US9718803B2 - Unsaturated nitrogen heterocyclic compounds useful as PDE10 inhibitors - Google Patents

Unsaturated nitrogen heterocyclic compounds useful as PDE10 inhibitors Download PDF

Info

Publication number
US9718803B2
US9718803B2 US14/973,491 US201514973491A US9718803B2 US 9718803 B2 US9718803 B2 US 9718803B2 US 201514973491 A US201514973491 A US 201514973491A US 9718803 B2 US9718803 B2 US 9718803B2
Authority
US
United States
Prior art keywords
pyrazin
azetidin
alk
pharmaceutically acceptable
acceptable salt
Prior art date
Legal status (The legal status is an assumption and is not a legal conclusion. Google has not performed a legal analysis and makes no representation as to the accuracy of the status listed.)
Active
Application number
US14/973,491
Other versions
US20160102075A1 (en
Inventor
Jennifer R. Allen
Jian J. Chen
Michael J. Frohn
Essa Hu Harrington
Qingyian Liu
Alexander J. Pickrell
Shannon Rumfelt
Robert M. Rzasa
Wenge Zhong
Current Assignee (The listed assignees may be inaccurate. Google has not performed a legal analysis and makes no representation or warranty as to the accuracy of the list.)
Amgen Inc
Original Assignee
Amgen Inc
Priority date (The priority date is an assumption and is not a legal conclusion. Google has not performed a legal analysis and makes no representation as to the accuracy of the date listed.)
Filing date
Publication date
Family has litigation
First worldwide family litigation filed litigation Critical https://patents.darts-ip.com/?family=44278966&utm_source=google_patent&utm_medium=platform_link&utm_campaign=public_patent_search&patent=US9718803(B2) "Global patent litigation dataset” by Darts-ip is licensed under a Creative Commons Attribution 4.0 International License.
Application filed by Amgen Inc filed Critical Amgen Inc
Priority to US14/973,491 priority Critical patent/US9718803B2/en
Publication of US20160102075A1 publication Critical patent/US20160102075A1/en
Assigned to AMGEN INC. reassignment AMGEN INC. ASSIGNMENT OF ASSIGNORS INTEREST (SEE DOCUMENT FOR DETAILS). Assignors: RUMFELT, SHANNON, HU, ESSA, RZASA, ROBERT M., ZHONG, WENGE, ALLEN, JENNIFER R., CHEN, JIAN J., FROHN, MICHAEL J., LIU, QINGYIAN, PICKRELL, ALEXANDER J.
Application granted granted Critical
Publication of US9718803B2 publication Critical patent/US9718803B2/en
Active legal-status Critical Current
Anticipated expiration legal-status Critical

Links

Classifications

    • CCHEMISTRY; METALLURGY
    • C07ORGANIC CHEMISTRY
    • C07DHETEROCYCLIC COMPOUNDS
    • C07D401/00Heterocyclic compounds containing two or more hetero rings, having nitrogen atoms as the only ring hetero atoms, at least one ring being a six-membered ring with only one nitrogen atom
    • C07D401/14Heterocyclic compounds containing two or more hetero rings, having nitrogen atoms as the only ring hetero atoms, at least one ring being a six-membered ring with only one nitrogen atom containing three or more hetero rings
    • AHUMAN NECESSITIES
    • A61MEDICAL OR VETERINARY SCIENCE; HYGIENE
    • A61PSPECIFIC THERAPEUTIC ACTIVITY OF CHEMICAL COMPOUNDS OR MEDICINAL PREPARATIONS
    • A61P25/00Drugs for disorders of the nervous system
    • AHUMAN NECESSITIES
    • A61MEDICAL OR VETERINARY SCIENCE; HYGIENE
    • A61PSPECIFIC THERAPEUTIC ACTIVITY OF CHEMICAL COMPOUNDS OR MEDICINAL PREPARATIONS
    • A61P25/00Drugs for disorders of the nervous system
    • A61P25/14Drugs for disorders of the nervous system for treating abnormal movements, e.g. chorea, dyskinesia
    • AHUMAN NECESSITIES
    • A61MEDICAL OR VETERINARY SCIENCE; HYGIENE
    • A61PSPECIFIC THERAPEUTIC ACTIVITY OF CHEMICAL COMPOUNDS OR MEDICINAL PREPARATIONS
    • A61P25/00Drugs for disorders of the nervous system
    • A61P25/14Drugs for disorders of the nervous system for treating abnormal movements, e.g. chorea, dyskinesia
    • A61P25/16Anti-Parkinson drugs
    • AHUMAN NECESSITIES
    • A61MEDICAL OR VETERINARY SCIENCE; HYGIENE
    • A61PSPECIFIC THERAPEUTIC ACTIVITY OF CHEMICAL COMPOUNDS OR MEDICINAL PREPARATIONS
    • A61P25/00Drugs for disorders of the nervous system
    • A61P25/18Antipsychotics, i.e. neuroleptics; Drugs for mania or schizophrenia
    • AHUMAN NECESSITIES
    • A61MEDICAL OR VETERINARY SCIENCE; HYGIENE
    • A61PSPECIFIC THERAPEUTIC ACTIVITY OF CHEMICAL COMPOUNDS OR MEDICINAL PREPARATIONS
    • A61P25/00Drugs for disorders of the nervous system
    • A61P25/24Antidepressants
    • AHUMAN NECESSITIES
    • A61MEDICAL OR VETERINARY SCIENCE; HYGIENE
    • A61PSPECIFIC THERAPEUTIC ACTIVITY OF CHEMICAL COMPOUNDS OR MEDICINAL PREPARATIONS
    • A61P25/00Drugs for disorders of the nervous system
    • A61P25/28Drugs for disorders of the nervous system for treating neurodegenerative disorders of the central nervous system, e.g. nootropic agents, cognition enhancers, drugs for treating Alzheimer's disease or other forms of dementia
    • AHUMAN NECESSITIES
    • A61MEDICAL OR VETERINARY SCIENCE; HYGIENE
    • A61PSPECIFIC THERAPEUTIC ACTIVITY OF CHEMICAL COMPOUNDS OR MEDICINAL PREPARATIONS
    • A61P25/00Drugs for disorders of the nervous system
    • A61P25/30Drugs for disorders of the nervous system for treating abuse or dependence
    • AHUMAN NECESSITIES
    • A61MEDICAL OR VETERINARY SCIENCE; HYGIENE
    • A61PSPECIFIC THERAPEUTIC ACTIVITY OF CHEMICAL COMPOUNDS OR MEDICINAL PREPARATIONS
    • A61P25/00Drugs for disorders of the nervous system
    • A61P25/30Drugs for disorders of the nervous system for treating abuse or dependence
    • A61P25/36Opioid-abuse
    • AHUMAN NECESSITIES
    • A61MEDICAL OR VETERINARY SCIENCE; HYGIENE
    • A61PSPECIFIC THERAPEUTIC ACTIVITY OF CHEMICAL COMPOUNDS OR MEDICINAL PREPARATIONS
    • A61P3/00Drugs for disorders of the metabolism
    • A61P3/04Anorexiants; Antiobesity agents
    • AHUMAN NECESSITIES
    • A61MEDICAL OR VETERINARY SCIENCE; HYGIENE
    • A61PSPECIFIC THERAPEUTIC ACTIVITY OF CHEMICAL COMPOUNDS OR MEDICINAL PREPARATIONS
    • A61P3/00Drugs for disorders of the metabolism
    • A61P3/08Drugs for disorders of the metabolism for glucose homeostasis
    • A61P3/10Drugs for disorders of the metabolism for glucose homeostasis for hyperglycaemia, e.g. antidiabetics
    • AHUMAN NECESSITIES
    • A61MEDICAL OR VETERINARY SCIENCE; HYGIENE
    • A61PSPECIFIC THERAPEUTIC ACTIVITY OF CHEMICAL COMPOUNDS OR MEDICINAL PREPARATIONS
    • A61P43/00Drugs for specific purposes, not provided for in groups A61P1/00-A61P41/00
    • AHUMAN NECESSITIES
    • A61MEDICAL OR VETERINARY SCIENCE; HYGIENE
    • A61PSPECIFIC THERAPEUTIC ACTIVITY OF CHEMICAL COMPOUNDS OR MEDICINAL PREPARATIONS
    • A61P7/00Drugs for disorders of the blood or the extracellular fluid
    • A61P7/12Antidiuretics, e.g. drugs for diabetes insipidus
    • CCHEMISTRY; METALLURGY
    • C07ORGANIC CHEMISTRY
    • C07CACYCLIC OR CARBOCYCLIC COMPOUNDS
    • C07C53/00Saturated compounds having only one carboxyl group bound to an acyclic carbon atom or hydrogen
    • C07C53/15Saturated compounds having only one carboxyl group bound to an acyclic carbon atom or hydrogen containing halogen
    • C07C53/16Halogenated acetic acids
    • C07C53/18Halogenated acetic acids containing fluorine
    • CCHEMISTRY; METALLURGY
    • C07ORGANIC CHEMISTRY
    • C07DHETEROCYCLIC COMPOUNDS
    • C07D403/00Heterocyclic compounds containing two or more hetero rings, having nitrogen atoms as the only ring hetero atoms, not provided for by group C07D401/00
    • C07D403/14Heterocyclic compounds containing two or more hetero rings, having nitrogen atoms as the only ring hetero atoms, not provided for by group C07D401/00 containing three or more hetero rings
    • CCHEMISTRY; METALLURGY
    • C07ORGANIC CHEMISTRY
    • C07DHETEROCYCLIC COMPOUNDS
    • C07D405/00Heterocyclic compounds containing both one or more hetero rings having oxygen atoms as the only ring hetero atoms, and one or more rings having nitrogen as the only ring hetero atom
    • C07D405/14Heterocyclic compounds containing both one or more hetero rings having oxygen atoms as the only ring hetero atoms, and one or more rings having nitrogen as the only ring hetero atom containing three or more hetero rings
    • CCHEMISTRY; METALLURGY
    • C07ORGANIC CHEMISTRY
    • C07DHETEROCYCLIC COMPOUNDS
    • C07D409/00Heterocyclic compounds containing two or more hetero rings, at least one ring having sulfur atoms as the only ring hetero atoms
    • C07D409/14Heterocyclic compounds containing two or more hetero rings, at least one ring having sulfur atoms as the only ring hetero atoms containing three or more hetero rings
    • CCHEMISTRY; METALLURGY
    • C07ORGANIC CHEMISTRY
    • C07DHETEROCYCLIC COMPOUNDS
    • C07D413/00Heterocyclic compounds containing two or more hetero rings, at least one ring having nitrogen and oxygen atoms as the only ring hetero atoms
    • C07D413/14Heterocyclic compounds containing two or more hetero rings, at least one ring having nitrogen and oxygen atoms as the only ring hetero atoms containing three or more hetero rings
    • CCHEMISTRY; METALLURGY
    • C07ORGANIC CHEMISTRY
    • C07DHETEROCYCLIC COMPOUNDS
    • C07D417/00Heterocyclic compounds containing two or more hetero rings, at least one ring having nitrogen and sulfur atoms as the only ring hetero atoms, not provided for by group C07D415/00
    • C07D417/14Heterocyclic compounds containing two or more hetero rings, at least one ring having nitrogen and sulfur atoms as the only ring hetero atoms, not provided for by group C07D415/00 containing three or more hetero rings
    • CCHEMISTRY; METALLURGY
    • C07ORGANIC CHEMISTRY
    • C07DHETEROCYCLIC COMPOUNDS
    • C07D471/00Heterocyclic compounds containing nitrogen atoms as the only ring hetero atoms in the condensed system, at least one ring being a six-membered ring with one nitrogen atom, not provided for by groups C07D451/00 - C07D463/00
    • C07D471/02Heterocyclic compounds containing nitrogen atoms as the only ring hetero atoms in the condensed system, at least one ring being a six-membered ring with one nitrogen atom, not provided for by groups C07D451/00 - C07D463/00 in which the condensed system contains two hetero rings
    • C07D471/04Ortho-condensed systems
    • CCHEMISTRY; METALLURGY
    • C07ORGANIC CHEMISTRY
    • C07DHETEROCYCLIC COMPOUNDS
    • C07D471/00Heterocyclic compounds containing nitrogen atoms as the only ring hetero atoms in the condensed system, at least one ring being a six-membered ring with one nitrogen atom, not provided for by groups C07D451/00 - C07D463/00
    • C07D471/02Heterocyclic compounds containing nitrogen atoms as the only ring hetero atoms in the condensed system, at least one ring being a six-membered ring with one nitrogen atom, not provided for by groups C07D451/00 - C07D463/00 in which the condensed system contains two hetero rings
    • C07D471/08Bridged systems
    • CCHEMISTRY; METALLURGY
    • C07ORGANIC CHEMISTRY
    • C07DHETEROCYCLIC COMPOUNDS
    • C07D487/00Heterocyclic compounds containing nitrogen atoms as the only ring hetero atoms in the condensed system, not provided for by groups C07D451/00 - C07D477/00
    • C07D487/02Heterocyclic compounds containing nitrogen atoms as the only ring hetero atoms in the condensed system, not provided for by groups C07D451/00 - C07D477/00 in which the condensed system contains two hetero rings
    • C07D487/04Ortho-condensed systems
    • CCHEMISTRY; METALLURGY
    • C07ORGANIC CHEMISTRY
    • C07DHETEROCYCLIC COMPOUNDS
    • C07D487/00Heterocyclic compounds containing nitrogen atoms as the only ring hetero atoms in the condensed system, not provided for by groups C07D451/00 - C07D477/00
    • C07D487/02Heterocyclic compounds containing nitrogen atoms as the only ring hetero atoms in the condensed system, not provided for by groups C07D451/00 - C07D477/00 in which the condensed system contains two hetero rings
    • C07D487/08Bridged systems
    • CCHEMISTRY; METALLURGY
    • C07ORGANIC CHEMISTRY
    • C07DHETEROCYCLIC COMPOUNDS
    • C07D487/00Heterocyclic compounds containing nitrogen atoms as the only ring hetero atoms in the condensed system, not provided for by groups C07D451/00 - C07D477/00
    • C07D487/02Heterocyclic compounds containing nitrogen atoms as the only ring hetero atoms in the condensed system, not provided for by groups C07D451/00 - C07D477/00 in which the condensed system contains two hetero rings
    • C07D487/10Spiro-condensed systems
    • CCHEMISTRY; METALLURGY
    • C07ORGANIC CHEMISTRY
    • C07DHETEROCYCLIC COMPOUNDS
    • C07D491/00Heterocyclic compounds containing in the condensed ring system both one or more rings having oxygen atoms as the only ring hetero atoms and one or more rings having nitrogen atoms as the only ring hetero atoms, not provided for by groups C07D451/00 - C07D459/00, C07D463/00, C07D477/00 or C07D489/00
    • C07D491/02Heterocyclic compounds containing in the condensed ring system both one or more rings having oxygen atoms as the only ring hetero atoms and one or more rings having nitrogen atoms as the only ring hetero atoms, not provided for by groups C07D451/00 - C07D459/00, C07D463/00, C07D477/00 or C07D489/00 in which the condensed system contains two hetero rings
    • C07D491/04Ortho-condensed systems
    • C07D491/056Ortho-condensed systems with two or more oxygen atoms as ring hetero atoms in the oxygen-containing ring
    • CCHEMISTRY; METALLURGY
    • C07ORGANIC CHEMISTRY
    • C07DHETEROCYCLIC COMPOUNDS
    • C07D491/00Heterocyclic compounds containing in the condensed ring system both one or more rings having oxygen atoms as the only ring hetero atoms and one or more rings having nitrogen atoms as the only ring hetero atoms, not provided for by groups C07D451/00 - C07D459/00, C07D463/00, C07D477/00 or C07D489/00
    • C07D491/02Heterocyclic compounds containing in the condensed ring system both one or more rings having oxygen atoms as the only ring hetero atoms and one or more rings having nitrogen atoms as the only ring hetero atoms, not provided for by groups C07D451/00 - C07D459/00, C07D463/00, C07D477/00 or C07D489/00 in which the condensed system contains two hetero rings
    • C07D491/08Bridged systems
    • CCHEMISTRY; METALLURGY
    • C07ORGANIC CHEMISTRY
    • C07DHETEROCYCLIC COMPOUNDS
    • C07D491/00Heterocyclic compounds containing in the condensed ring system both one or more rings having oxygen atoms as the only ring hetero atoms and one or more rings having nitrogen atoms as the only ring hetero atoms, not provided for by groups C07D451/00 - C07D459/00, C07D463/00, C07D477/00 or C07D489/00
    • C07D491/02Heterocyclic compounds containing in the condensed ring system both one or more rings having oxygen atoms as the only ring hetero atoms and one or more rings having nitrogen atoms as the only ring hetero atoms, not provided for by groups C07D451/00 - C07D459/00, C07D463/00, C07D477/00 or C07D489/00 in which the condensed system contains two hetero rings
    • C07D491/10Spiro-condensed systems
    • C07D491/107Spiro-condensed systems with only one oxygen atom as ring hetero atom in the oxygen-containing ring
    • CCHEMISTRY; METALLURGY
    • C07ORGANIC CHEMISTRY
    • C07DHETEROCYCLIC COMPOUNDS
    • C07D513/00Heterocyclic compounds containing in the condensed system at least one hetero ring having nitrogen and sulfur atoms as the only ring hetero atoms, not provided for in groups C07D463/00, C07D477/00 or C07D499/00 - C07D507/00
    • C07D513/02Heterocyclic compounds containing in the condensed system at least one hetero ring having nitrogen and sulfur atoms as the only ring hetero atoms, not provided for in groups C07D463/00, C07D477/00 or C07D499/00 - C07D507/00 in which the condensed system contains two hetero rings
    • C07D513/04Ortho-condensed systems

Definitions

  • PDE10 inhibitors certain unsaturated nitrogen heterocyclic compounds that are PDE10 inhibitors, pharmaceutical compositions containing such compounds, and processes for preparing such compounds.
  • Provided herein also are methods of treating disorders or diseases treatable by inhibition of PDE10, such as obesity, Huntington's disease, non-insulin dependent diabetes, schizophrenia, bipolar disorder, obsessive-compulsive disorder, and the like.
  • cAMP and cGMP cyclic nucleotide monophosphates
  • PKA cAMP-dependent protein kinase
  • Downstream mediators of cGMP signaling also include kinases and ion channels. In addition to actions mediated by kinases, cAMP and cGMP bind directly to some cell proteins and directly regulate their activities.
  • Cyclic nucleotides are produced from the actions of adenylyl cyclase and guanylyl cyclase, which convert ATP to cAMP and GTP to cGMP. Extracellular signals, often through the actions of G protein-coupled receptors, regulate the activities of the cyclases. Alternatively, the amount of cAMP and cGMP may be altered by regulating the activities of the enzymes that degrade cyclic nucleotides. Cell homeostasis is maintained by the rapid degradation of cyclic nucleotides after stimulus-induced increases. The enzymes that degrade cyclic nucleotides are called 3′,5′-cyclic nucleotide-specific phosphodiesterases (PDEs).
  • PDEs 3′,5′-cyclic nucleotide-specific phosphodiesterases
  • PDE1-PDE11 Eleven PDE gene families (PDE1-PDE11) have been identified based on their distinct amino acid sequences, catalytic and regulatory characteristics, and sensitivity to small molecule inhibitors. These families are coded for by 21 genes; and further multiple splice variants are transcribed from many of these genes. Expression patterns of each of the gene families are distinct. PDEs differ with respect to their affinity for cAMP and cGMP. Activities of different PDEs are regulated by different signals. For example, PDE1 is stimulated by Ca 2+ /calmodulin. PDE2 activity is stimulated by cGMP. PDE3 is inhibited by cGMP. PDE4 is cAMP specific and is specifically inhibited by rolipram. PDE5 is cGMP-specific. PDE6 is expressed in retina.
  • PDE10 sequences were identified by using bioinformatics and sequence information from other PDE gene families (Fujishige et al., J. Biol. Chem. 274:18438-18445, 1999; Loughney et al., Gene 234:109-117, 1999; Soderling et al., Proc. Natl. Acad. Sci. USA 96:7071-7076, 1999).
  • the PDE10 gene family is distinguished based on its amino acid sequence, functional properties and tissue distribution.
  • the human PDE10 gene is large, over 200 kilobases, with up to 24 exons coding for each of the splice variants.
  • the amino acid sequence is characterized by two GAF domains (which bind cGMP), a catalytic region, and alternatively spliced N and C termini. Numerous splice variants are possible because at least three alternative exons encode N termini and two exons encode C-termini.
  • PDE10A1 is a 779 amino acid protein that hydrolyzes both cAMP and cGMP. The K m values for cAMP and cGMP are 0.05 and 3.0 micromolar, respectively. In addition to human variants, several variants with high homology have been isolated from both rat and mouse tissues and sequence banks.
  • PDE10 RNA transcripts were initially detected in human testis and brain. Subsequent immunohistochemical analysis revealed that the highest levels of PDE10 are expressed in the basal ganglia. Specifically, striatal neurons in the olfactory tubercle, caudate nucleus and nucleus accumbens are enriched in PDE10. Western blots did not reveal the expression of PDE10 in other brain tissues, although immunoprecipitation of the PDE10 complex was possible in hippocampal and cortical tissues. This suggests that the expression level of PDE10 in these other tissues is 100-fold less than in striatal neurons. Expression in hippocampus is limited to the cell bodies, whereas PDE10 is expressed in terminals, dendrites and axons of striatal neurons.
  • the tissue distribution of PDE10 indicates that PDE10 inhibitors can be used to raise levels of cAMP and/or cGMP within cells that express the PDE10 enzyme, for example, in neurons that comprise the basal ganglia and therefore would be useful in treating a variety of neuropsychiatric conditions involving the basal ganglia such as obesity, non-insulin dependent diabetes, schizophrenia, bipolar disorder, obsessive compulsive disorder, and the like.
  • Noninvasive, nuclear imaging techniques can be used to obtain basic and diagnostic information about the physiology and biochemistry of a variety of living subjects including experimental animals, normal humans and patients. These techniques rely on the use of sophisticated imaging instrumentation that is capable of detecting radiation emitted from radiotracers administered to such living subjects. The information obtained can be reconstructed to provide planar and tomographic images that reveal distribution of the radiotracer as a function of time. Use of appropriately designed radiotracers can result in images which contain information on the structure, function and most importantly, the physiology and biochemistry of the subject. Much of this information cannot be obtained by other means.
  • radiotracers used in these studies are designed to have defined behaviors in vivo which permit the determination of specific information concerning the physiology or biochemistry of the subject or the effects that various diseases or drugs have on the physiology or biochemistry of the subject.
  • radiotracers are available for obtaining useful information concerning such things as cardiac function, myocardial blood flow, lung perfusion, liver function, brain blood flow, regional brain glucose and oxygen metabolism.
  • Compounds of the invention can be labeled with either positron or gamma emitting radionuclides.
  • positron emitting (PET) radionuclides are 11 C, 18 F, 15 O, 13 N, 76 Br, 77 Br, 123 I, or 125 I, wherein 11 C, 18 F, 123 I, or 125 I are preferred, all of which are accelerator produced.
  • PET positron emitting
  • the present invention comprises a new class of unsaturated nitrogen heterocyclic compounds useful in the treatment of diseases, such as PDE10-mediated diseases and other maladies, such as schizophrenia, Huntington's disease, bipolar disorder, or obsessive-compulsive disorder.
  • diseases such as PDE10-mediated diseases and other maladies, such as schizophrenia, Huntington's disease, bipolar disorder, or obsessive-compulsive disorder.
  • the invention also comprises pharmaceutical compositions comprising the compounds, methods for the treatment of PDE10-mediated diseases and other maladies, such as schizophrenia, Huntington's disease, bipolar disorder, or obsessive-compulsive disorder, using the compounds and compositions of the invention, and intermediates and processes useful for the preparation of the compounds of the invention.
  • Another aspect of the invention comprises a new class of unsaturated nitrogen heterocyclic compounds radiolabeled with a positron emitting radionuclide selected from 11 C, 18 F, 15 O, 13 N, 76 Br, 77 Br, 123 I, or 125 I, a radiopharmaceutical composition comprising the radiolabelled compound, a method for the diagnostic imaging of PDE10 receptors in a mammal, including human, or tissues bearing PDE10 receptors in a mammal, including human brain, which comprises administering to a mammal in need of such diagnostic imaging an effective amount of the radiolabeled compound, and a method for the detection or quantification of PDE10 receptors in mammalian tissue, including human tissue, which comprises contacting such mammalian tissue in which such detection or quantification is desired with an effective amount of the radiolabeled compound.
  • a radiopharmaceutical composition comprising the radiolabelled compound
  • X 1 is N or CR 6 ;
  • X 2 is N or CR 2 ;
  • X 3 is N or CR 3 ;
  • X 4 is N or CR 6 ;
  • X 5 is N or CR 6 ;
  • R 1 is halo, C 1-8 alk, C 1-4 haloalk, —OR c , —N(R a )C( ⁇ O)R b , —C( ⁇ O)R a , —C( ⁇ O)R c , —C( ⁇ O)—O—R a , —NR a R c , —N(R c )C( ⁇ O)R b , —N(R a )C( ⁇ O)R c , —C( ⁇ O)NR a R b , —C( ⁇ O)NR a R c , or C 0-4 alk-L 1 ; wherein said C 1-8 alk group is substituted by 0, 1, 2 or 3 groups which are halo, C 1-3 haloalk, —OH, —OC 1-4 alk, —NH 2 , —NHC 1-4 alk, —OC( ⁇ O)C 1-4 alk, or —
  • Y is a C 0-4 alk, —C( ⁇ O), SO, or SO 2 ;
  • each R 2 and R 3 is independently R 1 , H, halo, CN, OH, —OC 1-4 alk, C 1-4 alk, C 1-4 haloalk, —C 1-6 alkOR a , —C( ⁇ O)C 1-4 alk, —C( ⁇ O)NR a R a , —C 0-4 alkNH—C( ⁇ O)R a , or R c ;
  • ring containing X 1 , X 2 , X 3 , X 4 and X 5 can be fused to ring A, ring B, or ring C; having the formula:
  • ring A, ring B, or ring C is a fused 4- to 6-membered-saturated, -partially saturated, or -unsaturated-carbocyclic or -heterocyclic ring containing 0, 1, 2, or 3 heteroatoms; and is substituted by 0, 1, or 2 R 10 groups;
  • R 4a is H, OH, halo, C 1-4 alk, or C 1-4 haloalk
  • R 4b is halo, CN, OH, OC 1-4 alk, C 1-4 alk, C 1-4 haloalk, or oxo;
  • R 5 is —C 1-6 alkOR a , 5- to 6-membered heteroaryl, unsaturated 9- to 10-membered bicyclo-heterocyclic ring, or 11- to 15-membered tricyclo-heterocyclic ring; R 5 ring is substituted by 0, 1, 2, 3, or 4 R 8 groups;
  • R 6 is independently R 1 , H, halo, CN, OH, OC 1-4 alk, C 1-4 alk or C 1-4 haloalk;
  • n 0, 1, 2, 3, or 4;
  • each of p and q is independently 0, 1, 2, 3, 4, 5, or 6; wherein the sum of p and q is 2 to 6;
  • the ring containing p and q contains 0, 1, or 2 double bonds
  • R a is independently H or R b ;
  • R b is independently phenyl, benzyl, or C 1-6 alk, wherein said phenyl, benzyl, and C 1-6 alk are substituted by 0, 1, 2 or 3 substituents which are, independently, halo, C 1-4 alk, C 1-3 haloalk, —OH, —OC 1-4 alk, —NH 2 , —NHC 1-4 alk, —OC( ⁇ O)C 1-4 alk, or —N(C 1-4 alk)C 1-4 alk;
  • R c is C 0-4 alk-L 2 ;
  • each L 1 is independently a carbon-linked or nitrogen-linked saturated, partially-saturated or unsaturated 3-, 4-, 5-, 6-, or 7-membered monocyclic ring or a saturated, partially-saturated or unsaturated 6-, 7-, 8-, 9-, 10-, 11-, or 12-membered bicyclic ring, said ring contains 0, 1, 2, 3, or 4 N atoms and 0, 1, or 2 atoms which are O or S; L 1 is independently substituted by 0, 1, 2 or 3 R 9 groups;
  • each L 2 is independently a carbon-linked or nitrogen-linked saturated, partially-saturated or unsaturated 3-, 4-, 5-, 6-, or 7-membered monocyclic ring or a saturated, partially-saturated or unsaturated 6-, 7-, 8-, 9-, 10-, 11-, or 12-membered bicyclic ring, said ring contains 0, 1, 2, 3, or 4 N atoms and 0, 1, or 2 atoms which are O or S; L 2 is independently substituted by 0, 1, 2 or 3 R 11 groups;
  • R 8 is halo, CN, OH, OC 1-4 alk, C 1-4 alk, C 1-4 haloalk, OC 1-4 haloalk, —C( ⁇ O)R b , —C( ⁇ O)R c , —C( ⁇ O)NHR b , —C( ⁇ O)NHR c , —S( ⁇ O) 2 R b , —S( ⁇ O) 2 R c , —S( ⁇ O) 2 NR a R a , R b , R c , NO 2 , OR b , or OR c ;
  • R 9 is halo, C 1-6 alk, C 1-4 haloalk, —OR a , —OC 1-4 haloalk, CN, —C( ⁇ O)R b , —C( ⁇ O)OR a , —C( ⁇ O)NR a R a , —C( ⁇ NR a )NR a R a , —OC( ⁇ O)R b , —OC( ⁇ O)NR a R a , —OC 1-6 alkNR a R a , —OC 1-6 alkOR a , —SR a , —S( ⁇ O)R b , —S( ⁇ O) 2 R b , —S( ⁇ O) 2 NR a R a , —NR a R a , —N(R a )C( ⁇ O)R b , —N(R a )C( ⁇ O)OR b , —N
  • R 10 is oxo, C 1-6 alk, C 1-3 haloalk, —OH, —OC 1-4 alk, —NH 2 , —NHC 1-4 alk, —OC( ⁇ O)C 1-4 alk, or —N(C 1-4 alk)C 1-4 alk; and
  • R 11 is halo, C 1-6 alk, C 1-4 haloalk, —OR a , —OC 1-4 haloalk, CN, —C( ⁇ O)R b , —C( ⁇ O)OR a , —C( ⁇ O)NR a R a , —C( ⁇ NR a )NR a R a , —OC( ⁇ O)R b , —OC( ⁇ O)NR a R a , —OC 1-6 alkNR a R a , —OC 1-6 alkOR a , —SR a , —S( ⁇ O)R b , —S( ⁇ O) 2 R b , —S( ⁇ O) 2 NR a R a , —NR a R a , —N(R a )C( ⁇ O)R b , —N(R a )C( ⁇ O)OR b , —N
  • each of said Ring A, Ring B, and Ring C is a fused 4- to 6-membered-saturated, -partially saturated, or -unsaturated-carbocyclic which are fused phenyl, cyclobutyl, cyclopentyl, or cyclohexyl; said Ring A, Ring B, and Ring C is substituted by 0, 1, or 2 R 10 groups which are oxo, C 1-6 alk, C 1-3 haloalk, —OH, —OC 1-4 alk, —NH 2 , —N 1-4 alk, —OC( ⁇ O)C 1-4 alk, or —N(C 1-4 alk)C 4 alk.
  • each of said Ring A, Ring B, and Ring C is a fused 5-membered-saturated, -partially saturated, or -unsaturated-heterocyclic ring which are fused furanyl, thiophenyl, pyrrolyl, pyrrolinyl, pyrrolidinyl, dioxolanyl, oxazolyl, thiazolyl, isothiazolyl, imidazolyl, imidazolinyl, imidazolidinyl, pyrazolyl, pyrazolinyl, pyrazolidinyl, isoxazolyl, or isothiazolyl; said Ring A, Ring B, and Ring C is substituted by 0, 1, or 2 R 10 groups which are oxo, C 1-6 alk, C 1-3 haloalk, —OH, —OC 1-4 al
  • each of said Ring A, Ring B, and Ring C is a fused 6-membered-saturated, -partially saturated, or -unsaturated-heterocyclic ring which are fused pyranyl, pyridinyl, piperidinyl, dioxanyl, morpholinyl, dithianyl, thiomorpholinyl, pyridazinyl, pyrazinyl, or piperazinyl; said Ring A, Ring B, and Ring C is substituted by 0, 1, or 2 R 10 groups which are oxo, C 1-6 alk, C 1-3 haloalk, —OH, —OC 1-4 alk, —NH 2 , —NHC 1-4 alk, —OC( ⁇ O)C 1-4 alk, or —N(C 1-4 alk)C 1-4 alk.
  • each of p and q is independently 1.
  • each of p and q is independently 2.
  • the ring containing p and q contains 0 or 1 double bond.
  • R 4b is oxo and m is 1.
  • R 5 is unsaturated 10-membered bicyclo-heterocyclic ring; wherein each R 5 ring is substituted by 0, 1, or 2 R 8 groups.
  • m is 1 or 2.
  • R 1 is —NR a R c , —OR c or —C 0-4 alk-L 1 .
  • L 1 is a carbon-linked-saturated or partially-saturated 3-, 4-, 5-, 6-, or 7-membered monocyclic ring, wherein each said ring contains 0, 1, or 2 N atoms and 0 or 1 O atoms, and wherein each said L 1 is substituted by 0, 1 or 2 R 9 groups which are F, Cl, Br, C 1-6 alk, —OR a , CN, —C( ⁇ O)R b , C( ⁇ O)OR a , —C( ⁇ O)NR a R a , —SR a , —S( ⁇ O)R b , —S( ⁇ O) 2 R b , —NR a R a , —N(R a )C( ⁇ O)R b , —N(R a )C( ⁇ O)OR b , —NR a R a , —N(R a )C( ⁇ O)R b , —N
  • L 1 is a carbon-linked-saturated or partially-saturated 5- to 6-membered monocyclic ring, wherein each said ring contains 0, 1, or 2 N atoms and 0 or 1 O atoms, and wherein each said L 1 is substituted by 0, 1 or 2 R 9 groups which are F, Cl, Br, C 1-6 alk, —OR a , CN, —C( ⁇ O)R b , C( ⁇ O)OR a , —C( ⁇ O)NR a R a , —SR a , —S( ⁇ O)R b , —S( ⁇ O) 2 R b , —NR a R a , —N(R a )C( ⁇ O)R b , —N(R a )C( ⁇ O)OR b , —C 1-6 alkOR a
  • L 1 is a carbon-linked-unsaturated 5- to 6-membered monocyclic ring, wherein each said ring contains 0, 1, or 2 N atoms and 0 or 1 O atoms, and wherein each said L 1 is substituted by 0, 1 or 2 R 9 groups which are F, Cl, Br, C 1-6 alk, —OR a , CN, —C( ⁇ O)R b , C( ⁇ O)OR a , —C( ⁇ O)NR a R a , —SR a , —S( ⁇ O)R b , —S( ⁇ O) 2 R b , —NR a R a , —N(R a )C( ⁇ O)R b , —N(R a )C( ⁇ O)OR b , —C 1-6 alkOR a , —C 1-6 alkOR a , —C
  • L 1 is a carbon-linked-saturated, partially-saturated or unsaturated 6-, 7-, 8-, 9-, or 10-membered bicyclic ring, wherein each said ring contains 0, 1, or 2 N atoms and 0 or 1 O atoms, and wherein each said L 1 is substituted by 0, 1 or 2 R 9 groups which are F, Cl, Br, C 1-6 alk, —OR a , CN, —C( ⁇ O)R b , C( ⁇ O)OR a , —C( ⁇ O)NR a R a , —SR a , —S( ⁇ O)R b , —S( ⁇ O) 2 R b , —NR a R a , —N(R a )C( ⁇ O)R b , —N(R a )C( ⁇ O)OR b , —N(R a )C( ⁇ O)OR
  • L 1 is a nitrogen-linked saturated, partially-saturated or unsaturated 4-, 5-, 6-, or 7-membered monocyclic ring, wherein said ring contains 0, 1, 2, 3, or 4 N atoms and 0 or 1 O atoms, and wherein each said L 1 is substituted by 0, 1 or 2 R 9 groups which are F, Cl, Br, C 1-6 alk, —OR a , CN, —C( ⁇ O)R b , C( ⁇ O)OR a , —C( ⁇ O)NR a R a , —SR a , —S( ⁇ O)R b , —S( ⁇ O) 2 R b , —NR a R a , —N(R a )C( ⁇ O)R b , —N(R a )C( ⁇ O)OR b , —NR a R a , —N(R a )C( ⁇ O)R b , —N
  • L 1 is a nitrogen-linked saturated, partially-saturated or unsaturated 6-, 7-, 8-, 9-, 10-, 11-, or 12-membered bicyclic ring, wherein each said ring contains 0, 1, or 2 N atoms and 0 or 1 O atoms, and wherein each said L 1 is substituted by 0, 1 or 2 R 9 groups which are F, Cl, Br, C 1-6 alk, —OR a , CN, —C( ⁇ O)R b , C( ⁇ O)OR a , —C( ⁇ O)NR a R a , —SR a , —S( ⁇ O)R b , —S( ⁇ O) 2 R b , —NR a R a , —N(R a )C( ⁇ O)R b , —N(R a )C( ⁇ O)C( ⁇ O)R b , —N(R a )C( ⁇ O)C( ⁇ O)
  • L 1 is -3-azabicyclo[3.1.0]hexanyl, azetidinyl, indolyl, phenyl, 2-pyridyl, 3-pyridyl, 4-pyridyl, pyrazolyl, piperazinonyl, piperidinyl, pyrrolidinyl, dihydropyranyl, tetrahydropyridinyl, octahydropyrrolo[3,4-c]pyrrolyl, tetrahydroisoquinolinyl, which are substituted by 0, 1 or 2 R 9 groups which are F, Cl, Br, C 1-6 alk, —OR a , CN, —C( ⁇ O)R b , C( ⁇ O)OR a , —C( ⁇ O)NR a R a , —SR a , —S
  • R 1 is selected from the group consisting of: Cl; Br; —C ⁇ C ⁇ CH 3 ; —NH—CH(CH 3 ) 2 ; —NHCH 2 CH 2 OCH 3 ; —NHCH 2 CH 2 OH;
  • R 1 is selected from the group consisting of:
  • R 1 is selected from the group consisting of:
  • each R 2 and R 3 is independently H, F, Cl, Br, CN, OH, OC 1-4 alk, C 1-4 alk or C 1-4 haloalk.
  • R 6 is H, F, or C 1-4 alk.
  • R 4a is H, F, OH, or methyl.
  • R 4b is oxo and m is 1
  • R 4a is H and m is 0.
  • R 5 is pyridinyl
  • R 5 is unsaturated 9- to 10-membered bicyclo-heterocyclic ring.
  • R 5 is 11- to 15-membered tricyclo-heterocyclic ring.
  • each R 5 is substituted by 1 or 2 R 8 groups.
  • each R 5 is substituted by 1 or 2 R 8 groups.
  • Y is a bond or —C( ⁇ O).
  • Y is a bond.
  • R 8 is independently F, Br, Cl, CF 3 , methyl, methoxy, or CN.
  • R a is H or C 1-6 alk substituted by 0 or 1 —OH, —OC 1-4 alk, —OC( ⁇ O)C 1-4 alk, or —N(C 1-4 alk)C 1-4 alk.
  • R c is a C 0-4 alk-carbon-linked saturated, partially-saturated or unsaturated 3-, 4-5-, or 6-membered monocyclic ring containing 0, 1, or 2 N atoms and 0 or 1 atom which are O or S, which is substituted by 0 or 1 R 11 groups which are F, C 1-6 alk, C 1-4 haloalk, or —OR a .
  • R c is pyridyl, phenyl, or 1,2,4-oxadiazolyl.
  • Ring D is -L 1 ;
  • X 1 is N or CR 6 ;
  • X 2 is N or CR 2 ;
  • X 3 is N or CR 3 ;
  • X 4 is N or CR 6 ;
  • Y is a C 0-4 alk, —C( ⁇ O), SO, or SO 2 ;
  • each R 2 and R 3 is independently H, halo, CN, OH, —OC 1-4 alk, C 1-4 alk, C 1-4 haloalk, —C 1-6 alkOR a , —C( ⁇ O)C 1-4 alk, —C( ⁇ O)NR a R a , —C 0-4 alkNH—C( ⁇ O)R a , or R c ;
  • ring containing X 1 , X 2 , X 3 , X 4 and X 5 can be fused to ring A, ring B, or ring C; having the formula:
  • each said ring A, ring B, or ring C is a fused 4- to 6-membered-saturated, -partially saturated, or -unsaturated-carbocyclic or -heterocyclic ring containing 0, 1, 2, or 3 heteroatoms; and is substituted by 0, 1, or 2 R 10 groups;
  • R 4a is H, OH, halo, C 1-4 alk, or C 1-4 haloalk
  • R 4b is halo, CN, OH, OC 1-4 alk, C 1-4 alk, C 1-4 haloalk, or oxo;
  • R 5 is pyridinyl or unsaturated 9- to 10-membered bicyclo-heterocyclic ring; wherein each R 5 is substituted by 0, 1, 2 or 3 R 8 groups;
  • R 6 is independently H, halo, CN, OH, OC 1-4 alk, C 1-4 alk or C 1-4 haloalk;
  • n 0, 1, 2, 3, or 4;
  • each of p and q is independently 0, 1, 2, 3, 4, 5, or 6; wherein the sum of p and q is 2 to 6;
  • the ring containing p and q contains 0, 1, or 2 double bonds
  • R a is independently H or R b ;
  • R b is independently phenyl, benzyl, or C 1-6 alk, wherein said phenyl, benzyl, or C 1-6 alk substituted by 0, 1, 2 or 3 substituents which are, independently, halo, C 1-4 alk, C 1-3 haloalk, —OH, —OC 1-4 alk, —NH 2 , —NHC 1-4 alk, —OC( ⁇ O)C 1-4 alk, or —N(C 1-4 alk)C 1-4 alk;
  • R c is C 0-4 alk-L 2 ;
  • each L 1 is independently a carbon-linked or nitrogen-linked saturated, partially-saturated or unsaturated 3-, 4-, 5-, 6-, or 7-membered monocyclic ring or a saturated, partially-saturated or unsaturated 6-, 7-, 8-, 9-, 10-, 11-, or 12-membered bicyclic ring, wherein each said ring contains 0, 1, 2, 3, or 4 N atoms and 0, 1, or 2 atoms which are O or S; wherein each L 1 is independently substituted by 0, 1, 2 or 3 R 9 groups;
  • each L 2 is independently a carbon-linked or nitrogen-linked saturated, partially-saturated or unsaturated 3-, 4-, 5-, 6-, or 7-membered monocyclic ring or a saturated, partially-saturated or unsaturated 6-, 7-, 8-, 9-, 10-, 11-, or 12-membered bicyclic ring, wherein each said ring contains 0, 1, 2, 3, or 4 N atoms and 0, 1, or 2 atoms which are O or S; wherein each L 2 is independently substituted by 0, 1, 2 or 3 R 11 groups;
  • R 8 is halo, CN, OH, OC 1-4 alk, C 1-4 alk, C 1-4 haloalk, OC 1-4 haloalk, —C( ⁇ O)R b , —C( ⁇ O)R c , —C( ⁇ O)NHR b , —C( ⁇ O)NHR c , —S( ⁇ O) 2 R b , —S( ⁇ O) 2 R, —S( ⁇ O) 2 NR a R a , R b , R c , NO 2 , OR b , or OR c ;
  • R 9 is F, Cl, Br, C 1-6 alk, C 1-4 haloalk, —OR a , —OC 1-4 haloalk, CN, —C( ⁇ O)R b , —C( ⁇ O)OR a , —C( ⁇ O)NR a R a , —C( ⁇ NR a )NR a R a , —OC( ⁇ O)R b , —OC( ⁇ O)NR a R a , —OC 1-6 alkNR a R a , —OC 1-6 alkOR a , —SR a , —S( ⁇ O)R b , —S( ⁇ O) 2 R b , —S( ⁇ O) 2 NR a R a , —NR a R a , —N(R a )C( ⁇ O)R b , —N(R a )C( ⁇ O)OR b ,
  • R 10 is oxo, C 1-6 alk, C 1-3 haloalk, —OH, —OC 1-4 alk, —NH 2 , —NHC 1-4 alk, —OC( ⁇ O)C 1-4 alk, or —N(C 1-4 alk)C 1-4 alk; and
  • R 11 is F, Cl, Br, C 1-6 alk, C 1-4 haloalk, —OR a , —OC 1-4 haloalk, CN, —C( ⁇ O)R b , —C( ⁇ O)OR a , —C( ⁇ O)NR a R a , —C( ⁇ NR a )NR a R a , —OC( ⁇ O)R b , —OC( ⁇ O)NR a R a , —OC 1-6 alkNR a R a , —OC 1-6 alkOR a , —SR a , —S( ⁇ O)R b , —S( ⁇ O) 2 R b , —S( ⁇ O) 2 NR a R a , —NR a R a , —N(R a )C( ⁇ O)R b , —N(R a )C( ⁇ O)OR b ,
  • azetidinyl is azetidinyl, pyrrolidinyl, piperidinyl, or azepanyl.
  • the compound of formula (II) has the formula:
  • the compound of formula (II) has the formula:
  • the compound of formula (II) has the formula:
  • R 4b is oxo; m is 1; and R 5 is unsaturated 10-membered bicyclo-heterocyclic ring; wherein each R 5 ring is substituted by 0, 1, or 2 R 8 groups.
  • said compound has the formula
  • R 5 is unsaturated 10-membered bicyclo-heterocyclic ring; wherein each R 5 ring is substituted by 0, 1, or 2 R 8 groups.
  • Y is a bond; wherein each R 5 is substituted by 1 or 2 R 8 groups; and R 8 is independently F, Cl, Br, methyl, ethyl, isopropyl, methoxy, CN, CF 3 , OH, or OCF 3 .
  • Y is a bond; wherein R 8 is independently F, Cl, Br, methyl, ethyl, isopropyl, methoxy, CN, CF 3 , OH, or OCF 3 .
  • Another aspect of the current invention relates to compounds having the general structure of formula (III):
  • X 1 is N or CR 6 ;
  • R 1 is F, Cl, Br, I, C 1-8 alk, C 1-4 haloalk, —OR a , —OR c , —N(R a )C( ⁇ O)R b , —C( ⁇ O)R a , —C( ⁇ O)R c , —C( ⁇ O)—O—R a , —NR a R c , —N(R c )C( ⁇ O)R b , —N(R a )C( ⁇ O)R c , —C( ⁇ O)NR a R b , —C( ⁇ O)NR a R c , or C 0-4 alk-L 1 ; wherein said C 1-8 alk group is substituted by 0, 1, 2 or 3 groups selected from halo, C 1-3 haloalk, —OH, —OC 1-4 alk, —NH 2 , —NHC 1-4 alk, —OC( ⁇
  • Y is a C 0-4 alk, —C( ⁇ O), SO, or SO 2 ;
  • each of R 2 , R 3 , R 4b , R 6 and R 8 is independently H, F, Cl, Br, I, CN, OH, OC 1-4 alk, C 1-4 alk or C 1-4 haloalk;
  • R 2 and R 3 can form an optionally substituted 5- to 6-membered-saturated, -partially saturated, or -unsaturated-heterocyclic ring fused to the ring containing X 1 ;
  • R 4a is H, C 1-4 alk, or C 1-4 haloalk
  • R 5 is pyridinyl or unsaturated 9- or 10-membered bicyclo-heterocyclic ring
  • each R 5 is substituted by 0, 1, 2 or 3 R 8 groups; and is not substituted by oxo;
  • n 1, 2, 3, or 4;
  • each of p and q is independently 0, 1, 2, 3, 4, 5, or 6; wherein the sum of p and q is 2 to 6;
  • R a is independently H or R b ;
  • R b is independently phenyl, benzyl, or C 1-6 alk, wherein said phenyl, benzyl, and C 1-6 alk are being substituted by 0, 1, 2 or 3 substituents selected from halo, C 1-4 alk, C 1-3 haloalk, —OH, —OC 1-4 alk, —NH 2 , —NHC 1-4 alk, —OC( ⁇ O)C 1-4 alk, or —N(C 1-4 alk)C 1-4 alk;
  • R c is C 0-4 alk-L 2 ;
  • each of Land L 2 is independently a carbon-linked or nitrogen-linked saturated, partially-saturated or unsaturated 3-, 4-, 5-, 6-, or 7-membered monocyclic ring or a saturated, partially-saturated or unsaturated 8-, 9-, 10-, 11-, or 12-membered bicyclic ring, wherein each said ring contains 0, 1, 2, 3, or 4 N atoms and 0, 1, or 2 atoms selected from O and S; wherein each L 1 and L 2 is independently substituted by 0, 1, 2 or 3 R 9 groups selected from F, Cl, Br, C 1-6 alk, C 1-4 haloalk, —OR a , —OC 1-4 haloalk, CN, —C( ⁇ O)R b , —C( ⁇ O)OR a , —C( ⁇ O)NR a R a , —C( ⁇ NR a )NR a R a , —OC( ⁇ O)R b , —OC( ⁇ O)
  • R 1 is F, Cl, Br, I, C 1-8 alk, C 1-4 haloalk, —OR a , —OR c , —N(R a )C( ⁇ O)R b , —NR a R c , —N(R c )C( ⁇ O)R b , —N(R a )C( ⁇ O)R c , or C 0-4 alk-L 1 ; wherein said C 1-8 alk group is substituted by 0, 1, 2 or 3 groups selected from halo, C 1-3 haloalk, —OH, —OC 1-4 alk, —NH 2 , —NHC 1-4 alk, —OC( ⁇ O)C 1-4 alk, or —N(C 1-4 alk)C 1-4 al
  • R 5 is not substituted by oxo.
  • each of Y 1 , Y 2 , Y 3 , M 1 , M 2 , M 3 , and M 4 is independently CR 10 or a heteroatom selected from S, O, or NR 11 ; wherein no more than of Y 1 , Y 2 , Y 3 , M 1 , M 2 , M 3 , and M 4 are N; and
  • R 10 is H, halo, C 1-4 alk, C 1-3 haloalk, —OH, —OC 1-4 alk, —NH 2 , —NHC 1-4 alk, —OC( ⁇ O)C 1-4 alk, or —N(C 1-4 alk)C 1-4 alk; and R 1 is H, C 1-4 alk, or C 1-3 haloalk.
  • each of p and q is 2; R 5 is unsaturated 9-membered bicyclo-heterocyclic ring; and Y is C 0-4 alk; and R 1 is C 0-4 alk-L 1 .
  • m is 1 or 2.
  • p is 0, 1, or 2.
  • q is 0, 1, or 2.
  • R 1 is F, Cl, Br, I, —OR a , —C( ⁇ O)—O—R a , —C( ⁇ O)NR a R b , —OR c , or —C( ⁇ O)NR a R c .
  • R 1 is a saturated, partially-saturated or unsaturated 4-, 5-, 6-, or 7-membered monocyclic ring, wherein each said ring contains 0, 1, 2, or 3 N atoms and 0, 1, or 2 O atoms, and wherein each said ring is substituted by 0, 1, 2 or 3 R 9 groups selected from F, Cl, Br, C 1-6 alk, C 1-4 haloalk, —OR a , —OC 1-4 haloalk, CN, —C( ⁇ O)R b , —C( ⁇ O)OR a , —NR a R a , SR a , or oxo.
  • R 1 is a saturated or partially-saturated 5- to 6-membered monocyclic ring, wherein each said ring contains 0, 1, 2, or 3 N atoms and 0, 1, or 2 O atoms, and wherein each said ring is substituted by 0, 1, 2 or 3 R 9 groups selected from F, Cl, Br, C 1-6 alk, C 1-4 haloalk, —OR a , —OC 1-4 haloalk, CN, —C( ⁇ O)R b , —C( ⁇ O)OR a , —NR a R a , SR a , or oxo.
  • R 1 is a saturated, partially-saturated or unsaturated 8-, 9-, 10-, 11-, or 12-membered bicyclic ring, wherein each said ring contains 0, 1, 2, or 3 N atoms and 0, 1, or 2 O atoms, and wherein each said ring is substituted by 0, 1, 2 or 3 R 9 groups selected from F, Cl, Br, C 1-6 alk, C 1-4 haloalk, —OR a , —OC 1-4 haloalk, CN, —C( ⁇ O)R b , —C( ⁇ O)OR a , —NR a R a , SR a , or oxo.
  • R 1 is a nitrogen-linked saturated, partially-saturated or unsaturated 4-, 5-, 6-, or 7-membered monocyclic ring wherein each said ring contains 0, 1, 2, 3, or 4 N atoms and 0, 1, or 2 atoms selected from O and S; substituted by 0, 1, 2 or 3 R 9 groups selected from F, Cl, Br, C 1-6 alk, C 1-4 haloalk, —OR a , —OC 1-4 haloalk, CN, —C( ⁇ O)R b , —C( ⁇ O)OR a , —NR a R a , SR a , or oxo.
  • R 1 is cyclohexyl, cyclopentyl, cyclopentenyl, cyclohexenyl, cycloheptyl, azetidinyl, phenyl, 2-pyridyl, 3-pyridyl, pyrazolyl, morpholinyl, pyrimidyl, piperazinyl, piperidinyl, dihydropyranyl, tetrahydropyranyl, tetrahydrofuranyl, tetrahydropyridinyl, tetrahydrothiopyranyl, oxaspiro[3.5]nonyl, azepanyl, oxepanyl, or quinolinyl, all of which are substituted by 0, 1, 2 or 3 R 9 groups selected from F, Cl, Br, C 1-6 alk, C 1-4 halo
  • R 1 is:
  • each R 2 and R 3 is independently H, F, Cl, Br, CN, OH, OC 1-4 alk, C 1-4 alk or C 1-4 haloalk.
  • each R 2 and R 3 is H, C 1-4 alk, or C 1-4 haloalk.
  • R 2 and R 3 are H.
  • R 2 and R 3 form an optionally substituted 5- to 6-membered-saturated, -partially saturated, or -unsaturated-heterocyclic ring fused to the ring containing X 1 .
  • X 1 is N.
  • X 1 is CR 6 ; wherein R 6 is H, F, Cl, Br, I, OC 1-4 alk, or C 1-4 alk.
  • R 6 is H or C 1-4 alk.
  • R 4a is H or C 1-4 alk.
  • R 4b is independently H, F, CN, OC 1-4 alk, C 1-4 alk or C 1-4 haloalk.
  • each of R 4a and R 4b is H.
  • R 5 is pyridinyl
  • R 5 is unsaturated 9- or 10-membered bicyclo-heterocyclic ring; wherein the ring is aromatic.
  • R 5 is unsaturated 9-membered bicyclo-heterocyclic ring; wherein the ring is aromatic.
  • R 5 is unsaturated 10-membered bicyclo-heterocyclic ring; wherein the ring is aromatic.
  • Y is —C( ⁇ O).
  • Y is a bond or C 1-3 alk.
  • R 5 is:
  • R 8 is independently H, F, CN, OC 1-4 alk, C 1-4 alk or C 1-4 haloalk.
  • R 8 is H.
  • R a is H or C 1-6 alk substituted by 0 or 1 —OH, —OC 1-4 alk, —OC( ⁇ O)C 1-4 alk, or —N(C 1-4 alk)C 1-4 alk.
  • R c is a carbon-linked saturated, partially-saturated or unsaturated 3-, 4-5-, or 6-membered monocyclic ring containing 0 or 1 N atom and 0 or 1 atom selected from O and S, which is substituted by 0 or 1 R 9 groups selected from F, C 1-6 alk, C 1-4 haloalk, or —OR a .
  • R c is a nitrogen-linked saturated, partially-saturated, or unsaturated 4-, 5-, 6- or 7-membered ring heterocycle containing the linking nitrogen and 0, 1 or 2 additional nitrogen atoms and containing 0 or 1 sulfur or oxygen atom, the heterocycle being substituted by 0, 1, 2 or 3 R 9 groups selected from F, Cl, Br, C 1-4 alk, C 1-4 haloalk, —OC 1-4 alk, —NH 2 , —NHC 1-4 alk, —N(C 1-4 alk)C 1-4 alk, or oxo.
  • R c is a C 0-4 alk-saturated, partially-saturated or unsaturated 3-, 5-, or 6-membered monocyclic ring containing 0 or 1 N atom and 0 or 1 atom selected from O and S, which is substituted by 0 or 1 R 9 groups selected from F, C 1-6 alk, C 1-4 haloalk, or —OR a .
  • R 1 is F, Cl, Br, I, C 1-8 alk, C 1-4 haloalk, —OR a , —OR c , —N(R a )C( ⁇ O)R b , —NR a R c , —N(R c )C( ⁇ O)R b , —N(R a )C( ⁇ O)R c , or C 0-4 alk-L 1 ; wherein said C 1-8 alk group is substituted by 0, 1, 2 or 3 groups selected from halo, C 1-3 haloalk, —OH, —OC 1-4 alk, —NH 2 , —NHC 1-4 alk, —OC( ⁇ O)C 1-4 alk, or —N(C 1-4 alk)C 1-4 alk; and R 3 is not methyl.
  • Another aspect of the current invention relates to compounds having the general structure of formula (IV):
  • Ring D is -L 1 ;
  • X 1 is N or CR 6 ;
  • Y is a C 0-4 alk, —C( ⁇ O), SO, or SO 2 ;
  • each of R 2 , R 3 , R 4b , R 6 and R 8 is independently H, F, Cl, Br, I, CN, OH, OC 1-4 alk, C 1-4 alk or C 1-4 haloalk;
  • R 2 and R 3 can form an optionally substituted 5- to 6-membered-saturated, -partially saturated, or -unsaturated-heterocyclic ring fused to the ring containing X 1 ;
  • R 4a is H, C 1-4 alk, or C 1-4 haloalk
  • R 5 is pyridinyl or unsaturated 9- or 10-membered bicyclo-heterocyclic ring; wherein each R 5 is substituted by 0, 1, 2 or 3 R 8 groups; and is not substituted by oxo;
  • n 1, 2, 3, or 4;
  • each of p and q is independently 0, 1, 2, 3, 4, 5, or 6; wherein the sum of p and q is 2 to 6;
  • R a is independently H or R b ;
  • R b is independently phenyl, benzyl, or C 1-6 alk, wherein said phenyl, benzyl, and C 1-6 alk are being substituted by 0, 1, 2 or 3 substituents selected from halo, C 1-4 alk, C 1-3 haloalk, —OH, —OC 1-4 alk, —NH 2 , —NHC 1-4 alk, —OC( ⁇ O)C 1-4 alk, and —N(C 1-4 alk)C 1-4 alk; and
  • each of Land L 2 is independently a carbon-linked or nitrogen-linked saturated, partially-saturated or unsaturated 3-, 4-, 5-, 6-, or 7-membered monocyclic ring or a saturated, partially-saturated or unsaturated 8-, 9-, 10-, 11-, or 12-membered bicyclic ring, wherein each said ring contains 0, 1, 2, 3, or 4 N atoms and 0, 1, or 2 atoms selected from O and S; wherein each L 1 and L 2 is independently substituted by 0, 1, 2 or 3 R 9 groups selected from F, Cl, Br, C 1-6 alk, C 1-4 haloalk, —OR a , —OC 1-4 haloalk, CN, —C( ⁇ O)R b , —C( ⁇ O)OR a , —C( ⁇ O)NR a R a , —C( ⁇ NR a )NR a R a , —OC( ⁇ O)R b , —OC( ⁇ O)
  • azetidinyl is azetidinyl, pyrrolidinyl, piperidinyl, or azepanyl; wherein each group is not substituted by oxo.
  • Y is —C( ⁇ O), SO, or SO 2 .
  • Y is —C( ⁇ O), SO, or SO 2 .
  • ring D is a carbon-linked saturated, partially-saturated or unsaturated 4-, 5-, 6-, or 7-membered monocyclic ring, wherein each said ring contains 0, 1, 2, 3, or 4 N atoms and 0, 1, or 2 atoms selected from O and S; independently substituted by 0, 1, 2 or 3 R 9 groups selected from F, Cl, Br, C 1-6 alk, C 1-4 haloalk, —OR a , —OC 1-4 haloalk, CN, —C( ⁇ O)R b , —C( ⁇ O)OR a , —C( ⁇ O)NR a R a , —C( ⁇ NR a )NR a R a , —OC( ⁇ O)R b , —OC( ⁇ O)NR a R a , —OC 2-6 alkNR a R a ,
  • ring D is a carbon-linked-saturated, partially-saturated or unsaturated 8-, 9-, 10-, 11-, or 12-membered bicyclic ring, wherein each said ring contains 0, 1, 2, 3, or 4 N atoms and 0, 1, or 2 atoms selected from O and S; independently substituted by 0, 1, 2 or 3 R 9 groups selected from F, Cl, Br, C 1-6 alk, C 1-4 haloalk, —OR a , —OC 1-4 haloalk, CN, —C( ⁇ O)R b , —C( ⁇ O)OR a , —C( ⁇ O)NR a R a , —C( ⁇ NR a )NR a R a , —OC( ⁇ O)R b , —OC( ⁇ O)NR a R a , —OC 2-6 alkNR
  • ring D is a nitrogen-linked saturated, partially-saturated or unsaturated 4-, 5-, 6-, or 7-membered monocyclic ring, wherein each said ring contains 0, 1, 2, 3, or 4 N atoms and 0, 1, or 2 atoms selected from O and S; independently substituted by 0, 1, 2 or 3 R 9 groups selected from F, Cl, Br, C 1-6 alk, C 1-4 haloalk, —OR a , —OC 1-4 haloalk, CN, —C( ⁇ O)R b , —C( ⁇ O)OR a , —C( ⁇ O)NR a R a , —C( ⁇ NR a )NR a R a , —OC( ⁇ O)R b , —OC( ⁇ O)NR a R a , —OC 2-6 alkNR a R a ,
  • ring D is a nitrogen-linked-saturated, partially-saturated or unsaturated 8-, 9-, 10-, 11-, or 12-membered bicyclic ring, wherein each said ring contains 0, 1, 2, 3, or 4 N atoms and 0, 1, or 2 atoms selected from O and S; independently substituted by 0, 1, 2 or 3 R 9 groups selected from F, Cl, Br, C 1-6 alk, C 1-4 haloalk, —OR a , —OC 1-4 haloalk, CN, —C( ⁇ O)R b , —C( ⁇ O)OR a , —C( ⁇ O)NR a R a , —C( ⁇ NR a )NR a R a , —OC( ⁇ O)R b , —OC( ⁇ O)NR a R a , —OC 2-6 alkNR
  • ring D is cyclohexyl, cyclopentyl, cyclopentenyl, cyclohexenyl, or cycloheptyl.
  • ring D is azetidinyl, phenyl, 2-pyridyl, 3-pyridyl, pyrazolyl, morpholinyl, pyrimidyl, piperazinyl, piperidinyl, dihydropyranyl, tetrahydropyranyl, tetrahydrofuranyl, tetrahydropyridinyl, or tetrahydrothiopyranyl.
  • ring D is oxaspiro[3.5]nonyl, azepanyl, oxepanyl, or quinolinyl.
  • ring D is cyclohexyl, cyclopentyl, cyclopentenyl, cyclohexenyl, cycloheptyl, azetidinyl, phenyl, 2-pyridyl, 3-pyridyl, pyrazolyl, morpholinyl, pyrimidyl, piperazinyl, piperidinyl, dihydropyranyl, tetrahydropyranyl, tetrahydrofuranyl, tetrahydropyridinyl, tetrahydrothiopyranyl, oxaspiro[3.5]nonyl, azepanyl, oxepanyl, or quinolinyl, all of which are substituted by 0, 1, 2 or 3 R 9 groups selected from F, Cl, Br, C 1-6 alk, C 1-4 hal
  • Another aspect of the invention relates to a compound of formula (IV) having the formula:
  • Another aspect of the invention relates to a compound having the formula:
  • Another aspect of the invention relates to a compound having the formula:
  • Another aspect of the invention relates to a method of treating conditions that may be treated with PDE10 inhibitors comprising the step of administering to a patient in need thereof a therapeutically effective amount of any one of the above compounds, or a pharmaceutically acceptable salt thereof.
  • said conditions is psychoses, Parkinson's disease, dementias, obsessive compulsive disorder, tardive dyskinesia, choreas, depression, mood disorders, impulsivity, drug addiction, attention deficit/hyperactivity disorder (ADHD), depression with parkinsonian states, personality changes with caudate or putamen disease, dementia and mania with caudate and pallidal diseases, or compulsions with pallidal disease.
  • ADHD attention deficit/hyperactivity disorder
  • said condition is schizophrenia, Huntington's disease, bipolar disorder, or obsessive-compulsive disorder.
  • said condition is schizophrenia.
  • Another aspect of the invention relates to a pharmaceutical composition
  • a pharmaceutical composition comprising any one of the above compounds, or a pharmaceutically acceptable salt thereof, and a pharmaceutically-acceptable excipient.
  • Another aspect of the invention relates to the use of any one of the above compounds, or a pharmaceutically acceptable salt thereof, as a medicament.
  • Another aspect of the invention relates to the use of any one of the above compounds, or a pharmaceutically acceptable salt thereof in the manufacture of a medicament for the treatment of schizophrenia, bipolar disorder, or obsessive-compulsive disorder.
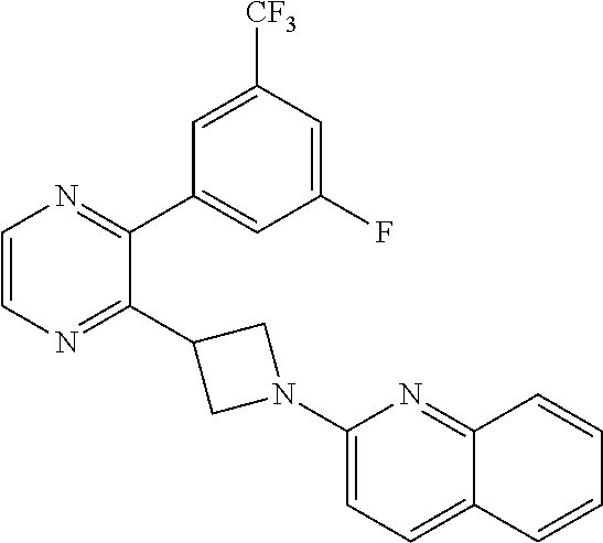
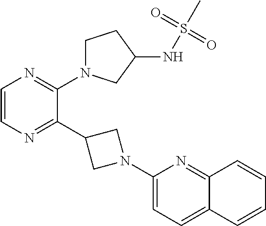
  • Another aspect of the invention relates to a compound, or a pharmaceutically acceptable salt thereof, which is tabulated below:
  • Another aspect of the invention relates to the compounds of Examples 36.1 to 36.190 as listed in Table 36 below, or a pharmaceutically acceptable salt thereof.
  • Yet another aspect of the current invention relates to any compound of the present invention, or a pharmaceutically-acceptable salt thereof, radiolabeled with a positron emitting radionuclide selected from 11 C, 18 F, 15 O, 13 N, 76 Br, 77 Br, 123 I, or 125 I.
  • a positron emitting radionuclide selected from 11 C, 18 F, 15 O, 13 N, 76 Br, 77 Br, 123 I, or 125 I.
  • Yet another aspect of the current invention relates to a radiopharmaceutical composition
  • a radiopharmaceutical composition comprising any compound of the present invention, or a pharmaceutically-acceptable salt thereof, radiolabeled with a positron emitting radionuclide selected from 11 C, 18 F, 15 O, 13 N, 76 Br, 77 Br, 123 I, or 125 I, and at least one pharmaceutically acceptable carrier or excipient.
  • Yet another aspect of the current invention relates to a method for the diagnostic imaging of PDE10 receptors in a mammal, including human, or tissues bearing PDE10 receptors in a mammal, including human brain, which comprises administering to a mammal in need of such diagnostic imaging an effective amount of any compound of the present invention, or a pharmaceutically-acceptable salt thereof, radiolabeled with a positron emitting radionuclide selected from 11 C, 18 F, 15 O, 13 N, 76 Br, 77 Br, 123 I, or 125 I.
  • a positron emitting radionuclide selected from 11 C, 18 F, 15 O, 13 N, 76 Br, 77 Br, 123 I, or 125 I.
  • Yet another aspect of the current invention relates to a method for the diagnostic imaging of PDE10 receptors in a mammal, including human, or tissues bearing PDE10 receptors in a mammal, including human brain, which comprises administering to a mammal in need of such diagnostic imaging an effective amount of any compound of the present invention, or a pharmaceutically-acceptable salt thereof, radiolabeled with a positron emitting radionuclide selected from 11 C, 18 F, 15 O, 13 N, 76 Br, 77 Br, 123 I, or 125 I.
  • a positron emitting radionuclide selected from 11 C, 18 F, 15 O, 13 N, 76 Br, 77 Br, 123 I, or 125 I.
  • Yet another aspect of the current invention relates to a method for the detection or quantification of PDE10 receptors in mammalian tissue, including human tissue, which comprises contacting such mammalian tissue in which such detection or quantification is desired with an effective amount of any compound of the present invention, or a pharmaceutically-acceptable salt thereof, radiolabeled with a positron emitting radionuclide selected from 11 C, 18 F, 15 O, 13 N, 76 Br, 77 Br, 123 I, or 125 I.
  • a positron emitting radionuclide selected from 11 C, 18 F, 15 O, 13 N, 76 Br, 77 Br, 123 I, or 125 I.
  • the compounds of this invention may have in general several asymmetric centers and are typically depicted in the form of racemic mixtures. This invention is intended to encompass racemic mixtures, other racemic mixtures and separate enantiomers and diasteromers.
  • the present invention includes all pharmaceutically acceptable isotopically-labelled compounds of the present invention wherein one or more atoms are replaced by atoms having the same atomic number, but an atomic mass or mass number different from the atomic mass or mass number which predominates in nature.
  • isotopes suitable for inclusion in the compounds of the invention include, but are not limited to, isotopes of hydrogen, such as 2 H and 3 H, carbon, such as 11 C, 13 C and 14 C, chlorine, such as 38 Cl, fluorine, such as 18 F, iodine, such as 123 I and 125 I, nitrogen, such as 13 N and 15 N, oxygen, such as 15 O, 17 O and 18 O, phosphorus, such as 32 P, and sulphur, such as 35 S.
  • isotopes of hydrogen such as 2 H and 3 H
  • carbon such as 11 C, 13 C and 14 C
  • chlorine such as 38 Cl
  • fluorine such as 18 F
  • iodine such as 123 I and 125 I
  • nitrogen such as 13 N and 15 N
  • oxygen such as 15 O, 17 O and 18 O
  • phosphorus such as 32 P
  • sulphur such as 35 S.
  • isotopically-labelled compounds of the present invention for example, those incorporating a radioactive isotope, are useful in drug and/or substrate tissue distribution studies.
  • the radioactive isotopes tritium, i.e. 3 H, and carbon-14, i.e. 14 C, are particularly useful for this purpose in view of their ease of incorporation and ready means of detection.
  • substitution with heavier isotopes such as deuterium, i.e. 2 H, may afford certain therapeutic advantages resulting from greater metabolic stability, for example, increased in vivo half-life or reduced dosage requirements, and hence may be preferred in some circumstances.
  • Isotopically-labeled compounds of the present invention can generally be prepared by conventional techniques known to those skilled in the art or by processes analogous to those described in the accompanying Examples and Preparations using an appropriate isotopically-labeled reagent in place of the non-labeled reagent previously employed.
  • solvates in accordance with the invention include those wherein the solvent of crystallization may be isotopically substituted, e.g. D 2 O, d 6 -acetone, d 6 -DMSO.
  • C ⁇ - ⁇ alk means an alkyl group comprising a minimum of a and a maximum of ⁇ carbon atoms in a branched, cyclical or linear relationship or any combination of the three, wherein ⁇ and ⁇ represent integers.
  • the alkyl groups described in this section may also contain one or two double or triple bonds.
  • a designation of C 0 alk indicates a direct bond.
  • Examples of C 1-6 alkyl include, but are not limited to the following:
  • benzo group means the divalent radical C 4 H 4 ⁇ , one representation of which is —CH ⁇ CH—CH ⁇ CH—, that when vicinally attached to another ring forms a benzene-like ring—for example tetrahydronaphthylene, indole and the like.
  • oxo and thioxo represent the groups ⁇ O (as in carbonyl) and ⁇ S (as in thiocarbonyl), respectively.
  • halo or halogen means a halogen atoms selected from F, Cl, Br or I.
  • C ⁇ - ⁇ haloalk means an alk group, as described above, wherein one or more hydrogen atom of the alk group is replaced by F, Cl, Br or I.
  • carbon-linked means a substituent is linked to another group through a carbon atom.
  • Examples of “carbon-linked” substituents include, but are not limited to the following:
  • nitrogen-linked means a substituent is linked to another group through a nitrogen atom.
  • nitrogen-linked substituents include, but are not limited to the following:
  • the group N(R a )R a and the like include substituents where the two R a groups together form a ring, optionally including a N, O or S atom, and include groups such as:
  • N(C ⁇ - ⁇ alk) C ⁇ - ⁇ alk wherein ⁇ and ⁇ are as defined above, include substituents where the two C ⁇ - ⁇ alk groups together form a ring, optionally including a N, O or S atom, and include groups such as:
  • carbocycle means a ring comprising by itself or in combination with other terms, represents, unless otherwise stated, cyclic version of “C ⁇ - ⁇ alk”. Thus, the term “carbocyclyl” is meant to be included in the terms “C ⁇ - ⁇ alk”.
  • Examples of carbocycle include cyclopentyl, cyclohexyl, or partially unsaturated ring such as 1-cyclohexenyl, 3-cyclohexenyl, cycloheptyl, cyclobutylene, cyclohexylene and the like. Unless otherwise stated, carbocycle can include fully saturated ring such as phenyl or naphthyl.
  • heteroatom means N, O and S.
  • heterocyclyl means a ring comprising at least one carbon atom and at least one other atom selected from N, O and S.
  • Heterocyclyl includes aromatic heterocyclic ring which is commonly known as heteroaryl.
  • heteroaryl is meant to be included in the terms “heterocyclyl”. Examples of heterocycles that may be found in the claims include, but are not limited to, the following:
  • pharmaceutically acceptable salt means a salt prepared by conventional means, and are well known by those skilled in the art.
  • pharmaceutically acceptable salts include basic salts of inorganic and organic acids, including but not limited to hydrochloric acid, hydrobromic acid, sulfuric acid, phosphoric acid, methanesulfonic acid, ethanesulfonic acid, malic acid, acetic acid, oxalic acid, tartaric acid, citric acid, lactic acid, fumaric acid, succinic acid, maleic acid, salicylic acid, benzoic acid, phenylacetic acid, mandelic acid and the like.
  • suitable pharmaceutically acceptable cation pairs for the carboxy group are well known to those skilled in the art and include alkaline, alkaline earth, ammonium, quaternary ammonium cations and the like.
  • pharmaceutically acceptable salts and Berge et al., J. Pharm. Sci. 66:1 (1977).
  • saturated, partially-saturated or unsaturated includes substituents saturated with hydrogens, substituents completely unsaturated with hydrogens and substituents partially saturated with hydrogens.
  • saturated, partially-saturated or unsaturated five to eight membered rings, optionally having one to three heteroatoms, are cyclopentyl, cyclohexyl, cycloheptyl, cyclooctyl and phenyl.
  • FIG. 1 Further exemplary five membered rings are furyl, thienyl, pyrrolyl, 2-pyrrolinyl, 3-pyrrolinyl, pyrrolidinyl, 1,3-dioxolanyl, oxazolyl, thiazolyl, imidazolyl, 2H-imidazolyl, 2-imidazolinyl, imidazolidinyl, pyrazolyl, 2-pyrazolinyl, pyrazolidinyl, isoxazolyl, isothiazolyl, 1,2-dithiolyl, 1,3-dithiolyl, 3H-1,2-oxathiolyl, 1,2,3-oxadizaolyl, 1,2,4-oxadiazolyl, 1,2,5-oxadiazolyl, 1,3,4oxadiazolyl, 1,2,3-triazolyl, 1,2,4-trizaolyl, 1,3,4-thiadiazolyl, 3H-1,2,3
  • FIG. 1 For exemplary six membered rings are 2H-pyranyl, 4H-pyranyl, pyridinyl, piperidinyl, 1,2-dioxinyl, 1,3-dioxinyl, 1,4-dioxanyl, morpholinyl, 1,4-dithianyl, thiomorpholinyl, pyndazinyl, pyrimidinyl, pyrazinyl, piperazinyl, 1,3,5-triazinyl, 1,2,4-triazinyl, 1,2,3-triazinyl, 1,3,5-trithianyl, 4H-1,2-oxazinyl, 2H-1,3-oxazinyl, 6H-1,3-oxazinyl, 6H-1,2-oxazinyl, 1,4-oxazinyl, 2H-1,2-oxazinyl, 4H-1,4-oxazinyl, 2H-1,2-oxaziny
  • exemplary seven membered rings are azepinyl, oxepinyl, thiepinyl and 1,2,4-triazepinyl.
  • FIG. 1 Further exemplary eight membered rings are cyclooctyl, cyclooctenyl and cyclooctadienyl.
  • monocyclic means a group having a single saturated, partially-saturated, or unsaturated ring system. Typically a monocyclic ring system can have from 3- to 8 atoms in the ring system.
  • the term includes, but is not limited to, cyclopropyl, cyclopropyl, cyclobutyl, cyclopentyl, cyclohexyl, cycloheptyl, phenyl, and the like.
  • bicyclic means a group having two interconnected saturated, partially-saturated, or unsaturated rings that include stable bridged, fused, or spiro rings.
  • the bicyclic ring may be attached at any carbon or heteroatom which affords a stable group.
  • a bicyclic ring system can have from 6- to 14 atoms in the ring system.
  • the term includes, but is not limited to, benzimidazole, naphthyl, bicyclo[3.1.0]hexane, bicyclo[4.1.0]heptane, spiro[2.4]heptane, spiro[2.5]octane, bicyclo[4.4.0]decane, bicyclo[4.3.0]nonane, bicyclo[3.3.1]nonane, bicyclo[3.2.1]octane, spiro[4.5]decane, spiro[3.5]nonane, norbornane, bicyclo[2.1.0]pentane, bicyclo[3.3.0]octane, bicyclo[2.2.2]octane, bicyclo[3.3.3]undecane, and the like.
  • tricyclic means a group having three interconnected saturated, partially-saturated, or unsaturated rings that include stable bridged, fused, or spiro rings. Typically a tricyclic ring system can have from 11 to 18 ring atoms in the ring system. The term includes, but is not limited to, adamantyl, tricyclo[5.2.1.0.sup.2,6]decane, and the like.
  • Exemplary bicyclic rings consisting of two fused partially saturated, fully saturated or fully unsaturated five and/or six membered rings, optionally having one to four heteroatoms, are indolizinyl, indolyl, isoindolyl, indolinyl, cyclopenta(b)pyridinyl, pyrano(3,4-b)pyrrolyl, benzofuryl, isobenzofuryl, benzo(b)thienyl, benzo(c)thienyl, 1H-indazolyl, indoxazinyl, benzoxazolyl, anthranilyl, benzimidazolyl, benzthiazolyl, purinyl, quinolinyl, isoquinolinyl, cinnolinyl, phthalazinyl, quinazolinyl, quinoxalinyl, 1,8-naphthyridinyl, pteridinyl, indenyl, iso
  • a cyclic ring group may be bonded to another group in more than one way. If no particular bonding arrangement is specified, then all possible arrangements are intended.
  • pyridyl includes 2-, 3-, or 4-pyridyl
  • thienyl includes 2-, or 3-thienyl.
  • substituted means that a hydrogen atom on a molecule or group is replaced with a group or atom.
  • Typical substitutents include: halogen, C 1-8 alkyl, hydroxyl, C 1-8 alkoxy, —NR x R x , nitro, cyano, halo or perhaloC 1-8 alkyl, C 2-8 alkenyl, C 2-8 alkynyl, —SR x , —S( ⁇ O) 2 R x , —C( ⁇ O)OR x , —C( ⁇ O)R x , wherein each R x is independently hydrogen or C 1 -C 8 alkyl. It is noted that when the substituent is —NR x R x , the R x groups may be joined together with the nitrogen atom to form a ring.
  • a group or atom that replaces a hydrogen atom is also called a substituent.
  • Any particular molecule or group can have one or more substituent depending on the number of hydrogen atoms that can be replaced.
  • the symbol “-” represents a covalent bond and can also be used in a radical group to indicate the point of attachment to another group. In chemical structures, the symbol is commonly used to represent a methyl group in a molecule.
  • leaving group generally refers to groups readily displaceable by a nucleophile, such as an amine, a thiol or an alcohol nucleophile. Such leaving groups are well known in the art. Examples of such leaving groups include, but are not limited to, N-hydroxysuccinimide, N-hydroxybenzotriazole, halides, triflates, tosylates and the like. Preferred leaving groups are indicated herein where appropriate.
  • protecting group generally refers to groups well known in the art which are used to prevent selected reactive groups, such as carboxy, amino, hydroxy, mercapto and the like, from undergoing undesired reactions, such as nucleophilic, electrophilic, oxidation, reduction and the like. Preferred protecting groups are indicated herein where appropriate. Examples of amino protecting groups include, but are not limited to, aralkyl, substituted aralkyl, cycloalkenylalkyl and substituted cycloalkenyl alkyl, allyl, substituted allyl, acyl, alkoxycarbonyl, aralkoxycarbonyl, silyl and the like.
  • aralkyl examples include, but are not limited to, benzyl, ortho-methylbenzyl, trityl and benzhydryl, which can be optionally substituted with halogen, alkyl, alkoxy, hydroxy, nitro, acylamino, acyl and the like, and salts, such as phosphonium and ammonium salts.
  • aryl groups include phenyl, naphthyl, indanyl, anthracenyl, 9-(9-phenylfluorenyl), phenanthrenyl, durenyl and the like.
  • cycloalkenylalkyl or substituted cycloalkylenylalkyl radicals preferably have 6-10 carbon atoms, include, but are not limited to, cyclohexenyl methyl and the like.
  • Suitable acyl, alkoxycarbonyl and aralkoxycarbonyl groups include benzyloxycarbonyl, t-butoxycarbonyl, iso-butoxycarbonyl, benzoyl, substituted benzoyl, butyryl, acetyl, trifluoroacetyl, trichloro acetyl, phthaloyl and the like.
  • a mixture of protecting groups can be used to protect the same amino group, such as a primary amino group can be protected by both an aralkyl group and an aralkoxycarbonyl group.
  • Amino protecting groups can also form a heterocyclic ring with the nitrogen to which they are attached, for example, 1,2-bis(methylene)benzene, phthalimidyl, succinimidyl, maleimidyl and the like and where these heterocyclic groups can further include adjoining aryl and cycloalkyl rings.
  • the heterocyclic groups can be mono-, di- or tri-substituted, such as nitrophthalimidyl.
  • Amino groups may also be protected against undesired reactions, such as oxidation, through the formation of an addition salt, such as hydrochloride, toluenesulfonic acid, trifluoroacetic acid and the like.
  • an addition salt such as hydrochloride, toluenesulfonic acid, trifluoroacetic acid and the like.
  • Many of the amino protecting groups are also suitable for protecting carboxy, hydroxy and mercapto groups.
  • aralkyl groups are also suitable groups for protecting hydroxy and mercapto groups, such as tert-butyl.
  • silyl protecting groups means silicon atoms optionally substituted by one or more alkyl, aryl and aralkyl groups. Suitable silyl protecting groups include, but are not limited to, trimethylsilyl, triethylsilyl, triisopropylsilyl, tert-butyldimethylsilyl, dimethylphenylsilyl, 1,2-bis(dimethylsilyl)benzene, 1,2-bis(dimethylsilyl)ethane and diphenylmethylsilyl. Silylation of an amino groups provide mono- or di-silylamino groups. Silylation of aminoalcohol compounds can lead to a N,N,O-trisilyl derivative.
  • silyl function from a silyl ether function is readily accomplished by treatment with, for example, a metal hydroxide or ammonium fluoride reagent, either as a discrete reaction step or in situ during a reaction with the alcohol group.
  • Suitable silylating agents are, for example, trimethylsilyl chloride, tert-butyl-dimethylsilyl chloride, phenyldimethylsilyl chloride, diphenylmethyl silyl chloride or their combination products with imidazole or DMF.
  • Methods for silylation of amines and removal of silyl protecting groups are well known to those skilled in the art.
  • Methods of preparation of these amine derivatives from corresponding amino acids, amino acid amides or amino acid esters are also well known to those skilled in the art of organic chemistry including amino acid/amino acid ester or aminoalcohol chemistry.
  • Protecting groups are removed under conditions which will not affect the remaining portion of the molecule. These methods are well known in the art and include acid hydrolysis, hydrogenolysis and the like.
  • a preferred method involves removal of a protecting group, such as removal of a benzyloxycarbonyl group by hydrogenolysis utilizing palladium on carbon in a suitable solvent system such as an alcohol, acetic acid, and the like or mixtures thereof.
  • a t-butoxycarbonyl protecting group can be removed utilizing an inorganic or organic acid, such as HCl or trifluoroacetic acid, in a suitable solvent system, such as dioxane or methylene chloride. The resulting amino salt can readily be neutralized to yield the free amine.
  • Carboxy protecting group such as methyl, ethyl, benzyl, tert-butyl, 4-methoxyphenylmethyl and the like, can be removed under hydrolysis and hydrogenolysis conditions well known to those skilled in the art.
  • compounds of the invention may contain groups that may exist in tautomeric forms, such as cyclic and acyclic amidine and guanidine groups, heteroatom substituted aromatic heterocyclyl groups (Y′ ⁇ O, S, NR), and the like, which are illustrated in the following examples:
  • Prodrugs of the compounds of this invention are also contemplated by this invention.
  • a prodrug is an active or inactive compound that is modified chemically through in vivo physiological action, such as hydrolysis, metabolism and the like, into a compound of this invention following administration of the prodrug to a patient.
  • the suitability and techniques involved in making and using prodrugs are well known by those skilled in the art.
  • For a general discussion of prodrugs involving esters see Svensson and Tunek Drug Metabolism Reviews 165 (1988) and Bundgaard Design of Prodrugs, Elsevier (1985).
  • Examples of a masked carboxylate anion include a variety of esters, such as alkyl (for example, methyl, ethyl), cycloalkyl (for example, cyclohexyl), aralkyl (for example, benzyl, p-methoxybenzyl), and alkylcarbonyloxyalkyl (for example, pivaloyloxymethyl).
  • esters such as alkyl (for example, methyl, ethyl), cycloalkyl (for example, cyclohexyl), aralkyl (for example, benzyl, p-methoxybenzyl), and alkylcarbonyloxyalkyl (for example, pivaloyloxymethyl).
  • Amines have been masked as arylcarbonyloxymethyl substituted derivatives which are cleaved by esterases in vivo releasing the free drug and formaldehyde (Bungaard J. Med. Chem. 2503 (1989
  • drugs containing an acidic NH group such as imidazole, imide, indole and the like, have been masked with N-acyloxymethyl groups (Bundgaard Design of Prodrugs, Elsevier (1985)). Hydroxy groups have been masked as esters and ethers.
  • EP 039,051 (Sloan and Little, Apr. 11, 1981) discloses Mannich-base hydroxamic acid prodrugs, their preparation and use.
  • terapéuticaally effective amount means an amount of a compound that ameliorates, attenuates or eliminates one or more symptom of a particular disease or condition, or prevents or delays the onset of one of more symptom of a particular disease or condition.
  • patient means animals, such as dogs, cats, cows, horses, sheep and humans. Particular patients are mammals.
  • patient includes males and females.
  • pharmaceutically acceptable means that the referenced substance, such as a compound of Formula I, or a salt of a compound of Formula I, or a formulation containing a compound of Formula I, or a particular excipent, are suitable for administration to a patient.
  • treating include preventative (e.g., prophylactic) and palliative treatment.
  • excipient means any pharmaceutically acceptable additive, carrier, diluent, adjuvant, or other ingredient, other than the active pharmaceutical ingredient (API), which is typically included for formulation and/or administration to a patient.
  • API active pharmaceutical ingredient
  • the methods in general, comprises the step of administering a therapeutically effective amount of a compounds of the present invention, or an individual stereoisomer, a mixture of stereoisomers, or a pharmaceutically acceptable salt or solvate thereof, to a patient in need thereof to treat the disorder or disease.
  • this invention provides a use of a compound as described herein in the manufacture of a medicament for treating a disorder or disease treatable by inhibition of PDE10.
  • the compounds of the present invention inhibit PDE10 enzyme activity, and hence raise the levels of cAMP or cGMP within cells that express PDE10. Accordingly, inhibition of PDE10 enzyme activity would be useful in the treatment of diseases caused by deficient amounts of cAMP or cGMP in cells. PDE10 inhibitors would also be of benefit in cases wherein raising the amount of cAMP or cGMP above normal levels results in a therapeutic effect. Inhibitors of PDE10 may be used to treat disorders of the peripheral and central nervous system, cardiovascular diseases, cancer, gastro-enterological diseases, endocrinological diseases and urological diseases.
  • Indications that may be treated with PDE10 inhibitors include, but are not limited to, those diseases thought to be mediated in part by the basal ganglia, prefrontal cortex, and hippocampus. These indications include psychoses, Parkinson's disease, dementias, obsessive compulsive disorder, tardive dyskinesia, choreas, depression, mood disorders, impulsivity, drug addiction, attention deficit/hyperactivity disorder (ADHD), depression with parkinsonian states, personality changes with caudate or putamen disease, dementia and mania with caudate and pallidal diseases, and compulsions with pallidal disease.
  • ADHD attention deficit/hyperactivity disorder
  • Psychoses are disorders that affect an individual's perception of reality. Psychoses are characterized by delusions and hallucinations.
  • the compounds of the present invention are suitable for use in treating patients suffering from all forms of psychoses, including, but not limited to, schizophrenia, late-onset schizophrenia, schizoaffective disorders, prodromal schizophrenia, and bipolar disorders. Treatment can be for the positive symptoms of schizophrenia as well as for the cognitive deficits and negative symptoms.
  • Other indications for PDE10 inhibitors include psychoses resulting from drug abuse (including amphetamines and PCP), encephalitis, alcoholism, epilepsy, Lupus, sarcoidosis, brain tumors, multiple sclerosis, dementia with Lewy bodies, or hypoglycemia.
  • Other psychiatric disorders like posttraumatic stress disorder (PTSD), and schizoid personality can also be treated with PDE10 inhibitors.
  • Obsessive-compulsive disorder has been linked to deficits in the frontal-striatal neuronal pathways (Saxena et al., Br. J. Psychiatry Suppl, 35:26-37, 1998). Neurons in these pathways project to striatal neurons that express PDE10. PDE10 inhibitors cause cAMP to be elevated in these neurons; elevations in cAMP result in an increase in CREB phosphorylation and thereby improve the functional state of these neurons.
  • the compounds of the present invention are therefore suitable for use in the indication of OCD.
  • OCD may result, in some cases, from streptococcal infections that cause autoimmune reactions in the basal ganglia (Giedd et al., Am J Psychiatry. 157:281-283, 2000). Because PDE10 inhibitors may serve a neuroprotective role, administration of PDE10 inhibitors may prevent the damage to the basal ganglia after repeated streptococcal infections and thereby prevent the development of OCD.
  • cAMP or cGMP In the brain, the level of cAMP or cGMP within neurons is believed to be related to the quality of memory, especially long term memory. Without wishing to be bound to any particular mechanism, it is proposed that, since PDE10 degrades cAMP or cGMP, the level of this enzyme affects memory in animals, for example, in humans.
  • a compound that inhibits cAMP phosphodiesterase (PDE) can thereby increase intracellular levels of cAMP, which in turn activate a protein kinase that phosphorylates a transcription factor (cAMP response binding protein).
  • the phosphorylated transcription factor then binds to a DNA promoter sequence to activate genes that are important in long term memory. The more active such genes are, the better is long-term memory. Thus, by inhibiting a phosphodiesterase, long term memory can be enhanced.
  • Dementias are diseases that include memory loss and additional intellectual impairment separate from memory.
  • the compounds of the present invention are suitable for use in treating patients suffering from memory impairment in all forms of dementia.
  • Dementias are classified according to their cause and include: neurodegenerative dementias (e.g., Alzheimer's, Parkinson's disease, Huntington's disease, Pick's disease), vascular (e.g., infarcts, hemorrhage, cardiac disorders), mixed vascular and Alzheimer's, bacterial meningitis, Creutzfeld-Jacob Disease, multiple sclerosis, traumatic (e.g., subdural hematoma or traumatic brain injury), infectious (e.g., HIV), genetic (down syndrome), toxic (e.g., heavy metals, alcohol, some medications), metabolic (e.g., vitamin B12 or folate deficiency), CNS hypoxia, Cushing's disease, psychiatric (e.g., depression and schizophrenia), and hydrocephalus.
  • neurodegenerative dementias e
  • the condition of memory impairment is manifested by impairment of the ability to learn new information and/or the inability to recall previously learned information.
  • the present invention includes methods for dealing with memory loss separate from dementia, including mild cognitive impairment (MCI) and age-related cognitive decline.
  • MCI mild cognitive impairment
  • the present invention includes methods of treatment for memory impairment as a result of disease.
  • Memory impairment is a primary symptom of dementia and can also be a symptom associated with such diseases as Alzheimer's disease, schizophrenia, Parkinson's disease, Huntington's disease, Pick's disease, Creutzfeld-Jakob disease, HIV, cardiovascular disease, and head trauma as well as age-related cognitive decline.
  • the compounds of the present invention are suitable for use in the treatment of memory impairment due to, for example, Alzheimer's disease, multiple sclerosis, amylolaterosclerosis (ALS), multiple systems atrophy (MSA), schizophrenia, Parkinson's disease, Huntington's disease, Pick's disease, Creutzfeld-Jakob disease, depression, aging, head trauma, stroke, spinal cord injury, CNS hypoxia, cerebral senility, diabetes associated cognitive impairment, memory deficits from early exposure of anesthetic agents, multiinfarct dementia and other neurological conditions including acute neuronal diseases, as well as HIV and cardiovascular diseases.
  • Alzheimer's disease dementia
  • multiple sclerosis amylolaterosclerosis
  • MSA multiple systems atrophy
  • schizophrenia Parkinson's disease
  • Huntington's disease Huntington's disease
  • Pick's disease Creutzfeld-Jakob disease
  • depression head trauma
  • stroke spinal cord injury
  • CNS hypoxia CNS hypoxia
  • cerebral senility diabetes associated cognitive impairment
  • memory deficits from early exposure of anesthetic agents
  • the compounds of the present invention are also suitable for use in the treatment of a class of disorders known as polyglutamine-repeat diseases. These diseases share a common pathogenic mutation.
  • the expansion of a CAG repeat, which encodes the amino acid glutamine, within the genome leads to production of a mutant protein having an expanded polyglutamine region.
  • Huntington's disease has been linked to a mutation of the protein huntingtin. In individuals who do not have Huntington's disease, huntingtin has a polyglutamine region containing about 8 to 31 glutamine residues. For individuals who have Huntington's disease, huntingtin has a polyglutamine region with over 37 glutamine residues.
  • DRPLA dentatorubral-pallidoluysian atrophy
  • DRPLA dentatorubral-pallidoluysian atrophy
  • ataxin-1 spinocerebellar ataxia type-1
  • ataxin-2 spinocerebellar ataxia type-2
  • ataxin-3 also called Machado-Joseph disease or MJD
  • ataxin-3 spinocerebellar ataxia type-6 (alpha 1a-voltage dependent calcium channel); spinocerebellar ataxia type-7 (ataxin-7); and spinal and bulbar muscular atrophy (SBMA, also know as Kennedy disease).
  • SBMA spinal and bulbar muscular atrophy
  • the basal ganglia are important for regulating the function of motor neurons; disorders of the basal ganglia result in movement disorders. Most prominent among the movement disorders related to basal ganglia function is Parkinson's disease (Obeso et al., Neurology. 62(1 Suppl 1):S17-30, 2004). Other movement disorders related to dysfunction of the basal ganglia include tardive dyskinesia, progressive supranuclear palsy and cerebral palsy, corticobasal degeneration, multiple system atrophy, Wilson disease, dystonia, tics, and chorea. The compounds of the invention are also suitable for use to treat movement disorders related to dysfunction of basal ganglia neurons.
  • PDE10 inhibitors are useful in raising cAMP or cGMP levels and prevent neurons from undergoing apoptosis.
  • PDE10 inhibitors may be anti-inflammatory by raising cAMP in glial cells.
  • Autoimmune diseases or infectious diseases that affect the basal ganglia may result in disorders of the basal ganglia including ADHD, OCD, tics, Tourette's disease, Sydenham chorea.
  • any insult to the brain can potentially damage the basal ganglia including strokes, metabolic abnormalities, liver disease, multiple sclerosis, infections, tumors, drug overdoses or side effects, and head trauma.
  • the compounds of the invention can be used to stop disease progression or restore damaged circuits in the brain by a combination of effects including increased synaptic plasticity, neurogenesis, anti-inflammatory, nerve cell regeneration and decreased apoptosis.
  • cancer cells The growth of some cancer cells is inhibited by cAMP and cGMP.
  • cells may become cancerous by expressing PDE10 and reducing the amount of cAMP or cGMP within cells.
  • inhibition of PDE10 activity inhibits cell growth by raising cAMP.
  • PDE10 may be expressed in the transformed, cancerous cell but not in the parent cell line.
  • PDE10 inhibitors reduce the growth rate of the cells in culture.
  • breast cancer cells are inhibited by administration of PDE10 inhibitors.
  • Many other types of cancer cells may also be sensitive to growth arrest by inhibition of PDE10. Therefore, compounds disclosed in this invention can be used to stop the growth of cancer cells that express PDE10.
  • the compounds of the invention are also suitable for use in the treatment of diabetes and related disorders such as obesity, by focusing on regulation of the cAMP signaling system.
  • PDE-10 especially PDE-10A
  • intracellular levels of cAMP are increased, thereby increasing the release of insulin-containing secretory granules and, therefore, increasing insulin secretion.
  • the compounds of Formula (I) can also be used to treat diseases disclosed in US Patent application publication No. 2006/019975.
  • the PDE10 inhibitory activities of the compounds of the present invention can be tested, for example, using the in vitro and in vivo assays described in the Biological Examples below.
  • the compounds of this invention can be administered in a therapeutically effective amount by any of the accepted modes of administration for agents that serve similar utilities.
  • the actual amount of a compound of this invention, i.e., the active ingredient depends upon numerous factors, such as the severity of the disease to be treated, the age and relative health of the subject, the potency of the compound used, the route and form of administration, and other factors.
  • Therapeutically effective amounts of compounds of formula (I) may range from approximately 0.1-1000 mg per day; preferably 0.5 to 250 mg/day, more preferably 3.5 mg to 70 mg per day.
  • compounds of this invention can be administered as pharmaceutical compositions by any one of the following routes: oral, systemic (e.g., transdermal, intranasal or by suppository), or parenteral (e.g., intramuscular, intravenous or subcutaneous) administration.
  • routes e.g., oral, systemic (e.g., transdermal, intranasal or by suppository), or parenteral (e.g., intramuscular, intravenous or subcutaneous) administration.
  • the preferred manner of administration is oral using a convenient daily dosage regimen, which can be adjusted according to the degree of affliction.
  • Compositions can take the form of tablets, pills, capsules, semisolids, powders, sustained release formulations, solutions, suspensions, elixirs, aerosols, or any other appropriate compositions.
  • formulation depends on various factors, such as the mode of drug administration (e.g., for oral administration, formulations in the form of tablets, pills or capsules are preferred) and the bioavailability of the drug substance.
  • pharmaceutical formulations have been developed especially for drugs that show poor bioavailability based upon the principle that bioavailability can be increased by increasing the surface area, i.e., decreasing particle size.
  • U.S. Pat. No. 4,107,288 describes a pharmaceutical formulation having particles in the size range from 10 to 1,000 nm in which the active material is supported on a crosslinked matrix of macromolecules.
  • 5,145,684 describes the production of a pharmaceutical formulation in which the drug substance is pulverized to nanoparticles (average particle size of 400 nm) in the presence of a surface modifier and then dispersed in a liquid medium to give a pharmaceutical formulation that exhibits remarkably high bioavailability.
  • compositions are comprised of, in general, a compounds of the present invention in combination with at least one pharmaceutically acceptable excipient.
  • Acceptable excipients are non-toxic, aid administration, and do not adversely affect the therapeutic benefit of the compounds of the present invention.
  • excipient may be any solid, liquid, semi-solid or, in the case of an aerosol composition, gaseous excipient that is generally available to one of skill in the art.
  • Solid pharmaceutical excipients include starch, cellulose, talc, glucose, lactose, sucrose, gelatin, malt, rice, flour, chalk, silica gel, magnesium stearate, sodium stearate, glycerol monostearate, sodium chloride, dried skim milk and the like.
  • Liquid and semisolid excipients may be selected from glycerol, propylene glycol, water, ethanol and various oils, including those of petroleum, animal, vegetable or synthetic origin, e.g., peanut oil, soybean oil, mineral oil, sesame oil, etc.
  • Preferred liquid carriers, particularly for injectable solutions include water, saline, aqueous dextrose, and glycols.
  • Compressed gases may be used to disperse a compound of this invention in aerosol form.
  • Inert gases suitable for this purpose are nitrogen, carbon dioxide, etc.
  • the level of the compound in a formulation can vary within the full range employed by those skilled in the art.
  • the formulation contains, on a weight percent (wt %) basis, from about 0.01-99.99 wt % of a compounds of the present invention based on the total formulation, with the balance being one or more suitable pharmaceutical excipients.
  • the compound is present at a level of about 1-80 wt %.
  • the compounds can be administered as the sole active agent or in combination with other pharmaceutical agents such as other agents used in the treatment of psychoses, especially schizophrenia and bipolar disorder, obsessive-compulsive disorder, Parkinson's disease, Alzheimer's disease, cognitive impairment and/or memory loss, e.g., nicotinic ⁇ -7 agonists, PDE4 inhibitors, other PDE10 inhibitors, calcium channel blockers, muscarinic m1 and m2 modulators, adenosine receptor modulators, ampakines, NMDA-R modulators, mGluR modulators, dopamine modulators, serotonin modulators, canabinoid modulators, and cholinesterase inhibitors (e.g., donepezil, rivastigimine, and galanthanamine).
  • each active ingredient can be administered either in accordance with their usual dosage range or a dose below their usual dosage range, and can be administered either simultaneously or sequentially.
  • Drugs suitable in combination with the compounds of the present invention include, but are not limited to, other suitable schizophrenia drugs such as Clozaril, Zyprexa, Risperidone, and Seroquel; bipolar disorder drugs, including, but not limited to, Lithium, Zyprexa, and Depakote; Parkinson's disease drugs, including, but not limited to, Levodopa, Parlodel, Permax, Mirapex, Tasmar, Contan, Kemadin, Artane, and Cogentin; agents used in the treatment of Alzheimer's disease, including, but not limited to, Reminyl, Cognex, Aricept, Exelon, Akatinol, Neotropin, Eldepryl, Estrogen and Cliquinol; agents used in the treatment of dementia, including, but not limited to, Thioridazine, Haloperidol, Risperidone, Cognex, Aricept, and Exelon; agents used in the treatment of epilepsy, including, but not limited to, Dilant
  • agonists, antagonists such as Rosiglitazone, Troglitazone and Pioglitazone
  • insulin secretagogues e.g., sulfonylurea drugs, such as Glyburide, Glimepiride, Chlorpropamide, Tolbutamide, and Glipizide, and non-sulfonyl secretagogues
  • c-glucosidase inhibitors such as Acarbose, Miglitol, and Voglibose
  • insulin sensitizers such as the PPAR- ⁇ agonists, e.g., the glitazones; biguanides, PTP-1B inhibitors, DPP-IV inhibitors, and 11beta-HSD inhibitors
  • hepatic glucose output lowering compounds such as glucagon antagonists and metaformin, e.g., Glucophage and Glucophage XR
  • insulin and insulin derivatives both long and short acting forms and formulations of insulin
  • the compounds of the formula I can be prepared according to the following General Schemes A to H, wherein m, p, q, R 1 , R 4a , R 4b , R 5 , Y, X 1 , X 2 , X 3 , X 4 , and X 5 are defined herein.
  • Zinc dust (Acros) was slowly added to a well stirred solution of aqueous 2N HCl. The material was allowed to stir for 30 min at which point it was filtered, washed with water, EtOH, and diethyl ether. The material was dried using a rotavapor.
  • N-Boc-3-iodoazetidine (2) (448 g, 1.583 mol, 1.5 eq, CNH Technologies) in DMA (925 mL, anhydrous) was added over 25 min keeping the internal temperature below 65° C. using a water bath. The suspension was stirred for 1 h at RT at which point it was degassed with nitrogen. Stirring was stopped and the suspension was allowed to stand.
  • Step 3 2-(3-(3-Bromopyridin-2-Yl)Azetidin-1-Yl)Quinoline (5)
  • N-Boc-3-iodoazetidine (2) (2420 g, 8.55 mol, 1.5 eq, CNH Technologies) in DMA (5 L, anhydrous) was added via a 2 L addition funnel over 2 h keeping the internal temperature below 65° C. using a water bath. The suspension was stirred for 1 h at RT at which point it was degassed with nitrogen. Stirring was stopped and the suspension was allowed to stand.
  • the impure material was distilled under high vacuum to remove the impurity (N-Boc-azetidine) to give 81 g of pure tert-butyl 3-(3-chloropyrazin-2-yl)azetidine-1-carboxylate (7).
  • Zinc dust which was preactivated according to above Preparation 2, (51.2 g, 0.78 mol, 1.94 eq) and dimethyl acetamide (162 mL).
  • 1,2-dibromoethane (12.14 g, 0.0646 mol, 0.16 eq) was added dropwise at RT (exotherm and bubbling were observed), followed by dropwise addition of TMSCl (6.99 g, 0.0646 mol, 0.16 eq). A vigorous reaction (exotherm to 55° C.) was observed.
  • N-Boc-3-iodoazetidine (2) (182.88 g, 0.646 mol, 1.6 eq) in dimethyl acetamide (378 mL) was added dropwise using an addition funnel (exotherm to 50° C. was observed). The suspension was stirred for 1.5 h at RT and was then degassed with nitrogen for 15 min. Stirring was stopped and suspension was allowed to stand under nitrogen.
  • the Zinc reagent solution in 2 L flask was cannulated into 5 L round bottomed flask.
  • the resulting reaction mixture was degassed again with nitrogen for 15 min with stirring and heated to 80° C. for overnight under nitrogen.
  • LCMS indicates completion of reaction.
  • the reaction was cooled to RT and quenched by addition of brine solution (1 L).
  • To this EtOAc (1 L) and water (1 L) were added and layers were separated.
  • the aqueous layer was extracted with EtOAc (2 ⁇ 2 L).
  • the combined EtOAc layers were washed with water (2 L), brine (1 L), dried (Na 2 SO 4 ), filtered, and evaporated.
  • Step 4 4-[3-(1-Quinolin-2-Yl-Azetidin-3-Yl)-Pyrazin-2-Yl]-Piperidine-1-Carboxylic Acid Tert-Butyl Ester (53)
  • NBS (10 g, 56.2 mmol) was added slowly to a solution of 5-fluoro-pyridin-2-ylamine (55) (12.4 g, 56.2 mmol) in MeCN (200 mL).
  • the reaction mixture was stirred at RT overnight. After completion, the solution was filtered and the filtrate was concentrated to obtain a residue, which was purified by silica gel chromatography (10% to 20% EtOAc in petroleum ether) to give 3-bromo-5-fluoro-pyridin-2-ylamine (56) (5.2 g, 27.2 mmol, 31% yield) as a yellow solid.
  • 3-bromo-5-fluoro-pyridin-2-ylamine (1.91 g, 0.01 mol) was dissolved in 48% hydrobromic acid (30 mL). After cooling to ⁇ 5° C., bromine (3.24 g, 0.02 mol) was added dropwise over 5 min. A solution of sodium nitrite (1.01 g, 0.02 mol) in water (3 mL) was then added at a rate to keep the temperature of the reaction mixture between ⁇ 5° C. and 0° C. When finished, the temperature was allowed to reach 25° C. The bromine was reduced with an excess of solid sodium sulfite, and the reaction mixture was extracted with EtOAc (3 ⁇ 50 mL).
  • the filtrate was loaded onto a silica gel pad and flushed with 30% EtOAc in hexanes to give a solid after drying.
  • the solid was initially white but changed color to yellow after drying on the high vacuum line over night. Yield; 1.19 g, 64%.
  • the material (113) was used directly in the next step without any further purification.
  • the reaction mixture was heated to 80° C. overnight, cooled, filtered through a medium fritted funnel, and washed with MTBE (300 mL ⁇ 4).
  • the organic extracts were combined and concentrated under reduced pressure.
  • the crude product mixture (136) was cooled using an ice bath, stirred with an overhead stirrer and to it was added aqueous 2M NaOH solution (2 L) keeping the internal temperature below 15° C.
  • the basic aqueous solution was extracted with MTBE (250 mL ⁇ 3), and the organic extracts were discarded.
  • the aqueous phase was cooled using an ice bath and the pH was adjusted to 3 to 5 with concentrated HCl keeping the internal temperature below 10° C.
  • Table 13A lists compounds of Examples 1.1 to 1.17, which were made analogous to Scheme 1 by using the appropriate materials and reaction conditions, which are listed in Table 13B.
  • the NMR of the Examples are listed in Table 13C.
  • Table 14A lists compounds of Examples 2.1 to 2.30, which were made analogous to Scheme 2 by using the appropriate materials and reaction conditions, which are listed in Table 14B.
  • the NMR data of the Examples are listed in Table 14C.
  • Table 15A lists compounds of Examples 3.1 to 3.54, which were made analogous to Scheme 3 by using the appropriate materials and reaction conditions, which are listed in Table 15B.
  • the NMR data of the Examples are listed in Table 15C.
  • a glass microwave reaction vessel was charged with 2-(3-(3-chloropyrazin-2-yl)azetidin-1-yl)quinoline (0.160 g, 0.539 mmol), sodium carbonate (0.300 g, 2.83 mmol, JT Baker), 2-methoxy-3-pyridineboronic acid (0.150 g, 0.981 mmol, Aldrich) and trans-dichlorobis(triphenylphosphine)palladium (ii) (0.030 g, 0.043 mmol, Strem).
  • Table 16A lists compounds of Examples 4.1 to 4.45, which were made analogous to Scheme 4 by using the appropriate materials and reaction conditions, which are listed in Table 16B.
  • the NMR data of the Examples are listed in Table 16C.
  • Method C-reverse-phase HPLC (Gilson; Gemini-NX 10m C18 110A AXIA, 100 ⁇ 50 mm column) eluting with 0.1% TFA-H 2 O:0.1% TFA CH 3 CN (9:1 ⁇ 1:9). The fractions containing the desired product were combined and concentrated in vacuo.
  • Method D-reverse-phase HPLC (Instrument: Waters Autopurificaton system; Column: Xbridge 19 ⁇ 100 mm, 10 um; Flow rate: 40 ml/min; Mobile phase: 0.1% NH 4 OH in acetonitrile (B) and water (A)).
  • Method E-reverse-phase HPLC Instrument: Waters Autopurificaton system; Column: Xbridge 19 ⁇ 100 mm, 10 um; Flow rate: 40 ml/min; Mobile phase: 0.1% TFA in acetonitrile (B) and water (A)).

