 5.22 (d, J=1.8 Hz, 2H), 6.84 (dd, J=2.7 Hz, 8.4 Hz, 1H), 6.99 (d, J=8.4 Hz, 1H), 7.04 (dd, J=1.8 Hz, 7.8 Hz, 1H), 7.15-7.45 (m, 5H), 7.53 (s, 1H). (ES, m/z): (M+H)+ 580.
Example 28—Additional Compounds
The following additional compounds were prepared based on procedures above.
TABLE 8
No. Chemical Structure
28A
Figure US09896441-20180220-C00771
28B
Figure US09896441-20180220-C00772
28C
Figure US09896441-20180220-C00773
28D
Figure US09896441-20180220-C00774
28E
Figure US09896441-20180220-C00775
28F
Figure US09896441-20180220-C00776
28G
Figure US09896441-20180220-C00777
28H
Figure US09896441-20180220-C00778
28I
Figure US09896441-20180220-C00779
Example 29—Synthesis of (S,E)-3-(6-(2-(2-Chloro-6-fluorophenyl)prop-1-en-1-yl)-4-((3-(trifluoromethyl)phenyl)sulfonyl)-3,4-dihydro-2H-benzo[b][1,4]oxazin-2-yl)propanoic acid
Figure US09896441-20180220-C00780
Part I—Synthesis of Dimethyl (R)-2-hydroxypentanedioate
Figure US09896441-20180220-C00781
To a mixture of (2R)-5-oxotetrahydro-2-furancarboxylic acid (25 g, 192 mmol) in methanol (300 mL) was added concentrated hydrogen chloride (0.5 mL) and the mixture was refluxed overnight. Cooled to ambient temperature, added solid sodium bicarbonate and slurried for 20 minutes. The mixture was filtered and concentrated to obtain dimethyl (R)-2-hydroxypentanedioate (34.7 g, 100%).
Part II—Synthesis of Dimethyl (S)-2-(4-bromo-2-nitrophenoxy)pentanedioate
Figure US09896441-20180220-C00782
To a solution of dimethyl (R)-2-hydroxypentanedioate (33.8 g, 192 mmol), 4-bromo-2-nitrophenol (50.2 g, 230 mmol), and triphenylphosphine (60.4 g, 230 mmol) in dichloromethane (300 mL) with activated molecular sieves at 0° C. was added a solution of diisopropyl azodicarboxylate (45.4 mL, 230 mmol) in dichloromethane (50 mL) dropwise. Stirred at 0° C. for 20 minutes, then at ambient temperature overnight. Concentrated. Removed triphenylphosphine oxide by running through a large pad of silica, eluting with dichloromethane (˜6 L). The eluted material was a mixture of the drawn compound and a small amount of residual phenol. Redissolved in ethyl acetate, washed four times with 1M sodium hydroxide, washed with brine, dried (Na2SO4), and concentrated to yield dimethyl (S)-2-(4-bromo-2-nitrophenoxy)pentanedioate (62.84 g, 87%) as a clear oil.
Part III—Synthesis of Methyl (S)-3-(6-bromo-3-oxo-3,4-dihydro-2H-benzo[b][1,4]oxazin-2-yl)propanoate
Figure US09896441-20180220-C00783
In a flask equipped with a mechanical stirrer was charged dimethyl (S)-2-(4-bromo-2-nitrophenoxy)pentanedioate (62.84 g, 167 mmol), acetic acid (500 mL), followed by powdered iron (46.7 g, 835 mmol) at ambient temperature. Heated to 60° C. for two hours. Filtered hot through a pad of Celite, washing with ethyl acetate (900 mL). The filtrates were washed three times with water, washed with brine, dried (Na2SO4) and concentrated to yield methyl (S)-3-(6-bromo-3-oxo-3,4-dihydro-2H-benzo[b][1,4]oxazin-2-yl)propanoate (48.06 g, 92%) as a white solid.
Part IV—Synthesis of Methyl (S)-3-(6-bromo-3,4-dihydro-2H-benzo[b][1,4]oxazin-2-yl)propanoate
Figure US09896441-20180220-C00784
To methyl (S)-3-(6-bromo-3-oxo-3,4-dihydro-2H-benzo[b][1,4]oxazin-2-yl)propanoate (24.46 g, 77.9 mmol) in anhydrous tetrahydrofuran (200 mL) at 0° C. was added borane-methyl sulfide complex (19.5 mL, 195 mmol) dropwise. Heated to 50° C. for one hour. The reaction mixture was cooled to 0° C., then carefully quenched with methanol (150 mL). Heated to 60° C. for one hour and concentrated. The residue was partitioned between water and ethyl acetate. The organic layer was washed with brine, dried (Na2SO4) and concentrated. The mixture was purified by column chromatography eluting with a gradient of 5-50% ethyl acetate in hexanes to yield methyl (S)-3-(6-bromo-3,4-dihydro-2H-benzo[b][1,4]oxazin-2-yl)propanoate (17.97 g, 77%) as a white solid.
Part V—Synthesis of (S)-Methyl 3-(6-bromo-4-((3-(trifluoromethyl)phenyl)sulfonyl)-3,4-dihydro-2H-benzo[b][1,4]oxazin-2-yl)propanoate
Figure US09896441-20180220-C00785
To a solution of (S)-3-(6-bromo-3,4-dihydro-2H-benzo[b][1,4]oxazin-2-yl)propanoate (10.0 g, 33.3 mmol) in pyridine (60 mL) was added 3-(trifluoromethyl)benzenesulfonyl chloride (8.96 g, 36.6 mmol). The mixture was heated at 50° C. for four hours, cooled, and concentrated. The residue was partitioned between ethyl acetate and 1N HCl. The organic layer was washed twice with 1 M HCl, brine, and then dried (Na2SO4). Activated charcoal was added, the mixture slurried, and then filtered through Celite. The filtrate was concentrated onto a small amount of silica and the residue was purified via MPLC eluting with a gradient of ethyl acetate in hexanes. The major UV-active component was concentrated to afford (S)-methyl 3-(6-bromo-4-((3-(trifluoromethyl)phenyl)sulfonyl)-3,4-dihydro-2H-benzo[b][1,4]oxazin-2-yl)propanoate (14.75 g, 87%).
Part VI—Synthesis of 1-Chloro-2-ethynyl-3-fluorobenzene
Figure US09896441-20180220-C00786
2-Chloro-6-fluorobenzaldehyde (2.00 g, 12.61 mmol) was dissolved in methanol (84 mL), and dimethyl (diazomethyl)phosphonate (2.39 mL, 15.77 mmol) was added followed by potassium carbonate (4.36 g, 31.53 mmol). The reaction mixture was stirred at room temperature overnight. The crude mixture was diluted with methyl tert-butyl ether, washed with water, washed with brine, dried (Na2SO4), and concentrated to afford 1-chloro-2-ethynyl-3-fluorobenzene (1.83 g, 94%). 1H-NMR (400 MHz, DMSO-d6) δ 7.45 (m, 2H), 7.32 (t, 1H), 4.86 (s, 1H).
Part VII—Synthesis of (E)-2-(2-(2-Chloro-6-fluorophenyl)prop-1-en-1-yl)-4,4,5,5-tetramethyl-1,3,2-dioxaborolane
Figure US09896441-20180220-C00787
Bis(pinacolato)diborane (5.82 g, 22.92 mmol), copper (I) chloride (0.21 g, 2.08 mmol), and 4,5-bis(diphenylphosphino)-9,9-dimethylxanthene (1.21 g, 2.08 mmol) were suspended in THF (208 mL) and the mixture was degassed with nitrogen and stirred for five min. A solution of sodium tert-butoxide (2.202 g, 22.92 mmol) in minimal THF was added, and the mixture stirred for an additional five minutes. 1-Chloro-2-ethynyl-3-fluorobenzene (3.22 g, 20.83 mmol) and methyl iodide (11.83 g, 83.33 mmol) were added to the reaction mixture, and the resulting mixture was stirred at room temperature overnight. The crude product mixture was concentrated onto silica gel and purified by MPLC eluting with a gradient of 0-5% ethyl acetate in hexanes to afford (E)-2-(2-(2-chloro-6-fluorophenyl)prop-1-en-1-yl)-4,4,5,5-tetramethyl-1,3,2-dioxaborolane (2.41 g, 39%). 1H-NMR (400 MHz, DMSO-d6) δ 7.31 (m, 2H), 7.20 (t, 1H), 5.18 (s, 1H), 2.15 (s, 3H), 1.23 (s, 12H).
Part VIII—Synthesis of (S,E)-Methyl 3-(6-(2-(2-chloro-6-fluorophenyl)prop-1-en-1-yl)-4-((3-(trifluoromethyl)phenyl)sulfonyl)-3,4-dihydro-2H-benzo[b][1,4]oxazin-2-yl)propanoate
Figure US09896441-20180220-C00788
A mixture of (S)-methyl 3-(6-bromo-4-((3-(trifluoromethyl)phenyl)sulfonyl)-3,4-dihydro-2H-benzo[b][1,4]oxazin-2-yl)propanoate (7.46 g, 14.7 mmol), (E)-2-(2-(2-chloro-6-fluorophenyl)prop-1-en-1-yl)-4,4,5,5-tetramethyl-1,3,2-dioxaborolane (6.09 g, 20.5 mmol), potassium carbonate (2.84 g, 20.5 mmol) in dioxane (80 mL), and water (20 mL) was degassed and placed under an atmosphere of nitrogen. This was followed by addition of [1,1′-bis(diphenylphosphino)ferrocene]dichloropalladium(II) dichloromethane complex (1.12 g, 1.47 mmol) and heating to 70° C. for five hours. Toluene (100 mL) and a 20% solution of sodium bisulfite in water (50 mL) were added. The mixture was allowed to stir at 60° C. for an additional fifteen min., then cooled and diluted with toluene (150 mL). The organic layer was washed with a 20% aqueous solution of sodium bisulfite, water, brine, and then dried (Na2SO4), and added to activated charcoal. The mixture was slurried and filtered through a pad of Celite. The filtrate was concentrated onto a small amount of silica and the residue was purified by MPLC eluting with a gradient of 0-30% ethyl acetate in hexanes to afford (S,E)-methyl 3-(6-(2-(2-chloro-6-fluorophenyl)prop-1-en-1-yl)-4-((3-(trifluoromethyl)phenyl)sulfonyl)-3,4-dihydro-2H-benzo[b][1,4]oxazin-2-yl)propanoate (6.8 g, 77%). 1H-NMR (400 MHz, DMSO-d6) δ 8.11 (d, 1H), 8.03 (d, 1H), 7.99 (s, 1H), 7.86 (t, 1H), 7.68 (d, 1H), 7.38 (m, 2H), 7.27 (m, 1H), 7.11 (dd, 1H), 6.87 (d, 1H), 6.37 (s, 1H), 4.37 (d, 1H), 3.57 (s, 3H), 3.49 (m, 1H), 3.3 (m, 1H), 2.48 (m, 2H), 2.08 (s, 3H), 1.9 (m, 1H), 1.76 (m, 1H). (ES, m/z): (M+Na)+=620.09, 622.10.
Part IX—Synthesis of (S,E)-3-(6-(2-(2-chloro-6-fluorophenyl)prop-1-en-1-yl)-4-((3-(trifluoromethyl)phenyl)sulfonyl)-3,4-dihydro-2H-benzo[b][1,4]oxazin-2-yl)propanoic acid
Figure US09896441-20180220-C00789
To a solution of (S,E)-methyl 3-(6-(2-(2-chloro-6-fluorophenyl)prop-1-en-1-yl)-4-((3-(trifluoromethyl)phenyl)sulfonyl)-3,4-dihydro-2H-benzo[b][1,4]oxazin-2-yl)propanoate (5.74 g, 9.60 mmol) in methanol (100 mL) and tetrahydrofuran (10 mL) was added 2M sodium hydroxide (14.4 mL, 28.8 mmol) in water. The reaction mixture was stirred at ambient temperature for 16 hours. The volume of the reaction mixture was reduced under vacuum, then acidified with 1M hydrogen chloride solution in water. The mixture was extracted with ethyl acetate, the combined extracts washed with brine, then dried (Na2SO4) and concentrated to a solid (5.54 g, 99%). The solid was converted to the sodium salt by redissolving in methanol (100 mL), then adding one equivalent of a 2.962M sodium hydroxide (3.203 mL, 9.487 mmol) solution in water and stirring for 20 min. The mixture was evaporated, then additional methanol was added and evaporated three times to remove water. The residue was dried in a vacuum oven to afford the sodium salt of (S,E)-3-(6-(2-(2-chloro-6-fluorophenyl)prop-1-en-1-yl)-4-((3-(trifluoromethyl)phenyl)sulfonyl)-3,4-dihydro-2H-benzo[b][1,4]oxazin-2-yl)propanoic acid (5.50 g, 98%) as a white solid. 1H-NMR (400 MHz, DMSO-d6) δ 8.1 (m, 2H), 7.89 (m, 2H), 7.69 (s, 1H), 7.37 (m, 2H), 7.26 (m, 1H), 7.08 (dd, 1H), 6.85 (d, 1H), 6.36 (s, 1H), 4.40 (d, 1H), 3.55 (m, 1H), 3.3 (m, 1H), 2.08 (s, 3H), 1.92 (m, 2H), 1.70 (m, 2H). (ES, m/z): (M+H)+=606.15, 608.15.
Example 30—Synthesis of (S,E)-3-(6-(2-Chloro-6-(trifluoromethyl)styryl)-4-((3-(trifluoromethyl)phenyl)sulfonyl)-3,4-dihydro-2H-benzo[b][1,4]oxazin-2-yl)propanoic acid
Figure US09896441-20180220-C00790
Part I—Synthesis of 1-Chloro-2-ethynyl-3-(trifluoromethyl)benzene
Figure US09896441-20180220-C00791
To a solution of 2-chloro-6-(trifluoromethyl)benzaldehyde (10.0 g, 47.9 mmol) in methanol (100 mL) was added dimethyl (diazomethyl)phosphonate (11.05 g, 57.5 mmol). The mixture was cooled to 0° C., and potassium carbonate (16.6 g, 119 mmol) was added. The reaction mixture was stirred at room temperature overnight. The crude mixture was diluted with ether, washed with water, washed with brine, dried (MgSO4), and concentrated to afford 1-chloro-2-ethynyl-3-(trifluoromethyl)benzene (9.17 g, 93%).
Part II—Synthesis of (E)-2-(2-Chloro-6-(trifluoromethyl)styryl)-4,4,5,5-tetramethyl-1,3,2-dioxaborolane
Figure US09896441-20180220-C00792
To [2,3-bis(1-adamantyl)imidazolidin-2-yl]-chloro-copper (0.99 g, 2.23 mmol) and sodium tert-butoxide (0.215 g, 2.23 mmol) suspended in THF (40 mL) was added bis(pinacolato)diboron (11.36 g, 44.7 mmol). The mixture was stirred for 30 minutes, and a solution of 1-chloro-2-ethynyl-3-(trifluoromethyl)benzene (9.15 g, 44.7 mmol) in THF (40 mL) and methanol (1.58 g, 49.2 mmol) was added. The mixture was stirred overnight then filtered through Celite. The filtrate was concentrated and the residue was purified via MPLC eluting with a gradient of 0-10% ethyl acetate in hexanes to afford (E)-2-(2-chloro-6-(trifluoromethyl)styryl)-4,4,5,5-tetramethyl-1,3,2-dioxaborolane (11.23 g, 76%).
Part III—Synthesis of (S,E)-Methyl 3-(6-(2-chloro-6-(trifluoromethyl)styryl)-4-((3-(trifluoromethyl)phenyl)sulfonyl)-3,4-dihydro-2H-benzo[b][1,4]oxazin-2-yl)propanoate
Figure US09896441-20180220-C00793
A mixture of (S)-methyl 3-(6-bromo-4-((3-(trifluoromethyl)phenyl)sulfonyl)-3,4-dihydro-2H-benzo[b][1,4]oxazin-2-yl)propanoate (2.00 g, 3.93 mmol), (E)-2-(2-chloro-6-(trifluoromethyl)styryl)-4,4,5,5-tetramethyl-1,3,2-dioxaborolane (1.83 g, 5.51 mmol), potassium carbonate (0.65 g, 4.72 mmol) in dioxane (40 mL) and water (6 mL) was degassed and was placed under an atmosphere of nitrogen. To this mixture was added [1,1′-bis(diphenylphosphino)ferrocene]-dichloropalladium(II) dichloromethane complex (0.30 g, 0.39 mmol) and the mixture heated at 70° C. overnight. The reaction mixture was cooled and partitioned between ethyl acetate and water. The organic layer was washed with brine, dried (Na2SO4) and concentrated onto a small amount of silica. The residue was purified by MPLC eluting with a gradient of 0-30% ethyl acetate in hexanes to afford (S,E)-methyl 3-(6-(2-chloro-6-(trifluoromethyl)styryl)-4-((3-(trifluoromethyl)phenyl)sulfonyl)-3,4-dihydro-2H-benzo[b][1,4]oxazin-2-yl)propanoate (2.0 g, 80%). 1H-NMR (400 MHz, DMSO-d6) δ 8.10 (d, 1H), 8.06 (d, 1H), 8.0 (s, 1H), 7.85 (m, 2H), 7.75 (m, 2H), 7.54 (t, 1H), 7.38 (dd, 1H), 6.98 (m, 1H), 6.88 (d, 1H), 6.78 (m, 1H), 4.37 (d, 1H), 3.58 (s, 3H), 3.40 (m, 1H), 3.3 (m, 1H), 2.42 (m, 2H), 1.9 (m, 1H), 1.75 (m, 1H). (ES, m/z): (M+Na)+=656.08, 658.07.
Part IV—Synthesis of (S,E)-3-(6-(2-Chloro-6-(trifluoromethyl)styryl)-4-((3-(trifluoromethyl)phenyl)sulfonyl)-3,4-dihydro-2H-benzo[b][1,4]oxazin-2-yl)propanoic acid
Figure US09896441-20180220-C00794
To a solution of (S,E)-methyl 3-(6-(2-chloro-6-(trifluoromethyl)styryl)-4-((3-(trifluoromethyl)phenyl)sulfonyl)-3,4-dihydro-2H-benzo[b][1,4]oxazin-2-yl)propanoate (11.8 g, 18.6 mmol) in methanol (100 mL) and tetrahydrofuran (30 mL) was added 2M sodium hydroxide (27.9 mL, 55.8 mmol) in water. The reaction mixture was stirred at ambient temperature for 16 hours. Reduced volume under vacuum. Acidified solution with 1M hydrogen chloride solution in water. Extracted with ethyl acetate, washed combined extracts with brine, dried (Na2SO4) and concentrated. Redissolved solids in dichloromethane and precipitated with hexanes. Filtered off solids and dried under vacuum. (8.73 g, 76%). The resulting solid was converted to the sodium salt by redissolving in methanol (100 mL), then adding one equivalent of a 3.109M sodium hydroxide (4.529 mL, 14.082 mmol) solution in water. Stirred ten minutes. Concentrated, and added methanol and concentrated three times. The residue was dried in a vacuum oven to afford the sodium salt of (S,E)-3-(6-(2-chloro-6-(trifluoromethyl)styryl)-4-((3-(trifluoromethyl)phenyl)sulfonyl)-3,4-dihydro-2H-benzo[b][1,4]oxazin-2-yl)propanoic acid (8.70 g, 99%) as a white solid. 1H-NMR (400 MHz, DMSO-d6) δ 8.15 (d, 1H), 8.08 (d, 1H), 7.88 (m, 3H), 7.78 (m, 2H), 7.55 (t, 1H), 7.34 (d, 1H), 6.98 (m, 1H), 6.84 (d, 1H), 6.78 (m, 1H), 4.40 (d, 1H), 3.60 (m, 1H), 3.3 (m, 1H), 1.92 (m, 2H), 1.70 (m, 2H). (ES, m/z): (M+Na)+=641.93, 643.93.
Example 31—Synthesis of (S,E)-Methyl 3-(6-(1-(2-chloro-6-fluorophenyl)prop-1-en-2-yl)-4-((3-(trifluoromethyl)phenyl)sulfonyl)-3,4-dihydro-2H-benzo[b][1,4]oxazin-2-yl)propanoate
Figure US09896441-20180220-C00795
Part I—Synthesis of 2-Chloro-6-fluorophenyl trifluoromethanesulfonate
Figure US09896441-20180220-C00796
To a stirred solution of 2-chloro-6-fluorophenol (5.00 g, 34.1) in pyridine (100 mL) at 0° C. was added dropwise (trifluoromethane)sulfonyl trifluoromethanesulfonate (19.3 g, 68.4 mmol) dropwise. The mixture was allowed to warm to room temperature and was stirred overnight. The reaction mixture was concentrated and the residue was partitioned between ethyl acetate and water. The organic layer was washed with brine, dried (Na2SO4) and concentrated to afford 2-chloro-6-fluorophenyl trifluoromethanesulfonate (9.5 g, 100%) as a brown liquid.
Part II—Synthesis of 1-Chloro-3-fluoro-2-(prop-1-yn-1-yl)benzene
Figure US09896441-20180220-C00797
A solution of 2-chloro-6-fluorophenyl trifluoromethanesulfonate (2.78 g, 9.98 mmol) and tributyl(prop-1-yn-1-yl)stannane (3.95 g, 12.00 mmol) in toluene (50 mL) under an atmosphere of nitrogen was added tetrakis(triphenylphosphine)palladium(0) (1.15 g, 1.00 mmol). The mixture was heated at reflux for three hours, cooled, then concentrated. The residue was purified via MPLC, eluting with a gradient of (1-10%) ethyl acetate in hexanes to afford 1-chloro-3-fluoro-2-(prop-1-yn-1-yl)benzene (1.5 g, 89%) as a yellow liquid.
Part III—Synthesis of (Z)-2-(1-(2-Chloro-6-fluorophenyl)prop-1-en-2-yl)-4,4,5,5-tetramethyl-1,3,2-dioxaborolane
Figure US09896441-20180220-C00798
A mixture of 1-chloro-3-fluoro-2-(prop-1-yn-1-yl)benzene (1.68 g, 9.96 mmol), copper (I) chloride (60 mg, 0.61 mmol), tris(4-methoxyphenyl)phosphine (282 mg, 0.80 mmol), potassium carbonate (276 mg, 2.00 mmol), isopropanol (1.2 g, 20.00 mmol), ether (15 mL) and 4,4,5,5-tetramethyl-2-(tetramethyl-1,3,2-dioxaborolan-2-yl)-1,3,2-dioxaborolane (3 g, 11.81 mmol) was stirred overnight at room temperature under an atmosphere of nitrogen. The mixture was filtered and the filtrate was concentrated. The residue was purified via MPLC, eluting with a gradient of 1-12% ethyl acetate in petroleum ether to afford (Z)-2-(1-(2-chloro-6-fluorophenyl)prop-1-en-2-yl)-4,4,5,5-tetramethyl-1,3,2-dioxaborolane (1.5 g, 51%) as yellow oil.
Part IV—Synthesis of (S,E)-Methyl 3-(6-(1-(2-chloro-6-fluorophenyl)prop-1-en-2-yl)-4-((3-(trifluoromethyl)phenyl)sulfonyl)-3,4-dihydro-2H-benzo[b][1,4]oxazin-2-yl)propanoate
Figure US09896441-20180220-C00799
A mixture of (S)-methyl 3-(6-bromo-4-((3-(trifluoromethyl)phenyl)sulfonyl)-3,4-dihydro-2H-benzo[b][1,4]oxazin-2-yl)propanoate (200 mg, 0.39 mmol), tetrakis(triphenylphosphine)palladium(0) (45 mg, 0.04 mmol), sodium carbonate (124 mg, 1.17 mmol), (Z)-2-(1-(2-chloro-6-fluorophenyl)prop-1-en-2-yl)-4,4,5,5-tetramethyl-1,3,2-dioxaborolane (140 mg, 0.47 mmol), toluene (10 mL), ethanol (5 mL), and water (2 mL) was stirred for three hours at 90° C. The mixture was cooled, concentrated, and the residue was purified via MPLC eluting with a gradient of 5-20% ethyl acetate in petroleum ether to afford (S,E)-methyl 3-(6-(1-(2-chloro-6-fluorophenyl)prop-1-en-2-yl)-4-((3-(trifluoromethyl)phenyl)sulfonyl)-3,4-dihydro-2H-benzo[b][1,4]oxazin-2-yl)propanoate (210 mg, 89%) as a yellow oil. 1H-NMR (400 MHz, CD3OD) δ 7.91-7.95 (m, 4H), 7.74 (m, 1H), 7.27-7.34 (m, 3H), 7.10 (m, 1H), 6.80 (m, 1H), 6.47 (s, 1H), 4.39 (m, 1H), 3.63 (s, 3H), 3.47 (m, 1H), 3.27 (m, 1H), 2.41-2.46 (m, 2H), 1.94 (s, 3H), 1.75-1.93 (m, 2H). (ES, m/z): (M+H)+ 598.
Example 32—Synthesis of (S,E)-3-(6-(1-(2-Chloro-6-fluorophenyl)prop-1-en-2-yl)-4-((3-(trifluoromethyl)phenyl)sulfonyl)-3,4-dihydro-2H-benzo[b][1,4]oxazin-2-yl)propanoic acid
Figure US09896441-20180220-C00800
A mixture of (R,E)-methyl 3-(7-(1-(2-chloro-6-fluorophenyl)prop-1-en-2-yl)-1-((3-(trifluoromethyl)phenyl)sulfonyl)-1,2,3,4-tetrahydroquinolin-3-yl)propanoate (160 mg, 0.27 mmol), tetrahydrofuran (7.5 mL), water (2.5 mL) and lithium hydroxide monohydrate (34 mg, 0.81 mmol) was stirred for three hours at room temperature. The pH value of the solution was adjusted to 5 with 1M hydrogen chloride. The mixture was extracted twice with ethyl acetate. The combined organic layers were concentrated and the residue was purified by reverse phase Prep-HPLC eluting with a gradient of 62-82% acetonitrile in water with 0.05% trifluoroacetic acid to afford (S,E)-3-(6-(1-(2-chloro-6-fluorophenyl)prop-1-en-2-yl)-4-((3-(trifluoromethyl)phenyl)sulfonyl)-3,4-dihydro-2H-benzo[b][1,4]oxazin-2-yl)propanoic acid (66 mg, 42%) as a white solid. 1H-NMR (400 MHz, CD3OD) δ 7.89-7.96 (m, 4H), 7.71-7.77 (m, 1H), 7.27-7.34 (m, 3H), 7.07-7.13 (m, 1H), 6.82 (d, J=8.4 Hz, 1H), 6.47 (s, 1H), 4.38-4.44 (m, 1H), 3.46-3.48 (m, 1H), 3.22-3.31 (m, 1H), 2.37-2.43 (m, 2H), 1.94 (s, 3H), 1.76-1.93 (m, 2H). (ES, m/z): (M+H)+ 584.
Example 33—Synthesis of (S,E)-Methyl 3-(6-(2-(2-chloro-6-fluorophenyl)prop-1-en-1-yl)-4-((2-ethoxy-5-(trifluoromethyl)pyridin-3-yl)sulfonyl)-3,4-dihydro-2H-benzo[b][1,4]oxazin-2-yl)propanoate
Figure US09896441-20180220-C00801
Part I—Synthesis of 3-Bromo-2-ethoxy-5-(trifluoromethyl)pyridine
Figure US09896441-20180220-C00802
To a solution of 3-bromo-2-chloro-5-(trifluoromethyl)pyridine (4 g, 15.44 mmol) in ethanol (40 mL) was added a 0.71 M solution of sodium ethoxide in ethanol (43.5 mL, 30.8 mmol) and the mixture was stirred for two hours at room temperature. The mixture was diluted with water, and mixture was extracted three times with dichloromethane. The combined organic layers were concentrated to afford 3-bromo-2-ethoxy-5-(trifluoromethyl)pyridine (3.5 g, 84%) as a yellow oil.
Part II—Synthesis of 3-(Benzylthio)-2-ethoxy-5-(trifluoromethyl)pyridine
Figure US09896441-20180220-C00803
A mixture of 3-bromo-2-ethoxy-5-(trifluoromethyl)pyridine (5.6 g, 21.62 mmol), phenylmethanethiol (4 g, 32.26 mmol), N,N-diisopropylethylamine (5.58 g, 43.18 mmol), tris(dibenzylideneacetone)dipalladium(0) (1.98 g, 2.16 mmol), 4,5-bis(diphenylphosphino)-9,9-dimethylxanthene (1.25 g, 2.16 mmol), and toluene (60 mL) was stirred overnight at 110° C. The mixture was filtered; the filtrate was concentrated and the residue was purified via MPLC eluting with a gradient of 0% to 2.5% ethyl acetate in petroleum ether to afford 3-(benzylthio)-2-ethoxy-5-(trifluoromethyl)pyridine (4.2 g, 62%) as a white solid.
Part III—Synthesis of 2-Ethoxy-5-(trifluoromethyl)pyridine-3-sulfonyl chloride
Figure US09896441-20180220-C00804
A mixture of 3-(benzylthio)-2-ethoxy-5-(trifluoromethyl)pyridine (600 mg, 1.91 mmol), N-chlorosuccinimide (1.02 g, 7.64 mmol), acetic acid (4 mL), and water (1 mL) was stirred for one hour at room temperature and concentrated. The residue was purified via MPLC eluting with (1:6) ethyl acetate:petroleum ether to afford 2-ethoxy-5-(trifluoromethyl)pyridine-3-sulfonyl chloride (450 mg, 81%) as a yellow solid.
Part IV—Synthesis of (S,E)-Methyl 3-(6-(2-(2-chloro-6-fluorophenyl)prop-1-en-1-yl)-4-((2-ethoxy-5-(trifluoromethyl)pyridin-3-yl)sulfonyl)-3,4-dihydro-2H-benzo[b][1,4]oxazin-2-yl)propanoate
Figure US09896441-20180220-C00805
A solution of (S,E)-methyl 3-(6-(2-(2-chloro-6-fluorophenyl)prop-1-en-1-yl)-3,4-dihydro-2H-benzo[b][1,4]oxazin-2-yl)propanoate (250 mg, 0.64 mmol), pyridine (254 mg, 3.21 mmol), 4-dimethylaminopyridine (39.2 mg, 0.32 mmol), dichloromethane (5 mL), and 2-ethoxy-5-(trifluoromethyl)pyridine-3-sulfonyl chloride (371.5 mg, 1.28 mmol) was stirred overnight at room temperature. The mixture was diluted with water and was extracted three times with dichloromethane. The combined organic layers were dried (Na2SO4), concentrated and the residue was purified via MPLC eluting with 10% ethyl acetate in petroleum ether to afford (S,E)-methyl 3-(6-(2-(2-chloro-6-fluorophenyl)prop-1-en-1-yl)-4-((2-ethoxy-5-(trifluoromethyl)pyridin-3-yl)sulfonyl)-3,4-dihydro-2H-benzo[b][1,4]oxazin-2-yl)propanoate (200 mg, 49%) as a yellow oil. 1H-NMR (400 MHz, CD3OD) δ 8.74 (s, 1H), 8.57 (s, 1H), 7.59 (s, 1H), 7.30 (m, 2H), 7.12 (m, 1H), 7.05 (d, 1H), 6.91 (d, 1H), 6.29 (s, 1H), 4.47 (m, 2H), 4.26 (dd, 1H), 3.92 (m, 1H), 3.67 (s, 3H), 3.45 (dd, 1H), 2.56 (t, 2H), 2.10 (s, 3H), 1.96 (m, 2H), 1.32 (t, 3H). (ES, m/z): (M+H)+ 643.
Example 34—Synthesis of (S,E)-3-(6-(2-(2-Chloro-6-fluorophenyl)prop-1-en-1-yl)-4-((2-ethoxy-5-(trifluoromethyl)pyridin-3-yl)sulfonyl)-3,4-dihydro-2H-benzo[b][1,4]oxazin-2-yl)propanoic acid
Figure US09896441-20180220-C00806
A mixture of (S,E)-methyl 3-(6-(2-(2-chloro-6-fluorophenyl)prop-1-en-1-yl)-4-((2-ethoxy-5-(trifluoromethyl)pyridin-3-yl)sulfonyl)-3,4-dihydro-2H-benzo[b][1,4]oxazin-2-yl)propanoate (150 mg, 0.23 mmol), tetrahydrofuran (3 mL), water (1 mL) and lithium hydroxide monohydrate (30 mg, 0.72 mmol) was stirred for two hours at room temperature. The pH value of the solution was adjusted to 5 with 1M hydrogen chloride. The mixture was extracted three times with ethyl acetate. The combined organic layers were concentrated and the residue was purified by reverse phase Prep-HPLC eluting with a gradient of 65-82% acetonitrile in water with 0.05% trifluoroacetic acid to afford (S,E)-3-(6-(2-(2-chloro-6-fluorophenyl)prop-1-en-1-yl)-4-((2-ethoxy-5-(trifluoromethyl)pyridin-3-yl)sulfonyl)-3,4-dihydro-2H-benzo[b][1,4]oxazin-2-yl)propanoic acid (26 mg, 18%) as a white solid. 1H-NMR (400 MHz, CD3OD) δ 8.74 (s, 1H), 8.57 (s, 1H), 7.57 (m, 1H), 7.30 (m, 2H), 7.12 (m, 1H), 7.05 (d, 1H), 6.94 (d, 1H), 6.30 (s, 1H), 4.48 (m, 2H), 4.28 (dd, 1H), 3.95 (m, 1H), 3.44 (dd, 1H), 2.52 (t, 2H), 2.11 (s, 3H), 1.96 (m, 2H), 1.34 (t, 3H). (ES, m/z): (M+H)+ 629.
Example 35—Synthesis of Methyl (S,E)-3-(6-(2-(2-chlorophenyl)but-1-en-1-yl)-4-((3-(trifluoromethyl)phenyl)sulfonyl)-3,4-dihydro-2H-benzo[b][1,4]oxazin-2-yl)propanoate
Figure US09896441-20180220-C00807
Part I—Synthesis of (Z)-2-(2-Bromo-2-(2-chlorophenyl)vinyl)-4,4,5,5-tetramethyl-1,3,2-dioxaborolane
Figure US09896441-20180220-C00808
Tribromoborane (0.4 mL, 4.39 mmol) was added to a stirred solution of dichloromethane (6 mL) and 1-chloro-2-ethynylbenzene (500 mg, 3.66 mmol) at −78° C. After three hours, a solution of pinacol (519 mg, 4.39 mmol) in dichloromethane (2 mL) was added dropwise with stirring followed by N,N-diisopropylethyl amine (1.18 g, 9.15 mmol). The resulting solution was allowed to warm to room temperature and stirred for an additional two hours. The mixture was partitioned between dichloromethane and brine. The organic layer was dried (Na2SO4) and concentrated. The residue was purified via MPLC eluting with 1% ethyl acetate in petroleum ether to afford (Z)-2-(2-bromo-2-(2-chlorophenyl)vinyl)-4,4,5,5-tetramethyl-1,3,2-dioxaborolane (450 mg, 36%) as a yellow oil.
Part II—Synthesis of (E)-2-(2-(2-Chlorophenyl)but-1-en-1-yl)-4,4,5,5-tetramethyl-1,3,2-dioxaborolane
Figure US09896441-20180220-C00809
To a stirred solution of (Z)-2-(2-bromo-2-(2-chlorophenyl)vinyl)-4,4,5,5-tetramethyl-1,3,2-dioxaborolane (450 mg, 1.31 mmol) and bis(tri-tert-butylphosphine)-palladium(0) (47 mg, 0.06 mmol) in tetrahydrofuran (10 mL) at −78° C. was added a 1M solution of diethylzinc in THF (0.74 mL, 0.74 mmol). The mixture was stirred for 30 minutes at −78° C. and then warmed to room temperature and stirred for two additional hours and then 1M hydrogen chloride (2 mL) was added. The mixture was extracted three times with ethyl acetate. The combined organic layers were washed with brine, dried (Na2SO4), and concentrated. The residue was purified via MPLC, eluting with 1% ethyl acetate in petroleum ether to afford (E)-2-(2-(2-chlorophenyl)but-1-en-1-yl)-4,4,5,5-tetramethyl-1,3,2-dioxaborolane (180 mg, 47%) as a yellow oil.
Part III—Synthesis of Methyl (S,E)-3-(6-(2-(2-chlorophenyl)but-1-en-1-yl)-4-((3-(trifluoromethyl)phenyl)sulfonyl)-3,4-dihydro-2H-benzo[b][1,4]oxazin-2-yl)propanoate
Figure US09896441-20180220-C00810
A stirred mixture of (E)-2-(2-(2-chlorophenyl)but-1-en-1-yl)-4,4,5,5-tetramethyl-1,3,2-dioxaborolane (180 mg, 0.62 mmol), (S)-methyl 3-(6-bromo-4-((3-(trifluoromethyl)phenyl)sulfonyl)-3,4-dihydro-2H-benzo[b][1,4]oxazin-2-yl)propanoate (200 mg, 0.39 mmol), tetrakis(triphenylphosphine)palladium(0) (23 mg, 0.02 mmol), sodium carbonate (127 mg, 1.20 mmol), toluene (10 mL), methanol (2 mL), and water (2 mL) was stirred for three hours at 80° C. The mixture was concentrated and the residue was purified by MPLC eluting with a gradient of 40-50% ethyl acetate in hexanes to afford methyl (S,E)-3-(6-(2-(2-chlorophenyl)but-1-en-1-yl)-4-((3-(trifluoromethyl)phenyl)sulfonyl)-3,4-dihydro-2H-benzo[b][1,4]oxazin-2-yl)propanoate (170 mg, 73%). 1H-NMR (400 MHz, CD3OD) δ 7.99 (m, 2H), 7.93 (s, 1H), 7.86-7.80 (m, 2H), 7.44 (dt, J=7.2 Hz, 1.2 Hz, 1H), 7.34-7.30 (m, 3H), 7.08 (dd, J=8.4 Hz, 2.0 Hz, 1H), 6.84 (d, J=8.4 Hz, 1H), 6.32 (s, 1H), 4.43 (dd, J=14.4 Hz, 2.4 Hz, 1H), 3.67 (s, 3H), 3.34-3.33 (m, 1H), 3.27 (dd, J=14.4 Hz, 2.4 Hz, 1H), 2.76-2.72 (m, 2H), 2.49-2.45 (m, 2H), 1.81 (m, 2H), 1.0 (t, J=7.6 Hz, 3H). (ES, m/z): (M+H)+ 616.
Example 36—Preparation of Additional Alkenes from Aryl Alkynes with Tribromoborane
Compounds in Table 9 were prepared based on experimental procedures described in Examples 29, 34, and 35 and the detailed description.
TABLE 9
Observed
No. Structure Name m/z
36A
Figure US09896441-20180220-C00811
(S,E)-3-(6-(2-(2- chlorophenyl)but-1- en-1-yl)-4-((3- (trifluoromethyl)- phenyl)sulfonyl)-3,4- dihydro-2H- benzo[b][1,4]oxazin- 2-yl)propanoic acid 580 (M + H)+
36B
Figure US09896441-20180220-C00812
methyl (S,E)-3-(6-(2- phenylbut-1-en-1- yl)-4-((3- (trifluoromethyl)- phenyl)sulfonyl)-3,4- dihydro-2H- benzo[b][1,4]oxazin- 2-yl)propanoate 560 (M + H)+
36C
Figure US09896441-20180220-C00813
(S,E)-3-(6-(2- phenylbut-1-en-1- yl)-4-((3- (trifluoromethyl)- phenyl)sulfonyl)-3,4- dihydro-2H- benzo[b][1,4]oxazin- 2-yl)propanoic acid 546 (M + H)+
Example 37—Synthesis of (S,E)-3-(6-((3,4-Dihydronaphthalen-1(2H)-ylidene)methyl)-4-((3-(trifluoromethyl)phenyl)sulfonyl)-3,4-dihydro-2H-benzo[b][1,4]oxazin-2-yl)propanoic acid
Figure US09896441-20180220-C00814
Part I—Synthesis of (E)-1-(Bromomethylene)-1,2,3,4-tetrahydronaphthalene
Figure US09896441-20180220-C00815
A solution of 1,2,3,4-tetrahydronaphthalen-1-one (2 g, 13.68 mmol) in dichloromethane (15 mL) was added to a solution of titanium tetrachloride (0.9 g, 10.9 mmol) and magnesium turnings (3.2 g, 137 mmol) in dichloromethane (50 mL) at −78° C. A solution of bromoform (3.9 mL, 44.8 mmol) in ethylene glycol dimethyl ether (20 mL) at −78° C. was then added and the reaction mixture was slowly warmed to 0° C. during a period of two hours. Saturated potassium carbonate was added and the mixture was filtered. The filtrate was extracted twice with dichloromethane and the combined organic layers were dried (Na2SO4) and concentrated. The residue was purified via MPLC eluting with petroleum ether to afford (E)-1-(bromomethylene)-1,2,3,4-tetrahydronaphthalene (600 mg, 20%) as a colorless oil.
Part II—Synthesis of (E)-2-((3,4-Dihydronaphthalen-1(2H)-ylidene)methyl)-4,4,5,5-tetramethyl-1,3,2-dioxaborolane
Figure US09896441-20180220-C00816
A mixture of (E)-1-(bromomethylene)-1,2,3,4-tetrahydronaphthalene (500 mg, 2.24 mmol), 4,4,5,5-tetramethyl-2-(tetramethyl-1,3,2-dioxaborolan-2-yl)-1,3,2-dioxaborolane (858 mg, 3.38 mmol), potassium acetate (662 mg, 6.75 mmol), tetrakis(triphenylphosphine)-palladium(0) (260 mg, 0.22 mmol), toluene (20 mL), ethanol (10 mL) and water (5 mL) was stirred for two hours at 90° C. The resulting mixture was cooled and concentrated. The residue was purified via MPLC eluting with 1% ethyl acetate in petroleum ether to afford (E)-2-((3,4-dihydronaphthalen-1(2H)-ylidene)methyl)-4,4,5,5-tetramethyl-1,3,2-dioxaborolane (200 mg, 33%) as a colorless oil.
Part III—Synthesis of Methyl (S,E)-3-(6-((3,4-dihydronaphthalen-1(2H)-ylidene)methyl)-4-((3-(trifluoromethyl)phenyl)sulfonyl)-3,4-dihydro-2H-benzo[b][1,4]oxazin-2-yl)propanoate
Figure US09896441-20180220-C00817
A mixture of(S)-methyl 3-(6-bromo-4-((3-(trifluoromethyl)phenyl)sulfonyl)-3,4-dihydro-2H-benzo[b][1,4]oxazin-2-yl)propanoate (200 mg, 0.39 mmol), (E)-2-((3,4-dihydronaphthalen-1(2H)-ylidene)methyl)-4,4,5,5-tetramethyl-1,3,2-dioxaborolane (117 mg, 0.43 mmol), potassium acetate (116 mg, 1.18 mmol), tetrakis(triphenylphosphine)palladium(0) (46 mg, 0.04 mmol), toluene (4 mL), ethanol (2 mL), and water (1 mL) was stirred for two hours at 90° C. The mixture was concentrated and the residue was purified via MPLC eluting with 20% ethyl acetate in petroleum ether to afford methyl (S,E)-3-(6-((3,4-dihydronaphthalen-1(2H)-ylidene)methyl)-4-((3-(trifluoromethyl)phenyl)sulfonyl)-3,4-dihydro-2H-benzo[b][1,4]oxazin-2-yl)propanoate (100 mg, 44%) as a colorless oil.
Part IV—Synthesis of (S,E)-3-(6-((3,4-Dihydronaphthalen-1(2H)-ylidene)methyl)-4-((3-(trifluoromethyl)phenyl)sulfonyl)-3,4-dihydro-2H-benzo[b][1,4]oxazin-2-yl)propanoic acid
Figure US09896441-20180220-C00818
A mixture of methyl (S,E)-3-(6-((3,4-dihydronaphthalen-1(2H)-ylidene)methyl)-4-((3-(trifluoromethyl)phenyl)sulfonyl)-3,4-dihydro-2H-benzo[b][1,4]oxazin-2-yl)propanoate (120 mg, 0.21 mmol), methanol (3 mL), water (1 mL), and lithium hydroxide (101 mg, 4.22 mmol) was stirred for two hours at room temperature. The pH value of the solution was adjusted to 5 with 1M HCl. The mixture was extracted twice with ethyl acetate. The combined organic layers were dried (Na2SO4) and concentrated. The residue was purified by Prep-HPLC eluting with a gradient of 65-78% acetonitrile in water with 0.05% trifluoroacetic acid to afford (S,E)-3-(6-((3,4-dihydronaphthalen-1(2H)-ylidene)methyl)-4-((3-(trifluoromethyl)phenyl)sulfonyl)-3,4-dihydro-2H-benzo[b][1,4]oxazin-2-yl)propanoic acid (10.4 mg, 9%) as a colorless solid. 1H-NMR (300 MHz, CD3OD) δ 7.96 (s, 1H), 7.87-7.79 (m, 3H), 7.70-7.64 (m, 1H), 7.62-7.60 (m, 1H), 7.26-7.19 (m, 1H), 7.17-7.08 (m, 2H), 6.96 (s, 1H), 6.82-6.79 (d, J=8.4 Hz, 1H), 4.36-4.31 (m, 1H), 3.56-3.53 (m, 1H), 3.29-3.20 (m, 1H), 2.86-2.71 (m, 4H), 2.57-2.46 (m, 2H), 1.98-1.77 (m, 4H). (ES, m/z): (M+H)+ 558.
Example 38—Preparation of Additional Alkenes
Compounds in Table 10 were prepared based on experimental procedures described in Examples 29 and 37 and the detailed description.
TABLE 10
Observed
No. Structure Name m/z
38A
Figure US09896441-20180220-C00819
methyl (S,E)-3-(6-(chroman-4- ylidenemethyl)-4-((3- (trifluoromethyl)phenyl)sulfonyl)- 3,4-dihydro-2H- benzo[b][1,4]oxazin-2- yl)propanoate 574 (M + H)+
38B
Figure US09896441-20180220-C00820
(S,E)-3-(6-(chroman-4- ylidenemethyl)-4-((3- (trifluoromethyl)- phenyl)sulfonyl)-3,4-dihydro-2H- benzo[b][1,4]oxazin-2- yl)propanoic acid 560 (M + H)+
38C
Figure US09896441-20180220-C00821
(S,E)-3-(6-((2,3-dihydro-1H- inden-1-ylidene)methyl)-4-((3- (trifluoromethyl)phenyl)sulfonyl)- 3,4-dihydro-2H-benzo[b][1,4]- oxazin-2-yl)propanoic acid 544 (M + H)+
Example 39—Synthesis of Methyl (S,E)-3-(6-(2-chloro-6-fluorostyryl)-4-((3-(difluoromethoxy)phenyl)sulfonyl)-3,4-dihydro-2H-benzo[b][1,4]oxazin-2-yl)propanoate
Figure US09896441-20180220-C00822
Part I—Synthesis of Methyl (S,E)-3-(6-(2-chloro-6-fluorostyryl)-3,4-dihydro-2H-benzo[b][1,4]oxazin-2-yl)propanoate
Figure US09896441-20180220-C00823
A mixture of methyl (S)-3-(6-bromo-3,4-dihydro-2H-benzo[b][1,4]oxazin-2-yl)propanoate (620 mg, 2.07 mmol), (E)-2-(2-chloro-6-fluorostyryl)-4,4,5,5-tetramethyl-1,3,2-dioxaborolane (877.3 mg, 3.27 mmol), ethanol (2.4 mL), water (8.5 mL), toluene (16.9 mL), sodium carbonate (1.80 g, 16.9 mmol), and tetrakis(triphenylphosphine)palladium(0) (288 mg, 0.25 mmol) was stirred overnight at 95° C. The mixture was diluted with water and extracted three times with dichloromethane. The combined organic layers were dried (Na2SO4), concentrated, and the residue was purified by MPLC eluting with a gradient of 10-33% ethyl acetate in petroleum ether to afford methyl (S,E)-3-(6-(2-chloro-6-fluorostyryl)-3,4-dihydro-2H-benzo[b][1,4]oxazin-2-yl)propanoate (720 mg, 93%) as a yellow oil.
Part II—Synthesis of Methyl (S,E)-3-(6-(2-chloro-6-fluorostyryl)-4-((3-(difluoromethoxy)phenyl)sulfonyl)-3,4-dihydro-2H-benzo[b][1,4]oxazin-2-yl)propanoate
Figure US09896441-20180220-C00824
A solution of (S,E)-3-(6-(2-chloro-6-fluorostyryl)-3,4-dihydro-2H-benzo[b][1,4]oxazin-2-yl)propanoate (165 mg, 0.44 mmol), pyridine (0.18 mL, 2.2 mmol), 4-dimethylaminopyridine (26.8 mg, 0.22 mmol), 3-(difluoromethoxy)benzene-1-sulfonyl chloride (128 mg, 0.53 mmol) in dichloromethane (2.2 mL) was stirred overnight at room temperature. Brine was added, and the mixture was extracted three times with dichloromethane. The combined organic layers were dried (Na2SO4) and concentrated. The residue was purified by MPLC eluting with a gradient of 20-50% ethyl acetate in petroleum ether. The major UV component was concentrated and the residue was further purified by reverse phase HPLC eluting with a gradient of 63-83% acetonitrile in water with 0.05% trifluoroacetic acid to afford methyl (S,E)-3-(6-(2-chloro-6-fluorostyryl)-4-((3-(difluoromethoxy)phenyl)sulfonyl)-3,4-dihydro-2H-benzo[b][1,4]oxazin-2-yl)propanoate (28.3 mg, 11%) as a colorless oil. 1H-NMR (400 MHz, CDCl3) δ 1.76-1.92 (m, 2H), 2.47 (dt, J=1.8 Hz, 7.2 Hz, 2H), 3.19 (dd, J=9.9 Hz, 14.4 Hz, 1H), 3.44-3.51 (m, 1H), 3.69 (s, 3H), 4.31 (dd, J=2.1 Hz, 14.4 Hz, 1H), 6.56 (t, J=72.9 Hz, 1H), 6.83 (d, J=8.7 Hz, 1H), 7.02-7.27 (m, 4H), 7.32-7.37 (m, 3H), 7.45-7.51 (m, 3H), 7.98 (d, J=1.8 Hz, 1H). (ES, m/z): (M+H)+ 582.
Example 40—Synthesis of (S,E)-3-(6-(2-Chloro-6-fluorostyryl)-4-((3-(difluoromethoxy)phenyl)sulfonyl)-3,4-dihydro-2H-benzo[b][1,4]oxazin-2-yl)propanoic acid
Figure US09896441-20180220-C00825
Based on the procedure in Example 34, (S,E)-3-(6-(2-chloro-6-fluorostyryl)-4-((3-(difluoromethoxy)phenyl)sulfonyl)-3,4-dihydro-2H-benzo[b][1,4]oxazin-2-yl)propanoic acid was prepared. 1H-NMR (300 MHz, CDCl3) δ 1.78-1.95 (m, 2H), 2.49-2.58 (m, 2H), 3.21 (d, J=9.9 Hz, 14.4 Hz, 1H), 3.47-3.53 (m, 1H), 4.32 (dd, J=2.4 Hz, 14.4 Hz, 1H), 6.50 (t, J=72.6 Hz, 1H), 6.84 (d, J=8.4 Hz, 1H), 7.02-7.25 (m, 4H), 7.27-7.38 (m, 3H), 7.45-7.53 (m, 3H), 7.98 (d, J=1.8 Hz, 1H). (ES, m/z): (M+H)+ 568.
Example 41—Synthesis of (S,E)-Methyl 3-(6-(2-(2-chloro-6-fluorophenyl)prop-1-en-1-yl)-7-fluoro-4-((3-(trifluoromethyl)phenyl)sulfonyl)-3,4-dihydro-2H-benzo[b][1,4]oxazin-2-yl)propanoate
Figure US09896441-20180220-C00826
Part I—Synthesis of 4-Bromo-5-fluoro-2-nitrophenol
Figure US09896441-20180220-C00827
To a stirred mixture of 4-bromo-3-fluorophenol (10.23 g, 53.56 mmol), dichloromethane (108 mL), and sulfuric acid (6 mL, 107 mmol) at 0° C. was added 65% nitric acid (3.8 mL, 53.6 mmol). After one hour at 0° C., the mixture was diluted with water. The resulting mixture was extracted three times with dichloromethane. The combined organic layers were concentrated, and the resulting residue was purified by MPLC eluting with a gradient of 10:1 to 2:1 hexane:ethyl acetate to afford 4-bromo-5-fluoro-2-nitrophenol (9.47 g, 75%) as a yellow solid.
Part II—Synthesis of (S)-Dimethyl 2-(4-bromo-5-fluoro-2-nitrophenoxy)pentanedioate
Figure US09896441-20180220-C00828
To a stirred solution of 1,5-dimethyl (2R)-2-hydroxypentanedioate (5.52 g, 31.33 mmol), 4-bromo-5-fluoro-2-nitrophenol (8.88 g, 37.63 mmol), dichloromethane (160 mL), and triphenyl phosphine (12.63 g, 48.15 mmol) at 0° C. was added dropwise diisopropyl azodicarboxylate (7.3 mL, 37.6 mmol). The resulting mixture was stirred overnight at room temperature and then diluted with saturated sodium bicarbonate (500 mL). The resulting mixture was extracted three times with dichloromethane. The organic layers were combined and concentrated. The resulting residue was purified by MPLC eluting with a gradient of 10-66% ethyl acetate in petroleum ether to afford (S)-dimethyl 2-(4-bromo-5-fluoro-2-nitrophenoxy)pentanedioate (18.86 g) as an oil.
Part III—Synthesis of (S)-Methyl 3-(6-bromo-7-fluoro-3-oxo-3,4-dihydro-2H-benzo[b][1,4]oxazin-2-yl)propanoate
Figure US09896441-20180220-C00829
A mixture of (S)-dimethyl 2-(4-bromo-5-fluoro-2-nitrophenoxy)pentanedioate (12 g, 30.45 mmol), acetic acid (100 mL), and iron powder (25.07 g, 0.448 mol) was stirred for one hour at 100° C. The mixture was filtered, and the filtrate was concentrated. The resulting residue was diluted with saturated sodium bicarbonate, and extracted three times with dichloromethane. The combined organic layers were concentrated and the resulting residue was purified by MPLC eluting with a gradient of 20-50% ethyl acetate in petroleum ether to afford (S)-methyl 3-(6-bromo-7-fluoro-3-oxo-3,4-dihydro-2H-benzo[b][1,4]oxazin-2-yl)propanoate (14.74 g) as a yellow solid.
Part IV—Synthesis of (S)-Methyl 3-(6-bromo-7-fluoro-3,4-dihydro-2H-benzo[b][1,4]-oxazin-2-yl)propanoate
Figure US09896441-20180220-C00830
A 10M solution of borane dimethyl sulfide in THF (12.5 mL, 125 mmol) was added dropwise to a solution of (S)-methyl 3-(6-bromo-7-fluoro-3-oxo-3,4-dihydro-2H-benzo[b][1,4]oxazin-2-yl)propanoate (10.1 g, 30.4 mmol) in tetrahydrofuran (100 mL). The solution was stirred overnight at room temperature, and then quenched by the slow addition of methanol (100 mL). The resulting mixture was concentrated, diluted with saturated sodium bicarbonate, and extracted three times with ethyl acetate. The combined organic layers were concentrated, and the resulting residue was purified MPLC eluting with a gradient of 20-80% ethyl acetate in petroleum ether to afford (S)-methyl 3-(6-bromo-7-fluoro-3,4-dihydro-2H-benzo[b][1,4]-oxazin-2-yl)propanoate (9.09 g, 94%) as a pink solid.
Part V—Synthesis of (S,E)-Methyl 3-(6-(2-(2-chloro-6-fluorophenyl)prop-1-en-1-yl)-7-fluoro-3,4-dihydro-2H-benzo[b][1,4]oxazin-2-yl)propanoate
Figure US09896441-20180220-C00831
A mixture of (S)-methyl 3-(6-bromo-7-fluoro-3,4-dihydro-2H-benzo[b][1,4]-oxazin-2-yl)propanoate (528 mg, 1.66 mmol), (E)-2-(2-(2-chloro-6-fluorophenyl)prop-1-en-1-yl)-4,4,5,5-tetramethyl-1,3,2-dioxaborolane (740 mg, 2.50 mmol), ethanol (1.9 mL), water (6.8 mL) and toluene (13.6 mL) was purged with nitrogen and maintained under an atmosphere of nitrogen. Sodium carbonate (1.44 g, 13.59 mmol) and tetrakis(triphenylphosphine)palladium(0) (231.4 mg, 0.20 mmol) were added and the stirred mixture was heated overnight at 95° C., then cooled, and diluted with water. The resulting mixture was extracted three times with dichloromethane and the combined organic layers were concentrated. The resulting residue was purified by MPLC eluting with a gradient of 20-50% ethyl acetate in petroleum ether to afford (S,E)-methyl 3-(6-(2-(2-chloro-6-fluorophenyl)prop-1-en-1-yl)-7-fluoro-3,4-dihydro-2H-benzo[b][1,4]oxazin-2-yl)propanoate (1.16 g) as an oil.
Part VI—Synthesis of (S,E)-Methyl 3-(6-(2-(2-chloro-6-fluorophenyl)prop-1-en-1-yl)-7-fluoro-4-((3-(trifluoromethyl)phenyl)sulfonyl)-3,4-dihydro-2H-benzo[b][1,4]oxazin-2-yl)propanoate
Figure US09896441-20180220-C00832
A mixture of (S,E)-methyl 3-(6-(2-(2-chloro-6-fluorophenyl)prop-1-en-1-yl)-7-fluoro-3,4-dihydro-2H-benzo[b][1,4]oxazin-2-yl)propanoate (163 mg, 0.40 mmol), dichloromethane (2 mL), pyridine (0.16 mL, 2 mmol), 4-dimethylaminopyridine (24.4 mg, 0.20 mmol), and 3-(trifluoromethyl)benzene-1-sulfonyl chloride (0.077 mL, 0.48 mmol) was stirred overnight at room temperature, and then diluted with brine. The resulting mixture was extracted three times with dichloromethane and the combined organic layers were concentrated. The resulting residue was purified by MPLC eluting with a gradient of 20-50% ethyl acetate in petroleum ether to afford (S,E)-methyl 3-(6-(2-(2-chloro-6-fluorophenyl)prop-1-en-1-yl)-7-fluoro-4-((3-(trifluoromethyl)-phenyl)sulfonyl)-3,4-dihydro-2H-benzo[b][1,4]oxazin-2-yl)propanoate (23.7 mg, 10%) as a colorless oil. 1H-NMR (300 MHz, CD3OD) δ 1.72-1.97 (m, 2H), 2.15 (s, 3H), 2.37-2.56 (m, 2H), 3.23-3.27 (m, 1H), 3.32-3.43 (m, 1H), 4.42 (dd, J=2.1 Hz, 14.7 Hz, 1H), 6.35 (s, 1H), 6.65 (d, J=10.8 Hz, 1H), 7.11-7.17 (m, 1H), 7.31-7.36 (m, 2H), 7.78-7.88 (m, 2H), 7.95-8.02 (m, 3H). (ES, m/z): (M+H)+ 616.
Example 42—Synthesis of (S,E)-3-(6-(2-(2-Chloro-6-fluorophenyl)prop-1-en-1-yl)-7-fluoro-4-((3-(trifluoromethyl)phenyl)sulfonyl)-3,4-dihydro-2H-benzo[b][1,4]oxazin-2-yl)propanoic acid
Figure US09896441-20180220-C00833
A mixture of (S,E)-methyl 3-(6-(2-(2-chloro-6-fluorophenyl)prop-1-en-1-yl)-7-fluoro-4-((3-(trifluoromethyl)-phenyl)sulfonyl)-3,4-dihydro-2H-benzo[b][1,4]oxazin-2-yl)propanoate (86 mg, 0.14 mmol), tetrahydrofuran (1.2 mL), water (0.3 mL), and lithium hydroxide monohydrate (17.6 mg, 0.42 mmol) was stirred overnight at room temperature. The pH value of the mixture was adjusted to 1 with 1M hydrogen chloride. The resulting mixture was extracted three times with dichloromethane and the combined organic layers were concentrated. The resulting residue was purified by Prep-HPLC eluting with a gradient of 65-85% acetonitrile with 0.05% trifluoroacetic acid to afford (S,E)-3-(6-(2-(2-chloro-6-fluorophenyl)prop-1-en-1-yl)-7-fluoro-4-((3-(trifluoromethyl)phenyl)sulfonyl)-3,4-dihydro-2H-benzo[b][1,4]oxazin-2-yl)propanoic acid (34.3 mg, 41%) as a white solid. 1H-NMR (300 MHz, CDCl3) δ 1.77-1.96 (m, 2H), 2.17 (s, 3H), 2.49-2.55 (m, 2H), 3.21 (dd, J=9.9 Hz, 14.4 Hz, 1H), 3.47-3.53 (m, 1H), 4.33 (dd, J=2.4 Hz, 14.4 Hz, 1H), 6.40 (s, 1H), 6.58 (d, J=10.5 Hz, 1H), 7.04 (dt, J=2.4 Hz, 6.9 Hz, 1H), 7.16-7.23 (m, 2H), 7.65 (t, J=7.8 Hz, 1H), 7.80-7.89 (m, 3H), 8.00 (s, 1H). (ES, m/z): (M+H)+ 602.
Example 43—Synthesis of (S,E)-Methyl 3-(6-(2-(2-chloro-6-fluorophenyl)prop-1-en-1-yl)-4-((3-(difluoromethoxy)phenyl)sulfonyl)-7-fluoro-3,4-dihydro-2H-benzo[b][1,4]oxazin-2-yl)propanoate
Figure US09896441-20180220-C00834
Based on the procedure in Example 41, (S,E)-methyl 3-(6-(2-(2-chloro-6-fluorophenyl)prop-1-en-1-yl)-4-((3-(difluoromethoxy)phenyl)sulfonyl)-7-fluoro-3,4-dihydro-2H-benzo[b][1,4]oxazin-2-yl)propanoate was prepared. 1H-NMR (300 MHz, CDCl3) δ 1.72-1.88 (m, 2H), 2.19 (s, 3H), 2.44 (dt, J=2.1 Hz, 7.2 Hz, 2H), 3.15 (dd, J=10.2 Hz, 14.7 Hz, 1H), 3.39-3.40 (m, 1H), 3.67 (s, 3H), 4.28 (dd, J=2.4 Hz, 14.4 Hz, 1H), 6.41 (s, 1H), 6.56 (d, J=10.5 Hz, 1H), 6.59 (t, J=72.6 Hz, 1H), 7.00-7.06 (m, 1H), 7.19-7.25 (m, 2H), 7.35 (d, J=7.5 Hz, 1H), 7.42-7.52 (m, 3H), 7.92 (d, J=7.8 Hz, 1H). (ES, m/z): (M+H)+ 614.
Example 44—Synthesis of (S,E)-3-(6-(2-(2-Chloro-6-fluorophenyl)prop-1-en-1-yl)-4-((3-(difluoromethoxy)phenyl)sulfonyl)-7-fluoro-3,4-dihydro-2H-benzo[b][1,4]oxazin-2-yl)propanoic acid
Figure US09896441-20180220-C00835
Based on the procedure in Example 42, (S,E)-3-(6-(2-(2-chloro-6-fluorophenyl)prop-1-en-1-yl)-4-((3-(difluoromethoxy)phenyl)sulfonyl)-7-fluoro-3,4-dihydro-2H-benzo[b][1,4]oxazin-2-yl)propanoic acid was prepared. 1H-NMR (300 MHz, CDCl3) δ 1.77-1.90 (m, 2H), 2.19 (s, 3H), 2.52 (dt, J=1.8 Hz, 7.2 Hz, 2H), 3.17 (dd, J=10.2 Hz, 14.4 Hz, 1H), 3.37-3.44 (m, 1H), 4.29 (dd, J=2.1 Hz, 14.4 Hz, 1H), 6.41 (s, 1H), 6.54 (t, J=72.6 Hz, 1H), 6.57 (d, J=10.5 Hz, 1H), 7.03 (dt, J=2.1 Hz, 6.9 Hz, 1H), 7.16-7.23 (m, 2H), 7.34-7.37 (m, 1H), 7.44-7.53 (m, 3H), 7.92 (d, J=7.8 Hz, 1H). (ES, m/z): (M+H)+ 600.
Example 45—Synthesis of (S,E)-Methyl 3-(7-chloro-6-(2-(2-chloro-6-fluorophenyl)prop-1-en-1-yl)-4-((3-(trifluoromethyl)phenyl)sulfonyl)-3,4-dihydro-2H-benzo[b][1,4]oxazin-2-yl)propanoate
Figure US09896441-20180220-C00836
Part I—Synthesis of 4-Bromo-5-chloro-2-nitrophenol
Figure US09896441-20180220-C00837
A solution of 65% nitric acid (3.6 mL, 52 mmol) in acetic acid (9.8 mL) was added dropwise to a stirred solution of 4-bromo-3-chlorophenol (10.13 g, 48.83 mmol) in acetic acid (16.3 mL) and the mixture was stirred for one hour at room temperature. Ice water was added and the mixture was extracted three times with dichloromethane. The combined organic layers were concentrated, and the resulting residue was purified by MPLC eluting with a gradient of 10-33% ethyl acetate in petroleum ether to afford 4-bromo-5-chloro-2-nitrophenol (10.58 g, 86%) as a red solid.
Part II—Synthesis of (S)-Dimethyl 2-(4-bromo-5-chloro-2-nitrophenoxy)pentanedioate
Figure US09896441-20180220-C00838
To a stirred solution of 1,5-dimethyl (2R)-2-hydroxypentanedioate (5.80 g, 32.9 mmol), 4-bromo-5-chloro-2-nitrophenol (9.97 g, 39.5 mmol), dichloromethane (160 mL), and triphenyl phosphine (12.9 g, 49.2 mmol) at 0° C. was added dropwise diisopropyl azodicarboxylate (7.4 mL, 39 mmol). The mixture was stirred overnight at room temperature and then diluted with saturated sodium bicarbonate (500 mL). The mixture was extracted three times with dichloromethane. The organic layers were combined and concentrated. The resulting residue was purified by MPLC eluting with a gradient of 10-66% ethyl acetate in petroleum ether to afford (S)-dimethyl 2-(4-bromo-5-chloro-2-nitrophenoxy)pentanedioate (20.06 g) as a yellow solid.
Part III—Synthesis of (S)-Methyl 3-(6-bromo-7-chloro-3-oxo-3,4-dihydro-2H-benzo[b][1,4]oxazin-2-yl)propanoate
Figure US09896441-20180220-C00839
A mixture of (S)-dimethyl 2-(4-bromo-5-chloro-2-nitrophenoxy)pentanedioate (13.5 g, 32.9 mmol), acetic acid (100 mL), and iron powder (15.0 g, 0.27 mol) was stirred for one hour at 100° C. The mixture was filtered, and the filtrate was concentrated. The resulting residue was diluted with saturated sodium bicarbonate, and extracted three times with dichloromethane. The combined organic layers were concentrated and the resulting residue was purified by MPLC eluting with a gradient of 20-50% ethyl acetate in petroleum ether to afford (S)-methyl 3-(6-bromo-7-chloro-3-oxo-3,4-dihydro-2H-benzo[b][1,4]oxazin-2-yl)propanoate (11.5 g) as a light brown solid.
Part IV—Synthesis of (S)-Methyl 3-(6-bromo-7-chloro-3,4-dihydro-2H-benzo[b][1,4]-oxazin-2-yl)propanoate
Figure US09896441-20180220-C00840
A 10 M solution of borane dimethyl sulfide in THF (4.3 mL, 43 mmol) was added dropwise to a solution of (S)-methyl 3-(6-bromo-7-chloro-3-oxo-3,4-dihydro-2H-benzo[b][1,4]oxazin-2-yl)propanoate (11.5 g, 33 mmol) in tetrahydrofuran (100 mL). The solution was stirred overnight at room temperature, and then quenched by the slow addition of methanol (100 mL). The mixture was concentrated, diluted with saturated sodium bicarbonate, and extracted three times with ethyl acetate. The combined organic layers were concentrated, and the resulting residue was purified MPLC eluting with a gradient of 20-50% ethyl acetate in petroleum ether to afford (S)-methyl 3-(6-bromo-7-chloro-3,4-dihydro-2H-benzo[b][1,4]-oxazin-2-yl)propanoate (15.0 g) as a pink solid.
Part V—Synthesis of (S,E)-Methyl 3-(6-(2-(2-chloro-6-fluorophenyl)prop-1-en-1-yl)-7-chloro-3,4-dihydro-2H-benzo[b][1,4]oxazin-2-yl)propanoate
Figure US09896441-20180220-C00841
A mixture of (S)-methyl 3-(6-bromo-7-chloro-3,4-dihydro-2H-benzo[b][1,4]-oxazin-2-yl)propanoate (540 mg, 1.61 mmol), (E)-2-(2-(2-chloro-6-fluorophenyl)prop-1-en-1-yl)-4,4,5,5-tetramethyl-1,3,2-dioxaborolane (756 mg, 2.55 mmol), ethanol (1.9 mL), water (7.0 mL) and toluene (13.6 mL) was purged with nitrogen and maintained under an atmosphere of nitrogen. Sodium carbonate (1.48 g, 14 mmol) and tetrakis(triphenylphosphine)palladium(0) (237 mg, 0.20 mmol) were added and the stirred mixture was heated overnight at 95° C., then cooled, and diluted with water. The mixture was extracted three times with dichloromethane and the combined organic layers were concentrated. The resulting residue was purified by MPLC eluting with a gradient of 20-50% ethyl acetate in petroleum ether to afford (S,E)-methyl 3-(6-(2-(2-chloro-6-fluorophenyl)prop-1-en-1-yl)-7-chloro-3,4-dihydro-2H-benzo[b][1,4]oxazin-2-yl)propanoate (1.13 g) as a yellow solid.
Part VI—Synthesis of (S,E)-Methyl 3-(6-(2-(2-chloro-6-fluorophenyl)prop-1-en-1-yl)-7-chloro-4-((3-(trifluoromethyl)phenyl)sulfonyl)-3,4-dihydro-2H-benzo[b][1,4]oxazin-2-yl)propanoate
Figure US09896441-20180220-C00842
A mixture of (S,E)-methyl 3-(6-(2-(2-chloro-6-fluorophenyl)prop-1-en-1-yl)-7-chloro-3,4-dihydro-2H-benzo[b][1,4]oxazin-2-yl)propanoate (184 mg, 0.43 mmol), dichloromethane (2.2 mL), pyridine (0.17 mL, 2.1 mmol), 4-dimethylaminopyridine (26.5 mg, 0.22 mmol), and 3-(trifluoromethyl)benzene-1-sulfonyl chloride (0.084 mL, 0.52 mmol) was stirred overnight at room temperature, and then diluted with brine. The mixture was extracted three times with dichloromethane and the combined organic layers were concentrated. The resulting residue was purified by MPLC eluting with a gradient of 20-50% ethyl acetate in petroleum ether to afford (S,E)-methyl 3-(6-(2-(2-chloro-6-fluorophenyl)prop-1-en-1-yl)-7-chloro-4-((3-(trifluoromethyl)-phenyl)sulfonyl)-3,4-dihydro-2H-benzo[b][1,4]oxazin-2-yl)propanoate (17.8 mg, 6%) as a colorless oil. 1H-NMR (300 MHz, CDCl3) δ 1.81-1.85 (m, 1H), 1.88-1.93 (m, 1H), 2.12 (s, 3H), 2.43-2.48 (m, 2H), 3.23 (dd, J=9.6 Hz, 14.0 Hz, 1H), 3.53-3.54 (m, 1H), 3.68 (s, 3H), 4.32 (dd, J=2.8 Hz, 14.4 Hz, 1H), 6.46 (d, J=1.2 Hz, 1H), 6.92 (s, 1H), 7.04 (dt, J=1.6 Hz, 7.6 Hz, 1H), 7.20-7.25 (m, 2H), 7.66 (t, J=8.0 Hz, 1H), 7.83-7.88 (m, 3H), 8.02 (s, 1H). (ES, m/z): (M+H)+ 632.
Example 46—Synthesis of (S,E)-3-(7-Chloro-6-(2-(2-chloro-6-fluorophenyl)prop-1-en-1-yl)-4-((3-(trifluoromethyl)phenyl)sulfonyl)-3,4-dihydro-2H-benzo[b][1,4]oxazin-2-yl)propanoic acid
Figure US09896441-20180220-C00843
Based on the procedure in Example 42, (S,E)-3-(7-chloro-6-(2-(2-chloro-6-fluorophenyl)prop-1-en-1-yl)-4-((3-(trifluoromethyl)phenyl)sulfonyl)-3,4-dihydro-2H-benzo[b][1,4]oxazin-2-yl)propanoic acid was prepared. 1H-NMR (300 MHz, CDCl3) δ 1.80-1.98 (m, 2H), 2.14 (s, 3H), 2.51-2.55 (m, 2H), 3.26 (dd, J=10.0 Hz, 14.4 Hz, 1H), 3.55-3.57 (m, 1H), 4.34 (dd, J=2.4 Hz, 14.0 Hz, 1H), 6.48 (s, 1H), 6.95 (s, 1H), 7.06 (t, J=8.0 Hz, 1H), 7.20-7.25 (m, 2H), 7.68 (t, J=8.0 Hz, 1H), 7.85-7.90 (m, 3H), 8.04 (s, 1H). (ES, m/z): (M+Na)+ 640.
Example 47—Synthesis of (S,E)-Methyl 3-(6-(2-(2-chloro-6-fluorophenyl)prop-1-en-1-yl)-4-((3-(difluoromethoxy)phenyl)sulfonyl)-7-chloro-3,4-dihydro-2H-benzo[b][1,4]oxazin-2-yl)propanoate
Figure US09896441-20180220-C00844
Based on the procedure in Example 41, (S,E)-methyl 3-(6-(2-(2-chloro-6-fluorophenyl)prop-1-en-1-yl)-4-((3-(difluoromethoxy)phenyl)sulfonyl)-7-chloro-3,4-dihydro-2H-benzo[b][1,4]oxazin-2-yl)propanoate was prepared. 1H-NMR (300 MHz, CDCl3) δ 1.77-1.82 (m, 1H), 1.84-1.95 (m, 1H), 2.17 (s, 3H), 2.47 (dt, J=2.8 Hz, 7.2 Hz, 2H), 3.20 (dd, J=10.0 Hz, 14.4 Hz, 1H), 3.42-3.47 (m, 1H), 3.69 (s, 3H), 4.30 (dd, J=2.0 Hz, 14.4 Hz, 1H), 6.49 (s, 1H), 6.61 (t, J=72.4 Hz, 1H), 6.93 (s, 1H), 7.05 (t, J=8.0 Hz, 1H), 7.20-7.25 (m, 2H), 7.38 (d, J=8.0 Hz, 1H), 7.47-7.54 (m, 3H), 7.92 (s, 1H). (ES, m/z): (M+H)+ 630.
Example 48—Synthesis of (S,E)-3-(6-(2-(2-Chloro-6-fluorophenyl)prop-1-en-1-yl)-4-((3-(difluoromethoxy)phenyl)sulfonyl)-7-chloro-3,4-dihydro-2H-benzo[b][1,4]oxazin-2-yl)propanoate
Figure US09896441-20180220-C00845
Based on the procedure in Example 42, (S,E)-3-(6-(2-(2-chloro-6-fluorophenyl)prop-1-en-1-yl)-4-((3-(difluoromethoxy)phenyl)sulfonyl)-7-chloro-3,4-dihydro-2H-benzo[b][1,4]oxazin-2-yl)propanoate was prepared. 1H-NMR (300 MHz, CDCl3) δ 1.77-1.96 (m, 2H), 2.17 (s, 3H), 2.50-2.54 (m, 2H), 3.22 (dd, J=10.0 Hz, 14.4 Hz, 1H), 3.45-3.49 (m, 1H), 4.30 (dd, J=2.0 Hz, 14.8 Hz, 1H), 6.49 (s, 1H), 6.56 (t, J=72.4 Hz, 1H), 6.94 (s, 1H), 7.06 (t, J=8.0 Hz, 1H), 7.20-7.25 (m, 2H), 7.38 (d, J=6.8 Hz, 1H), 7.49-7.55 (m, 3H), 7.92 (s, 1H). (ES, m/z): (M+H)+ 616.
Example 49—Synthesis of (S,E)-Methyl 3-(6-(2-(2-chloro-6-fluorophenyl)prop-1-en-1-yl)-8-fluoro-4-((3-(trifluoromethyl)phenyl)sulfonyl)-3,4-dihydro-2H-benzo[b][1,4]oxazin-2-yl)propanoate
Figure US09896441-20180220-C00846
Based on the procedure in Example 41, (S,E)-methyl 3-(6-(2-(2-chloro-6-fluorophenyl)prop-1-en-1-yl)-8-fluoro-4-((3-(trifluoromethyl)phenyl)sulfonyl)-3,4-dihydro-2H-benzo[b][1,4]oxazin-2-yl)propanoate was prepared. 1H-NMR (300 MHz, CD3OD) δ 7.90 (m, 3H), 7.71 (t, J=8 Hz, 1H), 7.55 (s, 1H), 7.22-7.19 (m, 2H), 7.05-7.00 (m, 1H), 6.87 (dd, J=7.6 Hz, 2 Hz, 1H), 6.23 (s, 1H), 4.37 (dd, J=14.4 Hz, 2.4 Hz, 1H), 3.57 (s, 3H), 3.46-3.43 (m, 1H), 3.29-3.21 (m, 1H), 2.38 (t, J=7.2 Hz, 2H), 2.06 (s, 3H), 1.90-1.73 (m, 2H). (ES, m/z): (M+H)+ 616.
Example 50—Synthesis of (S,E)-3-(6-(2-(2-Chloro-6-fluorophenyl)prop-1-en-1-yl)-8-fluoro-4-((3-(trifluoromethyl)phenyl)sulfonyl)-3,4-dihydro-2H-benzo[b][1,4]oxazin-2-yl)propanoic acid
Figure US09896441-20180220-C00847
Based on the procedure in Example 42, (S,E)-3-(6-(2-(2-chloro-6-fluorophenyl)prop-1-en-1-yl)-8-fluoro-4-((3-(trifluoromethyl)phenyl)sulfonyl)-3,4-dihydro-2H-benzo[b][1,4]oxazin-2-yl)propanoic acid was prepared. 1H-NMR (300 MHz, CD3OD) δ 8.04-7.99 (m, 3H), 7.83 (t, J=8 Hz, 1H), 7.67 (s, 1H), 7.34-7.31 (m, 2H), 7.16-7.12 (m, 1H), 7.0 (d, J=8.8 Hz, 1H), 6.35 (s, 1H), 4.50 (dd, J=14.8 Hz, 2.4 Hz, 1H), 3.58-3.55 (m, 1H), 3.40-3.33 (m, 1H), 2.50-2.45 (m, 2H), 2.18 (d, J=1.2 Hz, 3H), 1.99-1.83 (m, 2H). (ES, m/z): (M+H)+ 602.
Example 51—Synthesis of Methyl (S,E)-3-(6-(2-(2-chloro-6-fluorophenyl)prop-1-en-1-yl)-4-((3-(difluoromethoxy)phenyl)sulfonyl)-8-fluoro-3,4-dihydro-2H-benzo[b][1,4]oxazin-2-yl)propanoate
Figure US09896441-20180220-C00848
Based on the procedure in Example 41, methyl (S,E)-3-(6-(2-(2-chloro-6-fluorophenyl)prop-1-en-1-yl)-4-((3-(difluoromethoxy)phenyl)sulfonyl)-8-fluoro-3,4-dihydro-2H-benzo[b][1,4]oxazin-2-yl)propanoate was prepared. 1H-NMR (300 MHz, CD3OD) δ 7.57 (s, 1H), 7.51 (t, 1H), 7.34-7.45 (m, 3H), 7.20 (m, 2H), 7.03 (m, 1H), 6.86 (d, 1H), 6.82 (t, J=72 Hz, 1H), 6.23 (s, 1H), 4.32 (d, 1H), 3.57 (s, 3H), 3.36 (m, 1H), 3.20 (m, 1H), 2.38 (t, 2H), 2.07 (s, 3H), 1.84 (m, 1H), 1.75 (m, 1H). (ES, m/z): (M+H)+ 614.
Example 52—Synthesis of (S,E)-3-(6-(2-(2-Chloro-6-fluorophenyl)prop-1-en-1-yl)-4-((3-(difluoromethoxy)phenyl)sulfonyl)-8-fluoro-3,4-dihydro-2H-benzo[b][1,4]oxazin-2-yl)propanoic acid
Figure US09896441-20180220-C00849
Based on the procedure in Example 42, (S,E)-3-(6-(2-(2-chloro-6-fluorophenyl)prop-1-en-1-yl)-4-((3-(difluoromethoxy)phenyl)sulfonyl)-8-fluoro-3,4-dihydro-2H-benzo[b][1,4]oxazin-2-yl)propanoic acid was prepared. 1H-NMR (300 MHz, CD3OD) δ 7.67 (s, 1H), 7.50-7.67 (m, 4H), 7.32 (m, 2H), 7.14 (m, 1H), 7.01 (d, 1H), 6.91 (t, J=72 Hz, 1H), 6.35 (s, 1H), 4.44 (d, 1H), 3.48 (m, 1H), 3.31 (m, 1H), 2.47 (t, 2H), 2.19 (s, 3H), 1.96 (m, 1H), 1.85 (m, 1H). (ES, m/z): (M+H)+ 600.
Example 53—Synthesis of (S,E)-Methyl 3-(6-(2-(2-chloro-6-fluorophenyl)prop-1-en-1-yl)-4-((3-(difluoromethoxy)phenyl)sulfonyl)-7-methyl-3,4-dihydro-2H-benzo[b][1,4]oxazin-2-yl)propanoate
Figure US09896441-20180220-C00850
Based on the procedure in Example 41, (S,E)-methyl 3-(6-(2-(2-chloro-6-fluorophenyl)prop-1-en-1-yl)-4-((3-(difluoromethoxy)phenyl)sulfonyl)-7-methyl-3,4-dihydro-2H-benzo[b][1,4]oxazin-2-yl)propanoate was prepared. 1H-NMR (300 MHz, CD3OD) δ 1.74 (m, 1H), 1.86 (m, 1H), 2.01 (s, 3H), 2.39 (s, 3H), 2.42 (t, 2H), 3.20 (dd, 1H), 3.31 (m, 1H), 3.63 (s, 3H), 4.30 (dd, 1H), 6.36 (s, 1H), 6.67 (s, 1H), 6.85 (t, J=72 Hz, 1H), 6.93 (s, 1H), 7.07 (m, 1H), 7.22 (m, 2H), 7.42-7.60 (m, 4H), 7.69 (s, 1H).
Example 54—Synthesis of (S,E)-3-(6-(2-(2-Chloro-6-fluorophenyl)prop-1-en-1-yl)-4-((3-(difluoromethoxy)phenyl)sulfonyl)-7-methyl-3,4-dihydro-2H-benzo[b][1,4]oxazin-2-yl)propanoic acid
Figure US09896441-20180220-C00851
Based on the procedure in Example 42, (S,E)-3-(6-(2-(2-chloro-6-fluorophenyl)prop-1-en-1-yl)-4-((3-(difluoromethoxy)phenyl)sulfonyl)-7-methyl-3,4-dihydro-2H-benzo[b][1,4]oxazin-2-yl)propanoic acid was prepared. 1H-NMR (300 MHz, CD3OD) δ 7.72 (s, 1H), 7.60 (m, 1H), 7.54 (m, 1H), 7.44 (m, 2H), 7.32 (m, 2H), 7.15 (m, 1H), 6.87 (t, 1H), 6.72 (s, 1H), 6.41 (s, 1H), 4.37 (m, 1H), 3.42 (m, 1H), 3.24 (m, 1H), 2.43 (m, 2H), 2.24 (s, 3H), 2.06 (s, 3H), 1.87 (m, 1H), 1.75 (m, 1H). (ES, m/z): (M+H)+ 596.
Example 55—Synthesis of Methyl (S,E)-3-(6-(2-(2-chloro-6-fluorophenyl)prop-1-en-1-yl)-7-methyl-4-((3-(trifluoromethyl)phenyl)sulfonyl)-3,4-dihydro-2H-benzo[b][1,4]oxazin-2-yl)propanoate
Figure US09896441-20180220-C00852
Based on the procedure in Example 41, methyl (S,E)-3-(6-(2-(2-chloro-6-fluorophenyl)prop-1-en-1-yl)-7-methyl-4-((3-(trifluoromethyl)phenyl)sulfonyl)-3,4-dihydro-2H-benzo[b][1,4]oxazin-2-yl)propanoate was prepared. 1H-NMR (300 MHz, CD3OD) δ 7.89-7.96 (m, 3H), 7.72-7.77 (m, 1H), 7.64 (s, 1H), 7.25-7.29 (m, 2H), 7.07-7.11 (m, 1H), 6.67 (s, 1H), 6.35 (s, 1H), 4.32-4.38 (m, 1H), 3.62 (s, 3H), 3.46-3.48 (m, 1H), 3.22-3.31 (m, 1H), 2.38-2.44 (m, 2H), 2.19 (s, 3H), 1.99 (s, 3H), 1.73-1.93 (m, 2H). (ES, m/z): (M+Na)+ 634.
Example 56—Synthesis of (S,E)-3-(6-(2-(2-Chloro-6-fluorophenyl)prop-1-en-1-yl)-7-methyl-4-((3-(trifluoromethyl)phenyl)sulfonyl)-3,4-dihydro-2H-benzo[b][1,4]oxazin-2-yl)propanoic acid
Figure US09896441-20180220-C00853
Based on the procedure in Example 42, (S,E)-3-(6-(2-(2-chloro-6-fluorophenyl)prop-1-en-1-yl)-7-methyl-4-((3-(trifluoromethyl)phenyl)sulfonyl)-3,4-dihydro-2H-benzo[b][1,4]oxazin-2-yl)propanoic acid was prepared. 1H-NMR (300 MHz, CD3OD) δ 7.89-7.96 (m, 3H), 7.72-7.77 (m, 1H), 7.64 (s, 1H), 7.25-7.29 (m, 2H), 7.07-7.11 (m, 1H), 6.68 (s, 1H), 6.36 (s, 1H), 4.32-4.39 (m, 1H), 3.46-3.48 (m, 1H), 3.22-3.31 (m, 1H), 2.35-2.41 (m, 2H), 2.19 (s, 3H), 1.99 (s, 3H), 1.73-1.93 (m, 2H). (ES, m/z): (M+H)+ 598.
Example 57—Synthesis of Methyl (S,E)-3-(6-(2-(2-chloro-6-fluorophenyl)prop-1-en-1-yl)-5-methyl-4-((3-(trifluoromethyl)phenyl)sulfonyl)-3,4-dihydro-2H-benzo[b][1,4]oxazin-2-yl)propanoate
Figure US09896441-20180220-C00854
A solution of bromine (10.2 g, 63.83 mmol) in acetic acid (10 mL) was added to a solution of 3-methyl-2-nitrophenol (10 g, 65.30 mmol) in acetic acid (50 mL) dropwise and the mixture was stirred for two hours at room temperature. Ice water was added, and the mixture was extracted twice with ethyl acetate. The combined organic layers were washed three times with water, dried (Na2SO4) and concentrated. The resulting residue was purified via MPLC eluting with 10% ethyl acetate in petroleum ether to afford 4-bromo-3-methyl-2-nitrophenol (12 g, 79%) as a yellow solid.
From 4-bromo-3-methyl-2-nitrophenol, based on the procedure in Example 41, methyl (S,E)-3-(6-(2-(2-chloro-6-fluorophenyl)prop-1-en-1-yl)-5-methyl-4-((3-(trifluoromethyl)phenyl)sulfonyl)-3,4-dihydro-2H-benzo[b][1,4]oxazin-2-yl)propanoate was prepared. 1H-NMR (300 MHz, CD3OD) δ 8.01-7.94 (m, 2H), 7.79-7.75 (m, 2H), 7.36-7.34 (m, 2H), 7.33-7.13 (m, 2H), 6.68-6.66 (d, J=8.4 Hz, 1H), 6.45 (s, 1H), 4.87-4.37 (m, 1H), 3.95-3.90 (m, 1H), 3.66 (s, 3H), 3.34-3.12 (m, 1H), 2.50-2.32 (m, 5H), 1.98 (s, 3H), 1.86-1.78 (m, 1H), 1.69-1.60 (m, 1H). (ES, m/z): (M+Na)+ 612.
Example 58—Synthesis of (S,E)-3-(6-(2-(2-Chloro-6-fluorophenyl)prop-1-en-1-yl)-5-methyl-4-((3-(trifluoromethyl)phenyl)sulfonyl)-3,4-dihydro-2H-benzo[b][1,4]oxazin-2-yl)propanoic acid
Figure US09896441-20180220-C00855
Based on the procedure in Example 42, (S,E)-3-(6-(2-(2-chloro-6-fluorophenyl)prop-1-en-1-yl)-5-methyl-4-((3-(trifluoromethyl)phenyl)sulfonyl)-3,4-dihydro-2H-benzo[b][1,4]oxazin-2-yl)propanoic acid was prepared. 1H-NMR (300 MHz, CD3OD) δ 8.00-7.98 (m, 2H), 7.79-7.75 (m, 2H), 7.36-7.34 (m, 2H), 7.33-7.13 (m, 2H), 6.70-6.68 (d, J=8.4 Hz 1H), 6.45 (s, 1H), 4.87-4.37 (m, 1H), 3.95-3.90 (m, 1H), 3.15-3.09 (m, 1H), 2.43 (s, 3H), 2.38-2.30 (m, 2H), 1.98 (s, 3H), 1.82-1.76 (m, 1H), 1.69-1.60 (m, 1H). (ES, m/z): (M+H)+ 598.
Example 59—Synthesis of Methyl (S,E)-3-(6-(2-(2-chloro-6-fluorophenyl)prop-1-en-1-yl)-4-((3-(difluoromethoxy)phenyl)sulfonyl)-5-methyl-3,4-dihydro-2H-benzo[b][1,4]oxazin-2-yl)propanoate
Figure US09896441-20180220-C00856
From 4-bromo-3-methyl-2-nitrophenol, based on the procedure in Example 41, methyl (S,E)-3-(6-(2-(2-chloro-6-fluorophenyl)prop-1-en-1-yl)-4-((3-(difluoromethoxy)phenyl)sulfonyl)-5-methyl-3,4-dihydro-2H-benzo[b][1,4]oxazin-2-yl)propanoate was prepared. 1H-NMR (300 MHz, CD3OD) δ 7.59 (t, 1H), 7.49 (m, 2H), 7.31-7.39 (m, 3H), 7.13-7.19 (m, 2H), 6.88 (t, J=72 Hz, 1H), 6.70 (d, 1H), 6.44 (s, 1H), 4.33 (m, 1H), 3.88 (m, 1H), 3.67 (s, 3H), 3.10 (m, 1H), 2.42 (s, 3H), 2.41 (t, 2H), 1.98 (s, 3H), 1.84 (m, 1H), 1.75 (m, 1H). (ES, m/z): (M+Na)+ 610.
Example 60—Synthesis of (S,E)-3-(6-(2-(2-Chloro-6-fluorophenyl)prop-1-en-1-yl)-4-((3-(difluoromethoxy)phenyl)sulfonyl)-5-methyl-3,4-dihydro-2H-benzo[b][1,4]oxazin-2-yl)propanoic acid
Figure US09896441-20180220-C00857
Based on the procedure in Example 42, (S,E)-3-(6-(2-(2-chloro-6-fluorophenyl)prop-1-en-1-yl)-4-((3-(difluoromethoxy)phenyl)sulfonyl)-5-methyl-3,4-dihydro-2H-benzo[b][1,4]oxazin-2-yl)propanoic acid was prepared. 1H-NMR (300 MHz, CD3OD) δ 7.59 (t, 1H), 7.53 (m, 1H), 7.48 (m, 1H), 7.31-7.39 (m, 3H), 7.13-7.19 (m, 2H), 6.88 (t, J=72 Hz, 1H), 6.72 (d, 1H), 6.44 (s, 1H), 4.30 (m, 1H), 3.88 (m, 1H), 3.10 (m, 1H), 2.42 (s, 3H), 2.40 (t, 2H), 1.99 (s, 3H), 1.89 (m, 1H), 1.68 (m, 1H). (ES, m/z): (M+H)+ 596.
Example 61—Synthesis of Methyl (S,E)-3-(6-(2-(2-chloro-6-fluorophenyl)prop-1-en-1-yl)-5-fluoro-4-((3-(trifluoromethyl)phenyl)sulfonyl)-3,4-dihydro-2H-benzo[b][1,4]oxazin-2-yl)propanoate
Figure US09896441-20180220-C00858
A solution of 3-fluoro-2-nitrophenol (14.4 g, 91.7 mmol), N-bromosuccinimide (19.6 g, 110 mmol), and sulfuric acid (100 mL) was stirred overnight at 65° C. Then, the reaction mixture was poured onto ice. Next, the resulting mixture was extracted three times with dichloromethane and the organic layers were combined and concentrated. The resulting residue was purified by MPLC eluting with 20% ethyl acetate in petroleum ether to afford 4-bromo-3-fluoro-2-nitrophenol (3.6 g, 17%) as a yellow solid.
From 4-bromo-3-fluoro-2-nitrophenol, by the procedure of Example 41, methyl (S,E)-3-(6-(2-(2-chloro-6-fluorophenyl)prop-1-en-1-yl)-5-fluoro-4-((3-(trifluoromethyl)phenyl)sulfonyl)-3,4-dihydro-2H-benzo[b][1,4]oxazin-2-yl)propanoate was prepared. 1H-NMR (300 MHz, CDCl3) δ 1.94-1.98 (m, 1H), 2.01-2.14 (m, 4H), 2.55-2.72 (m, 2H), 3.05 (dd, J=9.9 Hz, 14.1 Hz, 1H), 3.73 (s, 3H), 4.10 (dd, J=2.7 Hz, 14.1 Hz, 1H), 4.39-4.45 (m, 1H), 6.33 (s, 1H), 6.75 (d, J=7.5 Hz, 1H), 6.98-7.04 (m, 1H), 7.15-7.23 (m, 3H), 7.71 (t, J=8.1 Hz, 1H), 7.88 (d, J=7.8 Hz, 1H), 8.19 (d, J=7.8 Hz, 1H), 8.25 (s, 1H). (ES, m/z): (M+H)+ 616.
Example 62—Synthesis of (S,E)-3-(6-(2-(2-Chloro-6-fluorophenyl)prop-1-en-1-yl)-5-fluoro-4-((3-(trifluoromethyl)phenyl)sulfonyl)-3,4-dihydro-2H-benzo[b][1,4]oxazin-2-yl)propanoic acid
Figure US09896441-20180220-C00859
Based on the procedure in Example 42, (S,E)-3-(6-(2-(2-chloro-6-fluorophenyl)prop-1-en-1-yl)-5-fluoro-4-((3-(trifluoromethyl)phenyl)sulfonyl)-3,4-dihydro-2H-benzo[b][1,4]oxazin-2-yl)propanoic acid was prepared. 1H-NMR (300 MHz, CD3OD) δ 1.89-2.00 (m, 2H), 2.03 (s, 3H), 2.46-2.51 (m, 2H), 3.14 (dd, J=10.5 Hz, 15.0 Hz, 1H), 4.27 (dd, J=2.7 Hz, 14.7 Hz, 1H), 6.26 (s, 1H), 6.80 (d, J=8.7 Hz, 1H), 7.07-7.19 (m, 2H), 7.22-7.33 (m, 2H), 7.84 (t, J=7.8 Hz, 1H), 8.01 (d, J=7.8 Hz, 1H), 8.21 (s, 1H), 8.27 (d, J=7.8 Hz, 1H). (ES, m/z): (M+NH4) 619.
Example 63—Synthesis of Methyl (S,E)-3-(6-(2-(2-chloro-6-fluorophenyl)prop-1-en-1-yl)-4-((3-(difluoromethoxy)phenyl)sulfonyl)-5-fluoro-3,4-dihydro-2H-benzo[b][1,4]oxazin-2-yl)propanoate
Figure US09896441-20180220-C00860
Based on the procedure in Example 41, methyl (S,E)-3-(6-(2-(2-chloro-6-fluorophenyl)prop-1-en-1-yl)-4-((3-(difluoromethoxy)phenyl)sulfonyl)-5-fluoro-3,4-dihydro-2H-benzo[b][1,4]oxazin-2-yl)propanoate was prepared. 1H-NMR (300 MHz, CDCl3) δ 1.90-1.97 (m, 1H), 2.00-2.09 (m, 4H), 2.57-2.66 (m, 2H), 3.01 (d, J=9.9 Hz, 14.1 Hz, 1H), 3.72 (s, 3H), 4.06 (d, J=2.4 Hz, 14.1 Hz, 1H), 4.31-4.38 (m, 1H), 6.35-6.83 (m, 3H), 7.02 (dt, J=2.7 Hz, 6.9 Hz, 1H), 7.15-7.23 (m, 3H), 7.39 (d, J=8.1 Hz, 1H), 7.56 (t, J=8.1 Hz, 1H), 7.75 (s, 1H), 7.82 (d, J=7.8 Hz, 1H). (ES, m/z): (M+H)+ 614.
Example 64—Synthesis of (S,E)-3-(6-(2-(2-Chloro-6-fluorophenyl)prop-1-en-1-yl)-4-((3-(difluoromethoxy)phenyl)sulfonyl)-5-fluoro-3,4-dihydro-2H-benzo[b][1,4]oxazin-2-yl)propanoic acid
Figure US09896441-20180220-C00861
Based on the procedure in Example 42, (S,E)-3-(6-(2-(2-chloro-6-fluorophenyl)prop-1-en-1-yl)-4-((3-(difluoromethoxy)phenyl)sulfonyl)-5-fluoro-3,4-dihydro-2H-benzo[b][1,4]oxazin-2-yl)propanoic acid was prepared. 1H-NMR (300 MHz, CDCl3) δ 1.88-1.98 (m, 1H), 2.01-2.09 (m, 4H), 2.58-2.77 (m, 2H), 3.03 (dd, J=9.9 Hz, 14.1 Hz, 1H), 4.07 (dd, J=2.4 Hz, 14.1 Hz, 1H), 4.33-4.40 (m, 1H), 6.34-6.82 (m, 3H), 6.98-7.06 (m, 1H), 7.15-7.24 (m, 3H), 7.39 (d, J=8.1 Hz, 1H), 7.56 (t, J=8.1 Hz, 1H), 7.75 (s, 1H), 7.83 (d, J=7.8 Hz, 1H). (ES, m/z): (M+H)+ 600.
Example 65—Synthesis of Methyl (S,E)-3-(6-(2-(2-chloro-6-fluorophenyl)prop-1-en-1-yl)-4-((2-ethoxy-4,5,6,7-tetrahydropyrazolo[1,5-a]pyridin-3-yl)sulfonyl)-3,4-dihydro-2H-benzo[b][1,4]oxazin-2-yl)propanoate
Figure US09896441-20180220-C00862
Part I—Synthesis of Ethyl 7-chloro-3-oxoheptanoate
Figure US09896441-20180220-C00863
A solution of ethyl 3-oxobutanoate (1.95 g, 14.98 mmol) in tetrahydrofuran (20 mL) was added dropwise to a stirred 1 M solution of lithium diisopropylamine (30 mL, 30 mmol) at −78° C. The solution was stirred for an additional hour at −78° C., and then a solution of 1-chloro-3-iodopropane (3.07 g, 15.02 mmol) in tetrahydrofuran (50 mL) was added. The resulting solution was allowed to warm to room temperature and stirred for an additional two hours. Water was added, and the mixture was extracted twice with ethyl acetate. The combined organic layers were dried (Na2SO4) and concentrated. The resulting residue was purified via MPLC eluting with a gradient of 20-50% ethyl acetate in petroleum ether to afford ethyl 7-chloro-3-oxoheptanoate (2.8 g, 90%) as an oil.
Part II—Synthesis of 4,5,6,7-Tetrahydropyrazolo[1,5-a]pyridin-2-ol
Figure US09896441-20180220-C00864
A mixture of ethyl 7-chloro-3-oxoheptanoate (2.8 g, 13.55 mmol), hydrazine (2.5 mL, 0.04 mol) and ethanol (20 mL) was stirred for four hours at 100° C. Cooled, concentrated, and purified the resulting residue by MPLC eluting with a gradient of 20-50% ethyl acetate in petroleum ether to afford 4,5,6,7-tetrahydropyrazolo[1,5-a]pyridin-2-ol (1.14 g, 61%) as a white solid.
Part III—Synthesis of 2-Ethoxy-4,5,6,7-tetrahydropyrazolo[1,5-a]pyridine
Figure US09896441-20180220-C00865
A mixture of 4,5,6,7-tetrahydropyrazolo[1,5-a]pyridin-2-ol (1.14 g, 8.02 mmol), bromoethane (4.5 g, 41.30 mmol), potassium carbonate (5.66 g, 40.95 mmol), and N,N-dimethylformamide (20 mL) was stirred overnight at room temperature. Water was added, and the mixture was extracted three times with ethyl acetate. The combined organic layers were dried (Na2SO4) and concentrated. The resulting residue was purified via MPLC eluting with a gradient of 20-50% ethyl acetate in petroleum ether to afford 2-ethoxy-4,5,6,7-tetrahydropyrazolo[1,5-a]pyridine (1.18 g, 86%) as a yellow oil.
Part IV—Synthesis of 2-Ethoxy-4,5,6,7-tetrahydropyrazolo[1,5-a]pyridine-3-sulfonyl chloride
Figure US09896441-20180220-C00866
A mixture of 2-ethoxy-4,5,6,7-tetrahydropyrazolo[1,5-a]pyridine (1.18 g, 7.10 mmol), chlorosulfonic acid (10 mL) and dichloromethane (20 mL) was stirred for three hours at reflux. The mixture was cooled, and washed with water. The aqueous layer was reextracted three times with dichloromethane. The combined organic layers were dried (Na2SO4) and concentrated. The resulting residue was purified via MPLC eluting with a gradient of 20-50% ethyl acetate in petroleum ether to afford 2-ethoxy-4,5,6,7-tetrahydropyrazolo[1,5-a]pyridine-3-sulfonyl chloride (1.13 g, 60%) as a colorless solid.
Part V—Synthesis of Methyl (S,E)-3-(6-(2-(2-chloro-6-fluorophenyl)prop-1-en-1-yl)-4-((2-ethoxy-4,5,6,7-tetrahydropyrazolo[1,5-a]pyridin-3-yl)sulfonyl)-3,4-dihydro-2H-benzo[b][1,4]oxazin-2-yl)propanoate
Figure US09896441-20180220-C00867
Based on the procedure in Example 29, methyl (S,E)-3-(6-(2-(2-chloro-6-fluorophenyl)prop-1-en-1-yl)-4-((2-ethoxy-4,5,6,7-tetrahydropyrazolo[1,5-a]pyridin-3-yl)sulfonyl)-3,4-dihydro-2H-benzo[b][1,4]oxazin-2-yl)propanoate was prepared. 1H-NMR (300 MHz, CD3OD) δ 7.77 (s, 1H), 7.32-7.29 (m, 2H), 7.13-7.05 (m, 2H), 6.89 (d, J=8.4 Hz, 1H), 6.33 (s, 1H), 4.30 (dd, J=14.4 Hz, 2.4 Hz, 1H), 4.16-4.10 (m, 2H), 3.97-3.91 (m, 3H), 3.71 (s, 3H), 3.25 (dd, J=14.4 Hz, 2.4 Hz, 1H), 2.94 (m, 1H), 2.79 (m, 1H), 2.61-2.57 (m, 2H), 2.15 (s, 3H), 2.02-1.86 (m, 6H), 1.23 (t, J=7.2 Hz, 3H). (ES, m/z): (M+H)+ 618.
Example 66—Synthesis of (S,E)-3-(6-(2-(2-Chloro-6-fluorophenyl)prop-1-en-1-yl)-4-((2-ethoxy-4,5,6,7-tetrahydropyrazolo[1,5-a]pyridin-3-yl)sulfonyl)-3,4-dihydro-2H-benzo[b][1,4]oxazin-2-yl)propanoic acid
Figure US09896441-20180220-C00868
Based on the procedure in Example 42, (S,E)-3-(6-(2-(2-chloro-6-fluorophenyl)prop-1-en-1-yl)-4-((2-ethoxy-4,5,6,7-tetrahydropyrazolo[1,5-a]pyridin-3-yl)sulfonyl)-3,4-dihydro-2H-benzo[b][1,4]oxazin-2-yl)propanoic acid was prepared. 1H-NMR (300 MHz, CD3OD) δ 7.78 (s, 1H), 7.32-7.29 (m, 2H), 7.15-7.05 (m, 2H), 6.90 (d, J=8.4 Hz, 1H), 6.34 (s, 1H), 4.32 (dd, J=14.4 Hz, 2.4 Hz, 1H), 4.17-4.10 (m, 2H), 3.96-3.92 (m, 3H), 3.24 (dd, J=14.4 Hz, 2.4 Hz, 1H), 2.93 (m, 1H), 2.79 (m, 1H), 2.56-2.53 (m, 2H), 2.15 (s, 3H), 2.01-1.87 (m, 6H), 1.23 (t, J=7.2 Hz, 3H). (ES, m/z): (M+H)+ 604.
Example 67—Synthesis of Methyl (S,E)-3-(4-((5-chloro-2-ethoxypyridin-3-yl)sulfonyl)-6-(2-(2-chloro-6-fluorophenyl)prop-1-en-1-yl)-3,4-dihydro-2H-benzo[b][1,4]oxazin-2-yl)propanoate
Figure US09896441-20180220-C00869
Part I—Synthesis of 3-Bromo-5-chloro-2-ethoxypyridine
Figure US09896441-20180220-C00870
To a solution of 3-bromo-2-chloro-5-(trifluoromethyl)pyridine (5.0 g, 22.0 mmol) in ethanol (50 mL) was added sodium ethoxide (4.5 g, 66 mmol) and the mixture was microwaved for ten minutes at 150° C. The mixture was diluted with water, extracted twice with ethyl acetate, the combined organic layers were dried (Na2SO4) and concentrated to afford 3-bromo-5-chloro-2-ethoxypyridine (5.0 g, 96%) as a colorless oil.
Part II—Synthesis of 3-(Benzylthio)-5-chloro-2-ethoxypyridine
Figure US09896441-20180220-C00871
A mixture of 3-bromo-5-chloro-2-ethoxypyridine (4.8 g, 20.3 mmol), phenylmethanethiol (2.53 g, 20.4 mmol), N,N-diisopropylethylamine (5.2 g, 40.2 mmol), tris(dibenzylideneacetone)dipalladium(0) (0.90 g, 0.98 mmol), 4,5-bis(diphenylphosphino)-9,9-dimethylxanthene (1.2 g, 2.07 mmol), and toluene (50 mL) was stirred for two hours at 110° C. The mixture was filtered; the filtrate was concentrated and the resulting residue was purified via MPLC eluting with a gradient of 0-2.5% ethyl acetate in petroleum ether to afford 3-(benzylthio)-5-chloro-2-ethoxypyridine (4.8 g, 85%) as a white solid.
Part III—Synthesis of 5-Chloro-2-ethoxypyridine-3-sulfonyl chloride
Figure US09896441-20180220-C00872
A mixture of 3-(benzylthio)-5-chloro-2-ethoxypyridine (2.00 g, 7.15 mmol), N-chlorosuccinimide (3.70 g, 27.7 mmol), acetic acid (20 mL), and water (6 mL) was stirred for one hour at room temperature and concentrated. The resulting residue was purified via MPLC eluting with (1:10) ethyl acetate:petroleum ether to afford 5-chloro-2-ethoxypyridine-3-sulfonyl chloride (1.80 g, 98%) as a white solid.
Part IV—Synthesis of Methyl (S,E)-3-(4-((5-chloro-2-ethoxypyridin-3-yl)sulfonyl)-6-(2-(2-chloro-6-fluorophenyl)prop-1-en-1-yl)-3,4-dihydro-2H-benzo[b][1,4]oxazin-2-yl)propanoate
Figure US09896441-20180220-C00873
Using the method of 29, methyl (S,E)-3-(4-((5-chloro-2-ethoxypyridin-3-yl)sulfonyl)-6-(2-(2-chloro-6-fluorophenyl)prop-1-en-1-yl)-3,4-dihydro-2H-benzo[b][1,4]oxazin-2-yl)propanoate was prepared. 1H-NMR (400 MHz, CD3OD) δ 8.40-8.36 (d, J=15.6 Hz 2H), 7.58 (s, 1H), 7.33-7.27 (m, 2H), 7.14-7.10 (m, 1H), 7.04-7.02 (d, J=8.4 Hz, 1H), 6.93-6.91 (d, J=8.4 Hz, 1H), 6.31 (s, 1H), 4.43-4.32 (m, 2H), 4.28-4.24 (d, J=14 Hz, 1H), 3.95 (s, 1H), 3.69 (s, 3H), 3.49-3.43 (m, 1H), 2.59-2.55 (t, J=6.8 Hz, 2H), 2.11 (s, 3H), 2.04-1.89 (m, 2H), 1.23-1.20 (t, J=7.2 Hz, 3H). (ES, m/z): (M+H)+ 609.
Example 68—Synthesis of (S,E)-3-(4-((5-Chloro-2-ethoxypyridin-3-yl)sulfonyl)-6-(2-(2-chloro-6-fluorophenyl)prop-1-en-1-yl)-3,4-dihydro-2H-benzo[b][1,4]oxazin-2-yl)propanoic acid
Figure US09896441-20180220-C00874
Based on the procedure in Example 42, (S,E)-3-(4-((5-chloro-2-ethoxypyridin-3-yl)sulfonyl)-6-(2-(2-chloro-6-fluorophenyl)prop-1-en-1-yl)-3,4-dihydro-2H-benzo[b][1,4]oxazin-2-yl)propanoic acid was prepared. 1H-NMR (300 MHz, CD3OD) δ 8.39-8.36 (d, J=12.4 Hz, 2H), 7.58 (s, 1H), 7.33-7.27 (m, 2H), 7.14-7.10 (m, 1H), 7.04-7.02 (d, J=8.0 Hz, 1H), 6.95-6.93 (d, J=8.4 Hz, 1H), 6.31 (s, 1H), 4.45-4.34 (m, 2H), 4.30-4.26 (d, J=14 Hz, 1H), 3.98 (s, 1H), 3.49-3.43 (m, 1H), 2.55-2.52 (t, J=7.2 Hz, 2H), 2.11 (s, 3H), 2.03-1.88 (m, 2H), 1.39-1.28 (t, J=3.6 Hz, 3H). (ES, m/z): (M+H)+ 595.