Landscapes

  • Chemical & Material Sciences (AREA)
  • Organic Chemistry (AREA)
  • Health & Medical Sciences (AREA)
  • Engineering & Computer Science (AREA)
  • Bioinformatics & Cheminformatics (AREA)
  • Veterinary Medicine (AREA)
  • Life Sciences & Earth Sciences (AREA)
  • General Chemical & Material Sciences (AREA)
  • Medicinal Chemistry (AREA)
  • Nuclear Medicine, Radiotherapy & Molecular Imaging (AREA)
  • Chemical Kinetics & Catalysis (AREA)
  • Pharmacology & Pharmacy (AREA)
  • Public Health (AREA)
  • Animal Behavior & Ethology (AREA)
  • General Health & Medical Sciences (AREA)
  • Biomedical Technology (AREA)
  • Neurosurgery (AREA)
  • Neurology (AREA)
  • Diabetes (AREA)
  • Psychiatry (AREA)
  • Hematology (AREA)
  • Addiction (AREA)
  • Obesity (AREA)
  • Psychology (AREA)
  • Hospice & Palliative Care (AREA)
  • Endocrinology (AREA)
  • Emergency Medicine (AREA)
  • Pain & Pain Management (AREA)
  • Child & Adolescent Psychology (AREA)
  • Pharmaceuticals Containing Other Organic And Inorganic Compounds (AREA)
  • Plural Heterocyclic Compounds (AREA)
  • Nitrogen Condensed Heterocyclic Rings (AREA)

Abstract

Unsaturated nitrogen heterocyclic compounds of formula (I):
Figure US09718803-20170801-C00001

as defined in the specification, compositions containing them, and processes for preparing such compounds. Provided herein also are methods of treating disorders or diseases treatable by inhibition of PDE10, such as obesity, Huntington's Disease, non-insulin dependent diabetes, schizophrenia, bipolar disorder, obsessive-compulsive disorder, and the like.

Description

CROSS-REFERENCE TO RELATED APPLICATIONS
This application is a continuation application of U.S. Non Provisional application Ser. No. 14/242,432, filed Apr. 1, 2014, which claims the priority benefit of U.S. Non Provisional application Ser. No. 13/105,860, filed May 11, 2011, now U.S. Pat. No. 8,957,073, which claims the priority benefit of U.S. Provisional Application No. 61/334,525, filed May 13, 2010, all of which are hereby incorporated by reference in their entirety.
FIELD OF THE INVENTION
Provided herein are certain unsaturated nitrogen heterocyclic compounds that are PDE10 inhibitors, pharmaceutical compositions containing such compounds, and processes for preparing such compounds. Provided herein also are methods of treating disorders or diseases treatable by inhibition of PDE10, such as obesity, Huntington's disease, non-insulin dependent diabetes, schizophrenia, bipolar disorder, obsessive-compulsive disorder, and the like.
BACKGROUND
Neurotransmitters and hormones, as well as other types of extracellular signals such as light and odors, create intracellular signals by altering the amounts of cyclic nucleotide monophosphates (cAMP and cGMP) within cells. These intracellular messengers alter the functions of many intracellular proteins. Cyclic AMP regulates the activity of cAMP-dependent protein kinase (PKA). PKA phosphorylates and regulates the function of many types of proteins, including ion channels, enzymes, and transcription factors. Downstream mediators of cGMP signaling also include kinases and ion channels. In addition to actions mediated by kinases, cAMP and cGMP bind directly to some cell proteins and directly regulate their activities.
Cyclic nucleotides are produced from the actions of adenylyl cyclase and guanylyl cyclase, which convert ATP to cAMP and GTP to cGMP. Extracellular signals, often through the actions of G protein-coupled receptors, regulate the activities of the cyclases. Alternatively, the amount of cAMP and cGMP may be altered by regulating the activities of the enzymes that degrade cyclic nucleotides. Cell homeostasis is maintained by the rapid degradation of cyclic nucleotides after stimulus-induced increases. The enzymes that degrade cyclic nucleotides are called 3′,5′-cyclic nucleotide-specific phosphodiesterases (PDEs).
Eleven PDE gene families (PDE1-PDE11) have been identified based on their distinct amino acid sequences, catalytic and regulatory characteristics, and sensitivity to small molecule inhibitors. These families are coded for by 21 genes; and further multiple splice variants are transcribed from many of these genes. Expression patterns of each of the gene families are distinct. PDEs differ with respect to their affinity for cAMP and cGMP. Activities of different PDEs are regulated by different signals. For example, PDE1 is stimulated by Ca2+/calmodulin. PDE2 activity is stimulated by cGMP. PDE3 is inhibited by cGMP. PDE4 is cAMP specific and is specifically inhibited by rolipram. PDE5 is cGMP-specific. PDE6 is expressed in retina.
PDE10 sequences were identified by using bioinformatics and sequence information from other PDE gene families (Fujishige et al., J. Biol. Chem. 274:18438-18445, 1999; Loughney et al., Gene 234:109-117, 1999; Soderling et al., Proc. Natl. Acad. Sci. USA 96:7071-7076, 1999). The PDE10 gene family is distinguished based on its amino acid sequence, functional properties and tissue distribution. The human PDE10 gene is large, over 200 kilobases, with up to 24 exons coding for each of the splice variants. The amino acid sequence is characterized by two GAF domains (which bind cGMP), a catalytic region, and alternatively spliced N and C termini. Numerous splice variants are possible because at least three alternative exons encode N termini and two exons encode C-termini. PDE10A1 is a 779 amino acid protein that hydrolyzes both cAMP and cGMP. The Km values for cAMP and cGMP are 0.05 and 3.0 micromolar, respectively. In addition to human variants, several variants with high homology have been isolated from both rat and mouse tissues and sequence banks.
PDE10 RNA transcripts were initially detected in human testis and brain. Subsequent immunohistochemical analysis revealed that the highest levels of PDE10 are expressed in the basal ganglia. Specifically, striatal neurons in the olfactory tubercle, caudate nucleus and nucleus accumbens are enriched in PDE10. Western blots did not reveal the expression of PDE10 in other brain tissues, although immunoprecipitation of the PDE10 complex was possible in hippocampal and cortical tissues. This suggests that the expression level of PDE10 in these other tissues is 100-fold less than in striatal neurons. Expression in hippocampus is limited to the cell bodies, whereas PDE10 is expressed in terminals, dendrites and axons of striatal neurons.
The tissue distribution of PDE10 indicates that PDE10 inhibitors can be used to raise levels of cAMP and/or cGMP within cells that express the PDE10 enzyme, for example, in neurons that comprise the basal ganglia and therefore would be useful in treating a variety of neuropsychiatric conditions involving the basal ganglia such as obesity, non-insulin dependent diabetes, schizophrenia, bipolar disorder, obsessive compulsive disorder, and the like.
Noninvasive, nuclear imaging techniques can be used to obtain basic and diagnostic information about the physiology and biochemistry of a variety of living subjects including experimental animals, normal humans and patients. These techniques rely on the use of sophisticated imaging instrumentation that is capable of detecting radiation emitted from radiotracers administered to such living subjects. The information obtained can be reconstructed to provide planar and tomographic images that reveal distribution of the radiotracer as a function of time. Use of appropriately designed radiotracers can result in images which contain information on the structure, function and most importantly, the physiology and biochemistry of the subject. Much of this information cannot be obtained by other means. The radiotracers used in these studies are designed to have defined behaviors in vivo which permit the determination of specific information concerning the physiology or biochemistry of the subject or the effects that various diseases or drugs have on the physiology or biochemistry of the subject. Currently, radiotracers are available for obtaining useful information concerning such things as cardiac function, myocardial blood flow, lung perfusion, liver function, brain blood flow, regional brain glucose and oxygen metabolism.
Compounds of the invention can be labeled with either positron or gamma emitting radionuclides. For imaging, the most commonly used positron emitting (PET) radionuclides are 11C, 18F, 15O, 13N, 76Br, 77Br, 123I, or 125I, wherein 11C, 18F, 123I, or 125I are preferred, all of which are accelerator produced. In the two decades, one of the most active areas of nuclear medicine research has been the development of receptor imaging radiotracers. These tracers bind with high affinity and specificity to selective receptors and neuroreceptors. For example, Johnson and Johnson has synthesized and evaluated 18F-JNJ41510417 as a selective and high-affinity radioligand for in vivo brain imaging of PDE10A using PET (The Journal Of Nuclear Medicine; Vol. 51; No. 10; October 2010).
SUMMARY OF THE INVENTION
The present invention comprises a new class of unsaturated nitrogen heterocyclic compounds useful in the treatment of diseases, such as PDE10-mediated diseases and other maladies, such as schizophrenia, Huntington's disease, bipolar disorder, or obsessive-compulsive disorder. Accordingly, the invention also comprises pharmaceutical compositions comprising the compounds, methods for the treatment of PDE10-mediated diseases and other maladies, such as schizophrenia, Huntington's disease, bipolar disorder, or obsessive-compulsive disorder, using the compounds and compositions of the invention, and intermediates and processes useful for the preparation of the compounds of the invention.
Another aspect of the invention comprises a new class of unsaturated nitrogen heterocyclic compounds radiolabeled with a positron emitting radionuclide selected from 11C, 18F, 15O, 13N, 76Br, 77Br, 123I, or 125I, a radiopharmaceutical composition comprising the radiolabelled compound, a method for the diagnostic imaging of PDE10 receptors in a mammal, including human, or tissues bearing PDE10 receptors in a mammal, including human brain, which comprises administering to a mammal in need of such diagnostic imaging an effective amount of the radiolabeled compound, and a method for the detection or quantification of PDE10 receptors in mammalian tissue, including human tissue, which comprises contacting such mammalian tissue in which such detection or quantification is desired with an effective amount of the radiolabeled compound.
The compounds of the invention are represented by the following general structure:
Figure US09718803-20170801-C00002

or a pharmaceutically acceptable salt thereof, wherein m, p, q, R1, R4a, R4b, R5, Y, X1, X2, X3, X4, and X5 are defined below.
The compounds of the invention are represented by the following general structure:
Figure US09718803-20170801-C00003

or a pharmaceutically acceptable salt thereof, wherein m, p, q, R4a, R4b, R5, Y, X1, X2, X3, and X4 are defined below.
The compounds of the invention are represented by the following general structure:
Figure US09718803-20170801-C00004

or a pharmaceutically acceptable salt thereof, wherein m, p, q, R1, R2, R3, R4a, R4b, R5, Y, and X1 are defined below.
Other compounds of the invention are represented by the following general structure:
Figure US09718803-20170801-C00005

or a pharmaceutically acceptable salt thereof, wherein m, p, q, Ring D, R2, R3, R4a, R4b, R5, Y, and X1 are defined below.
DETAILED DESCRIPTION OF THE INVENTION
One aspect of the current invention relates to compounds having the general structure of formula (I):
Figure US09718803-20170801-C00006

or a pharmaceutically acceptable salt thereof, wherein:
X1 is N or CR6;
X2 is N or CR2;
X3 is N or CR3;
X4 is N or CR6;
X5 is N or CR6;
wherein 1 to 2 of X1, X2, X3, X4 and X5 are N;
R1 is halo, C1-8alk, C1-4haloalk, —ORc, —N(Ra)C(═O)Rb, —C(═O)Ra, —C(═O)Rc, —C(═O)—O—Ra, —NRaRc, —N(Rc)C(═O)Rb, —N(Ra)C(═O)Rc, —C(═O)NRaRb, —C(═O)NRaRc, or C0-4alk-L1; wherein said C1-8alk group is substituted by 0, 1, 2 or 3 groups which are halo, C1-3haloalk, —OH, —OC1-4alk, —NH2, —NHC1-4alk, —OC(═O)C1-4alk, or —N(C1-4alk)C1-4alk;
Y is a C0-4alk, —C(═O), SO, or SO2;
each R2 and R3 is independently R1, H, halo, CN, OH, —OC1-4alk, C1-4alk, C1-4haloalk, —C1-6alkORa, —C(═O)C1-4alk, —C(═O)NRaRa, —C0-4alkNH—C(═O)Ra, or Rc;
or alternatively the ring containing X1, X2, X3, X4 and X5 can be fused to ring A, ring B, or ring C; having the formula:
Figure US09718803-20170801-C00007

wherein said ring A, ring B, or ring C is a fused 4- to 6-membered-saturated, -partially saturated, or -unsaturated-carbocyclic or -heterocyclic ring containing 0, 1, 2, or 3 heteroatoms; and is substituted by 0, 1, or 2 R10 groups;
R4a is H, OH, halo, C1-4alk, or C1-4haloalk;
R4b is halo, CN, OH, OC1-4alk, C1-4alk, C1-4haloalk, or oxo;
R5 is —C1-6alkORa, 5- to 6-membered heteroaryl, unsaturated 9- to 10-membered bicyclo-heterocyclic ring, or 11- to 15-membered tricyclo-heterocyclic ring; R5 ring is substituted by 0, 1, 2, 3, or 4 R8 groups;
R6 is independently R1, H, halo, CN, OH, OC1-4alk, C1-4alk or C1-4haloalk;
m is 0, 1, 2, 3, or 4;
each of p and q is independently 0, 1, 2, 3, 4, 5, or 6; wherein the sum of p and q is 2 to 6;
the ring containing p and q contains 0, 1, or 2 double bonds;
Ra is independently H or Rb;
Rb is independently phenyl, benzyl, or C1-6alk, wherein said phenyl, benzyl, and C1-6alk are substituted by 0, 1, 2 or 3 substituents which are, independently, halo, C1-4alk, C1-3haloalk, —OH, —OC1-4alk, —NH2, —NHC1-4alk, —OC(═O)C1-4alk, or —N(C1-4alk)C1-4alk;
Rc is C0-4alk-L2;
each L1 is independently a carbon-linked or nitrogen-linked saturated, partially-saturated or unsaturated 3-, 4-, 5-, 6-, or 7-membered monocyclic ring or a saturated, partially-saturated or unsaturated 6-, 7-, 8-, 9-, 10-, 11-, or 12-membered bicyclic ring, said ring contains 0, 1, 2, 3, or 4 N atoms and 0, 1, or 2 atoms which are O or S; L1 is independently substituted by 0, 1, 2 or 3 R9 groups;
each L2 is independently a carbon-linked or nitrogen-linked saturated, partially-saturated or unsaturated 3-, 4-, 5-, 6-, or 7-membered monocyclic ring or a saturated, partially-saturated or unsaturated 6-, 7-, 8-, 9-, 10-, 11-, or 12-membered bicyclic ring, said ring contains 0, 1, 2, 3, or 4 N atoms and 0, 1, or 2 atoms which are O or S; L2 is independently substituted by 0, 1, 2 or 3 R11 groups;
R8 is halo, CN, OH, OC1-4alk, C1-4alk, C1-4haloalk, OC1-4haloalk, —C(═O)Rb, —C(═O)Rc, —C(═O)NHRb, —C(═O)NHRc, —S(═O)2Rb, —S(═O)2Rc, —S(═O)2NRaRa, Rb, Rc, NO2, ORb, or ORc;
R9 is halo, C1-6alk, C1-4haloalk, —ORa, —OC1-4haloalk, CN, —C(═O)Rb, —C(═O)ORa, —C(═O)NRaRa, —C(═NRa)NRaRa, —OC(═O)Rb, —OC(═O)NRaRa, —OC1-6alkNRaRa, —OC1-6alkORa, —SRa, —S(═O)Rb, —S(═O)2Rb, —S(═O)2NRaRa, —NRaRa, —N(Ra)C(═O)Rb, —N(Ra)C(═O)ORb, —N(Ra)C(═O)NRaRa, —N(Ra)C(═NRa)NRaRa, —N(Ra)S(═O)2Rb, —N(Ra)S(═O)2NRaRa, —NRaC1-6alkNRaRa, —NRaC1-6alkORa, —C1-6alkNRaRa, —C1-6alkORa, —C1-6alkN(Ra)C(═O)Rb, —C1-6alkOC(═O)Rb, —C1-6alkC(═O)NRaRa, —C1-6alkC(═O)ORa, oxo, or Rc;
R10 is oxo, C1-6alk, C1-3haloalk, —OH, —OC1-4alk, —NH2, —NHC1-4alk, —OC(═O)C1-4alk, or —N(C1-4alk)C1-4alk; and
R11 is halo, C1-6alk, C1-4haloalk, —ORa, —OC1-4haloalk, CN, —C(═O)Rb, —C(═O)ORa, —C(═O)NRaRa, —C(═NRa)NRaRa, —OC(═O)Rb, —OC(═O)NRaRa, —OC1-6alkNRaRa, —OC1-6alkORa, —SRa, —S(═O)Rb, —S(═O)2Rb, —S(═O)2NRaRa, —NRaRa, —N(Ra)C(═O)Rb, —N(Ra)C(═O)ORb, —N(Ra)C(═O)NRaRa, —N(Ra)C(═NRa)NRaRa, —N(Ra)S(═O)2Rb, —N(Ra)S(═O)2NRaRa, —NRaC1-6alkNRaRa, —NRaC1-6alkORa, —C1-6alkNRaRa, —C1-6alkORa, —C1-6alkN(Ra)C(═O)Rb, —C1-6alkOC(═O)Rb, —C1-6alkC(═O)NRaRa, —C1-6alkC(═O)ORa, or oxo.
In one embodiment of the compound of formula (I), (II), (III), or (IV), or a pharmaceutically acceptable salt thereof, the group
Figure US09718803-20170801-C00008
In another embodiment of the compound of formula (I), (II), (III), or (IV), or a pharmaceutically acceptable salt thereof, the group
Figure US09718803-20170801-C00009
Figure US09718803-20170801-C00010
In another embodiment of the compound of formula (I), (II), (III), or (IV), or a pharmaceutically acceptable salt thereof, each of said Ring A, Ring B, and Ring C is a fused 4- to 6-membered-saturated, -partially saturated, or -unsaturated-carbocyclic which are fused phenyl, cyclobutyl, cyclopentyl, or cyclohexyl; said Ring A, Ring B, and Ring C is substituted by 0, 1, or 2 R10 groups which are oxo, C1-6alk, C1-3haloalk, —OH, —OC1-4alk, —NH2, —N1-4alk, —OC(═O)C1-4alk, or —N(C1-4alk)C4alk.
In another embodiment of the compound of formula (I), (II), (III), or (IV), or a pharmaceutically acceptable salt thereof, each of said Ring A, Ring B, and Ring C is a fused 5-membered-saturated, -partially saturated, or -unsaturated-heterocyclic ring which are fused furanyl, thiophenyl, pyrrolyl, pyrrolinyl, pyrrolidinyl, dioxolanyl, oxazolyl, thiazolyl, isothiazolyl, imidazolyl, imidazolinyl, imidazolidinyl, pyrazolyl, pyrazolinyl, pyrazolidinyl, isoxazolyl, or isothiazolyl; said Ring A, Ring B, and Ring C is substituted by 0, 1, or 2 R10 groups which are oxo, C1-6alk, C1-3haloalk, —OH, —OC1-4alk, —NH2, —NHC1-4alk, —OC(═O)C1-4alk, or —N(C1-4alk)C1-4alk.
In another embodiment of the compound of formula (I), (II), (III), or (IV), or a pharmaceutically acceptable salt thereof, each of said Ring A, Ring B, and Ring C is a fused 6-membered-saturated, -partially saturated, or -unsaturated-heterocyclic ring which are fused pyranyl, pyridinyl, piperidinyl, dioxanyl, morpholinyl, dithianyl, thiomorpholinyl, pyridazinyl, pyrazinyl, or piperazinyl; said Ring A, Ring B, and Ring C is substituted by 0, 1, or 2 R10 groups which are oxo, C1-6alk, C1-3haloalk, —OH, —OC1-4alk, —NH2, —NHC1-4alk, —OC(═O)C1-4alk, or —N(C1-4alk)C1-4alk.
In another embodiment of the compound of formula (I), (II), (III), or (IV), or a pharmaceutically acceptable salt thereof, each of p and q is independently 1.
In another embodiment of the compound of formula (I), (II), (III), or (IV), or a pharmaceutically acceptable salt thereof, each of p and q is independently 2.
In another embodiment of the compound of formula (I), (II), (III), or (IV), or a pharmaceutically acceptable salt thereof, the ring containing p and q contains 0 or 1 double bond.
In another embodiment of the compound of formula (I), (II), (III), or (IV), or a pharmaceutically acceptable salt thereof, wherein the sum of p and q is 3; and the ring containing p and q contains 0 or 1 double bond.
In another embodiment of the compound of formula (I), (II), (III), or (IV), or a pharmaceutically acceptable salt thereof, R4b is oxo and m is 1.
In another embodiment of the compound of formula (I), (II), (III), or (IV), or a pharmaceutically acceptable salt thereof, R5 is unsaturated 10-membered bicyclo-heterocyclic ring; wherein each R5 ring is substituted by 0, 1, or 2 R8 groups.
In another embodiment of the compound of formula (I), (II), (III), or (IV), or a pharmaceutically acceptable salt thereof, the group
Figure US09718803-20170801-C00011

wherein each
Figure US09718803-20170801-C00012

is substituted by 0, 1, or 2 R10 groups.
In another embodiment of the compound of formula (I), (II), (III), or (IV), or a pharmaceutically acceptable salt thereof, m is 1 or 2.
In another embodiment of the compound of formula (I), (II), (III), or (IV), or a pharmaceutically acceptable salt thereof, m is 0.
In another embodiment of the compound of formula (I), (II), (III), or (IV), or a pharmaceutically acceptable salt thereof, R1 is —NRaRc, —ORc or —C0-4alk-L1.
In another embodiment of the compound of formula (I), (II), (III), or (IV), or a pharmaceutically acceptable salt thereof, L1 is a carbon-linked-saturated or partially-saturated 3-, 4-, 5-, 6-, or 7-membered monocyclic ring, wherein each said ring contains 0, 1, or 2 N atoms and 0 or 1 O atoms, and wherein each said L1 is substituted by 0, 1 or 2 R9 groups which are F, Cl, Br, C1-6alk, —ORa, CN, —C(═O)Rb, C(═O)ORa, —C(═O)NRaRa, —SRa, —S(═O)Rb, —S(═O)2Rb, —NRaRa, —N(Ra)C(═O)Rb, —N(Ra)C(═O)ORb, —C1-6alkORa, —C1-6alkN(Ra)C(═O)Rb, —C1-6alkOC(═O) Rb, —C1-6alkC(═O)NRaRa, —C1-6alkC(═O)ORa, oxo, or Rc.
In another embodiment of the compound of formula (I), (II), (III), or (IV), or a pharmaceutically acceptable salt thereof, L1 is a carbon-linked-saturated or partially-saturated 5- to 6-membered monocyclic ring, wherein each said ring contains 0, 1, or 2 N atoms and 0 or 1 O atoms, and wherein each said L1 is substituted by 0, 1 or 2 R9 groups which are F, Cl, Br, C1-6alk, —ORa, CN, —C(═O)Rb, C(═O)ORa, —C(═O)NRaRa, —SRa, —S(═O)Rb, —S(═O)2Rb, —NRaRa, —N(Ra)C(═O)Rb, —N(Ra)C(═O)ORb, —C1-6alkORa, —C1-6alkN(Ra)C(═O)Rb, —C1-6alkOC(═O) Rb, —C1-6alkC(═O)NRaRa, —C1-6alkC(═O)ORa, oxo, or Rc.
In another embodiment of the compound of formula (I), (II), (III), or (IV), or a pharmaceutically acceptable salt thereof, L1 is a carbon-linked-unsaturated 5- to 6-membered monocyclic ring, wherein each said ring contains 0, 1, or 2 N atoms and 0 or 1 O atoms, and wherein each said L1 is substituted by 0, 1 or 2 R9 groups which are F, Cl, Br, C1-6alk, —ORa, CN, —C(═O)Rb, C(═O)ORa, —C(═O)NRaRa, —SRa, —S(═O)Rb, —S(═O)2Rb, —NRaRa, —N(Ra)C(═O)Rb, —N(Ra)C(═O)ORb, —C1-6alkORa, —C1-6alkN(Ra)C(═O)Rb, —C1-6alkOC(═O) Rb, —C1-6alkC(═O)NRaRa, —C1-6alkC(═O)ORa, oxo, or Rc.
In another embodiment of the compound of formula (I), (II), (III), or (IV), or a pharmaceutically acceptable salt thereof, L1 is a carbon-linked-saturated, partially-saturated or unsaturated 6-, 7-, 8-, 9-, or 10-membered bicyclic ring, wherein each said ring contains 0, 1, or 2 N atoms and 0 or 1 O atoms, and wherein each said L1 is substituted by 0, 1 or 2 R9 groups which are F, Cl, Br, C1-6alk, —ORa, CN, —C(═O)Rb, C(═O)ORa, —C(═O)NRaRa, —SRa, —S(═O)Rb, —S(═O)2Rb, —NRaRa, —N(Ra)C(═O)Rb, —N(Ra)C(═O)ORb, —C1-6alkORa, —C1-6alkN(Ra)C(═O)Rb, —C1-6alkOC(═O) Rb, —C1-6alkC(═O)NRaRa, —C1-6alkC(═O)ORa, oxo, or Rc.
In another embodiment of the compound of formula (I), (II), (III), or (IV), or a pharmaceutically acceptable salt thereof, L1 is a nitrogen-linked saturated, partially-saturated or unsaturated 4-, 5-, 6-, or 7-membered monocyclic ring, wherein said ring contains 0, 1, 2, 3, or 4 N atoms and 0 or 1 O atoms, and wherein each said L1 is substituted by 0, 1 or 2 R9 groups which are F, Cl, Br, C1-6alk, —ORa, CN, —C(═O)Rb, C(═O)ORa, —C(═O)NRaRa, —SRa, —S(═O)Rb, —S(═O)2Rb, —NRaRa, —N(Ra)C(═O)Rb, —N(Ra)C(═O)ORb, —C1-6alkORa, —C1-6alkN(Ra)C(═O)Rb, —C1-6alkOC(═O) Rb, —C1-6alkC(═O)NRaRa, —C1-6alkC(═O)ORa, oxo, or Rc.
In another embodiment of the compound of formula (I), (II), (III), or (IV), or a pharmaceutically acceptable salt thereof, L1 is a nitrogen-linked saturated, partially-saturated or unsaturated 6-, 7-, 8-, 9-, 10-, 11-, or 12-membered bicyclic ring, wherein each said ring contains 0, 1, or 2 N atoms and 0 or 1 O atoms, and wherein each said L1 is substituted by 0, 1 or 2 R9 groups which are F, Cl, Br, C1-6alk, —ORa, CN, —C(═O)Rb, C(═O)ORa, —C(═O)NRaRa, —SRa, —S(═O)Rb, —S(═O)2Rb, —NRaRa, —N(Ra)C(═O)Rb, —N(Ra)C(═O)ORb, —C1-6alkORa, —C1-6alkN(Ra)C(═O)Rb, —C1-6alkOC(═O) Rb, —C1-6alkC(═O)NRaRa, —C1-6alkC(═O)ORa, oxo, or Rc.
In another embodiment of the compound of formula (I), (II), (III), or (IV), or a pharmaceutically acceptable salt thereof, L1 is -3-azabicyclo[3.1.0]hexanyl, azetidinyl, indolyl, phenyl, 2-pyridyl, 3-pyridyl, 4-pyridyl, pyrazolyl, piperazinonyl, piperidinyl, pyrrolidinyl, dihydropyranyl, tetrahydropyridinyl, octahydropyrrolo[3,4-c]pyrrolyl, tetrahydroisoquinolinyl, which are substituted by 0, 1 or 2 R9 groups which are F, Cl, Br, C1-6alk, —ORa, CN, —C(═O)Rb, C(═O)ORa, —C(═O)NRaRa, —SRa, —S(═O)Rb, —S(═O)2Rb, —NRaRa, —N(Ra)C(═O)Rb, —N(Ra)C(═O)ORb, —C1-6alkORa, —C1-6alkN(Ra)C(═O)Rb, —C1-6alkOC(═O) Rb, —C1-6alkC(═O)NRaRa, —C1-6alkC(═O)ORa, oxo, or Rc.
In another embodiment of the compound of formula (I), (II), (III), or (IV), or a pharmaceutically acceptable salt thereof, R1 is selected from the group consisting of: Cl; Br; —C≡C≡CH3; —NH—CH(CH3)2; —NHCH2CH2OCH3; —NHCH2CH2OH;
Figure US09718803-20170801-C00013
Figure US09718803-20170801-C00014
Figure US09718803-20170801-C00015
Figure US09718803-20170801-C00016
Figure US09718803-20170801-C00017
Figure US09718803-20170801-C00018
Figure US09718803-20170801-C00019
Figure US09718803-20170801-C00020
Figure US09718803-20170801-C00021
Figure US09718803-20170801-C00022
Figure US09718803-20170801-C00023
Figure US09718803-20170801-C00024
Figure US09718803-20170801-C00025
Figure US09718803-20170801-C00026
Figure US09718803-20170801-C00027
In another embodiment of the compound of formula (I), (II), (III), or (IV), or a pharmaceutically acceptable salt thereof, R1 is selected from the group consisting of:
Figure US09718803-20170801-C00028
Figure US09718803-20170801-C00029
Figure US09718803-20170801-C00030
Figure US09718803-20170801-C00031
Figure US09718803-20170801-C00032
Figure US09718803-20170801-C00033
Figure US09718803-20170801-C00034
Figure US09718803-20170801-C00035
Figure US09718803-20170801-C00036
In another embodiment of the compound of formula (I), (II), (III), or (IV), or a pharmaceutically acceptable salt thereof, R1 is selected from the group consisting of:
Figure US09718803-20170801-C00037
Figure US09718803-20170801-C00038
In another embodiment of the compound of formula (I), (II), (III), or (IV), or a pharmaceutically acceptable salt thereof, each R2 and R3 is independently H, F, Cl, Br, CN, OH, OC1-4alk, C1-4alk or C1-4haloalk.
In another embodiment of the compound of formula (I), (II), (III), or (IV), or a pharmaceutically acceptable salt thereof, R6 is H, F, or C1-4alk.
In another embodiment of the compound of formula (I), (II), (III), or (IV), or a pharmaceutically acceptable salt thereof, R4a is H, F, OH, or methyl.
In another embodiment of the compound of formula (I), (II), (III), or (IV), or a pharmaceutically acceptable salt thereof, R4b is oxo and m is 1
In another embodiment of the compound of formula (I), (II), (III), or (IV), or a pharmaceutically acceptable salt thereof, R4a is H and m is 0.
In another embodiment of the compound of formula (I), (II), (III), or (IV), or a pharmaceutically acceptable salt thereof, R5 is pyridinyl.
In another embodiment of the compound of formula (I), (II), (III), or (IV), or a pharmaceutically acceptable salt thereof, R5 is unsaturated 9- to 10-membered bicyclo-heterocyclic ring.
In another embodiment of the compound of formula (I), (II), (III), or (IV), or a pharmaceutically acceptable salt thereof, R5 is 11- to 15-membered tricyclo-heterocyclic ring.
In another embodiment of the compound of formula (I), (II), (III), or (IV), or a pharmaceutically acceptable salt thereof, the group —Y—R5 is:
Figure US09718803-20170801-C00039
Figure US09718803-20170801-C00040
Figure US09718803-20170801-C00041
Figure US09718803-20170801-C00042

wherein each R5 is substituted by 1 or 2 R8 groups.
In another embodiment of the compound of formula (I), (II), (III), or (IV), or a pharmaceutically acceptable salt thereof, the group —Y—R5 is:
Figure US09718803-20170801-C00043

wherein each R5 is substituted by 1 or 2 R8 groups.
In another embodiment of the compound of formula (I), (II), (III), or (IV), or a pharmaceutically acceptable salt thereof, the group —Y—R5 is:
Figure US09718803-20170801-C00044
Figure US09718803-20170801-C00045
Figure US09718803-20170801-C00046
Figure US09718803-20170801-C00047
In another embodiment of the compound of formula (I), (II), (III), or (IV), or a pharmaceutically acceptable salt thereof, Y is a bond or —C(═O).
In another embodiment of the compound of formula (I), (II), (III), or (IV), or a pharmaceutically acceptable salt thereof, Y is a bond.
In another embodiment of the compound of formula (I), (II), (III), or (IV), or a pharmaceutically acceptable salt thereof, R8 is independently F, Br, Cl, CF3, methyl, methoxy, or CN.
In another embodiment of the compound of formula (I), (II), (III), or (IV), or a pharmaceutically acceptable salt thereof, Ra is H or C1-6alk substituted by 0 or 1 —OH, —OC1-4alk, —OC(═O)C1-4alk, or —N(C1-4alk)C1-4alk.
In another embodiment of the compound of formula (I), (II), (III), or (IV), or a pharmaceutically acceptable salt thereof, Rc is a C0-4alk-carbon-linked saturated, partially-saturated or unsaturated 3-, 4-5-, or 6-membered monocyclic ring containing 0, 1, or 2 N atoms and 0 or 1 atom which are O or S, which is substituted by 0 or 1 R11 groups which are F, C1-6alk, C1-4haloalk, or —ORa.
In another embodiment of the compound of formula (I), (II), (III), or (IV), or a pharmaceutically acceptable salt thereof, Rc is pyridyl, phenyl, or 1,2,4-oxadiazolyl.
Another aspect of the current invention relates to compounds having the general structure of formula (II):
Figure US09718803-20170801-C00048

or a pharmaceutically acceptable salt thereof, wherein:
Ring D is -L1;
X1 is N or CR6;
X2 is N or CR2;
X3 is N or CR3;
X4 is N or CR6;
wherein 1 to 2 of X1, X2, X3, and X4 are N;
Y is a C0-4alk, —C(═O), SO, or SO2;
each R2 and R3 is independently H, halo, CN, OH, —OC1-4alk, C1-4alk, C1-4haloalk, —C1-6alkORa, —C(═O)C1-4alk, —C(═O)NRaRa, —C0-4alkNH—C(═O)Ra, or Rc;
or alternatively the ring containing X1, X2, X3, X4 and X5 can be fused to ring A, ring B, or ring C; having the formula:
Figure US09718803-20170801-C00049

wherein each said ring A, ring B, or ring C is a fused 4- to 6-membered-saturated, -partially saturated, or -unsaturated-carbocyclic or -heterocyclic ring containing 0, 1, 2, or 3 heteroatoms; and is substituted by 0, 1, or 2 R10 groups;
R4a is H, OH, halo, C1-4alk, or C1-4haloalk;
R4b is halo, CN, OH, OC1-4alk, C1-4alk, C1-4haloalk, or oxo;
R5 is pyridinyl or unsaturated 9- to 10-membered bicyclo-heterocyclic ring; wherein each R5 is substituted by 0, 1, 2 or 3 R8 groups;
R6 is independently H, halo, CN, OH, OC1-4alk, C1-4alk or C1-4haloalk;
m is 0, 1, 2, 3, or 4;
each of p and q is independently 0, 1, 2, 3, 4, 5, or 6; wherein the sum of p and q is 2 to 6;
the ring containing p and q contains 0, 1, or 2 double bonds;
Ra is independently H or Rb;
Rb is independently phenyl, benzyl, or C1-6alk, wherein said phenyl, benzyl, or C1-6alk substituted by 0, 1, 2 or 3 substituents which are, independently, halo, C1-4alk, C1-3haloalk, —OH, —OC1-4alk, —NH2, —NHC1-4alk, —OC(═O)C1-4alk, or —N(C1-4alk)C1-4alk;
Rc is C0-4alk-L2;
each L1 is independently a carbon-linked or nitrogen-linked saturated, partially-saturated or unsaturated 3-, 4-, 5-, 6-, or 7-membered monocyclic ring or a saturated, partially-saturated or unsaturated 6-, 7-, 8-, 9-, 10-, 11-, or 12-membered bicyclic ring, wherein each said ring contains 0, 1, 2, 3, or 4 N atoms and 0, 1, or 2 atoms which are O or S; wherein each L1 is independently substituted by 0, 1, 2 or 3 R9 groups;
each L2 is independently a carbon-linked or nitrogen-linked saturated, partially-saturated or unsaturated 3-, 4-, 5-, 6-, or 7-membered monocyclic ring or a saturated, partially-saturated or unsaturated 6-, 7-, 8-, 9-, 10-, 11-, or 12-membered bicyclic ring, wherein each said ring contains 0, 1, 2, 3, or 4 N atoms and 0, 1, or 2 atoms which are O or S; wherein each L2 is independently substituted by 0, 1, 2 or 3 R11 groups;
R8 is halo, CN, OH, OC1-4alk, C1-4alk, C1-4haloalk, OC1-4haloalk, —C(═O)Rb, —C(═O)Rc, —C(═O)NHRb, —C(═O)NHRc, —S(═O)2Rb, —S(═O)2R, —S(═O)2NRaRa, Rb, Rc, NO2, ORb, or ORc;
R9 is F, Cl, Br, C1-6alk, C1-4haloalk, —ORa, —OC1-4haloalk, CN, —C(═O)Rb, —C(═O)ORa, —C(═O)NRaRa, —C(═NRa)NRaRa, —OC(═O)Rb, —OC(═O)NRaRa, —OC1-6alkNRaRa, —OC1-6alkORa, —SRa, —S(═O)Rb, —S(═O)2Rb, —S(═O)2NRaRa, —NRaRa, —N(Ra)C(═O)Rb, —N(Ra)C(═O)ORb, —N(Ra)C(═O)NRaRa, —N(Ra)C(═NRa)NRaRa, —N(Ra)S(═O)2Rb, —N(Ra)S(═O)2NRaRa, —NRaC1-6alkNRaRa, —NRaC1-6alkORa, —C1-6alkNRaRa, —C1-6alkORa, —C1-6alkN(Ra)C(═O)Rb, —C1-6alkOC(═O)Rb, —C1-6alkC(═O)NRaRa, —C1-6alkC(═O)ORa, oxo, or Rc;
R10 is oxo, C1-6alk, C1-3haloalk, —OH, —OC1-4alk, —NH2, —NHC1-4alk, —OC(═O)C1-4alk, or —N(C1-4alk)C1-4alk; and
R11 is F, Cl, Br, C1-6alk, C1-4haloalk, —ORa, —OC1-4haloalk, CN, —C(═O)Rb, —C(═O)ORa, —C(═O)NRaRa, —C(═NRa)NRaRa, —OC(═O)Rb, —OC(═O)NRaRa, —OC1-6alkNRaRa, —OC1-6alkORa, —SRa, —S(═O)Rb, —S(═O)2Rb, —S(═O)2NRaRa, —NRaRa, —N(Ra)C(═O)Rb, —N(Ra)C(═O)ORb, —N(Ra)C(═O)NRaRa, —N(Ra)C(═NRa)NRaRa, —N(Ra)S(═O)2Rb, —N(Ra)S(═O)2NRaRa, —NRaC1-6alkNRaRa, —NRaC1-6alkORa, —C1-6alkNRaRa, —C1-6alkORa, —C1-6alkN(Ra)C(═O)Rb, —C1-6alkOC(═O)Rb, —C1-6alkC(═O)NRaRa, —C1-6alkC(═O)ORa, or oxo.
In another embodiment of the compound of formula (I), (II), (III), or (IV), or a pharmaceutically acceptable salt thereof, the group
Figure US09718803-20170801-C00050

is azetidinyl, pyrrolidinyl, piperidinyl, or azepanyl.
In another embodiment of the compound of formula (I), (II), (III), or (IV), or a pharmaceutically acceptable salt thereof, the compound of formula (II) has the formula:
Figure US09718803-20170801-C00051
In another embodiment of the compound of formula (I), (II), (III), or (IV), or a pharmaceutically acceptable salt thereof, the compound of formula (II) has the formula:
Figure US09718803-20170801-C00052
In another embodiment of the compound of formula (I), (II), (III), or (IV), or a pharmaceutically acceptable salt thereof, the compound of formula (II) has the formula:
Figure US09718803-20170801-C00053
In another embodiment of the compound of formula (IIg), R4b is oxo; m is 1; and R5 is unsaturated 10-membered bicyclo-heterocyclic ring; wherein each R5 ring is substituted by 0, 1, or 2 R8 groups.
In another embodiment of the compound of formula (IIg), said compound has the formula
Figure US09718803-20170801-C00054

wherein m is 0; and R5 is unsaturated 10-membered bicyclo-heterocyclic ring; wherein each R5 ring is substituted by 0, 1, or 2 R8 groups.
In another embodiment of any of the compound of the formula (IIa), (IIb), (IIc), (IId), (IIe), (IIf), and (IIg), the group —Y—R5 is:
Figure US09718803-20170801-C00055

Y is a bond; wherein each R5 is substituted by 1 or 2 R8 groups; and R8 is independently F, Cl, Br, methyl, ethyl, isopropyl, methoxy, CN, CF3, OH, or OCF3.
In another embodiment of any of the compound of the formula (IIa), (IIb), (IIc), (IId), (IIe), (IIf), and (IIg), or a pharmaceutically acceptable salt thereof, the group —Y—R5 is:
Figure US09718803-20170801-C00056
Figure US09718803-20170801-C00057

Y is a bond; wherein R8 is independently F, Cl, Br, methyl, ethyl, isopropyl, methoxy, CN, CF3, OH, or OCF3.
Another aspect of the current invention relates to compounds having the general structure of formula (III):
Figure US09718803-20170801-C00058
or a pharmaceutically-acceptable salt thereof, wherein:
X1 is N or CR6;
R1 is F, Cl, Br, I, C1-8alk, C1-4haloalk, —ORa, —ORc, —N(Ra)C(═O)Rb, —C(═O)Ra, —C(═O)Rc, —C(═O)—O—Ra, —NRaRc, —N(Rc)C(═O)Rb, —N(Ra)C(═O)Rc, —C(═O)NRaRb, —C(═O)NRaRc, or C0-4alk-L1; wherein said C1-8alk group is substituted by 0, 1, 2 or 3 groups selected from halo, C1-3haloalk, —OH, —OC1-4alk, —NH2, —NHC1-4alk, —OC(═O)C1-4alk, or —N(C1-4alk)C1-4alk;
Y is a C0-4alk, —C(═O), SO, or SO2;
each of R2, R3, R4b, R6 and R8 is independently H, F, Cl, Br, I, CN, OH, OC1-4alk, C1-4alk or C1-4haloalk;
or alternatively R2 and R3 can form an optionally substituted 5- to 6-membered-saturated, -partially saturated, or -unsaturated-heterocyclic ring fused to the ring containing X1;
R4a is H, C1-4alk, or C1-4haloalk;
R5 is pyridinyl or unsaturated 9- or 10-membered bicyclo-heterocyclic ring;
wherein each R5 is substituted by 0, 1, 2 or 3 R8 groups; and is not substituted by oxo;
m is 1, 2, 3, or 4;
each of p and q is independently 0, 1, 2, 3, 4, 5, or 6; wherein the sum of p and q is 2 to 6;
Ra is independently H or Rb;
Rb is independently phenyl, benzyl, or C1-6alk, wherein said phenyl, benzyl, and C1-6alk are being substituted by 0, 1, 2 or 3 substituents selected from halo, C1-4alk, C1-3haloalk, —OH, —OC1-4alk, —NH2, —NHC1-4alk, —OC(═O)C1-4alk, or —N(C1-4alk)C1-4alk;
Rc is C0-4alk-L2; and
each of Land L2 is independently a carbon-linked or nitrogen-linked saturated, partially-saturated or unsaturated 3-, 4-, 5-, 6-, or 7-membered monocyclic ring or a saturated, partially-saturated or unsaturated 8-, 9-, 10-, 11-, or 12-membered bicyclic ring, wherein each said ring contains 0, 1, 2, 3, or 4 N atoms and 0, 1, or 2 atoms selected from O and S; wherein each L1 and L2 is independently substituted by 0, 1, 2 or 3 R9 groups selected from F, Cl, Br, C1-6alk, C1-4haloalk, —ORa, —OC1-4haloalk, CN, —C(═O)Rb, —C(═O)ORa, —C(═O)NRaRa, —C(═NRa)NRaRa, —OC(═O)Rb, —OC(═O)NRaRa, —OC2-6alkNRaRa, —OC2-6alkORa, —SRa, —S(═O)Rb, —S(═O)2Rb, —S(═O)2NRaRa, —NRaRa, —N(Ra)C(═O)Rb, —N(Ra)C(═O)ORb, —N(Ra)C(═O)NRaRa, —N(Ra)C(═NRa)NRaRa, —N(Ra)S(═O)2Rb, —N(Ra)S(═O)2NRaRa, —NRaC2-6alkNRaRa, —NRaC2-6alkORa, —C1-6alkNRaRa, —C1-6alkORa, —C1-6alkN(Ra)C(═O)Rb, —C1-6alkOC(═O)Rb, —C1-6alkC(═O)NRaRa, —C1-6alkC(═O)ORa or oxo;
with the proviso that: when all X1, X2, and X3 are CR3; each of p and q is 2; and R3 is methyl; then R1 is F, Cl, Br, I, C1-8alk, C1-4haloalk, —ORa, —ORc, —N(Ra)C(═O)Rb, —NRaRc, —N(Rc)C(═O)Rb, —N(Ra)C(═O)Rc, or C0-4alk-L1; wherein said C1-8alk group is substituted by 0, 1, 2 or 3 groups selected from halo, C1-3haloalk, —OH, —OC1-4alk, —NH2, —NHC1-4alk, —OC(═O)C1-4alk, or —N(C1-4alk)C1-4alk.
In another embodiment of the compound of formula (I), (II), (III), or (IV), or a pharmaceutically acceptable salt thereof, R5 is not substituted by oxo.
In another embodiment of the compound of formula (I), (II), (III), or (IV), or a pharmaceutically acceptable salt thereof, the group:
Figure US09718803-20170801-C00059
wherein each of Y1, Y2, Y3, M1, M2, M3, and M4 is independently CR10 or a heteroatom selected from S, O, or NR11; wherein no more than of Y1, Y2, Y3, M1, M2, M3, and M4 are N; and
wherein R10 is H, halo, C1-4alk, C1-3haloalk, —OH, —OC1-4alk, —NH2, —NHC1-4alk, —OC(═O)C1-4alk, or —N(C1-4alk)C1-4alk; and R1 is H, C1-4alk, or C1-3haloalk.
In another embodiment of the compound of formula (I), (II), (III), or (IV), or a pharmaceutically acceptable salt thereof, the group
Figure US09718803-20170801-C00060
In another embodiment of the compound of formula (I), (II), (III), or (IV), or a pharmaceutically acceptable salt thereof, the group
Figure US09718803-20170801-C00061

each of p and q is 2; R5 is unsaturated 9-membered bicyclo-heterocyclic ring; and Y is C0-4alk; and R1 is C0-4alk-L1.
In another embodiment of the compound of formula (I), (II), (III), or (IV), or a pharmaceutically acceptable salt thereof, the group
Figure US09718803-20170801-C00062
In another embodiment of the compound of formula (I), (II), (III), or (IV), or a pharmaceutically acceptable salt thereof, m is 1 or 2.
In another embodiment of the compound of formula (I), (II), (III), or (IV), or a pharmaceutically acceptable salt thereof, p is 0, 1, or 2.
In another embodiment of the compound of formula (I), (II), (III), or (IV), or a pharmaceutically acceptable salt thereof, q is 0, 1, or 2.
In another embodiment of the compound of formula (I), (II), (III), or (IV), or a pharmaceutically acceptable salt thereof, R1 is F, Cl, Br, I, —ORa, —C(═O)—O—Ra, —C(═O)NRaRb, —ORc, or —C(═O)NRaRc.
In another embodiment of the compound of formula (I), (II), (III), or (IV), or a pharmaceutically acceptable salt thereof, R1 is a saturated, partially-saturated or unsaturated 4-, 5-, 6-, or 7-membered monocyclic ring, wherein each said ring contains 0, 1, 2, or 3 N atoms and 0, 1, or 2 O atoms, and wherein each said ring is substituted by 0, 1, 2 or 3 R9 groups selected from F, Cl, Br, C1-6alk, C1-4haloalk, —ORa, —OC1-4haloalk, CN, —C(═O)Rb, —C(═O)ORa, —NRaRa, SRa, or oxo.
In another embodiment of the compound of formula (I), (II), (III), or (IV), or a pharmaceutically acceptable salt thereof, R1 is a saturated or partially-saturated 5- to 6-membered monocyclic ring, wherein each said ring contains 0, 1, 2, or 3 N atoms and 0, 1, or 2 O atoms, and wherein each said ring is substituted by 0, 1, 2 or 3 R9 groups selected from F, Cl, Br, C1-6alk, C1-4haloalk, —ORa, —OC1-4haloalk, CN, —C(═O)Rb, —C(═O)ORa, —NRaRa, SRa, or oxo.
In another embodiment of the compound of formula (I), (II), (III), or (IV), or a pharmaceutically acceptable salt thereof, R1 is a saturated, partially-saturated or unsaturated 8-, 9-, 10-, 11-, or 12-membered bicyclic ring, wherein each said ring contains 0, 1, 2, or 3 N atoms and 0, 1, or 2 O atoms, and wherein each said ring is substituted by 0, 1, 2 or 3 R9 groups selected from F, Cl, Br, C1-6alk, C1-4haloalk, —ORa, —OC1-4haloalk, CN, —C(═O)Rb, —C(═O)ORa, —NRaRa, SRa, or oxo.
In another embodiment of the compound of formula (I), (II), (III), or (IV), or a pharmaceutically acceptable salt thereof, R1 is a nitrogen-linked saturated, partially-saturated or unsaturated 4-, 5-, 6-, or 7-membered monocyclic ring wherein each said ring contains 0, 1, 2, 3, or 4 N atoms and 0, 1, or 2 atoms selected from O and S; substituted by 0, 1, 2 or 3 R9 groups selected from F, Cl, Br, C1-6alk, C1-4haloalk, —ORa, —OC1-4haloalk, CN, —C(═O)Rb, —C(═O)ORa, —NRaRa, SRa, or oxo.
In another embodiment of the compound of formula (I), (II), (III), or (IV), or a pharmaceutically acceptable salt thereof, R1 is cyclohexyl, cyclopentyl, cyclopentenyl, cyclohexenyl, cycloheptyl, azetidinyl, phenyl, 2-pyridyl, 3-pyridyl, pyrazolyl, morpholinyl, pyrimidyl, piperazinyl, piperidinyl, dihydropyranyl, tetrahydropyranyl, tetrahydrofuranyl, tetrahydropyridinyl, tetrahydrothiopyranyl, oxaspiro[3.5]nonyl, azepanyl, oxepanyl, or quinolinyl, all of which are substituted by 0, 1, 2 or 3 R9 groups selected from F, Cl, Br, C1-6alk, C1-4haloalk, —ORa, CN, —C(═O)Rb, —C(═O)ORa, —SRa, or oxo.
In another embodiment of the compound of formula (I), (II), (III), or (IV), or a pharmaceutically acceptable salt thereof, R1 is:
Figure US09718803-20170801-C00063
Figure US09718803-20170801-C00064

wherein the dotted bond is an optional double bond.
In another embodiment of the compound of formula (I), (II), (III), or (IV), or a pharmaceutically acceptable salt thereof, each R2 and R3 is independently H, F, Cl, Br, CN, OH, OC1-4alk, C1-4alk or C1-4haloalk.
In another embodiment of the compound of formula (I), (II), (III), or (IV), or a pharmaceutically acceptable salt thereof, each R2 and R3 is H, C1-4alk, or C1-4haloalk.
In another embodiment of the compound of formula (I), (II), (III), or (IV), or a pharmaceutically acceptable salt thereof, R2 and R3 are H.
In another embodiment of the compound of formula (I), (II), (III), or (IV), or a pharmaceutically acceptable salt thereof, R2 and R3 form an optionally substituted 5- to 6-membered-saturated, -partially saturated, or -unsaturated-heterocyclic ring fused to the ring containing X1.
In another embodiment of the compound of formula (I), (II), (III), or (IV), or a pharmaceutically acceptable salt thereof, X1 is N.
In another embodiment of the compound of formula (I), (II), (III), or (IV), or a pharmaceutically acceptable salt thereof, X1 is CR6; wherein R6 is H, F, Cl, Br, I, OC1-4alk, or C1-4alk.
In another embodiment of the compound of formula (I), (II), (III), or (IV), or a pharmaceutically acceptable salt thereof, R6 is H or C1-4alk.
In another embodiment of the compound of formula (I), (II), (III), or (IV), or a pharmaceutically acceptable salt thereof, R4a is H or C1-4alk.
In another embodiment of the compound of formula (I), (II), (III), or (IV), or a pharmaceutically acceptable salt thereof, R4b is independently H, F, CN, OC1-4alk, C1-4alk or C1-4haloalk.
In another embodiment of the compound of formula (I), (II), (III), or (IV), or a pharmaceutically acceptable salt thereof, each of R4a and R4b is H.
In another embodiment of the compound of formula (I), (II), (III), or (IV), or a pharmaceutically acceptable salt thereof, R5 is pyridinyl.
In another embodiment of the compound of formula (I), (II), (III), or (IV), or a pharmaceutically acceptable salt thereof, R5 is unsaturated 9- or 10-membered bicyclo-heterocyclic ring; wherein the ring is aromatic.
In another embodiment of the compound of formula (I), (II), (III), or (IV), or a pharmaceutically acceptable salt thereof, R5 is unsaturated 9-membered bicyclo-heterocyclic ring; wherein the ring is aromatic.
In another embodiment of the compound of formula (I), (II), (III), or (IV), or a pharmaceutically acceptable salt thereof, R5 is unsaturated 10-membered bicyclo-heterocyclic ring; wherein the ring is aromatic.
In another embodiment of the compound of formula (I), (II), (III), or (IV), or a pharmaceutically acceptable salt thereof, the group —Y—R5 is:
Figure US09718803-20170801-C00065
In another embodiment of the compound of formula (I), (II), (III), or (IV), or a pharmaceutically acceptable salt thereof, the group —Y—R5 is:
Figure US09718803-20170801-C00066

and Y is C(═O).
In another embodiment of the compound of formula (I), (II), (III), or (IV), or a pharmaceutically acceptable salt thereof, Y is —C(═O).
In another embodiment of the compound of formula (I), (II), (III), or (IV), or a pharmaceutically acceptable salt thereof, Y is a bond or C1-3alk.
In another embodiment of the compound of formula (I), (II), (III), or (IV), or a pharmaceutically acceptable salt thereof, R5 is:
Figure US09718803-20170801-C00067
In another embodiment of the compound of formula (I), (II), (III), or (IV), or a pharmaceutically acceptable salt thereof, R8 is independently H, F, CN, OC1-4alk, C1-4alk or C1-4haloalk.
In another embodiment of the compound of formula (I), (II), (III), or (IV), or a pharmaceutically acceptable salt thereof, R8 is H.
In another embodiment of the compound of formula (I), (II), (III), or (IV), or a pharmaceutically acceptable salt thereof, Ra is H or C1-6alk substituted by 0 or 1 —OH, —OC1-4alk, —OC(═O)C1-4alk, or —N(C1-4alk)C1-4alk.
In another embodiment of the compound of formula (I), (II), (III), or (IV), or a pharmaceutically acceptable salt thereof, Rc is a carbon-linked saturated, partially-saturated or unsaturated 3-, 4-5-, or 6-membered monocyclic ring containing 0 or 1 N atom and 0 or 1 atom selected from O and S, which is substituted by 0 or 1 R9 groups selected from F, C1-6alk, C1-4haloalk, or —ORa.
In another embodiment of the compound of formula (I), (II), (III), or (IV), or a pharmaceutically acceptable salt thereof, Rc is a nitrogen-linked saturated, partially-saturated, or unsaturated 4-, 5-, 6- or 7-membered ring heterocycle containing the linking nitrogen and 0, 1 or 2 additional nitrogen atoms and containing 0 or 1 sulfur or oxygen atom, the heterocycle being substituted by 0, 1, 2 or 3 R9 groups selected from F, Cl, Br, C1-4alk, C1-4haloalk, —OC1-4alk, —NH2, —NHC1-4alk, —N(C1-4alk)C1-4alk, or oxo.
In another embodiment of the compound of formula (I), (II), (III), or (IV), or a pharmaceutically acceptable salt thereof, Rc is a C0-4alk-saturated, partially-saturated or unsaturated 3-, 5-, or 6-membered monocyclic ring containing 0 or 1 N atom and 0 or 1 atom selected from O and S, which is substituted by 0 or 1 R9 groups selected from F, C1-6alk, C1-4haloalk, or —ORa.
In another embodiment of the compound of formula (I), (II), (III), or (IV), or a pharmaceutically acceptable salt thereof, the compound has the following formula (IIIa):
Figure US09718803-20170801-C00068

wherein R1 is F, Cl, Br, I, C1-8alk, C1-4haloalk, —ORa, —ORc, —N(Ra)C(═O)Rb, —NRaRc, —N(Rc)C(═O)Rb, —N(Ra)C(═O)Rc, or C0-4alk-L1; wherein said C1-8alk group is substituted by 0, 1, 2 or 3 groups selected from halo, C1-3haloalk, —OH, —OC1-4alk, —NH2, —NHC1-4alk, —OC(═O)C1-4alk, or —N(C1-4alk)C1-4alk; and R3 is not methyl.
Another aspect of the current invention relates to compounds having the general structure of formula (IV):
Figure US09718803-20170801-C00069

or any pharmaceutically-acceptable salt thereof, wherein:
Ring D is -L1;
X1 is N or CR6;
Y is a C0-4alk, —C(═O), SO, or SO2;
each of R2, R3, R4b, R6 and R8 is independently H, F, Cl, Br, I, CN, OH, OC1-4alk, C1-4alk or C1-4haloalk;
or alternatively R2 and R3 can form an optionally substituted 5- to 6-membered-saturated, -partially saturated, or -unsaturated-heterocyclic ring fused to the ring containing X1;
R4a is H, C1-4alk, or C1-4haloalk;
R5 is pyridinyl or unsaturated 9- or 10-membered bicyclo-heterocyclic ring; wherein each R5 is substituted by 0, 1, 2 or 3 R8 groups; and is not substituted by oxo;
m is 1, 2, 3, or 4;
each of p and q is independently 0, 1, 2, 3, 4, 5, or 6; wherein the sum of p and q is 2 to 6;
Ra is independently H or Rb;
Rb is independently phenyl, benzyl, or C1-6alk, wherein said phenyl, benzyl, and C1-6alk are being substituted by 0, 1, 2 or 3 substituents selected from halo, C1-4alk, C1-3haloalk, —OH, —OC1-4alk, —NH2, —NHC1-4alk, —OC(═O)C1-4alk, and —N(C1-4alk)C1-4alk; and
each of Land L2 is independently a carbon-linked or nitrogen-linked saturated, partially-saturated or unsaturated 3-, 4-, 5-, 6-, or 7-membered monocyclic ring or a saturated, partially-saturated or unsaturated 8-, 9-, 10-, 11-, or 12-membered bicyclic ring, wherein each said ring contains 0, 1, 2, 3, or 4 N atoms and 0, 1, or 2 atoms selected from O and S; wherein each L1 and L2 is independently substituted by 0, 1, 2 or 3 R9 groups selected from F, Cl, Br, C1-6alk, C1-4haloalk, —ORa, —OC1-4haloalk, CN, —C(═O)Rb, —C(═O)ORa, —C(═O)NRaRa, —C(═NRa)NRaRa, —OC(═O)Rb, —OC(═O)NRaRa, —OC2-6alkNRaRa, —OC2-6alkORa, —SRa, —S(═O)Rb, —S(═O)2Rb, —S(═O)2NRaRa, —NRaRa, —N(Ra)C(═O)Rb, —N(Ra)C(═O)ORb, —N(Ra)C(═O)NRaRa, —N(Ra)C(═NRa)NRaRa, —N(Ra)S(═O)2Rb, —N(Ra)S(═O)2NRaRa, —NRaC2-6alkNRaRa, —NRaC2-6alkORa, —C1-6alkNRaRa, —C1-6alkORa, —C1-6alkN(Ra)C(═O)Rb, —C1-6alkOC(═O)Rb, —C1-6alkC(═O)NRaRa, —C1-6alkC(═O)ORa and oxo.
In another embodiment of the compound of formula (I), (II), (III), or (IV), or a pharmaceutically acceptable salt thereof, the group
Figure US09718803-20170801-C00070

is azetidinyl, pyrrolidinyl, piperidinyl, or azepanyl; wherein each group is not substituted by oxo.
In another embodiment of the compound of formula (I), (II), (III), or (IV), or a pharmaceutically acceptable salt thereof, the group
Figure US09718803-20170801-C00071

is azetidinyl; which is not substituted by oxo.
In another embodiment of the compound of formula (I), (II), (III), or (IV), or a pharmaceutically acceptable salt thereof, the group
Figure US09718803-20170801-C00072

is pyrrolidinyl; which is not substituted by oxo.
In another embodiment of the compound of formula (I), (II), (III), or (IV), or a pharmaceutically acceptable salt thereof, the group
Figure US09718803-20170801-C00073

is piperidinyl; which is not substituted by oxo.
In another embodiment of the compound of formula (I), (II), (III), or (IV), or a pharmaceutically acceptable salt thereof, the group
Figure US09718803-20170801-C00074

is azepanyl; which is not substituted by oxo.
In another embodiment of the compound of formula (I), (II), (III), or (IV), or a pharmaceutically acceptable salt thereof, the group
Figure US09718803-20170801-C00075

is azetidinyl or piperidinyl; which is not substituted by oxo; and Y is —C(═O), SO, or SO2.
In another embodiment of the compound of formula (I), (II), (III), or (IV), or a pharmaceutically acceptable salt thereof, the group
Figure US09718803-20170801-C00076

is azetidinyl; which is not substituted by oxo; and Y is —C(═O), SO, or SO2.
In another embodiment of the compound of formula (I), (II), (III), or (IV), or a pharmaceutically acceptable salt thereof, ring D is a carbon-linked saturated, partially-saturated or unsaturated 4-, 5-, 6-, or 7-membered monocyclic ring, wherein each said ring contains 0, 1, 2, 3, or 4 N atoms and 0, 1, or 2 atoms selected from O and S; independently substituted by 0, 1, 2 or 3 R9 groups selected from F, Cl, Br, C1-6alk, C1-4haloalk, —ORa, —OC1-4haloalk, CN, —C(═O)Rb, —C(═O)ORa, —C(═O)NRaRa, —C(═NRa)NRaRa, —OC(═O)Rb, —OC(═O)NRaRa, —OC2-6alkNRaRa, —OC2-6alkORa, —SRa, —S(═O)Rb, —S(═O)2Rb, —S(═O)2NRaRa, —NRaRa, —N(Ra)C(═O)Rb, —N(Ra)C(═O)ORb, —N(Ra)C(═O)NRaRa, —N(Ra)C(═NRa)NRaRa, —N(Ra)S(═O)2Rb, —N(Ra)S(═O)2NRaRa, —NRaC2-6alkNRaRa, —NRaC2-6alkORa, —C1-6alkNRaRa, —C1-6alkORa, —C1-6alkN(Ra)C(═O)Rb, —C1-6alkOC(═O)Rb, —C1-6alkC(═O)NRaRa, —C1-6alkC(═O)ORa and oxo.
In another embodiment of the compound of formula (I), (II), (III), or (IV), or a pharmaceutically acceptable salt thereof, ring D is a carbon-linked-saturated, partially-saturated or unsaturated 8-, 9-, 10-, 11-, or 12-membered bicyclic ring, wherein each said ring contains 0, 1, 2, 3, or 4 N atoms and 0, 1, or 2 atoms selected from O and S; independently substituted by 0, 1, 2 or 3 R9 groups selected from F, Cl, Br, C1-6alk, C1-4haloalk, —ORa, —OC1-4haloalk, CN, —C(═O)Rb, —C(═O)ORa, —C(═O)NRaRa, —C(═NRa)NRaRa, —OC(═O)Rb, —OC(═O)NRaRa, —OC2-6alkNRaRa, —OC2-6alkORa, —SRa, —S(═O)Rb, —S(═O)2Rb, —S(═O)2NRaRa, —NRaRa, —N(Ra)C(═O)Rb, —N(Ra)C(═O)ORb, —N(Ra)C(═O)NRaRa, —N(Ra)C(═NRa)NRaRa, —N(Ra)S(═O)2Rb, —N(Ra)S(═O)2NRaRa, —NRaC2-6alkNRaRa, —NRaC2-6alkORa, —C1-6alkNRaRa, —C1-6alkORa, —C1-6alkN(Ra)C(═O)Rb, —C1-6alkOC(═O)Rb, —C1-6alkC(═O)NRaRa, —C1-6alkC(═O)ORa and oxo.
In another embodiment of the compound of formula (I), (II), (III), or (IV), or a pharmaceutically acceptable salt thereof, ring D is a nitrogen-linked saturated, partially-saturated or unsaturated 4-, 5-, 6-, or 7-membered monocyclic ring, wherein each said ring contains 0, 1, 2, 3, or 4 N atoms and 0, 1, or 2 atoms selected from O and S; independently substituted by 0, 1, 2 or 3 R9 groups selected from F, Cl, Br, C1-6alk, C1-4haloalk, —ORa, —OC1-4haloalk, CN, —C(═O)Rb, —C(═O)ORa, —C(═O)NRaRa, —C(═NRa)NRaRa, —OC(═O)Rb, —OC(═O)NRaRa, —OC2-6alkNRaRa, —OC2-6alkORa, —SRa, —S(═O)Rb, —S(═O)2Rb, —S(═O)2NRaRa, —NRaRa, —N(Ra)C(═O)Rb, —N(Ra)C(═O)ORb, —N(Ra)C(═O)NRaRa, —N(Ra)C(═NRa)NRaRa, —N(Ra)S(═O)2Rb, —N(Ra)S(═O)2NRaRa, —NRaC2-6alkNRaRa, —NRaC2-6alkORa, —C1-6alkNRaRa, —C1-6alkORa, —C1-6alkN(Ra)C(═O)Rb, —C1-6alkOC(═O)Rb, —C1-6alkC(═O)NRaRa, —C1-6alkC(═O)ORa and oxo.
In another embodiment of the compound of formula (I), (II), (III), or (IV), or a pharmaceutically acceptable salt thereof, ring D is a nitrogen-linked-saturated, partially-saturated or unsaturated 8-, 9-, 10-, 11-, or 12-membered bicyclic ring, wherein each said ring contains 0, 1, 2, 3, or 4 N atoms and 0, 1, or 2 atoms selected from O and S; independently substituted by 0, 1, 2 or 3 R9 groups selected from F, Cl, Br, C1-6alk, C1-4haloalk, —ORa, —OC1-4haloalk, CN, —C(═O)Rb, —C(═O)ORa, —C(═O)NRaRa, —C(═NRa)NRaRa, —OC(═O)Rb, —OC(═O)NRaRa, —OC2-6alkNRaRa, —OC2-6alkORa, —SRa, —S(═O)Rb, —S(═O)2Rb, —S(═O)2NRaRa, —NRaRa, —N(Ra)C(═O)Rb, —N(Ra)C(═O)ORb, —N(Ra)C(═O)NRaRa, —N(Ra)C(═NRa)NRaRa, —N(Ra)S(═O)2Rb, —N(Ra)S(═O)2NRaRa, —NRaC2-6alkNRaRa, —NRaC2-6alkORa, —C1-6alkNRaRa, —C1-6alkORa, —C1-6alkN(Ra)C(═O)Rb, —C1-6alkOC(═O)Rb, —C1-6alkC(═O)NRaRa, —C1-6alkC(═O)ORa and oxo.
In another embodiment of the compound of formula (I), (II), (III), or (IV), or a pharmaceutically acceptable salt thereof, ring D is cyclohexyl, cyclopentyl, cyclopentenyl, cyclohexenyl, or cycloheptyl.
In another embodiment of the compound of formula (I), (II), (III), or (IV), or a pharmaceutically acceptable salt thereof, ring D is azetidinyl, phenyl, 2-pyridyl, 3-pyridyl, pyrazolyl, morpholinyl, pyrimidyl, piperazinyl, piperidinyl, dihydropyranyl, tetrahydropyranyl, tetrahydrofuranyl, tetrahydropyridinyl, or tetrahydrothiopyranyl.
In another embodiment of the compound of formula (I), (II), (III), or (IV), or a pharmaceutically acceptable salt thereof, ring D is oxaspiro[3.5]nonyl, azepanyl, oxepanyl, or quinolinyl.
In another embodiment of the compound of formula (I), (II), (III), or (IV), or a pharmaceutically acceptable salt thereof, ring D is cyclohexyl, cyclopentyl, cyclopentenyl, cyclohexenyl, cycloheptyl, azetidinyl, phenyl, 2-pyridyl, 3-pyridyl, pyrazolyl, morpholinyl, pyrimidyl, piperazinyl, piperidinyl, dihydropyranyl, tetrahydropyranyl, tetrahydrofuranyl, tetrahydropyridinyl, tetrahydrothiopyranyl, oxaspiro[3.5]nonyl, azepanyl, oxepanyl, or quinolinyl, all of which are substituted by 0, 1, 2 or 3 R9 groups selected from F, Cl, Br, C1-6alk, C1-4haloalk, —ORa, CN, —C(═O)Rb, —C(═O)ORa, —NRaRa, —SRa, and oxo.
Another aspect of the invention relates to a compound of formula (IV) having the formula:
Figure US09718803-20170801-C00077

wherein m, Ring D, R2, R3, R4a, R4b, R5, Y, and X1 are defined above.
Another aspect of the invention relates to a compound having the formula:
Figure US09718803-20170801-C00078

wherein m, Ring D, R2, R3, R4a, R4b, R5, Y, and X1 are defined above.
Another aspect of the invention relates to a compound having the formula:
Figure US09718803-20170801-C00079

wherein m, Ring D, R2, R3, R4a, R4b, R5, Y, and X1 are defined above.
Another aspect of the invention relates to a method of treating conditions that may be treated with PDE10 inhibitors comprising the step of administering to a patient in need thereof a therapeutically effective amount of any one of the above compounds, or a pharmaceutically acceptable salt thereof.
In one embodiment of the method, said conditions is psychoses, Parkinson's disease, dementias, obsessive compulsive disorder, tardive dyskinesia, choreas, depression, mood disorders, impulsivity, drug addiction, attention deficit/hyperactivity disorder (ADHD), depression with parkinsonian states, personality changes with caudate or putamen disease, dementia and mania with caudate and pallidal diseases, or compulsions with pallidal disease.
In another embodiment of the method, said condition is schizophrenia, Huntington's disease, bipolar disorder, or obsessive-compulsive disorder.
In another embodiment of the method, said condition is schizophrenia.
Another aspect of the invention relates to a pharmaceutical composition comprising any one of the above compounds, or a pharmaceutically acceptable salt thereof, and a pharmaceutically-acceptable excipient.
Another aspect of the invention relates to the use of any one of the above compounds, or a pharmaceutically acceptable salt thereof, as a medicament.
Another aspect of the invention relates to the use of any one of the above compounds, or a pharmaceutically acceptable salt thereof in the manufacture of a medicament for the treatment of schizophrenia, bipolar disorder, or obsessive-compulsive disorder.
Another aspect of the invention relates to a compound, or a pharmaceutically acceptable salt thereof, which is tabulated below:
Chemical Structure Chemical Name
Figure US09718803-20170801-C00080
(1H-Benzoimidazol-2-yl)-[3-(3-phenyl- pyridin-2-yl)-azetidin-1-yl]-methanone
Figure US09718803-20170801-C00081
(1H-Benzoimidazol-2-yl)-[3-(5-fluoro-3- phenyl-pyridin-2-yl)-azetidin-1-yl]- methanone
Figure US09718803-20170801-C00082
(1H-benzoimidazol-2-yl)-[4-(3-phenyl- pyrazin-2-yl)-piperidin-1-yl]-methanone
Figure US09718803-20170801-C00083
Benzothiazol-2-yl-[3-(3-phenyl-pyrazin-2- yl)-azetidin-1-yl]-methanone
Figure US09718803-20170801-C00084
(1H-Benzoimidazol-2-yl)-[3-(3-piperidin- 1-yl-quinoxalin-2-yl)-azetidin-1-yl]- methanone
Figure US09718803-20170801-C00085
(1H-Benzoimidazol-2-yl)-{3-[3-(4- hydroxy-piperidin-1-yl)-quinoxalin-2-yl]- azetidin-1-yl}-methanone
Figure US09718803-20170801-C00086
(1H-Benzoimidazol-2-yl)-[3-(2,3-dihydro- indol-1-yl)-3′,4′,5′,6′-tetrahydro-2′H- [2,4′]bipyridinyl-1′-yl]-methanone
Figure US09718803-20170801-C00087
(1H-Benzoimidazol-2-yl)-[3-(3-phenyl- quinolin-2-yl)-azetidin-1-yl]-methanone
Figure US09718803-20170801-C00088
(1H-Benzoimidazol-2-yl)-(3-phenyl 3′,4′,5′,6′-tetrahydro-2′H-[2,4′]bipyridinyl- 1′-yl)-methanone
Figure US09718803-20170801-C00089
(1H-Benzoimidazol-2-yl)-{4-[3-(4- hydroxymethyl-piperidin-1-yl)-pyrazin-2- yl]-piperidin-1-yl}-methanone
Figure US09718803-20170801-C00090
(3-(3-phenylpyrazin-2-yl)azetidin-1- yl)(pyridin-2-yl)methanone
Figure US09718803-20170801-C00091
(6-methylpyridin-2-yl)(3-(3- phenylpyrazin-2-yl)azetidin-1- yl)methanone
Figure US09718803-20170801-C00092
(3-methylpyridin-2-yl)(3-(3- phenylpyrazin-2-yl)azetidin-1- yl)methanone
Figure US09718803-20170801-C00093
(5-methylpyridin-2-yl)(3-(3- phenylpyrazin-2-yl)azetidin-1- yl)methanone
Figure US09718803-20170801-C00094
(4-methylpyridin-2-yl)(3-(3- phenylpyrazin-2-yl)azetidin-1- yl)methanone
Figure US09718803-20170801-C00095
(1H-Benzoimidazol-2-yl)-[3-(3-phenyl- quinoxalin-2-yl)-azetidin-1-yl]-methanone
Figure US09718803-20170801-C00096
(1H-Benzoimidazol-2-yl)-[3-(3-morpholin- 4-yl-pyrazin-2-yl)-azetidin-1-yl]- methanone
Figure US09718803-20170801-C00097
(1-Methyl-1H-benzoimidazol-2-yl)-[3-(3- phenyl-pyrazin-2-yl)-azetidin-1-yl]- methanone
Figure US09718803-20170801-C00098
[3-(3-Phenyl-pyrazin-2-yl)-azetidin-1-yl]- [1-(2,2,2-trifluoro-ethyl)-1H- benzoimidazol-2-yl]-methanone
Figure US09718803-20170801-C00099
(1H-Benzoimidazol-2-yl)-[3-(3-phenyl- pyrazin-2-yl)-azetidin-1-yl]-methanone
Figure US09718803-20170801-C00100
(1H-Benzoimidazol-2-yl)-{3-[3-(3,4- dimethoxy-phenyl)-pyrazin-2-yl]-azetidin- 1-yl}-methanone
Figure US09718803-20170801-C00101
(1H-Benzoimidazol-2-yl)-{3-[3-(3- isopropyl-phenyl)-pyrazin-2-yl]-azetidin- 1-yl}-methanone
Figure US09718803-20170801-C00102
(1H-Benzoimidazol-2-yl)-{3-[3-(3- trifluoromethoxy-phenyl)-pyrazin-2-yl]- azetidin-1-yl}-methanone
Figure US09718803-20170801-C00103
1H-Benzoimidazol-2-yl)-{3-[3-(3,5- dimethoxy-phenyl)-pyrazin-2-yl]-azetidin- 1-yl}-methanone
Figure US09718803-20170801-C00104
(1H-Benzoimidazol-2-yl)-{3-[3-(3-ethoxy- phenyl)-pyrazin-2-yl]-azetidin-1-yl}- methanone
Figure US09718803-20170801-C00105
(1H-Benzoimidazol-2-yl)-{3-[3-(3- isopropoxy-phenyl)-pyrazin-2-yl]-azetidin- 1-yl}-methanone
Figure US09718803-20170801-C00106
(1H-Benzoimidazol-2-yl)-{3-[3-(3-fluoro- 5-methoxy-phenyl)-pyrazin-2-yl]-azetidin- 1-yl}-methanone
Figure US09718803-20170801-C00107
(1H-Benzoimidazol-2-yl)-{3-[3-(2- methoxy-pyridin-4-yl)-pyrazin-2-yl]- azetidin-1-yl}-methanone
Figure US09718803-20170801-C00108
(1H-Benzoimidazol-2-yl)-{3-[3-(5- methoxy-pyridin-3-yl)-pyrazin-2-yl]- azetidin-1-yl}-methanone
Figure US09718803-20170801-C00109
(1H-benzo[d]imidazol-2-yl)(3-(3-(4- fluoro-3-methylphenyl)pyrazin-2- yl)azetidin-1-yl)methanone
Figure US09718803-20170801-C00110
(1H-Benzoimidazol-2-yl)-{3-[3-(4- methoxy-3-methyl-phenyl)-pyrazin-2-yl]- azetidin-1-yl}-methanone
Figure US09718803-20170801-C00111
(1H-Benzoimidazol-2-yl)-{3-[3-(3-fluoro- 5-methyl-phenyl)-pyrazin-2-yl]-azetidin-1- yl}-methanone
Figure US09718803-20170801-C00112
(1H-Benzoimidazol-2-yl)-{3-[3-(5-methyl- pyridin-3-yl)-pyrazin-2-yl]-azetidin-1-yl}- methanone
Figure US09718803-20170801-C00113
(1H-Benzoimidazol-2-yl)-{3-[3-(4-methyl- thiophen-2-yl)-pyrazin-2-yl]-azetidin-1- yl}-methanone
Figure US09718803-20170801-C00114
(1H-Benzoimidazol-2-yl)-{3-[3-(1-methyl- 1H-pyrazol-4-yl)-pyrazin-2-yl]-azetidin-1- yl}-methanone
Figure US09718803-20170801-C00115
(1H-Benzoimidazol-2-yl)-{3-[3-(3- hydroxymethyl-phenyl)-pyrazin-2-yl]- azetidin-1-yl}-methanone
Figure US09718803-20170801-C00116
(1H-Benzoimidazol-2-yl)-{3-[3-(4- hydroxymethyl-phenyl)-pyrazin-2-yl]- azetidin-1-yl}-methanone
Figure US09718803-20170801-C00117
1-(4-{3-[1-(1H-Benzoimidazole-2- carbonyl)-azetidin-3-yl]-pyrazin-2-yl}- phenyl)-ethanone
Figure US09718803-20170801-C00118
1-(3-{3-[1-(1H-Benzoimidazole-2- carbonyl)-azetidin-3-yl]-pyrazin-2-yl}- phenyl)-ethanone
Figure US09718803-20170801-C00119
(1H-Benzoimidazol-2-yl)-{3-[3-(3- methoxymethyl-phenyl)-pyrazin-2-yl]- azetidin-1-yl}-methanone
Figure US09718803-20170801-C00120
4-{3-[1-(1H-Benzoimidazole-2-carbonyl)- azetidin-3-yl]-pyrazin-2-yl}-N,N- dimethyl-benzamide
Figure US09718803-20170801-C00121
3-{3-[1-(1H-Benzoimidazole-2-carbonyl)- azetidin-3-yl]-pyrazin-2-yl}-N,N- dimethyl-benzamide
Figure US09718803-20170801-C00122
(1H-benzo[d]imidazol-2-yl)(3-(3-(pyridin- 4-yl)pyrazin-2-yl)azetidin-1-yl)methanone
Figure US09718803-20170801-C00123
(7-chloro-1H-benzo[d]imidazol-2-yl)(3-(3- (pyridin-3-yl)pyrazin-2-yl)azetidin-1- yl)methanone
Figure US09718803-20170801-C00124
(1H-benzo[d]imidazol-2-yl)(3-(3-(2- methylpyridin-4-yl)pyrazin-2-yl)azetidin- 1-yl)methanone
Figure US09718803-20170801-C00125
(1H-benzo[d]imidazol-2-yl)(3-(3-(m- tolyl)pyrazin-2-yl)azetidin-1-yl)methanone
Figure US09718803-20170801-C00126
3-(3-(1-(1H-benzo[d]imidazole-2- carbonyl)azetidin-3-yl)pyrazin-2- yl)benzonitrile
Figure US09718803-20170801-C00127
(1-Methyl-1H-benzoimidazol-2-yl)-[3-(3- piperidin-1-yl-pyrazin-2-yl)-azetidin-1-yl]- methanone
Figure US09718803-20170801-C00128
{3-[3-(4-Hydroxy-piperidin-1-yl)-pyrazin- 2-yl]-azetidin-1-yl}-(1-methyl-1H- benzoimidazol-2-yl)-methanone
Figure US09718803-20170801-C00129
[3-(3-Piperidin-1-yl-pyrazin-2-yl)-azetidin- 1-yl]-[1-(2,2,2-trifluoro-ethyl)-1H- benzoimidazol-2-yl]-methanone
Figure US09718803-20170801-C00130
{3-[3-(4-Hydroxy-piperidin-1-yl)-pyrazin- 2-yl]-azetidin-1-yl}-[1-(2,2,2-trifluoro- ethyl)-1H-benzoimidazol-2-yl]-methanone
Figure US09718803-20170801-C00131
(1H-Benzoimidazol-2-yl))-[3-(3-pyrrolidin- 1-yl-pyrazin-2-yl)-azetidin-1-yl]- methanone
Figure US09718803-20170801-C00132
(1H-Benzoimidazol-2-yl)-{3-[3-(4- trifluoromethyl-piperidin-1-yl)-pyrazin-2- yl]-azetidin-1-yl}-methanone
Figure US09718803-20170801-C00133
(R & S)-(1H-Benzoimidazol-2-yl)-{3-[3- (2-methyl-piperidin-1-yl)-pyrazin-2-yl]- azetidin-1-yl}-methanone
Figure US09718803-20170801-C00134
(1H-Benzoimidazol-2-yl)-{3-[3-(3-methyl- piperidin-1-yl)-pyrazin-2-yl]-azetidin-1- yl}-methanone
Figure US09718803-20170801-C00135
(1H-Benzoimidazol-2-yl)-{3-[3-(4-methyl- piperidin-1-yl)-pyrazin-2-yl]-azetidin-1- yl}-methanone
Figure US09718803-20170801-C00136
(1H-Benzoimidazol-2-yl)-{3-[3-(4,4- dimethyl-piperidin-1-yl)-pyrazin-2-yl]- azetidin-1-yl}-methanone
Figure US09718803-20170801-C00137
(1H-Benzoimidazol-2-yl)-{3-[3-(4- hydroxymethyl-piperidin-1-yl)-pyrazin-2- yl]-azetidin-1-yl}-methanone
Figure US09718803-20170801-C00138
(1H-Benzoimidazol-2-yl)-(3-{3-[4-(1- hydroxy-1-methyl-ethyl)-piperidin-1-yl]- pyrazin-2-yl}-azetidin-1-yl)-methanone
Figure US09718803-20170801-C00139
(1H-Benzoimidazol-2-yl)-(3-{3-[4-(1- hydroxy-1-methyl-ethyl)-piperidin-1-yl]- pyrazin-2-yl}-azetidin-1-yl)-methanone
Figure US09718803-20170801-C00140
1-{3-[1-(1H-Benzoimidazole-2-carbonyl)- azetidin-3-yl]-pyrazin-2-yl}-piperidine-4- carbonitrile
Figure US09718803-20170801-C00141
(1H-Benzoimidazol-2-yl)-{3-[3-(4- methoxymethyl-piperidin-1-yl)-pyrazin-2- yl]-azetidin-1-yl}-methanone
Figure US09718803-20170801-C00142
(R & S)-(1H-Benzoimidazol-2-yl)-{3-[3- (3-methyl-pyrrolidin-1-yl)-pyrazin-2-yl]- azetidin-1-yl}-methanone
Figure US09718803-20170801-C00143
(R & S)-(1H-Benzoimidazol-2-yl)-{3-[3- (2-methyl-pyrrolidin-1-yl)-pyrazin-2-yl]- azetidin-1-yl}-methanone
Figure US09718803-20170801-C00144
(1H-Benzoimidazol-2-yl)-{3-[3-(3,4- dihydro-1H-isoquinolin-2-yl)-pyrazin-2- yl]-azetidin-1-yl}-methanone
Figure US09718803-20170801-C00145
(1H-Benzoimidazol-2-yl)-{3-[3-(1,3- dihydro-isoindo1-2-yl)-pyrazin-2-yl]- azetidin-1-yl}-methanone
Figure US09718803-20170801-C00146
(R & S)-(1H-Benzoimidazol-2-yl)-{3-[3- (3-phenyl-pyrrolidin-1-yl)-pyrazin-2-yl]- azetidin-1-yl}-methanone
Figure US09718803-20170801-C00147
(R & S)-(1H-Benzoimidazol-2-yl)-{3-[3- (2-phenyl-pyrrolidin-1-yl)-pyrazin-2-yl]- azetidin-1-yl}-methanone
Figure US09718803-20170801-C00148
(1H-Benzoimidazol-2-yl)-[3-(3- cyclopentylamino-pyrazin-2-yl)-azetidin- 1-yl]-methanone
Figure US09718803-20170801-C00149
(1H-Benzoimidazol-2-yl)-[3-(3- cyclohexylamino-pyrazin-2-yl)-azetidin-1- yl]-methanone
Figure US09718803-20170801-C00150
(1H-Benzoimidazol-2-yl)-[3-(3- benzylamino-pyrazin-2-yl)-azetidin-1-yl]- methanone
Figure US09718803-20170801-C00151
(1H-Benzoimidazol-2-yl)-{3-[3-(2- hydroxy-ethylamino)-pyrazin-2-yl]- azetidin-1-yl}-methanone
Figure US09718803-20170801-C00152
(1H-benzo[d]imidazol-2-yl)(3-(3-((2- methoxyethyl)amino)pyrazin-2- yl)azetidin-1-yl)methanone
Figure US09718803-20170801-C00153
1-{3-[1-(1H-Benzoimidazole-2-carbonyl)- azetidin-3-yl]-pyrazin-2-yl}-piperidine-4- carboxylic acid amide
Figure US09718803-20170801-C00154
(R & S)-(1H-Benzoimidazol-2-yl)-{3-[3- (3-hydroxymethyl-piperidin-1-yl)-pyrazin- 2-yl]-azetidin-1-yl}-methanone
Figure US09718803-20170801-C00155
(1H-Benzoimidazol-2-yl)-{3-[3-(3- hydroxy-piperidin-1-yl)-pyrazin-2-yl]- azetidin-1-yl}-methanone
Figure US09718803-20170801-C00156
[3-(3-Azepan-1-yl-pyrazin-2-yl)-azetidin- 1-yl]-(1H-benzoimidazol-2-yl)-methanone
Figure US09718803-20170801-C00157
[3-(3-Azetidin-1-yl-pyrazin-2-yl)-azetidin- 1-yl]-(1H-benzoimidazol-2-yl)-methanone
Figure US09718803-20170801-C00158
(R)-(1H-Benzoimidazol-2-yl)-{3-[3-(2- hydroxymethyl-pyrrolidin-1-yl)-pyrazin-2- yl]-azetidin-1-yl}-methanone
Figure US09718803-20170801-C00159
(1H-Benzoimidazol-2-yl)-[3-(3- isopropylamino-pyrazin-2-yl)-azetidin-1- yl]-methanone
Figure US09718803-20170801-C00160
(S)-(1H-Benzoimidazol-2-yl)-{3-[3-(2- hydroxymethyl-pyrrolidin-1-yl)-pyrazin-2- yl]-azetidin-1-yl}-methanone
Figure US09718803-20170801-C00161
(1H-Benzoimidazol-2-yl)-(3-{3-[4-2- hydroxy-ethyl)-piperidin-1-yl]-pyrazin-2- yl}-azetidin-1-yl)-methanone
Figure US09718803-20170801-C00162
(1H-Benzoimidazol-2-yl)-[3-(3- [1,4]oxazepan-4-yl-pyrazin-2-yl)-azetidin- 1-yl]-methanone
Figure US09718803-20170801-C00163
(1H-Benzoimidazol-2-yl)-{3-[3-(4-methyl- [1,4]diazepan-1-yl)-pyrazin-2-yl]-azetidin- 1-yl}-methanone
Figure US09718803-20170801-C00164
1-(4-{3-[1-(1H-Benzoimidazole-2- carbonyl)-azetidin-3-yl]-pyrazin-2-yl}- [1,4]diazepan-1-yl)-ethanone
Figure US09718803-20170801-C00165
(1H-Benzoimidazol-2-yl)-{3-[3-(4- hydroxy-azepan-1-yl)-pyrazin-2-yl]- azetidin-1-yl}-methanone
Figure US09718803-20170801-C00166
(R & S)-(1H-Benzoimidazol-2-yl)-{3-[3- (3-hydroxymethyl-pyrrolidin-1-yl)- pyrazin-2-yl]-azetidin-1-yl}-methanone
Figure US09718803-20170801-C00167
(R)-(1H-Benzoimidazol-2-yl)-{3-[3-(3- hydroxy-piperidin-1-yl)-pyrazin-2-yl]- azetidin-1-yl}-methanone
Figure US09718803-20170801-C00168
(S)-(1H-Benzoimidazol-2-yl)-{3-[3-(3- hydroxy-piperidin-1-yl)-pyrazin-2-yl]- azetidin-1-yl}-methanone
Figure US09718803-20170801-C00169
(R & S)-1-{3-[1-(1H-Benzoimidazole-2- carbonyl)-azetidin-3-yl]-pyrazin-2-yl}- piperidine-3-carbonitrile
Figure US09718803-20170801-C00170
1-{3-[1-(1H-Benzoimidazole-2-carbonyl)- azetidin-3-yl]-pyrazin-2-yl}-piperidine-4- carboxylic acid methylamide
Figure US09718803-20170801-C00171
1-{3-[1-(1H-Benzoimidazole-2-carbonyl)- azetidin-3-yl]-pyrazin-2-yl}-piperidine-4- carboxylic acid dimethylamide
Figure US09718803-20170801-C00172
1-(1-(3-(1-(1H-benzo[d]imidazole-2- carbonyl)azetidin-3-yl)pyrazin-2- yl)piperidin-4-yl)ethanone
Figure US09718803-20170801-C00173
1-(4-(3-(1-(1H-benzo[d]imidazole-2- carbonyl)azetidin-3-yl)pyrazin-2- yl)piperazin-1-yl)ethanone
Figure US09718803-20170801-C00174
(R)-(1H-benzo[d]imidazol-2-yl)(3-(3-(3- hydroxypyrrolidin-1-yl)pyrazin-2- yl)azetidin-1-yl)methanone
Figure US09718803-20170801-C00175
(S)-(1H-benzo[d]imidazol-2-yl)(3-(3-(3- hydroxypyrrolidin-1-yl)pyrazin-2- yl)azetidin-1-yl)methanone
Figure US09718803-20170801-C00176
(1H-benzo[d]imidazol-2-yl)(3-(3- (piperidin-1-yl)pyrazin-2-yl)azetidin-1- yl)methanone
Figure US09718803-20170801-C00177
(1H-benzo[d]imidazol-2-yl)(3-(3-(4- hydroxypiperidin-1-yl)pyrazin-2- yl)azetidin-1-yl)methanone
Figure US09718803-20170801-C00178
(1H-Benzoimidazol-2-yl)-{3-[3-(2-oxa-7- aza-spiro[3.5]non-7-yl)-pyrazin-2-yl]- azetidin-1-yl}-methanone
Figure US09718803-20170801-C00179
(1H-Benzoimidazol-2-yl)-{3-[3-(2-oxa-6- aza-spiro[3.3]hept-6-yl)-pyrazin-2-yl]- azetidin-1-yl}-methanone
Figure US09718803-20170801-C00180
1-(6-{3-[1-(1H-Benzoimidazole-2-carbonyl)- azetidin-3-yl]-pyrazin-2-yl}-2,6-diaza- spiro[3.3]hept-2-yl)-ethanone
Figure US09718803-20170801-C00181
2-(3-(3-(2-methoxypyridin-3-yl)pyrazin-2- yl)azetidin-1-yl)quinoline
Figure US09718803-20170801-C00182
2-(3-(3-(6-methylpyridin-3-yl)pyrazin-2- yl)azetidin-1-yl)quinoline
Figure US09718803-20170801-C00183
2-(3-(3-(2-methylpyridin-3-yl)pyrazin-2- yl)azetidin-1-yl)quinoline
Figure US09718803-20170801-C00184
2-(3-(3-(6-fluoropyridin-3-yl)pyrazin-2- yl)azetidin-1-yl)quinoline
Figure US09718803-20170801-C00185
2-(3-(3-(6-(trifluoromethyl)pyridin-3- yl)pyrazin-2-yl)azetidin-1-yl)quinoline
Figure US09718803-20170801-C00186
2-(3-(3-(2,6-dimethoxypyridin-3- yl)pyrazin-2-yl)azetidin-1-yl)quinoline
Figure US09718803-20170801-C00187
2-(3-(3-(5-fluoropyridin-3-yl)pyrazin-2- yl)azetidin-1-yl)quinoline
Figure US09718803-20170801-C00188
2-(3-(3-(6-methoxypyridin-3-yl)pyrazin-2- yl)azetidin-1-yl)quinoline 2,2,2- trifluoroacetate
Figure US09718803-20170801-C00189
2-(3-(3-(6-fluoro-5-methylpyridin-3- yl)pyrazin-2-yl)azetidin-1-yl)quinoline 2,2,2-trifluoroacetate
Figure US09718803-20170801-C00190
2-(3-(3-(pyridin-3-yl)pyrazin-2- yl)azetidin-1-yl)quinoline 2,2,2- trifluoroacetate
Figure US09718803-20170801-C00191
2-(3-(3-(4- (methylsulfonyl)phenyl)pyrazin-2- yl)azetidin-1-yl)quinoline 2,2,2- trifluoroacetate
Figure US09718803-20170801-C00192
5-(3-(1-(quinolin-2-yl)azetidin-3- yl)pyrazin-2-yl)pyridin-2-amine
Figure US09718803-20170801-C00193
5-(3-(1-(quinolin-2-yl)azetidin-3- yl)pyrazin-2-yl)pyridin-3-amine
Figure US09718803-20170801-C00194
2-(3-(3-(6-methoxypyridin-2-yl)pyrazin-2- yl)azetidin-1-yl)quinoline
Figure US09718803-20170801-C00195
2-(3-(3-(2-(trifluoromethyl)pyridin-3- yl)pyrazin-2-yl)azetidin-1-yl)quinoline 2,2,2-trifluoroacetate
Figure US09718803-20170801-C00196
N,N-dimethyl-5-(3-(1-(quinolin-2- yl)azetidin-3-yl)pyrazin-2-yl)pyrimidin-2- amine 2,2,2-trifluoroacetate
Figure US09718803-20170801-C00197
2-(3-(3-(4-methylpyridin-3-yl)pyrazin-2- yl)azetidin-1-yl)quinoline 2,2,2- trifluoroacetate
Figure US09718803-20170801-C00198
2-(3-(3-(5-(methylsulfonyl)pyridin-3- yl)pyrazin-2-yl)azetidin-1-yl)quinoline 2,2,2-trifluoroacetate
Figure US09718803-20170801-C00199
2-(3-(3-(5-methylpyridin-3-yl)pyrazin-2- yl)azetidin-1-yl)quinoline 2,2,2- trifluoroacetate
Figure US09718803-20170801-C00200
2-(3-(3-(5-methoxypyridin-3-yl)pyrazin-2- yl)azetidin-1-yl)quinoline 2,2,2- trifluoroacetate
Figure US09718803-20170801-C00201
2-(3-(3-(4-chloro-3-methylphenyl)pyrazin- 2-yl)azetidin-1-yl)quinoline
Figure US09718803-20170801-C00202
2-(3-(3-(3-fluoro-4-methylphenyl)pyrazin- 2-yl)azetidin-1-yl)quinoline
Figure US09718803-20170801-C00203
2-chloro-4-(3-(1-(quinolin-2-yl)azetidin-3- yl)pyrazin-2-yl)phenol
Figure US09718803-20170801-C00204
2-(3-(3-(3-methoxy-5- (trifluoromethyl)phenyl)pyrazin-2- yl)azetidin-1-yl)quinoline
Figure US09718803-20170801-C00205
2-(3-(3-(4-ethoxy-3-fluorophenyl)pyrazin- 2-yl)azetidin-1-yl)quinoline
Figure US09718803-20170801-C00206
2-(3-(3-(3-chloro-4-ethoxyphenyl)pyrazin- 2-yl)azetidin-1-yl)quinoline
Figure US09718803-20170801-C00207
2-(3-(3-(3-chloro-4- propoxyphenyl)pyrazin-2-yl)azetidin-1- yl)quinoline
Figure US09718803-20170801-C00208
2-(3-(3-(3-fluoro-5- (trifluoromethyl)phenyl)pyrazin-2- yl)azetidin-1-yl)quinoline
Figure US09718803-20170801-C00209
2-(3-(3-(4-methoxy-3- methylphenyl)pyrazin-2-yl)azetidin-1- yl)quinoline
Figure US09718803-20170801-C00210
2-(3-(3-(3-fluoro-5- isopropoxyphenyl)pyrazin-2-yl)azetidin-1- yl)quinoline
Figure US09718803-20170801-C00211
2-(3-(3-(3-fluoro-5-methylphenyl)pyrazin- 2-yl)azetidin-1-yl)quinoline
Figure US09718803-20170801-C00212
2-(3-(3-(3-chloro-4-fluorophenyl)pyrazin- 2-yl)azetidin-1-yl)quinoline
Figure US09718803-20170801-C00213
2-(3-(3-(3,4-difluorophenyl)pyrazin-2- yl)azetidin-1-yl)quinoline
Figure US09718803-20170801-C00214
2-(3-(3-(3,4-dichlorophenyl)pyrazin-2- yl)azetidin-1-yl)quinoline
Figure US09718803-20170801-C00215
2-(3-(3-(3,4-dimethylphenyl)pyrazin-2- yl)azetidin-1-yl)quinoline
Figure US09718803-20170801-C00216
2-(3-(3-(3-chloro-4-methylphenyl)pyrazin- 2-yl)azetidin-1-yl)quinoline
Figure US09718803-20170801-C00217
2-(3-(3-(3-chloro-5-methylphenyl)pyrazin- 2-yl)azetidin-1-yl)quinoline
Figure US09718803-20170801-C00218
2-(3-(3-(4-fluoro-3-methylphenyl)pyrazin- 2-yl)azetidin-1-yl)quinoline
Figure US09718803-20170801-C00219
2-(3-(3-(pyrimidin-5-yl)pyrazin-2- yl)azetidin-1-yl)quinoline
Figure US09718803-20170801-C00220
2-(3-(3-(4-chloro-3- (trifluoromethyl)phenyl)pyrazin-2- yl)azetidin-1-yl)quinoline
Figure US09718803-20170801-C00221
2-(3-(3-(3,6-dihydro-2H-pyran-4- yl)pyrazin-2-yl)azetidin-1-yl)quinoline
Figure US09718803-20170801-C00222
2-(3-(3-(2,2-dimethyl-3,6-dihydro-2H- pyran-4-yl)pyrazin-2-yl)azetidin-1- yl)quinoline and 2-(3-(3-(6,6-dimethyl-3,6- dihydro-2H-pyran-4-yl)pyrazin-2- yl)azetidin-1-yl)quinoline
Figure US09718803-20170801-C00223
2-(3-(3-(1H-pyrazol-4-yl)pyrazin-2- yl)azetidin-1-yl)quinoline
Figure US09718803-20170801-C00224
2-(3-(3-(3-fluoro-5- (trifluoromethyl)phenyl)pyrazin-2- yl)azetidin-1-yl)quinoline
Figure US09718803-20170801-C00225
2-(3-(3-(6-methoxypyridin-2-yl)pyrazin-2- yl)azetidin-1-yl)quinoline
Figure US09718803-20170801-C00226
2-(3-(3-phenylpyrazin-2-yl)azetidin-1- yl)quinoline
Figure US09718803-20170801-C00227
2-(3-(3-(4-methoxyphenyl)pyrazin-2- yl)azetidin-1-yl)quinoline
Figure US09718803-20170801-C00228
2-(3-(3-(4-fluorophenyl)pyrazin-2- yl)azetidin-1-yl)quinoline
Figure US09718803-20170801-C00229
2-(3-(3-(2-fluorophenyl)pyrazin-2- yl)azetidin-1-yl)quinoline
Figure US09718803-20170801-C00230
2-(3-(3-(3-fluorophenyl)pyrazin-2- yl)azetidin-1-yl)quinoline
Figure US09718803-20170801-C00231
2-(3-(3-(pyridin-4-yl)pyrazin-2- yl)azetidin-1-yl)quinoline
Figure US09718803-20170801-C00232
3-(3-(1-(quinolin-2-yl)azetidin-3- yl)pyrazin-2-yl)benzonitrile
Figure US09718803-20170801-C00233
4-(3-(1-(quinolin-2-yl)azetidin-3- yl)pyrazin-2-yl)benzonitrile
Figure US09718803-20170801-C00234
methyl 3-(3-(1-(quinolin-2-yl)azetidin-3- yl)pyrazin-2-yl)benzoate
Figure US09718803-20170801-C00235
ethyl 4-(3-(1-(quinolin-2-yl)azetidin-3- yl)pyrazin-2-yl)benzoate
Figure US09718803-20170801-C00236
2-(3-(3-(2-methoxypyridin-4-yl)pyrazin-2- yl)azetidin-1-yl)quinoline
Figure US09718803-20170801-C00237
2-(3-(3-(2-fluoropyridin-4-yl)pyrazin-2- yl)azetidin-1-yl)quinoline
Figure US09718803-20170801-C00238
2-(3-(3-(3-(methylthio)phenyl)pyrazin-2- yl)azetidin-1-yl)quinoline
Figure US09718803-20170801-C00239
1-(4-(3-(1-(quinolin-2-yl)azetidin-3- yl)pyrazin-2-yl)phenyl)ethanone
Figure US09718803-20170801-C00240
2-(3-(3-(4-phenoxyphenyl)pyrazin-2- yl)azetidin-1-yl)quinoline
Figure US09718803-20170801-C00241
2-(3-(3-(4- (trifluoromethyl)phenyl)pyrazin-2- yl)azetidin-1-yl)quinoline
Figure US09718803-20170801-C00242
2-(3-(3-(3-fluoro-4- methoxyphenyl)pyrazin-2-yl)azetidin-1- yl)quinoline
Figure US09718803-20170801-C00243
N,N-dimethyl-3-(3-(1-(quinolin-2- yl)azetidin-3-yl)pyrazin-2-yl)aniline
Figure US09718803-20170801-C00244
N-methyl-3-(3-(1-(quinolin-2-yl)azetidin- 3-yl)pyrazin-2-yl)benzamide
Figure US09718803-20170801-C00245
tert-butyl 4-(3-(1-(quinolin-2-yl)azetidin- 3-yl)pyrazin-2-yl)-5,6-dihydropyridine- 1(2H)-carboxylate
Figure US09718803-20170801-C00246
2-(3-(3-([1,1′-biphenyl]-3-yl)pyrazin-2- yl)azetidin-1-yl)quinoline
Figure US09718803-20170801-C00247
2-fluoro-4-(3-(1-(quinolin-2-yl)azetidin-3- yl)pyrazin-2-yl)benzonitrile
Figure US09718803-20170801-C00248
2-fluoro-5-(3-(1-(quinolin-2-yl)azetidin-3- yl)pyrazin-2-yl)benzonitrile
Figure US09718803-20170801-C00249
N,N-dimethyl-3-(3-(1-(quinolin-2- yl)azetidin-3-yl)pyrazin-2-yl)benzamide
Figure US09718803-20170801-C00250
2-(3-(3-(2-methoxyphenyl)pyrazin-2- yl)azetidin-1-yl)quinoline
Figure US09718803-20170801-C00251
2-(3-(3-(3- (trifluoromethyl)phenyl)pyrazin-2- yl)azetidin-1-yl)quinoline
Figure US09718803-20170801-C00252
2-(3-(3-(3-ethoxyphenyl)pyrazin-2- yl)azetidin-1-yl)quinoline
Figure US09718803-20170801-C00253
1-(3-(3-(1-(quinolin-2-yl)azetidin-3- yl)pyrazin-2-yl)phenyl)ethanone
Figure US09718803-20170801-C00254
(3-(3-(1-(quinolin-2-yl)azetidin-3- yl)pyrazin-2-yl)phenyl)methanol
Figure US09718803-20170801-C00255
2-(3-(3-(3- (trifluoromethoxy)phenyl)pyrazin-2- yl)azetidin-1-yl)quinoline
Figure US09718803-20170801-C00256
2-(3-(3-(3-(benzyloxy)phenyl)pyrazin-2- yl)azetidin-1-yl)quinoline
Figure US09718803-20170801-C00257
N-cyclopropyl-3-(3-(1-(quinolin-2- yl)azetidin-3-yl)pyrazin-2-yl)benzamide
Figure US09718803-20170801-C00258
N,N-dimethyl-3-(3-(1-(quinolin-2- yl)azetidin-3-yl)pyrazin-2- yl)benzenesulfonamide
Figure US09718803-20170801-C00259
2-(3-(3-(4-ethoxyphenyl)pyrazin-2- yl)azetidin-1-yl)quinoline
Figure US09718803-20170801-C00260
(4-(3-(1-(quinolin-2-yl)azetidin-3- yl)pyrazin-2-yl)phenyl)methanol
Figure US09718803-20170801-C00261
2-(3-(3-(4-propylphenyl)pyrazin-2- yl)azetidin-1-yl)quinoline
Figure US09718803-20170801-C00262
2-(3-(3-(4-ethylphenyl)pyrazin-2- yl)azetidin-1-yl)quinoline
Figure US09718803-20170801-C00263
N,N-dimethyl-4-(3-(1-(quinolin-2- yl)azetidin-3-yl)pyrazin-2-yl)aniline
Figure US09718803-20170801-C00264
2-(3-(3-(4- (trifluoromethoxy)phenyl)pyrazin-2- yl)azetidin-1-yl)quinoline
Figure US09718803-20170801-C00265
2-(3-(3-(4-isopropoxyphenyl)pyrazin-2- yl)azetidin-1-yl)quinoline
Figure US09718803-20170801-C00266
2-methyl-2-(4-(3-(1-(quinolin-2- yl)azetidin-3-yl)pyrazin-2- yl)phenyl)propanenitrile
Figure US09718803-20170801-C00267
4-((4-(3-(1-(quinolin-2-yl)azetidin-3- yl)pyrazin-2- yl)phenyl)sulfonyl)morpholine
Figure US09718803-20170801-C00268
2-(3-(3-(4-(piperidin-1- yl sulfonyl)phenyl)pyrazin-2-yl)azetidin-1- yl)quinoline
Figure US09718803-20170801-C00269
(R- & S-)-2-(3-(3-(3-(pyridin-3- yl)pyrrolidin-1-yl)pyrazin-2-yl)azetidin-1- yl)quinoline
Figure US09718803-20170801-C00270
(R- & S-)-2-(3-(3-(3-phenethylpyrrolidin- 1-yl)pyrazin-2-yl)azetidin-1-yl)quinoline
Figure US09718803-20170801-C00271
(R- & S-)-2-(3-(3-(3-benzylpyrrolidin-1- yl)pyrazin-2-yl)azetidin-1-yl)quinoline
Figure US09718803-20170801-C00272
(R)-N,N-dimethyl-1-(3-(1-(quinolin-2- yl)azetidin-3-yl)pyrazin-2-yl)pyrrolidin-3- amine
Figure US09718803-20170801-C00273
(R- & S-)-tert-butyl methyl(1-(3-(1- (quinolin-2-yl)azetidin-3-yl)pyrazin-2- yl)pyrrolidin-3-yl)carbamate
Figure US09718803-20170801-C00274
(R- & S-)-N,N-dimethyl-1-(3-(1-(quinolin- 2-yl)azetidin-3-yl)pyrazin-2-yl)pyrrolidin- 3-amine
Figure US09718803-20170801-C00275
2-(3-(3-(3-azabicyclo[3.1.0]hexan-3- yl)pyrazin-2-yl)azetidin-1-yl)quinoline
Figure US09718803-20170801-C00276
(R- & S-)-2-(3-(3-(3- (phenylsulfonyl)pyrrolidin-1-yl)pyrazin-2- yl)azetidin-1-yl)quinoline
Figure US09718803-20170801-C00277
(R- & S-)-3-methyl-5-(1-(3-(1-(quinolin-2- yl)azetidin-3-yl)pyrazin-2-yl)pyrrolidin-3- yl)-1,2,4-oxadiazole
Figure US09718803-20170801-C00278
(R)-1-(3-(1-(quinolin-2-yl)azetidin-3- yl)pyrazin-2-yl)pyrrolidin-3-ol
Figure US09718803-20170801-C00279
(R- & S-)-2-(3-(3-(3-(pyridin-4- yl)pyrrolidin-1-yl)pyrazin-2-yl)azetidin-1- yl)quinoline
Figure US09718803-20170801-C00280
2-(3-(3-(pyrrolidin-1-yl)pyrazin-2- yl)azetidin-1-yl)quinoline
Figure US09718803-20170801-C00281
(3aR,6aS)-tert-butyl 5-(3-(1-(quinolin-2- yl)azetidin-3-yl)pyrazin-2- yl)hexahydropyrrolo[3,4-c]pyrrole-2(1H)- carboxylate
Figure US09718803-20170801-C00282
tert-butyl 5-(3-(1-(quinolin-2-yl)azetidin- 3-yl)pyrazin-2-yl)hexahydropyrrolo[3,4- c]pyrrole-2(1H)-carboxylate
Figure US09718803-20170801-C00283
tert-butyl 4-(3-(1-(quinolin-2-yl)azetidin- 3-yl)pyrazin-2-yl)-1,4-diazepane-1- carboxylate
Figure US09718803-20170801-C00284
(R)-(1-(3-(1-(quinolin-2-yl)azetidin-3- yl)pyrazin-2-yl)pyrrolidin-3-yl)methanol
Figure US09718803-20170801-C00285
(R- & S-)-2-(3-(3-(3- (methylsulfonyl)pyrrolidin-1-yl)pyrazin-2- yl)azetidin-1-yl)quinoline
Figure US09718803-20170801-C00286
(S)-(1-(3-(1-(quinolin-2-yl)azetidin-3- yl)pyrazin-2-yl)pyrrolidin-3-yl)methanol
Figure US09718803-20170801-C00287
(R)-tert-butyl 1-(3-(1-(quinolin-2- yl)azetidin-3-yl)pyrazin-2-yl)pyrrolidin-3- ylcarbamate
Figure US09718803-20170801-C00288
(S)-2-(3-(3-(3-fluoropyrrolidin-1- yl)pyrazin-2-yl)azetidin-1-yl)quinoline
Figure US09718803-20170801-C00289
2-(3-(3-(3,3-difluoropyrrolidin-1- yl)pyrazin-2-yl)azetidin-1-yl)quinoline
Figure US09718803-20170801-C00290
2-(3-(3-(4-isopropyl-1,4-diazepan-1- yl)pyrazin-2-yl)azetidin-1-yl)quinoline
Figure US09718803-20170801-C00291
(1R,5R)-3-(3-(1-(quinolin-2-yl)azetidin-3- yl)pyrazin-2-yl)-3-azabicyclo[3.2.2]nonane
Figure US09718803-20170801-C00292
2-(3-(3-(azepan-1-yl)pyrazin-2-yl)azetidin- 1-yl)quinoline
Figure US09718803-20170801-C00293
2-(3-(3-(4-methyl-1,4-diazepan-1- yl)pyrazin-2-yl)azetidin-1-yl)quinoline
Figure US09718803-20170801-C00294
3-(3-(1-(quinolin-2-yl)azetidin-3- yl)pyrazin-2-yl)-3-azabicyclo[3.2.2]nonane
Figure US09718803-20170801-C00295
1-(4-(3-(1-(quinolin-2-yl)azetidin-3- yl)pyrazin-2-yl)-1,4-diazepan-1- yl)ethanone
Figure US09718803-20170801-C00296
(R- & S-)-2-(3-(3-(3-phenylpyrrolidin-1- yl)pyrazin-2-yl)azetidin-1-yl)quinoline
Figure US09718803-20170801-C00297
(3S,4S)-1-(3-(1-(quinolin-2-yl)azetidin-3- yl)pyrazin-2-yl)pyrrolidine-3,4-diol
Figure US09718803-20170801-C00298
N-(4-methoxybenzyl)-3-(1-(quinolin-2- yl)azetidin-3-yl)pyrazin-2-amine
Figure US09718803-20170801-C00299
(1R,4R)-5-(3-(1-(quinolin-2-yl)azetidin-3- yl)pyrazin-2-yl)-2-oxa-5- azabicyclo[2.2.1]heptane
Figure US09718803-20170801-C00300
(R- & S-)-2-(1-(3-(1-(quinolin-2- yl)azetidin-3-yl)pyrazin-2-yl)pyrrolidin-3- yl)thiazole
Figure US09718803-20170801-C00301
(S)-(1-(3-(1-(quinolin-2-yl)azetidin-3- yl)pyrazin-2-yl)pyrrolidin-2-yl)methanol
Figure US09718803-20170801-C00302
((2S,4S)-4-fluoro-1-(3-(1-(quinolin-2- yl)azetidin-3-yl)pyrazin-2-yl)pyrrolidin-2- yl)methanol
Figure US09718803-20170801-C00303
(R)-2-(3-(3-(2-(methoxymethyl)pyrrolidin- 1-yl)pyrazin-2-yl)azetidin-1-yl)quinoline
Figure US09718803-20170801-C00304
2-(3-(3-(hexahydrocyclopenta[c]pyrrol- 2(1H)-yl)pyrazin-2-yl)azetidin-1- yl)quinoline
Figure US09718803-20170801-C00305
(R- & S-)-2-(3-(3-(3-isobutylpyrrolidin-1- yl)pyrazin-2-yl)azetidin-1-yl)quinoline
Figure US09718803-20170801-C00306
2-(3-(3-(3,3-dimethylpyrrolidin-1- yl)pyrazin-2-yl)azetidin-1-yl)quinoline
Figure US09718803-20170801-C00307
(R- & S-)-2-(3-(3-(3- (methoxymethyl)pyrrolidin-1-yl)pyrazin-2- yl)azetidin-1-yl)quinoline
Figure US09718803-20170801-C00308
2-(3-(3-(4-(trifluoromethyl)piperidin-1- yl)pyrazin-2-yl)azetidin-1-yl)quinoline
Figure US09718803-20170801-C00309
1-(3-(1-(quinolin-2-yl)azetidin-3- yl)pyrazin-2-yl)piperidine-4-carbonitrile
Figure US09718803-20170801-C00310
2-(3-(3-(4,4-difluoropiperidin-1- yl)pyrazin-2-yl)azetidin-1-yl)quinoline
Figure US09718803-20170801-C00311
4-(3-(1-(quinolin-2-yl)azetidin-3- yl)pyrazin-2-yl)morpholine
Figure US09718803-20170801-C00312
2-(3-(3-(4-fluoropiperidin-1-yl)pyrazin-2- yl)azetidin-1-yl)quinoline
Figure US09718803-20170801-C00313
2-(3-(3-(3-methoxyazetidin-1-yl)pyrazin- 2-yl)azetidin-1-yl)quinoline
Figure US09718803-20170801-C00314
2-(3-(3-(3,3-difluoroazetidin-1-yl)pyrazin- 2-yl)azetidin-1-yl)quinoline
Figure US09718803-20170801-C00315
4-methyl-1-(3-(1-(quinolin-2-yl)azetidin-3- yl)pyrazin-2-yl)piperidin-4-ol
Figure US09718803-20170801-C00316
1-(3-(1-(quinolin-2-yl)azetidin-3- yl)pyrazin-2-yl)-1H-pyrazole-4- carbonitrile
Figure US09718803-20170801-C00317
2-(3-(3-(4-methyl-1H-pyrazol-1- yl)pyrazin-2-yl)azetidin-1-yl)quinoline
Figure US09718803-20170801-C00318
tert-butyl(1-(3-(1-(quinolin-2-yl)azetidin- 3-yl)pyrazin-2-yl)azetidin-3-yl)carbamate
Figure US09718803-20170801-C00319
2,2-dimethyl-4-(3-(1-(quinolin-2- yl)azetidin-3-yl)pyrazin-2-yl)morpholine
Figure US09718803-20170801-C00320
2-(3-(3-(4-methyl-1H-imidazol-1- yl)pyrazin-2-yl)azetidin-1-yl)quinoline
Figure US09718803-20170801-C00321
1-(3-(1-(quinazolin-2-yl)azetidin-3- yl)pyrazin-2-yl)piperidine-4-carbonitrile
Figure US09718803-20170801-C00322
(1-(3-(1-(quinolin-2-yl)azetidin-3- yl)pyrazin-2-yl)-1H-pyrazol-4-yl)methanol
Figure US09718803-20170801-C00323
(1-(3-(1-(quinolin-2-yl)azetidin-3- yl)pyrazin-2-yl)-1H-imidazol-4- yl)methanol
Figure US09718803-20170801-C00324
1-methyl-4-(3-(1-(quinolin-2-yl)azetidin-3- yl)pyrazin-2-yl)piperazin-2-one
Figure US09718803-20170801-C00325
N-(2,6-dimethylphenyl)-1-(3-(1-(quinolin- 2-yl)azetidin-3-yl)pyrazin-2-yl)piperidine- 3-carboxamide
Figure US09718803-20170801-C00326
(S)-tert-butyl (1-(3-(1-(quinolin-2- yl)azetidin-3-yl)pyrazin-2-yl)piperidin-3- yl)carbamate
Figure US09718803-20170801-C00327
(4-(cyclopropylmethyl)-1-(3-(1-(quinolin- 2-yl)azetidin-3-yl)pyrazin-2-yl)piperidin- 4-yl)methanol
Figure US09718803-20170801-C00328
2-(3-(3-((1R,5S)-8-methyl-3,8- diazabicyclo[3.2.1]octan-3-yl)pyrazin-2- yl)azetidin-1-yl)quinoline
Figure US09718803-20170801-C00329
1-(3-(1-(quinolin-2-yl)azetidin-3- yl)pyrazin-2-yl)pyrrolidin-3-amine
Figure US09718803-20170801-C00330
(R- & S-)-methyl (1-(3-(1-(quinolin-2- yl)azetidin-3-yl)pyrazin-2-yl)pyrrolidin-3- yl)carbamate
Figure US09718803-20170801-C00331
(R- & S-)-N-(1-(3-(1-(quinolin-2- yl)azetidin-3-yl)pyrazin-2-yl)pyrrolidin-3- yl)methanesulfonamide
Figure US09718803-20170801-C00332
(R- & S-)-ethyl (1-(3-(1-(quinolin-2- yl)azetidin-3-yl)pyrazin-2-yl)pyrrolidin-3- yl)carbamate
Figure US09718803-20170801-C00333
(R- & S-)-2-methoxy-N-(1-(3-(1-(quinolin- 2-yl)azetidin-3-yl)pyrazin-2-yl)pyrrolidin- 3-yl)acetamide
Figure US09718803-20170801-C00334
2-(3-(3-(1,4-Diazepan-1-yl)pyrazin-2- yl)azetidin-1-yl)quinoline
Figure US09718803-20170801-C00335
Methyl 4-(3-(1-(quinolin-2-yl)azetidin-3- yl)pyrazin-2-yl)-1,4-diazepane-1- carboxylate
Figure US09718803-20170801-C00336
methyl methyl(1-(3-(1-(quinolin-2- yl)azetidin-3-yl)pyrazin-2-yl)pyrrolidin-3- yl)carbamate
Figure US09718803-20170801-C00337
N-methyl-N-(1-(3-(1-(quinolin-2- yl)azetidin-3-yl)pyrazin-2-yl)pyrrolidin-3- yl)methanesulfonamide
Figure US09718803-20170801-C00338
Ethyl methyl(1-(3-(1-(quinolin-2- yl)azetidin-3-yl)pyrazin-2-yl)pyrrolidin-3- yl)carbamate
Figure US09718803-20170801-C00339
2-(3-(3-(4-chlorophenyl)pyrazin-2- yl)azetidin-1-yl)quinazoline
Figure US09718803-20170801-C00340
2-(3-(3-(3-chlorophenyl)pyrazin-2- yl)azetidin-1-yl)quinazoline
Figure US09718803-20170801-C00341
2-(3-(3-(2-chlorophenyl)pyrazin-2- yl)azetidin-1-yl)quinazoline
Figure US09718803-20170801-C00342
2-(3-(3-(o-tolyl)pyrazin-2-yl)azetidin-1- yl)quinazoline
Figure US09718803-20170801-C00343
1-(4-(3-(1-(quinazolin-2-yl)azetidin-3- yl)pyrazin-2-yl)phenyl)ethanone
Figure US09718803-20170801-C00344
1-(3-(3-(1-(quinazolin-2-yl)azetidin-3- yl)pyrazin-2-yl)phenyl)ethanone
Figure US09718803-20170801-C00345
N-(3-(3-(1-(quinazolin-2-yl)azetidin-3- yl)pyrazin-2-yl)phenyl)acetamide
Figure US09718803-20170801-C00346
N-(4-(3-(1-(quinazolin-2-yl)azetidin-3- yl)pyrazin-2- yl)phenyl)methanesulfonamide
Figure US09718803-20170801-C00347
N-(3-(3-(1-(quinazolin-2-yl)azetidin-3- yl)pyrazin-2- yl)phenyl)methanesulfonamide
Figure US09718803-20170801-C00348
2-(3-(3-(1H-indo1-6-yl)pyrazin-2- yl)azetidin-1-yl)quinazoline
Figure US09718803-20170801-C00349
2-(3-(3-(1-methyl-1H-indo1-5-yl)pyrazin- 2-yl)azetidin-1-yl)quinazoline
Figure US09718803-20170801-C00350
2-(3-(3-(1-methyl-1H-indo1-6-yl)pyrazin- 2-yl)azetidin-1-yl)quinazoline
Figure US09718803-20170801-C00351
5-(3-(1-(quinazolin-2-yl)azetidin-3- yl)pyrazin-2-yl)indolin-2-one
Figure US09718803-20170801-C00352
1-methyl-5-(3-(1-(quinazolin-2- yl)azetidin-3-yl)pyrazin-2-yl)indolin-2-one
Figure US09718803-20170801-C00353
1-methyl-6-(3-(1-(quinazolin-2- yl)azetidin-3-yl)pyrazin-2-yl)-1H- benzo[d]imidazol-2(3H)-one
Figure US09718803-20170801-C00354
2-fluoro-4-(3-(1-(quinazolin-2-yl)azetidin- 3-yl)pyrazin-2-yl)aniline
Figure US09718803-20170801-C00355
2-(3-(3-(p-tolyl)pyrazin-2-yl)azetidin-1- yl)quinazoline
Figure US09718803-20170801-C00356
2-methyl-6-(3-(1-(quinazolin-2- yl)azetidin-3-yl)pyrazin-2-yl)isoquinolin- 1(2H)-one
Figure US09718803-20170801-C00357
2-(3-(3-(1H-indazol-5-yl)pyrazin-2- yl)azetidin-1-yl)quinazoline
Figure US09718803-20170801-C00358
5-(3-(1-(quinazolin-2-yl)azetidin-3- yl)pyrazin-2-yl)benzo[d]thiazole
Figure US09718803-20170801-C00359
(R & S)-(1H-Benzoimidazol-2-yl)-(3-{3- [4-(1-hydroxy-ethyl)-phenyl]-pyrazin-2- yl}-azetidin-1-yl)-methanone
Figure US09718803-20170801-C00360
(R & S)-(1H-Benzoimidazol-2-yl)-(3-{3- [3-(1-hydroxy-ethyl)-phenyl]-pyrazin-2- yl}-azetidin-1-yl)-methanone
Figure US09718803-20170801-C00361
(R & S)-(1H-Benzoimidazol-2-yl)-(3-{3- [4-(1-hydroxy-ethyl)-piperidin-1-yl]- pyrazin-2-yl}-azetidin-1-yl)-methanone
Figure US09718803-20170801-C00362
1-(4-{3-[1-(1H-Benzoimidazole-2- carbonyl)-azetidin-3-yl]-pyrazin-2-yl}- piperidin-1-yl)-ethanone
Figure US09718803-20170801-C00363
1-{3-[1-(1H-Benzoimidazole-2-carbonyl)- azetidin-3-yl]-pyrazin-2-yl}-piperidin-4- one
Figure US09718803-20170801-C00364
(1H-Benzoimidazol-2-yl)-{3-[3-(4,4- difluoro-piperidin-1-yl)-pyrazin-2-yl]- azetidin-1-yl}-methanone
Figure US09718803-20170801-C00365
(1H-Benzoimidazol-2-yl)-{3-[3-(4- hydroxy-4-methyl-piperidin-1-yl)-pyrazin- 2-yl]-azetidin-1-yl}-methanone
Figure US09718803-20170801-C00366
(1H-Benzoimidazol-2-yl)-[3-(5-phenyl- pyrimidin-4-yl)-azetidin-1-yl]-methanone
Figure US09718803-20170801-C00367
2-(3-(3-(prop-1-yn-1-yl)pyrazin-2- yl)azetidin-1-yl)quinoline
Figure US09718803-20170801-C00368
2-[3-(3-m-Tolyl-pyrazin-2-yl)-azetidin-1- yl]-quinoline
Figure US09718803-20170801-C00369
2-[3-(3-m-Tolyl-pyrazin-2-yl)-azetidin-1- yl]-quinazoline
Figure US09718803-20170801-C00370
2-[3-(3-m-Tolyl-pyrazin-2-yl)-azetidin-1- yl]-quinoxaline
Figure US09718803-20170801-C00371
2-[3-(3-m-Tolyl-pyrazin-2-yl)-azetidin-1- yl]-benzothiazole
Figure US09718803-20170801-C00372
2-{3-[3-(3-Methoxy-phenyl)-pyrazin-2-yl]- azetidin-1-yl}-quinoline
Figure US09718803-20170801-C00373
2-{3-[3-(3-Methoxy-phenyl)-pyrazin-2-yl]- azetidin-1-yl}-quinazoline
Figure US09718803-20170801-C00374
2-{3-[3-(3-Methoxy-phenyl)-pyridin-2-yl]- azetidin-1-yl}-quinoline
Figure US09718803-20170801-C00375
2-[3-(3-m-Tolyl-pyridin-2-yl)-azetidin-1- yl]-quinoline
Figure US09718803-20170801-C00376
(R & S)-2-{3-[3-(3-Methyl-pyrrolidin-1- yl)-pyridin-2-yl]-azetidin-1-yl}-quinoline
Figure US09718803-20170801-C00377
4-Methyl-2′-(1-quinolin-2-yl-azetidin-3- yl)-3,4,5,6-tetrahydro-2H-[1,3′]bipyridinyl
Figure US09718803-20170801-C00378
{1-[3-(1-Quinolin-2-yl-piperidin-4-yl)- pyrazin-2-yl]-piperidin-4-yl}-methanol
Figure US09718803-20170801-C00379
{1-[3-(1-Quinolin-2-yl-azetidin-3-yl)- pyrazin-2-yl]-piperidin-4-yl}-methanol
Figure US09718803-20170801-C00380
{1-[3-(1-Quinazolin-2-yl-azetidin-3-yl)- pyrazin-2-yl]-piperidin-4-yl}-methanol
Figure US09718803-20170801-C00381
4-[3-(1-Quinolin-2-yl-azetidin-3-yl)- pyrazin-2-yl]-phenylamine
Figure US09718803-20170801-C00382
{1-[3-(1-Benzothiazol-2-yl-azetidin-3-yl)- pyrazin-2-yl]-piperidin-4-yl}-methanol
Figure US09718803-20170801-C00383
{1-[3-(1-Benzooxazol-2-yl-azetidin-3-yl)- pyrazin-2-yl]-piperidin-4-yl}-methanol
Figure US09718803-20170801-C00384
(1-{3-[1-(5-Methyl-pyridin-2-yl)-azetidin- 3-yl]-pyrazin-2-yl}-piperidin-4-yl)- methanol
Figure US09718803-20170801-C00385
2-(4-benzylpiperidin-1-yl)-3-(1-(quinolin- 2-yl)azetidin-3-yl)quinoxaline
Figure US09718803-20170801-C00386
[5′-Fluoro-2′-(1-quinolin-2-yl-azetidin-3- yl)-3,4,5,6-tetrahydro-2H-[1,3′]bipyridinyl- 4-yl]-methanol
Figure US09718803-20170801-C00387
{1-[3-(1-Quinolin-2-yl-azetidin-3-yl)- pyridazin-4-yl]-piperidin-4-yl}-methanol
Figure US09718803-20170801-C00388
(R & S)-2-(3-(3-(3-methylpyrrolidin-1- yl)pyrazin-2-yl)azetidin-1-yl)quinoline
Figure US09718803-20170801-C00389
(S or R)-2-(3-(3-(3-methylpyrrolidin-1- yl)pyrazin-2-yl)azetidin-1-yl)quinoline
Figure US09718803-20170801-C00390
(R or S)-2-(3-(3-(3-methylpyrrolidin-1- yl)pyrazin-2-yl)azetidin-1-yl)quinoline
Figure US09718803-20170801-C00391
2-(1-Quinolin-2-yl-azetidin-3-yl)-3-m- tolyl-quinoxaline
Figure US09718803-20170801-C00392
4-[3-(1-Quinolin-2-yl-azetidin-3-yl)- quinoxalin-2-yl]-phenylamine
Figure US09718803-20170801-C00393
3-[3-(1-Quinolin-2-yl-azetidin-3-yl)- quinoxalin-2-yl]-phenol
Figure US09718803-20170801-C00394
2-(3-Methoxy-phenyl)-3-(1-quinolin-2-yl- azetidin-3-yl)-quinoxaline
Figure US09718803-20170801-C00395
2-[3-(1-Quinolin-2-yl-azetidin-3-yl)- pyrazin-2-yl]-phenol
Figure US09718803-20170801-C00396
3-[3-(1-Quinolin-2-yl-azetidin-3-yl)- pyrazin-2-yl]-phenol
Figure US09718803-20170801-C00397
4-[3-(1-Quinolin-2-yl-azetidin-3-yl)- pyrazin-2-yl]-phenol
Figure US09718803-20170801-C00398
2-[3-(1-Quinolin-2-yl-azetidin-3-yl)- pyrazin-2-yl]-phenylamine
Figure US09718803-20170801-C00399
3-[3-(1-Quinolin-2-yl-azetidin-3-yl)- pyrazin-2-yl]-phenylamine
Figure US09718803-20170801-C00400
4-[3-(1-Quinolin-2-yl-azetidin-3-yl)- pyrazin-2-yl]-phenylamine
Figure US09718803-20170801-C00401
2-{3-[3-(4-Fluoro-3-methoxy-phenyl)- pyrazin-2-yl]-azetidin-1-yl}-quinoline
Figure US09718803-20170801-C00402
2-Fluoro-4-[3-(1-quinolin-2-yl-azetidin-3- yl)-pyrazin-2-yl]-phenylamine
Figure US09718803-20170801-C00403
2-[3-(3-Piperidin-1-yl-pyrazin-2-yl)- azetidin-1-yl]-quinoline
Figure US09718803-20170801-C00404
2-{3-[3-(4-Methyl-piperidin-1-yl)-pyrazin- 2-yl]-azetidin-1-yl}-quinoline
Figure US09718803-20170801-C00405
1-[3-(1-Quinolin-2-yl-azetidin-3-yl)- pyrazin-2-yl]-piperidine-4-carboxylic acid amide
Figure US09718803-20170801-C00406
1-[3-(1-Quinolin-2-yl-azetidin-3-yl)- pyrazin-2-yl]-piperidine-4-carboxylic acid dimethylamide
Figure US09718803-20170801-C00407
1-[3-(1-Quinolin-2-yl-azetidin-3-yl)- pyrazin-2-yl]-piperidine-4-carboxylic acid methylamide
Figure US09718803-20170801-C00408
1-[3′-(1-Quinolin-2-yl-azetidin-3-yl)- 2,3,5,6-tetrahydro-[1,2′]bipyrazinyl-4-yl]- ethanone
Figure US09718803-20170801-C00409
1-[3-(1-Quinolin-2-yl-azetidin-3-yl)- pyrazin-2-yl]-piperidin-4-ol
Figure US09718803-20170801-C00410
2-Methoxy-1-{4-[3-(1-quinolin-2-yl- azetidin-3-yl)-pyrazin-2-yl]-piperidin-1- yl}-ethanone
Figure US09718803-20170801-C00411
1-{4-[3-(1-Quinolin-2-yl-azetidin-3-yl)- pyrazin-2-yl]-piperidin-1-yl}-ethanone
Figure US09718803-20170801-C00412
N-{4-[3-(1-Quinolin-2-yl-azetidin-3-yl)- pyrazin-2-yl]-phenyl}-acetamide
Figure US09718803-20170801-C00413
1-(4-(3-(1-(quinolin-2-yl)azetidin-3- yl)pyrazin-2-yl)-5,6-dihydropyridin-1(2H)- yl)ethanone
Figure US09718803-20170801-C00414
(R & S)-1-{1-[3-(1-Quinolin-2-yl-azetidin- 3-yl)-pyrazin-2-yl]-piperidin-4-yl}-ethanol
Figure US09718803-20170801-C00415
(R or S, absolute stereospecificity not determined)-1-{1-[3-(1-Quinolin-2-yl- azetidin-3-yl)-pyrazin-2-yl]-piperidin-4- yl}-ethanol
Figure US09718803-20170801-C00416
2-fluoro-5-(3-(1-(quinolin-2-yl)azetidin-3- yl)pyrazin-2-yl)phenol
Figure US09718803-20170801-C00417
(1-{3-[1-(6-Methyl-quinolin-2-yl)- azetidin-3-yl]-pyrazin-2-yl}-piperidin-4- yl)-methanol
Figure US09718803-20170801-C00418
(1-{3-[1-(7-Fluoro-quinolin-2-yl)-azetidin- 3-yl]-pyrazin-2-yl}-piperidin-4-yl)- methanol
Figure US09718803-20170801-C00419
(1-{3-[1-(6-Fluoro-quinolin-2-yl)-azetidin- 3-yl]-pyrazin-2-yl}-piperidin-4-yl)- methanol
Figure US09718803-20170801-C00420
{1-[3-(1-[1,8]Naphthyridin-2-yl-azetidin- 3-yl)-pyrazin-2-yl]-piperidin-4-yl}- methanol
Figure US09718803-20170801-C00421
(1-{3-[1-(6-Chloro-quinolin-2-yl)-azetidin- 3-yl]-pyrazin-2-yl}-piperidin-4-yl)- methanol
Figure US09718803-20170801-C00422
(1-{3-[1-(6-Chloro-quinoxalin-2-yl)- azetidin-3-yl]-pyrazin-2-yl}-piperidin-4- yl)-methanol
Figure US09718803-20170801-C00423
(1-{3-[1-(6-Methyl-pyridin-2-yl)-azetidin- 3-yl]-pyrazin-2-yl}-piperidin-4-yl)- methanol
Figure US09718803-20170801-C00424
(1-{3-[1-(5-Chloro-pyridin-2-yl)-azetidin- 3-yl]-pyrazin-2-yl}-piperidin-4-yl)- methanol
Figure US09718803-20170801-C00425
(1-(3-(1-(5-bromopyridin-2-yl)azetidin-3- yl)pyrazin-2-yl)piperidin-4-yl)methanol
Figure US09718803-20170801-C00426
(1-(3-(1-(8-methylquinolin-2-yl)azetidin-3- yl)pyrazin-2-yl)piperidin-4-yl)methanol
Figure US09718803-20170801-C00427
(1-{3-[1-(8-Fluoro-quinolin-2-yl)-azetidin- 3-yl]-pyrazin-2-yl}-piperidin-4-yl)- methanol
Figure US09718803-20170801-C00428
(1-(3-(1-(8-chloroquinolin-2-yl)azetidin-3- yl)pyrazin-2-yl)piperidin-4-yl)methanol
Figure US09718803-20170801-C00429
(1-{3-[1-(8-Chloro-quinazolin-2-yl)- azetidin-3-yl]-pyrazin-2-yl}-piperidin-4- yl)-methanol
Figure US09718803-20170801-C00430
(1-{3-[1-(7-Chloro-quinazolin-2-yl)- azetidin-3-yl]-pyrazin-2-yl}-piperidin-4- yl)-methanol
Figure US09718803-20170801-C00431
(1-{3-[1-(6-Chloro-quinazolin-2-yl)- azetidin-3-yl]-pyrazin-2-yl}-piperidin-4- yl)-methanol
Figure US09718803-20170801-C00432
(1-{3-[1-(5-Chloro-quinazolin-2-yl)- azetidin-3-yl]-pyrazin-2-yl}-piperidin-4- yl)-methanol
Figure US09718803-20170801-C00433
(1-{3-[1-(7-Chloro-quinoxalin-2-yl)- azetidin-3-yl]-pyrazin-2-yl}-piperidin-4- yl)-methanol
Figure US09718803-20170801-C00434
2-[3-(3-Piperidin-1-yl-pyrazin-2-yl)- azetidin-1-yl]-benzothiazole
Figure US09718803-20170801-C00435
2-(3-(3-(3-methoxyphenyl)pyrazin-2- yl)azetidin-1-yl)-8-methylquinoline
Figure US09718803-20170801-C00436
6-Chloro-2-{3-[3-(3-methoxy-phenyl)- pyrazin-2-yl]-azetidin-1-yl}-quinazoline
Figure US09718803-20170801-C00437
8-Chloro-2-{3-[3-(3-methoxy-phenyl)- pyrazin-2-yl]-azetidin-1-yl}-quinoline
Figure US09718803-20170801-C00438
7-Fluoro-2-{3-[3-(3-methoxy-phenyl)- pyrazin-2-yl]-azetidin-1-yl}-quinoline
Figure US09718803-20170801-C00439
2-{3-[3-(3-Methoxy-phenyl)-pyrazin-2- yl]-azetidin-1-yl}-6-methyl-quinoline
Figure US09718803-20170801-C00440
2-{3-[3-(3-Methoxy-phenyl)-pyrazin-2- yl]-azetidin-1-yl}-[1,8]naphthyridine
Figure US09718803-20170801-C00441
8-Chloro-2-{3-[3-(3-methoxy-phenyl)- pyrazin-2-yl]-azetidin-1-yl}-quinazoline
Figure US09718803-20170801-C00442
5-Chloro-2-{3-[3-(3-methoxy-phenyl)- pyrazin-2-yl]-azetidin-1-yl}-quinazoline
Figure US09718803-20170801-C00443
2-(3-(3-(3-methoxyphenyl)pyrazin-2- yl)azetidin-1-yl)-4-phenylpyrimidine
Figure US09718803-20170801-C00444
2-(3-(3-(3-methoxyphenyl)pyrazin-2- yl)azetidin-1-yl)benzo[d]thiazole
Figure US09718803-20170801-C00445
6-methoxy-2-(3-(3-(3- methoxyphenyl)pyrazin-2-yl)azetidin-1- yl)benzo[d]thiazole
Figure US09718803-20170801-C00446
2-(3-(3-(3-methoxyphenyl)pyrazin-2- yl)azetidin-1-yl)-1,6-naphthyridine
Figure US09718803-20170801-C00447
6-chloro-2-(3-(3-(3- methoxyphenyl)pyrazin-2-yl)azetidin-1- yl)quinoline
Figure US09718803-20170801-C00448
6-fluoro-2-(3-(3-(3- methoxyphenyl)pyrazin-2-yl)azetidin-1- yl)benzo[d]thiazole
Figure US09718803-20170801-C00449
2-(3-(3-(3-methoxyphenyl)pyrazin-2- yl)azetidin-1-yl)quinoline-3-carbonitrile
Figure US09718803-20170801-C00450
1-[3-(3-Phenyl-pyrazin-2-yl)-azetidin-1- yl]-phthalazine
Figure US09718803-20170801-C00451
6-chloro-2-(3-(3-phenylpyrazin-2- yl)azetidin-1-yl)-1H-benzo[d]imidazole
Figure US09718803-20170801-C00452
2-(3-(3-phenylpyrazin-2-yl)azetidin-1-yl)- 1H-benzo[d]imidazole
Figure US09718803-20170801-C00453
2-((3-(3-phenylpyrazin-2-yl)azetidin-1- yl)methyl)-1H-benzo[d]imidazole
Figure US09718803-20170801-C00454
3-(3-(1-(quinolin-2-yl)azetidin-3- yl)pyrazin-2-yl)benzamide
Figure US09718803-20170801-C00455
4-(3-(1-(quinolin-2-yl)azetidin-3- yl)pyrazin-2-yl)benzamide
Figure US09718803-20170801-C00456
2-fluoro-5-(3-(1-(quinolin-2-yl)azetidin-3- yl)pyrazin-2-yl)benzamide
Figure US09718803-20170801-C00457
2-fluoro-4-(3-(1-(quinolin-2-yl)azetidin-3- yl)pyrazin-2-yl)benzamide
Figure US09718803-20170801-C00458
2-(3-(3-(1-(quinolin-2-yl)azetidin-3- yl)pyrazin-2-yl)phenyl)propan-2-ol
Figure US09718803-20170801-C00459
2-(4-(3-(1-(quinolin-2-yl)azetidin-3- yl)pyrazin-2-yl)phenyl)propan-2-ol
Figure US09718803-20170801-C00460
2-(3-(3-(1,2,3,6-tetrahydropyridin-4- yl)pyrazin-2-yl)azetidin-1-yl)quinoline
Figure US09718803-20170801-C00461
lithium 3-(3-(1-(quinolin-2-yl)azetidin-3- yl)pyrazin-2-yl)benzoate
Figure US09718803-20170801-C00462
(S or R)-2-(3-(3-(3-(pyridin-3- yl)pyrrolidin-1-yl)pyrazin-2-yl)azetidin-1- yl)quinoline
Figure US09718803-20170801-C00463
(R or S)-2-(3-(3-(3-(pyridin-3- yl)pyrrolidin-1-yl)pyrazin-2-yl)azetidin-1- yl)quinoline
Figure US09718803-20170801-C00464
(1H-Benzoimidazol-2-yl)-{3-[3-(2- methoxy-phenoxy)-pyrazin-2-yl]-azetidin- 1-yl}-methanone
Figure US09718803-20170801-C00465
(1H-Benzoimidazol-2-yl)-{3-[3-(3- methoxy-phenoxy)-pyrazin-2-yl]-azetidin- 1-yl}-methanone
Figure US09718803-20170801-C00466
(1H-benzoimidazol-2-yl)-{3-[3-(4- methoxy-phenoxy)-pyrazin-2-yl]-azetidin- 1-yl}-methanone
Figure US09718803-20170801-C00467
(1H-Benzoimidazol-2-yl)-[3-(3-phenoxy- pyrazin-2-yl)-azetidin-1-yl]-methanone
Figure US09718803-20170801-C00468
(1H-benzoimidazol-2-yl)-{3-[3- (tetrahydro-pyran-4-yl)-pyrazin-2-yl]- azetidin-1-yl}-methanone
Figure US09718803-20170801-C00469
(7-Chloro-1H-benzoimidazol-2-yl)-[3-(3- phenyl-pyrazin-2-yl)-azetidin-1-yl]- methanone
Figure US09718803-20170801-C00470
(6-Chloro-1H-benzoimidazol-2-yl)-[3-(3- phenyl-pyrazin-2-yl)-azetidin-1-yl]- methanone
Figure US09718803-20170801-C00471
(7-Fluoro-1H-benzoimidazol-2-yl)-[3-(3- phenyl-pyrazin-2-yl)-azetidin-1-yl]- methanone
Figure US09718803-20170801-C00472
(6-Fluoro-1H-benzoimidazol-2-yl)-[3-(3- phenyl-pyrazin-2-yl)-azetidin-1-yl]- methanone
Figure US09718803-20170801-C00473
(6-methyl-1H-benzoimidazol-2-yl)-[3-(3- phenyl-pyrazin-2-yl)-azetidin-1-yl]- methanone
Figure US09718803-20170801-C00474
(6-methyl-1H-benzoimidazol-2-yl)-[3-(3- phenyl-pyrazin-2-yl)-azetidin-1-yl]- methanone
Figure US09718803-20170801-C00475
(1H-benzoimidazol-2-yl)-{3-[3-(2- methoxy-phenyl)-pyrazin-2-yl]-azetidin-1- yl}-methanone
Figure US09718803-20170801-C00476
(1H-benzoimidazol-2-yl)-{3-[3-(3- methoxy-phenyl)-pyrazin-2-yl]-azetidin-1- yl}-methanone
Figure US09718803-20170801-C00477
(1H-Benzoimidazol-2-yl)-{3-[3-(4- methoxy-phenyl)-pyrazin-2-yl]-azetidin-1- yl}-methanone
Figure US09718803-20170801-C00478
(1H-benzoimidazol-2-yl)-[3-(2-phenyl- pyridin-3-yl)-azetidin-1-yl]-methanone
Figure US09718803-20170801-C00479
2-(3-(3-(1H-indo1-5-yl)pyrazin-2- yl)azetidin-1-yl)quinazoline
Another aspect of the invention relates to the compounds of Examples 36.1 to 36.190 as listed in Table 36 below, or a pharmaceutically acceptable salt thereof.
Yet another aspect of the current invention relates to any compound of the present invention, or a pharmaceutically-acceptable salt thereof, radiolabeled with a positron emitting radionuclide selected from 11C, 18F, 15O, 13N, 76Br, 77Br, 123I, or 125I.
Yet another aspect of the current invention relates to a radiopharmaceutical composition comprising any compound of the present invention, or a pharmaceutically-acceptable salt thereof, radiolabeled with a positron emitting radionuclide selected from 11C, 18F, 15O, 13N, 76Br, 77Br, 123I, or 125I, and at least one pharmaceutically acceptable carrier or excipient.
Yet another aspect of the current invention relates to a method for the diagnostic imaging of PDE10 receptors in a mammal, including human, or tissues bearing PDE10 receptors in a mammal, including human brain, which comprises administering to a mammal in need of such diagnostic imaging an effective amount of any compound of the present invention, or a pharmaceutically-acceptable salt thereof, radiolabeled with a positron emitting radionuclide selected from 11C, 18F, 15O, 13N, 76Br, 77Br, 123I, or 125I.
Yet another aspect of the current invention relates to a method for the diagnostic imaging of PDE10 receptors in a mammal, including human, or tissues bearing PDE10 receptors in a mammal, including human brain, which comprises administering to a mammal in need of such diagnostic imaging an effective amount of any compound of the present invention, or a pharmaceutically-acceptable salt thereof, radiolabeled with a positron emitting radionuclide selected from 11C, 18F, 15O, 13N, 76Br, 77Br, 123I, or 125I.
Yet another aspect of the current invention relates to a method for the detection or quantification of PDE10 receptors in mammalian tissue, including human tissue, which comprises contacting such mammalian tissue in which such detection or quantification is desired with an effective amount of any compound of the present invention, or a pharmaceutically-acceptable salt thereof, radiolabeled with a positron emitting radionuclide selected from 11C, 18F, 15O, 13N, 76Br, 77Br, 123I, or 125I.
The compounds of this invention may have in general several asymmetric centers and are typically depicted in the form of racemic mixtures. This invention is intended to encompass racemic mixtures, other racemic mixtures and separate enantiomers and diasteromers.
The present invention includes all pharmaceutically acceptable isotopically-labelled compounds of the present invention wherein one or more atoms are replaced by atoms having the same atomic number, but an atomic mass or mass number different from the atomic mass or mass number which predominates in nature.
Examples of isotopes suitable for inclusion in the compounds of the invention include, but are not limited to, isotopes of hydrogen, such as 2H and 3H, carbon, such as 11C, 13C and 14C, chlorine, such as 38Cl, fluorine, such as 18F, iodine, such as 123I and 125I, nitrogen, such as 13N and 15N, oxygen, such as 15O, 17O and 18O, phosphorus, such as 32P, and sulphur, such as 35S.
Certain isotopically-labelled compounds of the present invention, for example, those incorporating a radioactive isotope, are useful in drug and/or substrate tissue distribution studies. The radioactive isotopes tritium, i.e. 3H, and carbon-14, i.e. 14C, are particularly useful for this purpose in view of their ease of incorporation and ready means of detection.
Substitution with heavier isotopes such as deuterium, i.e. 2H, may afford certain therapeutic advantages resulting from greater metabolic stability, for example, increased in vivo half-life or reduced dosage requirements, and hence may be preferred in some circumstances.
Substitution with positron emitting isotopes, such as 11C, 18F, 15O and 13N, can be useful in Positron Emission Topography (PET) studies for examining substrate receptor occupancy.
Isotopically-labeled compounds of the present invention can generally be prepared by conventional techniques known to those skilled in the art or by processes analogous to those described in the accompanying Examples and Preparations using an appropriate isotopically-labeled reagent in place of the non-labeled reagent previously employed.
Pharmaceutically acceptable solvates in accordance with the invention include those wherein the solvent of crystallization may be isotopically substituted, e.g. D2O, d6-acetone, d6-DMSO.
Specific embodiments of the present invention include the compounds exemplified in the Examples below and their pharmaceutically acceptable salts, complexes, solvates, polymorphs, stereoisomers, metabolites, prodrugs, and other derivatives thereof, Unless otherwise specified, the following definitions apply to terms found in the specification and claims:
The term “Cα-βalk” means an alkyl group comprising a minimum of a and a maximum of β carbon atoms in a branched, cyclical or linear relationship or any combination of the three, wherein α and β represent integers. The alkyl groups described in this section may also contain one or two double or triple bonds. A designation of C0alk indicates a direct bond. Examples of C1-6alkyl include, but are not limited to the following:
Figure US09718803-20170801-C00480
The term “benzo group”, alone or in combination, means the divalent radical C4H4═, one representation of which is —CH═CH—CH═CH—, that when vicinally attached to another ring forms a benzene-like ring—for example tetrahydronaphthylene, indole and the like.
The terms “oxo” and “thioxo” represent the groups ═O (as in carbonyl) and ═S (as in thiocarbonyl), respectively.
The term “halo” or “halogen” means a halogen atoms selected from F, Cl, Br or I.
The term “Cα-βhaloalk” means an alk group, as described above, wherein one or more hydrogen atom of the alk group is replaced by F, Cl, Br or I.
The term “carbon-linked” means a substituent is linked to another group through a carbon atom. Examples of “carbon-linked” substituents include, but are not limited to the following:
Figure US09718803-20170801-C00481
The term “nitrogen-linked” means a substituent is linked to another group through a nitrogen atom. Examples of “nitrogen-linked” substituents include, but are not limited to the following:
Figure US09718803-20170801-C00482
The group N(Ra)Ra and the like include substituents where the two Ra groups together form a ring, optionally including a N, O or S atom, and include groups such as:
Figure US09718803-20170801-C00483
The group N(Cα-βalk) Cα-βalk, wherein α and β are as defined above, include substituents where the two Cα-βalk groups together form a ring, optionally including a N, O or S atom, and include groups such as:
Figure US09718803-20170801-C00484
The term “carbocyclyl” means a ring comprising by itself or in combination with other terms, represents, unless otherwise stated, cyclic version of “Cα-βalk”. Thus, the term “carbocyclyl” is meant to be included in the terms “Cα-βalk”. Examples of carbocycle include cyclopentyl, cyclohexyl, or partially unsaturated ring such as 1-cyclohexenyl, 3-cyclohexenyl, cycloheptyl, cyclobutylene, cyclohexylene and the like. Unless otherwise stated, carbocycle can include fully saturated ring such as phenyl or naphthyl.
The term “heteroatom” means N, O and S.
The term “heterocyclyl” means a ring comprising at least one carbon atom and at least one other atom selected from N, O and S. “Heterocyclyl” includes aromatic heterocyclic ring which is commonly known as heteroaryl. Thus, the term “heteroaryl” is meant to be included in the terms “heterocyclyl”. Examples of heterocycles that may be found in the claims include, but are not limited to, the following:
Figure US09718803-20170801-C00485
The term “pharmaceutically acceptable salt” means a salt prepared by conventional means, and are well known by those skilled in the art. The “pharmacologically acceptable salts” include basic salts of inorganic and organic acids, including but not limited to hydrochloric acid, hydrobromic acid, sulfuric acid, phosphoric acid, methanesulfonic acid, ethanesulfonic acid, malic acid, acetic acid, oxalic acid, tartaric acid, citric acid, lactic acid, fumaric acid, succinic acid, maleic acid, salicylic acid, benzoic acid, phenylacetic acid, mandelic acid and the like. When compounds of the invention include an acidic function such as a carboxy group, then suitable pharmaceutically acceptable cation pairs for the carboxy group are well known to those skilled in the art and include alkaline, alkaline earth, ammonium, quaternary ammonium cations and the like. For additional examples of “pharmacologically acceptable salts,” and Berge et al., J. Pharm. Sci. 66:1 (1977).
The term “saturated, partially-saturated or unsaturated” includes substituents saturated with hydrogens, substituents completely unsaturated with hydrogens and substituents partially saturated with hydrogens.
Representative examples of “saturated, partially-saturated or unsaturated” five to eight membered rings, optionally having one to three heteroatoms, are cyclopentyl, cyclohexyl, cycloheptyl, cyclooctyl and phenyl. Further exemplary five membered rings are furyl, thienyl, pyrrolyl, 2-pyrrolinyl, 3-pyrrolinyl, pyrrolidinyl, 1,3-dioxolanyl, oxazolyl, thiazolyl, imidazolyl, 2H-imidazolyl, 2-imidazolinyl, imidazolidinyl, pyrazolyl, 2-pyrazolinyl, pyrazolidinyl, isoxazolyl, isothiazolyl, 1,2-dithiolyl, 1,3-dithiolyl, 3H-1,2-oxathiolyl, 1,2,3-oxadizaolyl, 1,2,4-oxadiazolyl, 1,2,5-oxadiazolyl, 1,3,4oxadiazolyl, 1,2,3-triazolyl, 1,2,4-trizaolyl, 1,3,4-thiadiazolyl, 3H-1,2,3-dioxazolyl, 1,2,4-dioxazolyl, 1,3,2-dioxazolyl, 1,3,4-dioxazolyl, 5H-1,2,5-oxathiazolyl, and 1,3-oxathiolyl.
Further exemplary six membered rings are 2H-pyranyl, 4H-pyranyl, pyridinyl, piperidinyl, 1,2-dioxinyl, 1,3-dioxinyl, 1,4-dioxanyl, morpholinyl, 1,4-dithianyl, thiomorpholinyl, pyndazinyl, pyrimidinyl, pyrazinyl, piperazinyl, 1,3,5-triazinyl, 1,2,4-triazinyl, 1,2,3-triazinyl, 1,3,5-trithianyl, 4H-1,2-oxazinyl, 2H-1,3-oxazinyl, 6H-1,3-oxazinyl, 6H-1,2-oxazinyl, 1,4-oxazinyl, 2H-1,2-oxazinyl, 4H-1,4-oxazinyl, 1,2,5-oxathiazinyl, 1,4-oxazinyl, o-isoxazinyl, p-isoxazinyl, 1,2,5-oxathiazinyl, 1,2,6-(3 oxathiazinyl, and 1,4,2-oxadiazinyl.
Further exemplary seven membered rings are azepinyl, oxepinyl, thiepinyl and 1,2,4-triazepinyl.
Further exemplary eight membered rings are cyclooctyl, cyclooctenyl and cyclooctadienyl.
The term “monocyclic” means a group having a single saturated, partially-saturated, or unsaturated ring system. Typically a monocyclic ring system can have from 3- to 8 atoms in the ring system. The term includes, but is not limited to, cyclopropyl, cyclopropyl, cyclobutyl, cyclopentyl, cyclohexyl, cycloheptyl, phenyl, and the like.
The term “bicyclic” means a group having two interconnected saturated, partially-saturated, or unsaturated rings that include stable bridged, fused, or spiro rings. The bicyclic ring may be attached at any carbon or heteroatom which affords a stable group. Typically a bicyclic ring system can have from 6- to 14 atoms in the ring system. The term includes, but is not limited to, benzimidazole, naphthyl, bicyclo[3.1.0]hexane, bicyclo[4.1.0]heptane, spiro[2.4]heptane, spiro[2.5]octane, bicyclo[4.4.0]decane, bicyclo[4.3.0]nonane, bicyclo[3.3.1]nonane, bicyclo[3.2.1]octane, spiro[4.5]decane, spiro[3.5]nonane, norbornane, bicyclo[2.1.0]pentane, bicyclo[3.3.0]octane, bicyclo[2.2.2]octane, bicyclo[3.3.3]undecane, and the like.
The term “tricyclic” means a group having three interconnected saturated, partially-saturated, or unsaturated rings that include stable bridged, fused, or spiro rings. Typically a tricyclic ring system can have from 11 to 18 ring atoms in the ring system. The term includes, but is not limited to, adamantyl, tricyclo[5.2.1.0.sup.2,6]decane, and the like.
Exemplary bicyclic rings consisting of two fused partially saturated, fully saturated or fully unsaturated five and/or six membered rings, optionally having one to four heteroatoms, are indolizinyl, indolyl, isoindolyl, indolinyl, cyclopenta(b)pyridinyl, pyrano(3,4-b)pyrrolyl, benzofuryl, isobenzofuryl, benzo(b)thienyl, benzo(c)thienyl, 1H-indazolyl, indoxazinyl, benzoxazolyl, anthranilyl, benzimidazolyl, benzthiazolyl, purinyl, quinolinyl, isoquinolinyl, cinnolinyl, phthalazinyl, quinazolinyl, quinoxalinyl, 1,8-naphthyridinyl, pteridinyl, indenyl, isoindenyl, naphthyl, tetralinyl, decalinyl, 2H-1-benzopyranyl, pyrido(3,4-b)pyridinyl, pyrido(3,2-b)pyridinyl, pyrido(4,3-b)-pyridinyl, 2H-1,3-benzoxazinyl, 2H-1,4-benzoxazinyl, 1H-2,3-benzoxazinyl, 4H-3,1-benzoxazinyl, 2H-1,2-benzoxazinyl and 4H-1,4-benzoxazinyl.
A cyclic ring group may be bonded to another group in more than one way. If no particular bonding arrangement is specified, then all possible arrangements are intended. For example, the term “pyridyl” includes 2-, 3-, or 4-pyridyl, and the term “thienyl” includes 2-, or 3-thienyl.
The term “substituted” means that a hydrogen atom on a molecule or group is replaced with a group or atom. Typical substitutents include: halogen, C1-8alkyl, hydroxyl, C1-8alkoxy, —NRxRx, nitro, cyano, halo or perhaloC1-8alkyl, C2-8alkenyl, C2-8alkynyl, —SRx, —S(═O)2Rx, —C(═O)ORx, —C(═O)Rx, wherein each Rx is independently hydrogen or C1-C8 alkyl. It is noted that when the substituent is —NRxRx, the Rx groups may be joined together with the nitrogen atom to form a ring.
A group or atom that replaces a hydrogen atom is also called a substituent.
Any particular molecule or group can have one or more substituent depending on the number of hydrogen atoms that can be replaced.
The symbol “-” represents a covalent bond and can also be used in a radical group to indicate the point of attachment to another group. In chemical structures, the symbol is commonly used to represent a methyl group in a molecule.
The term “leaving group” generally refers to groups readily displaceable by a nucleophile, such as an amine, a thiol or an alcohol nucleophile. Such leaving groups are well known in the art. Examples of such leaving groups include, but are not limited to, N-hydroxysuccinimide, N-hydroxybenzotriazole, halides, triflates, tosylates and the like. Preferred leaving groups are indicated herein where appropriate.
The term “protecting group” generally refers to groups well known in the art which are used to prevent selected reactive groups, such as carboxy, amino, hydroxy, mercapto and the like, from undergoing undesired reactions, such as nucleophilic, electrophilic, oxidation, reduction and the like. Preferred protecting groups are indicated herein where appropriate. Examples of amino protecting groups include, but are not limited to, aralkyl, substituted aralkyl, cycloalkenylalkyl and substituted cycloalkenyl alkyl, allyl, substituted allyl, acyl, alkoxycarbonyl, aralkoxycarbonyl, silyl and the like. Examples of aralkyl include, but are not limited to, benzyl, ortho-methylbenzyl, trityl and benzhydryl, which can be optionally substituted with halogen, alkyl, alkoxy, hydroxy, nitro, acylamino, acyl and the like, and salts, such as phosphonium and ammonium salts. Examples of aryl groups include phenyl, naphthyl, indanyl, anthracenyl, 9-(9-phenylfluorenyl), phenanthrenyl, durenyl and the like. Examples of cycloalkenylalkyl or substituted cycloalkylenylalkyl radicals, preferably have 6-10 carbon atoms, include, but are not limited to, cyclohexenyl methyl and the like. Suitable acyl, alkoxycarbonyl and aralkoxycarbonyl groups include benzyloxycarbonyl, t-butoxycarbonyl, iso-butoxycarbonyl, benzoyl, substituted benzoyl, butyryl, acetyl, trifluoroacetyl, trichloro acetyl, phthaloyl and the like. A mixture of protecting groups can be used to protect the same amino group, such as a primary amino group can be protected by both an aralkyl group and an aralkoxycarbonyl group. Amino protecting groups can also form a heterocyclic ring with the nitrogen to which they are attached, for example, 1,2-bis(methylene)benzene, phthalimidyl, succinimidyl, maleimidyl and the like and where these heterocyclic groups can further include adjoining aryl and cycloalkyl rings. In addition, the heterocyclic groups can be mono-, di- or tri-substituted, such as nitrophthalimidyl. Amino groups may also be protected against undesired reactions, such as oxidation, through the formation of an addition salt, such as hydrochloride, toluenesulfonic acid, trifluoroacetic acid and the like. Many of the amino protecting groups are also suitable for protecting carboxy, hydroxy and mercapto groups. For example, aralkyl groups. Alkyl groups are also suitable groups for protecting hydroxy and mercapto groups, such as tert-butyl.
The term “silyl protecting groups” means silicon atoms optionally substituted by one or more alkyl, aryl and aralkyl groups. Suitable silyl protecting groups include, but are not limited to, trimethylsilyl, triethylsilyl, triisopropylsilyl, tert-butyldimethylsilyl, dimethylphenylsilyl, 1,2-bis(dimethylsilyl)benzene, 1,2-bis(dimethylsilyl)ethane and diphenylmethylsilyl. Silylation of an amino groups provide mono- or di-silylamino groups. Silylation of aminoalcohol compounds can lead to a N,N,O-trisilyl derivative. Removal of the silyl function from a silyl ether function is readily accomplished by treatment with, for example, a metal hydroxide or ammonium fluoride reagent, either as a discrete reaction step or in situ during a reaction with the alcohol group. Suitable silylating agents are, for example, trimethylsilyl chloride, tert-butyl-dimethylsilyl chloride, phenyldimethylsilyl chloride, diphenylmethyl silyl chloride or their combination products with imidazole or DMF. Methods for silylation of amines and removal of silyl protecting groups are well known to those skilled in the art. Methods of preparation of these amine derivatives from corresponding amino acids, amino acid amides or amino acid esters are also well known to those skilled in the art of organic chemistry including amino acid/amino acid ester or aminoalcohol chemistry.
Protecting groups are removed under conditions which will not affect the remaining portion of the molecule. These methods are well known in the art and include acid hydrolysis, hydrogenolysis and the like. A preferred method involves removal of a protecting group, such as removal of a benzyloxycarbonyl group by hydrogenolysis utilizing palladium on carbon in a suitable solvent system such as an alcohol, acetic acid, and the like or mixtures thereof. A t-butoxycarbonyl protecting group can be removed utilizing an inorganic or organic acid, such as HCl or trifluoroacetic acid, in a suitable solvent system, such as dioxane or methylene chloride. The resulting amino salt can readily be neutralized to yield the free amine. Carboxy protecting group, such as methyl, ethyl, benzyl, tert-butyl, 4-methoxyphenylmethyl and the like, can be removed under hydrolysis and hydrogenolysis conditions well known to those skilled in the art.
It should be noted that compounds of the invention may contain groups that may exist in tautomeric forms, such as cyclic and acyclic amidine and guanidine groups, heteroatom substituted aromatic heterocyclyl groups (Y′═O, S, NR), and the like, which are illustrated in the following examples:
Figure US09718803-20170801-C00486