Example 69—Synthesis of Methyl (S,E)-3-(4-((5-chloro-2-(2-hydroxyethoxy)pyridin-3-yl)sulfonyl)-6-(2-(2-chloro-6-fluorophenyl)prop-1-en-1-yl)-3,4-dihydro-2H-benzo[b][1,4]oxazin-2-yl)propanoate
Figure US09896441-20180220-C00875
Part I—Synthesis of 2-((3-Bromo-5-chloropyridin-2-yl)oxy)ethan-1-ol
Figure US09896441-20180220-C00876
A mixture of ethane-1,2-diol (3.72 g, 59.93 mmol), 3-bromo-2,5-dichloropyridine (2.47 g, 10.9 mmol), potassium hydroxide (1.22 g, 21.7 mmol), 1,4,7,10,13,16-hexaoxacyclooctadecane (1.15 g, 4.35 mmol), and toluene (50 mL) was stirred for four hours at 120° C. The mixture was cooled, and diluted with water. The mixture was extracted three times with dichloromethane. The combined organic layers were concentrated, and the resulting residue was purified by MPLC eluting with a gradient of 20-50% ethyl acetate in petroleum ether to afford 2-((3-bromo-5-chloropyridin-2-yl)oxy)ethan-1-ol (1.69 g, 61%) as a colorless oil.
Part II—Synthesis of 2-((3-(Benzylthio)-5-chloropyridin-2-yl)oxy)ethan-1-ol
Figure US09896441-20180220-C00877
A mixture of 2-((3-bromo-5-chloropyridin-2-yl)oxy)ethan-1-ol (1.47 g, 5.82 mmol), phenylmethanethiol (0.69 mL, 11.64 mmol), N,N-diisopropylethyl amine (2 mL), 4,5-bis(diphenylphosphino)-9,9-dimethylxanthene (340 mg, 0.59 mmol), toluene (20 mL), and tris(dibenzylideneacetone)dipalladium(0) (270 mg, 0.29 mmol) was stirred for one hour at 110° C. The mixture was cooled, diluted with saturated sodium bicarbonate, and extracted three times with dichloromethane. The combined organic layers were concentrated, and the resulting residue was purified via MPLC eluting with a gradient of 20-50% ethyl acetate in petroleum ether to afford 2-((3-(benzylthio)-5-chloropyridin-2-yl)oxy)ethan-1-ol (1.57 g, 91%) as an oil.
Part III—Synthesis of 2-((3-(Benzylthio)-5-chloropyridin-2-yl)oxy)ethyl acetate
Figure US09896441-20180220-C00878
A mixture of 2-((3-(benzylthio)-5-chloropyridin-2-yl)oxy)ethan-1-ol (1.47 g, 4.97 mmol), dichloromethane (15 mL), pyridine (1 mL), acetic anhydride (1 mL), and 4-dimethylaminopyridine (60.6 mg, 0.50 mmol) was stirred overnight at room temperature. Saturated ammonium chloride was added and the mixture was extracted three times with dichloromethane. The combined organic layers were concentrated and the resulting residue was purified MPLC eluting with a gradient of 10-33% ethyl acetate in petroleum ether to afford 2-((3-(benzylthio)-5-chloropyridin-2-yl)oxy)ethyl acetate (1.75 g) as a yellow oil.
Part IV—Synthesis of 2-((5-Chloro-3-(chlorosulfonyl)pyridin-2-yl)oxy)ethyl acetate
Figure US09896441-20180220-C00879
A mixture of 2-((3-(benzylthio)-5-chloropyridin-2-yl)oxy)ethyl acetate (1.59 g, 4.71 mmol), acetic acid (10.4 mL), water (3.5 mL), and N-chlorosuccinimide (2.51 g, 18.80 mmol) was stirred for two hours at room temperature and then concentrated. The resulting residue was diluted with saturated sodium bicarbonate and extracted three times with dichloromethane. The combined organic layers were concentrated, and the resulting residue was purified by MPLC eluting with a gradient of 10-33% ethyl acetate in petroleum ether to afford 2-((5-chloro-3-(chlorosulfonyl)pyridin-2-yl)oxy)ethyl acetate (1.32 g, 89%) as a colorless oil.
Part V—Synthesis of Methyl (S,E)-3-(4-((2-(2-acetoxyethoxy)-5-chloropyridin-3-yl)sulfonyl)-6-(2-(2-chloro-6-fluorophenyl)prop-1-en-1-yl)-3,4-dihydro-2H-benzo[b][1,4]oxazin-2-yl)propanoate
Figure US09896441-20180220-C00880
A mixture of (S,E)-methyl 3-(6-(2-(2-chloro-6-fluorophenyl)prop-1-en-1-yl)-3,4-dihydro-2H-benzo[b][1,4]oxazin-2-yl)propanoate (730 mg, 1.87 mmol), dichloromethane (9.4 mL), pyridine (0.75 mL, 9.35 mmol), 4-dimethylaminopyridine (114.2 mg, 0.93 mmol), and 2-((5-chloro-3-(chlorosulfonyl)pyridin-2-yl)oxy)ethyl acetate (705.3 mg, 2.25 mmol) was stirred overnight at room temperature. The reaction mixture was diluted with brine and extracted three times with dichloromethane. The combined organic layers were concentrated and the resulting residue was purified by MPLC eluting with a gradient of 20-50% ethyl acetate in petroleum ether to afford methyl (S,E)-3-(4-((2-(2-acetoxyethoxy)-5-chloropyridin-3-yl)sulfonyl)-6-(2-(2-chloro-6-fluorophenyl)prop-1-en-1-yl)-3,4-dihydro-2H-benzo[b][1,4]oxazin-2-yl)propanoate (1.05 g, 84%) as a yellow oil.
Part VI—Synthesis of Methyl (S,E)-3-(4-((5-chloro-2-(2-hydroxyethoxy)pyridin-3-yl)sulfonyl)-6-(2-(2-chloro-6-fluorophenyl)prop-1-en-1-yl)-3,4-dihydro-2H-benzo[b][1,4]oxazin-2-yl)propanoate
Figure US09896441-20180220-C00881
A mixture of methyl (S,E)-3-(4-((2-(2-acetoxyethoxy)-5-chloropyridin-3-yl)sulfonyl)-6-(2-(2-chloro-6-fluorophenyl)prop-1-en-1-yl)-3,4-dihydro-2H-benzo[b][1,4]oxazin-2-yl)propanoate (319 mg, 0.48 mmol), methanol (0.5 mL), dichloromethane (0.5 mL), and sodium methoxide (52 mg, 0.96 mmol) was stirred for thirty minutes at room temperature. The pH value of the solution was adjusted to 1 with 1M hydrogen chloride and concentrated. The resulting residue was purified via MPLC eluting with a gradient of 33-66% ethyl acetate in petroleum ether to afford methyl (S,E)-3-(4-((5-chloro-2-(2-hydroxyethoxy)pyridin-3-yl)sulfonyl)-6-(2-(2-chloro-6-fluorophenyl)prop-1-en-1-yl)-3,4-dihydro-2H-benzo[b][1,4]oxazin-2-yl)propanoate as a white solid. 1H-NMR (300 MHz, CD3OD) δ 1.92-2.06 (m, 2H), 2.13 (s, 3H), 2.59 (t, J=6.9 Hz, 2H), 3.44 (dd, J=9.0 Hz, 13.8 Hz, 1H), 3.70 (s, 3H), 3.74-3.83 (m, 2H), 4.00-4.03 (m, 1H), 4.34 (dd, J=2.4 Hz, 13.8 Hz, 1H), 4.51-4.52 (m, 2H), 6.33 (s, 1H), 6.88 (d, J=8.4 Hz, 1H), 6.98-7.05 (m, 2H), 7.14-7.24 (m, 2H), 7.57 (d, J=1.8 Hz, 1H), 8.29 (dd, J=2.4 Hz, 9.0 Hz, 2H). (ES, m/z): (M+H)+ 625.
Example 70—Synthesis of (S,E)-3-(4-((5-Chloro-2-(2-hydroxyethoxy)pyridin-3-yl)sulfonyl)-6-(2-(2-chloro-6-fluorophenyl)prop-1-en-1-yl)-3,4-dihydro-2H-benzo[b][1,4]oxazin-2-yl)propanoic acid
Figure US09896441-20180220-C00882
Based on the procedure in Example 42, (S,E)-3-(4-((5-chloro-2-(2-hydroxyethoxy)pyridin-3-yl)sulfonyl)-6-(2-(2-chloro-6-fluorophenyl)prop-1-en-1-yl)-3,4-dihydro-2H-benzo[b][1,4]oxazin-2-yl)propanoic acid was prepared. 1H-NMR (300 MHz, CDCl3) δ 1.92-2.01 (m, 2H), 2.13 (s, 3H), 2.54-2.74 (m, 2H), 3.44 (dd, J=9.6 Hz, 12.0 Hz, 1H), 3.81 (brs, 2H), 4.01-4.06 (m, 1H), 4.33-4.38 (m, 1H), 4.51 (brs, 1H), 6.33 (s, 1H), 6.89 (d, J=8.7 Hz, 1H), 6.94-7.05 (m, 2H), 7.14-7.23 (m, 2H), 7.55 (s, 1H), 8.25-8.28 (m, 2H). (ES, m/z): (M+H)+ 611.
Example 71—Synthesis of (S,E)-3-(6-(2-(2-Chloro-6-fluorophenyl)prop-1-en-1-yl)-4-((2-(2-hydroxyethoxy)-5-(trifluoromethyl)pyridin-3-yl)sulfonyl)-3,4-dihydro-2H-benzo[b][1,4]oxazin-2-yl)propanoic acid
Figure US09896441-20180220-C00883
Part I—Synthesis of 2-((3-Bromo-5-(trifluoromethyl)pyridin-2-yl)oxy)ethan-1-ol
Figure US09896441-20180220-C00884
A mixture of ethane-1,2-diol (40 mL), 3-bromo-2-chloro-5-(trifluoromethyl)-pyridine (4.0 g, 15.44 mmol), potassium carbonate (6.4 g, 46.31 mmol), and DMF (80 mL) was stirred for three hours at 50° C. The mixture was allowed to cool and diluted with water. The mixture was concentrated and the resulting residue was purified by MPLC eluting 20% ethyl acetate in petroleum ether to afford 2-((3-bromo-5-(trifluoromethyl)pyridin-2-yl)oxy)ethan-1-ol (4.0 g, 91%) as a colorless oil.
Part II—Synthesis of 2-((3-(Benzylthio)-5-(trifluoromethyl)pyridin-2-yl)oxy)ethan-1-ol
Figure US09896441-20180220-C00885
A mixture of 2-((3-bromo-5-(trifluoromethyl)pyridin-2-yl)oxy)ethan-1-ol (4.0 g, 14.0 mmol), phenylmethanethiol (1.83 g, 14.8 mmol), N,N-diisopropylethyl amine (3.6 g, 27.9 mmol), 4,5-bis(diphenylphosphino)-9,9-dimethylxanthene (810 mg, 1.40 mmol), toluene (50 mL), and tris(dibenzylideneacetone)dipalladium(0) (1.28 g, 1.40 mmol) was stirred overnight at 110° C. The mixture was cooled, concentrated, and the resulting residue was purified via MPLC eluting with 20% ethyl acetate in petroleum ether to afford 2-((3-(benzylthio)-5-(trifluoromethyl)pyridin-2-yl)oxy)ethan-1-ol (4.16 g, 90%) as an oil.
Part III—Synthesis of 2-((3-(Benzylthio)-5-(trifluoromethyl)pyridin-2-yl)oxy)ethyl acetate
Figure US09896441-20180220-C00886
A mixture of 2-((3-(benzylthio)-5-(trifluoromethyl)pyridin-2-yl)oxy)ethan-1-ol (4.0 g, 12.1 mmol), pyridine (40 mL), acetic anhydride (1.86 g, 18.2 mmol), and 4-dimethylaminopyridine (740 mg, 6.06 mmol) was stirred for two hours at room temperature. The mixture was concentrated and the resulting residue was purified MPLC eluting with 20% ethyl acetate in petroleum ether to afford 2-((3-(benzylthio)-5-(trifluoromethyl)pyridin-2-yl)oxy)ethyl acetate (4.0 g, 89%) as a yellow oil.
Part IV—Synthesis of 2-((3-(Chlorosulfonyl)-5-(trifluoromethyl)pyridin-2-yl)oxy)ethyl acetate
Figure US09896441-20180220-C00887
A mixture of 2-((3-(benzylthio)-5-(trifluoromethyl)pyridin-2-yl)oxy)ethyl acetate (4.0 g, 10.7 mmol), acetic acid (40 mL), water (10 mL), and N-chlorosuccinimide (5.70 g, 42.7 mmol) was stirred for two hours at room temperature and then concentrated. The resulting residue was diluted with saturated sodium bicarbonate and extracted three times with dichloromethane. The combined organic layers were concentrated, and the resulting residue was purified by MPLC eluting with 20% ethyl acetate in petroleum ether to afford 2-((3-(chlorosulfonyl)-5-(trifluoromethyl)pyridin-2-yl)oxy)ethyl acetate (2.0 g, 53%) as a colorless oil.
Part V—Synthesis of Methyl (S,E)-3-(4-((2-(2-acetoxyethoxy)-5-(trifluoromethyl)pyridin-3-yl)sulfonyl)-6-(2-(2-chloro-6-fluorophenyl)prop-1-en-1-yl)-3,4-dihydro-2H-benzo[b][1,4]oxazin-2-yl)propanoate
Figure US09896441-20180220-C00888
A mixture of (S,E)-methyl 3-(6-(2-(2-chloro-6-fluorophenyl)prop-1-en-1-yl)-3,4-dihydro-2H-benzo[b][1,4]oxazin-2-yl)propanoate (500 mg, 1.28 mmol), pyridine (5.0 mL), 4-dimethylaminopyridine (78 mg, 0.64 mmol), 2-((3-(chlorosulfonyl)-5-(trifluoromethyl)pyridin-2-yl)oxy)ethyl acetate (669 mg, 1.92 mmol) was stirred for two hours at room temperature. The mixture was concentrated and the resulting residue was purified by MPLC eluting with 20% ethyl acetate in petroleum ether to afford methyl (S,E)-3-(4-((2-(2-acetoxyethoxy)-5-(trifluoromethyl)pyridin-3-yl)sulfonyl)-6-(2-(2-chloro-6-fluorophenyl)prop-1-en-1-yl)-3,4-dihydro-2H-benzo[b][1,4]oxazin-2-yl)propanoate (260 mg, 29%) as a yellow oil.
Part VI—Synthesis of (S,E)-3-(6-(2-(2-Chloro-6-fluorophenyl)prop-1-en-1-yl)-4-((2-(2-hydroxyethoxy)-5-(trifluoromethyl)pyridin-3-yl)sulfonyl)-3,4-dihydro-2H-benzo[b][1,4]oxazin-2-yl)propanoic acid
Figure US09896441-20180220-C00889
A mixture of methyl (S,E)-3-(4-((2-(2-acetoxyethoxy)-5-(trifluoromethyl)pyridin-3-yl)sulfonyl)-6-(2-(2-chloro-6-fluorophenyl)prop-1-en-1-yl)-3,4-dihydro-2H-benzo[b][1,4]oxazin-2-yl)propanoate (200 mg, 0.29 mmol), lithium hydroxide (36 mg, 0.86 mmol), tetrahydrofuran (3 mL), and water (1 mL) was stirred for two hours at room temperature. The mixture was filtered. The solids were purified by Prep-HPLC eluting with a gradient of 61-71% acetonitrile in water with 0.05% trifluoroacetic acid to afford (S,E)-3-(6-(2-(2-chloro-6-fluorophenyl)prop-1-en-1-yl)-4-((2-(2-hydroxyethoxy)-5-(trifluoromethyl)pyridin-3-yl)sulfonyl)-3,4-dihydro-2H-benzo[b][1,4]oxazin-2-yl)propanoic acid (36 mg, 20%) as a white solid. 1H-NMR (300 MHz, CD3OD) δ 8.89 (s, 1H), 8.75 (s, 1H), 7.44 (s, 1H), 7.30-7.33 (m, 2H), 7.10-7.13 (m, 1H), 7.01-7.03 (m, 1H), 6.93-6.95 (m, 1H), 4.56-4.79 (m, 2H), 4.42-4.54 (m, 1H), 4.11 (s, 1H), 3.78-3.82 (m, 2H), 3.60-3.66 (m, 1H), 2.55-2.78 (m, 2H), 1.93-2.07 (m, 5H). (ES, m/z): (M+H)+ 645.
Example 72—Synthesis of Methyl (S,E)-3-(6-(2-(2-chloro-6-fluorophenyl)prop-1-en-1-yl)-4-((5-ethoxy-2-ethylthiazol-4-yl)sulfonyl)-3,4-dihydro-2H-benzo[b][1,4]oxazin-2-yl)propanoate
Figure US09896441-20180220-C00890
Part I—Synthesis of 5-Ethoxy-2-ethylthiazole
Figure US09896441-20180220-C00891
A solution of ethyl 2-propanamidoacetate (6 g, 37.69 mmol) in dioxane (150 mL) and phosphorous pentasulfide (17 g, 76.48 mmol) was stirred overnight at 60° C. The reaction was then quenched by the addition of 2 M sodium hydroxide (50 mL). The mixture was extracted three times with dichloromethane. The combined organic layers were dried (Na2SO4) and concentrated. The resulting residue was purified by MPLC eluting with a 40% ether in petroleum ether to afford 5-ethoxy-2-ethylthiazole (800 mg, 13%) as a yellow oil.
Part II—Synthesis of 5-Ethoxy-2-ethylthiazole-4-sulfonic acid
Figure US09896441-20180220-C00892
Sulfonoperoxoyl chloride (1.1 g, 9.44 mmol) was added dropwise to a stirred solution of 5-ethoxy-2-ethyl-1,3-thiazole (300 mg, 1.91 mmol) in chloroform (5 mL) at room temperature. The resulting solution was stirred for two hours at 60° C. The resulting mixture was concentrated to afford 5-ethoxy-2-ethylthiazole-4-sulfonic acid (310 mg, 68%) of 5-ethoxy-2-ethyl-1,3-thiazole-4-sulfonic acid as yellow oil.
Part III—Synthesis of 5-Ethoxy-2-ethylthiazole-4-sulfonyl chloride
Figure US09896441-20180220-C00893
A mixture of 5-ethoxy-2-ethyl-1,3-thiazole-4-sulfonic acid (2.7 g, 11 mmol) and thionyl chloride (20 mL, 56 mmol) was stirred for two hours at 78° C. The reaction was then quenched by the addition of ice water (100 mL). The mixture was extracted twice with dichloromethane. The combined organic layers were dried (Na2SO4) and concentrated. The resulting residue was purified by MPLC eluting with 3:1 ether:petroleum ether to afford 5-ethoxy-2-ethylthiazole-4-sulfonyl chloride (260 mg, 9%) as a brown solid.
Part IV—Synthesis of Methyl (S,E)-3-(6-(2-(2-chloro-6-fluorophenyl)prop-1-en-1-yl)-4-((5-ethoxy-2-ethylthiazol-4-yl)sulfonyl)-3,4-dihydro-2H-benzo[b][1,4]oxazin-2-yl)propanoate
Figure US09896441-20180220-C00894
Using the method of Example 29, methyl (S,E)-3-(6-(2-(2-chloro-6-fluorophenyl)prop-1-en-1-yl)-4-((5-ethoxy-2-ethylthiazol-4-yl)sulfonyl)-3,4-dihydro-2H-benzo[b][1,4]oxazin-2-yl)propanoate was prepared. 1H-NMR (300 MHz, CD3OD) δ 7.80 (s, 1H), 7.29-7.31 (m, 2H), 7.10-7.15 (m, 1H), 7.05 (d, J=7.8 Hz, 1H), 6.87 (d, J=8.4 Hz, 1H), 6.30 (s, 1H), 4.37-4.41 (m, 1H), 4.18-4.22 (m, 1H), 4.05-4.18 (m, 2H), 3.72 (s, 3H), 3.33-3.34 (m, 2H), 2.85-2.91 (m, 2H), 2.57-2.61 (m, 2H), 2.17 (s, 3H), 1.92-2.02 (m, 2H), 1.27-1.36 (m, 6H). (ES, m/z): (M+H)+ 609.
Example 73—Synthesis of (S,E)-3-(6-(2-(2-Chloro-6-fluorophenyl)prop-1-en-1-yl)-4-((5-ethoxy-2-ethylthiazol-4-yl)sulfonyl)-3,4-dihydro-2H-benzo[b][1,4]oxazin-2-yl)propanoic acid
Figure US09896441-20180220-C00895
Based on the procedure in Example 42, (S,E)-3-(6-(2-(2-chloro-6-fluorophenyl)prop-1-en-1-yl)-4-((5-ethoxy-2-ethylthiazol-4-yl)sulfonyl)-3,4-dihydro-2H-benzo[b][1,4]oxazin-2-yl)propanoic acid was prepared. 1H-NMR (400 MHz, CD3OD) δ 7.78 (s, 1H), 7.24-7.29 (m, 2H), 7.03-7.13 (m, 2H), 7.05 (d, J=8 Hz, 1H), 6.87 (d, J=8.4 Hz, 1H), 6.30 (s, 1H), 4.37-4.41 (m, 1H), 4.04-4.22 (m, 3H), 3.33-3.34 (m, 1H), 2.82-2.91 (m, 2H), 2.57-2.61 (m, 2H), 2.16 (s, 3H), 1.92-2.02 (m, 2H), 1.27-1.36 (m, 6H). (ES, m/z): (M+H)+ 595.
Example 74—Synthesis of Methyl (S,E)-3-(6-(2-(2-chloro-6-fluorophenyl)prop-1-en-1-yl)-4-((5-(trifluoromethyl)pyridin-3-yl)sulfonyl)-3,4-dihydro-2H-benzo[b][1,4]oxazin-2-yl)propanoate
Figure US09896441-20180220-C00896
Part I—Synthesis of 3-(Benzylthio)-5-(trifluoromethyl)pyridine
Figure US09896441-20180220-C00897
A mixture of 3-bromo-5-(trifluoromethyl)pyridine (586 mg, 2.59 mmol), phenylmethanethiol (0.31 mL, 2.59 mmol), toluene (8.9 mL), N,N-diisopropylethyl amine (0.89 mL, 5.12 mmol), tris(dibenzylideneacetone)dipalladium(0) (118.3 mg, 0.13 mmol), 4,5-bis(diphenylphosphino)-9,9-dimethylxanthene (148.9 mg, 0.26 mmol) was stirred for two hours at 110° C. The mixture was diluted aqueous sodium bicarbonate and extracted three times with dichloromethane. The combined organic layers were dried (Na2SO4) and concentrated. The resulting residue was purified by MPLC eluting with a gradient of 5-20% ethyl acetate in petroleum ether to afford 3-(benzylthio)-5-(trifluoromethyl)pyridine (960 mg) as a yellow oil.
Part II—Synthesis of 5-(Trifluoromethyl)pyridine-3-sulfonyl chloride
Figure US09896441-20180220-C00898
A solution of 3-(benzylthio)-5-(trifluoromethyl)pyridine (610 mg, 2.27 mmol), acetic acid (5 mL), water (1.7 mL), and N-chlorosuccinimide (1.21 g, 9.06 mmol) was stirred for one hour at room temperature. The mixture was concentrated and the resulting residue was purified by MPLC eluting with a gradient of 5-20% ethyl acetate in petroleum ether to afford 5-(trifluoromethyl)pyridine-3-sulfonyl chloride (202 mg, 36%) as a colorless oil.
Part III—Synthesis of Methyl (S,E)-3-(6-(2-(2-chloro-6-fluorophenyl)prop-1-en-1-yl)-4-((5-(trifluoromethyl)pyridin-3-yl)sulfonyl)-3,4-dihydro-2H-benzo[b][1,4]oxazin-2-yl)propanoate
Figure US09896441-20180220-C00899
Using the method of Example 29, methyl (S,E)-3-(6-(2-(2-chloro-6-fluorophenyl)prop-1-en-1-yl)-4-((5-(trifluoromethyl)pyridin-3-yl)sulfonyl)-3,4-dihydro-2H-benzo[b][1,4]oxazin-2-yl)propanoate was prepared. 1H-NMR (400 MHz, CDCl3) δ 1.78-1.90 (m, 1H), 1.91-1.98 (m, 1H), 2.20 (s, 3H), 2.52 (t, J=7.2 Hz, 2H), 3.29 (dd, J=10.0 Hz, 14.4 Hz, 1H), 3.65-3.68 (m, 1H), 3.71 (s, 3H), 4.40 (dd, J=2.4 Hz, 14.0 Hz), 6.41 (s, 1H), 6.85 (d, J=8.4 Hz, 1H), 7.05 (t, J=9.2 Hz, 1H), 7.15-7.25 (m, 3H), 7.85 (s, 1H), 8.24 (s, 1H), 9.07 (s, 1H). (ES, m/z): (M+H)+ 599.
Example 75—Synthesis of (S,E)-3-(6-(2-(2-Chloro-6-fluorophenyl)prop-1-en-1-yl)-4-((5-(trifluoromethyl)pyridin-3-yl)sulfonyl)-3,4-dihydro-2H-benzo[b][1,4]oxazin-2-yl)propanoic acid
Figure US09896441-20180220-C00900
Based on the procedure in Example 42, (S,E)-3-(6-(2-(2-chloro-6-fluorophenyl)prop-1-en-1-yl)-4-((5-(trifluoromethyl)pyridin-3-yl)sulfonyl)-3,4-dihydro-2H-benzo[b][1,4]oxazin-2-yl)propanoic acid was prepared. 1H-NMR (300 MHz, CD3OD) δ 1.80-1.85 (m, 1H), 1.93-1.98 (m, 1H), 2.18 (s, 3H), 2.45-2.50 (m, 2H), 3.32-3.41 (m, 1H), 3.62-3.64 (m, 1H), 4.52 (dd, J=2.4 Hz, 14.4 Hz, 1H), 6.40 (s, 1H), 6.91 (d, J=8.4 Hz, 1H), 7.12-7.18 (m, 2H), 7.31-7.33 (m, 2H), 7.86 (d, J=1.6 Hz, 1H), 8.37 (s, 1H), 9.12 (d, J=2.0 Hz, 1H), 9.17 (s, 1H). (ES, m/z): (M+H)+ 585.
Example 76—Synthesis of Methyl (S,E)-3-(6-(2-(2-chloro-6-(trifluoromethyl)phenyl)prop-1-en-1-yl)-4-((2-ethoxy-5-(trifluoromethyl)pyridin-3-yl)sulfonyl)-3,4-dihydro-2H-benzo[b][1,4]oxazin-2-yl)propanoate
Figure US09896441-20180220-C00901
Part I—Synthesis of Methyl (S,Z)-3-(6-(2-(4,4,5,5-tetramethyl-1,3,2-dioxaborolan-2-yl)prop-1-en-1-yl)-3,4-dihydro-2H-benzo[b][1,4]oxazin-2-yl)propanoate
Figure US09896441-20180220-C00902
A mixture of methyl (S)-3-(6-bromo-3,4-dihydro-2H-benzo[b][1,4]oxazin-2-yl)propanoate (1 g, 3.33 mmol), 4,4,5,5-tetramethyl-2-(prop-1-en-2-yl)-1,3,2-dioxaborolane (672 mg, 4.00 mmol), tri-tert-butylphosphonium tetrafluoroborate (0.23 g, 0.83 mmol), tris(dibenzylideneacetone)dipalladium(0) (150 mg, 0.16 mmol), triethylamine (1.7 g, 16.8 mmol), and toluene (20 mL) was stirred overnight at 80° C. The mixture was concentrated and the resulting residue was purified by MPLC eluting with 20% ethyl acetate in petroleum ether to afford methyl (S,Z)-3-(6-(2-(4,4,5,5-tetramethyl-1,3,2-dioxaborolan-2-yl)prop-1-en-1-yl)-3,4-dihydro-2H-benzo[b][1,4]oxazin-2-yl)propanoate (0.8 g, 62%) as a yellow oil.
Part II—Synthesis of Methyl (S,E)-3-(6-(2-(2-chloro-6-(trifluoromethyl)phenyl)prop-1-en-1-yl)-3,4-dihydro-2H-benzo[b][1,4]oxazin-2-yl)propanoate
Figure US09896441-20180220-C00903
A mixture of methyl (S,Z)-3-(6-(2-(4,4,5,5-tetramethyl-1,3,2-dioxaborolan-2-yl)prop-1-en-1-yl)-3,4-dihydro-2H-benzo[b][1,4]oxazin-2-yl)propanoate (1 g, 2.58 mmol), 2-bromo-1-chloro-3-(trifluoromethyl)benzene (1 g, 3.85 mmol), sodium carbonate (800 mg, 7.48 mmol), tetrakis(triphenylphosphine)palladium(0) (300 mg, 0.26 mmol), toluene (20 mL), methanol (10 mL) and water (5 mL) was stirred overnight at 90° C. The mixture was diluted with water, and extracted twice with dichloromethane. The combined organic layers were dried (Na2SO4) and concentrated. The resulting residue was purified via MPLC eluting with 20% ethyl acetate in petroleum ether to afford methyl (S,E)-3-(6-(2-(2-chloro-6-(trifluoromethyl)phenyl)prop-1-en-1-yl)-3,4-dihydro-2H-benzo[b][1,4]oxazin-2-yl)propanoate (250 mg, 22%) as a colorless oil.
Part III—Synthesis of Methyl (S,E)-3-(6-(2-(2-chloro-6-(trifluoromethyl)phenyl)prop-1-en-1-yl)-4-((2-ethoxy-5-(trifluoromethyl)pyridin-3-yl)sulfonyl)-3,4-dihydro-2H-benzo[b][1,4]oxazin-2-yl)propanoate
Figure US09896441-20180220-C00904
Based on the procedure in Example 29, methyl (S,E)-3-(6-(2-(2-chloro-6-(trifluoromethyl)phenyl)prop-1-en-1-yl)-4-((2-ethoxy-5-(trifluoromethyl)pyridin-3-yl)sulfonyl)-3,4-dihydro-2H-benzo[b][1,4]oxazin-2-yl)propanoate was prepared. 1H-NMR (300 MHz, CD3OD) δ 8.75 (s, 1H), 8.56 (d, J=2.0 Hz, 1H), 7.72 (m, 2H), 7.57 (m, 1H), 7.48 (m, 1H), 7.02 (m, 1H), 6.93 (m, 1H), 6.21 (s, 1H), 4.48 (m, 2H), 4.29 (m, 1H), 3.94 (m, 2H), 3.68 (s, 3H), 3.48 (m, 1H), 2.56 (m, 2H), 2.10 (s, 3H), 1.20-1.92 (m, 2H), 1.25-1.21 (m, 3H). (ES, m/z): (M+H)+ 693.
Example 77—Synthesis of (S,E)-3-(6-(2-(2-Chloro-6-(trifluoromethyl)phenyl)prop-1-en-1-yl)-4-((2-ethoxy-5-(trifluoromethyl)pyridin-3-yl)sulfonyl)-3,4-dihydro-2H-benzo[b][1,4]oxazin-2-yl)propanoic acid
Figure US09896441-20180220-C00905
Based on the procedure in Example 42, (S,E)-3-(6-(2-(2-chloro-6-(trifluoromethyl)phenyl)prop-1-en-1-yl)-4-((2-ethoxy-5-(trifluoromethyl)pyridin-3-yl)sulfonyl)-3,4-dihydro-2H-benzo[b][1,4]oxazin-2-yl)propanoic acid was prepared. 1H-NMR (300 MHz, CD3OD) δ 8.74 (s, 1H), 8.56 (d, J=2.0 Hz, 1H), 7.72 (m, 2H), 7.57 (m, 1H), 7.48 (m, 1H), 7.02 (m, 1H), 6.93 (m, 1H), 6.21 (s, 1H), 4.54-4.45 (m, 2H), 4.31 (m, 1H), 3.96 (m, 2H), 3.48 (m, 1H), 2.53 (t, J=7.2 Hz, 2H), 2.10 (s, 3H), 1.99-1.89 (m, 2H), 1.24 (m, 3H). (ES, m/z): (M+H)+ 679.
Example 78—Synthesis of Methyl 3-((S)-6-((E)-2-chloro-6-fluorostyryl)-4-((2-((R)-2-hydroxypropoxy)-5-(trifluoromethyl)pyridin-3-yl)sulfonyl)-3,4-dihydro-2H-benzo[b][1,4]oxazin-2-yl)propanoate
Figure US09896441-20180220-C00906
Part I—Synthesis of Methyl (R)-2-((tert-butyldimethylsilyl)oxy)propanoate
Figure US09896441-20180220-C00907
A mixture of methyl (R)-2-hydroxypropanoate (5.1 g, 48.99 mmol), dichloromethane (50 mL), imidazole (5 g, 75 mmol) and tert-butyldimethylsilyl chloride (8.85 g) was stirred for two hours at room temperature. The mixture was diluted with water and extracted three times with dichloromethane. The combined organic layers were dried (Na2SO4) and concentrated. The resulting residue was purified by MPLC eluting with 5% ethyl acetate in petroleum ether to afford methyl (R)-2-((tert-butyldimethylsilyl)oxy)propanoate (10.67 g, 100%) as a colorless oil.
Part II—Synthesis of (R)-2-((tert-Butyldimethylsilyl)oxy)propan-1-ol
Figure US09896441-20180220-C00908
Lithium borohydride (4.04 g, 185 mmol) was added to a solution of methyl (R)-2-((tert-butyldimethylsilyl)oxy)propanoate (10.12 g, 46.34 mmol) in tetrahydrofuran (60 mL). The resulting solution was stirred for four hours at room temperature. Saturated ammonium chloride was added and the pH of the mixture was adjusted to 1 with 1 M hydrogen chloride. The mixture was extracted three times with dichloromethane and the organic layers were combined, dried (Na2SO4), and concentrated. The resulting residue was purified via MPLC eluting with 10% ethyl acetate in petroleum ether to afford (R)-2-((tert-butyldimethylsilyl)oxy)propan-1-ol (8.45 g, 96%) as a colorless oil.
Part III—Synthesis of (R)-3-Bromo-2-(2-((tert-butyldimethylsilyl)oxy)propoxy)-5-(trifluoromethyl)pyridine
Figure US09896441-20180220-C00909
Sodium hydride (2.49 g, 62.25 mmol, 60% in mineral oil) was added to a solution of (R)-2-((tert-butyldimethylsilyl)oxy)propan-1-ol (8.45 g, 44.39 mmol) in tetrahydrofuran (44.5 mL) at 0° C. The mixture was stirred for twenty min., and 3-bromo-2-chloro-5-(trifluoromethyl)pyridine (3.7 g, 14.21 mmol) was then added to the reaction mixture. The resulting solution was stirred overnight at room temperature, diluted with brine, and extracted three times with dichloromethane. The combined organic layers were dried (Na2SO4), concentrated, and the resulting residue was purified by MPLC eluting with a gradient of 1-5% ethyl acetate in petroleum ether to afford (R)-3-bromo-2-(2-((tert-butyldimethylsilyl)oxy)propoxy)-5-(trifluoromethyl)pyridine (7.79 g) as a colorless oil.
Part IV—Synthesis of (R)-3-(Benzylthio)-2-(2-((tert-butyldimethylsilyl)oxy)propoxy)-5-(trifluoromethyl)pyridine
Figure US09896441-20180220-C00910
A mixture of (R)-3-bromo-2-(2-((tert-butyldimethylsilyl)oxy)propoxy)-5-(trifluoromethyl)pyridine (7.52 g, 18.15 mmol), benzylthiol (2.1 mL, 17.9 mmol), N,N-diisopropylethyl amine (6 mL, 34.5 mmol), toluene (50 mL), tris(dibenzylideneacetone)dipalladium(0) (829 mg, 0.91 mmol), 4,5-bis(diphenylphosphino)-9,9-dimethylxanthene (1.043 g, 1.80 mmol) was stirred for one hour at 110° C. The mixture was diluted with water and extracted three times with dichloromethane. The combined organic layers were dried (Na2SO4), concentrated, and the resulting residue was purified by MPLC eluting with a gradient of 1-5% ethyl acetate in petroleum ether to afford (R)-3-(benzylthio)-2-(2-((tert-butyldimethylsilyl)oxy)propoxy)-5-(trifluoromethyl)pyridine (8.37 g) as a yellow oil.
Part V—Synthesis of (R)-1-((3-(Benzylthio)-5-(trifluoromethyl)pyridin-2-yl)oxy)propan-2-ol
Figure US09896441-20180220-C00911
A solution of (R)-3-(benzylthio)-2-(2-((tert-butyldimethylsilyl)oxy)propoxy)-5-(trifluoromethyl)pyridine (7.25 g, 15.84 mmol), THF (32 mL) and a 1 M solution of tetrabutylammonium fluoride (19 mL, 19 mmol) in THF was stirred for one hour at room temperature. The mixture was concentrated, diluted with water, and extracted three times with dichloromethane. The combined organic layers were dried (Na2SO4), concentrated and the resulting residue was purified by MPLC eluting with a gradient of 5-20% ethyl acetate in petroleum ether to afford (R)-1-((3-(benzylthio)-5-(trifluoromethyl)pyridin-2-yl)oxy)propan-2-ol (5.01 g, 92%) as a yellow oil.
Part VI—Synthesis of (R)-1-((3-(Benzylthio)-5-(trifluoromethyl)pyridin-2-yl)oxy)propan-2-yl acetate
Figure US09896441-20180220-C00912
A mixture of (R)-1-((3-(benzylthio)-5-(trifluoromethyl)pyridin-2-yl)oxy)propan-2-ol (4.7 g, 13.69 mmol), dichloromethane (40.3 mL), pyridine (2.8 mL), acetic anhydride (2.8 mL), and 4-dimethylaminopyridine (167.2 mg, 1.37 mmol) was stirred for one hour at room temperature. The reaction mixture was diluted with saturated ammonium chloride and extracted three times with dichloromethane. The combined organic layers were dried (Na2SO4) and concentrated. The resulting residue was purified by MPLC eluting with a gradient of 2-10% ethyl acetate in petroleum ether to afford (R)-1-((3-(benzylthio)-5-(trifluoromethyl)pyridin-2-yl)oxy)propan-2-yl acetate (4.88 g, 93%) as a yellow solid.
Part VII—Synthesis of (R)-1-((3-(Chlorosulfonyl)-5-(trifluoromethyl)pyridin-2-yl)oxy)propan-2-yl acetate
Figure US09896441-20180220-C00913
A solution of (R)-1-((3-(benzylthio)-5-(trifluoromethyl)pyridin-2-yl)oxy)propan-2-yl acetate (4.69 g, 12.17 mmol), acetic acid (26.9 mL), water (9 mL), and N-chlorosuccinimide (6.5 g, 48.68 mmol) was stirred for one hour at room temperature. The mixture was concentrated, diluted with aqueous sodium bicarbonate, and extracted three times with dichloromethane. The combined organic layers were dried (Na2SO4) and concentrated. The resulting residue was purified by MPLC eluting with a gradient of 5-20% ethyl acetate in petroleum ether to afford (R)-1-((3-(chlorosulfonyl)-5-(trifluoromethyl)pyridin-2-yl)oxy)propan-2-yl acetate (4.2 g, 95%) as a colorless oil.
Part VIII—Synthesis of Methyl 3-((S)-4-((2-((R)-2-acetoxypropoxy)-5-(trifluoromethyl)pyridin-3-yl)sulfonyl)-6-((E)-2-chloro-6-fluorostyryl)-3,4-dihydro-2H-benzo[b][1,4]oxazin-2-yl)propanoate
Figure US09896441-20180220-C00914
A mixture of (S,E)-3-(6-(2-chloro-6-fluorostyryl)-3,4-dihydro-2H-benzo[b][1,4]oxazin-2-yl)propanoate (205 mg, 0.55 mmol), dichloromethane (2.7 mL), pyridine (0.2 mL), 4-dimethylaminopyridine (33.3 mg, 0.27 mmol), and ((R)-1-((3-(chlorosulfonyl)-5-(trifluoromethyl)pyridin-2-yl)oxy)propan-2-yl acetate (473.7 mg, 1.31 mmol) was stirred overnight at room temperature. The mixture was diluted with brine and was extracted three times with dichloromethane. The combined organic layers were dried (Na2SO4), concentrated, and the resulting residue was purified by MPLC eluting with 33% ethyl acetate in petroleum ether to afford methyl 3-((S)-4-((2-((R)-2-acetoxypropoxy)-5-(trifluoromethyl)pyridin-3-yl)sulfonyl)-6-((E)-2-chloro-6-fluorostyryl)-3,4-dihydro-2H-benzo[b][1,4]oxazin-2-yl)propanoate (276 mg, 72%) as a light yellow oil.
Part IX—Synthesis of Methyl 3-((S)-6-((E)-2-chloro-6-fluorostyryl)-4-((2-((R)-2-hydroxypropoxy)-5-(trifluoromethyl)pyridin-3-yl)sulfonyl)-3,4-dihydro-2H-benzo[b][1,4]oxazin-2-yl)propanoate
Figure US09896441-20180220-C00915
Based on the procedure in Example 69, methyl 3-((S)-6-((E)-2-chloro-6-fluorostyryl)-4-((2-((R)-2-hydroxypropoxy)-5-(trifluoromethyl)pyridin-3-yl)sulfonyl)-3,4-dihydro-2H-benzo[b][1,4]oxazin-2-yl)propanoate was prepared. 1H-NMR (300 MHz, CD3OD) δ 1.17 (d, J=6.4 Hz, 3H), 1.90-2.04 (m, 2H), 2.57 (t, J=6.8 Hz, 2H), 3.52 (dd, J=9.2 Hz, 14.0 Hz, 1H), 3.69 (s, 3H), 3.91-3.96 (m, 2H), 4.14 (dd, J=4.8 Hz, 11.2 Hz, 1H), 4.39 (dd, J=2.4 Hz, 14.4 Hz, 1H), 4.51 (dd, J=6.8 Hz, 10.8 Hz, 1H), 6.93 (d, J=8.4 Hz, 1H), 7.07-7.17 (m, 2H), 7.22-7.32 (m, 4H), 7.68 (d, J=1.6 Hz, 1H), 8.62 (d, J=2.4 Hz, 1H), 8.74 (s, 1H). (ES, m/z): (M+H)+ 659.
Example 79—Synthesis of 3-((S)-6-((E)-2-Chloro-6-fluorostyryl)-4-((2-((R)-2-hydroxypropoxy)-5-(trifluoromethyl)pyridin-3-yl)sulfonyl)-3,4-dihydro-2H-benzo[b][1,4]oxazin-2-yl)propanoic acid
Figure US09896441-20180220-C00916
Based on the procedure in Example 42, 3-((S)-6-((E)-2-chloro-6-fluorostyryl)-4-((2-((R)-2-hydroxypropoxy)-5-(trifluoromethyl)pyridin-3-yl)sulfonyl)-3,4-dihydro-2H-benzo[b][1,4]oxazin-2-yl)propanoic acid was prepared. 1H-NMR (300 MHz, CD3OD) δ 1.15 (d, J=6.4 Hz, 3H), 1.90-1.97 (m, 2H), 2.52 (t, J=7.2 Hz, 2H), 3.50 (dd, J=9.2 Hz, 14.0 Hz, 1H), 3.92-3.94 (m, 2H), 4.15 (dd, J=4.4 Hz, 10.8 Hz, 1H), 4.38 (dd, J=2.4 Hz, 14.4 Hz, 1H), 4.49 (dd, J=6.8 Hz, 11.2 Hz, 1H), 6.92 (d, J=8.8 Hz, 1H), 7.05-7.15 (m, 2H), 7.21-7.30 (m, 4H), 7.66 (d, J=2.0 Hz, 1H), 8.59 (d, J=2.4 Hz, 1H), 8.71 (s, 1H). (ES, m/z): (M+H)+ 645.
Example 80—Synthesis of (S,E)-3-(6-(2-(2-Chloro-6-fluorophenyl)prop-1-en-1-yl)-4-((1-ethyl-3-(2-hydroxyethoxy)-1H-pyrazol-4-yl)sulfonyl)-3,4-dihydro-2H-benzo[b][1,4]oxazin-2-yl)propanoic acid
Figure US09896441-20180220-C00917
Part I—Synthesis of Methyl 2-((1-acetyl-1H-pyrazol-3-yl)oxy)acetate
Figure US09896441-20180220-C00918
Methyl bromoacetate (72.78 g, 475.8 mmol) was added to a mixture of 1-acetyl-1,2-dihydro-3H-pyrazol-3-one (50.0 g, 396.5 mmol) and potassium carbonate (82.2 g, 594.7 mmol) in DMF (396 mL) and stirred at room temperature overnight. The mixture was partitioned between ethyl acetate (500 mL) and water (1 L). The organic layer was washed with water and brine, dried (Na2SO4), and concentrated. The resulting residue was triturated with methanol (375 mL) and filtered to obtain methyl 2-((1-acetyl-1H-pyrazol-3-yl)oxy)acetate as a white solid (42.0 g, 53%).
Part II—Synthesis of Methyl 2-((1H-pyrazol-3-yl)oxy)acetate
Figure US09896441-20180220-C00919
Sodium methoxide (13.74 g, 254.3 mmol) was added to a stirred suspension of methyl 2-((1-acetyl-1H-pyrazol-3-yl)oxy)acetate (42.0 g, 211.9 mmol) in methanol (212 mL) at 0° C. The mixture was stirred overnight at room temperature. The reaction was quenched with 2 M HCl (125 mL) and concentrated to remove the methanol. The mixture was partitioned between ethyl acetate and brine. The organic layer was dried (Na2SO4) and concentrated to afford methyl 2-((1H-pyrazol-3-yl)oxy)acetate (26.38 g, 80%) as an off-white solid.
Part III—Synthesis of Methyl 2-((1-ethyl-1H-pyrazol-3-yl)oxy)acetate
Figure US09896441-20180220-C00920
A 60% suspension of sodium hydride in mineral oil (9.71 g, 253.4 mmol) was added to a stirred solution of methyl 2-((1H-pyrazol-3-yl)oxy)acetate (26.38 g, 169.0 mmol) in DMF (225 mL) at 0° C. Iodoethane (27.7 g, 177 mmol) was added and the mixture was stirred at 0° C. for an additional thirty min. and then at room temperature overnight. The mixture was diluted with water and extracted twice with ethyl acetate. The combined organic layers were washed with brine, dried (Na2SO4), and concentrated to afford methyl 2-((1-ethyl-1H-pyrazol-3-yl)oxy)acetate (17.65 g, 57%).
Part IV—Synthesis of methyl 2-((4-(chlorosulfonyl)-1-ethyl-1H-pyrazol-3-yl)oxy)acetate
Figure US09896441-20180220-C00921
Chlorosulfonic acid (21.29 g, 182.7 mmol) was added dropwise to a stirred solution of methyl 2-((1-ethyl-1H-pyrazol-3-yl)oxy)acetate (30.6 g, 166.1 mmol) in dichloromethane (415 mL) at −10° C. The mixture was allowed to warm to room temperature and was stirred overnight. The mixture was cooled to −10° C., and pyridine was added (14.455 g, 182.8 mmol). Stirred for thirty minutes, and then phosphorous pentachloride (38.06 g, 182.8 mmol) was added in portions and stirred an additional thirty minutes at −10° C. The mixture was allowed to warm to room temperature and was stirred overnight. The mixture was poured onto ice, and the mixture was extracted three times with dichloromethane. The combined organic layers were washed with brine, dried (Na2SO4) and concentrated. The resulting residue was first purified via MPLC eluting with a gradient of 10-30% ethyl acetate in hexanes. The major UV fraction was concentrated and treated with a mixture of ethyl acetate (12 mL) and hexanes (52 mL). Crystallization began, and additional hexanes (75 mL) and ethyl acetate (13 mL) was added. The mixture was triturated, filtered, and dried to afford methyl 2-((4-(chlorosulfonyl)-1-ethyl-1H-pyrazol-3-yl)oxy)acetate (11.1 g, 24%) as a white solid.
Part V—Synthesis of Methyl (S)-3-(6-bromo-4-((1-ethyl-3-(2-methoxy-2-oxoethoxy)-1H-pyrazol-4-yl)sulfonyl)-3,4-dihydro-2H-benzo[b][1,4]oxazin-2-yl)propanoate
Figure US09896441-20180220-C00922
A mixture of methyl (S)-3-(6-bromo-3,4-dihydro-2H-benzo[b][1,4]oxazin-2-yl)propanoate (500 mg, 1.67 mmol), methyl 2-((4-(chlorosulfonyl)-1-ethyl-1H-pyrazol-3-yl)oxy)acetate (706 mg, 2.50 mmol) and pyridine (5 mL) was stirred at 50° C. overnight. The mixture was partitioned between ethyl acetate and 1 M HCl. The organic layer was washed twice with 1 M HCl, washed with brine, dried (Na2SO4), and concentrated. The resulting residue was purified by MPLC eluting with a gradient of 10-100% ethyl acetate in hexanes to afford methyl (S)-3-(6-bromo-4-((1-ethyl-3-(2-methoxy-2-oxoethoxy)-1H-pyrazol-4-yl)sulfonyl)-3,4-dihydro-2H-benzo[b][1,4]oxazin-2-yl)propanoate (600 mg, 66%) as an oil.
Part VI—Synthesis of Methyl (S)-3-(6-bromo-4-((1-ethyl-3-(2-hydroxyethoxy)-1H-pyrazol-4-yl)sulfonyl)-3,4-dihydro-2H-benzo[b][1,4]oxazin-2-yl)propanoate
Figure US09896441-20180220-C00923
Sodium borohydride (756 mg, 20.0 mmol) was added portionwise to a stirred solution of methyl (S)-3-(6-bromo-4-((1-ethyl-3-(2-methoxy-2-oxoethoxy)-1H-pyrazol-4-yl)sulfonyl)-3,4-dihydro-2H-benzo[b][1,4]oxazin-2-yl)propanoate (3.64 g, 6.66 mmol) in methanol at 0° C. After twenty minutes, additional sodium borohydride (756 mg, 20 mmol) was added. After stirring for 1 hour the reaction was quenched with 1 M HCl. The mixture was diluted with water and extracted three times with ethyl acetate. The combined organic layers were washed with brine, dried (Na2SO4), and concentrated. The resulting residue was purified by MPLC eluting with a gradient of 20-100% ethyl acetate in hexanes to afford methyl (S)-3-(6-bromo-4-((1-ethyl-3-(2-hydroxyethoxy)-1H-pyrazol-4-yl)sulfonyl)-3,4-dihydro-2H-benzo[b][1,4]oxazin-2-yl)propanoate (2.06 g, 60%).
Part VII—Synthesis of Methyl (S,E)-3-(6-(2-(2-chloro-6-fluorophenyl)prop-1-en-1-yl)-4-((1-ethyl-3-(2-hydroxyethoxy)-1H-pyrazol-4-yl)sulfonyl)-3,4-dihydro-2H-benzo[b][1,4]oxazin-2-yl)propanoate
Figure US09896441-20180220-C00924
A mixture of methyl (S)-3-(6-bromo-4-((1-ethyl-3-(2-hydroxyethoxy)-1H-pyrazol-4-yl)sulfonyl)-3,4-dihydro-2H-benzo[b][1,4]oxazin-2-yl)propanoate (2.22 g, 4.28 mmol), (E)-2-(2-(2-chloro-6-fluorophenyl)prop-1-en-1-yl)-4,4,5,5-tetramethyl-1,3,2-dioxaborolane (1.78 g, 6.00 mmol), potassium carbonate (0.83 g, 6.00 mmol), [1,1′-bis(diphenylphosphino)ferrocene]dichloropalladium(II) dichloromethane complex (330 mg, 0.42 mmol), dioxane (30 mL), and water (5 mL) was heated to 80° C. overnight. The mixture was partitioned between ethyl acetate and water. The organic layer was washed with brine, dried (Na2SO4) and concentrated. The resulting residue was purified via MPLC eluting with a gradient of 0-100% ethyl acetate in hexanes to afford methyl (S,E)-3-(6-(2-(2-chloro-6-fluorophenyl)prop-1-en-1-yl)-4-((1-ethyl-3-(2-hydroxyethoxy)-1H-pyrazol-4-yl)sulfonyl)-3,4-dihydro-2H-benzo[b][1,4]oxazin-2-yl)propanoate (1.94 g, 74%).
Part VIII—Synthesis of (S,E)-3-(6-(2-(2-Chloro-6-fluorophenyl)prop-1-en-1-yl)-4-((1-ethyl-3-(2-hydroxyethoxy)-1H-pyrazol-4-yl)sulfonyl)-3,4-dihydro-2H-benzo[b][1,4]oxazin-2-yl)propanoic acid
Figure US09896441-20180220-C00925
Aqueous sodium hydroxide (2 M, 4.79 mL, 9.58 mmol) was added to a solution of methyl (S,E)-3-(6-(2-(2-chloro-6-fluorophenyl)prop-1-en-1-yl)-4-((1-ethyl-3-(2-hydroxyethoxy)-1H-pyrazol-4-yl)sulfonyl)-3,4-dihydro-2H-benzo[b][1,4]oxazin-2-yl)propanoate (1.94 g, 3.19 mmol) in THF (10 mL) and methanol (20 mL). The mixture was stirred at room temperature for four hours, then concentrated and diluted with 1 M HCl. The mixture was extracted three times with ethyl acetate. The combined extracts were washed with water, brine, dried (Na2SO4), and concentrated to afford (S,E)-3-(6-(2-(2-chloro-6-fluorophenyl)prop-1-en-1-yl)-4-((1-ethyl-3-(2-hydroxyethoxy)-1H-pyrazol-4-yl)sulfonyl)-3,4-dihydro-2H-benzo[b][1,4]oxazin-2-yl)propanoic acid (1.85 g, 98%). A solution of sodium hydroxide (120 mg, 3.12 mmol) in water (1.05 mL) was added to a solution of (S,E)-3-(6-(2-(2-chloro-6-fluorophenyl)prop-1-en-1-yl)-4-((1-ethyl-3-(2-hydroxyethoxy)-1H-pyrazol-4-yl)sulfonyl)-3,4-dihydro-2H-benzo[b][1,4]oxazin-2-yl)propanoic acid (1.85 g, 3.12 mmol) in ethanol (30 mL). The mixture was stirred for thirty minutes and concentrated. The residue was co-evaporated three times with ethanol and dried in a vacuum oven to afford the sodium salt of (S,E)-3-(6-(2-(2-chloro-6-fluorophenyl)prop-1-en-1-yl)-4-((1-ethyl-3-(2-hydroxyethoxy)-1H-pyrazol-4-yl)sulfonyl)-3,4-dihydro-2H-benzo[b][1,4]oxazin-2-yl)propanoic acid (1.65 g, 89%). 1H-NMR (400 MHz, CDCl3) DMSO-d6) δ 8.18 (s, 1H), 7.62 (d, 1H), 7.36 (m, 2H), 7.26 (m, 1H), 7.01 (d, 1H), 6.86 (d, 1H), 6.34 (s, 1H), 4.35 (m, 1H), 4.15 (m, 1H), 4.05 (m, 1H), 3.94 (m, 2H), 3.60 (m, 2H), 3.22 (m, 1H), 2.08 (s, 3H), 1.99 (m, 2H), 1.8 (m, 2H), 1.24 (t, 3H). MS (ESI+) (M+Na)+ 616.21.
Example 81—Synthesis of Methyl (S,E)-3-(6-(2-chloro-6-(trifluoromethyl)styryl)-4-((3-(difluoromethyl)phenyl)sulfonyl)-3,4-dihydro-2H-benzo[b][1,4]oxazin-2-yl)propanoate
Figure US09896441-20180220-C00926
Part I—Synthesis of 1-Bromo-3-(difluoromethyl)benzene
Figure US09896441-20180220-C00927
Diethylaminosulfur trifluoride (2.5 g, 67.39 mmol) was added dropwise to a stirred solution of 3-bromobenzaldehyde (1 g, 5.40 mmol) in dichloromethane (10 mL). The mixture was stirred for four hours at room temperature, diluted with saturated sodium bicarbonate and extracted twice with dichloromethane. The combined organic layers were dried (Na2SO4) and concentrated to afford 1-bromo-3-(difluoromethyl)benzene (600 mg, 54%) as a colorless liquid.
Part II—Synthesis of Benzyl(3-(difluoromethyl)phenyl)sulfane
Figure US09896441-20180220-C00928
A mixture of 1-bromo-3-(difluoromethyl)benzene (600 mg, 2.90 mmol), phenylmethanethiol (397 mg, 3.20 mmol), N,N-diisopropylethylamine (751 mg, 5.81 mmol), [1,1′-bis(diphenylphosphino)ferrocene]dichloropalladium(II) dichloromethane complex (133 mg, 0.15 mmol), 4,5-bis(diphenylphosphino)-9,9-dimethylxanthene (174 mg, 0.30 mmol), and toluene (20 mL) was stirred for three hours at 110° C. The mixture was concentrated and the resulting residue was purified via MPLC eluting with 5% ethyl acetate in petroleum ether to afford benzyl(3-(difluoromethyl)phenyl)sulfane (200 mg, 28%) as a colorless oil.
Part III—Synthesis of 3-(Difluoromethyl)benzenesulfonyl chloride
Figure US09896441-20180220-C00929
A mixture of benzyl(3-(difluoromethyl)phenyl)sulfane (700 mg, 2.80 mmol) acetic acid (18 mL), water (6 mL), and N-chlorosuccinimide (1.5 g, 11.23 mmol) was stirred for one hour at room temperature. The mixture was concentrated and the resulting residue was dissolved in dichloromethane. The solution was washed twice with saturated sodium bicarbonate, dried (Na2SO4), and concentrated. The resulting residue was purified via MPLC eluting with 5% ethyl acetate in petroleum ether to afford 3-(difluoromethyl)benzenesulfonyl chloride (500 mg, 79%) as a colorless liquid.
Part IV—Synthesis of Methyl (S,E)-3-(6-(2-chloro-6-(trifluoromethyl)styryl)-4-((3-(difluoromethyl)phenyl)sulfonyl)-3,4-dihydro-2H-benzo[b][1,4]oxazin-2-yl)propanoate
Figure US09896441-20180220-C00930
A solution of methyl (S,E)-3-(6-(2-chloro-6-(trifluoromethyl)styryl)-3,4-dihydro-2H-benzo[b][1,4]oxazin-2-yl)propanoate (50 mg, 0.12 mmol), 3-(difluoromethyl)benzene-1-sulfonyl chloride (40 mg, 0.18 mmol), dichloromethane (10 mL) and pyridine (2 mL) was stirred overnight at room temperature. The mixture was diluted with dichloromethane and washed twice with 1 M HCl. The organic layer was dried (Na2SO4) and concentrated. The resulting residue was purified by Prep-HPLC eluting with a gradient of 68-90% acetonitrile in water with 0.05% trifluoroacetic acid to afford methyl (S,E)-3-(6-(2-chloro-6-(trifluoromethyl)styryl)-4-((3-(difluoromethyl)phenyl)sulfonyl)-3,4-dihydro-2H-benzo[b][1,4]oxazin-2-yl)propanoate (17.3 mg, 24%) as an off-white solid. 1H-NMR (400 MHz, CD3OD δ 7.95 (m, 2H), 7.87-7.67 (m, 5H), 7.46 (t, J=8.0 Hz, 1H), 7.31 (m, 1H), 7.04 (m, 1H), 6.88-6.74 (m, 3H), 4.42 (dd, J=2.4 Hz, 14.4 Hz, 1H), 3.68 (s, 3H), 3.43 (m, 1H), 3.29 (m, 1H), 2.49-2.46 (m, 2H), 1.93 (m, 1H), 1.85-1.75 (m, 1H). (ES, m/z): (M+H)+ 616.
Example 82—Synthesis of (S,E)-3-(6-(2-Chloro-6-(trifluoromethyl)styryl)-4-((3-(difluoromethyl)phenyl)sulfonyl)-3,4-dihydro-2H-benzo[b][1,4]oxazin-2-yl)propanoic acid
Figure US09896441-20180220-C00931
Based on the procedure in Example 42, (S,E)-3-(6-(2-chloro-6-(trifluoromethyl)styryl)-4-((3-(difluoromethyl)phenyl)sulfonyl)-3,4-dihydro-2H-benzo[b][1,4]oxazin-2-yl)propanoic acid was prepared. 1H-NMR (300 MHz, CD3OD) δ 7.94 (d, J=22 Hz, 1H), 7.84 (d, J=7.2 Hz, 1H), 7.81-7.76 (m, 2H), 7.75-7.66 (m, 3H), 7.58-7.44 (m, 1H), 7.31 (d, J=8.8 Hz 1H), 7.03 (t, J=16.4 Hz, 1H), 6.88-6.73 (m, 3H), 4.43 (dd, J=2.0 Hz, 14.4 Hz, 1H), 3.50-3.43 (m, 1H), 3.33-3.24 (m, 1H), 2.51-2.37 (m, 2H), 1.94-1.86 (m, 1H), 1.84-1.75 (m, 1H). (ES, m/z): (M+H)+ 602.
Example 83—Synthesis of Methyl (S,E)-3-(6-(2-chloro-6-(trifluoromethyl)styryl)-4-((3-(1,1-difluoroethyl)phenyl)sulfonyl)-3,4-dihydro-2H-benzo[b][1,4]oxazin-2-yl)propanoate
Figure US09896441-20180220-C00932
Based on the procedure in Example 81, methyl (S,E)-3-(6-(2-chloro-6-(trifluoromethyl)styryl)-4-((3-(1,1-difluoroethyl)phenyl)sulfonyl)-3,4-dihydro-2H-benzo[b][1,4]oxazin-2-yl)propanoate was prepared from 3-bromoacetophenone. 1H-NMR (300 MHz, CD3OD) δ 8.00 (d, J=2.0 Hz, 1H), 7.85-7.66 (m, 6H), 7.47 (t, J=8.4 Hz, 1H), 7.32 (m, 1H), 7.06 (m, 1H), 6.87-6.78 (m, 2H), 4.42 (dd, J=2.4 Hz, 14.4 Hz, 1H), 3.68 (s, 3H), 3.42 (m, 1H), 3.33-3.24 (m, 1H), 2.49-2.45 (m, 2H), 1.95-1.77 (m, 5H). (ES, m/z): (M+H)+ 630.
Example 84—Synthesis of (S,E)-3-(6-(2-Chloro-6-(trifluoromethyl)styryl)-4-((3-(1,1-difluoroethyl)phenyl)sulfonyl)-3,4-dihydro-2H-benzo[b][1,4]oxazin-2-yl)propanoic acid
Figure US09896441-20180220-C00933
Based on the procedure in Example 42, (S,E)-3-(6-(2-chloro-6-(trifluoromethyl)styryl)-4-((3-(1,1-difluoroethyl)phenyl)sulfonyl)-3,4-dihydro-2H-benzo[b][1,4]oxazin-2-yl)propanoic acid was prepared. 1H-NMR (300 MHz, CD3OD) δ 8.00 (s, 1H), 7.85-7.82 (m, 2H), 7.78-7.66 (m, 4H), 7.47 (t, J=8.0 Hz, 1H), 7.32 (m, 1H), 7.06 (m, 1H), 6.88-6.78 (m, 2H), 4.44 (dd, J=2.4 Hz, 14.4 Hz, 1H), 3.38 (m, 1H), 3.25 (m, 1H), 2.50-2.36 (m, 2H), 1.99-1.77 (m, 5H). (ES, m/z): (M+H)+ 616.
Example 85—Synthesis of (S,E)-3-(6-(2-(2-Chloro-6-fluorophenyl)prop-1-en-1-yl)-4-((1-cyclopropyl-3-(2-hydroxyethoxy)-1H-pyrazol-4-yl)sulfonyl)-3,4-dihydro-2H-benzo[b][1,4]oxazin-2-yl)propanoic acid
Figure US09896441-20180220-C00934
Part I—Synthesis of Methyl 2-((1-cyclopropyl-1H-pyrazol-3-yl)oxy)acetate
Figure US09896441-20180220-C00935
To a suspension of methyl 2-((1H-pyrazol-3-yl)oxy)acetate (0.5 g, 3.2 mmol), sodium carbonate (0.75 g, 7.0 mmol), and potassium cyclopropyl(trifluoro)boranuide (0.95 g, 6.4 mmol) in anhydrous 1,2-dichloroethane (10 mL) under a nitrogen atmosphere was added copper (II) acetate (0.64 g, 3.5 mmol) and 2,2′-bipyridyl (0.55 g, 3.5 mmol). The reaction mixture was heated to 70° C. overnight. The cooled reaction was partitioned between dichloromethane and saturated ammonium chloride. The aqueous layer was extracted once more with dichloromethane, then the combined extracts were washed with saturated ammonium chloride, then dried (Na2SO4) and concentrated. The mixture was purified by column chromatography eluting with a gradient of 0-50% ethyl acetate in hexanes. Pure fractions were combined and concentrated to afford methyl 2-((1-cyclopropyl-1H-pyrazol-3-yl)oxy)acetate (0.27 g, 43%).
Part II—Synthesis of (S,E)-3-(6-(2-(2-Chloro-6-fluorophenyl)prop-1-en-1-yl)-4-((1-cyclopropyl-3-(2-hydroxyethoxy)-1H-pyrazol-4-yl)sulfonyl)-3,4-dihydro-2H-benzo[b][1,4]oxazin-2-yl)propanoic acid
Based on the procedure in Example 80, methyl 2-((1-cyclopropyl-1H-pyrazol-3-yl)oxy)acetate was converted to (S,E)-3-(6-(2-(2-chloro-6-fluorophenyl)prop-1-en-1-yl)-4-((1-cyclopropyl-3-(2-hydroxyethoxy)-1H-pyrazol-4-yl)sulfonyl)-3,4-dihydro-2H-benzo[b][1,4]oxazin-2-yl)propanoic acid. 1H-NMR (400 MHz, DMSO-d6) δ 8.22 (s, 1H), 7.60 (d, 1H), 7.37 (m, 2H), 7.26 (m, 1H), 7.01 (dd, 1H), 6.86 (d, 1H), 6.32 (d, 1H), 4.31 (m, 1H), 4.10 (m, 1H), 4.06 (m, 1H), 3.95 (m, 1H), 3.60 (m, 3H), 3.26 (m, 1H), 2.07 (s, 3H), 1.99 (m, 2H), 1.79 (m, 2H), 1.00 (m, 1H), 0.95 (m, 1H), 0.86 (m, 2H). MS (ESI+) 628.11 (M+Na)+.
Example 86—Preparation of Additional Substituted (S,E)-3-(Aryl or heteroaryl)prop-1-en-1-yl)-4-(aryl or heteroaryl)-sulfonyl)-3,4-dihydro-2H-benzo[b][1,4]oxazin-2-yl) Compounds
Compounds in the table below were prepared based on experimental procedures described in Example 29 and the detailed description.
Observed
No. Structure Name m/z
86A
Figure US09896441-20180220-C00936
(S,E)-3-(6-(2-(2-chloro-6- fluorophenyl)prop-1-en-1-yl)-4- ((4-fluoro-3-(trifluoromethyl)- phenyl)sulfonyl)-3,4-dihydro-2H- benzo[b][1,4]oxazin-2-yl)- propanoic acid 602 (M + H)+
86B
Figure US09896441-20180220-C00937
(S,E)-methyl 3-(6-(2-(2-chloro-6- fluorophenyl)prop-1-en-1-yl)-4- ((4-fluoro-3-(trifluoromethyl)- phenyl)sulfonyl)-3,4-dihydro-2H- benzo[b][1,4]oxazin-2- yl)propanoate 616 (M + H)+
86C
Figure US09896441-20180220-C00938
(S,E)-3-(6-(2-(2-chloro-6- fluorophenyl)prop-1-en-1-yl)-4- ((3-cyclopropyl-4-fluorophenyl)- sulfonyl)-3,4-dihydro-2H- benzo[b][1,4]oxazin-2-yl)- propanoic acid 574 (M + H)+
86D
Figure US09896441-20180220-C00939
(S,E)-methyl 3-(6-(2-(2-chloro-6- fluorophenyl)prop-1-en-1-yl)-4- ((3-cyclopropyl-4-fluorophenyl)- sulfonyl)-3,4-dihydro-2H- benzo[b][1,4]oxazin-2- yl)propanoate 588 (M + H)+
86E
Figure US09896441-20180220-C00940
(S,E)-3-(4-((3-chloro-4- fluorophenyl)sulfonyl)-6-(2-(2- chloro-6-fluorophenyl)prop-1-en- 1-yl)-3,4-dihydro-2H- benzo[b][1,4]oxazin-2- yl)propanoic acid 568 (M + H)+
86F
Figure US09896441-20180220-C00941
(S,E)-methyl 3-(4-((3-chloro-4- fluorophenyl)sulfonyl)-6-(2-(2- chloro-6-fluorophenyl)prop-1-en- 1-yl)-3,4-dihydro-2H-benzo- [b][1,4]oxazin-2-yl)propanoate 582 (M + H)+
86G
Figure US09896441-20180220-C00942
(S,E)-3-(4-((3-chloro-1-ethyl-1H- pyrazol-4-yl)sulfonyl)-6-(2-(2- chloro-6-fluorophenyl)prop-1-en- 1-yl)-3,4-dihydro-2H- benzo[b][1,4]oxazin-2- yl)propanoic acid 568 (M + H)+
86H
Figure US09896441-20180220-C00943
(S,E)-methyl 3-(4-((3-chloro-1- ethyl-1H-pyrazol-4-yl)sulfonyl)-6- (2-(2-chloro-6-fluorophenyl)prop- 1-en-1-yl)-3,4-dihydro-2H- benzo[b][1,4]oxazin-2- yl)propanoate 582 (M + H)+
86I
Figure US09896441-20180220-C00944
(S,E)-3-(6-(2-(2-chloro-6- fluorophenyl)prop-1-en-1-yl)-4- ((3-ethoxy-1-ethyl-1H-pyrazol-4- yl)sulfonyl)-3,4-dihydro-2H- benzo[b][1,4]oxazin-2- yl)propanoic acid 578 (M + H)+
86J
Figure US09896441-20180220-C00945
(S,E)-methyl 3-(6-(2-(2-chloro-6- fluorophenyl)prop-1-en-1-yl)-4- ((3-ethoxy-1-ethyl-1H-pyrazol-4- yl)sulfonyl)-3,4-dihydro-2H- benzo[b][1,4]oxazin-2- yl)propanoate 592 (M + H)+
86K
Figure US09896441-20180220-C00946
(S,E)-3-(6-(2-(2-chloro-6- fluorophenyl)prop-1-en-1-yl)-4- ((2-methoxy-4,5,6,7- tetrahydropyrazolo[1,5-a]pyridin- 3-yl)sulfonyl)-3,4-dihydro-2H- benzo[b][1,4]oxazin-2- yl)propanoic acid 590 (M + H)+
86L
Figure US09896441-20180220-C00947
(S,E)-methyl 3-(6-(2-(2-chloro-6- fluorophenyl)prop-1-en-1-yl)-4- ((2-methoxy-4,5,6,7- tetrahydropyrazolo[1,5-a]pyridin- 3-yl)-sulfonyl)-3,4-dihydro-2H- benzo[b][1,4]oxazin-2-yl)- propanoate 604 (M + H)+
86M
Figure US09896441-20180220-C00948
(S,E)-3-(6-(2-(2-chloro-6- fluorophenyl)prop-1-en-1-yl)-4- ((3-methoxyphenyl)sulfonyl)-3,4- dihydro-2H-benzo[b][1,4]oxazin- 2-yl)propanoic acid 546 (M + H)+
86N
Figure US09896441-20180220-C00949
(S,E)-methyl 3-(6-(2-(2-chloro-6- fluorophenyl)prop-1-en-1-yl)-4- ((3-methoxyphenyl)sulfonyl)-3,4- dihydro-2H-benzo[b][1,4]oxazin- 2-yl)propanoate 560 (M + H)+
86O
Figure US09896441-20180220-C00950
(S,E)-3-(6-(2-(2-chloro-6- fluorophenyl)prop-1-en-1-yl)-4- ((3-(difluoromethoxy)phenyl)- sulfonyl)-3,4-dihydro-2H- benzo[b][1,4]oxazin-2- yl)propanoic acid 582 (M + H)+
86P
Figure US09896441-20180220-C00951
(S,E)-methyl 3-(6-(2-(2-chloro-6- fluorophenyl)prop-1-en-1-yl)-4- ((3-(difluoromethoxy)phenyl)- sulfonyl)-3,4-dihydro-2H- benzo[b][1,4]oxazin-2- yl)propanoate 596 (M + H)+
86Q
Figure US09896441-20180220-C00952
(S,E)-3-(6-(2-(2-chloro-6- fluorophenyl)prop-1-en-1-yl)-4- ((3-isopropylphenyl)sulfonyl)-3,4- dihydro-2H-benzo[b][1,4]oxazin- 2-yl)propanoic acid 558 (M + H)+
86R
Figure US09896441-20180220-C00953
(S,E)-methyl 3-(6-(2-(2-chloro-6- fluorophenyl)prop-1-en-1-yl)-4- ((3-isopropylphenyl)sulfonyl)-3,4- dihydro-2H-benzo[b][1,4]oxazin- 2-yl)propanoate 572 (M + H)+
86S
Figure US09896441-20180220-C00954
(S,E)-3-(6-(2-(2-chloro-6- fluorophenyl)prop-1-en-1-yl)-4- ((3-(trifluoromethoxy)phenyl)- sulfonyl)-3,4-dihydro-2H- benzo[b][1,4]oxazin-2- yl)propanoic acid 600 (M + H)+
86T
Figure US09896441-20180220-C00955
(S,E)-methyl 3-(6-(2-(2-chloro-6- fluorophenyl)prop-1-en-1-yl)-4- ((3-(trifluoromethoxy)phenyl)- sulfonyl)-3,4-dihydro-2H- benzo[b][1,4]oxazin-2- yl)propanoate 614 (M + H)+
86U
Figure US09896441-20180220-C00956
(S,E)-3-(6-(2-(2-chloro-6- fluorophenyl)prop-1-en-1-yl)-4- ((6-chloroimidazo[2,1-b]thiazol-5- yl)sulfonyl)-3,4-dihydro-2H- benzo[b][1,4]oxazin-2- yl)propanoic acid 596 (M + H)+
86V
Figure US09896441-20180220-C00957
(S)-methyl 3-(6-(2-(2-chloro-6- fluorophenyl)prop-1-en-1-yl)-4- ((6-chloroimidazo[2,1-b]thiazol-5- yl)sulfonyl)-3,4-dihydro-2H- benzo[b][1,4]oxazin-2- yl)propanoate 610 (M + H)+
86W
Figure US09896441-20180220-C00958
(S,E)-3-(6-(2-(2-chloro-6- fluorophenyl)prop-1-en-1-yl)-4- ((1-(difluoromethyl)-3-methyl-1H- pyrazol-4-yl)sulfonyl)-3,4- dihydro-2H-benzo[b][1,4]oxazin- 2-yl)propanoic acid 570 (M + H)+
86X
Figure US09896441-20180220-C00959
(S)-methyl 3-(6-(2-(2-chloro-6- fluorophenyl)prop-1-en-1-yl)-4- ((1-(difluoromethyl)-3-methyl-1H- pyrazol-4-yl)sulfonyl)-3,4- dihydro-2H-benzo[b][1,4]oxazin- 2-yl)propanoate 584 (M + H)+
86Y
Figure US09896441-20180220-C00960
(S,E)-3-(6-(2-(2-chlorophenyl)- prop-1-en-1-yl)-4-((3- (trifluoromethyl)phenyl)sulfonyl)- 3,4-dihydro-2H- benzo[b][1,4]oxazin-2- yl)propanoic acid 566 (M + H)+
86Z
Figure US09896441-20180220-C00961
(S,E)-methyl 3-(6-(2-(2- chlorophenyl)prop-1-en-1-yl)-4- ((3-(trifluoromethyl)phenyl)- sulfonyl)-3,4-dihydro-2H- benzo[b][1,4]oxazin-2- yl)propanoate 580 (M + H)+
86AA
Figure US09896441-20180220-C00962
(S,E)-3-(6-(2-phenylprop-1-en-1- yl)-4-((3-(trifluoromethyl)phenyl)- sulfonyl)-3,4-dihydro-2H- benzo[b],[1,4]oxazin-2- yl)propanoic acid 532 (M + H)+
86AB
Figure US09896441-20180220-C00963
(S,E)-methyl 3-(6-(2-phenylprop- 1-en-1-yl)-4-((3-(trifluoromethyl)- phenyl)sulfonyl)-3,4-dihydro-2H- benzo[b][1,4]oxazin-2- yl)propanoate 546 (M + H)+
86AC
Figure US09896441-20180220-C00964
(S,E)-3-(6-(2-(3,5- dimethylisoxazol-4-yl)prop-1-en- 1-yl)-4-((3- (trifluoromethyl)phenyl)sulfonyl)- 3,4-dihydro-2H- benzo[b][1,4]oxazin-2- yl)propanoic acid 551 (M + H)+
86AD
Figure US09896441-20180220-C00965
(S,E)-methyl 3-(6-(2-(3,5- dimethylisoxazol-4-yl)prop-1-en- 1-yl)-4-((3-(trifluoromethyl)- phenyl)sulfonyl)-3,4-dihydro-2H- benzo[b][1,4]oxazin-2-yl)- propanoate 565 (M + H)+
86AE
Figure US09896441-20180220-C00966
(S,E)-3-(6-(2-(2,6- dichlorophenyl)prop-1-en-1-yl)-4- ((3-(trifluoromethyl)phenyl)- sulfonyl)-3,4-dihydro-2H- benzo[b][1,4]oxazin-2- yl)propanoic acid 600 (M + H)+
86AF
Figure US09896441-20180220-C00967
(S,E)-methyl 3-(6-(2-(2,6- dichlorophenyl)prop-1-en-1-yl)-4- ((3-(trifluoromethyl)phenyl)- sulfonyl)-3,4-dihydro-2H- benzo[b][1,4]oxazin-2- yl)propanoate 614 (M + H)+
86AG
Figure US09896441-20180220-C00968
(S,E)-3-(6-(2-(2-(trifluoromethyl)- phenyl)prop-1-en-1-yl)-4-((3- (trifluoromethyl)phenyl)sulfonyl)- 3,4-dihydro-2H-benzo[b][1,4]- oxazin-2-yl)propanoic acid 600 (M + H)+
86AH
Figure US09896441-20180220-C00969
(S,E)-methyl 3-(6-(2-(2- (trifluoromethyl)phenyl)prop-1-en- 1-yl)-4-((3- (trifluoromethyl)phenyl)-sulfonyl)- 3,4-dihydro-2H- benzo[b][1,4]oxazin-2- yl)propanoate 614 (M + H)+
86AI
Figure US09896441-20180220-C00970
(S,E)-3-(6-(2-(2- methoxyphenyl)prop-1-en-1-yl)-4- ((3- (trifluoromethyl)phenyl)sulfonyl)- 3,4-dihydro-2H-benzo[b][1,4]- oxazin-2-yl)propanoic acid 562 (M + H)+
86AJ
Figure US09896441-20180220-C00971
(S,E)-methyl 3-(6-(2-(2- methoxyphenyl)prop-1-en-1-yl)-4- ((3- (trifluoromethyl)phenyl)sulfonyl)- 3,4-dihydro-2H-benzo[b][1,4]- oxazin-2-yl)propanoate 576 (M + H)+
86AK
Figure US09896441-20180220-C00972
(S,E)-3-(6-(2-(o-tolyl)prop-1-en-1- yl)-4-((3-(trifluoromethyl)- phenyl)sulfonyl)-3,4-dihydro-2H- benzo[b][1,4]oxazin-2- yl)propanoic acid 546 (M + H)+
86AL
Figure US09896441-20180220-C00973
(S,E)-methyl 3-(6-(2-(o-tolyl)prop- 1-en-1-yl)-4-((3-(trifluoromethyl)- phenyl)sulfonyl)-3,4-dihydro-2H- benzo[b][1,4]oxazin-2- yl)propanoate 560 (M + H)+
86AM
Figure US09896441-20180220-C00974
(S,E)-3-(6-(2-(2-chloro-6- fluorophenyl)prop-1-en-1-yl)-4- ((2-methyl-3-(trifluoromethyl)- phenyl)sulfonyl)-3,4-dihydro-2H- benzo[i,4]oxazin-2-yl)propanoic acid 598 (M + H)+
86AN
Figure US09896441-20180220-C00975
(S,E)-methyl 3-(6-(2-(2-chloro-6- fluorophenyl)prop-1-en-1-yl)-4- ((2-methyl-3-(trifluoromethyl)- phenyl)sulfonyl)-3,4-dihydro-2H- benzo[b][1,4]oxazin-2- yl)propanoate 612 (M + H)+
86AO
Figure US09896441-20180220-C00976
(S,E)-3-(6-(2-(2-chloro-6- fluorophenyl)prop-1-en-1-yl)-4- ((4-methyl-3-(trifluoromethyl)- phenyl)sulfonyl)-3,4-dihydro-2H- benzo[b][1,4]oxazin-2- yl)propanoic acid 598 (M + H)+
86AP
Figure US09896441-20180220-C00977
(S,E)-methyl 3-(6-(2-(2-chloro-6- fluorophenyl)prop-1-en-1-yl)-4- ((2-methyl-3-(trifluoromethyl)- phenyl)sulfonyl)-3,4-dihydro-2H- benzo[b][1,4]oxazin-2- yl)propanoate 612 (M + H)+
86AQ
Figure US09896441-20180220-C00978
(S,E)-3-(6-(2-(2-chloro-6- fluorophenyl)-prop-1-en-1-yl)-4- ((3-fluoro-5-(trifluoromethyl)- phenyl)sulfonyl)-3,4-dihydro-2H- benzo[1,4]oxazin-2-yl)propanoic acid 602 (M + H)+
86AR
Figure US09896441-20180220-C00979
(S,E)-methyl 3-(6-(2-(2-chloro-6- fluorophenyl)prop-1-en-1-yl)-4- ((3-fluoro-5-(trifluoromethyl)- phenyl)sulfonyl)-3,4-dihydro-2H- benzo[b][1,4]oxazin-2- yl)propanoate 616 (M + H)+
86AS
Figure US09896441-20180220-C00980
(S,E)-3-(6-(2-(2-chloro-6- fluorophenyl)prop-1-en-1-yl)-4- ((3-(difluoromethoxy)-4- fluorophenyl)sulfonyl)-3,4- dihydro-2H-benzo[b][1,4]oxazin- 2-yl)propanoic acid 600 (M + H)+
86AT
Figure US09896441-20180220-C00981
(S,E)-methyl 3-(6-(2-(2-chloro-6- fluorophenyl)prop-1-en-1-yl)-4- ((3-(difluoromethoxy)-4- fluorophenyl)sulfonyl)-3,4- dihydro-2H-benzo[b][1,4]oxazin- 2-yl)propanoate 614 (M + H)+
86AU
Figure US09896441-20180220-C00982
(S,E)-3-(6-(2-(2-chloro-6- fluorophenyl)prop-1-en-1-yl)-4- ((4-fluoro-3- methoxyphenyl)sulfonyl)-3,4- dihydro-2H-benzo[b][1,4]oxazin- 2-yl)propanoic acid 564 (M + H)+
86AV
Figure US09896441-20180220-C00983
methyl (S,E)-3-(6-(2-(2-chloro-6- fluorophenyl)prop-1-en-1-yl)-4- ((4-fluoro-3- methoxyphenyl)sulfonyl)-3,4- dihydro-2H-benzo[b][1,4]oxazin- 2-yl)propanoate 578 (M + H)+
86AW
Figure US09896441-20180220-C00984
(S,E)-3-(6-(2-(2-chloro-6- (trifluoromethyl)phenyl)prop-1-en- 1-yl)-4-((3-ethoxy-1-ethyl-1H- pyrazol-4-yl)sulfonyl)-3,4- dihydro-2H-benzo[b][1,4]oxazin- 2-yl)propanoic acid 628 (M + H)+
86AX
Figure US09896441-20180220-C00985
methyl (S,E)-3-(6-(2-(2-chloro-6- (trifluoromethyl)phenyl)prop-1-en- 1-yl)-4-((3-ethoxy-1-ethyl-1H- pyrazol-4-yl)sulfonyl)-3,4- dihydro-2H-benzo[b][1,4]oxazin- 2-yl)propanoate 642 (M + H)+
86AY
Figure US09896441-20180220-C00986
(S,E)-3-(6-(2-(2-chloro-6- fluorophenyl)prop-1-en-1-yl)-4- ((3-(2-hydroxyethoxy)-1- isopropyl-1H-pyrazol-4- yl)sulfonyl)-3,4-dihydro-2H- benzo[b][1,4]oxazin-2- yl)propanoic acid 608 (M + H)+
86AZ
Figure US09896441-20180220-C00987
(S)-3-(6-(2-(2-chloro-6- fluorophenyl)prop-1-en-1-yl)-4- ((1-(2,2-difluoroethyl)-3-(2- hydroxyethoxy)-1H-pyrazol-4- yl)sulfonyl)-3,4-dihydro-2H- benzo[b][1,4]oxazin-2- yl)propanoic acid 630 (M + H)+
86BA
Figure US09896441-20180220-C00988
methyl (S,E)-3-(6-(2-(2-chloro-6- fluorophenyl)prop-1-en-1-yl)-4- ((3-ethoxy-5,6,7,8- tetrahydroisoquinolin-4- yl)sulfonyl)-3,4-dihydro-2H- benzo[b][1,4]oxazin-2- yl)propanoate 629 (M + H)+
86BB
Figure US09896441-20180220-C00989
(S,E)-3-(6-(2-(2-chloro-6- fluorophenyl)prop-1-en-1-yl)-4- ((3-ethoxy-5,6,7,8- tetrahydroisoquinolin-4- yl)sulfonyl)-3,4-dihydro-2H- benzo[b][1,4]oxazin-2- yl)propanoic acid 615 (M + H)+
86BC
Figure US09896441-20180220-C00990
(S,E)-3-(6-(2-(2-chloro-6- fluorophenyl)prop-1-en-1-yl)-4- ((5-cyclopropyl-2-(2- hydroxyethoxy)pyridin-3- yl)sulfonyl)-3,4-dihydro-2H- benzo[b][1,4]oxazin-2- yl)propanoic acid 617 (M + H)+
86BD
Figure US09896441-20180220-C00991
(S,E)-3-(6-(2-(2-chloro-6- fluorophenyl)prop-1-en-1-yl)-4- ((2-(2-hydroxyethoxy)-5- isopropylpyridin-3-yl)sulfonyl)- 3,4-dihydro-2H- benzo[b][1,4]oxazin-2- yl)propanoic acid 619 (M + H)+
Example 87—Synthesis of Methyl (S,E)-3-(4-((3-ethoxy-1-ethyl-1H-pyrazol-4-yl)sulfonyl)-6-(2-fluoro-6-(trifluoromethyl)styryl)-3,4-dihydro-2H-benzo[b][1,4]oxazin-2-yl)propanoate
Figure US09896441-20180220-C00992
Part I—Synthesis of Methyl (S)-3-(6-bromo-4-((3-ethoxy-1-ethyl-1H-pyrazol-4-yl)sulfonyl)-3,4-dihydro-2H-benzo[b][1,4]oxazin-2-yl)propanoate
Figure US09896441-20180220-C00993
A solution of methyl (S)-3-(6-bromo-3,4-dihydro-2H-benzo[b][1,4]oxazin-2-yl)propanoate (3.35 g, 11.09 mmol), 3-ethoxy-1-ethyl-1H-pyrazole-4-sulfonyl chloride (4.0 g, 16.76 mmol), and pyridine (45 mL) was stirred overnight at room temperature. The pH value of the solution was adjusted to 3-4 with 2 M HCl. The mixture was extracted three times with ethyl acetate. The combined organic layers were dried (Na2SO4) and concentrated. The resulting residue was purified by MPLC eluting with a gradient of 10-20% ethyl acetate in petroleum ether to afford methyl (S)-3-(6-bromo-4-((3-ethoxy-1-ethyl-1H-pyrazol-4-yl)sulfonyl)-3,4-dihydro-2H-benzo[b][1,4]oxazin-2-yl)propanoate (5.11 g, 91%) as a yellow oil.
Part II—Synthesis of Methyl 3-((2S)-4-((3-ethoxy-1-ethyl-1H-pyrazol-4-yl)sulfonyl)-6-((E)-2-(4,4,6-trimethyl-1,3,2-dioxaborinan-2-yl)vinyl)-3,4-dihydro-2H-benzo[b][1,4]oxazin-2-yl)propanoate
Figure US09896441-20180220-C00994
A mixture of methyl (S)-3-(6-bromo-4-((3-ethoxy-1-ethyl-1H-pyrazol-4-yl)sulfonyl)-3,4-dihydro-2H-benzo[b][1,4]oxazin-2-yl)propanoate (500 mg, 1.00 mmol), 4,4,6-trimethyl-2-vinyl-1,3,2-dioxaborinane (184.8 mg, 1.20 mmol), bis(tri-tert-butylphosphine)palladium(0) (51.1 mg, 0.10 mmol), triethylamine (8 mL), and toluene (15 mL) was stirred for 24 hours at 80° C. The pH value of the solution was adjusted to 3-4 with 2 M HCl. The resulting solution was extracted three times with ethyl acetate. The combined organic layers were washed with brine, dried (Na2SO4) and concentrated. The resulting residue was purified via MPLC eluting with a gradient of 10-20% ethyl acetate in petroleum ether to afford methyl 3-((2S)-4-((3-ethoxy-1-ethyl-1H-pyrazol-4-yl)sulfonyl)-6-((E)-2-(4,4,6-trimethyl-1,3,2-dioxaborinan-2-yl)vinyl)-3,4-dihydro-2H-benzo[b][1,4]oxazin-2-yl)propanoate (480 mg, 84%) as a yellow oil.
Part III—Synthesis of Methyl (S,E)-3-(4-((3-ethoxy-1-ethyl-1H-pyrazol-4-yl)sulfonyl)-6-(2-fluoro-6-(trifluoromethyl)styryl)-3,4-dihydro-2H-benzo[b][1,4]oxazin-2-yl)propanoate
Figure US09896441-20180220-C00995
A mixture of methyl 3-((2S)-4-((3-ethoxy-1-ethyl-1H-pyrazol-4-yl)sulfonyl)-6-((E)-2-(4,4,6-trimethyl-1,3,2-dioxaborinan-2-yl)vinyl)-3,4-dihydro-2H-benzo[b][1,4]oxazin-2-yl)propanoate (303 mg, 0.53 mmol), 2-bromo-1-fluoro-3-(trifluoromethyl)benzene (192.1 mg, 0.79 mmol), ethanol (0.6 mL), water (2.2 mL), toluene (4.3 mL), sodium carbonate (458 mg, 4.32 mmol), and tetrakis(triphenyl-phosphine)palladium(0) (73.4 mg, 0.06 mmol) was stirred overnight at 95° C. The mixture was diluted with water and was extracted three times with dichloromethane. The combined organic layers were dried (Na2SO4) and concentrated. The resulting residue was purified by MPLC eluting with a gradient of 33-66% ethyl acetate in petroleum ether to afford methyl (S,E)-3-(4-((3-ethoxy-1-ethyl-1H-pyrazol-4-yl)sulfonyl)-6-(2-fluoro-6-(trifluoromethyl)styryl)-3,4-dihydro-2H-benzo[b][1,4]oxazin-2-yl)propanoate as a white solid. 1H-NMR (400 MHz, CDCl3) δ 1.30 (t, J=7.2 Hz, 3H), 1.39 (t, J=7.2 Hz, 3H), 1.95-2.01 (m, 2H), 2.54-2.59 (m, 2H), 3.32 (dd, J=9.2 Hz, 14.0 Hz, 1H), 3.71 (s, 3H), 3.94 (q, J=7.2 Hz, 2H), 4.02-4.08 (m, 1H), 4.18-4.23 (m, 2H), 4.38 (dd, J=2.4 Hz, 14.0 Hz, 1H), 6.85 (d, J=8.4 Hz, 1H), 6.92-7.00 (m, 1H), 7.16-7.21 (m, 2H), 7.28-7.31 (m, 2H), 7.48-7.50 (m, 1H), 7.64 (s, 1H), 7.87 (s, 1H). (ES, m/z): (M+H)+ 612.
Example 88—Synthesis of (S,E)-3-(4-((3-Ethoxy-1-ethyl-1H-pyrazol-4-yl)sulfonyl)-6-(2-fluoro-6-(trifluoromethyl)styryl)-3,4-dihydro-2H-benzo[b][1,4]oxazin-2-yl)propanoic acid
Figure US09896441-20180220-C00996
Based on the procedure in Example 42, (S,E)-3-(4-((3-ethoxy-1-ethyl-1H-pyrazol-4-yl)sulfonyl)-6-(2-fluoro-6-(trifluoromethyl)styryl)-3,4-dihydro-2H-benzo[b][1,4]oxazin-2-yl)propanoic acid was prepared. 1H-NMR (300 MHz, CD3OD) δ 1.31 (t, J=7.2 Hz, 3H), 1.38 (t, J=7.2 Hz, 3H), 1.93-2.06 (m, 2H), 2.61-2.67 (m, 2H), 3.34 (dd, J=9.0 Hz, 13.8 Hz, 1H), 3.34 (q, J=7.2 Hz, 2H), 4.07-4.12 (m, 1H), 4.21 (q, J=6.9 Hz, 2H), 4.39 (dd, J=2.1 Hz, 13.8 Hz, 1H), 6.86 (d, J=8.4 Hz, 1H), 6.97 (dd, J=2.1 Hz, 16.8 Hz, 1H), 7.16-7.22 (m, 2H), 7.27-7.34 (m, 2H), 7.48-7.51 (m, 1H), 7.64 (s, 1H), 7.87 (d, J=1.8 Hz, 1H). (ES, m/z): (M+H)+ 598.
Example 89—Preparation of Additional Substituted (S,E)-3-(6-(Aryl or heteroaryl)-4-(aryl or heteroaryl)sulfonyl)-3,4-dihydro-2H-benzo[b][1,4]oxazin-2-yl)propanoates and Propionic Acids
Compounds in Table 11 were prepared based on experimental procedures described in Examples 30 and 87 and the detailed description.
TABLE 11
Observed
No. Structure Name m/z
89A
Figure US09896441-20180220-C00997
(S,E)-3-(6-(2-chloro-6-fluorostyryl)- 4-((3- (difluoromethoxy)phenyl)sulfonyl)- 3,4-dihydro-2H- benzo[b][1,4]oxazin-2-yl)propanoic acid 568 (M + H)+
89B
Figure US09896441-20180220-C00998
(S,E)-methyl 3-(6-(2-chloro-6- fluorostyryl)-4-((3- (difluoromethoxy)phenyl)sulfonyl)- 3,4-dihydro-2H- benzo[b][1,4]oxazin-2-yl)propanoate 582 (M + H)+
89C
Figure US09896441-20180220-C00999
(S,E)-3-(4-((3-(difluoromethoxy)- phenyl)sulfonyl)-6-(2-(pyridin-2- yl)vinyl)-3,4-dihydro-2H- benzo[b][1,4]oxazin-2-yl)propanoic acid 517 (M + H)+
89D
Figure US09896441-20180220-C01000
(S,E)-methyl 3-(4-((3- (difluoromethoxy)phenyl)sulfonyl)- 6-(2-(pyridin-2-yl)vinyl)-3,4- dihydro-2H-benzo[b][1,4]oxazin-2- yl)propanoate 531 (M + H)+
89E
Figure US09896441-20180220-C01001
(S,E)-3-(4-((3-ethoxy-1-ethyl-1H- pyrazol-4-yl)sulfonyl)-6-(2-(pyridin- 2-yl)vinyl)-3,4-dihydro-2H- benzo[b][1,4]oxazin-2-yl)propanoic acid 513 (M + H)+
89F
Figure US09896441-20180220-C01002
(S,E)-methyl 3-(4-((3-ethoxy-1- ethyl-1H-pyrazol-4-yl)sulfonyl)-6- (2-(pyridin-2-yl)vinyl)-3,4-dihydro- 2H-benzo[b][1,4]oxazin-2- yl)propanoate 527 (M + H)+
89G
Figure US09896441-20180220-C01003
(S,E)-3-(4-((3-(difluoromethoxy)- phenyl)sulfonyl)-6-(2-(pyrimidin-2- yl)vinyl)-3,4-dihydro-2H- benzo[b][1,4]oxazin-2-yl)propanoic acid 518 (M + H)+
89H
Figure US09896441-20180220-C01004
(S,E)-methyl 3-(4-((3- (difluoromethoxy)-phenyl)sulfonyl)- 6-(2-(pyrimidin-2-yl)vinyl)-3,4- dihydro-2H-benzo[b][1,4]oxazin-2- yl)propanoate 532 (M + H)+
89I
Figure US09896441-20180220-C01005
(S,E)-3-(4-((3-ethoxy-1-ethyl-1H- pyrazol-4-yl)sulfonyl)-6-(2-(pyridin- 3-yl)vinyl)-3,4-dihydro-2H- benzo[b][1,4]oxazin-2-yl)propanoic acid 513 (M + H)+
89J
Figure US09896441-20180220-C01006
(S,E)-methyl 3-(4-((3-ethoxy-1- ethyl-1H-pyrazol-4-yl)sulfonyl)-6- (2-(pyridin-3-yl)vinyl)-3,4-dihydro- 2H-benzo[b][1,4]oxazin-2- yl)propanoate 527 (M + H)+
89K
Figure US09896441-20180220-C01007
(S,E)-3-(4-((3-ethoxy-1-ethyl-1H- pyrazol-4-yl)sulfonyl)-6-(2- (thiophen-3-yl)vinyl)-3,4-dihydro- 2H-benzo[b][1,4]oxazin-2- yl)propanoic acid 518 (M + H)+
89L
Figure US09896441-20180220-C01008
(S,E)-methyl 3-(4-((3-ethoxy-1- ethyl-1H-pyrazol-4-yl)sulfonyl)-6- (2-(thiophen-3-yl)vinyl)-3,4- dihydro-2H-benzo[b][1,4]oxazin-2- yl)propanoate 532 (M + H)+
89M
Figure US09896441-20180220-C01009
(S,E)-3-(6-(2-(3-chloropyrazin-2- yl)vinyl)-4-((3-ethoxy-1-ethyl-1H- pyrazol-4-yl)sulfonyl)-3,4-dihydro- 2H-benzo[b][1,4]oxazin-2- yl)propanoic acid 548 (M + H)+
89N
Figure US09896441-20180220-C01010
(S,E)-methyl 3-(6-(2-(3- chloropyrazin-2-yl)vinyl)-4-((3- ethoxy-1-ethyl-1H-pyrazol-4- yl)sulfonyl)-3,4-dihydro-2H- benzo[b][1,4]oxazin-2-yl)propanoate 562 (M + H)+
89O
Figure US09896441-20180220-C01011
(S,E)-3-(4-((3-ethoxy-1-ethyl-1H- pyrazol-4-yl)sulfonyl)-6-(2- (thiophen-2-yl)vinyl)-3,4-dihydro- 2H-benzo[b][1,4]oxazin-2- yl)propanoic acid 518 (M + H)+
89P
Figure US09896441-20180220-C01012
(S,E)-methyl 3-(4-((3-ethoxy-1- ethyl-1H-pyrazol-4-yl)sulfonyl)-6- (2-(thiophen-2-yl)vinyl)-3,4- dihydro-2H-benzo[b][1,4]oxazin-2- yl)propanoate 532 (M + H)+
89Q
Figure US09896441-20180220-C01013
(S,E)-3-(4-((3-ethoxy-1-ethyl-1H- pyrazol-4-yl)sulfonyl)-6-(2-(thiazol- 2-yl)vinyl)-3,4-dihydro-2H- benzo[b][1,4]oxazin-2-yl)propanoic acid 519 (M + H)+
89R
Figure US09896441-20180220-C01014
(S,E)-methyl 3-(4-((3-ethoxy-1- ethyl-1H-pyrazol-4-yl)sulfonyl)-6- (2-(thiazol-2-yl)vinyl)-3,4-dihydro- 2H-benzo[b][1,4]oxazin-2- yl)propanoate 533 (M + H)+
89S
Figure US09896441-20180220-C01015
(S,E)-3-(4-((3-ethoxy-1-ethyl-1H- pyrazol-4-yl)sulfonyl)-6-(2-(6- methoxypyridin-2-yl)vinyl)-3,4- dihydro-2H-benzo[b][1,4]-oxazin-2- yl)propanoic acid 543 (M + H)+
89T
Figure US09896441-20180220-C01016
(S,E)-methyl 3-(4-((3-ethoxy-1- ethyl-1H-pyrazol-4-yl)-sulfonyl)-6- (2-(6-methoxypyridin-2-yl)vinyl)- 3,4-dihydro-2H-benzo[b][1,4]- oxazin-2-yl)propanoate 557 (M + H)+
89U
Figure US09896441-20180220-C01017
(S,E)-3-(4-((3- (difluoromethoxy)phenyl)sulfonyl)- 6-(2-(3-fluoropyridin-2-yl)vinyl)- 3,4-dihydro-2H-benzo[b][1,4]- oxazin-2-yl)propanoic acid 535 (M + H)+
89V
Figure US09896441-20180220-C01018
(S,E)-methyl 3-(4-((3- (difluoromethoxy)phenyl)sulfonyl)- 6-(2-(3-fluoropyridin-2-yl)vinyl)- 3,4-dihydro-2H-benzo[b][1,4]- oxazin-2-yl)propanoate 535 (M + H)+
89W
Figure US09896441-20180220-C01019
(S,E)-3-(4-((3-ethoxy-1-ethyl-1H- pyrazol-4-yl)sulfonyl)-6-(2-(3- fluoropyridin-2-yl)vinyl)-3,4- dihydro-2H-benzo[b][1,4]-oxazin-2- yl)propanoic acid 531 (M + H)+
89X
Figure US09896441-20180220-C01020
(S,E)-methyl 3-(4-((3-ethoxy-1- ethyl-1H-pyrazol-4-yl)-sulfonyl)-6- (2-(3-fluoropyridin-2-yl)vinyl)-3,4- dihydro-2H-benzo[b][1,4]oxazin-2- yl)propanoate 545 (M + H)+
89Y
Figure US09896441-20180220-C01021
(S,E)-3-(4-((3-ethoxy-1-ethyl-1H- pyrazol-4-yl)sulfonyl)-6-(2-(5- methylpyridin-2-yl)vinyl)-3,4- dihydro-2H-benzo[b][1,4]oxazin-2- yl)propanoic acid 527 (M + H)+
89Z
Figure US09896441-20180220-C01022
(S,E)-methyl 3-(4-((3-ethoxy-1- ethyl-1H-pyrazol-4-yl)sulfonyl)-6- (2-(5-methylpyridin-2-yl)vinyl)-3,4- dihydro-2H-benzo[b][1,4]oxazin-2- yl)propanoate 541 (M + H)+
89AA
Figure US09896441-20180220-C01023
(S,E)-3-(6-(2-(6-chloropyridin-2- yl)vinyl)-4-((3-ethoxy-1-ethyl-1H- pyrazol-4-yl)sulfonyl)-3,4-dihydro- 2H-benzo[b][1,4]oxazin-2- yl)propanoic acid 547 (M + H)+
89AB
Figure US09896441-20180220-C01024
(S,E)-methyl 3-(6-(2-(6- chloropyridin-2-yl)vinyl)-4- ((3ethoxy-1-ethyl-1H-pyrazol-4- yl)sulfonyl)-3,4-dihydro-2H- benzo[b][1,4]oxazin-2-yl)propanoate 561 (M + H)+
89AC
Figure US09896441-20180220-C01025
(S,E)-3-(4-((3- (difluoromethoxy)phenyl)sulfonyl)- 6-(2,6-dimethylstyryl)-3,4-dihydro- 2H-benzo[b][1,4]-oxazin-2- yl)propanoic acid 544 (M + H)+
89AD
Figure US09896441-20180220-C01026
(S,E)-methyl 3-(4-((3- (difluoromethoxy)phenyl)-sulfonyl)- 6-(2,6-dimethylstyryl)-3,4-dihydro- 2H-benzo[b][1,4]-oxazin-2- yl)propanoate 558 (M + H)+
89AE
Figure US09896441-20180220-C01027
(S,E)-3-(6-(2,6-difluorostyryl)-4-((3- ethoxy-1-ethyl-1H-pyrazol-4- yl)sulfonyl)-3,4-dihydro-2H- benzo[b][1,4]-oxazin-2-yl)propanoic acid 548 (M + H)+
89AF
Figure US09896441-20180220-C01028
(S,E)-methyl 3-(6-(2,6- difluorostyryl)-4-((3-ethoxy-1-ethyl- 1H-pyrazol-4-yl)sulfonyl)-3,4- dihydro-2H-benzo[b][1,4]oxazin-2- yl)propanoate 562 (M + H)+
89AG
Figure US09896441-20180220-C01029
(S,E)-3-(4-((3-ethoxy-1-ethyl-1H- pyrazol-4-yl)sulfonyl)-6-(2-fluoro-6- methylstyryl)-3,4-dihydro-2H- benzo[b][1,4]-oxazin-2-yl)propanoic acid 544 (M + H)+
89AH
Figure US09896441-20180220-C01030
(S,E)-methyl 3-(4-((3-ethoxy-1- ethyl-1H-pyrazol-4-yl)sulfonyl)-6- (2-fluoro-6-methylstyryl)-3,4- dihydro-2H-benzo[b][1,4]-oxazin-2- yl)propanoate 558 (M + H)+
89AI
Figure US09896441-20180220-C01031
(S,E)-3-(4-((3- (difluoromethoxy)phenyl)sulfonyl)- 6-(2-fluoro-6-(trifluoromethyl)- styryl)-3,4-dihydro-2H- benzo[b][1,4]oxazin-2-yl)propanoic acid 602 (M + H)+
89AJ
Figure US09896441-20180220-C01032
(S,E)-methyl 3-(4-((3- (difluoromethoxy)phenyl)sulfonyl)- 6-(2-fluoro-6-(trifluoromethyl)- styryl)-3,4-dihydro-2H- benzo[b][1,4]oxazin-2-yl)propanoate 616 (M + H)+
89AK
Figure US09896441-20180220-C01033
methyl (S,E)-3-(4-((5-chloro-2-(2- hydroxyethoxy)pyridin-3- yl)sulfonyl)-6-(2-chloro-6- fluorostyryl)-3,4-dihydro-2H- benzo[b][1,4]oxazin-2-yl)propanoate 625 (M + H)+
89AL
Figure US09896441-20180220-C01034
(S,E)-3-(4-((5-chloro-2-(2- hydroxyethoxy)pyridin-3- yl)sulfonyl)-6-(2-chloro-6- fluorostyryl)-3,4-dihydro-2H- benzo[b][1,4]oxazin-2-yl)propanoic acid 611 (M + H)+
89AM
Figure US09896441-20180220-C01035
(S,E)-3-(4-((3-ethoxy-1-ethyl-1H- pyrazol-4-yl)sulfonyl)-6-(2- fluorostyryl)-3,4-dihydro-2H- benzo[b][1,4]oxazin-2-yl)propanoic acid 530 (M + H)+
89AN
Figure US09896441-20180220-C01036
(S,E)-methyl 3-(4-((3-ethoxy-1- ethyl-1H-pyrazol-4-yl)sulfonyl)-6- (2-fluorostyryl)-3,4-dihydro-2H- benzo[b][1,4]oxazin-2-yl)propanoate 544 (M + H)+
89AO
Figure US09896441-20180220-C01037
(S,E)-3-(4-((3- (difluoromethoxy)phenyl)sulfonyl)- 6-(2-(trifluoromethyl)styryl)-3,4- dihydro-2H-benzo[b][1,4]oxazin-2- yl)propanoic acid 584 (M + H)+
89AP
Figure US09896441-20180220-C01038
(S,E)-methyl 3-(4-((3- (difluoromethoxy)phenyl)sulfonyl)- 6-(2-(trifluoromethyl)styryl)-3,4- dihydro-2H-benzo[b][1,4]-oxazin-2- yl)propanoate 598 (M + H)+
89AQ
Figure US09896441-20180220-C01039
(S,E)-3-(6-(2-cyanostyryl)-4-((3- (difluoromethoxy)phenyl)sulfonyl)- 3,4-dihydro-2H- benzo[b][1,4]oxazin-2-yl)propanoic acid 541 (M + H)+
89AR
Figure US09896441-20180220-C01040
(S,E)-methyl 3-(6-(2-cyanostyryl)-4- ((3- (difluoromethoxy)phenyl)sulfonyl)- 3,4-dihydro-2H-benzo[b][1,4]- oxazin-2-yl)propanoate 555 (M + H)+
89AS
Figure US09896441-20180220-C01041
(S,E)-3-(4-((3-ethoxy-1-ethyl-1H- pyrazol-4-yl)sulfonyl)-6-(2- methylstyryl)-3,4-dihydro-2H- benzo[b][1,4]oxazin-2-yl)propanoic acid 526 (M + H)+
89AT
Figure US09896441-20180220-C01042
(S,E)-methyl 3-(4-((3-ethoxy-1- ethyl-1H-pyrazol-4-yl)sulfonyl)-6- (2-methylstyryl)-3,4-dihydro-2H- benzo[b][1,4]oxazin-2-yl)propanoate 540 (M + H)+
89AU
Figure US09896441-20180220-C01043
(S,E)-3-(4-((3-ethoxy-1-ethyl-1H- pyrazol-4-yl)sulfonyl)-6-(2- (methylthio)styryl)-3,4-dihydro-2H- benzo[b][1,4]oxazin-2-yl)propanoic acid 558 (M + H)+
89AV
Figure US09896441-20180220-C01044
(S,E)-methyl 3-(4-((3-ethoxy-1- ethyl-1H-pyrazol-4-yl)sulfonyl)-6- (2-(methylthio)styryl)-3,4-dihydro- 2H-benzo[b][1,4]oxazin-2- yl)propanoate 572 (M + H)+
89AW
Figure US09896441-20180220-C01045
(S,E)-3-(4-((3- (difluoromethoxy)phenyl)sulfonyl)- 6-(2-ethylstyryl)-3,4-dihydro-2H- benzo[b][1,4]oxazin-2-yl)propanoic acid 544 (M + H)+
89AX
Figure US09896441-20180220-C01046
(S,E)-methyl 3-(4-((3- (difluoromethoxy)phenyl)sulfonyl)- 6-(2-ethylstyryl)-3,4-dihydro-2H- benzo[b][1,4]oxazin-2-yl)propanoate 558 (M + H)+
89AY
Figure US09896441-20180220-C01047
(S,E)-3-(4-((3- (difluoromethoxy)phenyl)sulfonyl)- 6-(2-methoxystyryl)-3,4-dihydro- 2H-benzo[b][1,4]oxazin-2- yl)propanoic acid 546 (M + H)+
89AZ
Figure US09896441-20180220-C01048
(S,E)-methyl 3-(4-((3- (difluoromethoxy)phenyl)sulfonyl)- 6-(2-methoxystyryl)-3,4-dihydro- 2H-benzo[b][1,4]oxazin-2- yl)propanoate 560 (M + H)+
89BA
Figure US09896441-20180220-C01049
(S,E)-3-(4-((3-ethoxy-1-ethyl-1H- pyrazol-4-yl)sulfonyl)-6-(2- (trifluoromethoxy)styryl)-3,4- dihydro-2H-benzo[b][1,4]oxazin-2- yl)propanoic acid 596 (M + H)+
89BB
Figure US09896441-20180220-C01050
(S,E)-methyl 3-(4-((3-ethoxy-1- ethyl-1H-pyrazol-4-yl)sulfonyl)-6- (2-(trifluoromethoxy)styryl)-3,4- dihydro-2H-benzo[b][1,4]-oxazin-2- yl)propanoate 610 (M + H)+
89BC
Figure US09896441-20180220-C01051
(S,E)-3-(6-(2-chlorostyryl)-4-((3- ethoxy-1-ethyl-1H-pyrazol-4- yl)sulfonyl)-3,4-dihydro-2H- benzo[b][1,4]oxazin-2-yl)propanoic acid 546 (M + H)+
89BD
Figure US09896441-20180220-C01052
(S,E)-methyl 3-(6-(2-chlorostyryl)-4- ((3-ethoxy-1-ethyl-1H-pyrazol-4- yl)sulfonyl)-3,4-dihydro-2H- benzo[b][1,4]-oxazin-2- yl)propanoate 560 (M + H)+
89BE
Figure US09896441-20180220-C01053
(S,E)-3-(4-((3- (difluoromethoxy)phenyl)sulfonyl)- 6-(4-methylstyryl)-3,4-dihydro-2H- benzo[b][1,4]oxazin-2-yl)propanoic acid 530 (M + H)+
89BF
Figure US09896441-20180220-C01054
(S,E)-methyl 3-(4-((3- (difluoromethoxy)phenyl)sulfonyl)- 6-(4-methylstyryl)-3,4-dihydro-2H- benzo[b][1,4]oxazin-2-yl)propanoate 544 (M + H)+
89BG
Figure US09896441-20180220-C01055
(S,E)-3-(6-(4-hydroxy-2,6- dimethylstyryl)-4-((3- (trifluoromethyl)phenyl)sulfonyl)- 3,4-dihydro-2H- benzo[b][1,4]oxazin-2-yl)propanoic acid 562 (M + H)+
89BH
Figure US09896441-20180220-C01056
(S,E)-3-(6-(4-chloro-2-fluorostyryl)- 4-((3- (trifluoromethyl)phenyl)sulfonyl)- 3,4-dihydro-2H- benzo[b][1,4]oxazin-2-yl)propanoic acid 570 (M + H)+
89BI
Figure US09896441-20180220-C01057
(S,E)-3-(4-((3- (trifluoromethyl)phenyl)sulfonyl)-6- (2-(3-(trifluoromethyl)pyridin-2- yl)vinyl)-3,4-dihydro-2H- benzo[b][1,4]oxazin-2-yl)propanoic acid 587 (M + H)+
89BJ
Figure US09896441-20180220-C01058
(S,E)-3-(6-(2-(3-methylpyridin-2- yl)vinyl)-4-((3- (trifluoromethyl)phenyl)sulfonyl)- 3,4-dihydro-2H- benzo[b][1,4]oxazin-2-yl)propanoic acid 533 (M + H)+
89BK
Figure US09896441-20180220-C01059
(S,E)-3-(6-(2-(3-chloropyridin-2- yl)vinyl)-4-((3- (trifluoromethyl)phenyl)sulfonyl)- 3,4-dihydro-2H- benzo[b][1,4]oxazin-2-yl)propanoic acid 553 (M + H)+
89BL
Figure US09896441-20180220-C01060
(S,E)-3-(6-(2-(1H-indazol-7- yl)vinyl)-4-((3- (trifluoromethyl)phenyl)sulfonyl)- 3,4-dihydro-2H- benzo[b][1,4]oxazin-2-yl)propanoic acid 558 (M + H)+
89BM
Figure US09896441-20180220-C01061
(S,E)-3-(6-(2-(pynolo[1,2- b]pyridazin-4-yl)vinyl)-4-((3- (trifluoromethyl)phenyl)sulfonyl)- 3,4-dihydro-2H- benzo[b][1,4]oxazin-2-yl)propanoic acid 558 (M + H)+
89BN
Figure US09896441-20180220-C01062
(S,E)-3-(6-(2-(1,4-dimethyl-1H- indazol-3-yl)vinyl)-4-((3- (trifluoromethyl)phenyl)sulfonyl)- 3,4-dihydro-2H- benzo[b][1,4]oxazin-2-yl)propanoic acid 586 (M + H)+
89BO
Figure US09896441-20180220-C01063
(S,E)-3-(6-(2-(4-chloro-1-methyl- 1H-indazol-3-yl)vinyl)-4-((3- (trifluoromethyl)phenyl)sulfonyl)- 3,4-dihydro-2H-benzo[b][1,4]- oxazin-2-yl)propanoic acid 606 (M + H)+
89BP
Figure US09896441-20180220-C01064
(S,E)-3-(6-(2-chloro-3-fluorostyryl)- 4-((3- (trifluoromethyl)phenyl)sulfonyl)- 3,4-dihydro-2H- benzo[b][1,4]oxazin-2-yl)propanoic acid 570 (M + H)+
89BQ
Figure US09896441-20180220-C01065
(S,E)-methyl 3-(6-(2-chloro-3- fluorostyryl)-4-((3- (trifluoromethyl)phenyl)sulfonyl)- 3,4-dihydro-2H- benzo[b][1,4]oxazin-2-yl)propanoate 584 (M + H)+
89BR
Figure US09896441-20180220-C01066
(S,E)-3-(6-(2-(3,5-dimethylisoxazol- 4-yl)vinyl)-4-((3- (trifluoromethyl)phenyl)sulfonyl)- 3,4-dihydro-2H-benzo[b][1,4]- oxazin-2-yl)propanoic acid 537 (M + H)+
89BS
Figure US09896441-20180220-C01067
(S,E)-methyl 3-(6-(2-(3,5- dimethylisoxazol-4-yl)vinyl)-4-((3- (trifluoromethyl)phenyl)-sulfonyl)- 3,4-dihydro-2H-benzo[b][1,4]- oxazin-2-yl)propanoate 551 (M + H)+
89BT
Figure US09896441-20180220-C01068
(S,E)-3-(6-(2-(3-(trifluoromethyl)- 1H-pyrazol-4-yl)vinyl)-4-((3- (trifluoromethyl)phenyl)-sulfonyl)- 3,4-dihydro-2H- benzo[b][1,4]oxazin-2-yl)propanoic acid 576 (M + H)+
89BU
Figure US09896441-20180220-C01069
(S,E)-3-(6-(2-(1-methyl-1H- imidazol-2-yl)vinyl)-4-((3- (trifluoromethyl)phenyl)sulfonyl)- 3,4-dihydro-2H-benzo[b][1,4]- oxazin-2-yl)propanoic acid 522 (M + H)+
89BV
Figure US09896441-20180220-C01070
(S,E)-3-(6-(3-(methylsulfonyl)- styryl)-4((3-(trifluoromethyl)- phenyl)sulfonyl)-3,4-dihydro-2H- benzo[b][1,4]oxazin-2-yl)propanoic acid 596 (M + H)+
89BW
Figure US09896441-20180220-C01071
(S,E)-3-(6-(3-cyano-2-fluorostyryl)- 4-((3- (trifluoromethyl)phenyl)sulfonyl)- 3,4-dihydro-2H- benzo[b][1,4]oxazin-2-yl)propanoic acid 561 (M + H)+
89BX
Figure US09896441-20180220-C01072
(S,E)-3-(6-(2-(6-acetylpyridin-2- yl)vinyl)-4-((3-(trifluoromethyl)- phenyl)sulfonyl)-3,4-dihydro-2H- benzo[b][1,4]oxazin-2-yl)propanoic acid 561 (M + H)+
89BY
Figure US09896441-20180220-C01073
(S,E)-3-(6-(2-(1-methyl-3- (trifluoromethyl)-1H-pyrazol-4- yl)vinyl)-4-((3-(trifluoromethyl)- phenyl)sulfonyl)-3,4-dihydro-2H- benzo[b][1,4]oxazin-2-yl)propanoic acid 590 (M + H)+
89BZ
Figure US09896441-20180220-C01074
(S,E)-3-(6-(2-(1-propyl-1H-pyrazol- 3-yl)vinyl)-4-((3- (trifluoromethyl)phenyl)sulfonyl)- 3,4-dihydro-2H- benzo[b][1,4]oxazin-2-yl)propanoic acid 550 (M + H)+
89CA
Figure US09896441-20180220-C01075
(S,E)-3-(6-(2-fluoro-5-methylstyryl)- 4-((3- (trifluoromethyl)phenyl)sulfonyl)- 3,4-dihydro-2H- benzo[b][1,4]oxazin-2-yl)propanoic acid 550 (M + H)+
89CB
Figure US09896441-20180220-C01076
(S,E)-3-(6-(2-isopropylstyryl)-4-((3- (trifluoromethyl)-phenyl)-sulfonyl)- 3,4-dihydro-2H- benzo[b][1,4]oxazin-2-yl)propanoic acid 560 (M + H)+
89CC
Figure US09896441-20180220-C01077
(S,E)-3-(6-(2-(pyrimidin-4-yl)vinyl)- 4-((3-(trifluoromethyl)- phenyl)sulfonyl)-3,4-dihydro-2H- benzo[b][1,4]oxazin-2-yl)propanoic acid 520 (M + H)+
89CD
Figure US09896441-20180220-C01078
(S,E)-3-(6-(2-(2-chloropyridin-3- yl)vinyl)-4-((3-(trifluoromethyl)- phenyl)sulfonyl)-3,4-dihydro-2H- benzo[b][1,4]oxazin-2-yl)-propanoic acid 553 (M + H)+
89CE
Figure US09896441-20180220-C01079
(S,E)-3-(6-(2-(3-fluoropyridin-2- yl)vinyl)-4-((3- (trifluoromethyl)phenyl)sulfonyl)- 3,4-dihydro-2H- benzo[b][1,4]oxazin-2-yl)propanoic acid 537 (M + H)+
89CF
Figure US09896441-20180220-C01080
(S,E)-3-(6-(2-(3-fluoro-5- methylpyridin-2-yl)vinyl)-4-((3- (trifluoromethyl)phenyl)sulfonyl)- 3,4-dihydro-2H-benzo[b][1,4]- oxazin-2-yl)propanoic acid 551 (M + H)+
89CG
Figure US09896441-20180220-C01081
(S,E)-3-(6-(2-(3-fluoro-6- methylpyridin-2-yl)vinyl)-4-((3- (trifluoromethyl)phenyl)sulfonyl)- 3,4-dihydro-2H-benzo[b][1,4]- oxazin-2-yl)propanoic acid 551 (M + H)+
89CH
Figure US09896441-20180220-C01082
(S,E)-3-(6-(2-(3-fluoro-4- methylpyridin-2-yl)vinyl)-4-((3- (trifluoromethyl)phenyl)sulfonyl)- 3,4-dihydro-2H-benzo[b][1,4]- oxazin-2-yl)propanoic acid 551 (M + H)+
89CI
Figure US09896441-20180220-C01083
(S,E)-3-(6-(2-(1-methyl-1H-pyrazol- 5-yl)vinyl)-4-((3- (trifluoromethyl)phenyl)sulfonyl)- 3,4-dihydro-2H-benzo[b][1,4]- oxazin-2-yl)propanoic acid 522 (M + H)+
89CJ
Figure US09896441-20180220-C01084
(S,E)-3-(6-(2-(1-methyl-1H-1,2,4- triazol-5-yl)vinyl)-4-((3- (trifluoromethyl)phenyl)sulfonyl)- 3,4-dihydro-2H-benzo[b][1,4]- oxazin-2-yl)propanoic acid 523 (M + H)+
89CK
Figure US09896441-20180220-C01085
(S,E)-3-(4-((3-(trifluoromethyl)- phenyl)sulfonyl)-6-(2-(2- (trifluoromethyl)pyridin-3-yl)vinyl)- 3,4-dihydro-2H- benzo[b][1,4]oxazin-2-yl)propanoic acid 587 (M + H)+
89CL
Figure US09896441-20180220-C01086
(S,E)-3-(6-(2,4,6-trichlorostyryl)-4- ((3-(trifluoromethyl)- phenyl)sulfonyl)-3,4-dihydro-2H- benzo[b][1,4]oxazin-2-yl)propanoic acid 620 (M + H)+
89CM
Figure US09896441-20180220-C01087
(S,E)-3-(6-(2,6-dichloro-4- fluorostyryl)-4-((3- (trifluoromethyl)phenyl)sulfonyl)- 3,4-dihydro-2H-benzo[b][1,4]- oxazin-2-yl)propanoic acid 604 (M + H)+
89CN
Figure US09896441-20180220-C01088
(S,E)-3-(6-(2,6-dichloro-4- (trifluoromethoxy)styryl)-4-((3- (trifluoromethyl)phenyl)sulfonyl)- 3,4-dihydro-2H-benzo[b][1,4]- oxazin-2-yl)propanoic acid 670 (M + H)+
89CO
Figure US09896441-20180220-C01089
(S,E)-3-(6-(3-chloro-2- (trifluoromethyl)styryl)-4-((3- (trifluoromethyl)phenyl)sulfonyl)- 3,4-dihydro-2H- benzo[b][1,4]oxazin-2-yl)propanoic acid 620 (M + H)+
89CP
Figure US09896441-20180220-C01090
(S,E)-3-(6-(5-fluoro-2- (trifluoromethyl)styryl)-4-((3- (trifluoromethyl)phenyl)sulfonyl)- 3,4-dihydro-2H-benzo[b][1,4]- oxazin-2-yl)propanoic acid 604 (M + H)+
89CQ
Figure US09896441-20180220-C01091
(S,E)-3-(4-((3-chloro-1-ethyl-1H- pyrazol-4-yl)sulfonyl)-6-(2-(3- chloropyridin-2-yl)vinyl)-3,4- dihydro-2H-benzo[b][1,4]oxazin-2- yl)propanoic acid 604 (M + H)+
89CR
Figure US09896441-20180220-C01092
(S,E)-3-(6-(2,6-dichlorostyryl)-4-((3- ethoxy-1-ethyl-1H-pyrazol-4- yl)sulfonyl)-3,4-dihydro-2H- benzo[b][1,4]oxazin-2-yl)-propanoic acid 580 (M + H)+
89CS
Figure US09896441-20180220-C01093
methyl (S,E)-3-(6-(2,6- dichlorostyryl)-4-((3- (difluoromethoxy)phenyl)sulfonyl)- 3,4-dihydro-2H-benzo[b][1,4]- oxazin-2-yl)propanoate 598 (M + H)+
89CT
Figure US09896441-20180220-C01094
(S,E)-3-(6-(2,6-dichlorostyryl)-4-((3- (difluoromethoxy)phenyl)-sulfonyl)- 3,4-dihydro-2H- benzo[b][1,4]oxazin-2-yl)propanoic acid 584 (M + H)+
89CU
Figure US09896441-20180220-C01095
methyl (S,E)-3-(6-(2-chloro-6- fluorostyryl)-4-((3- (difluoromethoxy)-4-fluorophenyl)- sulfonyl)-3,4-dihydro-2H- benzo[b][1,4]oxazin-2-yl)propanoate 600 (M + H)+
89CV
Figure US09896441-20180220-C01096
(S,E)-3-(6-(2-chloro-6-fluorostyryl)- 4-((3-(difluoromethoxy)-4- fluorophenyl)-sulfonyl)-3,4-dihydro- 2H-benzo[b][1,4]oxazin-2- yl)propanoic acid 586 (M + H)+
89CW
Figure US09896441-20180220-C01097
methyl (S,E)-3-(4-((5-chloro-2- ethoxypyridin-3-yl)sulfonyl)-6-(2- chloro-6-fluorostyryl)-3,4-dihydro- 2H-benzo[b][1,4]oxazin-2- yl)propanoate 595 (M + H)+
89CX
Figure US09896441-20180220-C01098
(S,E)-3-(4-((5-chloro-2- ethoxypyridin-3-yl)sulfonyl)-6-(2- chloro-6-fluorostyryl)-3,4-dihydro- 2H-benzo[b][1,4]oxazin-2- yl)propanoic acid 581 (M + H)+
89CY
Figure US09896441-20180220-C01099
methyl (S,E)-3-(4-((5-chloro-2- ethoxypyridin-3-yl)sulfonyl)-6-(2- chloro-6-(trifluoromethyl)-styryl)- 3,4-dihydro-2H-benzo- [b][1,4]oxazin-2-yl)propanoate 645 (M + H)+
89CZ
Figure US09896441-20180220-C01100
(S,E)-3-(4-((5-chloro-2- ethoxypyridin-3-yl)sulfonyl)-6-(2- chloro-6-(trifluoromethyl)-styryl)- 3,4-dihydro-2H-benzo- [b][1,4]oxazin-2-yl)propanoic acid 631 (M + H)+
89DA
Figure US09896441-20180220-C01101
methyl (S,E)-3-(6-(4-chlorostyryl)-4- ((3-ethoxy-1-ethyl-1H-pyrazol-4- yl)sulfonyl)-3,4-dihydro-2H- benzo[b][1,4]oxazin-2-yl)propanoate 560 (M + H)+
89DB
Figure US09896441-20180220-C01102
(S,E)-3-(6-(4-chlorostyryl)-4-((3- ethoxy-1-ethyl-1H-pyrazol-4- yl)sulfonyl)-3,4-dihydro-2H- benzo[b][1,4]oxazin-2-yl)propanoic acid 546 (M + H)+
89DC
Figure US09896441-20180220-C01103
(S,E)-3-(6-(4-cyanostyryl)-4-((3- ethoxy-1-ethyl-1H-pyrazol-4- yl)sulfonyl)-3,4-dihydro-2H- benzo[b][1,4]oxazin-2-yl)propanoic acid 537 (M + H)+
89DD
Figure US09896441-20180220-C01104
methyl (S,E)-3-(6-(4-cyanostyryl)-4- ((3-ethoxy-1-ethyl-1H-pyrazol-4- yl)sulfonyl)-3,4-dihydro-2H- benzo[b][1,4]oxazin-2-yl)propanoate 551 (M + H)+
89DE
Figure US09896441-20180220-C01105
methyl (S,E)-3-(6-(2-(imidazo[1,2- a]pyridin-8-yl)vinyl)-4-((3- (trifluoromethyl)-phenyl)sulfonyl)- 3,4-dihydro-2H- benzo[b][1,4]oxazin-2-yl)propanoate 572 (M + H)+
89DF
Figure US09896441-20180220-C01106
methyl (S,E)-3-(4-((3- (trifluoromethyl)phenyl)-sulfonyl)-6- (2-(2-(trifluoromethyl)pyridin-3- yl)vinyl)-3,4-dihydro-2H- benzo[b][1,4]oxazin-2-yl)propanoate 601 (M + H)+
89DG
Figure US09896441-20180220-C01107
methyl (S,E)-3-(6-(2-(3- fluoropyridin-2-yl)vinyl)-4-((3- (trifluoromethyl)phenyl)-sulfonyl)- 3,4-dihydro-2H- benzo[b][1,4]oxazin-2-yl)propanoate 551 (M + H)+
89DH
Figure US09896441-20180220-C01108
methyl (S,E)-3-(6-(2-(pyridin-2- yl)vinyl)-4-((3- (trifluoromethyl)phenyl)sulfonyl)- 3,4-dihydro-2H- benzo[b][1,4]oxazin-2-yl)propanoate 533 (M + H)+
89DI
Figure US09896441-20180220-C01109
methyl (S,E)-3-(6-(3-chlorostyryl)-4- ((3-(trifluoromethyl)phenyl)- sulfonyl)-3,4-dihydro-2H- benzo[b][1,4]oxazin-2-yl)propanoate 566 (M + H)+
89DJ
Figure US09896441-20180220-C01110
methyl (S,E)-3-(6-(2-(3- chloropyridin-2-yl)vinyl)-4-((3- ethoxy-1-ethyl-1H-pyrazol-4- yl)sulfonyl)-3,4-dihydro-2H- benzo[b][1,4]oxazin-2-yl)propanoate 561 (M + H)+
89DK
Figure US09896441-20180220-C01111
(S,E)-3-(6-(2-(3-methoxypyridin-2- yl)vinyl)-4-((3- (trifluoromethyl)phenyl)-sulfonyl)- 3,4-dihydro-2H- benzo[b][1,4]oxazin-2-yl)propanoic acid 549 (M + H)+
89DL
Figure US09896441-20180220-C01112
(S,E)-3-(6-(2-(3-cyanopyridin-2- yl)vinyl)-4-((3-(trifluoromethyl)- phenyl)sulfonyl)-3,4-dihydro-2H- benzo[b][1,4]oxazin-2-yl)propanoic acid 544 (M + H)+
89DM
Figure US09896441-20180220-C01113
(S,E)-3-(6-(2-chloro-6- (trifluoromethyl)styryl)-4-((2- ethoxy-5-(trifluoromethyl)-pyridin- 3-yl)sulfonyl)-3,4-dihydro-2H- benzo[b][1,4]-oxazin-2-yl)propanoic acid 665 (M + H)+
89DN
Figure US09896441-20180220-C01114
methyl (S,E)-3-(6-(2-chloro-6- (trifluoromethyl)styryl)-4-((2- ethoxy-5-(trifluoromethyl)-pyridin- 3-yl)sulfonyl)-3,4-dihydro-2H- benzo[b][1,4]-oxazin-2- yl)propanoate 679 (M + H)+
89DO
Figure US09896441-20180220-C01115
(S,E)-3-(6-(2-chloro-6- (trifluoromethyl)styryl)-4-((3- ethoxy-1-ethyl-1H-pyrazol-4- yl)sulfonyl)-3,4-dihydro-2H- benzo[b][1,4]oxazin-2-yl)propanoic acid 614 (M + H)+
89DP
Figure US09896441-20180220-C01116
methyl (S,E)-3-(6-(2-chloro-6- (trifluoromethyl)styryl)-4-((3- ethoxy-1-ethyl-1H-pyrazol-4- yl)sulfonyl)-3,4-dihydro-2H- benzo[b][1,4]oxazin-2-yl)propanoate 628 (M + H)+
89DQ
Figure US09896441-20180220-C01117
(S,E)-3-(6-(2-chloro-6- (trifluoromethyl)styryl)-4-((3- (difluoromethoxy)phenyl)sulfonyl)- 3,4-dihydro-2H- benzo[b][1,4]oxazin-2-yl)propanoic acid 618 (M + H)+
89DR
Figure US09896441-20180220-C01118
(S,E)-3-(6-(2-chloro-6- (trifluoromethyl)styryl)-4-((3- (difluoromethoxy)phenyl)sulfonyl)- 3,4-dihydro-2H- benzo[b][1,4]oxazin-2-yl)propanoic acid 632 (M + H)+
89DS
Figure US09896441-20180220-C01119
(S,E)-3-(6-(2-(3-chloropyrazin-2- yl)vinyl)-4-((3- (difluoromethoxy)phenyl)sulfonyl)- 3,4-dihydro-2H-benzo[b][1,4]- oxazin-2-yl)propanoic acid 552 (M + H)+
89DT
Figure US09896441-20180220-C01120
(S,E)-3-(6-(2-(3-chloropyridin-2- yl)vinyl)-4-((3- (difluoromethoxy)phenyl)sulfonyl)- 3,4-dihydro-2H-benzo[b][1,4]- oxazin-2-yl)propanoic acid 551 (M + H)+
89DU
Figure US09896441-20180220-C01121
(S,E)-3-(6-(2-chloro-6-fluorostyryl)- 4-((2-ethoxy-5- (trifluoromethyl)pyridin-3- yl)sulfonyl)-3,4-dihydro-2H- benzo[b][1,4]oxazin-2-yl)propanoic acid 615 (M + H)+
89DV
Figure US09896441-20180220-C01122
methyl (S,E)-3-(6-(2-chloro-6- fluorostyryl)-4-((2-ethoxy-5- (trifluoromethyl)pyridin-3- yl)sulfonyl)-3,4-dihydro-2H- benzo[b][1,4]oxazin-2-yl)propanoate 629 (M + H)+
89DW
Figure US09896441-20180220-C01123
(S,E)-3-(6-(2-chloro-6-fluorostyryl)- 4-((2-ethyl-1H-imidazol-4- yl)sulfonyl)-3,4-dihydro-2H- benzo[b][1,4]-oxazin-2-yl)propanoic acid 520 (M + H)+
89DX
Figure US09896441-20180220-C01124
(S,E)-3-(6-(2-chloro-6-fluorostyryl)- 4-((1,3-dimethyl-1H-pyrazolo[3,4- b]pyridin-5-yl)sulfonyl)-3,4-dihydro- 2H-benzo[b][1,4]oxazin-2- yl)propanoic acid 571 (M + H)+
89DY
Figure US09896441-20180220-C01125
(S,E)-3-(6-(2-chloro-6-fluorostyryl)- 4-((1-isopropyl-1H-imidazol-4- yl)sulfonyl)-3,4-dihydro-2H- benzo[b][1,4]-oxazin-2-yl)propanoic acid 534 (M + H)+
89DZ
Figure US09896441-20180220-C01126
(S,E)-3-(4-((5-chloro-1-methyl-1H- imidazol-4-yl)sulfonyl)-6-(2-chloro- 6-fluorostyryl)-3,4-dihydro-2H- benzo[b][1,4]-oxazin-2-yl)propanoic acid 540 (M + H)+
89EA
Figure US09896441-20180220-C01127
(S,E)-3-(6-(2-chloro-6- (trifluoromethyl)styryl)-4-((1-ethyl- 3-(2-hydroxyethoxy)-1H-pyrazol-4- yl)sulfonyl)-3,4-dihydro-2H- benzo[b][1,4]oxazin-2-yl)propanoic acid 540 (M + H)+
89EB
Figure US09896441-20180220-C01128
methyl (S,E)-3-(6-(2-chloro-6- fluorostyryl)-4-((2-(2- hydroxyethoxy)-5-(trifluoromethyl)- pyridin-3-yl)sulfonyl)-3,4-dihydro- 2H-benzo[b][1,4]oxazin-2- yl)propanoate 631 (M + H)+
89EC
Figure US09896441-20180220-C01129
(S,E)-3-(6-(2-chloro-6-fluorostyryl)- 4-((2-(2-hydroxyethoxy)-5- (trifluoromethyl)-pyridin-3- yl)sulfonyl)-3,4-dihydro-2H- benzo[b][1,4]oxazin-2-yl)propanoic acid 645 (M + H)+
89ED
Figure US09896441-20180220-C01130
(S,E)-3-(6-(2-chloro-6- (trifluoromethyl)styryl)-4-((3-(2- hydroxyethoxy)-1-isopropyl-1H- pyrazol-4-yl)sulfonyl)-3,4-dihydro- 2H-benzo[b][1,4]oxazin-2- yl)propanoic acid 644 (M + H)+
89EE
Figure US09896441-20180220-C01131
(S,E)-3-(6-(2-(3-chloropyridin-2- yl)vinyl)-4-((3-ethoxy-1-ethyl-1H- pyrazol-4-yl)sulfonyl)-3,4-dihydro- 2H-benzo[b][1,4]oxazin-2- yl)propanoic acid 547 (M + H)+
89EF
Figure US09896441-20180220-C01132
(S,E)-3-(6-(2-chloro-6- (trifluoromethyl)styryl)-4-((1-(2,2- difluoroethyl)-3-(2-hydroxyethoxy)- 1H-pyrazol-4-yl)sulfonyl)-3,4- dihydro-2H-benzo[b][1,4]oxazin-2- yl)propanoic acid 666 (M + H)+
89EG
Figure US09896441-20180220-C01133
(S,E)-3-(6-(2-chloro-6- (trifluoromethyl)styryl)-4-((1- cyclopropyl-3-(2-hydroxyethoxy)- 1H-pyrazol-4-yl)sulfonyl)-3,4- dihydro-2H-benzo[b][1,4]oxazin-2- yl)propanoic acid 642 (M + H)+
89EH
Figure US09896441-20180220-C01134
(S,E)-3-(6-(2-chloro-6- (difluoromethyl)styryl)-4-((3- ethoxy-1-ethyl-1H-pyrazol-4- yl)sulfonyl)-3,4-dihydro-2H- benzo[b][1,4]oxazin-2-yl)propanoic acid 596 (M + H)+
89EI
Figure US09896441-20180220-C01135
methyl (S,E)-3-(6-(2-chloro-6- (difluoromethyl)styryl)-4-((3- ethoxy-1-ethyl-1H-pyrazol-4- yl)sulfonyl)-3,4-dihydro-2H- benzo[b][1,4]oxazin-2-yl)propanoate 610 (M + H)+
89EJ
Figure US09896441-20180220-C01136
(S,E)-3-(6-(2-chloro-6- (difluoromethyl)styryl)-4-((2- ethoxy-5-(trifluoromethyl)-pyridin- 3-yl)sulfonyl)-3,4-dihydro-2H- benzo[b][1,4]-oxazin-2-yl)propanoic acid 647 (M + H)+
89EK
Figure US09896441-20180220-C01137
methyl (S,E)-3-(6-(2-chloro-6- (difluoromethyl)styryl)-4-((2- ethoxy-5-(trifluoromethyl)-pyridin- 3-yl)sulfonyl)-3,4-dihydro-2H- benzo[b][1,4]-oxazin-2- yl)propanoate 661 (M + H)+
89EL
Figure US09896441-20180220-C01138
methyl (S,E)-3-(6-(2-chloro-6- (difluoromethyl)styryl)-4-((2-(2- hydroxyethoxy)-5- (trifluoromethyl)pyridin-3- yl)sulfonyl)-3,4-dihydro-2H- benzo[b][1,4]oxazin-2-yl)propanoate 677 (M + H)+
89EM
Figure US09896441-20180220-C01139
(S,E)-3-(6-(2-chloro-6- (difluoromethyl)styryl)-4-((2-(2- hydroxyethoxy)-5- (trifluoromethyl)pyridin-3- yl)sulfonyl)-3,4-dihydro-2H- benzo[b][1,4]oxazin-2-yl)propanoic acid 663 (M + H)+
89EN
Figure US09896441-20180220-C01140
(S,E)-3-(6-(2-chloro-6- (difluoromethyl)styryl)-4-((3- (trifluoromethyl)phenyl)sulfonyl)- 3,4-dihydro-2H- benzo[b][1,4]oxazin-2-yl)propanoic acid 602 (M + H)+
89EO
Figure US09896441-20180220-C01141
methyl (S,E)-3-(6-(2-chloro-6- (difluoromethyl)styryl)-4-((3- (trifluoromethyl)phenyl)sulfonyl)- 3,4-dihydro-2H- benzo[b][1,4]oxazin-2-yl)propanoate 616 (M + H)+
89EP
Figure US09896441-20180220-C01142
(S,E)-3-(6-(2-chloro-6- (difluoromethyl)styryl)-4-((3- (difluoromethyl)phenyl)-sulfonyl)- 3,4-dihydro-2H- benzo[b][1,4]oxazin-2-yl)propanoic acid 584 (M + H)+
89EQ
Figure US09896441-20180220-C01143
methyl (S,E)-3-(6-(2-chloro-6- (difluoromethyl)styryl)-4-((3- (difluoromethyl)phenyl)-sulfonyl)- 3,4-dihydro-2H- benzo[b][1,4]oxazin-2-yl)propanoate 598 (M + H)+
89ER
Figure US09896441-20180220-C01144
(S,E)-3-(6-(2-methoxy-6- (trifluoromethyl)styryl)-4-((3- (trifluoromethyl)phenyl)-sulfonyl)- 3,4-dihydro-2H- benzo[b][1,4]oxazin-2-yl)propanoic acid 616 (M + H)+
89ES
Figure US09896441-20180220-C01145
methyl (S,E)-3-(6-(2-methoxy-6- (trifluoromethyl)styryl)-4-((3- (trifluoromethyl)phenyl)-sulfonyl)- 3,4-dihydro-2H- benzo[b][1,4]oxazin-2-yl)propanoate 630 (M + H)+
89ET
Figure US09896441-20180220-C01146
(S,E)-3-(4-((2-ethoxy-5- (trifluoromethyl)pyridin-3- yl)sulfonyl)-6-(2-methoxy-6- (trifluoromethyl)styryl)-3,4-dihydro- 2H-benzo[b][1,4]-oxazin-2- yl)propanoic acid 661 (M + H)+
89EU
Figure US09896441-20180220-C01147
methyl (S,E)-3-(4-((2-ethoxy-5- (trifluoromethyl)pyridin-3- yl)sulfonyl)-6-(2-methoxy-6- (trifluoromethyl)styryl)-3,4-dihydro- 2H-benzo[b][1,4]-oxazin-2- yl)propanoate 675 (M + H)+
89EV
Figure US09896441-20180220-C01148
(S,E)-3-(6-(2-chloro-6-(1,1- difluoroethyl)styryl)-4-((3- (trifluoromethyl)phenyl)-sulfonyl)- 3,4-dihydro-2H- benzo[b][1,4]oxazin-2-yl)propanoic acid 616 (M + H)+
89EW
Figure US09896441-20180220-C01149
methyl (S,E)-3-(6-(2-chloro-6-(1,1- difluoroethyl)styryl)-4-((3- (trifluoromethyl)phenyl)-sulfonyl)- 3,4-dihydro-2H- benzo[b][1,4]oxazin-2-yl)propanoate 630 (M + H)+
89EX
Figure US09896441-20180220-C01150
(S,E)-2-((3-((6-(2-chloro-6- (trifluoromethyl)styryl)-2-methyl- 2,3-dihydro-4H- benzo[b][1,4]oxazin-4-yl)sulfonyl)- 5-(trifluoromethyl)-pyridin-2- yl)oxy)ethan-1-ol 623 (M + H)+
89EY
Figure US09896441-20180220-C01151
(S,E)-3-(6-(2-chloro-6- methoxystyryl)-4-((3- (trifluoromethyl)phenyl)-sulfonyl)- 3,4-dihydro-2H- benzo[b][1,4]oxazin-2-yl)propanoic acid 582 (M + H)+
89EZ
Figure US09896441-20180220-C01152
methyl (S,E)-3-(6-(2-chloro-6- methoxystyryl)-4-((3- (trifluoromethyl)phenyl)-sulfonyl)- 3,4-dihydro-2H- benzo[b][1,4]oxazin-2-yl)propanoate 596 (M + H)+
89FA
Figure US09896441-20180220-C01153
(S,E)-3-(6-(2-chloro-6- methoxystyryl)-4-((2-ethoxy-5- (trifluoromethyl)pyridin-3- yl)sulfonyl)-3,4-dihydro-2H- benzo[b][1,4]oxazin-2-yl)propanoic acid 627 (M + H)+
89FB
Figure US09896441-20180220-C01154
methyl (S,E)-3-(6-(2-chloro-6- methoxystyryl)-4-((2-ethoxy-5- (trifluoromethyl)pyridin-3- yl)sulfonyl)-3,4-dihydro-2H- benzo[b][1,4]oxazin-2-yl)propanoate 641 (M + H)+
89FC
Figure US09896441-20180220-C01155
(S,E)-3-(6-(2-chloro-6-fluorostyryl)- 4-((2-(3-hydroxypropoxy)-5- (trifluoromethyl)pyridin-3- yl)sulfonyl)-3,4-dihydro-2H- benzo[b][1,4]-oxazin-2-yl)propanoic acid 645 (M + H)+
89FD
Figure US09896441-20180220-C01156
methyl (S,E)-3-(6-(2-chloro-6- fluorostyryl)-4-((2-(3- hydroxypropoxy)-5- (trifluoromethyl)pyridin-3- yl)sulfonyl)-3,4-dihydro-2H- benzo[b][1,4]-oxazin-2- yl)propanoate 659 (M + H)+
89FE
Figure US09896441-20180220-C01157
(S,E)-3-(6-(2-chloro-6-(1,1- difluoroethyl)styryl)-4-((3-ethoxy-1- ethyl-1H-pyrazol-4-yl)sulfonyl)-3,4- dihydro-2H-benzo[b][1,4]oxazin-2- yl)propanoic acid 610 (M + H)+
89FF
Figure US09896441-20180220-C01158
methyl (S,E)-3-(6-(2-chloro-6-(1,1- difluoroethyl)styryl)-4-((3-ethoxy-1- ethyl-1H-pyrazol-4-yl)sulfonyl)-3,4- dihydro-2H-benzo[b][1,4]oxazin-2- yl)propanoate 624 (M + H)+
89FG
Figure US09896441-20180220-C01159
(S,E)-3-(6-(2-chloro-6-(1,1- difluoroethyl)styryl)-4-((2-ethoxy-5- (trifluoromethyl)-pyridin-3- yl)sulfonyl)-3,4-dihydro-2H- benzo[b][1,4]-oxazin-2-yl)propanoic acid 661 (M + H)+
89FH
Figure US09896441-20180220-C01160
methyl (S,E)-3-(6-(2-chloro-6-(1,1- difluoroethyl)styryl)-4-((2-ethoxy-5- (trifluoromethyl)-pyridin-3- yl)sulfonyl)-3,4-dihydro-2H- benzo[b][1,4]-oxazin-2- yl)propanoate 675 (M + H)+
89FI
Figure US09896441-20180220-C01161
(S,E)-3-(6-(2-chloro-6-(1,1- difluoroethyl)styryl)-4-((2-(2- hydroxyethoxy)-5- (trifluoromethyl)pyridin-3- yl)sulfonyl)-3,4-dihydro-2H- benzo[b][1,4]-oxazin-2-yl)propanoic acid 677 (M + H)+
89FJ
Figure US09896441-20180220-C01162
3-((2S)-6-((E)-2-chloro-6- fluorostyryl)-4-((2-(2,3- dihydroxypropoxy)-5- (trifluoromethyl)pyridin-3- yl)sulfonyl)-3,4-dihydro-2H- benzo[b][1,4]oxazin-2-yl)propanoic acid 661 (M + H)+
89FK
Figure US09896441-20180220-C01163
(S,E)-3-(6-(2-chloro-6-fluorostyryl)- 4-((2-isopropoxy-5- (trifluoromethyl)pyridin-3- yl)sulfonyl)-3,4-dihydro-2H- benzo[b][1,4]oxazin-2-yl)propanoic acid 629 (M + H)+
89FL
Figure US09896441-20180220-C01164
methyl (S,E)-3-(6-(2-chloro-6- fluorostyryl)-4-((2-isopropoxy-5- (trifluoromethyl)pyridin-3- yl)sulfonyl)-3,4-dihydro-2H- benzo[b][1,4]oxazin-2-yl)propanoate 643 (M + H)+
89FM
Figure US09896441-20180220-C01165
3-((S)-6-((E)-2-chloro-6- fluorostyryl)-4-((2-((S)-2- hydroxypropoxy)-5- (trifluoromethyl)pyridin-3- yl)sulfonyl)-3,4-dihydro-2H- benzo[b][1,4]oxazin-2-yl)propanoic acid 645 (M + H)+
89FN
Figure US09896441-20180220-C01166
methyl 3-((S)-6-((E)-2-chloro-6- fluorostyryl)-4-((2-((S)-2- hydroxypropoxy)-5- (trifluoromethyl)pyridin-3- yl)sulfonyl)-3,4-dihydro-2H- benzo[b][1,4]oxazin-2-yl)propanoate 659 (M + H)+
89FO
Figure US09896441-20180220-C01167
(S,E)-3-(6-(2-chloro-6-fluorostyryl)- 4-((5-cyclopropyl-2-(2- hydroxyethoxy)pyridin-3- yl)sulfonyl)-3,4-dihydro-2H- benzo[b][1,4]oxazin-2-yl)propanoic acid 603 (M + H)+
89FP
Figure US09896441-20180220-C01168
methyl (S,E)-3-(6-(2-chloro-6- fluorostyryl)-4-((5-cyclopropyl-2-(2- hydroxyethoxy)pyridin-3- yl)sulfonyl)-3,4-dihydro-2H- benzo[b][1,4]oxazin-2-yl)propanoate 617 (M + H)+
Example 90—Synthesis of Methyl (S)-3-(6-(cyclohexylidenemethyl)-4-((3-(trifluoromethyl)phenyl)sulfonyl)-3,4-dihydro-2H-benzo[b][1,4]oxazin-2-yl)propanoate
Figure US09896441-20180220-C01169
Part I—Synthesis of Cyclohexylidenemethyl trifluoromethanesulfonate
Figure US09896441-20180220-C01170
A solution of cyclohexanecarbaldehyde (500 mg, 4.46 mmol), triflic anhydride (1.51 g, 5.35 mmol), dichloromethane (20 mL), and 2,6-di-tert-butyl-4-methylpyridine (1.1 g, 5.36 mmol) was stirred for two hours at 60° C. The mixture was partitioned between petroleum ether and water. The organic layer was washed twice with 1 M HCl, three times with brine, dried (Na2SO4) and concentrated to afford cyclohexylidenemethyl trifluoromethanesulfonate (330 mg, 30%) as a yellow oil.
Part II—Synthesis of Methyl (S)-3-(6-(4,4,5,5-tetramethyl-1,3,2-dioxaborolan-2-yl)-4-((3-(trifluoromethyl)phenyl)sulfonyl)-3,4-dihydro-2H-benzo[b][1,4]oxazin-2-yl)propanoate
Figure US09896441-20180220-C01171
A mixture of (S)-methyl 3-(6-bromo-4-((3-(trifluoromethyl)phenyl)sulfonyl)-3,4-dihydro-2H-benzo[b][1,4]oxazin-2-yl)propanoate (1.00 g, 1.96 mmol), [1,1′-bis(diphenyl-phosphino)ferrocene]dichloropalladium(II) (143 mg, 0.20 mmol), potassium acetate (770.4 mg, 7.85 mmol), 4,4,5,5-tetramethyl-2-(tetramethyl-1,3,2-dioxaborolan-2-yl)-1,3,2-dioxaborolane (998 mg, 3.93 mmol), and ethylene glycol dimethyl ether (50 mL) was stirred for three hours at 80° C. The mixture was concentrated and the resulting residue was purified via MPLC eluting with a gradient of 15-50% ethyl acetate in hexane to afford methyl (S)-3-(6-(4,4,5,5-tetramethyl-1,3,2-dioxaborolan-2-yl)-4-((3-(trifluoromethyl)phenyl)sulfonyl)-3,4-dihydro-2H-benzo[b][1,4]oxazin-2-yl)propanoate (1.07 g, 98%) as a light yellow oil.
Part III—Synthesis of Methyl (S)-3-(6-(cyclohexylidenemethyl)-4-((3-(trifluoromethyl)phenyl)sulfonyl)-3,4-dihydro-2H-benzo[b][1,4]oxazin-2-yl)propanoate
Figure US09896441-20180220-C01172
A mixture of cyclohexylidenemethyl trifluoromethanesulfonate (330 mg, 1.35 mmol), tetrakis(triphenylphosphine)-palladium(0) (52 mg, 0.04 mmol), potassium phosphate (573 mg, 2.70 mmol), methyl (S)-3-(6-(4,4,5,5-tetramethyl-1,3,2-dioxaborolan-2-yl)-4-((3-(trifluoromethyl)phenyl)sulfonyl)-3,4-dihydro-2H-benzo[b][1,4]oxazin-2-yl)propanoate (500 mg, 0.90 mmol), toluene (4 mL), ethanol (1 mL), and water (1 mL) was stirred for two hours at 90° C. The mixture was cooled, concentrated, and the resulting residue was purified via MPLC eluting with 16% ethyl acetate in petroleum to afford methyl (S)-3-(6-(cyclohexylidenemethyl)-4-((3-(trifluoromethyl)phenyl)sulfonyl)-3,4-dihydro-2H-benzo[b][1,4]oxazin-2-yl)propanoate (200 mg, 28%) as a yellow oil. 1H-NMR (300 MHz, CD3OD) δ 7.95-7.98 (m, 2H), 7.87 (s, 1H), 7.78 (t, 1H), 7.61 (s, 1H), 6.91 (d, 1H), 6.74 (d, 1H), 6.18 (s, 1H), 4.39 (dd, 1H), 3.67 (s, 3H), 3.41 (s, 1H), 3.24 (dd, 1H), 2.36-2.48 (m, 4H), 2.27-2.30 (m, 2H), 1.90 (m, 1H), 1.77 (m, 1H), 1.55-1.69 (m, 6H). (ES, m/z): (M+H)+ 524.
Example 91—Synthesis of (S)-3-(6-(Cyclohexylidenemethyl)-4-((3-(trifluoromethyl)phenyl)sulfonyl)-3,4-dihydro-2H-benzo[b][1,4]oxazin-2-yl)propanoic acid
Figure US09896441-20180220-C01173
A mixture of methyl (S)-3-(6-(cyclohexylidenemethyl)-4-((3-(trifluoromethyl)phenyl)sulfonyl)-3,4-dihydro-2H-benzo[b][1,4]oxazin-2-yl)propanoate (180 mg, 0.34 mmol), tetrahydrofuran (3 mL), water (1 mL), lithium hydroxide (41 mg, 0.98 mmol) was stirred for two hours at room temperature. The pH value of the mixture was adjusted to 5 with 1M hydrogen chloride and then partitioned between ethyl acetate and water. The organic layer was dried (Na2SO4) and concentrated. The resulting residue was purified by Prep-HPLC eluting with a gradient of 70-95% acetonitrile in water with 0.05% trifluoroacetic acid to afford (S)-3-(6-(cyclohexylidenemethyl)-4-((3-(trifluoromethyl)phenyl)sulfonyl)-3,4-dihydro-2H-benzo[b][1,4]oxazin-2-yl)propanoic acid (75.8 mg, 43%) as a white solid. 1H-NMR (300 MHz, CD3OD) δ 8.00-7.96 (t, J=8 Hz, 2H), 7.83 (s, 1H), 7.80-7.76 (t, J=8 Hz, 1H), 7.62 (s, 1H), 6.93-6.91 (dd, J=4 Hz, 8 Hz, 1H), 6.78-6.76 (d, J=8 Hz, 1H), 6.19 (s, 1H), 4.44-4.39 (dd, J=4 Hz, 12 Hz, 1H), 3.40-3.34 (m, 1H), 3.27-3.21 (m, 1H), 2.46-2.36 (m, 4H), 2.32-2.29 (m, 2H), 1.91-1.73 (m, 2H), 1.72-1.60 (m, 6H). (ES, m/z): (M+H)+ 510.
Example 92—Synthesis of (S)-3-(6-(Cyclopentylidenemethyl)-4-((3-(trifluoromethyl)phenyl)sulfonyl)-3,4-dihydro-2H-benzo[b][1,4]oxazin-2-yl)propanoic acid
Figure US09896441-20180220-C01174
Based on the procedure in Example 90 and 91, (S)-3-(6-(cyclopentylidenemethyl)-4-((3-(trifluoromethyl)phenyl)sulfonyl)-3,4-dihydro-2H-benzo[b][1,4]oxazin-2-yl)propanoic acid was prepared. 1H-NMR (300 MHz, CD3OD) δ 7.98-7.94 (m, 2H), 7.86 (s, 1H), 7.78-7.74 (m, 2H), 7.00 (m, 1H), 6.75 (m, 1H), 6.29 (m, 1H), 4.39 (dd, J=14.4 Hz, 2.0 Hz, 1H), 3.38 (m, 1H), 3.29 (dd, J=14.4 Hz, 2.0 Hz, 1H), 2.51 (m, 4H), 2.40 (m, 2H), 1.87-1.66 (m, 6H). (ES, m/z): (M+H)+ 496.
Example 93—Synthesis of (S)-3-(6-(Cyclohexylmethyl)-4-((3-(trifluoromethyl)phenyl)sulfonyl)-3,4-dihydro-2H-benzo[b][1,4]oxazin-2-yl)propanoic acid
Figure US09896441-20180220-C01175
Part I—Synthesis of Methyl (S)-3-(6-(cyclohexylmethyl)-3,4-dihydro-2H-benzo[b][1,4]-oxazin-2-yl)propanoate
Figure US09896441-20180220-C01176
A mixture of methyl (S)-3-(6-(cyclohexylidenemethyl)-3,4-dihydro-2H-benzo[b][1,4]oxazin-2-yl)propanoate (500 mg, 1.59 mmol), 10% palladium on carbon (500 mg), and ethyl acetate (15 mL) was stirred overnight at room temperature under an atmosphere of hydrogen. The mixture was filtered through Celite and the filtrate was concentrated. The resulting residue was purified via MPLC eluting with 16% ethyl acetate in petroleum ether to afford methyl (S)-3-(6-(cyclohexylmethyl)-3,4-dihydro-2H-benzo[b][1,4]-oxazin-2-yl)propanoate (300 mg, 60%) as a clear oil.
Part II—Synthesis of Methyl (S)-3-(6-(cyclohexylmethyl)-4-((3-(trifluoromethyl)phenyl)sulfonyl)-3,4-dihydro-2H-benzo[b][1,4]oxazin-2-yl)propanoate
Figure US09896441-20180220-C01177
A mixture of methyl (S)-3-(6-(cyclohexylmethyl)-3,4-dihydro-2H-benzo[b][1,4]-oxazin-2-yl)propanoate (270 mg, 0.85 mmol), dichloromethane (10 mL), 3-(trifluoromethyl)benzene-1-sulfonyl chloride (415.6 mg, 1.70 mmol), 4-dimethylaminopyridine (52 mg, 0.43 mmol) and pyridine (0.3 mL) was stirred overnight at room temperature. The mixture was concentrated and the resulting residue was purified via MPLC eluting with 16% ethyl acetate in petroleum ether to afford methyl (S)-3-(6-(cyclohexylmethyl)-4-((3-(trifluoromethyl)phenyl)sulfonyl)-3,4-dihydro-2H-benzo[b][1,4]oxazin-2-yl)propanoate (420 mg, 94%) as an oil.
Part III—Synthesis of (S)-3-(6-(Cyclohexylmethyl)-4-((3-(trifluoromethyl)phenyl)sulfonyl)-3,4-dihydro-2H-benzo[b][1,4]oxazin-2-yl)propanoic acid
Figure US09896441-20180220-C01178
Based on the procedure in Example 42, (S)-3-(6-(cyclohexylmethyl)-4-((3-(trifluoromethyl)phenyl)sulfonyl)-3,4-dihydro-2H-benzo[b][1,4]oxazin-2-yl)propanoic acid was prepared. 1H-NMR (300 MHz, CDCl3) δ 0.95-1.07 (m, 2H), 1.12-1.32 (m, 3H), 1.52 (m, 1H), 1.62-1.82 (m, 6H), 1.89 (m, 1H), 2.31-2.51 (m, 4H), 3.21 (m, 1H), 3.39 (m, 1H), 4.41 (d, J=14.4 Hz, 1H), 6.73 (m, 1H), 6.90 (m, 1H), 7.58 (s, 1H), 7.78 (m, 2H), 7.97 (m, 2H). (ES, m/z): (M+H)+ 512.
Example 94—Synthesis of (S)-3-(6-(Cyclohexylidenemethyl)-4-((3-(trifluoromethyl)phenyl)sulfonyl)-3,4-dihydro-2H-benzo[b][1,4]oxazin-2-yl)propanoic acid
Figure US09896441-20180220-C01179
Part I—Synthesis of 8-(bromomethylene)-1,4-dioxaspiro[4.5]decane
Figure US09896441-20180220-C01180
A 1 M solution of lithium hexamethyldisilazide (17 mL, 0.017 mol) in THF was added dropwise to a stirred solution of (bromomethyl)triphenyl-λ5-phosphane (5.9 g, 0.017 mol) in THF (20 mL) at −78° C. The reaction mixture was warmed to room temperature and stirred for one hour. 1,4-Dioxaspiro[4.5]decan-8-one (2 g, 0.013 mol) was added dropwise and the reaction stirred overnight at room temperature. The mixture was partitioned between saturated ammonium chloride and dichloromethane. The organic layer was dried (Na2SO4) and concentrated. The resulting residue was purified by MPLC eluting with 3% ethyl acetate in petroleum ether to afford 8-(bromomethylene)-1,4-dioxaspiro[4.5]decane (2.0 g, 67%) as a colorless liquid.
Part II—Synthesis of Methyl (S)-3-(6-((1,4-dioxaspiro[4.5]decan-8-ylidene)methyl)-3,4-dihydro-2H-benzo[b][1,4]oxazin-2-yl)propanoate
Figure US09896441-20180220-C01181
A mixture of 8-(bromomethylene)-1,4-dioxaspiro[4.5]decane (1 g, 2.88 mmol), 8-(bromomethylidene)-1,4-dioxaspiro[4.5]decane (700 mg, 3.74 mmol), cesium carbonate (2.6 g, 11.52 mmol), [1,1′-bis(diphenyl-phosphino)ferrocene]dichloropalladium(II) (0.15 g, 0.288 mmol), THF (10 mL), and water (10 mL) was stirred overnight at 90° C. The mixture was diluted with water and extracted twice with ethyl acetate. The combined organic layers were dried (Na2SO4) and concentrated. The resulting residue was purified via MPLC eluting with 66% ethyl acetate in petroleum ether to afford methyl (5)-3-(6-((1,4-dioxaspiro[4.5]decan-8-ylidene)methyl)-3,4-dihydro-2H-benzo[b][1,4]oxazin-2-yl)propanoate (500 mg, 46%) as a colorless oil.
Part III—Synthesis of Methyl (S)-3-(6-((4-oxocyclohexylidene)methyl)-3,4-dihydro-2H-benzo[b][1,4]oxazin-2-yl)propanoate
Figure US09896441-20180220-C01182
A solution of (S)-3-(6-((1,4-dioxaspiro[4.5]decan-8-ylidene)methyl)-3,4-dihydro-2H-benzo[b][1,4]oxazin-2-yl)propanoate (500 mg, 1.34 mmol) in acetone (20 mL) and 10% HCl in water was stirred for four hours at room temperature. The reaction mixture was diluted with water and extracted twice with ethyl acetate. The combined organic layers were dried (Na2SO4) and concentrated to afford methyl (S)-3-(6-((4-oxocyclohexylidene)methyl)-3,4-dihydro-2H-benzo[b][1,4]oxazin-2-yl)propanoate (350 mg, 79%) as a colorless oil.
Part IV—Synthesis of Methyl 3-((2S)-6-((4-hydroxycyclohexylidene)methyl)-3,4-dihydro-2H-benzo[b][1,4]oxazin-2-yl)propanoate
Figure US09896441-20180220-C01183
Sodium borohydride (173 mg, 4.70 mmol) was added to a solution of methyl (S)-3-(6-((4-oxocyclohexylidene)methyl)-3,4-dihydro-2H-benzo[b][1,4]oxazin-2-yl)propanoate (300 mg, 0.91 mmol) in methanol (10 mL). The mixture was stirred for two hours at room temperature. The mixture was diluted with water and extracted twice with ethyl acetate. The combined organic layers were dried (Na2SO4) and concentrated. The resulting residue was purified by MPLC eluting with ethyl acetate to afford methyl 3-((2S)-6-((4-hydroxycyclohexylidene)methyl)-3,4-dihydro-2H-benzo[b][1,4]oxazin-2-yl)propanoate (220 mg, 73%) as a colorless oil.
Part V—Synthesis of Methyl (S)-3-(6-(cyclohexylidenemethyl)-4-((3-(trifluoromethyl)phenyl)sulfonyl)-3,4-dihydro-2H-benzo[b][1,4]oxazin-2-yl)propanoate
Figure US09896441-20180220-C01184
A solution of methyl 3-((2S)-6-((4-hydroxycyclohexylidene)methyl)-3,4-dihydro-2H-benzo[b][1,4]oxazin-2-yl)propanoate (100 mg, 0.30 mmol), dichloromethane (5 mL), pyridine (119 mg, 1.50 mmol), 3-(trifluoromethyl)benzene-1-sulfonyl chloride (110 mg, 0.45 mmol), and 4-dimethylaminopyridine (18 mg, 0.15 mmol) was stirred overnight at room temperature. The solution was diluted dichloromethane and washed twice with 1 M HCl, washed with water, dried (Na2SO4), and concentrated. The resulting residue was purified by MPLC eluting with 33% ethyl acetate in petroleum ether to afford methyl (S)-3-(6-(cyclohexylidenemethyl)-4-((3-(trifluoromethyl)phenyl)sulfonyl)-3,4-dihydro-2H-benzo[b][1,4]oxazin-2-yl)propanoate (100 mg, 61%) as a colorless oil.
Part VI—Synthesis of (S)-3-(6-(Cyclohexylidenemethyl)-4-((3-(trifluoromethyl)phenyl)sulfonyl)-3,4-dihydro-2H-benzo[b][1,4]oxazin-2-yl)propanoic acid
Figure US09896441-20180220-C01185
Based on the procedure in Example 42, (S)-3-(6-(cyclohexylidenemethyl)-4-((3-(trifluoromethyl)phenyl)sulfonyl)-3,4-dihydro-2H-benzo[b][1,4]oxazin-2-yl)propanoic acid was prepared. 1H-NMR (300 MHz, CD3OD) δ 7.97 (m, 2H), 7.81-7.75 (m, 2H), 7.64-7.62 (m, 1H), 6.93 (d, J=11.6 Hz, 1H), 6.76 (d, J=11.2 Hz, 1H), 4.40 (dd, J=2.8 Hz, 19.2 Hz, 1H), 3.83 (m, 1H), 3.35 (m, 1H), 3.23 (m, 1H), 2.74 (m, 1H), 2.48-2.37 (m, 3H), 2.37-2.11 (m, 2H), 1.98-1.75 (m, 4H), 1.54-1.43 (m, 2H). (ES, m/z): (M+H)+ 526.
Example 95—Preparation of Additional Substituted 6-Alkenyl-benzoxazines
Compounds in Table 12 were prepared based on experimental procedures described in Examples 42, 90, 93, and 94 and the detailed description.
TABLE 12
Observed
No. Structure Name m/z
95A
Figure US09896441-20180220-C01186
methyl (S)-3-(6- (cyclohexylidenemethyl)-4-((2- ethoxy-5-(trifluoromethyl)pyridin- 3-yl)sulofnyl)-3,4-dihydro-2H- benzo[b][1,4]oxazin-2- yl)propanoate 569 (M + H)+
95B
Figure US09896441-20180220-C01187
(S)-3-(6-(cyclohexylidenemethyl)- 4-((2-ethoxy-5- (trifluoromethyl)pyridin-3- yl)sulfonyl)-3,4-dihydro-2H- benzo[b][1,4]oxazin-2- yl)propanoic acid 555 (M + H)+
95C
Figure US09896441-20180220-C01188
(S)-3-(6-(cyclohexylidenemethyl)- 4-((2-(2-hydroxyethoxy)-5- (trifluoromethyl)pyridin-3- yl)sulfonyl)-3,4-dihydro-2H- benzo[b][1,4]oxazin-2- yl)propanoic acid 571 (M + H)+
95D
Figure US09896441-20180220-C01189
(S)-3-(6-(cyclohexylmethyl)-4-((2- (2-hydroxyethoxy)-5- (trifluoromethyl)pyridin-3- yl)sulfonyl)-3,4-dihydro-2H- benzo[b][1,4]oxazin-2- yl)propanoic acid 573 (M + H)+
95E
Figure US09896441-20180220-C01190
(S)-3-(6-(2-ethylbut-1-en-1-yl)-4- ((3-(trifluoromethyl)phenyl)- sulfonyl)-3,4-dihydro-2H- benzo[b][1,4]oxazin-2- yl)propanoic acid 498 (M + H)+
95F
Figure US09896441-20180220-C01191
(S)-3-(6-(2-ethylbut-1-en-1-yl)-4- ((2-(2-hydroxyethoxy)-5- (trifluoromethyl)pyridin-3- yl)sulfonyl)-3,4-dihydro-2H- benzo[b][1,4]oxazin-2- yl)propanoic acid 559 (M + H)+
95G
Figure US09896441-20180220-C01192
3-((2S)-6-((E)-(3-methylcyclo- hexylidene)methyl)-4-((3- (trifluoromethyl)phenyl)sulfonyl)- 3,4-dihydro-2H-benzo[b][1,4]- oxazin-2-yl)propanoic acid 524 (M + H)+
95H
Figure US09896441-20180220-C01193
(S)-3-(6-((4,4-dimethylcyclo- hexylidene)methyl)-4-((3- (trifluoromethyl)phenyl)sulfonyl)- 3,4-dihydro-2H- benzo[b][1,4]oxazin-2- yl)propanoic acid 538 (M + H)+
95I
Figure US09896441-20180220-C01194
(S,E)-3-(6-((dihydro-2H-pyran- 3(4H)-ylidene)methyl)-4-((3- (trifluoromethyl)phenyl)sulfonyl)- 3,4-dihydro-2H- benzo[b][1,4]oxazin-2- yl)propanoic acid 512 (M + H)+
95J
Figure US09896441-20180220-C01195
(S,Z)-3-(6-((dihydro-2H-pyran- 3(4H)-ylidene)methyl)-4-((3- (trifluoromethyl)phenyl)sulfonyl)- 3,4-dihydro-2H- benzo[b][1,4]oxazin-2- yl)propanoic acid 512 (M + H)+
95K
Figure US09896441-20180220-C01196
3-((2S)-6-((4-methylcyclo- hexylidene)methyl)-4-((3- (trifluoromethyl)phenyl)sulfonyl)- 3,4-dihydro-2H- benzo[b][1,4]oxazin-2- yl)propanoic acid 524 (M + H)+
95L
Figure US09896441-20180220-C01197
(S)-3-(6-((4,4-difluorocyclo- hexylidene)methyl)-4-((3- (trifluoromethyl)phenyl)sulfonyl)- 3,4-dihydro-2H- benzo[b][1,4]oxazin-2- yl)propanoic acid 546 (M + H)+
95M
Figure US09896441-20180220-C01198
(S)-3-(6-((4,4- difluorocyclohexylidene)methyl)- 4-((2-(2-hydroxyethoxy)-5- (trifluoromethyl)pyridin-3- yl)sulfonyl)-3,4-dihydro-2H- benzo[b][1,4]oxazin-2- yl)propanoic acid 607 (M + H)+
95N
Figure US09896441-20180220-C01199
(S)-3-(6-((tetrahydro-4H-pyran-4- ylidene)methyl)-4-((3- (trifluoromethyl)phenyl)sulfonyl)- 3,4-dihydro-2H- benzo[b][1,4]oxazin-2- yl)propanoic acid 512 (M + H)+
95O
Figure US09896441-20180220-C01200
(S)-3-(4-((2-(2-hydroxyethoxy)-5- (trifluoromethyl)pyridin-3- yl)sulfonyl)-6-((tetrahydro-4H- pyran-4-ylidene)methyl)-3,4- dihydro-2H-benzo[b][1,4]oxazin- 2-yl)propanoic acid 573 (M + H)+
95P
Figure US09896441-20180220-C01201
3-((2S)-4-((2-(2-hydroxyethoxy)-5- (trifluoromethyl)pyridin-3- yl)sulfonyl)-6-((4- methylcyclohexylidene)methyl)- 3,4-dihydro-2H- benzo[b][1,4]oxazin-2- yl)propanoic acid 585 (M + H)+
95Q
Figure US09896441-20180220-C01202
3-((2S)-6-((E)-(2- methylcyclohexylidene)methyl)-4- ((3-(trifluoromethyl)phenyl)- sulfonyl)-3,4-dihydro-2H- benzo[b][1,4]oxazin-2- yl)propanoic acid 524 (M + H)+
95R
Figure US09896441-20180220-C01203
3-((2S)-4-((2-(2-hydroxyethyl)-5- (trifluoromethyl)pyridin-3- yl)sulfonyl)-6-((E)-(2- methylcyclohexylidene)methyl)- 3,4-dihydro-2H- benzo[b][1,4]oxazin-2- yl)propanoic acid 585 (M + H)+
95S
Figure US09896441-20180220-C01204
3-((2S)-6-((E)- bicyclo[2.2.1]heptan-2- ylidenemethyl)-4-((3- (trifluoromethyl)phenyl)sulfonyl)- 3,4-dihydro-2H- benzo[b][1,4]oxazin-2- yl)propanoic acid 522 (M + H)+
95T
Figure US09896441-20180220-C01205
3-((2S)-6-((E)- bicyclo[2.2.1]heptan-2- ylidenemethyl)-4-((2-(2- hydroxyethoxy)-5- (trifluoromethyl)pyridin-3- yl)sulfonyl)-3,4-dihydro-2H- benzo[b][1,4]oxazin-2- yl)propanoic acid 583 (M + H)+
95U
Figure US09896441-20180220-C01206
3-((2S)-4-((2-(2-hydroxyethoxy)-5- (trifluoromethyl)pyridin-3- yl)sulfonyl)-6-((3- methylcyclohexylidene)methyl)- 3,4-dihydro-2H- benzo[b][1,4]oxazin-2- yl)propanoic acid 585 (M + H)+
95V
Figure US09896441-20180220-C01207
3-((2S)-6-((4- hydroxycyclohexylidene)-methyl)- 4-((2-(2-hydroxyethoxy)-5- (trifluoromethyl)pyridin-3- yl)sulfonyl)-3,4-dihydro-2H- benzo[b][1,4]oxazin-2- yl)propanoic acid 587 (M + H)+
95W
Figure US09896441-20180220-C01208
(S)-3-(6-((4,4-dimethyl- cyclohexylidene)methyl)-4-((2-(2- hydroxyethoxy)-5- (trifluoromethyl)pyridin-3- yl)sulfonyl)-3,4-dihydro-2H- benzo[b][1,4]oxazin-2- yl)propanoic acid 599 (M + H)+
95X
Figure US09896441-20180220-C01209
(S,E)-3-(6-((dihydro-2H-pyran- 3(4H)-ylidene)methyl)-4-((2-(2- hydroxyethoxy)-5- (trifluoromethyl)pyridin-3- yl)sulfonyl)-3,4-dihydro-2H- benzo[b][1,4]oxazin-2- yl)propanoic acid 573 (M + H)+
95Y
Figure US09896441-20180220-C01210
(S,Z)-3-(6-((dihydro-2H-pyran- 3(4H)-ylidene)methyl)-4-((2-(2- hydroxyethoxy)-5- (trifluoromethyl)pyridin-3- yl)sulfonyl)-3,4-dihydro-2H- benzo[b][1,4]oxazin-2- yl)propanoic acid 573 (M + H)+
95Z
Figure US09896441-20180220-C01211
3-((S)-6-((E)-((3R,5S)-3,5- dimethylcyclohexylidene)-methyl)- 4-((3-(trifluoromethyl)- phenyl)sulfonyl)-3,4-dihydro-2H- benzo[b][1,4]oxazin-2- yl)propanoic acid 538 (M + H)+
95AA
Figure US09896441-20180220-C01212
3-((S)-6-((E)-((3R,5S)-3,5- dimethylcyclohexylidene)-methyl)- 4-((2-(2-hydroxy-ethoxy)-5- (trifluoromethyl)-pyridin-3- yl)sulfonyl)-3,4-dihydro-2H- benzo[b][1,4]oxazin-2- yl)propanoic acid 599 (M + H)+
95AB
Figure US09896441-20180220-C01213
(S)-3-(6-(2-methylprop-1-en-1-yl)- 4-((3-(trifluoromethyl)- phenyl)sulfonyl)-3,4-dihydro-2H- benzo[b][1,4]oxazin-2- yl)propanoic acid 470 (M + H)+
95AC
Figure US09896441-20180220-C01214
(S)-3-(4-((2-(2-hydroxyethoxy)-5- (trifluoromethyl)pyridin-3- yl)sulfonyl)-6-(2-methylprop-1-en- 1-yl)-3,4-dihydro-2H- benzo[b][1,4]oxazin-2- yl)propanoic acid 531 (M + H)+
95AD
Figure US09896441-20180220-C01215
methyl (S)-3-(4-((2-(2- hydroxyethoxy)-5- (trifluoromethyl)pyridin-3- yl)sulfonyl)-6-(2-methylprop-1- en-1-yl)-3,4-dihydro-2H- benzo[b][1,4]oxazin-2- yl)propanoic acid 545 (M + H)+
95AE
Figure US09896441-20180220-C01216
(S)-3-(6-(1-cyclohexylideneethyl)- 4-((2-(2-hydroxyethoxy)-5- (trifluoromethyl)pyridin-3- yl)sulfonyl)-3,4-dihydro-2H- benzo[b][1,4]oxazin-2- yl)propanoic acid 585 (M + H)+
Example 96—Synthesis of (S)-1-((R)-6-((E)-2-(2-Chloro-6-fluorophenyl)prop-1-en-1-yl)-4-((3-(trifluoromethyl)phenyl)sulfonyl)-3,4-dihydro-2H-benzo[b][1,4]oxazin-2-yl)ethan-1-ol
Figure US09896441-20180220-C01217
Part I—Synthesis of (Ethyl (2R,3S)-2-hydroxy-3-((tetrahydro-2H-pyran-2-yl)oxy)butanoate
Figure US09896441-20180220-C01218
A mixture of ethyl (2R,3S)-2,3-dihydroxybutanoate (5.5 g, 3.12 mmol), dichloromethane (80 mL), 3,4-dihydro-2H-pyran (3.1 g, 36.85 mmol), and pyridin-1-ium 4-methylbenzene-1-sulfonate (186 mg, 0.74 mmol) was stirred overnight at room temperature. The mixture was diluted with saturated sodium bicarbonate and extracted three times with dichloromethane. The combined organic layers were dried (Na2SO4) and concentrated. The resulting residue was purified via MPLC eluting with 15% ethyl acetate in petroleum ether to yield ethyl (2R,3S)-2-hydroxy-3-((tetrahydro-2H-pyran-2-yl)oxy)butanoate (4.8 g, 56%) as a colorless oil.
Part II—Synthesis of Ethyl (2S,3S)-2-(4-bromo-2-nitrophenoxy)-3-((tetrahydro-2H-pyran-2-yl)oxy)butanoate
Figure US09896441-20180220-C01219
A solution of diisopropyl azodicarboxylate (4.57 g, 22.60 mmol) in tetrahydrofuran (10 mL) was added dropwise to a stirred solution of ethyl (2R,3S)-2-hydroxy-3-((tetrahydro-2H-pyran-2-yl)oxy)butanoate (2.62 g, 11.28 mmol), triphenylphosphine (5.92 g, 22.57 mmol), and 4-bromo-2-nitrophenol (4.93 g, 22.61 mmol) in tetrahydrofuran (50 mL) at 0° C. The mixture was stirred overnight at room temperature and for an additional three hours at 60° C. The mixture was cooled, diluted with saturated sodium bicarbonate and extracted three times with ethyl acetate. The combined organic layers were washed with brine, dried (Na2SO4), and concentrated. The resulting residue was purified via MPLC eluting with 25% ethyl acetate in petroleum ether to afford ethyl (2S,3S)-2-(4-bromo-2-nitrophenoxy)-3-((tetrahydro-2H-pyran-2-yl)oxy)butanoate (3.11 g, 64%) as a yellow oil.
Part III—Synthesis of Ethyl (2S,3S)-2-(4-bromo-2-nitrophenoxy)-3-hydroxybutanoate
Figure US09896441-20180220-C01220
A mixture of ethyl (2S,3S)-2-(4-bromo-2-nitrophenoxy)-3-((tetrahydro-2H-pyran-2-yl)oxy)butanoate (3.11 g, 7.19 mmol), 5 M HCl (20 mL) and ethyl acetate (20 mL) was stirred for five hours at room temperature. The mixture was extracted four times with ether. The combined organic layers were washed with saturated sodium bicarbonate, dried (Na2SO4), and concentrated to afford ethyl (2S,3S)-2-(4-bromo-2-nitrophenoxy)-3-hydroxybutanoate (1.32 g, 53%) as a light yellow oil.
Part IV—Synthesis of (S)-6-Bromo-2-((S)-1-hydroxyethyl)-2H-benzo[b][1,4]oxazin-3(4H)-one
Figure US09896441-20180220-C01221
A mixture of ethyl (2S,3S)-2-(4-bromo-2-nitrophenoxy)-3-hydroxybutanoate (1.32 g, 3.79 mmol), iron (640 mg, 11.4 mmol), and acetic acid (8 mL) was stirred for one hour at 100° C. The mixture was cooled and diluted with ethanol. The mixture was filtered, and the filtrate was concentrated. The resulting residue was diluted with saturated sodium bicarbonate and extracted three times with ethyl acetate. The combined organic layers were washed with brine, dried (Na2SO4) and concentrated to afford (S)-6-bromo-2-((S)-1-hydroxyethyl)-2H-benzo[b][1,4]oxazin-3(4H)-one (1.13 g) as a colorless oil.
Part V—Synthesis of (S)-1-((R)-6-Bromo-3,4-dihydro-2H-benzo[b][1,4]oxazin-2-yl)ethan-1-ol
Figure US09896441-20180220-C01222
A 1 M solution of borane in THF (11 mL, 11 mmol) was added to a solution of (S)-6-bromo-2-((S)-1-hydroxyethyl)-2H-benzo[b][1,4]oxazin-3(4H)-one (1.0 g, 3.68 mmol) in tetrahydrofuran (10 mL). The mixture was stirred for three hours at room temperature and poured onto water. The mixture was extracted three times with ethyl acetate. The combined organic layers were washed with brine, dried (Na2SO4), and concentrated to afford (S)-1-((R)-6-bromo-3,4-dihydro-2H-benzo[b][1,4]oxazin-2-yl)ethan-1-ol (800 mg, 84%) as a colorless oil.
Part VI—Synthesis of (S)-1-((R)-6-((E)-2-(2-Chloro-6-fluorophenyl)prop-1-en-1-yl)-3,4-dihydro-2H-benzo[b][1,4]oxazin-2-yl)ethan-1-ol
Figure US09896441-20180220-C01223
A mixture of(S)-1-((R)-6-((E)-2-(2-chloro-6-fluorophenyl)prop-1-en-1-yl)-3,4-dihydro-2H-benzo[b][1,4]oxazin-2-yl)ethan-1-ol (1.11 g, 4.30 mmol), (E)-2-(2-(2-chloro-6-fluorophenyl)prop-1-en-1-yl)-4,4,5,5-tetramethyl-1,3,2-dioxaborolane (1.91 g, 6.44 mmol), sodium carbonate (1.37 g, 12.93 mmol), tetrakis(triphenylphosphine)palladium(0) (250 mg, 0.22 mmol), toluene (27 mL), ethanol (27 mL) and water (27 mL) was stirred overnight at 80° C. The mixture was cooled, diluted with water, and extracted twice with ethyl acetate. The combined organic layers were dried (Na2SO4) and concentrated. The resulting residue was purified via MPLC eluting with 50% ethyl acetate in petroleum ether to afford (S)-1-((R)-6-((E)-2-(2-chloro-6-fluorophenyl)prop-1-en-1-yl)-3,4-dihydro-2H-benzo[b][1,4]oxazin-2-yl)ethan-1-ol (1.3 g, 87%) as a yellow oil.
Part VII—Synthesis of (S)-1-((R)-6-((E)-2-(2-Chloro-6-fluorophenyl)prop-1-en-1-yl)-4-((3-(trifluoromethyl)phenyl)sulfonyl)-3,4-dihydro-2H-benzo[b][1,4]oxazin-2-yl)ethan-1-ol
Figure US09896441-20180220-C01224
A solution of (S)-1-((R)-6-((E)-2-(2-chloro-6-fluorophenyl)prop-1-en-1-yl)-3,4-dihydro-2H-benzo[b][1,4]oxazin-2-yl)ethan-1-ol (100 mg, 0.29 mmol), pyridine (5 mL) and 3-(trifluoromethyl)benzene-1-sulfonyl chloride (99 mg, 0.40 mmol) was stirred overnight at room temperature. The mixture was diluted with ethyl acetate, washed three times with 1 M HCl, dried (Na2SO4) and concentrated. The resulting residue was purified by Prep-HPLC eluting with a gradient of 70-90% acetonitrile in water with 0.05% trifluoroacetic acid to afford (S)-1-((R)-6-((E)-2-(2-chloro-6-fluorophenyl)prop-1-en-1-yl)-4-((3-(trifluoromethyl)phenyl)sulfonyl)-3,4-dihydro-2H-benzo[b][1,4]oxazin-2-yl)ethan-1-ol (50 mg, 31%) as an off-white solid. 1H-NMR (300 MHz, CD3OD) δ 8.01-7.95 (m, 3H), 7.89 (s, 3H), 7.82-7.78 (t, J=8.0 Hz, 1H), 7.35-7.28 (m, 2H), 7.15-7.11 (m, 2H), 6.90-6.88 (d, J=8.4 Hz, 1H), 6.39 (s, 1H), 4.62-4.58 (dd, J=2 Hz, 14.8 Hz, 1H), 3.76-3.69 (m, 1H), 3.37-3.32 (m, 1H), 3.15-3.08 (m, 1H), 2.19 (s, 3H), 1.21-1.92 (d, J=6.4 Hz, 3H). (ES, m/z): (M+H)+ 556.
Example 97—Synthesis of (S)-1-((R)-4-((3-Chloro-1-ethyl-1H-pyrazol-4-yl)sulfonyl)-6-((E)-2-(2-chloro-6-fluorophenyl)prop-1-en-1-yl)-3,4-dihydro-2H-benzo[b][1,4]oxazin-2-yl)ethan-1-ol
Figure US09896441-20180220-C01225
3-Chloro-1-ethyl-1H-pyrazole-4-sulfonyl chloride (99 mg, 0.43 mmol) was added to a solution of (S)-1-((R)-6-((E)-2-(2-chloro-6-fluorophenyl)prop-1-en-1-yl)-3,4-dihydro-2H-benzo[b][1,4]oxazin-2-yl)ethan-1-ol (100 mg, 0.29 mmol) in pyridine (5 mL). Stirred overnight at room temperature and then diluted with ethyl acetate. The mixture was washed three times with 1 M HCl, dried (Na2SO4) and concentrated. The resulting residue was purified by Prep-HPLC eluting with a gradient of 55-73% acetonitrile in water with 0.05% trifluoroacetic acid to afford (S)-1-((R)-4-((3-chloro-1-ethyl-1H-pyrazol-4-yl)sulfonyl)-6-((E)-2-(2-chloro-6-fluorophenyl)prop-1-en-1-yl)-3,4-dihydro-2H-benzo[b][1,4]oxazin-2-yl)ethan-1-ol (73.5 mg, 47%). 1H-NMR (300 MHz, CD3OD) δ 8.21 (s, 1H), 7.80-7.79 (d, J=2.0 Hz, 1H), 7.34-7.27 (m, 2H), 7.17-7.01 (m, 2H), 6.95-6.93 (d, J=8.8 Hz, 1H), 6.36 (s, 1H), 4.57-4.52 (dd, J=2.4 Hz, 14.4 Hz, 1H), 4.19-4.14 (m, 2H), 3.87-3.80 (m, 1H), 3.57-3.50 (m, 1H), 3.35-3.30 (m, 1H), 2.17 (s, 3H), 1.46-1.42 (t, J=7.2 Hz, 3H), 1.31-1.29 (d, J=8.0 Hz, 3H). (ES, m/z): (M+H)+ 520.
Example 98—Synthesis of (R)-1-((R)-6-((E)-2-(2-Chloro-6-fluorophenyl)prop-1-en-1-yl)-4-((3-(trifluoromethyl)phenyl)sulfonyl)-3,4-dihydro-2H-benzo[b][1,4]oxazin-2-yl)ethan-1-ol
Figure US09896441-20180220-C01226
Part I—Synthesis of (R)-1-((R)-6-((E)-2-(2-Chloro-6-fluorophenyl)prop-1-en-1-yl)-3,4-dihydro-2H-benzo[b][1,4]oxazin-2-yl)ethyl 4-nitrobenzoate
Figure US09896441-20180220-C01227
Diisopropyl azodicarboxylate (291 mg, 2.22 mmol) was added dropwise to a stirred solution of (S)-1-((R)-6-((E)-2-(2-chloro-6-fluorophenyl)prop-1-en-1-yl)-3,4-dihydro-2H-benzo[b][1,4]oxazin-2-yl)ethan-1-ol (500 mg, 1.44 mmol), 4-nitrobenzoic acid (241 mg, 1.44 mmol), and triphenylphosphine (378 mg, 1.44 mmol) in THF (20 mL) at 0° C. The mixture was stirred for three additional hours at room temperature and diluted with water. The mixture was extracted three times with ethyl acetate and the combined organic layers washed with water, dried (Na2SO4), and concentrated. The resulting residue was purified via MPLC eluting with 33% ethyl acetate in petroleum ether to afford (R)-1-((R)-6-((E)-2-(2-chloro-6-fluorophenyl)prop-1-en-1-yl)-3,4-dihydro-2H-benzo[b][1,4]oxazin-2-yl)ethyl 4-nitrobenzoate (600 mg, 84%) as an oil.
Part II—Synthesis of (R)-1-((R)-6-((E)-2-(2-Chloro-6-fluorophenyl)prop-1-en-1-yl)-4-((3-(trifluoromethyl)phenyl)sulfonyl)-3,4-dihydro-2H-benzo[b][1,4]oxazin-2-yl)ethyl 4-nitrobenzoate
Figure US09896441-20180220-C01228
A solution of (R)-1-((R)-6-((E)-2-(2-chloro-6-fluorophenyl)prop-1-en-1-yl)-3,4-dihydro-2H-benzo[b][1,4]oxazin-2-yl)ethyl 4-nitrobenzoate (150 mg, 0.30 mmol), pyridine (5 mL) and 3-(trifluoromethyl)benzene-1-sulfonyl chloride (111 mg, 0.45 mmol) was stirred overnight at room temperature. The mixture was diluted with ethyl acetate and washed three times with 1M hydrogen chloride, dried (Na2SO4), and concentrated to afford (R)-1-((R)-6-((E)-2-(2-chloro-6-fluorophenyl)prop-1-en-1-yl)-4-((3-(trifluoromethyl)phenyl)sulfonyl)-3,4-dihydro-2H-benzo[b][1,4]oxazin-2-yl)ethyl 4-nitrobenzoate (150 mg, 70%) as an oil.
Part III—Synthesis of (R)-1-((R)-6-((E)-2-(2-Chloro-6-fluorophenyl)prop-1-en-1-yl)-4-((3-(trifluoromethyl)phenyl)sulfonyl)-3,4-dihydro-2H-benzo[b][1,4]oxazin-2-yl)ethan-1-ol
Figure US09896441-20180220-C01229
A mixture of (R)-1-((R)-6-((E)-2-(2-chloro-6-fluorophenyl)prop-1-en-1-yl)-4-((3-(trifluoromethyl)phenyl)sulfonyl)-3,4-dihydro-2H-benzo[b][1,4]oxazin-2-yl)ethyl 4-nitrobenzoate (100 mg, 0.14 mmol), tetrahydrofuran (8 mL), water (2 mL), and sodium hydroxide (28 mg, 0.70 mmol) was stirred for two hours at room temperature. The mixture was diluted with water, and extracted twice with ethyl acetate. The combined organic layers were washed with brine, dried (Na2SO4), and concentrated. The resulting residue was purified by Prep-HPLC eluting with a gradient of 66-88% acetonitrile in water with 0.05% trifluoroacetic acid to afford (R)-1-((R)-6-((E)-2-(2-chloro-6-fluorophenyl)prop-1-en-1-yl)-4-((3-(trifluoromethyl)phenyl)sulfonyl)-3,4-dihydro-2H-benzo[b][1,4]oxazin-2-yl)ethan-1-ol (48.3 mg, 61%) as a white solid. 1H-NMR (300 MHz, CD3OD) δ 8.01-7.95 (m, 3H), 7.87-7.76 (m, 2H), 7.32-7.30 (m, 2H), 7.19-7.10 (m, 2H), 6.93-6.90 (d, J=11.2 Hz, 1H), 6.38 (s, 1H), 4.46-4.40 (dd, J=3.2, 19.2 Hz, 1H), 3.83-3.80 (m, 1H), 3.45-3.37 (m, 1H), 3.23-3.20 (m, 1H), 2.19 (s, 3H), 1.21-1.82 (d, J=8.4 Hz, 3H). (ES, m/z): (M+H)+ 556.
Example 99—Synthesis of (R)-1-((R)-4-((3-Chloro-1-ethyl-1H-pyrazol-4-yl)sulfonyl)-6-((E)-2-(2-chloro-6-fluorophenyl)prop-1-en-1-yl)-3,4-dihydro-2H-benzo[b][1,4]oxazin-2-yl)ethan-1-ol
Figure US09896441-20180220-C01230
Part I—Synthesis of (R)-1-((R)-4-((3-Chloro-1-ethyl-1H-pyrazol-4-yl)sulfonyl)-6-((E)-2-(2-chloro-6-fluorophenyl)prop-1-en-1-yl)-3,4-dihydro-2H-benzo[b][1,4]oxazin-2-yl)ethyl 4-nitrobenzoate
Figure US09896441-20180220-C01231
3-Chloro-1-ethyl-4,5-dihydro-1H-pyrazole-4-sulfonyl chloride (104 mg, 0.45 mmol) was added to a solution of (R)-1-((R)-6-((E)-2-(2-chloro-6-fluorophenyl)prop-1-en-1-yl)-3,4-dihydro-2H-benzo[b][1,4]oxazin-2-yl)ethyl 4-nitrobenzoate (150 mg, 0.30 mmol) in pyridine (5 mL). The mixture was stirred overnight at room temperature, diluted with ethyl acetate, and was washed three times with 1 M HCl, dried (Na2SO4), and concentrated to afford (R)-1-((R)-4-((3-chloro-1-ethyl-1H-pyrazol-4-yl)sulfonyl)-6-((E)-2-(2-chloro-6-fluorophenyl)prop-1-en-1-yl)-3,4-dihydro-2H-benzo[b][1,4]oxazin-2-yl)ethyl 4-nitrobenzoate (150 mg, 72%) as an oil.
Part II—Synthesis of (R)-1-((R)-4-((3-Chloro-1-ethyl-1H-pyrazol-4-yl)sulfonyl)-6-((E)-2-(2-chloro-6-fluorophenyl)prop-1-en-1-yl)-3,4-dihydro-2H-benzo[b][1,4]oxazin-2-yl)ethan-1-ol
Figure US09896441-20180220-C01232
A mixture of (R)-1-((R)-4-((3-chloro-1-ethyl-1H-pyrazol-4-yl)sulfonyl)-6-((E)-2-(2-chloro-6-fluorophenyl)prop-1-en-1-yl)-3,4-dihydro-2H-benzo[b][1,4]oxazin-2-yl)ethyl 4-nitrobenzoate (100 mg, 0.14 mmol) in tetrahydrofuran (8 mL), water (2 mL), and sodium hydroxide (29 mg, 0.73 mmol) was stirred for two hours at room temperature. The mixture was diluted with water and extracted twice with ethyl acetate. The combined organic layers were washed with brine, dried (Na2SO4) and concentrated. The resulting residue was purified by Prep-HPLC eluting with a gradient of 62-82% acetonitrile in water with 0.05% trifluorofluoroacetic acid to afford (R)-1-((R)-4-((3-chloro-1-ethyl-1H-pyrazol-4-yl)sulfonyl)-6-((E)-2-(2-chloro-6-fluorophenyl)prop-1-en-1-yl)-3,4-dihydro-2H-benzo[b][1,4]oxazin-2-yl)ethan-1-ol (46.5 mg, 59%) as a white solid. 1H-NMR (300 MHz, CD3OD) δ 8.19 (s, 1H), 7.78-7.77 (d, J=1.8 Hz, 1H), 7.34-7.28 (m, 2H), 7.25-7.09 (m, 2H), 7.00-6.95 (d, J=8.7 Hz, 1H), 6.35 (s, 1H), 4.85-4.74 (m, 1H), 4.40-4.11 (m, 2H), 3.95-3.87 (m, 1H), 3.67-3.61 (m, 1H), 3.55-3.37 (m, 1H), 2.17 (s, 3H), 1.44-1.39 (t, J=7.2 Hz, 3H), 1.30-1.28 (d, J=6.6 Hz, 3H). (ES, m/z): (M+H)+ 540.
Example 100—Synthesis of (R)-1-((R)-6-((E)-2-(2-Chloro-6-fluorophenyl)prop-1-en-1-yl)-4-((3-(trifluoromethyl)phenyl)sulfonyl)-3,4-dihydro-2H-benzo[b][1,4]oxazin-2-yl)ethan-1-amine
Figure US09896441-20180220-C01233
Part I—Synthesis of 2-((R)-1-((R)-6-((E)-2-(2-Chloro-6-fluorophenyl)prop-1-en-1-yl)-4-((3-(trifluoromethyl)phenyl)sulfonyl)-3,4-dihydro-2H-benzo[b][1,4]oxazin-2-yl)ethyl)isoindoline-1,3-dione
Figure US09896441-20180220-C01234
Diisopropyl azodicarboxylate (364 mg, 2.78 mmol) was added dropwise to a stirred solution of (S)-1-((R)-6-((E)-2-(2-chloro-6-fluorophenyl)prop-1-en-1-yl)-4-((3-(trifluoromethyl)phenyl)sulfonyl)-3,4-dihydro-2H-benzo[b][1,4]oxazin-2-yl)ethan-1-ol (500 mg, 0.90 mmol), 2,3-dihydro-1H-isoindole-1,3-dione (265 mg, 1.80 mmol), triphenylphosphine (472 mg, 1.80 mmol) and THF (20 mL) at 0° C. The mixture was stirred overnight at room temperature and then concentrated. The resulting residue was purified via MPLC eluting with a gradient of 5-50% ethyl acetate in petroleum ether to afford 2-((R)-1-((R)-6-((E)-2-(2-chloro-6-fluorophenyl)prop-1-en-1-yl)-4-((3-(trifluoromethyl)phenyl)sulfonyl)-3,4-dihydro-2H-benzo[b][1,4]oxazin-2-yl)ethyl)isoindoline-1,3-dione (430 mg, 70%) as a yellow oil.
Part II—Synthesis of (R)-1-((R)-6-((E)-2-(2-Chloro-6-fluorophenyl)prop-1-en-1-yl)-4-((3-(trifluoromethyl)phenyl)sulfonyl)-3,4-dihydro-2H-benzo[b][1,4]oxazin-2-yl)ethan-1-amine
Figure US09896441-20180220-C01235
A solution of 2-((R)-1-((R)-6-((E)-2-(2-chloro-6-fluorophenyl)prop-1-en-1-yl)-4-((3-(trifluoromethyl)phenyl)sulfonyl)-3,4-dihydro-2H-benzo[b][1,4]oxazin-2-yl)ethyl)isoindoline-1,3-dione (40 mg, 0.06 mmol), methanol (4 mL), and hydrazine hydrate (16 mg, 0.33 mmol) was stirred for one hour at 65° C. The mixture was diluted with water (10 mL) and extracted twice with ethyl acetate. The combined organic layers were dried (Na2SO4) and concentrated. The resulting residue was purified by Prep-HPLC eluting with a gradient of 35-68% acetonitrile in water with 0.05% trifluoroacetic acid to afford (R)-1-((R)-6-((E)-2-(2-chloro-6-fluorophenyl)prop-1-en-1-yl)-4-((3-(trifluoromethyl)phenyl)sulfonyl)-3,4-dihydro-2H-benzo[b][1,4]oxazin-2-yl)ethan-1-amine (10.7 mg, 33%) as a white solid. 1H-NMR (300 MHz, CD3OD) δ 8.09-8.02 (m, 3H), 7.87-7.83 (m, 2H), 7.36-7.29 (m, 2H), 7.19-7.12 (m, 2H), 7.02 (d, J=8.4 Hz, 1H), 6.39 (s, 1H), 4.53 (dd, J=8 Hz, 20.4 Hz, 1H), 3.49 (m, 1H), 2.16 (s, 3H), 1.36 (d, J=6.4 Hz, 3H). (ES, m/z): (M+H)+ 555.
Example 101—Synthesis of (R)-1-((R)-4-((3-Chloro-1-ethyl-1H-pyrazol-4-yl)sulfonyl)-6-((E)-2-(2-chloro-6-fluorophenyl)prop-1-en-1-yl)-3,4-dihydro-2H-benzo[b][1,4]oxazin-2-yl)ethan-1-amine
Figure US09896441-20180220-C01236
Part I—Synthesis of 2-((R)-1-((R)-4-((3-chloro-1-ethyl-1H-pyrazol-4-yl)sulfonyl)-6-((E)-2-(2-chloro-6-fluorophenyl)prop-1-en-1-yl)-3,4-dihydro-2H-benzo[b][1,4]oxazin-2-yl)ethyl)isoindoline-1,3-dione
Figure US09896441-20180220-C01237
A solution of 2-((R)-1-((R)-6-((E)-2-(2-chloro-6-fluorophenyl)prop-1-en-1-yl)-3,4-dihydro-2H-benzo[b][1,4]oxazin-2-yl)ethyl)isoindoline-1,3-dione (700 mg, 1.47 mmol), pyridine (20 mL), and 3-chloro-1-ethyl-1H-pyrazole-4-sulfonyl chloride (503 mg, 2.20 mmol) was stirred overnight at room temperature. The mixture was diluted in ethyl acetate and washed three times with 1 M HCl, once with saturated sodium bicarbonate, dried (Na2SO4), and concentrated to afford 2-((R)-1-((R)-4-((3-chloro-1-ethyl-1H-pyrazol-4-yl)sulfonyl)-6-((E)-2-(2-chloro-6-fluorophenyl)prop-1-en-1-yl)-3,4-dihydro-2H-benzo[b][1,4]oxazin-2-yl)ethyl)isoindoline-1,3-dione (700 mg, 71%) as a red oil.
Part II—Synthesis of (R)-1-((R)-6-((E)-2-(2-Chloro-6-fluorophenyl)prop-1-en-1-yl)-4-((3-(trifluoromethyl)phenyl)sulfonyl)-3,4-dihydro-2H-benzo[b][1,4]oxazin-2-yl)ethan-1-amine
Figure US09896441-20180220-C01238
A solution of 2-((R)-1-((R)-4-((3-chloro-1-ethyl-1H-pyrazol-4-yl)sulfonyl)-6-((E)-2-(2-chloro-6-fluorophenyl)prop-1-en-1-yl)-3,4-dihydro-2H-benzo[b][1,4]oxazin-2-yl)ethyl)isoindoline-1,3-dione (700 mg, 1.04 mmol), methanol (15 mL), and hydrazine hydrate (288 mg, 5.72 mmol) was stirred for five hours at 65° C. The mixture was diluted with water and extracted three times with ethyl acetate. The combined organic layers were dried (Na2SO4) and concentrated. The resulting residue was purified by MPLC eluting with 10% methanol in dichloromethane to afford (R)-1-((R)-6-((E)-2-(2-chloro-6-fluorophenyl)prop-1-en-1-yl)-4-((3-(trifluoromethyl)phenyl)sulfonyl)-3,4-dihydro-2H-benzo[b][1,4]oxazin-2-yl)ethan-1-amine (300 mg, 53%) as a colorless oil. 1H-NMR (300 MHz, CD3OD) δ 8.31 (s, 1H), 7.75-7.74 (d, J=1.6 Hz, 1H), 7.35-7.30 (m, 2H), 7.28-7.06 (m, 3H), 6.37 (s, 1H), 4.50-4.46 (dd, J=2.4 Hz, 14.4 Hz, 1H), 4.20-4.15 (m, 2H), 4.01-3.97 (m, 1H), 3.58-3.52 (m, 2H), 2.15 (s, 3H), 1.47-1.43 (m, 6H). (ES, m/z): (M+H)+ 539.
Example 102—Synthesis of N—((R)-1-((R)-4-((3-Chloro-1-ethyl-1H-pyrazol-4-yl)sulfonyl)-6-((E)-2-(2-chloro-6-fluorophenyl)prop-1-en-1-yl)-3,4-dihydro-2H-benzo[b][1,4]oxazin-2-yl)ethyl)acetamide
Figure US09896441-20180220-C01239
A solution of (R)-1-((R)-6-((E)-2-(2-chloro-6-fluorophenyl)prop-1-en-1-yl)-4-((3-(trifluoromethyl)phenyl)sulfonyl)-3,4-dihydro-2H-benzo[b][1,4]oxazin-2-yl)ethan-1-amine (70 mg, 0.13 mmol), dichloromethane (4 mL), triethylamine (36 mg, 0.36 mmol), and acetyl chloride (15 mg, 0.19 mmol) was stirred for twenty minutes at room temperature. The mixture was diluted with water and extracted twice with dichloromethane. The combined organic layers were dried (Na2SO4) and concentrated. The resulting residue was purified by Prep-HPLC eluting with a gradient of 60-80% acetonitrile in water with 0.05% trifluoroacetic acid to afford N—((R)-1-((R)-4-((3-chloro-1-ethyl-1H-pyrazol-4-yl)sulfonyl)-6-((E)-2-(2-chloro-6-fluorophenyl)prop-1-en-1-yl)-3,4-dihydro-2H-benzo[b][1,4]oxazin-2-yl)ethyl)acetamide (63.6 mg, 84%) as a white solid. 1H-NMR (300 MHz, CD3OD) δ 8.19 (s, 1H), 7.79-7.78 (d, J=2.0 Hz, 1H), 7.30-7.25 (m, 2H), 7.13-7.09 (m, 2H), 6.96-6.94 (d, J=8.4 Hz, 1H), 6.34 (s, 1H), 4.39-4.35 (dd, J=2.4 Hz, 14.8 Hz, 1H), 4.28-4.16 (m, 1H), 4.14-4.11 (m, 2H), 3.78-3.74 (m, 1H), 3.31-3.19 (m, 1H), 2.16 (s, 3H), 1.98 (s, 3H), 1.43-1.39 (t, J=14.4 Hz, 3H), 1.27-1.25 (d, J=6.8 Hz, 3H). (ES, m/z): (M+H)+ 581.
Example 103—Synthesis of N—((R)-1-((R)-6-((E)-2-(2-Chloro-6-fluorophenyl)prop-1-en-1-yl)-4-((3-(trifluoromethyl)phenyl)sulfonyl)-3,4-dihydro-2H-benzo[b][1,4]oxazin-2-yl)ethyl)acetamide
Figure US09896441-20180220-C01240
Based on the procedure in Example 102, N—((R)-1-((R)-6-((E)-2-(2-chloro-6-fluorophenyl)prop-1-en-1-yl)-4-((3-(trifluoromethyl)phenyl)sulfonyl)-3,4-dihydro-2H-benzo[b][1,4]oxazin-2-yl)ethyl)acetamide was prepared. 1H-NMR (300 MHz, CD3OD) δ 8.7.86-8.04 (m, 3H), 7.88 (s, 1H), 7.82 (t, 1H), 7.32 (t, 2H), 7.11-7.17 (m, 2H), 6.92 (d, 1H), 6.39 (s, 1H), 4.45 (dd, 1H), 4.17 (m, 1H), 3.36 (m, 1H), 3.24 (dd, 1H), 2.19 (s, 3H), 1.96 (s, 3H), 1.18 (d, 3H). (ES, m/z): (M+H)+ 597.
Example 104—Synthesis of N—((R)-1-((R)-4-((3-Chloro-1-ethyl-1H-pyrazol-4-yl)sulfonyl)-6-((E)-2-(2-chloro-6-fluorophenyl)prop-1-en-1-yl)-3,4-dihydro-2H-benzo[b][1,4]oxazin-2-yl)ethyl)methanesulfonamide
Figure US09896441-20180220-C01241
A solution of (R)-1-((R)-6-((E)-2-(2-chloro-6-fluorophenyl)prop-1-en-1-yl)-4-((3-(trifluoromethyl)phenyl)sulfonyl)-3,4-dihydro-2H-benzo[b][1,4]oxazin-2-yl)ethan-1-amine (70 mg, 0.13 mmol), dichloromethane (4 mL), triethylamine (36 mg, 0.36 mmol) and methanesulfonyl chloride (22 mg, 0.19 mmol) was stirred for twenty minutes at room temperature. The mixture was diluted with water and extracted twice with dichloromethane. The combined organic layers were dried (Na2SO4) and concentrated. The resulting residue was purified by Prep-HPLC eluting with a gradient of 62-82% acetonitrile with 0.05% trifluoroacetic acid to afford N—((R)-1-((R)-4-((3-chloro-1-ethyl-1H-pyrazol-4-yl)sulfonyl)-6-((E)-2-(2-chloro-6-fluorophenyl)prop-1-en-1-yl)-3,4-dihydro-2H-benzo[b][1,4]oxazin-2-yl)ethyl)methanesulfonamide (57.8 mg, 72%) as a white solid. 1H-NMR (300 MHz, CD3OD) δ 8.19 (s, 1H), 7.82-7.81 (d, J=2.0 Hz, 1H), 7.32-7.25 (m, 2H), 7.14-7.09 (m, 2H), 6.96-6.93 (d, J=8.8 Hz, 1H), 6.35 (s, 1H), 4.42-4.38 (dd, J=2.0 Hz, 16.4 Hz, 1H), 4.17-4.11 (m, 2H), 3.76-3.69 (m, 2H), 3.40-3.33 (m, 1H), 3.31-3.19 (m, 1H), 3.00 (s, 3H), 2.17 (s, 3H), 1.43-1.39 (t, J=14.4 Hz, 3H), 1.27-1.25 (d, J=6.8 Hz, 3H). (ES, m/z): (M+H)+ 617.
Example 105—Synthesis of N—((R)-1-((R)-6-((E)-2-(2-Chloro-6-fluorophenyl)prop-1-en-1-yl)-4-((3-(trifluoromethyl)phenyl)sulfonyl)-3,4-dihydro-2H-benzo[b][1,4]oxazin-2-yl)ethyl)methanesulfonamide
Figure US09896441-20180220-C01242
Based on the procedure in Example 104, N—((R)-1-((R)-6-((E)-2-(2-chloro-6-fluorophenyl)prop-1-en-1-yl)-4-((3-(trifluoromethyl)phenyl)sulfonyl)-3,4-dihydro-2H-benzo[b][1,4]oxazin-2-yl)ethyl)methanesulfonamide was prepared. 1H-NMR (300 MHz, CD3OD) δ 7.98-8.03 (m, 2H), 7.93 (s, 1H), 7.88 (s, 1H), 7.81 (t, 1H), 7.32 (m, 2H), 7.12-7.17 (m, 2H), 6.92 (d, 1H), 6.40 (s, 1H), 4.48 (m, 1H), 3.67 (m, 1H), 3.38-3.44 (m, 2H), 2.99 (s, 3H), 2.19 (s, 3H), 1.26 (d, 3H). (ES, m/z): (M+H)+ 633.
Example 106—Synthesis of (S,E)-2-(6-(2-(2-Chloro-6-fluorophenyl)prop-1-en-1-yl)-4-((3-(trifluoromethyl)phenyl)sulfonyl)-3,4-dihydro-2H-benzo[b][1,4]oxazin-2-yl)ethan-1-ol
Figure US09896441-20180220-C01243
Part I—Synthesis of (R)-3-(4-Bromo-2-nitrophenoxy)dihydrofuran-2(3H)-one
Figure US09896441-20180220-C01244
4-Bromo-2-nitrophenol (3 g, 13.76 mmol), (3R)-3-hydroxytetrahydrofuran-2-one (1.405 g, 13.76 mmol), and triphenylphosphine (4.33 g, 16.51 mmol) were suspended in dichloromethane (36 mL), and diisopropylazodicarboxylate (3.25 mL, 16.5 mmol) was added dropwise. The reaction mixture was stirred at room temperature for one hour, washed with water, dried (Na2SO4), and concentrated onto silica gel. The resulting residue on the silica gel was purified by MPLC (2 columns: first, dichloromethane; second, a gradient of EtOAc/hexanes) affording (R)-3-(4-bromo-2-nitrophenoxy)dihydrofuran-2(3H)-one as a white solid (1.93 g, 46%). 1H-NMR (400 MHz, DMSO-d6) δ 8.12 (s, 1H), 7.86 (d, 1H), 7.47 (d, 1H), 5.55 (t, 1H), 4.42 (m, 1H), 4.26 (m, 1H), 2.75 (m, 1H), 2.30 (m, 1H).
Part II—Synthesis of (S)-6-Bromo-2-(2-hydroxyethyl)-2H-benzo[b][1,4]oxazin-3(4H)-one
Figure US09896441-20180220-C01245
(R)-3-(4-Bromo-2-nitrophenoxy)dihydrofuran-2(3H)-one (1.93 g, 6.39 mmol) was dissolved in acetic acid and powdered iron (1.784 g, 31.95 mmol) was added. The resulting mixture was heated to 70° C. for two hours. The resulting suspension was filtered through a pad of Celite, and the pad was washed with ethyl acetate. The combined filtrates were partitioned between ethyl acetate and water, and the organic phase was washed a second time with water, washed with brine, and concentrated to provide a residue. The residue was purified via MPLC eluting with a gradient of 15-70% ethyl acetate in hexanes to afford (S)-6-bromo-2-(2-hydroxyethyl)-2H-benzo[b][1,4]oxazin-3(4H)-one as a white solid (1.32 g, 76%). 1H-NMR (400 MHz, DMSO-d6) δ 10.73 (bs, 1H), 7.04 (d, 1H), 6.98 (s, 1H), 6.90 (d, 1H), 4.62 (m, 2H), 3.53 (m, 2H), 1.91 (m, 1H), 1.88 (m, 1H).
Part III—Synthesis of (S)-2-(6-Bromo-3,4-dihydro-2H-benzo[b][1,4]oxazin-2-yl)ethan-1-ol
Figure US09896441-20180220-C01246
(S)-6-Bromo-2-(2-hydroxyethyl)-2H-benzo[b][1,4]oxazin-3(4H)-one (1.32 g, 4.85 mmol) was dissolved in anhydrous THF (49 mL) under nitrogen at ambient temperature and borane-dimethylsulfide complex (1.47 g, 19.41 mmol) was added dropwise. The reaction mixture was heated to reflux for 90 minutes. Then, the reaction mixture was cooled in an ice bath and subsequently methanol was added to the reaction mixture to quench the reaction. The resulting solution was heated to reflux for 20 minutes, and then concentrated to provide a residue. The residue was partitioned between ethyl acetate and water, washed with brine, dried (Na2SO4), and concentrated to provide crude product. The crude product was purified by MPLC eluting with a gradient of 15-70% ethyl acetate in hexanes to afford (S)-2-(6-bromo-3,4-dihydro-2H-benzo[b][1,4]oxazin-2-yl)ethan-1-ol (1.05 g, 84%).
Part IV—Synthesis of (S)-6-Bromo-2-(2-((tert-butyldimethylsilyl)oxy)ethyl)-3,4-dihydro-2H-benzo[b][1,4]oxazine
Figure US09896441-20180220-C01247
(S)-2-(6-Bromo-3,4-dihydro-2H-benzo[b][1,4]oxazin-2-yl)ethan-1-ol (0.28 g, 1.085 mmol), tert-butyldimethylchlorosilane (0.196 g, 1.302 mmol), and imidazole (0.148 g, 2.17 mmol) were dissolved in DMF (4 mL), and the reaction mixture was stirred at room temperature overnight. Next, the reaction mixture was partitioned between water and ethyl acetate, and the organic layer was washed twice more with water, washed with brine, dried (Na2SO4), and concentrated onto silica gel. The residue on the silica gel was purified by MPLC eluting with a gradient of 5-30% ethyl acetate in hexanes to afford (S)-6-bromo-2-(2-((tert-butyldimethylsilyl)oxy)ethyl)-3,4-dihydro-2H-benzo[b][1,4]oxazine (0.19 g, 47%). 1H-NMR (400 MHz, DMSO-d6) δ 6.66 (s, 1H), 6.52 (s, 2H), 6.06 (bs, 1H), 4.02 (q, 1H), 3.72 (m, 2H), 3.33 (m, 1H), 2.94 (m, 1H), 1.70 (q, 2H), 0.82 (s, 9H), 0.01 (s, 6H).
Part V—Synthesis of (S)-6-Bromo-2-(2-((tert-butyldimethylsilyl)oxy)ethyl)-4-((3-(trifluoromethyl)phenyl)sulfonyl)-3,4-dihydro-2H-benzo[b][1,4]oxazine
Figure US09896441-20180220-C01248
To a solution of (S)-2-(6-bromo-4-((3-(trifluoromethyl)phenyl)sulfonyl)-3,4-dihydro-2H-benzo[b][1,4]oxazin-2-yl)ethan-1-ol (1.60 g, 4.30 mmol) in pyridine (15 mL) was added 3-(trifluoromethyl)benzenesulfonyl chloride (1.26 g, 5.15 mmol). The mixture was stirred at 50° C. for two hours, cooled, and partitioned between ethyl acetate and 1 M HCl. The organic layer was washed three times with 1 M HCl, brine, and dried (Na2SO4). Charcoal was added to the mixture, slurried, and filtered through Celite. The filtrate was concentrated and the resulting residue was purified by MPLC eluting with a gradient of ethyl acetate in hexanes to afford (S)-6-bromo-2-(2-((tert-butyldimethylsilyl)oxy)ethyl)-4-((3-(trifluoromethyl)phenyl)sulfonyl)-3,4-dihydro-2H-benzo[b][1,4]oxazine (2.40 g, 100%).
Part VI—Synthesis of (S,E)-2-(2-((tert-Butyldimethylsilyl)oxy)ethyl)-6-(2-(2-chloro-6-fluorophenyl)prop-1-en-1-yl)-4-((3-(trifluoromethyl)phenyl)sulfonyl)-3,4-dihydro-2H-benzo[b][1,4]oxazine
Figure US09896441-20180220-C01249
To degassed mixture of (S)-6-bromo-2-(2-((tert-butyldimethylsilyl)oxy)ethyl)-4-((3-(trifluoromethyl)phenyl)sulfonyl)-3,4-dihydro-2H-benzo[b][1,4]oxazine (1.78 g, 6.03 mmol) potassium carbonate (833 mg, 6.03 mmol), (E)-2-(2-(2-chloro-6-fluorophenyl)prop-1-en-1-yl)-4,4,5,5-tetramethyl-1,3,2-dioxaborolane (1.788 g, 6.03 mmol), dioxane (25 mL) and water (5 mL) was added [1,1′-bis(diphenylphosphino)ferrocene]dichloropalladium(II) dichloromethane complex (0.328 g, 0.431 mmol). The mixture was heated to 70° C. for five hours. The mixture was cooled and partitioned between ethyl acetate and saturated ammonium chloride. The organic layer was washed with brine, dried (Na2SO4), and concentrated. The resulting residue was purified by MPLC eluting with a gradient of 0-50% ethyl acetate in hexanes to afford (S,E)-2-(2-((tert-butyldimethylsilyl)oxy)ethyl)-6-(2-(2-chloro-6-fluorophenyl)prop-1-en-1-yl)-4-((3-(trifluoromethyl)phenyl)sulfonyl)-3,4-dihydro-2H-benzo[b][1,4]oxazine (2.40 g, 83%)
Part VII—Synthesis of (S,E)-2-(6-(2-(2-Chloro-6-fluorophenyl)prop-1-en-1-yl)-4-((3-(trifluoromethyl)phenyl)sulfonyl)-3,4-dihydro-2H-benzo[b][1,4]oxazin-2-yl)ethanol
Figure US09896441-20180220-C01250
To a solution of (S,E)-2-(2-((tert-butyldimethylsilyl)oxy)ethyl)-6-(2-(2-chloro-6-fluorophenyl)prop-1-en-1-yl)-4-((3-(trifluoromethyl)phenyl)sulfonyl)-3,4-dihydro-2H-benzo[b][1,4]oxazine (2.40 g, 3.58 mmol) in THF (24 mL) was added a 1 M solution of tetrabutylammonium fluoride (1.40 g, 5.37 mmol) in THF (5.37 mL). The mixture was stirred for one hour, and concentrated onto a small amount of silica. The residue was purified by MPLC eluting with a gradient of 0-100% ethyl acetate in hexanes to afford (S,E)-2-(6-(2-(2-chloro-6-fluorophenyl)prop-1-en-1-yl)-4-((3-(trifluoromethyl)phenyl)sulfonyl)-3,4-dihydro-2H-benzo[b][1,4]oxazin-2-yl)ethanol (1.55 g, 78%). 1H-NMR (400 MHz, DMSO-d6) δ 8.17 (d, 1H), 8.05 (m, 2H), 7.92 (t, 1H), 7.77 (s, 1H), 7.43 (m, 2H), 7.33 (m, 1H), 7.17 (d, 1H), 6.93 (d, 1H), 6.44 (s, 1H), 4.66 (t, 1H), 4.51 (m, 1H), 3.6-3.3 (m, 4H), 2.15 (s, 3H), 1.75 (m, 2H). MS (ESI+) (M+Na)+ 578.17.
Example 107—Synthesis of (S,E)-2-(6-(2-(2-Chloro-6-fluorophenyl)prop-1-en-1-yl)-4-((3-(trifluoromethyl)phenyl)sulfonyl)-3,4-dihydro-2H-benzo[b][1,4]oxazin-2-yl)acetic acid
Figure US09896441-20180220-C01251
To a solution of (S,E)-2-(6-(2-(2-chloro-6-fluorophenyl)prop-1-en-1-yl)-4-((3-(trifluoromethyl)phenyl)sulfonyl)-3,4-dihydro-2H-benzo[b][1,4]oxazin-2-yl)ethanol (0.22 g, 0.40 mmol) in acetone (4 mL) was added Jones' reagent dropwise until a red color persisted. The reaction mixture was stirred at room temperature an additional thirty minutes, then isopropanol (1 mL) was added. After stirring for ten more minutes the reaction mixture was concentrated. The resulting residue was purified first by MPLC eluting with a gradient of 0-10% methanol in dichloromethane. The fractions containing the major UV-active component were concentrated and the residue further purified by Prep-HPLC eluting with a gradient of 5-95% acetonitrile in water with 0.1% trifluoroacetic acid to afford (S,E)-2-(6-(2-(2-chloro-6-fluorophenyl)prop-1-en-1-yl)-4-((3-(trifluoromethyl)phenyl)sulfonyl)-3,4-dihydro-2H-benzo[b][1,4]oxazin-2-yl)acetic acid (26 mg, 11%) as a white solid. 1H-NMR (400 MHz, DMSO-d6) δ 12.6 (br s, 1H), 8.12 (m, 1H), 7.98 (m, 2H), 7.85 (t, 1H), 7.76 (s, 1H), 7.39 (m, 2H), 7.28 (m, 1H), 7.14 (d, 1H), 6.85 (d, 1H), 6.40 (s, 1H), 4.52 (m, 1H), 3.75 (m, 1H), 3.4 (m, 1H), 2.65 (m, 1H), 2.55 (m, 1H), 2.12 (s, 3H). MS (ESI+) (M+Na)+ 592.23.
Example 108—Synthesis of (S,E)-N-((6-(2-(2-Chloro-6-fluorophenyl)prop-1-en-1-yl)-8-fluoro-4-((4-fluoro-3-methoxyphenyl)sulfonyl)-3,4-dihydro-2H-benzo[b][1,4]oxazin-2-yl)methyl)acetamide
Figure US09896441-20180220-C01252
Part I—Synthesis of (R)-(6-Bromo-8-fluoro-3,4-dihydro-2H-benzo[b][1,4]-oxazin-2-yl)methanol
Figure US09896441-20180220-C01253
A mixture of 2-amino-4-bromo-6-fluorophenol (5.0 g, 24.3 mmol) and 2-(S)-2-(chloromethyl)oxirane (4.49 g, 48.5 mmol) in ethanol (50 mL) and water (0.5 mL) was stirred at 60° C. overnight. The reaction mixture was concentrated, then ethanol (50 mL) and potassium carbonate (10.1 g, 72.8 mmol) were added. The reaction mixture was refluxed for three hours, cooled, and filtered through Celite. The filtrate was concentrated and the resulting residue was partitioned between ethyl acetate and water. The organic layer was washed with brine, dried (Na2SO4), and concentrated. The resulting residue was purified by MPLC eluting with a gradient of 0-5% methanol in dichloromethane to afford (R)-(6-bromo-8-fluoro-3,4-dihydro-2H-benzo[b][1,4]-oxazin-2-yl)methanol (2.23 g, 35%).
Part II—Synthesis (R)-2-((6-Bromo-8-fluoro-3,4-dihydro-2H-benzo[b][1,4]oxazin-2-yl)methyl)isoindoline-1,3-dione
Figure US09896441-20180220-C01254
Diisopropyl azodicarboxylate (2.06 g, 10.2 mmol) was added dropwise to a solution of triphenyl phosphine (2.45 g, 9.36 mmol), phthalamide (1.38 g, 9.36 mmol), and (R)-(6-bromo-8-fluoro-3,4-dihydro-2H-benzo[b][1,4]-oxazin-2-yl)methanol (2.23 g, 8.51 mmol) in THF (30 mL) at 0° C., then warmed to room temperature and stirred overnight. The reaction mixture was concentrated and purified by MPLC eluting with a gradient of 20-100% ethyl acetate in hexanes. The fractions containing the major UV-active component were concentrated and re-purified by MPLC eluting with a gradient of 0-10% methanol in dichloromethane to afford (R)-2-((6-bromo-8-fluoro-3,4-dihydro-2H-benzo[b][1,4]oxazin-2-yl)methyl)isoindoline-1,3-dione (2.95 g) as a yellow solid.
Part III—Synthesis (S)-2-((6-Bromo-8-fluoro-4-((4-fluoro-3-methoxyphenyl)sulfonyl)-3,4-dihydro-2H-benzo[b][1,4]oxazin-2-yl)methyl)isoindoline-1,3-dione
Figure US09896441-20180220-C01255
4-Fluoro-3-methoxybenzenesulfonyl chloride (287 mg, 1.28 mmol) was added to a solution of (R)-2-((6-bromo-8-fluoro-3,4-dihydro-2H-benzo[b][1,4]oxazin-2-yl)methyl)isoindoline-1,3-dione (500 mg, 1.28 mmol) in pyridine (8 mL), then heated at 50° C. overnight. The reaction mixture was cooled and partitioned between ethyl acetate and 1 M HCl. The organic layer was washed with 1 M HCl, brine, dried (Na2SO4), and concentrated. The resulting residue was purified by MPLC eluting with a gradient of 10-100% ethyl acetate in hexanes to afford (S)-2-((6-bromo-8-fluoro-4-((4-fluoro-3-methoxyphenyl)sulfonyl)-3,4-dihydro-2H-benzo[b][1,4]oxazin-2-yl)methyl)isoindoline-1,3-dione (290 mg, 39%) as a white solid.