and though one form is named, described, displayed and/or claimed herein, all the tautomeric forms are intended to be inherently included in such name, description, display and/or claim.
Prodrugs of the compounds of this invention are also contemplated by this invention. A prodrug is an active or inactive compound that is modified chemically through in vivo physiological action, such as hydrolysis, metabolism and the like, into a compound of this invention following administration of the prodrug to a patient. The suitability and techniques involved in making and using prodrugs are well known by those skilled in the art. For a general discussion of prodrugs involving esters see Svensson and Tunek Drug Metabolism Reviews 165 (1988) and Bundgaard Design of Prodrugs, Elsevier (1985). Examples of a masked carboxylate anion include a variety of esters, such as alkyl (for example, methyl, ethyl), cycloalkyl (for example, cyclohexyl), aralkyl (for example, benzyl, p-methoxybenzyl), and alkylcarbonyloxyalkyl (for example, pivaloyloxymethyl). Amines have been masked as arylcarbonyloxymethyl substituted derivatives which are cleaved by esterases in vivo releasing the free drug and formaldehyde (Bungaard J. Med. Chem. 2503 (1989)). Also, drugs containing an acidic NH group, such as imidazole, imide, indole and the like, have been masked with N-acyloxymethyl groups (Bundgaard Design of Prodrugs, Elsevier (1985)). Hydroxy groups have been masked as esters and ethers. EP 039,051 (Sloan and Little, Apr. 11, 1981) discloses Mannich-base hydroxamic acid prodrugs, their preparation and use.
The term “therapeutically effective amount” means an amount of a compound that ameliorates, attenuates or eliminates one or more symptom of a particular disease or condition, or prevents or delays the onset of one of more symptom of a particular disease or condition.
The term “patient” means animals, such as dogs, cats, cows, horses, sheep and humans. Particular patients are mammals. The term patient includes males and females.
The term “pharmaceutically acceptable” means that the referenced substance, such as a compound of Formula I, or a salt of a compound of Formula I, or a formulation containing a compound of Formula I, or a particular excipent, are suitable for administration to a patient.
The terms “treating”, “treat” or “treatment” and the like include preventative (e.g., prophylactic) and palliative treatment.
The term “excipient” means any pharmaceutically acceptable additive, carrier, diluent, adjuvant, or other ingredient, other than the active pharmaceutical ingredient (API), which is typically included for formulation and/or administration to a patient.
Utility and Methods of Use
Provided herein are methods for treating a disorder or disease by inhibiting PDE10 enzyme. The methods, in general, comprises the step of administering a therapeutically effective amount of a compounds of the present invention, or an individual stereoisomer, a mixture of stereoisomers, or a pharmaceutically acceptable salt or solvate thereof, to a patient in need thereof to treat the disorder or disease.
In certain embodiments, this invention provides a use of a compound as described herein in the manufacture of a medicament for treating a disorder or disease treatable by inhibition of PDE10.
The compounds of the present invention inhibit PDE10 enzyme activity, and hence raise the levels of cAMP or cGMP within cells that express PDE10. Accordingly, inhibition of PDE10 enzyme activity would be useful in the treatment of diseases caused by deficient amounts of cAMP or cGMP in cells. PDE10 inhibitors would also be of benefit in cases wherein raising the amount of cAMP or cGMP above normal levels results in a therapeutic effect. Inhibitors of PDE10 may be used to treat disorders of the peripheral and central nervous system, cardiovascular diseases, cancer, gastro-enterological diseases, endocrinological diseases and urological diseases.
Indications that may be treated with PDE10 inhibitors, either alone or in combination with other drugs, include, but are not limited to, those diseases thought to be mediated in part by the basal ganglia, prefrontal cortex, and hippocampus. These indications include psychoses, Parkinson's disease, dementias, obsessive compulsive disorder, tardive dyskinesia, choreas, depression, mood disorders, impulsivity, drug addiction, attention deficit/hyperactivity disorder (ADHD), depression with parkinsonian states, personality changes with caudate or putamen disease, dementia and mania with caudate and pallidal diseases, and compulsions with pallidal disease.
Psychoses are disorders that affect an individual's perception of reality. Psychoses are characterized by delusions and hallucinations. The compounds of the present invention are suitable for use in treating patients suffering from all forms of psychoses, including, but not limited to, schizophrenia, late-onset schizophrenia, schizoaffective disorders, prodromal schizophrenia, and bipolar disorders. Treatment can be for the positive symptoms of schizophrenia as well as for the cognitive deficits and negative symptoms. Other indications for PDE10 inhibitors include psychoses resulting from drug abuse (including amphetamines and PCP), encephalitis, alcoholism, epilepsy, Lupus, sarcoidosis, brain tumors, multiple sclerosis, dementia with Lewy bodies, or hypoglycemia. Other psychiatric disorders, like posttraumatic stress disorder (PTSD), and schizoid personality can also be treated with PDE10 inhibitors.
Obsessive-compulsive disorder (OCD) has been linked to deficits in the frontal-striatal neuronal pathways (Saxena et al., Br. J. Psychiatry Suppl, 35:26-37, 1998). Neurons in these pathways project to striatal neurons that express PDE10. PDE10 inhibitors cause cAMP to be elevated in these neurons; elevations in cAMP result in an increase in CREB phosphorylation and thereby improve the functional state of these neurons. The compounds of the present invention are therefore suitable for use in the indication of OCD. OCD may result, in some cases, from streptococcal infections that cause autoimmune reactions in the basal ganglia (Giedd et al., Am J Psychiatry. 157:281-283, 2000). Because PDE10 inhibitors may serve a neuroprotective role, administration of PDE10 inhibitors may prevent the damage to the basal ganglia after repeated streptococcal infections and thereby prevent the development of OCD.
In the brain, the level of cAMP or cGMP within neurons is believed to be related to the quality of memory, especially long term memory. Without wishing to be bound to any particular mechanism, it is proposed that, since PDE10 degrades cAMP or cGMP, the level of this enzyme affects memory in animals, for example, in humans. A compound that inhibits cAMP phosphodiesterase (PDE) can thereby increase intracellular levels of cAMP, which in turn activate a protein kinase that phosphorylates a transcription factor (cAMP response binding protein). The phosphorylated transcription factor then binds to a DNA promoter sequence to activate genes that are important in long term memory. The more active such genes are, the better is long-term memory. Thus, by inhibiting a phosphodiesterase, long term memory can be enhanced.
Dementias are diseases that include memory loss and additional intellectual impairment separate from memory. The compounds of the present invention are suitable for use in treating patients suffering from memory impairment in all forms of dementia. Dementias are classified according to their cause and include: neurodegenerative dementias (e.g., Alzheimer's, Parkinson's disease, Huntington's disease, Pick's disease), vascular (e.g., infarcts, hemorrhage, cardiac disorders), mixed vascular and Alzheimer's, bacterial meningitis, Creutzfeld-Jacob Disease, multiple sclerosis, traumatic (e.g., subdural hematoma or traumatic brain injury), infectious (e.g., HIV), genetic (down syndrome), toxic (e.g., heavy metals, alcohol, some medications), metabolic (e.g., vitamin B12 or folate deficiency), CNS hypoxia, Cushing's disease, psychiatric (e.g., depression and schizophrenia), and hydrocephalus.
The condition of memory impairment is manifested by impairment of the ability to learn new information and/or the inability to recall previously learned information. The present invention includes methods for dealing with memory loss separate from dementia, including mild cognitive impairment (MCI) and age-related cognitive decline. The present invention includes methods of treatment for memory impairment as a result of disease. Memory impairment is a primary symptom of dementia and can also be a symptom associated with such diseases as Alzheimer's disease, schizophrenia, Parkinson's disease, Huntington's disease, Pick's disease, Creutzfeld-Jakob disease, HIV, cardiovascular disease, and head trauma as well as age-related cognitive decline. The compounds of the present invention are suitable for use in the treatment of memory impairment due to, for example, Alzheimer's disease, multiple sclerosis, amylolaterosclerosis (ALS), multiple systems atrophy (MSA), schizophrenia, Parkinson's disease, Huntington's disease, Pick's disease, Creutzfeld-Jakob disease, depression, aging, head trauma, stroke, spinal cord injury, CNS hypoxia, cerebral senility, diabetes associated cognitive impairment, memory deficits from early exposure of anesthetic agents, multiinfarct dementia and other neurological conditions including acute neuronal diseases, as well as HIV and cardiovascular diseases.
The compounds of the present invention are also suitable for use in the treatment of a class of disorders known as polyglutamine-repeat diseases. These diseases share a common pathogenic mutation. The expansion of a CAG repeat, which encodes the amino acid glutamine, within the genome leads to production of a mutant protein having an expanded polyglutamine region. For example, Huntington's disease has been linked to a mutation of the protein huntingtin. In individuals who do not have Huntington's disease, huntingtin has a polyglutamine region containing about 8 to 31 glutamine residues. For individuals who have Huntington's disease, huntingtin has a polyglutamine region with over 37 glutamine residues. Aside from Huntington's disease (HD), other known polyglutamine-repeat diseases and the associated proteins include dentatorubral-pallidoluysian atrophy, DRPLA (atrophin-1); spinocerebellar ataxia type-1 (ataxin-1); spinocerebellar ataxia type-2 (ataxin-2); spinocerebellar ataxia type-3 (also called Machado-Joseph disease or MJD) (ataxin-3); spinocerebellar ataxia type-6 (alpha 1a-voltage dependent calcium channel); spinocerebellar ataxia type-7 (ataxin-7); and spinal and bulbar muscular atrophy (SBMA, also know as Kennedy disease).
The basal ganglia are important for regulating the function of motor neurons; disorders of the basal ganglia result in movement disorders. Most prominent among the movement disorders related to basal ganglia function is Parkinson's disease (Obeso et al., Neurology. 62(1 Suppl 1):S17-30, 2004). Other movement disorders related to dysfunction of the basal ganglia include tardive dyskinesia, progressive supranuclear palsy and cerebral palsy, corticobasal degeneration, multiple system atrophy, Wilson disease, dystonia, tics, and chorea. The compounds of the invention are also suitable for use to treat movement disorders related to dysfunction of basal ganglia neurons.
PDE10 inhibitors are useful in raising cAMP or cGMP levels and prevent neurons from undergoing apoptosis. PDE10 inhibitors may be anti-inflammatory by raising cAMP in glial cells. The combination of anti-apoptotic and anti-inflammatory properties, as well as positive effects on synaptic plasticity and neurogenesis, make these compounds useful to treat neurodegeneration resulting from any disease or injury, including stroke, spinal cord injury, Alzheimer's disease, multiple sclerosis, amylolaterosclerosis (ALS), and multiple systems atrophy (MSA).
Autoimmune diseases or infectious diseases that affect the basal ganglia may result in disorders of the basal ganglia including ADHD, OCD, tics, Tourette's disease, Sydenham chorea. In addition, any insult to the brain can potentially damage the basal ganglia including strokes, metabolic abnormalities, liver disease, multiple sclerosis, infections, tumors, drug overdoses or side effects, and head trauma. Accordingly, the compounds of the invention can be used to stop disease progression or restore damaged circuits in the brain by a combination of effects including increased synaptic plasticity, neurogenesis, anti-inflammatory, nerve cell regeneration and decreased apoptosis.
The growth of some cancer cells is inhibited by cAMP and cGMP. Upon transformation, cells may become cancerous by expressing PDE10 and reducing the amount of cAMP or cGMP within cells. In these types of cancer cells, inhibition of PDE10 activity inhibits cell growth by raising cAMP. In some cases, PDE10 may be expressed in the transformed, cancerous cell but not in the parent cell line. In transformed renal carcinoma cells, PDE10 is expressed and PDE10 inhibitors reduce the growth rate of the cells in culture. Similarly, breast cancer cells are inhibited by administration of PDE10 inhibitors. Many other types of cancer cells may also be sensitive to growth arrest by inhibition of PDE10. Therefore, compounds disclosed in this invention can be used to stop the growth of cancer cells that express PDE10.
The compounds of the invention are also suitable for use in the treatment of diabetes and related disorders such as obesity, by focusing on regulation of the cAMP signaling system. By inhibiting PDE-10, especially PDE-10A, intracellular levels of cAMP are increased, thereby increasing the release of insulin-containing secretory granules and, therefore, increasing insulin secretion. See, for example, WO 2005/012485. The compounds of Formula (I) can also be used to treat diseases disclosed in US Patent application publication No. 2006/019975.
Testing
The PDE10 inhibitory activities of the compounds of the present invention can be tested, for example, using the in vitro and in vivo assays described in the Biological Examples below.
Administration and Pharmaceutical Compositions
In general, the compounds of this invention can be administered in a therapeutically effective amount by any of the accepted modes of administration for agents that serve similar utilities. The actual amount of a compound of this invention, i.e., the active ingredient, depends upon numerous factors, such as the severity of the disease to be treated, the age and relative health of the subject, the potency of the compound used, the route and form of administration, and other factors.
Therapeutically effective amounts of compounds of formula (I) may range from approximately 0.1-1000 mg per day; preferably 0.5 to 250 mg/day, more preferably 3.5 mg to 70 mg per day.
In general, compounds of this invention can be administered as pharmaceutical compositions by any one of the following routes: oral, systemic (e.g., transdermal, intranasal or by suppository), or parenteral (e.g., intramuscular, intravenous or subcutaneous) administration. The preferred manner of administration is oral using a convenient daily dosage regimen, which can be adjusted according to the degree of affliction. Compositions can take the form of tablets, pills, capsules, semisolids, powders, sustained release formulations, solutions, suspensions, elixirs, aerosols, or any other appropriate compositions.
The choice of formulation depends on various factors, such as the mode of drug administration (e.g., for oral administration, formulations in the form of tablets, pills or capsules are preferred) and the bioavailability of the drug substance. Recently, pharmaceutical formulations have been developed especially for drugs that show poor bioavailability based upon the principle that bioavailability can be increased by increasing the surface area, i.e., decreasing particle size. For example, U.S. Pat. No. 4,107,288 describes a pharmaceutical formulation having particles in the size range from 10 to 1,000 nm in which the active material is supported on a crosslinked matrix of macromolecules. U.S. Pat. No. 5,145,684 describes the production of a pharmaceutical formulation in which the drug substance is pulverized to nanoparticles (average particle size of 400 nm) in the presence of a surface modifier and then dispersed in a liquid medium to give a pharmaceutical formulation that exhibits remarkably high bioavailability.
The compositions are comprised of, in general, a compounds of the present invention in combination with at least one pharmaceutically acceptable excipient. Acceptable excipients are non-toxic, aid administration, and do not adversely affect the therapeutic benefit of the compounds of the present invention. Such excipient may be any solid, liquid, semi-solid or, in the case of an aerosol composition, gaseous excipient that is generally available to one of skill in the art.
Solid pharmaceutical excipients include starch, cellulose, talc, glucose, lactose, sucrose, gelatin, malt, rice, flour, chalk, silica gel, magnesium stearate, sodium stearate, glycerol monostearate, sodium chloride, dried skim milk and the like. Liquid and semisolid excipients may be selected from glycerol, propylene glycol, water, ethanol and various oils, including those of petroleum, animal, vegetable or synthetic origin, e.g., peanut oil, soybean oil, mineral oil, sesame oil, etc. Preferred liquid carriers, particularly for injectable solutions, include water, saline, aqueous dextrose, and glycols.
Compressed gases may be used to disperse a compound of this invention in aerosol form. Inert gases suitable for this purpose are nitrogen, carbon dioxide, etc.
Other suitable pharmaceutical excipients and their formulations are described in Remington's Pharmaceutical Sciences, Gennaro, A. R. (Mack Publishing Company, 18th ed., 1995).
The level of the compound in a formulation can vary within the full range employed by those skilled in the art. Typically, the formulation contains, on a weight percent (wt %) basis, from about 0.01-99.99 wt % of a compounds of the present invention based on the total formulation, with the balance being one or more suitable pharmaceutical excipients. Preferably, the compound is present at a level of about 1-80 wt %.
The compounds can be administered as the sole active agent or in combination with other pharmaceutical agents such as other agents used in the treatment of psychoses, especially schizophrenia and bipolar disorder, obsessive-compulsive disorder, Parkinson's disease, Alzheimer's disease, cognitive impairment and/or memory loss, e.g., nicotinic α-7 agonists, PDE4 inhibitors, other PDE10 inhibitors, calcium channel blockers, muscarinic m1 and m2 modulators, adenosine receptor modulators, ampakines, NMDA-R modulators, mGluR modulators, dopamine modulators, serotonin modulators, canabinoid modulators, and cholinesterase inhibitors (e.g., donepezil, rivastigimine, and galanthanamine). In such combinations, each active ingredient can be administered either in accordance with their usual dosage range or a dose below their usual dosage range, and can be administered either simultaneously or sequentially.
Drugs suitable in combination with the compounds of the present invention include, but are not limited to, other suitable schizophrenia drugs such as Clozaril, Zyprexa, Risperidone, and Seroquel; bipolar disorder drugs, including, but not limited to, Lithium, Zyprexa, and Depakote; Parkinson's disease drugs, including, but not limited to, Levodopa, Parlodel, Permax, Mirapex, Tasmar, Contan, Kemadin, Artane, and Cogentin; agents used in the treatment of Alzheimer's disease, including, but not limited to, Reminyl, Cognex, Aricept, Exelon, Akatinol, Neotropin, Eldepryl, Estrogen and Cliquinol; agents used in the treatment of dementia, including, but not limited to, Thioridazine, Haloperidol, Risperidone, Cognex, Aricept, and Exelon; agents used in the treatment of epilepsy, including, but not limited to, Dilantin, Luminol, Tegretol, Depakote, Depakene, Zarontin, Neurontin, Barbita, Solfeton, and Felbatol; agents used in the treatment of multiple sclerosis, including, but not limited to, Detrol, Ditropan XL, OxyContin, Betaseron, Avonex, Azothioprine, Methotrexate, and Copaxone; agents used in the treatment of Huntington's disease, including, but not limited to, Amitriptyline, Imipramine, Despiramine, Nortriptyline, Paroxetine, Fluoxetine, Setraline, Terabenazine, Haloperidol, Chloropromazine, Thioridazine, Sulpride, Quetiapine, Clozapine, and Risperidone; agents useful in the treatment of diabetes, including, but not limited to, PPAR ligands (e.g. agonists, antagonists, such as Rosiglitazone, Troglitazone and Pioglitazone), insulin secretagogues (e.g., sulfonylurea drugs, such as Glyburide, Glimepiride, Chlorpropamide, Tolbutamide, and Glipizide, and non-sulfonyl secretagogues), c-glucosidase inhibitors (such as Acarbose, Miglitol, and Voglibose), insulin sensitizers (such as the PPAR-γ agonists, e.g., the glitazones; biguanides, PTP-1B inhibitors, DPP-IV inhibitors, and 11beta-HSD inhibitors), hepatic glucose output lowering compounds (such as glucagon antagonists and metaformin, e.g., Glucophage and Glucophage XR), insulin and insulin derivatives (both long and short acting forms and formulations of insulin); and anti-obesity drugs, including, but not limited to, β-3 agonists, CB-1 agonists, neuropeptide Y5 inhibitors, Ciliary Neurotrophic Factor and derivatives (e.g., Axokine), appetite suppressants (e.g., Sibutramine), and lipase inhibitors (e.g., Orlistat).
EXPERIMENTAL
Unless otherwise noted, all materials were purchased from Sinopharm Chemical Reagent Co., Ltd and used without further purification. All microwave assisted reactions were conducted with a Initiator Synthesizer® from Biotage®. All compounds showed NMR spectra consistent with their assigned structures. Melting points were determined on a Buchi apparatus and are uncorrected. Mass spectral data was determined by electrospray ionization technique. All examples were purified to >90% purity as determined by high-performance liquid chromatography. Unless otherwise stated, reactions were run at room temperature.
The following abbreviations are commonly used:
  • Ac the group CH3—(CO)—
  • AcOH or HOAc acetic acid
  • Ac2O acetic anhydride
  • BINAP 2,2′-bis(diphenylphosphino)-1,1′-binaphthalene
  • BnO Benzyloxy
  • Boc2O di-tert-butyl dicarbonate
  • BTEA-Cl benzyltriethylammonium chloride
  • Bz Benzyl group
  • Cbz carboxylic acid benzyl ester
  • CDI 1,1′-carbonyldiimidazole
  • d Day
  • DCM Dichloromethane
  • DIAD (CH3)2CHOOCN═NCOOCH(CH3)2
  • DIEA N,N-diisopropylethylamine
  • Diox Dioxane
  • DIPEA diisopropylethyl amine
  • DMA Dimethylamine
  • DMAP 4-(dimethylamino)pyridine
  • DME Dimethoxyethane
  • DMF N,N-dimethylformamide
  • Dess-Martin Periodinane 1,1,1-Tris(acetyloxy)-1,1-dihydro-1,2-benziodoxol-3-(1H)-one
  • DMSO dimethyl sulfoxide
  • DPPA diphenyl phosphoryl azide
  • EDCI N-(3-Dimethylaminopropyl)-N′-ethylcarbodiimide hydrochloride
  • ESI-MS electrospray ionization mass spectrometry
  • Et2O diethyl ether
  • EtOAc ethyl acetate
  • EtOH ethyl alcohol
  • Et3N triethyl amine
  • g Grams
  • h hour or hours
  • HATU O-(7-Azobenzotriazol-1-yl)-1,1,3,3-tetramethyluronium hexafluorophosphate
  • HBTU 2-(1H-Benzotriazole-1-yl)-1,1,3,3-tetramethylaminium hexafluorophosphate
  • HCl Hydrochloric acid
  • HPLC high pressure liquid chromatography
  • IPA isopropyl alcohol
  • i Pr2NEt Diisopropylethylamine
  • i PrOH Isopropyl alcohol
  • ISCO in-situ chemical oxidation
  • Lawesson reagent 4-Methoxyphenylthiophosphoric cyclic di(thioanhydride), LR, 2,4-Bis(4-methoxyphenyl)-2,4-dithioxo-1,3,2,4-dithiadiphosphetane, 2,4-Bis-(4-methoxyphenyl)-1,3-dithia-2,4-diphosphetane 2,4-disulfide
  • LCMS liquid chromatography mass spectrometry
  • LDA Lithium diisopropyl amide
  • LiHMDS Lithium bis(trimethylsilyl)amide
  • Me Methyl
  • MeCN Acetonitrile
  • MeI Iodomethane
  • MeOH methyl alcohol
  • MeOD deuteurated methyl alcohol
  • mg Milligrams
  • min Min
  • mL Milliliters
  • Mo—(CO)6 molybdenum hexacarbonyl
  • MTBE methyl tert-butyl ether
  • NBS N-bromosuccinimide
  • NMP 1-methyl-2-pyrrolidinone
  • NMR nuclear magnetic resonance
  • NOESY nuclear Overhauser effect spectroscopy
  • Pd(dppf)Cl2 [1,1′-Bis(diphenylphosphino)ferrocene]dichloropalladium(II), complex with dichloromethane
  • PMBCl 1-(chloromethyl)-4-methoxybenzene
  • PTSA p-toluenesulfonic acid
  • Py pyridine
  • RT RT
  • sat. saturated
  • t-bu tert-butyl group
  • TFA trifluoroacetic acid
  • THF tetrahydrofuran
  • TLC thin layer chromatography
  • TMSCl Trimethylsilyl chloride
  • TBDPS Tert-Butylchlorodiphenyl
  • Tol Toluene
  • TsCl 4-toluenesulfonyl chloride (CH3C6H4SO2Cl)
  • Xantphos 4,5-bis(diphenylphosphino)-9,9-dimethylxanthene
    General Schemes
In general, the compounds of the formula I can be prepared according to the following General Schemes A to H, wherein m, p, q, R1, R4a, R4b, R5, Y, X1, X2, X3, X4, and X5 are defined herein.
Figure US09718803-20170801-C00487
Figure US09718803-20170801-C00488
Figure US09718803-20170801-C00489
Figure US09718803-20170801-C00490
Figure US09718803-20170801-C00491
Figure US09718803-20170801-C00492
Figure US09718803-20170801-C00493
Figure US09718803-20170801-C00494
Preparation 1
Figure US09718803-20170801-C00495