Part IV—Synthesis (S)-(6-Bromo-8-fluoro-4-((4-fluoro-3-methoxyphenyl)sulfonyl)-3,4-dihydro-2H-benzo[b][1,4]oxazin-2-yl)methanamine
Figure US09896441-20180220-C01256
A mixture of (S)-2-((6-bromo-8-fluoro-4-((4-fluoro-3-methoxyphenyl)sulfonyl)-3,4-dihydro-2H-benzo[b][1,4]oxazin-2-yl)methyl)isoindoline-1,3-dione (290 mg, 0.50 mmol) and hydrazine hydrate (125 mg, 2.50 mmol) in ethanol (5 mL) was heated to 60° C. overnight. The reaction mixture was cooled, filtered, and the filtrate concentrated. The residue was partitioned between ethyl acetate and brine. The organic layer was dried (Na2SO4) and concentrated to afford (S)-(6-bromo-8-fluoro-4-((4-fluoro-3-methoxyphenyl)sulfonyl)-3,4-dihydro-2H-benzo[b][1,4]oxazin-2-yl)methanamine (180 mg, 80%).
Part V—Synthesis (S)—N-((6-Bromo-8-fluoro-4-((4-fluoro-3-methoxyphenyl)sulfonyl)-3,4-dihydro-2H-benzo[b][1,4]oxazin-2-yl)methyl)acetamide
Figure US09896441-20180220-C01257
Acetic anhydride (40 mg, 0.4 mmol) was added to a solution of (S)-(6-bromo-8-fluoro-4-((4-fluoro-3-methoxyphenyl)sulfonyl)-3,4-dihydro-2H-benzo[b][1,4]oxazin-2-yl)methanamine (180 mg, 0.40 mmol) in THF (3 mL). The mixture was stirred one hour at room temperature and concentrated. The resulting residue was purified by MPLC eluting with a gradient of 10-100% ethyl acetate in hexanes to afford (S)—N-((6-bromo-8-fluoro-4-((4-fluoro-3-methoxyphenyl)sulfonyl)-3,4-dihydro-2H-benzo[b][1,4]oxazin-2-yl)methyl)acetamide (95 mg, 48%).
Part VI—Synthesis (S,E)-N-((6-(2-(2-Chloro-6-fluorophenyl)prop-1-en-1-yl)-8-fluoro-4-((4-fluoro-3-methoxyphenyl)sulfonyl)-3,4-dihydro-2H-benzo[b][1,4]oxazin-2-yl)methyl)acetamide
Figure US09896441-20180220-C01258
A mixture of (S)—N-((6-bromo-8-fluoro-4-((4-fluoro-3-methoxyphenyl)sulfonyl)-3,4-dihydro-2H-benzo[b][1,4]oxazin-2-yl)methyl)acetamide (90 mg, 0.18 mmol), potassium carbonate (40 mg, 0.27 mmol), [1,1′-bis(diphenylphosphino)ferrocene]dichloropalladium(II) dichloromethane complex (10 mg, 0.02 mmol), (E)-2-(2-(2-chloro-6-fluorophenyl)prop-1-en-1-yl)-4,4,5,5-tetramethyl-1,3,2-dioxaborolane (70 mg, 0.22 mmol) in dioxane (2 mL), and water (0.5 mL) was heated to 80° C. for four hours. The reaction mixture was cooled and partitioned between water and ethyl acetate. The organic layer was washed with brine, dried (Na2SO4), and concentrated. The resulting residue was purified by MPLC eluting with a gradient of ethyl acetate in hexanes to afford (S,E)-N-((6-(2-(2-chloro-6-fluorophenyl)prop-1-en-1-yl)-8-fluoro-4-((4-fluoro-3-methoxyphenyl)sulfonyl)-3,4-dihydro-2H-benzo[b][1,4]oxazin-2-yl)methyl)acetamide (25 mg, 23%) as a white solid. 1H-NMR (400 MHz, DMSO-d6) δ 8.10 (t, 1H), 7.60 (s, 1H), 7.44 (m, 1H), 7.37 (m, 3H), 7.24 (m, 2H), 7.14 (dd, 1H), 6.37 (s, 1H), 4.37 (m, 1H), 3.82 (s, 3H), 3.45-3.3 (m, 3H), 3.18 (m, 1H), 2.12 (s, 3H), 1.82 (s, 3H). MS (ESI+) (M+Na)+ 603.15.
Example 109—Preparation of Additional Substituted Dihydro-2H-benzo[b][1,4]oxazin-2-yl)methyl)acetamides
Compounds in Table 13 were prepared based on experimental procedures described in Examples 87, 108, and 132, and the detailed description.
TABLE 13
Observed
No. Structure Name m/z
109A
Figure US09896441-20180220-C01259
(S,E)-N-((4-((3-chloro-1-ethyl- 1H-pyrazol-4-yl)sulfonyl)-6- (2-(2-chloro-6- fluorophenyl)prop-1-en-1-yl)- 8-fluoro-3,4-dihydro-2H- benzo[b][1,4]oxazin-2- yl)methyl)acetamide 585 (M + H)+
109B
Figure US09896441-20180220-C01260
(S,E)-N-((6-(2-(2-chloro-6- fluorophenyl)prop-1-en-1-yl)- 4-((4-fluoro-3- methoxyphenyl)-sulfonyl)-3,4- dihydro-2H- benzo[b][1,4]oxazin-2- yl)methyl)acetamide 563 (M + H)+
109C
Figure US09896441-20180220-C01261
(S,E)-N-((6-(2-(2-chloro-6- fluorophenyl)prop-1-en-1-yl)- 4-((3-(trifluoromethyl)phenyl)- sulfonyl)-3,4-dihydro-2H- benzo[b][1,4]oxazin-2- yl)methyl)acetamide 583 (M + H)+
109D
Figure US09896441-20180220-C01262
(S,E)-N-((4-((3-chloro-1-ethyl- 1H-pyrazol-4-yl)sulfonyl)-6- (2-chloro-6-fluorostyryl)-3,4- dihydro-2H- benzo[b][1,4]oxazin-2- yl)methyl)acetamide 553 (M + H)+
109E
Figure US09896441-20180220-C01263
(S,E)-N-((4-((3-chloro-1-ethyl- 1H-pyrazol-4-yl)sulfonyl)-6- (2-(3-chloropyridin-2- yl)vinyl)-3,4-dihydro-2H- benzo[b][1,4]-oxazin-2- yl)methyl)acetamide 536 (M + H)+
109F
Figure US09896441-20180220-C01264
(S,E)-4-(((6-(2-chloro-6- fluorostyryl)-4-((2-ethoxy-5- (trifluoro-methyl)pyridin-3- yl)sulfonyl)-3,4-dihydro-2H- benzo[b][1,4]oxazin-2- yl)methyl)amino)-4- oxobutanoic acid 672 (M + H)+
Example 110—Synthesis of tert-Butyl (S,E)-(2-(6-(2-(2-chloro-6-fluorophenyl)prop-1-en-1-yl)-4-((3-(trifluoromethyl)phenyl)sulfonyl)-3,4-dihydro-2H-benzo[b][1,4]oxazin-2-yl)ethyl)carbamate
Figure US09896441-20180220-C01265
Part I—Synthesis of tert-Butyl (S)-(2-(6-bromo-4-((3-(trifluoromethyl)phenyl)sulfonyl)-3,4-dihydro-2H-benzo[b][1,4]oxazin-2-yl)ethyl)carbamate
Figure US09896441-20180220-C01266
Diphenylphosphoryl azide (1.23 g, 4.47 mmol) was added to a mixture of (S)-3-(6-bromo-4-((3-(trifluoromethyl)phenyl)sulfonyl)-3,4-dihydro-2H-benzo[b][1,4]oxazin-2-yl)propanoic acid (1.84 g, 3.72 mmol), dioxane (24 mL), tert-butyl alcohol (1.38 g, 18.6 mmol) and triethylamine (0.83 g, 8.19 mmol) at room temperature. The mixture was heated to 100° C. for three hours, then cooled, filtered, and partitioned between ethyl acetate and 1 M HCl. The organic layer was dried (Na2SO4) and concentrated. The resulting residue was purified by MPLC eluting with a gradient of 0-50% ethyl acetate in hexanes to afford tert-butyl (S)-(2-(6-bromo-4-((3-(trifluoromethyl)phenyl)sulfonyl)-3,4-dihydro-2H-benzo[b][1,4]oxazin-2-yl)ethyl)carbamate (0.40 g, 19%) as a white solid.
Part II—Synthesis of tert-Butyl (S,E)-(2-(6-(2-(2-chloro-6-fluorophenyl)prop-1-en-1-yl)-4-((3-(trifluoromethyl)phenyl)sulfonyl)-3,4-dihydro-2H-benzo[b][1,4]oxazin-2-yl)ethyl)carbamate
Figure US09896441-20180220-C01267
A mixture of tert-butyl (S)-(2-(6-bromo-4-((3-(trifluoromethyl)phenyl)sulfonyl)-3,4-dihydro-2H-benzo[b][1,4]oxazin-2-yl)ethyl)carbamate (400 mg, 0.71 mmol), potassium carbonate (160 mg, 1.13 mmol), [1,1′-bis(diphenylphosphino)ferrocene]dichloropalladium(II) dichloromethane complex (50 mg, 0.07 mmol), (E)-2-(2-(2-chloro-6-fluorophenyl)prop-1-en-1-yl)-4,4,5,5-tetramethyl-1,3,2-dioxaborolane (340 mg, 1.13 mmol) in dioxane (15 mL) and water (3 mL) was heated to 70° C. overnight. The reaction mixture was cooled and partitioned between saturated ammonium chloride and ethyl acetate. The organic layer was washed with brine, dried (Na2SO4), and concentrated. The resulting residue was purified by MPLC eluting with a gradient of 0-60% ethyl acetate in hexanes to afford tert-butyl (S,E)-(2-(6-(2-(2-chloro-6-fluorophenyl)prop-1-en-1-yl)-4-((3-(trifluoromethyl)phenyl)sulfonyl)-3,4-dihydro-2H-benzo[b][1,4]oxazin-2-yl)ethyl)carbamate (290 mg, 61%) as a white solid. 1H-NMR (400 MHz, DMSO-d6) δ 8.10 (m, 2H), 8.02 (s, 1H), 7.86 (t, 1H), 7.65 (s, 1H), 7.37 (m, 2H), 7.26 (m, 1H), 7.10 (d, 1H), 6.85 (m, 2H), 6.36 (s, 1H), 4.35 (d, 1H), 3.61 (m, 1H), 3.42 (m, 1H), 3.0 (m, 2H), 2.06 (s, 3H), 1.72 (m, 2H), 1.34 (s, 9H). MS (ESI+) (M+Na)+ 677.32.
Example 111—Synthesis of (S,E)-2-(6-(2-(2-Chloro-6-fluorophenyl)prop-1-en-1-yl)-4-((3-(trifluoromethyl)phenyl)sulfonyl)-3,4-dihydro-2H-benzo[b][1,4]oxazin-2-yl)ethan-1-amine
Figure US09896441-20180220-C01268
A mixture of tert-butyl (S,E)-(2-(6-(2-(2-chloro-6-fluorophenyl)prop-1-en-1-yl)-4-((3-(trifluoromethyl)phenyl)sulfonyl)-3,4-dihydro-2H-benzo[b][1,4]oxazin-2-yl)ethyl)carbamate (270 mg, 0.41 mmol) in 4 M HCl in dioxane (4 mL) was stirred at room temperature for one hour, then concentrated to afford (S,E)-2-(6-(2-(2-chloro-6-fluorophenyl)prop-1-en-1-yl)-4-((3-(trifluoromethyl)phenyl)sulfonyl)-3,4-dihydro-2H-benzo[b][1,4]oxazin-2-yl)ethan-1-amine as the hydrochloride salt (240 mg) as white solid. 1H-NMR (400 MHz, DMSO-d6) δ 8.12 (m, 3H), 7.88 (t, 1H), 7.79 (br s, 2H), 7.59 (s, 1H), 7.37 (m, 2H), 7.27 (m, 1H), 7.10 (d, 1H), 6.88 (m, 1H), 6.36 (s, 1H), 4.40 (dd, 1H), 3.88 (m, 1H), 3.55 (m, 1H), 2.94 (m, 2H), 2.04 (s, 3H), 1.98 (m, 1H), 1.84 (m, 1H). MS (ESI+) (M+H)+ 555.18.
Example 112—Synthesis of (S,E)-N-(2-(6-(2-(2-Chloro-6-fluorophenyl)prop-1-en-1-yl)-4-((3-(trifluoromethyl)phenyl)sulfonyl)-3,4-dihydro-2H-benzo[b][1,4]oxazin-2-yl)ethyl)acetamide
Figure US09896441-20180220-C01269
Acetic anhydride (10 mg, 0.09 mmol) was added to a solution of (S,E)-2-(6-(2-(2-chloro-6-fluorophenyl)prop-1-en-1-yl)-4-((3-(trifluoromethyl)phenyl)sulfonyl)-3,4-dihydro-2H-benzo[b][1,4]oxazin-2-yl)ethan-1-amine hydrochloride salt (40 mg, 0.078 mmol), N,N-diisopropylethylamine (30 mg, 0.23 mmol), and THF (0.5 mL). The mixture was stirred for one hour and concentrated. The resulting residue was purified by MPLC eluting with a gradient of 0-60% ethyl acetate in hexanes to afford (S,E)-N-(2-(6-(2-(2-chloro-6-fluorophenyl)prop-1-en-1-yl)-4-((3-(trifluoromethyl)phenyl)sulfonyl)-3,4-dihydro-2H-benzo[b][1,4]oxazin-2-yl)ethyl)acetamide (32 mg, 68%) as a white solid. 1H-NMR (400 MHz, DMSO-d6) δ 8.10 (m, 2H), 8.01 (s, 1H), 7.87 (m, 2H), 7.66 (s, 1H), 7.37 (m, 2H), 7.27 (m, 1H), 7.09 (dd, 1H), 6.88 (d, 1H), 6.37 (s, 1H), 4.36 (m, 1H), 3.60 (m, 1H), 3.42 (m, 1H), 3.20 (m, 1H), 3.18 (m, 1H), 2.07 (s, 3H), 1.78 (s, 3H), 1.73 (m, 1H), 1.65 (m, 1H). MS (ESI+) (M+Na)+ 619.13.
Example 113—Synthesis of (S,E)-N-(2-(6-(2-(2-Chloro-6-fluorophenyl)prop-1-en-1-yl)-4-((3-(trifluoromethyl)phenyl)sulfonyl)-3,4-dihydro-2H-benzo[b][1,4]oxazin-2-yl)ethyl)cyclopropanecarboxamide
Figure US09896441-20180220-C01270
Cyclopropanecarbonyl chloride (10 mg, 0.09 mmol) was added to a solution of (S,E)-2-(6-(2-(2-chloro-6-fluorophenyl)prop-1-en-1-yl)-4-((3-(trifluoromethyl)phenyl)sulfonyl)-3,4-dihydro-2H-benzo[b][1,4]oxazin-2-yl)ethan-1-amine hydrochloride salt (40 mg, 0.078 mmol), N,N-diisopropylethylamine (30 mg, 0.23 mmol), and THF (0.5 mL). The mixture was stirred for one hour and concentrated. The resulting residue was purified by MPLC eluting with a gradient of 0-60% ethyl acetate in hexanes to afford (S,E)-N-(2-(6-(2-(2-chloro-6-fluorophenyl)prop-1-en-1-yl)-4-((3-(trifluoromethyl)phenyl)sulfonyl)-3,4-dihydro-2H-benzo[b][1,4]oxazin-2-yl)ethyl)cyclopropanecarboxamide (16 mg, 34%) as a white solid. 1H-NMR (400 MHz, DMSO-d6) δ 8.10 (m, 3H), 7.99 (s, 1H), 7.86 (t, 1H), 7.66 (s, 1H), 7.37 (m, 2H), 7.27 (m, 1H), 7.10 (dd, 1H), 6.88 (d, 1H), 6.37 (s, 1H), 4.36 (m, 1H), 3.60 (m, 1H), 3.42 (m, 1H), 3.22 (m, 1H), 3.13 (m, 1H), 2.07 (s, 3H), 1.8-1.6 (m, 2H), 1.51 (m, 1H), 0.63 (m, 4H). MS (ESI+) (M+Na)+ 645.17.
Example 114—Synthesis of (S,E)-N-(2-(6-(2-(2-Chloro-6-fluorophenyl)prop-1-en-1-yl)-4-((3-(trifluoromethyl)phenyl)sulfonyl)-3,4-dihydro-2H-benzo[b][1,4]oxazin-2-yl)ethyl)methanesulfonamide
Figure US09896441-20180220-C01271
Methanesulfonic acid anhydride (10 mg, 0.08 mmol) was added to a solution of (S,E)-2-(6-(2-(2-chloro-6-fluorophenyl)prop-1-en-1-yl)-4-((3-(trifluoromethyl)phenyl)sulfonyl)-3,4-dihydro-2H-benzo[b][1,4]oxazin-2-yl)ethan-1-amine hydrochloride salt (40 mg, 0.078 mmol), N,N-diisopropylethylamine (30 mg, 0.23 mmol), and THF (0.5 mL). The mixture was stirred for one hour and concentrated. The resulting residue was purified by MPLC eluting with a gradient of 0-60% ethyl acetate in hexanes to afford (S,E)-N-(2-(6-(2-(2-chloro-6-fluorophenyl)prop-1-en-1-yl)-4-((3-(trifluoromethyl)phenyl)sulfonyl)-3,4-dihydro-2H-benzo[b][1,4]oxazin-2-yl)ethyl)methanesulfonamide (20 mg, 46%) as a white solid. 1H-NMR (400 MHz, DMSO-d6) δ 8.11 (m, 2H), 7.98 (s, 1H), 7.87 (t, 1H), 7.66 (s, 1H), 7.38 (m, 2H), 7.28 (m, 1H), 7.10 (dd, 1H), 7.04 (m, 1H), 6.89 (d, 1H), 6.37 (s, 1H), 4.39 (m, 1H), 3.67 (m, 1H), 3.45 (m, 1H), 3.05 (m, 2H), 2.97 (m, 3H), 2.07 (s, 3H), 1.83-1.70 (m, 2H). MS (ESI+) (M+Na)+ 655.13.
Example 115—Synthesis of (S,E)-N-(2-(6-(2-(2-Chloro-6-fluorophenyl)prop-1-en-1-yl)-4-((3-(trifluoromethyl)phenyl)sulfonyl)-3,4-dihydro-2H-benzo[b][1,4]oxazin-2-yl)ethyl)-2-hydroxy-2-methylpropanamide
Figure US09896441-20180220-C01272
Benzotriazol-1-yl-oxytripyrrolidinophosphonium hexafluorophosphate (120 mg, 0.23 mmol) was added to a solution of (S,E)-2-(6-(2-(2-chloro-6-fluorophenyl)prop-1-en-1-yl)-4-((3-(trifluoromethyl)phenyl)sulfonyl)-3,4-dihydro-2H-benzo[b][1,4]oxazin-2-yl)ethan-1-amine hydrochloride salt (90 mg, 0.15 mmol), N,N-diisopropylethylamine (40 mg, 0.31 mmol), 2-hydroxy-2-methylpropanoic acid (20 mg, 0.23 mmol) and DMF (2 mL). The mixture was stirred for three hours. The mixture was partitioned between ethyl acetate and 1 M HCl. The organic layer was washed with water, brine, dried (Na2SO4) and concentrated. The resulting residue was purified by MPLC eluting with a gradient of 0-60% ethyl acetate in hexanes to afford (S,E)-N-(2-(6-(2-(2-chloro-6-fluorophenyl)prop-1-en-1-yl)-4-((3-(trifluoromethyl)phenyl)sulfonyl)-3,4-dihydro-2H-benzo[b][1,4]oxazin-2-yl)ethyl)-2-hydroxy-2-methylpropanamide (60 mg, 59%) as a white solid. 1H-NMR (400 MHz, DMSO-d6) δ 8.12 (m, 2H), 8.01 (s, 1H), 7.87 (t, 1H), 7.77 (t, 1H), 7.65 (s, 1H), 7.38 (m, 2H), 7.27 (m, 1H), 7.10 (dd, 1H), 6.88 (d, 1H), 6.36 (s, 1H), 5.31 (s, 1H), 4.36 (m, 1H), 3.64 (m, 1H), 3.45 (m, 1H), 3.18 (m, 2H), 2.06 (s, 3H), 1.83-1.70 (m, 2H), 1.21 (m, 6H). MS (ESI+) (M+Na)+ 663.36.
Example 116—Preparation of Additional Benzoxazines and Tetrahydroquinolines Substituted with an N-Linked Amide, Urea, Carbamate or Sulfonamide
Compounds in Table 14 were prepared based on experimental procedures described in Examples 42, 110-115, and 147, and the detailed description.
TABLE 14
Observed
No. Structure Name m/z
116A
Figure US09896441-20180220-C01273
(S,E)-N-(2-(6-(2- (2-chloro-6- fluorophenyl)prop-1-en- 1-yl)-4-((3-(trifluoro- methyl)phenyl)-sulfonyl)- 3,4-dihydro-2H- benzo[b][1,4]oxazin-2- yl)ethyl)cyclopropane- sulfonamide 659 (M + H)+
116B
Figure US09896441-20180220-C01274
(S,E)-N-(2-(6-(2- (2-chloro-6- fluorophenyl)prop-1- en-1-yl)-4-((4- fluoro-3-methoxyphenyl)- sulfonyl)-3,4-dihydro-2H- benzo[b][1,4]oxazin-2- yl)ethyl)acetamide 577 (M + H)+
116C
Figure US09896441-20180220-C01275
ethyl (S,E)-2-((2- (6-(2-(2-chloro-6- fluorophenyl)prop-1- en-1-yl)-4-((4- fluoro-3-methoxyphenyl) sulfonyl)-3,4-dihydro-2H- benzo[b][1,4]oxazin-2- yl)ethyl)amino)-2- oxoacetate 635 (M + H)+
116D
Figure US09896441-20180220-C01276
(S)-N-(2-((S)-6- ((E)-2-(2-chloro-6- fluorophenyl)prop- 1-en-1-yl)-4-((4- fluoro-3-methoxyphenyl) sulfonyl)-3,4-dihydro-2H- benzo[b][1,4]oxazin- 2-yl)ethyl)-2- hydroxypropanamide 607 (M + H)+
116E
Figure US09896441-20180220-C01277
(S,E)-N-(2-(4- ((3-chloro-1-ethyl- 1H-pyrazol-4-yl) sulfonyl)-6-(2-(2- chloro-6-fluorophenyl)- prop-1-en-1-yl)-3,4- dihydro-2H- benzo[b][1,4]oxazin-2- yl)ethyl)acetamide 581 (M + H)+
116F
Figure US09896441-20180220-C01278
(R,E)-N-(7-(2- (2-chloro-6- fluorophenyl)prop-1- en-1-yl)-1-((3- (trifluoromethyl)- phenyl)sulfonyl)-1,2,3,4- tetrahydroquinolin- 3-yl)-2-hydroxy-2- methylpropanamide 611 (M + H)+
116G
Figure US09896441-20180220-C01279
(S,E)-N-(7-(2- (2-chloro-6-fluorophenyl) prop-1-en-1-yl)-1-((3- (trifluoromethyl)- phenyl)sulfonyl)-1,2,3,4- tetrahydroquinolin- 3-yl)-2-hydroxy-2- methylpropanamide 611 (M + H)+
116H
Figure US09896441-20180220-C01280
(R,E)-N-(7-(2- (2-chloro-6-fluorophenyl) prop-1-en-1-yl)-1-((3- (trifluoromethyl)phenyl)- sulfonyl)-1,2,3,4-tetra- hydroquinolin-3- yl)methanesulfonamide 603 (M + H)+
116I
Figure US09896441-20180220-C01281
(S,E)-N-(7-(2- (2-chloro-6-fluorophenyl) prop-1-en-1-yl)-1-((3- (trifluoromethyl)phenyl)- sulfonyl)-1,2,3,4- tetrahydroquinolin-3- yl)methanesulfonamide 603 (M + H)+
116J
Figure US09896441-20180220-C01282
N-((2R,3R)-7-((E)-2- (2-chloro-6-fluorophenyl) prop-1-en-1-yl)-2- methyl-1-((3- (trifluoromethyl)phenyl) sulfonyl)-1,2,3,4-tetra- hydroquinolin-3- yl)methanesulfonamide 617 (M + H)+
116K
Figure US09896441-20180220-C01283
(S,E)-2-((2-(6-(2-(2- chloro-6-fluorophenyl) prop-1-en-1-yl)-4-((4- fluoro-3-methoxyphenyl) sulfonyl)-3,4-dihydro- 2H-benzo[b][1,4]-oxazin- 2-yl)ethyl)amino)-2- oxoacetic acid 607 (M + H)+
116L
Figure US09896441-20180220-C01284
1-(3,5-dimethylisoxazol- 4-yl)-3-((2R,3R)-7- ((E)-2-fluoro-6- (trifluoromethyl)styryl)-2- methyl-1-((3-(trifluoro- methyl)phenyl)sulfonyl)- 1,2,3,4-tetrahydroquinolin- 3-yl)urea 697 (M + H)+
116M
Figure US09896441-20180220-C01285
1-((2R,3R)-7-((E)-2- fluoro-6-(trifluoromethyl) styryl)-2-methyl- 1-((3-(trifluoro-methyl) phenyl)sulfonyl)-1,2,3,4- tetrahydroquinolin-3-yl)- 3-(pyridin-2-yl)urea 679 (M + H)+
116N
Figure US09896441-20180220-C01286
(S,E)-N-((6-(2-(2- chloro-6-fluorophenyl) prop-1-en-1-yl)-4-((3- (trifluoromethyl)phenyl) sulfonyl)-3,4-dihydro- 2H-benzo[b][1,4]- oxazin-2-yl)methyl) morpholine-4-carboxamide 654 (M + H)+
116O
Figure US09896441-20180220-C01287
(S,E)-1-(((6-(2-(2- chloro-6-fluorophenyl) prop-1-en-1-yl)-4-((3- (trifluoromethyl)phenyl) sulfonyl)-3,4-dihydro-2H- benzo[b][1,4]oxazin-2- yl)methyl)carbamoyl) piperidine-4- carboxyic acid 696 (M + H)+
116P
Figure US09896441-20180220-C01288
(S,E)-3-(3-((6-(2-(2- chloro-6-fluorophenyl) prop-1-en-1-yl)-4-((3- (trifluoromethyl)phenyl) sulfonyl)-3,4-dihydro- 2H-benzo[b][1,4]- oxazin-2-yl)methyl)- 1-methylureido) propanoic acid 670 (M + H)+
Example 117—Synthesis of (S,E)-6-(2-(2-Chloro-6-fluorophenyl)prop-1-en-1-yl)-2-(3-(pyrrolidin-1-yl)propyl)-4-((3-(trifluoromethyl)phenyl)sulfonyl)-3,4-dihydro-2H-benzo[b][1,4]oxazine
Figure US09896441-20180220-C01289
Part I—Synthesis of (S)-3-(6-Bromo-3,4-dihydro-2H-benzo[b][1,4]oxazin-2-yl)propan-1-ol
Figure US09896441-20180220-C01290
To (S)-3-(6-bromo-3-oxo-3,4-dihydro-2H-benzo[b][1,4]oxazin-2-yl)propanoate (6.4 g, 20.4 mmol) in anhydrous tetrahydrofuran (60 mL) was added borane-methyl sulfide complex (8.2 mL, 82 mmol) and the mixture was heated to 50° C. for 2 hours. The reaction mixture was cooled to ambient temperature, then carefully quenched with methanol (25 mL) and heated to 60° C. for 20 minutes. The mixture was concentrated, then redissolved in ethyl acetate, washed with water, then brine, dried (Na2SO4) and concentrated to an oil. The mixture was purified by column chromatography eluting with a gradient of 5-100% ethyl acetate in hexanes. Fractions containing (S)-3-(6-bromo-3,4-dihydro-2H-benzo[b][1,4]oxazin-2-yl)propan-1-ol were combined and concentrated to give a solid. (2.77 g, 50%).
Part II—Synthesis of (S)-6-Bromo-2-(3-((tert-butyldimethylsilyl)oxy)propyl)-3,4-dihydro-2H-benzo[b][1,4]oxazine
Figure US09896441-20180220-C01291
To a solution of (S)-3-(6-bromo-3,4-dihydro-2H-benzo[b][1,4]oxazin-2-yl)propan-1-ol (3.50 g, 12.9 mmol) in dichloromethane (40 mL) was added diisopropylethylamine (2.49 g, 19.3 mmol), tert-butyldimethylchlorosilane (2.33 g, 15.4 mmol), and 4-dimethylaminopyridine (0.157 g, 1.29 mmol). The mixture was stirred at room temperature overnight. The mixture was washed with aqueous 10% citric acid. The organic layer was dried (Na2SO4), and concentrated. The resulting residue was purified via MPLC eluting with a gradient of ethyl acetate in hexanes to afford (S)-6-bromo-2-(3-((tert-butyldimethylsilyl)oxy)propyl)-3,4-dihydro-2H-benzo[b][1,4]oxazine (3.80 g, 76%).
Part III—Synthesis of (S)-6-Bromo-2-(3-((tert-butyldimethylsilyl)oxy)propyl)-4-((3-(trifluoromethyl)phenyl)sulfonyl)-3,4-dihydro-2H-benzo[b][1,4]oxazine
Figure US09896441-20180220-C01292
To a solution of (S)-6-bromo-2-(3-((tert-butyldimethylsilyl)oxy)propyl)-3,4-dihydro-2H-benzo[b][1,4]oxazine (1.80 g, 4.67 mmol) in pyridine (15 mL) was added 3-(trifluoromethyl)benzenesulfonyl chloride (1.37 g, 5.59 mmol). The mixture was stirred at 50° C. for two hours, cooled, and partitioned between ethyl acetate and 1 M HCl. The organic layer was washed three times with 1 M HCl, then brine, and dried (Na2SO4). Charcoal was added to the mixture, slurried, and filtered through Celite. The filtrate was concentrated and the resulting residue was purified by MPLC eluting with a gradient of ethyl acetate in hexanes to afford (S)-6-bromo-2-(2-((tert-butyldimethylsilyl)oxy)ethyl)-4-((3-(trifluoromethyl)phenyl)sulfonyl)-3,4-dihydro-2H-benzo[b][1,4]oxazine (2.45 g, 88%).
Part IV—Synthesis of (S,E)-2-(3-((tert-Butyldimethylsilyl)oxy)propyl)-6-(2-(2-chloro-6-fluorophenyl)prop-1-en-1-yl)-4-((3-(trifluoromethyl)phenyl)sulfonyl)-3,4-dihydro-2H-benzo[b][1,4]oxazine
Figure US09896441-20180220-C01293
To a degassed mixture of (S)-6-bromo-2-(2-((tert-butyldimethylsilyl)oxy)ethyl)-4-((3-(trifluoromethyl)phenyl)sulfonyl)-3,4-dihydro-2H-benzo[b][1,4]oxazine (2.45 g, 4.12 mmol), potassium carbonate (800 mg, 5.77 mmol), (E)-2-(2-(2-chloro-6-fluorophenyl)prop-1-en-1-yl)-4,4,5,5-tetramethyl-1,3,2-dioxaborolane (1.71 g, 5.77 mmol), dioxane (30 mL) and water (5 mL) was added [1,1′-bis(diphenylphosphino)ferrocene]dichloropalladium(II) dichloromethane complex (0.31 g, 0.41 mmol). The mixture was heated to 70° C. for five hours. The mixture was cooled, then partitioned between ethyl acetate and saturated aqueous ammonium chloride. The organic layer was washed with brine, dried (Na2SO4), and then concentrated. The resulting residue was purified by MPLC eluting with a gradient of 0-50% ethyl acetate in hexanes to afford (S,E)-2-(3-((tert-butyldimethylsilyl)oxy)propyl)-6-(2-(2-chloro-6-fluorophenyl)prop-1-en-1-yl)-4-((3-(trifluoromethyl)phenyl)sulfonyl)-3,4-dihydro-2H-benzo[b][1,4]oxazine (2.47 g, 88%).
Part V—Synthesis of (S,E)-3-(6-(2-(2-Chloro-6-fluorophenyl)prop-1-en-1-yl)-4-((3-(trifluoromethyl)phenyl)sulfonyl)-3,4-dihydro-2H-benzo[b][1,4]oxazin-2-yl)propan-1-ol
Figure US09896441-20180220-C01294
To a solution of (S,E)-2-(3-((tert-Butyldimethylsilyl)oxy)propyl)-6-(2-(2-chloro-6-fluorophenyl)prop-1-en-1-yl)-4-((3-(trifluoromethyl)phenyl)sulfonyl)-3,4-dihydro-2H-benzo[b][1,4]oxazine (2.47 g, 3.61 mmol) in THF (24 mL) was added a 1 M solution of tetrabutylammonium fluoride (1.42 g, 5.41 mmol) in THF (5.41 mL). The mixture was stirred for one hour, then concentrated onto a small amount of silica gel. The residue was purified by MPLC eluting with a gradient of 0-100% ethyl acetate in hexanes to afford (S,E)-3-(6-(2-(2-chloro-6-fluorophenyl)prop-1-en-1-yl)-4-((3-(trifluoromethyl)phenyl)sulfonyl)-3,4-dihydro-2H-benzo[b][1,4]oxazin-2-yl)propan-1-ol (1.75 g, 85%).
Part VI—Synthesis of (S,E)-3-(6-(2-(2-Chloro-6-fluorophenyl)prop-1-en-1-yl)-4-((3-(trifluoromethyl)phenyl)sulfonyl)-3,4-dihydro-2H-benzo[b][1,4]oxazin-2-yl)propyl methanesulfonate
Figure US09896441-20180220-C01295
Methanesulfonic anhydride (240 mg, 1.39 mmol) was added to a solution of (S,E)-3-(6-(2-(2-chloro-6-fluorophenyl)prop-1-en-1-yl)-4-((3-(trifluoromethyl)phenyl)sulfonyl)-3,4-dihydro-2H-benzo[b][1,4]oxazin-2-yl)propan-1-ol (0.53 g, 0.93 mmol) and diisopropylethylamine (0.24 g, 1.86 mmol) in dichloromethane (10 mL) at 0° C. The mixture was stirred at room temperature for two hours, then partitioned between dichloromethane and 1 M HCl. The organic layer was dried (Na2SO4) and concentrated to afford (S,E)-3-(6-(2-(2-chloro-6-fluorophenyl)prop-1-en-1-yl)-4-((3-(trifluoromethyl)phenyl)sulfonyl)-3,4-dihydro-2H-benzo[b][1,4]oxazin-2-yl)propyl methanesulfonate (0.58 g, 96%).
Part VII—Synthesis of (S,E)-6-(2-(2-Chloro-6-fluorophenyl)prop-1-en-1-yl)-2-(3-(pyrrolidin-1-yl)propyl)-4-((3-(trifluoromethyl)phenyl)sulfonyl)-3,4-dihydro-2H-benzo[b][1,4]oxazine
Figure US09896441-20180220-C01296
Pyrrolidine (22 mg, 0.31 mmol) was added to a solution of (S,E)-3-(6-(2-(2-chloro-6-fluorophenyl)prop-1-en-1-yl)-4-((3-(trifluoromethyl)phenyl)sulfonyl)-3,4-dihydro-2H-benzo[b][1,4]oxazin-2-yl)propyl methanesulfonate (50 mg, 0.077 mmol) in DMF (0.5 mL). The mixture was stirred at 70° C. overnight, cooled, and concentrated. The resulting residue was purified by MPLC eluting with a gradient of 0-5% methanol in dichloromethane to afford (S,E)-6-(2-(2-chloro-6-fluorophenyl)prop-1-en-1-yl)-2-(3-(pyrrolidin-1-yl)propyl)-4-((3-(trifluoromethyl)phenyl)sulfonyl)-3,4-dihydro-2H-benzo[b][1,4]oxazine (29 mg, 57%). 1H-NMR (400 MHz, CDCl3) δ 8.05 (m, 1H), 7.84 (br m, 2H), 7.62 (t, 1H), 7.28-7.16 (m, 3H), 7.12 (dd, 1H), 7.02 (t, 1H), 6.82 (d, 1H), 6.38 (s, 1H), 4.34 (m, 1H), 3.45 (m, 1H), 3.22 (m, 1H), 2.70-2.50 (br m, 6H), 2.18 (s, 3H), 1.84 (br m, 4H), 1.7-1.5 (br m, 4H). MS (ESI+) (M+H)+ 623.37.
Example 118—Synthesis of (S,E)-6-(2-(2-Chloro-6-fluorophenyl)prop-1-en-1-yl)-2-(2-(pyrrolidin-1-yl)ethyl)-4-((3-(trifluoromethyl)phenyl)sulfonyl)-3,4-dihydro-2H-benzo[b][1,4]oxazine
Figure US09896441-20180220-C01297
Part I—Synthesis of (S)-6-Bromo-2-(2-((tert-butyldimethylsilyl)oxy)ethyl)-4-((3-(trifluoromethyl)phenyl)sulfonyl)-3,4-dihydro-2H-benzo[b][1,4]oxazine
Figure US09896441-20180220-C01298
To a solution of (S)-2-(6-bromo-4-((3-(trifluoromethyl)phenyl)sulfonyl)-3,4-dihydro-2H-benzo[b][1,4]oxazin-2-yl)ethan-1-ol (1.60 g, 4.30 mmol) in pyridine (15 mL) was added 3-(trifluoromethyl)benzenesulfonyl chloride (1.26 g, 5.15 mmol). The mixture was stirred at 50° C. for two hours, cooled, and partitioned between ethyl acetate and 1 M HCl. The organic layer was washed three times with 1 M HCl, brine, and dried (Na2SO4). Charcoal was added to the mixture, slurried, and filtered through Celite. The filtrate was concentrated and the resulting residue was purified by MPLC eluting with a gradient of ethyl acetate in hexanes to afford (S)-6-bromo-2-(2-((tert-butyldimethylsilyl)oxy)ethyl)-4-((3-(trifluoromethyl)phenyl)sulfonyl)-3,4-dihydro-2H-benzo[b][1,4]oxazine (2.40 g, 100%).
Part II—Synthesis of (S,E)-2-(2-((tert-Butyldimethylsilyl)oxy)ethyl)-6-(2-(2-chloro-6-fluorophenyl)prop-1-en-1-yl)-4-((3-(trifluoromethyl)phenyl)sulfonyl)-3,4-dihydro-2H-benzo[b][1,4]oxazine
Figure US09896441-20180220-C01299
To a degassed mixture of (S)-6-bromo-2-(2-((tert-butyldimethylsilyl)oxy)ethyl)-4-((3-(trifluoromethyl)phenyl)sulfonyl)-3,4-dihydro-2H-benzo[b][1,4]oxazine (1.78 g, 6.03 mmol), potassium carbonate (833 mg, 6.03 mmol), (E)-2-(2-(2-chloro-6-fluorophenyl)prop-1-en-1-yl)-4,4,5,5-tetramethyl-1,3,2-dioxaborolane (1.788 g, 6.03 mmol), dioxane (25 mL) and water (5 mL) was added [1,1′-bis(diphenylphosphino)ferrocene]dichloropalladium(II) dichloromethane complex (0.328 g, 0.431 mmol). The mixture was heated to 70° C. for five hours. The mixture was cooled, and partitioned between ethyl acetate and saturated aqueous ammonium chloride. The organic layer was washed with brine, dried (Na2SO4), and concentrated. The resulting residue was purified by MPLC eluting with a gradient of 0-50% ethyl acetate in hexanes to afford (S,E)-2-(2-((tert-butyldimethylsilyl)oxy)ethyl)-6-(2-(2-chloro-6-fluorophenyl)prop-1-en-1-yl)-4-((3-(trifluoromethyl)phenyl)sulfonyl)-3,4-dihydro-2H-benzo[b][1,4]oxazine (2.40 g, 83%).
Part III—Synthesis of (S,E)-2-(6-(2-(2-Chloro-6-fluorophenyl)prop-1-en-1-yl)-4-((3-(trifluoromethyl)phenyl)sulfonyl)-3,4-dihydro-2H-benzo[b][1,4]oxazin-2-yl)ethanol
Figure US09896441-20180220-C01300
To a solution of (S,E)-2-(2-((tert-butyldimethylsilyl)oxy)ethyl)-6-(2-(2-chloro-6-fluorophenyl)prop-1-en-1-yl)-4-((3-(trifluoromethyl)phenyl)sulfonyl)-3,4-dihydro-2H-benzo[b][1,4]oxazine (2.40 g, 3.58 mmol) in THF (24 mL) was added a 1 M solution of tetrabutylammonium fluoride (1.40 g, 5.37 mmol) in THF (5.37 mL). The mixture was stirred for one hour, then concentrated onto a small amount of silica gel. The residue was purified by MPLC eluting with a gradient of 0-100% ethyl acetate in hexanes to afford (S,E)-2-(6-(2-(2-chloro-6-fluorophenyl)prop-1-en-1-yl)-4-((3-(trifluoromethyl)phenyl)sulfonyl)-3,4-dihydro-2H-benzo[b][1,4]oxazin-2-yl)ethanol (1.55 g, 78%).
Part IV—Synthesis of (S,E)-2-(6-(2-(2-Chloro-6-fluorophenyl)prop-1-en-1-yl)-4-((3-(trifluoromethyl)phenyl)sulfonyl)-3,4-dihydro-2H-benzo[b][1,4]oxazin-2-yl)ethyl methanesulfonate
Figure US09896441-20180220-C01301
Methanesulfonic anhydride (211 mg, 1.21 mmol) was added to a solution of (S,E)-2-(6-(2-(2-chloro-6-fluorophenyl)prop-1-en-1-yl)-4-((3-(trifluoromethyl)phenyl)sulfonyl)-3,4-dihydro-2H-benzo[b][1,4]oxazin-2-yl)ethanol (0.45 g, 0.81 mmol) and diisopropylethylamine (0.21 g, 1.62 mmol) in dichloromethane (10 mL) at 0° C. The mixture was stirred at room temperature for two hours, then partitioned between dichloromethane and 1 M HCl. The organic layer was dried (Na2SO4) and concentrated to afford (S,E)-2-(6-(2-(2-chloro-6-fluorophenyl)prop-1-en-1-yl)-4-((3-(trifluoromethyl)phenyl)sulfonyl)-3,4-dihydro-2H-benzo[b][1,4]oxazin-2-yl)ethyl methanesulfonate (0.48 g, 94%).
Part V—Synthesis of (S,E)-6-(2-(2-Chloro-6-fluorophenyl)prop-1-en-1-yl)-2-(2-(pyrrolidin-1-yl)ethyl)-4-((3-(trifluoromethyl)phenyl)sulfonyl)-3,4-dihydro-2H-benzo[b][1,4]oxazine
Figure US09896441-20180220-C01302
Pyrrolidine (22 mg, 0.315 mmol) was added to a solution of (S,E)-2-(6-(2-(2-chloro-6-fluorophenyl)prop-1-en-1-yl)-4-((3-(trifluoromethyl)phenyl)sulfonyl)-3,4-dihydro-2H-benzo[b][1,4]oxazin-2-yl)ethyl methanesulfonate (50 mg, 0.079 mmol) in DMF (0.5 mL). The mixture was stirred at 70° C. overnight, cooled then concentrated. The resulting residue was purified by MPLC eluting with a gradient of 0-5% methanol in dichloromethane to afford (S,E)-6-(2-(2-chloro-6-fluorophenyl)prop-1-en-1-yl)-2-(2-(pyrrolidin-1-yl)ethyl)-4-((3-(trifluoromethyl)phenyl)sulfonyl)-3,4-dihydro-2H-benzo[b][1,4]oxazine (23 mg, 47%). 1H-NMR (400 MHz, CDCl3) δ 7.88 (s, 1H), 7.82 (m, 2H), 7.74 (m, 1H), 7.58 (t, 1H), 7.4 (m, 1H), 7.22 (m, 2H), 7.16 (m, 1H), 7.04 (m, 2H), 6.88 (d, 1H), 6.82 (m, 1H), 6.38 (s, 1H), 4.16 (m, 3H), 3.24 (m, 2H), 2.18 (s, 3H), 1.94 (m, 2H). MS (ESI+) (M+H)+ 606.13.
Example 119—Preparation of Additional N-Linked Cycloalkyl or Cyclic Heteroalkyl Benzoxazines
Compounds in Table 15 were prepared based on experimental procedures described in Examples 117 and 118 and the detailed description.
TABLE 15
Observed
No. Structure Name m/z
119A
Figure US09896441-20180220-C01303
(S,E)-6-(2-(2-chloro-6- fluorophenyl)prop-1-en-1-yl)-2- (2-morpholinoethyl)-4-((3- (trifluoromethyl)phenyl)sulfonyl)- 3,4-dihydro-2H- benzo[b][1,4]oxazine 625 (M + H)+
119B
Figure US09896441-20180220-C01304
1-(3-((S)-6-((E)-2-(2-chloro-6- fluorophenyl)prop-1-en-1-yl)-4- ((3-(trifluoromethyl)-phenyl)- sulfonyl)-3,4-dihydro-2H- benzo[b][1,4]-oxazin-2- yl)propyl)-pyrrolidin-3-ol 639 (M + H)+
119C
Figure US09896441-20180220-C01305
1-(2-((S)-6-((E)-2-(2-chloro-6- fluorophenyl)prop-1-en-1-yl)-4- ((3-(trifluoromethyl)- phenyl)sulfonyl)-3,4-dihydro- 2H-benzo[b][1,4]oxazin-2- yl)ethyl)pyrrolidin-3-ol 625 (M + H)+
119D
Figure US09896441-20180220-C01306
(S,E)-6-(2-(2-chloro-6- fluorophenyl)prop-1-en-1-yl)-2- (3-morpholinopropyl)-4-((3- (trifluoromethyl)- phenyl)sulfonyl)-3,4-dihydro- 2H-benzo[b][1,4]oxazine 639 (M + H)+
119E
Figure US09896441-20180220-C01307
ethyl (S,E)-1-(3-(6-(2-(2-chloro- 6-fluorophenyl)prop-1-en-1-yl)- 4-((3- (trifluoromethyl)phenyl)sulfonyl)- 3,4-dihydro-2H- benzo[b][1,4]oxazin-2- yl)propyl)piperidine-4- carboxylate 709 (M + H)+
119F
Figure US09896441-20180220-C01308
ethyl (S,E)-1-(2-(6-(2-(2-chloro- 6-fluorophenyl)prop-1-en-1-yl)- 4-((3- (trifluoromethyl)phenyl)sulfonyl)- 3,4-dihydro-2H- benzo[b][1,4]oxazin-2- yl)ethyl)piperidine-4- carboxylate 695 (M + H)+
119G
Figure US09896441-20180220-C01309
(S,E)-4-(2-(6-(2-(2-chloro-6- fluorophenyl)prop-1-en-1-yl)-4- ((3- (trifluoromethyl)phenyl)sulfonyl)- 3,4-dihydro-2H- benzo[b][1,4]oxazin-2- yl)ethyl)thiomorpholine 1,1- dioxide 673 (M + H)+
119H
Figure US09896441-20180220-C01310
(S,E)-4-(3-(6-(2-(2-chloro-6- fluorophenyl)prop-1-en-1-yl)-4- ((3-(trifluoromethyl)- phenyl)sulfonyl)-3,4-dihydro- 2H-benzo[b][1,4]oxazin-2- yl)propyl)thiomorpholine 1,1- dioxide 687 (M + H)+
Example 120—Synthesis of (S,E)-4-(6-(2-(2-Chloro-6-fluorophenyl)prop-1-en-1-yl)-4-((4-fluoro-3-methoxyphenyl)sulfonyl)-3,4-dihydro-2H-benzo[b][1,4]oxazin-2-yl)-2-methylbutan-2-ol
Figure US09896441-20180220-C01311
To a stirred solution of methyl (S,E)-3-(6-(2-(2-chloro-6-fluorophenyl)prop-1-en-1-yl)-4-((4-fluoro-3-methoxyphenyl)sulfonyl)-3,4-dihydro-2H-benzo[b][1,4]oxazin-2-yl)propanoate (50 mg, 0.087 mmol) in THF (1 mL) at room temperature was added 1 M methyl magnesium bromide (0.69 mL, 0.69 mmol). The mixture was stirred for one hour, then quenched with saturated ammonium chloride. The mixture was partitioned between ethyl acetate and water. The organic layer was washed with brine, dried (Na2SO4), and concentrated. The resulting residue was purified by Prep HPLC eluting with a gradient of 5-95% acetonitrile in water with 0.1% trifluoroacetic acid to afford (S,E)-4-(6-(2-(2-chloro-6-fluorophenyl)prop-1-en-1-yl)-4-((4-fluoro-3-methoxyphenyl)sulfonyl)-3,4-dihydro-2H-benzo[b][1,4]oxazin-2-yl)-2-methylbutan-2-ol (26 mg, 52%) as a white solid. 1H-NMR (400 MHz, DMSO-d6) δ 7.75 (d, 1H), 7.45 (t, 1H), 7.38 (m, 3H), 7.28 (m, 2H), 7.12 (dd, 1H), 6.88 (d, 1H), 6.38 (s, 1H), 4.30 (m, 1H), 3.80 (s, 3H), 3.3 (m, 2H), 2.12 (s, 3H), 1.58 (m, 2H), 1.42 (m, 1H), 1.34 (m, 1H), 1.05 (s, 6H). MS (ESI+) (M+Na)+ 600.35.
Example 121—Preparation of Additional Substituted 3,4-Dihydro-2H-benzo[b][1,4]oxazin-2-yl)-2-methylbutan-2-ols
Compounds in Table 16 were prepared based on experimental procedures described in Examples 120 and the detailed description.
TABLE 16
Observed
No. Structure Name m/z
121A
Figure US09896441-20180220-C01312
(S,E)-1-(6-(2-(2-chloro-6- fluorophenyl)prop-1-en-1-yl)-4- ((3-(trifluoromethyl)- phenyl)sulfonyl)-3,4-dihydro- 2H-benzo[b][1,4]oxazin-2-yl)-2- methylpropan-2-ol 584 (M + H)+
121B
Figure US09896441-20180220-C01313
(S,E)-4-(6-(2-(2-chloro-6- fluorophenyl)prop-1-en-1-yl)-4- ((3-(trifluoromethyl)- phenyl)sulfonyl)-3,4-dihydro- 2H-benzo[b][1,4]oxazin-2-yl)-2- methylbutan-2-ol 598 (M + H)+
121C
Figure US09896441-20180220-C01314
(S,E)-4-(6-(2-(2-chloro-6- fluorophenyl)prop-1-en-1-yl)-4- ((1-ethyl-3-(2-hydroxyethoxy)- 1H-pyrazol-4-yl)sulfonyl)-3,4- dihydro-2H- benzo[b][1,4]oxazin-2-yl)-2- methylbutan-2-ol 608 (M + H)+
Example 122—Synthesis of (S,E)-1-(2-(6-(2-(2-Chloro-6-fluorophenyl)prop-1-en-1-yl)-4-((3-(trifluoromethyl)phenyl)sulfonyl)-3,4-dihydro-2H-benzo[b][1,4]oxazin-2-yl)ethyl)piperidine-4-carboxylic acid
Figure US09896441-20180220-C01315
Based on the procedure in Example 42, (S,E)-1-(2-(6-(2-(2-chloro-6-fluorophenyl)prop-1-en-1-yl)-4-((3-(trifluoromethyl)phenyl)sulfonyl)-3,4-dihydro-2H-benzo[b][1,4]oxazin-2-yl)ethyl)piperidine-4-carboxylic acid was prepared. 1H-NMR (400 MHz, DMSO-d6) δ 12.55 (br s, 1H), 9.11 (br s, 1H), 8.12 (m, 3H), 7.87 (t, 1H), 7.65 (s, 1H), 7.38 (m, 2H), 7.27 (m, 1H), 7.13 (d, 1H), 6.89 (d, 1H), 6.38 (s, 1H), 4.45 (m, 1H), 3.8-3.55 (m, 4H), 3.19 (m, 2H), 2.94 (m, 2H), 2.06 (m, 6H), 1.92 (m, 2H), 1.67 (m, 2H). MS (ESI+) (M+H)+ 667.24.
Example 123—Synthesis of (S,E)-1-(3-(6-(2-(2-Chloro-6-fluorophenyl)prop-1-en-1-yl)-4-((3-(trifluoromethyl)phenyl)sulfonyl)-3,4-dihydro-2H-benzo[b][1,4]oxazin-2-yl)propyl)piperidine-4-carboxylic acid
Figure US09896441-20180220-C01316
Based on the procedure in Example 42, (S,E)-1-(3-(6-(2-(2-chloro-6-fluorophenyl)prop-1-en-1-yl)-4-((3-(trifluoromethyl)phenyl)sulfonyl)-3,4-dihydro-2H-benzo[b][1,4]oxazin-2-yl)propyl)piperidine-4-carboxylic acid was prepared. 1H-NMR (400 MHz, DMSO-d6) δ 12.55 (br s, 1H), 9.0 (br s, 1H), 8.09 (m, 3H), 7.88 (t, 1H), 7.65 (s, 1H), 7.38 (m, 2H), 7.27 (m, 1H), 7.12 (d, 1H), 6.88 (d, 1H), 6.37 (s, 1H), 4.38 (m, 1H), 3.62-3.35 (m, 5H), 3.1-2.9 (m, 4H), 2.06 (m, 5H), 1.7 (m, 6H). MS (ESI+) (M+H)+ 681.27.
Example 124—Synthesis of (2-((S)-6-((E)-2-(2-Chloro-6-fluorophenyl)prop-1-en-1-yl)-4-((3-(trifluoromethyl)phenyl)sulfonyl)-3,4-dihydro-2H-benzo[b][1,4]oxazin-2-yl)ethyl)-L-proline
Figure US09896441-20180220-C01317
Based on the procedure in Example 42, (2-((S)-6-((E)-2-(2-chloro-6-fluorophenyl)prop-1-en-1-yl)-4-((3-(trifluoromethyl)phenyl)sulfonyl)-3,4-dihydro-2H-benzo[b][1,4]oxazin-2-yl)ethyl)-L-proline was prepared. 1H-NMR (400 MHz, DMSO-d6) δ 9.4 (br s, 1H), 8.82 (br s, 1H), 8.12 (m, 3H), 7.88 (t, 1H), 7.63 (s, 1H), 7.38 (m, 2H), 7.28 (m, 1H), 7.11 (d, 1H), 6.90 (d, 1H), 6.37 (s, 1H), 4.45-4.25 (m, 4H), 3.80 (m, 1H), 3.5-3.2 (m, 5H), 2.06 (s, 3H), 1.92 (m, 4H). MS (ESI+) (M+H)+ 653.43.
Example 125—Synthesis of (R,E)-(6-(2-(2-Chloro-6-fluorophenyl)prop-1-en-1-yl)-4-((3-(trifluoromethyl)phenyl)sulfonyl)-3,4-dihydro-2-h-benzo[b][1,4]oxazin-2-yl)methanol
Figure US09896441-20180220-C01318
Part I—Synthesis of Methyl (2S)-2-(4-bromo-2-nitro-phenoxy)-3-[tert-butyl(diphenyl)silyl]oxy-propanoate
Figure US09896441-20180220-C01319
To a solution of (2R)-3-[tert-butyl(diphenyl)silyl]oxy-2-hydroxy-propanoate (28.6 g, 79.8 mmol) [see Goubert, Marlene et al. Tetrahedron, 63 (34), 8255-8266; 2007], 4-bromo-2-nitrophenol (22.5 g, 103 mmol), and triphenylphosphine (27.1 g, 103 mmol) in THF (400 mL) at 0° C. was added diisopropyl azodicarboxylate (20.5 mL, 104 mmol). The reaction mixture was allowed to warm to room temperature, and stirred overnight. The reaction mixture was then concentrated, and residue was dissolved in methyl tert-butyl ether (400 mL). Hexanes (500 mL) was added slowly and the solution became cloudy. The solution was allowed to crystallize overnight and the mixture was filtered. The filtrate was concentrated and the resulting residue was purified by filtering through a pad of silica gel eluting with 25% ethyl acetate in hexanes to afford methyl (2S)-2-(4-bromo-2-nitro-phenoxy)-3-[tert-butyl(diphenyl)silyl]oxy-propanoate (47.5 g, 91%).
Part II—Synthesis of (2S)-6-Bromo-2-[[tert-butyl(diphenyl)silyl]oxymethyl]-4H-1,4-benzoxazin-3-one
Figure US09896441-20180220-C01320
Methyl (2S)-2-(4-bromo-2-nitro-phenoxy)-3-[tert-butyl(diphenyl)silyl]oxy-propanoate (44.6 g, 79.8 mmol) was dissolved in acetic acid (300 mL) and powdered iron (22.55 g, 404 mmol) was added. The mixture was heated to 70° C. overnight. The mixture was filtered through a pad of Celite, and the material was rinsed with ethyl acetate. The combined filtrates were then partitioned between ethyl acetate and water, and the organic phase was washed a second time with water, washed with brine, and concentrated to provide (2S)-6-bromo-2-[[tert-butyl(diphenyl)silyl]oxymethyl]-4H-1,4-benzoxazin-3-one.
Part III—Synthesis of [(2R)-6-Bromo-3,4-dihydro-2H-1,4-benzoxazin-2-yl]methoxy-tert-butyl-diphenyl-silane
Figure US09896441-20180220-C01321
A 10 M solution of borane-methyl sulfide complex in THF (32 mL, 320 mmol) was added dropwise to a solution of (2S)-6-bromo-2-[[tert-butyl(diphenyl)silyl]oxymethyl]-4H-1,4-benzoxazin-3-one (39.62 g, 79.8 mmol) in THF (350 mL) at 0° C. The mixture was then stirred at 60° C. for 2.5 hours, quenched with methanol (1 mL) and refluxed for ten minutes. The mixture was concentrated, and the resulting residue was purified by filtering through a plug of silica gel with 50% methyl tert-butyl ether and hexanes to afford [(2R)-6-bromo-3,4-dihydro-2H-1,4-benzoxazin-2-yl]methoxy-tert-butyl-diphenyl-silane (33.0 g, 73%) as an orange oil.
Part IV—Synthesis of [(2R)-6-Bromo-4-[3-(trifluoromethyl)phenyl]sulfonyl-2,3-dihydro-1,4-benzoxazin-2-yl]methoxy-tert-butyl-diphenyl-silane
Figure US09896441-20180220-C01322
[(2R)-6-Bromo-3,4-dihydro-2H-1,4-benzoxazin-2-yl]methoxy-tert-butyl-diphenyl-silane (3.21 g, 5.66 mmol) was dissolved in pyridine (10 mL) and 3-(trifluoromethyl) benzenesulfonyl chloride (1.5 mL, 9.36 mmol) was added. The reaction mixture was heated to 50° C. overnight. Then, the reaction mixture was diluted in methyl tert-butyl ether, washed twice times with 1 M HCl, washed with brine, dried (Na2SO4), and concentrated. The resulting residue was purified by MPLC with 0% to 10% ethyl acetate and hexanes to afford [(2R)-6-bromo-4-[3-(trifluoromethyl)phenyl]sulfonyl-2,3-dihydro-1,4-benzoxazin-2-yl]methoxy-tert-butyl-diphenyl-silane (3.02 g, 77%) as a light yellow oil.
Part V—Synthesis of tert-butyl-[[(2R)-6-[(E)-2-(2-chloro-6-fluoro-phenyl)prop-1-enyl]-4-[3-(trifluoromethyl)phenyl]sulfonyl-2,3-dihydro-1,4-benzoxazin-2-yl]methoxy]-diphenyl-silane
Figure US09896441-20180220-C01323
[(2R)-6-bromo-4-[3-(trifluoromethyl)phenyl]sulfonyl-2,3-dihydro-1,4-benzoxazin-2-yl]methoxy-tert-butyl-diphenyl-silane (2.85 g, 4.13 mmol), (E)-2-(2-(2-chloro-6-fluorophenyl)prop-1-en-1-yl)-4,4,5,5-tetramethyl-1,3,2-dioxaborolane (1.72 g, 5.79 mmol), dioxane (18 mL), water (3 mL), and potassium carbonate (0.849 g, 6.14 mmol) were combined, and the mixture was degassed. To this mixture was added [1,1′-bis(diphenylphosphino)-ferrocene] dichloropalladium (II) complex with dichloromethane (0.399 g, 0.523 mmol), and the resulting mixture was stirred overnight at 70° C. The mixture was partitioned between water and ethyl acetate. The organic phase was washed with brine, dried (Na2SO4), and concentrated. The resulting residue was purified by MPLC eluting with a gradient of 5-10% ethyl acetate in hexanes to afford tert-butyl-[[(2R)-6-[(E)-2-(2-chloro-6-fluoro-phenyl)prop-1-enyl]-4-[3-(trifluoromethyl)phenyl]sulfonyl-2,3-dihydro-1,4-benzoxazin-2-yl]methoxy]-diphenyl-silane (2.95 g, 92%) as an oil.
Part VI—Synthesis of (R,E)-(6-(2-(2-Chloro-6-fluorophenyl)prop-1-en-1-yl)-4-((3-(trifluoromethyl)phenyl)sulfonyl)-3,4-dihydro-2H-benzo[b][1,4]oxazin-2-yl)methanol
Figure US09896441-20180220-C01324
To a solution of tert-butyl-[[(2R)-6-[(E)-2-(2-chloro-6-fluoro-phenyl)prop-1-enyl]-4-[3-(trifluoromethyl)phenyl]sulfonyl-2,3-dihydro-1,4-benzoxazin-2-yl]methoxy]-diphenyl-silane (0.714 g, 0.915 mmol) in THF (10 mL) at 0° C. was added 1 M tetrabutylammonium fluoride in THF (1.8 mL, 1.80 mmol). After four hours, the reaction was quenched with saturated aqueous ammonium chloride solution. The mixture was extracted with ethyl acetate. The organic layer was dried (Na2SO4) and concentrated. The resulting residue was purified by MPLC eluting with a gradient of 0% to 50% ethyl acetate and hexanes to afford (R,E)-(6-(2-(2-Chloro-6-fluorophenyl)prop-1-en-1-yl)-4-((3-(trifluoromethyl)phenyl)sulfonyl)-3,4-dihydro-2H-benzo[b][1,4]oxazin-2-yl)methanol (0.462 g, 92%) as an oil. 1H-NMR (400 MHz, CDCl3) δ 8.01 (s, 1H), 7.88-7.80 (m, 2H), 7.64 (t, 1H), 7.24-7.00 (m, 4H), 6.86 (d, 1H), 6.38 (s, 1H), 4.36-4.31 (m, 1H), 3.82-3.45 (m, 4H), 2.18 (s, 3H), 1.82-1.79 (m, 1H). (ES, m/z): (M+H)+ 542.
Example 126—Synthesis of (S,E)-3-(6-(2-(2-Chloro-6-fluorophenyl)prop-1-en-1-yl)-4-((3-(trifluoromethyl)phenyl)sulfonyl)-3,4-dihydro-2H-benzo[b][1,4]oxazin-2-yl)-1-(pyrrolidin-1-yl)propan-1-one
Figure US09896441-20180220-C01325
To (S,E)-3-(6-(2-(2-chloro-6-fluorophenyl)prop-1-en-1-yl)-4-((3-(trifluoromethyl)phenyl)sulfonyl)-3,4-dihydro-2H-benzo[b][1,4]oxazin-2-yl)propanoic acid (0.19 g, 0.33 mmol), N,N-diisopropylethylamine (0.17 mL, 0.98 mmol), and pyrrolidine (0.04 mL, 0.49 mmol) in N,N-dimethylformamide (3 mL) was added (1-[Bis(dimethylamino)methylene]-1H-1,2,3-triazolo[4,5-b]pyridinium 3-oxid hexafluorophosphate) (HATU; 0.19 g, 0.49 mmol) and the reaction mixture was stirred at room temperature for two hours. The solution was diluted with ethyl acetate, washed with water, brine, dried (Na2SO4) and concentrated. The mixture was purified by MPLC eluting with a gradient of ethyl acetate in hexanes. Pure fractions were combined and concentrated to afford (S,E)-3-(6-(2-(2-chloro-6-fluorophenyl)prop-1-en-1-yl)-4-((3-(trifluoromethyl)phenyl)sulfonyl)-3,4-dihydro-2H-benzo[b][1,4]oxazin-2-yl)-1-(pyrrolidin-1-yl)propan-1-one (0.16 g, 77%). 1H-NMR (400 MHz, DMSO-d6) δ 8.09 (d, 1H), 8.01 (d, 1H), 7.97 (s, 1H), 7.83 (t, 1H), 7.67 (s, 1H), 7.36 (m, 2H), 7.26 (m, 1H), 7.10 (dd, 1H), 6.86 (d, 1H), 6.36 (s, 1H), 4.39 (m, 1H), 3.50 (m, 1H), 3.38-3.22 (m, 3H), 2.31 (m, 2H), 2.07 (s, 3H), 1.83 (m, 4H), 1.74 (m, 4H). MS (ESI+) (M+Na)+ 659.27.
Example 127—Preparation of Additional Substituted Benzoxazines with 3-(CH2)nCONRR′ Substituents
Compounds in Table 17 were prepared based on experimental procedures described in Example 126 and the detailed description.
TABLE 17
Observed
No. Structure Name m/z
127A
Figure US09896441-20180220-C01326
(S,E)-1-(3-(6-(2- (2-chloro-6-fluoro- phenyl)-prop-1-en-1- yl)-4-((3- (trifuoromethyl)phenyl) sulfonyl)-3,4-dihydro-2H- benzo[b][1,4]oxazin-2- yl)propanoyl)piperidine-4- carboxamide 694 (M + H)+
127B
Figure US09896441-20180220-C01327
(S,E)-3-(6-(2-(2-chloro-6- fluorophenyl)prop-1-en-1- yl)-4-((3- (trifluoromethyl)phenyl) sulfonyl)-3,4-dihydro-2H- benzo[b][1,4]oxazin- 2-yl)-1-morpholino- propan-1-one 653 (M + H)+
127C
Figure US09896441-20180220-C01328
(S,E)-3-(6-(2-(2-chloro-6- fluorophenyl)prop-1-en-1- yl)-4-((3-(trifluoro- methyl)phenyl)sulfonyl)- 3,4-dihydro-2H- benzo[b][1,4]oxazin-2-yl)- 1-(1,1-dioxidothio- morpholino)propan-1-one 701 (M + H)+
127D
Figure US09896441-20180220-C01329
(S,E)-3-(6-(2-(2-chloro-6- fluorophenyl)prop-1-en-1- yl)-4-((3-(trifluoro- methyl)phenyl)sulfonyl)- 3,4-dihydro-2H- benzo[b][1,4]oxazin-2-yl)- 1-(2-oxa-6- azaspiro[3.3]heptan-6- yl)propan-1-one 665 (M + H)+
127E
Figure US09896441-20180220-C01330
3-((S)-6-((E)-2-(2-chloro-6- fluorophenyl)prop-1-en-1- yl)-4-((3- (trifluoromethyl)phenyl) sulfonyl)-3,4-dihydro-2H- benzo[b][1,4]oxazin-2-yl)- 1-((2S,6R)-2,6- dimethylmorpholino) propan-1-one 681 (M + H)+
127F
Figure US09896441-20180220-C01331
(S,E)-3-(6-(2-(2-chloro-6- fluorophenyl)prop-1-en-1- yl)-4-((3- (trifluoromethyl)phenyl) sulfonyl)-3,4-dihydro-2H- benzo[b][1,4]oxazin- 2-yl)-1-(piperazin-1-yl) propan-1-one 652 (M + H)+
127G
Figure US09896441-20180220-C01332
(S,E)-3-(6-(2-chloro-6- (trifluoromethyl)styryl)-4- ((3-(trifluoromethyl)- phenyl)sulfonyl)-3,4- dihydro-2H- benzo[b][1,4]oxazin-2- yl)-1-(2-oxa-6- azaspiro[3.3]heptan-6- yl)propan-1-one 701 (M + H)+
127H
Figure US09896441-20180220-C01333
(S,E)-1-(azetidin-1-yl)-3- (6-(2-(2-chloro-6- fluorophenyl)prop-1- en-1-yl)-4-((3- (trifluoromethyl)phenyl) sulfonyl)-3,4-dihydro-2H- benzo[b][1,4]oxazin-2- yl)propan-1-one 623 (M + H)+
127I
Figure US09896441-20180220-C01334
(S,E)-3-(6-(2-chloro-6- fluorostyryl)-4-((3- (trifluoromethyl)phenyl) sulfonyl)-3,4-dihydro-2H- benzo[b][1,4]oxazin-2- yl)-1-(2-oxa-6- azaspiro[3.3]heptan-6- yl)propan-1-one 651 (M + H)+
127J
Figure US09896441-20180220-C01335
(S,E)-1-(4-acetyl- piperazin-1-yl)-3-(6- (2-(2-chloro-6- fluorophenyl)prop-1-en- 1-yl)-4-((3-(trifluoro- methyl)-phenyl)sulfonyl)- 3,4-dihydro-2H-benzo[b]- [1,4]oxazin-2-yl)propan- 1-one 694 (M + H)+
127K
Figure US09896441-20180220-C01336
1-(3-oxa-8-azabicyclo- [3.2.1]octan-8-yl)-3-((S)- 6-((E)-2-(2-chloro-6- fluorophenyl)prop-1-en-1- yl)-4-((3-(trifluoro- methyl)phenyl)sulfonyl)- 3,4-dihydro-2H- benzo[b][1,4]oxazin-2- yl)propan-1-one 679 (M + H)+
127L
Figure US09896441-20180220-C01337
(S,E)-3-(6-(2-(2-chloro-6- fluorophenyl)prop-1-en-1- yl)-4-((3-(trifluoro- methyl)phenyl)sulfonyl)- 3,4-dihydro-2H- benzo[b][1,4]oxazin-2-yl)- 1-(3-hydroxyazetidin-1- yl)propan-1-one 639 (M + H)+
127M
Figure US09896441-20180220-C01338
(S,E)-1-(3-(6-(2-(2-chloro- 6-fluorophenyl)-prop- 1-en-1-yl)-4-((3- (trifluoromethyl)phenyl)- sulfonyl)-3,4-dihydro-2H- benzo[b][1,4]oxazin-2- yl)propanoyl)azetidine-3- carbonitrile 648 (M + H)+
127N
Figure US09896441-20180220-C01339
(S,E)-N-(1-(3-(6-(2-(2- chloro-6-fluorophenyl)- prop-1-en-1-yl)-4-((3- (trifluoromethyl)phenyl)- sulfonyl)-3,4-dihydro-2H- benzo[b][1,4]oxazin-2- yl)propanoyl)azetidin-3- yl)acetamide 680 (M + H)+
Example 128—Synthesis of the Sodium Salt of (S,E)-1-(3-(6-(2-(2-Chloro-6-fluorophenyl)prop-1-en-1-yl)-4-((3-(trifluoromethyl)phenyl)sulfonyl)-3,4-dihydro-2H-benzo[b][1,4]oxazin-2-yl)propanoyl)piperidine-4-carboxylic acid
Figure US09896441-20180220-C01340
Part I—Synthesis of Ethyl (S,E)-1-(3-(6-(2-(2-Chloro-6-fluorophenyl)prop-1-en-1-yl)-4-((3-(trifluoromethyl)phenyl)sulfonyl)-3,4-dihydro-2H-benzo[b][1,4]oxazin-2-yl)propanoyl)piperidine-4-carboxylate
Figure US09896441-20180220-C01341
In a round bottomed flask was combined (S,E)-3-(6-(2-(2-chloro-6-fluorophenyl)prop-1-en-1-yl)-4-((3-(trifluoromethyl)phenyl)sulfonyl)-3,4-dihydro-2H-benzo[b][1,4]oxazin-2-yl)propanoic acid (0.20 g, 0.34 mmol), N,N-diisopropylethylamine (0.12 mL, 0.69 mmol), and ethyl isonipecotate (81 mg, 0.51 mmol) in N,N-dimethylformamide (3 mL). Added benzotriazol-1-yl-oxytripyrrolidinophosphonium hexafluorophosphate (0.19 g, 0.49 mmol) and stirred the reaction at ambient temperature for 3 hours. The solution was diluted with ethyl acetate, washed with 1 M aqueous hydrogen chloride, water, brine, dried (Na2SO4) and concentrated. The mixture was purified by column chromatography eluting with a gradient of 20-100% ethyl acetate in hexanes. Pure fractions were combined and concentrated to afford ethyl (S,E)-1-(3-(6-(2-(2-chloro-6-fluorophenyl)prop-1-en-1-yl)-4-((3-(trifluoromethyl)phenyl)sulfonyl)-3,4-dihydro-2H-benzo[b][1,4]oxazin-2-yl)propanoyl)piperidine-4-carboxylate (0.25 g, 93%).
Part II—Synthesis of the Sodium Salt of (S,E)-1-(3-(6-(2-(2-Chloro-6-fluorophenyl)prop-1-en-1-yl)-4-((3-(trifluoromethyl)phenyl)sulfonyl)-3,4-dihydro-2H-benzo[b][1,4]oxazin-2-yl)propanoyl)piperidine-4-carboxylic acid
Figure US09896441-20180220-C01342
To a solution of ethyl (S,E)-1-(3-(6-(2-(2-chloro-6-fluorophenyl)prop-1-en-1-yl)-4-((3-(trifluoromethyl)phenyl)sulfonyl)-3,4-dihydro-2H-benzo[b][1,4]oxazin-2-yl)propanoyl)piperidine-4-carboxylate (0.25 g, 0.35 mmol) in ethanol (5 mL) and tetrahydrofuran (2 mL) was added 2 M sodium hydroxide (0.52 mL, 1.04 mmol) in water. The reaction mixture was stirred at ambient temperature for 16 hours. Acidified solution with 1 M hydrogen chloride solution in water. Extracted with ethyl acetate, washed combined extracts with brine, dried (Na2SO4) and concentrated to a solid (113 mg, 72%), which was (S,E)-1-(3-(6-(2-(2-chloro-6-fluorophenyl)prop-1-en-1-yl)-4-((3-(trifluoromethyl)phenyl)sulfonyl)-3,4-dihydro-2H-benzo[b][1,4]oxazin-2-yl)propanoyl)piperidine-4-carboxylic acid having the following chemical formula:
Figure US09896441-20180220-C01343
The resulting solid carboxylic acid compound from above was converted to the sodium salt by redissolving the compound in methanol (2 mL), then adding one equivalent of a 2.962 M sodium hydroxide (55 μL) solution in water. The mixture was stirred twenty minutes, then the mixture was concentrated, then methanol was added and subsequently concentrated three times. The resulting residue was dried in a vacuum oven to afford the sodium salt of (S,E)-1-(3-(6-(2-(2-chloro-6-fluorophenyl)prop-1-en-1-yl)-4-((3-(trifluoromethyl)phenyl)sulfonyl)-3,4-dihydro-2H-benzo[b][1,4]oxazin-2-yl)propanoyl)piperidine-4-carboxylic acid (110 mg, 94%) as a white solid. 1H-NMR (400 MHz, DMSO-d6) δ 8.10 (d, 1H), 8.0 (m, 2H), 7.86 (t, 1H), 7.70 (s, 1H), 7.38 (m, 2H), 7.28 (m, 1H), 7.10 (dd, 1H), 6.88 (d, 1H), 6.37 (s, 1H), 4.41 (m, 1H), 4.03 (m, 1H), 3.68 (m, 1H), 3.48 m, 1H), 3.4 (m, 2H), 3.0 (m, 1H), 2.75 (m, 1H), 2.37 (m, 2H), 2.09 (s, 3H), 2.02 (m, 1H), 1.84 (m, 1H), 1.7 (m, 2H), 1.45 (m, 1H), 1.35 (m, 1H). MS (ESI+) ×717.26 (M+Na)+.
Example 129—Preparation of Additional Amino Acids N-Linked to Substituted Benzoxazine Carboxylic Acids
Compounds in Table 18 were prepared based on experimental procedures described in Example 128 and the detailed description.
TABLE 18
Observed
No. Structure Name m/z
129A
Figure US09896441-20180220-C01344
(S,E)-1-(3-(6-(2-chloro-6- (trifluoromethyl)styryl)-4- ((3-(trifluoromethyl)- phenyl)sulfonyl)-3,4- dihydro-2H-benzo[b]- [1,4]oxazin-2- yl)propanoyl)piperidine-4- carboxylic acid 731 (M + H)+
129B
Figure US09896441-20180220-C01345
(R)-1-(3-((S)-6-((E)-2-(2- chloro-6-fluorophenyl)- prop-1-en-1-yl)-4-((3- (trifluoromethyl)phenyl) sulfonyl)-3,4-dihydro-2H- benzo[b][1,4]oxazin-2- yl)propanoyl)pyrrolidine-3- carboxylic acid 681 (M + H)+
129C
Figure US09896441-20180220-C01346
(S)-1-(3-((S)-6-((E)-2-(2- chloro-6-fluorophenyl)- prop-1-en-1-yl)-4-((3- (trifluoromethyl)phenyl) sulfonyl)-3,4-dihydro-2H- benzo[b][1,4]oxazin-2- 1)propanoyl)pyrrolidine-3- carboxylic acid 681 (M + H)+
129D
Figure US09896441-20180220-C01347
(S,E)-1-(3-(6-(2-(2-chloro-6- fluorophenyl)-prop-1-en-1- yl)-4-((3- (trifluoromethyl)phenyl) sulfonyl)-3,4-dihydro-2H- benzo[b][1,4]oxazin-2- yl)propanoyl)azetidine-3- carboxylic acid 667 (M + H)+
129E
Figure US09896441-20180220-C01348
(S,E)-(3-(6-(2-(2-chloro-6- fluorophenyl)prop-1-en-1- yl)-4-((3-(trifluoro- methyl)phenyl)sulfonyl)- 3,4-dihydro-2H- benzo[b][1,4]oxazin-2- yl)propanoyl)glycine 641 (M + H)+
129F
Figure US09896441-20180220-C01349
(S,E)-N-(3-(6-(2-(2-chloro- 6-fluorophenyl)-prop-1-en- 1-yl)-4-((3- (trifluoromethyl)phenyl) sulfonyl)-3,4-dihydro-2H- benzo[b][1,4]oxazin-2- yl)propanoyl)-N- methylglycine 655 (M + H)+
129G
Figure US09896441-20180220-C01350
(S,E)-1-(3-(6-(2-chloro-6- (trifluoromethyl)styryl)-4- ((3-(trifluoromethyl)- phenyl)sulfonyl)-3,4- dihydro-2H- benzo[b][1,4]oxazin-2- yl)propanoyl)azetidine-3- carboxylic acid 703 (M + H)+
129H
Figure US09896441-20180220-C01351
(3-((S)-6-((E)-2-(2-chloro-6- fluorophenyl)prop-1-en-1- yl)-4-((3- (trifluoromethyl)phenyl) sulfonyl)-3,4-dihydro-2H- benzo[b][1,4]oxazin-2- yl)propanoyl)-D-proline 681 (M + H)+
129I
Figure US09896441-20180220-C01352
(S,E)-1-(3-(6-(2-(2-chloro-6- fluorophenyl)-prop-1-en-1- yl)-4-((3- (trifluoromethyl)phenyl) sulfonyl)-3,4-dihydro-2H- benzo[b][1,4]oxazin-2- yl)propanoyl)-3- methylazetidine-3- carboxylic acid 681 (M + H)+
129J
Figure US09896441-20180220-C01353
(3-((S)-6-((E)-2-(2-chloro-6- fluorophenyl)prop-1-en-1- yl)-4-((3- (trifluoromethyl)phenyl) sulfonyl)-3,4-dihydro-2H- benzo[b][1,4]oxazin-2- yl)propanoyl)-L-proline 681 (M + H)+
129K
Figure US09896441-20180220-C01354
(S,E)-1-(3-(6-(2-(2-chloro-6- fluorophenyl)-prop-1-en-1- yl)-4-((2-(2- hydroxyethoxy)-5- (trifluoromethyl)pyridin-3- yl)sulfonyl)-3,4-dihydro- 2H-benzo[b][1,4]oxazin-2- yl)propanoyl)piperidine-4- carboxylic acid 756 (M + H)+
129L
Figure US09896441-20180220-C01355
(S,E)-1-(3-(6-(2-(2-chloro-6- fluorophenyl)-prop-1-en-1- yl)-4-((2-ethoxy-5- (trifluoro-methyl)pyridin-3- yl)sulfonyl)-3,4-dihydro- 2H-benzo[b][1,4]oxazin-2- yl)propanoyl)-piperidine-4- carboxylic acid 740 (M + H)+
129M
Figure US09896441-20180220-C01356
(S,E)-1-(3-(6-(2-(2-chloro-6- fluorophenyl)-prop-1-en-1- yl)-4-((2-(2- hydroxyethoxy)-5- (trifluoromethyl)phenyl) sulfonyl)-3,4-dihydro-2H- benzo[b][1,4]oxazin-2- yl)propanoyl)piperidine-4- carboxylic acid 755 (M + H)+
129N
Figure US09896441-20180220-C01357
(S,E)-1-(3-(6-(2-(2-chloro-6- fluorophenyl)-prop-1-en-1- yl)-4-((3- (trifluoromethyl)phenyl) sulfonyl)-3,4-dihydro-2H- benzo[b][1,4]oxazin-2- yl)propanoyl)-4- methylpiperidine-4-carboxylic acid 709 (M + H)+
129O
Figure US09896441-20180220-C01358
(S,E)-1-(3-(6-(2-chloro-6- fluorostyryl)-4-((3- (trifluoromethyl)phenyl) sulfonyl)-3,4-dihydro-2H- benzo[b][1,4]oxazin-2- yl)propanoyl)piperidine-4- carboxylic acid 681 (M + H)+
129P
Figure US09896441-20180220-C01359
(S,E)-3-(3-(6-(2-(2-chloro-6- fluorophenyl)-prop-1-en-1- yl)-4-((3- (trifluoromethyl)phenyl)- sulfonyl)-3,4-dihydro-2H- benzo[b][1,4]oxazin-2- yl)propanamido)-propanoic acid 655 (M + H)+
129Q
Figure US09896441-20180220-C01360
(S,E)-3-(3-(6-(2-(2-chloro-6- fluorophenyl)prop-1-en-1- yl)-4-((3-(trifluoromethyl)- phenyl)sulfonyl)-3,4- dihydro-2H-benzo[b][1,4]- oxazin-2-yl)-N-methyl- propanamido)-propanoic acid 669 (M + H)
129R
Figure US09896441-20180220-C01361
(S)-3-(3-((S)-6-((E)-2-(2- chloro-6-fluorophenyl)prop- 1-en-1-yl)-4-((3- (trifluoromethyl)phenyl) sulfonyl)-3,4-dihydro-2H- benzo[b][1,4]oxazin-2- yl)propanamido)-2- hydroxypropanoic acid 671 (M + H)+
129S
Figure US09896441-20180220-C01362
(S,E)-1-(3-(6-(2-(2-chloro-6- fluorophenyl)prop-1-en-1- yl)-4-((3-(trifluoromethyl)- phenyl)sulfonyl)-3,4- dihydro-2H-benzo[b][1,4]- oxazin-2-yl)propanoyl)-4- hydroxypiperidine-4- carboxylic acid 711 (M + H)+
Example 130—Synthesis of (R)-(6-Phenoxy-4-((3-(trifluoromethyl)phenyl)sulfonyl)-3,4-dihydro-2H-benzo[b][1,4]oxazin-2-yl)methanol
Figure US09896441-20180220-C01363
Part I—Synthesis of tert-Butyl-[[(2R)-6-phenoxy-4-[3-(trifluoromethyl)phenyl]sulfonyl-2,3-dihydro-1,4-benzoxazin-2-yl]methoxy]-diphenyl-silane
Figure US09896441-20180220-C01364
A solution of [(2R)-6-bromo-4-[3-(trifluoromethyl)phenyl]sulfonyl-2,3-dihydro-1,4-benzoxazin-2-yl]methoxy-tert-butyl-diphenyl-silane (0.304 g, 0.440 mmol), phenol (0.092 g, 0.98 mmol), potassium carbonate (0.154 g, 1.12 mmol) and copper(II) oxide (0.113 g, 1.42 mmol) in pyridine (5 mL) was heated overnight at 170° C. The cooled mixture was filtered through a pad of Celite and rinsed with ethyl acetate. The filtrate was concentrated and the resulting residue was purified by MPLC eluting with a gradient of 0-10% ethyl acetate in hexanes to afford tert-butyl-[[(2R)-6-phenoxy-4-[3-(trifluoromethyl)phenyl]sulfonyl-2,3-dihydro-1,4-benzoxazin-2-yl]methoxy]-diphenyl-silane (0.162 g, 52%).
Part II—Synthesis of (R)-(6-Phenoxy-4-((3-(trifluoromethyl)phenyl)sulfonyl)-3,4-dihydro-2H-benzo[b][1,4]oxazin-2-yl)methanol
Figure US09896441-20180220-C01365
To a solution of tert-butyl-[[(2R)-6-phenoxy-4-[3-(trifluoromethyl)phenyl]sulfonyl-2,3-dihydro-1,4-benzoxazin-2-yl]methoxy]-diphenylsilane (0.160 g, 0.227 mmol) in THF (5 mL) at 0° C. was added 1M tetrabutylammonium fluoride in THF (0.25 mL, 0.25 mmol). After two hours, the reaction was quenched with saturated aqueous ammonium chloride solution. The mixture was extracted with ethyl acetate. The organic layer was dried (Na2SO4) and concentrated. The resulting residue was purified by MPLC eluting with a gradient of 0% to 75% ethyl acetate and hexanes to afford [(2R)-6-phenoxy-4-[3-(trifluoromethyl)phenyl]sulfonyl-2,3-dihydro-1,4-benzoxazin-2-yl]methanol (0.071 g, 66%) as a yellow oil. 1H-NMR (400 MHz, CDCl3) δ 7.93 (s, 1H), 7.86-7.83 (m, 1H), 7.62 (t, 1H), 7.49-7.48 (m, 1H), 7.36-7.31 (m, 2H), 7.12-7.07 (m, 1H), 6.98-6.77 (m, 4H), 4.35-4.30 (m, 1H), 3.83-3.43 (m, 4H), 1.81-1.78 (m, 1H). (ES, m/z): (M+Na)+ 488.
Example 131—Synthesis of (R)-(6-(2-Chlorophenoxy)-4-((3-(trifluoromethyl)phenyl)sulfonyl)-3,4-dihydro-2H-benzo[b][1,4]oxazin-2-yl)methanol
Figure US09896441-20180220-C01366
Based on the procedure in Example 130, (R)-(6-(2-chlorophenoxy)-4-((3-(trifluoromethyl)phenyl)sulfonyl)-3,4-dihydro-2H-benzo[b][1,4]oxazin-2-yl)methanol was prepared. 1H-NMR (400 MHz, CDCl3) δ 7.93-6.72 (m, 11H), 4.37-4.27 (m, 1H), 3.82-3.40 (m, 4H), 1.82-1.76 (m, 1H). (ES, m/z): (M+Na)+ 522/524.
Example 132—Synthesis of (S,E)-4-(((6-(2-(2-Chloro-6-fluorophenyl)prop-1-en-1-yl)-4-((4-fluoro-3-methoxyphenyl)sulfonyl)-3,4-dihydro-2H-benzo[b][1,4]oxazin-2-yl)methyl)amino)-4-oxobutanoic acid
Figure US09896441-20180220-C01367
Part I—Synthesis of [(2R)-6-Bromo-3,4-dihydro-2H-1,4-benzoxazin-2-yl]methanol
Figure US09896441-20180220-C01368
A 1 M solution of tetrabutylammonium fluoride in THF (30 mL, 30 mmol) was added to a solution of [(2R)-6-bromo-3,4-dihydro-2H-1,4-benzoxazin-2-yl]methoxy-tert-butyldiphenylsilane (12.9 g, 26.7 mmol) in THF (250 mL) at 0° C. The mixture was stirred overnight at room temperature. The mixture was quenched with saturated ammonium chloride, and concentrated to remove the THF. The mixture was extracted five times with ethyl acetate. The combined organic layers were dried (Na2SO4) and concentrated. The resulting residue was purified by MPLC eluting with a gradient of 0 to 100% ethyl acetate and hexanes to afford [(2R)-6-bromo-3,4-dihydro-2H-1,4-benzoxazin-2-yl]methanol (3.99 g, 56%) as a brown solid.
Part II—Synthesis of (R)-2-((6-Bromo-3,4-dihydro-2H-benzo[b][1,4]oxazin-2-yl)methyl)isoindoline-1,3-dione
Figure US09896441-20180220-C01369
To a solution of [(2R)-6-bromo-3,4-dihydro-2H-1,4-benzoxazin-2-yl]methanol (3.99 g, 16.3 mmol), phthalimide (3.00 g, 20.4 mmol) and triphenylphosphine (5.33 g, 20.3 mmol) in THF (50 mL) at 0° C., was added diisopropyl azodicarboxylate (4 mL, 20.3 mmol). The reaction mixture was stirred one hour at room temperature, and concentrated. The resulting residue was purified by MPLC eluting with a gradient of methyl tert-butyl ether and 1:1 hexanes to dichloromethane to afford (R)-2-((6-bromo-3,4-dihydro-2H-benzo[b][1,4]oxazin-2-yl)methyl)isoindoline-1,3-dione (5.08 g, 83%) as a yellow solid.
Part III—Synthesis of (S)-2-((6-Bromo-4-((3-fluoro-4-methoxyphenyl)sulfonyl)-3,4-dihydro-2H-benzo[b][1,4]oxazin-2-yl)methyl)isoindoline-1,3-dione
Figure US09896441-20180220-C01370
To a solution of 2-[[(2R)-6-bromo-3,4-dihydro-2H-1,4-benzoxazin-2-yl]methyl]isoindoline-1,3-dione (1.01 g, 2.70 mmol) in pyridine (10 mL) was added 4-fluoro-3-methoxybenzenesulfonyl chloride (0.907 g, 4.04 mmol). The reaction mixture was heated to 50° C. overnight. It was then concentrated and the resulting residue was purified by MPLC eluting with a gradient of 0-10% ethyl acetate in hexanes to afford (S)-2-((6-bromo-4-((3-fluoro-4-methoxyphenyl)sulfonyl)-3,4-dihydro-2H-benzo[b][1,4]oxazin-2-yl)methyl)isoindoline-1,3-dione (1.5 g, 99%) as a brown oil.
Part IV—Synthesis of (S,E)-2-((6-(2-(2-Chloro-6-fluorophenyl)prop-1-en-1-yl)-4-((3-fluoro-4-methoxyphenyl)sulfonyl)-3,4-dihydro-2H-benzo[b][1,4]oxazin-2-yl)methyl)isoindoline-1,3-dione
Figure US09896441-20180220-C01371
(S)-2-((6-Bromo-4-((3-fluoro-4-methoxyphenyl)sulfonyl)-3,4-dihydro-2H-benzo[b][1,4]oxazin-2-yl)methyl)isoindoline-1,3-dione (1.50 g, 2.67 mmol), (E)-2-(2-(2-chloro-6-fluorophenyl)prop-1-en-1-yl)-4,4,5,5-tetramethyl-1,3,2-dioxaborolane (1.16 g, 3.91 mmol), dioxane (18 mL), water (3 mL), and potassium carbonate (0.553 g, 4.00 mmol) were combined, and the mixture was degassed. To this mixture was added [1,1′-bis(diphenylphosphino)-ferrocene] dichloropalladium (II) complex with dichloromethane (0.277 g, 0.363 mmol), and the resulting mixture was stirred overnight at 70° C. The mixture was partitioned between water and ethyl acetate. The organic phase was washed with brine, dried (Na2SO4), and concentrated. The resulting residue was purified by MPLC eluting with a gradient of 5-10% ethyl acetate in hexanes to afford (S,E)-2-((6-(2-(2-chloro-6-fluorophenyl)prop-1-en-1-yl)-4-((3-fluoro-4-methoxyphenyl)sulfonyl)-3,4-dihydro-2H-benzo[b][1,4]oxazin-2-yl)methyl)isoindoline-1,3-dione (1.26 g, 72%) as a brown/red semi-solid.
Part V—Synthesis of (S,E)-(6-(2-(2-Chloro-6-fluorophenyl)prop-1-en-1-yl)-4-((3-fluoro-4-methoxyphenyl)sulfonyl)-3,4-dihydro-2H-benzo[b][1,4]oxazin-2-yl)methanamine
Figure US09896441-20180220-C01372
To a solution (S,E)-2-((6-(2-(2-chloro-6-fluorophenyl)prop-1-en-1-yl)-4-((3-fluoro-4-methoxyphenyl)sulfonyl)-3,4-dihydro-2H-benzo[b][1,4]oxazin-2-yl)methyl)isoindoline-1,3-dione (1.2 g, 1.84 mmol) in methanol (20 mL) and methyl tert-butyl ether (20 mL) was added hydrazine monohydrate (1.0 mL, 20.6 mmol). The mixture was stirred at room temperature overnight, and then diluted with methyl tert-butyl ether (50 mL). The mixture was filtered, and the filtrate was concentrated. The resulting residue was dissolved in chloroform, dried (Na2SO4) and concentrated to afford (S,E)-(6-(2-(2-chloro-6-fluorophenyl)prop-1-en-1-yl)-4-((3-fluoro-4-methoxyphenyl)sulfonyl)-3,4-dihydro-2H-benzo[b][1,4]oxazin-2-yl)methanamine (0.791 g, 82%) as an oil.
Part VI—Synthesis of (S,E)-4-(((6-(2-(2-Chloro-6-fluorophenyl)prop-1-en-1-yl)-4-((4-fluoro-3-methoxyphenyl)sulfonyl)-3,4-dihydro-2H-benzo[b][1,4]oxazin-2-yl)methyl)amino)-4-oxobutanoic acid
Figure US09896441-20180220-C01373
To a solution of (S,E)-(6-(2-(2-chloro-6-fluorophenyl)prop-1-en-1-yl)-4-((3-fluoro-4-methoxyphenyl)sulfonyl)-3,4-dihydro-2H-benzo[b][1,4]oxazin-2-yl)methanamine (0.073 g, 0.141 mmol) in 1,4-dioxane (2 mL) was added succinic anhydride (0.0173 g, 0.173 mmol). The reaction mixture was warmed to 50° C., and stirred overnight. The reaction mixture was concentrated and the resulting residue was suspended in water (5 mL). The mixture was filtered and the solid was dried under vacuum to afford (S,E)-4-(((6-(2-(2-chloro-6-fluorophenyl)prop-1-en-1-yl)-4-((4-fluoro-3-methoxyphenyl)sulfonyl)-3,4-dihydro-2H-benzo[b][1,4]oxazin-2-yl)methyl)amino)-4-oxobutanoic acid (0.042 g, 44%) as an off white solid. 1H-NMR (400 MHz, CDCl3) δ 7.88 (d, 1H), 7.37-7.00 (m, 6H), 6.83 (d, 1H), 6.38 (s, 1H0, 6.07 (t, 1H), 4.33-4.28 (m, 1H), 4.31 (dd, 1H), 3.76 (s, 3H), 3.58-3.42 (m, 3H), 3.24-3.18 (m, 1H), 2.75-2.48 (m, 4H), 2.19 (s, 3H).
Example 133—Synthesis of Methyl (S,E)-4-(((6-(2-(2-chloro-6-fluorophenyl)prop-1-en-1-yl)-4-((4-fluoro-3-methoxyphenyl)sulfonyl)-3,4-dihydro-2H-benzo[b][1,4]oxazin-2-yl)methyl)carbamoyl)benzoate
Figure US09896441-20180220-C01374
To a solution of (S,E)-(6-(2-(2-chloro-6-fluorophenyl)prop-1-en-1-yl)-4-((3-fluoro-4-methoxyphenyl)sulfonyl)-3,4-dihydro-2H-benzo[b][1,4]oxazin-2-yl)methanamine (0.068 g, 0.13 mmol) and triethylamine (0.037 mL, 0.27 mmol) dissolved in dichloromethane (2 mL) at 0° C. was added methyl 4-(chlorocarbonyl)benzoate (0.0323 g, 0.163 mmol). The reaction mixture was stirred overnight, with warming to room temperature. The solvent was removed and the resulting residue was purified by MPLC eluting with a gradient of ethyl acetate and hexanes to afford methyl (S,E)-4-(((6-(2-(2-chloro-6-fluorophenyl)prop-1-en-1-yl)-4-((4-fluoro-3-methoxyphenyl)sulfonyl)-3,4-dihydro-2H-benzo[b][1,4]oxazin-2-yl)methyl)carbamoyl)benzoate (0.048 g, 53%) as a light yellow oil. 1H-NMR (400 MHz, CDCl3) δ 8.13-8.10 (m. 2H), 7.88-7.81 (m, 3H), 7.33-7.00 (m, 7H), 6.87 (d. 1H), 6.53 (t, 1H), 6.38 (s, 1H), 4.35 (dd, 1H), 3.95 (s, 3H), 3.77 (s, 3H), 3.76-3.62 (m, 3H), 3.34 (dd, 1H), 2.19 (s, 1H).
Example 134—Synthesis of (S,E)-4-(((6-(2-(2-Chloro-6-fluorophenyl)prop-1-en-1-yl)-4-((4-fluoro-3-methoxyphenyl)sulfonyl)-3,4-dihydro-2H-benzo[b][1,4]oxazin-2-yl)methyl)carbamoyl)benzoic acid
Figure US09896441-20180220-C01375
Based on the procedure in Example 42, (S,E)-4-(((6-(2-(2-chloro-6-fluorophenyl)prop-1-en-1-yl)-4-((4-fluoro-3-methoxyphenyl)sulfonyl)-3,4-dihydro-2H-benzo[b][1,4]oxazin-2-yl)methyl)carbamoyl)benzoic acid was prepared. 1H-NMR (400 MHz, CDCl3) δ 8.18 (d, 2H), 7.88-7.85 (m, 3H), 7.34-7.00 (m, 7H), 6.87 (d, 1H), 6.56 (t, 1H), 6.38 (s, 1H), 4.38-4.34 (m, 1H), 3.78 (s, 3H), 3.75-3.63 (m, 3H), 3.38-3.32 (m, 1H), 2.20 (s, 3H). (ES, m/z): (M−H) 667/669.
Example 135—Preparation of Additional Benzoxazines N-Linked to a Dicarboxylic Acid
Compounds in Table 19 were prepared based on experimental procedures described in Example 128 and the detailed description.
TABLE 19
Observed
No. Structure Name m/z
135A
Figure US09896441-20180220-C01376
(S,E)-3-(((6-(2-(2-chloro-6- fluorophenyl)prop-1-en-1- yl)-4-((4-fluoro-3- methoxyphenyl)sulfonyl)- 3,4-dihydro-2H- benzo[b][1,4]oxazin-2- yl)methyl)carbamoyl)benzoic acid 669 (M + H)+
135B
Figure US09896441-20180220-C01377
(S,E)-2-(((6-(2-(2-chloro-6- fluorophenyl)prop-1-en-1- yl)-4-((4-fluoro-3- methoxyphenyl)sulfonyl)- 3,4-dihydro-2H- benzo[b][1,4]oxazin-2- yl)methyl)amino)-2- oxoacetic acid 593 (M + H)+
135C
Figure US09896441-20180220-C01378
(1S,4r)-4-((((S)-6-((E)-2-(2- chloro-6-fluoro- phenyl)prop-1-en-1-yl)-4- ((4-fluoro-3-methoxy- phenyl)sulfonyl)-3,4- dihydro-2H- benzo[b][1,4]oxazin-2- yl)methyl)carbamoyl)- cyclohexane-1-carboxylic acid 675 (M + H)+
Example 136—Synthesis of ((2R,3R)-6-((E)-2-Chloro-6-fluorostyryl)-4-((4-fluoro-3-methoxyphenyl)sulfonyl)-3-methyl-3,4-dihydro-2H-benzo[b][1,4]oxazin-2-yl)methanol
Figure US09896441-20180220-C01379
Part I—Synthesis of (2R,3R)-3-((4-Bromo-2-fluorophenyl)amino)butane-1,2-diol
Figure US09896441-20180220-C01380
5-Bromo-2-fluoroaniline (6.5 g, 34.21 mmol) and hexaethoxytungsten (772 mg, 1.70 mmol) were added to a solution of [(2S,3S)-3-methyloxiran-2-yl]methanol (1.5 g, 17.03 mmol) in acetonitrile (100 mL) and was stirred overnight at 55° C. The mixture was concentrated and the resulting residue was purified by MPLC eluting with a gradient of 5-66% ethyl acetate in petroleum ether to afford (2R,3R)-3-((4-bromo-2-fluorophenyl)amino)butane-1,2-diol (2.8 g, 59%) as a yellow oil.
Part II—Synthesis of (2R,3R)-3-((4-((E)-2-Chloro-6-fluorostyryl)-2-fluorophenyl)-amino)butane-1,2-diol
Figure US09896441-20180220-C01381
A mixture of (2R,3R)-3-((4-bromo-2-fluorophenyl)amino)butane-1,2-diol (1.8 g, 6.47 mmol), toluene (48 mL), ethanol (16 mL), water (8 mL), tetrakis(triphenyl-phosphine)palladium(0) (750 mg, 0.65 mmol), sodium carbonate (2.8 g, 26.42 mmol), and (E)-2-(2-chloro-6-fluorostyryl)-4,4,5,5-tetramethyl-1,3,2-dioxaborolane (2.2 g, 7.79 mmol) was stirred for four hours at 80° C. The mixture was concentrated. The resulting residue was purified via MPLC eluting with a gradient of 5-66% ethyl acetate in petroleum ether to afford (2R,3R)-3-((4-((E)-2-chloro-6-fluorostyryl)-2-fluorophenyl)-amino)butane-1,2-diol (1.6 g, 70%) as a yellow oil.
Part III—Synthesis of (2R,3R)-1-((tert-Butyldimethylsilyl)oxy)-3-((4-((E)-2-chloro-6-fluorostyryl)-2-fluorophenyl)amino)butan-2-ol
Figure US09896441-20180220-C01382
tert-Butyldimethylsilyl chloride (746 mg, 4.97 mmol) and imidazole (1.22 g, 17.92 mmol) were added to a solution of (2R,3R)-3-((4-((E)-2-chloro-6-fluorostyryl)-2-fluorophenyl)-amino)butane-1,2-diol (1.6 g, 4.52 mmol) in dichloromethane (60 mL). The mixture was stirred overnight at room temperature. The solution was washed twice with water, brine, dried (Na2SO4) and concentrated to afford (2R,3R)-1-((tert-butyldimethylsilyl)oxy)-3-((4-((E)-2-chloro-6-fluorostyryl)-2-fluorophenyl)amino)butan-2-ol (1.8 g, 85%) as a yellow oil.
Part IV—Synthesis of N-((2R,3R)-4-((tert-Butyldimethylsilyl)oxy)-3-hydroxybutan-2-yl)-N-(4-((E)-2-chloro-6-fluorostyryl)-2-fluorophenyl)-4-fluoro-3-methoxybenzenesulfonamide
Figure US09896441-20180220-C01383
A mixture of (2R,3R)-1-((tert-butyldimethylsilyl)oxy)-3-((4-((E)-2-chloro-6-fluorostyryl)-2-fluorophenyl)amino)butan-2-ol (1.8 g, 3.85 mmol), pyridine (50 mL), and 4-fluoro-3-methoxybenzene-1-sulfonyl chloride (1.7 g, 7.57 mmol) was stirred overnight at room temperature. The mixture was concentrated, and the resulting residue was purified via MPLC eluting with a gradient of 5-50% ethyl acetate in petroleum ether to afford N-((2R,3R)-4-((tert-butyldimethylsilyl)oxy)-3-hydroxybutan-2-yl)-N-(4-((E)-2-chloro-6-fluorostyryl)-2-fluorophenyl)-4-fluoro-3-methoxybenzenesulfonamide (243 mg, 10%) as a yellow oil.
Part V—Synthesis of (2R,3R)-2-(((tert-Butyldimethylsilyl)oxy)methyl)-6-((E)-2-chloro-6-fluorostyryl)-4-((4-fluoro-3-methoxyphenyl)sulfonyl)-3-methyl-3,4-dihydro-2H-benzo[b][1,4]oxazine
Figure US09896441-20180220-C01384
A mixture of N-((2R,3R)-4-((tert-butyldimethylsilyl)oxy)-3-hydroxybutan-2-yl)-N-(4-((E)-2-chloro-6-fluorostyryl)-2-fluorophenyl)-4-fluoro-3-methoxybenzenesulfonamide (243 mg, 0.37 mmol), tetrahydrofuran (10 mL) and potassium tert-butoxide (124 mg, 1.11 mmol) was heated at reflux for two hours. The reaction mixture was cooled, concentrated, and the resulting residue was purified by MPLC eluting with a gradient of 2-20% ethyl acetate to petroleum ether to afford (2R,3R)-2-(((tert-butyldimethylsilyl)oxy)methyl)-6-((E)-2-chloro-6-fluorostyryl)-4-((4-fluoro-3-methoxyphenyl)sulfonyl)-3-methyl-3,4-dihydro-2H-benzo[b][1,4]oxazine (150 mg, 64%) as a white solid.
Part VI—Synthesis of ((2R,3R)-6-((E)-2-Chloro-6-fluorostyryl)-4-((4-fluoro-3-methoxyphenyl)sulfonyl)-3-methyl-3,4-dihydro-2H-benzo[b][1,4]oxazin-2-yl)methanol
Figure US09896441-20180220-C01385
6M Hydrogen chloride (3 mL) was added to a solution of (2R,3R)-2-(((tert-butyldimethylsilyl)oxy)methyl)-6-((E)-2-chloro-6-fluorostyryl)-4-((4-fluoro-3-methoxyphenyl)sulfonyl)-3-methyl-3,4-dihydro-2H-benzo[b][1,4]oxazine (150 mg, 0.24 mmol) in tetrahydrofuran (10 mL). The solution was stirred for two hours at room temperature. The pH value of the solution was adjusted to 8-9 with solid sodium carbonate. The resulting solution was extracted twice with ethyl acetate. The combined organic layers were washed with water, brine, dried (Na2SO4) and concentrated. The resulting residue was re-crystallized from n-heptane to afford ((2R,3R)-6-((E)-2-chloro-6-fluorostyryl)-4-((4-fluoro-3-methoxyphenyl)sulfonyl)-3-methyl-3,4-dihydro-2H-benzo[b][1,4]oxazin-2-yl)methanol (105 mg, 85%) as an off-white solid. 1H-NMR (400 MHz, CD3OD) δ 8.10 (s, 1H), 7.14-7.40 (m, 9H), 6.91 (d, J=8.4 Hz, 1H), 4.62-4.67 (m, 1H), 3.81 (s, 3H), 3.65 (m, 1H), 3.48-3.58 (m, 1H), 3.26 (m, 1H), 1.18 (d, J=6.8 Hz, 3H). (ES, m/z): (M+H)+ 522.
Example 137—Synthesis of (S,E)-N-((6-(2-(2-Chloro-6-fluorophenyl)prop-1-en-1-yl)-4-((4-fluoro-3-methoxyphenyl)sulfonyl)-3,4-dihydro-2H-benzo[b][1,4]oxazin-2-yl)methyl)acetamide
Figure US09896441-20180220-C01386
Part I—Synthesis of (2R,3R)-3-((4-((E)-2-(2-Chloro-6-fluorophenyl)prop-1-en-1-yl)-2-fluorophenyl)amino)butane-1,2-diol
Figure US09896441-20180220-C01387
A mixture of (2R,3R)-3-((4-bromo-2-fluorophenyl)amino)butane-1,2-diol (1.8 g, 6.47 mmol), toluene (33 mL), ethanol (11 mL), water (5.5 mL), tetrakis(triphenyl-phosphine)palladium(0) (416 mg, 0.36 mmol), sodium carbonate (1.53 g, 14.44 mmol), and (E)-2-(2-(2-chloro-6-fluorophenyl)prop-1-en-1-yl)-4,4,5,5-tetramethyl-1,3,2-dioxaborolane (1.3 g, 4.38 mmol) was stirred for four hours at 80° C. The resulting mixture was concentrated. The resulting residue was purified via MPLC eluting with a gradient of 5-50% ethyl acetate in petroleum ether to afford (2R,3R)-3-((4-((E)-2-(2-chloro-6-fluorophenyl)prop-1-en-1-yl)-2-fluorophenyl)amino)butane-1,2-diol (1.3 g, 98%) as a yellow oil.
Part II—Synthesis of (2R,3R)-1-((tert-Butyldimethylsilyl)oxy)-3-((4-((E)-2-(2-chloro-6-fluorophenyl)prop-1-en-1-yl)-2-fluorophenyl)amino)butan-2-ol
Figure US09896441-20180220-C01388
tert-Butyldimethylsilyl chloride (583 mg, 3.89 mmol) and imidazole (0.952 g, 14.0 mmol) were added to a solution of (2R,3R)-3-((4-((E)-2-(2-chloro-6-fluorophenyl)prop-1-en-1-yl)-2-fluorophenyl)amino)butane-1,2-diol (1.3 g, 3.53 mmol) in dichloromethane (50 mL). The mixture was stirred for four hours at room temperature. The solution was washed twice with water, brine, dried (Na2SO4) and concentrated to afford (2R,3R)-1-((tert-butyldimethylsilyl)oxy)-3-((4-((E)-2-(2-chloro-6-fluorophenyl)prop-1-en-1-yl)-2-fluorophenyl)amino)butan-2-ol (1.40 g, 82%) as a yellow oil.
Part III—Synthesis of N-((2R,3R)-4-((tert-Butyldimethylsilyl)oxy)-3-hydroxybutan-2-yl)-N-(4-((E)-2-(2-chloro-6-fluorophenyl)prop-1-en-1-yl)-2-fluorophenyl)-4-fluoro-3-methoxybenzenesulfonamide
Figure US09896441-20180220-C01389
A mixture of (2R,3R)-1-((tert-butyldimethylsilyl)oxy)-3-((4-((E)-2-(2-chloro-6-fluorophenyl)prop-1-en-1-yl)-2-fluorophenyl)amino)butan-2-ol (1.4 g, 2.90 mmol), pyridine (50 mL), and 4-fluoro-3-methoxybenzene-1-sulfonyl chloride (1.3 g, 5.8 mmol) was stirred overnight at room temperature. The mixture was concentrated, and the resulting residue was purified via MPLC eluting with a gradient of 5-50% ethyl acetate in petroleum ether to afford N-((2R,3R)-4-((tert-butyldimethylsilyl)oxy)-3-hydroxybutan-2-yl)-N-(4-((E)-2-(2-chloro-6-fluorophenyl)prop-1-en-1-yl)-2-fluorophenyl)-4-fluoro-3-methoxybenzenesulfonamide (230 mg, 12%) as a yellow oil.
Part IV—Synthesis (2R,3R)-2-(((tert-Butyldimethylsilyl)oxy)methyl)-6-((E)-2-(2-chloro-6-fluorophenyl)prop-1-en-1-yl)-4-((4-fluoro-3-methoxyphenyl)sulfonyl)-3-methyl-3,4-dihydro-2H-benzo[b][1,4]oxazine
Figure US09896441-20180220-C01390
A mixture of N-((2R,3R)-4-((tert-butyldimethylsilyl)oxy)-3-hydroxybutan-2-yl)-N-(4-((E)-2-(2-chloro-6-fluorophenyl)prop-1-en-1-yl)-2-fluorophenyl)-4-fluoro-3-methoxybenzenesulfonamide (230 mg, 0.34 mmol), tetrahydrofuran (10 mL) and potassium tert-butoxide (115 mg, 1.02 mmol) was was heated at reflux for two hours. The reaction mixture was cooled, concentrated, and the resulting residue was purified by MPLC eluting with a gradient of 5-20% ethyl acetate to petroleum ether to afford (2R,3R)-2-(((tert-butyldimethylsilyl)oxy)methyl)-6-((E)-2-(2-chloro-6-fluorophenyl)prop-1-en-1-yl)-4-((4-fluoro-3-methoxyphenyl)sulfonyl)-3-methyl-3,4-dihydro-2H-benzo[b][1,4]oxazine (165 mg, 74%) as a yellow oil.
Part V—Synthesis of ((2R,3R)-6-((E)-2-(2-Chloro-6-fluorophenyl)prop-1-en-1-yl)-4-((4-fluoro-3-methoxyphenyl)sulfonyl)-3-methyl-3,4-dihydro-2H-benzo[b][1,4]oxazin-2-yl)methanol
Figure US09896441-20180220-C01391
6 M Hydrogen chloride (3 mL) was added to a solution of (2R,3R)-2-(((tert-butyldimethylsilyl)oxy)methyl)-6-((E)-2-(2-chloro-6-fluorophenyl)prop-1-en-1-yl)-4-((4-fluoro-3-methoxyphenyl)sulfonyl)-3-methyl-3,4-dihydro-2H-benzo[b][1,4]oxazine (165 mg, 0.25 mmol) in tetrahydrofuran (10 mL). The solution was stirred for two hours at room temperature. The pH value of the solution was adjusted to 8-9 with solid sodium carbonate. The resulting solution was extracted twice with ethyl acetate. The combined organic layers were washed with water, brine, dried (Na2SO4) and concentrated. The resulting residue was re-crystallized from n-heptane to afford ((2R,3R)-6-((E)-2-(2-chloro-6-fluorophenyl)prop-1-en-1-yl)-4-((4-fluoro-3-methoxyphenyl)sulfonyl)-3-methyl-3,4-dihydro-2H-benzo[b][1,4]oxazin-2-yl)methanol (125 mg, 92%) as a white solid.
Part VI—Synthesis of 2-(((2S,3R)-6-((E)-2-(2-Chloro-6-fluorophenyl)prop-1-en-1-yl)-4-((4-fluoro-3-methoxyphenyl)sulfonyl)-3-methyl-3,4-dihydro-2H-benzo[b][1,4]oxazin-2-yl)methyl)isoindoline-1,3-dione
Figure US09896441-20180220-C01392
Diisopropyl diazodicarboxylate (94 mg, 0.46 mmol) was added to a solution of ((2R,3R)-6-((E)-2-(2-chloro-6-fluorophenyl)prop-1-en-1-yl)-4-((4-fluoro-3-methoxyphenyl)sulfonyl)-3-methyl-3,4-dihydro-2H-benzo[b][1,4]oxazin-2-yl)methanol (125 mg, 0.23 mmol), triphenylphosphine (122 mg, 0.47 mmol), tetrahydrofuran (15 mL), and 2,3-dihydro-1H-isoindole-1,3-dione (68 mg, 0.46 mmol). The resulting solution was stirred overnight at room temperature and concentrated. The resulting residue was purified via MPLC eluting with a gradient of 5-50% ethyl acetate in petroleum ether to afford 2-(((2S,3R)-6-((E)-2-(2-chloro-6-fluorophenyl)prop-1-en-1-yl)-4-((4-fluoro-3-methoxyphenyl)sulfonyl)-3-methyl-3,4-dihydro-2H-benzo[b][1,4]oxazin-2-yl)methyl)isoindoline-1,3-dione (152 mg, 98%) as a yellow oil.
Part VII—Synthesis of ((2S,3R)-6-((E)-2-(2-Chloro-6-fluorophenyl)prop-1-en-1-yl)-4-((4-fluoro-3-methoxyphenyl)sulfonyl)-3-methyl-3,4-dihydro-2H-benzo[b][1,4]oxazin-2-yl)methanamine
Figure US09896441-20180220-C01393
A mixture of 2-(((2S,3R)-6-((E)-2-(2-chloro-6-fluorophenyl)prop-1-en-1-yl)-4-((4-fluoro-3-methoxyphenyl)sulfonyl)-3-methyl-3,4-dihydro-2H-benzo[b][1,4]oxazin-2-yl)methyl)isoindoline-1,3-dione (152 mg, 0.23 mmol), tetrahydrofuran (10 mL), and hydrazine hydrate (3 mL) was stirred overnight at 50° C. The resulting mixture was concentrated and was diluted with water. The mixture was extracted three times with ethyl acetate. The combined organic layers were washed with water, brine, dried (Na2SO4), and concentrated to afford ((2S,3R)-6-((E)-2-(2-chloro-6-fluorophenyl)prop-1-en-1-yl)-4-((4-fluoro-3-methoxyphenyl)sulfonyl)-3-methyl-3,4-dihydro-2H-benzo[b][1,4]oxazin-2-yl)methanamine (101 mg, 83%) as a yellow oil.
Part VIII—Synthesis of (S,E)-N-((6-(2-(2-Chloro-6-fluorophenyl)prop-1-en-1-yl)-4-((4-fluoro-3-methoxyphenyl)sulfonyl)-3,4-dihydro-2H-benzo[b][1,4]oxazin-2-yl)methyl)acetamide
Figure US09896441-20180220-C01394
A mixture of ((2S,3R)-6-((E)-2-(2-chloro-6-fluorophenyl)prop-1-en-1-yl)-4-((4-fluoro-3-methoxyphenyl)sulfonyl)-3-methyl-3,4-dihydro-2H-benzo[b][1,4]oxazin-2-yl)methanamine (100 mg, 0.19 mmol) in dichloromethane (10 mL), TEA (76 mg, 0.75 mmol, 4.00 equiv). This was followed by the addition of acetic anhydride (23 mg, 0.23 mmol, 1.20 equiv) dropwise with stirring. The resulting solution was stirred for 3 h at room temperature. The reaction was then quenched by the addition of water (20 mL). The resulting solution was extracted twice with dichloromethane and the organic layers were combined, dried (Na2SO4), and concentrated. The resulting residue was purified by Prep-HPLC eluting with 0.05% trifluoroacetic acid to afford 35 mg (32%) of (S,E)-N-((6-(2-(2-chloro-6-fluorophenyl)prop-1-en-1-yl)-4-((4-fluoro-3-methoxyphenyl)sulfonyl)-3,4-dihydro-2H-benzo[b][1,4]oxazin-2-yl)methyl)acetamide as a white solid. 1H-NMR (400 MHz, CD3OD) δ 8.01 (s, 1H), 7.27-7.35 (m, 4H), 7.12-7.19 (m, 4H), 6.91 (d, J=8.4 Hz, 1H), 6.40 (s, 1H), 4.53-4.59 (m, 1H), 3.74 (s, 3H), 3.33-3.41 (m, 1H), 3.15-3.32 (m, 2H), 2.24 (s, 3H), 1.97 (s, 3H), 1.18 (d, J=6.8 Hz, 3H). (ES, m/z): (M+H)+ 577.
Example 138—Synthesis of (R)-(7-((2-Chloro-6-fluorobenzyl)oxy)-1-((4-fluoro-3-methoxyphenyl)sulfonyl)-2-methyl-1,2-dihydroquinolin-3-yl)methanol
Figure US09896441-20180220-C01395
Part I—Synthesis of 4-Hydroxy-2-nitrobenzaldehyde
Figure US09896441-20180220-C01396
To a stirred solution of 4-methoxy-2-nitrobenzaldehyde (4.5 g, 24.84 mmol) in dichloromethane (100 mL) at 0° C. was added boron tribromide (8 mL, 84.5 mmol) dropwise. The mixture was stirred for thirty minutes at 0° C. and an additional four hours at room temperature. The reaction mixture was poured into ice water (200 mL) and stirred for two days. The mixture was extracted twice with ethyl acetate. The combined organic layers were washed with water, brine, dried (Na2SO4) and concentrated. The resulting residue was purified via MPLC eluting with a gradient of ethyl acetate/petroleum ether (1:15-1:5) to afford 4-hydroxy-2-nitrobenzaldehyde (2.55 g, 61%) as an orange solid.
Part II—Synthesis of 4-((2-Chloro-6-fluorobenzyl)oxy)-2-nitrobenzaldehyde
Figure US09896441-20180220-C01397
To a stirred mixture of 4-hydroxy-2-nitrobenzaldehyde (2.55 g, 15.26 mmol) and potassium carbonate (6.33 g, 45.80 mmol) in acetonitrile (50 mL) was added 2-(bromomethyl)-1-chloro-3-fluorobenzene (4.47 g, 20.00 mmol) dropwise. The mixture was stirred overnight and concentrated. The resulting residue was diluted with water, and extracted three times with ethyl acetate. The combined organic layers were washed with water, brine, dried (Na2SO4) and concentrated. The resulting residue was purified via MPLC eluting with a gradient of ethyl acetate/petroleum ether (1:40-1:20) to afford 4-((2-chloro-6-fluorobenzyl)oxy)-2-nitrobenzaldehyde (2.83 g, 60%) as a yellow solid.
Part III—Synthesis of 2-amino-4-((2-chloro-6-fluorobenzyl)oxy)benzaldehyde
Figure US09896441-20180220-C01398
A mixture of powdered iron (3.2 g, 55 mmol), ethanol (100 mL), water (15 mL), and acetic acid (660 mg, 10.99 mmol) was heated to reflux for thirty minutes. This was followed by the addition of 4-[(2-chloro-6-fluorophenyl)methoxy]-2-nitrobenzaldehyde (3.5 g, 11.30 mmol) in ethanol (30 mL) dropwise with stirring. The mixture was refluxed for an additional three hours, cooled, and filtered. The filtrate was concentrated, diluted with water, and extracted three times ethyl acetate. The combined organic layers were washed with water, brine, dried (Na2SO4) and concentrated. The resulting residue was purified via MPLC eluting with a gradient of ethyl acetate/petroleum ether (1:20-1:15) to afford 2-amino-4-((2-chloro-6-fluorobenzyl)oxy)benzaldehyde (2.42 g, 77%) as a yellow solid.
Part IV—Synthesis of N-(5-((2-chloro-6-fluorobenzyl)oxy)-2-formylphenyl)-4-fluoro-3-methoxybenzenesulfonamide
Figure US09896441-20180220-C01399
To a mixture of 2-amino-4-((2-chloro-6-fluorobenzyl)oxy)benzaldehyde (1.0 g, 3.58 mmol), dichloromethane (40 mL), and 4-fluoro-3-methoxybenzene-1-sulfonyl chloride (1.6 g, 7.12 mmol) was added pyridine (1.4 g, 17.70 mmol) dropwise. The mixture was refluxed for overnight, cooled, and diluted with water. The mixture was extracted with ethyl acetate. The organic layer was washed with 1 M HCl, water, brine, dried (Na2SO4), and concentrated. The resulting residue was purified via MPLC eluting with ethyl acetate/petroleum ether (1:10) to afford N-(5-((2-chloro-6-fluorobenzyl)oxy)-2-formylphenyl)-4-fluoro-3-methoxybenzenesulfonamide (1.0 g, 60%) as a yellow solid.
Part V—Synthesis of (R)-7-((2-Chloro-6-fluorobenzyl)oxy)-1-((4-fluoro-3-methoxyphenyl)sulfonyl)-2-methyl-1,2-dihydroquinoline-3-carbaldehyde
Figure US09896441-20180220-C01400
A mixture of N-(5-((2-chloro-6-fluorobenzyl)oxy)-2-formylphenyl)-4-fluoro-3-methoxybenzenesulfonamide (1.1 g, 2.35 mmol), dichloromethane (30 mL), 4 Å MS (1.0 g), sodium acetate (580 mg, 7.05 mmol), and (2E)-but-2-enal (830 mg, 11.84 mmol) was stirred for ten minutes. To the mixture was added (2S)-2-diphenyl[(triethylsilyl)oxy]methylpyrrolidine (110 mg, 0.30 mmol). The reaction mixture was stirred for a day at room temperature. Added water and extracted twice with ethyl acetate. The organic layers were combined, washed with water, brine, dried (Na2SO4) and concentrated. The resulting residue was purified via MPLC eluting with a gradient of ethyl acetate/petroleum ether (1:10-1:8) to afford (R)-7-((2-chloro-6-fluorobenzyl)oxy)-1-((4-fluoro-3-methoxyphenyl)sulfonyl)-2-methyl-1,2-dihydroquinoline-3-carbaldehyde (960 mg, 79%) as a light yellow solid.
Part VI—Synthesis of (R)-(7-((2-Chloro-6-fluorobenzyl)oxy)-1-((4-fluoro-3-methoxyphenyl)sulfonyl)-2-methyl-1,2-dihydroquinolin-3-yl)methanol
Figure US09896441-20180220-C01401
To a solution of (R)-7-((2-chloro-6-fluorobenzyl)oxy)-1-((4-fluoro-3-methoxyphenyl)sulfonyl)-2-methyl-1,2-dihydroquinoline-3-carbaldehyde (120 mg, 0.23 mmol) in methanol (10 mL) at 0° C. was added cerium (III) chloride heptahydrate (130 mg, 0.35 mmol). After thirty minutes, sodium borohydride (10 mg, 0.26 mmol) was added in small portions at 0° C. The resulting solution was stirred an additional thirty minutes at 0° C., and then water was added. The mixture was extracted three times with ethyl acetate. The combined organic layers were washed with water, brine, dried (Na2SO4) and concentrated. The resulting residue was purified via MPLC eluting with a gradient of ethyl acetate/petroleum ether (1:4-1:2). The major UV active fraction was concentrated and further purified by reverse phase Prep-HPLC eluting with a gradient of acetonitrile in water (50.0% to 72.0%) to afford (R)-(7-((2-chloro-6-fluorobenzyl)oxy)-1-((4-fluoro-3-methoxyphenyl)sulfonyl)-2-methyl-1,2-dihydroquinolin-3-yl)methanol (39.9 mg, 33%) as a white solid. 1H-NMR (400 MHz, CDCl3) δ 1.20 (d, J=6.8 Hz, 3H), 3.66 (s, 3H), 4.02 (s, 2H), 4.92 (q, J=6.8 Hz, 1H), 5.25 (s, 2H), 5.93 (s, 1H), 6.82-6.88 (m, 2H), 6.90-7.03 (m, 2H), 7.05-7.14 (m, 2H), 7.25-7.38 (m, 2H), 7.49 (s, 1H). (ES, m/z): (M+H-H2O)+ 504.1.
Example 139—Synthesis of (R)-(7-((2-Chloro-6-fluorobenzyl)oxy)-1-((4-fluoro-3-methoxyphenyl)sulfonyl)-2-methyl-1,2-dihydroquinolin-3-yl)methanamine
Figure US09896441-20180220-C01402
Part I—Synthesis of (R)-2-((7-((2-chloro-6-fluorobenzyl)oxy)-1-((4-fluoro-3-methoxyphenyl)sulfonyl)-2-methyl-1,2-dihydroquinolin-3-yl)methyl)isoindoline-1,3-dione
Figure US09896441-20180220-C01403
To a stirred solution of (R)-(7-((2-chloro-6-fluorobenzyl)oxy)-1-((4-fluoro-3-methoxyphenyl)sulfonyl)-2-methyl-1,2-dihydroquinolin-3-yl)methanol (525 mg, 1.00 mmol), triphenylphosphine (520 mg, 1.98 mmol), and 2,3-dihydro-1H-isoindole-1,3-dione (220 mg, 1.50 mmol) in anhydrous tetrahydrofuran (30 mL) at room temperature was added diisopropyldiazodicarboxylate (404 mg, 2.00 mmol) dropwise. The mixture was stirred for one hour and then diluted with water. The mixture was extracted three times with ethyl acetate. The combined organic layers were washed with water, brine, dried (Na2SO4) and concentrated. The resulting residue was purified via MPLC eluting with ethyl acetate/petroleum ether (1:8) as eluent to afford (R)-2-((7-((2-chloro-6-fluorobenzyl)oxy)-1-((4-fluoro-3-methoxyphenyl)sulfonyl)-2-methyl-1,2-dihydroquinolin-3-yl)methyl)isoindoline-1,3-dione (620 mg, 95%) as a light yellow solid.
Part II—Synthesis of (R)-(7-((2-Chloro-6-fluorobenzyl)oxy)-1-((4-fluoro-3-methoxyphenyl)sulfonyl)-2-methyl-1,2-dihydroquinolin-3-yl)methanamine
Figure US09896441-20180220-C01404
To a solution of (R)-2-((7-((2-chloro-6-fluorobenzyl)oxy)-1-((4-fluoro-3-methoxyphenyl)sulfonyl)-2-methyl-1,2-dihydroquinolin-3-yl)methyl)isoindoline-1,3-dione (150 mg, 0.23 mmol) in ethanol (10 mL) was added 80% hydrazine in water (80%, 1 mL). The reaction mixture was heated to reflux for two hours and then concentrated. The resulting residue was diluted with water and the pH value of the solution was adjusted to 10 with saturated sodium carbonate. Extracted three times with ethyl acetate. The combined organic layers were washed three times with water, once with brine, dried (Na2SO4) and concentrated. The resulting residue was purified by reverse phase Prep-HPLC eluting with a gradient of 50-66% acetonitrile in water with 10 mM ammonium carbonate to afford (R)-(7-((2-chloro-6-fluorobenzyl)oxy)-1-((4-fluoro-3-methoxyphenyl)sulfonyl)-2-methyl-1,2-dihydroquinolin-3-yl)methanamine (24 mg, 20%) as an off-white solid. 1H-NMR (400 MHz, CDCl3) δ 1.17 (d, J=6.8 Hz, 3H), 3.28 (AB q, J=16.0 Hz, 2H), 3.63 (s, 3H), 4.80 (q, J=6.8 Hz, 1H), 5.24 (s, 2H), 5.92 (s, 1H), 6.75-6.95 (m, 3H), 6.98-7.16 (m, 3H), 7.22-7.36 (m, 2H), 7.46 (s, 1H). (ES, m/z): (M+H-NH3)+ 504.1.
Example 140—Synthesis of (R)—N-((7-((2-Chloro-6-fluorobenzyl)oxy)-1-((4-fluoro-3-methoxyphenyl)sulfonyl)-2-methyl-1,2-dihydroquinolin-3-yl)methyl)acetamide
Figure US09896441-20180220-C01405
To a stirred room temperature solution of (R)-(7-((2-chloro-6-fluorobenzyl)oxy)-1-((4-fluoro-3-methoxyphenyl)sulfonyl)-2-methyl-1,2-dihydroquinolin-3-yl)methanamine (100 mg, 0.19 mmol) and triethylamine (190 mg, 1.88 mmol) in dichloromethane (15 mL) was added acetyl chloride (60 mg, 0.76 mmol) dropwise. The mixture was stirred overnight, diluted with water and extracted two times with ethyl acetate. The combined organic layers were washed twice with water, once with brine, dried (Na2SO4) and concentrated. The resulting residue was purified via MPLC eluting with a gradient of ethyl acetate/petroleum ether (1:2-2:1). The residue from the concentration of the major UV fraction was further purified by reverse phase Prep-HPLC eluting with a gradient of acetonitrile in water (50-66%) with 10 mM ammonium bicarbonate to afford (R)—N-((7-((2-chloro-6-fluorobenzyl)oxy)-1-((4-fluoro-3-methoxyphenyl)sulfonyl)-2-methyl-1,2-dihydroquinolin-3-yl)methyl)acetamide (43 mg, 40%) as a white solid. 1H-NMR (CDCl3, 400 MHz) δ 1.18 (d, J=6.8 Hz, 3H), 2.03 (s, 3H), 3.66 (s, 3H), 3.79 (d, J=5.6 Hz, 2H), 4.72 (q, J=6.8 Hz, 1H), 5.15-5.30 (br s, 1H), 5.25 (s, 2H), 5.84 (s, 1H), 6.75-6.95 (m, 3H), 7.02-7.18 (m, 3H), 7.25-7.35 (m, 2H), 7.45 (s, 1H). (ES, m/z): (M+H-CH3CONH2)+ 504.2.
Example 141—Synthesis of Methyl (2R,3R)-7-((E)-2-(2-chloro-6-fluorophenyl)prop-1-en-1-yl)-2-methyl-1-((3-(trifluoromethyl)phenyl)sulfonyl)-1,2,3,4-tetrahydroquinoline-3-carboxylate
Figure US09896441-20180220-C01406
Part I—Synthesis of Methyl (R)-3-(3-(trifluoromethyl)phenylsulfonamido)butanoate
Figure US09896441-20180220-C01407
To a mixture of methyl (3R)-3-aminobutanoate hydrochloride (6.10 g, 39.7 mmol) and 3-(trifluoromethyl)benzenesulfonyl chloride (10.69 g, 43.7 mmol) in methylene chloride was added diisopropylethylamine (14.4 g, 111 mmol). The mixture was stirred overnight, and partitioned between dichloromethane and saturated ammonium chloride. The organic layer was washed with saturated sodium bicarbonate, brine, dried (Na2SO4) and concentrated. The resulting residue was purified by MPLC eluting with a gradient of 9:1 to 3:2 hexane:ethyl acetate to afford methyl (R)-3-(3-(trifluoromethyl)phenylsulfonamido)butanoate (9.23 g, 71%) as a clear oil.
Part II—Synthesis of Methyl (2R,3R)-2-(2,4-dibromobenzyl)-3-(3-(trifluoromethyl)phenyl-sulfonamido)butanoate
Figure US09896441-20180220-C01408
To a 1 M solution of lithium hexamethylsilazide in THF (75.2 mL, 75.2 mmol) at −78° C. was added a solution of methyl (R)-3-(3-(trifluoromethyl)phenylsulfonamido)butanoate (11.65 g, 35.8 mmol) in THF dropwise. After completion of the addition, the mixture was stirred an additional thirty minutes allowing the mixture's temperature to rise to −40° C. The mixture was cooled again at −78° C., and then a solution of 2,4-dibromo-1-(bromomethyl)benzene in THF was added dropwise. The cooling bath was removed and the mixture was allowed to warm to room temperature. The mixture was quenched with saturated ammonium chloride, and partitioned between ethyl acetate and water. The organic layer was washed with brine, dried (Na2SO4), and concentrated. The resulting residue was purified by MPLC eluting with a gradient of ethyl acetate and hexanes to afford methyl (2R,3R)-2-(2,4-dibromobenzyl)-3-(3-(trifluoromethyl)phenyl-sulfonamido)butanoate (12.14 g, 59%) as a white solid.
Part III—Synthesis of Methyl (2R,3R)-7-bromo-2-methyl-1-((3-(trifluoromethyl)-phenyl)sulfonyl)-1,2,3,4-tetrahydroquinoline-3-carboxylate
Figure US09896441-20180220-C01409
A mixture of (2R,3R)-methyl 2-(2,4-dibromobenzyl)-3-(3-(trifluoromethyl)phenyl-sulfonamido)butanoate (4.63 g, 8.08 mmol), copper (I) iodide (0.62 g, 3.23 mmol), N,N′-dimethylethylenediamine (0.71 g, 8.08 mmol) and potassium phosphate (5.14 g, 24.2 mmol) in toluene was heated at reflux overnight. The mixture was cooled, and partitioned between ethyl acetate and saturated ammonium chloride. The organic layer was washed with brine, dried (Na2SO4) and concentrated. The resulting residue was purified by MPLC eluting with a gradient of hexanes and ethyl acetate to afford (2R,3R)-methyl 7-bromo-2-methyl-1-((3-(trifluoromethyl)-phenyl)sulfonyl)-1,2,3,4-tetrahydroquinoline-3-carboxylate (3.23 g, 81%). Note: This material contained some (2R,3R)-methyl 7-iodo-2-methyl-1-((3-(trifluoromethyl)-phenyl)sulfonyl)-1,2,3,4-tetrahydroquinoline-3-carboxylate and was used without further purification.
Part IV—Synthesis of (2R,3R)-Methyl 7-((E)-2-(2-chloro-6-fluorophenyl)prop-1-en-1-yl)-2-methyl-1-((3-(trifluoromethyl)phenyl)sulfonyl)-1,2,3,4-tetrahydroquinoline-3-carboxylate
Figure US09896441-20180220-C01410
To a degassed mixture of ((2R,3R)-methyl 7-bromo-2-methyl-1-((3-(trifluoromethyl)-phenyl)sulfonyl)-1,2,3,4-tetrahydroquinoline-3-carboxylate (3.23 g, 6.56 mmol), potassium carbonate (1.36 g, 9.84 mmol), (E)-2-(2-(2-chloro-6-fluorophenyl)prop-1-en-1-yl)-4,4,5,5-tetramethyl-1,3,2-dioxaborolane (2.14 g, 7.22 mmol), dioxane and water was added [1,1′-bis(diphenylphosphino)ferrocene]dichloropalladium(II) dichloromethane complex (0.54 g, 0.66 mmol). The mixture was heated to 70° C. for five hours. The mixture was cooled, and partitioned between ethyl acetate and water. The organic layer was washed with brine, dried (Na2SO4), and concentrated. The resulting residue was purified by MPLC eluting with a gradient of 0-50% ethyl acetate in hexanes to afford (2R,3R)-methyl 7-((E)-2-(2-chloro-6-fluorophenyl)prop-1-en-1-yl)-2-methyl-1-((3-(trifluoromethyl)phenyl)sulfonyl)-1,2,3,4-tetrahydroquinoline-3-carboxylate (2.69 g, 70%).
Example 142—Synthesis of (2R,3R)-7-((E)-2-(2-Chloro-6-fluorophenyl)prop-1-en-1-yl)-2-methyl-1-((3-(trifluoromethyl)phenyl)sulfonyl)-1,2,3,4-tetrahydroquinoline-3-carboxylate
Figure US09896441-20180220-C01411
Based on the procedure in Example 42, (2R,3R)-7-((E)-2-(2-chloro-6-fluorophenyl)prop-1-en-1-yl)-2-methyl-1-((3-(trifluoromethyl)phenyl)sulfonyl)-1,2,3,4-tetrahydroquinoline-3-carboxylate was prepared. 1H-NMR (400 MHz, DMSO-d6) 12.83 (bs, 1H), 8.10 (d, 1H), 7.94 (d, 1H), 7.86 (m, 2H), 7.66 (s, 1H), 7.38 (m, 2H), 7.26 (m, 2H), 7.18 (dd, 1H), 6.42 (s, 1H), 4.83 (sext, 1H), 3.14 (s, 2H), 2.85 (dd, 1H), 2.70 (dd, 1H), 2.27 (m, 1H), 2.10 (s, 3H), 0.98 (d, 3H). (ES, m/z): (M+H)+ 568.
Example 143—Synthesis of Methyl ((2R,3R)-7-((E)-2-(2-chloro-6-fluorophenyl)prop-1-en-1-yl)-2-methyl-1-((3-(trifluoromethyl)phenyl)sulfonyl)-1,2,3,4-tetrahydroquinolin-3-yl)carbamate
Figure US09896441-20180220-C01412
A mixture of (2R,3R)-7-((E)-2-(2-chloro-6-fluorophenyl)prop-1-en-1-yl)-2-methyl-1-((3-(trifluoromethyl)phenyl)sulfonyl)-1,2,3,4-tetrahydroquinoline-3-carboxylate (120 mg, 0.211 mmol), diphenylphosphoryl azide (60 mg, 0.232 mmol), toluene (4 mL), and triethylamine (30 mg, 0.25 mmol) was heated to 95° C. for two hours. Cooled and added methanol (2 mL) and heated at 70° C. overnight. Cooled, and partitioned between ethyl acetate and 1N HCl. The organic layer was dried (Na2SO4) and concentrated. The resulting residue was purified by MPLC eluting with a gradient of 0-10% methanol in methylene chloride to afford methyl ((2R,3R)-7-((E)-2-(2-chloro-6-fluorophenyl)prop-1-en-1-yl)-2-methyl-1-((3-(trifluoromethyl)phenyl)sulfonyl)-1,2,3,4-tetrahydroquinolin-3-yl)carbamate (76 mg, 54%) as a white solid. 1H-NMR (400 MHz, DMSO-d6) δ 8.08 (d, 1H), 7.83 (m, 4H), 7.36 (m, 4H), 7.15 (m, 2H), 6.43 (s, 1H), 4.65 (m, 1H), 3.57 (s, 3H), 2.60 (m, 2H), 2.15 (s, 3H), 1.20 (m, 1H), 0.95 (m, 3H). (ES, m/z): (M+Na)+ 619.27.
Example 144—Synthesis of tert-Butyl ((2R,3R)-7-((E)-2-(2-chloro-6-fluorophenyl)prop-1-en-1-yl)-2-methyl-1-((3-(trifluoromethyl)phenyl)sulfonyl)-1,2,3,4-tetrahydroquinolin-3-yl)carbamate
Figure US09896441-20180220-C01413
Based on the procedure in Example 144, tert-butyl ((2R,3R)-7-((E)-2-(2-chloro-6-fluorophenyl)prop-1-en-1-yl)-2-methyl-1-((3-(trifluoromethyl)phenyl)sulfonyl)-1,2,3,4-tetrahydroquinolin-3-yl)carbamate was prepared.
Example 145—Synthesis of 1-((2R,3R)-7-((E)-2-(2-Chloro-6-fluorophenyl)prop-1-en-1-yl)-2-methyl-1-((3-(trifluoromethyl)phenyl)sulfonyl)-1,2,3,4-tetrahydroquinolin-3-yl)-3-methylurea
Figure US09896441-20180220-C01414
A mixture of (2R,3R)-7-((E)-2-(2-chloro-6-fluorophenyl)prop-1-en-1-yl)-2-methyl-1-((3-(trifluoromethyl)phenyl)sulfonyl)-1,2,3,4-tetrahydroquinoline-3-carboxylate (120 mg, 0.211 mmol), diphenylphosphoryl azide (60 mg, 0.232 mmol), toluene (4 mL), and triethylamine (30 mg, 0.25 mmol) was heated to 95° C. for two hours. Cooled and added 2M methylamine (2 mL, 4 mmol) and heated at 70° C. overnight. Cooled, and partitioned between ethyl acetate and 1N HCl. The organic layer was dried (Na2SO4) and concentrated. The resulting residue was purified by MPLC eluting with a gradient of 0-10% methanol in methylene chloride to afford 1-((2R,3R)-7-((E)-2-(2-chloro-6-fluorophenyl)prop-1-en-1-yl)-2-methyl-1-((3-(trifluoromethyl)phenyl)sulfonyl)-1,2,3,4-tetrahydroquinolin-3-yl)-3-methylurea (59 mg, 44%) as a white solid. 1H-NMR (400 MHz, DMSO-d6) δ 7.90 (m, 5H), 7.33 (m, 3H), 7.14 (m, 2H), 6.42 (s, 1H), 5.95 (d, 1H), 5.72 (s, 1H), 5.63 (m, 1H), 4.72 (m, 1H), 4.07 (m, 1H), 3.55 (m, 1H), 3.15 (d, 3H), 2.53 (m, 3H), 2.15 (s, 3H), 0.98 (m, 5H). (ES, m/z): (M+Na)+ 618.26.
Example 146—Synthesis of 3-((2R,3R)-7-((E)-2-(2-Chloro-6-fluorophenyl)prop-1-en-1-yl)-2-methyl-1-((3-(trifluoromethyl)phenyl)sulfonyl)-1,2,3,4-tetrahydroquinolin-3-yl)-1,1-dimethylurea
Figure US09896441-20180220-C01415
A mixture of (2R,3R)-7-((E)-2-(2-chloro-6-fluorophenyl)prop-1-en-1-yl)-2-methyl-1-((3-(trifluoromethyl)phenyl)sulfonyl)-1,2,3,4-tetrahydroquinoline-3-carboxylate (120 mg, 0.211 mmol), diphenylphosphoryl azide (60 mg, 0.232 mmol), toluene (4 mL), and triethylamine (30 mg, 0.25 mmol) was heated to 95° C. for two hours. Cooled and added 2M methylamine (2 mL, 4 mmol) and heated at 70° C. overnight. Cooled, and partitioned between ethyl acetate and 1N HCl. The organic layer was dried (Na2SO4) and concentrated. The resulting residue was purified by MPLC eluting with a gradient of 0-10% methanol in methylene chloride to afford 3-((2R,3R)-7-((E)-2-(2-chloro-6-fluorophenyl)prop-1-en-1-yl)-2-methyl-1-((3-(trifluoromethyl)phenyl)sulfonyl)-1,2,3,4-tetrahydroquinolin-3-yl)-1,1-dimethylurea (61 mg, 45%) as a white solid. 1H-NMR (400 MHz, DMSO-d6) δ 7.96 (m, 4H), 7.77 (t, 1H), 7.35 (m, 3H), 7.13 (m, 2H), 6.43 (s, 1H), 6.05 (d, 1H), 5.73 (s, 1H), 4.80 (m, 1H), 3.47 (m, 1H), 3.14 (s, 3H), 2.78 (s, 6H), 2.60 (m, 2H), 2.15 (s, 3H), 0.97 (d, 3H). (ES, m/z): (M+Na)+ 632.31.
Example 147—Synthesis of (2R,3R)-7-((E)-2-(2-Chloro-6-fluorophenyl)prop-1-en-1-yl)-2-methyl-1-((3-(trifluoromethyl)phenyl)sulfonyl)-1,2,3,4-tetrahydroquinolin-3-amine
Figure US09896441-20180220-C01416
Trifluoroacetic acid 0.43 g, 2.5 mmol) was added to a solution of tert-butyl ((2R,3R)-7-((E)-2-(2-chloro-6-fluorophenyl)prop-1-en-1-yl)-2-methyl-1-((3-(trifluoromethyl)phenyl)sulfonyl)-1,2,3,4-tetrahydroquinolin-3-yl)carbamate (100 mg, 0.156 mmol) in dichloromethane (5 mL). The mixture was stirred for three hours, concentrated, partitioned between dichloromethane and saturated sodium bicarbonate. The organic layer was dried (Na2SO4) and concentrated to afford (2R,3R)-7-((E)-2-(2-chloro-6-fluorophenyl)prop-1-en-1-yl)-2-methyl-1-((3-(trifluoromethyl)phenyl)sulfonyl)-1,2,3,4-tetrahydroquinolin-3-amine (80 mg, 88%) as an oil. 1H-NMR (400 MHz, DMSO-d6) δ 8.10 (m, 4H), 7.89 (m, 2H), 7.63 (s, 1H), 7.37 (s, 2H), 7.25 (m, 3H), 6.43 (s, 1H), 4.82 (m, 1H), 3.21 (m, 1H), 2.80 (m, 2H), 2.10 (s, 3H), 1.10 (d, 3H). (ES, m/z): (M+H)+ 539.23.
Example 148—Synthesis of N-((2R,3R)-7-((E)-2-(2-Chloro-6-fluorophenyl)prop-1-en-1-yl)-2-methyl-1-((3-(trifluoromethyl)phenyl)sulfonyl)-1,2,3,4-tetrahydroquinolin-3-yl)acetamide
Figure US09896441-20180220-C01417
A solution of (2R,3R)-7-((E)-2-(2-chloro-6-fluorophenyl)prop-1-en-1-yl)-2-methyl-1-((3-(trifluoromethyl)phenyl)sulfonyl)-1,2,3,4-tetrahydroquinolin-3-amine (40 mg, 0.074 mmol), triethylamine (10 mg, 0.078 mmol), dichloromethane (2 mL) and acetyl chloride (10 mg, 0.078 mmol) was stirred at room temperature overnight. The mixture was washed with water, brine, dried (Na2SO4), and concentrated. The resulting residue was purified via MPLC eluting with a gradient of 0-10% methanol in dichloromethane to afford N-((2R,3R)-7-((E)-2-(2-chloro-6-fluorophenyl)prop-1-en-1-yl)-2-methyl-1-((3-(trifluoromethyl)phenyl)sulfonyl)-1,2,3,4-tetrahydroquinolin-3-yl)acetamide (29 mg, 60%) as an oil. 1H-NMR (400 MHz, DMSO-d6) δ 8.05 (d, 1H), 7.91 (m, 4H), 7.79 (m, 2H), 7.34 (m, 3H), 7.16 (s, 2H), 6.44 (s, 1H), 5.73 (s, 3H), 4.70 (m, 1H), 3.58 (m, 2H), 3.15 (d, 1H), 2.57 (m, 3H), 1.97 (s, 3H), 1.80 (s, 3H), 0.98 (d, 3H). (ES, m/z): (M+Na)+ 603.30.
Example 149—Synthesis of (2R,3R)-6-((E)-2-(2-Chloro-6-fluorophenyl)prop-1-en-1-yl)-2-methyl-1-((3-(trifluoromethyl)phenyl)sulfonyl)-1,2,3,4-tetrahydroquinoline-3-carboxylic acid
Figure US09896441-20180220-C01418
Part I—Synthesis of Ethyl 2-(2-nitrobenzyl)-3-oxobutanoate
Figure US09896441-20180220-C01419
Ethyl acetoacetate (6.02 g, 46.3 mmol) was added dropwise to a mixture of 60% sodium hydride in mineral oil (1.85 g, 46.3 mmol) in THF (140 mL) at 0° C. The mixture was stirred for forty-five minutes, and then 1-(bromomethy)-2-nitrobenzene (10.0 g, 46.3 mmol) in THF (15 mL) was added dropwise. The mixture was warmed to room temperature and stirred overnight. The mixture was quenched with saturated ammonium chloride, and partitioned between ethyl acetate and water. The organic layer was washed with brine, dried (Na2SO4) and concentrated. The resulting residue was purified by MPLC eluting with a gradient of 0-100% ethyl acetate in hexanes to afford ethyl 2-(2-nitrobenzyl)-3-oxobutanoate (11.2 g, 91%) as a yellow oil.
Part II—Synthesis of Ethyl (2R,3R)-2-methyl-1,2,3,4-tetrahydroquinoline-3-carboxylate
Figure US09896441-20180220-C01420
A mixture of ethyl 2-(2-nitrobenzyl)-3-oxobutanoate (1.0 g, 3.77 mmol) and 10% platinum on carbon (0.29 g) under 50 psi hydrogen was shaken for three hours. The mixture was filtered through Celite, and the filtrate was concentrated. The resulting residue was purified by MPLC eluting with a mixture of 10-100% ethyl acetate in hexanes to afford ethyl (2R,3R)-2-methyl-1,2,3,4-tetrahydroquinoline-3-carboxylate (570 mg, 69%).
Part III—Synthesis of Ethyl (2R,3R)-2-methyl-1-((3-(trifluoromethyl)phenyl)sulfonyl)-1,2,3,4-tetrahydroquinoline-3-carboxylate
Figure US09896441-20180220-C01421
A solution of ethyl (2R,3R)-2-methyl-1,2,3,4-tetrahydroquinoline-3-carboxylate (500 mg, 2.28 mmol), 3-(trifluoromethyl)benzenesulfonyl chloride (610 mg, 2.50 mmol) and pyridine (12 mL) was heated at 50° C. overnight. The mixture was diluted in ethyl acetate and washed three times with 1N HCl. The organic layer was washed with brine, dried (Na2SO4) and concentrated. The resulting residue was purified via MPLC eluting with a gradient of 0-60% ethyl acetate in hexanes to afford ethyl (2R,3R)-2-methyl-1-((3-(trifluoromethyl)phenyl)sulfonyl)-1,2,3,4-tetrahydroquinoline-3-carboxylate (860 mg, 88%).
Part IV—Synthesis of Ethyl (2R,3R)-6-bromo-2-methyl-1-((3-(trifluoromethyl)phenyl)sulfonyl)-1,2,3,4-tetrahydroquinoline-3-carboxylate
Figure US09896441-20180220-C01422
Bromine (300 mg, 1.87 mmol) was added to a solution of ethyl (2R,3R)-2-methyl-1-((3-(trifluoromethyl)phenyl)sulfonyl)-1,2,3,4-tetrahydroquinoline-3-carboxylate (760 mg, 1.78 mmol) in DMF (9 mL). The mixture was stirred overnight at room temperature. The mixture was partitioned between ethyl acetate and water. The organic phase was washed twice with water, brine, dried (Na2SO4) and concentrated. The resulting residue was purified by MPLC eluting with a gradient of 0-50% ethyl acetate in hexanes to afford ethyl (2R,3R)-6-bromo-2-methyl-1-((3-(trifluoromethyl)phenyl)sulfonyl)-1,2,3,4-tetrahydroquinoline-3-carboxylate (820 mg, 91%).
Part V—Synthesis of Ethyl (2R,3R)-6-((E)-2-(2-chloro-6-fluorophenyl)prop-1-en-1-yl)-2-methyl-1-((3-(trifluoromethyl)phenyl)sulfonyl)-1,2,3,4-tetrahydroquinoline-3-carboxylic acid
Figure US09896441-20180220-C01423
A mixture of ethyl (2R,3R)-6-bromo-2-methyl-1-((3-(trifluoromethyl)phenyl)sulfonyl)-1,2,3,4-tetrahydroquinoline-3-carboxylate (80 mg, 0.16 mmol), potassium carbonate (30 mg, 0.19 mmol), (E)-2-(2-(2-chloro-6-fluorophenyl)prop-1-en-1-yl)-4,4,5,5-tetramethyl-1,3,2-dioxaborolane (60 mg, 0.21 mmol), [1,1′-bis(diphenylphosphino)ferrocene]dichloropalladium(II) dichloromethane complex (10 mg, 0.016 mmol) in dioxane (2 mL) and water (0.5 mL) was heated at 70° C. overnight. The mixture was partitioned between ethyl acetate and water. The organic phase was washed with brine, dried (Na2SO4) and concentrated to afford ethyl (2R,3R)-6-((E)-2-(2-chloro-6-fluorophenyl)prop-1-en-1-yl)-2-methyl-1-((3-(trifluoromethyl)phenyl)sulfonyl)-1,2,3,4-tetrahydroquinoline-3-carboxylic acid (58 mg, 61%) as a clear oil.
Part VI—Synthesis of (2R,3R)-6-((E)-2-(2-chloro-6-fluorophenyl)prop-1-en-1-yl)-2-methyl-1-((3-(trifluoromethyl)phenyl)sulfonyl)-1,2,3,4-tetrahydroquinoline-3-carboxylic acid
Figure US09896441-20180220-C01424
Based on the procedure in Example 42, (2R,3R)-6-((E)-2-(2-chloro-6-fluorophenyl)prop-1-en-1-yl)-2-methyl-1-((3-(trifluoromethyl)phenyl)sulfonyl)-1,2,3,4-tetrahydroquinoline-3-carboxylic acid was prepared. 1H-NMR (400 MHz, DMSO-d6) δ 12.82 (bs, 1H), 8.08 (d, 1H), 7.88 (d, 1H), 7.80 (m, 2H), 7.69 (d, 1H), 7.27 (m, 5H), 6.36 (s, 1H), 4.79 (m, 1H), 4.05 (m, 1H), 3.57 (m, 1H), 2.82 (m, 1H), 2.65 (m, 1H), 2.12 (s, 3H), 0.97 (d, 3H). (ES, m/z): (M+Na)+ 590.15.
Example 150—Synthesis of (E)-2-(6-(2-(2-Chloro-6-fluorophenyl)prop-1-en-1-yl)-1-((3-(trifluoromethyl)phenyl)sulfonyl)-1,2,3,4-tetrahydroquinolin-3-yl)acetic acid
Figure US09896441-20180220-C01425
Part I—Synthesis of Ethyl 2-(2-oxo-1,2,3,4-tetrahydroquinolin-3-yl)acetate
Figure US09896441-20180220-C01426
A mixture of diethyl (2E)-2-[(2-nitrophenyl)methylene]butanedioate (7.94 g, 25.8 mmol), 10% palladium on carbon (1.37 g, 1.29 mmol), methanol (150 mL) and acetic acid (10 mL) was shaken on a Parr shaker at 50 psi overnight. The mixture was filtered through a pad of Celite, the filtrate was concentrated and the resulting residue was purified via MPLC eluting with a gradient of 10-40% ethyl acetate in hexanes to afford ethyl 2-(2-oxo-1,2,3,4-tetrahydroquinolin-3-yl)acetate (5.06 g, 84%).
Part II—Synthesis of Ethyl 2-(6-bromo-2-oxo-1,2,3,4-tetrahydroquinolin-3-yl)acetate
Figure US09896441-20180220-C01427
A mixture of ethyl 2-(2-oxo-1,2,3,4-tetrahydroquinolin-3-yl)acetate (1.0 g, 4.29 mmol), N-bromosuccinimide (800 mg, 4.50 mmol) and DMF (9 mL) was stirred at 0° C. for two hours. The mixture was partitioned between water and ethyl acetate. The organic layer was washed twice with water, brine, dried (Na2SO4) and concentrated. The resulting residue was purified via MPLC eluting with a gradient of 10-50% ethyl acetate in hexanes to afford ethyl 2-(6-bromo-2-oxo-1,2,3,4-tetrahydroquinolin-3-yl)acetate (860 mg, 64%).
Part III—Synthesis of Ethyl (E)-2-(6-(1-(2-chloro-6-fluorophenyl)prop-1-en-2-yl)-2-oxo-1,2,3,4-tetrahydroquinolin-3-yl)acetate
Figure US09896441-20180220-C01428
A mixture of ethyl 2-(6-bromo-2-oxo-1,2,3,4-tetrahydroquinolin-3-yl)acetate (200 mg, 0.64 mmol), (E)-2-(2-(2-chloro-6-fluorophenyl)prop-1-en-1-yl)-4,4,5,5-tetramethyl-1,3,2-dioxaborolane (250 mg, 0.83 mmol), potassium carbonate (110 mg, 0.77 mmol), [1,1′-bis(diphenylphosphino)ferrocene]dichloropalladium(II) dichloromethane complex (50 mg, 0.064 mmol), dioxane (6 mL) and water (1.5 mL) was heated at 70° C. overnight. The mixture was partitioned between ethyl acetate and water. The organic layer was washed with brine, dried (Na2SO4), and concentrated. The resulting residue was purified via MPLC, eluting with a gradient of 5-20% ethyl acetate in hexanes to afford ethyl (E)-2-(6-(1-(2-chloro-6-fluorophenyl)prop-1-en-2-yl)-2-oxo-1,2,3,4-tetrahydroquinolin-3-yl)acetate (190 mg, 74%).
Part IV—Synthesis of Ethyl (E)-2-(6-(1-(2-chloro-6-fluorophenyl)prop-1-en-2-yl)-1,2,3,4-tetrahydroquinolin-3-yl)acetate
Figure US09896441-20180220-C01429
A 10 M solution of borane-methyl sulfide complex in THF (0.24 mL, 2.4 mmol) was added dropwise to a solution of ethyl (E)-2-(6-(1-(2-chloro-6-fluorophenyl)prop-1-en-2-yl)-2-oxo-1,2,3,4-tetrahydroquinolin-3-yl)acetate (190 mg, 0.47 mmol) in THF (9 mL) at 0° C. The mixture was stirred for 3 hours, quenched with methanol (1 mL) and refluxed for ten minutes. The mixture was concentrated, and the resulting residue was purified by MPLC eluting with a gradient of 10-75% ethyl acetate in hexanes to afford ethyl (E)-2-(6-(1-(2-chloro-6-fluorophenyl)prop-1-en-2-yl)-1,2,3,4-tetrahydroquinolin-3-yl)acetate (73 mg, 40%).
Part V—Synthesis of Ethyl (E)-2-(6-(2-(2-chloro-6-fluorophenyl)prop-1-en-1-yl)-1-((3-(trifluoromethyl)phenyl)sulfonyl)-1,2,3,4-tetrahydroquinolin-3-yl)acetate
Figure US09896441-20180220-C01430
A mixture of ethyl (E)-2-(6-(1-(2-chloro-6-fluorophenyl)prop-1-en-2-yl)-1,2,3,4-tetrahydroquinolin-3-yl)acetate (70 mg, 0.19 mmol), 3-(trifluoromethyl)benzenesulfonyl chloride (50 mg, 0.21 mmol), and pyridine (2 mL) was heated to 50° C. overnight. The mixture was concentrated, and the resulting residue was partitioned between ethyl acetate and 1 M HCl. The organic layer was washed twice with 1 M HCl, brine, dried (Na2SO4) and concentrated. The resulting residue was purified by MPLC eluting with a gradient of 5-25% ethyl acetate in hexanes to afford ethyl (E)-2-(6-(2-(2-chloro-6-fluorophenyl)prop-1-en-1-yl)-1-((3-(trifluoromethyl)phenyl)sulfonyl)-1,2,3,4-tetrahydroquinolin-3-yl)acetate (71 mg, 63%) as a white solid.
Part VI—Synthesis of (E)-2-(6-(2-(2-Chloro-6-fluorophenyl)prop-1-en-1-yl)-1-((3-(trifluoromethyl)phenyl)sulfonyl)-1,2,3,4-tetrahydroquinolin-3-yl)acetic acid
Figure US09896441-20180220-C01431
Based on the procedure in Example 42, (E)-2-(6-(2-(2-chloro-6-fluorophenyl)prop-1-en-1-yl)-1-((3-(trifluoromethyl)phenyl)sulfonyl)-1,2,3,4-tetrahydroquinolin-3-yl)acetic acid was prepared. 1H-NMR (400 MHz, DMSO-d6) δ 12.25 (bs, 1H), 8.04 (d, 1H), 7.88 (m, 2H), 7.78 (t, 1H), 7.71 (d, 1H), 7.35 (dd, 2H), 7.25 (m, 2H), 7.09 (s, 1H), 6.33 (s, 1H), 4.27 (d, 1H), 3.25 (m, 2H), 2.60 (dd, 1H), 2.21 (m, 3H), 2.07 (s, 3H), 1.78 (m, 1H). (ES, m/z): (M+Na)+ 590.15.
Example 151—Synthesis of ((2R,3R)-7-((2-Chloro-6-fluorobenzyl)oxy)-1-((4-fluoro-3-methoxyphenyl)sulfonyl)-2-methyl-1,2,3,4-tetrahydroquinolin-3-yl)methanol
Figure US09896441-20180220-C01432
To a solution of racemic (2R,3R)-ethyl 7-((2-chloro-6-fluorobenzyl)oxy)-1-((4-fluoro-3-methoxyphenyl)sulfonyl)-2-methyl-1,2,3,4-tetrahydroquinoline-3-carboxylate (120 mg, 0.21 mmol) in anhydrous tetrahydrofuran (10 mL) was added lithium aluminum hydride (20 mg) in portions at room temperature. The resulting solution was stirred for two hours at room temperature. The reaction was then quenched by the addition of water (15 mL) and stirred for two hours. The resulting solution was extracted three times with ethyl acetate and the organic layers were combined, washed with water, brine, dried (MgSO4), and concentrated. The resulting residue was first purified via MPLC eluting with ethyl acetate/petroleum ether (1:4) as eluent and further purified via reverse phase Prep-HPLC eluting with a gradient of 58-65% acetonitrile in water with 10 mM ammonium carbonate to afford ((2R,3R)-7-((2-chloro-6-fluorobenzyl)oxy)-1-((4-fluoro-3-methoxyphenyl)sulfonyl)-2-methyl-1,2,3,4-tetrahydroquinolin-3-yl)methanol (25 mg, 23%) as a white solid. 1H-NMR (400 MHz, CDCl3) δ 1.08 (d, J=6.8 Hz, 3H), 1.62 (m, 1H), 2.22 (m, 1H), 2.44 (dd, J=16.8, 6.0 Hz, 1H), 3.37-3.55 (m, 2H), 3.74 (s, 3H), 4.75 (m, 1H), 5.20 (s, 2H), 6.78 (dd, J=12.4, 2.8 Hz, 2H), 6.95 (d, J=8.8 Hz, 1H), 7.03-7.20 (m, 3H), 7.25-7.35 (m, 3H), 7.64 (s, 1H). (ES, m/z): (M+H)+ 524.1.
Example 152—Synthesis of N-(((2R,3S)-7-((2-Chloro-6-fluorobenzyl)oxy)-1-((4-fluoro-3-methoxyphenyl)sulfonyl)-2-methyl-1,2,3,4-tetrahydroquinolin-3-yl)methyl)acetamide
Figure US09896441-20180220-C01433
Part I—Synthesis of 2-(((2R,3S)-7-((2-Chloro-6-fluorobenzyl)oxy)-1-((4-fluoro-3-methoxyphenyl)sulfonyl)-2-methyl-1,2,3,4-tetrahydroquinolin-3-yl)methyl)isoindoline-1,3-dione
Figure US09896441-20180220-C01434
To a stirred room temperature solution of ((2R,3R)-7-((2-chloro-6-fluorobenzyl)oxy)-1-((4-fluoro-3-methoxyphenyl)sulfonyl)-2-methyl-1,2,3,4-tetrahydroquinolin-3-yl)methanol (130 mg, 0.25 mmol), 2,3-dihydro-1H-isoindole-1,3-dione (55 mg, 0.37 mmol) and triphenylphosphine (131 mg, 0.50 mmol) in anhydrous tetrahydrofuran (10 mL) was added diisopropyldiazodicarboxylate (100 mg, 0.49 mmol) dropwise. The mixture was stirred for one hour at room temperature, and quenched by the addition of water (15 mL). The resulting solution was extracted three times with ethyl acetate. The combined organic layers were washed twice with water, washed with brine, dried (Na2SO4) and concentrated. The resulting residue was purified via MPLC eluting with ethyl acetate/petroleum ether (1:5) as eluent to yield 2-(((2R,3S)-7-((2-chloro-6-fluorobenzyl)oxy)-1-((4-fluoro-3-methoxyphenyl)sulfonyl)-2-methyl-1,2,3,4-tetrahydroquinolin-3-yl)methyl)isoindoline-1,3-dione (130 mg, 80%) as a yellow oil.
Part II—Synthesis of ((2R,3S)-7-((2-Chloro-6-fluorobenzyl)oxy)-1-((4-fluoro-3-methoxyphenyl)sulfonyl)-2-methyl-1,2,3,4-tetrahydroquinolin-3-yl)methanamine
Figure US09896441-20180220-C01435
To a solution of 2-(((2R,3S)-7-((2-chloro-6-fluorobenzyl)oxy)-1-((4-fluoro-3-methoxyphenyl)sulfonyl)-2-methyl-1,2,3,4-tetrahydroquinolin-3-yl)methyl)isoindoline-1,3-dione (130 mg, 0.20 mmol) in ethanol (20 mL) was added a solution of hydrazine (80% in water, 1 mL). The resulting solution was heated to reflux for two hours. The mixture was concentrated to remove the ethanol. The resulting mixture was diluted with water (20 mL) and extracted three times with ethyl acetate. The combined organic layers were washed twice with water, washed with brine, dried (Na2SO4) and concentrated under vacuum to afford ((2R,3S)-7-((2-chloro-6-fluorobenzyl)oxy)-1-((4-fluoro-3-methoxyphenyl)sulfonyl)-2-methyl-1,2,3,4-tetrahydroquinolin-3-yl)methanamine (90 mg, 86%) as a yellow oil.
Part III—Synthesis of N-(((2R,3S)-7-((2-Chloro-6-fluorobenzyl)oxy)-1-((4-fluoro-3-methoxyphenyl)sulfonyl)-2-methyl-1,2,3,4-tetrahydroquinolin-3-yl)methyl)acetamide
Figure US09896441-20180220-C01436
To a stirred room temperature solution of ((2R,3S)-7-((2-chloro-6-fluorobenzyl)oxy)-1-((4-fluoro-3-methoxyphenyl)sulfonyl)-2-methyl-1,2,3,4-tetrahydroquinolin-3-yl)methanamine (90 mg, 0.17 mmol) in dichloromethane (5 mL) and triethylamine (0.15 mL, 0.85 mmol) was added acetyl chloride (0.05 mL, 0.68 mmol) dropwise. The mixture was stirred for four hours and quenched by the addition of water (2 mL). The mixture was concentrated and the resulting residue was purified via MPLC eluting with ethyl acetate/petroleum ether (2:1) as eluent to provide N-(((2R,3S)-7-((2-chloro-6-fluorobenzyl)oxy)-1-((4-fluoro-3-methoxyphenyl)sulfonyl)-2-methyl-1,2,3,4-tetrahydroquinolin-3-yl)methyl)acetamide (56 mg, 58%) as a white solid. 1H-NMR (400 MHz, CDCl3) δ 1.13 (d, J=6.4 Hz, 3H), 1.80 (br s, 1H), 2.09 (s, 3H), 2.35 (m, 1H), 2.57 (dd, J=17.2, 6.4 Hz, 1H), 2.16 (br s, 2H), 3.74 (s, 3H), 4.55 (m, 1H), 5.19 (s, 2H), 5.60 (br s, 1H), 6.81 (dd, J=8.4, 2.4 Hz, 1H), 6.98 (d, J=8.4 Hz, 1H), 7.05-7.20 (m, 3H), 7.27-7.38 (m, 3H), 7.56 (s, 1H). (ES, m/z): (M+H)+ 565.1.
Example 153—Synthesis of Methyl (S,E)-3-(7-(2-chloro-6-fluorostyryl)-1-((4-fluoro-3-methoxyphenyl)sulfonyl)-1,2,3,4-tetrahydroquinolin-3-yl)-2,2-dimethylpropanoate
Figure US09896441-20180220-C01437
A mixture of methyl (S,E)-3-(7-(2-chloro-6-fluorostyryl)-1-((4-fluoro-3-methoxyphenyl)sulfonyl)-1,2,3,4-tetrahydroquinolin-3-yl)-2,2-dimethylpropanoate (50 mg, 0.09 mmol), toluene (2 mL), ethanol (1 mL), water (0.5 mL), 2-[(E)-2-(2-chloro-6-fluorophenyl)ethenyl]-4,4,5,5-tetramethyl-1,3,2-dioxaborolane (36.2 mg, 0.13 mmol), potassium acetate (25.2 mg, 0.26 mmol), and tetrakis(triphenylphosphine)palladium(0) (9.9 mg, 0.01 mmol) was stirred overnight at 90° C. The resulting mixture was concentrated and the resulting residue was purified by Prep-HPLC eluting with a gradient of 65-95% acetonitrile in water with 0.05% trifluoroacetic acid to afford methyl (S,E)-3-(7-(2-chloro-6-fluorostyryl)-1-((4-fluoro-3-methoxyphenyl)sulfonyl)-1,2,3,4-tetrahydroquinolin-3-yl)-2,2-dimethylpropanoate (7.6 mg, 15%) as a white solid. 1H-NMR (400 MHz, CD3OD) δ 8.02 (s, 1H), 7.39-7.23 (m, 4H), 7.28-7.01 (m, 5H), 4.31-4.27 (dd, J=4 Hz, 12 Hz, 1H), 3.72 (s, 3H), 3.12-3.09 (t, J=6 Hz, 1H), 2.68-2.62 (dd, J=8 Hz, 20 Hz, 1H), 2.27-2.20 (m, 1H), 1.67-1.49 (m, 3H), 1.26-1.24 (d, J=8 Hz, 6H). (ES, m/z): (M+H)+ 590.
Example 154—Preparation of Additional Substituted 1,2,3,4-Tetrahydroquinolin-3-yl)-2,2-dimethylpropanoates and Propanoic Acids
Compounds in Table 20 were prepared based on experimental procedures described in Example 153 and the detailed description using the appropriate vinyl boronate.
TABLE 20
Observed
No. Structure Name m/z
154A
Figure US09896441-20180220-C01438
(S,E)-3-(7-(2-chloro-6- fluorostyryl)-1-((4-fluoro-3- methoxyphenyl)sulfonyl)-1,2,3,4- tetrahydroquinolin-3-0-2,2- dimethylpropanoic acid 576 (M + H)+
154B
Figure US09896441-20180220-C01439
methyl (S,E)-3-(7-(2-(2-chloro-6- fluorophenyl)prop-1-en-1-yl)-1- ((4-fluoro-3- methoxyphenyl)sulfonyl)-1,2,3,4- tetrahydroquinolin-3-yl)-2,2- dimethylpropanoate 604 (M + H)+
154C
Figure US09896441-20180220-C01440
(S,E)-3-(7-(2-(2-chloro-6- fluorophenyl)prop-1-en-1-yl)-1- ((4-fluoro-3- methoxyphenyl)sulfonyl)-1,2,3,4- tetrahydroquinolin-3-yl)-2,2- dimethylpropanoic acid 590 (M + H)+
Example 155—Synthesis of (R)-7-((2-Chloro-6-fluorobenzyl)oxy)-1-((3-(trifluoromethyl)phenyl)sulfonyl)-1,2,3,4-tetrahydroquinolin-3-ol
Figure US09896441-20180220-C01441
Part I—Synthesis of (E)-Ethyl 3-(4-methoxy-2-nitrophenyl)acrylate
Figure US09896441-20180220-C01442
A mixture of 1-iodo-4-methoxy-2-nitrobenzene (279 mg, 1.00 mmol), palladium acetate (11.2 mg, 0.05 mmol), triethylamine (202 mg, 2.00 mmol), and ethyl acrylate (110 mg, 1.10 mmol) was heated to reflux for five hours. The mixture was cooled, concentrated and diluted with ethyl acetate. The mixture was washed with water, brine, dried (Na2SO4) and concentrated. The resulting residue was purified via MPLC eluting with 3:1 hexane: ethyl acetate to afford (E)-ethyl 3-(4-methoxy-2-nitrophenyl)acrylate (201 mg, 80%) as a yellow solid.
Part II—Synthesis of (2R,3S)-Ethyl 2,3-dihydroxy-3-(4-methoxy-2-nitrophenyl)propanoate
Figure US09896441-20180220-C01443
To a solution of (E)-ethyl 3-(4-methoxy-2-nitrophenyl)acrylate (5 g, 19.90 mmol) in tert-butanol/water (1:1) (150 mL) was added methanesulfonamide (2 g, 21.03 mmol) followed by the addition of AD-mix-α (16.4 g, 21.05 mmol) in several portions at 0° C. The reaction mixture was stirred overnight at room temperature and quenched by the addition of saturated aqueous sodium bisulfite (200 mL). The mixture was extracted three times with ethyl acetate, and the combined organic layers were concentrated. The resulting residue was purified via MPLC eluting with ethyl acetate/petroleum ether (4:1). Concentration of the major UV component afforded (2R,3S)-ethyl 2,3-dihydroxy-3-(4-methoxy-2-nitrophenyl)propanoate (4.95 g, 87%) as a yellow solid.
Part III—Synthesis of (4R,5S)-Ethyl 5-(4-methoxy-2-nitrophenyl)-1,3,2-dioxathiolane-4-carboxylate 2-oxide
Figure US09896441-20180220-C01444
To a stirred solution of ethyl (2R,3S)-2,3-dihydroxy-3-(4-methoxy-2-nitrophenyl)propanoate (5 g, 17.53 mmol) and triethylamine (5.3 g, 52.38 mmol) in dichloromethane (150 mL) at 0° C. was added thionyl chloride (2.7 g, 22.69 mmol) dropwise. The mixture was stirred for one hour, and quenched by the addition of water. The mixture was extracted three times with dichloromethane. The combined organic layers were dried (Na2SO4) and concentrated. The resulting residue was purified via MPLC eluting with a gradient of ethyl acetate/petroleum ether (1:10-1:2). Concentration of the major UV-active component afforded (4R,5S)-ethyl 5-(4-methoxy-2-nitrophenyl)-1,3,2-dioxathiolane-4-carboxylate 2-oxide (5.2 g, 90%) as a yellow oil.
Part IV—Synthesis of (R)-7-Methoxy-1,2,3,4-tetrahydroquinolin-3-ol
Figure US09896441-20180220-C01445
To a solution of (4R,5S)-ethyl 5-(4-methoxy-2-nitrophenyl)-1,3,2-dioxathiolane-4-carboxylate 2-oxide (1.5 g, 4.53 mmol) in 190 proof ethanol (60 mL) at 0° C. was added cobalt (II) chloride hexahydrate (213 mg, 0.90 mmol) followed by the addition of sodium borohydride (1.33 g, 36.1 mmol). The mixture was stirred overnight at room temperature. The mixture was poured into ice water (100 mL), and extracted four times with ethyl acetate. The combined organic layers were concentrated and the resulting residue was purified via MPLC eluting with acetate/petroleum ether (1:1) to afford (R)-7-methoxy-1,2,3,4-tetrahydroquinolin-3-ol (550 mg, 68%) as a yellow solid.
Part V—Synthesis of (R)-7-Methoxy-1-((3-(trifluoromethyl)phenyl)sulfonyl)-1,2,3,4-tetrahydroquinolin-3-ol
Figure US09896441-20180220-C01446
To a room temperature solution of (R)-7-methoxy-1,2,3,4-tetrahydroquinolin-3-ol (400 mg, 2.23 mmol) in dichloromethane (12 mL) and pyridine (12 mL) was added 3-(trifluoromethyl)benzene-1-sulfonyl chloride (600 mg, 2.45 mmol). The mixture was stirred for two hours, diluted with dichloromethane and washed twice with 1M hydrogen chloride. The organic layer was dried (Na2SO4) and concentrated to afford (R)-7-methoxy-1-((3-(trifluoromethyl)phenyl)sulfonyl)-1,2,3,4-tetrahydroquinolin-3-ol (650 mg, 75%) as a colorless oil.
Part VI—Synthesis of (R)-1-((3-(Trifluoromethyl)phenyl)sulfonyl)-1,2,3,4-tetrahydroquinoline-3,7-diol
Figure US09896441-20180220-C01447
To a solution of (R)-7-methoxy-1-((3-(trifluoromethyl)phenyl)sulfonyl)-1,2,3,4-tetrahydroquinolin-3-ol (1.1 g, 2.84 mmol) in dichloromethane (20 mL) at −78° C. was added boron tribromide (11.2 g, 44.7 mmol) dropwise. The reaction mixture was allowed to warm to room temperature and was stirred for two hours. The mixture was quenched with water, and extracted twice with dichloromethane. The combined organic layers were dried (Na2SO4) and concentrated. The resulting residue was purified via MPLC eluting with petroleum ether: ethyl acetate (1:1). Concentration of the major UV component afforded (R)-1-((3-(trifluoromethyl)phenyl)sulfonyl)-1,2,3,4-tetrahydroquinoline-3,7-diol (900 mg, 85%) as a colorless oil.
Part VII—Synthesis of (R)-7-((2-Chloro-6-fluorobenzyl)oxy)-1-((3-(trifluoromethyl)phenyl)sulfonyl)-1,2,3,4-tetrahydroquinolin-3-ol
Figure US09896441-20180220-C01448
A mixture of (R)-1-((3-(trifluoromethyl)phenyl)sulfonyl)-1,2,3,4-tetrahydroquinoline-3,7-diol (100 mg, 0.27 mmol), 2-(bromomethyl)-1-chloro-3-fluorobenzene (65 mg, 0.29 mmol), potassium carbonate (111 mg, 0.80 mmol) and acetonitrile (5 mL) was stirred overnight at 70° C. The reaction mixture was cooled, diluted with water, and extracted twice with ethyl acetate. The combined organic layers were dried (Na2SO4) and concentrated. The resulting residue was purified by reverse phase Prep-HPLC to afford (R)-7-((2-chloro-6-fluorobenzyl)oxy)-1-((3-(trifluoromethyl)phenyl)sulfonyl)-1,2,3,4-tetrahydroquinolin-3-ol (23.7 mg, 17%) as a white solid. 1H-NMR (300 MHz, CDCl3) δ 8.03 (1H, s), 7.93 (1H, t, J=5.4 Hz), 7.79 (1H, d, J=7.5 Hz), 7.58 (1H, t, J=8.1 Hz), 7.43 (1H, d, J=2.4 Hz), 7.25 (2H, s), 7.05 (1H, t, J=8.1 Hz), 6.94 (1H, d, J=8.4 Hz), 6.78 (1H, d, J=8.4 Hz), 5.15 (2H, s), 4.10 (1H, m), 3.96 (1H, m), 3.80 (1H, m), 2.75 (1H, m), 2.47 (1H, m). (ES, m/z): (M+H)+ 516.
Example 156—Synthesis of (R)-Methyl 2-((7-((2-chloro-6-fluorobenzyl)oxy)-1-((3-(trifluoromethyl)phenyl)sulfonyl)-1,2,3,4-tetrahydroquinolin-3-yl)oxy)acetate
Figure US09896441-20180220-C01449
To a stirred solution of (R)-7-((2-chloro-6-fluorobenzyl)oxy)-1-((3-(trifluoromethyl)phenyl)sulfonyl)-1,2,3,4-tetrahydroquinolin-3-ol (200 mg, 0.39 mmol) in N,N-dimethylformamide (10 mL) at 0° C. was added 60% sodium hydride (31 mg, 1.29 mmol) followed by methyl 2-bromoacetate (71 mg, 0.46 mmol). The reaction mixture was stirred at room temperature for two hours, and quenched by the addition of water. The mixture was extracted twice with ethyl acetate. The combined organic layers were dried (Na2SO4) and concentrated. The resulting residue was purified via MPLC, eluting with petroleum ether: ethyl acetate (1:1) to afford (R)-methyl 2-((7-((2-chloro-6-fluorobenzyl)oxy)-1-((3-(trifluoromethyl)phenyl)sulfonyl)-1,2,3,4-tetrahydroquinolin-3-yl)oxy)acetate (21.7 mg, 10%) as a white solid.
Example 157—Synthesis of (R)-2-((7-((2-Chloro-6-fluorobenzyl)oxy)-1-((3-(trifluoromethyl)phenyl)sulfonyl)-1,2,3,4-tetrahydroquinolin-3-yl)oxy)acetic acid
Figure US09896441-20180220-C01450
To a solution of (R)-methyl 2-((7-((2-chloro-6-fluorobenzyl)oxy)-1-((3-(trifluoromethyl)phenyl)sulfonyl)-1,2,3,4-tetrahydroquinolin-3-yl)oxy)acetate (100 mg, 0.17 mmol) in tetrahydrofuran (9 mL) and water (3 mL) was added lithium hydroxide (20 mg, 0.84 mmol). The mixture was stirred for two hours at room temperature. The pH value of the solution was adjusted to 5 with 1 M HCl. The mixture was extracted twice with ethyl acetate, dried (Na2SO4), and concentrated. The resulting residue was purified by reverse phase Prep-HPLC to provide (R)-2-((7-((2-chloro-6-fluorobenzyl)oxy)-1-((3-(trifluoromethyl)phenyl)sulfonyl)-1,2,3,4-tetrahydroquinolin-3-yl)oxy)acetic acid (18.3 mg, 19%) as a white solid. 1H-NMR- (400 MHz, CDCl3) δ 8.06 (1H, s), 7.92 (1H, d), 7.82 (1H, d), 7.58 (1H, t), 7.37 (1H, s), 7.30 (1H, m), 7.07 (t, 1H), 6.99 (1H, d), 6.81 (1H, d), 5.19 (2H, s), 4.16 (2H, m), 4.00 (2H, m), 3.82 (1H, t), 2.80 (1H, m), 2.55 (1H, m). (ES, m/z): (M+H)+ 574.
Example 158—Synthesis of (S)-provide (R)-2-((7-((2-chloro-6-fluorobenzyl)oxy)-1-((3-(trifluoromethyl)phenyl)sulfonyl)-1,2,3,4-tetrahydroquinolin-3-ol
Figure US09896441-20180220-C01451
Part I—Synthesis of (2S,3R)-Ethyl 2,3-dihydroxy-3-(4-methoxy-2-nitrophenyl)propanoate
Figure US09896441-20180220-C01452
To a solution of (E)-ethyl 3-(4-methoxy-2-nitrophenyl)acrylate (4.72 g, 18.8 mmol) in tert-butanol/water (1:1) (150 mL) was added methanesulfonamide (2.7 g) followed by the addition of AD-mix-β (27.7 g, 19.8 mmol) in several portions at 0° C. The resulting solution was stirred overnight at room temperature. The reaction was then quenched by the addition of saturated aqueous sodium bisulfite (200 mL). The mixture was extracted three times with ethyl acetate, and the combined organic layers were concentrated. The resulting residue was purified via MPLC eluting with ethyl acetate/petroleum ether (4:1). Concentration of the major UV component afforded (2S,3R)-ethyl 2,3-dihydroxy-3-(4-methoxy-2-nitrophenyl)propanoate (4.65 g) as a yellow solid.
Part II-VI—Synthesis of (S)-7-((2-Chloro-6-fluorobenzyl)oxy)-1-((3-(trifluoromethyl)phenyl)sulfonyl)-1,2,3,4-tetrahydroquinolin-3-ol
Figure US09896441-20180220-C01453
Parts II-IV were performed as done on the enantiomer in Example 155. The NMR and MS were identical to the material of Example 155. Each was greater than 98% ee as determined by a chiral HPLC.
Example 159—Synthesis of (R)-7-((2-Chloro-6-fluorobenzyl)oxy)-1-((3-(trifluoromethyl)phenyl)sulfonyl)-1,2,3,4-tetrahydroquinolin-3-amine
Figure US09896441-20180220-C01454
Part I—Synthesis of (S)-7-((2-Chloro-6-fluorobenzyl)oxy)-1-((3-(trifluoromethyl)phenyl)sulfonyl)-1,2,3,4-tetrahydroquinolin-3-yl methanesulfonate
Figure US09896441-20180220-C01455
To a stirred solution of (S)-7-((2-chloro-6-fluorobenzyl)oxy)-1-((3-(trifluoromethyl)phenyl)sulfonyl)-1,2,3,4-tetrahydroquinolin-3-ol (550 mg, 1.06 mmol) and diisopropylethylamine (0.37 mL, 2.12 mmol) in dichloromethane (7.9 mL) at −10° C. was added methanesulfonyl chloride (0.099 mL, 1.27 mmol) dropwise. The mixture was warmed to room temperature and stirred for 2 hours. The resulting solution was diluted with saturated sodium bicarbonate and extracted three times with dichloromethane. The organic layers were combined and concentrated to afford (S)-7-((2-chloro-6-fluorobenzyl)oxy)-1-((3-(trifluoromethyl)phenyl)sulfonyl)-1,2,3,4-tetrahydroquinolin-3-yl methanesulfonate (600 mg) as a yellow oil.
Part II—Synthesis of (R)-3-azido-7-((2-chloro-6-fluorobenzyl)oxy)-1-((3-(trifluoromethyl)phenyl)sulfonyl)-1,2,3,4-tetrahydroquinoline
Figure US09896441-20180220-C01456
A mixture of (S)-7-((2-chloro-6-fluorobenzyl)oxy)-1-((3-(trifluoromethyl)phenyl)sulfonyl)-1,2,3,4-tetrahydroquinolin-3-yl methanesulfonate (633 mg, 1.06 mmol), N,N-dimethylformamide (1.2 mL), and sodium azide (138.5 mg, 2.13 mmol) was stirred for two hours at 80° C. The mixture was diluted in water, extracted three times with dichloromethane and the organic layers were combined and concentrated. The crude product was purified by MPLC eluting with a gradient of petroleum ether: ethyl acetate=20:1 increasing to petroleum ether: ethyl acetate=4:1 to afford (R)-3-azido-7-((2-chloro-6-fluorobenzyl)oxy)-1-((3-(trifluoromethyl)phenyl)sulfonyl)-1,2,3,4-tetrahydroquinoline (450 mg, 78%) as a yellow oil.
Part III—Synthesis of (R)-7-((2-Chloro-6-fluorobenzyl)oxy)-1-((3-(trifluoromethyl)phenyl)sulfonyl)-1,2,3,4-tetrahydroquinolin-3-amine
Figure US09896441-20180220-C01457
To a solution of (R)-3-azido-7-((2-chloro-6-fluorobenzyl)oxy)-1-((3-(trifluoromethyl)phenyl)sulfonyl)-1,2,3,4-tetrahydroquinoline (410 mg, 0.76 mmol) in water (0.0824 mL, 4.58 mmol) and tetrahydrofuran (2.2 mL) at 0° C. was added triphenylphosphine (397.6 mg, 1.52 mmol) in portions. The mixture was stirred overnight at 50° C., cooled, and concentrated. The resulting residue was diluted with water, and extracted three times with dichloromethane. The combined organic layers were concentrated and the resulting residue was purified via MPLC eluting with a gradient of 1-20% methanol in dichloromethane. The major UV active component was further purified via reverse phase Prep HPLC to provide (R)-7-((2-chloro-6-fluorobenzyl)oxy)-1-((3-(trifluoromethyl)phenyl)sulfonyl)-1,2,3,4-tetrahydroquinolin-3-amine (30.2 mg, 8%) as a white solid. 1H-NMR (400 MHz, CD3OD) δ 2.65 (m, 1H), 2.90 (dd, J=5.6 Hz, 16.4 Hz, 1H), 3.53 (m, 1H), 3.69 (dd, J=8.4 Hz, 13.2 Hz, 1H), 4.40 (dd, J=3.6 Hz, 13.2 Hz, 1H), 5.21 (s, 2H), 6.92 (dd, J=2.4 Hz, 8.8 Hz, 1H), 7.12 (d, J=8.4 Hz, 1H), 7.18 (t, J=8.8 Hz, 1H), 7.36 (d, J=8.0 Hz, 1H), 7.41-7.47 (m, 2H), 7.82 (t, J=7.6 Hz, 1H), 7.98-8.07 (m, 3H). (ES, m/z): (M+H+MeCN)+ 556.
Example 160—Synthesis of (R)—N-(7-((2-chloro-6-fluorobenzyl)oxy)-1-((3-(trifluoromethyl)phenyl)sulfonyl)-1,2,3,4-tetrahydroquinolin-3-yl)acetamide
Figure US09896441-20180220-C01458
To a solution of (R)-7-((2-chloro-6-fluorobenzyl)oxy)-1-((3-(trifluoromethyl)phenyl)sulfonyl)-1,2,3,4-tetrahydroquinolin-3-amine (350 mg, 0.68 mmol) in dichloromethane (6.5 mL) and triethylamine (0.28 mL, 2.04 mmol) was added acetyl chloride (0.12 mL, 1.7 mmol). The reaction mixture was stirred overnight at room temperature and then diluted with saturated aqueous sodium bicarbonate. The mixture was extracted three times with dichloromethane. The combined organic layers were concentrated and the resulting residue was purified via reverse phase Prep-HPLC eluting with a gradient of 40-80% acetonitrile in water with 0.05% TFA to afford (R)—N-(7-((2-chloro-6-fluorobenzyl)oxy)-1-((3-(trifluoromethyl)phenyl)sulfonyl)-1,2,3,4-tetrahydroquinolin-3-yl)acetamide (83.3 mg, 22%) as a white solid. 1H-NMR (400 MHz, CDCl3) δ 2.00 (s, 3H), 2.51 (dd, J=11.1 Hz, 15.6 Hz, 1H), 2.78 (dd, J=4.2 Hz, 15.6 Hz, 1H), 3.76 (dd, J=6.0 Hz, 12.9 Hz, 1H), 3.98 (d, J=12.3 Hz, 1H), 4.23 (brs, 1H), 5.12 (s, 2H), 5.56-5.58 (m, 1H), 6.80 (dd, J=2.4 Hz, 8.4 Hz, 1H), 6.94 (d, J=17.1 Hz, 1H), 7.06 (dt, J=1.2 Hz, 9.0 Hz, 1H), 7.27-7.35 (m, 2H), 7.40 (d, J=2.4 Hz, 1H), 7.67 (t, J=8.1 Hz, 1H), 7.84 (d, J=8.1 Hz, 1H), 8.00 (brs, 2H). (ES, m/z): (M+Na)+ 598.
Example 161—Synthesis of (S,E)-7-(2-(2-Chloro-6-fluorophenyl)prop-1-en-1-yl)-1-((3-(trifluoromethyl)phenyl)sulfonyl)-1,2,3,4-tetrahydroquinolin-3-ol
Figure US09896441-20180220-C01459
Part I—Synthesis of (S)-3-Hydroxy-1-((3-(trifluoromethyl)phenyl)sulfonyl)-1,2,3,4-tetrahydroquinolin-7-yl trifluoromethanesulfonate
Figure US09896441-20180220-C01460
To a stirred solution of (S)-1-((3-(trifluoromethyl)phenyl)sulfonyl)-1,2,3,4-tetrahydroquinoline-3,7-diol (800 mg, 2.14 mmol) and pyridine (676 mg, 8.55 mmol) in dichloromethane (70 mL) was added a solution of trifluoromethanesulfonic anhydride (847 mg, 3.00 mmol) in dichloromethane (5 mL) dropwise. The reaction mixture was stirred for two hours at room temperature. The reaction mixture was diluted with water. The resulting mixture was extracted with dichloromethane. The organic layer was washed with water, brine, and concentrated. The resulting residue was purified via MPLC eluting with ethyl acetate/petroleum ether (1:10-1:3) to afford (S)-3-hydroxy-1-((3-(trifluoromethyl)phenyl)sulfonyl)-1,2,3,4-tetrahydroquinolin-7-yl trifluoromethanesulfonate (950 mg, 88%) as a yellow oil.
Part II—Synthesis of (S,E)-7-(2-(2-Chloro-6-fluorophenyl)prop-1-en-1-yl)-1-((3-(trifluoromethyl)phenyl)sulfonyl)-1,2,3,4-tetrahydroquinolin-3-ol
Figure US09896441-20180220-C01461
To a flask, which was purged and maintained with an inert atmosphere of nitrogen, was placed a solution of (S)-3-hydroxy-1-((3-(trifluoromethyl)phenyl)sulfonyl)-1,2,3,4-tetrahydroquinolin-7-yl trifluoromethanesulfonate (400 mg, 0.79 mmol) in toluene (12 mL), ethanol (4 mL), water (2 mL), 2-[(1E)-2-(2-chloro-6-fluorophenyl)prop-1-en-1-yl]-4,4,5,5-tetramethyl-1,3,2-dioxaborolane (258 mg, 0.87 mmol), and potassium acetate (232 mg, 2.36 mmol). Tetrakis(triphenylphosphane) palladium (91 mg, 0.08 mmol) was added to the reaction and it was stirred for three hours at 90° C. The mixture was cooled and was extracted three times with ethyl acetate. The organic layers were combined and concentrated. The resulting residue was purified via MPLC eluting with ethyl acetate/petroleum ether (1:10-2:1) to afford (S,E)-7-(2-(2-chloro-6-fluorophenyl)prop-1-en-1-yl)-1-((3-(trifluoromethyl)phenyl)sulfonyl)-1,2,3,4-tetrahydroquinolin-3-ol (215 mg, 52%) as a yellow oil. 1H-NMR (300 MHz, CD3OD) δ 7.93-8.05 (m, 3H), 7.70-7.76 (m, 2H), 7.26-7.35 (m, 2H), 7.09-7.17 (m, 3H), 6.39 (s, 1H), 4.11 (m, 1H), 3.92 (m, 1H), 3.61-3.38 (m, 1H), 2.76 (m, 1H), 2.46 (m, 1H), 2.12 (s, 3H). (ES, m/z): (M+H)+ 526.
Example 162—Synthesis of (R,E)-7-(2-(2-Chloro-6-fluorophenyl)prop-1-en-1-yl)-1-((3-(trifluoromethyl)phenyl)sulfonyl)-1,2,3,4-tetrahydroquinolin-3-ol
Figure US09896441-20180220-C01462
The title compound was prepared based on procedures described in Example 161, using the enantiomer.
Example 163—Synthesis of (R,E)-7-(2-Chloro-6-fluorostyryl)-1-((3-(trifluoromethyl)phenyl)sulfonyl)-1,2,3,4-tetrahydroquinolin-3-ol
Figure US09896441-20180220-C01463
Part I—Synthesis of (E)-2-(2-Chloro-6-fluorostyryl)-4,4,5,5-tetramethyl-1,3,2-dioxaborolane
Figure US09896441-20180220-C01464
To a flask, which was purged and maintained with an inert atmosphere of nitrogen, was placed copper (I) chloride (3.8 mg, 0.04 mmol), sodium tert-butoxide (7.5 mg, 0.078 mmol), 4,5-bis(diphenylphosphino)-9,9-dimethylxanthene (22.4 mg, 0.04 mmol), and tetrahydrofuran (3 mL). The mixture was stirred for thirty minutes at room temperature. 4,4,5,5-Tetramethyl-2-(tetramethyl-1,3,2-dioxaborolan-2-yl)-1,3,2-dioxaborolane (328.6 mg, 1.29 mmol) was added. After ten minutes, a solution of 1-chloro-2-ethynyl-3-fluorobenzene (200 mg, 1.29 mmol, 1.00 equiv) and methanol (0.105 mL) was added. The reaction mixture was stirred overnight at room temperature. The reaction mixture was diluted with water, and extracted three times with dichloromethane. The combined organic layers were dried (Na2SO4) and concentrated. The resulting residue was purified via MPLC eluting with a gradient of ethyl acetate/petroleum ether (0-5%) to provide (E)-2-(2-chloro-6-fluorostyryl)-4,4,5,5-tetramethyl-1,3,2-dioxaborolane (100 mg, 27%) as a colorless liquid.
Part II—Synthesis of (R,E)-7-(2-Chloro-6-fluorostyryl)-1-((3-(trifluoromethyl)phenyl)-sulfonyl)-1,2,3,4-tetrahydroquinolin-3-ol
Figure US09896441-20180220-C01465
To a flask purged and maintained with an inert atmosphere of nitrogen, was placed (R)-3-hydroxy-1-((3-(trifluoromethyl)phenyl)sulfonyl)-1,2,3,4-tetrahydroquinolin-7-yl trifluoromethanesulfonate (100 mg, 0.20 mmol), (E)-2-(2-chloro-6-fluorostyryl)-4,4,5,5-tetramethyl-1,3,2-dioxaborolane (84 mg, 0.37 mmol), potassium acetate (50 mg, 0.51 mmol), toluene (4 mL), ethanol (2 mL), and water (1 mL). Tetrakis(triphenylphosphine)palladium(0) (22.9 mg, 0.02 mmol) was added and the mixture was stirred overnight at 90° C. The reaction mixture was cooled, extracted with ethyl acetate and was concentrated. The resulting residue was purified by reverse phase Prep-HPLC eluting with a gradient of 55-88% acetonitrile in water with 0.05% TFA to afford (R,E)-7-(2-chloro-6-fluorostyryl)-1-((3-(trifluoromethyl)phenyl)-sulfonyl)-1,2,3,4-tetrahydroquinolin-3-ol (39 mg, 39%) as a white solid. 1H-NMR (400 MHz, CDCl3) δ 8.07 (s, 1H), 7.97 (d, J=8 Hz, 1H), 7.86 (m, 2H), 7.64 (t, J=8 Hz, 1H), 7.35 (m, 2H), 7.29-7.24 (m, 3H), 7.20-7.15 (m, 3H), 7.14-7.04 (m, 2H), 4.18 (m, 1H), 4.01 (m, 1H), 3.85 (m, 1H), 2.84 (m, 1H), 2.57 (m, 1H). (ES, m/z): (M+NH4)+ 529.
Example 164—Synthesis of (R,E)-7-(2-(2-Chloro-6-fluorophenyl)prop-1-en-1-yl)-1-((3-(trifluoromethyl)phenyl)sulfonyl)-1,2,3,4-tetrahydroquinolin-3-amine
Figure US09896441-20180220-C01466
Part I—Synthesis of (S,E)-7-(2-(2-Chloro-6-fluorophenyl)prop-1-en-1-yl)-1-((3-(trifluoromethyl)phenyl)sulfonyl)-1,2,3,4-tetrahydroquinolin-3-yl methanesulfonate
Figure US09896441-20180220-C01467
To a stirred solution of (S,E)-7-(2-(2-chloro-6-fluorophenyl)prop-1-en-1-yl)-1-((3-(trifluoromethyl)phenyl)sulfonyl)-1,2,3,4-tetrahydroquinolin-3-ol (360 mg, 0.68 mmol) and triethyl amine (274 mg, 2.71 mmol) in dichloromethane (15 mL) was added methanesulfonyl chloride (117 mg, 1.02 mmol) dropwise at room temperature. The reaction mixture was stirred for two hours, and diluted with water. The mixture was extracted with dichloromethane. The organic layer was washed twice with water, once with brine, dried (Na2SO4) and concentrated to afford (S,E)-7-(2-(2-chloro-6-fluorophenyl)prop-1-en-1-yl)-1-((3-(trifluoromethyl)phenyl)sulfonyl)-1,2,3,4-tetrahydroquinolin-3-yl methanesulfonate (360 mg, 87%) as a yellow oil.
Part II—Synthesis of (R,E)-3-Azido-7-(2-(2-chloro-6-fluorophenyl)prop-1-en-1-yl)-1-((3-(trifluoromethyl)phenyl)sulfonyl)-1,2,3,4-tetrahydroquinoline
Figure US09896441-20180220-C01468
A solution of (S,E)-7-(2-(2-chloro-6-fluorophenyl)prop-1-en-1-yl)-1-((3-(trifluoromethyl)phenyl)sulfonyl)-1,2,3,4-tetrahydroquinolin-3-yl methanesulfonate (340 mg, 0.56 mmol), sodium azide (110 mg, 1.69 mmol) in N,N-dimethylformamide (10 mL) was stirred for four hours at 80° C. The reaction mixture was cooled, diluted with water, and extracted three times with ethyl acetate. The combined organic layers were washed with water, brine, and concentrated to yield (R,E)-3-azido-7-(2-(2-chloro-6-fluorophenyl)prop-1-en-1-yl)-1-((3-(trifluoromethyl)phenyl)sulfonyl)-1,2,3,4-tetrahydroquinoline (310 mg, 100%) as a yellow oil.
Part III—Synthesis of (R,E)-7-(2-(2-Chloro-6-fluorophenyl)prop-1-en-1-yl)-1-((3-(trifluoromethyl)phenyl)sulfonyl)-1,2,3,4-tetrahydroquinolin-3-amine
Figure US09896441-20180220-C01469
To a solution of (R,E)-3-azido-7-(2-(2-chloro-6-fluorophenyl)prop-1-en-1-yl)-1-((3-(trifluoromethyl)phenyl)sulfonyl)-1,2,3,4-tetrahydroquinoline (320 mg, 0.58 mmol) in tetrahydrofuran (20 mL) and water (2 mL) was added triphenylphosphine (304 mg, 1.16 mmol). The reaction mixture was stirred overnight at room temperature and concentrated. The resulting residue was purified via MPLC eluting with a gradient of dichloromethane/methanol (100:1-10:1). The major UV active component was further purified by reverse phase Prep-HPLC eluting with 65% acetonitrile in water with 0.05% TFA to afford (R,E)-7-(2-(2-chloro-6-fluorophenyl)prop-1-en-1-yl)-1-((3-(trifluoromethyl)phenyl)sulfonyl)-1,2,3,4-tetrahydroquinolin-3-amine (300 mg, 98%) as a yellow oil. 1H-NMR (300 MHz, CD3OD) δ 8.05 (m, 3H), 7.85 (m, 1H), 7.72 (s, 1H), 7.31-7.36 (m, 2H), 7.20-7.26 (m, 2H), 7.15 (m, 1H), 6.42 (s, 1H), 4.44 (m, 1H), 3.77 (m, 1H), 3.61 (m, 1H), 3.04 (m, 1H), 2.77 (m, 1H), 2.13 (s, 3H). (ES, m/z): (M+H)+ 524.
Example 165—Synthesis of (R,E)-N-(7-(2-(2-Chloro-6-fluorophenyl)prop-1-en-1-yl)-1-((3-(trifluoromethyl)phenyl)sulfonyl)-1,2,3,4-tetrahydroquinolin-3-yl)acetamide
Figure US09896441-20180220-C01470
To a solution of (R,E)-7-(2-(2-chloro-6-fluorophenyl)prop-1-en-1-yl)-1-((3-(trifluoromethyl)phenyl)sulfonyl)-1,2,3,4-tetrahydroquinolin-3-amine (150 mg, 0.29 mmol) and triethylamine (115 mg, 1.14 mmol) in dichloromethane (15 mL) was added acetyl chloride (33.5 mg, 0.427 mmol) at room temperature. The reaction mixture was stirred overnight at room temperature, diluted with water, and extracted twice with dichloromethane. The combined organic layers were dried (Na2SO4) and concentrated. The resulting residue was purified via MPLC eluting with a gradient of ethyl acetate/petroleum ether (1:5-5:1). The major UV component was further purified by reverse phase Prep-HPLC eluting with a gradient of 60-67% acetonitrile in water with 0.05% TFA to provide (R,E)-N-(7-(2-(2-chloro-6-fluorophenyl)prop-1-en-1-yl)-1-((3-(trifluoromethyl)phenyl)sulfonyl)-1,2,3,4-tetrahydroquinolin-3-yl)acetamide (41.6 mg, 26%) as a white solid. 1H-NMR (400 MHz, CD3OD) δ 8.05 (m, 1H), 7.94 (m, 1H), 7.90 (s, 1H), 7.76-7.82 (m, 2H), 7.29-7.36 (m, 2H), 7.12-7.18 (m, 3H), 6.42 (s, 1H), 4.38 (m, 1H), 3.88 (m, 1H), 3.46 (m, 1H), 2.80 (m, 1H), 2.55 (m, 1H), 2.17 (s, 3H), 1.95 (s, 3H). (ES, m/z): (M+H)+ 567.
Example 166—Synthesis of (S,E)-7-(2-(2-Chloro-6-fluorophenyl)prop-1-en-1-yl)-1-((3-(trifluoromethyl)phenyl)sulfonyl)-1,2,3,4-tetrahydroquinolin-3-amine
Figure US09896441-20180220-C01471
This compound was prepared as by Example 164, using the enantiomer as the starting material.
Example 167—Synthesis of (S,E)-N-(7-(2-(2-chloro-6-fluorophenyl)prop-1-en-1-yl)-1-((3-(trifluoromethyl)phenyl)sulfonyl)-1,2,3,4-tetrahydroquinolin-3-yl)acetamide
Figure US09896441-20180220-C01472
This compound was prepared as by Example 165, using the enantiomer as the starting material.
Example 168—Synthesis of Racemic (2R,3R)-7-((E)-2-Chloro-6-fluorostyryl)-1-((4-fluoro-3-methoxyphenyl)sulfonyl)-2-methyl-1,2,3,4-tetrahydroquinolin-3-ol
Figure US09896441-20180220-C01473
Part I—Synthesis of Racemic (2R,3R,4R)-7-Bromo-3-hydroxy-2-methyl-1,2,3,4-tetrahydroquinolin-4-yl acetate
Figure US09896441-20180220-C01474
Ceric ammonium nitrate (663 mg, 1.21 mmol) was added a stirred solution of racemic (1aR,2R,7bS)-5-bromo-3-((4-fluoro-3-methoxyphenyl)sulfonyl)-2-methyl-1a,2,3,7b-tetrahydrooxireno[2,3-c]quinoline (6.84 g, 19.81 mmol) in acetic acid (60 mL) at room temperature. The reaction mixture was stirred overnight at room temperature, and then it was diluted with water (500 mL). The mixture was extracted three times with dichloromethane. The combined organic layers were washed three times with saturated sodium bicarbonate and concentrated. The resulting residue was purified by MPLC eluting with a gradient of 10% to 90% ethyl acetate in petroleum ether to afford racemic (2R,3R,4R)-7-bromo-3-hydroxy-2-methyl-1,2,3,4-tetrahydroquinolin-4-yl acetate (2.23, 28%) as a light yellow foam.
Part II—Synthesis of Racemic (2R,3R,4R)-7-Bromo-2-methyl-3-((methylsulfonyl)oxy)-1,2,3,4-tetrahydroquinolin-4-yl acetate
Figure US09896441-20180220-C01475
To a stirred solution of racemic (2R,3R,4R)-7-bromo-3-hydroxy-2-methyl-1,2,3,4-tetrahydroquinolin-4-yl acetate (1.99 g, 4.91 mmol) in dichloromethane (41 mL) at 0° C. was added dropwise triethyl amine (1.2 mL, 8.84 mmol). Methane sulfonyl chloride (0.62 mL, 7.86 mmol) was then added dropwise. The resulting solution was stirred for one hour at 0° C., and then quenched by the addition of saturated ammonium chloride (100 mL). The mixture was extracted three times with dichloromethane. The combined organic layers were concentrated, and the resulting residue was purified by MPLC eluting with a gradient of 33-66% ethyl acetate in petroleum ether to afford racemic (2R,3R,4R)-7-bromo-2-methyl-3-((methylsulfonyl)oxy)-1,2,3,4-tetrahydroquinolin-4-yl acetate (2.45 g) as a light yellow foam.
Part III—Synthesis of Racemic (2R,3R)-7-Bromo-2-methyl-1,2,3,4-tetrahydroquinolin-3-ol
Figure US09896441-20180220-C01476
A 1M solution of lithium triethylborohydride in THF (49.2 mL, 49.2 mmol) was added dropwise to a stirred solution of racemic (2R,3R,4R)-7-bromo-2-methyl-3-((methylsulfonyl)oxy)-1,2,3,4-tetrahydroquinolin-4-yl acetate (2.37 g, 4.90 mmol) in tetrahydrofuran (15 mL) at 0° C. The resulting solution was stirred for an addition hour at room temperature, and then quenched by the addition of saturated ammonium chloride (100 mL). The mixture was extracted three times with dichloromethane. The combined organic layers were concentrated, and the resulting residue was purified by MPLC eluting with a gradient of 20-50% ethyl acetate in petroleum ether to afford racemic (2R,3R)-7-bromo-2-methyl-1,2,3,4-tetrahydroquinolin-3-ol (1.3 g) as a brown oil
Part IV—Synthesis of Racemic ((2R,3R)-7-((E)-2-Chloro-6-fluorostyryl)-2-methyl-1,2,3,4-tetrahydroquinolin-3-ol
Figure US09896441-20180220-C01477
To a mixture of racemic (2R,3R)-7-bromo-2-methyl-1,2,3,4-tetrahydroquinolin-3-ol (592 mg, 2.45 mmol), (E)-2-(2-(2-chloro-6-fluorophenyl)prop-1-en-1-yl)-4,4,5,5-tetramethyl-1,3,2-dioxaborolane (1.04 g, 3.68 mmol), ethanol (2.8 mL), water (10 mL), and toluene (20.1 mL) was added sodium carbonate (2.13 g, 20.10 mmol) and tetrakis(triphenylphosphine)-palladium(0) (340.9 mg, 0.30 mmol) under nitrogen. The mixture was stirred for one hour at 95° C., cooled, and diluted with water (100 mL). The mixture was extracted three times with dichloromethane, and the combined organic layers were concentrated. The resulting residue was purified by MPLC eluting with a gradient of 20-50% ethyl acetate in petroleum ether to afford racemic ((2R,3R)-7-((E)-2-chloro-6-fluorostyryl)-2-methyl-1,2,3,4-tetrahydroquinolin-3-ol (340 mg, 44%) as an oil.
Part V—Synthesis of Racemic (2R,3R)-7-((E)-2-Chloro-6-fluorostyryl)-1-((4-fluoro-3-methoxyphenyl)sulfonyl)-2-methyl-1,2,3,4-tetrahydroquinolin-3-ol
Figure US09896441-20180220-C01478
To a solution of racemic ((2R,3R)-7-((E)-2-chloro-6-fluorostyryl)-2-methyl-1,2,3,4-tetrahydroquinolin-3-ol (95 mg, 0.30 mmol) in dichloromethane (1.5 mL) was added pyridine (0.12 mL, 1.5 mmol), 4-dimethylaminopyridine (18.2 mg, 0.15 mmol), and 4-fluoro-3-methoxybenzene-1-sulfonyl chloride (80.7 mg, 0.36 mmol). The mixture was stirred overnight at room temperature and then diluted with brine. The mixture was extracted three times with dichloromethane. The organic layers were combined and concentrated. The resulting residue was purified by Prep-HPLC eluting with a gradient of 62-68% acetonitrile in water with 0.05% trifluoroacetic acid to afford racemic (2R,3R)-7-((E)-2-chloro-6-fluorostyryl)-1-((4-fluoro-3-methoxyphenyl)sulfonyl)-2-methyl-1,2,3,4-tetrahydroquinolin-3-ol (34.3 mg, 23%) as a light yellow solid. 1H-NMR (300 MHz, CDCl3) δ 7.95 (s, 1H), 7.27-7.37 (m, 4H), 7.22 (s, 1H), 7.02-7.19 (m, 5H), 4.47 (m, 1H), 3.84 (m, 1H), 3.70 (s, 3H), 2.55 (m, 2H), 1.24 (d, J=6.9 Hz, 3H). (ES, m/z): (M+H)+ 506.
Example 169—Synthesis of Racemic (2R,3R)-7-((E)-2-(2-Chloro-6-fluorophenyl)prop-1-en-1-yl)-1-((4-fluoro-3-methoxyphenyl)sulfonyl)-2-methyl-1,2,3,4-tetrahydroquinolin-3-ol
Figure US09896441-20180220-C01479
Part I—Synthesis of Racemic (2R,3R)-7-((E)-2-(2-Chloro-6-fluorophenyl)prop-1-en-1-yl)-2-methyl-1,2,3,4-tetrahydroquinolin-3-ol
Figure US09896441-20180220-C01480
A mixture of racemic (2R,3R)-7-bromo-2-methyl-1,2,3,4-tetrahydroquinolin-3-ol (520 mg, 2.15 mmol), (E)-2-(2-(2-chloro-6-fluorophenyl)prop-1-en-1-yl)-4,4,5,5-tetramethyl-1,3,2-dioxaborolane (957 mg, 3.23 mmol), ethanol (2.5 mL), water (8.8 mL), and toluene (17.6 mL) was purged and maintained with an inert atmosphere of nitrogen. Sodium carbonate (1.87 g, 17.64 mmol) and tetrakis(triphenylphosphine)palladium(0) (299.4 mg, 0.26 mmol) were added and the resulting mixture was stirred for three hours at 95° C. The mixture was diluted with water (100 mL), and extracted three times with dichloromethane. The combined organic layers were combined and concentrated. The resulting residue was purified by MPLC eluting with a gradient of 10%-90% ethyl acetate in petroleum ether to afford racemic (2R,3R)-7-((E)-2-(2-chloro-6-fluorophenyl)prop-1-en-1-yl)-2-methyl-1,2,3,4-tetrahydroquinolin-3-ol (220 mg, 31%) as a yellow oil.
Part II—Synthesis of Racemic (2R,3R)-7-((E)-2-(2-Chloro-6-fluorophenyl)prop-1-en-1-yl)-1-((4-fluoro-3-methoxyphenyl)sulfonyl)-2-methyl-1,2,3,4-tetrahydroquinolin-3-ol
Figure US09896441-20180220-C01481
To a solution of racemic (2R,3R)-7-((E)-2-(2-chloro-6-fluorophenyl)prop-1-en-1-yl)-2-methyl-1,2,3,4-tetrahydroquinolin-3-ol (111 mg, 0.33 mmol) in dichloromethane (1.7 mL) was added pyridine (0.13 mL, 1.65 mmol), 4-dimethylaminopyridine (20.4 mg, 0.17 mmol), and 4-fluoro-3-methoxybenzene-1-sulfonyl chloride (90.3 mg, 0.40 mmol). The mixture was stirred overnight at room temperature and then diluted with brine. The mixture was extracted three times with dichloromethane. The organic layers were combined and concentrated. The resulting residue was purified by Prep-HPLC eluting with a gradient of 55-75% acetonitrile in water with 0.05% trifluoroacetic acid to afford racemic (2R,3R)-7-((E)-2-(2-chloro-6-fluorophenyl)prop-1-en-1-yl)-1-((4-fluoro-3-methoxyphenyl)sulfonyl)-2-methyl-1,2,3,4-tetrahydroquinolin-3-ol (34.3 mg, 23%) as a light yellow solid. 1H-NMR (300 MHz, CDCl3) δ 7.61 (s, 1H), 7.37 (m, 1H), 7.00-7.25 (m, 7H), 6.40 (s, 1H), 4.36 (m, 1H), 3.76 (s, 3H), 3.75 (m, 1H), 2.79 (dd, J=4.2 Hz, 15.6 Hz, 1H), 2.17 (d, J=1.5 Hz, 3H), 2.07 (dd, J=7.2 Hz, 16.2 Hz, 1H), 1.37 (d, J=6.6 Hz, 3H). (ES, m/z): (M+H)+ 520.
Example 170—Synthesis of Racemic (2R,3R)-7-((E)-2-Chloro-6-fluorostyryl)-2-methyl-1-((3-(trifluoromethyl)phenyl)sulfonyl)-1,2,3,4-tetrahydroquinolin-3-ol
Figure US09896441-20180220-C01482