Zinc Dust Preactivation Procedure
Zinc dust (Acros) was slowly added to a well stirred solution of aqueous 2N HCl. The material was allowed to stir for 30 min at which point it was filtered, washed with water, EtOH, and diethyl ether. The material was dried using a rotavapor.
Figure US09718803-20170801-C00496
Step 1: Tert-Butyl 3-(3-Bromopyridin-2-Yl)Azetidine-1-Carboxylate (3)
A 5 L 3-neck round bottom flask fitted with a magnetic stirrer under nitrogen was charged with zinc dust (138 g, preactivated according to the above Preparation 1, 2.11 mol, 2 eq.) and DMA (370 mL, anhydrous). 1,2-dibromoethane (13 mL, 0.158 mol, 0.15 eq, Aldrich) was then added over 5 min, followed by TMSCl (20 mL, 0.158 mol, 0.15 eq, Acros) over 5 min. The reaction mixture was stirred for 20 min at RT. A solution of N-Boc-3-iodoazetidine (2) (448 g, 1.583 mol, 1.5 eq, CNH Technologies) in DMA (925 mL, anhydrous) was added over 25 min keeping the internal temperature below 65° C. using a water bath. The suspension was stirred for 1 h at RT at which point it was degassed with nitrogen. Stirring was stopped and the suspension was allowed to stand. A 12 L 3-neck round bottom flask fitted with a mechanical stirrer was charged with 2,3-dibromopyridine (1) (250 g, 1.055 mol, 1.0 eq, Frontier Scientific), PdCl2dppf-CH2Cl2 (25.8 g, 31.65 mmol, 0.03 eq, Aldrich), CuI (12.5 g, 65.41 mmol, 0.062 eq, Aldrich), and DMA (925 mL, anhydrous). The solution was degassed with nitrogen. The clear zinc reagent solution above the residual solid zinc was poured into the 12 L flask under nitrogen. The brown solution was degassed with nitrogen and heated to 80° C. for 17 h at which point LCMS indicated complete conversion of 2,3-dibromopyridine (1). The reaction mixture was transferred to brine (2 L) in 22 L separatory funnel. Water (2 L) and EtOAc (4 L) were added and the layers were separated. The aqueous layer was extracted with EtOAc (2×3 L). The combined organics were washed with water (3×3 L) and brine (2 L), dried over sodium sulfate and evaporated. The resulting residue was purified by column chromatography (eluting with hexanes/ethyl acetate=9:1 to 5:1) to obtain 289 g of impure tert-butyl 3-(3-bromopyridin-2-yl)azetidine-1-carboxylate (3) which was distilled under high vacuum to remove the impurity (N-Boc-azetidine) to give 281 g of pure tert-butyl 3-(3-bromopyridin-2-yl)azetidine-1-carboxylate. Yield: 85%.
Figure US09718803-20170801-C00497
Step 2: 2-(Azetidin-3-Yl)-3-Bromopyridine Hydrochloride (4)
To a solution of tert-butyl 3-(3-bromopyridin-2-yl)azetidine-1-carboxylate (3) (266 g, 0.849 mol, 1 eq.) in methanol (6 L) was added concentrated HCl (350 mL, 4.2 mol, 4.95 eq.) and the resulting mixture was stirred at RT for 92 hrs. The mixture was concentrated and dried using a rotavapor to obtain 230 g of 2-(azetidin-3-yl)-3-bromopyridine hydrochloride (4).
Figure US09718803-20170801-C00498
Step 3: 2-(3-(3-Bromopyridin-2-Yl)Azetidin-1-Yl)Quinoline (5)
A mixture of 2-(azetidin-3-yl)-3-bromopyridine hydrochloride (4) (221 g, 0.886 mol), 2-chloroquinoline (133.5 g, 0.816 mol, 0.92 eq., Combi-Blocks) and cesium carbonate (866 g, 2.658 mol, 3 eq.) in anhydrous DMF (7 L) was heated to 110° C. and stirred for 16 hrs. After cooling to RT, the mixture was transferred to 50 L separatory funnel and diluted with water (14 L). The precipitated solid was filtered, stirred in water (4 L), filtered and dried to obtain 222 g of 2-(3-(3-bromopyridin-2-yl)azetidin-1-yl)quinoline. Yield: 80% over two steps.
1H NMR (300 MHz, d6-DMSO) δ ppm 8.58 (d, J=4.8 Hz, 1H), 8.11 (d, J=8.1 Hz, 1H), 8.04 (d, J=9.0 Hz, 1H), 7.71 (d, J=8.1 Hz, 1H), 7.65-7.50 (m, 2H), 7.35-7.15 (m, 2H), 6.81 (d, J=9.0 Hz, 1H), 4.55-4.30 (m, 5H). HPLC purity: >98% (215 nm and 254 nm)
LCMS: m/z: 340.1 for 79Br (M+1), Calcd. for C17H14 79BrN3: 339.04; 342.1 for 81Br (M+1), Calcd. for C17H14 81BrN3: 341.04.
Preparation 2
Figure US09718803-20170801-C00499
Step 1: Tert-Butyl 3-(3-Chloropyrazin-2-Yl)Azetidine-1-Carboxylate (7)
A 12 L 3-neck round bottom flask fitted with a magnetic stirrer under nitrogen was charged with zinc dust (745 g, preactivated according to the above Preparation 1, 11.4 mol, 2 eq.) and DMA (2 L, anhydrous). 1,2-dibromoethane (71 mL, 0.855 mol, 0.15 eq, Aldrich) was then added over 10 min, followed by TMSCl (108 mL, 0.855 mol, 0.15 eq, Acros) over 20 min. The reaction mixture was stirred for 25 min at RT. A solution of N-Boc-3-iodoazetidine (2) (2420 g, 8.55 mol, 1.5 eq, CNH Technologies) in DMA (5 L, anhydrous) was added via a 2 L addition funnel over 2 h keeping the internal temperature below 65° C. using a water bath. The suspension was stirred for 1 h at RT at which point it was degassed with nitrogen. Stirring was stopped and the suspension was allowed to stand. A 22 L 3-neck round bottom flask fitted with a mechanical stirrer was charged with 2,3-dichloropyrazine (6) (850 g, 5.70 mol, 1.0 eq, AK Scientific), PdCl2dppf-CH2Cl2 (140 g, 171 mmol, 0.03 eq, Aldrich), CuI (67.3 g, 353 mmol, 0.062 eq, Aldrich), and DMA (5 L, anhydrous). The solution was degassed with nitrogen. The clear zinc reagent solution above the residual solid zinc was poured into the 22 L flask under nitrogen. The brown solution was degassed with nitrogen and heated to 80° C. for 16 h at which point LCMS indicated complete conversion of 2,3-dichloropyrazine (6). The reaction mixture was transferred to brine (8 L) in 50 L separatory funnel. Water (8 L) and EtOAc (15 L) were added and the layers were separated. The aqueous layer was extracted with EtOAc (2×10 L). The combined organics were washed with water (3×10 L) and brine (5 L), dried over sodium sulfate and evaporated. The resulting residue was purified by column chromatography (eluting with hexanes/ethyl acetate=10:1) to obtain 536 g of pure tert-butyl 3-(3-chloropyrazin-2-yl)azetidine-1-carboxylate (7) and 121 g of mixed fractions. The impure material was distilled under high vacuum to remove the impurity (N-Boc-azetidine) to give 81 g of pure tert-butyl 3-(3-chloropyrazin-2-yl)azetidine-1-carboxylate (7).
Total: 617 g, Yield: 40%.
Figure US09718803-20170801-C00500
Step 2: 2-(Azetidin-3-Yl)-3-Chloropyrazine Hydrochloride (8)
To a solution of tert-butyl 3-(3-chloropyrazin-2-yl)azetidine-1-carboxylate (7) (300 g, 1.112 mol, 1 eq.) in methanol (6 L) was added concentrated HCl (400 mL, 4.8 mol, 4.3 eq.) and the resulting mixture was stirred at RT for 112 h. The mixture was concentrated and dried on rotavapor to obtain 230 g of 2-(azetidin-3-yl)-3-chloropyrazine hydrochloride (8).
Figure US09718803-20170801-C00501
Step 3: 2-(3-(3-Chloropyrazin-2-Yl)Azetidin-1-Yl)Quinoline (9)
A mixture of 2-(azetidin-3-yl)-3-chloropyrazine hydrochloride (8) (163 g, 0.79 mol), 2-bromoquinoline (164 g, 0.79 mol, 1 eq., Combi-Blocks) and cesium carbonate (772 g, 2.37 mol, 3 eq., Aldrich) in anhydrous DMF (6.5 L) was heated to 110° C. and stirred for 19 h. After cooling to RT, the mixture was transferred to 50 L separatory funnel and diluted with water (13 L). Then it was extracted with ethyl acetate (20 L×2) and the organic extracts were combined, washed with water (8 L), brine (8 L), dried and concentrated. The resulting residue was purified by column chromatography (eluting with hexanes/ethyl acetate=9:1 to 3:1). All fractions containing desired compound were combined and concentrated. The obtained solid was triturated with MTBE (250 mL), washed with MTBE (100 mL×2) and dried to obtain 100 g of 2-(3-(3-chloropyrazin-2-yl)azetidin-1-yl)quinoline (9) with >99% purity. The mother liquor was concentrated and purified by column chromatography and trituration with MTBE again to give 4.5 g of 2-(3-(3-chloropyrazin-2-yl)azetidin-1-yl)quinoline (9) with >99% purity. Yield: 45% for two steps.
1H NMR (300 MHz, d6-DMSO) δ ppm 8.67 (d, J=2.4 Hz, 1H), 8.44 (d, J=2.4 Hz, 1H), 8.04 (d, J=9.6 Hz, 1H), 7.72 (d, J=8.4 Hz, 1H), 7.65-7.50 (m, 2H), 7.23 (t, J=7.35 Hz, 2H), 6.79 (d, J=9.0 Hz, 1H), 4.60-4.30 (m, 5H). HPLC purity: >99% (215 nm and 254 nm) LCMS: m/z: 297.1 (M+1), Calcd. for C16H13ClN4: 296.08.
Preparation 3
Figure US09718803-20170801-C00502
2-(3-(3-Chloropyrazin-2-Yl)Azetidin-1-Yl)Quinazoline (10)
2-(Azetidin-3-yl)-3-chloropyrazine hydrochloride (8) (1.50 g, 7.28 mmol), 2-chloroquinazoline (1.20 g, 7.28 mmol, Parkway Scientific), and cesium carbonate (5.22 g, 16.0 mmol, Fluka) were mixed in DMF (30 mL) in a round bottom flask under a nitrogen atmosphere. The mixture was stirred at 110° C. for 17 h. The reaction mixture was cooled to RT, diluted with water, and extracted with EtOAc (2×). The combined organic extracts were washed with saturated sodium chloride, dried over magnesium sulfate, filtered, and concentrated in vacuo. The resulting crude mixture was purified via silica gel flash column chromatography eluting with 0% to 100% EtOAc in hexanes to give 1.02 g (47%) of a yellow amorphous solid.
1H NMR (400 MHz, CHLOROFORM-d) δ ppm 4.41-4.50 (m, 1H) 4.58-4.63 (m, 2H) 4.65-4.72 (m, 2H) 7.22-7.28 (m, 1H) 7.61-7.72 (m, 3H) 8.28 (d, J=2.35 Hz, 1H) 8.51 (d, J=2.35 Hz, 1H) 9.04 (s, 1H). ESI (M+1) 298.1; calc for C15H12ClN5 297.
Preparation 4
Figure US09718803-20170801-C00503
Step 1. 3-(3-Morpholin-4-Yl-Pyrazin-2-Yl)-Azetidine-1-Carboxylic Acid Tert-Butyl Ester (11)
A mixture of 3-(3-chloro-pyrazin-2-yl)-azetidine-1-carboxylic acid tert-butyl ester (7) (269 mg, 1.0 mmol) in morpholine was heated by microwave at 160° C. for 2 h. The mixture was concentrated to give the crude compound and which was purified by column chromatography to afford pure product (11) (300 mg, yield 94%) as solid. ESI-MS (M+1): 321 calc. for C16H24N4O3 320.
Figure US09718803-20170801-C00504
Step 2. 4-(3-Azetidin-3-Yl-Pyrazin-2-Yl)-Morpholine Hydrochloride (12)
To a solution of 4 N HCl/MeOH (10 mL) was added compound (11) (300 mg, 0.90 mmol) at 0° C. and the resulting mixture was stirred at RT for 1 h. The mixture was concentrated under reduced pressure to give (12) (200 mg, yield 100%), which was used directly for the next step without further purification. ESI-MS (M+1): 221 calc. for C11H16N4O 220.
The following Table 1 lists compounds of Preparation P4.1 to P4.4, which were made analogous to Preparation 4 by using the appropriate materials.
TABLE 1
PREPARATION P4.1 TO P4.4
ESI-MS
Prep. # Structure Chemical Name (M + 1)
P4.1
Figure US09718803-20170801-C00505
tert-butyl 3-(3-morpholinopyrazin-2- yl)azetidine-1-carboxylate 321
P4.2
Figure US09718803-20170801-C00506
tert-butyl 3-(3-(4-hydroxypiperidin-1- yl)pyrazin-2-yl)azetidine-1- carboxylate 335
P4.3
Figure US09718803-20170801-C00507
4-(3-azetidin-3-yl-pyrazin-2-yl)- morpholine hydrochloride 221
P4.4
Figure US09718803-20170801-C00508
1-(3-(azetidin-3-yl)pyrazin-2- yl)piperidin-4-ol hydrochloride 235
Preparation 5
Figure US09718803-20170801-C00509
Step 1. 3-[3-(2-Methoxy-Phenoxy)-Pyrazin-2-Yl]-Azetidine-1-Carboxylic Acid Tert-Butyl Ester (13)
A mixture of 3-(3-chloro-pyrazin-2-yl)-azetidine-1-carboxylic acid tert-butyl ester (7) (100 mg, 0.37 mmol), 2-methoxy-phenol (47 mg, 0.37 mmol) and Cs2CO3 (242 mg, 0.74 mmol) in DMSO (10 mL) was stirred at 90° C. overnight. The mixture was diluted with water and extracted with EtOAc. The organic layer was washed with brine, dried over Na2SO4 and concentrated to give the crude compound, which was purified by column chromatography to afford pure product (13) (80 mg, 0.22 mmol, yield 61%) as solid. ESI-MS (M+1): 358 calc. for C19H23N3O4 357.
Figure US09718803-20170801-C00510
Step 2. 2-Azetidin-3-Yl-3-(2-Methoxy-Phenoxy)-Pyrazine Hydrochloride (14)
To a solution of 4 N HCl/MeOH (10 mL) was added compound (13) (80 mg, 0.22 mmol) at 0° C. The resulting mixture was stirred at RT for 1 h. The mixture was concentrated under reduced pressure to give (14) (65 mg, yield 100%), which was used for the next step without further purification. ESI-MS (M+1): 258 calc. for C14H15N3O2 257.
The following Table 2 lists compounds of Preparation P5.1 to P5.8, which were made analogous to Preparation 5 by using the appropriate materials.
TABLE 2
PREPARATION P5.1 TO P5.8
ESI-MS
Ex. # Structure Chemical Name (M + 1)
P5.1
Figure US09718803-20170801-C00511
3-[3-(2-methoxy- phenoxy)-pyrazin- 2-yl]-azetidine-1- carboxylic acid tert-butyl ester 358
P5.2
Figure US09718803-20170801-C00512
tert-butyl 3-(3-(3- methoxyphenoxy) pyrazin-2- yl)azetidine-1- carboxylate 358
P5.3
Figure US09718803-20170801-C00513
tert-butyl 3-(3- (4-methoxy- phenoxy) pyrazin-2- yl)azetidine-1- carboxylate 358
P5.4
Figure US09718803-20170801-C00514
tert-butyl 3-(3- phenoxypyrazin- 2-yl)azetidine-1- carboxylate 328
P5.5
Figure US09718803-20170801-C00515
2-azetidin-3-yl-3- (2-methoxy- phenoxy)-pyrazine hydrochloride 258
P5.6
Figure US09718803-20170801-C00516
2-(azetidin-3-yl)-3- (3-methoxy- phenoxy) pyrazine hydrochloride 258
P5.7
Figure US09718803-20170801-C00517
2-(azetidin-3-yl)- 3-(4- methoxy phenoxy) pyrazine hydrochloride 258
P5.8
Figure US09718803-20170801-C00518
2-(azetidin-3-yl)- 3-phenoxy- pyrazine hydrochloride 228
Preparation 6
Figure US09718803-20170801-C00519
Step 1. 2-Trichloromethyl-1H-Benzoimidazole (17)
2,2,2-trichloro-acetimidic acid benzyl ester (16) (2.3 g, 9.22 mmol, Alfa Aesar) was added to a solution of Benzene-1,2-diamine (15) (1.0 g, 9.2 mmol) in acetic acid (30 mL), the solution was stirred at RT for 1 h. H2O (20 mL) was added to the mixture and the suspension was filtered. The filter cake was washed with water and dried under vacuum to afford compound (17) (1.90 g yield 88%) which was used directly for the next step without further purification. ESI-MS (M+1): 235 calc. for C9H5Cl3N2234.
Figure US09718803-20170801-C00520
Step 2. 1H-Benzoimidazole-2-Carboxylic Acid Methyl Ester (18)
Na2CO3 (0.64 g, 6.07 mmoi) was added to a solution of (17) (1.9 g, 6.07 mmol) in 20 mL MeOH. The reaction mixture was heated to reflux for 14 h and then cooled to RT. 1N HCl was added to the solution and the reaction mixture was stirred for 0.5 hour. The mixture was extracted with EA. The organic phase was washed with brine, dried over Na2SO4 and evaporated to give the title compound (0.89 g, yield 83%). ESI-MS (M+1): 177 calc. for C9H8N2O2176.
Figure US09718803-20170801-C00521
Step 3. 1H-Benzoimidazole-2-Carboxylic Acid (19)
A mixture of 1H-benzoimidazole-2-carboxylic acid methyl ester (18) (0.89 g, 5.1 mmol) in 2 N aq. NaOH (10 mL) and MeOH (10 mL) was stirred at RT for 18 h. The mixture was acidified to pH=4 with 1 N aqueous HCl. The mixture was extracted with EtOAc. The organic layer was washed with brine, dried over Na2SO4 and evaporated to obtain compound (19) as a brown solid (0.67 g, yield 80%). ESI-MS (M+1): 163 calc. for C8H6N2O2162.
The following Table 3 lists compounds of Preparation P6.1 to P6.18, which were made analogous to Preparation 6 by using the appropriate materials.
TABLE 3
PREPARATION P6.1 TO P6.18
ESI-MS
Ex. # Structure Chemical Name (M + 1)
P6.1 
Figure US09718803-20170801-C00522
4-chloro-2-(trichloromethyl)-1H- benzo[d]imidazole 268
P6.2 
Figure US09718803-20170801-C00523
5-chloro-2-(trichloromethyl)-1H- benzo[d]imidazole 268
P6.3 
Figure US09718803-20170801-C00524
4-fluoro-2-(trichloromethyl)-1H- benzo[d]imidazole 252
P6.4 
Figure US09718803-20170801-C00525
5-fluoro-2-(trichloromethyl)-1H- benzo[d]imidazole 252
P6.5 
Figure US09718803-20170801-C00526
4-methyl-2-(trichloromethyl)-1H- benzo[d]imidazole 249
P6.6 
Figure US09718803-20170801-C00527
5-methyl-2-(trichloromethyl)-1H- benzo[d]imidazole 249
P6.7 
Figure US09718803-20170801-C00528
methyl 4-chloro-1H- benzo[d]imidazole-2-carboxylate 211
P6.8 
Figure US09718803-20170801-C00529
methyl 5-chloro-1H- benzo[d]imidazole-2-carboxylate 211
P6.9 
Figure US09718803-20170801-C00530
methyl 4-fluoro-1H- benzo[d]imidazole-2-carboxylate 195
P6.10
Figure US09718803-20170801-C00531
methyl 5-fluoro-1H- benzo[d]imidazole-2-carboxylate 195
P6.11
Figure US09718803-20170801-C00532
methyl 4-methyl-1H- benzo[d]imidazole-2-carboxylate 191
P6.12
Figure US09718803-20170801-C00533
methyl 5-methyl-1H- benzo[d]imidazole-2-carboxylate 191
P6.13
Figure US09718803-20170801-C00534
4-chloro-1H-benzo[d]imidazole-2- carboxylic acid 197
P6.14
Figure US09718803-20170801-C00535
5-chloro-1H-benzo[d]imidazole-2- carboxylic acid 197
P6.15
Figure US09718803-20170801-C00536
4-fluoro-1H-benzo[d]imidazole-2- carboxylic acid 181
P6.16
Figure US09718803-20170801-C00537
5-fluoro-1H-benzo[d]imidazole-2- carboxylic acid 181
P6.17
Figure US09718803-20170801-C00538
4-methyl-1H-benzo[d]imidazole-2- carboxylic acid 177
P6.18
Figure US09718803-20170801-C00539
5-methyl-1H-benzo[d]imidazole-2- carboxylic acid 177
Preparation 7
Figure US09718803-20170801-C00540
Step 1. 3-[3-(4-Methoxy-Phenyl)-Pyrazin-2-Yl]-Azetidine-1-Carboxylic Acid Tert-Butyl Ester (21)
To a solution of 3-(3-chloro-pyrazin-2-yl)-azetidine-1-carboxylic acid tert-butyl ester (7) (100 mg, 0.37 mmol, as prepared in the above Preparation 2) in dioxane (8 mL) was added a solution of Na2CO3 (78 mg, 0.64 mmol) in 0.5 mL water, followed by additional of 4-methoxybenzeneboronic acid (20) (49 mg 0.40 mmol) and Pd(dppf)Cl2 (8 mg). The resulting mixture was heated to reflux overnight under N2 atmosphere. TLC showed that the starting material was consumed completely. The solution was filtered and the filtrate was concentrated to give the residue which was purified by column chromatography on silica gel to give the product compound (21) (120 mg, yield 96%) as solid. ESI-MS (M+1): 342 calc. for C19H23N3O3 341.
Figure US09718803-20170801-C00541
Step 2. 2-Azetidin-3-Yl-3-(4-Methoxy-Phenyl)-Pyrazine Hydrochloride (22)
To a solution of 4 N HCl in MeOH (10 mL) was added (21) (120 mg, 0.35 mmol) at 0° C. and the resulting mixture was stirred at RT for 1 h. The mixture was concentrated under reduced pressure to give 2-azetidin-3-yl-3-(4-methoxy-phenyl)-pyrazine (22) (95 mg, yield 100%) which was used for the next step without further purification. ESI-MS (M+1): 242 calc. for C14H15N3O 241.
The following Table 4 lists compounds of Preparation P7.1 to P7.6, which were made analogous to Preparation 7 by using the appropriate materials.
TABLE 4
PREPARATION P7.1 TO P7.6
ESI-MS
Ex. # Structure Chemical Name (M + 1)
P7.1
Figure US09718803-20170801-C00542
tert-butyl 3- (3-(4- methoxyphenyl) pyrazin-2- yl)azetidine-1- carboxylate 342
P7.2
Figure US09718803-20170801-C00543
tert-butyl 3- (3-(2- methoxyphenyl) pyrazin-2- yl)azetidine-1- carboxylate 342
P7.3
Figure US09718803-20170801-C00544
tert-butyl 3-(3- phenylpyrazin-2- yl)azetidine- 1-carboxylate 312
P7.4
Figure US09718803-20170801-C00545
2-(azetidin-3-yl)- 3-(4- methoxyphenyl) pyrazine hydrochloride 242
P7.5
Figure US09718803-20170801-C00546
2-(azetidin-3-yl)- 3-(2- methoxyphenyl) pyrazine hydrochloride 242
P7.6
Figure US09718803-20170801-C00547
2-(azetidin-3- yl)-3- phenylpyrazine hydrochloride 212
Preparation 8
Figure US09718803-20170801-C00548
Step 1. Tert-Butyl 3-(2-Fluoropyridin-3-Yl)Azetidine-1-Carboxylate (25)
To a 2 L 3 necked round bottomed flask fitted with a mechanical stirrer, under nitrogen atmosphere was placed Zinc dust, which was preactivated according to above Preparation 2, (51.2 g, 0.78 mol, 1.94 eq) and dimethyl acetamide (162 mL). To the above suspension, 1,2-dibromoethane (12.14 g, 0.0646 mol, 0.16 eq) was added dropwise at RT (exotherm and bubbling were observed), followed by dropwise addition of TMSCl (6.99 g, 0.0646 mol, 0.16 eq). A vigorous reaction (exotherm to 55° C.) was observed. To this, a solution of N-Boc-3-iodoazetidine (2) (182.88 g, 0.646 mol, 1.6 eq) in dimethyl acetamide (378 mL) was added dropwise using an addition funnel (exotherm to 50° C. was observed). The suspension was stirred for 1.5 h at RT and was then degassed with nitrogen for 15 min. Stirring was stopped and suspension was allowed to stand under nitrogen. To a 5 L 3 necked round bottomed flask, fitted with mechanical stirrer, flushed with nitrogen were placed 3-iodo-2-fluoropyridine (24) (90 g, 0.404 mol, 1.0 eq), PdCl2dppf.CH2Cl2 (9.88 g, 0.012 mol, 0.03 eq), CuI (4.76 g, 0.025 mol, 0.062 eq) and dimethyl acetamide (396 mL). The red colored suspension was degassed with nitrogen for 15 min.
The Zinc reagent solution in 2 L flask was cannulated into 5 L round bottomed flask. The resulting reaction mixture was degassed again with nitrogen for 15 min with stirring and heated to 80° C. for overnight under nitrogen. LCMS indicates completion of reaction. The reaction was cooled to RT and quenched by addition of brine solution (1 L). To this EtOAc (1 L) and water (1 L) were added and layers were separated. The aqueous layer was extracted with EtOAc (2×2 L). The combined EtOAc layers were washed with water (2 L), brine (1 L), dried (Na2SO4), filtered, and evaporated. The crude was purified by column chromatography to give 52 g of tert-butyl 3-(2-fluoropyridin-3-yl)azetidine-1-carboxylate (25) (yield: 51%) as an oil, which solidified on standing.
1HNMR (300 MHz CDCl3): 8.13 (doublet, J=4.8 Hz, 1H), 7.83-7.76 (dt, 1H), 7.28-7.20 (dt, 1H), 4.35 (t, J=8.7 Hz, 2H), 4.05-3.88 (m, 3H), 1.46 (s, 9H). LC-MS: 253 (M+1); calcd for C13H17FN2O2:252.28
Figure US09718803-20170801-C00549
Step 2. 3-(2-Phenyl-Pyridin-3-Yl)-Azetidine-1-Carboxylic Acid Tert-Butyl Ester (27)
To a solution of 3-(2-fluoro-pyridin-3-yl)-azetidine-1-carboxylic acid tert-butyl ester (25) (200 mg, 0.80 mmol), Ni(acac)2 (20 mg, 0.08 mmol), DPPF (32 mg, 0.08 mmol) in THF (10 mL) was added PhMgBr (1 M, 0.8 mL, 0.80 mmol). The resulting mixture was heated to reflux overnight under N2 atmosphere. TLC showed that the staring material was consumed completely. The solution was filtered and the filtrate was concentrated to give the residue, The crude compound was purified by column chromatography on silica gel to give the product 3compound (27) (180 mg, yield 78%) as solid. ESI-MS (M+1): 311 calc. for C19H22N2O2 310.
Figure US09718803-20170801-C00550
Step 3. 3-Azetidin-3-Yl-2-Phenyl-Pyridine Hydrochloride (28)
To a solution of 4 M HCl in MeOH (10 mL) was added 3-(2-phenyl-pyridin-3-yl)-azetidine-1-carboxylic acid tert-butyl ester (27) (180 mg, 0.58 mmol) at 0° C. and the resulting mixture was stirred at RT for 1 h. The mixture was concentrated under reduced pressure to give 3-azetidin-3-yl-2-phenyl-pyridine hydrochloride (28) (120 mg, yield 94%) which was used for the next step without further purification. ESI-MS (M+1): 211 calc. for C14H14N2210.
Preparation 9
Figure US09718803-20170801-C00551
Step 1. 3-(3-M-Tolyl-Pyrazin-2-Yl)-Azetidine-1-Carboxylic Acid Tert-Butyl Ester (30)
To a solution of 3-(3-chloro-pyrazin-2-yl)-azetidine-1-carboxylic acid tert-butyl ester (7) (540 mg, 2.0 mmol, Preparation 2), 3-methyl-phenylboronic acid (78) (299.2 mg, 2.2 mmol), K3PO4 (818 mg, 4.0 mmol), in dioxane (20 mL) and water (4 mL) was added Pd(dppf)Cl2 (73.2 mg, 0.1 mmol) then the reaction mixture was stirred at 90° C. under nitrogen atmosphere overnight. The reaction mixture was filtered through CELITE® and washed with EtOAc (50 mL). The filtrate was concentrated and the crude product was purified by silica gel column to give 3-(3-m-tolyl-pyrazin-2-yl)-azetidine-1-carboxylic acid tert-butyl ester (30) (597 mg, 1.84 mmol, yield 91.85%).
ESI-MS (M+1): 326 calc. for C19H23N3O2 325.
Figure US09718803-20170801-C00552
Step 2. 2-Azetidin-3-Yl-3-M-Tolyl-Pyrazine Hydrochloride (31)
A solution of 3-(3-m-tolyl-pyrazin-2-yl)-azetidine-1-carboxylic acid tert-butyl ester (30) (325 mg, 1.0 mmol) in 4N HCl/MeOH (20 mL) was stirred at RT for 30 min. The reaction mixture was concentrated to give (31) (260 mg, 0.99 mmol, yield 99.24%).
ESI-MS (M+1): 226 calc. for C14H15N3225.
Preparation 10
Figure US09718803-20170801-C00553
Step 1. 3-[3-(3-Methoxy-Phenyl)-Pyrazin-2-Yl]-Azetidine-1-Carboxylic Acid Tert-Butyl Ester (33)
To a solution of 3-(3-chloro-pyrazin-2-yl)-azetidine-1-carboxylic acid tert-butyl ester (7) (540 mg, 2.0 mmol, Preparation 2), 3-methoxy-phenylboronic acid (29) (334.4 mg, 2.2 mmol), K3PO4 (818 mg, 4.0 mmol), in dioxane (20 mL) and water (4 mL) was added Pd(dppf)Cl2 (73.2 mg, 0.1 mmol) then the reaction mixture was stirred at 90° C. under nitrogen atmosphere overnight. The reaction mixture was filtered through CELITE® and washed with EtOAc (50 mL). The filtrate was concentrated and the crude product was purified by silica gel column to give compound (33) (627.4 mg, 1.84 mmol, yield 91.85%).
ESI-MS (M+1): 342 calc. for C19H23N3O3 341.
Figure US09718803-20170801-C00554
Step 2. 2-Azetidin-3-Yl-3-(3-Methoxy-Phenyl)-Pyrazine Hydrochloride (34)
A solution of (33) (341 mg, 1.0 mmol) in 4N HCl/MeOH (20 mL) was stirred at RT for 30 min. The reaction mixture was concentrated to give (34) (260 mg, 0.99 mmol, yield 99.24%).
ESI-MS (M+1): 242 calc. for C14H15N3O 241.
Preparation 11
Figure US09718803-20170801-C00555
Step 1. 3-[3-(4-Hydroxymethyl-Piperidin-1-Yl)-Pyrazin-2-Yl]-Azetidine-1-Carboxylic Acid Tert-Butyl Ester (36)
To a solution of compound (7) (540 mg, 2 mmol, Preparation 2) and 4-amino-2-methyl-butan-1-ol (230 mg, 2 mmol) in DMSO (20 mL) was added Et3N (404 mg, 4 mmol). The reaction mixture was stirred at 110° C. overnight. The reaction mixture was diluted with water, extracted with EtOAc (50 mL×3). The combined organic extracts were washed with water (30 mL) and brine (30 mL), dried over Na2SO4 and filtered. The filtrate was evaporated in vacuo and the residue was purified by flash column chromatography (EtOAc: Petrol ether=3:1) on silica gel to give (36). (557 mg, 1.6 mmol, yield 80%)o
ESI-MS (M+1): 349 calc. for C18H28N4O3 348.
Figure US09718803-20170801-C00556
Step 2. [1-(3-Azetidin-3T-Yl-Pyrazin-2-Yl)-Piperidin-4-Yl]-Methanol Hydrochloride (37)
A solution of (36) (557 mg, 1.6 mmol) in 4N HCl/MeOH (20 mL) was stirred at RT for 30 min. The reaction mixture was concentrated to give (37) (450 mg, 1.58 mmol, yield 98%).
ESI-MS (M+1): 249 calc. for C13H20N4O 248.
Preparation 12
Figure US09718803-20170801-C00557
Step 1. 4-(3-Chloro-Pyrazin-2-Yl)-Piperidine-1-Carboxylic Acid Tert-Butyl Ester (39)
A 100 mL 3-neck round bottom flask fitted with a magnetic stirrer and flushed with nitrogen was charged with zinc dust (813 mg, preactivated according to the above Preparation 1, 12.7 mmol, 2.0 eq.) and DMA (10 mL, anhydrous). 1,2-dibromoethane (236 mg, 1.27 mmol, 0.2 eq) was added slowly, followed by TMSCl (137 mg, 1.27 mmol, 0.2 eq). The reaction was stirred for 15 min at RT. A solution of 4-iodo-piperidine-1-carboxylic acid tert-butyl ester (38) (2.95 g, 9.5 mmol, 1.5 eq) in DMA (10 mL, anhydrous) was added dropwise. The suspension was stirred for 1 h at RT.
A 100 mL 3-neck round bottom flask fitted with a mechanical stirrer was charged with 2,3-dichloro-pyrazine (6) (0.95 g, 6.4 mmol, 1.0 eq), Pd(dppf)Cl2 (446 mg, 0.64 mmol, 0.1 eq), cuprous iodide (121 mg, 0.64 mmol, 0.1 eq), and DMA (20 mL, anhydrous). The dark solution was degassed for 15 min. The clear zinc reagent solution above the residual solid zinc was transferred to the above 100 mL flask by cannulation. The dark solution was degassed and heated to 80° C. for 16 h. The reaction was diluted with brine and extracted with EtOAc (3×100 mL). The combined organics were washed with water (2×100 mL) and brine (100 mL), followed by drying over sodium sulfate. The solution was concentrated and the residue was purified by flash column chromatography on silica gel (PE:EAOAc=2:1) to give the title compound (39) (0.95 g, 3.2 mmol, 50% yield) as a light yellow solid.
ESI-MS (M+1): 298 calc. for C14H20ClN3O2297.
Figure US09718803-20170801-C00558
Step 2. 4-[3-(4-Hydroxymethyl-Piperidin-1-Yl)-Pyrazin-2-Yl]-Piperidine-1-Carboxylic Acid Tert-Butyl Ester (40)
To a solution of 4-(3-chloro-pyrazin-2-yl)-piperidine-1-carboxylic acid tert-butyl ester (39) (297 mg, 1 mmol) and piperidin-4-yl-methanol (35) (126.5 mg, 1.1 mmol) in DMSO (6 mL) was added Et3N (202 mg, 2 mmol). The reaction mixture was stirred at 100° C. overnight. The reaction mixture was diluted with water, extracted with EtOAc (30 mL×3). The combined organic extracts were washed with water (30 mL) and brine (30 mL), dried over Na2SO4 and filtered. The filtrate was evaporated in vacuo and the residue was purified by flash column chromatography on silica gel to give compound (40) (302 mg, 0.8 mmol, yield 80.32%).
ESI-MS (M+1): 377 calc. for C20H32N4O3 376.
Figure US09718803-20170801-C00559
Step 3. [1-(3-Piperidin-4-Yl-Pyrazin-2-Yl)-Piperidin-4-Yl]-Methanol Hydrochloride (41)
A solution of 4-[3-(4-hydroxymethyl-piperidin-1-yl)-pyrazin-2-yl]-piperidine-1-carboxylic acid tert-butyl ester (40) (376 mg, 1 mmol) in 4N HCl/MeOH (20 mL) was stirred at RT for 30 min. The reaction mixture was concentrated to give (41) (308 mg, 0.98 mmol, yield 98.72%).
ESI-MS (M+1): 277 calc. for C15H24N4O 276.
Preparation 13
Figure US09718803-20170801-C00560
Step 1. 3-[3-(3-Methyl-Pyrrolidin-1-Yl)-Pyrazin-2-Yl]-Azetidine-1-Carboxylic Acid Tert-Butyl Ester (43)
To a solution of 3-(3-chloro-pyrazin-2-yl)-azetidine-1-carboxylic acid tert-butyl ester (7) (200 mg, 0.74 mmol, Preparation 2) and 3-methyl-pyrrolidine (42) (69.2 mg, 0.84 mmol) in DMSO (5 mL) was added Et3N (149.5 mg, 1.48 mmol). The reaction mixture was stirred at 100° C. overnight. The reaction mixture was diluted with water, extracted with EtOAc (30 mL×3). The combined organic extracts were washed with water (30 mL) and brine (30 mL), dried over Na2SO4 and filtered. The filtrate was evaporated in vacuo and the residue was purified by flash column chromatography on silica gel to give 3-[3-(3-methyl-pyrrolidin-1-yl)-pyrazin-2-yl]-azetidine-1-carboxylic acid tert-butyl ester (43) (194 mg, 0.56 mmol, yield 75.99%)o
ESI-MS (M+1): 319 calc. for C17H26N4O2 318
Figure US09718803-20170801-C00561
Step 2. 2-Azetidin-3-Yl-3-(3-Methyl-Pyrrolidin-1-Yl)-Pyrazine Hydrochloride (44)
A solution of 3-[3-(3-methyl-pyrrolidin-1-yl)-pyrazin-2-yl]-azetidine-1-carboxylic acid tert-butyl ester (43) (191 mg, 0.6 mmol) in 4N HCl/MeOH (13 mL) was stirred at RT for 30 min. The reaction mixture was concentrated to give 2-azetidin-3-yl-3-(3-methyl-pyrrolidin-1-yl)-pyrazine hydrochloride (44)
(150 mg, 0.59 mmol, yield 99%).
ESI-MS (M+1): 219 calc. for C12H18N4218.
Preparation 14
Figure US09718803-20170801-C00562
3-(3-Chloro-Quinoxalin-2-Yl)-Azetidine-1-Carboxylic Acid Tert-Butyl Ester (46)
A 100 mL 3-neck round bottom flask fitted with a magnetic stirrer and flushed with nitrogen was charged with zinc dust (1.3 g, preactivated according to the above Preparation 1, 20 mmol, 2.0 eq.) and DMA (10 mL, anhydrous). 1, 2-Dibromoethane (400 mg, 2.0 mmol, 0.2 eq) was added slowly, followed by TMSCl (240 mg, 2.0 mmol, 0.2 eq). The reaction was stirred for 15 min at RT. A solution of N-Boc-3-iodoazetidine (2) (4 g, 16 mmol, 1.6 eq) in DMA (10 mL, anhydrous) was added dropwise. The suspension was stirred for 1 h at RT.
A 100 mL 3-neck round bottom flask fitted with a mechanical stirrer was charged with 2,3-dichloro-quinoxaline (44) (2 g, 10 mmol, 1.0 eq), Pd(dppf)Cl2 (800 mg, 1.0 mmol, 0.1 eq), cuprous iodide (200 mg, 1.0 mmol, 0.1 eq), and DMA (20 mL, anhydrous). The dark solution was degassed for 15 min. The clear zinc reagent solution above the residual solid zinc was transferred to the above 100 mL flask by cannulation. The dark solution was degassed and heated to 80° C. for 16 h. The reaction was diluted with brine and extracted with EtOAc (3×100 mL). The combined organics were washed with water (2×100 mL) and brine (100 mL), followed by drying over sodium sulfate. The solution was concentrated and the residue was purified by flash column chromatography (PE:EAOAc=2:1) provides 3-(3-chloro-quinoxalin-2-yl)-azetidine-1-carboxylic acid tert-butyl ester (46) (1.43 g, 4.5 mmol, 45% yield) as a light yellow solid.
ESI-MS (M+1): 320 calc. for C16H18ClN3O2319.
Preparation 15
Figure US09718803-20170801-C00563
Step 1. 3-[3-(4-Hydroxymethyl-Piperidin-1-Yl)-Quinoxalin-2-Yl]-Azetidine-1-Carboxylic Acid Tert-Butyl Ester (47)
To a solution of 3-(3-chloro-quinoxalin-2-yl)-azetidine-1-carboxylic acid tert-butyl ester (46) (638 mg, 2 mmol, Preparation 14) and piperidin-4-yl-methanol (253 mg, 2.2 mmol) in DMSO (10 mL) was added Et3N (404 mg, 4 mmol). The reaction mixture was stirred at 140° C. in microwave heating for 4 h. The reaction mixture was diluted with water, extracted with EtOAc (30 mL×3). The combined organic extracts were washed with water (30 mL) and brine (30 mL), dried over Na2SO4 and filtered. The filtrate was evaporated in vacuo and the residue was purified by flash column chromatography on silica gel to give (47) (670 mg, 1.68 mmol, yield 84.15%). ESI-MS (M+1): 399 calc. for C17H22N4O 398.
Figure US09718803-20170801-C00564
Step 2. [1-(3-Azetidin-3-Yl-Quinoxalin-2-Yl)-Piperidin-4-Yl]-Methanol Hydrochloride (48)
A solution of (47) (670 mg, 1.68 mmol) in 4N HCl/MeOH (25 mL) was stirred at RT for 30 min. The reaction mixture was concentrated to give [1-(3-azetidin-3-yl-quinoxalin-2-yl)-piperidin-4-yl]-methanol hydrochloride (48) (560 mg, 1.67 mmol, yield 99%).
ESI-MS (M+1): 299 calc. for C17H22N4O 298.
Preparation 16
Figure US09718803-20170801-C00565
Figure US09718803-20170801-C00566
Step 1. 2-Azetidin-3-Yl-3-Chloro-Pyrazine Hydrochloride (8)
A solution of compound (7) (540 mg, 2.0 mmol) in 2N HCl/MeOH (20 mL) was stirred at RT for 30 min according to Preparation 2. The reaction mixture was concentrated to give compound (8) (440 mg, 1.99 mmol, yield 99.7%).
ESI-MS (M+1): 170 calc. for C7H8ClN3 169.
Figure US09718803-20170801-C00567
Step 2. 4-(3-Azetidin-3-Yl-Pyrazin-2-Yl)-3,6-Dihydro-2H-Pyridine-1-Carboxylic Acid Tert-Butyl Ester (50)
To a solution of (8) (442 mg, 2.0 mmol), 4-phenylboronic acid-3,6-dihydro-2H-pyridine-1-carboxylic acid tert-butyl ester (49) (679.8 mg, 2.2 mmol), K3PO4 (818 mg, 4.0 mmol) in dioxane (20 mL) and water (4 mL) was added Pd(dppf)Cl2 (73.2 mg, 0.1 mmol) then the reaction mixture was stirred at 90° C. under nitrogen atmosphere overnight. The reaction mixture was filtered through CELITE® and washed with EtOAc (50 mL). The filtrate was concentrated and the crude product was purified by silica gel column to give (50) (540 mg, 1.7 mmol, yield 85%).
ESI-MS (M+1): 317 calc. for C17H24N4O2 316.
Figure US09718803-20170801-C00568
Step 3. 4-(3-Azetidin-3-Yl-Pyrazin-2-Yl)-Piperidine-1-Carboxylic Acid Tert-Butyl Ester (51)
To a solution of 4-(3-azetidin-3-yl-pyrazin-2-yl)-3,6-dihydro-2H-pyridine-1-carboxylic acid tert-butyl ester (50) (540 mg, 1.7 mmol) in MeOH was added Pd/C (10%, 0.5 g) under nitrogen. The reaction was stirred under hydrogen (30 psi) at RT for 6 h. Filtered to remove Pd/C and concentrated to dryness to give 4-(3-azetidin-3-yl-pyrazin-2-yl)-piperidine-1-carboxylic acid tert-butyl ester (51) (502 mg, 1.58 mmol yield 92.9%).
ESI-MS (M+1): 319 calc. for C17H26N4O2 318.
Figure US09718803-20170801-C00569
Step 4. 4-[3-(1-Quinolin-2-Yl-Azetidin-3-Yl)-Pyrazin-2-Yl]-Piperidine-1-Carboxylic Acid Tert-Butyl Ester (53)
To a solution of (51) (318 mg, 1 mmol) and 2-chloro-quinoline (52) (163 mg, 1 mmol) in DMF was added Cs2CO3 (650 mg, 2 mmol). The reaction mixture was stirred at 100° C. overnight. The reaction mixture was diluted with water, extracted with EtOAc (3×20 mL). The combined organic extracts were washed with water (20 mL) and brine (20 mL), dried over Na2SO4 and filtered. The filtrate was evaporated in vacuo and the residue was purified by flash column chromatography on silica gel to give (53) (346 mg, 0.78 mmol, yield 77.8%).
ESI-MS (M+1): 446 calc. for C26H31N5O2 445.
Figure US09718803-20170801-C00570
Step 5. 2-[3-(3-Piperidin-4-Yl-Pyrazin-2-Yl)-Azetidin-1-Yl]-Quinoline Hydrochloride (54)
A solution of 4-[3-(1-quinolin-2-yl-azetidin-3-yl)-pyrazin-2-yl]-piperidine-1-carboxylic acid tert-butyl ester (53) (346 mg, 0.78 mmol) in 4N HCl/MeOH (20 mL) was stirred at RT for 30 min. The reaction mixture was concentrated to give the product (54) (294 mg, 0.77 mmol, yield 98.9%).
ESI-MS (M+1): 346 calc. for C21H23N5345.
Preparation 17
Figure US09718803-20170801-C00571
Step 1. 3-Bromo-5-Fluoro-Pyridin-2-Ylamine (56)
NBS (10 g, 56.2 mmol) was added slowly to a solution of 5-fluoro-pyridin-2-ylamine (55) (12.4 g, 56.2 mmol) in MeCN (200 mL). The reaction mixture was stirred at RT overnight. After completion, the solution was filtered and the filtrate was concentrated to obtain a residue, which was purified by silica gel chromatography (10% to 20% EtOAc in petroleum ether) to give 3-bromo-5-fluoro-pyridin-2-ylamine (56) (5.2 g, 27.2 mmol, 31% yield) as a yellow solid.
ESI-MS (M+1): 191 calc. for C5H4BrFN2 190.
Figure US09718803-20170801-C00572
Step 2. 2,3-Dibromo-5-Fluoro-Pyridine (57)
At 60° C., 3-bromo-5-fluoro-pyridin-2-ylamine (56) (1.91 g, 0.01 mol) was dissolved in 48% hydrobromic acid (30 mL). After cooling to −5° C., bromine (3.24 g, 0.02 mol) was added dropwise over 5 min. A solution of sodium nitrite (1.01 g, 0.02 mol) in water (3 mL) was then added at a rate to keep the temperature of the reaction mixture between −5° C. and 0° C. When finished, the temperature was allowed to reach 25° C. The bromine was reduced with an excess of solid sodium sulfite, and the reaction mixture was extracted with EtOAc (3×50 mL). The combined organic extracts were washed with water (30 mL), brine (30 mL), dried over Na2SO4 and filtered. The filtrate was evaporated in vacuo and the residue was purified by flash column chromatography on silica gel (10% to 20% EtOAc in petroleum ether) to give 2,3-dibromo-5-fluoro-pyridine (57) (1.27 g, 5.0 mmol, 50% yield) as a yellow solid.
ESI-MS (M+1): 254 calc. for C5H2Br2FN 253.
Figure US09718803-20170801-C00573
Step 3. 3-(3-Bromo-5-Fluoro-Pyridin-2-Yl)-Azetidine-1-Carboxylic Acid Tert-Butyl Ester (58)
A 100 mL 3-neck round bottom flask fitted with a magnetic stirrer and flushed with nitrogen was charged with zinc dust (813 mg, preactivated according to the above Preparation 1, 12.7 mmol) and DMA (10 mL, anhydrous). 1,2-dibromoethane (236 mg, 1.27 mmol) was added slowly, followed by TMSCl (137 mg, 1.27 mmol). The reaction was stirred for 15 min at RT. A solution of N-Boc-3-iodoazetidine (2) (2.7 g, 9.5 mmol) in DMA (10 mL, anhydrous) was added dropwise. The suspension was stirred for 1 h at RT.
A 100 mL 3-neck round bottom flask fitted with a mechanical stirrer was charged with 2,3-dibromo-pyridine (57) (1.62 g, 6.4 mmol), Pd(dppf)Cl2 (446 mg, 0.64 mmol, 0.1 eq), cuprous iodide (121 mg, 0.64 mmol), and DMA (20 mL, anhydrous). The dark solution was degassed for 15 min. The clear zinc reagent solution above the residual solid zinc was transferred to the above 100 mL flask by cannulation. The dark solution was degassed and heated to 80° C. for 16 h. The reaction was diluted with brine and extracted with EtOAc (3×100 mL). The combined organics were washed with water (2×100 mL) and brine (100 mL), followed by drying over sodium sulfate. The solution was concentrated and the residue was purified by flash column chromatography (PE:EtOAc=2:1) provided the title compound (58) (860 mg, 2.6 mmol, 40% yield) as a light yellow solid.
ESI-MS (M+1): 331 calc. for C13H16BrFN2O2330.
Preparation 18
Figure US09718803-20170801-C00574
Figure US09718803-20170801-C00575
Step 1. [1-(3,6-Dichloro-Pyridazin-4-Yl)-Piperidin-4-Yl]-Methanol (60)
To a solution of 3,4,6-trichloro-pyridazine (59) (364 mg, 2 mmol) and piperidin-4-yl-methanol (35) (253 mg, 2.2 mmol) in DMSO (5 mL) was added Et3N (404 mg, 4 mmol). The reaction mixture was stirred at 100° C. overnight. The reaction mixture was diluted with water, extracted with EtOAc (30 mL×3). The combined organic extracts were washed with water (30 mL) and brine (30 mL), dried over Na2SO4 and filtered. The filtrate was evaporated in vacuo and the residue was purified by flash column chromatography on silica gel to give [1-(3,6-dichloro-pyridazin-4-yl)-piperidin-4-yl]-methanol (60) (292.3 mg, 1.12 mmol, yield 75.99%)o
ESI-MS (M+1): 262 calc. for C10H13Cl2N3O 261.
Figure US09718803-20170801-C00576
Step 2. 4-[4-(Tert-Butyl-Dimethyl-Silanyloxymethyl)-Piperidin-1-Yl]-3,6-Dichloro-Pyridazine (61)
[1-(3,6-dichloro-pyridazin-4-yl)-piperidin-4-yl]-methanol (60) (1.83 g, 7 mol) upon treatment with TBSCl (2.1 g, 14 mmol) and imidazole (2.38 g, 35 mmol) in DMF (15 mL) stirred at RT for 3 h, The reaction mixture was diluted with water, extracted with EtOAc (40 mL×3). The combined organic extracts were washed with water (20 mL) and brine (20 mL), dried over Na2SO4 and filtered. The filtrate was evaporated in vacuo and the residue was purified by flash column chromatography on silica gel to give 4-[4-(tert-butyl-dimethyl-silanyloxymethyl)-piperidin-1-yl]-3,6-dichloro-pyridazine (61) (2.55 g, 6.8 mmol, 99% yield) ESI-MS (M+1): 376 calc. for C16H27Cl2N3OSi 375.
Figure US09718803-20170801-C00577
Step 3. 3-{4-[4-(Tert-Butyl-Dimethyl-Silanyloxymethyl)-Piperidin-1-Yl]-6-Chloro-Pyridazin-3-Yl}-Azetidine-1-Carboxylic Acid Tert-Butyl Ester (62)
A 100 mL 3-neck round bottom flask fitted with a magnetic stirrer and flushed with nitrogen was charged with zinc dust (813 mg, preactivated according to the above Preparation 1, 12.7 mmol) and DMA (10 mL, anhydrous). 1,2-dibromoethane (236 mg, 1.27 mmol) was added slowly, followed by TMSCl (137 mg, 1.27 mmol). The reaction was stirred for 15 min at RT. A solution of N-Boc-3-iodoazetidine (2) (2.7 g, 9.5 mmol) in DMA (10 mL, anhydrous) was added dropwise. The suspension was stirred for 1 h at RT.
A 100 mL 3-neck round bottom flask fitted with a mechanical stirrer was charged with 4-[4-(tert-butyl-dimethyl-silanyloxymethyl)-piperidin-1-yl]-3,6-dichloro-pyridazine (61) (2.4 g, 6.4 mmol), Pd(dppf)Cl2 (446 mg, 0.64 mmol), cuprous iodide (121 mg, 0.64 mmol), and DMA (20 mL, anhydrous). The dark solution was degassed for 15 min. The clear zinc reagent solution above the residual solid zinc was transferred to the above 100 mL flask by cannulation. The dark solution was degassed and heated to 80° C. for 16 h. The reaction was diluted with brine and extracted with EtOAc (3×100 mL). The combined organics were washed with water (2×100 mL) and brine (100 mL), followed by drying over sodium sulfate. The solution was concentrated and the residue was purified by flash column chromatography (PE:EAOAc=2:1) provides the title compound (62) (1.25 g, 2.5 mmol, 39% yield) as a light yellow solid.
ESI-MS (M+1): 497 calc. for C24H41ClN4O3Si 496.
Figure US09718803-20170801-C00578
Step 4. 3-{4-[4-(Tert-Butyl-Dimethyl-Silanyloxymethyl)-Piperidin-1-Yl]-Pyridazin-3-Yl}-Azetidine-1-Carboxylic Acid Tert-Butyl Ester (63)
To a solution of 3-{4-[4-(tert-butyl-dimethyl-silanyloxymethyl)-piperidin-1-yl]-6-chloro-pyridazin-3-yl}-azetidine-1-carboxylic acid tert-butyl ester (62) (843 mg, 1.7 mmol) in MeOH was added Pd/C (10%, 0.5 g) under nitrogen. The reaction was stirred under hydrogen at RT for 6 h, filtered to remove Pd/C and concentrated to dryness to give 3-{4-[4-(tert-butyl-dimethyl-silanyloxymethyl)-piperidin-1-yl]-pyridazin-3-yl}-azetidine-1-carboxylic acid tert-butyl ester (63) (730 mg, 1.58 mmol yield 92.9%).
ESI-MS (M+1): 463 calc. for C24H42N4O3Si 462.
Figure US09718803-20170801-C00579
Step 5. [1-(3-Azetidin-3-Yl-Pyridazin-4-Yl)-Piperidin-4-Yl]-Methanol Hydrochloride (64)
A mixture of 3-{4-[4-(tert-butyl-dimethyl-silanyloxymethyl)-piperidin-1-yl]-pyridazin-3-yl}-azetidine-1-carboxylic acid tert-butyl ester (63) (730 mg, 1.58 mmol) in 4 M HCl/MeOH solution (20 mL) was stirred at RT for 30 min. Then the solvent was evaporated at 40° C. to give [1-(3-azetidin-3-yl-pyridazin-4-yl)-piperidin-4-yl]-methanol hydrochloride (64) (387 mg, 1.56 mmol, 98% yield) as a yellow solid.
ESI-MS (M+1): 249 calc. for C13H20N4O 248.
Preparation 19
Figure US09718803-20170801-C00580
Step 1. 4-Dimethylcarbamoyl-Piperidine-1-Carboxylic Acid Tert-Butyl Ester (66)
To a mixture of piperidine-1,4-dicarboxylic acid mono-tert-butyl ester (65) (229 mg, 1 mmol, AalenChem) in DCM (5 mL) was added TEA (202 mg, 2 mmol) and HATU (414 mg, 1.2 mmol). The reaction mixture was stirred for 5 min and dimethylamine hydrochloride (81 mg, 1 mmol) was added. The reaction mixture was stirred at RT overnight. The mixture was diluted with water (10 mL), and extracted with EtOAc (2×20 mL). The combined organic extracts were washed with water (5 mL) and brine (5 mL), dried over Na2SO4, and filtered. The filtrate was evaporated in vacuo and the residue was purified by column chromatography to give 4-dimethylcarbamoyl-piperidine-1-carboxylic acid tert-butyl ester (66) (220 mg, 0.85 mmol, 85% yield) as a light yellow oil.
Figure US09718803-20170801-C00581
Step 2. Piperidine-4-Carboxylic Acid Dimethylamide Hydrochloride (67)
A solution of 4-dimethylcarbamoyl-piperidine-1-carboxylic acid tert-butyl ester (66) (220 mg, 0.85 mmol) in 4N HCl/MeOH (20 mL) was stirred at RT for 30 min. The reaction mixture was concentrated to give the product piperidine-4-carboxylic acid dimethylamide hydrochloride (67) (163 mg, 0.85 mmol, yield 99.9%).
ELSD-MS (M+1): 157 calc. for C8H16N2O 156.
The following Table 5 lists compounds of Preparation P19.1 to P19.4, which were made analogous to Preparation 19 by using the appropriate materials.
TABLE 5
PREPARATION P19.1 TO P19.4
ESI-MS
Ex. # Chemical Structure Chemical Name (M + 1)
P19.1
Figure US09718803-20170801-C00582
4-Dimethylcarbamoyl-piperidine- 1-carboxylic acid tert- butyl ester 257
P19.2
Figure US09718803-20170801-C00583
4-methylcarbamoyl-piperidine-1- carboxylic acid tert-butyl ester 243
P19.3
Figure US09718803-20170801-C00584
Piperidine-4-carboxylic acid dimethylamide hydrochloride 157
P19.4
Figure US09718803-20170801-C00585
Piperidine-4-carboxylic acid methylamide hydrochloride 143
Preparation 20
Figure US09718803-20170801-C00586
Step 1. 3-(3-M-Tolyl-Quinoxalin-2-Yl)-Azetidine-1-Carboxylic Acid Tert-Butyl Ester
To a solution of 3-(3-chloro-quinoxalin-2-yl)-azetidine-1-carboxylic acid tert-butyl ester (46) (639 mg, 2.0 mmol, as prepared in the above Preparation 14), 3-methyl-phenylboronic acid (68) (299.2 mg, 2.2 mmol), K3PO4 (818 mg, 4.0 mmol) in dioxane (20 mL) and water (4 mL) was added Pd(dppf)Cl2 (73.2 mg, 0.1 mmol) then the reaction mixture was stirred at 90° C. under nitrogen atmosphere overnight. The reaction mixture was filtered through CELITE® and washed with EtOAc (50 mL). The filtrate was concentrated and the crude product was purified by silica gel column to give 3-(3-m-tolyl-quinoxalin-2-yl)-azetidine-1-carboxylic acid tert-butyl ester (69) (637 mg, 1.7 mmol, yield 85%).
ESI-MS (M+1): 376 calc. for C23H25N3O2 375.
Figure US09718803-20170801-C00587
Step 2. 2-Azetidin-3-Yl-3-M-Tolyl-Quinoxaline Hydrochloride (70)
A solution of 3-(3-m-tolyl-quinoxalin-2-yl)-azetidine-1-carboxylic acid tert-butyl ester (69) (637 mg, 1.7 mmol) in 4N HCl/MeOH (25 mL) was stirred at RT for 30 min. The reaction mixture was concentrated to give 2-azetidin-3-yl-3-m-tolyl-quinoxaline hydrochloride (70) (523 mg, 1.68 mmol, yield 98.8%).
ESI-MS (M+1): 276 calc. for C18H17N3275.
The following Table 6 lists compounds of Preparation P20.1 to P20.10, which were made analogous to Preparation 20 by using the appropriate materials.
TABLE 6
PREPARATION P20.1 TO P20.10
Ex. # Chemical Structure Chemical Name ESI-MS (M + 1)
P20.1
Figure US09718803-20170801-C00588
3-(3-m-Tolyl-quinoxalin-2-yl)- azetidine-1-carboxylic acid tert- butyl ester 376
P20.2
Figure US09718803-20170801-C00589
tert-butyl 3-(3-(4- aminophenyl)quinoxalin-2- yl)azetidine-1-carboxylate 376
P20.3
Figure US09718803-20170801-C00590
tert-butyl 3-(3-(3- hydroxyphenyl)quinoxalin-2- yl)azetidine-1-carboxylate 378
P20.4
Figure US09718803-20170801-C00591
tert-butyl 3-(3-(3- methoxyphenyl)quinoxalin-2- yl)azetidine-1-carboxylate 392
P20.5
Figure US09718803-20170801-C00592
tert-butyl 3-(3- phenylquinoxalin-2- yl)azetidine-1-carboxylate 362
P20.6
Figure US09718803-20170801-C00593
2-Azetidin-3-yl-3-m-tolyl- quinoxaline hydrochloride 276
P20.7
Figure US09718803-20170801-C00594
4-(3-(azetidin-3-yl)quinoxalin- 2-yl)aniline hydrochloride 277
P20.8
Figure US09718803-20170801-C00595
3-(3-(azetidin-3-yl)quinoxalin- 2-yl)phenol hydrochloride 278
P20.9
Figure US09718803-20170801-C00596
2-(azetidin-3-yl)-3-(3- methoxyphenyl)quinoxaline hydrochloride 292
P20.10
Figure US09718803-20170801-C00597
2-(azetidin-3-yl)-3- phenylquinoxaline hydrochloride 262
Preparation 21
Figure US09718803-20170801-C00598
Step 1. 3-[3-(2-Hydroxy-Phenyl)-Pyrazin-2-Yl]-Azetidine-1-Carboxylic Acid Tert-Butyl Ester (72)
To a solution of 3-(3-chloro-pyrazin-2-yl)-azetidine-1-carboxylic acid tert-butyl ester (7) (540 mg, 2.0 mmol, see Preparation 2), 2-hydroxy-phenylboronic acid (71) (303.6 mg, 2.2 mmol), K3PO4 (818 mg, 4.0 mmol), in dioxane (20 mL) and water (4 mL) was added Pd(dppf)Cl2 (73.2 mg, 0.1 mmol) then the reaction mixture was stirred at 90° C. under nitrogen atmosphere overnight. The reaction mixture was filtered through CELITE® and washed with EtOAc (50 mL). The filtrate was concentrated and the crude product was purified by silica gel column to give (72) (601.7 mg, 1.84 mmol, yield 91.85%).
ESI-MS (M+1): 328 calc. for C18H21N3O3 327.
Figure US09718803-20170801-C00599
Step 2. 2-(3-Azetidin-3-Yl-Pyrazin-2-Yl)-Phenol Hydrochloride (73)
A solution of 3-[3-(2-hydroxy-phenyl)-pyrazin-2-yl]-azetidine-1-carboxylic acid tert-butyl ester (72) (325 mg, 1.0 mmol) in 4N HCl/MeOH (20 mL) was stirred at RT for 30 min. The reaction mixture was concentrated to give (74) (274.3 mg, 0.99 mmol, yield 99.24%).
ESI-MS (M+1): 228 calc. for C13H13N3O 227.
The following Table 7 lists compounds of Preparation P21.1 to P21.8, which were made analogous to Preparation 21 by using the appropriate materials.
TABLE 7
PREPARATION P21.1 TO P21.8
ESI-MS
Ex. # Chemical Structure Chemical Name (M + 1)
P21.1
Figure US09718803-20170801-C00600
2-(3-(azetidin-3-yl) pyrazin-2- yl)phenol hydrochloride 228
P21.2
Figure US09718803-20170801-C00601
3-(3-(azetidin-3-yl) pyrazin-2- yl)phenol hydrochloride 228
P21.3
Figure US09718803-20170801-C00602
4-(3-(azetidin-3-yl) pyrazin-2- yl)phenol hydrochloride 228
P21.4
Figure US09718803-20170801-C00603
2-(3-(azetidin-3-yl) pyrazin-2- yl)aniline hydrochloride 226
P21.5
Figure US09718803-20170801-C00604
3-(3-(azetidin-3-yl) pyrazin-2- yl)aniline hydrochloride 226
P21.6
Figure US09718803-20170801-C00605
4-(3-(azetidin-3-yl) pyrazin-2- yl)aniline hydrochloride 226
P21.7
Figure US09718803-20170801-C00606
2-(azetidin-3-yl)- 3-(4-fluoro-3- methoxyphenyl) pyrazine hydrochloride 260
P21.8
Figure US09718803-20170801-C00607
4-(3-(azetidin-3-yl) pyrazin-2- yl)-2-fluoroaniline hydrochloride 245
Preparation 22
Figure US09718803-20170801-C00608
Step 1. Tert-Butyl 3-(3-(Piperidin-1-Yl)Pyrazin-2-Yl)Azetidine-1-Carboxylate (74)
To a solution of 3-(3-chloro-pyrazin-2-yl)-azetidine-1-carboxylic acid tert-butyl ester (7) (200 mg, 0.74 mmol, see Preparation 2) and piperidine (69.2 mg, 0.84 mmol) in DMSO (5 mL) was added Et3N (149.5 mg, 1.48 mmol). The reaction mixture was stirred at 100° C. overnight. The reaction mixture was diluted with water, extracted with EtOAc (30 mL×3). The combined organic extracts were washed with water (30 mL) and brine (30 mL), dried over Na2SO4 and filtered. The filtrate was evaporated in vacuo and the residue was purified by flash column chromatography on silica gel to give tert-butyl 3-(3-(piperidin-1-yl)pyrazin-2-yl)azetidine-1-carboxylate (74). (194 mg, 0.56 mmol, yield 75.99%).
Figure US09718803-20170801-C00609
Step 2. 2-Azetidin-3-Yl-3-Piperidin-1-Yl-Pyrazine Hydrochloride (75)
A solution of 3-(3-piperidin-1-yl-pyrazin-2-yl)-azetidine-1-carboxylic acid tert-butyl ester (74) (191 mg, 0.6 mmol) in 4N HCl/MeOH (13 mL) was stirred at RT for 30 min. The reaction mixture was concentrated to give (75) (150 mg, 0.59 mmol, yield 99%). ESI-MS (M+1): 219 calc. for C12H18N4218.
The following Table 8 lists compounds of Preparation P22.1 to P22.12, which were made analogous to Preparation 22 by using the appropriate materials.
TABLE 8
PREPARATION P22.1 TO P22.12
Ex. # Chemical Structure Chemical Name ESI-MS (M + 1)
P22.1
Figure US09718803-20170801-C00610
tert-butyl 3-(3-(piperidin-1- yl)pyrazin-2-yl)azetidine-1- carboxylate 319
P22.2
Figure US09718803-20170801-C00611
tert-butyl 3-(3-(4- methylpiperidin-1-yl)pyrazin- 2-yl)azetidine-1-carboxylate 333
P22.3
Figure US09718803-20170801-C00612
tert-butyl 3-(3-(4- carbamoylpiperidin-1- yl)pyrazin-2-yl)azetidine-1- carboxylate 362
P22.4
Figure US09718803-20170801-C00613
tert-butyl 3-(3-(4- (dimethylcarbamoyl)piperidin- 1-yl)pyrazin-2-yl)azetidine-1- carboxylate 390
P22.5
Figure US09718803-20170801-C00614
tert-butyl 3-(3-(4- (methylcarbamoyl)piperidin-1- yl)pyrazin-2-yl)azetidine-1- carboxylate 376
P22.6
Figure US09718803-20170801-C00615
tert-butyl 3-(3-(4- acetylpiperazin-1-yl)pyrazin-2- yl)azetidine-1-carboxylate 362
P22.7
Figure US09718803-20170801-C00616
2-(azetidin-3-yl)-3-(piperidin- 1-yl)pyrazine hydrochloride 219
P22.8
Figure US09718803-20170801-C00617
2-(azetidin-3-yl)-3-(4- methylpiperidin-1-yl)pyrazine hydrochloride 233
P22.9
Figure US09718803-20170801-C00618
1-(3-(azetidin-3-yl)pyrazin-2- yl)piperidine-4-carboxamide hydrochloride 262
P22.10
Figure US09718803-20170801-C00619
1-(3-(azetidin-3-yl)pyrazin-2- yl)-N,N-dimethylpiperidine-4- carboxamide hydrochloride 290
P22.11
Figure US09718803-20170801-C00620
1-(3-(azetidin-3-yl)pyrazin-2- yl)-N-methylpiperidine-4- carboxamide hydrochloride 276
P22.12
Figure US09718803-20170801-C00621
1-(4-(3-(azetidin-3-yl)pyrazin- 2-yl)piperazin-1-yl)ethanone hydrochloride 262
Preparation 23
Figure US09718803-20170801-C00622
Step 1. 3-(5′-Fluoro-4-Hydroxymethyl-3,4,5,6-Tetrahydro-2H-[1,3′]Bipyridinyl-2′-Yl)-Azetidine-1-Carboxylic Acid Tert-Butyl Ester (76)
To a solution of 3-(3-bromo-5-fluoro-pyridin-2-yl)-azetidine-1-carboxylic acid tert-butyl ester (58) (660 mg, 2 mmol, Preparation 17) and piperidin-4-yl-methanol (35) (230 mg, 2 mmol) in DMSO (20 mL) was added Et3N (404 mg, 4 mmol). The reaction mixture was stirred at 100° C. overnight. The reaction mixture was diluted with water, extracted with EtOAc (50 mL×3). The combined organic extracts were washed with water (30 mL) and brine (30 mL), dried over Na2SO4 and filtered. The filtrate was evaporated in vacuo and the residue was purified by flash column chromatography (EtOAc:PE=3:1) on silica gel to give (76) (490 mg, 1.34 mmol, yield 67%). ESI-MS (M+1): 366 calc. for C19H28FN3O3365.
Figure US09718803-20170801-C00623
Step 2. (2′-Azetidin-3-Yl-5′-Fluoro-3,4,5,6-Tetrahydro-2H-[1,3′]Bipyridinyl-4-Yl)-Methanol Hydrochloride (77)
A mixture of 3-(5′-fluoro-4-hydroxymethyl-3,4,5,6-tetrahydro-2H-[1,3′]bipyridinyl-2′-yl)-azetidine-1-carboxylic acid tert-butyl ester (76) (490 mg, 1.34 mmol) in 4 M HCl/MeOH solution (10 mL) was stirred at RT for 30 min. Then the solvent was evaporated at 40° C. to give (77) (392 mg, 1.3 mmol, 98% yield) as a yellow solid. ESI-MS (M+1): 266 calc. for C14H20FN3O 265.
Preparation 24
Figure US09718803-20170801-C00624
Step 1. 3-(3-Bromo-Pyridin-2-Yl)-Azetidine-1-Carboxylic Acid Tert-Butyl Ester (3)
A 100 mL 3-neck round bottom flask fitted with a magnetic stirrer and flushed with nitrogen was charged with zinc dust (813 mg, preactivated according to the above Preparation 1, 12.7 mmol, 2.0 eq.) and DMA (10 mL, anhydrous). 1,2-Dibromoethane (236 mg, 1.27 mmol, 0.2 eq) was added slowly, followed by TMSCl (137 mg, 1.27 mmol, 0.2 eq). The reaction was stirred for 15 min at RT. A solution of N-Boc-3-iodoazetidine (2) (2.7 g, 9.5 mmol, 1.5 eq) in DMA (10 mL, anhydrous) was added dropwise. The suspension was stirred for 1 h at RT.
A 100 mL 3-neck round bottom flask fitted with a mechanical stirrer was charged with 2,3-dibromo-pyridine (1) (1.5 g, 6.4 mmol, 1.0 eq), PdCl2(dppf) (446 mg, 0.64 mmol, 0.1 eq), CuI (121 mg, 0.64 mmol, 0.1 eq), and DMA (20 mL, anhydrous). The dark solution was degassed for 15 min. The clear zinc reagent solution above the residual solid zinc was transferred to the above 100 mL flask by cannulation. The dark solution was degassed and heated to 80° C. for 16 h. The reaction was diluted with brine and extracted with EtOAc (3×100 mL). The combined organics were washed with water (2×100 mL) and brine (100 mL), followed by drying over sodium sulfate. The solution was concentrated and the residue was purified by flash column chromatography (PE:EtOAc=2:1) provides the title compound (3) (600 mg, 31% yield) as a light yellow solid.
ESI-MS (M+1): 313 calc. for C13H17BrN2O2312.
Figure US09718803-20170801-C00625
Step 2. 3-(3-Phenyl-Pyridin-2-Yl)-Azetidine-1-Carboxylic Acid Tert-Butyl Ester (79)
To a stirred solution of 3-(3-bromo-pyridin-2-yl)-azetidine-1-carboxylic acid tert-butyl ester (3) (150 mg, 0.48 mmol) in dioxane (10 mL) was added phenylboronic acid (78) (87 mg, 0.71 mmol), Na2CO3 (152 mg, 1.4 mmol) and H2O (2 mL). The reaction mixture was degassed with N2 and then PdCl2(dppf) (35 mg, 0.05 mmol) was added. The reaction mixture was stirred at 80° C. for 12 h. The reaction mixture was left to reach RT and filtered through a pad of CELITE® and the filter cake was washed with CH2Cl2 (20 mL×3). The combined filtrates were evaporated in vacuo and the residue was purified by column chromatography ((EtOAc:Petrol ether=3:1) to give the desired compound (79) (130 mg, 87% yield). ESI-MS (M+1): 311 calc. for C19H22N2O2 310.
Figure US09718803-20170801-C00626
Step 3. 2-Azetidin-3-Yl-3-Phenyl-Pyridine Hydrochloride
A mixture of 3-(3-phenyl-pyridin-2-yl)-azetidine-1-carboxylic acid tert-butyl ester (79) (130 mg, 0.60 mmol) in HCl/MeOH solution (5 mL) was stirred at RT for 30 min. Then the solvent was evaporated at 40° C. to give 2-Azetidin-3-yl-3-phenyl-pyridine hydrochloride (80) (100 mg, 100% yield) as a yellow solid.
ESI-MS (M+1): 211 calc. for C14H14N2210.
Preparation 25
Figure US09718803-20170801-C00627
Step 1. 1-Methyl-1H-Benzoimidazole-2-Carboxylic Acid Methyl Ester (81)
To a solution of 1H-benzoimidazole-2-carboxylic acid methyl ester (18) (177 mg, 1.0 mmol) in dry DMF (5 mL) was added sodium hydride (applied as 60% dispersion in oil, 62 mg, 1.5 mmol)) at 0° C. under N2 atmosphere. After 0.5 h, iodomethane (284 mg, 2.0 mmol) was added slowly. The reaction mixture was stirred at RT for 4 h. The reaction was diluted with brine at 0° C. and extracted with EtOAc (3×20 mL). The combined organics were washed with water (2×15 mL), brine (20 mL), dried over sodium sulfate and filtered. The filtrate was concentrated and purified by flash column chromatography to provide the title compound (81) (180 mg, 90% yield) as a light yellow solid.
ESI-MS (M+1): 191 calc. for C10H10N2O2 190.
Figure US09718803-20170801-C00628
Step 2. 1-Methyl-1H-Benzoimidazole-2-Carboxylic Acid (82)
A mixture of 1-methyl-1H-benzoimidazole-2-carboxylic acid methyl ester (81) (190 mg, 1.0 mmol) and NaOH (80 mg, 2.0 mmol) in MeOH/H2O (1:1, 20 mL) was stirred at 50° C. for 1 h. The mixture was concentrated, then diluted with water (15 mL), adjusted pH=2 with concentrated HCl. Then the precipitate was formed and filtered, washed with water and dried to give 1-methyl-1H-benzoimidazole-2-carboxylic acid (82) (176 mg, 1.0 mmol, yield 100%) ESI-MS (M+1): 177 calc. for C9H8N2O2176.
Figure US09718803-20170801-C00629
Step 3. [3-(3-Chloro-Pyrazin-2-Yl)-Azetidin-1-Yl]-(1-Methyl-1H-Benzoimidazol-2-Yl)-Methanone (83)
A mixture of 1-methyl-1H-benzoimidazole-2-carboxylic acid (82) (176 mg, 1.0 mmol), 2-Azetidin-3-yl-3-chloro-pyrazine hydrochloride (8) (169 mg, 1.0 mmol), HOBt (151 mg, 1.2 mmol), EDCI (231 mg, 1.2 mmol) and N-methyl-morpholine (NMM) (300 mg, 3.0 mmol) in DMF (5 mL) was stirred at RT for 24 h. The mixture was diluted with water (20 mL), and filtered. The filter cake was washed with water and dried in vacuo to provide [3-(3-chloro-pyrazin-2-yl)-azetidin-1-yl]-(1-methyl-1H-benzoimidazol-2-yl)-methanone (83) (300 mg, yield 90%).
ESI-MS (M+1): 328 calc. for C16H14ClN5O 327.
Preparation 26
Figure US09718803-20170801-C00630
[3-(3-Chloro-Pyrazin-2-Yl)-Azetidin-1-Yl]-[1-(2,2,2-Trifluoro-Ethyl)-1H-Benzoimidazol-2-Yl]-Methanone (85)
To a solution of (1H-benzoimidazol-2-yl)-[3-(3-chloro-pyrazin-2-yl)-azetidin-1-yl]-methanone (84), as prepared in Preparation 36 below, (314 mg, 1.0 mmol) in dry DMF (10 mL) was added sodium hydride (applied as 60% dispersion in oil, 62 mg, 1.5 mmol)) at 0° C. under N2 atmosphere. After 0.5 h, 1,1,1-Trifluoro-2-iodo-ethane (418 mg, 2.0 mmol) was added slowly. The reaction mixture was stirred at RT for 4 h. The reaction was quenched with water (10 mL) at 0° C. and extracted with EtOAc (3×20 mL). The combined organics were washed with water (2×15 mL), brine (20 mL), dried over sodium sulfate and filtered. The filtrate was concentrated and the residue was purified by flash column chromatography to provide (85) (355 mg, 0.90 mmol, 90% yield) as white solid.
ESI-MS (M+1): 396 calc. for C17H13ClF3N5O 395.
Preparation 27
Figure US09718803-20170801-C00631
Step 1. 3-(3-Phenyl-Pyridin-2-Yl)-Azetidine-1-Carboxylic Acid Tert-Butyl Ester (86)
To a stirred solution of 3-(3-bromo-pyridin-2-yl)-azetidine-1-carboxylic acid tert-butyl ester (3) (158 mg, 0.48 mmol) in dioxane (10 mL) was added phenylboronic acid (78) (87 mg, 0.71 mmol), Na2CO3 (152 mg, 1.4 mmol) and H2O (2 mL). The reaction mixture was degassed with N2 and then PdCl2(dppf) (35 mg, 0.05 mmol) was added. The reaction mixture was stirred at 80° C. for 12 h. The reaction mixture was left to reach RT and filtered through a pad of CELITE® and the filter cake was washed with CH2Cl2 (20 mL×3). The combined filtrates were evaporated in vacuo and the residue was purified by column chromatography ((EtOAc:Petrol ether=3:1) to give 3-(3-phenyl-pyridin-2-yl)-azetidine-1-carboxylic acid tert-butyl ester (125 mg, 0.38 mmol, 80% yield).
ESI-MS (M+1): 329 calc. for C19H21FN2O2328.
Figure US09718803-20170801-C00632
Step 2. 2-Azetidin-3-Yl-5-Fluoro-3-Phenyl-Pyridine Hydrochloride (87)
A mixture of 3-(3-phenyl-pyridin-2-yl)-azetidine-1-carboxylic acid tert-butyl ester (86) (125 mg, 0.38 mmol) in 4 M HCl/MeOH solution (10 mL) was stirred at RT for 30 min. Then the solvent was evaporated at 40° C. to give 2-azetidin-3-yl-5-fluoro-3-phenyl-pyridine hydrochloride (87) (100 mg, 0.38 mmol, 100% yield) as a yellow solid.
ESI-MS (M+1): 229 calc. for C14H13FN2 228.
Preparation 28
Figure US09718803-20170801-C00633
Step 1. 4-(3-Chloro-Pyrazin-2-Yl)-Piperidine-1-Carboxylic Acid Tert-Butyl Ester (88)
A 100 mL 3-neck round bottom flask fitted with a magnetic stirrer and flushed with nitrogen was charged with zinc dust (813 mg, preactivated according to the above Preparation 1, 12.7 mmol, 2.0 eq.) and DMA (10 mL, anhydrous). 1,2-dibromoethane (236 mg, 1.27 mmol, 0.2 eq) was added slowly, followed by TMSCl (137 mg, 1.27 mmol, 0.2 eq). The reaction was stirred for 15 min at RT. A solution of 4-iodo-piperidine-1-carboxylic acid tert-butyl ester (38) (2.95 g, 9.5 mmol, 1.5 eq) in DMA (10 mL, anhydrous) was added dropwise. The suspension was stirred for 1 h at RT.
A 100 mL 3-neck round bottom flask fitted with a mechanical stirrer was charged with 2,3-dichloro-pyrazine (6) (0.95 g, 6.4 mmol, 1.0 eq), PdCl2(dppf) (446 mg, 0.64 mmol, 0.1 eq), CuI (121 mg, 0.64 mmol, 0.1 eq), and DMA (20 mL, anhydrous). The dark solution was degassed for 15 min. The clear zinc reagent solution above the residual solid zinc was transferred to the above 100 mL flask by cannulation. The dark solution was degassed and heated to 80° C. for 16 h. The reaction was diluted with brine and extracted with EtOAc (3×100 mL). The combined organics were washed with water (2×100 mL) and brine (100 mL), followed by drying over sodium sulfate. The solution was concentrated and the residue was purified by flash column chromatography (PE:EA=2:1) provides the title compound (88) (0.95 g, 3.2 mmol, 50% yield) as a light yellow solid.