By the procedure utilized in Example 168, (2R,3R)-7-((E)-2-chloro-6-fluorostyryl)-2-methyl-1-((3-(trifluoromethyl)phenyl)sulfonyl)-1,2,3,4-tetrahydroquinolin-3-ol was prepared. 1H-NMR (300 MHz, CDCl3) δ 7.92 (m, 2H), 7.82 (m, 2H), 7.60 (t, J=8.0 Hz, 1H), 7.25 (m, 2H), 7.17 (m, 1H), 7.02-7.10 (m, 2H), 4.49 (m, 1H), 3.89 (m, 1H), 2.61 (dd, J=8.8 Hz, 16.8 Hz, 1H), 2.51 (dd, J=5.6 Hz, 16.8 Hz, 1H), 1.26 (d, J=6.8 Hz, 3H). (ES, m/z): (M+H)+ 526.
Example 171—Synthesis of Racemic (2R,3R)-7-((E)-2-(2-Chloro-6-fluorophenyl)prop-1-en-1-yl)-2-methyl-1-((3-(trifluoromethyl)phenyl)sulfonyl)-1,2,3,4-tetrahydroquinolin-3-ol
Figure US09896441-20180220-C01483
By the procedure utilized in Example 169, (2R,3R)-7-((E)-2-(2-chloro-6-fluorophenyl)prop-1-en-1-yl)-2-methyl-1-((3-(trifluoromethyl)phenyl)sulfonyl)-1,2,3,4-tetrahydroquinolin-3-ol was prepared. 1H-NMR (300 MHz, CDCl3) δ 1.26 (d, J=6.8 Hz, 3H), 2.23 (s, 3H), 2.53 (dd, J=6.0 Hz, 10.0 Hz, 1H), 2.61 (dd, J=8.4 Hz, 16.0 Hz, 1H), 3.88-3.93 (m, 1H), 4.45-4.51 (m, 1H), 6.45 (s, 1H), 7.02-7.10 (m, 2H), 7.19-7.25 (m, 3H), 7.61 (t, J=8.0 Hz, 1H), 7.81-7.83 (m, 3H), 7.93 (s, 1H). (ES, m/z): (M+H)+ 540.
Example 172—Synthesis of (R)-2-((7-((2-Chloro-6-fluorobenzyl)oxy)-1-((3-(trifluoromethyl)phenyl)sulfonyl)-1,2,3,4-tetrahydroquinolin-3-yl)oxy)-2-methylpropanoic acid
Figure US09896441-20180220-C01484
Part I—Synthesis of Methyl (R)-2-((7-((2-chloro-6-fluorobenzyl)oxy)-1-((3-(trifluoromethyl)phenyl)sulfonyl)-1,2,3,4-tetrahydroquinolin-3-yl)oxy)-2-methylpropanoate
Figure US09896441-20180220-C01485
Sodium hydride (15.2 mg, 0.38 mmol) was added in portions to a stirred solution of (R)-7-((2-chloro-6-fluorobenzyl)oxy)-1-((3-(trifluoromethyl)phenyl)sulfonyl)-1,2,3,4-tetrahydroquinolin-3-ol (100 mg, 0.19 mmol) in N,N-dimethylformamide (10 mL) at 0° C. Methyl 2-bromo-2-methylpropanoate (69 mg, 0.38 mmol) was added dropwise and the resulting solution was stirred for thirty minutes at 0° C. The mixture was warmed to room temperature and stirred an additional two hours. Water was added, and the mixture was extracted three times with ethyl acetate. The combined organic layers were washed three times with water, brine, dried (Na2SO4), and concentrated. The resulting residue was purified via MPLC eluting with a gradient of 5-50% ethyl acetate in petroleum ether to afford methyl (R)-2-((7-((2-chloro-6-fluorobenzyl)oxy)-1-((3-(trifluoromethyl)phenyl)sulfonyl)-1,2,3,4-tetrahydroquinolin-3-yl)oxy)-2-methylpropanoate (35 mg, 29%) as a yellow oil.
Part II—Synthesis of (R)-2-((7-((2-Chloro-6-fluorobenzyl)oxy)-1-((3-(trifluoromethyl)phenyl)sulfonyl)-1,2,3,4-tetrahydroquinolin-3-yl)oxy)-2-methylpropanoic acid
Figure US09896441-20180220-C01486
Based on the procedure in Example 42, (R)-2-((7-((2-chloro-6-fluorobenzyl)oxy)-1-((3-(trifluoromethyl)phenyl)sulfonyl)-1,2,3,4-tetrahydroquinolin-3-yl)oxy)-2-methylpropanoic acid was prepared. 1H-NMR (300 MHz, CD3OD) δ 7.94 (m, 1H), 7.82 (s, 1H), 7.71 (m, 1H), 7.43 (m, 2H), 7.34 (m, 1H), 7.19 (m, 1H), 7.02 (m, 1H), 6.84 (m, 1H), 5.21 (s, 2H), 4.35-4.40 (m, 1H), 3.57 (m, 1H), 3.41 (m, 1H), 2.73 (m, 1H), 2.37 (m, 1H), 1.29 (s, 3H), 1.39 (s, 3H). (ES, m/z): (M−H) 600.
Example 173—Preparation of Additional Substituted 1,2,3,4-Tetrahydroquinolin-3-yl)oxy)-acetates
Compounds in Table 21 were prepared based on experimental procedures described in Example 172 and the detailed description.
TABLE 21
Observed
No. Structure Name m/z
173A
Figure US09896441-20180220-C01487
(R)-2-((7-((2-chloro-6- fluorobenzyl)oxy)-1-((3- (trifluoromethyl)phenyl)sulfonyl)- 1,2,3,4-tetrahydroquinolin-3- yl)oxy)acetate 588 (M + H)+
173B
Figure US09896441-20180220-C01488
(R)-2-((7-((2-chloro-6- fluorobenzyl)oxy)-1-((3- (trifluoromethyl)phenyl)sulfonyl)- 1,2,3,4-tetrahydroquinolin-3- yl)oxy)acetic acid 574 (M + H)+
173C
Figure US09896441-20180220-C01489
2-(((R)-7-((2-chloro-6- fluorobenzyl)oxy)-1-((3- (trifluoromethyl)phenyl)sulfonyl)- 1,2,3,4-tetrahydroquinolin-3- yl)oxy)propanoic acid 588 (M + H)+
173D
Figure US09896441-20180220-C01490
methyl (R,E)-2-((7-(2-(2-chloro-6- fluorophenyl)prop-1-en-1-yl)-1-((3- (trifluoromethyl)-phenyl)sulfonyl)- 1,2,3,4-tetrahydroquinolin-3- yl)oxy)acetate 598 (M + H)+
173E
Figure US09896441-20180220-C01491
(R,E)-2-((7-(2-(2-chloro-6- fluorophenyl)prop-1-en-1-yl)-1-((3- (trifluoromethyl)-phenyl)sulfonyl)- 1,2,3,4-tetrahydroquinolin-3- yl)oxy)acetic acid 584 (M + H)+
173F
Figure US09896441-20180220-C01492
(R,E)-2-((7-(2-(2-chloro-6- fluorophenyl)prop-1-en-1-yl)-1-((3- (trifluoromethyl)phenyl)-sulfonyl)- 1,2,3,4-tetrahydroquinolin-3- yl)oxy)-2-methylpropanoic acid 612 (M + H)+
Example 174—Synthesis of rac-(2R,3S)-7-((E)-2-Chloro-6-fluorostyryl)-1-((4-fluoro-3-methoxyphenyl)sulfonyl)-2-methyl-1,2,3,4-tetrahydroquinolin-3-ol
Figure US09896441-20180220-C01493
Part I—Synthesis of rac-7-Bromo-2-methyl-1,2-dihydroquinoline
Figure US09896441-20180220-C01494
To a stirred solution of 7-bromoquinoline (2.06 g, 9.90 mmol) in ether (47 mL) at −78° C. was added a 1.6 M solution of methyl lithium in ether (6.2 mL, 9.9 mmol) dropwise. The reaction mixture was warmed to 0° C. was stirred for ten minutes. The reaction was quenched by the addition of saturated aqueous ammonium chloride. The mixture was extracted three times with dichloromethane and the combined organic layers were concentrated to afford rac-7-bromo-2-methyl-1,2-dihydroquinoline (2.22 g, 100%) as a brown solid.
Part II—Synthesis of rac-(7-Bromo-2-methylquinolin-1(2H)-yl)(phenyl)methanone
Figure US09896441-20180220-C01495
To a stirred solution of rac-7-bromo-2-methyl-1,2-dihydroquinoline (11.35 g, 50.7 mmol) in dichloromethane (70 mL) at 0° C. was added a solution of sodium hydroxide (2.48 g, 62.0 mmol) in water (70 mL) followed by the addition of benzoyl chloride (7.2 mL, 62.0 mmol) dropwise. The reaction mixture was warmed to room temperature and was stirred for two hours. The resulting solution was diluted with water, and extracted three times with dichloromethane. The combined organic layers were dried (Na2SO4) and concentrated to afford (7-bromo-2-methylquinolin-1(2H)-yl)(phenyl)methanone (19.28 g) as a brown oil.
Part III—Synthesis of rac-((1aR,2R,7bS)-5-Bromo-2-methyl-1a,2-dihydrooxireno[2,3-c]quinolin-3(7bH)-yl)(phenyl)methanone
Figure US09896441-20180220-C01496
To a stirred solution of rac-(7-bromo-2-methylquinolin-1(2H)-yl)(phenyl)methanone (16.6 g, 50.4 mmol) in dichloromethane (160 mL) at 0° C. was added meta-chloroperbenzoic acid (21.4 g, 121 mmol) in several portions. The reaction mixture was stirred for two hours at 0° C., and then it was quenched with 20% sodium carbonate. The mixture was extracted three times with dichloromethane. The combined organic layers were concentrated. The resulting residue was purified via MPLC eluting with ethyl acetate/petroleum ether (1:2) to afford rac-((1aR,2R,7bS)-5-bromo-2-methyl-1a,2-dihydrooxireno[2,3-c]quinolin-3(7bH)-yl)(phenyl)methanone (10.04 g, 58%) as a yellow foam.
Part IV—Synthesis of rac-(2R,3S)-7-Bromo-2-methyl-1,2,3,4-tetrahydroquinolin-3-ol
Figure US09896441-20180220-C01497
To a stirred solution of rac-((1aR,2R,7bS)-5-bromo-2-methyl-1a,2-dihydrooxireno[2,3-c]quinolin-3(7bH)-yl)(phenyl)methanone (2.99 g, 8.66 mmol) in tetrahydrofuran (10 mL) was added a 1 M solution of lithium triethylborohydride in THF (86 mL, 86 mmol) dropwise. The reaction mixture was stirred for two hours at room temperature. The reaction was then quenched by the addition saturated aqueous ammonium chloride. The mixture was extracted three times with dichloromethane and the combined organic layers were concentrated. The resulting residue was purified by MPLC eluting with a gradient of petroleum ether: ethyl acetate=10:1 increasing to petroleum ether: ethyl acetate=2:1 to provide rac-(2R,3S)-7-bromo-2-methyl-1,2,3,4-tetrahydroquinolin-3-ol (1.15 g, 55%) as a brown oil.
Part V—Synthesis of rac-(2R,3S)-7-((E)-2-Chloro-6-fluorostyryl)-2-methyl-1,2,3,4-tetrahydroquinolin-3-ol
Figure US09896441-20180220-C01498
A stirred mixture of rac-(2R,3S)-7-bromo-2-methyl-1,2,3,4-tetrahydroquinolin-3-ol (500 mg, 2.07 mmol), (E)-2-(2-chloro-6-fluorostyryl)-4,4,5,5-tetramethyl-1,3,2-dioxaborolane (877.1 mg, 3.10 mmol), ethanol (2.4 mL), water (8.5 mL), toluene (16.9 mL), and sodium carbonate (1.8 g, 16.98 mmol) was purged with nitrogen. To the mixture was added tetrakis(triphenylphosphine)palladium(0) (287.9 mg, 0.25 mmol). The mixture was stirred for four hours at 95° C. The mixture was cooled and diluted with water; and extracted three times with dichloromethane. The combined organic layers were concentrated. The resulting residue was purified by MPLC eluting with a gradient of 10:1 petroleum ether:ethyl acetate increasing to 1:2 petroleum ether:ethyl acetate to afford rac-(2R,3S)-7-((E)-2-chloro-6-fluorostyryl)-2-methyl-1,2,3,4-tetrahydroquinolin-3-ol (330 mg, 50%) as a yellow oil.
Part VI—Synthesis of rac-(2R,3S)-7-((E)-2-Chloro-6-fluorostyryl)-1-((4-fluoro-3-methoxyphenyl)sulfonyl)-2-methyl-1,2,3,4-tetrahydroquinolin-3-ol
Figure US09896441-20180220-C01499
To a solution of rac-(2R,3S)-7-((E)-2-chloro-6-fluorostyryl)-2-methyl-1,2,3,4-tetrahydroquinolin-3-ol (70 mg, 0.22 mmol) and 4-dimethylaminopyridine (13.4 mg, 0.11 mmol) in dichloromethane (1.1 mL) and pyridine (0.089 mL, 1.1 mmol) was added 4-fluoro-3-methoxybenzene-1-sulfonyl chloride (59.4 mg, 0.26 mmol). The reaction mixture was stirred for four hours at room temperature and diluted with brine. The mixture was extracted three times with dichloromethane. The combined organic layers were concentrated, and the resulting residue was purified by reverse phase Prep-HPLC eluting with 57-76% acetonitrile in water with 0.05% TFA to provide rac-(2R,3S)-7-((E)-2-chloro-6-fluorostyryl)-1-((4-fluoro-3-methoxyphenyl)sulfonyl)-2-methyl-1,2,3,4-tetrahydroquinolin-3-ol (24.9 mg, 22%) as a light yellow solid. 1H-NMR (400 MHz, CDCl3) δ 1.37 (d, J=6.6 Hz, 3H), 2.06 (m, 1H), 2.79 (dd, J=4.5 Hz, 16.2 Hz, 1H), 3.73 (s, 3H), 3.77 (m, 1H), 4.38 (m, 1H), 7.01-7.24 (m, 7H), 7.28-7.36 (m, 2H), 7.38-7.43 (m, 1H), 7.86 (s, 1H). (ES, m/z): (M+H)+ 506.
Example 175—Synthesis of rac-(2R,3S)-7-((E)-2-(2-Chloro-6-fluorophenyl)prop-1-en-1-yl)-1-((4-fluoro-3-methoxyphenyl)sulfonyl)-2-methyl-1,2,3,4-tetrahydroquinolin-3-ol
Figure US09896441-20180220-C01500
Part I—Synthesis of rac-(2R,3S)-7-((E)-2-(2-Chloro-6-fluorophenyl)prop-1-en-1-yl)-2-methyl-1,2,3,4-tetrahydroquinolin-3-ol
Figure US09896441-20180220-C01501
To a flask purged and maintained with an inert atmosphere of nitrogen, was placed rac-(2R,3S)-7-bromo-2-methyl-1,2,3,4-tetrahydroquinolin-3-ol (520 mg, 2.15 mmol), 2-[(1E)-2-(2-chloro-6-fluorophenyl)prop-1-en-1-yl]-4,4,5,5-tetramethyl-1,3,2-dioxaborolane (957.3 mg, 3.23 mmol), ethanol (2.5 mL), water (8.8 mL), toluene (17.6 mL), and sodium carbonate (1.87 g, 17.64 mmol) followed by tetrakis(triphenylphosphine)palladium(0) (299.4 mg, 0.26 mmol). The reaction mixture was stirred for three hours at 95° C. The mixture was diluted with water and extracted three times with dichloromethane. The combined organic layers were concentrated, and the resulting residue was purified by MPLC eluting with a gradient of 10:1 petroleum ether:ethyl acetate increasing to 1:2 petroleum ether:ethyl acetate to afford rac-(2R,3S)-7-((E)-2-(2-chloro-6-fluorophenyl)prop-1-en-1-yl)-2-methyl-1,2,3,4-tetrahydroquinolin-3-ol (220 mg, 31%) as a yellow oil.
Part II—Synthesis of rac-(2R,3S)-7-((E)-2-(2-Chloro-6-fluorophenyl)prop-1-en-1-yl)-1-((4-fluoro-3-methoxyphenyl)sulfonyl)-2-methyl-1,2,3,4-tetrahydroquinolin-3-ol
Figure US09896441-20180220-C01502
To a solution of rac-(2R,3S)-7-((E)-2-(2-chloro-6-fluorophenyl)prop-1-en-1-yl)-2-methyl-1,2,3,4-tetrahydroquinolin-3-ol (111 mg, 0.33 mmol) and 4-dimethylaminopyridine (20.4 mg, 0.17 mmol) in dichloromethane (1.7 mL) and pyridine (0.13 mL, 1.65 mmol) was added 4-fluoro-3-methoxybenzene-1-sulfonyl chloride (90.3 mg, 0.40 mmol). The reaction mixture was stirred overnight at room temperature and then diluted with water. The mixture was extracted three times with dichloromethane. The combined organic layers were concentrated and the resulting residue was purified via reverse phase Prep-HPLC eluting with a gradient of 55-75% acetonitrile in water with 0.05% TFA to afford rac-(2R,3S)-7-((E)-2-(2-chloro-6-fluorophenyl)prop-1-en-1-yl)-1-((4-fluoro-3-methoxyphenyl)sulfonyl)-2-methyl-1,2,3,4-tetrahydroquinolin-3-ol (30.5 mg, 18%) as a light pink solid. 1H-NMR (400 MHz, CDCl3) δ 1.37 (d, J=6.6 Hz, 3H), 2.07 (dd, J=7.2 Hz, 16.2 Hz, 1H), 2.17 (d, J=1.5 Hz, 3H), 2.79 (dd, J=4.2 Hz, 15.6 Hz, 1H), 3.75 (m, 1H), 3.76 (s, 3H), 4.36 (m, 1H), 6.40 (s, 1H), 7.00-7.25 (m, 7H), 7.35-7.40 (m, 1H), 7.61 (s, 1H). (ES, m/z): (M+H)+ 520.
Example 176—Synthesis of rac-(2R,3S)-7-((E)-2-Chloro-6-fluorostyryl)-2-methyl-1-((3-(trifluoromethyl)phenyl)sulfonyl)-1,2,3,4-tetrahydroquinolin-3-ol
Figure US09896441-20180220-C01503
Based on the procedure in Example 174, rac-(2R,3S)-7-((E)-2-chloro-6-fluorostyryl)-2-methyl-1-((3-(trifluoromethyl)phenyl)sulfonyl)-1,2,3,4-tetrahydroquinolin-3-ol was prepared. 1H-NMR (400 MHz, CDCl3) δ 1.35 (d, J=6.9 Hz, 3H), 2.10 (dd, J=6.3 Hz, 16.2 Hz), 2.81 (dd, J=4.8 Hz, 16.5 Hz), 3.80 (q, J=6.4 Hz, 1H), 4.42-4.46 (m, 1H), 7.01-7.25 (m, 5H), 7.29-7.36 (m, 2H), 7.56 (t, J=7.8 Hz, 1H), 7.77 (d, J=7.8 Hz, 1H), 7.85 (d, J=1.2 Hz, 1H), 7.96 (d, J=8.1 Hz, 1H), 8.03 (s, 1H). (ES, m/z): (M+H)+ 526.
Example 177—Synthesis of rac-(2R,3S)-7-((E)-2-(2-Chloro-6-fluorophenyl)prop-1-en-1-yl)-2-methyl-1-((3-(trifluoromethyl)phenyl)sulfonyl)-1,2,3,4-tetrahydroquinolin-3-ol
Figure US09896441-20180220-C01504
Based on the procedure in Example 175, rac-(2R,3S)-7-((E)-2-(2-chloro-6-fluorophenyl)prop-1-en-1-yl)-2-methyl-1-((3-(trifluoromethyl)phenyl)sulfonyl)-1,2,3,4-tetrahydroquinolin-3-ol was prepared. 1H-NMR (400 MHz, CDCl3) δ 1.36 (d, J=6.6 Hz, 3H), 2.07-2.14 (m, 1H), 2.15 (s, 3H), 2.82 (dd, J=4.5 Hz, 16.2 Hz, 1H), 3.80 (q, J=4.8 Hz, 1H), 4.39-4.47 (m, 1H), 6.40 (s, 1H), 6.99-7.25 (m, 5H), 7.57 (t, J=7.8 Hz, 1H), 7.72 (s, 1H), 7.78 (d, J=8.1 Hz, 1H), 7.95 (d, J=8.1 Hz, 1H), 8.02 (s, 1H). (ES, m/z): (M+H)+ 540.
Example 178—Synthesis of Methyl 3-(6-((2-chloro-6-fluorobenzyl)oxy)-4-((4-fluoro-3-methoxyphenyl)sulfonyl)chroman-2-yl)propanoate
Figure US09896441-20180220-C01505
Part I—Synthesis of 1-(5-((2-Chloro-6-fluorobenzyl)oxy)-2-hydroxyphenyl)ethanone
Figure US09896441-20180220-C01506
A mixture of 1-(2,5-dihydroxyphenyl)ethan-1-one (1.52 g, 9.99 mmol), 1-chloro-2-(chloromethyl)-3-fluorobenzene (1.96 g, 10.95 mmol), and potassium carbonate (2.76 g, 19.97 mmol) in acetone (30 mL) was refluxed overnight and concentrated. The resulting residue was purified via MPLC eluting with a gradient of ethyl acetate/hexane (1:20-1:5) to yield 1-(5-((2-chloro-6-fluorobenzyl)oxy)-2-hydroxyphenyl)ethanone (2.1 g, 71%) as a yellow solid.
Part II—Synthesis of Methyl 3-(6-((2-chloro-6-fluorobenzyl)oxy)-4-oxochroman-2-yl)propanoate
Figure US09896441-20180220-C01507
To a solution of 1-(5-((2-chloro-6-fluorobenzyl)oxy)-2-hydroxyphenyl)ethanone (2.0 g, 6.79 mmol) in methanol (50 mL) were added pyrrolidine (965 mg, 13.57 mmol) and methyl 4-oxobutanoate (790 mg, 6.80 mmol). The mixture was refluxed for two hours and concentrated. The resulting residue was diluted with saturated aqueous sodium bicarbonate and extracted twice with ethyl acetate. The combined organic layers were concentrated. The resulting residue was purified via MPLC eluting with a gradient of ethyl acetate/petroleum ether (1:20-1:3) to yield methyl 3-(6-((2-chloro-6-fluorobenzyl)oxy)-4-oxochroman-2-yl)propanoate (2.3 g, 72%) as a yellow solid.
Part III—Synthesis of Methyl 3-(6-((2-chloro-6-fluorobenzyl)oxy)-4-hydroxychroman-2-yl)propanoate
Figure US09896441-20180220-C01508
To a stirred solution of methyl 3-(6-((2-chloro-6-fluorobenzyl)oxy)-4-oxochroman-2-yl)propanoate (500 mg, 1.27 mmol) in methanol (15 mL) at 0° C. was added sodium borohydride (121 mg, 3.20 mmol). After one hour, water was added and the mixture was extracted twice with ethyl acetate. The combined organic layers were dried (Na2SO4) and concentrated to afford methyl 3-(6-((2-chloro-6-fluorobenzyl)oxy)-4-hydroxychroman-2-yl)propanoate (500 mg, 99%) as a light yellow solid.
Part IV—Synthesis of Methyl 3-(6-((2-chloro-6-fluorobenzyl)oxy)-4-((4-fluoro-3-methoxyphenyl)thio)chroman-2-yl)propanoate
Figure US09896441-20180220-C01509
Under an atmosphere of nitrogen, a mixture of methyl 3-(6-((2-chloro-6-fluorobenzyl)oxy)-4-hydroxychroman-2-yl)propanoate (500 mg, 1.27 mmol), 4-fluoro-3-methoxybenzene-1-thiol (401 mg, 2.53 mmol), zinc iodide (525 mg, 1.64 mmol) and dichloromethane (10 mL) was stirred for two hours at room temperature. The mixture was diluted with water and extracted twice with dichloromethane. The combined organic layers were concentrated and the resulting residue was purified via MPLC eluting with petroleum ether: ethyl acetate (5:1) to yield methyl 3-(6-((2-chloro-6-fluorobenzyl)oxy)-4-((4-fluoro-3-methoxyphenyl)thio)chroman-2-yl)propanoate (550 mg, 81%) as a colorless oil.
Part V—Synthesis of Methyl 3-(6-((2-chloro-6-fluorobenzyl)oxy)-4-((4-fluoro-3-methoxyphenyl)sulfonyl)chroman-2-yl)propanoate
Figure US09896441-20180220-C01510
To a solution of methyl 3-(6-((2-chloro-6-fluorobenzyl)oxy)-4-((4-fluoro-3-methoxyphenyl)thio)chroman-2-yl)propanoate (100 mg, 0.19 mmol) in dichloromethane (5 mL) was added meta-chloroperbenzoic acid (65 mg, 0.38 mmol). Stirred for two hours at room temperature and diluted with dichloromethane. Washed with saturated aqueous sodium bicarbonate, dried (Na2SO4) and concentrated. The resulting residue was purified by reverse phase Prep-HPLC eluting with a gradient of 50-78% acetonitrile in water with 0.05% TFA to afford methyl 3-(6-((2-chloro-6-fluorobenzyl)oxy)-4-((4-fluoro-3-methoxyphenyl)sulfonyl)chroman-2-yl)propanoate (44.3 mg, 42%) an off-white solid. 1H-NMR (400 MHz, CDCl3) δ 7.38 (m, 1H), 7.37 (m, 2H), 7.31-7.29 (m, 2H), 7.04 (m, 1H), 6.93 (m, 1H), 6.77 (d, J=8.8 Hz 1H), 6.74 (d, J=18.8 Hz 1H), 5.16-4.98 (m, 2H), 4.28 (d, J=6.0 Hz 1H), 4.12 (m, 1H), 3.80 (s, 3H), 3.70 (s, 3H), 2.63-2.49 (m, 3H), 1.99-1.87 (m, 3H). (ES, m/z): (M+Na)+ 589.
Example 179—Synthesis of 3-(6-((2-Chloro-6-fluorobenzyl)oxy)-4-((4-fluoro-3-methoxyphenyl)sulfonyl)chroman-2-yl)propanoic acid
Figure US09896441-20180220-C01511
To a solution of methyl 3-(6-((2-chloro-6-fluorobenzyl)oxy)-4-((4-fluoro-3-methoxyphenyl)sulfonyl)chroman-2-yl)propanoate (100 mg, 0.18 mmol) in tetrahydrofuran (9 mL) and water (3 mL) was added lithium hydroxide (21 mg, 0.88 mmol). The mixture was stirred for three hours at room temperature and then the pH value of the solution was adjusted to 5 with 1 M hydrogen chloride. The mixture was extracted twice with ethyl acetate and the combined organic layers were concentrated. The crude product was purified by reverse phase Prep-HPLC eluting with a gradient of 47-64% acetonitrile in water with 0.05% TFA to afford 3-(6-((2-chloro-6-fluorobenzyl)oxy)-4-((4-fluoro-3-methoxyphenyl)sulfonyl)chroman-2-yl)propanoic acid (60 mg, 62%) as a white solid. 1H-NMR (400 MHz, CDCl3) δ 7.42 (m, 1H), 7.40-7.32 (m, 2H), 7.31-7.21 (m, 2H), 7.06 (m, 1H), 6.97 (m, 1H), 6.81 (d, J=8.8 Hz 1H), 6.73 (d, J=18.8 Hz 1H), 5.01 (m, 2H), 4.31 (d, J=6.0 Hz 1H), 4.15 (m, 1H), 3.82 (s, 3H), 2.67-2.59 (m, 3H), 2.01-1.90 (m, 3H). (ES, m/z): (M+NH4) 570.
Example 180—Synthesis of (E)-(6-(2-(2-Chloro-6-fluorophenyl)prop-1-en-1-yl)-4-((3-(trifluoromethyl)phenyl)sulfonyl)chroman-2-yl)methanamine
Figure US09896441-20180220-C01512
Part I—Synthesis of tert-Butyl ((6-bromo-4-oxochroman-2-yl)methyl)carbamate
Figure US09896441-20180220-C01513
A mixture of 1-(5-bromo-2-hydroxyphenyl)ethan-1-one (3.31 g, 15.39 mmol), tert-butyl N-(2-oxoethyl)carbamate (4.89 g, 30.72 mmol), and pyrrolidine (2.56 mL, 30.7 mmol) in methanol (31 mL) was stirred for two hours at 70° C. The mixture was concentrated and the resulting residue was purified via MPLC eluting with ethyl acetate/petroleum ether (1:2) to afford tert-butyl ((6-bromo-4-oxochroman-2-yl)methyl)carbamate (4.76 g, 87%) as a brown solid.
Part II—Synthesis of tert-Butyl ((6-bromo-4-hydroxychroman-2-yl)methyl)carbamate
Figure US09896441-20180220-C01514
To a solution of tert-butyl ((6-bromo-4-oxochroman-2-yl)methyl)carbamate (4.62 g, 12.97 mmol) in methanol (48 mL) was added sodium borohydride (990 mg, 26.17 mmol) in portions. The resulting solution was stirred for additional thirty minutes at room temperature, and then it was diluted with water. The mixture was extracted three times with dichloromethane. The combined organic layers were concentrated and the resulting residue was purified by MPLC eluting with a gradient of petroleum ether: ethyl acetate=20:1 increasing to petroleum ether: ethyl acetate=0:1 to afford tert-butyl ((6-bromo-4-hydroxychroman-2-yl)methyl)carbamate (1.41 g, 30%) as a yellow solid.
Part III—Synthesis of tert-Butyl ((6-bromo-4-((3-(trifluoromethyl)phenyl)thio)chroman-2-yl)methyl)carbamate
Figure US09896441-20180220-C01515
To a solution of tert-butyl ((6-bromo-4-hydroxychroman-2-yl)methyl)carbamate (720 mg, 2.01 mmol) in dichloromethane (8 mL) at 0° C. was added 3-(trifluoromethyl)benzene-1-thiol (0.54 mL, 4.0 mmol) in portions. To this was added triphenylphosphine (1.07 g, 4.08 mmol) and then diisopropyldiazodicarboxylate (0.79 mL, 4.08 mmol). The mixture was warmed to room temperature and stirred for two hours. To the reaction mixture was added to 1 M sodium hydroxide, and the resultant mixture extracted three times with dichloromethane. The combined organic layers were concentrated, and the resulting residue was purified via MPLC eluting with a gradient of 5-20% petroleum ether in ethyl acetate to afford tert-butyl ((6-bromo-4-((3-(trifluoromethyl)phenyl)thio)chroman-2-yl)methyl)carbamate (500 mg, 48%) as a light yellow oil.
Part IV—Synthesis of tert-Butyl ((6-bromo-4-((3-(trifluoromethyl)phenyl)thio)chroman-2-yl)methyl)carbamate
Figure US09896441-20180220-C01516
To a solution of tert-butyl ((6-bromo-4-((3-(trifluoromethyl)phenyl)thio)chroman-2-yl)methyl)carbamate (14 mg, 0.03 mmol) in dichloromethane (0.5 mL) was added meta-chloroperbenzoic acid (9.4 mg, 0.06 mmol) was added to the reaction mixture. The resulting solution was stirred for one hour at room temperature. The reaction was quenched by the addition of saturated aqueous sodium thiosulfate (1 mL). The mixture was diluted with water, extracted three times with dichloromethane. The combined organic layers were washed with saturated sodium bicarbonate, dried (Na2SO4) and concentrated to afford tert-butyl ((6-bromo-4-((3-(trifluoromethyl)phenyl)thio)chroman-2-yl)methyl)carbamate (16 mg, 100%).
Part V—Synthesis of (E)-tert-Butyl ((6-(2-(2-chloro-6-fluorophenyl)prop-1-en-1-yl)-4-((3-(trifluoromethyl)phenyl)sulfonyl)chroman-2-yl)methyl)carbamate
Figure US09896441-20180220-C01517
Under an inert atmosphere of nitrogen, to a solution of tert-butyl ((6-bromo-4-((3-(trifluoromethyl)phenyl)thio)chroman-2-yl)methyl)carbamate (470 mg, 0.85 mmol), 2-[(1E)-2-(2-chloro-6-fluorophenyl)prop-1-en-1-yl]-4,4,5,5-tetramethyl-1,3,2-dioxaborolane (380.7 mg, 1.28 mmol), ethanol (1 mL), toluene (7 mL), and water (3.5 mL) was added sodium carbonate (742.8 mg, 7.01 mmol) and tetrakis(triphenylphosphine)palladium(0) (119.1 mg, 0.10 mmol). The resulting solution was stirred overnight at 95° C., diluted with water and extracted three times with dichloromethane. The combined organic layers were concentrated. The resulting residue was purified by MPLC eluting with a gradient of petroleum ether: ethyl acetate=10:1 increasing to petroleum ether: ethyl acetate=1:2 to afford (E)-tert-butyl ((6-(2-(2-chloro-6-fluorophenyl)prop-1-en-1-yl)-4-((3-(trifluoromethyl)phenyl)sulfonyl)chroman-2-yl)methyl)carbamate (310 mg, 57%) as a light yellow foam.
Part VI—Synthesis of (E)-(6-(2-(2-Chloro-6-fluorophenyl)prop-1-en-1-yl)-4-((3-(trifluoromethyl)phenyl)sulfonyl)chroman-2-yl)methanamine
Figure US09896441-20180220-C01518
A solution of (E)-tert-butyl ((6-(2-(2-chloro-6-fluorophenyl)prop-1-en-1-yl)-4-((3-(trifluoromethyl)phenyl)sulfonyl)chroman-2-yl)methyl)carbamate (300 mg, 0.47 mmol) in trifluoroacetic acid (10 mL) and dichloromethane (10 mL) was stirred for a half hour at room temperature. The mixture was concentrated and the resulting residue was purified by reverse phase Prep-HPLC eluting with a gradient of 34-53% acetonitrile in water with 0.05% TFA to provide (E)-(6-(2-(2-chloro-6-fluorophenyl)prop-1-en-1-yl)-4-((3-(trifluoromethyl)phenyl)sulfonyl)-chroman-2-yl)methanamine (253 mg, 83%) as a red solid. 1H-NMR (400 MHz, CD3OD) δ 2.00 (s, 3H), 2.03-2.18 (m, 1H), 2.54 (d, J=15.0 Hz, 1H), 2.90 (dd, J=7.5 Hz, 13.2 Hz, 1H), 3.03 (dd, J=3.6 Hz, 13.5 Hz, 1H), 4.66-4.72 (m, 1H), 4.84-4.87 (m, 1H), 6.18 (s, 1H), 6.87 (s, 1H), 6.98 (d, J=8.4 Hz, 1H), 7.07-7.14 (m, 1H), 7.28-7.30 (m, 3H), 7.89 (t, J=7.8 Hz, 1H), 8.04-8.11 (m, 2H), 8.18 (d, J=8.1 Hz, 1H). (ES, m/z): (M+H)+ 540.
Example 181—Synthesis of (E)-N-((6-(2-(2-Chloro-6-fluorophenyl)prop-1-en-1-yl)-4-((3-(trifluoromethyl)phenyl)sulfonyl)chroman-2-yl)methyl)acetamide
Figure US09896441-20180220-C01519
To a solution (E)-(6-(2-(2-chloro-6-fluorophenyl)prop-1-en-1-yl)-4-((3-(trifluoromethyl)phenyl)sulfonyl)-chroman-2-yl)methanamine (100 mg, 0.19 mmol) in dichloromethane (1.5 mL) and pyridine (0.15 mL, 1.90 mmol) was added acetic anhydride (0.0873 mL, 0.95 mmol). The resulting solution was stirred overnight at room temperature, and then concentrated. The resulting residue was purified by reverse phase Prep-HPLC eluting with a gradient of 52-72% acetonitrile in water with 0.05% TFA to afford (E)-N-((6-(2-(2-chloro-6-fluorophenyl)prop-1-en-1-yl)-4-((3-(trifluoromethyl)phenyl)sulfonyl)chroman-2-yl)methyl)acetamide (63.1 mg, 59%) as a white solid. 1H-NMR (400 MHz, CDCl3) δ 1.98 (s, 3H), 2.01 (s, 3H), 2.06 (m, 1H), 2.56 (d, J=14.0 Hz, 1H), 3.55 (d, J=13.6 Hz, 1H), 3.73 (d, J=14.4 Hz, 1H), 4.37 (d, J=5.6 Hz, 1H), 4.75 (d, J=10.8 Hz, 1H), 5.95 (brs, 1H), 6.22 (s, 1H), 6.83 (s, 1H), 6.95 (d, J=8.4 Hz, 1H), 7.04 (m, 1H), 7.18-7.25 (m, 2H), 7.32 (d, J=3.6 Hz, 1H), 7.76 (t, J=8.0 Hz, 1H), 7.97 (d, J=7.6 Hz, 1H), 8.03 (d, J=8.4 Hz, 1H), 8.10 (s, 1H). (ES, m/z): (M−H)+ 580.
Example 182—Synthesis of (E)-N-((6-(2-(2-Chloro-6-fluorophenyl)prop-1-en-1-yl)-4-((3-(trifluoromethyl)phenyl)sulfonyl)chroman-2-yl)methyl)-2-hydroxy-2-methylpropanamide
Figure US09896441-20180220-C01520
To a solution of 2-hydroxy-2-methylpropanoic acid (9.4 mg, 0.09 mmol), (E)-(6-(2-(2-chloro-6-fluorophenyl)prop-1-en-1-yl)-4-((3-(trifluoromethyl)phenyl)sulfonyl)-chroman-2-yl)methanamine (50 mg, 0.09 mmol) in N,N-dimethylformamide (1.1 mL) was added HATU (50.6 mg, 0.13 mmol) and diisopropylethylamine (0.0722 mL, 0.40 mmol). The mixture was stirred for two hours at room temperature and concentrated. The resulting residue was purified by reverse phase eluting with a gradient of 52-69% acetonitrile in water with 0.05% TFA to afford (E)-N-((6-(2-(2-chloro-6-fluorophenyl)prop-1-en-1-yl)-4-((3-(trifluoromethyl)phenyl)sulfonyl)-chroman-2-yl)methyl)-2-hydroxy-2-methylpropanamide (29.9 mg, 53%) as a white solid. 1H-NMR (400 MHz, CDCl3) δ 1.51 (s, 3H), 1.51 (s, 3H), 2.05 (s, 3H), 2.11 (m, 1H), 2.60 (d, J=15.2 Hz, 1H), 3.56 (m, 1H), 3.71 (m, 1H), 4.38 (d, J=5.6 Hz, 1H), 4.74 (d, J=9.6 Hz, 1H), 6.22 (s, 1H), 6.82 (s, 1H), 6.96 (d, J=8.8 Hz, 1H), 7.04 (t, J=6.8 Hz, 1H), 7.18-7.25 (m, 3H), 7.34 (dd, J=1.6 Hz, 8.4 Hz, 1H), 7.76 (m, 1H), 7.97 (d, J=7.6 Hz, 1H), 8.02 (d, J=7.6 Hz, 1H), 8.09 (s, 1H). (ES, m/z): (M+H)+ 626.
Example 183—Synthesis of (E)-N-((6-(2-(2-Chloro-6-fluorophenyl)prop-1-en-1-yl)-4-((3-(trifluoromethyl)phenyl)sulfonyl)chroman-2-yl)methyl)cyclopropanecarboxamide
Figure US09896441-20180220-C01521
Based on the procedure in Example 182, (E)-N-((6-(2-(2-chloro-6-fluorophenyl)prop-1-en-1-yl)-4-((3-(trifluoromethyl)phenyl)sulfonyl)chroman-2-yl)methyl)cyclopropanecarboxamide was prepared. 1H-NMR (400 MHz, CDCl3) δ 0.80 (m, 2H), 0.99 (m, 2H), 1.41 (m, 1H), 2.07 (s, 3H), 2.08 (m, 1H), 2.54 (d, J=15.2 Hz, 1H), 3.61 (m, 1H), 3.72 (m, 1H), 4.38 (d, J=5.6 Hz, 1H), 4.72-4.76 (m, 1H), 6.06-6.07 (m, 1H), 6.24 (s, 1H), 6.88 (d, J=1.6 Hz, 1H), 6.96 (d, J=8.4 Hz, 1H), 7.04 (dt, J=2.0 Hz, 7.6 Hz, 1H), 7.20-7.25 (m, 2H), 7.34 (d, J=1.6 Hz, 1H), 7.76 (t, J=8.0 Hz, 1H), 7.97 (d, J=8.0 Hz, 1H), 8.03 (d, J=7.6 Hz, 1H), 8.10 (s, 1H). (ES, m/z): (M+H)+ 608.
Example 184—Synthesis of (E)-N-((6-(2-(2-Chloro-6-fluorophenyl)prop-1-en-1-yl)-4-((3-(trifluoromethyl)phenyl)sulfonyl)chroman-2-yl)methyl)methanesulfonamide
Figure US09896441-20180220-C01522
To a solution of (E)-(6-(2-(2-chloro-6-fluorophenyl)prop-1-en-1-yl)-4-((3-(trifluoromethyl)phenyl)sulfonyl)-chroman-2-yl)methanamine (20 mg, 0.04 mmol) and triethylamine (0.017 mL, 0.13 mmol) in dichloromethane (1.6 mL) was added methanesulfonyl chloride (0.0042 mL, 0.06 mmol). The resulting solution was stirred for 15 minutes at room temperature, and then it was diluted with water. The mixture was extracted three times with dichloromethane. The combined organic layers were concentrated. The resulting residue was purified by reverse phase Prep-HPLC eluting with a gradient of 52-72% acetonitrile in water with 0.05% TFA to provide (E)-N-((6-(2-(2-chloro-6-fluorophenyl)prop-1-en-1-yl)-4-((3-(trifluoromethyl)phenyl)sulfonyl)chroman-2-yl)methyl)methanesulfonamide (22 mg, 100%) as a white solid. 1H-NMR (400 MHz, CDCl3) δ 2.02 (s, 3H), 2.23 (m, 1H), 2.66 (d, J=14.8 Hz, 1H), 3.07 (s, 3H), 3.41 (m, 1H), 3.60 (m, 1H), 4.40 (d, J=5.6 Hz, 1H), 4.73 (m, 1H), 4.86 (m, 1H), 6.19 (s, 1H), 6.68 (d, J=2.0 Hz, 1H), 6.92 (d, J=8.4 Hz, 1H), 7.04 (dt, J=2.4 Hz, 7.2 Hz, 1H), 7.20-7.25 (m, 2H), 7.33 (dd, J=2.0 Hz, 8.4 Hz, 1H), 7.76 (t, J=8.0 Hz, 1H), 7.97-8.02 (m, 2H), 8.10 (s, 1H). (ES, m/z): (M+H)+ 618.
Example 185—Synthesis of Ethyl 3-(6-((2-chloro-6-fluorobenzyl)oxy)-4-((4-fluoro-3-methoxyphenyl)sulfonyl)chroman-2-yl)-2,2-dimethylpropanoate
Figure US09896441-20180220-C01523
Part I—Synthesis of Ethyl 4,5-dihydroxy-2,2-dimethylpentanoate
Figure US09896441-20180220-C01524
A mixture of 2-ethoxy-3,3-dimethylhexa-1,5-diene (3.5 g, 22.69 mmol), dichloromethane (50 mL), N-methyl morpholine oxide (3.2 g, 27.32 mmol) and osmium oxide (0.006 g) was stirred for one hour at 0° C., allowed to warm to room temperature and stirred overnight. The mixture was concentrated, diluted with ethyl acetate, washed twice with water, and the organic layer was dried (Na2SO4) and concentrated to afford ethyl 4,5-dihydroxy-2,2-dimethylpentanoate (4 g, 94%) as a tan solid.
Part II—Synthesis of Ethyl 2,2-dimethyl-4-oxobutanoate
Figure US09896441-20180220-C01525
A solution of sodium metaperiodate (11.7 g, 54.6 mmol) in water (50 mL) was added dropwise to a stirred solution of ethyl 4,5-dihydroxy-2,2-dimethylpentanoate (4 g, 21.03 mmol) in acetone (50 mL) at 0° C. The mixture was warmed to room temperature and stirred for ninety minutes. The mixture was extracted twice with dichloromethane. The combined organic layers were washed with brine, dried (Na2SO4), and concentrated to afford ethyl 2,2-dimethyl-4-oxobutanoate (3 g, 90%) as a tan oil.
Part III—Synthesis of Ethyl 3-(6-((2-chloro-6-fluorobenzyl)oxy)-4-oxochroman-2-yl)-2,2-dimethylpropanoate
Figure US09896441-20180220-C01526
A mixture of 1-(5-((2-chloro-6-fluorobenzyl)oxy)-2-hydroxyphenyl)ethanone (1.2 g, 4.07 mmol), ethyl 2,2-dimethyl-4-oxobutanoate (650 mg, 4.11 mmol), pyrrolidine (600 mg, 8.44 mmol) and methanol (20 mL) was stirred for two hours at 65° C. The mixture was diluted with saturated sodium bicarbonate and was extracted twice with ethyl acetate. The combined organic layers were dried (Na2SO4) and concentrated. The resulting residue was purified via MPLC eluting with 10% ethyl acetate in petroleum ether to afford ethyl 3-(6-((2-chloro-6-fluorobenzyl)oxy)-4-oxochroman-2-yl)-2,2-dimethylpropanoate (1.5 g, 85%) as a yellow oil.
Part IV—Synthesis of Ethyl 3-(6-((2-chloro-6-fluorobenzyl)oxy)-4-hydroxychroman-2-yl)-2,2-dimethylpropanoate
Figure US09896441-20180220-C01527
Sodium borohydride (200 mg, 5.29 mmol) was added to the solution of ethyl 3-(6-((2-chloro-6-fluorobenzyl)oxy)-4-oxochroman-2-yl)-2,2-dimethylpropanoate (1.5 g, 3.45 mmol) in methanol (20 mL) at 0° C. and the mixture was stirred for one hour. The mixture was concentrated, diluted with water, and extracted twice with ethyl acetate. The combined organic layers were dried (Na2SO4) and concentrated to afford ethyl 3-(6-((2-chloro-6-fluorobenzyl)oxy)-4-hydroxychroman-2-yl)-2,2-dimethylpropanoate (1.3 g, 86%) as a yellow oil.
Part V—Synthesis of Ethyl 3-(6-((2-chloro-6-fluorobenzyl)oxy)-4-((4-fluoro-3-methoxyphenyl)thio)chroman-2-yl)-2,2-dimethylpropanoate
Figure US09896441-20180220-C01528
A mixture of ethyl 3-(6-((2-chloro-6-fluorobenzyl)oxy)-4-hydroxychroman-2-yl)-2,2-dimethylpropanoate (400 mg, 0.92 mmol), 4-fluoro-3-methoxybenzene-1-thiol (290 mg, 1.83 mmol), zinc iodide (379 mg, 1.19 mmol) and dichloromethane (10 mL) was stirred for two hours at room temperature. The mixture was diluted with water, and was extracted twice with dichloromethane. The combined organic layers were dried (Na2SO4) and concentrated. The resulting residue was purified via MPLC eluting with 16% ethyl acetate in petroleum ether to afford ethyl 3-(6-((2-chloro-6-fluorobenzyl)oxy)-4-((4-fluoro-3-methoxyphenyl)thio)chroman-2-yl)-2,2-dimethylpropanoate (370 mg, 70%) as a colorless oil.
Part VI—Synthesis of Ethyl 3-(6-((2-chloro-6-fluorobenzyl)oxy)-4-((4-fluoro-3-methoxyphenyl)sulfonyl)chroman-2-yl)-2,2-dimethylpropanoate
Figure US09896441-20180220-C01529
meta-Chloroperbenzoic acid (222 mg, 1.28 mmol) was added to a stirred solution of ethyl 3-(6-((2-chloro-6-fluorobenzyl)oxy)-4-((4-fluoro-3-methoxyphenyl)thio)chroman-2-yl)-2,2-dimethylpropanoate (370 mg, 0.64 mmol) in dichloromethane (10 mL). The solution was stirred for two hours at room temperature. The mixture was diluted dichloromethane and washed twice with saturated sodium bicarbonate, dried (Na2SO4) and concentrated. The resulting residue was purified by Prep-HPLC eluting with a 70% acetonitrile in water with 0.05% trifluoroacetic acid to afford ethyl 3-(6-((2-chloro-6-fluorobenzyl)oxy)-4-((4-fluoro-3-methoxyphenyl)sulfonyl)chroman-2-yl)-2,2-dimethylpropanoate (360 mg, 92%) as a light yellow oil. 1H-NMR (400 MHz, CDCl3) δ 7.40 (m, 1H), 7.31 (m, 1H), 7.28-7.18 (m, 3H), 7.06 (m, 1H), 6.92 (m, 1H), 6.80 (d, J=3.1 Hz, 1H), 6.71 (d, J=8.8 Hz, 1H), 5.02 (m, 2H), 4.28 (d, J=6.0 Hz, 1H), 4.18-4.13 (m, 3H), 3.81 (s, 3H), 2.57 (d, J=14.8 Hz, 1H), 2.05-1.97 (m, 2H), 1.75 (m, 1H), 1.28-1.21 (m, 9H). (ES, m/z): (M+NH4)+ 626.
Example 186—Preparation of Additional Substituted 4-(Arylsulfonyl)chromanes
Compounds in Table 22 were prepared based on experimental procedures described in Examples 178-185 and the detailed description.
TABLE 22
Observed
No. Structure Name m/z
186A
Figure US09896441-20180220-C01530
3-(6-((2-chloro-6-fluorobenzyl)- oxy)-4-((3-(trifluoromethyl)- phenyl)sulfonyl)chroman-2- yl)propanoic acid 363 (M − C7H4F3O2S)+
186B
Figure US09896441-20180220-C01531
methyl 3-(6-((2-chloro-6- fluorobenzyl)oxy)-4-((3- (trifluoromethyl)phenyl)sulfonyl) chroman-2-yl)propanoate 609 (M + Na)+
186C
Figure US09896441-20180220-C01532
3-(6-((2-chloro-6- fluorobenzyl)oxy)-4-((4-fluoro-3- methoxyphenyl)sulfonyl)chroman- 2-yl)-2,2-dimethylpropanoic acid 598 (M + NH4)+
186D
Figure US09896441-20180220-C01533
ethyl 3-(6-((2-chloro-6- fluorobenzyl)oxy)-4-((3- (trifluoromethyl)phenyl)- sulfonyl)chroman-2-yl)-2,2- dimethylpropanoate 651 (M + Na)+
186E
Figure US09896441-20180220-C01534
3-(6-((2-chloro-6- fluorobenzyl)oxy)-4-((3- (trifluoromethyl)phenyl)- sulfonyl)chroman-2-yl)-2,2- dimethylpropanoic acid 618 (M + NH4)+
186F
Figure US09896441-20180220-C01535
methyl (E)-3-(6-(2-(2-chloro-6- fluorophenyl)prop-1-en-1-yl)-4- ((4-fluoro-3- methoxyphenyl)sulfonyl)chroman- 2-yl)propanoate 594 (M + NH4)+
186G
Figure US09896441-20180220-C01536
(E)-3-(6-(2-(2-chloro-6- fluorophenyl)prop-1-en-1-yl)-4- ((4-fluoro-3-methoxyphenyl)- sulfonyl)chroman-2-yl)propanoic acid 580 (M + NH4)+
186H
Figure US09896441-20180220-C01537
methyl (E)-3-(6-(2-(2-chloro-6- fluorophenyl)prop-1-en-1-yl)-4- ((3-(trifluoromethyl)phenyl)- sulfonyl)chroman-2-yl)propanoate 614 (M + NH4)+
186I
Figure US09896441-20180220-C01538
(E)-3-(6-(2-(2-chloro-6- fluorophenyl)prop-1-en-1-yl)-4- ((3-(trifluoromethyl)phenyl)- sulfonyl)chroman-2-yl)propanoic acid 600 (M + NH4)+
186J
Figure US09896441-20180220-C01539
ethyl (E)-3-(6-(2-(2-chloro-6- fluorophenyl)prop-1-en-1-yl)-4- 44-fluoro-3-methoxyphenyl)- sulfonyl)chroman-2-yl)-2,2- dimethylpropanoate 619 (M + H)+
186K
Figure US09896441-20180220-C01540
(E)-3-(6-(2-(2-chloro-6- fluorophenyl)prop-1-en-1-yl)-4- ((4-fluoro-3-methoxyphenyl)- sulfonyl)chroman-2-yl)-2,2- dimethylpropanoic acid 613 (M + Na)+
186L
Figure US09896441-20180220-C01541
ethyl 3-((2S,4S)-6-((E)-2-(2- chloro-6-fluorophenyl)prop-1-en- 1-yl)-4-((3- (trifluoromethyl)phenyl)- sulfonyl)chroman-2-yl)-2,2- dimethylpropanoate 637 (M − H)
186M
Figure US09896441-20180220-C01542
ethyl 3-((2S,45)-6-((E)-2-(2- chloro-6-fluorophenyl)prop-1-en- 1-yl)-4-((3-(trifluoromethyl)- phenyl)sulfonyl)chroman-2-yl)- 2,2-dimethylpropanoate 661 (M + Na)+
186N
Figure US09896441-20180220-C01543
(E)-3-(6-(2-(2-chloro-6- fluorophenyl)prop-1-en-1-yl)-4- ((3-(trifluoromethyl)phenyl)- sulfonyl)chroman-2-yl)-2,2- dimethylpropanoic acid 609 (M − H)
Example 187—Synthesis of (E)-6-(2-(2-Chloro-6-fluorophenyl)prop-1-en-1-yl)-4-((3-(trifluoromethyl)phenyl)sulfonyl)-3,4-dihydro-2H-benzo[b][1,4]thiazine
Figure US09896441-20180220-C01544
Part I—Synthesis of 6-Bromo-4-((3-(trifluoromethyl)phenyl)sulfonyl)-3,4-dihydro-2H-benzo[b][1,4]thiazine
Figure US09896441-20180220-C01545
To 6-bromo-3,4-dihydro-2H-benzo[b][1,4]thiazine (0.1 g, 0.44 mmol) in pyridine (3 mL) was added 3-(trifluoromethyl)benzenesulfonyl chloride (0.08 mL, 0.48 mmol) and heated to 70° C. for two hours. The reaction mixture was cooled, diluted with ethyl acetate, washed three times with 1 M aqueous hydrogen chloride three times, and washed with brine. The organic layer was dried (Na2SO4) and concentrated. The resulting residue was purified by MPLC eluting with a gradient of 0-50% ethyl acetate in hexanes. Pure fractions were combined and concentrated to afford 6-bromo-4-((3-(trifluoromethyl)phenyl)sulfonyl)-3,4-dihydro-2H-benzo[b][1,4]thiazine (135 mg, 71%).
Part II—Synthesis of (E)-6-(2-(2-Chloro-6-fluorophenyl)prop-1-en-1-yl)-4-((3-(trifluoromethyl)phenyl)sulfonyl)-3,4-dihydro-2H-benzo[b][1,4]thiazine
Figure US09896441-20180220-C01546
To 6-bromo-4-((3-(trifluoromethyl)phenyl)sulfonyl)-3,4-dihydro-2H-benzo[b][1,4]thiazine (0.13 g, 0.30 mmol) in 1,4-dioxane (4 mL) was added potassium carbonate (0.061 g, 0.44 mmol), 2-[(E)-2-(2-chloro-6-fluoro-phenyl)prop-1-enyl]-4,4,5,5-tetramethyl-1,3,2-dioxaborolane (0.13 g, 0.44 mmol), and water (1 mL). This was followed by the addition of [1,1′-bis(diphenylphosphino)ferrocene] dichloropalladium (II) complex with dichloromethane (23 mg, 0.03 mmol). The reaction mixture was heated to 80° C. for 2.5 hours. The reaction mixture was diluted with ethyl acetate, washed with 50% brine, dried (Na2SO4) and concentrated. The resulting residue was purified by MPLC eluting with a gradient of 0-50% ethyl acetate in hexanes. Pure fractions were combined and concentrated to afford (E)-6-(2-(2-chloro-6-fluorophenyl)prop-1-en-1-yl)-4-((3-(trifluoromethyl)phenyl)sulfonyl)-3,4-dihydro-2H-benzo[b][1,4]thiazine (145 mg, 93%). 1H-NMR (400 MHz, DMSO-d6) δ 8.08 (d, 1H), 8.00 (d, 1H), 7.82 (t, 1H), 7.75 (s, 1H), 7.52 (m, 1H), 7.38 (m, 2H), 7.26 (m, 1H), 7.18 (m, 2H), 6.38 (s, 1H), 4.00 (m, 2H), 2.98 (m, 2H), 2.10 (s, 3H). MS (ESI+) (M+Na)+ 550.04.
Example 188—Synthesis of (E)-7-(2-(2-chloro-6-fluorophenyl)prop-1-en-1-yl)-1-((3-(trifluoromethyl)phenyl)sulfonyl)-2,3-dihydroquinolin-4(1H)-one
Figure US09896441-20180220-C01547
Part I—Synthesis of 7-Bromo-1-((3-(trifluoromethyl)phenyl)sulfonyl)-2,3-dihydroquinolin-4(1H)-one
Figure US09896441-20180220-C01548
To 7-bromo-2,3-dihydroquinolin-4(1H)-one (0.25 g, 1.1 mmol) in pyridine (5 mL) was added 3-(trifluoromethyl)benzenesulfonyl chloride (0.18 mL, 1.1 mmol) and heated overnight at 70° C. The reaction mixture was cooled, diluted with ethyl acetate, washed with 1 M aqueous hydrogen chloride three times, and followed by washing with brine. The organic layer was dried (Na2SO4) and concentrated. The resulting residue was purified by MPLC eluting with a gradient of 0-50% ethyl acetate in hexanes. Pure fractions were combined and concentrated to afford 7-bromo-1-((3-(trifluoromethyl)phenyl)sulfonyl)-2,3-dihydroquinolin-4(1H)-one (230 mg, 48%).
Part II—Synthesis of (E)-7-(2-(2-chloro-6-fluorophenyl)prop-1-en-1-yl)-1-((3-(trifluoromethyl)phenyl)sulfonyl)-2,3-dihydroquinolin-4(1H)-one
Figure US09896441-20180220-C01549
To 7-bromo-1-((3-(trifluoromethyl)phenyl)sulfonyl)-2,3-dihydroquinolin-4(1H)-one (0.10 g, 0.23 mmol), 2-[(E)-2-(2-chloro-6-fluoro-phenyl)prop-1-enyl]-4,4,5,5-tetramethyl-1,3,2-dioxaborolane (0.10 g, 0.35 mmol), and potassium carbonate (48 mg, 0.35 mmol) in 1,4-dioxane (3 mL) and water (1 mL) was added [1,1′-bis(diphenylphosphino)ferrocene]dichloropalladium (II) complex with dichloromethane (18 mg, 0.02 mmol) and heated overnight at 80° C. The cooled solution was partitioned between ethyl acetate and water, washed with brine, dried (Na2SO4) and concentrated. The resulting residue was purified by MPLC eluting with a gradient of 0-60% ethyl acetate in hexanes. The major UV fractions were combined and concentrated to afford (E)-7-(2-(2-chloro-6-fluorophenyl)prop-1-en-1-yl)-1-((3-(trifluoromethyl)phenyl)sulfonyl)-2,3-dihydroquinolin-4(1H)-one (0.1 g, 81%). 1H-NMR (400 MHz, CDCl3) 8.04 (s, 1H), 7.98 (m, 1H), 7.88 (m, 3H), 7.64 (m, 1H), 7.3-7.2 (m, 3H), 7.06 (m, 1H), 6.49 (s, 1H), 4.25 (m, 2H), 2.44 (m, 2H), 2.24 (s, 3H). MS (ESI+) (M+H)+ 524.09.
Example 189—Synthesis of (E)-7-(2-(2-Chloro-6-fluorophenyl)prop-1-en-1-yl)-4,4-difluoro-1-((3-(trifluoromethyl)phenyl)sulfonyl)-1,2,3,4-tetrahydroquinoline
Figure US09896441-20180220-C01550
To (E)-7-(2-(2-chloro-6-fluorophenyl)prop-1-en-1-yl)-1-((3-(trifluoromethyl)phenyl)sulfonyl)-2,3-dihydroquinolin-4(1H)-one (50 mg, 0.095 mmol) in anhydrous 1,2-dimethoxyethane (0.5 mL) was added bis(2-methoxyethyl)aminosulfur trifluoride (0.6 g, 2.7 mmol). Stirred at 65° C. overnight. The reaction mixture was cooled to ambient temperature then poured into ice cold 2M aqueous sodium hydroxide. Added dichloromethane and slurried mixture. Extracted with dichloromethane three times. The combined organics were dried (Na2SO4) and concentrated. The resulting residue was purified by MPLC eluting with a gradient of 0-40% ethyl acetate in hexanes. Pure fractions were combined and concentrated to afford (E)-7-(2-(2-chloro-6-fluorophenyl)prop-1-en-1-yl)-4,4-difluoro-1-((3-(trifluoromethyl)phenyl)sulfonyl)-1,2,3,4-tetrahydroquinoline (15 mg, 28%). 1H-NMR (400 MHz, DMSO-d6) 8.14 (m, 2H), 7.97 (s, 1H), 7.88 (m, 1H), 7.64 (m, 2H), 7.4-7.25 (m, 4H), 6.52 (s, 1H), 4.14 (m, 2H), 2.22 (m, 2H), 2.06 (s, 3H). MS (ESI+) (M+Na)+ 568.16.
Example 190—Synthesis of (S,E)-3-(6-(2-cyclohexylprop-1-en-1-yl)-4-((4-fluoro-3-methoxyphenyl)sulfonyl)-3,4-dihydro-2H-benzo[b][1,4]oxazin-2-yl)propanoic acid
Figure US09896441-20180220-C01551
Part I—Synthesis of (Z)-2-(2-Bromo-2-cyclohexylvinyl)-4,4,5,5-tetramethyl-1,3,2-dioxaborolane
Figure US09896441-20180220-C01552
To a solution of ethynylcyclohexane (0.5 g, 4.6 mmol) in dichloromethane (10 mL) at −78° C. was added a 1 M solution of boron tribromide in dichloromethane (5.1 mL, 5.1 mmol). The reaction mixture was stirred at −78° C. for one hour, then at ambient temperature for another hour. Recooled solution to −78° C., and then added a solution of pinacol (0.66 g, 5.5 mmol) in dichloromethane (5 mL). Stirred at −78° C. for another hour followed by one hour at ambient temperature. The solution was washed with brine, dried (Na2SO4) and concentrated. The resulting residue was purified by MPLC eluting with a gradient of ethyl acetate in hexanes. Pure fractions were combined and concentrated to afford (Z)-2-(2-bromo-2-cyclohexylvinyl)-4,4,5,5-tetramethyl-1,3,2-dioxaborolane (510 mg, 35%).
Part II—Synthesis of (E)-2-(2-Cyclohexylprop-1-en-1-yl)-4,4,5,5-tetramethyl-1,3,2-dioxaborolane
Figure US09896441-20180220-C01553
To a suspension of zinc bromide (0.43 g, 1.9 mmol) in anhydrous tetrahydrofuran (5 mL) at 0° C. was added 1 M methyl magnesium bromide solution in tetrahydrofuran (1.9 mL, 1.9 mmol). The solution was stirred for 30 minutes. The resulting mixture was added to a stirred solution of (Z)-2-(2-bromo-2-cyclohexylvinyl)-4,4,5,5-tetramethyl-1,3,2-dioxaborolane (0.5 g, 1.6 mmol), dichlorobis(triphenylphosphine)palladium (11 mg, 0.016 mmol) in anhydrous tetrahydrofuran (5 mL) at 0° C. The cooling bath was removed and the reaction stirred at ambient temperature for ninety minutes. Quenched with 1 M aqueous hydrogen chloride, then extracted twice with ethyl acetate. The combined extracts were washed with saturated sodium bicarbonate, brine, dried (Na2SO4) and concentrated. The resulting residue was purified by MPLC eluting with a gradient of ethyl acetate in hexanes to afford (E)-2-(2-cyclohexylprop-1-en-1-yl)-4,4,5,5-tetramethyl-1,3,2-dioxaborolane (0.12 g, 23%).
Part III—Synthesis of Methyl (S,E)-3-(6-(2-cyclohexylprop-1-en-1-yl)-4-((4-fluoro-3-methoxyphenyl)sulfonyl)-3,4-dihydro-2H-benzo[b][1,4]oxazin-2-yl)propanoate
Figure US09896441-20180220-C01554
A mixture of (S)-3-(6-bromo-4-((4-fluoro-3-methoxyphenyl)sulfonyl)-3,4-dihydro-2H-benzo[b][1,4]oxazin-2-yl)propanoic acid (0.15 g, 0.31 mmol), (E)-2-(2-cyclohexylprop-1-en-1-yl)-4,4,5,5-tetramethyl-1,3,2-dioxaborolane (0.12 g, 0.46 mmol), and potassium carbonate (64 mg, 0.46 mmol) in 1,4-dioxane (4 mL) and water (1 mL) was degassed. Added [1,1′-bis(diphenylphosphino)ferrocene] dichloropalladium (II) dichloromethane complex (23 mg, 0.031 mmol) and heated to 70° C. for two hours. The cooled solution was partitioned between ethyl acetate and brine, dried (Na2SO4) and concentrated. The material was purified by MPLC eluting with a gradient of 0-40% ethyl acetate in hexanes. Pure fractions were combined and concentrated to afford methyl (S,E)-3-(6-(2-cyclohexylprop-1-en-1-yl)-4-((4-fluoro-3-methoxyphenyl)sulfonyl)-3,4-dihydro-2H-benzo[b][1,4]oxazin-2-yl)propanoate (95 mg, 58%).
Part IV—Synthesis of (S,E)-3-(6-(2-Cyclohexylprop-1-en-1-yl)-4-((4-fluoro-3-methoxyphenyl)sulfonyl)-3,4-dihydro-2H-benzo[b][1,4]oxazin-2-yl)propanoic acid
Figure US09896441-20180220-C01555
To methyl (S,E)-3-(6-(2-cyclohexylprop-1-en-1-yl)-4-((4-fluoro-3-methoxyphenyl)sulfonyl)-3,4-dihydro-2H-benzo[b][1,4]oxazin-2-yl)propanoate (90 mg, 0.17 mmol) in tetrahydrofuran (1 mL) and methanol (1 mL) was added 2M aqueous sodium hydroxide (0.25 mL, 0.50 mmol). The reaction mixture was stirred at ambient temperature for four hours. The solution was acidified with 1M aqueous hydrogen chloride, extracted with ethyl acetate, washed with brine, dried (Na2SO4) and concentrated. The mixture was purified by MPLC eluting with a gradient of 30-100% ethyl acetate in hexanes. Pure fractions were combined and concentrated to afford (S,E)-3-(6-(2-cyclohexylprop-1-en-1-yl)-4-((4-fluoro-3-methoxyphenyl)sulfonyl)-3,4-dihydro-2H-benzo[b][1,4]oxazin-2-yl)propanoic acid (45 mg, 50%). 1H-NMR (400 MHz, DMSO-d6) 12.2 (br s, 1H), 7.56 (s, 1H), 7.42 (m, 1H), 7.27 (m, 1H), 7.20 (m, 1H), 6.94 (d, 1H), 6.78 (d, 1H), 6.17 (s, 1H), 4.30 (m, 1H), 3.76 (s, 3H), 3.3 (m, 2H), 2.30 (m, 2H), 1.98 (m, 1H), 1.8-1.62 (m, 9H), 1.3-1.1 (m, 6H). MS (ESI+) (M+Na)+ 540.33.
Example 191—Preparation of Additional Alkenes From Alkynes with Tribromoborane
Compounds in Table 22 were prepared based on experimental procedures described in Example 190 and the detailed description.
TABLE 22
Observed
No. Structure Name m/z
191A
Figure US09896441-20180220-C01556
(S,E)-3-(6-(2-cyclopentylprop-1- en-1-yl)-4-((4-fluoro-3- methoxyphenyl)sulfonyl)-3,4- dihydro-2H-benzo[b][1,4]-oxazin- 2-yl)propanoic acid 504 (M + H)+
191B
Figure US09896441-20180220-C01557
(S,Z)-3-(6-(2-methylbut-1-en-1- yl)-4-((3-(trifluoromethyl)- phenyl)sulfonyl)-3,4-dihydro-2H- benzo[b][1,4]oxazin-2- yl)propanoic acid 484 (M + H)+
191C
Figure US09896441-20180220-C01558
methyl (S,Z)-3-(6-(2-methylbut-1- en-1-yl)-4-((3- (trifluoromethyl)phenyl)- sulfonyl)-3,4-dihydro-2H- benzo[b][1,4]oxazin-2- yl)propanoate 498 (M + H)+
191D
Figure US09896441-20180220-C01559
(S,Z)-3-(4-((2-(2-hydroxyethoxy)- 5-(trifluoromethyl)pyridin-3- yl)sulfonyl)-6-(2-methylbut-1-en- 1-yl)-3,4-dihydro-2H- benzo[b][1,4]oxazin-2-yl)propanoic acid 545 (M + H)+
191E
Figure US09896441-20180220-C01560
(S,E)-3-(6-(2-ethyl-3-methylbut-1- en-1-yl)-4-((2-(2-hydroxy- ethoxy)-5-(trifluoromethyl)- pyridin-3-yl)sulfonyl)-3,4- dihydro-2H-benzo[b][1,4]oxazin- 2-yl)propanoic acid 573 (M + H)+
191F
Figure US09896441-20180220-C01561
methyl (S,E)-3-(6-(2-ethyl-3- methylbut-1-en-1-yl)-4-((2-(2- hydroxyethoxy)-5-(trifluoro- methyl)pyridin-3-yl)sulfonyl)-3,4- dihydro-2H-benzo[b][1,4]oxazin- 2-yl)propanoate 587 (M + H)+
191G
Figure US09896441-20180220-C01562
(S,E)-3-(6-(2-ethyl-3-methylbut-1- en-1-yl)-4-((3-(trifluoromethyl)- phenyl)sulfonyl)-3,4-dihydro-2H- benzo[b][1,4]oxazin-2- yl)propanoic acid 512 (M + H)+
191H
Figure US09896441-20180220-C01563
methyl (S,E)-3-(6-(2-ethyl-3- methylbut-1-en-1-yl)-4-((3- (trifluoromethyl)phenyl)sulfonyl)- 3,4-dihydro-2H-benzo[b][1,4]- oxazin-2-yl)propanoate 526 (M + H)+
Example 192—Synthesis of (S)-3-(6-(cyclopent-1-en-1-yl)-4-((3-(trifluoromethyl)phenyl)sulfonyl)-3,4-dihydro-2H-benzo[b][1,4]oxazin-2-yl)propanoic acid
Figure US09896441-20180220-C01564
Part I—Synthesis of methyl (S)-3-(6-(cyclopent-1-en-1-yl)-4-((3-(trifluoromethyl)phenyl)sulfonyl)-3,4-dihydro-2H-benzo[b][1,4]oxazin-2-yl)propanoate
Figure US09896441-20180220-C01565
A mixture of (S)-methyl 3-(6-bromo-4-((3-(trifluoromethyl)phenyl)sulfonyl)-3,4-dihydro-2H-benzo[b][1,4]oxazin-2-yl)propanoate (150 mg, 0.29 mmol), tetrahydrofuran (5 mL), sodium carbonate (94 mg, 0.89 mmol), ethanol (1 mL), water (1 mL), 2-(cyclopent-1-en-1-yl)-4,4,5,5-tetramethyl-1,3,2-dioxaborolane (115 mg, 0.59 mmol), and tetrakis(triphenyl-phosphine)palladium(0) (34 mg, 0.03 mmol) was stirred for three hours at 90° C. The resulting mixture was concentrated, and the residue was purified by MPLC eluting with 25% ethyl acetate in petroleum ether to afford methyl (S)-3-(6-(cyclopent-1-en-1-yl)-4-((3-(trifluoromethyl)phenyl)sulfonyl)-3,4-dihydro-2H-benzo[b][1,4]oxazin-2-yl)propanoate (108 mg, 74%) as an oil.
Part II—Synthesis of (S)-3-(6-(cyclopent-1-en-1-yl)-4-((3-(trifluoromethyl)phenyl)sulfonyl)-3,4-dihydro-2H-benzo[b][1,4]oxazin-2-yl)propanoic acid
Figure US09896441-20180220-C01566
Based on the procedure in Example 42, (S)-3-(6-(cyclopent-1-en-1-yl)-4-((3-(trifluoromethyl)phenyl)sulfonyl)-3,4-dihydro-2H-benzo[b][1,4]oxazin-2-yl)propanoic acid was prepared. 1H-NMR (400 MHz, CDCl3) δ 7.98 (s, 1H), 7.79-7.82 (m, 3H), 7.57 (m, 1H), 6.76 (d, J=8.4 Hz, 1H), 6.10 (s, 1H), 4.31 (dd, J=14.4, 2.4 Hz, 1H), 3.51 (m, 1H), 3.22 (m, 1H), 2.63-2.68 (m, 2H), 2.48-2.59 (m, 4H), 1.99-2.12 (m, 2H), 1.76-1.95 (m, 2H). (ES, m/z): (M+H)+ 482.
Example 193—Synthesis of (S)-3-(6-(cyclohex-1-en-1-yl)-4-((3-(trifluoromethyl)phenyl)sulfonyl)-3,4-dihydro-2H-benzo[b][1,4]oxazin-2-yl)propanoic acid
Figure US09896441-20180220-C01567
Based on the procedure in Example 192, (S)-3-(6-(cyclohex-1-en-1-yl)-4-((3-(trifluoromethyl)phenyl)sulfonyl)-3,4-dihydro-2H-benzo[b][1,4]oxazin-2-yl)propanoic acid was prepared. 1H-NMR (400 MHz, CDCl3) δ 7.98 (s, 1H), 7.77-7.81 (m, 3H), 7.52 (m, 1H), 7.11 (d, 1H), 6.72 (d, 1H), 6.06 (m, 1H), 4.31 (dd, 1H), 3.51 (m, 1H), 3.22 (dd, 1H), 2.43 (m, 2H), 2.37 (m, 2H), 2.21 (m, 2H), 1.88 (m, 1H), 1.75-1.83 (m, 3H), 1.65 (m, 2H). (ES, m/z): (M+H)+ 496.
Example 194—Synthesis of (S)-3-(6-cyclohexyl-4-((3-(trifluoromethyl)phenyl)sulfonyl)-3,4-dihydro-2H-benzo[b][1,4]oxazin-2-yl)propanoic acid
Figure US09896441-20180220-C01568
Part I—Synthesis of methyl (S)-3-(6-cyclohexyl-4-((3-(trifluoromethyl)phenyl)sulfonyl)-3,4-dihydro-2H-benzo[b][1,4]oxazin-2-yl)propanoate
Figure US09896441-20180220-C01569
A mixture of methyl (S)-3-(6-(cyclohex-1-en-1-yl)-4-((3-(trifluoromethyl)phenyl)-sulfonyl)-3,4-dihydro-2H-benzo[b][1,4]oxazin-2-yl)propanoate (154 mg, 0.30 mmol), ethyl acetate (10 mL), and 10% palladium on carbon (200 mg) was stirred under an atmosphere of hydrogen for three hours at room temperature. Then, the mixture was filtered through Celite, and concentrated to afford methyl (S)-3-(6-cyclohexyl-4-((3-(trifluoromethyl)phenyl)sulfonyl)-3,4-dihydro-2H-benzo[b][1,4]oxazin-2-yl)propanoate (150 mg, 97%) as an oil.
Part II—Synthesis of (S)-3-(6-cyclohexyl-4-((3-(trifluoromethyl)phenyl)sulfonyl)-3,4-dihydro-2H-benzo[b][1,4]oxazin-2-yl)propanoic acid
Figure US09896441-20180220-C01570
Based on the procedure in Example 42, (S)-3-(6-cyclohexyl-4-((3-(trifluoromethyl)phenyl)sulfonyl)-3,4-dihydro-2H-benzo[b][1,4]oxazin-2-yl)propanoic acid was prepared. 1H-NMR (400 MHz, CDCl3) δ 7.93 (s, 1H), 7.81-7.85 (m, 2H), 7.67 (s, 1H), 7.61 (m, 1H), 6.94 (m, 1H), 6.73 (d, J=8.0 Hz, 1H), 4.31 (dd, J=14.4, 2.4 Hz, 1H), 3.55 (m, 1H), 3.23 (m, 1H), 2.47-2.57 (m, 3H), 1.76-1.96 (m, 7H), 1.36-1.44 (m, 4H), 1.30 (m, 1H). (ES, m/z): (M+H)+ 498.
Example 195—Preparation of Additional Substituted 4-(aryl or heteroaryl)-sulfonyl)-3,4-dihydro-2H-benzo[b][1,4]oxazin-2-yl) Compounds
Compounds in the Table 23 below were prepared based on experimental procedures described in Examples 29 and 70 and the detailed descripting utilizing (R)-6-oxotetrahydro-2H-pyran-2-carboxylic acid as the starting lactone.
TABLE 23
Observed
No. Structure Name m/z
195A
Figure US09896441-20180220-C01571
(S,E)-4-(6-(2-(2-chloro-6- fluorophenyl)prop-1-en-1-yl)-4- ((2-(2-hydroxyethoxy)-5- (trifluoromethyl)pyridin-3- yl)sulfonyl)-3,4-dihydro-2H- benzo[b][1,4]oxazin-2- yl)butanoic acid 659 (M + H)
195B
Figure US09896441-20180220-C01572
(S,E)-4-(6-(2-chloro-6- fluorostyryl)-4-((2-(2- hydroxyethoxy)-5-(trifluoro- methyl)pyridin-3-yl)sulfonyl)-3,4- dihydro-2H-benzo[b][1,4]-oxazin- 2-yl)butanoic acid 645 (M + H)+
195C
Figure US09896441-20180220-C01573
methyl (S,E)-4-(6-(2-chloro-6- fluorostyryl)-4-((2-(2- hydroxyethoxy)-5-(trifluoro- methyl)pyridin-3-yl)sulfonyl)-3,4- dihydro-2H-benzo[b][1,4]-oxazin- 2-yl)butanoate 659 (M + H)+
195D
Figure US09896441-20180220-C01574
(S,E)-4-(6-(2-chloro-6- fluorostyryl)-4-((3-(trifluoro- methyl)phenyl)sulfonyl)-3,4- dihydro-2H-benzo[b][1,4]oxazin- 2-yl)butanoic acid 584 (M + H)+
195E
Figure US09896441-20180220-C01575
methyl (S,E)-4-(6-(2-chloro-6- fluorostyryl)-4-((3-(trifluoro- methyl)phenyl)sulfonyl)-3,4- dihydro-2H-benzo[b][1,4]oxazin- 2-yl)butanoate 598 (M + H)+
195F
Figure US09896441-20180220-C01576
(S)-4-(6-(2-ethylbut-1-en-1-yl)-4- ((3-(trifluoromethyl)phenyl)- sulfonyl)-3,4-dihydro-2H- benzo[b][1,4]oxazin-2- yl)butanoic acid 512 (M + H)+
195G
Figure US09896441-20180220-C01577
(S,E)-4-(6-(2-(2-chloro-6- fluorophenyl)prop-1-en-1-yl)-4- ((3-(trifluoromethyl)phenyl)- sulfonyl)-3,4-dihydro-2H- benzo[b][1,4]oxazin-2- yl)butanoic acid 598 (M + H)+
195H
Figure US09896441-20180220-C01578
methyl (S,E)-4-(6-(2-(2-chloro-6- fluorophenyl)prop-1-en-1-yl)-4- ((3-(trifluoromethyl)phenyl)- sulfonyl)-3,4-dihydro-2H- benzo[b][1,4]oxazin-2- yl)butanoate 612 (M + H)+
Example 196—Biological Assays for Agonist Activity Towards RORγ
Exemplary compounds from the above Examples were tested for ability to increase RORγ activity using (i) a RORγ-Ligand Binding Domain (LBD) TR-FRET Assay, and (ii) a Gal4-RORγ Luciferase Reporter Assay in HEK-293T Cells. Assay procedures and results are described below.
Part I—Procedures for RORγ-Ligand Binding Domain TR-FRET Assay
HIS-tagged RORγ-LBD protein was expressed in SF9 cells using a baculovirus expression system. The lysate was diluted in assay buffer (50 mM Tris pH 7.0, 50 mM KCl, 1 mM EDTA, 0.1 mM DTT, 0.01% BSA) to obtain RORγ-LBD final concentration of ˜3 nM in a 384-well assay plate (need to titrate for each batch of protein).
A stock of biotinylated-LXXLL peptide from coactivator SRC1 (Biotin-CPSSHSSLTERHKILHRLLQEGSPS) was prepared in assay buffer and added to each well (200 nM final concentration). A solution of Europium tagged anti-HIS antibody (0.6 nM final concentration) and APC-conjugated streptavidin (30 nM final concentration) were also added to each well. RORγ antagonist ursolic acid was also included at a final concentration of 2 μM. Compounds were diluted in DMSO and further diluted in assay buffer with a final DMSO concentration at 1%. The highest concentration of test compound analyzed was 10 μM.
The final assay mixture was incubated overnight at 4° C. or 2 hours at room temperature, and the fluorescence signal was measured on an Envision plate reader: (Excitation filter=340 nm; APC emission=665 nm; Europium emission=615 nm; dichroic mirror=D400/D630; delay time=100 μs, integration time=200 μs). 50% Effective concentration (EC50) values for test compounds were calculated from the quotient of the fluorescence signal at 665 nm divided by the fluorescence signal at 615 nm. The quotient of the fluorescence signals in the absence of ursolic acid or test compound is set as 100. Max Response is defined as the upper plateau in the signal as determined by line-fit using a 4-parameter logistic model in PRISM (GraphPad).
Part II—Procedures for Gal4-RORγ Luciferase Reporter Assay in HEK-293T Cells
Transfection of HEK-293 Cells
In the following protocol, HEK-293 cells were transfected with a construct comprising the Gal4 DNA binding domain fused to the ligand binding domain of RORγ (Gal4-RORγ-LBD) in a pcDNA3.1neo plasmid, and also with a reporter construct comprising pGL4.31 Gal4-luciferase (Promega). Control cells were prepared similarly using empty pcDNA3.1neo and pGL4.31 vectors.
Trans-IT reagent (Mirus, 60 μL) at room temperature was added drop wise to OptiMEM (Invitrogen, 1.5 ml). This reagent mixture was mixed by inversion then incubated for 5 to 30 minutes at room temperature. It then was added to a solution of both expression vectors (5 μg each), mixed, and incubated at room temperature for about 20 minutes. HEK-293 cells were harvested from incubation flasks by removing the media, treating with TrypLE Express (Invitrogen), and incubating until the cells detached from the bottom of the flask (approximately 2-5 minutes). 10 Million cells were collected by centrifugation and re-suspended in 10 mL of Dulbecco's Modified Eagle Medium, High Glucose (DMEM, Invitrogen) containing 10% Fetal Bovine Serum and 100 IU each of penicillin and streptomycin. The re-suspended cells and the transfection mixture were added to a T75 flask, mixed and incubated overnight at 37° C. and 5% CO2.
Assay for RORγ Activity
The cells were harvested as described above, counted, and centrifuged to obtain the desired number of cells, then re-suspended in complete growth media at 0.75×106 cells/mL. The RORγ antagonist, ursolic acid, was added to the cells at a final concentration of 2 M. Cells were plated at 20 L of cell suspension/well (10,000-15,000 cells/well) in white tissue culture treated 384 well plates. Test compounds were dissolved at 10 mM in DMSO then diluted into complete growth medium to 5× the final intended test concentration. These drug stock solutions, 5 L/well were added to the tissue culture plate. The final DMSO concentration was 0.2%. The plates were briefly centrifuged then incubated overnight at 37° C. and 5% CO2. To conduct the assay, the tissue culture plates were allowed to equilibrate to room temperature and One-Glo luciferase reagent (Promega, 25 L/well) was added. The plates were briefly centrifuged then incubated at room temperature for 10 minutes. The luciferase intensity was read on an Envision plate reader (Perkin Elmer). RORγ activity was determined relative to controls and plotted as a function of test compound concentration using PRISM (GraphPad) to determine a 50% effective concentration (EC50). The luciferase signal in the absence of ursolic acid or test compound is defined at 100. The Max Response is the upper plateau in the signal as determined by line-fit using a 4-parameter logistic model in PRISM (GraphPad).
Part III—Results
Experimental results are provided in Tables 24-26 below. The symbol “++++” indicates an EC50 less than 0.5 μM. The symbol “+++” indicates an EC50 in the range of 0.5 μM to 5 μM. The symbol “++” indicates an EC50 in the range of greater than 5 M to 10 μM. The symbol “+” indicates an EC50 greater than 10 μM. The symbol “N/A” indicates that no data was available. The symbol “****” indicates a value greater than 200. The symbol “***” indicates a value in the range of greater than 150 to 200. The symbol “**” indicates a value in the range of greater than 90 to 150. The symbol “*” indicates a value in the range of 30 to 90.
TABLE 24
Assay Results for Sulfonamido Compounds.
TR-FRET Assay Gal4-RORγ Assay
Max Max
Compound Structure EC50 Response EC50 Response
Figure US09896441-20180220-C01579
++++ *** +++ **
Figure US09896441-20180220-C01580
+ ** N/A N/A
Figure US09896441-20180220-C01581
+ ** N/A N/A
Figure US09896441-20180220-C01582
++ ** N/A N/A
Figure US09896441-20180220-C01583
+ ** N/A N/A
Figure US09896441-20180220-C01584
++++ ** N/A N/A
Figure US09896441-20180220-C01585
++++ ** N/A N/A
Figure US09896441-20180220-C01586
++++ ** N/A N/A
Figure US09896441-20180220-C01587
++++ ** N/A N/A
Figure US09896441-20180220-C01588
++++ ** N/A N/A
Figure US09896441-20180220-C01589
++++ *** N/A N/A
Figure US09896441-20180220-C01590
++++ ** N/A N/A
Figure US09896441-20180220-C01591
++++ ** N/A N/A
Figure US09896441-20180220-C01592
++++ *** N/A N/A
Figure US09896441-20180220-C01593
++++ *** N/A N/A
Figure US09896441-20180220-C01594
++++ **** + ****
Figure US09896441-20180220-C01595
+++ **** N/A N/A
Figure US09896441-20180220-C01596
++++ **** N/A N/A
Figure US09896441-20180220-C01597
++++ **** N/A N/A
Figure US09896441-20180220-C01598
++++ *** +++ ***
Figure US09896441-20180220-C01599
++++ **** N/A N/A
Figure US09896441-20180220-C01600
++++ **** N/A N/A
Figure US09896441-20180220-C01601
++++ **** N/A N/A
Figure US09896441-20180220-C01602
++++ **** N/A N/A
Figure US09896441-20180220-C01603
++++ **** N/A N/A
Figure US09896441-20180220-C01604
++++ *** +++ ***
Figure US09896441-20180220-C01605
++++ *** +++ ***
Figure US09896441-20180220-C01606
++++ **** ++++ **
Figure US09896441-20180220-C01607
++++ **** ++++ ***
Figure US09896441-20180220-C01608
++++ **** ++++ ***
Figure US09896441-20180220-C01609
++++ **** +++ **
Figure US09896441-20180220-C01610
++++ **** +++ ***
Figure US09896441-20180220-C01611
++++ **** ++ **
Figure US09896441-20180220-C01612
++++ **** ++ **
TABLE 25
Assay Results for Additional Compounds.
TR-FRET Assay Gal4-RORγ Assay
Title Compound Max Max
from Example No. EC50 Response EC50 Response
 9D ++++ **** N/A N/A
 9E ++++ **** N/A N/A
 15B ++++ **** N/A N/A
 15C ++++ **** +++ **
 15D ++++ **** +++ **
 15E +++ ** N/A N/A
 15F ++++ *** +++ **
 15G ++++ *** +++ **
 15H ++++ *** +++ **
 15I ++++ ** N/A N/A
 15J ++++ ** ++++ **
 15K ++++ ** N/A N/A
 15L ++++ ** +++ **
 15M ++++ ** +++ **
 15N ++++ ** +++ *
 15O ++++ *** +++ **
 15P ++++ ** N/A N/A
 15Q ++++ ** +++ **
 15R ++++ * N/A N/A
 15S ++++ ** ++ *
 15T +++ ** N/A N/A
 20 ++++ *** ++++ **
 21 ++++ **** N/A N/A
 22 ++++ *** +++ **
 24 ++++ **** N/A N/A
 25A ++++ *** N/A N/A
 25B ++++ ** N/A N/A
 25C ++++ ** ++++ ***
 25D ++++ ** N/A N/A
 25E ++++ ** +++ **
 25J ++++ *** +++ **
 25K ++++ ** N/A N/A
 25L ++++ * N/A N/A
 25M ++++ ** N/A N/A
 25N ++++ ** N/A N/A
 25O ++++ *** N/A N/A
 25P ++++ **** ++++ **
 25Q ++++ ** ++++ **
 25R ++++ ** ++++ **
 25S ++++ ** N/A N/A
 25T ++++ ** N/A N/A
 25U + N/A N/A N/A
 25V +++ ** N/A N/A
 25W ++++ *** ++++ **
 26 ++++ *** ++++ **
 27 ++++ *** ++++ **
 28A ++++ *** N/A N/A
 28B ++++ * N/A N/A
 28C ++++ ** N/A N/A
 28D ++++ *** N/A N/A
 28E ++++ * N/A N/A
 28F ++++ **** N/A N/A
 28G ++++ ** N/A N/A
 29 ++++ *** ++++ **
 30 ++++ **** +++ ***
 31 ++++ *** +++ **
 32 ++++ ** ++ ***
 33 ++++ *** +++ **
 34 ++++ ** +++ **
 35 ++++ *** +++ **
 36A N/A N/A ++++ **
 36B N/A N/A + N/A
 36C ++++ ** +++ *
 37 ++++ ** ++++ **
 38A ++++ ** +++ *
 38B ++++ ** +++ *
 38C N/A N/A +++ **
 41 ++++ *** ++++ **
 42 ++++ *** +++ **
 43 ++++ *** ++++ **
 44 ++++ *** +++ ***
 45 ++++ ** +++ *
 46 ++++ ** ++++ **
 47 ++++ ** ++ **
 48 +++ ** ++++ *
 49 ++++ *** +++ **
 50 ++++ *** ++++ **
 51 ++++ *** ++++ **
 52 ++++ *** +++ ****
 53 ++++ ** +++ **
 54 ++++ ** +++ **
 55 ++++ ** ++++ **
 56 ++++ ** + N/A
 57 ++++ ** + N/A
 58 ++++ ** +++ **
 59 ++++ *** +++ **
 60 ++++ *** +++ ***
 61 ++++ *** +++ **
 62 ++++ *** +++ **
 63 ++++ *** +++ **
 64 ++++ ** +++ **
 65 N/A N/A +++ **
 66 N/A N/A ++++ **
 67 ++++ **** +++ **
 68 ++++ **** +++ **
 69 ++++ *** + N/A
 70 ++++ **** ++++ **
 71 ++++ **** ++++ **
 72 ++++ ** ++++ *
 73 ++++ ** ++++ **
 74 ++++ *** +++ **
 75 ++++ *** +++ ***
 76 ++++ **** +++ **
 77 ++++ **** +++ **
 78 +++ **** +++ **
 79 ++++ *** +++ **
 80 ++++ *** +++ **
 81 ++++ **** ++++ ***
 82 ++++ **** ++++ ***
 83 ++++ **** +++ ***
 84 ++++ **** ++++ ***
 85 ++++ **** ++++ **
 86A ++++ *** +++ **
 86AA ++++ ** + ***
 86AB ++++ *** +++ **
 86AC ++++ * + *
 86AD ++++ * +++ *
 86AE N/A N/A ++++ ***
 86AF ++++ *** +++ ***
 86AG ++++ ** ++++ **
 86AH ++++ *** +++ **
 86AI N/A N/A ++++ **
 86AJ N/A N/A ++++ *
 86AK ++++ *** ++++ **
 86AL ++++ *** +++ **
 86AM ++++ ** +++ **
 86AN ++++ ** +++ **
 86AO ++++ *** ++++ **
 86AP ++++ *** ++++ **
 86AQ N/A N/A ++++ **
 86AR ++++ *** +++ **
 86AS ++++ **** ++++ **
 86AT ++++ **** ++++ **
 86AU ++++ ** +++ **
 86AW ++++ **** ++++ **
 86AX ++++ **** +++ **
 86AY ++++ **** ++++ **
 86AZ ++++ **** +++ **
 86B ++++ *** ++++ ***
 86C ++++ *** ++++ ***
 86D ++++ *** ++++ ***
 86E ++++ *** +++ **
 86F ++++ *** ++++ **
 86G ++++ *** +++ **
 86H ++++ *** +++ ****
 86I ++++ **** +++ **
 86J ++++ *** ++++ **
 86K ++++ *** ++++ **
 86L ++++ *** ++++ **
 86M ++++ *** +++ ****
 86N ++++ *** ++++ **
 86O ++++ *** +++ **
 86P ++++ *** +++ ***
 86Q ++++ *** ++++ **
 86R ++++ *** ++++ **
 86S ++++ *** +++ **
 86T ++++ *** +++ **
 86U ++++ *** +++ *
 86V ++++ ** +++ **
 86W ++++ *** + N/A
 86X ++++ ** +++ *
 86Y ++++ *** +++ **
 86Z ++++ *** ++++ **
 87 ++++ **** +++ **
 88 ++++ **** +++ **
 89A ++++ *** +++ ***
 89AA +++ * + N/A
 89AB +++ * + N/A
 89AC ++++ **** +++ **
 89AE ++++ **** +++ **
 89AF ++++ **** + N/A
 89AG ++++ **** ++++ **
 89AH ++++ **** ++++ **
 89AI ++++ **** +++ **
 89AJ ++++ **** +++ **
 89AK ++++ **** +++ *
 89AL ++++ *** +++ ***
 89AM ++++ ** + N/A
 89AN +++ **** + N/A
 89AO ++++ **** +++ **
 89AP ++++ **** +++ **
 89AQ ++++ **** +++ **
 89AR ++++ **** +++ ***
 89AS ++++ **** + N/A
 89AT ++++ **** +++ **
 89AU ++++ **** ++++ **
 89AV ++++ **** ++++ **
 89AW ++++ **** +++ **
 89AX ++++ **** +++ **
 89AY ++++ **** +++ **
 89AZ ++++ **** ++++ ***
 89B ++++ *** +++ ***
 89BA ++++ *** +++ *
 89BB ++++ **** +++ *
 89BC ++++ *** +++ *
 89BD ++++ **** + N/A
 89BE +++ ** + N/A
 89BF +++ **** + N/A
 89BG ++++ *** +++ **
 89BH ++++ ** + N/A
 89BI ++++ *** ++++ **
 89BJ ++++ *** +++ **
 89BK ++++ *** ++++ **
 89BL + N/A N/A N/A
 89BM +++ ** N/A N/A
 89BN ++++ ** +++ **
 89BO ++++ ** +++ **
 89BP ++++ ** + N/A
 89BQ ++++ ** +++ *
 89BR + N/A N/A N/A
 89BS ++++ * N/A N/A
 89BT + N/A N/A N/A
 89BU ++ ** N/A N/A
 89BV + N/A N/A N/A
 89BW ++++ ** + N/A
 89BX + N/A N/A N/A
 89BY + N/A N/A N/A
 89BZ + N/A N/A N/A
 89C +++ * ++ *
 89CA ++++ ** + N/A
 89CB N/A N/A +++ *
 89CC + **** + N/A
 89CD ++++ ** +++ N/A
 89CE ++++ *** +++ N/A
 89CF +++ ** + N/A
 89CG ++++ *** ++ N/A
 89CH ++++ ** + N/A
 89CI + N/A + N/A
 89CJ + N/A + N/A
 89CK ++++ ** +++ **
 89CL +++ *** N/A N/A
 89CM ++++ *** +++ **
 89CN +++ **** N/A N/A
 89CO ++++ *** +++ **
 89CP ++++ *** ++++ **
 89CQ ++++ *** +++ *
 89CR ++++ **** ++++ **
 89CS ++++ **** ++++ ***
 89CT ++++ **** ++++ ***
 89CU ++++ **** +++ **
 89CV ++++ **** ++++ **
 89CW ++++ **** +++ *
 89CX ++++ *** +++ **
 89CY ++++ **** +++ **
 89CZ ++++ **** +++ **
 89D ++++ **** +++ ***
 89DA + N/A + N/A
 89DB + N/A + N/A
 89DC + N/A + N/A
 89DE ++++ ** + N/A
 89DE +++ ** ++++ ***
 89DF N/A N/A + N/A
 89DG N/A N/A + N/A
 89DH ++++ ** +++ *
 89DI ++++ ** + N/A
 89DJ ++++ **** +++ **
 89DK ++++ **** +++ ***
 89DL ++++ **** +++ ***
 89DM ++++ **** ++++ **
 89DN ++++ **** +++ **
 89DO ++++ **** ++++ **
 89DP ++++ **** ++++ **
 89DQ ++++ **** ++++ **
 89DS + N/A N/A N/A
 89DT ++++ **** +++ *
 89DU ++++ **** +++ **
 89DV ++++ **** +++ ***
 89DW + N/A + N/A
 89DX +++ *** + N/A
 89DY ++++ *** +++ **
 89DZ +++ *** + **
 89E + N/A + N/A
 89EA ++++ **** ++++ **
 89EB ++++ **** ++++ **
 89EC ++++ **** +++ **
 89ED ++++ **** ++++ **
 89EE ++++ **** +++ **
 89EF ++++ **** ++++ ***
 89EG ++++ **** +++ ***
 89EH ++++ **** ++++ **
 89EI ++++ **** ++++ **
 89EJ ++++ **** ++++ **
 89EK ++++ **** +++ ***
 89EL ++++ **** ++++ **
 89EM ++++ **** ++++ ***
 89EN ++++ **** ++++ ***
 89EP ++++ **** ++++ ***
 89EQ ++++ **** ++++ **
 89ER ++++ **** ++++ ***
 89ES ++++ **** +++ ***
 89ET ++++ **** ++++ **
 89EU ++++ **** +++ ***
 89EV ++++ **** ++ **
 89EW ++++ **** ++++ **
 89EX ++++ **** +++ *
 89EY ++++ *** +++ ***
 89EZ ++++ **** ++++ **
 89FA ++++ *** ++++ ***
 89FB ++++ *** +++ **
 89FC ++++ *** +++ **
 89FD ++++ *** +++ ****
 89FE ++++ *** ++++ **
 89FF ++++ **** +++ ***
 89FG ++++ *** ++++ **
 89FH ++++ *** ++++ **
 89FI ++++ **** ++++ ***
 89FJ ++++ **** +++ **
 89FK ++++ *** + N/A
 89FL +++ *** N/A N/A
 89FM ++++ *** +++ **
 89FN ++++ **** +++ **
 89G +++ *** + N/A
 89H ++++ *** + N/A
 89I + N/A + N/A
 89J +++ ** + N/A
 89K ++++ *** +++ **
 89L ++++ **** +++ **
 89M + N/A + N/A
 89N ++ ** + N/A
 89O ++++ *** + N/A
 89P +++ *** + N/A
 89Q + N/A + N/A
 89R ++ ** + N/A
 89S +++ * + N/A
 89T + N/A + N/A
 89W ++ ** + N/A
 89X +++ **** + N/A
 90 ++++ *** +++ ***
 91 ++++ *** +++ ***
 92 ++++ ** +++ **
 93 ++++ **** +++ **
 94 ++++ **** +++ ***
 95A +++ **** N/A N/A
 95AA ++++ **** +++ ****
 95AB ++++ ** +++ **
 95AC ++++ *** ++++ ***
 95AC + N/A + N/A
 95AD ++++ ** +++ *
 95B ++++ **** +++ *
 95C ++++ *** +++ ***
 95D ++++ *** +++ **
 95E ++++ **** ++++ ***
 95F ++++ *** +++ **
 95G ++++ **** +++ ***
 95H ++++ ** +++ **
 95I N/A N/A +++ **
 95J ++++ **** +++ ****
 95K ++++ *** +++ ***
 95L ++++ **** ++++ ****
 95M ++++ **** +++ ***
 95N ++++ **** +++ ****
 95O ++++ *** +++ **
 95P ++++ *** +++ **
 95Q ++++ **** ++++ ****
 95R ++++ *** ++++ ***
 95S ++++ *** ++++ **
 95T ++++ *** +++ **
 95U ++++ *** +++ **
 95V +++ **** N/A N/A
 95W ++++ ** +++ *
 95X +++ ** N/A N/A
 95Y ++++ **** +++ ***
 95Z ++++ **** +++ ***
 96 ++++ *** ++++ N/A
 97 ++++ *** ++++ **
 98 ++++ *** ++++ **
 99 ++++ *** +++ **
100 ++++ *** +++ **
101 ++++ *** + N/A
102 ++++ ** ++++ *
103 ++++ *** ++++ **
104 ++++ *** + N/A
105 ++++ ** ++++ **
106 ++++ *** ++++ **
107 ++++ ** +++ **
108 ++++ ** ++++ *
109A ++++ *** ++++ *
109B ++++ ** ++++ *
109C ++++ ** ++++ **
109D ++++ *** +++ **
109E ++++ **** +++ **
109F ++++ *** +++ **
110 ++++ *** +++ **
111 ++++ *** +++ **
112 ++++ *** ++++ **
113 ++++ *** ++++ **
114 ++++ *** ++++ **
115 ++++ *** ++++ *
116A ++++ *** ++++ **
116B ++++ *** ++++ *
116C ++++ *** +++ **
116D ++++ *** ++++ **
116E ++++ *** ++++ **
116F ++++ *** +++ *
116G ++++ *** ++++ *
116H ++++ *** ++++ **
116I ++++ *** +++ **
116J ++++ *** +++ ***
116K ++++ *** +++ **
116L ++++ *** N/A N/A
116M +++ *** N/A N/A
117 ++++ *** +++ **
118 ++++ *** +++ **
119A ++++ **** ++++ **
119B ++++ *** +++ **
119C ++++ *** +++ **
119D ++++ *** ++++ **
119E ++++ *** +++ **
119F ++++ *** + N/A
119G ++++ *** ++++ *
119H ++++ *** ++++ **
120 ++++ *** ++++ **
121A ++++ *** ++++ **
121B ++++ ** ++++ **
121C ++++ **** ++++ **
122 ++++ *** ++++ **
123 ++++ ** +++ **
124 ++++ *** +++ **
125 ++++ *** ++++ **
126 ++++ ** ++++ **
127 ++++ *** ++++ **
127A ++++ **** ++++ **
127B ++++ **** ++++ **
127C ++++ **** ++++ **
127D ++++ **** ++++ **
127E ++++ *** ++++ *
127F ++++ **** +++ **
127G ++++ **** +++ *
127H ++++ *** ++++ **
127I ++++ *** +++ **
127J ++++ *** ++++ **
127K N/A N/A N/A **
127L N/A N/A N/A *
127M N/A N/A ++++ **
127N N/A N/A ++++ **
128 ++++ **** ++++ **
129A ++++ **** ++++ **
129B ++++ **** ++++ **
129C ++++ **** ++++ **
129D ++++ **** ++++ **
129E ++++ **** +++ **
129F ++++ *** ++++ ***
129G ++++ **** ++++ **
129H ++++ *** ++++ ***
129I ++++ *** ++++ **
129J ++++ **** +++ ***
129K ++++ *** +++ **
129L ++++ *** ++++ *
129M ++++ *** +++ **
129N ++++ *** ++++ **
129O ++++ *** ++++ **
129P N/A N/A ++++ ***
130 ++++ *** +++ **
131 ++++ *** ++++ **
132 ++++ **** +++ ***
133 ++++ **** ++++ *
134 ++++ **** ++++ ***
135A ++++ *** +++ *
135B ++++ **** + N/A
135C ++++ *** +++ *
136 ++++ **** ++++ **
137 ++++ **** ++++ **
138 ++++ ** ++++ ***
139 ++++ ** +++ **
140 ++++ ** ++++ **
142 ++++ ** ++++ **
143 ++++ ** N/A N/A
145 ++++ ** N/A N/A
146 ++++ ** + N/A
147 ++++ *** +++ **
148 ++++ ** N/A N/A
149 + N/A N/A N/A
150 + N/A N/A N/A
151 ++++ ** N/A N/A
152 ++++ *** ++++ **
153 ++++ *** + *
154A ++++ ** ++++ *
154B ++++ ** N/A N/A
154C ++++ ** +++ **
155 ++++ ** ++++ **
157 ++++ ** +++ **
158 ++++ ** ++++ **
159 ++++ *** +++ **
160 ++++ ** ++++ *
161 ++++ ** ++++ **
162 ++++ *** ++++ **
163 ++++ ** ++++ **
164 ++++ *** +++ *
165 ++++ *** ++++ *
166 ++++ *** +++ **
167 ++++ *** +++ **
168 ++++ *** ++++ *
169 ++++ *** ++++ *
170 ++++ *** +++ ***
171 ++++ *** +++ **
172 ++++ ** +++ **
173A ++++ ** ++++ *
173B ++++ ** +++ **
173C ++++ ** ++++ **
173D ++++ ** ++++ **
173E ++++ ** +++ **
173F ++++ *** ++++ **
174 ++++ ** +++ *
175 ++++ ** +++ *
176 ++++ *** +++ **
177 ++++ ** +++ **
178 ++++ ** +++ **
179 ++++ ** +++ ***
180 ++++ *** +++ *
181 ++++ ** ++++ **
182 ++++ *** ++++ **
183 ++++ *** +++ **
184 ++++ *** ++++ **
185 ++++ ** N/A N/A
186A ++++ ** +++ **
186B ++++ ** ++++ **
186C ++++ *** + **
186D ++++ *** N/A N/A
186E ++++ ** +++ **
186F ++++ *** ++++ *
186G ++++ ** +++ **
186H ++++ *** ++++ **
186I ++++ ** ++++ **
186J ++++ ** +++ **
186K ++++ *** N/A N/A
186L ++++ *** N/A N/A
186M ++++ *** ++++ *
186N ++++ *** ++++ **
187 ++++ **** ++++ **
188 ++++ **** +++ **
189 ++++ *** +++ **
190 N/A N/A + N/A
191A ++++ ** +++ **
191B ++++ *** +++ ***
191C ++++ **** +++ **
191D ++++ ** + N/A
TABLE 26
Assay Results for Additional Compounds.
TR-FRET Assay Gal4-RORγ Assay
Title Compound Max Max
from Example No. EC50 Response EC50 Response
 86BC ++++ *** N/A N/A
 89FO ++++ **** ++++ **
 89FP ++++ **** ++++ **
116N ++++ **** ++++ *
116O ++++ **** ++++ **
116P ++++ **** ++++ **
129Q ++++ **** ++++ **
191E ++++ *** +++ ***
191F ++++ **** +++ **
191G ++++ **** ++++ ****
191H ++++ **** ++++ **
192 ++++ **** +++ **
193 ++++ **** ++++ ***
194 ++++ **** ++++ ***
195B ++++ **** ++++ **
195C ++++ **** +++ *
195D ++++ **** ++++ ***
195E ++++ **** +++ **
195F ++++ **** ++++ ***
195G ++++ **** N/A N/A
195H ++++ **** N/A N/A
INCORPORATION BY REFERENCE
The entire disclosure of each of the patent documents and scientific articles referred to herein is incorporated by reference for all purposes.
EQUIVALENTS
The invention may be embodied in other specific forms without departing from the spirit or essential characteristics thereof. The foregoing embodiments are therefore to be considered in all respects illustrative rather than limiting the invention described herein. Scope of the invention is thus indicated by the appended claims rather than by the foregoing description, and all changes that come within the meaning and range of equivalency of the claims are intended to be embraced therein.

Claims (58)

What is claimed is:
1. A compound represented by Formula I:
Figure US09896441-20180220-C01613
or a pharmaceutically acceptable salt thereof; wherein:
A is phenylene, 5-6 membered heteroarylene, or C3-6 heterocycloalkylene;
R1 represents independently for each occurrence halogen, C1-6 alkyl, C1-6 haloalkyl, or C3-6 cycloalkyl;
R2A is one of the following:
(i) C1-6 alkyl, C1-3 haloalkyl, C3-6 cycloalkyl, —(C1-6 alkylene)-(C3-6 cycloalkyl), —O—(C1-6 alkylene)-CO2R4, —O—(C1-6 alkylene)-C(O)—(C1-6 alkyl), —N(R4)—(C1-6 alkylene)-CO2R4, or —N(R4)—(C1-6 alkylene)-C(O)—(C1-6 alkyl), wherein the C1-6 alkyl, C3-6 cycloalkyl, and C1-6 alkylene are optionally substituted with 1 or 2 substituents independently selected from the group consisting of —CO2R4, —C(O)N(R4)(R5), —C(O)—N(R4)—(C1-4 alkylene)-CO2R4, —N(R4)C(O)R8, —CN, halogen, hydroxyl, C1-6 alkoxy, C1-6 haloalkoxy, C1-6 haloalkyl, —N(R4)(R5), —N(R4)C(O)N(R4)(R5), —N(R4)CO2R9, —N(R4)S(O)2R9, and —N(R4)S(O)2N(R4)(R5); or
(ii) —CO2R4, —N(R4)C(O)R9, —N(R4)CO2R9, —N(R4)C(O)N(R4)(R5), —N(R4)C(O)N(R4)(heteroaryl), —N(R4)S(O)2R9, —N(R4)(R5), or —OH;
R2B is C1-6 alkyl, C1-3 haloalkyl, or fluoro;
R3 represents independently for each occurrence hydrogen, C1-6 haloalkyl, halogen, hydroxyl, C1-6 alkyl, C3-6 cycloalkyl, C1-6 alkoxy, C1-6 haloalkoxy, —N(R4)(R8), —O—(C1-6 hydroxyalkyl), or —O—(C1-6 alkylene)-CO2R4; or two vicinal occurrences of R3 are taken together with intervening atoms to form a 4-6 membered ring;
R4 and R5 each represent independently for each occurrence hydrogen, C1-6 alkyl, or C3-6 cycloalkyl; or an occurrence of R4 and R5 attached to the same nitrogen atom are taken together with the nitrogen atom to which they are attached to form a 3-8 membered heterocyclic ring;
R6 and R7 each represent independently for each occurrence hydrogen, fluoro, or C1-6 alkyl, or R6 and R7 are taken together with the carbon atom to which they are attached to form a 3-6 membered carbocyclic ring; or R6 and a vicinal occurrence of R2B are taken together to form a bond;
R8 represents independently for each occurrence C1-6 alkyl, C3-6 cycloalkyl, —(C1-6 alkylene)-(C3-6 cycloalkyl), or aryl, each of which is optionally substituted with 1, 2, or 3 substituents independently selected from the group consisting of halogen, hydroxyl, or —CO2R4; or R8 is —CO2R4;
R9 represents independently for each occurrence C1-6 alkyl, C3-6 cycloalkyl, —(C1-6 alkylene)-(C3-6 cycloalkyl), C1-6 haloalkyl, or C1-6 hydroxyalkyl;
X is one of the following:
(i) —O-heteroaralkyl, —O-phenyl, —O-heteroaryl, —O-(partially unsaturated bicyclic carbocyclyl), —O—(C1-6 alkylene)-(C3-6 cycloalkyl), —O—(C3-6 cycloalkyl), —N(R4)-aralkyl, —N(R4)-phenyl, —N(R4)-(partially unsaturated bicyclic carbocyclyl), or —N(R4)—(C1-6 alkylene)-(C3-6 cycloalkyl), each of which is optionally substituted with 1, 2, or 3 substituents independently selected from the group consisting of halogen, C1-6 haloalkyl, C1-6 alkyl, C3-6 cycloalkyl, C1-6 alkoxy, C1-6 haloalkoxy, —S—(C1-6 alkyl), hydroxyl, cyano, —C(O)R9, and —SO2R9;
(ii) —S-aralkyl, —S-heteroaralkyl, —S-phenyl, —S-heteroaryl, —S-(partially unsaturated bicyclic carbocyclyl), —S—(C1-6 alkylene)-(C3-6 cycloalkyl), or —S—(C3-6 cycloalkyl), each of which is optionally substituted with 1, 2, or 3 substituents independently selected from the group consisting of halogen, C1-6 haloalkyl, C1-6 alkyl, C3-6 cycloalkyl, C1-6 alkoxy, C1-6 haloalkoxy, —S—(C1-6 alkyl), hydroxyl, cyano, —C(O)R9, and —SO2R9;
(iii) —(C2-6 alkenylene)-phenyl, —(C2-6 alkenylene)-heteroaryl, —(C2-6 alkenylene)-(partially unsaturated 8-10 membered bicyclic ring containing 0-3 heteroatoms), —(C1-6 alkylene)-phenyl, —(C1-6 alkylene)-heteroaryl, —(C1-6 alkylene)-(partially unsaturated bicyclic heterocyclyl), —(C1-6 alkylene)-(partially unsaturated bicyclic oxo-heterocyclyl), —(C1-6 alkylene)-(C3-C6 cycloalkyl), -(5-6 membered heterocycloalkylene)-phenyl, or —(C3-6 cycloalkylene)-phenyl, each of which is optionally substituted with 1, 2, or 3 substituents independently selected from the group consisting of halogen, C1-6 haloalkyl, C1-6 alkyl, C3-6 cycloalkyl, C1-6 alkoxy, C1-6 haloalkoxy, —S—(C1-6 alkyl), hydroxyl, cyano, —C(O)R9, and —SO2R9;
(iv) —(C2-6 alkenylene)-(C1-6 alkyl), —(C2-6 alkenylene)-(C3-6 cycloalkyl), or
Figure US09896441-20180220-C01614
each of which is optionally substituted with 1, 2, or 3 substituents independently selected from the group consisting of halogen, C1-6 haloalkyl, C1-6 alkyl, C3-6 cycloalkyl, C1-6 alkoxy, C1-6 haloalkoxy, —S—(C1-6 alkyl), hydroxyl, cyano, —C(O)R9, and —SO2R9, wherein A* is a 5-8 membered, partially saturated carbocyclic or heterocyclic ring; or
(v) —(C1-6 alkylene)-Z1 or —(C2-6 alkenylene)-Z1, wherein Z1 is —O-aralkyl, —O-heteroaralkyl, —O-phenyl, —O-heteroaryl, —O-(partially unsaturated bicyclic carbocyclyl), —O—(C1-6 alkylene)-(C3-6 cycloalkyl), —O—(C3-6 cycloalkyl), —N(R4)-aralkyl, —N(R4)-phenyl, —N(R4)-(partially unsaturated bicyclic carbocyclyl), —N(R4)—(C1-6 alkylene)-(C3-6 cycloalkyl), or —N(R4)—(C3-6 cycloalkyl), each of which is optionally substituted with 1, 2, or 3 substituents independently selected from the group consisting of halogen, C1-6 haloalkyl, C1-6 alkyl, C3-6 cycloalkyl, C1-6 alkoxy, C1-6 haloalkoxy, —S—(C1-6 alkyl), hydroxyl, cyano, —C(O)R9, and —SO2R9;
Y is —O—;
m and p each represent independently for each occurrence 0, 1, or 2; and
n is 1, 2, or 3.
2. The compound of claim 1, wherein the compound is represented by Formula I-A:
Figure US09896441-20180220-C01615
or a pharmaceutically acceptable salt thereof; wherein:
A is phenylene or a 5-6 membered heteroarylene;
R1 represents independently for each occurrence halogen, C1-6 alkyl, or C3-6 cycloalkyl;
R2A is C1-6 alkyl or C3-6 cycloalkyl, wherein the C1-6 alkyl or C3-6 cycloalkyl are optionally substituted with 1 or 2 substituents independently selected from the group consisting of —CO2R4, —N(R4)C(O)(C1-6 alkyl), —CN, halogen, hydroxyl, C1-6 alkoxy, C1-6 haloalkoxy, C1-6 haloalkyl, and —N(R4)(R5); or R2A is —CO2R4 or —N(R4)C(O)(C1-6 alkyl);
R2B is C1-6 alkyl or C1-3 haloalkyl;
R3 represents independently for each occurrence hydrogen, C1-6 haloalkyl, halogen, hydroxyl, C1-6 alkyl, C1-6 alkoxy, C1-6 haloalkoxy, or —O—(C1-6 alkylene)-OH; or two vicinal occurrences of R3 are taken together with intervening atoms to form a 4-6 membered ring;
R4 and R5 each represent independently for each occurrence hydrogen, C1-6 alkyl, or C3-6 cycloalkyl; or an occurrence of R4 and R5 attached to the same nitrogen atom are taken together with the nitrogen atom to which they are attached to form a 3-7 membered heterocyclic ring;
R6 and R7 each represent independently for each occurrence hydrogen or C1-6 alkyl, or R6 and R7 are taken together with the carbon atom to which they are attached to form a 3-6 membered carbocyclic ring; or R6 and R2A are taken together to form a bond;
X is one of the following:
(i) —O-aralkyl, —O-heteroaralkyl, —O-phenyl, —O-heteroaryl, —O-(partially unsaturated bicyclic carbocyclyl), —O—(C1-6 alkylene)-(C3-6 cycloalkyl), —N(R4)-aralkyl, —N(R4)-phenyl, —N(R4)-(partially unsaturated bicyclic carbocyclyl), or —N(R4)—(C1-6 alkylene)-(C3-6 cycloalkyl), each of which is optionally substituted with 1, 2, or 3 substituents independently selected from the group consisting of halogen, C1-6 haloalkyl, C1-6 alkyl, C3-6 cycloalkyl, C1-6 alkoxy, and C1-6 haloalkoxy;
(ii) alkenylene)-phenyl, —(C2-6 alkenylene)-heteroaryl, —(C1-6 alkylene)-phenyl, —(C1-6 alkylene)-heteroaryl, —(C1-6 alkylene)-(partially unsaturated bicyclic heterocyclyl), —(C1-6 alkylene)-(partially unsaturated bicyclic oxo-heterocyclyl), or -(5-6 membered heterocycloalkylene)-phenyl, each of which is optionally substituted with 1, 2, or 3 substituents independently selected from the group consisting of halogen, C1-6 haloalkyl, C1-6 alkyl, C3-6 cycloalkyl, C1-6 alkoxy, and C1-6 haloalkoxy; or
(iii) —(C1-6 alkylene)-Z1 or —(C2-6 alkenylene)-Z1, wherein Z1 is —O-aralkyl, —O-heteroaralkyl, —O-phenyl, —O-heteroaryl, —O-(partially unsaturated bicyclic carbocyclyl), —O—(C1-6alkylene)-(C3-6 cycloalkyl), —O—(C3-6 cycloalkyl), —N(R4)-aralkyl, —N(R4)-phenyl, —N(R4)-(partially unsaturated bicyclic carbocyclyl), or —N(R4)—(C1-6 alkylene)-(C3-6 cycloalkyl), each of which is optionally substituted with 1, 2, or 3 substituents independently selected from the group consisting of halogen, C1-6 haloalkyl, C1-6 alkyl, C3-6 cycloalkyl, C1-6 alkoxy, and C1-6 haloalkoxy;
Y is —O—;
m and p are independently 0, 1, or 2; and
n is 1, 2, or 3.
3. The compound of claim 2, wherein R2A is C1-6 alkyl optionally substituted with 1 or 2 substituents independently selected from the group consisting of —CO2R4, —N(R4)C(O)(C1-6 alkyl), —CN, halogen, hydroxyl, C1-6 alkoxy, C1-6 haloalkoxy, and —N(R4)(R5).
4. The compound of claim 2, wherein R2A is C1-6 alkyl substituted with 1 or 2 substituents independently selected from the group consisting of —CO2R4, —N(R4)C(O)(C1-6 alkyl), —CN, hydroxyl, and C1-6 alkoxy.
5. The compound of claim 2, wherein A is phenylene.
6. The compound of claim 5, wherein n is 1.
7. The compound of claim 5, wherein R3 represents independently for each occurrence C1-6 haloalkyl, halogen, C1-6 alkyl, C1-6 alkoxy, or —O—(C1-6 alkylene)-OH.
8. The compound of claim 6, wherein R3 is trifluoromethyl.
9. The compound of claim 5, wherein X is —(C2-6 alkenylene)-phenyl, —(C2-6 alkenylene)-heteroaryl, —(C1-6 alkylene)-phenyl, —(C1-6 alkylene)-heteroaryl, —(C1-6 alkylene)-(partially unsaturated bicyclic heterocyclyl), —(C1-6 alkylene)-(partially unsaturated bicyclic oxo-heterocyclyl), or -(5-6 membered heterocycloalkylene)-phenyl, each of which is optionally substituted with 1, 2, or 3 substituents independently selected from the group consisting of halogen, C1-6 haloalkyl, C1-6 alkyl, C3-6 cycloalkyl, C1-6 alkoxy, and C1-6 haloalkoxy.
10. The compound of claim 7, wherein X is —(C2-6 alkenylene)-phenyl, —(C1-6 alkylene)-phenyl, or —(C1-6 alkylene)-heteroaryl), each of which is optionally substituted with 1, 2, or 3 substituents independently selected from the group consisting of halogen, C1-6 haloalkyl, C1-6 alkyl, C3-6 cycloalkyl, C1-6 alkoxy, and C1-6 haloalkoxy.
11. The compound of claim 2, wherein X is attached at the 6-position of the 3,4-dihydro-2H-benzo[b][1,4]oxazinyl ring.
12. The compound of claim 8, wherein p is 0, and m is 0.
13. A compound of claim 1, wherein the compound is represented by Formula I-C:
Figure US09896441-20180220-C01616
or a pharmaceutically acceptable salt thereof; wherein:
A is phenylene or pyridinylene;
R1 represents independently for each occurrence halogen, methyl, ethyl, or cyclopropyl;
R2A is C1-6 alkyl substituted with 1 or 2 substituents independently selected from the group consisting of —CO2R4, —C(O)N(R4)(R5), —N(R4)C(O)R8, halogen, hydroxyl, C1-6 alkoxy, C1-6 haloalkoxy, and —N(R4)(R5);
R2B is methyl or ethyl;
R3 represents independently for each occurrence C1-3 haloalkyl, halogen, C1-3 alkyl, or —O—(C1-6 hydroxyalkyl);
R4 and R5 each represent independently for each occurrence hydrogen or methyl; or an occurrence of R4 and R5 attached to the same nitrogen atom are taken together with the nitrogen atom to which they are attached to form a 3-7 membered heterocyclic ring;
R8 represents independently for each occurrence C1-6 alkyl, C3-6 cycloalkyl, or —(C1-6 alkylene)-(C3-6 cycloalkyl), each of which is optionally substituted with 1, 2, or 3 substituents independently selected from the group consisting of halogen, hydroxyl, and —CO2R4;
X is —(C2-6alkenylene)-phenyl substituted with 1, 2, or 3 substituents independently selected from the group consisting of halogen, C1-6 haloalkyl, C1-6 alkyl, C3-6 cycloalkyl, C1-6 alkoxy, and C1-6 haloalkoxy;
m and p are independently 0 or 1; and
n is 1 or 2.
14. The compound of claim 13, wherein A is phenylene.
15. The compound of claim 14, wherein R2A is C1-6alkyl substituted with —CO2R4.
16. The compound of claim 14, wherein R2A is C1-6 alkyl substituted with —C(O)N(R4)(R5), wherein R4 and R5 are taken together with the nitrogen atom to which they are attached to form a 3-8 membered heterocyclic ring substituted with 1, 2, or 3 substituents independently selected from the group consisting of C1-6 haloalkyl, C1-6 alkyl, and —CO2R10, where R10 is hydrogen or C1-6 alkyl.
17. The compound of claim 15, wherein R3 represents independently for each occurrence trifluoromethyl, halogen, or —O—(C1-6 hydroxyalkyl).
18. The compound of claim 15, wherein X is —(C2-4 alkenylene)-phenyl substituted with 1, 2, or 3 substituents independently selected from the group consisting of halogen and C1-6 haloalkyl.
19. The compound of claim 15, wherein X is —(C2-4 alkenylene)-phenyl substituted with 1, 2, or 3 substituents independently selected from the group consisting of chloro, fluoro, and trifluoromethyl.
20. The compound of claim 15, wherein X is —(C2-4 alkenylene)-phenyl substituted with 1 or 2 substituents independently selected from the group consisting of chloro, fluoro, and trifluoromethyl, and said substituents are located at the ortho positions of the phenyl group.
21. The compound of claim 19, wherein m and p are independently 0.
22. The compound of claim 21, wherein n is 1.
23. A compound in Table 1-1, 1-A-1, 24-1, or 25-1 below, or a pharmaceutically acceptable salt thereof:
TABLE 1-1
Figure US09896441-20180220-C01617
Figure US09896441-20180220-C01618
Figure US09896441-20180220-C01619
Figure US09896441-20180220-C01620
Figure US09896441-20180220-C01621
Figure US09896441-20180220-C01622
No. X Z I-1 
Figure US09896441-20180220-C01623
Figure US09896441-20180220-C01624
I-2 
Figure US09896441-20180220-C01625
Figure US09896441-20180220-C01626
I-3 
Figure US09896441-20180220-C01627
Figure US09896441-20180220-C01628
I-4 
Figure US09896441-20180220-C01629
Figure US09896441-20180220-C01630
I-5 
Figure US09896441-20180220-C01631
Figure US09896441-20180220-C01632
I-6 
Figure US09896441-20180220-C01633
Figure US09896441-20180220-C01634
I-7 
Figure US09896441-20180220-C01635
Figure US09896441-20180220-C01636
I-8 
Figure US09896441-20180220-C01637
Figure US09896441-20180220-C01638
I-9 
Figure US09896441-20180220-C01639
Figure US09896441-20180220-C01640
I-10
Figure US09896441-20180220-C01641
Figure US09896441-20180220-C01642
I-11
Figure US09896441-20180220-C01643
Figure US09896441-20180220-C01644
I-12
Figure US09896441-20180220-C01645
Figure US09896441-20180220-C01646
I-13
Figure US09896441-20180220-C01647
Figure US09896441-20180220-C01648
I-14
Figure US09896441-20180220-C01649
Figure US09896441-20180220-C01650
I-15
Figure US09896441-20180220-C01651
Figure US09896441-20180220-C01652
I-16
Figure US09896441-20180220-C01653
Figure US09896441-20180220-C01654
I-17
Figure US09896441-20180220-C01655
Figure US09896441-20180220-C01656
I-18
Figure US09896441-20180220-C01657
Figure US09896441-20180220-C01658
I-19
Figure US09896441-20180220-C01659
Figure US09896441-20180220-C01660
I-20
Figure US09896441-20180220-C01661
Figure US09896441-20180220-C01662
I-21
Figure US09896441-20180220-C01663
Figure US09896441-20180220-C01664
I-22
Figure US09896441-20180220-C01665
Figure US09896441-20180220-C01666
I-23
Figure US09896441-20180220-C01667
Figure US09896441-20180220-C01668
I-24
Figure US09896441-20180220-C01669
Figure US09896441-20180220-C01670
I-25
Figure US09896441-20180220-C01671
Figure US09896441-20180220-C01672
I-26
Figure US09896441-20180220-C01673
Figure US09896441-20180220-C01674
I-27
Figure US09896441-20180220-C01675
Figure US09896441-20180220-C01676
I-28
Figure US09896441-20180220-C01677
Figure US09896441-20180220-C01678
I-29
Figure US09896441-20180220-C01679
Figure US09896441-20180220-C01680
I-30
Figure US09896441-20180220-C01681
Figure US09896441-20180220-C01682
I-31
Figure US09896441-20180220-C01683
Figure US09896441-20180220-C01684
I-32
Figure US09896441-20180220-C01685
Figure US09896441-20180220-C01686
I-33
Figure US09896441-20180220-C01687
Figure US09896441-20180220-C01688
I-34
Figure US09896441-20180220-C01689
Figure US09896441-20180220-C01690
I-35
Figure US09896441-20180220-C01691
Figure US09896441-20180220-C01692
I-36
Figure US09896441-20180220-C01693
Figure US09896441-20180220-C01694
I-37
Figure US09896441-20180220-C01695
Figure US09896441-20180220-C01696
I-38
Figure US09896441-20180220-C01697
Figure US09896441-20180220-C01698
I-39
Figure US09896441-20180220-C01699
Figure US09896441-20180220-C01700
I-40
Figure US09896441-20180220-C01701
Figure US09896441-20180220-C01702
I-41
Figure US09896441-20180220-C01703
Figure US09896441-20180220-C01704
I-42
Figure US09896441-20180220-C01705
Figure US09896441-20180220-C01706
I-43
Figure US09896441-20180220-C01707
Figure US09896441-20180220-C01708
I-44
Figure US09896441-20180220-C01709
Figure US09896441-20180220-C01710
I-45
Figure US09896441-20180220-C01711
Figure US09896441-20180220-C01712
I-46
Figure US09896441-20180220-C01713
Figure US09896441-20180220-C01714
I-47
Figure US09896441-20180220-C01715
Figure US09896441-20180220-C01716
I-48
Figure US09896441-20180220-C01717
Figure US09896441-20180220-C01718
I-49
Figure US09896441-20180220-C01719
Figure US09896441-20180220-C01720
I-50
Figure US09896441-20180220-C01721
Figure US09896441-20180220-C01722
I-51
Figure US09896441-20180220-C01723
Figure US09896441-20180220-C01724
I-52
Figure US09896441-20180220-C01725
Figure US09896441-20180220-C01726
I-53
Figure US09896441-20180220-C01727
Figure US09896441-20180220-C01728
I-54
Figure US09896441-20180220-C01729
Figure US09896441-20180220-C01730
I-55
Figure US09896441-20180220-C01731
Figure US09896441-20180220-C01732
I-56
Figure US09896441-20180220-C01733
Figure US09896441-20180220-C01734
I-57
Figure US09896441-20180220-C01735
Figure US09896441-20180220-C01736
I-58
Figure US09896441-20180220-C01737
Figure US09896441-20180220-C01738
I-59
Figure US09896441-20180220-C01739
Figure US09896441-20180220-C01740
I-60
Figure US09896441-20180220-C01741
Figure US09896441-20180220-C01742
I-61
Figure US09896441-20180220-C01743
Figure US09896441-20180220-C01744
I-62
Figure US09896441-20180220-C01745
Figure US09896441-20180220-C01746
I-63
Figure US09896441-20180220-C01747
Figure US09896441-20180220-C01748
I-64
Figure US09896441-20180220-C01749
Figure US09896441-20180220-C01750
I-65
Figure US09896441-20180220-C01751
Figure US09896441-20180220-C01752
I-66
Figure US09896441-20180220-C01753
Figure US09896441-20180220-C01754
I-67
Figure US09896441-20180220-C01755
Figure US09896441-20180220-C01756
I-68
Figure US09896441-20180220-C01757
Figure US09896441-20180220-C01758
I-69
Figure US09896441-20180220-C01759
Figure US09896441-20180220-C01760
I-70
Figure US09896441-20180220-C01761
Figure US09896441-20180220-C01762
I-71
Figure US09896441-20180220-C01763
Figure US09896441-20180220-C01764
I-72
Figure US09896441-20180220-C01765
Figure US09896441-20180220-C01766
I-73
Figure US09896441-20180220-C01767
Figure US09896441-20180220-C01768
I-74
Figure US09896441-20180220-C01769
Figure US09896441-20180220-C01770
I-75
Figure US09896441-20180220-C01771
Figure US09896441-20180220-C01772
I-76
Figure US09896441-20180220-C01773
Figure US09896441-20180220-C01774
I-77
Figure US09896441-20180220-C01775
Figure US09896441-20180220-C01776
I-78
Figure US09896441-20180220-C01777
Figure US09896441-20180220-C01778
I-79
Figure US09896441-20180220-C01779
Figure US09896441-20180220-C01780
I-80
Figure US09896441-20180220-C01781
Figure US09896441-20180220-C01782
I-81
Figure US09896441-20180220-C01783
Figure US09896441-20180220-C01784
I-82
Figure US09896441-20180220-C01785
Figure US09896441-20180220-C01786
I-83
Figure US09896441-20180220-C01787
Figure US09896441-20180220-C01788
I-84
Figure US09896441-20180220-C01789
Figure US09896441-20180220-C01790
I-85
Figure US09896441-20180220-C01791
Figure US09896441-20180220-C01792
I-86
Figure US09896441-20180220-C01793
Figure US09896441-20180220-C01794
TABLE 1-A-1
Figure US09896441-20180220-C01795
Figure US09896441-20180220-C01796
Figure US09896441-20180220-C01797
Figure US09896441-20180220-C01798
Figure US09896441-20180220-C01799
Figure US09896441-20180220-C01800
Figure US09896441-20180220-C01801
Figure US09896441-20180220-C01802
Figure US09896441-20180220-C01803
Figure US09896441-20180220-C01804
Figure US09896441-20180220-C01805
Figure US09896441-20180220-C01806
Figure US09896441-20180220-C01807
Figure US09896441-20180220-C01808
Figure US09896441-20180220-C01809
Figure US09896441-20180220-C01810
Figure US09896441-20180220-C01811
Figure US09896441-20180220-C01812
Figure US09896441-20180220-C01813
Figure US09896441-20180220-C01814
Figure US09896441-20180220-C01815
Figure US09896441-20180220-C01816
No. X Z I-A1 
Figure US09896441-20180220-C01817
Figure US09896441-20180220-C01818
I-A2 
Figure US09896441-20180220-C01819
Figure US09896441-20180220-C01820
I-A3 
Figure US09896441-20180220-C01821
Figure US09896441-20180220-C01822
I-A4 
Figure US09896441-20180220-C01823
Figure US09896441-20180220-C01824
I-A5 
Figure US09896441-20180220-C01825
Figure US09896441-20180220-C01826
I-A6 
Figure US09896441-20180220-C01827
Figure US09896441-20180220-C01828
I-A7 
Figure US09896441-20180220-C01829
Figure US09896441-20180220-C01830
I-A8 
Figure US09896441-20180220-C01831
Figure US09896441-20180220-C01832
I-A9 
Figure US09896441-20180220-C01833
Figure US09896441-20180220-C01834
I-A10
Figure US09896441-20180220-C01835
Figure US09896441-20180220-C01836
I-A11
Figure US09896441-20180220-C01837
Figure US09896441-20180220-C01838
I-A12
Figure US09896441-20180220-C01839
Figure US09896441-20180220-C01840
I-A13
Figure US09896441-20180220-C01841
Figure US09896441-20180220-C01842
I-A14
Figure US09896441-20180220-C01843
Figure US09896441-20180220-C01844
I-A15
Figure US09896441-20180220-C01845
Figure US09896441-20180220-C01846
I-A16
Figure US09896441-20180220-C01847
Figure US09896441-20180220-C01848
I-A17
Figure US09896441-20180220-C01849
Figure US09896441-20180220-C01850
I-A18
Figure US09896441-20180220-C01851
Figure US09896441-20180220-C01852
I-A19
Figure US09896441-20180220-C01853
Figure US09896441-20180220-C01854
I-A20
Figure US09896441-20180220-C01855
Figure US09896441-20180220-C01856
I-A21
Figure US09896441-20180220-C01857
Figure US09896441-20180220-C01858
I-A22
Figure US09896441-20180220-C01859
Figure US09896441-20180220-C01860
I-A23
Figure US09896441-20180220-C01861
Figure US09896441-20180220-C01862
I-A24
Figure US09896441-20180220-C01863
Figure US09896441-20180220-C01864
I-A25
Figure US09896441-20180220-C01865
Figure US09896441-20180220-C01866
I-A26
Figure US09896441-20180220-C01867
Figure US09896441-20180220-C01868
I-A27
Figure US09896441-20180220-C01869
Figure US09896441-20180220-C01870
I-A28
Figure US09896441-20180220-C01871
Figure US09896441-20180220-C01872
I-A29
Figure US09896441-20180220-C01873
Figure US09896441-20180220-C01874
I-A30
Figure US09896441-20180220-C01875
Figure US09896441-20180220-C01876
I-A31
Figure US09896441-20180220-C01877
Figure US09896441-20180220-C01878
I-A32
Figure US09896441-20180220-C01879
Figure US09896441-20180220-C01880
I-A33
Figure US09896441-20180220-C01881
Figure US09896441-20180220-C01882
I-A34
Figure US09896441-20180220-C01883
Figure US09896441-20180220-C01884
I-A35
Figure US09896441-20180220-C01885
Figure US09896441-20180220-C01886
I-A36
Figure US09896441-20180220-C01887
Figure US09896441-20180220-C01888
I-A37
Figure US09896441-20180220-C01889
Figure US09896441-20180220-C01890
I-A38
Figure US09896441-20180220-C01891
Figure US09896441-20180220-C01892
I-A39
Figure US09896441-20180220-C01893
Figure US09896441-20180220-C01894
I-A40
Figure US09896441-20180220-C01895
Figure US09896441-20180220-C01896
I-A41
Figure US09896441-20180220-C01897
Figure US09896441-20180220-C01898
I-A42
Figure US09896441-20180220-C01899
Figure US09896441-20180220-C01900
I-A43
Figure US09896441-20180220-C01901
Figure US09896441-20180220-C01902
I-A44
Figure US09896441-20180220-C01903
Figure US09896441-20180220-C01904
I-A45
Figure US09896441-20180220-C01905
Figure US09896441-20180220-C01906
I-A46
Figure US09896441-20180220-C01907
Figure US09896441-20180220-C01908
I-A47
Figure US09896441-20180220-C01909
Figure US09896441-20180220-C01910
I-A48
Figure US09896441-20180220-C01911
Figure US09896441-20180220-C01912
I-A49
Figure US09896441-20180220-C01913
Figure US09896441-20180220-C01914
I-A50
Figure US09896441-20180220-C01915
Figure US09896441-20180220-C01916
I-A51
Figure US09896441-20180220-C01917
Figure US09896441-20180220-C01918
I-A52
Figure US09896441-20180220-C01919
Figure US09896441-20180220-C01920
I-A53
Figure US09896441-20180220-C01921
Figure US09896441-20180220-C01922
I-A54
Figure US09896441-20180220-C01923
Figure US09896441-20180220-C01924
I-A55
Figure US09896441-20180220-C01925
Figure US09896441-20180220-C01926
I-A56
Figure US09896441-20180220-C01927
Figure US09896441-20180220-C01928
I-A57
Figure US09896441-20180220-C01929
Figure US09896441-20180220-C01930
I-A58
Figure US09896441-20180220-C01931
Figure US09896441-20180220-C01932
I-A59
Figure US09896441-20180220-C01933
Figure US09896441-20180220-C01934
I-A60
Figure US09896441-20180220-C01935
Figure US09896441-20180220-C01936
I-A61
Figure US09896441-20180220-C01937
Figure US09896441-20180220-C01938
I-A62
Figure US09896441-20180220-C01939
Figure US09896441-20180220-C01940
I-A63
Figure US09896441-20180220-C01941
Figure US09896441-20180220-C01942
I-A64
Figure US09896441-20180220-C01943
Figure US09896441-20180220-C01944
I-A65
Figure US09896441-20180220-C01945
Figure US09896441-20180220-C01946
I-A66
Figure US09896441-20180220-C01947
Figure US09896441-20180220-C01948
I-A67
Figure US09896441-20180220-C01949
Figure US09896441-20180220-C01950
I-A68
Figure US09896441-20180220-C01951
Figure US09896441-20180220-C01952
I-A69
Figure US09896441-20180220-C01953
Figure US09896441-20180220-C01954
I-A70
Figure US09896441-20180220-C01955
Figure US09896441-20180220-C01956
I-A71
Figure US09896441-20180220-C01957
Figure US09896441-20180220-C01958
I-A72
Figure US09896441-20180220-C01959
Figure US09896441-20180220-C01960
I-A73
Figure US09896441-20180220-C01961
Figure US09896441-20180220-C01962
I-A74
Figure US09896441-20180220-C01963
Figure US09896441-20180220-C01964
I-A75
Figure US09896441-20180220-C01965
Figure US09896441-20180220-C01966
I-A76
Figure US09896441-20180220-C01967
Figure US09896441-20180220-C01968
I-A77
Figure US09896441-20180220-C01969
Figure US09896441-20180220-C01970
I-A78
Figure US09896441-20180220-C01971
Figure US09896441-20180220-C01972
I-A79
Figure US09896441-20180220-C01973
Figure US09896441-20180220-C01974
I-A80
Figure US09896441-20180220-C01975
Figure US09896441-20180220-C01976
I-A81
Figure US09896441-20180220-C01977
Figure US09896441-20180220-C01978
I-A82
Figure US09896441-20180220-C01979
Figure US09896441-20180220-C01980
I-A83
Figure US09896441-20180220-C01981
Figure US09896441-20180220-C01982
I-A84
Figure US09896441-20180220-C01983
Figure US09896441-20180220-C01984
I-A85
Figure US09896441-20180220-C01985
Figure US09896441-20180220-C01986
I-A86
Figure US09896441-20180220-C01987
Figure US09896441-20180220-C01988
I-A87
Figure US09896441-20180220-C01989
Figure US09896441-20180220-C01990
I-A88
Figure US09896441-20180220-C01991
Figure US09896441-20180220-C01992
I-A89
Figure US09896441-20180220-C01993
Figure US09896441-20180220-C01994
I-A90
Figure US09896441-20180220-C01995
Figure US09896441-20180220-C01996
I-A91
Figure US09896441-20180220-C01997
Figure US09896441-20180220-C01998
I-A92
Figure US09896441-20180220-C01999
Figure US09896441-20180220-C02000
I-A93
Figure US09896441-20180220-C02001
Figure US09896441-20180220-C02002
I-A94
Figure US09896441-20180220-C02003
Figure US09896441-20180220-C02004
I-A95
Figure US09896441-20180220-C02005
Figure US09896441-20180220-C02006
I-A96
Figure US09896441-20180220-C02007
Figure US09896441-20180220-C02008
I-A97
Figure US09896441-20180220-C02009
Figure US09896441-20180220-C02010
I-A98
Figure US09896441-20180220-C02011
Figure US09896441-20180220-C02012
I-A99
Figure US09896441-20180220-C02013
Figure US09896441-20180220-C02014
 I-A100
Figure US09896441-20180220-C02015
Figure US09896441-20180220-C02016
 I-A101
Figure US09896441-20180220-C02017
Figure US09896441-20180220-C02018
 I-A102
Figure US09896441-20180220-C02019
Figure US09896441-20180220-C02020
 I-A103
Figure US09896441-20180220-C02021
Figure US09896441-20180220-C02022
 I-A104
Figure US09896441-20180220-C02023
Figure US09896441-20180220-C02024
 I-A105
Figure US09896441-20180220-C02025
Figure US09896441-20180220-C02026
 I-A106
Figure US09896441-20180220-C02027
Figure US09896441-20180220-C02028
TABLE 24-1 Compound Structure
Figure US09896441-20180220-C02029
Figure US09896441-20180220-C02030
Figure US09896441-20180220-C02031
Figure US09896441-20180220-C02032
Figure US09896441-20180220-C02033
Figure US09896441-20180220-C02034
Figure US09896441-20180220-C02035
Figure US09896441-20180220-C02036
Figure US09896441-20180220-C02037
Figure US09896441-20180220-C02038
Figure US09896441-20180220-C02039
TABLE 25-1 Title Compound from Example No. Compound Structure 28E
Figure US09896441-20180220-C02040
28G
Figure US09896441-20180220-C02041
29
Figure US09896441-20180220-C02042
30
Figure US09896441-20180220-C02043
31
Figure US09896441-20180220-C02044
32
Figure US09896441-20180220-C02045
33
Figure US09896441-20180220-C02046
34
Figure US09896441-20180220-C02047
35
Figure US09896441-20180220-C02048
36A
Figure US09896441-20180220-C02049
36B
Figure US09896441-20180220-C02050
36C
Figure US09896441-20180220-C02051
37
Figure US09896441-20180220-C02052
38A
Figure US09896441-20180220-C02053
38B
Figure US09896441-20180220-C02054
38C
Figure US09896441-20180220-C02055
41
Figure US09896441-20180220-C02056
42
Figure US09896441-20180220-C02057
43
Figure US09896441-20180220-C02058
44
Figure US09896441-20180220-C02059
45
Figure US09896441-20180220-C02060
46
Figure US09896441-20180220-C02061
47
Figure US09896441-20180220-C02062
48
Figure US09896441-20180220-C02063
49
Figure US09896441-20180220-C02064
50
Figure US09896441-20180220-C02065
51
Figure US09896441-20180220-C02066
52
Figure US09896441-20180220-C02067
53
Figure US09896441-20180220-C02068
54
Figure US09896441-20180220-C02069
55
Figure US09896441-20180220-C02070
56
Figure US09896441-20180220-C02071
57
Figure US09896441-20180220-C02072
58
Figure US09896441-20180220-C02073
59
Figure US09896441-20180220-C02074
60
Figure US09896441-20180220-C02075
61
Figure US09896441-20180220-C02076
62
Figure US09896441-20180220-C02077
63
Figure US09896441-20180220-C02078
64
Figure US09896441-20180220-C02079
65
Figure US09896441-20180220-C02080
66
Figure US09896441-20180220-C02081
67
Figure US09896441-20180220-C02082
68
Figure US09896441-20180220-C02083
69
Figure US09896441-20180220-C02084
70
Figure US09896441-20180220-C02085
71
Figure US09896441-20180220-C02086
72
Figure US09896441-20180220-C02087
73
Figure US09896441-20180220-C02088
74
Figure US09896441-20180220-C02089
75
Figure US09896441-20180220-C02090
76
Figure US09896441-20180220-C02091
77
Figure US09896441-20180220-C02092
78
Figure US09896441-20180220-C02093
79
Figure US09896441-20180220-C02094
80
Figure US09896441-20180220-C02095
81
Figure US09896441-20180220-C02096
82
Figure US09896441-20180220-C02097
83
Figure US09896441-20180220-C02098
84
Figure US09896441-20180220-C02099
85
Figure US09896441-20180220-C02100
86A
Figure US09896441-20180220-C02101
86AA
Figure US09896441-20180220-C02102
86AB
Figure US09896441-20180220-C02103
86AC
Figure US09896441-20180220-C02104
86AD
Figure US09896441-20180220-C02105
86AE
Figure US09896441-20180220-C02106
86AF
Figure US09896441-20180220-C02107
86AG
Figure US09896441-20180220-C02108
86AH
Figure US09896441-20180220-C02109
86AI
Figure US09896441-20180220-C02110
86AJ
Figure US09896441-20180220-C02111
86AK
Figure US09896441-20180220-C02112
86AL
Figure US09896441-20180220-C02113
86AM
Figure US09896441-20180220-C02114
86AN
Figure US09896441-20180220-C02115
86AO
Figure US09896441-20180220-C02116
86AP
Figure US09896441-20180220-C02117
86AQ
Figure US09896441-20180220-C02118
86AR
Figure US09896441-20180220-C02119
86AS
Figure US09896441-20180220-C02120
86AT
Figure US09896441-20180220-C02121
86AU
Figure US09896441-20180220-C02122
86AW
Figure US09896441-20180220-C02123
86AX
Figure US09896441-20180220-C02124
86AY
Figure US09896441-20180220-C02125
86AZ
Figure US09896441-20180220-C02126
86B
Figure US09896441-20180220-C02127
86C
Figure US09896441-20180220-C02128
86D
Figure US09896441-20180220-C02129
86E
Figure US09896441-20180220-C02130
86F
Figure US09896441-20180220-C02131
86G
Figure US09896441-20180220-C02132
86H
Figure US09896441-20180220-C02133
86I
Figure US09896441-20180220-C02134
86J
Figure US09896441-20180220-C02135
86K
Figure US09896441-20180220-C02136
86L
Figure US09896441-20180220-C02137
86M
Figure US09896441-20180220-C02138
86N
Figure US09896441-20180220-C02139
86O
Figure US09896441-20180220-C02140
86P
Figure US09896441-20180220-C02141
86Q
Figure US09896441-20180220-C02142
86R
Figure US09896441-20180220-C02143
86S
Figure US09896441-20180220-C02144
86T
Figure US09896441-20180220-C02145
86U
Figure US09896441-20180220-C02146
86V
Figure US09896441-20180220-C02147
86W
Figure US09896441-20180220-C02148
86X
Figure US09896441-20180220-C02149
86Y
Figure US09896441-20180220-C02150
86Z
Figure US09896441-20180220-C02151
87
Figure US09896441-20180220-C02152
88
Figure US09896441-20180220-C02153
89A
Figure US09896441-20180220-C02154
89AA
Figure US09896441-20180220-C02155
89AB
Figure US09896441-20180220-C02156
89AC
Figure US09896441-20180220-C02157
89AE
Figure US09896441-20180220-C02158
89AF
Figure US09896441-20180220-C02159
89AG
Figure US09896441-20180220-C02160
89AH
Figure US09896441-20180220-C02161
89AI
Figure US09896441-20180220-C02162
89AJ
Figure US09896441-20180220-C02163
89AK
Figure US09896441-20180220-C02164
89AL
Figure US09896441-20180220-C02165
89AM
Figure US09896441-20180220-C02166
89AN
Figure US09896441-20180220-C02167
89AO
Figure US09896441-20180220-C02168
89AP
Figure US09896441-20180220-C02169
89AQ
Figure US09896441-20180220-C02170
89AR
Figure US09896441-20180220-C02171
89AS
Figure US09896441-20180220-C02172
89AT
Figure US09896441-20180220-C02173
89AU
Figure US09896441-20180220-C02174
89AV
Figure US09896441-20180220-C02175
89AW
Figure US09896441-20180220-C02176
89AX
Figure US09896441-20180220-C02177
89AY
Figure US09896441-20180220-C02178
89AZ
Figure US09896441-20180220-C02179
89B
Figure US09896441-20180220-C02180
89BA
Figure US09896441-20180220-C02181
89BB
Figure US09896441-20180220-C02182
89BC
Figure US09896441-20180220-C02183
89BD
Figure US09896441-20180220-C02184
89BE
Figure US09896441-20180220-C02185
89BF
Figure US09896441-20180220-C02186
89BG
Figure US09896441-20180220-C02187
89BH
Figure US09896441-20180220-C02188
89BI
Figure US09896441-20180220-C02189
89BJ
Figure US09896441-20180220-C02190
89BK
Figure US09896441-20180220-C02191
89BL
Figure US09896441-20180220-C02192
89BM
Figure US09896441-20180220-C02193
89BN
Figure US09896441-20180220-C02194
89BO
Figure US09896441-20180220-C02195
89BP
Figure US09896441-20180220-C02196
89BQ
Figure US09896441-20180220-C02197
89BR
Figure US09896441-20180220-C02198
89BS
Figure US09896441-20180220-C02199
89BT
Figure US09896441-20180220-C02200
89BU
Figure US09896441-20180220-C02201
89BV
Figure US09896441-20180220-C02202
89BW
Figure US09896441-20180220-C02203
89BX
Figure US09896441-20180220-C02204
89BY
Figure US09896441-20180220-C02205
89BZ
Figure US09896441-20180220-C02206
89C
Figure US09896441-20180220-C02207
89CA
Figure US09896441-20180220-C02208
89CB
Figure US09896441-20180220-C02209
89CC
Figure US09896441-20180220-C02210
89CD
Figure US09896441-20180220-C02211
89CE
Figure US09896441-20180220-C02212
89CF
Figure US09896441-20180220-C02213
89CG
Figure US09896441-20180220-C02214
89CH
Figure US09896441-20180220-C02215
89CI
Figure US09896441-20180220-C02216
89CJ
Figure US09896441-20180220-C02217
89CK
Figure US09896441-20180220-C02218
89CL
Figure US09896441-20180220-C02219
89CM
Figure US09896441-20180220-C02220
89CN
Figure US09896441-20180220-C02221
89CO
Figure US09896441-20180220-C02222
89CP
Figure US09896441-20180220-C02223
89CQ
Figure US09896441-20180220-C02224
89CR
Figure US09896441-20180220-C02225
89CS
Figure US09896441-20180220-C02226
89CT
Figure US09896441-20180220-C02227
89CU
Figure US09896441-20180220-C02228
89CV
Figure US09896441-20180220-C02229
89CW
Figure US09896441-20180220-C02230
89CX
Figure US09896441-20180220-C02231
89CY
Figure US09896441-20180220-C02232
89CZ
Figure US09896441-20180220-C02233
89D
Figure US09896441-20180220-C02234
89DA
Figure US09896441-20180220-C02235
89DB
Figure US09896441-20180220-C02236
89DC
Figure US09896441-20180220-C02237
89DE
Figure US09896441-20180220-C02238
89DF
Figure US09896441-20180220-C02239
89DG
Figure US09896441-20180220-C02240
89DH
Figure US09896441-20180220-C02241
89DI
Figure US09896441-20180220-C02242
89DJ
Figure US09896441-20180220-C02243
89DK
Figure US09896441-20180220-C02244
89DL
Figure US09896441-20180220-C02245
89DM
Figure US09896441-20180220-C02246
89DN
Figure US09896441-20180220-C02247
89DO
Figure US09896441-20180220-C02248
89DP
Figure US09896441-20180220-C02249
89DQ
Figure US09896441-20180220-C02250
89DS
Figure US09896441-20180220-C02251
89DT
Figure US09896441-20180220-C02252
89DU
Figure US09896441-20180220-C02253
89DV
Figure US09896441-20180220-C02254
89DW
Figure US09896441-20180220-C02255
89DX
Figure US09896441-20180220-C02256
89DY
Figure US09896441-20180220-C02257
89DZ
Figure US09896441-20180220-C02258
89E
Figure US09896441-20180220-C02259
89EA
Figure US09896441-20180220-C02260
89EB
Figure US09896441-20180220-C02261
89EC
Figure US09896441-20180220-C02262
89ED
Figure US09896441-20180220-C02263
89EE
Figure US09896441-20180220-C02264
89EF
Figure US09896441-20180220-C02265
89EG
Figure US09896441-20180220-C02266
89EH
Figure US09896441-20180220-C02267
89EI
Figure US09896441-20180220-C02268
89EJ
Figure US09896441-20180220-C02269
89EK
Figure US09896441-20180220-C02270
89EL
Figure US09896441-20180220-C02271
89EM
Figure US09896441-20180220-C02272
89EN
Figure US09896441-20180220-C02273
89EP
Figure US09896441-20180220-C02274
89EQ
Figure US09896441-20180220-C02275
89ER
Figure US09896441-20180220-C02276
89ES
Figure US09896441-20180220-C02277
89ET
Figure US09896441-20180220-C02278
89EU
Figure US09896441-20180220-C02279
89EV
Figure US09896441-20180220-C02280
89EW
Figure US09896441-20180220-C02281
89EX
Figure US09896441-20180220-C02282
89EY
Figure US09896441-20180220-C02283
89EZ
Figure US09896441-20180220-C02284
89FA
Figure US09896441-20180220-C02285
89FB
Figure US09896441-20180220-C02286
89FC
Figure US09896441-20180220-C02287
89FD
Figure US09896441-20180220-C02288
89FE
Figure US09896441-20180220-C02289
89FF
Figure US09896441-20180220-C02290
89FG
Figure US09896441-20180220-C02291
89FH
Figure US09896441-20180220-C02292
89FI
Figure US09896441-20180220-C02293
89FJ
Figure US09896441-20180220-C02294
89FK
Figure US09896441-20180220-C02295
89FL
Figure US09896441-20180220-C02296
89FM
Figure US09896441-20180220-C02297
89FN
Figure US09896441-20180220-C02298
89G
Figure US09896441-20180220-C02299
89H
Figure US09896441-20180220-C02300
89I
Figure US09896441-20180220-C02301
89J
Figure US09896441-20180220-C02302
89K
Figure US09896441-20180220-C02303
89L
Figure US09896441-20180220-C02304
89M
Figure US09896441-20180220-C02305
89N
Figure US09896441-20180220-C02306
89O
Figure US09896441-20180220-C02307
89P
Figure US09896441-20180220-C02308
89Q
Figure US09896441-20180220-C02309
89R
Figure US09896441-20180220-C02310
89S
Figure US09896441-20180220-C02311
89T
Figure US09896441-20180220-C02312
89W
Figure US09896441-20180220-C02313
89X
Figure US09896441-20180220-C02314
90
Figure US09896441-20180220-C02315
91
Figure US09896441-20180220-C02316
92
Figure US09896441-20180220-C02317
93
Figure US09896441-20180220-C02318
94
Figure US09896441-20180220-C02319
95A
Figure US09896441-20180220-C02320
95AA
Figure US09896441-20180220-C02321
95AB
Figure US09896441-20180220-C02322
95AC
Figure US09896441-20180220-C02323
95AD
Figure US09896441-20180220-C02324
95B
Figure US09896441-20180220-C02325
95C
Figure US09896441-20180220-C02326
95D
Figure US09896441-20180220-C02327
95E
Figure US09896441-20180220-C02328
95F
Figure US09896441-20180220-C02329
95G
Figure US09896441-20180220-C02330
95H
Figure US09896441-20180220-C02331
95I
Figure US09896441-20180220-C02332
95J
Figure US09896441-20180220-C02333
95K
Figure US09896441-20180220-C02334
95L
Figure US09896441-20180220-C02335
95M
Figure US09896441-20180220-C02336
95N
Figure US09896441-20180220-C02337
95O
Figure US09896441-20180220-C02338
95P
Figure US09896441-20180220-C02339
95Q
Figure US09896441-20180220-C02340
95R
Figure US09896441-20180220-C02341
95S
Figure US09896441-20180220-C02342
95T
Figure US09896441-20180220-C02343
95U
Figure US09896441-20180220-C02344
95V
Figure US09896441-20180220-C02345
95W
Figure US09896441-20180220-C02346
95X
Figure US09896441-20180220-C02347
95Y
Figure US09896441-20180220-C02348
95Z
Figure US09896441-20180220-C02349
96
Figure US09896441-20180220-C02350
97
Figure US09896441-20180220-C02351
98
Figure US09896441-20180220-C02352
99
Figure US09896441-20180220-C02353
100
Figure US09896441-20180220-C02354
101
Figure US09896441-20180220-C02355
102
Figure US09896441-20180220-C02356
103
Figure US09896441-20180220-C02357
104
Figure US09896441-20180220-C02358
105
Figure US09896441-20180220-C02359
106
Figure US09896441-20180220-C02360
107
Figure US09896441-20180220-C02361
108
Figure US09896441-20180220-C02362
109A
Figure US09896441-20180220-C02363
109B
Figure US09896441-20180220-C02364
109C
Figure US09896441-20180220-C02365
109D
Figure US09896441-20180220-C02366
109E
Figure US09896441-20180220-C02367
109F
Figure US09896441-20180220-C02368
110
Figure US09896441-20180220-C02369
111
Figure US09896441-20180220-C02370
112
Figure US09896441-20180220-C02371
113
Figure US09896441-20180220-C02372
114
Figure US09896441-20180220-C02373
115
Figure US09896441-20180220-C02374
116A
Figure US09896441-20180220-C02375
116B
Figure US09896441-20180220-C02376
116C
Figure US09896441-20180220-C02377
116D
Figure US09896441-20180220-C02378
116E
Figure US09896441-20180220-C02379
116K
Figure US09896441-20180220-C02380
117
Figure US09896441-20180220-C02381
118
Figure US09896441-20180220-C02382
119A
Figure US09896441-20180220-C02383
119B
Figure US09896441-20180220-C02384
119C
Figure US09896441-20180220-C02385
119D
Figure US09896441-20180220-C02386
119E
Figure US09896441-20180220-C02387
119F
Figure US09896441-20180220-C02388
119G
Figure US09896441-20180220-C02389
119H
Figure US09896441-20180220-C02390
120
Figure US09896441-20180220-C02391
121A
Figure US09896441-20180220-C02392
121B
Figure US09896441-20180220-C02393
121C
Figure US09896441-20180220-C02394
122
Figure US09896441-20180220-C02395
123
Figure US09896441-20180220-C02396
124
Figure US09896441-20180220-C02397
125
Figure US09896441-20180220-C02398
126
Figure US09896441-20180220-C02399
127A
Figure US09896441-20180220-C02400
127B
Figure US09896441-20180220-C02401
127C
Figure US09896441-20180220-C02402
127D
Figure US09896441-20180220-C02403
127E
Figure US09896441-20180220-C02404
127F
Figure US09896441-20180220-C02405
127G
Figure US09896441-20180220-C02406
127H
Figure US09896441-20180220-C02407
127I
Figure US09896441-20180220-C02408
127J
Figure US09896441-20180220-C02409
127K
Figure US09896441-20180220-C02410
127L
Figure US09896441-20180220-C02411
127M
Figure US09896441-20180220-C02412
127N
Figure US09896441-20180220-C02413
128
Figure US09896441-20180220-C02414
129A
Figure US09896441-20180220-C02415
129B
Figure US09896441-20180220-C02416
129C
Figure US09896441-20180220-C02417
129D
Figure US09896441-20180220-C02418
129E
Figure US09896441-20180220-C02419
129F
Figure US09896441-20180220-C02420
129G
Figure US09896441-20180220-C02421
129H
Figure US09896441-20180220-C02422
129I
Figure US09896441-20180220-C02423
129J
Figure US09896441-20180220-C02424
129K
Figure US09896441-20180220-C02425
129L
Figure US09896441-20180220-C02426
129M
Figure US09896441-20180220-C02427
129N
Figure US09896441-20180220-C02428
129O
Figure US09896441-20180220-C02429
129P
Figure US09896441-20180220-C02430
130
Figure US09896441-20180220-C02431
131
Figure US09896441-20180220-C02432
132
Figure US09896441-20180220-C02433
133
Figure US09896441-20180220-C02434
134
Figure US09896441-20180220-C02435
135A
Figure US09896441-20180220-C02436
135B
Figure US09896441-20180220-C02437
135C
Figure US09896441-20180220-C02438
136
Figure US09896441-20180220-C02439
137
Figure US09896441-20180220-C02440
190
Figure US09896441-20180220-C02441
191A
Figure US09896441-20180220-C02442
191B
Figure US09896441-20180220-C02443
191C
Figure US09896441-20180220-C02444
191D
Figure US09896441-20180220-C02445
24. A compound in Table 26-1 below, or a pharmaceutically acceptable salt thereof:
TABLE 26-1 Title Compound from Example No. Compound Structure 86BC
Figure US09896441-20180220-C02446
89FO
Figure US09896441-20180220-C02447
89FP
Figure US09896441-20180220-C02448
116N
Figure US09896441-20180220-C02449
116O
Figure US09896441-20180220-C02450
116P
Figure US09896441-20180220-C02451
129Q
Figure US09896441-20180220-C02452
191E
Figure US09896441-20180220-C02453
191F
Figure US09896441-20180220-C02454
191G
Figure US09896441-20180220-C02455
191H
Figure US09896441-20180220-C02456
192
Figure US09896441-20180220-C02457
193
Figure US09896441-20180220-C02458
194
Figure US09896441-20180220-C02459
195B
Figure US09896441-20180220-C02460
195C
Figure US09896441-20180220-C02461
195D
Figure US09896441-20180220-C02462
195E
Figure US09896441-20180220-C02463
195F
Figure US09896441-20180220-C02464
195G
Figure US09896441-20180220-C02465
195H
Figure US09896441-20180220-C02466
25. A pharmaceutical composition comprising a compound of claim 1 and a pharmaceutically acceptable carrier.
26. A method of treating a disorder selected from the group consisting of cancer, bacterial infection, and fungal infection, comprising administering a therapeutically effective amount of a compound of claim 1 to a subject in need thereof to ameliorate a symptom of the disorder, wherein the cancer is colon cancer, pancreatic cancer, breast cancer, ovarian cancer, prostate cancer, squamous cell carcinoma, basal cell carcinoma, adenocarcinoma, sweat gland carcinoma, sebaceous gland carcinoma, lung cancer, leukemia, bladder cancer, stomach cancer, cervical cancer, testicular cancer, skin cancer, rectal cancer, thyroid cancer, kidney cancer, uterus cancer, esophagus cancer, liver cancer, an acoustic neuroma, oligodendroglioma, meningioma, neuroblastoma, or retinoblastoma.
27. The method of claim 26, wherein the disorder is colon cancer, pancreatic cancer, breast cancer, ovarian cancer, prostate cancer, squamous cell carcinoma, basal cell carcinoma, adenocarcinoma, sweat gland carcinoma, sebaceous gland carcinoma, lung cancer, leukemia, bladder cancer, stomach cancer, cervical cancer, testicular cancer, skin cancer, rectal cancer, thyroid cancer, kidney cancer, uterus cancer, esophagus cancer, liver cancer, an acoustic neuroma, oligodendroglioma, meningioma, neuroblastoma, or retinoblastoma.
28. A method of increasing the amount of IL-17 in a subject, comprising administering to a subject an effective amount of a compound of claim 1 to increase the amount of IL-17 in the subject.
29. The method of claim 26, wherein the subject is a human.
30. A method of promoting the activity of RORγ, comprising exposing a RORγ to an effective amount of a compound of claim 1 to promote the activity of said RORγ.
31. A compound represented by Formulae III or IV:
Figure US09896441-20180220-C02467
or a pharmaceutically acceptable salt thereof; wherein:
A is phenylene, 5-6 membered heteroarylene, or C3-6 heterocycloalkylene;
R1 represents independently for each occurrence halogen, C1-6 alkyl, C1-6 haloalkyl, or C3-6 cycloalkyl;
R2A is —(C1-2 alkylene)-(2-8 membered heteroalkylene)-CO2R4, —(C1-6 alkylene)-C(O)N(R4)(C1-6hydroxyalkylene)-CO2R4, or —(C1-6 alkylene)-N(R4)C(O)N(R4)—(C1-6 alkylene)-CO2R4; wherein the C1-6 alkylene is optionally substituted with 1 or 2 substituents independently selected from the group consisting of —CO2R4, —C(O)N(R4)(R5), —CN, halogen, hydroxyl, C1-6 alkoxy, C1-6 haloalkoxy, C1-6 haloalkyl, and —N(R4)(R5);
R2B is C1-6 alkyl, C1-3 haloalkyl, or fluoro;
R3 represents independently for each occurrence hydrogen, C1-6 haloalkyl, halogen, hydroxyl, C1-6 alkyl, C3-6 cycloalkyl, C1-6 alkoxy, C1-6 haloalkoxy, —N(R4)(R8), —O—(C1-6 hydroxyalkyl), or —O—(C1-6 alkylene)-CO2R4; or two vicinal occurrences of R3 are taken together with intervening atoms to form a 4-6 membered ring;
R4 and R5 each represent independently for each occurrence hydrogen, C1-6 alkyl, or C3-6 cycloalkyl; or an occurrence of R4 and R5 attached to the same nitrogen atom are taken together with the nitrogen atom to which they are attached to form a 3-8 membered heterocyclic ring;
R6 and R7 each represent independently for each occurrence hydrogen, fluoro, or C1-6 alkyl, or R6 and R7 are taken together with the carbon atom to which they are attached to form a 3-6 membered carbocyclic ring; or R6 and a vicinal occurrence of R2B are taken together to form a bond;
R8 represents independently for each occurrence C1-6 alkyl, C3-6 cycloalkyl, —(C1-6 alkylene)-(C3-6 cycloalkyl), or aryl, each of which is optionally substituted with 1, 2, or 3 substituents independently selected from the group consisting of halogen, hydroxyl, or —CO2R4; or R8 is —CO2R4;
R9 represents independently for each occurrence C1-6 alkyl, C3-6 cycloalkyl, —(C1-6 alkylene)-(C3-6 cycloalkyl), C1-6 haloalkyl, or C1-6 hydroxyalkyl;
X is one of the following:
(i) —O-heteroaralkyl, —O-phenyl, —O-heteroaryl, —O-(partially unsaturated bicyclic carbocyclyl), —O—(C1-6 alkylene)-(C3-6 cycloalkyl), —O—(C3-6 cycloalkyl), —N(R4)-aralkyl, —N(R4)-phenyl, —N(R4)-(partially unsaturated bicyclic carbocyclyl), or —N(R4)—(C1-6 alkylene)-(C3-6 cycloalkyl), each of which is optionally substituted with 1, 2, or 3 substituents independently selected from the group consisting of halogen, C1-6 haloalkyl, C1-6 alkyl, C3-6 cycloalkyl, C1-6 alkoxy, C1-6 haloalkoxy, —S—(C1-6 alkyl), hydroxyl, cyano, —C(O)R9, and —SO2R9;
(ii) —S-aralkyl, —S-heteroaralkyl, —S-phenyl, —S-heteroaryl, —S-(partially unsaturated bicyclic carbocyclyl), —S—(C1-6 alkylene)-(C3-6 cycloalkyl), or —S—(C3-6 cycloalkyl), each of which is optionally substituted with 1, 2, or 3 substituents independently selected from the group consisting of halogen, C1-6 haloalkyl, C1-6 alkyl, C3-6 cycloalkyl, C1-6 alkoxy, C1-6 haloalkoxy, —S—(C1-6 alkyl), hydroxyl, cyano, —C(O)R9, and —SO2R9;
(iii) —(C2-6 alkenylene)-phenyl, —(C2-6 alkenylene)-heteroaryl, —(C1-6 alkenylene)-(partially unsaturated 8-10 membered bicyclic ring containing 0-3 heteroatoms), —(C1-6 alkylene)-phenyl; —(C1-6 alkylene)-heteroaryl, —(C1-6 alkylene)-(partially unsaturated bicyclic heterocyclyl), —(C1-6 alkylene)-(partially unsaturated bicyclic oxo-heterocyclyl), —(C1-6 alkylene)-(C3-C6 cycloalkyl), -(5-6 membered heterocycloalkylene)-phenyl, or —(C3-6 cycloalkylene)-phenyl, each of which is optionally substituted with 1, 2, or 3 substituents independently selected from the group consisting of halogen, C1-6 haloalkyl, C1-6 alkyl, C3-6 cycloalkyl, C1-6 alkoxy, C1-6 haloalkoxy, —S—(C1-6 alkyl), hydroxyl, cyano, —C(O)R9, and —SO2R9;
(iv) —(C2-6 alkenylene)-(C1-6 alkyl), —(C2-6 alkenylene)-(C3-6 cycloalkyl), or
Figure US09896441-20180220-C02468
each of which is optionally substituted with 1, 2, or 3 substituents independently selected from the group consisting of halogen, C1-6 haloalkyl, C1-6 alkyl, C3-6 cycloalkyl, C1-6 alkoxy, C1-6 haloalkoxy, —S—(C1-6 alkyl), hydroxyl, cyano, —C(O)R9, and —SO2R9, wherein A* is a 5-8 membered, partially saturated carbocyclic or heterocyclic ring; or
(v) —(C1-6 alkylene)-Z1 or —(C2-6 alkenylene)-Z1, wherein Z1 is —O-aralkyl, —O-heteroaralkyl, —O-phenyl, —O-heteroaryl, —O-(partially unsaturated bicyclic carbocyclyl), —O—(C1-6 alkylene)-(C3-6 cycloalkyl), —O—(C3-6 cycloalkyl), —N(R4)-aralkyl, —N(R4)-phenyl, —N(R4)-(partially unsaturated bicyclic carbocyclyl), —N(R4)—(C1-6 alkylene)-(C3-6 cycloalkyl), or —N(R4)—(C3-6 cycloalkyl), each of which is optionally substituted with 1, 2, or 3 substituents independently selected from the group consisting of halogen, C1-6 haloalkyl, C1-6 alkyl, C3-6 cycloalkyl, C1-6 alkoxy, C1-6 haloalkoxy, —S—(C1-6 alkyl), hydroxyl, cyano, —C(O)R9, and —SO2R9;
Y is —O—;
m and p each represent independently for each occurrence 0, 1, or 2; and
n is 1, 2, or 3; and
Formula IV is represented by:
Figure US09896441-20180220-C02469
or a pharmaceutically acceptable salt thereof; wherein:
A is phenylene, 5-6 membered heteroarylene, or C3-6 heterocycloalkylene;
R1 represents independently for each occurrence halogen, C1-6 alkyl, C1-6 haloalkyl, or C3-6 cycloalkyl;
R2A is one of the following:
(i) hydrogen, C1-6 alkyl, C1-3 haloalkyl, C3-6 cycloalkyl, —(C1-6 alkylene)-(C3-6 cycloalkyl), —O—(C1-6 alkylene)-CO2R4, —O—(C1-6 alkylene)-C(O)—(C1-6 alkyl), —N(R4)—(C1-6 alkylene)-CO2R4, or —N(R4)—(C1-6 alkylene)-C(O)—(C1-6 alkyl), wherein the C1-6 alkyl, C3-6 cycloalkyl, and C1-6 alkylene are optionally substituted with 1 or 2 substituents independently selected from the group consisting of —CO2R4, —C(O)N(R4)(R5), —C(O)—N(R4)—(C1-4 alkylene)-CO2R4, —N(R4)C(O)R8, —CN, halogen, hydroxyl, C1-6 alkoxy, C1-6 haloalkoxy, C1-6 haloalkyl, —N(R4)(R5), —N(R4)C(O)N(R4)(R5), —N(R4)CO2R9, —N(R4)S(O)2R9, and —N(R4)S(O)2N(R4)(R5); or
(ii) —CO2R4, —N(R4)C(O)R9, —N(R4)CO2R9, —N(R4)C(O)N(R4)(R5), —N(R4)C(O)N(R4)(heteroaryl), —N(R4)S(O)2R9, —N(R4)(R5), —OH, or —(C1-2 alkylene)-(2-8 membered heteroalkylene)-CO2R4;
R2B is C1-6 alkyl, C1-3 haloalkyl, or fluoro;
R3 represents independently for each occurrence hydrogen; C1-6 haloalkyl, halogen, hydroxyl, C1-6 alkyl, C3-6 cycloalkyl, C1-6 alkoxy, C1-6 haloalkoxy, —N(R4)(R8), —O—(C1-6 hydroxyalkyl), or —O—(C1-6 alkylene)-CO2R4; or two vicinal occurrences of R3 are taken together with intervening atoms to form a 4-6 membered ring;
R4 and R5 each represent independently for each occurrence hydrogen, C1-6 alkyl, or C3-6 cycloalkyl; or an occurrence of R4 and R5 attached to the same nitrogen atom are taken together with the nitrogen atom to which they are attached to form a 3-8 membered heterocyclic ring;
R6 and R7 each represent independently for each occurrence hydrogen, fluoro, or C1-6 alkyl, or R6 and R7 are taken together with the carbon atom to which they are attached to form a 3-6 membered carbocyclic ring; or R6 and a vicinal occurrence of R2B are taken together to form a bond;
R8 represents independently for each occurrence C1-6 alkyl, C3-6 cycloalkyl, —(C1-6 alkylene)-(C3-6 cycloalkyl), or aryl, each of which is optionally substituted with 1, 2, or 3 substituents independently selected from the group consisting of halogen, hydroxyl, or —CO2R4; or R8 is —CO2R4;
R9 represents independently for each occurrence C1-6 alkyl, C3-6 cycloalkyl, —(C1-6 alkylene)-(C3-6 cycloalkyl), C1-6 haloalkyl, or C1-6 hydroxyalkyl;
X is C4-7 cycloalkenyl, C3-7 cycloalkyl, or an 8-10 membered, bicyclic partially saturated carbocyclyl, each of which is optionally substituted with 1, 2, or 3 substituents independently selected from the group consisting of halogen, C1-6 haloalkyl, C1-6 alkyl, C3-6 cycloalkyl, C1-6 alkoxy, C1-6 haloalkoxy, —S—(C1-6 alkyl), hydroxyl, cyano, —C(O)R9, and —SO2R9;
Y is —O—;
m and p each represent independently for each occurrence 0, 1, or 2; and
n is 1, 2, or 3.
32. A pharmaceutical composition comprising a compound of claim 31 and a pharmaceutically acceptable carrier.
33. A method of treating a disorder selected from the group consisting of cancer, bacterial infection, and fungal infection, comprising administering a therapeutically effective amount of a compound of claim 31 to a subject in need thereof to ameliorate a symptom of the disorder, wherein the cancer is colon cancer, pancreatic cancer, breast cancer, ovarian cancer, prostate cancer, squamous cell carcinoma, basal cell carcinoma, adenocarcinoma, sweat gland carcinoma, sebaceous gland carcinoma lung cancer, leukemia, bladder cancer stomach cancer, cervical cancer, testicular cancer, skin cancer, rectal cancer, thyroid cancer, kidney cancer, uterus cancer, esophagus cancer, liver cancer, an acoustic neuroma, oligodendroglioma, meningioma, neuroblastoma or retinoblastoma.
34. A pharmaceutical composition comprising a compound of claim 9 and a pharmaceutically acceptable carrier.
35. A pharmaceutical composition comprising a compound of claim 13 and a pharmaceutically acceptable carrier.
36. A pharmaceutical composition comprising a compound of claim 18 and a pharmaceutically acceptable carrier.
37. A compound selected from one of the following or a pharmaceutically acceptable salt thereof:
Figure US09896441-20180220-C02470
38. The compound of claim 37, wherein the compound is
Figure US09896441-20180220-C02471
or a pharmaceutically acceptable salt thereof.
39. The compound of claim 37, wherein the compound is
Figure US09896441-20180220-C02472
40. The compound of claim 37, wherein the compound is
Figure US09896441-20180220-C02473
or a pharmaceutically acceptable salt thereof.
41. The compound of claim 37, wherein the compound is
Figure US09896441-20180220-C02474
42. The compound of claim 37, wherein the compound is
Figure US09896441-20180220-C02475
or a pharmaceutically acceptable salt thereof.
43. The compound of claim 37, wherein the compound is
Figure US09896441-20180220-C02476
44. The compound of claim 37, wherein the compound is
Figure US09896441-20180220-C02477
or a pharmaceutically acceptable salt thereof.
45. The compound of claim 37, wherein the compound is
Figure US09896441-20180220-C02478
46. The compound of claim 37, wherein the compound is
Figure US09896441-20180220-C02479
or a pharmaceutically acceptable salt thereof.
47. The compound of claim 37, wherein the compound is
Figure US09896441-20180220-C02480
48. A pharmaceutical composition comprising a compound of claim 37 and a pharmaceutically acceptable carrier.
49. A pharmaceutical composition comprising a compound of claim 38 and a pharmaceutically acceptable carrier.
50. A pharmaceutical composition comprising a compound of claim 39 and a pharmaceutically acceptable carrier.
51. A pharmaceutical composition comprising a compound of claim 40 and a pharmaceutically acceptable carrier.
52. A pharmaceutical composition comprising a compound of claim 41 and a pharmaceutically acceptable carrier.
53. A pharmaceutical composition comprising a compound of claim 42 and a pharmaceutically acceptable carrier.
54. A pharmaceutical composition comprising a compound of claim 43 and a pharmaceutically acceptable carrier.
55. A pharmaceutical composition comprising a compound of claim 44 and a pharmaceutically acceptable carrier.
56. A pharmaceutical composition comprising a compound of claim 45 and a pharmaceutically acceptable carrier.
57. A pharmaceutical composition comprising a compound of claim 46 and a pharmaceutically acceptable carrier.
58. A pharmaceutical composition comprising a compound of claim 47 and a pharmaceutically acceptable carrier.
US15/308,736 2014-05-05 2015-05-05 Tetrahydroquinoline sulfonamide and related compounds for use as agonists of RORγ and the treatment of disease Expired - Fee Related US9896441B2 (en)