ESI-MS (M+1): 298 calc. for C14H20ClN3O2297.
Figure US09718803-20170801-C00634
Step 4. 4-(3-Phenyl-Pyrazin-2-Yl)-Piperidine-1-Carboxylic Acid Tert-Butyl Ester (89)
To a stirred solution of (88) (142 mg, 0.48 mmol) in dioxane (10 mL) was added phenylboronic acid (78) (87 mg, 0.71 mmol), Na2CO3 (152 mg, 1.4 mmol) and H2O (2 mL). The reaction mixture was degassed with N2 and then PdCl2(dppf) (35 mg, 0.05 mmol) was added. The reaction mixture was stirred at 80° C. for 12 h. The reaction mixture was left to reach RT and filtered through a pad of CELITE® and the filter cake was washed with CH2Cl2 (20 mL×3). The combined filtrates were evaporated in vacuo and the residue was purified by column chromatography ((EtOAc:Petrol ether=1:1) to give 4-(3-Phenyl-pyrazin-2-yl)-piperidine-1-carboxylic acid tert-butyl ester (89) (128 mg, 0.38 mmol, 80% yield).
ESI-MS (M+1): 340 calc. for C20H25N3O2 339.
Figure US09718803-20170801-C00635
Step 4. 2-Phenyl-3-Piperidin-4-Yl-Pyrazine Hydrochloride (90)
A mixture of 4-(3-Phenyl-pyrazin-2-yl)-piperidine-1-carboxylic acid tert-butyl ester (89) (128 mg, 0.38 mmol) in 4 M HCl/MeOH solution (10 mL) was stirred at RT. for 30 min. Then the solvent was evaporated at 40° C. to give 2-phenyl-3-piperidin-4-yl-pyrazine hydrochloride (90) (105 mg, 0.38 mmol, 100% yield) as a yellow solid.
ESI-MS (M+1): 240 calc. for C15H17N3239.
Preparation 29
Figure US09718803-20170801-C00636
Step 1. 3-(3-Chloro-Quinoxalin-2-Yl)-Azetidine-1-Carboxylic Acid Tert-Butyl Ester (91)
A 100 mL 3-neck round bottom flask fitted with a magnetic stirrer and flushed with nitrogen was charged with zinc dust (1.3 g, preactivated according to the above Preparation 1, 20 mmol, 2.0 eq.) and DMA (10 mL, anhydrous). 1,2-dibromoethane (400 mg, 2.0 mmol, 0.2 eq) was added slowly, followed by TMSCl (240 mg, 2.0 mmol, 0.2 eq). The reaction was stirred for 15 min at RT. A solution of N-Boc-3-iodoazetidine (2) (4 g, 16 mmol, 1.6 eq) in DMA (10 mL, anhydrous) was added dropwise. The suspension was stirred for 1 h at RT.
A 100 mL 3-neck round bottom flask fitted with a mechanical stirrer was charged with 2,3-Dichloro-quinoxaline (44) (2 g, 10 mmol, 1.0 eq), PdCl2(dppf) (800 mg, 1.0 mmol, 0.1 eq), CuI (200 mg, 1.0 mmol, 0.1 eq), and DMA (20 mL, anhydrous). The dark solution was degassed for 15 min. The clear zinc reagent solution above the residual solid zinc was transferred to the above 100 mL flask by cannulation. The dark solution was degassed and heated to 80° C. for 16 h. The reaction was diluted with brine and extracted with EtOAc (3×100 mL). The combined organics were washed with water (2×100 mL) and brine (100 mL), followed by drying over sodium sulfate. The solution was concentrated and the residue was purified by flash column chromatography (PE:EA=2:1) provides 3-(3-Chloro-quinoxalin-2-yl)-azetidine-1-carboxylic acid tert-butyl ester (91) (1.43 g, 4.5 mmol, 45% yield) as a light yellow solid.
ESI-MS (M+1): 320 calc. for C16H18ClN3O2319.
Figure US09718803-20170801-C00637
Step 2. 3-(3-Piperidin-1-Yl-Quinoxalin-2-Yl)-Azetidine-1-Carb Oxylic Acid Tert-Butyl Ester (92)
To a mixture of 3-(3-chloro-quinoxalin-2-yl)-azetidine-1-carboxylic acid tert-butyl ester (91) (0.16 g, 0.50 mmol) and piperidine (0.085 g, 1.0 mmol) was added triethylamine (0.10 g, 1.0 mmol) and DMSO (3 mL). The solution was heated to 160° C. in microwave for 2 h. Then the mixture was diluted with water (10 mL) and extracted with EtOAc (2×20 mL). The combined organic extracts were washed with water (10 mL) and brine (10 mL), dried over Na2SO4 and filtered. The filtrate was evaporated in vacuo and the residue was purified by flash column chromatography on silica gel (20% to 50% EtOAc in petroleum ether) to give 3-(3-piperidin-1-yl-quinoxalin-2-yl)-azetidine-1-carboxylic acid tert-butyl ester (92) (0.16 g, 0.90 mmol, 90% yield) as a white solid. ESI-MS (M+1): 369 calc. for C21H28N4O2 368.
Figure US09718803-20170801-C00638
Step 3. 2-Azetidin-3-Yl-3-Piperidin-1-Yl-Quinoxaline Hydrochloride (93)
A mixture of 3-(3-piperidin-1-yl-quinoxalin-2-yl)-azetidine-1-carboxylic acid tert-butyl ester (92) (139 mg, 0.38 mmol) in 4 M HCl/MeOH solution (10 mL) was stirred at RT for 30 min. Then the solvent was evaporated at 40° C. to give 2-azetidin-3-yl-3-piperidin-1-yl-quinoxaline hydrochloride (93) (115 mg, 0.38 mmol, 100% yield) as a yellow solid. ESI-MS (M+1): 269 calc. for C16H20N4269.
The following Table 9 lists compounds of Preparation P29.1 to P29.4, which were made analogous to Preparation 29 by using the appropriate materials.
TABLE 9
PREPARATION P29.1 TO P29.4
Ex. # Structure Chemical Name ESI-MS (M + 1)
P29.1
Figure US09718803-20170801-C00639
3-(3-Piperidin-1-yl-quinoxalin-2-yl)- azetidine-1-carboxylic acid tert-butyl ester 369
P29.2
Figure US09718803-20170801-C00640
tert-butyl 3-(3-(4-hydroxypiperidin-1- yl)quinoxalin-2-yl)azetidine-1- carboxylate 385
P29.3
Figure US09718803-20170801-C00641
2-Azetidin-3-yl-3-piperidin-1-yl- quinoxaline hydrochloride 269
P29.4
Figure US09718803-20170801-C00642
1-(3-(azetidin-3-yl)quinoxalin-2- yl)piperidin-4-ol hydrochloride 285
Preparation 30
Figure US09718803-20170801-C00643
Step 1. 3-(2,3-Dihydro-Indol-1-Yl)-3′,4′,5′,6′-Tetrahydro-2′H-[2,4′]Bipyridinyl-1′-Carboxylic Acid Tert-Butyl Ester (95)
A mixture of 3-bromo-3′,4′,5′,6′-tetrahydro-2′H-[2,4′]bipyridinyl-1′-carboxylic acid tert-butyl ester (94) (280 mg, 0.82 mmol), 2,3-dihydro-1H-indole (97 mg, 0.82 mmol), Pd2(dba)3 (37 mg, 0.04 mmol), BINAP (24 mg, 0.04 mmol) and t-BuONa (173 mg, 1.64 mmol) in toluene (20 mL) was stirred at 100° C. for 12 h. The mixture was left to reach RT and filtered through a pad of Celite and the filter cake was washed with CH2Cl2 (30 mL). The combine filtrate was evaporated in vacuo and the residue was purified by flash column chromatography (20% to 40% EtOAc in petroleum ether) to afford 3-(2,3-dihydro-indol-1-yl)-3′,4′,5′,6′-tetrahydro-2′H-[2,4′]bipyridinyl-1′-carboxylic acid tert-butyl ester (95) (100 mg, 0.29 mmol, yield 32%).
ESI-MS (M+1): 380 calc. for C23H29N3O2 379.
Figure US09718803-20170801-C00644
Step 2. 3-(2,3-Dihydro-Indol-1-Yl)-1′,2′,3′,4′,5′,6′-Hexahydro-[2,4′]Bipyridinyl Hydrochloride (96)
To 3-(2,3-dihydro-indol-1-yl)-3′,4′,5′,6′-tetrahydro-2′H-[2,4′]bipyridinyl-1′-carboxylic acid tert-butyl ester (95) (100 mg, 0.29 mmol) was added 4 M HCl in MeOH (20 mL). The reaction mixture was stirred at RT for 1 h. Then it was concentrated to give 3-(2,3-dihydro-indol-1-yl)-1′,2′,3′,4′,5′,6′-hexahydro-[2,4′]bipyridinyl hydrochloride (96) (0.083 g, 0.29 mmol, 100% yield) which was used in the next step without further purification.
ESI-MS (M+1): 280 calc. for C18H21N3279.
Preparation 31
Figure US09718803-20170801-C00645
Step 1. 3-(3-Bromo-Quinolin-2-Yl)-Azetidine-1-Carboxylic Acid Tert-Butyl Ester (98)
A 100 mL 3-neck round bottom flask fitted with a magnetic stirrer and flushed with nitrogen was charged with zinc dust (813 mg, preactivated according to the above Preparation 1, 12.7 mmol, 2.0 eq.) and DMA (10 mL, anhydrous). 1,2-dibromoethane (236 mg, 1.27 mmol, 0.2 eq) was added slowly, followed by TMSCl (137 mg, 1.27 mmol, 0.2 eq). The reaction was stirred for 15 min at RT. A solution of N-Boc-3-iodoazetidine (2) (2.7 g, 9.5 mmol, 1.5 eq) in DMA (10 mL, anhydrous) was added dropwise. The suspension was stirred for 1 h at RT.
A 100 mL 3-neck round bottom flask fitted with a mechanical stirrer was charged with 2,3-dibromo-quinoline (97) (1.82 g, 6.4 mmol, 1.0 eq), PdCl2(dppf) (446 mg, 0.64 mmol, 0.1 eq), CuI (121 mg, 0.64 mmol, 0.1 eq), and DMA (20 mL, anhydrous). The dark solution was degassed for 15 min. The clear zinc reagent solution above the residual solid zinc was transferred to the above 100 mL flask by cannulation. The dark solution was degassed and heated to 80° C. for 16 h. The reaction was diluted with brine and extracted with EtOAc (3×100 mL). The combined organics were washed with water (2×100 mL) and brine (100 mL), followed by drying over sodium sulfate. The solution was concentrated and the residue was purified by flash column chromatography (EtOAc:Petro ether=4:1) provides the title compound (98) (1.2 g, 3.30 mmol, 52% yield) as a light yellow solid.
ESI-MS (M+1): 363 calc. for C17H19BrN2O2362.
Figure US09718803-20170801-C00646
Step 2. 3-(3-Phenyl-Quinolin-2-Yl)-Azetidine-1-Carboxylic Acid Tert-Butyl Ester (99)
To a stirred solution of 3-(3-bromo-quinolin-2-yl)-azetidine-1-carboxylic acid tert-butyl ester (98) (174 mg, 0.48 mmol) in dioxane (10 mL) was added phenylboronic acid (78) (87 mg, 0.71 mmol), Na2CO3 (152 mg, 1.4 mmol) and H2O (2 mL). The reaction mixture was degassed with N2 and then PdCl2(dppf) (35 mg, 0.05 mmol) was added. The reaction mixture was stirred at 80° C. for 12 h. The reaction mixture was left to reach RT and filtered through a pad of CELITE® and the filter cake was washed with CH2Cl2 (20 mL×3). The combined filtrates were evaporated in vacuo and the residue was purified by column chromatography ((EtOAc:Petrol ether=3:1) to give the desired compound (95) (154 mg, 0.42 mmol, 87% yield).
ESI-MS (M+1): 361 calc. for C23H24N2O2 360.
Figure US09718803-20170801-C00647
Step 3. 2-Azetidin-3-Yl-3-Phenyl-Quinoline Hydrochloride (100)
A mixture of 3-(3-phenyl-pyridin-2-yl)-azetidine-1-carboxylic acid tert-butyl ester (99) (216 mg, 0.60 mmol) in 4 M HCl/MeOH solution (10 mL) was stirred at RT. for 30 min. Then the solvent was evaporated at 40° C. to give 2-azetidin-3-yl-3-phenyl-pyridine (100) (177 mg, 100% yield) as a yellow solid.
ESI-MS (M+1): 261 calc. for C18H16N2260.
Preparation 32
Figure US09718803-20170801-C00648
Step 1. 3-Bromo-3′,4′,5′,6′-Tetrahydro-2′H-[2,4′]Bipyridinyl-1′-Carboxylic Acid Tert-Butyl Ester (101)
A 100 mL 3-neck round bottom flask fitted with a magnetic stirrer and flushed with nitrogen was charged with zinc dust (813 mg, preactivated according to the above Preparation 1, 12.7 mmol, 2.0 eq.) and DMA (10 mL, anhydrous). 1,2-dibromoethane (236 mg, 1.27 mmol, 0.2 eq) was added slowly, followed by TMSCl (137 mg, 1.27 mmol, 0.2 eq). The reaction was stirred for 15 min at RT. A solution of 4-Iodo-piperidine-1-carboxylic acid tert-butyl ester (38) (2.95 g, 9.5 mmol, 1.5 eq) in DMA (10 mL, anhydrous) was added dropwise. The suspension was stirred for 1 h at RT.
A 100 mL 3-neck round bottom flask fitted with a mechanical stirrer was charged with 2,3-dibromo-pyridine (1) (1.5 g, 6.4 mmol, 1.0 eq), PdCl2(dppf) (446 mg, 0.64 mmol, 0.1 eq), CuI (121 mg, 0.64 mmol, 0.1 eq), and DMA (20 mL, anhydrous). The dark solution was degassed for 15 min. The clear zinc reagent solution above the residual solid zinc was transferred to the above 100 mL flask by cannulation. The dark solution was degassed and heated to 80° C. for 16 h. The reaction was diluted with brine and extracted with EtOAc (3×100 mL). The combined organics were washed with water (2×100 mL) and brine (100 mL), followed by drying over sodium sulfate. The solution was concentrated and the residue was purified by flash column chromatography (PE:EtOAc=2:1) provides the title compound (101) (761 mg, 2.3 mmol, 35% yield) as a light yellow solid.
ESI-MS (M+1): 341 calc. for C15H21BrN2O2 340.
Figure US09718803-20170801-C00649
Step 2. 3-Phenyl-3′,4′,5′,6′-Tetrahydro-2′H-[2,4′]Bipyridinyl-1′-Carboxylic Acid Tert-Butyl Ester (102)
To a stirred solution of 3-bromo-3′,4′,5′,6′-tetrahydro-2′H-[2,4′]bipyridinyl-1′-carboxylic acid tert-butyl ester (101) (163 mg, 0.48 mmol) in dioxane (10 mL) was added phenylboronic acid (78) (87 mg, 0.71 mmol), Na2CO3 (152 mg, 1.4 mmol) and H2O (2 mL). The reaction mixture was degassed with N2 and then PdCl2(dppf) (35 mg, 0.05 mmol) was added. The reaction mixture was stirred at 80° C. for 12 h. The reaction mixture was left to reach RT and filtered through a pad of CELITE® and the filter cake was washed with CH2Cl2 (20 mL×3). The combined filtrates were evaporated in vacuo and the residue was purified by column chromatography ((EtOAc:Petrol ether=4:1) to give the desired compound (102) (138 mg, 0.41 mmol, 85% yield).
ESI-MS (M+1): 339 calc. for C21H26N2O2 338.
Figure US09718803-20170801-C00650
Step 3. 3-Phenyl-1′,2′,3′,4′,5′,6′-Hexahydro-[2,4′]Bipyridinyl Hydrochloride (103)
A mixture of 3-phenyl-3′,4′,5′,6′-tetrahydro-2′H-[2,4′]bipyridinyl-1′-carboxylic acid tert-butyl ester (102) (202 mg, 0.60 mmol) in HCl/MeOH solution (5 mL) was stirred at RT. for 30 min. Then the solvent was evaporated at 40° C. to give 3-phenyl-1′,2′,3′,4′,5′,6′-hexahydro-[2,4′]bipyridinyl hydrochloride (103) (162 mg, 0.60 mmol, 100% yield) as a yellow solid.
ESI-MS (M+1): 239 calc. for C16H18N2238.
Preparation 33
Figure US09718803-20170801-C00651
Step 1. 3-Phenyl-N—O-Tolyl-Acrylamide (106)
A solution of o-tolylamine (104) (5.3 g, 50.0 mmol) in DCM (50 mL) was added to a stirring mixture of pyridine (5 mL) and DMAP (0.61 g, 5.0 mmol) in DCM (20 mL) at 0° C. under N2. The mixture was stirred for 15 min before a solution of cinnamoyl chloride (105) (8.3 g, 50.0 mmol) in DCM (50 mL) was added over 10 min. After being stirred for further 15 min, the mixture was allowed to warm to RT. The precipitate formed was collected, washed with cold DCM and dried to afford the title compound (106) (9.9 g, 42.0 mmol, 84% yield).
Figure US09718803-20170801-C00652
Step 2. 8-Methyl-1H-Quinolin-2-One (107)
An intimate mixture of the 3-phenyl-n-o-tolyl-acrylamide (106) (5 g, 2.1 mmol) and aluminum chloride (0.83 g, 6.3 mmol) was heated rapidly to melting then heated at 100° C. for 1 h. After cooling to RT, iced water was added and the resultant precipitate was washed with water and 5% aqueous hydrochloric acid to give (107) (2.9 g, 1.8 mmol, 87% yield). ESI-MS (M+1): 160 calc. for C10H9NO 159.
Figure US09718803-20170801-C00653
Step 3. 2-Chloro-8-Methyl-Quinoline (108)
A mixture of 8-methyl-1H-quinolin-2-one (107) (580 mg, 3.6 mmol) and phosphorus oxychloride (5 mL) was stirred at 60° C. overnight. The mixture was then poured onto ice water and extracted with DCM (3×50 mL). The combined extracts were washed with water (2×100 mL) and dried with Na2SO4, and the solvent was removed. The residue was chromatographed on silica gel using 5% to 20% EtOAc in petroleum ether to give product (108) as small colorless crystals (400 mg, 2.3 mmol, 63% yield).
The following Table 10 lists compounds of Preparation P33.1 to P33.12, which were made analogous to Preparation 33 by using the appropriate materials.
TABLE 10
PREPARATION P33.1 TO P33.12
ESI-MS
Ex. # Structure Chemical Name (M + 1)
P33.1
Figure US09718803-20170801-C00654
N-(o-tolyl)cinnamamide 238
P33.2
Figure US09718803-20170801-C00655
N-(4- fluorophenyl)cinnamamide 242
P33.3
Figure US09718803-20170801-C00656
N-(3- fluorophenyl)cinnamamide 242
P33.4
Figure US09718803-20170801-C00657
N-(2- chlorophenyl)cinnamamide 258
P33.5
Figure US09718803-20170801-C00658
8-Methyl-1H-quinolin-2-one 160
P33.6
Figure US09718803-20170801-C00659
6-Fluoro-1H-quinolin-2-one 164
P33.7
Figure US09718803-20170801-C00660
7-Fluoro-1H-quinolin-2-one 164
P33.8
Figure US09718803-20170801-C00661
8-Chloro-1H-quinolin-2-one 180
P33.9
Figure US09718803-20170801-C00662
2-chloro-8-methylquinoline 178
P33.10
Figure US09718803-20170801-C00663
2-chloro-6-fluoroquinoline 182
P33.11
Figure US09718803-20170801-C00664
2-chloro-7-fluoroquinoline 182
P33.12
Figure US09718803-20170801-C00665
2,8-dichloroquinoline 198
Preparation 34
Figure US09718803-20170801-C00666
Step 1. 6-Chloroquinazolin-2-Amine (110)
A mixture of 5-chloro-2-fluoro-benzaldehyde (109) (5 g, 31.6 mmol) and guanidine carbonate (7.5 g, 41.1 mmol) was heated at 140° C. in DMA (50 mL) for 3 h. 100 ml water was added and after refrigeration, a solid was isolated by filtration, and dried under vacuum to give the product (110) (2.8 g, 15.8 mmol, 50% yield). ESI-MS (M+1): 180 calc. for C8H6ClN3 179.
Figure US09718803-20170801-C00667
Step 2. 2,6-Dichloro-Quinazoline (111)
To a suspension of 6-chloro-quinazolin-2-ylamine (110) (2.8 g, 15.8 mmol) and SbCl3 (7.2 g, 32 mmol) in 1,2-dichloroethane (100 mL) was added tert-butylnitrate (6.2 ml, 52 mmol) and heated at 60° C. for 3 h under nitrogen atmosphere. To the mixture was added aqueous saturated NaHCO3 and the mixture was filtered off and filtrate was extracted with CHCl3. The organic layer was washed with brine, dried over Na2SO4, and evaporated. The residue was purified by silica gel column chromatography, using CHCl3/EtOAc (9:1, v/v) as eluent to give 2,6-dichloro-quinazoline (111) (0.65 g, 3.12 mmol, 20% yield).
The following Table 11 lists compounds of Preparation P34.1 to P34.8, which were made analogous to Preparation 34 by using the appropriate materials.
TABLE 11
PREPARATION P34.1 TO P34.8
ESI-MS
Ex. # Structure Chemical Name (M + 1)
P34.1
Figure US09718803-20170801-C00668
6-chloroquinazolin- 2-amine 180
P34.2
Figure US09718803-20170801-C00669
8-chloroquinazolin- 2-amine 180
P34.3
Figure US09718803-20170801-C00670
7-chloroquinazolin- 2-amine 180
P34.4
Figure US09718803-20170801-C00671
5-chloroquinazolin- 2-amine 180
P34.5
Figure US09718803-20170801-C00672
2,6-dichloro- quinazoline 199
P34.6
Figure US09718803-20170801-C00673
2,8-dichloro- quinazoline 199
P34.7
Figure US09718803-20170801-C00674
2,7-dichloro- quinazoline 199
P34.8
Figure US09718803-20170801-C00675
2,5-dichloro- quinazoline 199
Preparation 35
Figure US09718803-20170801-C00676
2-Chloro-1,6-Naphthyridine (113)
A mixture of phosphoryl trichloride (5.17 ml, 56.5 mmol) and 1,6-naphthyridin-2(1H)-one (112) (1.65 g, 11.29 mmol, Alfa Aesar) was stirred at 70° C. for 16 h. The reaction mixture was cooled to RT and was poured onto 150 g of ice carefully. EtOAc (50 mL) was added and the mixture was treated carefully with about 30 mL of 5 M NaOH until the final pH is persistently >10. The mixture was vigorously mixed, then transferred into a separatory funnel. The EtOAc layer was then separated and dried and re-suspended in 30 mL of DCM, the insoluble solids were filtered off. The filtrate was loaded onto a silica gel pad and flushed with 30% EtOAc in hexanes to give a solid after drying. The solid was initially white but changed color to yellow after drying on the high vacuum line over night. Yield; 1.19 g, 64%. The material (113) was used directly in the next step without any further purification.
Preparation 36
Figure US09718803-20170801-C00677
(1H-Benzoimidazol-2-Yl)-[3-(3-Chloro-Pyrazin-2-Yl)-Azetidin-1-Yl]-Methanone (84)
A mixture of 1H-benzoimidazole-2-carboxylic acid (19) (100 mg, 0.47 mmol), 2-azetidin-3-yl-3-chloro-pyrazine hydrochloride (8) (96 mg, 0.47 mmol), HATU (540 mg, 1.3 mmol) and Et3N (101 mg, 1 mmol) in dry DCM (10 mL) was stirred at RT overnight. Then the mixture reaction was poured into saturated aqueous Na2CO3 and extracted with DCM (50 mL×3), the organic layer was washed with brine, dried over Na2SO4 and concentrated to give the crude compound which was purified by ISCO silica gel column (10% to 80% EtOAc in petroleum ether) and followed by reverse phase prep. HPLC (10% to 80% water/MeCN) to afford pure (1H-benzoimidazol-2-yl)-[3-(3-chloro-pyrazin-2-yl)-azetidin-1-yl]-methanone (84) (50 mg, 0.16 mmol, yield 34%).
1H-NMR (400 MHz, d6-DMSO) δ (ppm) 8.67 (d, J=2.8 Hz, 1H); 8.43 (d, J=6.4 Hz, 1H); 7.63 (br, 2H); 7.25 (s, 2H); 5.10-5.08 (m, 1H); 4.97-4.93 (m, 1H); 4.51-4.39 (m, 3H).
ESI-MS (M+1): 314 calc. for C15H12ClN5O 313.
The following Table 12 lists compound of Preparation P36.1, which was made analogous to Preparation 36 by using the appropriate materials.
TABLE 12
PREPARATION P36.1
ESI-MS
Ex. # Structure Chemical Name (M + 1)
P36.1
Figure US09718803-20170801-C00678
(7-chloro-1H-benzo[d]imidazol-2-yl) (3-(3-chloropyrazin-2-yl)azetidin-1- yl)methanone 348
Preparation 37
Figure US09718803-20170801-C00679
Step 1. 3-[3-(3,6-Dihydro-2H-Pyran-4-Yl)-Pyrazin-2-Yl]-Azetidine-1-Carboxylic Acid Tert-Butyl Ester (115)
To a solution of 3-(3-chloro-pyrazin-2-yl)-azetidine-1-carboxylic acid tert-butyl ester (7) (1.0 g, 3.7 mmol) in dioxane (16 mL) was added a solution of Na2CO3 (780 mg, 6.4 mmol) in 5 mL water, followed by additional of 4-(4,4,5,5-tetramethyl-[1,3,2]dioxaborolan-2-yl)-3,6-dihydro-2H-pyran (114) (purchased from WUXI APPTEC) (840 mg 4.0 mmol) and Pd(dppf)Cl2 (80 mg). The resulting mixture was heated to reflux overnight under N2 atmosphere. TLC showed that the staring material was consumed completely. The solution was filtered and the filtrate was concentrated to give the residue which was purified by ISCO silica gel column (10% to 80% EtOAc in petroleum ether) to give the product 3-[3-(3,6-dihydro-2H-pyran-4-yl)-pyrazin-2-yl]-azetidine-1-carboxylic acid tert-butyl ester (115) (938 mg, 2.96 mmol, yield 80%) as solid. ESI-MS (M+1): 318 calc. for C17H23N3O3 317.
Figure US09718803-20170801-C00680
Step 2: 3-[3-(Tetrahydro-Pyran-4-Yl)-Pyrazin-2-Yl]-Azetidine-1-Carboxylic Acid Tert-Butyl Ester (116)
A mixture of (115) (938 mg, 2.96 mmol) and wet Pd—C (50%, 400 mg) in MeOH (30 mL) was stirred under H2 (40 psi) at 30° C. overnight. Then the reaction mixture was filtered through CELITE® and washed with MeOH. The filtrate was concentrated to give the desired compound (116) (897 mg, 2.81 mmol, yield 95%). ESI-MS (M+1): 320 calc. for C17H25N3O3 319.
Figure US09718803-20170801-C00681
Step 3. 2-Azetidin-3-Yl-3-(Tetrahydro-Pyran-4-Yl)-Pyrazine Hydrochloride (117)
To a solution of 4 N HCl in MeOH (10 mL) was added 3-[3-(Tetrahydro-pyran-4-yl)-pyrazin-2-yl]-azetidine-1-carboxylic acid tert-butyl ester (116) (897 mg, 2.81 mmol) at 0° C. and the resulting mixture was stirred at RT for 1 h. The mixture was concentrated under reduced pressure to give 2-azetidin-3-yl-3-(tetrahydro-pyran-4-yl)-pyrazine hydrochloride (117) (716 mg, yield 100%) which was used for the next step without further purification. ESI-MS (M+1): 220 calc. for C12H17N3O 219.
Preparation 38
Figure US09718803-20170801-C00682
Step 1. Oxetan-3-Ylidene-Acetic Acid Ethyl Ester (120)
To a solution of oxetan-3-one (118) (5 g, 69.4 mmol) in CH2Cl2 (50 mL) at 0° C. was added ethyl 2-triphenylphosphoranylideneacetate (119) (26.6 g, 76.3 mmol). The solution was allowed to warm to RT and stirred for 15 min. The reaction mixture was then filtered through a pad of silica (washing with 30 percent EtOAc:Petrol ether), and the solvent removed under reduced pressure to give ethyl 2-(oxetan-3-ylidene)acetate (120) as a colourless viscous oil (8.15 g, 57.4 mmol, yield: 79%). ESI-MS (M+1): 142 calc. for C7H10O3142.
Figure US09718803-20170801-C00683
Step 2. 2-(3-Ethoxycarbonyl-Oxetan-3-Yl)-Malonic Acid Dimethyl Ester (121)
To a solution of oxetan-3-ylidene-acetic acid ethyl ester (120) (5.0 g, 35.2 mmol) in DMF (30 mL) at RT was added sodium hydride (60% wt in mineral oil) (4.2 g, 106 mmol). The mixture was stirred at RT for 60 min and malonic acid dimethyl ester (4.7 g, 35.2 mmol) was added. The reaction mixture was stirred at RT for 4 h. Then the reaction mixture was neutralized with saturated NH4Cl (10 mL), diluted with EtOAc (30 mL) and water (30 mL). The aqueous phase was extracted with EtOAc (3×80 mL) and the combined organic extracts were washed with brine (100 mL), dried over MgSO4, filtered, and concentrated to give the product (121) (8.0 g, 30.8 mmol, yield: 87%). ESI-MS (M+1): 261 calc. for C11H16O7260.
Figure US09718803-20170801-C00684
Step 3. (3-Ethoxycarbonylmethyl-Oxetan-3-Yl)-Acetic Acid Ethyl Ester (122)
To a solution of 2-(3-Ethoxycarbonyl-oxetan-3-yl)-malonic acid dimethyl ester (121) (5.0 g, 21.7 mmol) in DMSO (25 mL) was added NaCl (3.8 g, 65.1 mmol). The solution was heated at 160° C. for 3 h. The reaction mixture was diluted with EtOAc (30 mL) and water (30 mL). The aqueous phase was extracted with EtOAc (3×100 mL) and the combined organic extracts were washed with brine (100 mL), dried over MgSO4, filtered, and concentrated to give the product (122) (2.3 g, 10 mmol, yield: 46%). ESI-MS (M+1): 231 calc. for C11H18O5230.
Figure US09718803-20170801-C00685
Step 4. 2-[3-(2-Hydroxy-Ethyl)-Oxetan-3-Yl]-Ethanol (123)
(3-Ethoxycarbonylmethyl-oxetan-3-yl)-acetic acid ethyl ester (122) (2.3 g, 10 mmol) was dissolved in 20 ml of THF. This solution was cooled down to 0° C. using an ice bath and AlLiH4 (1.1 g, 30 mmol) was added by portions. The reaction mixture was stirred for 4 h at ambient temperature, and then saturated aqueous solution of ammonium chloride (20 mL) was added. THF was evaporated off under reduced pressure, then the reaction mixture was taken up in ethyl acetate. The organic phase was separated from the aqueous phase. This extraction was repeated one more time and then the organic phases were combined and washed with brine (100 mL), dried over MgSO4, filtered, and concentrated to give the product (123) (1.3 g, 8.9 mmol, yield: 89%). ESI-MS (M+1): 147 calc. for C7H14O3146.
Figure US09718803-20170801-C00686
Step 5. Methanesulfonic Acid 2-[3-(2-Methanesulfonyloxy-Ethyl)-Oxetan-3-Yl]-Ethyl Ester (124)
To a solution of 2-[3-(2-Hydroxy-ethyl)-oxetan-3-yl]-ethanol (123) (1.3 g, 8.9 mmol) in CH2Cl2 (20 mL) at 0° C. was added Et3N (2.7 g, 26.7 mmol) and methanesulfonyl chloride (2.0 g, 17.8 mmol). The solution was allowed to warm to RT and stirred for 15 min. The reaction mixture was diluted with water (80 mL). The aqueous phase was extracted with CH2Cl2 (3×50 mL) and the combined organic extracts were washed with brine (100 mL), dried over MgSO4, filtered, and concentrated to give the product (124) (2.0 g, 6.6 mmol, yield: 74%). ESI-MS (M+1): 303 calc. for C9H18O7S2302.
Figure US09718803-20170801-C00687
Step 6. 7-(2,4-Dimethoxy-Benzyl)-2-Oxa-7-Aza-Spiro[3.5]Nonane (125)
To a solution of (124) (2.0 g, 6.6 mmol) in MeCN (20 mL) were added 2,4-dimethoxy-benzylamine (1.2 g, 7.3 mmol) and Et3N (2.0 g, 19.8 mmol). The solution was allowed to heat at reflux for 12 h. The reaction mixture was then filtered through a pad of silica (washing with 30 percent EtOAc:Petrol ether), and the solvent removed under reduced pressure to give the product (125) (1.2 g, 4.3 mmol, yield: 65%). ESI-MS (M+1): 278 calc. for C16H23NO3 277.
Figure US09718803-20170801-C00688
Step 7. 2-Oxa-7-Aza-Spiro[3.5]Nonane (126)
To a solution of 7-(2,4-Dimethoxy-benzyl)-2-oxa-7-aza-spiro[3.5]nonane (125) (300 mg, 1.1 mmol) in MeOH (10 mL) was added Pd(OH)2 (300 mg). The reaction solution was stirred at RT overnight under H2 atmosphere. LCMS showed that most of the staring material was consumed. The mixture was filtered and concentrated to give the product (126) (112 mg, 0.88 mmol, yield: 80%). ESI-MS (M+1): 128 calc. for C7H13NO 127.
Preparation 39
Figure US09718803-20170801-C00689
Step 1. 6-Ethyl-2-Oxa-6-Aza-Spiro[3.3]Heptanes (128)
To a solution of 3-bromo-2,2-bis(bromomethyl)propanol (127) (3.25 g, 10 mmol) and potassium hydroxide (1.12 g, 20 mmol, in 10 mL water) in EtOH (20 mL) were added toluene-4-sulfonamide (3.76 g, 22 mmol). The reaction mixture was refluxed for 2 h, evaporated to remove EtOH then diluted with EAOAc (20 mL), washed with H2O (20 mL). The organic layer was washed with brine (20 mL), dried over Na2SO4, and filtered, evaporated to give the product to give 6-(toluene-4-sulfonyl)-2-oxa-6-aza-spiro[3.3]heptane (128) (1.6 g, 6.3 mmol, yield: 63%).
ESI-MS (M+1): 128 calc. for C7H13NO 127.
Figure US09718803-20170801-C00690
Step 2. 2-Oxa-6-Aza-Spiro[3.3]Heptane Oxalate Salt (129)
A mixture of 6-(toluene-4-sulfonyl)-2-oxa-6-aza-spiro[3.3]heptane (128) (1.27 g, 5 mmol) in MeOH (10 mL) was added magnesium chips. The mixture was reacted using ultrasound at RT for 20 mins. Oxalic acid was added and the mixture was stirred for 15 min, then concentrated to give oxalate salt (129) (1.06 g, 3.68 mmol, yield: 73.6%).
1H NMR: (D2O, 400 MHz): δ (ppm) 4.76 (s, 4H), 4.23 (s, 4H). ESI-MS (M+1): 101 calc. for C5H9NO 100.
Preparation 40
Figure US09718803-20170801-C00691
Step 1. 6-Acetyl-2,6-Diaza-Spiro[3.3]Heptane-2-Carboxylic Acid Tert-Butyl Ester (131)
To a solution of 2,6-diaza-spiro[3.3]heptane-2-carboxylic acid tert-butyl ester (130) (purchased from WUXI APPTEC®) ((500 mg, 2.73 mmol) in CH2Cl2 (10 mL) were added KOH (459 mg, 8.19 mmol) and Ac2O (279 mg, 2.73 mmol). The reaction mixture was stirred at RT for 1 h, then diluted with CH2Cl2 (20 mL), washed with H2O (20 mL). The organic layer was washed with brine (20 mL), dried over Na2SO4, and filtered, evaporated to give the product (131) (510 mg, 2.13 mmol, yield: 78%). ESI-MS (M+1): 241 calc. for C12H20N2O3 240.
Figure US09718803-20170801-C00692
Step 2. 1-(2,6-Diaza-Spiro[3.3]Hept-2-Yl)-Ethanone Hydrochloride (132)
To a solution of 6-Acetyl-2,6-diaza-spiro[3.3]heptane-2-carboxylic acid tert-butyl ester (131) (300 mg, 1.33 mmol) in CH2Cl2 (10 mL) were added TFA (388 mg, 4.0 mmol). The reaction mixture was stirred at RT for 1 h, then diluted with CH2Cl2 (20 mL), washed with H2O (20 mL). The organic layer was washed with brine (20 mL), dried over Na2SO4, and filtered, evaporated to give the product (132) (176 mg, 1.0 mmol, yield: 75%). ESI-MS (M+1): 141 calc. for C7H12N2O 140.
Preparation 41
Figure US09718803-20170801-C00693
Step 1. 2,2-Dimethyl-3,6-Dihydro-2H-Pyran-4-Yl Trifluoromethanesulfonate and 6,6-Dimethyl-3,6-Dihydro-2H-Pyran-4-Yl Trifluoromethanesulfonate (134)
A solution of 2,2-dimethyltetrahydropyran-4-one (133) (115 g, 0.9 mol, 1.0 eq.) in anhydrous THF (600 mL) was cooled to −78° C. and to it was added LDA (2.0 M, 538 mL, 1.08 mol, 1.2 eq.) drop wise under N2 keeping the internal temperature below −65° C. The resulting solution was stirred at −78° C. for 20 min. A solution of N-phenyl-bis(trifluoromethanesulfonimide) (353 g, 0.99 mol, 1.1 eq.) in anhydrous THF (1900 mL) was added to the above solution slowly keeping the internal temperature below −65° C. The reaction mixture was warmed to room temperature slowly and stirred overnight. The reaction was quenched with saturated aqueous sodium bicarbonate solution, and extracted with MTBE (2 L×2). The combined organic layers was washed with 10% aqueous NaOH solution (1 L×2), brine (500 mL×2), dried over Na2SO4, filtered and concentrated to give crude title triflate product mixture as dark brown oil. The crude product was extracted with hexanes (2 L×5) and the combined hexanes extracts was purified by column chromatography (directly loaded onto silica gel, Hexanes→15% ethyl acetate in hexanes, Rf=0.6, visualized with KMnO4 stain) to give 200 g of the triflate product mixture (134) (a mixture of 2,2-dimethyl-3,6-dihydro-2H-pyran-4-yl trifluoromethanesulfonate and 6,6-dimethyl-3,6-dihydro-2H-pyran-4-yl trifluoromethanesulfonate ratio=80.6:19.4 by GCMS) as a light yellow liquid (˜90% purity by GC-MS and 1H NMR). This was taken to the next step without further purification.
Figure US09718803-20170801-C00694
Step 2. 2-(2,2-Dimethyl-3,6-Dihydro-2H-Pyran-4-Yl)-4,4,5,5-Tetramethyl-1,3,2-Dioxaborolane and 2-(6,6-Dimethyl-3,6-Dihydro-2H-Pyran-4-Yl)-4,4,5,5-Tetramethyl-1,3,2-Dioxaborolane (136)
A mixture of compound 2,2-dimethyl-3,6-dihydro-2H-pyran-4-yl trifluoromethanesulfonate and 6,6-dimethyl-3,6-dihydro-2H-pyran-4-yl trifluoromethanesulfonate (134) (200 g, 0.77 mol, 1.0 eq.), bis(pinacolato)diboron (135) (195 g, 0.77 mol, 1.0 eq.), and potassium acetate (151 g, 1.54 mol, 2.0 eq.) in dioxane (2 L) was degassed for 15 min, to it was added 1,1′-bis(diphenylphosphino)ferrocene-palladium(II)dichloride dichloromethane complex (19 g, 0.023 mol, 0.03 eq.) and the reaction mixture was degassed again for 15 min. The reaction mixture was heated to 80° C. overnight, cooled, filtered through a medium fritted funnel, and washed with MTBE (300 mL×4). The organic extracts were combined and concentrated under reduced pressure. The crude product mixture (136) was cooled using an ice bath, stirred with an overhead stirrer and to it was added aqueous 2M NaOH solution (2 L) keeping the internal temperature below 15° C. The basic aqueous solution was extracted with MTBE (250 mL×3), and the organic extracts were discarded. The aqueous phase was cooled using an ice bath and the pH was adjusted to 3 to 5 with concentrated HCl keeping the internal temperature below 10° C. The heterogeneous solution (off-white solid precipitated out at pH 3-5) was extracted with EtOAc (3 L and 1.5 L). The combined organic layer was washed with water (1 L), brine (1 L), dried over Na2SO4, filtered and concentrated. The crude product mixture (136) was purified by column chromatography (Hexanes→15% ethyl acetate in hexanes, Rf=0.5, visualized on KMnO4) to give 125 g of 2-(2,2-dimethyl-3,6-dihydro-2H-pyran-4-yl)-4,4,5,5-tetramethyl-1,3,2-dioxaborolane and 2-(6,6-dimethyl-3,6-dihydro-2H-pyran-4-yl)-4,4,5,5-tetramethyl-1,3,2-dioxaborolane mixture (136) as a white solid (58% overall yield, >97% purity by GCMS and 1H NMR, The ratio of regioisomers was found to be 80.4:19.6).
GCMS: >97%
1H NMR (300 MHz, CDCl3) δ 6.46-6.43 (m, 1H), 4.06 (q, 2H, J=3.0 Hz), 1.96-1.94 (m, 2H), 1.20 (s, 12H), 1.09 (s, 6H)
GCMS: 239 (M+1); calcd for C13H23BO3: 238.13
Figure US09718803-20170801-C00695
Example 1.1: (1H-Benzoimidazol-2-Yl)-[3-(3-Phenyl-Pyridin-2-Yl)-Azetidin-1-Yl]-Methanone
To a mixture of 1H-benzoimidazole-2-carboxylic acid (124 mg, 0.76 mmol) in DMF (5 mL) was added TEA (152 mg, 1.5 mmol) and HATU (347 mg, 0.92 mmol). The reaction mixture was stirred for 5 min and 2-azetidin-3-yl-3-phenyl-pyridine hydrochloride (100 mg, 0.76 mmol) was added. The reaction mixture was stirred at RT overnight. The mixture was diluted with water (10 mL), and extracted with EtOAc (2×20 mL). The combined organic extracts were washed with water (5 mL) and brine (5 mL), dried over Na2SO4, and filtered. The filtrate was evaporated in vacuo and the residue was purified by column chromatography to give (1H-benzoimidazol-2-yl)-[3-(3-phenyl-pyridin-2-yl)-azetidin-1-yl]-methanone (100 mg, 0.28 mmol, 59% yield) as a light yellow solid.
The following Table 13A lists compounds of Examples 1.1 to 1.17, which were made analogous to Scheme 1 by using the appropriate materials and reaction conditions, which are listed in Table 13B. The NMR of the Examples are listed in Table 13C.
TABLE 13A
EXAMPLES 1.1 TO 1.17
ESI-MS IC50
Ex. # Structure Chemical Name (M + 1) (uM)
1.1
Figure US09718803-20170801-C00696
(1H-Benzoimidazol-2-yl)-[3- (3-phenyl-pyridin-2-yl)- azetidin-1-yl]-methanone 355 0.0219
1.2
Figure US09718803-20170801-C00697
(1H-Benzoimidazol-2-yl)[3- (5-fluoro-3-phenyl-pyridin- 2-yl)-azetidin-1-yl]- methanone 373 0.843
1.3
Figure US09718803-20170801-C00698
(1H-benzoimidazol-2-yl)-[4- (3-phenyl-pyrazin-2-yl)- piperidin-1-yl]-methanone 384 0.092
1.4
Figure US09718803-20170801-C00699
Benzothiazol-2-yl-[3-(3- phenyl-pyrazin-2-yl)- azetidin-1-yl]-methanone 373 0.446
1.5
Figure US09718803-20170801-C00700
(1H-Benzoimidazol-2-yl)-[3- (3-piperidin-1-yl-quinoxalin- 2-yl)-azetidin-1-yl]- methanone 413 0.0271
1.6
Figure US09718803-20170801-C00701
(1H-Benzoimidazol-2-yl)- {3-[3-(4-hydroxy-piperidin- 1-yl)-quinoxalin-2-yl]- azetidin-1-yl}-methanone 429 0.0115
1.7
Figure US09718803-20170801-C00702
(1H-Benzoimidazol-2-yl)-[3- (2,3-dihydro-indol-1-yl)- 3′,4′,5′,6′-tetrahydro-2′H- [2,4′]bipyridinyl-1′-yl]- methanone 424 0.92
1.8
Figure US09718803-20170801-C00703
(1H-Benzoimidazol-2-yl)-[3- (3-phenyl-quinolin-2-yl)- azetidin-1-yl]-methanone 405 0.0834
1.9
Figure US09718803-20170801-C00704
(1H-Benzoimidazol-2-yl)-(3- phenyl-3′,4′,5′,6′-tetrahydro- 2′H-[2,4]bipyridinyl-1′-yl)- methanone 383 0.0217
1.10
Figure US09718803-20170801-C00705
(1H-Benzoimidazol-2-yl)- {4-[3-(4-hydroxymethyl- piperidin-1-yl)-pyrazin-2- yl]-piperidin-1-yl}- methanone 421 0.0098
1.11
Figure US09718803-20170801-C00706
(3-(3-phenylpyrazin-2- yl)azetidin-1-yl)(pyridin-2- yl)methanone 317 0.828
1.12
Figure US09718803-20170801-C00707
(6-methylpyridin-2-yl)(3-(3- phenylpyrazin-2-yl)azetidin- 1-yl)methanone 331 3.67
1.13
Figure US09718803-20170801-C00708
(3-methylpyridin-2-yl)(3-(3- phenylpyrazin-2-yl)azetidin- 1-yl)methanone 331 11.9
1.14
Figure US09718803-20170801-C00709
(5-methylpyridin-2-yl)(3-(3- phenylpyrazin-2-yl)azetidin- 1-yl)methanone 331 2.03
1.15
Figure US09718803-20170801-C00710
(4-methylpyridin-2-yl)(3-(3- phenylpyrazin-2-yl)azetidin- 1-yl)methanone 331 4.71
1.16
Figure US09718803-20170801-C00711
(1H-Benzoimidazol-2-yl)-[3- (3-phenyl-quinoxalin-2-yl)- azetidin-1-yl]-methanone 406 0.0335
1.17
Figure US09718803-20170801-C00712
(1H-Benzoimidazol-2-yl)-[3 (3-morpholin-4-yl-pyrazin-2- yl)-azetidin-1-yl]-methanone 365 0.14
TABLE 13B
STARTING MATERIALS AND REACTION CONDITION FOR
PREPARATION OF EXAMPLES 1.1 TO 1.17
Ex. # Starting Material 1 Starting Material 2 Reaction Condition
1.1
Figure US09718803-20170801-C00713
Figure US09718803-20170801-C00714
HATU, TEA, DMF
1.2
Figure US09718803-20170801-C00715
Figure US09718803-20170801-C00716
HATU, TEA, DMF
1.3
Figure US09718803-20170801-C00717
Figure US09718803-20170801-C00718
HATU, TEA, DMF
1.4
Figure US09718803-20170801-C00719
Figure US09718803-20170801-C00720
HATU, TEA, DMF
1.5
Figure US09718803-20170801-C00721
Figure US09718803-20170801-C00722
HATU, TEA, DMF
1.6
Figure US09718803-20170801-C00723
Figure US09718803-20170801-C00724
HATU, TEA, DMF
1.7
Figure US09718803-20170801-C00725
Figure US09718803-20170801-C00726
HATU, TEA, DMF
1.8
Figure US09718803-20170801-C00727
Figure US09718803-20170801-C00728
HATU, TEA, DMF
1.9
Figure US09718803-20170801-C00729
Figure US09718803-20170801-C00730
HATU, TEA, DMF
1.10
Figure US09718803-20170801-C00731
Figure US09718803-20170801-C00732
HATU, TEA, DMF
1.11
Figure US09718803-20170801-C00733
Figure US09718803-20170801-C00734
HATU, TEA, THF
1.12
Figure US09718803-20170801-C00735
Figure US09718803-20170801-C00736
HATU, TEA, THF
1.13
Figure US09718803-20170801-C00737
Figure US09718803-20170801-C00738
HATU, TEA, THF
1.14
Figure US09718803-20170801-C00739
Figure US09718803-20170801-C00740
HATU, TEA, THF
1.15
Figure US09718803-20170801-C00741
Figure US09718803-20170801-C00742
HATU, TEA, THF
1.16
Figure US09718803-20170801-C00743
Figure US09718803-20170801-C00744
HATU, TEA, DMF
1.17
Figure US09718803-20170801-C00745
Figure US09718803-20170801-C00746
HATU, TEA, DCM
TABLE 13C
1H NMR δ (PPM) DATA FOR EXAMPLES 1.1 TO 1.17
Ex.
# Structure NMR
1.1
Figure US09718803-20170801-C00747
(DMSO, 400 MHz): 8.61 (s, 1 H); 7.72-7.70 (m, 2 H); 7.66-7.20 (m, 10 H); 4.88-4.86 (m, 2 H); 4.20- 4.13 (m, 3 H).
1.2
Figure US09718803-20170801-C00748
(CDCl3, 400 MHz): 8.49 (d, J = 2.4 Hz, 1H); 8.13- 8.10 (m, 1H); 7.67-7.66 (m, 2H); 7.55-7.50 (m, 3H); 7.45-7.43 (m, 2H); 7.37-7.35 (m, 2H); 4.99- 4.95 (m, 1H); 4.78-4.74 (m, 1H); 4.39-4.37 (m, 1 H); 3.34-4.25 (m, 1H); 4.17-4.13 (m, 1H).
1.3
Figure US09718803-20170801-C00749
(CDCl3, 400 MHz): 8.50 (s, 2H); 7.70-7.67 (m, 2H); 7.56-7.51 (m, 5H); 7.37-7.26 (m, 2H); 6.06- 6.03 (m, 1H); 4.91-4.88 (m, 1H); 3.39-3.28 (m, 2H); 2.90-2.84 (m, 1H); 2.17-2.11 (m, 2H); 2.01- 1.90 (m, 2H).
1.4
Figure US09718803-20170801-C00750
(CDCl3, 400 MHz): 8.60 (dd, J = 2.4, 17.2 Hz, 2H); 8.06 (d, J = 7.6 Hz, 1H); 7.96 (d, J = 7.2 Hz, 1H); 7.56-7.45 (m, 7H); 5.15-5.06 (m, 2H); 4.53- 4.42 (m, 2H); 4.39-4.32 (m, 1H).
1.5
Figure US09718803-20170801-C00751
(DMSO, 400 MHz): 7.93-7.91 (m, 1H); 7.77-7.70 (m, 2H); 7.63-7.61 (m, 1H); 7.55-7.49 (m, 2H); 7.28-7.22 (m, 2H); 5.13-5.11 (m, 1H); 5.01-5.00 (m, 1H); 4.54-4.53 (m, 1H); 4.42-4.40 (m, 2H); 3.18-3.16 (m, 4H); 1.71-1.68 (m, 4H); 1.61-1.59 (m, 2H).
1.6
Figure US09718803-20170801-C00752
(DMSO, 400 MHz): 7.92 (d, J = 7.6 Hz, 1H); 7.77- 7.71 (m, 2H); 7.65-7.63 (m, 1H); 7.55-7.50 (m, 2H); 7.30-7.20 (m, 2H); 5.13-5.10 (m, 1H); 4.73 (d, J = 4.0 Hz, 1H); 4.54-4.48 (m, 1H); 4.46-4.41 (m, 2H); 3.70-3.69 (m, 3H); 3.49-3.44 (m, 2H); 2.99-2.95 (m, 2H); 1.95-1.91 (m, 2H); 1.63-1.58 (m, 2H).
1.7
Figure US09718803-20170801-C00753
(CDCl3, 400 MHz): 8.53 (d, J = 4.8 Hz, 1H); 8.30 (d, J = 8.4, 1H); 7.78-7.68 (m, 3H); 7.52-7.45 (m, 2H); 7.37-7.31 (m, 1H); 7.10-7.03 (m, 1H); 6.91- 6.87 (m, 1H); 6.34 (d, J = 7.6 Hz, 1H); 4.89-4.86 (m, 1H); 4.30-4.27 (m, 1H); 3.82-3.73 (m, 3H); 3.50-3.38 (m, 1H); 3.34-3.25 (m, 2H); 2.95-2.89 (m, 1H); 2.53-2.43 (m, 1H); 2.33-2.29 (m, 1H); 1.96-1.94 (m, 1H); 1.89-1.85 (m, 1H).
1.8
Figure US09718803-20170801-C00754
(DMSO, 400 MHz): 8.22 (s, 1); 8.06 (d, J = 8.8 Hz, 1H); 7.99 (d, J = 8.0 Hz, 1H); 7.74-7.69 (m, 2H); 7.60-7.45 (m, 8H); 7.27-7.21 (m, 2H); 5.08- 5.06 (m, 1H); 4.88-4.86 (m, 1H); 4.35-4.33 (m, 2H); 4.14-4.13 (m, 1H).
1.9
Figure US09718803-20170801-C00755
(CD3OD, 400 MHz): 8.73-8.71 (m, 1H); 8.35-8.33 (m, 1H); 7.91-7.88 (m, 1H); 7.68-7.88 (m, 1H); 7.58-7.54 (m, 3H); 7.45-7.43 (m, 2H); 7.40-7.37 (m, 2H); 5.07-5.02 (m, 1H); 4.80-4.71 (m, 1H); 3.48-3.45 (m, 1H); 3.28-3.25 (m, 1H); 2.90-2.80 (m, 1H); 2.15-2.00 (m, 4H).
1.10
Figure US09718803-20170801-C00756
(CD3OD, 400 MHz): 8.14-8.12 (m, 1H); 8.10-8.08 (m, 1H); 7.76-7.74 (m, 2H); 7.50-7.48 (m, 2H); 4.35 (d, J = 6.8 Hz, 1H); 3.50 (d, J = 6.4 Hz, 2H); 3.46-3.43 (m, 4H); 3.31-3.30 (m, 2H); 3.15 (s, 1H); 2.92-2.89 (m, 2H); 1.99-1.98 (m, 3H); 1.89 (d, J = 12.8 Hz, 3H); 1.71-1.48 (m, 2H).
1.11
Figure US09718803-20170801-C00757
(CD3OD, 400 MHz): 8.65 (d, J = 2.4 Hz, 1H), 8.53 (d, J = 2.4 Hz, 2H),7.98-7.89 (m, 2H), 7.52-7.47 (m, 6H), 4.90-4.86 (m, 2H), 4.39-4.26 (m, 3H).
1.12
Figure US09718803-20170801-C00758
(CD3OD, 400 MHz): 8.64 (d, J = 2.4 Hz, 1H), 8.53 (d, J = 2.8 Hz, 1H), 7.91-7.87 (m, 1H), 7.80 (d, J = 8 Hz, 1H), 7.51-7.46 (m, 6H), 4.85-4.83 (m, 2H), 4.37-4.31 (m, 3H), 2.54 (s, 3H).
1.13
Figure US09718803-20170801-C00759
(CD3OD, 400 MHz): 8.53 (d, J = 2.4 Hz, 1H), 8.42 (d, J = 4.8 Hz, 1H), 8.40 (s, 1H), 7.91-7.89 (m, 1H), 7.51-7.43 (m, 6H), 4.39-4.29 (m, 5H), 2.45 (s, 3H).
1.14
Figure US09718803-20170801-C00760
(CD3OD, 400 MHz): 8.63 (d, J = 2.4 Hz, 1H), 8.52 (d, J = 2.8 Hz, 1H), 8.41 (s, 1H), 7.87 (d, J = 8.4 Hz, 1H), 7.76-7.73 (m, 1H), 7.50-7.46 (m, 5H), 4.85-4.84 (m, 2H), 4.37-4.26 (m, 3H), 2.36 (s, 3H).
1.15
Figure US09718803-20170801-C00761
(CD3OD, 400 MHz): 9.48 (d, J = 2.4 Hz, 1H), 9.42 (d, J = 2.8 Hz, 1H), 9.22 (d, J = 5.2 Hz, 1H), 8.58- 8.57 (m, 1H), 8.31 (s, 5H), 8.14-8.12 (m, 1H), 5.61-5.52 (m, 2H), 5.04-4.97 (m, 3H), 3.15 (s, 3H).
1.16
Figure US09718803-20170801-C00762
(d-DMSO, 400 MHz): 8.17-8.11 (m, 2H); 7.86-7.85 (m, 2H); 7.67-7.48 (m, 7H); 7.27-7.26 (m, 2H); 5.11-5.07 (m, 1H); 4.98-4.94 (m, 1H); 4.51-4.49 (m, 1H); 4.39-4.35 (m, 1H); 4.27-4.22 (m, 1H).
1.17
Figure US09718803-20170801-C00763
(CDCl3, 400 MHz): 8.23-8.22 (m, 1H); 8.16-8.15 (m, 1H); 7.71-7.69 (m, 2H); 7.36-7.34 (m, 2H); 5.33 (t, J = 10.0 Hz, 1H); 5.10-5.06 (m, 1H); 4.65- 4.59 (m, 2H); 4.35-4.25 (m, 1H); 3.88-3.89 (m, 4H); 3.17-3.14 (m, 4H)
Figure US09718803-20170801-C00764
Example 2.1: (1-Methyl-1H-Benzoimidazol-2-Yl)-[3-(3-Phenyl-Pyrazin-2-Yl)-Azetidin-1-Yl]-Methanone
To a stirred solution of [3-(3-chloro-pyrazin-2-yl)-azetidin-1-yl]-(1-methyl-1H-benzoimidazol-2-yl)-methanone (100 mg, 0.30 mmol) in dioxane (10 mL) was added phenylboronic acid (87 mg, 0.71 mmol), Na2CO3 (152 mg, 1.4 mmol) and H2O (2 mL). The reaction mixture was degassed with N2 and then PdCl2(dppf) (35 mg, 0.05 mmol) was added. The reaction mixture was stirred at 80° C. for 12 h. The reaction mixture was left to reach RT and filtered through a pad of CELITE® and the filter cake was washed with CH2Cl2 (20 mL×3). The combined filtrates were evaporated in vacuo and the residue was purified by column chromatography to give the desired compound (60 mg, 0.17 mmol, yield 70%)
The following Table 14A lists compounds of Examples 2.1 to 2.30, which were made analogous to Scheme 2 by using the appropriate materials and reaction conditions, which are listed in Table 14B. The NMR data of the Examples are listed in Table 14C.
TABLE 14A
EXAMPLES 2.1 TO 2.30
ESI-MS IC50
Ex. # Structure Chemical Name (M + 1) (uM)
2.1
Figure US09718803-20170801-C00765
(1-Methyl-1H-benzoimidazol-2- yl)-[3-(3-phenyl-pyrazin-2-yl)- azetidin-1-yl]-methanone 370 0.181
2.2
Figure US09718803-20170801-C00766
[3-(3-Phenyl-pyrazin-2-yl)- azetidin-1-yl]-[1-(2,2,2-trifluoro- ethyl)-1H-benzoimidazol-2-yl]- methanone 438 0.893
2.3
Figure US09718803-20170801-C00767
(1H-Benzoimidazol-2-yl)-[3-(3- phenyl-pyrazin-2-yl)-azetidin-1- yl]-methanone 356 0.0248
2.4
Figure US09718803-20170801-C00768
(1H-Benzoimidazol-2-yl)-{3-[3- (3,4-dimethoxy-phenyl)-pyrazin-2- yl]-azetidin-1-yl}-methanone 416 0.0188
2.5
Figure US09718803-20170801-C00769
(1H-Benzoimidazol-2-yl)-{3-[3- (3-isopropyl-phenyl)-pyrazin-2- yl]-azetidin-1-yl}-methanone 398 0.049
2.6
Figure US09718803-20170801-C00770
(1H-Benzoimidazol-2-yl)-{3-[3- (3-trifluoromethoxy-phenyl)- pyrazin-2-yl]-azetidin-1-yl}- methanone 440 0.0357
2.7
Figure US09718803-20170801-C00771
1H-Benzoimidazol-2-yl)-{3-[3- (3,5-dimethoxy-phenyl)-pyrazin-2- yl]-azetidin-1-yl}-methanone 416 0.056
2.8
Figure US09718803-20170801-C00772
(1H-Benzoimidazol-2-yl)-{3-[3- (3-ethoxy-phenyl)-pyrazin-2-yl]- azetidin-1-yl}-methanone 400 0.0299
2.9
Figure US09718803-20170801-C00773
(1H-Benzoimidazol-2-yl)-{3-[3- (3-isopropoxy-phenyl)-pyrazin-2- yl]-azetidin-1-yl}-methanone 414 0.0352
2.10
Figure US09718803-20170801-C00774
(1H-Benzoimidazol-2-yl)-{3-[3- (3-fluoro-5-methoxy-phenyl)- pyrazin-2-yl]-azetidin-1-yl}- methanone 404 0.0424
2.11
Figure US09718803-20170801-C00775
(1H-Benzoimidazol-2-yl)-{3-[3- (2-methoxy-pyridin-4-yl)-pyrazin- 2-yl]-azetidin-1-yl}-methanone 387 0.093
2.12
Figure US09718803-20170801-C00776
(1H-Benzoimidazol-2-yl)-{3-[3- (5-methoxy-pyridin-3-yl)-pyrazin- 2-yl]-azetidin-1-yl}-methanone 387 0.640
2.13
Figure US09718803-20170801-C00777
(1H-benzo[d]imidazol-2-yl)(3-(3- (4-fluoro-3-methylphenyl)pyrazin- 2-yl)azetidin-1-yl)methanone 388 0.013
2.14
Figure US09718803-20170801-C00778
(1H-Benzoimidazol-2-yl)-{3-[3- (4-methoxy-3-methyl-phenyl)- pyrazin-2-yl]-azetidin-1-yl}- methanone 400 0.0201
2.15
Figure US09718803-20170801-C00779
(1H-Benzoimidazol-2-yl)-{3-[3- (3-fluoro-5-methyl-phenyl)- pyrazin-2-yl]-azetidin-1-yl}- methanone 388 0.0393
2.16
Figure US09718803-20170801-C00780
(1H-Benzoimidazol-2-yl)-{3-[3- (5-methyl-pyridin-3-yl)-pyrazin-2- yl]-azetidin-1-yl}-methanone 371 0.195
2.17
Figure US09718803-20170801-C00781
(1H-Benzoimidazol-2-yl)-{3-[3- (4-methyl-thiophen-2-yl)-pyrazin- 2-yl]-azetidin-1-yl}-methanone 376 0.013
2.18
Figure US09718803-20170801-C00782
(1H-Benzoimidazol-2-yl)-{3-[3- (1-methyl-1H-pyrazol-4-yl)- pyrazin-2-yl]-azetidin-1-yl}- methanone 360 0.216
2.19
Figure US09718803-20170801-C00783
(1H-Benzoimidazol-2-yl)-{3-[3- (3-hydroxymethyl-phenyl)- pyrazin-2-yl]-azetidin-1-yl}- methanone 386 0.0336
2.20
Figure US09718803-20170801-C00784
(1H-Benzoimidazol-2-yl)-{3-[3- (4-hydroxymethyl-phenyl)- pyrazin-2-yl]-azetidin-1-yl}- methanone 386 0.0398
2.21
Figure US09718803-20170801-C00785
1-(4-{3-[1-(1H-Benzoimidazole-2- carbonyl)-azetidin-3-yl]-pyrazin-2- yl}-phenyl)-ethanone 398 0.0247
2.22
Figure US09718803-20170801-C00786
1-(3-{3-[1-(1H-Benzoimidazole-2- carbonyl)-azetidin-3-yl]-pyrazin-2- yl}-phenyl)-ethanone 398 0.0151
2.23
Figure US09718803-20170801-C00787
(1H-Benzoimidazol-2-yl)-{3-[3- (3-methoxymethyl-phenyl)- pyrazin-2-yl]-azetidin-1-yl}- methanone 400 0.0449
2.24
Figure US09718803-20170801-C00788
4-{3-[1-(1H-Benzoimidazole-2- carbonyl)-azetidin-3-yl]-pyrazin-2- yl}-N,N-dimethyl-benzamide 427 0.026
2.25
Figure US09718803-20170801-C00789
3-{3-[1-(1H-Benzoimidazole-2- carbonyl)-azetidin-3-yl]-pyrazin-2- yl}-N,N-dimethyl-benzamide 427 0.537
2.26
Figure US09718803-20170801-C00790
(1H-benzo[d]imidazol-2-yl)(3-(3- (pyridin-4-yl)pyrazin-2- yl)azetidin-1-yl)methanone 357 0.25
2.27
Figure US09718803-20170801-C00791
(7-chloro-1H-benzo[d]imidazol-2- yl)(3-(3-(pyridin-3-yl)pyrazin-2- yl)azetidin-1-yl)methanone 391 0.587
2.28
Figure US09718803-20170801-C00792
(1H-benzo[d]imidazol-2-yl)(3-(3- (2-methylpyridin-4-yl)pyrazin-2- yl)azetidin-1-yl)methanone 371 0.037
2.29
Figure US09718803-20170801-C00793
(1H-benzo[d]imidazol-2-yl)(3-(3- (m-tolyl)pyrazin-2-yl)azetidin-1- yl)methanone 370 0.0148
2.30
Figure US09718803-20170801-C00794
3-(3-(1-(1H-benzo[d]imidazole-2- carbonyl)azetidin-3-yl)pyrazin-2- yl)benzonitrile 381 0.226
TABLE 14B
STARTING MATERIALS AND REACTION CONDITION FOR
PREPARATION OF EXAMPLES 2.1 TO 2.30
Ex. # Structure NMR
2.1
Figure US09718803-20170801-C00795
(CD3OD, 400 MHz): 8.65 (d, J = 2.4 Hz, 1 H); 8.53 (d, J = 2.4, 1 H); 7.70-7.67 (m, 1 H); 7.59-7.58 (m, 1 H); 7.53-7.40 (m, 5 H); 7.38-7.35 (m, 1 H); 7.34-7.31 (m, 1 H); 4.81-4.80 (m, 2 H); 4.41-4.32 (m, 1 H); 4.07 (s, 3 H).
2.2
Figure US09718803-20170801-C00796
(CD3OD, 400 MHz): 8.67-8.66 (m, 1 H); 8.53-8.52 (m, 1 H); 7.74-7.72 (m, 1 H); 7.63-7.61 (m, 1 H); 7.53-7.48 (m, 5 H); 7.45-7.41 (m, 1 H); 7.37-7.33 (m, 1 H); 5.60- 5.56 (m, 2 H); 4.94-4.92 (m, 2 H); 4.41-4.34 (m, 3 H).
2.3
Figure US09718803-20170801-C00797
(CDCl3, 400 MHz): 8.62-8.60 (m, 2H); 7.69-7.68 (m, 2H); 7.58-7.44 (m, 5H); 7.43-7.32 (m, 2H); 5.22-5.12 (m, 2H); 4.64-4.62 (m, 1H); 4.52-4.34 (m, 1H).
2.4
Figure US09718803-20170801-C00798
(CDCl3, 400 MHz): 8.51-8.48 (m, 2 H); 7.72 (br, 1H); 7.47 (br, 1H); 7.24 (brs, 2H); 7.05 (s, 1 H); 6.93 (s, 2 H); 5.15-5.16 (m, 2H); 4.58-4.54 (m, 1 H); 4.46-4.44 (m, 1H); 4.38-4.30 (m, 1 H); 3.90 (s, 6 H)
2.5
Figure US09718803-20170801-C00799
(CDCl3, 400 MHz): 8.60-8.57 (m, 2 H); 7.67 (brs, 2H); 7.46-7.44 (m, 1H); 7.38-7.37 (m, 2 H); 7.31-7.26 (m, 3 H); 5.17-5.16 (m, 2H); 4.63-4.62 (m, 1H); 4.51-4.50 (m, 1 H); 4.36-4.33 (m, 1 H); 3.05-2.99 (m, 2H); 1.33 (d, J = 6.8 Hz, 6H).
2.6
Figure US09718803-20170801-C00800
(DMSO, 400 MHz): 8.75-8.74 (m, 1 H); 8.67-8.66 (m, 1H); 7.69-7.54 (m, 6H); 7.27-7.25 (m, 2H); 4.95-4.92 (m, 2H); 4.31-4.25 (m, 3H).
2.7
Figure US09718803-20170801-C00801
(CDCl3, 400 MHz): 8.60 (d, J = 2.4 Hz, 1H); 8.56 (d, J = 2.4 Hz, 1H); 7.67 (br, 2H); 7.43-7.40 (m, 1H); 7.32- 7.30 (m, 2H); 7.02-6.98 (m, 3H); 5.17-5.16 (m, 2H); 4.66-4.60 (m, 2H); 4.54-4.49 (m, 1H); 4.40-4.36 (m, 1H); 1.38 (d, J = 6.0 Hz, 6H).
2.8
Figure US09718803-20170801-C00802
(CDCl3, 400 MHz): 8.63-8.59 (m, 2 H); 7.70 (br, 2 H); 7.44-7.28 (m, 3 H); 7.06-7.01 (m, 3 H); 5.20-5.18 (m, 2 H); 4.63-4.53 (m, 2 H); 4.41-4.40 (m, 1 H); 4.15-4.10 (m, 2 H); 1.49-1.45 (m, 3 H).
2.9
Figure US09718803-20170801-C00803
(DMSO, 400 MHz): 8.70 (d, J = 2.4 Hz, 1H); 8.64 (d, J = 2.4 Hz, 1H); 7.71 (brs, 1H); 7.50-7.41 (m, 5 H); 7.26 (brs, 2H); 5.32-5.29 (m, 1H); 4.98-4.93 (m, 2H); 4.61- 4.59 (m, 2H); 4.34-4.28 (m, 2H); 4.24-4.21 (m, 1H).
2.10
Figure US09718803-20170801-C00804
(CDCl3, 400 MHz): 8.62 (d, J = 2.4 Hz, 1H); 8.57 (d, J = 2.4 Hz, 1H); 7.69-7.67 (m, 2H); 7.34-7.32 (m, 2H); 7.26-7.15 (m, 2H); 6.96-6.92 (m, 1H); 5.19-5.14 (m, 2H); 4.62 (t, J = 6.0 Hz, 1H); 4.51 (t, J = 9.2 Hz, 1H); 4.37-4.34 (m, 1H); 3.97 (s, 3H)
2.11
Figure US09718803-20170801-C00805
(CDCl3, 400 MHz): 8.70-8.69 (m, 1H); 8.63-8.62 (m, 1 H); 8.43-8.42 (m, 1 H); 7.74-7.72 (m, 2 H); 7.43-7.41 (m, 2H); 7.12-7.11 (m, 1 H); 7.01 (s, 1 H); 5.15-5.11 (m, 2 H); 4.56-4.52 (m, 2 H); 4.32-4.31 (m, 1 H); 4.06 (s, 3 H).
2.12
Figure US09718803-20170801-C00806
(CDCl3, 400 MHz): 8.66-8.65 (m, 1H); 8.57-8.56 (m, 2H); 8.50 (s, 1H); 7.96 (s, 1H); 7.66-7.64 (m, 2H); 7.36- 7.34 (m, 2H); 5.09-5.00 (m, 2H); 4.59-4.46 (m, 2H); 4.29-4.27 (m, 1H); 4.00 (s, 3H)
2.13
Figure US09718803-20170801-C00807
(CDCl3, 400 MHz): 8.54 (d, J = 1.6 Hz, 1H); 8.49 (d, J = 2.4 Hz, 1H); 7.62 (s, 2H); 7.33-7.26 (m, 3H); 7.19 (s, 1H); 7.09 (t, J = 8.8 Hz, 1H); 5.13-5.10 (m, 2H); 4.29- 4.18 (m, 1H); 2.62 (s, 3H).
2.14
Figure US09718803-20170801-C00808
(CDCl3, 400 MHz): 8.56 (s, 2H); 7.69 (brs, 2H); 7.34- 7.24 (m, 4 H); 6.96-6.94 (m, 1H); 5.21-5.15 (m, 2H); 4.60-4.40 (m, 3H); 3.90 (s, 3H); 2.30 (s, 3H).
2.15
Figure US09718803-20170801-C00809
(CDCl3, 400 MHz): 8.62-8.57 (m, 2H); 7.67-7.67 (m, 2H); 7.30 (brs, 2 H); 7.05-7.03 (m, 3 H); 5.17-5.15 (m, 2H); 4.62-4.48 (m, 2H); 4.35-4.33 (m, 1 H); 2.46 (s, 3 H).
2.16
Figure US09718803-20170801-C00810
(CDCl3, 400 MHz): 8.83 (s, 1H); 8.67 (s, 1H); 8.65 (d, J = 2.0 Hz, 1H); 8.56 (d, J = 2.0 Hz, 1H); 8.31 (s, 1H); 7.65-7.62 (m, 2H); 7.33-7.31 (m, 2H); 5.11-5.07 (m, 1H); 5.03-5.00 (m, 1H); 4.29-4.25 (m, 1H); 2.57 (s, 3H).
2.17
Figure US09718803-20170801-C00811
(CDCl3, 400 MHz): 8.58-8.54 (m, 2 H); 7.61 (br, 2 H); 7.40-7.38 (m, 2 H); 7.27-7.25 (m, 2 H); 5.15-5.13 (m, 1 H); 4.96-4.92 (m, 1 H); 4.58-4.53 (m, 2 H); 4.38-4.36 (m, 1H); 2.29 (s, 3H).
2.18
Figure US09718803-20170801-C00812
(CDCl3, 400 MHz): 8.50-8.49 (m, 2 H); 7.87 (brs, 2H); 7.72 (br, 2 H); 7.41-7.40 (m, 2H); 5.30-5.29 (m, 1H); 5.08-5.07(m, 1 H); 4.65-4.61 (m, 2H); 4.49-4.48 (m, 1H); 4.03 (s, 3H).
2.19
Figure US09718803-20170801-C00813
(DMSO, 400 MHz): 8.70 (d, J = 2.4 Hz, 1H); 8.64 (d, J = 2.4 Hz, 1H); 7.71 (brs, 1H); 7.50-7.41 (m, 5 H); 7.26 (brs, 2H); 5.32-5.29 (m, 1H); 4.98-4.93 (m, 2H); 4.61- 4.59 (m, 2H); 4.34-4.28 (m, 2H); 4.24-4.21 (m, 1H).
2.20
Figure US09718803-20170801-C00814
(DMSO, 400 MHz): 8.69 (d, J = 2.4 Hz, 1H); 8.63 (d, J = 2.4 Hz, 1H); 7.53-7.47 (m, 5 H); 7.71 (br, 2H); 4.97- 4.88 (m, 2H); 4.59 (s, 2 H); 4.33-4.21 (m, 3H).
2.21
Figure US09718803-20170801-C00815
(CDCl3, 400 MHz): 8.65-8.61 (m, 2 H); 8.12-8.10 (m, 2 H); 7.70-7.68 (m, 2 H); 7.59-7.57 (m, 2 H); 7.36-7.34 (m, 2 H); 5.21-5.10 (m, 2 H); 4.64-4.61 (m, 1 H); ; 4.51- 4.50 (m, 1 H); 4.32-4.29 (m, 1 H); 2.68 (s, 3 H).
2.22
Figure US09718803-20170801-C00816
(CDCl3, 400 MHz): 8.63-8.59 (m, 2 H); 8.09-8.07 (m, 2H); 7.64-7.62 (m, 4H); 7.34-7.31 (m, 2H); 5.15-5.14 (m, 2H); 4.60-4.58 (m, 1H); 4.51-4.49 (m, 1H); 4.32- 4.30 (m, 1H); 2.66 (s, 3H).
2.23
Figure US09718803-20170801-C00817
(CDCl3, 400 MHz): 8.63-8.59 (m, 2 H); 7.70-7.68 (m, 2H); 7.54-7.47 (m, 3H); 7.38-7.34 (m, 3H); 7.02-7.00 (m, 4H); 5.16-5.12 (m, 2H); 4.61-4.60 (m, 1H); 4.58- 4.51 (m, 2H); 4.48-4.46 (m, 1H); 4.39-4.33 (m, 1H); 3.44 (s, 3H).
2.24
Figure US09718803-20170801-C00818
(CDCl3, 400 MHz): 8.58-8.54 (m, 2 H); 7.67-7.66 (m, 2 H); 7.57-7.54 (m, 2 H); 7.49-7.47 (m, 2H); 7.34-7.32 (m, 2 H); 5.10-5.00 (m, 2H); 4.52-4.51 (m, 1H); 4.41- 4.40 (m, 1H); 4.27-4.21 (m, 1H); 3.15 (s, 3 H); 3.02 (s, 3 H).
2.25
Figure US09718803-20170801-C00819
(CDCl3, 400 MHz): 8.60-8.55 (m, 2 H); 7.66 (brs, 2H); 7.57-7.50 (m, 4H); 7.30-7.29 (m, 2H); 5.10 (brs, 2H); 4.56-4.55 (m, 1H); 4.45-4.44 (m, 2H); 4.29-4.27 (m, 1H); 3.15 (s, 3H); 3.04 (s, 3H).
2.26
Figure US09718803-20170801-C00820
(CDCl3, 400 MHz): 8.90-8.80 (m, 2H); 8.70 (s, 1H); 8.60 (s, 1H); 7.85-7.72 (m, 2H); 7.67-7.62 (m, 2H); 7.46-7.45 (m, 2H); 5.24-5.13 (m, 2H); 4.66-4.62 (m, 1H); 4.54-4.49 (m, 1H); 4.30 (brs, 1H).
2.27
Figure US09718803-20170801-C00821
(CDCl3, 400 MHz): 8.75-8.72 (m, 2H); 8.59 (s, 1H); 8.54 (s, 1H); 7.84-7.83 (m, 1H); 7.45-7.36 (m, 2H); 7.24-7.11 (m, 2H); 5.19-5.08 (m, 2H); 4.58-4.45 (m, 2H); 4.29-4.22 (m, 1H).
2.28
Figure US09718803-20170801-C00822
(CDCl3, 400 MHz): δ (ppm) 8.69-8.60 (m, 3H); 7.80 (d, J = 8.0 Hz, 1H); 7.55 (d, J = 8.0 Hz, 1H); 7.32-7.26 (m, 3H); 7.22-7.20 (m, 1H); 5.20-5.16 (m, 2H); 4.68-4.64 (m, 1H); 4.55-4.51 (m, 1H); 4.32-4.28 (m, 1H); 2.69 (s, 3H).
2.29
Figure US09718803-20170801-C00823
(CDCl3, 400 MHz): 8.60-8.57 (m, 2H); 7.81-7.79 (m, 1H); 7.55-7.40 (m, 1H); 7.34-7.26 (m, 6H); 5.18-5.17 (m, 2H); 4.66-4.62 (m, 1H); 4.52-4.48 (m, 1H); 4.38- 4.34 (m, 1H); 2.46 (s, 3H).
2.30
Figure US09718803-20170801-C00824
(CDCl3, 400 MHz): δ (ppm) 8.69-8.68 (m, 1H); 8.61- 8.60 (m, 1H); 7.89 (s, 1H); 7.87-7.65 (m, 5H); 7.32-7.26 (m, 2H); 5.25-5.13 (m, 2H); 4.68-4.64 (m, 1H); 4.55- 4.51 (m, 1H); 4.29-4.26 (m, 1H).
TABLE 14C
STARTING MATERIALS AND REACTION CONDITION FOR
PREPARATION OF EXAMPLES 2.1 TO 2.30.
Unless otherwise stated, all starting materials are commercially available from common vendors.
Ex. # Starting Material 1 Starting Material 2 Reaction Condition
2.1
Figure US09718803-20170801-C00825
Figure US09718803-20170801-C00826
PdCl2(dppf), Na2CO3, dioxane/H2O 80° C.
2.2
Figure US09718803-20170801-C00827
Figure US09718803-20170801-C00828
PdCl2(dppf), Na2CO3, dioxane/H2O 80° C.
2.3
Figure US09718803-20170801-C00829
Figure US09718803-20170801-C00830
PdCl2(dppf), K3PO4, dioxane/H2O 80° C.
2.4
Figure US09718803-20170801-C00831
Figure US09718803-20170801-C00832
PdCl2(dppf), K3PO4, dioxane/H2O 80° C.
2.5
Figure US09718803-20170801-C00833
Figure US09718803-20170801-C00834
PdCl2(dppf), K3PO4, dioxane/H2O 80° C.
2.6
Figure US09718803-20170801-C00835
Figure US09718803-20170801-C00836
PdCl2(dppf), K3PO4, dioxane/H2O 80° C.
2.7
Figure US09718803-20170801-C00837
Figure US09718803-20170801-C00838
PdCl2(dppf), K3PO4, dioxane/H2O 80° C.
2.8
Figure US09718803-20170801-C00839
Figure US09718803-20170801-C00840
PdCl2(dppf), K3PO4, dioxane/H2O 80° C.
2.9
Figure US09718803-20170801-C00841
Figure US09718803-20170801-C00842
PdCl2(dppf), K3PO4, dioxane/H2O 80° C.
2.10
Figure US09718803-20170801-C00843
Figure US09718803-20170801-C00844
PdCl2(dppf), K3PO4, dioxane/H2O 80° C.
2.11
Figure US09718803-20170801-C00845
Figure US09718803-20170801-C00846
PdCl2(dppf), K3PO4, dioxane/H2O 80° C.
2.12
Figure US09718803-20170801-C00847
Figure US09718803-20170801-C00848
PdCl2(dppf), K3PO4, dioxane/H2O 80° C.
2.13
Figure US09718803-20170801-C00849
Figure US09718803-20170801-C00850
PdCl2(dppf), K3PO4, dioxane/H2O 80° C.
2.14
Figure US09718803-20170801-C00851
Figure US09718803-20170801-C00852
PdCl2(dppf), K3PO4, dioxane/H2O 80° C.
2.15
Figure US09718803-20170801-C00853
Figure US09718803-20170801-C00854
PdCl2(dppf), K3PO4, dioxane/H2O 80° C.
2.16
Figure US09718803-20170801-C00855
Figure US09718803-20170801-C00856
PdCl2(dppf), K3PO4, dioxane/H2O 80° C.
2.17
Figure US09718803-20170801-C00857
Figure US09718803-20170801-C00858
PdCl2(dppf), K3PO4, dioxane/H2O 80° C.
2.18
Figure US09718803-20170801-C00859
Figure US09718803-20170801-C00860
PdCl2(dppf), K3PO4, dioxane/H2O 80° C.
2.19
Figure US09718803-20170801-C00861
Figure US09718803-20170801-C00862
PdCl2(dppf), K3PO4, dioxane/H2O 80° C.
2.20
Figure US09718803-20170801-C00863
Figure US09718803-20170801-C00864
PdCl2(dppf), K3PO4, dioxane/H2O 80° C.
2.21
Figure US09718803-20170801-C00865
Figure US09718803-20170801-C00866
PdCl2(dppf), K3PO4, dioxane/H2O 80° C.
2.22
Figure US09718803-20170801-C00867
Figure US09718803-20170801-C00868
PdCl2(dppf), K3PO4, dioxane/H2O 80° C.
2.23
Figure US09718803-20170801-C00869
Figure US09718803-20170801-C00870
PdCl2(dppf), K3PO4, dioxane/H2O 80° C.
2.24
Figure US09718803-20170801-C00871
Figure US09718803-20170801-C00872
PdCl2(dppf), K3PO4, dioxane/H2O 80° C.
2.25
Figure US09718803-20170801-C00873
Figure US09718803-20170801-C00874
PdCl2(dppf), K3PO4, dioxane/H2O 80° C.
2.26
Figure US09718803-20170801-C00875
Figure US09718803-20170801-C00876
PdCl2(dppf), K3PO4, dioxane/H2O reflux
2.27
Figure US09718803-20170801-C00877
Figure US09718803-20170801-C00878
PdCl2(dppf), K3PO4, dioxane/H2O reflux
2.28
Figure US09718803-20170801-C00879
Figure US09718803-20170801-C00880
PdCl2(dppf), K2CO3, dioxane/H2O reflux
2.29
Figure US09718803-20170801-C00881
Figure US09718803-20170801-C00882
PdCl2(dppf), K2CO3, dioxane/H2O reflux
2.30
Figure US09718803-20170801-C00883
Figure US09718803-20170801-C00884
PdCl2(dppf), K2CO3, dioxane/H2O reflux
Figure US09718803-20170801-C00885
Example 3.1: (1-Methyl-1H-Benzoimidazol-2-Yl)-[3-(3-Piperidin-1-Yl-Pyrazin-2-Yl)-Azetidin-1-Yl]-Methanone
To a mixture of [3-(3-chloro-pyrazin-2-yl)-azetidin-1-yl]-(1-methyl-1H-benzoimidazol-2-yl)-methanone (0.10 g, 0.30 mmol), piperidine (0.052 g, 0.60 mmol) and triethylamine (0.091 g, 0.90 mmol) was added DMSO (4 mL). The solution was heated to 120° C. for 5 h. Then the mixture was diluted with water (10 mL) and extracted with EtOAc (2×20 mL). The combined organic extracts were washed with water (10 mL), brine (10 mL), dried over Na2SO4 and filtered. The filtrate was evaporated in vacuo and the residue was purified by flash column chromatography on silica gel (20% to 50% EtOAc in petroleum ether) to give (1-methyl-1H-benzoimidazol-2-yl)-[3-(3-piperidin-1-yl-pyrazin-2-yl)-azetidin-1-yl]-methanone (0.072 g, 0.19 mmol, 63% yield) as white solid.
The following Table 15A lists compounds of Examples 3.1 to 3.54, which were made analogous to Scheme 3 by using the appropriate materials and reaction conditions, which are listed in Table 15B. The NMR data of the Examples are listed in Table 15C.
TABLE 15A
EXAMPLES 3.1 TO 3.54
ESI-MS IC50
Ex. # Structure Chemical Name (M + 1) (uM)
3.1
Figure US09718803-20170801-C00886
(1-Methyl-1H- benzoimidazol-2-yl)-[3-(3- piperidin-1-yl-pyrazin-2-yl)- azetidin-1-yl]-methanone 377 0.136
3.2
Figure US09718803-20170801-C00887
{3-[3-(4-Hydroxy-piperidin- 1-yl)-pyrazin-2-yl]-azetidin- 1-yl}-(1-methyl-1H- benzoimidazol-2-yl)- methanone 393 0.351
3.3
Figure US09718803-20170801-C00888
[3-(3-Piperidin-1-yl-pyrazin- 2-yl)-azetidin-1-yl]-[1-(2,2,2- trifluoro-ethyl)-1H- benzoimidazol-2-yl]- methanone 445 0.575
3.4
Figure US09718803-20170801-C00889
{3-[3-(4-Hydroxy-piperidin- 1-yl)-pyrazin-2-yl]-azetidin- 1-yl}-[1-(2,2,2-trifluoro- ethyl)-1H-benzoimidazol-2- yl]-methanone 461 0.963
3.5
Figure US09718803-20170801-C00890
(1H-Benzoimidazol-2-yl)-[3- (3-pyrrolidin-1-yl-pyrazin-2- yl)-azetidin-1-yl]-methanone 349 0.0217
3.6
Figure US09718803-20170801-C00891
(1H-Benzoimidazol-2-yl)-{3- [3-(4-trifluoromethyl- piperidin-1-yl)-pyrazin-2-yl]- azetidin-1-yl}-methanone 431 0.0205
3.7
Figure US09718803-20170801-C00892
(R & S)-(1H-Benzoimidazol- 2-yl)-{3-[3-(2-methyl- piperidin-1-yl)-pyrazin-2-yl]- azetidin-1-yl}-methanone 377 0.0636
3.8
Figure US09718803-20170801-C00893
(1H-Benzoimidazol-2-yl)-{3- [3-(3-methyl-piperidin-1-yl)- pyrazin-2-yl]-azetidin-1-yl}- methanone 377 0.016
3.9
Figure US09718803-20170801-C00894
(1H-Benzoimidazol-2-yl)-{3- [3-(4-methyl-piperidin-1-yl)- pyrazin-2-yl]-azetidin-1-yl}- methanone 377 0.0272
3.10
Figure US09718803-20170801-C00895
(1H-Benzoimidazol-2-yl)-{3- [3-(4,4-dimethyl-piperidin-1- yl)-pyrazin-2-yl]-azetidin-1- yl}-methanone 391 0.0481
3.11
Figure US09718803-20170801-C00896
(1H-Benzoimidazol-2-yl)-{3- [3-(4-hydroxymethyl- piperidin-1-yl)-pyrazin-2-yl]- azetidin-1-yl}-methanone 393 0.0072
3.12
Figure US09718803-20170801-C00897
(1H-Benzoimidazol-2-yl)-(3- {3-[4-(1-hydroxy-1-methyl- ethyl)-piperidin-1-yl]- pyrazin-2-yl}-azetidin-1-yl)- methanone 421 0.0563
3.13
Figure US09718803-20170801-C00898
(1H-Benzoimidazol-2-yl)-(3- {3-[4-(1-hydroxy-1-methyl- ethyl)-piperidin-1-yl]- pyrazin-2-yl}-azetidin-1-yl)- methanone 393 0.0381
3.14
Figure US09718803-20170801-C00899
1-{3-[1-(1H- Benzoimidazole-2-carbonyl)- azetidin-3-yl]-pyrazin-2-yl}- piperidine-4-carbonitrile 388 0.00529
3.15
Figure US09718803-20170801-C00900
(1H-Benzoimidazol-2-yl)-{3- [3-(4-methoxymethyl- piperidin-1-yl)-pyrazin-2-yl]- azetidin-1-yl}-methanone 407 0.0185
3.16
Figure US09718803-20170801-C00901
(R & S)-(1H-Benzoimidazol- 2-yl)-{3-[3-(3-methyl- pyrrolidin-1-yl)-pyrazin-2- yl]-azetidin-1-yl}-methanone 363 0.00892
3.17
Figure US09718803-20170801-C00902
(R & S)-(1H- Benzoimidazol-2-yl)-{3-[3- (2-methyl-pyrrolidin-1-yl)- pyrazin-2-yl]-azetidin-1-yl}- methanone 363 0.0149
3.18
Figure US09718803-20170801-C00903
(1H-Benzoimidazol-2-yl)-{3- [3-(3,4-dihydro-1H- isoquinolin-2-yl)-pyrazin-2- yl]-azetidin-1-yl}-methanone 411 0.00676
3.19
Figure US09718803-20170801-C00904
(1H-Benzoimidazol-2-yl)-{3- [3-(1,3-dihydro-isoindol-2- yl)-pyrazin-2-yl]-azetidin-1- yl}-methanone 397 0.043
3.20
Figure US09718803-20170801-C00905
(R & S)-(1H-Benzoimidazol- 2-yl)-{3-[3-(3-phenyl- pyrrolidin-1-yl)-pyrazin-2- yl]-azetidin-1-yl}-methanone 425 0.0468
3.21
Figure US09718803-20170801-C00906
(R & S)-(1H-Benzoimidazol- 2-yl)-{3-[3-(2-phenyl- pyrrolidin-1-yl)-pyrazin-2- yl]-azetidin-1-yl}-methanone 425 0.163
3.22
Figure US09718803-20170801-C00907
(1H-Benzoimidazol-2-yl)-[3- (3-cyclopentylamino-pyrazin- 2-yl)-azetidin-1-yl]- methanone 363 0.0363
3.23
Figure US09718803-20170801-C00908
(1H-Benzoimidazol-2-yl)-[3- (3-cyclohexylamino-pyrazin- 2-yl)-azetidin-1-yl]- methanone 377 0.0389
3.24
Figure US09718803-20170801-C00909
(1H-Benzoimidazol-2-yl)-[3- (3-benzylamino-pyrazin-2- yl)-azetidin-1-yl]-methanone 385 0.171
3.25
Figure US09718803-20170801-C00910
(1H-Benzoimidazol-2-yl)-{3- [3-(2-hydroxy-ethylamino)- pyrazin-2-yl]-azetidin-1-yl}- methanone 339 0.74
3.26
Figure US09718803-20170801-C00911
(1H-benzo[d]imidazol-2- yl)(3-(3-((2- methoxyethyl)amino)pyrazin- 2-yl)azetidin-1-yl)methanone 353 0.0586
3.27
Figure US09718803-20170801-C00912
1-{3-[1-(1H- Benzoimidazole-2-carbonyl)- azetidin-3-yl]-pyrazin-2-yl}- piperidine-4-carboxylic acid amide 406 0.00312
3.28
Figure US09718803-20170801-C00913
(R & S)-(1H-Benzoimidazol- 2-yl)-{3-[3-(3- hydroxymethyl-piperidin-1- yl)-pyrazin-2-yl]-azetidin-1- yl}-methanone 393 0.0206
3.29
Figure US09718803-20170801-C00914
(1H-Benzoimidazol-2-yl)-{3- [3-(3-hydroxy-piperidin-1- yl)-pyrazin-2-yl]-azetidin-1- yl}-methanone 379 0.0352
3.30
Figure US09718803-20170801-C00915
[3-(3-Azepan-1-yl-pyrazin-2- yl)-azetidin-1-yl]-(1H- benzoimidazol-2-yl)- methanone 379 0.0342
3.31
Figure US09718803-20170801-C00916
[3-(3-Azetidin-1-yl-pyrazin- 2-yl)-azetidin-1-yl]-(1H- benzoimidazol-2-yl)- methanone 335 0.0882
3.32
Figure US09718803-20170801-C00917
(R)-(1H-Benzoimidazol-2- yl)-{3-[3-(2-hydroxymethyl- pyrrolidin-1-yl)-pyrazin-2- yl]-azetidin-1-yl}-methanone 379 0.104
3.33
Figure US09718803-20170801-C00918
(1H-Benzoimidazol-2-yl)-[3- (3-isopropylamino-pyrazin-2- yl)-azetidin-1-yl]-methanone 337 0.133
3.34
Figure US09718803-20170801-C00919
(S)-(1H-Benzoimidazol-2- yl)-{3-[3-(2-hydroxymethyl- pyrrolidin-1-yl)-pyrazin-2- yl]-azetidin-1-yl}-methanone 379 0.917
3.35
Figure US09718803-20170801-C00920
(1H-Benzoimidazol-2-yl)-(3- {3-[4-(2-hydroxy-ethyl)- piperidin-1-yl]-pyrazin-2-yl}- azetidin-1-yl)-methanone 407 0.0094
3.36
Figure US09718803-20170801-C00921
(1H-Benzoimidazol-2-yl)-[3- (3-[1,4]oxazepan-4-yl- pyrazin-2-yl)-azetidin-1-yl]- methanone 379 0.0627
3.37
Figure US09718803-20170801-C00922
(1H-Benzoimidazol-2-yl)-{3- [3-(4-methyl-[1,4]diazepan- 1-yl)-pyrazin-2-yl]-azetidin- 1-yl}-methanone 392 4.28
3.38
Figure US09718803-20170801-C00923
1-(4-{3-[1-(1H- Benzoimidazole-2-carbonyl)- azetidin-3-yl]-pyrazin-2-yl}- [1,4]diazepan-1-yl)-ethanone 420 0.0859
3.39
Figure US09718803-20170801-C00924
(1H-Benzoimidazol-2-yl)-{3- [3-(4-hydroxy-azepan-1-yl)- pyrazin-2-yl]-azetidin-1-yl}- methanone 393 0.0368
3.40
Figure US09718803-20170801-C00925
(R & S)-(1H- Benzoimidazol-2-yl)-{3-[3- (3-hydroxymethyl-pyrrolidin- 1-yl)-pyrazin-2-yl]-azetidin- 1-yl}-methanone 379 0.0665
3.41
Figure US09718803-20170801-C00926
(R)-(1H-Benzoimidazol-2- yl)-{3-[3-(3-hydroxy- piperidin-1-yl)-pyrazin-2-yl]- azetidin-1-yl}-methanone 379 0.0709
3.42
Figure US09718803-20170801-C00927
(S)-(1H-Benzoimidazol-2- yl)-{3-[3-(3-hydroxy- piperidin-1-yl)-pyrazin-2-yl]- azetidin-1-yl}-methanone 379 0.170
3.43
Figure US09718803-20170801-C00928
(R & S)-1-{3-[1-(1H- Benzoimidazole-2-carbonyl)- azetidin-3-yl]-pyrazin-2-yl}- piperidine-3-carbonitrile 388 0.0868
3.44
Figure US09718803-20170801-C00929
1-{3-[1-(1H- Benzoimidazole-2-carbonyl)- azetidin-3-yl]-pyrazin-2-yl}- piperidine-4-carboxylic acid methylamide 420 0.016
3.45
Figure US09718803-20170801-C00930
1-{3-[1-(1H- Benzoimidazole-2-carbonyl)- azetidin-3-yl]-pyrazin-2-yl}- piperidine-4-carboxylic acid dimethylamide 434 0.0166
3.46
Figure US09718803-20170801-C00931
1-(1-(3-(1-(1H- benzo[d]imidazole-2- carbonyl)azetidin-3- yl)pyrazin-2-yl)piperidin-4- yl)ethanone 405 0.0119
3.47
Figure US09718803-20170801-C00932
1-(4-(3-(1-(1H- benzo[d]imidazole-2- carbonyl)azetidin-3- yl)pyrazin-2-yl)piperazin-1- yl)ethanone 406 0.192
3.48
Figure US09718803-20170801-C00933
(R)-(1H-benzo[d]imidazol-2- yl)(3-(3-(3- hydroxypyrrolidin-1- yl)pyrazin-2-yl)azetidin-1- yl)methanone 365 0.0718
3.49
Figure US09718803-20170801-C00934
(S)-(1H-benzo[d]imidazol-2- yl)(3-(3-(3- hydroxypyrrolidin-1- yl)pyrazin-2-yl)azetidin-1- yl)methanone 365 0.0632
3.50
Figure US09718803-20170801-C00935
(1H-benzo[d]imidazol-2- yl)(3-(3-(piperidin-1- yl)pyrazin-2-yl)azetidin-1- yl)methanone 363 0.0107
3.51
Figure US09718803-20170801-C00936
(1H-benzo[d]imidazol-2- yl)(3-(3-(4-hydroxypiperidin- 1-yl)pyrazin-2-yl)azetidin-1- yl)methanone 379 0.0233
3.52
Figure US09718803-20170801-C00937
(1H-Benzoimidazol-2-yl)-{3- [3-(2-oxa-7-aza- spiro[3.5]non-7-yl)-pyrazin- 2-yl]-azetidin-1-yl}- methanone 405 0.0276
3.53
Figure US09718803-20170801-C00938
(1H-Benzoimidazol-2-yl)-{3- [3-(2-oxa-6-aza- spiro[3.3]hept-6-yl)-pyrazin- 2-yl]-azetidin-1-yl}- methanone 377 0.1320
3.54
Figure US09718803-20170801-C00939
1-(6-{3-[1-(1H-Benzoimida- zole-2-carbonyl)-azetidin-3-yl]- pyrazin-2-yl}-2,6-diaza-spiro [3.3]hept-2-yl)-ethanone 418 0.4900
TABLE 15B
STARTING MATERIALS AND REACTION CONDITION FOR
PREPARATION OF EXAMPLES 3.1 TO 3.54.
Unless otherwise stated, all starting materials are commercially available from common vendors.
Ex. # Starting Material 1 Starting Material 2 Reaction Condition
3.1 
Figure US09718803-20170801-C00940
Figure US09718803-20170801-C00941
TEA, DMSO 120° C.
3.2 
Figure US09718803-20170801-C00942
Figure US09718803-20170801-C00943
TEA, DMSO 120° C.
3.3 
Figure US09718803-20170801-C00944
Figure US09718803-20170801-C00945
TEA, DMSO 120° C.
3.4 
Figure US09718803-20170801-C00946
Figure US09718803-20170801-C00947
TEA, DMSO 120° C.
3.5 
Figure US09718803-20170801-C00948
Figure US09718803-20170801-C00949
TEA, DMSO 120° C.
3.6 
Figure US09718803-20170801-C00950
Figure US09718803-20170801-C00951
TEA, DMSO 120° C.
3.7 
Figure US09718803-20170801-C00952
Figure US09718803-20170801-C00953
TEA, DMSO 120° C.
3.8 
Figure US09718803-20170801-C00954
Figure US09718803-20170801-C00955
TEA, DMSO 120° C.
3.9 
Figure US09718803-20170801-C00956
Figure US09718803-20170801-C00957
TEA, DMSO 120° C.
3.10
Figure US09718803-20170801-C00958
Figure US09718803-20170801-C00959
TEA, DMSO 120° C.
3.11
Figure US09718803-20170801-C00960
Figure US09718803-20170801-C00961
TEA, DMSO 120° C.
3.12
Figure US09718803-20170801-C00962
Figure US09718803-20170801-C00963
TEA, DMSO 120° C.
3.13
Figure US09718803-20170801-C00964
Figure US09718803-20170801-C00965
TEA, DMSO 120° C.
3.14
Figure US09718803-20170801-C00966
Figure US09718803-20170801-C00967
TEA, DMSO 120° C.
3.15
Figure US09718803-20170801-C00968
Figure US09718803-20170801-C00969
TEA, DMSO 120° C.
3.16
Figure US09718803-20170801-C00970
Figure US09718803-20170801-C00971
TEA, DMSO 120° C.
3.17
Figure US09718803-20170801-C00972
Figure US09718803-20170801-C00973
TEA, DMSO 120° C.
3.18
Figure US09718803-20170801-C00974
Figure US09718803-20170801-C00975
TEA, DMSO 120° C.
3.19
Figure US09718803-20170801-C00976
Figure US09718803-20170801-C00977
TEA, DMSO 120° C.
3.20
Figure US09718803-20170801-C00978
Figure US09718803-20170801-C00979
TEA, DMSO 120° C.
3.21
Figure US09718803-20170801-C00980
Figure US09718803-20170801-C00981
TEA, DMSO 120° C.
3.22
Figure US09718803-20170801-C00982
Figure US09718803-20170801-C00983
TEA, DMSO 120° C.
3.23
Figure US09718803-20170801-C00984
Figure US09718803-20170801-C00985
TEA, DMSO 120° C.
3.24
Figure US09718803-20170801-C00986
Figure US09718803-20170801-C00987
TEA, DMSO 120° C.
3.25
Figure US09718803-20170801-C00988
Figure US09718803-20170801-C00989
TEA, DMSO 120° C.
3.26
Figure US09718803-20170801-C00990
Figure US09718803-20170801-C00991
TEA, DMSO 120° C.
3.27
Figure US09718803-20170801-C00992
Figure US09718803-20170801-C00993
TEA, DMSO 120° C.
3.28
Figure US09718803-20170801-C00994
Figure US09718803-20170801-C00995
TEA, DMSO 120° C.
3.29
Figure US09718803-20170801-C00996
Figure US09718803-20170801-C00997
TEA, DMSO 120° C.
3.30
Figure US09718803-20170801-C00998
Figure US09718803-20170801-C00999
TEA, DMSO 120° C.
3.31
Figure US09718803-20170801-C01000
Figure US09718803-20170801-C01001
TEA, DMSO 120° C.
3.32
Figure US09718803-20170801-C01002
Figure US09718803-20170801-C01003
TEA, DMSO 120° C.
3.33
Figure US09718803-20170801-C01004
Figure US09718803-20170801-C01005
TEA, DMSO 120° C.
3.34
Figure US09718803-20170801-C01006
Figure US09718803-20170801-C01007
TEA, DMSO 120° C.
3.35
Figure US09718803-20170801-C01008
Figure US09718803-20170801-C01009
TEA, DMSO 120° C.
3.36
Figure US09718803-20170801-C01010
Figure US09718803-20170801-C01011
TEA, DMSO 120° C.
3.37
Figure US09718803-20170801-C01012
Figure US09718803-20170801-C01013
TEA, DMSO 120° C.
3.38
Figure US09718803-20170801-C01014
Figure US09718803-20170801-C01015
TEA, DMSO 120° C.
3.39
Figure US09718803-20170801-C01016
Figure US09718803-20170801-C01017
TEA, DMSO 120° C.
3.40
Figure US09718803-20170801-C01018
Figure US09718803-20170801-C01019
TEA, DMSO 120° C.
3.41
Figure US09718803-20170801-C01020
Figure US09718803-20170801-C01021
TEA, DMSO 120° C.
3.42
Figure US09718803-20170801-C01022
Figure US09718803-20170801-C01023
TEA, DMSO 120° C.
3.43
Figure US09718803-20170801-C01024
Figure US09718803-20170801-C01025
TEA, DMSO 120° C.
3.44
Figure US09718803-20170801-C01026
Figure US09718803-20170801-C01027
TEA, DMSO 120° C.
3.45
Figure US09718803-20170801-C01028
Figure US09718803-20170801-C01029
TEA, DMSO 120° C.
3.46
Figure US09718803-20170801-C01030
Figure US09718803-20170801-C01031
TEA, DMSO 120° C.
3.47
Figure US09718803-20170801-C01032
Figure US09718803-20170801-C01033
36.1 μW, 145° C. 36.2 Et3N, Ac2O, DCM
3.48
Figure US09718803-20170801-C01034
Figure US09718803-20170801-C01035
K2CO3, iPrOH, H2O, 160° C. μW
3.49
Figure US09718803-20170801-C01036
Figure US09718803-20170801-C01037
K2CO3, iPrOH, H2O, 160° C. μW
3.50
Figure US09718803-20170801-C01038
Figure US09718803-20170801-C01039
K2CO3, i-PrOH, H2O, μW, 160° C.
3.51
Figure US09718803-20170801-C01040
Figure US09718803-20170801-C01041
K2CO3, i-PrOH, H2O, μW, 160° C.
3.52
Figure US09718803-20170801-C01042
Figure US09718803-20170801-C01043
TEA, DMSO 120° C.
3.53
Figure US09718803-20170801-C01044
Figure US09718803-20170801-C01045
TEA, DMSO 120° C.
3.54
Figure US09718803-20170801-C01046
Figure US09718803-20170801-C01047
TEA, DMSO 120° C.
TABLE 15C
1H NMR □ (PPM) DATA FOR EXAMPLES 3.1 TO 3.54
Ex. # Structure NMR
3.1 
Figure US09718803-20170801-C01048
(CD3OD, 400 MHz): 8.11 (d, J = 2.4 Hz, 1 H); 8.30 (d, J = 2.4 Hz, 1 H); 7.68-7.66 (m, 1 H); 7.51- 7.49 (m, 1 H); 7.37-7.33 (m, 1 H); 7.29-7.25 (m, 1 H); 5.03-4.98 (m, 1 H); 4.79-4.76 (m, 1 H); 4.53- 4.49 (m, 1 H); 4.41-4.39 (m, 1 H); 4.26-4.23 (m, 1 H); 4.05 (s, 3 H); 3.03-3.00 (m, 4 H); 1.72- 1.67 (m, 4 H); 1.61-1.57 (m, 2 H).
3.2 
Figure US09718803-20170801-C01049
(CD3OD, 400 MHz): 8.17-8.16 (m, 1 H); 8.10- 8.09 (m, 1 H); 7.71-7.69 (m, 1 H); 7.58-7.55 (m, 1 H); 7.41-7.39 (m, 1 H); 7.37-7.29 (m, 1H); 5.04- 5.01 (m, 1 H); 4.79-4.76 (m, 1 H); 4.57-4.54 (m, 1 H); 4.46-4.45 (m, 1 H); 4.31-4.26 (m, 1 H); 4.09 (s, 3 H); 3.38-3.34 (m, 1 H); 2.95-2.89 (m, 2 H); 1.99-1.97 (m, 2 H); 1.69-1.67 (m, 2 H).
3.3 
Figure US09718803-20170801-C01050
(CD3OD, 400 MHz): 8.14 (d, J = 2.4 Hz, 1 H); 8.08 (d, J = 2.4 Hz, 1 H); 7.75-7.73 (m, 1 H); 7.63- 7.61 (m, 1 H); 7.44-7.40 (m, 1 H); 7.36-7.33 (m, 1 H); 5.63-5.58 (m, 2 H); 5.12-5.07 (m, 1 H); 4.92- 4.90 (m, 1 H); 4.54-4.52 (m, 1 H); 4.44-4.40 (m, 1 H); 4.31-4.28 (m, 1 H); 3.06-3.03 (m, 4 H); 1.75- 1.69 (m, 4 H); 1.64-1.59 (m, 2 H).
3.4 
Figure US09718803-20170801-C01051
(CD3OD, 400 MHz): 8.16 (d, J = 2.8 Hz, 1 H); 8.09 (d, J = 2.8 Hz, 1 H); 7.76-7.74 (m, 1 H); 7.64- 7.62 (m, 1 H); 7.45-7.43 (m, 1 H); 7.37-7.33 (m, 1 H); 5.64-5.58 (m, 2 H); 5.10-5.08 (m, 1 H); 4.93- 4.89 (m, 1 H); 4.56-4.53 (m, 1 H); 4.45-4.41 (m, 1 H); 4.38-4.31 (m, 1 H); 3.78-3.76 (m, 4 H); 3.38- 3.36 (m, 2 H); 2.95-2.90 (m, 2 H); 2.00-1.96 (m, 2 H); 1.70-1.67 (m, 2 H)
3.5 
Figure US09718803-20170801-C01052
(CDCl3, 400 MHz): 7.98-7.96 (m, 2 H); 7.74-7.64 (m, 2 H); 7.31-7.26 (m, 2 H); 5.25-5.12 (m, 2 H); 4.80-4.76 (m, 1 H); 4.60-4.55 (m, 1 H); 4.35-4.29 (m, 1 H); 3.51-3.49 (m, 4 H); 2.04-1.99 (m, 4 H).
3.6 
Figure US09718803-20170801-C01053
(CDCl3, 400 MHz): 8.21 (d, J = 2.4 Hz, 1H); 8.12 (d, J = 2.4, 1H); 7.67 (br, 2H); 7.33-7.31 (m, 2H); 5.32-5.27 (m, 1H); 5.10-5.06 (m, 1H); 4.63-4.61 (m, 2H); 4.30-4.26 (m, 1H); 3.45 (s, 2H); 2.93- 2.81 (m, 2H); 2.26-2.19 (m, 1H); 1.99-1.98 (m, 2H); 1.87-1.74 (m, 2H).
3.7 
Figure US09718803-20170801-C01054
(CDCl3, 400 MHz): 8.26-8.23 (m, 2H); 7.73-7.71 (m, 2H); 7.38-7.35 (m, 2H); 5.32-5.23 (m, 1H); 5.07-5.00 (m, 1H); 4.60-4.45 (m, 2H); 4.49-4.47 (m, 3H); 3.51-3.48 (m, 1H); 3.12-3.08 (m, 1H); 3.03-2.91 (m, 1H); 1.88-1.73 (m, 4H); 1.57-1.55 (m, 2H); 1.01-0.99 (m, 1H); 1.51-1.47 (m, 3H)
3.8 
Figure US09718803-20170801-C01055
(CDCl3, 400 MHz): 8.10-8.04 (m, 2H); 7.75-7.74 (m, 1H); 7.51-7.50 (m, 1H); 7.29-7.19 (m, 1H); 5.24-5.18 (m, 1H); 5.07-5.04 (m, 1H); 4.57-4.56 (m, 2H); 4.25-4.21 (m, 1H); 3.25-3.22 (m, 2 H); 2.75-2.70 (m, 1H); 2.48-2.39 (m, 1H); 1.83-1.65 (m, 4H); 1.07-1.03 (m, 1H); 0.91 (d, J = 6.4 Hz, 3H).
3.9 
Figure US09718803-20170801-C01056
(CDCl3, 400 MHz): 8.11-8.05 (m, 2H); 7.75-7.74 (m, 1H); 7.51-7.50 (m, 1H); 7.25-7.19 (m, 2H); 5.26-5.21 (m, 1H); 5.07-5.04 (m, 1H); 4.57-4.56 (m, 2H); 4.26-4.23 (m, 1H); 3.34-3.29 (m, 2 H); 2.78-2.74 (m, 2H); 1.75-1.72 (m, 2H); 1.55-1.53 (m, 1H); 1.38-1.31 (m, 2 H); 0.97 (d, J = 6.4 Hz, 3H).
3.10
Figure US09718803-20170801-C01057
(CDCl3, 400 MHz): 8.14-8.10 (m, 2H); 7.70-7.68 (m, 2H); 7.32-7.24 (m, 2H); 5.30-5.26 (m, 1H); 5.08-5.03 (m, 1H); 4.62-4.60 (m, 2H); 4.29-4.25 (m, 1H); 3.10-3.08 (m, 4H); 1.55-1.53 (m, 4H); 1.01 (s, 6H).
3.11
Figure US09718803-20170801-C01058
(CDCl3, 400 MHz): 8.14-8.13 (m, 1H); 8.08-8.07 (m, 1H); 7.77-7.75 (m, 1H); 7.55-7.52 (m, 1H); 7.30-7.22 (m, 2H); 5.27-5.21 (m, 1H); 5.07-5.04 (m, 1H); 4.60-4.58 (m, 2H); 4.25-4.21 (m, 1H); 3.58-3.55 (m, 2H); 3.40-3.34 (m, 2H); 2.89-2.77 (m, 2H); 2.41 (br, 1H); 1.87-1.84 (m, 1H); 1.69- 1.68 (m, 1H); 1.49-1.40 (m, 2H).
3.12
Figure US09718803-20170801-C01059
(CD3OD, 400 MHz): 8.16 (d, J = 2.4 Hz, 1H); 8.09 (d, J = 2.4 Hz, 1H); 7.63 (brs, 2H); 7.30-7.28 (m, 2H); 5.20-5.16 (m, 1H); 4.98-4.93 (m, 1H); 4.60-4.56 (m, 1H); 4.47-4.43 (m, 1H); 4.37-4.35 (m, 1H); 3.46 (d, J = 12.4 Hz, 2H); 2.83-2.78 (m, 2H); 1.89-1.86 (m, 2H); 1.56-1.46 (m, 3H); 1.19 (s, 6H)
3.13
Figure US09718803-20170801-C01060
(CDCl3, 400 MHz): 8.12 (d, J = 2.4 Hz, 1H); 8.04 (d, J = 2.4 Hz, 1H); 7.79 (br, 1H); 7.51 (br, 1H); 7.19 (br, 2H); 5.25-5.20 (m, 1H); 5.04-5.00 (m, 1H); 4.58-4.56 (m, 2H); 4.24-4.21 (m, 1H); 3.38- 3.35 (m, 1H); 3.31 (s, 3H); 3.30-3.27 (m, 2H); 2.94-2.89 (m, 2H); 2.02-1.98 (m, 2H); 1.73-1.68 (m, 2H).
3.14
Figure US09718803-20170801-C01061
(CDCl3, 400 MHz): 8.20 (d, J = 42.4 Hz, 1H); 8.13 (d, J = 2.4 Hz, 1H); 7.70-7.68 (m, 2H); 7.35- 7.32 (m, 2H); 5.32-5.27 (m, 1H); 5.03-4.99 (m, 1H); 4.64-4.56 (m, 2H); 4.29-4.23 (m, 1H); 3.34- 3.29 (m, 2H); 3.09-3.02 (m, 2H); 2.86-2.82 (m, 1H); 2.12-1.97 (m, 4H).
3.15
Figure US09718803-20170801-C01062
(CDCl3, 400 MHz): 8.15-8.06 (m, 2H); 7.376-7.74 (m, 1H); 7.52-7.50 (m, 1H); 7.28-7.24 (m, 2H); 5.27-5.22 (m, 1H); 5.07-5.04 (m, 1H); 4.61-4.58 (m, 2H); 4.27-4.24 (m, 1H); 3.36-3.27 (m, 7H); 2.89-2.78 (m, 2H); 1.92-1.78 (m, 3H); 1.49-1.40 (m, 2H).
3.16
Figure US09718803-20170801-C01063
(CDCl3, 400 MHz): 7.95-7.93 (m, 2H); 7.67 (brs, 2H); 7.32-7.24 (m, 2H); 5.25-5.12 (m, 2H); 4.72- 4.70 (m, 1H); 4.62-4.48 (m, 1H); 4.31-4.27 (m, 1H); 3.63-3.48 (m, 3H); 3.19-3.12 (m, 1H); 2.34- 2.32 (m, 1H); 2.12-2.09 (m, 1H); 1.61-1.58 (m, 1H); 1.14-1.12 (m, 3H).
3.17
Figure US09718803-20170801-C01064
(CDCl3, 400 MHz): 7.98-7.96 (m, 2H); 7.75-7.59 (m, 2H); 7.26-7.24 (m, 2H); 5.31-5.08 (m, 2H); 4.69-4.47 (m, 2H); 4.21-4.19 (m, 2H); 3.70-3.68 (m, 1H); 3.13-3.11 (m, 1H); 2.16-2.15 (m, 1H); 1.95-1.94 (m, 1H); 1.77-1.76 (m, 1H); 1.63-1.62 (m, 1H); 1.18 (s, 3H)
3.18
Figure US09718803-20170801-C01065
(CDCl3, 400 MHz): 8.20-8.13 (m, 2H); 7.68 (brs, 2H); 7.33-7.32 (m, 2H); 7.24-7.16 (m, 4H); 5.34- 5.29 (m, 1H); 5.15-5.11 (m, 1H); 4.68-4.59 (m, 2H); 4.46-4.31 (m, 3H); 3.42-3.40 (m, 2H); 3.16- 3.05 (m, 2H).
3.19
Figure US09718803-20170801-C01066
(CDCl3, 400 MHz): 8.07-8.06 (m, 1H); 8.00-7.99 (m, 1H); 7.70-7.48 (m, 1H); 7.39-7.37 (m, 2H); 7.29-7.17 (m, 4H); 5.07-5.05 (m, 1H); 5.00-4.90 (m, 6H); 4.52-4.46 (m, 2H).
3.20
Figure US09718803-20170801-C01067
(CDCl3, 400 MHz): 7.98-7.96 (m, 2H); 7.69-7.68 (m, 2H); 7.35-7.30 (m, 4H); 7.28-7.15 (m, 3H); 5.27-5.23 (m, 1H); 5.13-5.07 (m, 1H); 4.67-4.63 (m, 1H); 4.55-4.43 (m, 1H); 4.34-4.32 (m, 1H); 3.83-3.75 (m, 2H); 3.70-3.65 (m, 2H); 3.48-3.46 (m, 1H); 2.41-2.39 (m, 1H); 2.14-2.12 (m, 1H).
3.21
Figure US09718803-20170801-C01068
(CDCl3, 400 MHz): 7.93-7.89 (m, 2H); 7.67 (brs, 2H); 7.50-7.24 (m, 6H); 7.17-7.15 (m, 1H); 5.23- 5.05 (m, 3H); 4.65-4.63 (m, 1H); 4.53-4.51 (m, 1H); 4.27-4.26 (m, 1H); 3.97-3.95 (m, 1H); 3.42- 3.40 (m, 1H); 2.42-2.41 (m, 1H); 2.07-2.06 (m, 1H); 2.00-1.84 (m, 2H).
3.22
Figure US09718803-20170801-C01069
(CDCl3, 400 MHz): 7.98 (d, J = 2.8 Hz, 1H); 7.80 (d, J = 2.8 Hz, 1H); 7.69 (brs, 2H); 7.34-7.30 (m, 2H); 5.31-5.26 (m, 1H); 5.16-5.12 (m, 1H); 4.78- 4.74 (m, 1H); 4.65-4.60 (m, 1H); 4.35-4.33 (m, 1H); 4.11-4.10 (m, 1H); 3.95-3.88 (m, 1H); 2.17- 2.09 (m, 2H); 1.79-1.66 (m, 4H); 1.51-1.43 (m, 2H).
3.23
Figure US09718803-20170801-C01070
(CDCl3, 400 MHz): 7.89-7.72 (m, 2H); 7.62 (brs, 2H); 7.30-7.26 (m, 2H); 5.25-5.20 (m, 1H); 5.11- 5.08 (m, 1H); 4.66-4.53 (m, 2H); 3.95-3.84 (m, 2H); 2.02-1.99 (m, 1H); 1.73-1.35 (m, 6H); 1.21- 1.16 (m, 3H).
3.24
Figure US09718803-20170801-C01071
(CD3OD, 400 MHz): 7.83-7.81 (m, 2H); 7.70-7.68 (m, 2H); 7.39-7.21 (m, 7H); 5.19-5.13 (m, 1H); 5.10-5.06 (m, 1H); 4.67 (s, 2H); 4.63-4.54 (m, 2H); 4.25-4.21 (m, 1H).
3.25
Figure US09718803-20170801-C01072
(CD3OD, 400 MHz): 7.89-7.88 (m, 1 H); 7.80- 7.79 (m, 1 H); 7.69-7.66 (m, 2 H); 7.37-7.35 (m, 2 H); 5.19-5.18 (m, 1 H); 5.06-5.08 (m, 1 H); 4.62- 4.55 (m, 2 H); 4.24-4.20 (m, 1H); 3.80-3.79 (m, 2 H); 3.63-3.61 (m, 2 H).
3.26
Figure US09718803-20170801-C01073
(CDCl3, 400 MHz): 7.94 (d, J = 2.4 Hz, 1H); 7.82 (d, J = 2.4 Hz, 1H); 7.78-7.60 (m, 2H); 7.32-7.31 (m, 2H); 5.29-5.28 (m, 1H); 5.16-5.14 (m, 1H); 4.76-4.73 (m, 2H); 4.65-4.63 (m, 1H); 4.00-3.95 (m, 1H); 3.71-3.61 (m, 4H); 3.43 (s, 3H).
3.27
Figure US09718803-20170801-C01074
(CDCl3, 400 MHz): 8.22-8.16 (m, 2 H); 7.65 (br, 2 H); 7.62-7.54 (m, 4H); 5.11-5.07 (m, 1 H); 4.89- 4.85 (m, 1H); 4.51-4.49 (m, 1H); 4.29-4.25 (m, 2H); 3.45-3.43 (m, 2 H); 2.83-2.73 (m, 1H); 2.52- 2.51 (m, 1 H); 1.82-1.71 (m, 4 H).
3.28
Figure US09718803-20170801-C01075
(CD3OD, 400 MHz): 8.18 (d, J = 2.4 Hz, 1H); 8.11 (d, J = 2.4 Hz, 1H); 7.68-7.65 (m, 2H); 7.35- 7.32 (m, 2H); 5.21-5.17 (m, 1H); 5.02-4.95 (m, 1H); 4.65-4.59 (m, 1H); 4.47-4.36 (m, 2H); 3.57- 3.53 (m, 1H); 3.48-3.34 (m, 3H); 2.86-2.84 (m, 1H); 2.64-2.58 (m, 1H); 1.96-1.94 (m, 1H); 1.85- 1.76 (m, 3H); 1.21-1.18 (m, 1H).
3.29
Figure US09718803-20170801-C01076
(CD3OD, 400 MHz): 8.17 (d, J = 2.4 Hz, 1H); 8.10 (d, J = 2.4 Hz, 1H); 7.63 (brs, 2H); 7.28-7.20 (m, 2H); 5.20-5.14 (m, 1H); 4.97-4.92 (m, 1H); 4.58-4.53 (m, 1H); 4.47-4.42 (m, 1H); 4.38-4.32 (m, 1H); 3.89-3.85 (m, 1H); 3.41-3.37 (m, 1H); 3.34-3.20 (m, 1H); 2.88-2.77 (m, 2H); 2.02-1.98 (m, 1H); 1.91-1.88 (m, 1H); 1.71-1.67 (m, 1H); 1.49-1.46 (m, 1H).
3.30
Figure US09718803-20170801-C01077
(CDCl3, 400 MHz): 8.04-8.00 (m, 2H); 7.73-7.70 (m, 2H); 7.38-7.36 (m, 2H); 5.27-5.22 (m, 1H); 5.03-4.99 (m, 1H); 4.60-4.53 (m, 2H); 4.27-4.23 (m, 1H); 3.45-3.42 (m, 4H); 1.83 (brs, 4H) 1.65- 1.63 (m, 6H).
3.31
Figure US09718803-20170801-C01078
(CD3OD, 400 MHz): 7.97-7.92 (m, 2H); 7.76-7.74 (m, 1 H); 7.59-7.58 (m, 1 H); 7.32 (br, 2 H); 5.15- 5.13 (m, 1H); 5.04-5.01 (m, 1H); 4.57-4.50 (m, 2H); 4.20-4.14 (m, 5H); 2.45-2.37 (m, 1H).
3.32
Figure US09718803-20170801-C01079
(CDCl3, 400 MHz): 7.97-7.94 (m, 1 H); 7.84-7.81 (m, 1 H); 7.71-7.65 (m, 2H); 7.22 (brs, 2H); 5.27- 5.23 (m, 1H); 5.01-5.02 (m, 1H); 4.62-4.56 (m, 2H); 4.39-4.36 (m, 1H); 4.20-4.15 (m, 1H); 3.77- 3.60 (m, 3H); 3.20-3.15 (m, 1H); 2.09 (s, 3 H); 1.95-1.92 (m, 1H); 1.77-1.75 (m, 2 H).
3.33
Figure US09718803-20170801-C01080
(CD3OD, 400 MHz): 7.88-7.81 (m, 2H); 7.68-7.66 (m, 2H); 7.35-7.33 (m, 2H); 5.20-5.15 (m, 1H); 5.03-4.99 (m, 1H); 4.62-4.50 (m, 2H); 4.28-4.17 (m, 1H); 4.15-4.10 (m, 1H); 1.33-1.30 (m, 6H).
3.34
Figure US09718803-20170801-C01081
(CDCl3, 400 MHz): 7.96-7.94 (m, 1 H); 7.83-7.81 (m, 1 H); 7.70-7.60 (m, 2H); 7.22 (brs, 2H); 5.26- 5.24 (m, 1H); 5.011-5.02 (m, 1H); 4.61-4.56 (m, 2H); 4.38-4.36 (m, 1H); 4.18-4.16 (m, 1H); 3.76- 3.59 (m, 3H); 3.15-3.13 (m, 1H); 2.08 (s, 3H); 1.94-1.92 (m, 1H); 1.76-1.73 (m, 2 H).
3.35
Figure US09718803-20170801-C01082
(CDCl3, 400 MHz): 8.20-8.17 (m, 2H); 7.75-7.72 (m, 2 H); 7.43-7.40 (m, 2H); 5.33-5.32 (m, 1H); 505-5.02 (m, 1H); 4.63-4.61 (m, 2H); 4.57-4.55 (m, 1H); 4.36-4.34 (m, 1H); 3.79-3.77 (m, 1H); 3.42-3.36 (m, 2H); 2.95-2.90 (m, 2 H); 1.89-1.79 (m, 3 H); 1.65-1.67 (m, 2 H); 1.47-1.45 (m, 2H).
3.36
Figure US09718803-20170801-C01083
(CD3OD, 400 MHz): 8.11-8.06 (m, 2 H); 7.72- 7.70 (m, 2H); 7.43-7.40 (m, 2H); 5.16-5.11 (m, 1H); 5.00-4.98 (m, 1 H); 4.59-4.52 (m, 2 H); 4.34- 4.33 (m, 1 H); 3.89-3.82 (m, 4 H); 2.06-2.03 (m, 2 H).
3.37
Figure US09718803-20170801-C01084
(CD3OD, 400 MHz): 8.17-8.16 (m, 1 H); 8.08- 8.07 (m, 1 H); 7.68-7.66 (m, 2 H); 7.36-7.34 (m, 2 H); 5.17-5.14 (m, 1 H); 4.95-4.94 (m, 1 H); 4.59- 4.52 (m, 2 H); 4.35-4.27 (m, 1 H); 3.76-3.57 (m, 6 H) ; 3.37-3.31 (m, 2 H); 3.30 (s, 3 H); 2.26-2.24 (m, 2 H).
3.38
Figure US09718803-20170801-C01085
(CDCl3, 400 MHz): 8.13-8.07 (m, 2H); 7.73-7.70 (m, 2H); 7.44-7.41 (m, 2 H); 5.12-5.09 (m, 1 H); 4.95.4.94 (m, 1 H); 4.62-4.51 (m, 2 H); 4.33-4.30 (m, 1H); 3.79-3.76 (m, 2 H); 3.66-3.60 (m, 3 H); 3.48-3.45 (m, 2 H); 3.42-3.40 (m, 1 H); 2.11 (s, 3 H); 2.05-2.02 (m, 1 H); 1.94-1.88 (m, 1 H).
3.39
Figure US09718803-20170801-C01086
(CD3OD, 400 MHz): 8.05-8.00 (m, 2 H); 7.70- 7.68 (m, 2 H); 7.39-7.36 (m, 2 H); 5.15-5.13 (m, 1H); 4.99-4.98 (m, 1 H); 4.56-4.50 (m, 2H); 4.33- 4.30 (m, 1 H); 3.92-3.90 (m, 1 H); 3.57-3.54 (m, 1 H); 3.47-3.41 (m, 3 H); 2.14-2.11 (m, 1 H); 1.99- 1.69 (m, 5 H).
3.40
Figure US09718803-20170801-C01087
(CD3OD, 400 MHz): 7.98-7.97 (m, 1 H); 7.88- 7.87 (m, 1 H); 7.69-7.66 (m, 2 H); 7.37-7.34 (m, 2H); 5.15-5.07 (m, 1 H); 4.58-4.44 (m, 2H); 3.66- 3.60 (m, 5 H); 3.45-3.43 (m, 1 H); 3.65 (s, 2 H); 2.55-2.51 (m, 1 H); 2.16-2.11 (m, 1 H); 1.85-1.80 (m, 1 H).
3.41
Figure US09718803-20170801-C01088
(CDCl3, 400 MHz): 8.19 (d, J = 2.8 Hz, 1H); 8.11 (d, J = 2.8, 1H); 7.67-7.64 (m, 2H); 7.33-7.30 (m, 2H); 5.20-5.18 (m, 1H); 4.98-4.96 (m, 1H); 4.58- 4.56 (m, 1H); 4.48-4.45 (m, 1H); 4.40-4.38 (m, 1H); 3.89-3.86 (m, 1H); 3.42-3.39 (m, 1H); 3.22- 3.18 (m, 1H); 2.90-2.89 (m, 1H); 2.84-2.80 (m, 1H); 2.02-2.00 (m, 1H); 1.93-1.90 (m, 1H); 1.74- 1.70 (m, 1H); 1.50-1.48 (m, 1H).
3.42
Figure US09718803-20170801-C01089
(CDCl3, 400 MHz): 8.20 (d, J = 2.8 Hz, 1H); 8.12 (d, J = 2.8, 1H); 7.66 (br, 2H); 7.34-7.31 (m, 2H); 5.21-5.19 (m, 1H); 4.97-4.96 (m, 1H); 4.61-4.54 (m, 1H); 4.48-4.38 (m, 2H); 3.89-3.85 (m, 1H); 3.42-3.41 (m, 1H); 3.23-3.20 (m, 1H); 2.91-2.88 (m, 1H); 2.84-2.79 (m, 1H); 2.04-2.00 (m, 1H); 1.95-1.90 (m, 1H); 1.74-1.70 (m, 1H); 1.51-1.47 (m, 1H).
3.43
Figure US09718803-20170801-C01090
(CDCl3, 400 MHz): 8.22 (m, 1H); 8.11 (m, 1H); 7.68-7.65 (m, 2H); 7.35-7.31 (m, 2H); 5.30 (m, 1H); 5.02 (m, 1H); 4.60 (d, J = 6.4 Hz, 2H); 4.37- 4.34 (m, 1H); 3.34-3.28 (m, 2H); 3.08-2.93 (m, 3H); 1.98-1.90 (m, 3H); 1.74-1.72 (m, 1H).
3.44
Figure US09718803-20170801-C01091
(CDCl3, 400 MHz): 8.18 (d, J = 2.0 Hz, 1H); 8.12 (d, J = 2.4 Hz, 1H); 7.74-7.71 (m, 2H); 7.40-7.38 (m, 2H); 5.31 (t, J = 9.6 Hz, 1H); 5.04-5.00 (m, 1H); 4.62-4.58 (m, 2H); 4.34-4.27 (m, 1H); 3.40 (t, J = 12.0 Hz, 2H); 2.91 (d, J = 12.8 Hz, 1H); 2.86 (d, J = 4.4 Hz, 4H); 2.37-2.31 (m, 1H); 2.07- 1.87 (m, 4H).
3.45
Figure US09718803-20170801-C01092
(CDCl3, 400 MHz): 8.14 (d, J = 2.4 Hz, 1H); 8.07 (d, J = 2.8 Hz, 1H); 7.67-7.65 (m, 2H); 5.22 (t, J = 10.0 Hz, 1H); 5.03-4.99 (m, 1H); 4.54 (d, J = 7.2 Hz, 2H); 4.28-4.24 (m, 1H); 3.37 (t, J = 12.8 Hz, 2H); 3.07 (s, 3H); 2.94 (s, 3H); 2.92-2.80 (m, 2H); 2.71-2.65 (m, 1H); 2.02-1.93 (m, 2H); 1.80 (d, J = 8.4 Hz, 2H).
3.46
Figure US09718803-20170801-C01093
(CDCl3, 400 MHz): 8.15-8.14 (m, 1H); 8.06-8.05 (m, 1H); 7.07-7.06 (m, 1H); 7.47-7.46 (m, 1H); 7.28-7.18 (m, 2H); 5.23-5.21 (m, 1H); 5.04-5.02 (m, 1H); 4.56-5.54 (m, 2H); 4.23-4.21 (m, 1H); 3.38-3.36 (m, 2H); 2.89-2.80 (m, 2H); 2.48-2.45 (m, 1H); 2.16 (s, 3H); 1.98-1.96 (m, 2H); 1.82- 1.79 (m, 2H).
3.47
Figure US09718803-20170801-C01094
(CDCl3, 400 MHz): 8.20 (d, J = 2.4 Hz, 1H); 8.10 (d, J = 2.4 Hz, 1H); 7.66-7.64 (m, 2H); 7.32-7.29 (m, 2H); 5.26 (t, J = 8.0 Hz, 1H); 5.03-5.00 (m, 1H); 4.60-4.54 (m, 2H); 4.28-4.25 (m, 1H); 3.81- 3.71 (m, 2H); 3.63-3.61 (m, 2H); 3.15-3.14 (m, 2H); 3.07-3.05 (m, 2H); 2.14 (s, 3H).
3.48
Figure US09718803-20170801-C01095
(MeOD, 400 MHz): 8.00-7.97 (m, 1H); 7.92-7.88 (m, 1H); 7.68 (brs, 2H); 7.36-7.35 (m, 2H); 5.18- 5.05 (m, 2H); 4.61-4.46 (m, 4H); 3.87-3.79 (m, 2H); 3.56-3.52 (m, 1H); 3.41-3.39 (m, 1H); 2.13- 1.93 (m, 2H).
3.49
Figure US09718803-20170801-C01096
(MeOD, 400 MHz): 7.96-7.92 (m, 1H); 7.91-7.89 (m, 1H); 7.68 (brs, 2H); 7.35-7.33 (m, 2H); 5.21- 4.88 (m, 2H); 4.63-4.41 (m, 4H); 3.86-3.80 (m, 2H); 3.55-3.50 (m, 1H); 3.37-3.40 (m, 1H); 2.13- 2.00 (m, 2H).
3.50
Figure US09718803-20170801-C01097
(CDCl3, 400 MHz): 8.16 (d, J = 2.4 Hz, 1H); 8.11 (d, J = 2.4 Hz, 1H); 7.71-7.69 (m, 2H); 7.32-7.30 (m, 2H); 5.33-5.28 (m, 1H); 5.11-5.07 (m, 1H); 4.67-4.65 (m, 2H); 4.32-4.29 (m, 1H); 3.11-3.08 (m, 4H); 1.78-1.74 (m, 4H); 1.68-1.64 (m, 2H).
3.51
Figure US09718803-20170801-C01098
(MeOD, 400 MHz): 8.17 (d, J = 2.8 Hz, 1H); 8.10 (d, J = 2.8 Hz, 1H); 7.71-7.68 (m, 2H); 7.42- 7.39 (m, 2H); 5.13-5.15 (m, 1H); 4.94-4.93 (m, 1H); 4.61-4.59 (m, 1H); 4.46-4.50 (m, 1H); 4.39- 4.35 (m, 1H); 3.80-3.76 (m, 1H); 3.39-3.35 (m, 2H); 2.98-2.92 (m, 2H); 2.01-1.97 (m, 2H); 1.71- 1.68 (m, 2H).
3.52
Figure US09718803-20170801-C01099
(CDCl3, 400 MHz): 8.19 (d, J = 2.4 Hz, 1H), 8.10 (d, J = 2.4 Hz, 1H), 7.81-7.65 (m, 1H), 7.56-7.50 (m, 1H), 7.32 (s, 2H), 5.30-5.24 (m, 1H), 5.09- 5.05 (m, 1H), 4.61 (d, J = 16 Hz, 2H), 4.49 (s, 4H), 4.32-4.24 (m, 1H), 3.04-3.01 (m, 4H), 2.07- 2.03 (m, 4H).
3.53
Figure US09718803-20170801-C01100
(CDCl3, 400 MHz): 8.00 (d, J = 4.0 Hz, 2H), 7.76-7.59 (m, 2H), 7.31-7.29 (m, 2H), 5.24-5.19 (m, 1H), 5.12-5.08 (m, 1H), 4.87 (s, 4H), 4.81- 7.76 (m, 1H), 4.61-4.54 (m, 1H), 4.27 (s, 4H), 4.04-4.00 (m, 1H)
3.54
Figure US09718803-20170801-C01101
(MeOD, 400 MHz): 7.99 (dd, J = 2.8 Hz, 7.6 Hz, 2H), 7.66-7.62 (m, 2H), 7.33-7.30 (m, 2H), 5.17- 5.12 (m, 1H), 5.02-4.98 (m, 1H), 4.61-4.50 (m, 2H), 4.41 (s, 2H), 4.28 (s, 4H), 4.19-4.12 (m, 3H), 1.88 (s, 3H).
Figure US09718803-20170801-C01102
Example 4.1: 2-(3-(3-(2-Methoxypyridin-3-Yl)Pyrazin-2-Yl)Azetidin-1-Yl)Quinoline
A glass microwave reaction vessel was charged with 2-(3-(3-chloropyrazin-2-yl)azetidin-1-yl)quinoline (0.160 g, 0.539 mmol), sodium carbonate (0.300 g, 2.83 mmol, JT Baker), 2-methoxy-3-pyridineboronic acid (0.150 g, 0.981 mmol, Aldrich) and trans-dichlorobis(triphenylphosphine)palladium (ii) (0.030 g, 0.043 mmol, Strem). Dioxane (3 mL) and water (1 mL) were added and the reaction mixture was sealed under argon and heated in an Initiator microwave reactor (Personal Chemistry, Biotage AB, Inc., Upssala, Sweden) at 145° C. for 15 min. The reaction mixture was partitioned between EtOAc/water and the aqueous layer was extracted with EtOAc (3×). The combined organic layers were evaporated to dryness and the residue was dissolved in MeOH and purified by reverse-phase HPLC (Gilson; Gemini-NX 10 m C18 110A AXIA, 100×50 mm column) eluting with 0.1% TFA-H2O:0.1% TFA CH3CN (9:1→1:9). The fractions containing the desired product were combined and concentrated in vacuo. The residue was dissolved in MeOH and loaded onto an SCX II cartridge eluting with MeOH then 2M NH3 in MeOH to give 145 mg (73%) of an off-white amorphous solid.
The following Table 16A lists compounds of Examples 4.1 to 4.45, which were made analogous to Scheme 4 by using the appropriate materials and reaction conditions, which are listed in Table 16B. The NMR data of the Examples are listed in Table 16C.
TABLE 16A
EXAMPLES 4.1 TO 4.45
ESI-MS IC50
Ex. # Structure Chemical Name (M + 1) (nM)
4.1 
Figure US09718803-20170801-C01103
2-(3-(3-(2-methoxypyridin-3- yl)pyrazin-2-yl)azetidin-1- yl)quinoline 370.0 0.00234
4.2 
Figure US09718803-20170801-C01104
2-(3-(3-(6-methylpyridin-3- yl)pyrazin-2-yl)azetidin-1- yl)quinoline 354 0.00279
4.3 
Figure US09718803-20170801-C01105
2-(3-(3-(2-methylpyridin-3- yl)pyrazin-2-yl)azetidin-1- yl)quinoline 354.20 0.00648
4.4 
Figure US09718803-20170801-C01106
2-(3-(3-(6-fluoropyridin-3- yl)pyrazin-2-yl)azetidin-1- yl)quinoline 358.0 0.00418
4.5 
Figure US09718803-20170801-C01107
2-(3-(3-(6- (trifluoromethyl)pyridin-3- yl)pyrazin-2-yl)azetidin-1- yl)quinoline 408.0 0.0142
4.6 
Figure US09718803-20170801-C01108
2-(3-(3-(2,6-dimethoxypyridin- 3-yl)pyrazin-2-yl)azetidin-1- yl)quinoline 400.20 0.00135
4.7 
Figure US09718803-20170801-C01109
2-(3-(3-(5-fluoropyridin-3- yl)pyrazin-2-yl)azetidin-1- yl)quinoline 358.20 0.0123
4.8 
Figure US09718803-20170801-C01110
2-(3-(3-(6-methoxypyridin-3- yl)pyrazin-2-yl)azetidin-1- yl)quinoline 2,2,2- trifluoroacetate 370.2 0.00787
4.9 
Figure US09718803-20170801-C01111
2-(3-(3-(6-fluoro-5- methylpyridin-3-yl)pyrazin-2- yl)azetidin-1-yl)quinoline 2,2,2- trifluoroacetate 372.20 0.0122
4.10
Figure US09718803-20170801-C01112
2-(3-(3-(pyridin-3-yl)pyrazin-2- yl)azetidin-1-yl)quinoline 2,2,2- trifluoroacetate 340.20 0.00787
4.11
Figure US09718803-20170801-C01113
2-(3-(3-(4- (methylsulfonyl)phenyl)pyrazin- 2-yl)azetidin-1-yl)quinoline 2,2,2-trifluoroacetate 417.2 0.00262
4.12
Figure US09718803-20170801-C01114
5-(3-(1-(quinolin-2-yl)azetidin- 3-yl)pyrazin-2-yl)pyridin-2- amine 355.20 0.00278
4.13
Figure US09718803-20170801-C01115
5-(3-(1-(quinolin-2-yl)azetidin- 3-yl)pyrazin-2-yl)pyridin-3- amine 355.0 0.00376
4.14
Figure US09718803-20170801-C01116
2-(3-(3-(6-methoxypyridin-2- yl)pyrazin-2-yl)azetidin-1- yl)quinoline 370.20 0.0012
4.15
Figure US09718803-20170801-C01117
2-(3-(3-(2- (trifluoromethyl)pyridin-3- yl)pyrazin-2-yl)azetidin-1- yl)quinoline 2,2,2- trifluoroacetate 408.0 0.12360
4.16
Figure US09718803-20170801-C01118
N,N-dimethyl-5-(3-(1-(quinolin- 2-yl)azetidin-3-yl)pyrazin-2- yl)pyrimidin-2-amine 2,2,2- trifluoroacetate 384.0 0.02279
4.17
Figure US09718803-20170801-C01119
2-(3-(3-(4-methylpyridin-3- yl)pyrazin-2-yl)azetidin-1- yl)quinoline 2,2,2- trifluoroacetate 354.0 0.02626
4.18
Figure US09718803-20170801-C01120
2-(3-(3-(5- (methylsulfonyl)pyridin-3- yl)pyrazin-2-yl)azetidin-1- yl)quinoline 2,2,2- trifluoroacetate 418.0
4.19
Figure US09718803-20170801-C01121
2-(3-(3-(5-methylpyridin-3- yl)pyrazin-2-yl)azetidin-1- yl)quinoline 2,2,2- trifluoroacetate 354.0 0.01625
4.20
Figure US09718803-20170801-C01122
2-(3-(3-(5-methoxypyridin-3- yl)pyrazin-2-yl)azetidin-1- yl)quinoline 2,2,2- trifluoroacetate 370.1 0.02472
4.21
Figure US09718803-20170801-C01123
2-(3-(3-(4-chloro-3- methylphenyl)pyrazin-2- yl)azetidin-1-yl)quinoline 387.1 0.0023
4.22
Figure US09718803-20170801-C01124
2-(3-(3-(3-fluoro-4- methylphenyl)pyrazin-2- yl)azetidin-1-yl)quinoline 371.2 0.0042
4.23
Figure US09718803-20170801-C01125
2-chloro-4-(3-(1-(quinolin-2- yl)azetidin-3-yl)pyrazin-2- yl)phenol 389.0 0.0023
4.24
Figure US09718803-20170801-C01126
2-(3-(3-(3-methoxy-5- (trifluoromethyl)phenyl)pyrazin- 2-yl)azetidin-1-yl)quinoline 437.2 0.0149
4.25
Figure US09718803-20170801-C01127
2-(3-(3-(4-ethoxy-3- fluorophenyl)pyrazin-2- yl)azetidin-1-yl)quinoline 401.2 0.0062
4.26
Figure US09718803-20170801-C01128
2-(3-(3-(3-chloro-4- ethoxyphenyl)pyrazin-2- yl)azetidin-1-yl)quinoline 417.00 0.0106
4.27
Figure US09718803-20170801-C01129
2-(3-(3-(3-chloro-4- propoxyphenyl)pyrazin-2- yl)azetidin-1-yl)quinoline 432.2 0.0171
4.28
Figure US09718803-20170801-C01130
2-(3-(3-(3-fluoro-5- (trifluoromethyl)phenyl)pyrazin- 2-yl)azetidin-1-yl)quinoline 425.20 0.0122
4.29
Figure US09718803-20170801-C01131
2-(3-(3-(4-methoxy-3- methylphenyl)pyrazin-2- yl)azetidin-1-yl)quinoline 383.20 0.0035
4.30
Figure US09718803-20170801-C01132
2-(3-(3-(3-fluoro-5- isopropoxyphenyl)pyrazin-2- yl)azetidin-1-yl)quinoline 415.20 0.0110
4.31
Figure US09718803-20170801-C01133
2-(3-(3-(3-fluoro-5- methylphenyl)pyrazin-2- yl)azetidin-1-yl)quinoline 371.20 0.0051
4.32
Figure US09718803-20170801-C01134
2-(3-(3-(3-chloro-4- fluorophenyl)pyrazin-2- yl)azetidin-1-yl)quinoline 392.20 0.0041
4.33
Figure US09718803-20170801-C01135
2-(3-(3-(3,4- difluorophenyl)pyrazin-2- yl)azetidin-1-yl)quinoline 375.20 0.0099
4.34
Figure US09718803-20170801-C01136
2-(3-(3-(3,4- dichlorophenyl)pyrazin-2- yl)azetidin-1-yl)quinoline 407.0 0.0084
4.35
Figure US09718803-20170801-C01137
2-(3-(3-(3,4- dimethylphenyl)pyrazin-2- yl)azetidin-1-yl)quinoline 367.20 0.0055
4.36
Figure US09718803-20170801-C01138
2-(3-(3-(3-chloro-4- methylphenyl)pyrazin-2- yl)azetidin-1-yl)quinoline 388.2 0.0067
4.37
Figure US09718803-20170801-C01139
2-(3-(3-(3-chloro-5- methylphenyl)pyrazin-2- yl)azetidin-1-yl)quinoline 387.0 0.0072
4.38
Figure US09718803-20170801-C01140
2-(3-(3-(4-fluoro-3- methylphenyl)pyrazin-2- yl)azetidin-1-yl)quinoline 371.0 0.0064
4.39
Figure US09718803-20170801-C01141
2-(3-(3-(pyrimidin-5-yl)pyrazin- 2-yl)azetidin-1-yl)quinoline 341.20 0.0887
4.40
Figure US09718803-20170801-C01142
2-(3-(3-(4-chloro-3- (trifluoromethyl)phenyl)pyrazin- 2-yl)azetidin-1-yl)quinoline 441.0 0.0091
4.41
Figure US09718803-20170801-C01143
2-(3-(3-(3,6-dihydro-2H-pyran- 4-yl)pyrazin-2-yl)azetidin-1- yl)quinoline 345 0.0011
4.42
Figure US09718803-20170801-C01144
2-(3-(3-(2,2-dimethyl-3,6- dihydro-2H-pyran-4-yl)pyrazin- 2-yl)azetidin-1-yl)quinoline and 2-(3-(3-(6,6-dimethyl-3,6- dihydro-2H-pyran-4-yl)pyrazin- 2-yl)azetidin-1-yl)quinoline 373 0.001
4.43
Figure US09718803-20170801-C01145
2-(3-(3-(1H-pyrazol-4- yl)pyrazin-2-yl)azetidin-1- yl)quinoline 329 0.007
4.44
Figure US09718803-20170801-C01146
2-(3-(3-(3-fluoro-5- (trifluoromethyl)phenyl)pyrazin- 2-yl)azetidin-1-yl)quinoline 425.20 0.0122
4.45
Figure US09718803-20170801-C01147
2-(3-(3-(6-methoxypyridin-2- yl)pyrazin-2-yl)azetidin-1- yl)quinoline 370.20 0.0012
TABLE 16B
STARTING MATERIALS AND REACTION CONDITION FOR
PREPARATION OF EXAMPLES 4.1 TO 4.45.
Unless otherwise stated, all starting materials are commercially available from common vendors.
Reaction Purification
Ex. # Key Starting Material(s) Key Starting Material(s) Condition Method*
4.1
Figure US09718803-20170801-C01148
  Aldrich
Figure US09718803-20170801-C01149
PdCl2(PPh3)2, Na2CO3 Dioxane/water, 145° C., μW A
PREPARATION 2
4.2
Figure US09718803-20170801-C01150
  Combi-Blocks
Figure US09718803-20170801-C01151
PdCl2(PPh3)2, Na2CO3 Dioxane/water, 145° C., μW A
PREPARATION 2
4.3
Figure US09718803-20170801-C01152
  Combi-Blocks
Figure US09718803-20170801-C01153
PdCl2(PPh3)2, Na2CO3 Dioxane/water, 145° C., μW B
PREPARATION 2
4.4
Figure US09718803-20170801-C01154
  Acros
Figure US09718803-20170801-C01155
PdCl2(PPh3)2, Na2CO3 Dioxane/water, 145° C., μW B
PREPARATION 2
4.5
Figure US09718803-20170801-C01156
  Combi-Blocks
Figure US09718803-20170801-C01157
PdCl2(PPh3)2, Na2CO3 Dioxane/water, 145° C., μW B
PREPARATION 2
4.6
Figure US09718803-20170801-C01158
  Alfa Aesar
Figure US09718803-20170801-C01159
PdCl2(PPh3)2, Na2CO3 Dioxane/water, 145° C., μW B
PREPARATION 2
4.7
Figure US09718803-20170801-C01160
  Combi-Blocks
Figure US09718803-20170801-C01161
PdCl2(PPh3)2, Na2CO3 Dioxane/water, 145° C., μW B
PREPARATION 2
4.8
Figure US09718803-20170801-C01162
  Combi-Blocks
Figure US09718803-20170801-C01163
PdCl2(PPh3)2, Na2CO3 Dioxane/water, 145° C., μW E
PREPARATION 2
4.9
Figure US09718803-20170801-C01164
  Boron Molecular
Figure US09718803-20170801-C01165
PdCl2(PPh3)2, Na2CO3 Dioxane/water, 145° C., μW E
PREPARATION 2
4.10
Figure US09718803-20170801-C01166
  Boron Molecular
Figure US09718803-20170801-C01167
PdCl2(PPh3)2, Na2CO3 Dioxane/water, 145° C., μW E
PREPARATION 2
4.11
Figure US09718803-20170801-C01168
  Alfa Aesar
Figure US09718803-20170801-C01169
PdCl2(PPh3)2, Na2CO3 Dioxane/water, 145° C., μW E
PREPARATION 2
4.12
Figure US09718803-20170801-C01170
  Boron Molecular
Figure US09718803-20170801-C01171
PdCl2(PPh3)2, Na2CO3 Dioxane/water, 145° C., μW D
PREPARATION 2
4.13
Figure US09718803-20170801-C01172
  Boron Molecular
Figure US09718803-20170801-C01173
PdCl2(PPh3)2, Na2CO3 Dioxane/water, 145° C., μW D
PREPARATION 2
4.14
Figure US09718803-20170801-C01174
  Combi-Blocks
Figure US09718803-20170801-C01175
PdCl2(PPh3)2, Na2CO3 Dioxane/water, 145° C., μW D
PREPARATION 2
4.15
Figure US09718803-20170801-C01176
Frontier Scientific
Figure US09718803-20170801-C01177
PdCl2(PPh3)2, Na2CO3 Dioxane/water, 145° C., μW C
PREPARATION 2
4.16
Figure US09718803-20170801-C01178
  Frontier Scientific
Figure US09718803-20170801-C01179
PdCl2(PPh3)2, Na2CO3 Dioxane/water, 145° C., μW C
PREPARATION 2
4.17
Figure US09718803-20170801-C01180
  Combi-Blocks
Figure US09718803-20170801-C01181
PdCl2(PPh3)2, Na2CO3 Dioxane/water, 145° C., μW C
PREPARATION 2
4.18
Figure US09718803-20170801-C01182
  Combi-Blocks
Figure US09718803-20170801-C01183
PdCl2(PPh3)2, Na2CO3 Dioxane/water, 145° C., μW C
PREPARATION 2
4.19
Figure US09718803-20170801-C01184
  Combi-Blocks
Figure US09718803-20170801-C01185
PdCl2(PPh3)2, Na2CO3 Dioxane/water, 145° C., μW C
PREPARATION 2
4.20
Figure US09718803-20170801-C01186
  Combi-Blocks
Figure US09718803-20170801-C01187
PdCl2(PPh3)2, Na2CO3 Dioxane/water, 145° C., μW C
PREPARATION 2
4.21
Figure US09718803-20170801-C01188
  Combi-Blocks
Figure US09718803-20170801-C01189
PdCl2(PPh3)2, Na2CO3 Dioxane/water, 145° C., μW D
PREPARATION 2
4.22
Figure US09718803-20170801-C01190
  Combi-Blocks
Figure US09718803-20170801-C01191
PdCl2(PPh3)2, Na2CO3 Dioxane/water, 145° C., μW D
PREPARATION 2
4.23
Figure US09718803-20170801-C01192
  Combi-Blocks
Figure US09718803-20170801-C01193
PdCl2(PPh3)2, Na2CO3 Dioxane/water, 145° C., μW D
PREPARATION 2
4.24
Figure US09718803-20170801-C01194
Figure US09718803-20170801-C01195
PdCl2(PPh3)2, Na2CO3 Dioxane/water, 145° C., μW D
Combi-Blocks PREPARATION 2
4.25
Figure US09718803-20170801-C01196
Figure US09718803-20170801-C01197
PdCl2(PPh3)2, Na2CO3 Dioxane/water, 145° C., μW D
Combi-Blocks PREPARATION 2
4.26
Figure US09718803-20170801-C01198
Figure US09718803-20170801-C01199
PdCl2(PPh3)2, Na2CO3 Dioxane/water, 145° C., μW D
Combi-Blocks PREPARATION 2
4.27
Figure US09718803-20170801-C01200
Figure US09718803-20170801-C01201
PREPARATION 2
PdCl2(PPh3)2, Na2CO3 Dioxane/water, 145° C., μW D
Combi-Blocks
4.28
Figure US09718803-20170801-C01202
Figure US09718803-20170801-C01203
PREPARATION 2
PdCl2(PPh3)2, Na2CO3 Dioxane/water, 145° C., μW D
Combi-Blocks
4.29
Figure US09718803-20170801-C01204
Figure US09718803-20170801-C01205
PdCl2(PPh3)2, Na2CO3 Dioxane/water, 145° C., μW D
ASDI PREPARATION 2
4.30
Figure US09718803-20170801-C01206
ASDI
Figure US09718803-20170801-C01207
PdCl2(PPh3)2, Na2CO3 Dioxane/water, 145° C., μW D
PREPARATION 2
4.31
Figure US09718803-20170801-C01208
ASDI
Figure US09718803-20170801-C01209
PdCl2(PPh3)2, Na2CO3 Dioxane/water, 145° C., μW D
PREPARATION 2
4.32
Figure US09718803-20170801-C01210
  ASDI
Figure US09718803-20170801-C01211
PdCl2(PPh3)2, Na2CO3 Dioxane/water, 145° C., μW D
PREPARATION 2
4.33
Figure US09718803-20170801-C01212
  Aldrich
Figure US09718803-20170801-C01213
PdCl2(PPh3)2, Na2CO3 Dioxane/water, 145° C., μW D
PREPARATION 2
4.34
Figure US09718803-20170801-C01214
  Frontier Scientific
Figure US09718803-20170801-C01215
PdCl2(PPh3)2, Na2CO3 Dioxane/water, 145° C., μW D
PREPARATION 2
4.35
Figure US09718803-20170801-C01216
  Maybridge
Figure US09718803-20170801-C01217
PdCl2(PPh3)2, Na2CO3 Dioxane/water, 145° C., μW D
PREPARATION 2
4.36
Figure US09718803-20170801-C01218
  Combi-Blocks
Figure US09718803-20170801-C01219
PdCl2(PPh3)2, Na2CO3 Dioxane/water, 145° C., μW D
PREPARATION 2
4.37
Figure US09718803-20170801-C01220
Combi-Blocks
Figure US09718803-20170801-C01221
PdCl2(PPh3)2, Na2CO3 Dioxane/water, 145° C., μW D
PREPARATION 2
4.38
Figure US09718803-20170801-C01222
  Aldrich
Figure US09718803-20170801-C01223
PdCl2(PPh3)2, Na2CO3 Dioxane/water, 145° C., μW D
PREPARATION 2
4.39
Figure US09718803-20170801-C01224
  Asymchem
Figure US09718803-20170801-C01225
PdCl2(PPh3)2, Na2CO3 Dioxane/water, 145° C., μW D
PREPARATION 2
4.40
Figure US09718803-20170801-C01226
  Combi-Blocks
Figure US09718803-20170801-C01227
PdCl2(PPh3)2, Na2CO3 Dioxane/water, 145° C., μW D
PREPARATION 2
4.41
Figure US09718803-20170801-C01228
Combi-Blocks
Figure US09718803-20170801-C01229
Pd(tBu3P)2, KOAc Dioxane/water, 125° C., μW, 30 min E
PREPARATION 2
4.42
Figure US09718803-20170801-C01230
Figure US09718803-20170801-C01231
  PREPARATION 2
Pd(tBu3P)2, KOAc Dioxane/water, 135° C., μW, 30 min E
136
PREPARATION 41
4.43
Figure US09718803-20170801-C01232
MAYBRIDGE
Figure US09718803-20170801-C01233
Pd(tBu3P)2, KOAc Dioxane/water, 135° C., μW, 30 min F
PREPARATION 2
4.44
Figure US09718803-20170801-C01234
Combi-Blocks
Figure US09718803-20170801-C01235
PdCl2(PPh3)2, Na2CO3 Dioxane/water, 145° C., μW D
PREPARATION 2
4.45
Figure US09718803-20170801-C01236
Figure US09718803-20170801-C01237
PREPARATION 2
PdCl2(PPh3)2, Na2CO3 Dioxane/water, 145° C., μW D
Combi-Blocks
*Purification Methods:
Method A-reverse-phase HPLC (Gilson; Gemini-NX 10m C18 110A AXIA, 100 × 50 mm column) eluting with 0.1% TFA-H2O:0.1% TFA CH3CN (9:1→1:9). The fractions containing the desired product were combined and concentrated in vacuo. The residue was dissolved in MeOH and loaded onto an SCX II cartridge eluting with MeOH then 2M NH3 in MeOH.
Method B-reverse-phase HPLC (Instrumentation: MS-Waters SQ; UV-Waters 2487 or Waters PD; Solvents: A: Water w/ 0.1% NH4OH B: Acetonitrile w/ 0.1% NH4OH; Column: Phenomenex Gemini-NX C18 110A Sum 21 × 100; Flow Rate: 44 mL/min. 10 min Method, variable gradient over 8 mins.
Method C-reverse-phase HPLC (Gilson; Gemini-NX 10m C18 110A AXIA, 100 × 50 mm column) eluting with 0.1% TFA-H2O:0.1% TFA CH3CN (9:1→1:9). The fractions containing the desired product were combined and concentrated in vacuo.
Method D-reverse-phase HPLC (Instrument: Waters Autopurificaton system; Column: Xbridge 19 × 100 mm, 10 um; Flow rate: 40 ml/min; Mobile phase: 0.1% NH4OH in acetonitrile (B) and water (A)).
Method E-reverse-phase HPLC (Instrument: Waters Autopurificaton system; Column: Xbridge 19 × 100 mm, 10 um; Flow rate: 40 ml/min; Mobile phase: 0.1% TFA in acetonitrile (B) and water (A)).
Method E-purification by silicagel chromatography eluting with a gradient of EtOAc in hexane.
Method F-purification by silica gel chromatography eluting with a gradient of MeOH in DCM.
TABLE 16C
1H NMR δ (PPM) DATA FOR EXAMPLES 4.1 TO 4.45
Ex. # Structure NMR
4.1
Figure US09718803-20170801-C01238
(300 MHz, DMSO-d6) 2.59 (s, 3 H) 4.21-4.50 (m, 5 H) 6.75 (d, J = 8.77 Hz, 1 H) 7.21 (ddd, J = 8.00, 6.47, 1.61 Hz, 1 H) 7.45 (d, J = 8.04 Hz, 1 H) 7.48-7.60 (m, 2 H) 7.70 (d, J = 7.60 Hz, 1 H) 7.93 (dd, J = 7.97, 2.41 Hz, 1 H) 8.02 (d, J = 8.77 Hz, 1 H) 8.63-8.74 (m, 3 H).
4.2
Figure US09718803-20170801-C01239
(300 MHz, DMSO-d6) 2.59 (s, 3 H) 4.21-4.50 (m, 5 H) 6.75 (d, J = 8.77 Hz, 1 H) 7.21 (ddd, J = 8.00, 6.47, 1.61 Hz, 1 H) 7.45 (d, J = 8.04 Hz, 1 H) 7.48-7.60 (m, 2 H) 7.70 (d, J = 7.60 Hz, 1 H) 7.93 (dd, J = 7.97, 2.41 Hz, 1 H) 8.02 (d, J = 8.77 Hz, 1 H) 8.63-8.74 (m, 3 H)
4.3
Figure US09718803-20170801-C01240
(400 MHz, DMSO-d6) 8.74 (d, J = 2.35 Hz, 1 H) 8.67 (d, J = 2.35 Hz, 1 H) 8.61 (dd, J = 4.69, 1.56 Hz, 1 H) 8.02 (d, J = 9.00 Hz, 1 H) 7.66-7.78 (m, 2 H) 7.47-7.58 (m, 2 H) 7.41 (dd, J = 7.63, 4.89 Hz, 1 H) 7.21 (t, J = 7.24 Hz, 1 H) 6.74 (d, J = 8.61 Hz, 1 H) 4.24-4.31 (m, 2 H) 4.17-4.24 (m, 2 H) 3.93-4.07 (m, 1 H) 2.28 (s, 3 H).
4.4
Figure US09718803-20170801-C01241
(400 MHz, DMSO-d6) 8.74 (d, J = 2.35 Hz, 1 H) 8.68 (d, J = 2.35 Hz, 1 H) 8.49 (d, J = 2.35 Hz, 1 H) 8.25 (td, J = 8.12, 2.54 Hz, 1 H) 8.02 (d, J = 8.61 Hz, 1 H) 7.70 (d, J = 7.43 Hz, 1 H) 7.46-7.61 (m, 2 H) 7.40 (dd, J = 8.61, 2.74 Hz, 1 H) 7.14-7.27 (m, 1 H) 6.75 (d, J = 8.61 Hz, 1 H) 4.37-4.49 (m, 1 H) 4.23-4.37 (m, 4H).
4.5
Figure US09718803-20170801-C01242
(400 MHz, DMSO-d6) 8.74 (d, J = 2.35 Hz, 1 H) 8.68 (d, J = 2.35 Hz, 1 H) 8.49 (d, J = 2.35 Hz, 1 H) 8.25 (td, J = 8.12, 2.54 Hz, 1 H) 8.02 (d, J = 8.61 Hz, 1 H) 7.70 (d, J = 7.43 Hz, 1 H) 7.46-7.61 (m, 2 H) 7.40 (dd, J = 8.61, 2.74 Hz, 1 H) 7.14-7.27 (m, 1 H) 6.75 (d, J = 8.61 Hz, 1 H) 4.37-4.49 (m, 1 H) 4.23-4.37 (m, 4H).
4.6
Figure US09718803-20170801-C01243
(400 MHz, DMSO-d6) 8.64 (d, J = 2.35 Hz, 1 H) 8.60 (d, J = 1.96 Hz, 1 H) 8.02 (d, J = 9.00 Hz, 1 H) 7.78 (d, J = 8.22 Hz, 1 H) 7.70 (d, J = 7.82 Hz, 1 H) 7.43-7.62 (m, 2 H) 7.21 (t, J = 7.04 Hz, 1 H) 6.76 (d, J = 9.00 Hz, 1 H) 6.59 (d, J = 8.22 Hz, 1 H) 4.31 (br. s., 1 H) 4.23 (t, J = 6.65 Hz, 2 H) 4.00-4.14 (m, 2 H) 3.97 (s, 3 H) 3.94 (s, 3 H).
4.7
Figure US09718803-20170801-C01244
(400 MHz, DMSO-d6) 8.77 (d, J = 2.3 Hz, 2 H), 8.70 (d, J = 2.3 Hz, 1 H), 8.69 (s, 1 H), 8.07-7.97 (m, 2 H), 7.70 (d, J = 8.2 Hz, 1 H), 7.59- 7.47 (m, 2 H), 7.26-7.16 (m, 1 H), 6.76 (d, J = 9.0 Hz, 1 H), 4.50-4.40 (m, 1 H), 4.37-4.23 (m, 4 H)
4.8
Figure US09718803-20170801-C01245
(500 MHz, DMSO-d6) 8.68-8.79 (m, 2 H) 8.43 (d, J = 2.29 Hz, 1 H) 8.38 (d, J = 9.28 Hz, 1 H) 8.00 (dd, J = 8.59, 2 41 Hz, 1 H) 7.93 (d, J = 7.90 Hz, 1 H) 7.77 (d, J = 3.55 Hz, 2 H) 7.49 (dd, J = 8.08, 4.07 Hz, 1 H) 7.03 (d, J = 8.59 Hz, 1 H) 7.05 (d, J = 9.74 Hz, 1 H) 4.66 (br. s., 2 H) 4.45-4.64 (m, 2 H) 3.96 (s, 3 H).
4.9
Figure US09718803-20170801-C01246
(500 MHz, DMSO-d6) 8.78 (d, J = 2.41 Hz, 1 H) 8.71-8.76 (m, 1 H) 8.39 (d, J = 9.51 Hz, 1 H) 8.30 (s, 1 H) 8.11 (d, J = 9.51 Hz, 1 H) 7.93 (d, J = 7.90 Hz, 1 H) 7.78 (d, J = 3.55 Hz, 2 H) 7.44-7.52 (m, 1 H) 7.05 (d, J = 9.28 Hz, 1 H) 4.52-4.72 (m, 5 H) 2.37 (s, 3 H).
4.10
Figure US09718803-20170801-C01247
(500 MHz, DMSO-d6) 8.83 (s, 1 H) 8.79 (d, J = 2.29 Hz, 1 H) 8.76 (s, 2 H) 8.39 (d, J = 9.39 Hz, 1 H) 8.09 (d, J = 7.90 Hz, 1 H) 7.93 (d, J = 7.90 Hz, 1 H) 7.77 (br. s, 2 H) 7.64 (dd, J = 7.73, 4.75 Hz, 1 H) 7.50 (d, J = 8.02 Hz, 1 H) 7.05 (d, J = 9.39 Hz, 1 H) 4.67 (br. s., 2 H) 4.60 (br. s., 3 H).
4.11
Figure US09718803-20170801-C01248
(600 MHz, DMSO-d6) 8.80 (s, 1 H), 8.77-8.71 (m, 1 H), 8.37 (d, J = 9.3 Hz, 1 H), 8.18-8.08 (m, J = 8.1 Hz, 2H), 7.92 (d, J = 7.9 Hz, 1 H), 7.91- 7.87 (m, J = 8.1 Hz, 2 H), 7.78 (br. s, 2H), 7.48 (t, J = 5.7 Hz, 1 H), 7.02 (d, J = 9.3 Hz, 1 H), 4.70-4.54 (m, 6 H)
4.12
Figure US09718803-20170801-C01249
(500 MHz, DMSO-d6) 8.57 (s, 2 H) 8.17 (s, 1 H) 8.03 (d, J = 9.05 Hz, 1 H) 7.70 (d, J = 7.90 Hz, 1 H) 7.65 (dd, J = 8.59, 2.29 Hz, 1 H) 7.57 (d, J = 8.36 Hz, 1 H) 7.52 (t, J = 7.56 Hz, 1 H) 7.21 (t, J = 7.33 Hz, 1 H) 6.76 (d, J = 8.94 Hz, 1 H) 6.60 (d, J = 8.59 Hz, 1 H) 6.35 (s, 2 H) 4.47 (q, J = 7.48 Hz, 1 H) 4.37 (t, J = 8.08 Hz, 2 H) 4.22-4.30 (m, 2 H).
4.13
Figure US09718803-20170801-C01250
(500 MHz, DMSO-d6) 8.67 (d, J = 2.29 Hz, 1 H) 8.63 (d, J = 2.29 Hz, 1 H) 8.08 (d, J = 2.52 Hz, 1 H) 8.02 (d, J = 8.94 Hz, 1 H) 7.89-7.96 (m, 1 H) 7.70 (d, J = 8.02 Hz, 1 H) 7.54- 7.63 (m, 1 H) 7.45-7.54 (m, 1 H) 7.21 (t, J = 7.33 Hz, 1 H) 7.11 (d, J = 1.95 Hz, 1 H) 6.75 (d, J = 8.94 Hz, 1 H) 5.57 (br. s., 1H) 4.31-4.45 (m, 3 H) 4.20-4.31 (m, 2 H).
4.14
Figure US09718803-20170801-C01251
(500 MHz, DMSO-d6) 8.72 (d, J = 2.29 Hz, 1 H) 8.65 (d, J = 2.29 Hz, 1 H) 8.01 (d, J = 8.94 Hz, 1 H) 7.93 (t, J = 7.85 Hz, 1 H) 7.69 (d, J = 7.90 Hz, 1 H) 7.63 (d, J = 7.33 Hz, 1 H) 7.55 (d, J = 8.48 Hz, 1 H) 7.51 (t, J = 7.56 Hz, 1 H) 7.20 (t, J = 7.27 Hz, 1 H) 6.98 (d, J = 8.25 Hz, 1 H) 6.76 (d, J = 8.94 Hz, 1 H) 4.81-4.95 (m, 1 H) 4.40 (t, J = 8.25 Hz, 2 H) 4.21- 4.33 (m, 2 H) 4.00 (s, 3 H).
4.15
Figure US09718803-20170801-C01252
(400 MHz, CD3OD) 8.94 (d, J = 4.69 Hz, 1 H) 8.88 (d, J = 2.35 Hz, 1 H) 8.72 (d, J = 2.35 Hz, 1 H) 8.38 (d, J = 9.39 Hz, 1 H) 8.06 (d, J = 7.04 Hz, 1 H) 7.94 (d, J = 7.82 Hz, 1 H) 7.90 (dd, J = 7.92, 4.79 Hz, 1 H) 7.75- 7.87 (m, 2 H) 7.49-7.65 (m, 1 H) 7.00 (d, J = 9.39 Hz, 1 H) 4.62-4.84 (m, 4 H) 4.14 (quin, J = 7.34 Hz, 1 H).
4.16
Figure US09718803-20170801-C01253
(400 MHz, CD3OD) 8.67-8.70 (m, 1 H) 8.65-8.67 (m, 1 H) 8.63 (s, 2 H) 8.38 (d, J = 9.39 Hz, 1 H) 7.94 (d, J = 7.63 Hz, 1 H) 7.75-7.88 (m, 2 H) 7.51-7.61 (m, 1 H) 7.02 (d, J = 9.59 Hz, 1 H) 4.67-4.85 (m, 5 H) 3.32 (s, 6 H).
4.17
Figure US09718803-20170801-C01254
(400 MHz, CD3OD) 8.86 (d, J = 2.35 Hz, 1 H) 8.76 (d, J = 2.54 Hz, 1 H) 8.68 (d, J = 5.28 Hz, 1 H) 8.55 (s, 1 H) 8.38 (d, J = 9.59 Hz, 1 H) 7.94 (d, J = 8.02 Hz, 1 H) 7.75-7.89 (m, 2 H) 7.70 (d, J = 5.48 Hz, 1 H) 7.56 (td, J = 7.48, 1.27 Hz, 1 H) 7.00 (d, J = 9.39 Hz, 1 H) 4.75-4.83 (m, 2 H) 4.63-4.75 (m, 2 H) 4.19-4.37 (m, 1 H) 2.34 (s, 3 H).
4.18
Figure US09718803-20170801-C01255
(300 MHz, CD3OD) 9.31 (d, J = 2.19 Hz, 1 H) 9.16 (d, J = 2.05 Hz, 1 H) 8.85 (d, J = 2.34 Hz, 1 H) 8.78 (d, J = 2.34 Hz, 1 H) 8.62 (t, J = 2.12 Hz, 1 H) 8.38 (d, J = 9.50 Hz, 1 H) 7.94 (d, J = 8.04 Hz, 1 H) 7.73-7.89 (m, 2 H) 7.56 (td, J = 7.38, 1.46 Hz, 1 H) 7.02 (d, J = 9.35 Hz, 1 H) 4.76-4.84 (m, 4 H) 4.56-4.73 (m, 1 H) 3.36 (s, 3 H).
4.19
Figure US09718803-20170801-C01256
(300 MHz, CD3OD) 8.80 (d, J = 2.48 Hz, 1 H) 8.73 (d, J = 2.48 Hz, 1 H) 8.60-8.69 (m, 2 H) 8.37 (d, J = 9.35 Hz, 1 H) 8.01-8.11 (m, 1 H) 7.93 (d, J = 7.89 Hz, 1 H) 7.72-7.89 (m, 2 H) 7.48-7.62 (m, 1 H) 7.00 (d, J = 9.50 Hz, 1 H) 4.73-4.83 (m, 4 H) 4.58-4.72 (m, 1 H) 2.56 (s, 3 H).
4.20
Figure US09718803-20170801-C01257
(300 MHz, CD3OD) 8.80 (d, J = 2.34 Hz, 1 H) 8.73 (d, J = 2.48 Hz, 1 H) 8.48 (d, J = 2.78 Hz, 1 H) 8.31-8.43 (m, 2 H) 7.93 (d, J = 7.89 Hz, 1 H) 7.74-7.88 (m, 2 H) 7.71 (dd, J = 2.78, 1.75 Hz, 1 H) 7.55 (ddd, J = 8.00, 6.76, 1.46 Hz, 1 H) 7.00 (d, J = 9.50 Hz, 1 H) 4.73-4.82 (m, 4 H) 4.60-4.73 (m, 1 H) 4.03 (s, 3 H).
4.21
Figure US09718803-20170801-C01258
(500 MHz, DMSO-d6) 8.68 (d, J = 2.41 Hz, 1 H) 8.63 (d, J = 2.41 Hz, 1 H) 8.01 (d, J = 8.82 Hz, 1 H) 7.69 (d, J = 7.67 Hz, 1 H) 7.53-7.63 (m, 3 H) 7.47-7.53 (m, 1 H) 7.43 (dd, J = 8.19, 2.00 Hz, 1 H) 7.14-7.26 (m, 1 H) 6.74 (d, J = 8.94 Hz, 1 H) 4.36-4.46 (m, 1 H) 4.32 (t, J = 7.96 Hz, 2 H) 4.20-4.29 (m, 2 H) 2.45 (s, 3 H).
4.22
Figure US09718803-20170801-C01259
(500 MHz, DMSO-d6) 8.68 (d, J = 2.41 Hz, 1 H) 8.63 (d, J = 2.41 Hz, 1 H) 8.04 (d, J = 8.82 Hz, 1 H) 7.71 (d, J = 7.68 Hz, 1 H) 7.50-7.62 (m, 2 H) 7.48 (t, J = 7.85 Hz, 1 H) 7.39 (d, J = 10.65 Hz, 1 H) 7.33 (dd, J = 7.73, 1.55 Hz, 1 H) 7.22 (t, J = 7.39 Hz, 1 H) 6.76 (d, J = 9.05 Hz, 1 H) 4.39- 4.51 (m, 1 H) 4.21-4.39 (m, 4 H) 2.35 (s, 3 H).
4.23
Figure US09718803-20170801-C01260
(500 MHz, DMSO-d6) 8.62 (d, J = 2.41 Hz, 1 H) 8.59 (d, J = 2.29 Hz, 1 H) 8.01 (d, J = 8.82 Hz, 1 H) 7.70 (d, J = 7.22 Hz, 1 H) 7.59 (d, J = 2.06 Hz, 1 H) 7.54-7.58 (m, 1 H) 7.47- 7.54 (m, 1 H) 7.39 (dd, J = 8.42, 2.12 Hz, 1 H) 7.17-7.25 (m, 1 H) 7.14 (d, J = 8.36 Hz, 1 H) 6.75 (d, J = 8.82 Hz, 1 H) 4.40-4.51 (m, 1 H) 4.33 (t, J = 8.13 Hz, 2 H) 4.19- 4.29 (m, 2 H).
4.24
Figure US09718803-20170801-C01261
(500 MHz, DMSO-d6) 8.73 (d, J = 2.41 Hz, 1 H) 8.66 (d, J = 2.41 Hz, 1 H) 8.02 (d, J = 8.94 Hz, 1 H) 7.70 (d, J = 7.79 Hz, 1 H) 7.54-7.60 (m, 1 H) 7.46-7.54 (m, 2 H) 7.43 (d, J = 9.39 Hz, 2 H) 7.14-7.28 (m, 1 H) 6.75 (d, J = 8.82 Hz, 1 H) 4.36-4.47 (m, 1 H) 4.24-4.36 (m, 4 H) 3.94 (s, 3 H).
4.25
Figure US09718803-20170801-C01262
(500 MHz, DMSO-d6) 8.64 (d, J = 2.41 Hz, 1 H) 8.60 (d, J = 2.41 Hz, 1 H) 8.01 (d, J = 8.82 Hz, 1 H) 7.69 (d, J = 7.33 Hz, 1 H) 7.53-7.58 (m, 1 H) 7.45-7.53 (m, 2 H) 7.37 (dd, J = 8.53, 1.78 Hz, 1 H) 7.31 (t, J = 8.53 Hz, 1 H) 7.15-7.25 (m, 1 H) 6.74 (d, J = 8.94 Hz, 1 H) 4.41-4.55 (m, 1 H) 4.32 (t, J = 8.13 Hz, 2 H) 4.13- 4.28 (m, 4 H) 1.41 (t, J = 6.99 Hz, 3 H).
4.26
Figure US09718803-20170801-C01263
(500 MHz, DMSO-d6) 8.65 (d, J = 2.41 Hz, 1 H) 8.61 (d, J = 2.41 Hz, 1 H) 8.02 (d, J = 8.93 Hz, 1 H) 7.70 (d, J = 7.56 Hz, 1 H) 7.68 (d, J = 2.18 Hz, 1 H) 7.44-7.62 (m, 3 H) 7.30 (d, J = 8.59 Hz, 1 H) 7.14-7.25 (m, 1 H) 6.75 (d, J = 8.94 Hz, 1 H) 4.39- 4.56 (m, 1 H) 4.32 (t, J = 8.13 Hz, 2 H) 4.06-4.29 (m, 4 H) 1.42 (t, J = 6.93 Hz, 3 H).
4.27
Figure US09718803-20170801-C01264
(500 MHz, DMSO-d6) 8.65 (d, J = 2.41 Hz, 1 H) 8.61 (d, J = 2.41 Hz, 1 H) 8.02 (d, J = 8.94 Hz, 1 H) 7.70 (d, J = 7.45 Hz, 1 H) 7.67 (d, J = 2.18 Hz, 1 H) 7.46-7.61 (m, 3 H) 7.30 (d, J = 8.59 Hz, 1 H) 7.16-7.25 (m, 1 H) 6.75 (d, J = 8.82 Hz, 1 H) 4.40- 4.52 (m, 1 H) 4.32 (t, J = 8.13 Hz, 2 H) 4.21-4.29 (m, 2 H) 4.13 (t, J = 6.42 Hz, 2 H) 1.82 (sxt, J = 6.99 Hz, 2 H) 1.05 (t, J = 7.39 Hz, 3 H).
4.28
Figure US09718803-20170801-C01265
(500 MHz, DMSO-d6) 8.76 (d, J = 2.41 Hz, 1 H) 8.68 (d, J = 2.29 Hz, 1 H) 8.02 (d, J = 8.82 Hz, 1 H) 7.88 (d, J = 8.59 Hz, 1 H) 7.77-7.85 (m, 2 H) 7.70 (d, J = 7.90 Hz, 1 H) 7.54- 7.61 (m, 1 H) 7.44-7.54 (m, 1 H) 7.12-7.29 (m, 1 H) 6.75 (d, J = 8.82 Hz, 1 H) 4.42 (quin, J = 7.25 Hz, 1 H) 4.30 (d, J = 7.22 Hz, 4 H).
4.29
Figure US09718803-20170801-C01266
(500 MHz, DMSO-d6) 8.59-8.63 (m, 1 H) 8.54-8.59 (m, 1 H) 8.01 (d, J = 8.93 Hz, 1 H) 7.69 (d, J = 7.68 Hz, 1 H) 7.53-7.59 (m, 1 H) 7.47- 7.53 (m, 1 H) 7.33-7.46 (m, 2 H) 7.14-7.28 (m, 1 H) 7.10 (d, J = 8.36 Hz, 1 H) 6.74 (d, J = 8.94 Hz, 1 H) 4.39-4.52 (m, 1 H) 4.33 (t, J = 8.13 Hz, 2 H) 4.18-4.29 (m, 2 H) 3.88 (s, 3 H) 2.26 (s, 3 H).
4.30
Figure US09718803-20170801-C01267
(500 MHz, DMSO-d6) 8.70 (d, J = 2.41 Hz, 1 H) 8.63 (d, J = 2.41 Hz, 1 H) 8.02 (d, J = 8.93 Hz, 1 H) 7.70 (d, J = 7.67 Hz, 1 H) 7.48-7.60 (m, 2 H) 7.10-7.31 (m, 1 H) 6.85-7.06 (m, 3 H) 6.75 (d, J = 8.82 Hz, 1 H) 4.75 (dt, J = 12.03, 6.01 Hz, 1 H) 4.36- 4.50 (m, 1 H) 4.18-4.35 (m, 4 H) 1.32 (d, J = 5.96 Hz, 6 H).
4.31
Figure US09718803-20170801-C01268
(500 MHz, DMSO-d6) 8.69 (d, J = 2.41 Hz, 1 H) 8.63 (d, J = 2.41 Hz, 1 H) 8.02 (d, J = 8.94 Hz, 1 H) 7.70 (d, J = 7.56 Hz, 1 H) 7.54-7.58 (m, 1 H) 7.48-7.54 (m, 1 H) 7.14-7.31 (m, 4 H) 6.75 (d, J = 8.82 Hz, 1 H) 4.37-4.50 (m, 1 H) 4.20-4.36 (m, 4 H) 2.44 (s, 3 H).
4.32
Figure US09718803-20170801-C01269
(500 MHz, DMSO-d6) 8.71 (d, J = 2.41 Hz, 1 H) 8.64 (d, J = 2.41 Hz, 1 H) 8.02 (d, J = 8.93 Hz, 1 H) 7.80- 7.87 (m, 1 H) 7.70 (d, J = 7.67 Hz, 1 H) 7.54-7.65 (m, 3 H) 7.48-7.54 (m, 1 H) 7.17-7.24 (m, 1 H) 6.75 (d, J = 8.94 Hz, 1 H) 4.37-4.47 (m, 1 H) 4.22-4.36 (m, 4 H).
4.33
Figure US09718803-20170801-C01270
(500 MHz, DMSO-d6) 8.70 (d, J = 2.41 Hz, 1 H) 8.64 (d, J = 2.41 Hz, 1 H) 8.01 (d, J = 8.82 Hz, 1 H) 7.66- 7.74 (m, 2 H) 7.58-7.66 (m, 1 H) 7.53-7.58 (m, 1 H) 7.48-7.53 (m, 1 H) 7.41-7.48 (m, 1 H) 7.12-7.26 (m, 1 H) 6.74 (d, J = 8.94 Hz, 1 H) 4.38-4.48 (m, 1 H) 4.31 (t, J = 8.08 Hz, 2 H) 4.21-4.29 (m, 2 H).
4.34
Figure US09718803-20170801-C01271
(500 MHz, DMSO-d6) 8.72 (d, J = 2.41 Hz, 1 H) 8.65 (d, J = 2.41 Hz, 1 H) 8.02 (d, J = 8.93 Hz, 1 H) 7.87 (d, J = 1.95 Hz, 1 H) 7.82 (d, J = 8.25 Hz, 1 H) 7.70 (d, J = 7.45 Hz, 1 H) 7.60 (dd, J = 8.31, 2.00 Hz, 1 H) 7.54- 7.58 (m, 1 H) 7.48-7.54 (m, 1 H) 7.16-7.27 (m, 1 H) 6.76 (d, J = 8.82 Hz, 1 H) 4.37-4.47 (m, 1 H) 4.32 (t, J = 8.02 Hz, 2 H) 4.24-4.30 (m, 2 H).
4.35
Figure US09718803-20170801-C01272
(500 MHz, DMSO-d6) 8.63 (d, J = 2.41 Hz, 1 H) 8.60 (d, J = 2.41 Hz, 1 H) 8.02 (d, J = 8.82 Hz, 1 H) 7.70 (d, J = 7.56 Hz, 1 H) 7.53-7.58 (m, 1 H) 7.48-7.53 (m, 1 H) 7.36 (s, 1 H) 7.26-7.34 (m, 2 H) 7.17-7.24 (m, 1 H) 6.75 (d, J = 8.94 Hz, 1 H) 4.36- 4.47 (m, 1 H) 4.32 (t, J = 8.02 Hz, 2 H) 4.21-4.29 (m, 2 H) 2.34 (s, 3 H) 2.33 (s, 3 H).
4.36
Figure US09718803-20170801-C01273
(500 MHz, DMSO-d6) 8.68 (d, J = 2.29 Hz, 1 H) 8.63 (d, J = 2.41 Hz, 1 H) 8.01 (d, J = 8.82 Hz, 1 H) 7.69 (d, J = 7.56 Hz, 1 H) 7.64 (d, J = 1.49 Hz, 1 H) 7.48-7.59 (m, 3 H) 7.46 (dd, J = 7.79, 1.60 Hz, 1 H) 7.13- 7.28 (m, 1 H) 6.75 (d, J = 8.82 Hz, 1 H) 4.37-4.48 (m, 1 H) 4.19-4.36 (m, 4 H) 2.44 (s, 3 H).
4.37
Figure US09718803-20170801-C01274
(500 MHz, DMSO-d6) 8.70 (d, J = 2.41 Hz, 1 H) 8.63 (d, J = 2.41 Hz, 1 H) 8.02 (d, J = 8.82 Hz, 1 H) 7.70 (d, J = 7.67 Hz, 1 H) 7.54-7.59 (m, 1 H) 7.49-7.54 (m, 1 H) 7.45 (s, 2 H) 7.35 (s, 1 H) 7.12-7.27 (m, 1 H) 6.76 (d, J = 8.82 Hz, 1 H) 4.36-4.47 (m, 1 H) 4.20-4.36 (m, 4 H) 2.44 (s, 3 H).
4.38
Figure US09718803-20170801-C01275
(500 MHz, DMSO-d6) 8.66 (d, J = 2.41 Hz, 1 H) 8.61 (d, J = 2.41 Hz, 1 H) 8.01 (d, J = 8.94 Hz, 1 H) 7.70 (d, J = 7.56 Hz, 1 H) 7.54-7.58 (m, 1 H) 7.48-7.54 (m, 2 H) 7.41-7.47 (m, 1 H) 7.31 (t, J = 9.11 Hz, 1 H) 7.17-7.25 (m, 1 H) 6,74 (d, J = 8.82 Hz, 1 H) 4.37-4.45 (m, 1 H) 4.32 (t, J = 8.02 Hz, 2 H) 4.21-4.29 (m, 2 H) 2.26-2.42 (m, 3 H).
4.39
Figure US09718803-20170801-C01276
(500 MHz, DMSO-d6) 9.36 (s, 1 H) 9.08 (s, 2 H) 8.78 (d, J = 2.41 Hz, 1 H) 8.73 (d, J = 2.29 Hz, 1 H) 8.03 (d, J = 8.82 Hz, 1 H) 7.71 (d, J = 8.02 Hz, 1 H) 7.48-7.60 (m, 2 H) 7.22 (t, J = 7.33 Hz, 1 H) 6.76 (d, J = 8.82 Hz, 1 H) 4.41-4.52 (m, 1 H) 4.23-4.39 (m, 4 H).
4.40
Figure US09718803-20170801-C01277
(500 MHz, DMSO-d6) 8.74 (d, J = 2.41 Hz, 1 H) 8.67 (d, J = 2.41 Hz, 1 H) 8.06 (s, 1 H) 8.02 (d, J = 8.94 Hz, 1 H) 7.93 (s, 2 H) 7.70 (d, J = 7.67 Hz, 1 H) 7.54-7.60 (m, 1 H) 7.48-7.54 (m, 1 H) 7.16-7.27 (m, 1 H) 6.76 (d, J = 8.94 Hz, 1 H) 4.36- 4.45 (m, 1 H) 4.26-4.36 (m, 4 H).
4.41
Figure US09718803-20170801-C01278
(300 MHz, MeOH) 8.57 (1 H, d, J = 2.5 Hz), 8.48 (1 H, d, J = 2.3 Hz), 8.03 (1 H, d, J = 9.1 Hz), 7.70 (2 H, m), 7.54 (1 H, m), 7.23-7.30 (1 H, m), 6.78 (1 H, d, J = 8.9 Hz), 5.99 (1 H, br. s), 4.38-4.66 (3 H, m), 4.02 (4 H, m), 3.32-3.37 (2 H, m), 2.61 (2H, m)
4.42
Figure US09718803-20170801-C01279
(300 MHz, MeOH) 8.57 (1 H, d, J = 2.3 Hz), 8.48 (1 H, d, J = 2.5 Hz), 8.04 (1 H, d, J = 8.9 Hz), 7.71 (2 H, d, J = 1.1 Hz), 7.58 (1 H, t, J = 7.7 Hz), 7.22-7.34 (1 H, m), 6.79 (1 H, d, J = 8.9 Hz), 5.99 (1 H, s), 4.50-4.70 (3 H, m), 4.39-4.50 (3 H, m), 2.46- 2.58 (2 H, m), 1.45 (1 H, s), 1.39(6 H, s)
Figure US09718803-20170801-C01280
4.43
Figure US09718803-20170801-C01281
(300 MHz, DMSO-d6) 13.31 (1 H, br. s.), 8.50 (1 H, d, J = 2.2 Hz), 8.54 (1 H, d, J = 2.3 Hz), 8.29 (1 H, s), 7.97-8.08 (2 H, m), 7.71 (1 H, d, J = 7.9 Hz), 7.47-7.61 (2 H, m), 7.22 (1 H, t, J = 6.7 Hz), 6.79 (1 H, d, J = 8.9 Hz), 4.42-4.71 (3 H, m), 4.21-4.42 (2 H, m)
4.44
Figure US09718803-20170801-C01282
(500 MHz, DMSO-d6) 8.76 (d, J = 2.41 Hz, 1 H) 8.68 (d, J = 2.29 Hz, 1 H) 8.02 (d, J = 8.82 Hz, 1 H) 7.88 (d, J = 8.59 Hz, 1 H) 7.77-7.85 (m, 2 H) 7.70 (d, J = 7.90 Hz, 1 H) 7.54- 7.61 (m, 1H) 7.44-7.54 (m, 1 H) 7.12-7.29 (m, 1 H) 6.75 (d, J = 8.82 Hz, 1 H) 4.42 (quin, J = 7.25 Hz, 1 H) 4.30 (d, J = 7.22 Hz, 4 H).
4.45
Figure US09718803-20170801-C01283
(500 MHz, DMSO-d6) 8.72 (d, J = 2.29 Hz, 1 H) 8.65 (d, J = 2.29 Hz, 1 H) 8.01 (d, J = 8.94 Hz, 1 H) 7.93 (t, J = 7.85 Hz, 1 H) 7.69 (d, J = 7.90 Hz, 1 H) 7.63 (d, J = 7.33 Hz, 1 H) 7.55 (d, J = 8.48 Hz, 1 H) 7.51 (t, J = 7.56 Hz, 1 H) 7.20 (t, J = 7.27 Hz, 1 H) 6.98 (d, J = 8.25 Hz, 1 H) 6.76 (d, J = 8.94 Hz, 1 H) 4.81-4.95 (m, 1 H) 4.40 (t, J = 8.25 Hz, 2 H) 4.21- 4.33 (m, 2 H) 4.00 (s, 3 H).
Figure US09718803-20170801-C01284
Example 5.1: 2-(3-(3-Phenylpyrazin-2-Yl)Azetidin-1-Yl)Quinoline
A glass microwave reaction vessel was charged with 2-(3-(3-chloropyrazin-2-yl)azetidin-1-yl)quinoline (0.085 g, 0.286 mmol), phenylboronic acid (0.070 g, 0.573 mmol, Aldrich), potassium phosphate (0.152 g, 0.716 mmol, Alfa Aesar), bis(di-tert-butyl(4-dimethylaminophenyl)phosphine)dichloropalladium (II) (0.020 g, 0.029 mmol, Aldrich), water (0.400 mL) and dioxane (1.6 mL). The mixture was purged with Argon gas and heated in an Initiator microwave reactor (Personal Chemistry, Biotage AB, Inc., Upssala, Sweden) at 100° C. for 30 min. LCMS showed the product. The mixture was diluted with EtOAc and washed with Na2CO3 and brine. The organic layer was dried over Na2SO4 and concentrated in vacuo. The crude was purified by silica gel chromatography (12 g, 10%-100% EtOAc-Hexane). The product was obtained as a white solid (85 mg, 88%).
The following Table 17A lists compounds of Examples 5.1 to 5.43, which were made analogous to Scheme 5 by using the appropriate materials and reaction conditions, which are listed in Table 17B. The NMR data of the Examples are listed in Table 17C.
TABLE 17A
EXAMPLES 5.1 TO 5.43
ESI-MS
Ex. # Structure Chemical Name (M + 1) IC50 (μM)
5.1
Figure US09718803-20170801-C01285
2-(3-(3-phenylpyrazin-2- yl)azetidin-1-yl)quinoline 339 0.0012
5.2
Figure US09718803-20170801-C01286
2-(3-(3-(4- methoxyphenyl)pyrazin-2- yl)azetidin-1-yl)quinoline 369 0.002
5.3
Figure US09718803-20170801-C01287
2-(3-(3-(4- fluorophenyl)pyrazin-2- yl)azetidin-1-yl)quinoline 357 0.002
5.4
Figure US09718803-20170801-C01288
2-(3-(3-(2- fluorophenyl)pyrazin-2- yl)azetidin-1-yl)quinoline 357 0.01
5.5
Figure US09718803-20170801-C01289
2-(3-(3-(3- fluorophenyl)pyrazin-2- yl)azetidin-1-yl)quinoline 357 0.004
5.6
Figure US09718803-20170801-C01290
2-(3-(3-(pyridin-4- yl)pyrazin-2-yl)azetidin-1- yl)quinoline 340 0.004
5.7
Figure US09718803-20170801-C01291
3-(3-(1-(quinolin-2- yl)azetidin-3-yl)pyrazin-2- yl)benzonitrile 364 0.003
5.8
Figure US09718803-20170801-C01292
4-(3-(1-(quinolin-2- yl)azetidin-3-yl)pyrazin-2- yl)benzonitrile 364 0.003
5.9
Figure US09718803-20170801-C01293
methyl 3-(3-(1-(quinolin- 2-yl)azetidin-3-yl)pyrazin- 2-yl)benzoate 397 0.0002
5.10
Figure US09718803-20170801-C01294
ethyl 4-(3-(1-(quinolin-2- yl)azetidin-3-yl)pyrazin-2- yl)benzoate 411 0.002
5.11
Figure US09718803-20170801-C01295
2-(3-(3-(2- methoxypyridin-4- yl)pyrazin-2-yl)azetidin-1- yl)quinoline 370 0.002
5.12
Figure US09718803-20170801-C01296
2-(3-(3-(2-fluoropyridin- 4-yl)pyrazin-2-yl)azetidin- 1-yl)quinoline 358 0.01
5.13
Figure US09718803-20170801-C01297
2-(3-(3-(3- (methylthio)phenyl) pyrazin-2-yl)azetidin-1- yl)quinoline 385 0.004
5.14
Figure US09718803-20170801-C01298
1-(4-(3-(1-(quinolin-2- yl)azetidin-3-yl)pyrazin-2- yl)phenyl)ethanone 381 0.003
5.15
Figure US09718803-20170801-C01299
2-(3-(3-(4- phenoxyphenyl)pyrazin-2- yl)azetidin-1-yl)quinoline 431 0.034
5.16
Figure US09718803-20170801-C01300
2-(3-(3-(4- (trifluoromethyl)phenyl) pyrazin-2-yl)azetidin-1- yl)quinoline 407 0.027
5.17
Figure US09718803-20170801-C01301
2-(3-(3-(3-fluoro-4- methoxyphenyl)pyrazin-2- yl)azetidin-1-yl)quinoline 387 0.003
5.18
Figure US09718803-20170801-C01302
N,N-dimethyl-3-(3-(1- (quinolin-2-yl)azetidin-3- yl)pyrazin-2-yl)aniline 382 0.002
5.19
Figure US09718803-20170801-C01303
N-methyl-3-(3-(1- (quinolin-2-yl)azetidin-3- yl)pyrazin-2-yl)benzamide 396 0.0007
5.20
Figure US09718803-20170801-C01304
tert-butyl 4-(3-(1- (quinolin-2-yl)azetidin-3- yl)pyrazin-2-yl)-5,6- dihydropyridine-1(2H)- carboxylate 444 0.0007
5.21
Figure US09718803-20170801-C01305
2-(3-(3-([1,1′-biphenyl]-3- yl)pyrazin-2-yl)azetidin-1- yl)quinoline 415 0.002
5.22
Figure US09718803-20170801-C01306
2-fluoro-4-(3-(1- (quinolin-2-yl)azetidin-3- yl)pyrazin-2- yl)benzonitrile 382 0.006
5.23
Figure US09718803-20170801-C01307
2-fluoro-5-(3-(1- (quinolin-2-yl)azetidin-3- yl)pyrazin-2- yl)benzonitrile 382 0.007
5.24
Figure US09718803-20170801-C01308
N,N-dimethyl-3-(3-(1- (quinolin-2-yl)azetidin-3- yl)pyrazin-2-yl)benzamide 410 0.018
5.25
Figure US09718803-20170801-C01309
2-(3-(3-(2- methoxyphenyl)pyrazin-2- yl)azetidin-1-yl)quinoline 369 0.002
5.26
Figure US09718803-20170801-C01310
2-(3-(3-(3- (trifluoromethyl)phenyl) pyrazin-2-yl)azetidin-1- yl)quinoline 407 0.01344
5.27
Figure US09718803-20170801-C01311
2-(3-(3-(3- ethoxyphenyl)pyrazin-2- yl)azetidin-1-yl)quinoline 383 0.00388
5.28
Figure US09718803-20170801-C01312
1-(3-(3-(1-(quinolin-2- yl)azetidin-3-yl)pyrazin-2- yl)phenyl)ethanone 381 0.00124
5.29
Figure US09718803-20170801-C01313