Priority Applications (1)

Application Number Priority Date Filing Date Title
US15/308,736 US9896441B2 (en) 2014-05-05 2015-05-05 Tetrahydroquinoline sulfonamide and related compounds for use as agonists of RORγ and the treatment of disease

Applications Claiming Priority (4)

Application Number Priority Date Filing Date Title
US201461988710P 2014-05-05 2014-05-05
US201562121800P 2015-02-27 2015-02-27
US15/308,736 US9896441B2 (en) 2014-05-05 2015-05-05 Tetrahydroquinoline sulfonamide and related compounds for use as agonists of RORγ and the treatment of disease
PCT/US2015/029240 WO2015171610A2 (en) 2014-05-05 2015-05-05 Tetrahydroquinoline sulfonamide and related compounds for use as agonists of rory and the treatment of disease

Related Parent Applications (1)

Application Number Title Priority Date Filing Date
PCT/US2015/029240 A-371-Of-International WO2015171610A2 (en) 2014-05-05 2015-05-05 Tetrahydroquinoline sulfonamide and related compounds for use as agonists of rory and the treatment of disease

Related Child Applications (2)

Application Number Title Priority Date Filing Date
US15/848,241 Continuation US10364237B2 (en) 2014-05-05 2017-12-20 Tetrahydroquinoline sulfonamide and related compounds for use as agonists of RORγ and the treatment of disease
US15/890,648 Division US10442798B2 (en) 2014-05-05 2018-02-07 Tetrahydroquinoline sulfonamide and related compounds for use as agonists of RORγ and the treatment of disease

Publications (2)

Publication Number Publication Date
US20170183331A1 US20170183331A1 (en) 2017-06-29
US9896441B2 true US9896441B2 (en) 2018-02-20

Family

ID=54393134

Family Applications (3)

Application Number Title Priority Date Filing Date
US15/308,736 Expired - Fee Related US9896441B2 (en) 2014-05-05 2015-05-05 Tetrahydroquinoline sulfonamide and related compounds for use as agonists of RORγ and the treatment of disease
US15/848,241 Expired - Fee Related US10364237B2 (en) 2014-05-05 2017-12-20 Tetrahydroquinoline sulfonamide and related compounds for use as agonists of RORγ and the treatment of disease
US15/890,648 Expired - Fee Related US10442798B2 (en) 2014-05-05 2018-02-07 Tetrahydroquinoline sulfonamide and related compounds for use as agonists of RORγ and the treatment of disease

Family Applications After (2)

Application Number Title Priority Date Filing Date
US15/848,241 Expired - Fee Related US10364237B2 (en) 2014-05-05 2017-12-20 Tetrahydroquinoline sulfonamide and related compounds for use as agonists of RORγ and the treatment of disease
US15/890,648 Expired - Fee Related US10442798B2 (en) 2014-05-05 2018-02-07 Tetrahydroquinoline sulfonamide and related compounds for use as agonists of RORγ and the treatment of disease

Country Status (6)

Country Link
US (3) US9896441B2 (en)
EP (1) EP3140291A4 (en)
JP (1) JP6728061B2 (en)
AU (1) AU2015256190B2 (en)
CA (1) CA2947290A1 (en)
WO (1) WO2015171610A2 (en)

Cited By (4)

* Cited by examiner, † Cited by third party
Publication number Priority date Publication date Assignee Title
US10364237B2 (en) 2014-05-05 2019-07-30 Lycera Corporation Tetrahydroquinoline sulfonamide and related compounds for use as agonists of RORγ and the treatment of disease
US10421751B2 (en) * 2015-05-05 2019-09-24 Lycera Corporation Dihydro-2H-benzo[b][1,4]oxazine sulfonamide and related compounds for use as agonists of RORγ and the treatment of disease
US10532088B2 (en) 2014-02-27 2020-01-14 Lycera Corporation Adoptive cellular therapy using an agonist of retinoic acid receptor-related orphan receptor gamma and related therapeutic methods
US10611740B2 (en) 2015-06-11 2020-04-07 Lycera Corporation Aryl dihydro-2H-benzo[b][1,4]oxazine sulfonamide and related compounds for use as agonists of RORγ and the treatment of disease

Families Citing this family (16)

* Cited by examiner, † Cited by third party
Publication number Priority date Publication date Assignee Title
WO2015171558A2 (en) 2014-05-05 2015-11-12 Lycera Corporation BENZENESULFONAMIDO AND RELATED COMPOUNDS FOR USE AS AGONISTS OF RORγ AND THE TREATEMENT OF DISEASE
WO2019040842A1 (en) * 2017-08-25 2019-02-28 Lycera Corporation Treatment of cancer using aryl dihydro-2h-benzo [b] [1,4] oxazine sulfonamide compounds
EP3689860A4 (en) 2017-09-30 2021-06-02 Chia Tai Tianqing Pharmaceutical Group Co., Ltd. Sulfonyl-substituted bicyclic compound which acts as ror inhibitor
WO2019121143A1 (en) 2017-12-20 2019-06-27 Basf Se Substituted cyclopropyl derivatives
WO2019164788A1 (en) * 2018-02-20 2019-08-29 Lycera Corporation Methods of treating cancer using aryl dihydro-2h-benzo[b] [1,4]oxazine sulfonamide compounds
CN109568321B (en) * 2019-01-14 2022-02-22 山东轩竹医药科技有限公司 ROR gamma modulators
KR102554782B1 (en) * 2019-01-23 2023-07-13 아비스코 테라퓨틱스 컴퍼니 리미티드 1,2,3,4-Tetrahydroquinoxaline derivatives, preparation methods and applications thereof
WO2021047406A1 (en) * 2019-09-10 2021-03-18 四川科伦博泰生物医药股份有限公司 Tricyclic compound, pharmaceutical composition containing same, preparation method therefor and use thereof
CN111671909B (en) * 2020-06-22 2022-06-21 中山大学肿瘤防治中心(中山大学附属肿瘤医院、中山大学肿瘤研究所) Application of statins combined with ROR agonist in aspect of treating colorectal cancer
CN113173939B (en) * 2021-04-01 2022-07-05 常州大学 Method for synthesizing tri-substituted alkenyl borate through copper-catalyzed three-component reaction
CN115557913A (en) * 2021-07-02 2023-01-03 广东东阳光药业有限公司 Benzazine Heterocyclic Compounds and Their Application in Medicine
WO2023016527A1 (en) * 2021-08-13 2023-02-16 南京明德新药研发有限公司 Class of benzoxazine spiro compounds and preparation method therefor
WO2023016528A1 (en) * 2021-08-13 2023-02-16 南京明德新药研发有限公司 Class of benzomorpholine compounds, and preparation method therefor and use thereof
WO2023016530A1 (en) * 2021-08-13 2023-02-16 南京明德新药研发有限公司 3,4-dihydro-2h-benzo[b][1,4]oxazine compounds and preparation method therefor
CN118005596A (en) * 2023-05-24 2024-05-10 内蒙古大学 Method for preparing beta-elemene chromanol derivatives by palladium catalysis
WO2025262003A1 (en) * 2024-06-19 2025-12-26 F. Hoffmann-La Roche Ag Dihydro benzoxazine derivatives

Citations (148)

* Cited by examiner, † Cited by third party
Publication number Priority date Publication date Assignee Title
US3803184A (en) 1971-08-03 1974-04-09 United Republic Of Cameroun Method for preparing desmosterol
US3936478A (en) 1973-06-20 1976-02-03 Teijin Limited Process for the preparation of desmosterol derivatives
US4952235A (en) 1988-07-09 1990-08-28 Bayer Aktiengesellschaft (Hetero)aryloxynaphthalenes having substituents bonded via sulphur
WO1992013856A1 (en) 1991-02-12 1992-08-20 Pfizer Inc. 5-heteroyl indole derivatives
US5229115A (en) 1990-07-26 1993-07-20 Immunex Corporation Adoptive immunotherapy with interleukin-7
US5229109A (en) 1992-04-14 1993-07-20 Board Of Regents, The University Of Texas System Low toxicity interleukin-2 analogues for use in immunotherapy
JPH06250441A (en) 1993-03-01 1994-09-09 Nippon Kayaku Co Ltd Electrophotographic toner
US5583152A (en) 1985-04-17 1996-12-10 Zeneca Inc. Method for treating vasospastic cardiovascular diseases heterocyclic amide derivatives
WO1997001561A1 (en) 1995-06-28 1997-01-16 Bayer Aktiengesellschaft Microbicidal benzotriazoles
WO1997048697A1 (en) 1996-06-19 1997-12-24 Rhone-Poulenc Rorer Limited Substituted azabicylic compounds and their use as inhibitors of the production of tnf and cyclic amp phosphodiesterase
WO1998022457A1 (en) 1996-11-19 1998-05-28 Amgen Inc. Aryl and heteroaryl substituted fused pyrrole antiinflammatory agents
US5776451A (en) 1991-01-16 1998-07-07 Schering Corporation Use of interleukin-10 in adoptive immunotherapy of cancer
EP0882718A1 (en) 1995-12-28 1998-12-09 Fujisawa Pharmaceutical Co., Ltd. Benzimidazole derivatives
US6020354A (en) 1995-08-10 2000-02-01 Bayer Aktiengesellschaft Halobenzimidazoles and their use as microbicides
US6037367A (en) 1995-07-14 2000-03-14 Smithkline Beecham Corporation Substituted-pent-4-ynoic acids
WO2000017202A1 (en) 1998-09-18 2000-03-30 Basf Aktiengesellschaft 4-aminopyrrolopyrimidines as kinase inhibitors
WO2001012600A1 (en) 1999-08-12 2001-02-22 Cor Therapeutics, Inc. INHIBITORS OF FACTOR Xa
WO2001012186A1 (en) 1999-08-13 2001-02-22 Biogen, Inc. Cell adhesion inhibitors
US6348032B1 (en) 1998-11-23 2002-02-19 Cell Pathways, Inc. Method of inhibiting neoplastic cells with benzimidazole derivatives
WO2002014361A2 (en) 2000-08-17 2002-02-21 Agensys, Inc. NUCLEIC ACIDS AND CORRESPONDING PROTEINS ENTITLED 83P2H3 AND CaTrF2E11 USEFUL IN TREATMENT AND DETECTION OF CANCER
US6392010B1 (en) 1996-12-19 2002-05-21 Aventis Pharmaceuticals Inc. Process for the solid phase synthesis of aldehyde, ketone, oxime, amine, hydroxamic acid and αβ-unsaturated carboxylic acid and aldehyde compounds
US6403607B1 (en) 1998-03-30 2002-06-11 Hiroyoshi Hidaka Sulfonamide derivatives and drugs containing the same as the active ingredient
WO2002100819A1 (en) 2001-06-11 2002-12-19 Dainippon Pharmaceutical Co., Ltd. N-arylphenylacetamide derivatives and medicinal compositions containing the same
WO2003014075A2 (en) 2001-08-03 2003-02-20 Schering Corporation Novel gamma secretase inhibitors
WO2003104428A2 (en) 2002-01-21 2003-12-18 Vaccinex, Inc. Gene differentially expressed in breast and bladder cancer and encoded polypeptides
WO2004050631A1 (en) 2002-12-04 2004-06-17 Wyeth Substituted dihydrophenanthridinesul fonamides
WO2004056830A1 (en) 2002-12-19 2004-07-08 Pfizer Products Inc. Pyrrolopyrimidine derivatives
WO2004056820A1 (en) 2002-12-20 2004-07-08 Warner-Lambert Company Llc Benzoxazines and derivatives thereof as inhibitors of pi3ks
JP2004307487A (en) 2003-03-26 2004-11-04 Dai Ichi Seiyaku Co Ltd Indolylmaleimides
US6828344B1 (en) 1998-02-25 2004-12-07 Genetics Institute, Llc Inhibitors of phospholipase enzymes
US20050037925A1 (en) 2001-08-17 2005-02-17 Sankyo Agro Company, Limited 3-phenoxy-4-pyridazinol derivatives and herbicide composition containing the same
WO2005028434A2 (en) 2003-09-18 2005-03-31 Conforma Therapeutics Corporation Novel heterocyclic compounds as hsp90-inhibitors
WO2005033048A2 (en) 2003-09-29 2005-04-14 The Johns Hopkins University Wnt pathway antagonists
WO2005033288A2 (en) 2003-09-29 2005-04-14 The Johns Hopkins University Hedgehog pathway antagonists
WO2005037834A1 (en) 2003-10-20 2005-04-28 Biovitrum Ab NOVEL TETRAYDROSPIRO{PIPERIDINE-2,7’ -PYRROLO[3,2-b]PYRIDINE DERIVATIVES AND NOVEL INDOLE DERIVATIVES USEFUL IN THE TREATMENT OF 5-HT6 RECEPTOR -RELATED DISORDERS
WO2005058847A1 (en) 2003-12-09 2005-06-30 F. Hoffmann-La Roche Ag Benzoxazine derivatives and uses thereof
WO2005084208A2 (en) 2004-02-27 2005-09-15 New York University A novel class of sterol ligands and their uses in regulation of cholesterol and gene expression
WO2005120558A2 (en) 2004-05-25 2005-12-22 University Of Connecticut Health Center Methods for making compositions comprising heat shock proteins or alpha-2-macroglobulin for the treatment of cancer and infectious disease
US20060004000A1 (en) 2002-10-02 2006-01-05 Sanofi-Aventis Indazolecarboxamide derivatives, preparation and use thereof as CDK1, CDK2 and CDK4 inhibitors
WO2006007486A2 (en) 2004-07-01 2006-01-19 New York University COMPOSITIONS AND METHODS FOR MODULATION OF RORϜt
US20060100230A1 (en) 2002-07-03 2006-05-11 Hilmar Bischoff Indolin phenylsulfonamide derivatives
US20060111421A1 (en) 2004-08-20 2006-05-25 Wyeth Method of treating or preventing myocardial ischemia-reperfusion injury using NF-kB inhibitors
WO2006057460A1 (en) 2004-11-29 2006-06-01 Japan Tobacco Inc. Nitrogen-containing fused ring compound and use thereof
US7115750B1 (en) 1999-09-20 2006-10-03 Takeda Pharmaceutical Company Limited Melanin concentrating hormone antagonist
WO2006115509A2 (en) 2004-06-24 2006-11-02 Novartis Vaccines And Diagnostics Inc. Small molecule immunopotentiators and assays for their detection
US20070010537A1 (en) 2004-08-20 2007-01-11 Kazumasa Hamamura Fused pyramidine derivative and use thereof
WO2007010259A1 (en) 2005-07-20 2007-01-25 The University Of Birmingham T cell memory assay
US20070049556A1 (en) 2005-09-01 2007-03-01 Xuqing Zhang Novel benzopyran derivatives as potassium channel openers
WO2007024944A1 (en) 2005-08-25 2007-03-01 Schering Corporation Imidazole derivatives as functionally selective alpha2c adrenoreceptor agonists
US20070060567A1 (en) 2005-09-15 2007-03-15 Jean Ackermann Novel indolyl derivatives which are L-CPT1 inhibitors
US20070185136A1 (en) 2004-08-03 2007-08-09 Sanofi-Aventis Sulphonamide derivatives, their preparation and their therapeutic application
US20070191603A1 (en) 2006-02-13 2007-08-16 Jean Ackermann Novel bicyclic sulfonamide derivatives which are L-CPT1 inhibitors
US20070197782A1 (en) 2006-02-17 2007-08-23 Rigel Pharmaceuticals, Inc. 2,4-pyrimidinediamine compounds for treating or preventing autoimmune diseases
US20070219257A1 (en) 2004-09-29 2007-09-20 Beachy Philip A Wnt Pathway Antagonists
WO2007113337A1 (en) 2006-04-06 2007-10-11 Tibotec Pharmaceuticals Ltd. A homogeneous time resolved fluorescence based test system
WO2007125405A2 (en) 2006-05-01 2007-11-08 Pfizer Products Inc. Substituted 2-amino-fused heterocyclic compounds
US20070281922A1 (en) 2006-06-01 2007-12-06 Wyeth 1-Sulfonylindazolylamine and - amide derivatives as 5-hydroxytryptamine-6 ligands
WO2007138998A1 (en) 2006-05-26 2007-12-06 Japan Tobacco Inc. Pharmaceutical composition comprising nitrogenated fused cyclic compound
WO2008003703A1 (en) 2006-07-03 2008-01-10 Biovitrum Ab (Publ) Indoles as 5-ht6 modulators
WO2008008923A2 (en) 2006-07-12 2008-01-17 Oncotx, Inc. Compositions and methods for targeting cancer-specific transcription complexes
US20080027100A1 (en) 2005-08-25 2008-01-31 Schering Corporation And Pharmacopeia, Inc. Functionally selective alpha2C adrenoreceptor agonists
US20080058386A1 (en) 2006-08-31 2008-03-06 Taipei Medical University Indoline-sulfonamides compounds
WO2008045664A2 (en) 2006-10-06 2008-04-17 Kalypsys, Inc. Heterocyclic pde4 inhibitors as antiinflammatory agents
WO2008062740A1 (en) 2006-11-20 2008-05-29 Japan Tobacco Inc. Nitrogenated fused ring compound and use thereof
US20080153805A1 (en) 2006-12-21 2008-06-26 Ceccarelli Simona M Sulfonamide derivatives
WO2008097428A2 (en) 2007-02-02 2008-08-14 Irm Llc Compounds and compositions as modulators of gpr119 activity
US20080199486A1 (en) 2003-05-12 2008-08-21 Yair Argon Grp94-based compositions and methods of use thereof
US7420059B2 (en) 2003-11-20 2008-09-02 Bristol-Myers Squibb Company HMG-CoA reductase inhibitors and method
WO2008151200A2 (en) 2007-06-03 2008-12-11 Oncotx, Inc. Cancer related isoforms of components of transcription factor complexes as biomarkers and drug targets
WO2008150827A1 (en) 2007-05-29 2008-12-11 Smithkline Beecham Corporation Naphthyridine, derivatives as p13 kinase inhibitors
US20090005410A1 (en) 2007-06-22 2009-01-01 Chemocentryx, Inc. N-(2-(hetaryl)aryl) arylsulfonamides and n-(2-(hetaryl) hetaryl arylsulfonamides
US20090042851A1 (en) 2006-01-27 2009-02-12 Sanofi-Aventis Sulfonamide derivatives, preparation thereof and use thereof as antagonists of orexin 2 receptors
WO2009032667A1 (en) 2007-08-29 2009-03-12 Smithkline Beecham Corporation Thiazole and oxazole kinase inhibitors
US20090075973A1 (en) 2007-09-14 2009-03-19 Cara Therapeutics, Inc. Benzo-fused heterocycles
WO2009077956A2 (en) 2007-12-14 2009-06-25 Alla Chem, Llc HETEROCYCLIC INHIBITORS OF AN Hh-SIGNAL CASCADE, MEDICINAL COMPOSITIONS BASED THEREON AND METHODS FOR TREATING DISEASES CAUSED BY THE ABERRANT ACTIVITY OF AN Hh-SIGNAL SYSTEM
US7569571B2 (en) 2003-12-23 2009-08-04 Novartis Ag Substituted pyrazolo [3,4-d]pyrimidines as cytokine modulators
US20090247502A1 (en) 2008-03-28 2009-10-01 Cara Therapeutics, Inc. Substituted pyridoxazines
WO2009147187A1 (en) 2008-06-05 2009-12-10 Glaxo Group Limited 4-carboxamide indazole derivatives useful as inhibitors of p13-kinases
WO2009149819A1 (en) 2008-06-09 2009-12-17 Sanofi-Aventis Annelated pyrrolidin sulfonamides with oxadiazolone headgroup, processes for their preparation and their use as pharmaceuticals
WO2009149820A1 (en) 2008-06-09 2009-12-17 Sanofi-Aventis Annelated n-heterocyclic sulfonamides with oxadiazolone headgroup, processes for their preparation and their use as pharmaceuticals
WO2009157196A1 (en) 2008-06-25 2009-12-30 武田薬品工業株式会社 Amide compound
WO2010017827A1 (en) 2008-08-14 2010-02-18 European Molecular Biology Laboratory 6-substituted 1-sulfonyl-2, 3-dihydro-indole derivatives for the treatment of proliferative diseases
WO2010030947A1 (en) 2008-09-11 2010-03-18 University Of Florida Research Foundation, Inc. System and method for producing t cells
WO2010038901A1 (en) 2008-10-02 2010-04-08 Taisho Pharmaceutical Co., Ltd. 7-piperidinoalkyl-3,4-dihydroquinolone derivative
EP2181710A1 (en) 2008-10-28 2010-05-05 Phenex Pharmaceuticals AG Ligands for modulation of orphan receptor-gamma (NR1F3) activity
WO2010057101A2 (en) 2008-11-17 2010-05-20 Schering Corporation Compounds useful as hiv blockers
WO2010059602A2 (en) 2008-11-19 2010-05-27 Schering Corporation Inhibitors of diacylglycerol acyltransferase
WO2010071853A1 (en) 2008-12-19 2010-06-24 Sirtris Pharmaceuticals, Inc. Thiazolopyridine sirtuin modulating compounds
WO2010102958A1 (en) 2009-03-09 2010-09-16 Glaxo Group Limited 4-oxadiazol-2 -yl- indazoles as inhibitors of p13 kinases
US20100234340A1 (en) 2009-02-06 2010-09-16 Gruenenthal Gmbh Substituted Spiroamide Compounds
WO2010117425A1 (en) 2009-03-31 2010-10-14 Biogen Idec Ma Inc. Certain substituted pyrimidines, pharmaceutical compositions thereof, and methods for their use
WO2010123139A1 (en) 2009-04-24 2010-10-28 持田製薬株式会社 Arylcarboxamide derivative having sulfamoyl group
WO2010125082A1 (en) 2009-04-30 2010-11-04 Glaxo Group Limited Oxazole substituted indazoles as pi3-kinase inhibitors
US20100310533A1 (en) 2004-11-24 2010-12-09 Zymogenetics, Inc. Methods of using il-21 for adoptive immunotherapy and identification of tumor antigens
WO2011017303A1 (en) 2009-08-03 2011-02-10 University Of Miami Method for in vivo expansion of t regulatory cells
WO2011019634A2 (en) 2009-08-10 2011-02-17 Taipei Medical University Aryl substituted sulfonamide compounds and their use as anticancer agents
WO2011059839A1 (en) 2009-10-29 2011-05-19 Sirtris Pharmaceuticals, Inc. Bicyclic pyridines and analogs as sirtuin modulators
US20110118246A1 (en) 2008-06-05 2011-05-19 Ian Robert Baldwin Novel Compounds
WO2011067364A1 (en) 2009-12-03 2011-06-09 Glaxo Group Limited Novel compounds
WO2011067366A1 (en) 2009-12-03 2011-06-09 Glaxo Group Limited Indazole derivatives as pi 3 - kinase inhibitors
WO2011067365A1 (en) 2009-12-03 2011-06-09 Glaxo Group Limited Benzpyrazole derivatives as inhibitors of p13 kinases
US20110142814A1 (en) 2009-12-16 2011-06-16 New York University Methods for Using Protein Kinase C-Theta Inhibitors in Adoptive Immunotherapy
US20110178063A1 (en) 2008-06-05 2011-07-21 Glaxo Group Limited Benzpyrazol derivatives as inhibitors of pi3 kinases
US7993638B2 (en) 2006-03-01 2011-08-09 Janssen Pharmaceutica Nv Cancer treatment combining lymphodepleting agent with CTLs and cytokines
US7998736B2 (en) 2004-10-08 2011-08-16 The United States Of America As Represented By The Department Of Health And Human Services Adoptive immunotherapy with enhanced T lymphocyte survival
WO2011109059A1 (en) 2010-03-01 2011-09-09 Gtx, Inc. Compounds for treatment of cancer
WO2011109789A2 (en) 2010-03-05 2011-09-09 The Johns Hopkins University Compositions and methods for targeted immunomodulatory antibodies and fusion proteins
WO2011113819A2 (en) 2010-03-19 2011-09-22 Immatics Biotechnologies Gmbh Novel immunotherapy against several tumors including gastrointestinal and gastric cancer
WO2011115892A1 (en) 2010-03-15 2011-09-22 Griffin Patrick R Modulators of the retinoic acid receptor-related orphan receptors
WO2012032067A1 (en) 2010-09-08 2012-03-15 Glaxo Group Limited Polymorphs and salts of n- [5- [4- (5- { [(2r,6s) -2, 6 - dimethyl - 4 -morpholinyl] methyl} - 1, 3 - oxazol - 2 - yl) - 1h- inda zol-6-yl] -2- (methyloxy) - 3 - pyridinyl] methanesulfonamide
WO2012032065A1 (en) 2010-09-08 2012-03-15 Glaxo Group Limited Indazole derivatives for use in the treatment of influenza virus infection
WO2012037108A1 (en) 2010-09-13 2012-03-22 Glaxosmithkline Llc Aminoquinoline derivatives as antiviral agents
WO2012064744A2 (en) 2010-11-08 2012-05-18 Lycera Corporation Tetrahydroquinoline and related bicyclic compounds for inhibition of rorϒ activity and the treatment of disease
WO2012079000A1 (en) 2010-12-09 2012-06-14 The Trustees Of The University Of Pennsylvania Use of chimeric antigen receptor-modified t cells to treat cancer
WO2012127464A2 (en) 2011-03-23 2012-09-27 Gavish-Galilee Bio Applications Ltd Constitutively activated t cells for use in adoptive cell therapy
WO2012129394A2 (en) 2011-03-22 2012-09-27 Brigham And Women's Hospital, Inc. Methods and compositions for the treatment of cancer
WO2012129514A1 (en) 2011-03-23 2012-09-27 Fred Hutchinson Cancer Research Center Method and compositions for cellular immunotherapy
WO2012139775A1 (en) 2011-04-14 2012-10-18 Phenex Pharmaceuticals Ag Pyrrolo sulfonamide compounds for modulation of orphan nuclear receptor rar-related orphan receptor-gamma (rorgamma, nr1f3) activity and for the treatment of chronic inflammatory and autoimmune diseases
WO2012178108A1 (en) 2011-06-24 2012-12-27 Glycoregimmune, Inc. Prevention and treatment of inflammatory conditions
US8383099B2 (en) 2009-08-28 2013-02-26 The United States Of America, As Represented By The Secretary, Department Of Health And Human Services Adoptive cell therapy with young T cells
US8389739B1 (en) 2006-10-05 2013-03-05 Orphagen Pharmaceuticals Modulators of retinoid-related orphan receptor gamma
WO2013045431A1 (en) 2011-09-27 2013-04-04 Glaxo Group Limited Sulfonamide compounds and their use in the modulation retinoid - related orphan receptor
US20130102075A1 (en) 2009-12-08 2013-04-25 Juan F. Vera Methods of cell culture for adoptive cell therapy
WO2013074916A1 (en) 2011-11-18 2013-05-23 Board Of Regents, The University Of Texas System Car+ t cells genetically modified to eliminate expression of t- cell receptor and/or hla
WO2013135588A1 (en) 2012-03-16 2013-09-19 Covagen Ag Novel binding molecules with antitumoral activity
US8541185B2 (en) 2007-09-24 2013-09-24 Technion Research & Development Foundation Limited Method of predicting responsiveness to autologous adoptive cell transfer therapy
WO2013169864A2 (en) 2012-05-08 2013-11-14 Lycera Corporation TETRAHYDRO[1,8]NAPHTHYRIDINE SULFONAMIDE AND RELATED COMPOUNDS FOR USE AS AGONISTS OF RORƴ AND THE TREATMENT OF DISEASE
WO2013167136A1 (en) 2012-05-08 2013-11-14 Herlev Hospital Improving adoptive cell therapy with interferon gamma
WO2013169588A1 (en) 2012-05-08 2013-11-14 Merck Sharp & Dohme Corp. BICYCLIC SULFONE COMPOUNDS FOR INHIBITION OF RORy ACTIVITY AND THE TREATMENT OF DISEASE
WO2013169704A2 (en) 2012-05-08 2013-11-14 Merck Sharp & Dohme Corp. TETRAHYDRONAPHTHYRIDINE AND RELATED BICYCLIC COMPOUNDS FOR INHIBITION OF RORgamma ACTIVITY AND THE TREATMENT OF DISEASE
WO2013176740A1 (en) 2012-05-25 2013-11-28 Health Diagnostic Laboratory, Inc. Rapid and high-throughput analysis of sterols/stanols or derivatives thereof
US20140038942A1 (en) 2011-02-11 2014-02-06 Merck Sharp & Dohme B.V. RORgammaT INHIBITORS
WO2014028669A1 (en) 2012-08-15 2014-02-20 Biogen Idec Ma Inc. Novel compounds for modulation of ror-gamma activity
WO2014031174A1 (en) 2012-08-24 2014-02-27 The Regents Of The University Of California Antibodies and vaccines for use in treating ror1 cancers and inhibiting metastasis
WO2014095757A1 (en) 2012-12-17 2014-06-26 INSERM (Institut National de la Santé et de la Recherche Médicale) Methods and pharmaceutical compositions for the treatment of x-linked charcot-marie-tooth
US20140187554A1 (en) 2011-05-16 2014-07-03 The Scripps Research Institute Modulators of the nuclear hormone receptor ror
US20140343023A1 (en) 2011-09-19 2014-11-20 ETH Zürich, ETH Transfer Ror gamma modulators
WO2014201378A1 (en) 2013-06-13 2014-12-18 Massachusetts Institute Of Technology Synergistic tumor treatment with extended-pk il -2 and adoptive cell therapy
US20150191434A1 (en) 2012-08-15 2015-07-09 Merck Sharp & Dohme Corp. 3-CYCLOHEXENYL AND CYCLOHEXYL SUBSTITUTED INDOLE AND INDAZOLE COMPOUNDS AS RORgammaT INHIBITORS AND USES THEREOF
US20150210687A1 (en) 2012-08-15 2015-07-30 Merck Sharp & Dohme Corp. N-ALKYLATED INDOLE AND INDAZOLE COMPOUNDS AS RORgammaT INHIBITORS AND USES THEREOF
US20150218169A1 (en) 2012-08-15 2015-08-06 Merck Sharp & Dohme Corp. 3-AMINOCYCLOALKYL COMPOUNDS AS RORgammaT INHIBITORS AND USES THEREOF
US20150218096A1 (en) 2012-08-15 2015-08-06 Merck Sharp & Dohme Corp. 4-HETEROARYL SUBSTITUTED BENZOIC ACID COMPOUNDS AS RORgammaT INHIBITORS AND USES THEREOF
WO2015131035A1 (en) 2014-02-27 2015-09-03 Lycera Corporation Adoptive cellular therapy using an agonist of retinoic acid receptor-related orphan receptor gamma & related therapeutic methods
WO2015171610A2 (en) 2014-05-05 2015-11-12 Lycera Corporation Tetrahydroquinoline sulfonamide and related compounds for use as agonists of rory and the treatment of disease
US20160304505A1 (en) 2013-12-20 2016-10-20 Merck Sharp & Dohme Corp. 2-ACYLAMIDOMETHYL AND SULFONYLAMIDOMETHYL BENZOXAZINE CARBAMATES FOR INHIBITION OF RORgamma ACTIVITY AND THE TREATMENT OF DISEASE
US20160304476A1 (en) 2013-12-20 2016-10-20 Merck Sharp & Dohme Corp. TETRAHYDRONAPHTHYRIDINE, BENZOXAZINE, AZA-BENZOXAZINE AND RELATED BICYCLIC COMPOUNDS FOR INHIBITION OF RORgamma ACTIVITY AND THE TREATMENT OF DISEASE
US20160311787A1 (en) 2013-12-20 2016-10-27 Merck Sharp & Dohme Corp. CARBAMATE BENZOXAZINE PROPIONIC ACIDS AND ACID DERIVATIVES FOR MODULATION OF RORgamma ACTIVITY AND THE TREATMENT OF DISEASE
WO2016179343A1 (en) 2015-05-05 2016-11-10 Lycera Corporation DIHYDRO-2H-BENZO[b][1,4]OXAZINE SULFONAMIDE AND RELATED COMPOUNDS FOR USE AS AGONISTS OF RORy AND THE TREATMENT OF DISEASE

Family Cites Families (9)

* Cited by examiner, † Cited by third party
Publication number Priority date Publication date Assignee Title
AU724541B2 (en) * 1996-06-21 2000-09-21 Allergan, Inc. Substituted tetrahydronaphthalene and dihydronaphthalene derivatives having retinoid and/or retinoid antagonist-like biological activity
CA2427467C (en) 2000-11-09 2010-01-12 Neopharm, Inc. Sn-38 lipid complexes and methods of use
JP2007524651A (en) 2003-09-26 2007-08-30 フォーブス メディ−テック インコーポレーテッド A method of suppressing the expression of a multi-drug resistance gene to suppress the production of a protein caused by the expression of the gene, thereby increasing the effectiveness of a chemotherapeutic agent for cancer treatment.
US20090131523A1 (en) 2007-10-15 2009-05-21 Enzymotec Ltd. Lipid compositions for the treatment and prevention of proliferative diseases and for the reduction of incidences of mutagenesis and carinogenesis
EP2308857B1 (en) 2008-07-09 2016-04-27 Nissan Chemical Industries, Ltd. Process for production of isoxazoline-substituted benzoic acid amide compound
CA2743669C (en) 2008-11-24 2018-10-16 Helmholtz Zentrum Muenchen Deutsches Forschungszentrum Fuer Gesundheit Und Umwelt (Gmbh) High affinity t cell receptor and use thereof
SG10201501272SA (en) 2009-10-22 2015-04-29 Fibrotech Therapeutics Pty Ltd Fused ring analogues of anti-fibrotic agents
GB201013443D0 (en) 2010-08-11 2010-09-22 Cytovac As Compositions and methods for producing dendritic cells
WO2015171558A2 (en) 2014-05-05 2015-11-12 Lycera Corporation BENZENESULFONAMIDO AND RELATED COMPOUNDS FOR USE AS AGONISTS OF RORγ AND THE TREATEMENT OF DISEASE

Patent Citations (231)

* Cited by examiner, † Cited by third party
Publication number Priority date Publication date Assignee Title
US3803184A (en) 1971-08-03 1974-04-09 United Republic Of Cameroun Method for preparing desmosterol
US3936478A (en) 1973-06-20 1976-02-03 Teijin Limited Process for the preparation of desmosterol derivatives
US5583152A (en) 1985-04-17 1996-12-10 Zeneca Inc. Method for treating vasospastic cardiovascular diseases heterocyclic amide derivatives
US4952235A (en) 1988-07-09 1990-08-28 Bayer Aktiengesellschaft (Hetero)aryloxynaphthalenes having substituents bonded via sulphur
US5229115A (en) 1990-07-26 1993-07-20 Immunex Corporation Adoptive immunotherapy with interleukin-7
US5776451A (en) 1991-01-16 1998-07-07 Schering Corporation Use of interleukin-10 in adoptive immunotherapy of cancer
WO1992013856A1 (en) 1991-02-12 1992-08-20 Pfizer Inc. 5-heteroyl indole derivatives
US5229109A (en) 1992-04-14 1993-07-20 Board Of Regents, The University Of Texas System Low toxicity interleukin-2 analogues for use in immunotherapy
JPH06250441A (en) 1993-03-01 1994-09-09 Nippon Kayaku Co Ltd Electrophotographic toner
WO1997001561A1 (en) 1995-06-28 1997-01-16 Bayer Aktiengesellschaft Microbicidal benzotriazoles
US5985903A (en) 1995-06-28 1999-11-16 Bayer Aktiengesellschaft Microbicidal benzotriazoles
US6172092B1 (en) 1995-06-28 2001-01-09 Bayer Aktiengesellschaft Microbicidal benzotriazoles
US6037367A (en) 1995-07-14 2000-03-14 Smithkline Beecham Corporation Substituted-pent-4-ynoic acids
US6638960B2 (en) 1995-08-10 2003-10-28 Bayer Aktiengesellschaft Halogenobenzimidazoles and their use as microbicides
US6160001A (en) 1995-08-10 2000-12-12 Bayer Aktiengesellschaft Halobenzimidazoles and their use as microbicides
US6387939B1 (en) 1995-08-10 2002-05-14 Bayer Aktiengesellschaft Halogenzimidazoles and their use as microbicides
US6020354A (en) 1995-08-10 2000-02-01 Bayer Aktiengesellschaft Halobenzimidazoles and their use as microbicides
US6352985B1 (en) 1995-12-28 2002-03-05 Fujisawa Pharmaceutical Co., Ltd. Benzimidazole compounds
EP0882718A1 (en) 1995-12-28 1998-12-09 Fujisawa Pharmaceutical Co., Ltd. Benzimidazole derivatives
US7329675B2 (en) 1996-06-19 2008-02-12 Aventis Pharma Limited Substituted azabicyclic compounds
WO1997048697A1 (en) 1996-06-19 1997-12-24 Rhone-Poulenc Rorer Limited Substituted azabicylic compounds and their use as inhibitors of the production of tnf and cyclic amp phosphodiesterase
US6180643B1 (en) 1996-11-19 2001-01-30 Amgen Inc. Aryl and heteroaryl substituted fused pyrrole antiinflammatory agents
WO1998022457A1 (en) 1996-11-19 1998-05-28 Amgen Inc. Aryl and heteroaryl substituted fused pyrrole antiinflammatory agents
US6605634B2 (en) 1996-11-19 2003-08-12 Amgen, Inc. Aryl and heteroaryl substituted fused pyrrole anti-inflammatory agents
US6440973B1 (en) 1996-11-19 2002-08-27 Amgen Inc. Aryl and heteroaryl substituted fused pyrrole antiinflammatory agents
US6392010B1 (en) 1996-12-19 2002-05-21 Aventis Pharmaceuticals Inc. Process for the solid phase synthesis of aldehyde, ketone, oxime, amine, hydroxamic acid and αβ-unsaturated carboxylic acid and aldehyde compounds
US6828344B1 (en) 1998-02-25 2004-12-07 Genetics Institute, Llc Inhibitors of phospholipase enzymes
US6403607B1 (en) 1998-03-30 2002-06-11 Hiroyoshi Hidaka Sulfonamide derivatives and drugs containing the same as the active ingredient
WO2000017202A1 (en) 1998-09-18 2000-03-30 Basf Aktiengesellschaft 4-aminopyrrolopyrimidines as kinase inhibitors
US6348032B1 (en) 1998-11-23 2002-02-19 Cell Pathways, Inc. Method of inhibiting neoplastic cells with benzimidazole derivatives
US6534535B1 (en) 1999-08-12 2003-03-18 Millennium Pharmaceuticals, Inc. Inhibitors of factor Xa
WO2001012600A1 (en) 1999-08-12 2001-02-22 Cor Therapeutics, Inc. INHIBITORS OF FACTOR Xa
WO2001012186A1 (en) 1999-08-13 2001-02-22 Biogen, Inc. Cell adhesion inhibitors
US7115750B1 (en) 1999-09-20 2006-10-03 Takeda Pharmaceutical Company Limited Melanin concentrating hormone antagonist
WO2002014361A2 (en) 2000-08-17 2002-02-21 Agensys, Inc. NUCLEIC ACIDS AND CORRESPONDING PROTEINS ENTITLED 83P2H3 AND CaTrF2E11 USEFUL IN TREATMENT AND DETECTION OF CANCER
US7084176B2 (en) 2001-06-11 2006-08-01 Dainippon Pharmaceutical Co., Ltd. N-arylphenylacetamide derivatives and medicinal compositions containing the same
WO2002100819A1 (en) 2001-06-11 2002-12-19 Dainippon Pharmaceutical Co., Ltd. N-arylphenylacetamide derivatives and medicinal compositions containing the same
WO2003014075A2 (en) 2001-08-03 2003-02-20 Schering Corporation Novel gamma secretase inhibitors
US6683091B2 (en) 2001-08-03 2004-01-27 Schering Corporation Gamma Secretase inhibitors
US20050037925A1 (en) 2001-08-17 2005-02-17 Sankyo Agro Company, Limited 3-phenoxy-4-pyridazinol derivatives and herbicide composition containing the same
WO2003104428A2 (en) 2002-01-21 2003-12-18 Vaccinex, Inc. Gene differentially expressed in breast and bladder cancer and encoded polypeptides
EP1531848A2 (en) 2002-06-10 2005-05-25 Vaccinex, Inc. Gene differentially expressed in breast and bladder cancer and encoded polypeptides
US20060100230A1 (en) 2002-07-03 2006-05-11 Hilmar Bischoff Indolin phenylsulfonamide derivatives
US20060004000A1 (en) 2002-10-02 2006-01-05 Sanofi-Aventis Indazolecarboxamide derivatives, preparation and use thereof as CDK1, CDK2 and CDK4 inhibitors
US7482342B2 (en) 2002-10-02 2009-01-27 Sanofi-Aventis Indazolecarboxamide derivatives, preparation and use thereof as CDK1, CDK2 and CDK4 inhibitors
WO2004050631A1 (en) 2002-12-04 2004-06-17 Wyeth Substituted dihydrophenanthridinesul fonamides
WO2004056830A1 (en) 2002-12-19 2004-07-08 Pfizer Products Inc. Pyrrolopyrimidine derivatives
WO2004056820A1 (en) 2002-12-20 2004-07-08 Warner-Lambert Company Llc Benzoxazines and derivatives thereof as inhibitors of pi3ks
JP2004307487A (en) 2003-03-26 2004-11-04 Dai Ichi Seiyaku Co Ltd Indolylmaleimides
US20080199486A1 (en) 2003-05-12 2008-08-21 Yair Argon Grp94-based compositions and methods of use thereof
WO2005028434A2 (en) 2003-09-18 2005-03-31 Conforma Therapeutics Corporation Novel heterocyclic compounds as hsp90-inhibitors
US7138401B2 (en) 2003-09-18 2006-11-21 Conforma Therapeutics Corporation 2-aminopurine analogs having HSP90-inhibiting activity
WO2005033288A2 (en) 2003-09-29 2005-04-14 The Johns Hopkins University Hedgehog pathway antagonists
US8067608B2 (en) 2003-09-29 2011-11-29 The Johns Hopkins University Hedgehog pathway antagonists
US20070232661A1 (en) 2003-09-29 2007-10-04 Beachy Philip A Hedgehog Pathway Antagonists
WO2005033048A2 (en) 2003-09-29 2005-04-14 The Johns Hopkins University Wnt pathway antagonists
WO2005037834A1 (en) 2003-10-20 2005-04-28 Biovitrum Ab NOVEL TETRAYDROSPIRO{PIPERIDINE-2,7’ -PYRROLO[3,2-b]PYRIDINE DERIVATIVES AND NOVEL INDOLE DERIVATIVES USEFUL IN THE TREATMENT OF 5-HT6 RECEPTOR -RELATED DISORDERS
US7420059B2 (en) 2003-11-20 2008-09-02 Bristol-Myers Squibb Company HMG-CoA reductase inhibitors and method
WO2005058847A1 (en) 2003-12-09 2005-06-30 F. Hoffmann-La Roche Ag Benzoxazine derivatives and uses thereof
US7569571B2 (en) 2003-12-23 2009-08-04 Novartis Ag Substituted pyrazolo [3,4-d]pyrimidines as cytokine modulators
WO2005084208A2 (en) 2004-02-27 2005-09-15 New York University A novel class of sterol ligands and their uses in regulation of cholesterol and gene expression
US8741812B2 (en) 2004-02-27 2014-06-03 New York University Class of sterol ligands and their uses in regulation of cholesterol and gene expression
WO2005120558A2 (en) 2004-05-25 2005-12-22 University Of Connecticut Health Center Methods for making compositions comprising heat shock proteins or alpha-2-macroglobulin for the treatment of cancer and infectious disease
WO2006115509A2 (en) 2004-06-24 2006-11-02 Novartis Vaccines And Diagnostics Inc. Small molecule immunopotentiators and assays for their detection
EP1768662A2 (en) 2004-06-24 2007-04-04 Novartis Vaccines and Diagnostics, Inc. Small molecule immunopotentiators and assays for their detection
WO2006007486A2 (en) 2004-07-01 2006-01-19 New York University COMPOSITIONS AND METHODS FOR MODULATION OF RORϜt
US20070154487A1 (en) 2004-07-01 2007-07-05 Dan Littman Compositions and methods for modulation of RORgammat functions
US20070185136A1 (en) 2004-08-03 2007-08-09 Sanofi-Aventis Sulphonamide derivatives, their preparation and their therapeutic application
US20070010537A1 (en) 2004-08-20 2007-01-11 Kazumasa Hamamura Fused pyramidine derivative and use thereof
US20060111421A1 (en) 2004-08-20 2006-05-25 Wyeth Method of treating or preventing myocardial ischemia-reperfusion injury using NF-kB inhibitors
US20070219257A1 (en) 2004-09-29 2007-09-20 Beachy Philip A Wnt Pathway Antagonists
US7652043B2 (en) 2004-09-29 2010-01-26 The Johns Hopkins University WNT pathway antagonists
US7998736B2 (en) 2004-10-08 2011-08-16 The United States Of America As Represented By The Department Of Health And Human Services Adoptive immunotherapy with enhanced T lymphocyte survival
US20100310533A1 (en) 2004-11-24 2010-12-09 Zymogenetics, Inc. Methods of using il-21 for adoptive immunotherapy and identification of tumor antigens
EP1820515A1 (en) 2004-11-29 2007-08-22 Japan Tobacco, Inc. Nitrogen-containing fused ring compound and use thereof
WO2006057460A1 (en) 2004-11-29 2006-06-01 Japan Tobacco Inc. Nitrogen-containing fused ring compound and use thereof
US20070010670A1 (en) 2004-11-29 2007-01-11 Japan Tobacco Inc. Nitrogen-containing fused ring compounds and use thereof
WO2007010259A1 (en) 2005-07-20 2007-01-25 The University Of Birmingham T cell memory assay
WO2007024944A1 (en) 2005-08-25 2007-03-01 Schering Corporation Imidazole derivatives as functionally selective alpha2c adrenoreceptor agonists
US20080027100A1 (en) 2005-08-25 2008-01-31 Schering Corporation And Pharmacopeia, Inc. Functionally selective alpha2C adrenoreceptor agonists
US20070049556A1 (en) 2005-09-01 2007-03-01 Xuqing Zhang Novel benzopyran derivatives as potassium channel openers
US7713996B2 (en) 2005-09-15 2010-05-11 Hoffmann-La Roche Inc. Indolyl derivatives which are L-CPT1 inhibitors
WO2007031429A1 (en) 2005-09-15 2007-03-22 F. Hoffmann-La Roche Ag Novel heterobicyclic derivatives useful as inhibitors of liver carnitine palmitoyl transferase
US20070060567A1 (en) 2005-09-15 2007-03-15 Jean Ackermann Novel indolyl derivatives which are L-CPT1 inhibitors
US20090042851A1 (en) 2006-01-27 2009-02-12 Sanofi-Aventis Sulfonamide derivatives, preparation thereof and use thereof as antagonists of orexin 2 receptors
US7696200B2 (en) 2006-02-13 2010-04-13 Hoffmann-La Roche Inc. Bicyclic sulfonamide derivatives which are L-CPT1 inhibitors
US20100130484A1 (en) 2006-02-13 2010-05-27 Jean Ackermann Novel bicyclic sulfonamide derivatives which are l-cpt1 inhibitors
WO2007093507A1 (en) 2006-02-13 2007-08-23 F. Hoffmann-La Roche Ag Heterobicyclic sulfonamide derivatives for the treatment of diabetes
US20070191603A1 (en) 2006-02-13 2007-08-16 Jean Ackermann Novel bicyclic sulfonamide derivatives which are L-CPT1 inhibitors
US20070197782A1 (en) 2006-02-17 2007-08-23 Rigel Pharmaceuticals, Inc. 2,4-pyrimidinediamine compounds for treating or preventing autoimmune diseases
US7993638B2 (en) 2006-03-01 2011-08-09 Janssen Pharmaceutica Nv Cancer treatment combining lymphodepleting agent with CTLs and cytokines
WO2007113337A1 (en) 2006-04-06 2007-10-11 Tibotec Pharmaceuticals Ltd. A homogeneous time resolved fluorescence based test system
WO2007125405A2 (en) 2006-05-01 2007-11-08 Pfizer Products Inc. Substituted 2-amino-fused heterocyclic compounds
WO2007138998A1 (en) 2006-05-26 2007-12-06 Japan Tobacco Inc. Pharmaceutical composition comprising nitrogenated fused cyclic compound
US20080305169A1 (en) 2006-05-26 2008-12-11 Japan Tobacco Inc. Pharmaceutical Compositions Comprising Nitrogen-Containing Fused Ring Coumpounds
US20070281922A1 (en) 2006-06-01 2007-12-06 Wyeth 1-Sulfonylindazolylamine and - amide derivatives as 5-hydroxytryptamine-6 ligands
WO2008003703A1 (en) 2006-07-03 2008-01-10 Biovitrum Ab (Publ) Indoles as 5-ht6 modulators
WO2008008923A2 (en) 2006-07-12 2008-01-17 Oncotx, Inc. Compositions and methods for targeting cancer-specific transcription complexes
US20110151478A1 (en) 2006-07-12 2011-06-23 Oncotx, Inc. Transcriptional biomarkers and methods for detecting and isolating cancer cells in body fluids and tissue specimens
US20080027002A1 (en) 2006-07-12 2008-01-31 Oncotx, Inc. Compositions and methods for targeting cancer-specific transcription complexes
EP2038301A2 (en) 2006-07-12 2009-03-25 Oncotx, Inc. Compositions and methods for targeting cancer-specific transcription complexes
US7973135B2 (en) 2006-07-12 2011-07-05 Oncotx, Inc. Compositions and methods for targeting cancer-specific transcription complexes
US20080058386A1 (en) 2006-08-31 2008-03-06 Taipei Medical University Indoline-sulfonamides compounds
US7741495B2 (en) 2006-08-31 2010-06-22 Taipei Medical University Indoline-sulfonamides compounds
US8389739B1 (en) 2006-10-05 2013-03-05 Orphagen Pharmaceuticals Modulators of retinoid-related orphan receptor gamma
US20090275586A1 (en) 2006-10-06 2009-11-05 Kalypsys, Inc. Heterocyclic inhibitors of pde4
WO2008045664A2 (en) 2006-10-06 2008-04-17 Kalypsys, Inc. Heterocyclic pde4 inhibitors as antiinflammatory agents
WO2008062740A1 (en) 2006-11-20 2008-05-29 Japan Tobacco Inc. Nitrogenated fused ring compound and use thereof
US7799933B2 (en) 2006-12-21 2010-09-21 Hoffman-La Roche Inc. Sulfonamide derivatives
WO2008074692A1 (en) 2006-12-21 2008-06-26 F. Hoffmann-La Roche Ag Sulfonamide derivatives as liver carnitine palmitoyl transferase (l-cptl )
US20080153805A1 (en) 2006-12-21 2008-06-26 Ceccarelli Simona M Sulfonamide derivatives
WO2008097428A2 (en) 2007-02-02 2008-08-14 Irm Llc Compounds and compositions as modulators of gpr119 activity
US20100022515A1 (en) 2007-02-02 2010-01-28 Irm Llc Compounds and compositions as modulators of gpr119 activity
WO2008150827A1 (en) 2007-05-29 2008-12-11 Smithkline Beecham Corporation Naphthyridine, derivatives as p13 kinase inhibitors
US20100087376A1 (en) 2007-06-03 2010-04-08 Oncotx, Inc. Cancer related isoforms of components of transcription factor complexes as biomarkers and drug targets
US20130102542A1 (en) 2007-06-03 2013-04-25 Oncotx, Inc. Cancer related isoforms of components of transcription factor complexes as biomarkers and drug targets
EP2158327A2 (en) 2007-06-03 2010-03-03 Oncotx, Inc. Cancer related isoforms of components of transcription factor complexes as biomarkers and drug targets
EP2158327B1 (en) 2007-06-03 2013-05-15 Oncotx, Inc. Cancer related isoforms of components of transcription factor complexes as biomarkers and drug targets
WO2008151200A2 (en) 2007-06-03 2008-12-11 Oncotx, Inc. Cancer related isoforms of components of transcription factor complexes as biomarkers and drug targets
US20090005410A1 (en) 2007-06-22 2009-01-01 Chemocentryx, Inc. N-(2-(hetaryl)aryl) arylsulfonamides and n-(2-(hetaryl) hetaryl arylsulfonamides
WO2009032667A1 (en) 2007-08-29 2009-03-12 Smithkline Beecham Corporation Thiazole and oxazole kinase inhibitors
WO2009035997A2 (en) 2007-09-14 2009-03-19 Cara Therapeutics, Inc. Benzo-fused heterocycles
US20090075973A1 (en) 2007-09-14 2009-03-19 Cara Therapeutics, Inc. Benzo-fused heterocycles
US8541185B2 (en) 2007-09-24 2013-09-24 Technion Research & Development Foundation Limited Method of predicting responsiveness to autologous adoptive cell transfer therapy
WO2009077956A2 (en) 2007-12-14 2009-06-25 Alla Chem, Llc HETEROCYCLIC INHIBITORS OF AN Hh-SIGNAL CASCADE, MEDICINAL COMPOSITIONS BASED THEREON AND METHODS FOR TREATING DISEASES CAUSED BY THE ABERRANT ACTIVITY OF AN Hh-SIGNAL SYSTEM
US20110053915A1 (en) 2007-12-14 2011-03-03 Alla Chem, Llc HETEROCYCLIC INHIBITORS OF AN Hh-SIGNAL CASCADE, MEDICINAL COMPOSITIONS BASED THEREON AND METHODS FOR TREATING DISEASES CAUSED BY THE ABERRANT ACTIVITY OF AN Hh-SIGNAL SYSTEM
US20090247502A1 (en) 2008-03-28 2009-10-01 Cara Therapeutics, Inc. Substituted pyridoxazines
US20110118246A1 (en) 2008-06-05 2011-05-19 Ian Robert Baldwin Novel Compounds
US20110178063A1 (en) 2008-06-05 2011-07-21 Glaxo Group Limited Benzpyrazol derivatives as inhibitors of pi3 kinases
WO2009147187A1 (en) 2008-06-05 2009-12-10 Glaxo Group Limited 4-carboxamide indazole derivatives useful as inhibitors of p13-kinases
US20110112070A1 (en) 2008-06-05 2011-05-12 Ian Robert Baldwin 4-carboxamide indazole derivatives useful as inhibitors of p13-kinases
WO2009149820A1 (en) 2008-06-09 2009-12-17 Sanofi-Aventis Annelated n-heterocyclic sulfonamides with oxadiazolone headgroup, processes for their preparation and their use as pharmaceuticals
WO2009149819A1 (en) 2008-06-09 2009-12-17 Sanofi-Aventis Annelated pyrrolidin sulfonamides with oxadiazolone headgroup, processes for their preparation and their use as pharmaceuticals
US20110130384A1 (en) 2008-06-25 2011-06-02 Takeda Pharmaceutical Company Limited Amide compound
WO2009157196A1 (en) 2008-06-25 2009-12-30 武田薬品工業株式会社 Amide compound
WO2010017827A1 (en) 2008-08-14 2010-02-18 European Molecular Biology Laboratory 6-substituted 1-sulfonyl-2, 3-dihydro-indole derivatives for the treatment of proliferative diseases
EP2321407A1 (en) 2008-09-11 2011-05-18 University of Florida Research Foundation, Inc. System and method for producing t cells
WO2010030947A1 (en) 2008-09-11 2010-03-18 University Of Florida Research Foundation, Inc. System and method for producing t cells
US20110236363A1 (en) 2008-09-11 2011-09-29 Lung-Ji Chang System and method for producing t cells
WO2010038901A1 (en) 2008-10-02 2010-04-08 Taisho Pharmaceutical Co., Ltd. 7-piperidinoalkyl-3,4-dihydroquinolone derivative
EP2181710A1 (en) 2008-10-28 2010-05-05 Phenex Pharmaceuticals AG Ligands for modulation of orphan receptor-gamma (NR1F3) activity
WO2010057101A2 (en) 2008-11-17 2010-05-20 Schering Corporation Compounds useful as hiv blockers
WO2010059602A2 (en) 2008-11-19 2010-05-27 Schering Corporation Inhibitors of diacylglycerol acyltransferase
WO2010071853A1 (en) 2008-12-19 2010-06-24 Sirtris Pharmaceuticals, Inc. Thiazolopyridine sirtuin modulating compounds
US20100234340A1 (en) 2009-02-06 2010-09-16 Gruenenthal Gmbh Substituted Spiroamide Compounds
WO2010102958A1 (en) 2009-03-09 2010-09-16 Glaxo Group Limited 4-oxadiazol-2 -yl- indazoles as inhibitors of p13 kinases
WO2010117425A1 (en) 2009-03-31 2010-10-14 Biogen Idec Ma Inc. Certain substituted pyrimidines, pharmaceutical compositions thereof, and methods for their use
WO2010123139A1 (en) 2009-04-24 2010-10-28 持田製薬株式会社 Arylcarboxamide derivative having sulfamoyl group
WO2010125082A1 (en) 2009-04-30 2010-11-04 Glaxo Group Limited Oxazole substituted indazoles as pi3-kinase inhibitors
WO2011017303A1 (en) 2009-08-03 2011-02-10 University Of Miami Method for in vivo expansion of t regulatory cells
EP2462165A1 (en) 2009-08-03 2012-06-13 University of Miami Method for in vivo expansion of t regulatory cells
US20120135011A1 (en) 2009-08-03 2012-05-31 University Of Miami Method for in vivo expansion of T regulatory cells
WO2011019634A2 (en) 2009-08-10 2011-02-17 Taipei Medical University Aryl substituted sulfonamide compounds and their use as anticancer agents
US8383099B2 (en) 2009-08-28 2013-02-26 The United States Of America, As Represented By The Secretary, Department Of Health And Human Services Adoptive cell therapy with young T cells
WO2011059839A1 (en) 2009-10-29 2011-05-19 Sirtris Pharmaceuticals, Inc. Bicyclic pyridines and analogs as sirtuin modulators
WO2011067366A1 (en) 2009-12-03 2011-06-09 Glaxo Group Limited Indazole derivatives as pi 3 - kinase inhibitors
WO2011067365A1 (en) 2009-12-03 2011-06-09 Glaxo Group Limited Benzpyrazole derivatives as inhibitors of p13 kinases
WO2011067364A1 (en) 2009-12-03 2011-06-09 Glaxo Group Limited Novel compounds
US20130102075A1 (en) 2009-12-08 2013-04-25 Juan F. Vera Methods of cell culture for adoptive cell therapy
US20110142814A1 (en) 2009-12-16 2011-06-16 New York University Methods for Using Protein Kinase C-Theta Inhibitors in Adoptive Immunotherapy
WO2011109059A1 (en) 2010-03-01 2011-09-09 Gtx, Inc. Compounds for treatment of cancer
WO2011109789A2 (en) 2010-03-05 2011-09-09 The Johns Hopkins University Compositions and methods for targeted immunomodulatory antibodies and fusion proteins
US20130039911A1 (en) 2010-03-05 2013-02-14 Atul Bedi Compositions and Methods for Targeted Immunomodulatory Antibodies and Fusion Proteins
EP2542590A2 (en) 2010-03-05 2013-01-09 The Johns Hopkins University Compositions and methods for targeted immunomodulatory antibodies and fusion proteins
WO2011115892A1 (en) 2010-03-15 2011-09-22 Griffin Patrick R Modulators of the retinoic acid receptor-related orphan receptors
WO2011113819A2 (en) 2010-03-19 2011-09-22 Immatics Biotechnologies Gmbh Novel immunotherapy against several tumors including gastrointestinal and gastric cancer
US20110229504A1 (en) 2010-03-19 2011-09-22 Immatics Biotechnologies Gmbh Novel immunotherapy against several tumors including gastrointestinal and gastric cancer
US20130045191A1 (en) 2010-03-19 2013-02-21 Immatics Biotechnologies Gmbh Novel immunotherapy against several tumors including gastrointestinal and gastric cancer
EP2547354A2 (en) 2010-03-19 2013-01-23 Immatics Biotechnologies GmbH Novel immunotherapy against several tumors including gastrointestinal and gastric cancer
WO2012032065A1 (en) 2010-09-08 2012-03-15 Glaxo Group Limited Indazole derivatives for use in the treatment of influenza virus infection
WO2012032067A1 (en) 2010-09-08 2012-03-15 Glaxo Group Limited Polymorphs and salts of n- [5- [4- (5- { [(2r,6s) -2, 6 - dimethyl - 4 -morpholinyl] methyl} - 1, 3 - oxazol - 2 - yl) - 1h- inda zol-6-yl] -2- (methyloxy) - 3 - pyridinyl] methanesulfonamide
WO2012037108A1 (en) 2010-09-13 2012-03-22 Glaxosmithkline Llc Aminoquinoline derivatives as antiviral agents
US9512111B2 (en) 2010-11-08 2016-12-06 Lycera Corporation N-sulfonylated tetrahydroquinolines and related bicyclic compounds for inhibition of RORγ activity and the treatment of disease
US20140088094A1 (en) 2010-11-08 2014-03-27 Merck Sharp & Dohme Corp. N-SULFONYLATED TETRAHYDROQUINOLINES AND RELATED BICYCLIC COMPOUNDS FOR INHIBITION OF RORgamma ACTIVITY AND THE TREATMENT OF DISEASE
WO2012064744A2 (en) 2010-11-08 2012-05-18 Lycera Corporation Tetrahydroquinoline and related bicyclic compounds for inhibition of rorϒ activity and the treatment of disease
WO2012079000A1 (en) 2010-12-09 2012-06-14 The Trustees Of The University Of Pennsylvania Use of chimeric antigen receptor-modified t cells to treat cancer
EP2649086A1 (en) 2010-12-09 2013-10-16 The Trustees Of The University Of Pennsylvania Use of chimeric antigen receptor-modified t cells to treat cancer
US20150297566A1 (en) 2011-02-11 2015-10-22 Merck Sharp & Dohme Corp. RORgammaT INHIBITORS
US9095583B2 (en) 2011-02-11 2015-08-04 Merck Sharp & Dohme Corp. RORgammaT inhibitors
US9603838B2 (en) 2011-02-11 2017-03-28 Merck Sharp & Dohme Corp. RORgammaT inhibitors
US20140038942A1 (en) 2011-02-11 2014-02-06 Merck Sharp & Dohme B.V. RORgammaT INHIBITORS
WO2012129394A9 (en) 2011-03-22 2012-11-15 Brigham And Women's Hospital, Inc. Methods and compositions for the treatment of cancer
WO2012129394A2 (en) 2011-03-22 2012-09-27 Brigham And Women's Hospital, Inc. Methods and compositions for the treatment of cancer
US20140186295A1 (en) 2011-03-22 2014-07-03 The Brigham And Women's Hospital, Inc. Methods and compositions for the treatment of cancer
EP2688594A2 (en) 2011-03-22 2014-01-29 The Brigham and Women's Hospital, Inc. Methods and compositions for the treatment of cancer
WO2012127464A2 (en) 2011-03-23 2012-09-27 Gavish-Galilee Bio Applications Ltd Constitutively activated t cells for use in adoptive cell therapy
US20140314795A1 (en) 2011-03-23 2014-10-23 Fred Hutchinson Cancer Research Center Method and compositions for cellular immunotherapy
EP2689010A1 (en) 2011-03-23 2014-01-29 Fred Hutchinson Cancer Research Center Method and compositions for cellular immunotherapy
WO2012129514A1 (en) 2011-03-23 2012-09-27 Fred Hutchinson Cancer Research Center Method and compositions for cellular immunotherapy
WO2012139775A1 (en) 2011-04-14 2012-10-18 Phenex Pharmaceuticals Ag Pyrrolo sulfonamide compounds for modulation of orphan nuclear receptor rar-related orphan receptor-gamma (rorgamma, nr1f3) activity and for the treatment of chronic inflammatory and autoimmune diseases
US20140187554A1 (en) 2011-05-16 2014-07-03 The Scripps Research Institute Modulators of the nuclear hormone receptor ror
US20140187504A1 (en) 2011-06-24 2014-07-03 Glycoreregimmune, Inc. Prevention and treatment of inflammatory conditions
WO2012178108A1 (en) 2011-06-24 2012-12-27 Glycoregimmune, Inc. Prevention and treatment of inflammatory conditions
US20140343023A1 (en) 2011-09-19 2014-11-20 ETH Zürich, ETH Transfer Ror gamma modulators
WO2013045431A1 (en) 2011-09-27 2013-04-04 Glaxo Group Limited Sulfonamide compounds and their use in the modulation retinoid - related orphan receptor
WO2013074916A1 (en) 2011-11-18 2013-05-23 Board Of Regents, The University Of Texas System Car+ t cells genetically modified to eliminate expression of t- cell receptor and/or hla
WO2013135588A1 (en) 2012-03-16 2013-09-19 Covagen Ag Novel binding molecules with antitumoral activity
EP2825197A1 (en) 2012-03-16 2015-01-21 Covagen AG Novel binding molecules with antitumoral activity
US9657033B2 (en) 2012-05-08 2017-05-23 Lycera Corporation Tetrahydronaphthyridine and related bicyclic compounds for inhibition of RORγ activity and the treatment of disease
WO2013169588A1 (en) 2012-05-08 2013-11-14 Merck Sharp & Dohme Corp. BICYCLIC SULFONE COMPOUNDS FOR INHIBITION OF RORy ACTIVITY AND THE TREATMENT OF DISEASE
WO2013167136A1 (en) 2012-05-08 2013-11-14 Herlev Hospital Improving adoptive cell therapy with interferon gamma
US20160318951A1 (en) 2012-05-08 2016-11-03 Lycera Corporation Tetrahydro[1,8]naphthyridine Sulfonamide And Related Compounds for Use as Agonists of RORy and the Treatment of Disease
WO2013169704A2 (en) 2012-05-08 2013-11-14 Merck Sharp & Dohme Corp. TETRAHYDRONAPHTHYRIDINE AND RELATED BICYCLIC COMPOUNDS FOR INHIBITION OF RORgamma ACTIVITY AND THE TREATMENT OF DISEASE
US9394315B2 (en) 2012-05-08 2016-07-19 Lycera Corporation Tetrahydro[1,8]naphthyridine sulfonamide and related compounds for use as agonists of RORγ and the treatment of disease
US20150111877A1 (en) 2012-05-08 2015-04-23 Merck Sharp & Dohme Corp. TETRAHYDRONAPHTHYRIDINE AND RELATED BICYCLIC COMPOUNDS FOR INHIBITION OF RORgamma ACTIVITY AND THE TREATMENT OF DISEASE
US20150126493A1 (en) 2012-05-08 2015-05-07 Merck Sharp & Dohme Corp. BICYCLIC SULFONE COMPOUNDS FOR INHIBITION OF RORgamma ACTIVITY AND THE TREATMENT OF DISEASE
US20150133437A1 (en) 2012-05-08 2015-05-14 Lycera Corporation Tetrahydro[1,8]naphthyridine Sulfonamide and Related Compounds for Use as Agonists of RORy and the Treatment of Disease
US9266827B2 (en) 2012-05-08 2016-02-23 Merck Sharp & Dohme Corp. Bicyclic sulfone compounds for inhibition of RORgamma activity and the treatment of disease
WO2013169864A2 (en) 2012-05-08 2013-11-14 Lycera Corporation TETRAHYDRO[1,8]NAPHTHYRIDINE SULFONAMIDE AND RELATED COMPOUNDS FOR USE AS AGONISTS OF RORƴ AND THE TREATMENT OF DISEASE
WO2013176740A1 (en) 2012-05-25 2013-11-28 Health Diagnostic Laboratory, Inc. Rapid and high-throughput analysis of sterols/stanols or derivatives thereof
WO2014028669A1 (en) 2012-08-15 2014-02-20 Biogen Idec Ma Inc. Novel compounds for modulation of ror-gamma activity
US9487490B2 (en) 2012-08-15 2016-11-08 Merck Sharp & Dohme Corp. 3-cyclohexenyl and cyclohexyl substituted indole and indazole compounds as RORgammaT inhibitors and uses thereof
US20150218096A1 (en) 2012-08-15 2015-08-06 Merck Sharp & Dohme Corp. 4-HETEROARYL SUBSTITUTED BENZOIC ACID COMPOUNDS AS RORgammaT INHIBITORS AND USES THEREOF
US9663522B2 (en) 2012-08-15 2017-05-30 Merck Sharp & Dohme Corp. 3-aminocycloalkyl compounds as RORgammaT inhibitors and uses thereof
US20150210687A1 (en) 2012-08-15 2015-07-30 Merck Sharp & Dohme Corp. N-ALKYLATED INDOLE AND INDAZOLE COMPOUNDS AS RORgammaT INHIBITORS AND USES THEREOF
US20150191434A1 (en) 2012-08-15 2015-07-09 Merck Sharp & Dohme Corp. 3-CYCLOHEXENYL AND CYCLOHEXYL SUBSTITUTED INDOLE AND INDAZOLE COMPOUNDS AS RORgammaT INHIBITORS AND USES THEREOF
US20150218169A1 (en) 2012-08-15 2015-08-06 Merck Sharp & Dohme Corp. 3-AMINOCYCLOALKYL COMPOUNDS AS RORgammaT INHIBITORS AND USES THEREOF
US9556168B2 (en) 2012-08-15 2017-01-31 Merck Sharp & Dohme Corp. N-alkylated indole and indazole compounds as RORgammaT inhibitors and uses thereof
WO2014031174A1 (en) 2012-08-24 2014-02-27 The Regents Of The University Of California Antibodies and vaccines for use in treating ror1 cancers and inhibiting metastasis
WO2014095757A1 (en) 2012-12-17 2014-06-26 INSERM (Institut National de la Santé et de la Recherche Médicale) Methods and pharmaceutical compositions for the treatment of x-linked charcot-marie-tooth
US20150017120A1 (en) 2013-06-13 2015-01-15 Massachusetts Institute Of Technology Synergistic tumor treatment with extended-pk il-2 and adoptive cell therapy
WO2014201378A1 (en) 2013-06-13 2014-12-18 Massachusetts Institute Of Technology Synergistic tumor treatment with extended-pk il -2 and adoptive cell therapy
WO2014201378A9 (en) 2013-06-13 2015-01-29 Massachusetts Institute Of Technology Synergistic tumor treatment with extended-pk il -2 and adoptive cell therapy
US20160311787A1 (en) 2013-12-20 2016-10-27 Merck Sharp & Dohme Corp. CARBAMATE BENZOXAZINE PROPIONIC ACIDS AND ACID DERIVATIVES FOR MODULATION OF RORgamma ACTIVITY AND THE TREATMENT OF DISEASE
US20160304476A1 (en) 2013-12-20 2016-10-20 Merck Sharp & Dohme Corp. TETRAHYDRONAPHTHYRIDINE, BENZOXAZINE, AZA-BENZOXAZINE AND RELATED BICYCLIC COMPOUNDS FOR INHIBITION OF RORgamma ACTIVITY AND THE TREATMENT OF DISEASE
US20160304505A1 (en) 2013-12-20 2016-10-20 Merck Sharp & Dohme Corp. 2-ACYLAMIDOMETHYL AND SULFONYLAMIDOMETHYL BENZOXAZINE CARBAMATES FOR INHIBITION OF RORgamma ACTIVITY AND THE TREATMENT OF DISEASE
US9663502B2 (en) 2013-12-20 2017-05-30 Lycera Corporation 2-Acylamidomethyl and sulfonylamidomethyl benzoxazine carbamates for inhibition of RORgamma activity and the treatment of disease
WO2015131035A1 (en) 2014-02-27 2015-09-03 Lycera Corporation Adoptive cellular therapy using an agonist of retinoic acid receptor-related orphan receptor gamma & related therapeutic methods
WO2015171610A2 (en) 2014-05-05 2015-11-12 Lycera Corporation Tetrahydroquinoline sulfonamide and related compounds for use as agonists of rory and the treatment of disease
US20170183331A1 (en) 2014-05-05 2017-06-29 Lycera Corporation TETRAHYDROQUINOLINE SULFONAMIDE AND RELATED COMPOUNDS FOR USE AS AGONISTS OF RORy AND THE TREATMENT OF DISEASE
WO2016179343A1 (en) 2015-05-05 2016-11-10 Lycera Corporation DIHYDRO-2H-BENZO[b][1,4]OXAZINE SULFONAMIDE AND RELATED COMPOUNDS FOR USE AS AGONISTS OF RORy AND THE TREATMENT OF DISEASE

Non-Patent Citations (151)

* Cited by examiner, † Cited by third party
Title
André et al., "Disruption of retinoid-related orphan receptor β changes circadian behaviour, causes retinal degeneration and leads to vacillans phenotype in mice," 17(14) The EMBO J. 3867-77 (1998).
Annunziato et al., "Type 17 T helper cells-origins, features and possible roles in rheumatic disease," 5 Nat. Rev. Rheumatol. 325-31 (2009).
Arellano et al., "Clinical uses of GM-CSF, a critical appraisal and update," Biologics: Targets & Therapy, vol. 2, pp. 13-27 (2008).
Arisawa et al., "Development of Isomerization and Cycloisomerization with Use of a Ruthenium Hydride with N-Heterocyclic Carbene and Its Application to the Synthesis of Heterocycles," 71 J. Org. Chem. 4255-61 (2006).
Baeten, et al., "Secukinumab, an Interleukin-17A Inhibitor, in Ankylosing Spondylitis", The New England Journal of Medicine, (2015) vol. 373, pp. 2534-2548.
Bai et al., "Sulfation of 25-hydroxycholesterol by SULT2B1b decreases cellular lipids via the LXR/SREBP-1c signaling pathway in human aortic endothelial cells," Atherosclerosis, vol. 214, pp. 350-356 (author's manuscript pp. 1-14) (2011).
Becker-André et al., "Identification of nuclear receptor mRNAs by RT-PCR amplification of conserved zinc-finger motif sequences," 194(3) Biochem. Biophys. Res. Comm. 1371-79 (1993).
Bensinger et al., "LXR signaling couples sterol metabolism to proliferation in the acquired immune response," Cell, vol. 134, pp. 97-111 (2008).
Berge et al., "Pharmaceutical salts," 66(1) J. Pharm. Sci. 1-19 (1977).
Bhagawanth et al., "Room-Temperature Pd-Catalyzed Amidation of Aryl Bromides Using tert-Butyl Carbamate," 74 J. Org. Chem. 4634-37 (2009).
Boaventura et al., "Human mucosal leishmaniasis: Neutrophils infiltrate areas of tissue damage that express high levels of Th17-related cytokines," 40 Eur. J. Immunol. 2830-36 (2010).
Boger et al., "Regiocontrolled Nucleophilic Addition to Selectively Activated p-Quinone Diimines: Alternative Preparation of a Key Intermediate Employed in the Preparation of the CC-1065 Left-Hand Subunit," 55 J. Org. Chem. 1379-90 (1990).
Brown et al., "Oxysterols and atherosclerosis," Atherosclerosis, vol. 142, pp. 1-28 (1999).
Buonocore et al., "Innate lymphoid cells drive interleukin-23-dependent innate intestinal pathology," 464 Nature 1371-75 (2010).
Burris et al., "Targeting Orphan Nuclear Receptors for Treatment of Metabolic Diseases and Autoimmunity," 19(1) Chem. Biol. 51-59 (2012).
Cai, et al., "Pivotal Role of Dermal IL-17-Producing γδ T Cells in Skin Inflammation", Immunity (2011) vol. 35, pp. 596-610.
Carlberg et al., "RZRs, a new family of retinoid-related orphan receptors that function as both monomers and homodimers," 8 Mol. Endocrinol. 757-70 (1994).
Carroll et al., "Synthesis, Nicotinic Acetylcholine Receptor Binding, and Antinociceptive Properties of 2-exo-2-(2′,3′-Disubstituted 5′-pyridinyl)-y-azabicyclo[2.2.1]heptanes: Epibatidine Analogues," 45 J. Med. Chem. 4755-61 (2002).
CAS Registry No. 1012413-39-6; STN Entry Date: Apr. 6, 2008; Chemical name: Benzenesulfonamide, N-[4-[(2-fluorophenyl)methoxy]phenyl]-N-methyl.
CAS Registry No. 632292-33-2; STN Entry Date: Dec. 30, 2003; Chemical name: 2-[[1,2,3,4-tetrahydro-1-[(4-methylphenyl)sulfonyl]-6-quinolinyl]methyl]-1H-isoindole-1,3(2H)-dione.
Chang et al., "7-Aroyl-aminoindoline-1-sulfonamides as a Novel Class of Potent Antitubulin Agents," 49 J. Med. Chem. 6656-59 (2006).
Chang et al., "Synthetic RORγt Agonists Enhance Protective Immunity," ACS Chem. Biol., Just Accepted Manuscript—DOI: 10.1021/acschembio.5b00899—Publication Date (Web): Jan. 19, 2016, (30 pages).
Chen et al., "Enzymatic reduction of oxysterols impairs LXR signaling in cultured cells and the livers of mice," Cell Metab., vol. 5, pp. 73-79 (2007).
Chen et al., "Th1-, Th2-, and Th17-associated cytokine expression in hypopharyngeal carcinoma and clinical significance," Eur Arch Otorhinolaryngol, DOI: 10.1007/s00405-015-3779-2, 8 pages, (2015).
Cheng et al., "Increased cholesterol content in Gammadelta (γδ) T lymphocytes differentially regulates their activation," PLoS One 8, pp. 1-9 (2013).
Codarri et al., "RORyt drives production of the cytokine GM-CSF in helper T cells, which is essential for the effector phase of autoimmune neuroinflammation," Nature Immunology, vol. 12, pp. 560-568, (2011).
Colbon et al., "Double Arylation of Allyl Alcohol via a One-Pot Heck Arylation—Isomerization—Acylation Cascade," 13 Org. Lett. 5456-59 (2011).
Cook et al., "24-hydroxycholesterol sulfation by human cytosolic sulfotransferases: formation of monosulfates and disulfates, molecular modeling, sulfatase sensitivity, and inhibition of liver X receptor activation," Drug Metab. Dispos, vol. 37, pp. 2069-2078 (2009).
D. van der Heijde, et al., "Secukinumab Provides Significant and Sustained Inhibition of Joint Structural Damage in a Phase III Study of Active Psoriatic Arthritis" Arthritis & Rheumatology Brief Report, Accepted Article DOI: 10.1002/art.39685, American College of Rheumatology, (2016) pp. 1-27.
De et al., Methods in Molecular Biology 1184, second edition, Human Press (2014).
Drug Discovery & Development "Lycera's Oral Immunotherapy May Have Anti-Cancer Activity," Dated Nov. 7, 2014. (2 pages).
Dussault et al., "Orphan nuclear receptor RORα-deficient mice display the cerebellar defects of staggerer," 70 Mech. Develop. 147-53 (1998).
Eberl et al., "An essential function for the nuclear receptor RORγt in the generation of fetal lymphoid tissue inducer cells," 5(1) Nat. Immunol. 64-73 (2004).
English Abstract JP6-250441 published 1994 (1 page).
English Abstract of JP2004307487A published 2004 (2 pages).
Figueroa-Vega et al., "Increased Circulating Pro-Inflammatory Cytokines and Th17 Lymphocytes in Hashimoto's Thyroiditis," 95(2) J. Clin. Endocrinol. Metab. 953-62 (2010).
Gennaro (ed.), Remington: The Science and Practice of Pharmacy, 20th edition (2000).
Giguère et al., "Isoform-specific amino-terminal domains dictate DNA-binding properties of RORα, a novel family of orphan hormone nuclear receptors," 8 Genes & Develop. 538-53 (1994).
Gnerlich et al., "Induction of Th17 Cells in the Tumor Microenvironment Improves Survival in a Murine Model of Pancreatic Cancer," The Journal of Immunology, vol. 185, pp. 4063-4071, (2010).
Gould, "Salt selection for basic drugs," 33 Int'l J. Pharmaceutics 201-217 (1986).
Grasa et al., "Amination Reactions of Aryl Halides with Nitrogen-Containing Reagents Mediated by Palladium/Imidazolium Salt Systems," 66 J. Org. Chem. 7729-37 (2001).
Greene & Wuts, Protective Groups in Organic Synthesis, 2d Edition (1991).
Guimond et al., "Rhodium(III)-Catalyzed Isoquinolone Synthesis: the N—O Bond as a Handle for C—N Bond Formation and Catalyst Turnover," 132(20) J. Am. Chem. Soc. 6908-09 (2010).
Hanessian et al., "A versatile protocol for the stereocontrolled elaboration of vicinal secondary and tertiary centers of relevance to natural product synthesis," 52(6) J. Org. Chem. 1170-72 (1987).
Hanyu et al., "Cholesterol sulfate induces expression of the skin barrier protein filaggrin in normal human epidermal keratinocytes through induction of RORα," Biochem. Biophys. Res. Commun., vol. 428, pp. 99-104 (2012).
Hauser et al., "Relative Ease of Cyclization of 2-, 3-, and 4-Aminopyridine Derivatives. Synthesis of Naphthyridines," 15 J. Org. Chem. 1224-32 (1950).
He et al., "RORγt, a Novel Isoform of an Orphan Receptor, Negatively Regulates Fas Ligand Expression and IL-2 Production in T Cells," 9 Immunity 797-806 (1998).
Hinrichs et al., "Type 17 CD8+ T cells display enhanced antitumor immunity," Blood, vol. 114, pp. 596-599, (2009).
Hirose et al., "RORγ: the third member of ROR/RZR orphan receptor subfamily that is highly expressed in skeletal muscle," 205 Biochem. Biophys. Res. Comm. 1976-83 (1994).
Hu et al. In "RORγ Agonists as a Novel Immunotherapy Approach for Cancer" in American Association for Cancer Research Annual Meeting in Philadelphia, Pennsylvania, Apr. 21, 2015, Poster Session: Novel Immunomodulators, Abstract No. 4273.
Hu et al., "Sterol metabolism controls TH17 differentiation by generating endogenous RORγ agonists," Nature Chemical Biology, vol. 11, pp. 141-147 (2015).
Huang, Z. et al. "Retinoid-related orphan receptor γt is a potential therapeutic target for controlling inflammatory autoimmunity," Expert Opin. Ther. Targets (2007) vol. 11, No. 6, pp. 737-743.
Hueber et al., "Cutting Edge: Mast Cells Express IL-17A in Rheumatoid Arthritis Synovium," 184 J. Immunol. 3336-40 (2010).
Huh et al., "Small molecule inhibitors of RORγt: Targeting Th17 cells and other applications," 42 Eur. J. Immunol. 2232-2237 (2012).
Iida et al., "Tumor-Infiltrating CD4+Th17 Cells Produce IL-17 in Tumor Microenvironment and Promote Tumor Progression in Human Gastric Cancer," Oncology Reports, vol. 25, pp. 1271-1277 (2011).
Ikonen, "Cellular cholesterol trafficking and compartmentalization," Nat. Rev. Mol. Cell Biol., vol. 9, pp. 125-138 (2008).
International Preliminary Report on Patentability for International Application No. PCT/US2015/029167 dated Jul. 4, 2017 (13 pages).
International Search Report and Written Opinion for International Application No. PCT/US2015/017977 dated Jun. 23, 2015 (10 pages).
International Search Report and Written Opinion for International Application No. PCT/US2015/029167 dated Jun. 13, 2017 (25 pages).
International Search Report and Written Opinion for International Application No. PCT/US2015/029240 dated Jan. 29, 2016 (14 pages).
International Search Report and Written Opinion for International Application No. PCT/US2016/030882 dated Jun. 6, 2016 (17 pages).
International Search Report and Written Opinion for International Application No. PCT/US2016/036889 dated Sep. 9, 2016 (17 pages).
International Search Report and Written Opinion for PCT/US2011/059788 dated May 23, 2012 (23 pages).
International Search Report and Written Opinion for PCT/US2013/039422 dated Oct. 11, 2013 (9 pages).
International Search Report and Written Opinion for PCT/US2013/039839 dated Oct. 18, 2013 (8 pages).
International Search Report and Written Opinion for PCT/US2013/040085 dated Oct. 23, 2013 (9 pages).
International Search Report and Written Opinion for PCT/US2014/071656 dated Mar. 12, 2015 (8 pages).
International Search Report and Written Opinion for PCT/US2014/071663 dated Apr. 17, 2015 (6 pages).
International Search Report and Written Opinion for PCT/US2014/071671 dated Apr. 28, 2015 (10 pages).
Ishikura et al., "An Efficient Synthesis of 3-Heteroarylpyridines via Diethyl-(3-pyridyl)-borane," Synthesis 936-38 (1984).
Ivanov et al., "The Orphan Nuclear Receptor RORγt Directs the Differentiation Program of Proinflammatory IL-17+ T Helper Cells," 126 Cell 1121-33 (2006).
Jayashree et al., "Design and synthesis of 2-quinolones as antioxidants and antimicrobials: a rational approach," 19 Med. Chem. Res. 193-209 (2010).
Jia et al., "The T helper type 17/regulatory T cell imbalance in patients with acute Kawasaki disease," 162 Clin. Exp. Immunol. 131-37 (2010).
Jiang et al., "Synthesis and Cytotoxicity Evaluation of Novel Indolylpyrimidines and Indolylpyrazines as Potential Antitumor Agents," 9 Bioorg. Med. Chem. 1149-54 (2001).
Jin et al., "Structural Basis for Hydroxycholesterols as Natural Ligands of Orphan Nuclear Receptor RORγ," Mol. Endocrinol. (2010) vol. 24, No. 5, pp. 923-929.
June, C. H. "Adoptive T cell therapy for cancer in the clinic," J. Clin. Invest. (2007) vol. 117, No. 6, pp. 1466-1476.
Kallen et al., "Crystal structure of the human RORα ligand binding domain in complex with cholesterol sulfate at 2.2 Å," J. Biol. Chem., vol. 279, pp. 14033-14038 (2004).
Kastelein et al., "Discovery and Biology of IL-23 and IL-27: Related but Functionally Distinct Regulators of Inflammation," 25 Annu. Rev. Immunol. 221-42 (2007).
Kidani et al., "The sterol regulatory element binding proteins are essential for the metabolic programming of effector T cells and adaptive immunity," Nat. Immunol., vol. 14, pp. 489-499 (2013).
Krueger, "A welcome surprise in psoriasis", Nature Medicine, (2012) vol. 18, No. 12, pp. 1750- 1751.
Kryczek et al., "Phenotype, distribution, generation, and functional and clinical relevance of Th17 cells in the human tumor environments," The American Society of Hematology, vol. 114, pp. 1141-1149, (2009).
Kurebayashi et al., "Selective LXXLL peptides antagonize transcriptional activation by the retinoid-related orphan receptor RORγ," 315 Biochem. Biophys. Res. Comm. 919-27 (2004).
Leonardi, et al., "Anti-Interleukin-17 Monoclonal Antibody Ixekizumab in Chronic Plaque Psoriasis", The New England Journal of Medicine, (2012) vol. 366, Iss. 13, pp. 1-10.
Li et al., "Chemical Libraries via Sequential C—H Functionalization of Phenols," 10 J. Comb. Chem. 170-74 (2008).
Li et al., "Synthesis and Resolution of a Novel Chiral Diamine Ligand and Application to Asymmetric Lithiation-Substitution," 2 Org. Lett. 875-78 (2000).
Liao et al., "Association Between Th17-Related Cytokines and Risk of Non-Small Cell Lung Cancer Among Patients With or Without Chronic Obstructive Pulmonary Disease," Cancer, pp. 3122-3129 (2015).
Liu et al., "1-Sulfonylindazoles as potent and selective 5-HT6 ligands," 19 Bioorg. Med. Chem. Lett. 2413-15 (2009).
Louten et al., "Development and function of TH17 cells in health and disease," 123(5) J. Allergy Clin. Immunol. 1004-11 (2009).
Lycera "Lycera Announces Research Showing Promising Anti-Cancer Activity of Novel, Oral Immunotherapy Candidates," Press release dated Feb. 9, 2015. (2 pages).
Ma et al., "25-Hydroxycholesterol-3-sulfate regulates macrophage lipid metabolism via the LXR/SREBP-1 signaling pathway," Am. J. Physiol. Endocrinol. Metab., vol. 295, pp. E1369-E1379 (2008).
Ma et al., "Contribution of IL-17-producing y8 T cells to the efficacy of anticancer chemotherapy," J. Exp. Med., vol. 208, pp. 491-503, (2011).
Martinez, "Th17-biased RORγt transgenic mice become susceptible to a viral model for multiple sclerosis", Brain, Behavior, and Immunity, (2014) vol. 43, pp. 86-97.
Martin-Orozco, N. et al. "Th17 cells promote cytotoxic T cell activation in tumor immunity," Author manuscript available in PMC on Nov. 20, 2010, published in final edited form in Immunity (2009) vol. 31, pp. 787-798.
Medvedev et al., "Cloning of a cDNA encoding the murine orphan receptor RZR/RORγ and characterization of its response element," 181 Gene 199-206 (1996).
Miossec et al., "Interleukin-17 and Type 17 Helper T Cells," 361(9) New Eng. J. Med. 888-98 (2009).
Munegowda et al., "Th17 and Th17-stimulated CD8 + T cells play a distinct role in Th17-induced preventive and therapeutic antitumor immunity," Cancer Immunol Immunother, vol. 60, (2011), one page, Abstract only.
Muranski et al., "Tumor-specific Th17-polarized cells eradicate large established melanoma," Blood, vol. 112, pp. 362-373, (2008).
Murase et al., "A New Concise Synthesis of Arcyriacyanin A and Its Unique Inhibitory Activity against a Panel of Human Cancer Cell Line," 48(1) Chem. Pharm. Bull. 81-84 (2000).
Nakajima, et al., "IL-17A as an Inducer for Th2 Immune Responses in Murine Atopic Dermatitis Models", Journal of Investigative Dermatology, (2014) vol. 134, pp. 2122-2130.
Nelson et al., "The Inducible Costimulator Augments Tc17 Cell Responses to Self and Tumor Tissue," The Journal of Immunology, vol. 194, pp. 1737-1747, (2015).
Ninomiya et al., "Phosphorous in Organic Synthesis—VII: Diphenyl Phosphorazidate (DPPA). A New Convenient Reagent for a Modified Curtius Reaction," 30 Tetrahedron 2151-57 (1975).
Nunez et al., "T helper type 17 cells contribute to anti-tumour immunity and promote the recruitment of T helper type 1 cells to the tumour," Immunology, vol. 139, pp. 61-71, (2012).
Nyrkova et al., "Synthesis of a New Heterocyclic System—3,4-Diazaphenoxazine," 1(9) J. Org. Chem. USSR, 1711-14, translating 1(9) Zh. Org. Khimii, 1688-91 (1965).
Ortiz et al., "TOR: a new orphan receptor expressed in the thymus that can modulate retinoid and thyroid hormone signals," 9 Mol. Endocrinol. 1679-91 (1995).
Papp, et al. "Brodalumab, an Anti-Interleukin-17-Receptor Antibody for Psoriasis", The New England Journal of Medicine, (2012) vol. 366, Iss. 13, 9 pgs.
Pardoll, D. M. "The blockade of immune checkpoints in cancer immunotherapy," Nature Rev. Cancer (2012) vol. 12, pp. 252-264.
Restifo, N. P. et al. "Adoptive immunotherapy for cancer: harnessing the T cell response," Nature Rev. lmmunol. (2012) vol. 12, pp. 269-281.
Santilli et al., "Synthesis of 5,6,7,8-Tetrahydro-5-oxopyrido[2,3-d] pyrimidine-6-carbonitriles and—6-carboxylic Acid Esters," 12 J. Het. Chem. 311-16 (1975).
Skepner, J. et al. "Pharmacologic Inhibition of RORγt Regulates Th17 Signature Gene Expression and Suppresses Cutaneous Inflammation In Vivo," downloaded from the Internet at http://www.jimmunol.org/cgi/doi/10.4049/jimmunol.1302190 on Feb. 17, 2014, published in final edited form in J. Immunol. (2014) vol. 192, No. 6, pp. 2564-2575.
Skraup, "Eine Synthese des Chinolins," 13 Berichte 2086-87 (1880).
Smith, "The Bench-to-Bedside Story of IL-17 and the Therapeutic Efficacy of its Targeting in Spondyloarthritis", Curr Rheumatol Rep. (2016) vol. 18, pp. 1-10.
Solt et al., "Action of RORs and their ligands in (patho)physiology," 23(12) Trends in Endocrinology and Metabolism. 619-627 (2012).
Solt et al., "Identification of a selective RORγ ligand that suppresses TH17 cells and stimulates T regulatory cells," ACS Chem. Biol., vol. 7, pp. 1515-1519 (2012).
Song et al., "Auto-oxidized cholesterol sulfates are antagonistic ligands of liver X receptors: implications for the development and treatment of atherosclerosis," Steroids, vol. 66, pp. 473-479 (2001).
Soroosh et al., "Oxysterols are agonist ligands of RORyt and drive Th17 cell differentiation," PNAS, vol. 111, pp. 12163-12168, (2014).
Spann et al., "Regulated accumulation of desmosterol integrates macrophage lipid metabolism and inflammatory responses," Cell, vol. 151, pp. 138-152 (2012).
Spann et al., "Sterols and oxysterols in immune cell function," Nat. Immunol., vol. 14, pp. 893-900 (2013).
Stefko et al., "General and Modular Synthesis of Isomeric 5-Substituted Pyridin-2-yl and 6-Substituted Pyridin-3-yl C-Ribonucleosides Bearing Diverse Alkyl, Aryl, Hetaryl, Amino, Carbamoyl, and Hydroxy Groups," 76 J. Org. Chem. 6619-35 (2011).
STN Chemical Structure Search Results (dated Jun. 5, 2015; 13 pages).
STN Chemical Structure Search Results (dated May 2, 2014; 10 pages).
STN Chemical Structure Search Results (dated May 2, 2014; 28 pages).
STN Columbus, pp. 1-40 (2011).
Sun et al., "Requirement for RORγ in Thymocyte Survival and Lymphoid Organ Development," 288 Science 2369-72 (2000).
Sutton et al., "Interleukin-1 and IL-23 Induce Innate IL-17 Production from γδ T Cells, Amplifying Th17 Responses and Autoimmunity," 31 Immunity 331-41 (2009).
Takano et al., "A new synthesis of a steroid side chain via stereocontrolled protonation: synthesis of (−)-desmosterol," 14 J. Chem. Soc., Chem. Commun. 760-61 (1983).
Tavares, F. X. et al. "Potent, Selective, and Orally Efficacious Antagonists of Melanin-Concentrating Hormone Receptor 1," J. Med. Chem. (2006) vol. 49, No. 24, pp. 7095-7107.
Tlustochowicz, et al. "Efficacy and Safety of Subcutaneous and Intravenous Loading Dose Regimens of Secukinumab in Patients with Active Rheumatoid Arthritis: Results from a Randomized Phase II Study" The Journal of Rheumatology, (2016) vol. 43, No. 3, pp. 495-503.
U.S. Appl. No. 14/559,082, Retinoid-Related Orphan Receptor Gamma Modulators for Treatment of Cancer, Autoimmune Disorders, and Inflammatory Disorders and Use in Diagnostic Methods, filed Dec. 3, 2014.
U.S. Appl. No. 15/120,798, Adoptive Cellular Therapy Using an Agonist of Retinoic Acid Receptor-Related Orphan Receptor Gamma & Related Therapeutic Methods, filed Aug. 23, 2016.
U.S. Appl. No. 15/205,212, Tetrahydro[1,8]Naphthyridine Sulfonamide and Related Compounds for Use as Agonists of RORgamma and the Treatment of Disease, filed Jul. 8, 2016.
U.S. Appl. No. 15/308,734, Benzenesulfonamido and Related Compounds for Use as Agonists of RORγ and the Treatment of Disease, filed Nov. 3, 2016.
Van Heerden et al., "Dibutylboron triflate promoted conjugate addition of benzylic and allylic organocopper reagents to chiral α,β-unsaturated N-acyl imidazolidinones" 38(10) Tet. Lett. 182-124 (1997).
Villey et al., "RORγT, a thymus-specific isoform of the orphan nuclear receptor RORγ/TOR, is up-regulated by signaling through the pre-T cell receptor and binds to the TEA promoter," 29 Eur. J. Immunol. 4072-80 (1999).
Wang et al., "A second class of nuclear receptors for oxysterols: Regulation of RORα and RORγ activity by 24S-hydroxycholesterol (cerebrosterol)," Biochim. Biophys. Acta, vol. 1801, pp. 917-923 (2010).
Wang et al., "Identification of SR1078, a Synthetic Agonist for the Orphan Nuclear Receptors RORα and RORγ," 5(11) ACS Chem. Biol. 1029-34 (2010).
Wang et al., "Modulation of Retinoic Acid Receptor-related Orphan Receptor α and γ Activity by 7-Oxygenated Sterol Ligands," J. Biol. Chem. (2010) vol. 285, No. 7, pp. 5013-5025.
Wang et al., "Synthesis of new carbon-11-labeled 7-aroyl-aminoindoline-1-sulfonamides as potential PET agents for imaging of tubulin polymerization in cancers," 51(1) J. Label. Compd. Radiopharm. 6-11 (2008).
Wiesenberg et al., "Transcriptional activation of the nuclear receptor RZRα by the pineal gland hormone melatonin and identification of CGP 52608 as a synthetic ligand," 23(3) Nucl. Acids Res. 327-33 (1995).
X. Hu et al. In Poster Presentation Entitled "Novel, Synthetic RORgamma Agonist Compounds as a Potential Anti-Cancer Approach" at Society for Immunotherapy of Cancer (SITC) Meeting 2014, Nov. 6-9, 2014.
Xiao, et al., "Small-Molecule RORγt Antagonists Inhibit T Helper 17 Cell Transcriptional Network by Divergent Mechanisms", Immunity (2014) vol. 40, pp. 477-489.
Xie et al., "RORγt Recruits Steroid Receptor Coactivators to Ensure Thymocyte Survival," 175(6) J. Immunol. 3800-09 (2005).
Yang et al., "Sterol intermediates from cholesterol biosynthetic pathway as liver X receptor ligands," J. Biol. Chem., vol. 281, pp. 27816-27826 (2006).
Yang et al., "T Helper 17 Lineage Differentiation is programmed by Orphan Nuclear Receptors RORα and RORγ," 28 Immunity 29-39 (2008).
Yang, S. M. and Murray, W. V. "Microwave assisted ring-opening of epoxides with N-biaryl sulfonamides in the synthesis of matrix metalloproteinase-9 inhibitors," Tetrahedron Lett. (2008) vol. 49, No. 5, pp. 835-839.
Yang, T. et al. "Discovery of Tertiary Amine and Indole Derivatives as Potent RORγt Inverse Agonists," ACS Med. Chem. Lett. (2014) vol. 5, pp. 65-68.
Yeh et al., "Practical Cu-catalyzed amination of functionalized heteroaryl halides," 47(34) Tetrahedron Lett. 6011-16 (2006).
Zhang et al., "Increasing Human Th17 Differentiation Through Activation of Orphan Nuclear Receptor Retinoid Acid-Related Orphan Receptor γ (RORγ) by a Class of Aryl Amide Compounds," Molecular Pharmacology, vol. 82, pp. 583-590 (2012).
Zhao. S.-H. et al. "3,4-Dihydro-2H-benzo[1,4]oxazine Derivatives as 5-HT6 Receptor Antagonists," Bioorg. Med. Chem. Lett. (2007) vol. 17, pp. 3504-3507.
Zhu et al., "The Direct Formulation of Functionalized Alkyl(aryl)zinc halides by Oxidative Addition of Highly Reactive Zinc with Organic Halides and Their Reactions with Acid Chlorides, α,β-Unsaturated Ketones, and Allylic, Aryl, and Vinyl Halides," 56 J. Org. Chem. 1445-53 (1991).
Zhu, J. et al. "Differentiation of Effector CD4 T Cell Populations," Author manuscript available in PMC on Nov. 20, 2012, published in final edited form in Annu. Rev. Immunol. (2010) vol. 28, pp. 445-489.
Zhu, W. et al. "Potent 11β-Hydroxylase Inhibitors with Inverse Metabolic Stability in Human Plasma and Hepatic S9 Fractions to Promote Wound Healing," J. Med. Chem. (2014) vol. 57, No. 18, pp. 7811-7817.

Cited By (6)

* Cited by examiner, † Cited by third party
Publication number Priority date Publication date Assignee Title
US10532088B2 (en) 2014-02-27 2020-01-14 Lycera Corporation Adoptive cellular therapy using an agonist of retinoic acid receptor-related orphan receptor gamma and related therapeutic methods
US10364237B2 (en) 2014-05-05 2019-07-30 Lycera Corporation Tetrahydroquinoline sulfonamide and related compounds for use as agonists of RORγ and the treatment of disease
US10442798B2 (en) 2014-05-05 2019-10-15 Lycera Corporation Tetrahydroquinoline sulfonamide and related compounds for use as agonists of RORγ and the treatment of disease
US10421751B2 (en) * 2015-05-05 2019-09-24 Lycera Corporation Dihydro-2H-benzo[b][1,4]oxazine sulfonamide and related compounds for use as agonists of RORγ and the treatment of disease
US10611740B2 (en) 2015-06-11 2020-04-07 Lycera Corporation Aryl dihydro-2H-benzo[b][1,4]oxazine sulfonamide and related compounds for use as agonists of RORγ and the treatment of disease
US11059796B2 (en) 2015-06-11 2021-07-13 The Regents Of The University Of Michigan Aryl dihydro-2H benzo[b][1,4]oxazine sulfonamide and related compounds for use as agonists of RORγ and the treatment of disease

Also Published As

Publication number Publication date
US10442798B2 (en) 2019-10-15
US20170183331A1 (en) 2017-06-29
US10364237B2 (en) 2019-07-30
AU2015256190A1 (en) 2016-12-08
AU2015256190B2 (en) 2019-08-15
JP2017514855A (en) 2017-06-08
US20180265502A1 (en) 2018-09-20
WO2015171610A3 (en) 2016-03-17
US20180208587A1 (en) 2018-07-26
JP6728061B2 (en) 2020-07-22
WO2015171610A2 (en) 2015-11-12
CA2947290A1 (en) 2015-11-12
EP3140291A4 (en) 2018-01-10
EP3140291A2 (en) 2017-03-15

Similar Documents

Publication Publication Date Title
US10442798B2 (en) Tetrahydroquinoline sulfonamide and related compounds for use as agonists of RORγ and the treatment of disease
US11059796B2 (en) Aryl dihydro-2H benzo[b][1,4]oxazine sulfonamide and related compounds for use as agonists of RORγ and the treatment of disease
US10421751B2 (en) Dihydro-2H-benzo[b][1,4]oxazine sulfonamide and related compounds for use as agonists of RORγ and the treatment of disease
US10208061B2 (en) Tetrahydro[1,8]naphthyridine sulfonamide and related compounds for use as agonists of RORγ and the treatment of disease
US10532088B2 (en) Adoptive cellular therapy using an agonist of retinoic acid receptor-related orphan receptor gamma and related therapeutic methods
US10189777B2 (en) Benzenesulfonamido and related compounds for use as agonists of RORγ and the treatment of disease
WO2018165501A1 (en) INDOLINYL SULFONAMIDE AND RELATED COMPOUNDS FOR USE AS AGONISTS OF RORγ AND THE TREATMENT OF DISEASE

Legal Events

Date Code Title Description
AS Assignment

Owner name: LYCERA CORPORATION, MICHIGAN

Free format text: ASSIGNMENT OF ASSIGNORS INTEREST;ASSIGNORS:AICHER, THOMAS DANIEL;TAYLOR, CLARKE B.;VANHUIS, CHAD A.;SIGNING DATES FROM 20150529 TO 20150601;REEL/FRAME:040730/0124

STCF Information on status: patent grant

Free format text: PATENTED CASE

AS Assignment

Owner name: WILMINGTON TRUST, NATIONAL ASSOCIATION, MINNESOTA

Free format text: SECURITY INTEREST;ASSIGNOR:LYCERA CORP.;REEL/FRAME:048002/0201

Effective date: 20190102

FEPP Fee payment procedure

Free format text: MAINTENANCE FEE REMINDER MAILED (ORIGINAL EVENT CODE: REM.); ENTITY STATUS OF PATENT OWNER: LARGE ENTITY

LAPS Lapse for failure to pay maintenance fees

Free format text: PATENT EXPIRED FOR FAILURE TO PAY MAINTENANCE FEES (ORIGINAL EVENT CODE: EXP.); ENTITY STATUS OF PATENT OWNER: LARGE ENTITY

STCH Information on status: patent discontinuation

Free format text: PATENT EXPIRED DUE TO NONPAYMENT OF MAINTENANCE FEES UNDER 37 CFR 1.362

FP Lapsed due to failure to pay maintenance fee

Effective date: 20220220