(3-(3-(1-(quinolin-2- yl)azetidin-3-yl)pyrazin-2- yl)phenyl)methanol 369 0.00676
5.30
Figure US09718803-20170801-C01314
2-(3-(3-(3- (trifluoromethoxy)phenyl) pyrazin-2-yl)azetidin-1- yl)quinoline 423 0.00665
5.31
Figure US09718803-20170801-C01315
2-(3-(3-(3- (benzyloxy)phenyl) pyrazin-2-yl)azetidin-1- yl)quinoline 445 0.01077
5.32
Figure US09718803-20170801-C01316
N-cyclopropyl-3-(3-(1- (quinolin-2-yl)azetidin-3- yl)pyrazin-2-yl)benzamide 422 0.00337
5.33
Figure US09718803-20170801-C01317
N,N-dimethyl-3-(3-(1- (quinolin-2-yl)azetidin-3- yl)pyrazin-2- yl)benzenesulfonamide 446 0.01703
5.34
Figure US09718803-20170801-C01318
2-(3-(3-(4- ethoxyphenyl)pyrazin-2- y])azetidin-1-yl)quinoline 383 0.01717
5.35
Figure US09718803-20170801-C01319
(4-(3-(1-(quinolin-2- yl)azetidin-3-yl)pyrazin-2- yl)phenyl)methanol 369 0.00519
5.36
Figure US09718803-20170801-C01320
2-(3-(3-(4- propylphenyl)pyrazin-2- yl)azetidin-1-yl)quinoline 381 0.00995
5.37
Figure US09718803-20170801-C01321
2-(3-(3-(4- ethylphenyl)pyrazin-2- yl)azetidin-1-yl)quinoline 367 0.00609
5.38
Figure US09718803-20170801-C01322
N,N-dimethyl-4-(3-(1- (quinolin-2-yl)azetidin-3- yl)pyrazin-2-yl)aniline 382 0.01217
5.39
Figure US09718803-20170801-C01323
2-(3-(3-(4- (trifluoromethoxy)phenyl) pyrazin-2-yl)azetidin-1- yl)quinoline 423 0.01747
5.40
Figure US09718803-20170801-C01324
2-(3-(3-(4- isopropoxyphenyl) pyrazin-2-yl)azetidin-1- yl)quinoline 397 0.00723
5.41
Figure US09718803-20170801-C01325
2-methyl-2-(4-(3-(1- (quinolin-2-yl)azetidin-3- yl)pyrazin-2- yl)phenyl)propanenitrile 406 0.00737
5.42
Figure US09718803-20170801-C01326
4-((4-(3-(1-(quinolin-2- yl)azetidin-3-yl)pyrazin-2- yl)phenyl)sulfonyl) morpholine 488 0.03337
5.43
Figure US09718803-20170801-C01327
2-(3-(3-(4-(piperidin-1- ylsulfonyl)phenyl)pyrazin- 2-yl)azetidin-1- yl)quinoline 486 0.02119
TABLE 17B
STARTING MATERIALS AND REACTION CONDITION FOR
PREPARATION OF EXAMPLES 5.1 TO 5.43.
Unless otherwise stated, all starting materials are commercially available from common vendors.
Reaction Purification
EX # Key Starting Material(s) Key Starting Material(s) Condition Method*
5.1
Figure US09718803-20170801-C01328
  Aldrich
Figure US09718803-20170801-C01329
Dioxane/water, 100° C., μW A
PREPARATION 2
5.2
Figure US09718803-20170801-C01330
  Aldrich
Figure US09718803-20170801-C01331
Dioxane/water, 100° C., μW A
PREPARATION 2
5.3
Figure US09718803-20170801-C01332
  Aldrich
Figure US09718803-20170801-C01333
Dioxane/water, 100° C., μW A
PREPARATION 2
5.4
Figure US09718803-20170801-C01334
  Aldrich
Figure US09718803-20170801-C01335
Dioxane/water, 100° C., μW A
PREPARATION 2
5.5
Figure US09718803-20170801-C01336
Alfa Aesar
Figure US09718803-20170801-C01337
Dioxane/water, 100° C., μW A
PREPARATION 2
5.6
Figure US09718803-20170801-C01338
  Combi-blocks
Figure US09718803-20170801-C01339
Dioxane/water, 100° C., μW B
PREPARATION 2
5.7
Figure US09718803-20170801-C01340
Boron Molecular Ltd
Figure US09718803-20170801-C01341
Dioxane/water, 100° C., μW A
PREPARATION 2
5.8
Figure US09718803-20170801-C01342
  Aldrich
Figure US09718803-20170801-C01343
Dioxane/water, 100° C., μW A
PREPARATION 2
5.9
Figure US09718803-20170801-C01344
Figure US09718803-20170801-C01345
  PREPARATION 2
Dioxane/water, 100° C., μW A
Combi-blocks
5.10
Figure US09718803-20170801-C01346
Aldrich
Figure US09718803-20170801-C01347
Dioxane/water, 100° C., μW A
PREPARATION 2
5.11
Figure US09718803-20170801-C01348
Figure US09718803-20170801-C01349
Dioxane/water, 100° C., μW C
Combi-blocks PREPARATION 2
5.12
Figure US09718803-20170801-C01350
Frontier
Figure US09718803-20170801-C01351
Dioxane/water, 100° C., μW C
PREPARATION 2
5.13
Figure US09718803-20170801-C01352
ASDI
Figure US09718803-20170801-C01353
Dioxane/water, 100° C., μW A
PREPARATION 2
5.14
Figure US09718803-20170801-C01354
Alfa Aesar
Figure US09718803-20170801-C01355
Dioxane/water, 100° C., μW A
PREPARATION 2
5.15
Figure US09718803-20170801-C01356
  Frontier
Figure US09718803-20170801-C01357
Dioxane/water, 100° C., μW A
PREPARATION 2
5.16
Figure US09718803-20170801-C01358
Aldrich
Figure US09718803-20170801-C01359
Dioxane/water, 100° C. A
PREPARATION 2
5.17
Figure US09718803-20170801-C01360
Aldrich
Figure US09718803-20170801-C01361
Dioxane/water, 100° C. A
PREPARATION 2
5.18
Figure US09718803-20170801-C01362
Figure US09718803-20170801-C01363
Dioxane/water, 100° C. A
Frontier PREPARATION 2
5.19
Figure US09718803-20170801-C01364
Figure US09718803-20170801-C01365
PREPARATION 2
Dioxane/water, 100° C. A
Combi-blocks
5.20
Figure US09718803-20170801-C01366
Figure US09718803-20170801-C01367
PREPARATION 2
Dioxane/water, 100° C. A
Boron Molecular
5.21
Figure US09718803-20170801-C01368
Figure US09718803-20170801-C01369
  PREPARATION 2
Dioxane/water, 100° C. A
Aldrich
5.22
Figure US09718803-20170801-C01370
Alfa Aesar
Figure US09718803-20170801-C01371
Dioxane/water, 100° C. A
PREPARATION 2
5.23
Figure US09718803-20170801-C01372
Combi-blocks
Figure US09718803-20170801-C01373
Dioxane/water, 100° C. A
PREPARATION 2
5.24
Figure US09718803-20170801-C01374
Figure US09718803-20170801-C01375
  PREPARATION 2
Dioxane/water, 100° C. C
Boron Molecules
5.25
Figure US09718803-20170801-C01376
Aldrich
Figure US09718803-20170801-C01377
Dioxane/water, 100° C. A
PREPARATION 2
5.26
Figure US09718803-20170801-C01378
  ASDI
Figure US09718803-20170801-C01379
Dioxane/water, 100° C. D
PREPARATION 2
5.27
Figure US09718803-20170801-C01380
Figure US09718803-20170801-C01381
PREPARATION 2
Dioxane/water, 100° C. D
ASDI
5.28
Figure US09718803-20170801-C01382
  ASDI
Figure US09718803-20170801-C01383
Dioxane/water, 100° C. D
PREPARATION 2
5.29
Figure US09718803-20170801-C01384
  ASDI
Figure US09718803-20170801-C01385
Dioxane/water, 100° C. D
PREPARATION 2
5.30
Figure US09718803-20170801-C01386
ASDI
Figure US09718803-20170801-C01387
Dioxane/water, 100° C. D
PREPARATION 2
5.31
Figure US09718803-20170801-C01388
  ASDI
Figure US09718803-20170801-C01389
Dioxane/water, 100° C. D
PREPARATION 2
5.32
Figure US09718803-20170801-C01390
Figure US09718803-20170801-C01391
Dioxane/water, 100° C. D
ASDI PREPARATION 2
5.33
Figure US09718803-20170801-C01392
  ASDI
Figure US09718803-20170801-C01393
Dioxane/water, 100° C. D
PREPARATION 2
5.34
Figure US09718803-20170801-C01394
  ASDI
Figure US09718803-20170801-C01395
Dioxane/water, 100° C. D
PREPARATION 2
5.35
Figure US09718803-20170801-C01396
ASDI
Figure US09718803-20170801-C01397
Dioxane/water, 100° C. D
PREPARATION 2
5.36
Figure US09718803-20170801-C01398
  ASDI
Figure US09718803-20170801-C01399
Dioxane/water, 100° C. D
PREPARATION 2
5.37
Figure US09718803-20170801-C01400
  ASDI
Figure US09718803-20170801-C01401
Dioxane/water, 100° C. D
PREPARATION 2
5.38
Figure US09718803-20170801-C01402
ASDI
Figure US09718803-20170801-C01403
Dioxane/water, 100° C. D
PREPARATION 2
5.39
Figure US09718803-20170801-C01404
Figure US09718803-20170801-C01405
Dioxane/water, 100° C. D
ASDI PREPARATION 2
5.40
Figure US09718803-20170801-C01406
  ASDI
Figure US09718803-20170801-C01407
Dioxane/water, 100° C. D
PREPARATION 2
5.41
Figure US09718803-20170801-C01408
  ASDI
Figure US09718803-20170801-C01409
Dioxane/water, 100° C. D
PREPARATION 2
5.42
Figure US09718803-20170801-C01410
Figure US09718803-20170801-C01411
Dioxane/water, 100° C. D
ASDI PREPARATION 2
5.43
Figure US09718803-20170801-C01412
ASDI
Figure US09718803-20170801-C01413
PREPARATION 2
Dioxane/water, 100° C. D
*PURIFICATION CONDITIONS:
METHOD A-purification by silica gel chromatography: (ISCO 12 g RediSep-silica column, eluting with a gradient of 10% to 100% EtOAc in hexane).
METHOD B-purification by silica gel chromatography: (ISCO 12 g RediSep-silica column, eluting with a gradient of 0% to 10% MeOH in CH2Cl2).
METHOD C-reverse-phase HPLC (Shimazu; Gemini 10 μM C18 110A AXIA, 100 × 50 mm column) eluting with 0.1% TFA-H2O:0.1% TFA CH3CN (10% → 55%). The fractions containing the desired product were combined, neutralized with Na2CO3, and extracted with a mixed solvent of CHCl3: i-PrOH (3:1) three times. The organic phase was dried over Na2SO4 and concentrated in vacuo.
METHOD D-reverse phase purification using the following conditions:
(Instrumentation: MS-Waters SQ; UV-Waters 2487 or Waters PD;
Solvents:
A: Water w/ 0.1% NH4OH
B: Acetonitrile w/ 0.1% NH4OH;
Column: Phenomenex Gemini-NX C18 110A 5 um 21 × 100;
Flow Rate: 44 mL/min. 10 min Method, variable gradient over 8 min).
TABLE 17C
1H NMR δ (PPM) DATA FOR EXAMPLES 5.1 TO 5.43
Ex. # Structure NMR
5.1
Figure US09718803-20170801-C01414
(400 MHz, CHLOROFORM-d) 4.32-4.53 (m, 5 H) 6.61 (d, J = 9.00 Hz, 1 H) 7.18-7.23 (m, 1 H) 7.46- 7.55 (m, 6 H) 7.59 (d, J = 8.02 Hz, 1 H) 7.72 (d, J = 8.41 Hz, 1 H) 7.85 (d, J = 9.00 Hz, 1 H) 8.55 (dd, J = 15.16, 2.45 Hz, 2 H).
5.2
Figure US09718803-20170801-C01415
(400 MHz, CHLOROFORM-d) 3.90 (s, 3 H) 4.38- 4.52 (m, 5 H) 6.62 (d, J = 8.80 Hz, 1 H) 7.04 (d, J = 8.61 Hz, 2 H) 7.21 (t, J = 7.43 Hz, 1 H) 7.44-7.55 (m, 3 H) 7.60 (d, J = 7.83 Hz, 1 H) 7.72 (d, J = 8.41 Hz, 1 H) 7.86 (d, J = 8.80 Hz, 1 H) 8.49-8.55 (m, 2 H).
5.3
Figure US09718803-20170801-C01416
(400 MHz, CHLOROFORM-d) 4.30-4.53 (m, 5 H) 6.63 (d, J = 8.80 Hz, 1 H) 7.18-7.25 (m, 3 H) 7.49- 7.56 (m, 3 H) 7.60 (d, J = 8.02 Hz, 1 H) 7.72 (d, J = 8.41 Hz, 1 H) 7.87 (d, J = 8.80 Hz, 1 H) 8.47-8.63 (m, 2 H).
5.4
Figure US09718803-20170801-C01417
(400 MHz, CHLOROFORM-d) 4.12-4.25 (m, 1 H) 4.34-4.49 (m, 4 H) 6.62 (d, J = 8.80 Hz, 1 H) 7.16- 7.25 (m, 2 H) 7.30-7.38 (m, 1 H) 7.45-7.56 (m, 3 H) 7.59 (d, J = 8.02 Hz, 1 H) 7.72 (d, J = 8.41 Hz, 1 H) 7.86 (d, J = 8.80 Hz, 1 H) 8.57 (d, J = 2.54 Hz, 1 H) 8.64 (d, J = 2.54 Hz, 1 H).
5.5
Figure US09718803-20170801-C01418
(400 MHz, CHLOROFORM-d) 4.32-4.54 (m, 5 H) 6.63 (d, J = 9.00 Hz, 1 H) 7.16-7.33 (m, 4 H) 7.45-7.57 (m, 2 H) 7.60 (d, J = 7.82 Hz, 1 H) 7.72 (d, J = 8.41 Hz, 1 H) 7.87 (d, J = 9.00 Hz, 1 H) 8.54 (d, J = 2.35 Hz, 1 H) 8.61 (d, J = 2.35 Hz, 1 H).
5.6
Figure US09718803-20170801-C01419
(400 MHz, CHLOROFORM-d) 4.30-4.39 (m, 1 H) 4.41-4.52 (m, 4 H) 6.63 (d, J = 8.80 Hz, 1 H) 7.23 (t, J = 7.53 Hz, 1 H) 7.44-7.49 (m, 2 H) 7.51-7.57 (m, 1 H) 7.61 (d, J = 7.82 Hz, 1 H) 7.73 (d, J = 8.41 Hz, 1 H) 7.88 (d, J = 8.80 Hz, 1 H) 8.58 (d, J = 2.35 Hz, 1 H) 8.66 (d, J = 2.35 Hz, 1 H) 8.78-8.83 (m, 2 H).
5.7
Figure US09718803-20170801-C01420
(400 MHz, CHLOROFORM-d) 4.28-4.38 (m, 1 H) 4.40-4.51 (m, 4 H) 6.64 (d, J = 8.80 Hz, 1 H) 7.20- 7.25 (m, 1 H) 7.50-7.57 (m, 1 H) 7.59-7.84 (m, 5 H) 7.85-7.92 (m, 2 H) 8.57 (d, J = 2.35 Hz, 1 H) 8.65 (d, J = 2.35 Hz, 1 H).
5.8
Figure US09718803-20170801-C01421
(400 MHz, CHLOROFORM-d) 4.28-4.37 (m, 1 H) 4.39-4.50 (m, 4 H) 6.63 (d, J = 8.80 Hz, 1 H) 7.19-7.25 (m, 1 H) 7.50-7.57 (m, 1 H) 7.61 (d, J = 7.82 Hz, 1 H) 7.66 (d, J = 8.41 Hz, 2 H) 7.72 (d, J = 8.41 Hz, 1 H) 7.84 (d, J = 8.41 Hz, 2 H) 7.89 (d, J = 8.80 Hz, 1 H) 8.57 (d, J = 2.54 Hz, 1 H) 8.65 (d, J = 2.35 Hz, 1 H).
5.9
Figure US09718803-20170801-C01422
(400 MHz, CHLOROFORM-d) 3.97 (s, 3 H) 4.34- 4.60 (m, 5 H) 6.63 (d, J = 8.80 Hz, 1 H) 7.18-7.25 (m, 1 H) 7.49-7.57 (m, 1 H) 7.58-7.68 (m, 2 H) 7.69-7.80 (m, 2 H) 7.87 (d, J = 9.00 Hz, 1 H) 8.17- 8.24 (m, 2 H) 8.54-8.58 (m, 1 H) 8.61 (d, J = 2.35 Hz, 1 H).
5.10
Figure US09718803-20170801-C01423
1H NMR (400 MHz, CHLOROFORM-d) δ ppm 1.45 (t, J = 7.14 Hz, 3 H) 4.27-4.55 (m, 7 H) 6.62 (d, J = 8.80 Hz, 1 H) 7.17-7.24 (m, 1 H) 7.49-7.64 (m, 4 H) 7.72 (d, J = 8.22 Hz, 1 H) 7.87 (d, J = 9.00 Hz, 1 H) 8.21 (d, J = 8.41 Hz, 2 H) 8.56 (d, J = 2.35 Hz, 1 H) 8.62 (d, J = 2.35 Hz, 1 H).
5.11
Figure US09718803-20170801-C01424
(400 MHz, CHLOROFORM-d) 4.02 (s, 3 H) 4.29- 4.53 (m, 5 H) 6.63 (d, J = 9.00 Hz, 1 H) 6.87 (s, 1 H) 7.03 (dd, J = 5.28, 1.37 Hz, 1 H) 7.19-7.25 (m, 1 H) 7.50-7.56 (m, 1 H) 7.61 (d, J = 8.02 Hz, 1 H) 7.73 (d, J = 8.41 Hz, 1 H) 7.88 (d, J = 8.80 Hz, 1 H) 8.33 (d, J = 5.28 Hz, 1 H) 8.56 (d, J = 2.35 Hz, 1 H) 8.64 (d, J = 2.35 Hz, 1 H).
5.12
Figure US09718803-20170801-C01425
(400 MHz, CHLOROFORM-d) 4.28-4.39 (m, 1 H) 4.41-4.53 (m, 4 H) 6.64 (d, J = 8.80 Hz, 1 H) 7.14 (s, 1 H) 7.20-7.26 (m, 1 H) 7.35 (d, J = 5.09 Hz, 1 H) 7.51-7.57 (m, 1 H) 7.61 (d, J = 7.82 Hz, 1 H) 7.73 (d, J = 8.41 Hz, 1 H) 7.90 (d, J = 8.80 Hz, 1 H) 8 41 (d, J = 5.28 Hz, 1 H) 8.59 (d, J = 2.35 Hz, 1 H) 8.69 (d, J = 2.35 Hz, 1 H).
5.13
Figure US09718803-20170801-C01426
(400 MHz, CHLOROFORM-d) 2.55 (s, 3 H) 4.34- 4.52 (m, 5 H) 6.63 (d, J = 8.80 Hz, 1 H) 7.18-7.25 (m, 2 H) 7.35-7.47 (m, 3 H) 7.50-7.56 (m, 1 H) 7.60 (d, J = 7.82 Hz, 1 H) 7.72 (d, J = 8.41 Hz, 1 H) 7.87 (d, J = 9.00 Hz, 1 H) 8.54 (d, J = 2.35 Hz, 1 H) 8.59 (d, J = 2.35 Hz, 1 H).
5.14
Figure US09718803-20170801-C01427
(400 MHz, CHLOROFORM-d) 2.69 (s, 3 H) 4.30- 4.54 (m, 5 H) 6.62 (d, J = 8.80 Hz, 1 H) 7.22 (t, J = 7.43 Hz, 1 H) 7.50-7.56 (m, 1 H) 7.60 (d, J = 8.02 Hz, 1 H) 7.64 (d, J = 8.41 Hz, 2 H) 7.72 (d, J = 8.41 Hz, 1 H) 7.87 (d, J = 8.80 Hz, 1 H) 8.12 (d, J = 8.41 Hz, 2 H) 8.57 (d, J = 2.35 Hz, 1 H) 8.62 (d, J = 2.35 Hz, 1 H).
5.15
Figure US09718803-20170801-C01428
(400 MHz, CHLOROFORM-d) 4 38-4.54 (m, 5 H) 6.63 (d, J = 8.80 Hz, 1 H) 7.08-7.24 (m, 6 H) 7.36- 7.44 (m, 2 H) 7.46-7.56 (m, 3 H) 7.60 (d, J = 8.02 Hz, 1 H) 7.72 (d, J = 8.41 Hz, 1 H) 7.87 (d, J = 8.80 Hz, 1 H) 8.52 (d, J = 2.35 Hz, 1 H) 8.56 (d, J = 2.35 Hz, 1 H).
5.16
Figure US09718803-20170801-C01429
(400 MHz, CHLOROFORM-d) 4.28-4.56 (m, 5 H) 6.63 (d, J = 9.00 Hz, 1 H) 7.19-7.25 (m, 1 H) 7.54 (t, J = 7.63 Hz, 1 H) 7.61 (d, J = 8.02 Hz, 1 H) 7.66 (d, J = 8.02 Hz, 2 H) 7.73 (d, J = 8.41 Hz, 1 H) 7.80 (d, J = 8.22 Hz, 2 H) 7.88 (d, J = 8.80 Hz, 1 H) 8.57 (d, J = 2.35 Hz, 1 H) 8.64 (d, J = 2.35 Hz, 1 H).
5.17
Figure US09718803-20170801-C01430
(400 MHz, CHLOROFORM-d) 3.99 (s, 3 H) 4.38- 4.51 (m, 5 H) 6.63 (d, J = 8.80 Hz, 1 H) 7.05-7.14 (m, 1 H) 7.18-7.25 (m, 2 H) 7.33 (dd, J = 11.74, 1.96 Hz, 1 H) 7.53 (t, J = 7.63 Hz, 1 H) 7.60 (d, J = 8.02 Hz, 1 H) 7.72 (d, J = 8.41 Hz, 1 H) 7.88 (d, J = 8.80 Hz, 1 H) 8.52 (d, J = 2.15 Hz, 1 H) 8.56 (d, J = 2.35 Hz, 1 H).
5.18
Figure US09718803-20170801-C01431
(400 MHz, CHLOROFORM-d) 3.03 (s, 6 H) 4.34- 4.55 (m, 5 H) 6.63 (d, J = 8.80 Hz, 1 H) 6.76-6.88 (m, 3 H) 7.18-7.24 (m, 1 H) 7.36 (t, J = 7.92 Hz, 1 H) 7.49-7.56 (m, 1 H) 7.60 (d, J = 7.82 Hz, 1 H) 7.72 (d, J = 8.41 Hz, 1 H) 7.86 (d, J = 9.00 Hz, 1 H) 8.52 (d, J = 2.35 Hz, 1 H) 8.56 (d, J = 2.35 Hz, 1 H).
5.19
Figure US09718803-20170801-C01432
(400 MHz, CHLOROFORM-d) 3.06 (d, J = 4.89 Hz, 3 H) 4.32-4.53 (m, 5 H) 6.27 (br. s., 1 H) 6.62 (d, J = 9.00 Hz, 1 H) 7.22 (t, J = 7.43 Hz, 1 H) 7.48-7.78 (m, 5 H) 7.83-8.06 (m, 3 H) 8.55 (d, J = 2.35 Hz, 1 H) 8.61 (d, J = 2.35 Hz, 1 H).
5.20
Figure US09718803-20170801-C01433
(400 MHz, DMSO-d6) 1.46 (s, 9 H) 3.31 (br. s., 2 H) 3.59 (t, J = 5.28 Hz, 2 H) 4.08 (br. s., 2 H) 4.20-4.32 (m, 2 H) 4.38-4.59 (m, 3 H) 5.92 (br. s., 1 H) 6.78 (d, J = 9.00 Hz, 1 H) 7.21 (t, J = 6.75 Hz, 1 H) 7.46- 7.61 (m, 2 H) 7.71 (d, J = 7.82 Hz, 1 H) 8.04 (d, J = 8.80 Hz, 1 H) 8.52 (d, J = 2.35 Hz, 1 H) 8.56 (d, J = 2.35 Hz, 1 H).
5.21
Figure US09718803-20170801-C01434
(400 MHz, CHLOROFORM-d) 4.38-4.54 (m, 5 H) 6.63 (d, J = 9.00 Hz, 1 H) 7.19-7.24 (m, 1 H) 7.36- 7.42 (m, 1 H) 7.44-7.55 (m, 4 H) 7.57-7.63 (m, 2 H) 7.66 (d, J = 7.63 Hz, 2 H) 7.69-7.77 (m, 3 H) 7.87 (d, J = 8.80 Hz, 1 H) 8.56 (d, J = 2.54 Hz, 1 H) 8.60 (d, J = 2.35 Hz, 1 H).
5.22
Figure US09718803-20170801-C01435
(400 MHz, CHLOROFORM-d) 4.26-4.38 (m, 1 H) 4.41-4.54 (m, 4 H) 6.64 (d, J = 9.00 Hz, 1 H) 7.20- 7.25 (m, 1 H) 7.41-7.49 (m, 2 H) 7.51-7.58 (m, 1 H) 7.62 (d, J = 7.82 Hz, 1 H) 7.73 (d, J = 8.41 Hz, 1 H) 7.80 (t, J = 7.34 Hz, 1 H) 7.90 (d, J = 8.80 Hz, 1 H) 8.58 (d, J = 2.15 Hz, 1 H) 8.67 (d, J = 2.15 Hz, 1 H).
5.23
Figure US09718803-20170801-C01436
(400 MHz, CHLOROFORM-d) 4.26-4.37 (m, 1 H) 4.40-4.53 (m, 4 H) 6.65 (s, 1 H) 7.20-7.25 (m, 1 H) 7.40 (t, J = 8.51 Hz, 1 H) 7.51-7.58 (m, 1 H) 7.62 (d, J = 7.82 Hz, 1 H) 7.73 (d, J = 8.41 Hz, 1 H) 7.75- 7.81 (m, 1 H) 7.86 (dd, J = 5.97, 2.25 Hz, 1 H) 7.90 (d, J = 8.80 Hz, 1 H) 8.56 (d, J = 2.35 Hz, 1 H) 8.65 (d, J = 2.15 Hz, 1 H).
5.24
Figure US09718803-20170801-C01437
(400 MHz, CHLOROFORM-d) 2.98-3.22 (m, 6 H) 4.30-4.54 (m, 5 H) 6.63 (d, J = 8.80 Hz, 1 H) 7.22 (t, J = 7.14 Hz, 1 H) 7.49-7.64 (m, 6 H) 7.72 (d, J = 8.41 Hz, 1 H) 7.87 (d, J = 9.00 Hz, 1 H) 8.55 (d, J = 2.35 Hz, 1 H) 8.61 (d, J = 2.35 Hz, 1 H).
5.25
Figure US09718803-20170801-C01438
(400 MHz, CHLOROFORM-d) 3.82 (s, 3 H) 4.04- 4.56 (m, 5 H) 6.61 (d, J = 8.80 Hz, 1 H) 7.02 (d, J = 8.41 Hz, 1 H) 7.12 (t, J = 7.43 Hz, 1 H) 7.21 (t, J = 7.43 Hz, 1 H) 7.37 (dd, J = 7.53, 1.47 Hz, 1 H) 7.43-7.55 (m, 2 H) 7.59 (d, J = 7.82 Hz, 1 H) 7.72 (d, J = 8.41 Hz, 1 H) 7.85 (d, J = 8.80 Hz, 1 H) 8.53 (d, J = 2.54 Hz, 1 H) 8.58 (d, J = 2.35 Hz, 1 H).
5.26
Figure US09718803-20170801-C01439
(400 MHz, DMSO-d6) 4.22-4.45 (m, 5 H) 6.76 (d, J = 8.61 Hz, 1 H) 7.22 (t, J = 6.85 Hz, 1 H) 7.46-7.60 (m, 2 H) 7.71 (d, J = 7.82 Hz, 1 H) 7.78-7.85 (m, 1 H) 7.89-7.98 (m, 3 H) 8.03 (d, J = 9.00 Hz, 1 H) 8.68 (d, J = 2.35 Hz, 1 H) 8.74 (d, J = 2.35 Hz, 1 H).
5.27
Figure US09718803-20170801-C01440
(400 MHz, DMSO-d6) 1-37 (t, J = 6.85 Hz, 3 H) 4.12 (q, J = 7.04 Hz, 2 H) 4.23-4.52 (m, 5 H) 6.77 (d, J = 9.00 Hz, 1 H) 7.06-7.15 (m, 3 H) 7.19-7.27 (m, 1 H) 7.42-7.61 (m, 3 H) 7.71 (d, J = 7.82 Hz, 1 H) 8.04 (d, J = 8.61 Hz, 1 H) 8.63 (d, J = 2.35 Hz, 1 H) 8.68 (d, J = 2.35 Hz, 1 H).
5.28
Figure US09718803-20170801-C01441
(400 MHz, DMSO-d6) 2.68 (s, 3 H) 4.23-4.47 (m, 5 H) 6.75 (d, J = 9.00 Hz, 1 H) 7.17-7.24 (m, 1 H) 7.47-7.59 (m, 2 H) 7.67-7.78 (m, 2 H) 7.87 (d, J = 7.43 Hz, 1 H) 8.02 (d, J = 9.00 Hz, 1 H) 8.09-8.16 (m, 2 H) 8.67 (d, J = 2.35 Hz, 1 H) 8.72 (d, J = 2.35 Hz, 1 H)
5.29
Figure US09718803-20170801-C01442
(400 MHz, DMSO-d6) 4.20-4.45 (m, 5 H) 4.62 (d, J = 5.48 Hz, 2 H) 5.35 (t, J = 5.67 Hz, 1 H) 6.75 (d, J = 9.00 Hz, 1 H) 7.21 (t, J = 7.24 Hz, 1 H) 7.42-7.60 (m, 6 H) 7.70 (d, J = 8.22 Hz, 1 H) 8.03 (d, J = 8.61 Hz, 1 H) 8.63 (d, J = 2.35 Hz, 1 H) 8.67 (d, J = 2.35 Hz, 1 H).
5.30
Figure US09718803-20170801-C01443
(400 MHz, DMSO-d6) 4.23-4.47 (m, 5 H) 6.76 (d, J = 9.00 Hz, 1 H) 7.23 (t, J = 7.24 Hz, 1 H) 7.48-7.66 (m, 5 H) 7.67-7.75 (m, 2 H) 8.01-8.09 (m, 1 H) 8.65-8.68 (m, 1 H) 8.71-8.75 (m, 1 H).
5.31
Figure US09718803-20170801-C01444
(400 MHz, DMSO-d6) 4.15-4.44 (m, 5 H) 5.21 (s, 2 H) 6.73 (d, J = 9.00 Hz, 1 H) 7.11-7.25 (m, 4 H) 7.28-7.34 (m, 1 H) 7.41 (t, J = 7.63 Hz, 2 H) 7.45- 7.59 (m, 5 H) 7.70 (d, J = 7.82 Hz, 1 H) 8.02 (d, J = 9.00 Hz, 1 H) 8.63 (d, J = 2.35 Hz, 1 H) 8.67 (d, J = 2.35 Hz, 1 H)
5.32
Figure US09718803-20170801-C01445
(400 MHz, DMSO-d6) 0.57-0.64 (m, 2 H) 0.69- 0.77 (m, 2 H) 2.89 (tq, J = 7.34, 3.98 Hz, 1 H) 4.22- 4.45 (m, 5 H) 6.75 (d, J = 9.00 Hz, 1 H) 7.21 (t, J = 7.43 Hz, 1 H) 7.47-7.59 (m, 2 H) 7.61-7.67 (m, 1 H) 7.72 (dd, J = 14.87, 7.82 Hz, 2 H) 7.93-8.08 (m, 3 H) 8.57 (d, J = 3.91 Hz, 1 H) 8.66 (d, J = 2.35 Hz, 1 H) 8.71 (d, J = 2.35 Hz, 1 H)
5.33
Figure US09718803-20170801-C01446
(400 MHz, DMSO-d6) 2.70 (s, 6 H) 4.25-4.43 (m, 5 H) 6.72-6.78 (m, 1 H) 7.17-7.25 (m, 1 H) 7.47- 7.59 (m, 2 H) 7.70 (d, J = 7.82 Hz, 1 H) 7.82-7.88 (m, 1 H) 7.90-7.98 (m, 3 H) 8.03 (d, J = 8.61 Hz, 1 H) 8.68 (d, J = 2.35 Hz, 1 H) 8.74 (d, J = 2.74 Hz, 1 H)
5.34
Figure US09718803-20170801-C01447
(400 MHz, DMSO-d6) 1.38 (t, J = 7.04 Hz, 3 H) 4.13 (q, J = 6.78 Hz, 2 H) 4.22-4.29 (m, 2 H) 4.35 (t, J = 8.02 Hz, 2 H) 4.41-4.51 (m, 1 H) 6.76 (d, J = 9.00 Hz, 1 H) 7.05-7.12 (m, 2 H) 7.19-7.25 (m, 1 H) 7.48-7.59 (m, 4 H) 7.71 (d, J = 7.82 Hz, 1 H) 8.04 (d, J = 9.00 Hz, 1 H) 8.59-8.61 (m, 1 H) 8.61-8.63 (m, 1 H)
5.35
Figure US09718803-20170801-C01448
(400 MHz, DMSO-d6) 4.19-4.47 (m, 5 H) 4.62 (d, J = 5.87 Hz, 2 H) 5.33 (t, J = 5.67 Hz, 1 H) 6.75 (d, J = 9.00 Hz, 1 H) 7.21 (t, J = 7.04 Hz, 1 H) 7.47-7.59 (m, 6 H) 7.70 (d, J = 7.82 Hz, 1 H) 8.03 (d, J = 9.00 Hz, 1 H) 8.63 (d, J = 2.74 Hz, 1 H) 8.66 (d, J = 2.74 Hz, 1 H)
5.36
Figure US09718803-20170801-C01449
(400 MHz, DMSO-d6) 0.95 (t, J = 7.43 Hz, 3 H) 1.67 (sxt, J = 7.43 Hz, 2 H) 2.66 (t, J = 7.63 Hz, 2 H) 4.23- 4.47 (m, 5 H) 6.76 (d, J = 9.00 Hz, 1 H) 7.20-7.26 (m, 1 H) 7.38 (d, J = 7.82 Hz, 2 H) 7.47-7.61 (m, 4 H) 7.72 (d, J = 7.43 Hz, 1 H) 8.05 (d, J = 9.00 Hz, 1 H) 8.62 (d, J = 2.35 Hz, 1 H) 8.65 (d, J = 2.35 Hz, 1 H)
5.37
Figure US09718803-20170801-C01450
(400 MHz, DMSO-d6) 1.26 (t, J = 7.43 Hz, 3 H) 2.72 (q, J = 7.56 Hz, 2 H) 4.22-4.50 (m, 5 H) 6.76 (d, J = 9.00 Hz, 1 H) 7.18-7.27 (m, 1 H) 7.40 (d, J = 8.22 Hz, 2 H) 7.47-7.61 (m, 4 H) 7.71 (d, J = 7.82 Hz, 1 H) 8.04 (d, J = 9.00 Hz, 1 H) 8.62 (d, J = 2.35 Hz, 1 H) 8.65 (d, J = 2.74 Hz, 1 H)
5.38
Figure US09718803-20170801-C01451
(400 MHz, DMSO-d6) 3.01 (s, 6 H) 4.17-4.55 (m, 5 H) 6.76 (d, J = 9.00 Hz, 1 H) 6.86 (d, J = 9.00 Hz, 2 H) 7.16-7.25 (m, 1 H) 7.42-7.61 (m, 4 H) 7.70 (d, J = 7.43 Hz, 1 H) 8.02 (d, J = 9.00 Hz, 1 H) 8.51-8.58 (m, 2 H)
5.39
Figure US09718803-20170801-C01452
(400 MHz, DMSO-d6) 4.28-4.48 (m, 5 H) 6.80 (d, J = 9.00 Hz, 1 H) 7.22-7.30 (m, 1 H) 7.52-7.62 (m, 4 H) 7.74 (d, J = 9.00 Hz, 3 H) 8.09 (d, J = 8.61 Hz, 1 H) 8 66 (d, J = 2.35 Hz, 1 H) 8.72 (d, J = 2.35 Hz, 1 H)
5.40
Figure US09718803-20170801-C01453
(400 MHz, DMSO-d6) 1.33 (d, J = 6.26 Hz, 6 H) 4.20-4.52 (m, 5 H) 4.73 (dt, J = 12.03, 5.92 Hz, 1 H) 6.78 (d, J = 9.00 Hz, 1 H) 7.08 (d, J = 8.61 Hz, 2 H) 7.24 (t, J = 6.85 Hz, 1 H) 7.46-7.62 (m, 4 H) 7.72 (d, J = 8.22 Hz, 1 H) 8.06 (d, J = 9.00 Hz, 1 H) 8.59-8.61 (m, 1 H) 8.61-8.63 (m, 1 H)
5.41
Figure US09718803-20170801-C01454
(400 MHz, DMSO-d6) 1.77 (s, 6 H) 4.23-4.46 (m, 5 H) 6.75 (d, J = 9.00 Hz, 1 H) 7.21 (t, J = 7.24 Hz, 1 H) 7.48-7.59 (m, 2 H) 7.62-7.76 (m, 5 H) 8.03 (d, J = 8.61 Hz, 1 H) 8.65 (d, J = 2.35 Hz, 1 H) 8.69 (d, J = 2.35 Hz, 1 H)
5.42
Figure US09718803-20170801-C01455
(400 MHz, DMSO-d6) 2.89-3.02 (m, 4 H) 3.61- 3.75 (m, 4 H) 4.22-4.48 (m, 5 H) 6.74 (d, J = 8.61 Hz, 1 H) 7.17-7.24 (m, 1 H) 7.47-7.61 (m, 2 H) 7.70 (d, J = 7.82 Hz, 1 H) 7.84-7.97 (m, 4 H) 8.02 (d, J = 9.00 Hz, 1 H) 8.69 (d, J = 2.35 Hz, 1 H) 8.75 (d, J = 2.35 Hz, 1 H)
5.43
Figure US09718803-20170801-C01456
(400 MHz, DMSO-d6) 1.41 (d, J = 3.91 Hz, 2 H) 1.57 (d, J = 4.69 Hz, 4 H) 2.99 (t, J = 5.28 Hz, 4 H) 4.20-4.47 (m, 5 H) 6.74 (d, J = 9.00 Hz, 1 H) 7.18- 7.25 (m, 1 H) 7.48-7.58 (m, 2 H) 7.70 (d, J = 7.82 Hz, 1 H) 7.81-7.88 (m, 2 H) 7.88-7.95 (m, 2 H) 8.02 (d, J = 9.00 Hz, 1 H) 8.68 (d, J = 2.35 Hz, 1 H) 8.74 (d, J = 2.35 Hz, 1 H)
Figure US09718803-20170801-C01457
Example 6.1: (R— & S—)-2-(3-(3-(3-(Pyridin-3-Yl)Pyrrolidin-1-Yl)Pyrazin-2-Yl)Azetidin-1-Yl)Quinoline
To a 3 mL vial was added 2-(3-(3-chloropyrazin-2-yl)azetidin-1-yl)quinoline (0.04000 g, 0.135 mmol), 3-(pyrrolidin-3-yl)pyridine (commerically available at Array Biopharma, 0.040 g, 0.270 mmol), and triethylamine (commerically available at Sigma Aldrich, 0.038 ml, 0.270 mmol) in DMSO (Solvent Volume: 0.449 ml) and the reaction was stirred at 110° C. overnight. Upon completion, the reaction was filtered into a 24 well plate and purified by reverse phase purification using the following conditions: (Instrumentation: MS—Waters SQ; UV—Waters 2487 or Waters PD; Solvents: A: Water w/0.1% NH4OH B: Acetonitrile w/0.1% NH4OH; Column: Phenomenex Gemini-NX C18 110A 5 um 21×100; Flow Rate: 44 mL/min. 10 min Method, variable gradient over 8 mins.)
The following Table 18A lists compounds of Examples 6.1 to 6.60, which were made analogous to Scheme 6 by using the appropriate materials and reaction conditions, which are listed in Table 18B. The NMR data of the Examples are listed in Table 18C.
TABLE 18A
EXAMPLES 6.1 TO 6.60
ESI-MS
Ex. # Structure Chemical Name (M + 1) IC50 (μM)
6.1
Figure US09718803-20170801-C01458
(R- & S-)-2-(3-(3-(3-(pyridin- 3-yl)pyrrolidin-1-yl)pyrazin-2- yl)azetidin-1-yl)quinoline 409.0    0.001
6.2
Figure US09718803-20170801-C01459
(R- & S-)-2-(3-(3-(3- phenethylpyrrolidin-1- yl)pyrazin-2-yl)azetidin-1- yl)quinoline 436    0.010
6.3
Figure US09718803-20170801-C01460
(R- & S-)-2-(3-(3-(3- benzylpyrrolidin-1-yl)pyrazin- 2-yl)azetidin-1-yl)quinoline 422    0.005
6.4
Figure US09718803-20170801-C01461
(R)-N,N-dimethyl-1-(3-(1- (quinolin-2-yl)azetidin-3- yl)pyrazin-2-yl)pyrrolidin-3- amine 375    0.097
6.5
Figure US09718803-20170801-C01462
(R- & S-)-tert-butyl methyl(1- (3-(1-(quinolin-2-yl)azetidin-3- yl)pyrazin-2-yl)pyrrolidin-3- yl)carbamate 461    0.002
6.6
Figure US09718803-20170801-C01463
(R- & S-)-N,N-dimethyl-1-(3- (1-(quinolin-2-yl)azetidin-3- yl)pyrazin-2-yl)pyrrolidin-3- amine 375    0.061
6.7
Figure US09718803-20170801-C01464
2-(3-(3-(3- azabicyclo[3.1 0]hexan-3- yl)pyrazin-2-yl)azetidin-1- yl)quinoline 344    0.003
6.8
Figure US09718803-20170801-C01465
(R- & S-)-2-(3-(3-(3- (phenylsulfonyl)pyrrolidin-1- yl)pyrazin-2-yl)azetidin-1- yl)quinoline 472    0.008
6.9
Figure US09718803-20170801-C01466
(R- & S-)-3-methyl-5-(1-(3-(1- (quinolin-2-yl)azetidin-3- yl)pyrazin-2-yl)pyrrolidin-3- yl)-1,2,4-oxadiazole 414    0.001
6.10
Figure US09718803-20170801-C01467
(R)-1-(3-(1-(quinolin-2- yl)azetidin-3-yl)pyrazin-2- yl)pyrrolidin-3-ol 348    0.007
6.11
Figure US09718803-20170801-C01468
(R- & S-)-2-(3-(3-(3-(pyridin- 4-yl)pyrrolidin-1-yl)pyrazin-2- yl)azetidin-1-yl)quinoline 409    0.001
6.12
Figure US09718803-20170801-C01469
2-(3-(3-(pyrrolidin-1- yl)pyrazin-2-yl)azetidin-1- yl)quinoline 332    0.003
6.13
Figure US09718803-20170801-C01470
(3aR,6aS)-tert-butyl 5-(3-(1- (quinolin-2-yl)azetidin-3- yl)pyrazin-2- yl)hexahydropyrrolo[3,4- c]pyrrole-2(1H)-carboxylate 473    0.001
6.14
Figure US09718803-20170801-C01471
tert-butyl 5-(3-(1-(quinolin-2- yl)azetidin-3-yl)pyrazin-2- yl)hexahydropyrrolo[3,4- c]pyrrole-2(1H)-carboxylate 473    0.003
6.15
Figure US09718803-20170801-C01472
tert-butyl 4-(3-(1-(quinolin-2- yl)azetidin-3-yl)pyrazin-2-yl)- 1,4-diazepane-1-carboxylate 461.1    0.225
6.16
Figure US09718803-20170801-C01473
(R)-(1-(3-(1-(quinolin-2- yl)azetidin-3-yl)pyrazin-2- yl)pyrrolidin-3-yl)methanol 362    0.006
6.17
Figure US09718803-20170801-C01474
(R- & S-)-2-(3-(3-(3- (methylsulfonyl)pyrrolidin-1- yl)pyrazin-2-yl)azetidin-1- yl)quinoline 410    0.033
6.18
Figure US09718803-20170801-C01475
(S)-(1-(3-(1-(quinolin-2- yl)azetidin-3-yl)pyrazin-2- yl)pyrrolidin-3-yl)methanol 362    0.006
6.19
Figure US09718803-20170801-C01476
(R)-tert-butyl 1-(3-(1- (quinolin-2-yl)azetidin-3- yl)pyrazin-2-yl)pyrrolidin-3- ylcarbamate 447.0    0.021
6.20
Figure US09718803-20170801-C01477
(S)-2-(3-(3-(3-fluoropyrrolidin- 1-yl)pyrazin-2-yl)azetidin-1- yl)quinoline 350.0    0.023
6.21
Figure US09718803-20170801-C01478
2-(3-(3-(3,3-difluoropyrrolidin- 1-yl)pyrazin-2-yl)azetidin-1- yl)quinoline 368    0.01575
6.22
Figure US09718803-20170801-C01479
2-(3-(3-(4-isopropyl-1,4- diazepan-1-yl)pyrazin-2- yl)azetidin-1-yl)quinoline 403    0.655
6.23
Figure US09718803-20170801-C01480
(1R,5R)-3-(3-(1-(quinolin-2- yl)azetidin-3-yl)pyrazin-2-yl)- 3-azabicyclo[3.2.2]nonane 386    0.035
6.24
Figure US09718803-20170801-C01481
2-(3-(3-(azepan-1-yl)pyrazin-2- yl)azetidin-1-yl)quinoline 360    0.003
6.25
Figure US09718803-20170801-C01482
2-(3-(3-(4-methyl-1,4- diazepan-1-yl)pyrazin-2- yl)azetidin-1-yl)quinoline 375    0.233
6.26
Figure US09718803-20170801-C01483
3-(3-(1-(quinolin-2-yl)azetidin- 3-yl)pyrazin-2-yl)-3- azabicyclo[3.2.2]nonane 386    0.035
6.27
Figure US09718803-20170801-C01484
1-(4-(3-(1-(quinolin-2- yl)azetidin-3-yl)pyrazin-2-yl)- 1,4-diazepan-1-yl)ethanone 403    0.01607
6.28
Figure US09718803-20170801-C01485
(R- & S-)-2-(3-(3-(3- phenylpyrrolidin-1-yl)pyrazin- 2-yl)azetidin-1-yl)quinoline 408    0.0050
6.29
Figure US09718803-20170801-C01486
(3S,4S)-1-(3-(1-(quinolin-2- yl)azetidin-3-yl)pyrazin-2- yl)pyrrolidine-3,4-diol 364    0.085
6.30
Figure US09718803-20170801-C01487
N-(4-methoxybenzyl)-3-(1- (quinolin-2-yl)azetidin-3- yl)pyrazin-2-amine 398    0.189
6.31
Figure US09718803-20170801-C01488
(1R,4R)-5-(3-(1-(quinolin-2- yl)azetidin-3-yl)pyrazin-2-yl)- 2-oxa-5- azabicyclo[2.2.1]heptane 360    0.01545
6.32
Figure US09718803-20170801-C01489
(R- & S-)-2-(1-(3-(1-(quinolin- 2-yl)azetidin-3-yl)pyrazin-2- yl)pyrrolidin-3-yl)thiazole 415    0.0871
6.33
Figure US09718803-20170801-C01490
(S)-(1-(3-(1-(quinolin-2- yl)azetidin-3-yl)pyrazin-2- yl)pyrrolidin-2-yl)methanol 362    0.01457
6.34
Figure US09718803-20170801-C01491
((2S,4S)-4-fluoro-1-(3-(1- (quinolin-2-yl)azetidin-3- yl)pyrazin-2-yl)pyrrolidin-2- yl)methanol 380    0.02989
6.35
Figure US09718803-20170801-C01492
(R)-2-(3-(3-(2- (methoxymethyl)pyrrolidin-1- yl)pyrazin-2-yl)azetidin-1- yl)quinoline 362    0.81150
6.36
Figure US09718803-20170801-C01493
2-(3-(3- (hexahydrocyclopenta[c]pyrrol- 2(1H)-yl)pyrazin-2-yl)azetidin- 1-yl)quinoline 372    0.00396
6.37
Figure US09718803-20170801-C01494
(R- & S-)-2-(3-(3-(3- isobutylpyrrolidin-1- yl)pyrazin-2-yl)azetidin-1- yl)quinoline 388    0.02193
6.38
Figure US09718803-20170801-C01495
2-(3-(3-(3,3- dimethylpyrrolidin-1- yl)pyrazin-2-yl)azetidin-1- yl)quinoline 360    0.01275
6.39
Figure US09718803-20170801-C01496
(R- & S-)-2-(3-(3-(3- (methoxymethyl)pyrrolidin-1- yl)pyrazin-2-yl)azetidin-1- yl)quinoline 376    0.00666
6.40
Figure US09718803-20170801-C01497
2-(3-(3-(4- (trifluoromethyl)piperidin-1- yl)pyrazin-2-yl)azetidin-1- yl)quinoline 414    0.0065
6.41
Figure US09718803-20170801-C01498
1-(3-(1-(quinolin-2-yl)azetidin- 3-yl)pyrazin-2-yl)piperidine-4- carbonitrile 371    0.00013
6.42
Figure US09718803-20170801-C01499
2-(3-(3-(4,4-difluoropiperidin- 1-yl)pyrazin-2-yl)azetidin-1- yl)quinoline 382    0.0086
6.43
Figure US09718803-20170801-C01500
4-(3-(1-(quinolin-2-yl)azetidin- 3-yl)pyrazin-2-yl)morpholine 348    0.0147
6.44
Figure US09718803-20170801-C01501
2-(3-(3-(4-fluoropiperidin-1- yl)pyrazin-2-yl)azetidin-1- yl)quinoline 364    0.0014
6.45
Figure US09718803-20170801-C01502
2-(3-(3-(3-methoxyazetidin-1- yl)pyrazin-2-yl)azetidin-1- yl)quinoline 348    0.021
6.46
Figure US09718803-20170801-C01503
2-(3-(3-(3,3-difluoroazetidin-1- yl)pyrazin-2-yl)azetidin-1- yl)quinoline 354    0.027
6.47
Figure US09718803-20170801-C01504
4-methyl-1-(3-(1-(quinolin-2- yl)azetidin-3-yl)pyrazin-2- yl)piperidin-4-ol 376    0.0097
6.48
Figure US09718803-20170801-C01505
1-(3-(1-(quinolin-2-yl)azetidin- 3-yl)pyrazin-2-yl)-1H- pyrazole-4-carbonitrile 354    0.066
6.49
Figure US09718803-20170801-C01506
2-(3-(3-(4-methyl-1H-pyrazol- 1-yl)pyrazin-2-yl)azetidin-1- yl)quinoline 343    0.020
6.50
Figure US09718803-20170801-C01507
tert-butyl (1-(3-(1-(quinolin-2- yl)azetidin-3-yl)pyrazin-2- yl)azetidin-3-yl)carbamate 433    0.0056
6.51
Figure US09718803-20170801-C01508
2,2-dimethyl-4-(3-(1-(quinolin- 2-yl)azetidin-3-yl)pyrazin-2- yl)morpholine 376    0.006
6.52
Figure US09718803-20170801-C01509
2-(3-(3-(4-methyl-1H- imidazol-1-yl)pyrazin-2- yl)azetidin-1-yl)quinoline 343    0.005
6.53
Figure US09718803-20170801-C01510
1-(3-(1-(quinazolin-2- yl)azetidin-3-yl)pyrazin-2- yl)piperidine-4-carbonitrile 372    0.0015
6.54
Figure US09718803-20170801-C01511
(1-(3-(1-(quinolin-2- yl)azetidin-3-yl)pyrazin-2-yl)- 1H-pyrazol-4-yl)methanol 359    0.091
6.55
Figure US09718803-20170801-C01512
(1-(3-(1-(quinolin-2- yl)azetidin-3-yl)pyrazin-2-yl)- 1H-imidazol-4-yl)methanol 359    0.270
6.56
Figure US09718803-20170801-C01513
1-methyl-4-(3-(1-(quinolin-2- yl)azetidin-3-yl)pyrazin-2- yl)piperazin-2-one 375    0.0022
6.57
Figure US09718803-20170801-C01514
N-(2,6-dimethylphenyl)-1-(3- (1-(quinolin-2-yl)azetidin-3- yl)pyrazin-2-yl)piperidine-3- carboxamide 493    0.010
6.58
Figure US09718803-20170801-C01515
(S)-tert-butyl (1-(3-(1- (quinolin-2-yl)azetidin-3- yl)pyrazin-2-yl)piperidin-3- yl)carbamate 461    0.013
6.59
Figure US09718803-20170801-C01516
(4-(cyclopropylmethyl)-1-(3- (1-(quinolin-2-yl)azetidin-3- yl)pyrazin-2-yl)piperidin-4- yl)methanol 430    0.004
6.60
Figure US09718803-20170801-C01517
2-(3-(3-((1R,5S)-8-methyl-3,8- diazabicyclo[3.2.1]octan-3- yl)pyrazin-2-yl)azetidin-1- yl)quinoline 378 >10
TABLE 18B
STARTING MATERIALS AND REACTION CONDITION FOR PREPARATION OF EXAMPLES 6.1 TO 6.60.
Unless otherwise stated, all starting materials are commerically available from common vendors.
Key Starting Purification
Ex. # Material(s) Key Starting Material(s) Reaction Condition Condition*
6.1 
Figure US09718803-20170801-C01518
Figure US09718803-20170801-C01519
TEA, DMSO, 110° C. A
6.2 
Figure US09718803-20170801-C01520
Figure US09718803-20170801-C01521
TEA, DMSO, 110° C. A
6.3 
Figure US09718803-20170801-C01522
Figure US09718803-20170801-C01523
TEA, DMSO, 110° C. A
6.4 
Figure US09718803-20170801-C01524
Figure US09718803-20170801-C01525
TEA, DMSO, 110° C. A
6.5 
Figure US09718803-20170801-C01526
Figure US09718803-20170801-C01527
TEA, DMSO, 110° C. A
6.6 
Figure US09718803-20170801-C01528
Figure US09718803-20170801-C01529
TEA, DMSO, 110° C. A
6.7 
Figure US09718803-20170801-C01530
Figure US09718803-20170801-C01531
TEA, DMSO, 110° C. A
6.8 
Figure US09718803-20170801-C01532
Figure US09718803-20170801-C01533
TEA, DMSO, 110° C. A
6.9 
Figure US09718803-20170801-C01534
Figure US09718803-20170801-C01535
TEA, DMSO, 110° C. A
6.10
Figure US09718803-20170801-C01536
Figure US09718803-20170801-C01537
TEA, DMSO, 110° C. A
6.11
Figure US09718803-20170801-C01538
Figure US09718803-20170801-C01539
TEA, DMSO, 110° C. A
6.12
Figure US09718803-20170801-C01540
Figure US09718803-20170801-C01541
TEA, DMSO, 110° C. A
6.13
Figure US09718803-20170801-C01542
Figure US09718803-20170801-C01543
TEA, DMSO, 110° C. A
6.14
Figure US09718803-20170801-C01544
Figure US09718803-20170801-C01545
TEA, DMSO, 110° C. A
6.15
Figure US09718803-20170801-C01546
Figure US09718803-20170801-C01547
TEA, DMSO, 110° C. A
6.16
Figure US09718803-20170801-C01548
Figure US09718803-20170801-C01549
TEA, DMSO, 110° C., D
6.17
Figure US09718803-20170801-C01550
Figure US09718803-20170801-C01551
TEA, DMSO, 110° C. A
6.18
Figure US09718803-20170801-C01552
Figure US09718803-20170801-C01553
TEA, DMSO, 110° C. A
6.19
Figure US09718803-20170801-C01554
Figure US09718803-20170801-C01555
TEA, DMSO, 110° C. A
6.20
Figure US09718803-20170801-C01556
Figure US09718803-20170801-C01557
K2CO3, DMSO, 110° C. A
6.21
Figure US09718803-20170801-C01558
Figure US09718803-20170801-C01559
K2CO3, DMSO, 110° C. B
6.22
Figure US09718803-20170801-C01560
Figure US09718803-20170801-C01561
K2CO3, DMSO, 110° C. A
6.23
Figure US09718803-20170801-C01562
Figure US09718803-20170801-C01563
K2CO3, DMSO, 110° C. A
6.24
Figure US09718803-20170801-C01564
Figure US09718803-20170801-C01565
K2CO3, DMSO, 110° C. A
6.25
Figure US09718803-20170801-C01566
Figure US09718803-20170801-C01567
K2CO3, DMSO, 110° C. A
6.26
Figure US09718803-20170801-C01568
Figure US09718803-20170801-C01569
K2CO3, DMSO, 110° C. A
6.27
Figure US09718803-20170801-C01570
Figure US09718803-20170801-C01571
K2CO3, DMSO, 110° C. A
6.28
Figure US09718803-20170801-C01572
Figure US09718803-20170801-C01573
K2CO3, DMSO, 110° C. A
6.29
Figure US09718803-20170801-C01574
Figure US09718803-20170801-C01575
K2CO3, DMSO, 110° C. A
6.30
Figure US09718803-20170801-C01576
Figure US09718803-20170801-C01577
K2CO3, DMSO, 110° C. C
6.31
Figure US09718803-20170801-C01578
Figure US09718803-20170801-C01579
K2CO3, DMSO, 110° C. A
6.32
Figure US09718803-20170801-C01580
Figure US09718803-20170801-C01581
K2CO3, DMSO, 110° C. A
6.33
Figure US09718803-20170801-C01582
Figure US09718803-20170801-C01583
K2CO3, DMSO, 110° C. A
6.34
Figure US09718803-20170801-C01584
Figure US09718803-20170801-C01585
K2CO3, DMSO, 110° C. A
6.35
Figure US09718803-20170801-C01586
Figure US09718803-20170801-C01587
K2CO3, DMSO, 110° C. A
6.36
Figure US09718803-20170801-C01588
Figure US09718803-20170801-C01589
K2CO3, DMSO, 110° C. A
6.37
Figure US09718803-20170801-C01590
Figure US09718803-20170801-C01591
K2CO3, DMSO, 110° C. A
6.38
Figure US09718803-20170801-C01592
Figure US09718803-20170801-C01593
K2CO3, DMSO, 110° C. A
6.39
Figure US09718803-20170801-C01594
Figure US09718803-20170801-C01595
K2CO3, DMSO, 110° C. A
6.40
Figure US09718803-20170801-C01596
Figure US09718803-20170801-C01597
TEA, DMSO, 110° C. B
6.41
Figure US09718803-20170801-C01598
Figure US09718803-20170801-C01599
TEA, DMSO, 110° C. B
6.42
Figure US09718803-20170801-C01600
Figure US09718803-20170801-C01601
TEA, DMSO, 110° C. B
6.43
Figure US09718803-20170801-C01602
Figure US09718803-20170801-C01603
TEA, DMSO, 110° C. B
6.44
Figure US09718803-20170801-C01604
Figure US09718803-20170801-C01605
TEA, DMSO, 110° C. B
6.45
Figure US09718803-20170801-C01606
Figure US09718803-20170801-C01607
TEA, DMSO, 110° C. B
6.46
Figure US09718803-20170801-C01608
Figure US09718803-20170801-C01609
TEA, DMSO, 110° C. B
6.47
Figure US09718803-20170801-C01610
Figure US09718803-20170801-C01611
1. HCl 2. Et3N, DMSO, 110° C. B
6.48
Figure US09718803-20170801-C01612
Figure US09718803-20170801-C01613
Cs2CO3, DMSO, 110° C. B
6.49
Figure US09718803-20170801-C01614
Figure US09718803-20170801-C01615
CsCO3, DMSO, 110° C. B
6.50
Figure US09718803-20170801-C01616
Figure US09718803-20170801-C01617
TEA, DMSO, 110° C. B
6.51
Figure US09718803-20170801-C01618
Figure US09718803-20170801-C01619
TEA, DMSO, 110° C. B
6.52
Figure US09718803-20170801-C01620
Figure US09718803-20170801-C01621
CsCO3, DMSO, 110° C. B
6.53
Figure US09718803-20170801-C01622
Figure US09718803-20170801-C01623
TEA, DMSO, 110° C. B
6.54
Figure US09718803-20170801-C01624
Figure US09718803-20170801-C01625
allylchloro[1,3- bis(2,6-di-i- propylphenyl)-4,5- dihydroimidazol-2- ylidene]palladium(II), Cs2CO3, Dioxane, 135° C., μW, 30 min E
6.55
Figure US09718803-20170801-C01626
Figure US09718803-20170801-C01627
TEA, DMSO, 110° C. B
6.56
Figure US09718803-20170801-C01628
Figure US09718803-20170801-C01629
TEA, DMSO, 110° C. B
6.57
Figure US09718803-20170801-C01630
Figure US09718803-20170801-C01631
TEA, DMSO, 110° C. B
6.58
Figure US09718803-20170801-C01632
Figure US09718803-20170801-C01633
TEA, DMSO, 110° C. B
6.59
Figure US09718803-20170801-C01634
Figure US09718803-20170801-C01635
TEA, DMSO, 110° C. B
6.60
Figure US09718803-20170801-C01636
Figure US09718803-20170801-C01637
K2CO3, DMSO, 110° C. C
*Purification Conditions:
Method A- reverse phase purification using the following conditions: (Instrumentation: MS-Waters SQ; UV-Waters 2487 or Waters PD; Solvents:
A:Water w/ 0.1% NH4OH B: Acetonitrile w/ 0.1% NH4OH; Column: Phenomenex Gemini-NX C18 110A 5 um 21 × 100; Flow Rate: 44 mL/min.
10 min Method, variable gradient over 8 mins).
Method B- purification by silica gel chromatography: (Biotage 50 g SNAP HP-silica column, eluting with a gradient of EtOAc in hexane).
Method C- reverse-phase HPLC (Gilson; Gemini-NX 10m C18 110A AXIA, 100 × 50 mm column) eluting with 0.1% TFA-H2O:0.1% TFA CH3CN
(9:1 → 1:9). The fractions containing the desired product were combined and concentrated in vacuo. The residue was dissolved in DCM and loaded
onto a Si-Carbonate cartridge (Silicycle) eluting with DCM.
Method D- Product precipitated out of solution.
Method E-purification by silica gel chromatography eluting with a gradient of MeOH in DCM.
TABLE 18C
1H NMR δ (PPM) DATA FOR EXAMPLES 6.1 TO 6.60
Ex. # Structure NMR
6.1 
Figure US09718803-20170801-C01638
(400 MHz, DMSO-d6) 2.09 (quin, J = 9.88 Hz, 1 H) 2.38 (td, J = 5.87, 2.35 Hz, 1 H) 3.44-3.56 (m, 1 H) 3.55-3.66 (m, 2 H) 3.76 (td, J = 9.78, 6.65 Hz, 1 H) 3.85 (dd, J = 9.78, 7.43 Hz, 1 H) 4.27-4.49 (m, 5 H) 6.78 (d, J = 9.00 Hz, 1 H) 7.16-7.25 (m, 1 H) 7.39 (dd, J = 7.82, 4.69 Hz, 1 H) 7.46-7.59 (m, 2 H) 7.70 (d, J = 7.82 Hz, 1 H) 7.77-7.85 (m, 1 H) 7.93-8.06 (m, 3 H) 8.48 (dd, J = 4.69, 1.56 Hz, 1 H) 8.60 (d, J = 2.35 Hz, 1 H)
6.2 
Figure US09718803-20170801-C01639
(400 MHz, DMSO-d6) 1.54-1.68 (m, 1 H) 1.76 (q, J = 6.91 Hz, 2 H) 2.02-2.24 (m, 2 H) 2.68 (t, J = 7.63 Hz, 2 H) 3.24 (t, J = 9.19 Hz, 1 H) 3.42-3.60 (m, 3 H) 4.34 (s, 4 H) 4.45 (s, 1 H) 6.78 (d, J = 9.00 Hz, 1 H) 7.13-7.34 (m, 6 H) 7.47-7.59 (m, 2 H) 7.71 (d, J = 8.22 Hz, 1 H) 7.91 (d, J = 2.74 Hz, 1 H) 7.97 (d, J = 2.74 Hz, 1 H) 8.03 (d, J = 9.00 Hz, 1 H)
6.3 
Figure US09718803-20170801-C01640
(400 MHz, DMSO-d6) 1.60-1.72 (m, 1 H) 1.99 (dd, J = 10.56 Hz, 1 H) 2.75 (dd, J = 7.24, 2.54 Hz, 2 H) 3.23-3.30 (m, 1 H) 3.45 (dd, J = 10.17, 7.04 Hz, 1 H) 3.50-3.59 (m, 2 H) 4.25-4.44 (m, 5 H) 6.77 (d, J = 8.61 Hz, 1 H), 7.15-7.25 (m, 2 H) 7.24-7.29 (m, 2 H) 7.29- 7.36 (m, 2 H) 7.47-7.60 (m, 2 H) 7.70 (d, J = 7.82 Hz, 1 H) 7.90 (d, J = 2.35 Hz, 1 H) 7.96 (d, J = 2.74 Hz, 1 H) 8.03 (d, J = 9.00 Hz, 1 H)
6.4 
Figure US09718803-20170801-C01641
(400 MHz, DMSO-d6) 2.02-2.18 (m, 1 H) 2.38 (qd, J = 6.00, 3.91 Hz, 1 H) 2.45-2.54 (m, 3 H) 3.45-3.58 (m, 1 H) 3.57-3.67 (m, 2 H) 3.76 (td, J = 9.78, 6.65 Hz, 1 H) 3.86 (dd, J = 9.78, 7.43 Hz, 1 H) 4.30-4.50 (m, 5 H) 6.78 (d, J = 9.00 Hz, 1 H) 7.16-7.25 (m, 1 H) 7.39 (dd, J = 7.82, 4.69 Hz, 1 H) 7.47-7.59 (m, 2 H) 7.70 (d, J = 7.82 Hz, 1 H) 7.82 (d, J = 7.82 Hz, 1 H) 7.95-8.06 (m, 3 H) 8.48 (dd, J = 4.69, 1.56 Hz, 1 H) 8.61 (d, J = 2.35 Hz, 1 H)
6.5 
Figure US09718803-20170801-C01642
(400 MHz, DMSO-d6) 1.43 (s, 8 H) 2.01-2.13 (m, 2 H) 2.47-2.54 (m, 3 H) 2.81 (s, 3 H) 3.46-3.60 (m, 4 H) 4.29-4.40 (m, 4 H) 4.40-4.49 (m, 1 H) 6.79 (d, J = 8.61 Hz, 1 H) 7.16-7.25 (m, 1 H) 7.47-7.60 (m, 2 H) 7.71 (d, J = 7.82 Hz, 1 H) 7.95-8.06 (m, 2 H)
6.6 
Figure US09718803-20170801-C01643
(400 MHz, DMSO-d6) 1.76 (quin, J = 10.07 Hz, 1 H) 2.07-2.17 (m, 1 H) 2.22 (s, 5 H) 2.64-2.77 (m, 1 H) 3.17 (br. s., 1 H) 3.41 (s, 1 H) 3.44-3.67 (m, 3 H) 4.35 (dt, J = 8.70, 4.45 Hz, 3 H) 4.41-4.51 (m, 1 H) 6.79 (d, J = 9.00 Hz, 1 H) 7.17-7.25 (m, 1 H) 7.47-7.60 (m, 2 H) 7.71 (d, J = 7.43 Hz, 1 H) 7.96 (dd, J = 18.78, 2.74 Hz, 2 H) 8.03 (d, J = 9.00 Hz, 1 H)
6.7 
Figure US09718803-20170801-C01644
(400 MHz, DMSO-d6) 0.30 (q, J = 4.30 Hz, 1 H) 0.66 (td, J = 7.63, 4.69 Hz, 1 H) 1.59-1.70 (m, 2 H) 3.46 (d, J = 10.17 Hz, 2 H) 3.73 (d, J = 10.17 Hz, 2 H) 4.23-4.35 (m, 3 H) 4.36-4.46 (m, 2 H) 6.78 (d, J = 9.00 Hz, 1 H) 7.17-7.26 (m, 1 H) 7.48-7.60 (m, 2 H) 7.71 (d, J = 7.43 Hz, 1 H) 7.97 (d, J = 2.35 Hz, 1 H) 8.00 (d, J = 2.35 Hz, 1H) 8.03 (d, J = 9.00 Hz, 1 H)
6.8 
Figure US09718803-20170801-C01645
(400 MHz, DMSO-d6) 2.21-2.37 (m, 2 H) 3.46-3.61 (m, 2 H) 3.63-3.72 (m, 1 H) 3.80 (dd, J = 11.74, 5.87 Hz, 1 H) 4.18-4.40 (m, 6 H) 6.77 (d, J = 9.00 Hz, 1 H) 7.18- 7.26 (m, 1 H) 7.48-7.56 (m, 1 H) 7.55-7.61 (m, 1 H) 7.67-7.75 (m, 3 H) 7.77-7.86 (m, 1 H) 7.93-7.99 (m, 2 H) 8.00-8.07 (m, 3 H)
6.9 
Figure US09718803-20170801-C01646
(400 MHz, DMSO-d6) 2.23-2.35 (m, 1 H) 2.38 (s, 3 H) 2.43-2.51 (m, 1 H) 3.61-3.74 (m, 2 H) 3.79-3.88 (m, 1 H) 3.88-3.99 (m, 2 H) 4.33-4.48 (m, 5 H) 6.81 (d, J = 9.00 Hz, 1 H) 7.24 (ddd, J = 7.92, 6.55, 1.56 Hz, 1 H) 7.52-7.63 (m, 2 H) 7.74 (d, J = 7.43 Hz, 1 H) 8.02- 8.04 (m, 1 H) 8.04-8.08 (m, 2 H)
6.10
Figure US09718803-20170801-C01647
(400 MHz, DMSO-d6) 1.88 (d, J = 3.52 Hz, 1 H) 1.92- 2.04 (m, 1 H) 3.25 (d, J = 10.95 Hz, 1 H) 3.40-3.50 (m, 1 H) 3.64-3.76 (m, 2 H) 4.29-4.42 (m, 5 H) 4.42-4.51 (m, 1 H) 4.97 (d, J = 3.13 Hz, 1 H) 6.79 (d, J = 9.00 Hz, 1 H) 7.21 (t, J = 7.43 Hz, 1 H) 7.48-7.60 (m, 2 H) 7.71 (d, J = 7.43 Hz, 1 H) 7.91 (d, J = 2.74 Hz, 1 H) 7.97 (d, J = 2.35 Hz, 1 H) 8.03 (d, J = 9.00 Hz, 1 H)
6.11
Figure US09718803-20170801-C01648
(400 MHz, DMSO-d6) 1.97-2.13 (m, 1 H) 2.38 (dq, J = 8.95, 6.15 Hz, 1 H) 3.44-3.56 (m, 1 H) 3.56-3.68 (m, 1 H) 3.74 (td, J = 9.59, 7.04 Hz, 1 H) 3.85 (dd, J = 9.98, 7.24 Hz, 1 H) 4.29-4.49 (m, 1 H) 6.78 (d, J = 9.00 Hz, 1 H) 7.16-7.25 (m, 1 H) 7.36-7.44 (m, 1 H) 7.46-7.60 (m, 1 H) 7.70 (d, J = 7.40 Hz, 1 H) 7.97 (d, J = 2.74 Hz, 1 H) 7.99-8.06 (m, 1 H) 8.49-8.56 (m, 1 H)
6.12
Figure US09718803-20170801-C01649
(400 MHz, DMSO-d6) 1.91 (dt, J = 6.16, 3.37 Hz, 1 H) 3.43-3.53 (m, 1 H) 4.31-4.44 (m, 1 H) 6.78 (d, J = 9.00 Hz, 1 H) 7.17-7.24 (m, 1 H) 7.48-7.59 (m, 1 H) 7.70 (d, J = 7.82 Hz, 1 H) 7.91 (d, J = 2.35 Hz, 1 H) 7.97 (d, J = 2.35 Hz, 1 H) 8.03 (d, J = 9.00 Hz, 1 H)
6.13
Figure US09718803-20170801-C01650
(400 MHz, DMSO-d6) 1.41 (s, 9 H) 2.95 (br. s., 2 H) 3.17 (d, J = 5.09 Hz, 1 H) 3.40 (d, J = 3.91 Hz, 2 H) 3.52 (br. s., 2 H) 3.68 (dd, J = 10.37, 7.24 Hz, 2 H) 4.10 (q, J = 5.09 Hz, 1 H) 4.30-4.46 (m, 5 H) 6.77 (d, J = 9.00 Hz, 1 H) 7.16-7.26 (m, 1 H) 7.46-7.59 (m, 2 H) 7.70 (d, J = 7.82 Hz, 1 H) 7.93-8.06 (m, 3 H)
6.14
Figure US09718803-20170801-C01651
(400 MHz, DMSO-d6) 1.41 (s, 8 H) 2.95 (br. s., 2 H) 3.17 (d, J = 5.09 Hz, 1 H) 3.23 (d, J = 10.17 Hz, 2 H) 3.40 (d, J = 3.91 Hz, 1 H) 3.52 (br. s., 2 H) 3.68 (dd, J = 10.56, 7.43 Hz, 2 H) 4.10 (q, J = 4.96 Hz, 1 H) 4.31-4.47 (m, 5 H) 6.77 (d, J = 9.00 Hz, 1 H) 7.17-7.25 (m, 1 H) 7.47- 7.59 (m, 2 H) 7.71 (d, J = 7.43 Hz, 1 H) 7.95-8.06 (m, 3 H)
6.15
Figure US09718803-20170801-C01652
(400 MHz, DMSO-d6) 1.36 (d, J = 19.56 Hz, 9 H) 1.86-1.97 (m, 2 H) 3.42 (dd, J = 11.35, 5.67 Hz, 4 H) 3.53 (br. s., 4 H) 4.20-4.35 (m, 3 H) 4.42-4.50 (m, 2 H) 6.81 (d, J = 8.80 Hz, 1 H) 7.19-7.27 (m, 1 H) 7.55 (dd, J = 6.65, 1.37 Hz, 1 H) 7.58 (s, 1 H) 7.73 (d, J = 7.43 Hz, 1 H) 8.02-8.12 (m, 3 H)
6.16
Figure US09718803-20170801-C01653
(400 MHz, DMSO-d6) 1.69 (dq, J = 12.18, 7.81 Hz, 1 H) 1.99 (dq, J = 12.10, 6.01 Hz, 1 H) 2.29-2.42 (m, 1 H) 3.32-3.37 (m, 1 H) 3.38-3.56 (m, 5 H) 4.29- 4.38 (m, 4 H) 4.39-4.47 (m, 1 H) 4.70 (t, J = 5.38 Hz, 1 H) 6.78 (d, J = 8.80 Hz, 1 H) 7.16-7.25 (m, 1 H) 7.47-7.54 (m, 1 H) 7.54-7.59 (m, 1 H) 7.70 (d, J = 7.63 Hz, 1 H) 7.91 (d, J = 2.54 Hz, 1 H) 7.97 (d, J = 2.54 Hz, 1 H) 8.03 (d, J = 8.80 Hz, 1 H)
6.17
Figure US09718803-20170801-C01654
(400 MHz, DMSO-d6) 2.34-2.45 (m, 1 H) 2.95 (s, 3 H) 3.51-3.61 (m, 1 H) 3.63-3.73 (m, 1 H) 3.80- 3.92 (m, 2 H) 4.29-4.40 (m, 1 H) 4.40-4.53 (m, 3 H) 6.74 (d, J = 9.00 Hz, 1 H) 7.21-7.29 (m, 1 H) 7.52-7.59 (m, 1 H) 7.60-7.65 (m, 1 H) 7.66-7.72 (m, 1 H) 7.96-8.05 (m, 2 H)
6.18
Figure US09718803-20170801-C01655
(400 MHz, ACETONITRILE-d3) 1.66-1.79 (m, 1 H) 1.96-2.09 (m, 1 H) 2.43 (dt, J = 14.23, 7.07 Hz, 1 H) 3.35 (dd, J = 10.17, 7.04 Hz, 1 H) 3.48-3.61 (m, 3 H) 4.31-4.55 (m, 3 H) 6.74 (d, J = 9.00 Hz, 1 H) 7.21-7.30 (m, 1 H) 7.52-7.59 (m, 1 H) 7.60- 7.66 (m, 1 H) 7.66-7.73 (m, 1 H) 7.89 (d, J = 2.54 Hz, 1 H) 7.93 (d, J = 2.54 Hz, 1 H) 7.99 (d, J = 9.00 Hz, 1 H)
6.19
Figure US09718803-20170801-C01656
(400 MHz, DMSO-d6) 1.41 (s, 9 H) 1.86 (dq, J = 12.47, 6.41 Hz, 1 H) 2.09 (dq, J = 12.62, 6.49 Hz, 1 H) 3.17 (d, J = 5.09 Hz, 1 H) 3.45-3.55 (m, 1 H) 3.55-3.62 (m, 1 H) 3.62-3.71 (m, 1 H) 4.03-4.14 (m, 1 H) 4.28-4.45 (m, 5 H) 6.78 (d, J = 9.00 Hz, 1 H) 7.14-7.25 (m, 2 H) 7.48-7.60 (m, 2 H) 7.71 (d, J = 7.43 Hz, 1 H) 7.91-8.00 (m, 2 H) 8.04 (d, J = 9.00 Hz, 1 H)
6.20
Figure US09718803-20170801-C01657
(400 MHz, DMSO-d6) 1.99-2.30 (m, 2 H) 3.48- 3.64 (m, 2 H) 3.71-3.96 (m, 2 H) 4.30-4.42 (m, 4 H) 4.45-4.55 (m, 1 H) 5.32-5.52 (m, 1 H) 6.78 (d, J = 9.00 Hz, 1 H) 7.17-7.25 (m, 1 H) 7.48-7.60 (m, 2 H) 7.70 (d, J = 7.43 Hz, 1 H) 7.95-8.06 (m, 3 H)
6.21
Figure US09718803-20170801-C01658
(400 MHz, ACETONITRILE-d3) (tt, J = 14.08, 7.24 Hz, 2 H) 3.75 (t, J = 7.24 Hz, 2 H) 3.89 (t, J = 13.20 Hz, 2 H) 4.27-4.38 (m, 1 H) 4.40- 4.54 (m, 4 H) 6.77 (d, J = 8.80 Hz, 1 H) 7.22-7.30 (m, 1 H) 7.53-7.60 (m, 1 H) 7.60-7.65 (m, 1 H) 7.67-7.74 (m, 1 H) 8.00 (d, J = 8.80 Hz, 1 H) 8.07 (dd, J = 16.63, 2.54 Hz, 2 H)
6.22
Figure US09718803-20170801-C01659
(400 MHz, DMSO-d6) 0.96 (d, J = 6.65 Hz, 6 H) 1.79- 1.91 (m, 2 H) 2.45-2.54 (m, 1 H) 2.58-2.65 (m, 2 H) 2.70-2.77 (m, 2 H) 2.86 (quin, J = 6.55 Hz, 1 H) 3.42- 3.50 (m, 4 H) 4.16-4.33 (m, 3 H) 4.37-4.47 (m, 2 H) 6.78 (d, J = 8.61 Hz, 1 H) 7.16-7.26 (m, 1 H) 7.46-7.60 (m, 2 H) 7.70 (d, J = 7.43 Hz, 1 H) 7.98-8.06 (m, 3 H)
6.23
Figure US09718803-20170801-C01660
(400 MHz, DMSO-d6) 1.67 (d, J = 9.78 Hz, 1 H) 1.83 (d, J = 7.82 Hz, 1 H) 2.11 (br. s., 1 H) 3.31 (d, J = 4.69 Hz, 1 H) 4.26-4.33 (m, 1 H) 4.32-4.42 (m, 1 H) 4.43-4.51 (m, 1 H) 6.79 (d, J = 9.00 Hz, 1 H) 7.17-7.25 (m, 1 H) 7.48-7.60 (m, 1 H) 7.71 (d, J = 7.43 Hz, 1 H) 8.04 (d, J = 9.00 Hz, 1 H) 8.11 (d, J = 2.35 Hz, 1 H) 8.15 (d, J = 2.35 Hz, 1 H)
6.24
Figure US09718803-20170801-C01661
(400 MHz, DMSO-d6) 1.53-1.62 (m, 4 H) 1.79 (br. s., 4 H) 3.42-3.48 (m, 5 H) 4.20-4.31 (m, 1 H) 4.39 (t, J = 7.04 Hz, 2 H) 4.46-4.55 (m, 2 H) 6.85 (d, J = 9.00 Hz, 1 H) 7.28 (t, J = 6.85 Hz, 1 H) 7.54-7.65 (m, 2 H) 7.76 (d, J = 7.82 Hz, 1 H) 8.03 (q, J = 2.35 Hz, 2 H) 8.12 (d, J = 9.00 Hz, 1 H)
6.25
Figure US09718803-20170801-C01662
(400 MHz, DMSO-d6) 1.89-2.01 (m, 1 H) 2.35 (s, 1 H) 2.60-2.69 (m, 1 H) 2.80 (d, J = 3.52 Hz, 1 H) 3.48 (br. s., 2 H) 3.50-3.56 (m, 1 H) 4.18-4.34 (m, 1 H) 4.37-4.47 (m, 1 H) 6.78 (d, J = 8.61 Hz, 1 H) 7.17-7.26 (m, 1 H) 7.47-7.60 (m, 1 H) 7.71 (d, J = 7.43 Hz, 1 H) 7.99-8.07 (m, 1 H)
6.26
Figure US09718803-20170801-C01663
(400 MHz, DMSO-d6) 1.66 (d, J = 9.78 Hz, 1 H) 1.83 (d, J = 7.43 Hz, 1 H) 2.11 (br. s., 1 H) 3.31 (d, J = 4.30 Hz, 1 H) 4.26-4.33 (m, 1 H) 4.33-4.42 (m, 1 H) 4.43-4.52 (m, 1 H) 6.79 (d, J = 9.00 Hz, 1 H) 7.18-7.26 (m, 1 H) 7.48-7.61 (m, 1 H) 7.71 (d, J = 7.82 Hz, 1 H) 8.04 (d, J = 9.00 Hz, 1 H) 8.11 (d, J = 2.35 Hz, 1 H) 8.15 (d, J = 2.35 Hz, 1 H)
6.27
Figure US09718803-20170801-C01664
(400 MHz, DMSO-d6) 1.77-1.88 (m, 1 H) 1.96 (s, 2 H) 3.12-3.30 (m, 5 H) 3.40-3.61 (m, 6 H) 3.66 (br. s., 1 H) 4.18-4.36 (m, 2 H) 4.41-4.52 (m, 1 H) 6.76-6.84 (m, 1 H) 7.23 (t, J = 7.43 Hz, 1 H) 7.48-7.62 (m, 1 H) 7.72 (d, J = 7.82 Hz, 1 H) 8.01- 8.14 (m, 2 H)
6.28
Figure US09718803-20170801-C01665
(400 MHz, DMSO-d6) 2.05 (quin, J = 9.98 Hz, 1 H) 2.34 (qd, J = 5.93, 4.11 Hz, 1 H) 3.40-3.52 (m, 1 H) 3.53- 3.65 (m, 2 H) 3.68-3.86 (m, 2 H) 4.29-4.49 (m, 5 H) 6.77 (d, J = 8.61 Hz, 1 H) 7.16-7.29 (m, 2 H) 7.30-7.41 (m, 4 H) 7.47-7.59 (m, 2 H) 7.70 (d, J = 7.43 Hz, 1 H) 7.91-8.06 (m, 3 H)
6.29
Figure US09718803-20170801-C01666
(400 MHz, DMSO-d6) 3.22 (d, J = 11.35 Hz, 2 H) 3.85 (dd, J = 11.15, 3.72 Hz, 2 H) 4.02 (br. s., 2 H) 4.26- 4.42 (m, 4 H) 4.50 (t, J = 6.06 Hz, 1 H) 1H NMR (400 MHz, DMSO-d6) δ 5.15 (d, J = 2.35 Hz, 2 H) 6.78 (d, J = 9.00 Hz, 1 H) 7.16-7.25 (m, 1 H) 7.48-7.55 (m, 1 H) 7.55-7.60 (m, 1 H) 7.71 (d, J = 7.82 Hz, 1 H) 7.90 (d, J = 2.35 Hz, 1 H) 7.96 (d, J = 2.74 Hz, 1 H) 8.03 (d, J = 9.00 Hz, 1 H)
6.30
Figure US09718803-20170801-C01667
(400 MHz, DMSO-d6) 3.74 (s, 3 H) 4.18-4.27 (m, 1 H) 4.28-4.36 (m, 2 H) 4.47-4.57 (m, 3 H) 6.82 (d, J = 8.80 Hz, 1 H) 6.89 (d, J = 8.61 Hz, 2 H) 7.06 (t, J = 5.97 Hz, 1 H) 7.19-7.31 (m, 3 H) 7.50-7.57 (m, 1 H) 7.57-7.62 (m, 1 H) 7.69-7.76 (m, 2 H) 7.88 (d, J = 2.74 Hz, 1 H) 8.05 (d, J = 8.80 Hz, 1 H)
6.31
Figure US09718803-20170801-C01668
(400 MHz, DMSO-d6) 1.81-1.88 (m, 1 H) 1.88-1.94 (m, 1 H) 3.21 (d, J = 9.39 Hz, 1 H) 3.73 (dd, J = 9.19, 1.37 Hz, 1 H) 3.80 (dd, J = 7.63, 1.37 Hz, 1 H) 3.86- 1H NMR (400 MHz, DMSO-d6) δ 3.92 (m, 1 H) 4.17- 4.27 (m, 1 H) 4.28-4.39 (m, 3 H) 4.43-4.51 (m, 1 H) 4.63 (s, 1 H) 4.69 (s, 1 H) 6.78 (d, J = 9.00 Hz, 1 H) 7.17- 7.25 (m, 1 H) 7.48-7.60 (m, 2 H) 7.70 (d, J = 7.43 Hz, 1 H) 7.98-8.06 (m, 3 H)
6.32
Figure US09718803-20170801-C01669
(400 MHz, DMSO-d6) 1.92-2.11 (m, 3 H) 3.40 (dd, J = 8.61, 3.52 Hz, 2 H) 3.94-4.04 (m, 1 H) 4.36- 4.48 (m, 4 H) 4.50-4.58 (m, 1 H) 5.68 (t, J = 7.04 Hz, 1 H) 6.80 (d, J = 9.00 Hz, 1 H) 7.17-7.25 (m, 1 H) 7.48 (d, J = 3.13 Hz, 1 H) 7.50-7.56 (m, 1 H) 7.56-7.61 (m, 1 H) 7.68 (d, J = 3.13 Hz, 1 H) 7.71 (d, J = 7.04 Hz, 1 H) 7.98 (d, J = 2.74 Hz, 1 H) 8.02- 8.08 (m, 2 H)
6.33
Figure US09718803-20170801-C01670
(400 MHz, DMSO-d6) 1.66-1.81 (m, 1 H) 1.88 (d, J = 7.43 Hz, 1 H) 1.94 (ddd, J = 13.89, 7.04, 3.33 Hz, 1 H) 2.00-2.10 (m, 1 H) 3.21 (t, J = 7.24 Hz, 1 H) 3.47-3.56 (m, 1 H) 3.56-3.76 (m, 1 H) 4.25-4.37 (m, 5 H) 4.47-4.56 (m, 1 H) 4.62 (t, J = 5.67 Hz, 1 H) 6.77 (d, J = 9.00 Hz, 1 H) 7.16-7.24 (m, 1 H) 7.52 (dd, J = 6.85, 1.37 Hz, 1 H) 7.54-7.59 (m, 1 H) 7.70 (d, J = 7.43 Hz, 1 H) 7.94-7.97 (m, 1 H) 7.97- 8.00 (m, 1 H) 8.02 (d, J = 9.00 Hz, 1 H)
6.34
Figure US09718803-20170801-C01671
(400 MHz, DMSO-d6) 2.17-2.38 (m, 2 H) 3.33- 3.40 (m, 1 H) 3.47-3.63 (m, 2 H) 3.95 (t, J = 13.11 Hz, 1 H) 4.26-4.41 (m, 3 H) 4.45-4.57 (m, 2 H) 4.77 (t, J = 5.48 Hz, 1 H) 5.27-5.48 (m, 1 H) 6.78 (d, J = 9.00 Hz, 1 H) 7.22 (t, J = 7.24 Hz, 1 H) 7.53 (d, J = 6.65 Hz, 1 H) 7.55-7.61 (m, 1 H) 7.71 (d, J = 7.82 Hz, 1 H) 8.00-8.09 (m, 2 H)
6.35
Figure US09718803-20170801-C01672
(400 MHz, DMSO-d6) ppm 1.67-1.86 (m, 2 H) 1.90-2.00 (m, 1 H) 2.05-2.15 (m, 1 H) 3.15-3.26 (m, 4 H) 3.47 (dd, J = 9.39, 3.91 Hz, 1 H) 3.65-3.75 (m, 1 H) 4.22-4.36 (m, 4 H) 4.44 (dd, J = 6.85, 4.11 Hz, 1 H) 4.47-4.56 (m, 1 H) 6.76 (d, J = 9.00 Hz, 1 H) 7.17-7.24 (m, 1 H) 7.47-7.54 (m, 1 H) 7.55 (s, 1 H) 7.70 (d, J = 7.82 Hz, 1 H) 7.96-8.06 (m, 2 H)
6.36
Figure US09718803-20170801-C01673
(400 MHz, DMSO-d6) 1.45-1.62 (m, 1 H) 1.68-1.84 (m, 1 H) 2.72 (br. s., 1 H) 3.15 (dd, J = 10.17, 3.52 Hz, 1 H) 3.41 (br. s., 1 H) 3.55 (dd, J = 10.76, 7.63 Hz, 1 H) 4.33 (d, J = 2.35 Hz, 2 H) 4.44 (s, 1 H) 6.79 (d, J = 9.00 Hz, 1 H) 7.21 (t, J = 7.04 Hz, 1 H) 7.48-7.59 (m, 1 H) 7.71 (d, J = 7.82 Hz, 1 H) 7.97-8.06 (m, 2 H)
6.37
Figure US09718803-20170801-C01674
(400 MHz, DMSO-d6) 0.92 (dd, J = 6.46, 2.93 Hz, 4 H) 1.33 (t, J = 6.94 Hz, 1 H) 1.52 (quin, J = 9.93 Hz, 1 H) 1.58-1.70 (m, 1 H) 2.01-2.12 (m, 1 H) 2.19- 2.31 (m, 1 H) 3.13-3.22 (m, 1 H) 3.40-3.49 (m, 1 H) 3.49-3.64 (m, 1 H) 4.29-4.39 (m, 3 H) 4.45 (s, 1 H) 6.78 (d, J = 8.80 Hz, 1 H) 7.21 (t, J = 6.75 Hz, 1 H) 7.57-7.60 (m, 1 H) 7.70 (d, J = 7.82 Hz, 1 H) 7.91 (d, J = 2.35 Hz, 1 H) 7.96 (d, J = 2.35 Hz, 1 H) 8.03 (d, J = 8.80 Hz, 1 H)
6.38
Figure US09718803-20170801-C01675
(400 MHz, DMSO-d6) 1.11 (s, 5 H) 1.73 (t, J = 7.04 Hz, 2 H) 3.24 (s, 2 H) 3.59 (t, J = 6.85 Hz, 2 H) 4.30-4.45 (m, 5 H) 6.78 (d, J = 9.00 Hz, 1 H) 7.17-7.25 (m, 1 H) 7.47-7.60 (m, 2 H) 7.70 (d, J = 7.82 Hz, 1 H) 7.90 (d, J = 2.74 Hz, 1 H) 7.96 (d, J = 2.35 Hz, 1 H) 8.03 (d, J = 8.61 Hz, 1 H)
6.39
Figure US09718803-20170801-C01676
(400 MHz, DMSO-d6) 1.62-1.74 (m, 1 H) 2.02 (dd, J = 11.74, 5.09 Hz, 1 H) 3.25-3.32 (m, 4 H) 3.37-3.43 (m, 2 H) 3.46-3.59 (m, 3 H) 4.30-4.46 (m, 5 H) 6.78 (d, J = 9.00 Hz, 1 H) 7.16-7.24 (m, 1 H) 7.48-7.60 (m, 2 H) 7.70 (d, J = 7.82 Hz, 1 H) 7.92 (d, J = 2.35 Hz, 1 H) 7.97 (d, J = 2.74 Hz, 1 H) 8.03 (d, J = 9.00 Hz, 1 H)
6.40
Figure US09718803-20170801-C01677
(300 MHz, MeOH) 8.22 (1 H, d, J = 2.6 Hz), 8.15 (1 H, d, J = 2.5 Hz), 8.01 (1 H, d, J = 8.9 Hz), 7.64-7.74 (2 H, m), 7.55 (1 H, td, J = 7.7, 1.4 Hz), 7.18-7.30 (1 H, m), 6.77 (1 H, d, J = 8.9 Hz), 4.54-4.67 (2 H, m), 4.38-4.49 (3 H, m), 3.57 (2 H, d, J = 12.9 Hz), 2.76-3.03 (2 H, m), 2.42 (1 H, m), 1.96-2.13 (2 H, m), 1.66-1.96 (2 H, m).
6.41
Figure US09718803-20170801-C01678
(300 MHz, MeOH) 8.22 (1 H, d, J = 2.6 Hz), 8.15 (1 H, d, J = 2.5 Hz), 8.01 (1 H, d, J = 8.9 Hz), 7.64-7.74 (2 H, m), 7.55 (1 H, td, J = 7.7, 1.4 Hz), 7.18-7.30 (1 H, m), 6.77 (1 H, d, J = 8.9 Hz), 4.54-4.67 (2 H, m), 4.38-4.49 (3 H, m), 3.31-3-36 (2 H, m), 3.00- 3.16 (3 H, m), 1.99-2.22 (4H, m)
6.42
Figure US09718803-20170801-C01679
(300 MHz, MeOH) 8.22 (1 H, d, J = 2.6 Hz), 8.15 (1 H, d, J = 2.5 Hz), 8.01 (1 H, d, J = 8.9 Hz), 7.64-7.74 (2 H, m), 7.55 (1 H, td, J = 7.7, 1.4 Hz), 7.18-7.30 (1 H, m), 6.77 (1 H, d, J = 8.9 Hz), 4.54-4.67 (2 H, m), 4.38-4.49 (3 H, m), 3.31-3.36 (4 H, m), 2.13- 2.27 (4H, m)
6.43
Figure US09718803-20170801-C01680
(300 MHz, MeOH) 8.22 (1 H, d, J = 2.6 Hz), 8.15 (1 H, d, J = 2.5 Hz), 8.01 (1 H, d, J = 8.9 Hz), 7.64-7.74 (2 H, m), 7.55 (1 H, td, J = 7.7, 1.4 Hz), 7.18-7.30 (1 H, m), 6.77 (1 H, d, J = 8.9 Hz), 4.54-4.67 (2 H, m), 4.38-4.49 (3 H, m), 3.83-3.99 (4 H, m), 3.06- 3.27 (4H, m)
6.44
Figure US09718803-20170801-C01681
(300 MHz, MeOH) 8.20 (1 H, d, J = 2.5 Hz), 8.14 (1 H, d, J = 2.6 Hz), 8.01 (1 H, d, J = 8.9 Hz), 7.64-7.74 (2 H, m), 7.49-7.60 (1 H, m), 7.20-7.30 (1 H, m), 6.77 (1 H, d, J = 8.9 Hz), 4.94 (1 H, dt, J = 6.6, 3.3 Hz), 4.78 (1 H, dt, J = 6.7, 3.3 Hz), 4.54-4.67 (2 H, m), 4.35-4.52 (3 H, m), 3.24-3.45 (1 H, m), 3.05- 3.22 (2 H, m), 1.90-2.25 (4 H, m)
6.45
Figure US09718803-20170801-C01682
(300 MHz, MeOH) 7.93-8.04 (3 H, m), 7.64-7.73 (2 H, m), 7.55 (1 H, ddd, J = 8.4, 7.0, 1.4 Hz), 7.19- 7.30 (1 H, m), 6.76 (1 H, d, J = 8.9 Hz), 4.45-4.57 (4 H, m), 4.30-4.44 (3 H, m), 4.10-4.26 (1 H, m), 3.93-4.08 (2 H, m), 3.38 (3 H, s)
6.46
Figure US09718803-20170801-C01683
(300 MHz, MeOH) 8.09 (2 H, q, J = 2.6 Hz), 8.01 (1 H, d, J = 8.9 Hz), 7.64-7.73 (2 H, m), 7.55 (1 H, ddd, J = 8.5, 6.9, 1.4 Hz), 7.25 (1 H, td, J = 7.5, 1.0 Hz), 6.77 (1 H, d, J = 9.1 Hz), 4.45-4.61 (8 H, m), 4.10-4.27 (1 H, m)
6.47
Figure US09718803-20170801-C01684
(300 MHz, MeOH) 8.17 (1 H, d, J = 2.5 Hz), 8.12 (1 H, d, J = 2.6 Hz), 8.01 (1 H, d, J = 8.9 Hz), 7.69 (2 H, dd, J = 8.0, 5.2 Hz), 7.55 (1 H, td, J = 7.7, 1.5 Hz), 7.20-7.30 (1 H, m), 6.77 (1 H, d, J = 8.9 Hz), 4.51- 4.65 (2 H, m), 4.36-4.49 (3 H, m), 3.09-3.38 (4 H, m), 1.69-1.93 (4 H, m), 1.32 (3 H, s)
6.48
Figure US09718803-20170801-C01685
(300 MHz, MeOH) 9.08-9.13 (1 H, m), 8.77 (1 H, d, J = 2.5 Hz), 8.50 (1 H, d, J = 2.3 Hz), 8.28 (1 H, s), 8.01 (1 H, d, J = 9.1 Hz), 7.63-7.72 (2 H, m), 7.50- 7.59 (1 H, m), 7.24 (1 H, td, J = 7.5, 1.0 Hz), 6.75 (1 H, d, J = 8.9 Hz), 4.74 (1 H, quin, J = 7.2 Hz), 4.46- 4.60 (4 H, m)
6.49
Figure US09718803-20170801-C01686
(300 MHz, MeOH) 8.60 (1 H, d, J = 2.5 Hz), 8.40 (1 H, d, J = 2.5 Hz), 8.24 (1 H, s), 7.99 (1 H, d, J = 8.9 Hz), 7.62-7.74 (3 H, m), 7.54 (1 H, ddd, J = 8.5, 7.0, 1.5 Hz), 7.23 (1 H, td, J = 7.5, 1.0 Hz), 6.73 (1 H, d, J = 9.1 Hz), 4.74-4.84 (1 H, m), 4.38-4.59 (4 H, m), 2.22 (3 H, s)
6.50
Figure US09718803-20170801-C01687
(300 MHz, DMSO-d6) 8.03 (2 H, dd, J = 5.7, 3.1 Hz), 7.96 (1 H, d, J = 2.6 Hz), 7.71 (1 H, d, J = 7.6 Hz), 7.46-7.62 (3 H, m), 7.21 (1 H, ddd, J = 8.0, 6.5, 1.6 Hz), 6.78 (1 H, d, J = 8.8 Hz), 4.25-4.52 (7 H, m), 3.97-4.18 (1 H, m), 3.92 (2 H, dd, J = 8.1, 5.6 Hz), 1.40 (9 H, s)
6.51
Figure US09718803-20170801-C01688
(300 MHz, DMSO-d6) 8.25 (1 H, d, J = 2.5 Hz), 8.20 (1 H, d, J = 2.5 Hz), 8.04 (1 H, d, J = 8.9 Hz), 7.71 (1 H, d, J = 8.2 Hz), 7.48-7.63 (2 H, m), 7.14- 7.28 (1 H, m), 6.80 (1 H, d, J = 8.9 Hz), 4.44-4.56 (2 H, m), 4.23-4.44 (3 H, m), 3.78-3.89 (2 H, m), 2.99-3.12 (2 H, m), 2.89 (2 H, s), 1.30 (6 H, s)
6.52
Figure US09718803-20170801-C01689
(300 MHz, DMSO-d6) 8.76 (1 H, d, J = 2.5 Hz), 8.56 (1 H, d, J = 2.5 Hz), 7.96-8.07 (2 H, m), 7.71 (1 H, d, J = 7.6 Hz), 7.46-7.60 (2 H, m), 7.35 (1 H, s), 7.22 (1 H, ddd, J = 7.9, 6.5, 1.5 Hz), 6.76 (1 H, d, J = 8.9 Hz), 4.35-4.51 (2 H, m), 4.24-4.31 (3 H, m), 2.20 (3 H, s).
6.53
Figure US09718803-20170801-C01690
(400 MHz, MeOH) 9.03 (1 H, s), 8.12 (1 H, d, J = 2.5 Hz), 8.05 (1 H, d, J = 2.5 Hz), 7.73 (1 H, d, J = 7.6 Hz), 7.60-7.69 (1 H, m), 7.51 (1 H, d, J = 8.6 Hz), 7.21 (1 H, t, J = 7.5 Hz), 4.50-4.58 (2 H, m), 4.24-4.42 (3 H, m), 3.22-3.32 (2 H, m), 2.86- 3.06 (3 H, m), 2.00-2.12 (2 H, m), 1.87-2.00 (2 H, m)
6.54
Figure US09718803-20170801-C01691
(400 MHz, MeOH) 8.52 (1 H, d, J = 2.3 Hz), 8.32 (2 H, s), 7.88 (1H, d, J = 8.8 Hz), 7.75 (1 H, s), 7.56 (2 H, dd, J = 7.8, 4.1 Hz), 7.43 (1 H, t, J = 7.7 Hz), 7.12 (1 H, t, J = 7.5 Hz), 6.63 (1 H, d, J = 9.0 Hz), 4.65-4.73 (1 H, m), 4.54 (2 H, s), 4.33-4.46 (4 H, m)
6.55
Figure US09718803-20170801-C01692
(300 MHz, DMSO-d6) 8.78 (2 H, d, J = 2.5 Hz), 8.57 (2 H, d, J = 2.3 Hz), 8.03 (3 H, dd, J = 5.1, 3.8 Hz), 7.71 (2 H, d, J = 7.6 Hz), 7.43-7.62 (5 H, m), 7.22 (2 H, ddd, J = 7.9, 6.6, 1.5 Hz), 6.76 (2 H, d, J = 8.9 Hz), 5.06 (2 H, t, J = 5.6 Hz), 4.48 (2H, m), 4.28- 4.31 (3H, m), 4.26 (2 H, d, J = 5.6 Hz).
6.56
Figure US09718803-20170801-C01693
(400 MHz, MeOH) 8.17 (1 H, d, J = 2.5 Hz), 8.07 (1 H, d, J = 2.5 Hz), 7.90 (1 H, d, J = 8.8 Hz), 7.57 (2 H, dd, J = 8.0, 3.7 Hz), 7.40-7.48 (1 H, m), 7.13 (1 H, t, J = 7.1 Hz), 6.66 (1 H, d, J = 8.8 Hz), 4.41-4.56 (2 H, m), 4.28-4.41 (3 H, m), 3.81 (2 H, s), 3.41 (4 H, s), 2.92 (3 H, s)
6.57
Figure US09718803-20170801-C01694
(400 MHz, MeOH) 8.11 (1 H, d, J = 2.5 Hz), 8.05 (1 H, d, J = 2.5 Hz), 7.91 (1 H, d, J = 9.0 Hz), 7.58 (2 H, dd, J = 7.7, 4.4 Hz), 7.40-7.47 (1 H, m), 7.14 (1 H, t, J = 7.5 Hz), 6.99 (3 H, s), 6.6 (1 H, d, J = 9.0 Hz), 4.43-4.57 (2 H, m), 4.27-4.43 (3 H, m), 3.58 (1 H, d, J = 11.0 Hz), 3.35 (1 H, d, J = 12.7 Hz), 3.05- 3.15 (1 H, m), 2.77-2.96 (2 H, m), 2.02-2.31 (7 H, m), 1.70-1.94 (3 H, m)
6.58
Figure US09718803-20170801-C01695
(400 MHz, MeOH) 8.21 (1 H, d, J = 2.5 Hz), 8.13 (1 H, d, J = 2.5 Hz), 8.02 (1 H, d, J = 8.8 Hz), 7.69 (2 H, dd, J = 7.6, 4.9 Hz), 7.56 (1 H, t, J = 7.6 Hz), 7.25 (1 H, t, J = 7.4 Hz), 6.77 (1 H, d, J = 8.8 Hz), 4.56-4.73 (2 H, m), 4.36-4.52 (3 H, m), 3.69-3.83 (1 H, m), 3.39 (1H, m), 2.97 (1H, t, J = 8.9 Hz), 2.76 (1 H, dd, J = 12.1, 8.6 Hz), 1.91-2.02 (2 H, m), 1.82 (1 H, m), 1.40-1.59 (10 H, m), 1.29-1.40 (1 H, m)
6.59
Figure US09718803-20170801-C01696
(300 MHz, MeOH) 8.56 (1 H, d, J = 2.5 Hz), 8.44 (1 H, d, J = 2.5 Hz), 7.69 (2 H, dd, J = 7.7, 5.6 Hz), 7.56 (1 H, t, J = 7.7 Hz), 7.25 (1 H, t, J = 7.5 Hz), 6.78 (1 H, d, J = 8.8 Hz), 4.54-4.72 (2 H, m), 4.34-4.54 (3 H, m), 3.64 (2 H, s), 3.09-3.28 (4 H, m), 1.68- 1.86 (4 H, m), 1.31 (1 H, m), 0.84-1.01 (1 H, m), 0.77 (1 H, t, J = 6.8 Hz), 0.38-0.59 (2 H, m), 0.07- 0.19 (2 H, m)
6.60
Figure US09718803-20170801-C01697
(400 MHz, DMSO-d6) 1.61-1.78 (m, 1 H) 1.89 (br. s., 1 H) 2.18 (s, 2 H) 2.98-3.16 (m, 3 H) 3.20 (d, J = 11.15 Hz, 1 H) 3.36-3.55 (m, 1 H) 3.67 (d, J = 13.30 Hz, 1 H) 4.06 (t, J = 11.05 Hz, 1 H) 4.33 (d, J = 11.74 Hz, 1 H) 6.58 (d, J = 9.39 Hz, 1 H) 7.17 (t, J = 7.34 Hz, 1 H) 7.37-7.44 (m, 1 H) 7.44-7.53 (m, 1 H) 7.56 (d, J = 7.43 Hz, 1 H) 8.21 (d, J = 2.54 Hz, 1 H) 8.24 (d, J = 2.54 Hz, 1 H)
Figure US09718803-20170801-C01698
Examples 6.61 and 6.62: Separated Stereoisomers of Example 6.1
Note: the absolute stereochemistry of each separated isomer was not further determined. 2-(3-(3-(3-(pyridin-3-yl)pyrrolidin-1-yl)pyrazin-2-yl)azetidin-1-yl)quinoline (SCHEME 6, Example 6.1) was chirally separated by using a Chiralpak ASH (150×4.6 mm i.d.), mobile phase 85% liquid CO2/15% methanol containing 0.2% DEA (Flow rate: 4 ml/min, column temp: 40° C., outlet pressure: 100 Bar, wavelength: 248 nm)
Separated isomer Example 6.61: ESI-MS (M+1): 409. PDE10 IC50 (uM): 0.0115.
1H NMR δ (ppm) (400 MHz, DMSO-d6) δ ppm 2.00-2.16 (m, 1H) 2.31-2.44 (m, 1H) 3.46-3.57 (m, 1H) 3.57-3.68 (m, 2H) 3.68-3.81 (m, 1H) 3.81-3.90 (m, 1H) 4.30-4.52 (m, 4H) 6.79 (d, J=9.00 Hz, 1H) 7.21 (t, J=7.24 Hz, 1H) 7.39 (dd, J=7.82, 4.69 Hz, 1H) 7.45-7.61 (m, 2H) 7.71 (d, J=8.02 Hz, 1H) 7.82 (d, J=7.83 Hz, 1H) 7.94-8.08 (m, 3H) 8.49 (d, J=4.50 Hz, 1H) 8.61 (s, 1H) Separated isomer Example 6.62: ESI-MS (M+1): 409. PDE10 IC50 (uM): 0.0022.
1H NMR δ (ppm) (400 MHz, DMSO-d6) δ ppm 2.10 (quin, J=9.93 Hz, 1H) 2.30-2.44 (m, 1H) 3.46-3.58 (m, 1H) 3.58-3.68 (m, 2H) 3.70-3.81 (m, 1H) 3.86 (dd, J=9.59, 7.43 Hz, 1H) 4.30-4.51 (m, 5H) 6.79 (d, J=9.00 Hz, 1H) 7.22 (t, J=6.75 Hz, 1H) 7.39 (dd, J=7.82, 4.69 Hz, 1H) 7.47-7.61 (m, 2H) 7.71 (d, J=7.82 Hz, 1H) 7.82 (d, J=7.83 Hz, 1H) 7.95-8.07 (m, 3H) 8.49 (d, J=3.52 Hz, 1H) 8.61 (d, J=1.76 Hz, 1H)
Figure US09718803-20170801-C01699
Example 7: Methyl (1-(3-(1-(Quinolin-2-Yl)Azetidin-3-Yl)Pyrazin-2-Yl)Pyrrolidin-3-Yl)Carbamate
Step 1. tert-Butyl (1-(3-(1-(quinolin-2-yl)azetidin-3-yl)pyrazin-2-yl)pyrrolidin-3-yl)carbamate: To a round bottomed flask was added 2-(3-(3-chloropyrazin-2-yl)azetidin-1-yl)quinoline (1.0337 g, 3.48 mmol), tert-butyl pyrrolidin-3-ylcarbamate (commercially available from TCI, 1.298 g, 6.97 mmol), and triethylamine (commercially available from Aldrich, 0.971 ml, 6.97 mmol) in DMSO (11.61 ml) to stir at 110° C. overnight.
The reaction mixture was diluted with water and extracted with CH2Cl2. The organic extract was washed with water, saturated NaCl, dried over MgSO4, filtered and concentrated in vacuo. The crude product was adsorbed onto a plug of silica gel and chromatographed through a Biotage 50 g SNAP HP-silica column, eluting with a gradient of 10% to 100% EtOAc in hexane, to provide tert-butyl (1-(3-(1-(quinolin-2-yl)azetidin-3-yl)pyrazin-2-yl)pyrrolidin-3-yl)carbamate (1.3145 g, 2.94 mmol, 85% yield). 1H NMR (400 MHz, DMSO-d6) δ ppm 1.41 (s, 9H) 1.86 (dq, J=12.35, 6.32 Hz, 1H) 2.01-2.15 (m, 1H) 3.34 (d, J=4.89 Hz, 1H) 3.44-3.54 (m, 1H) 3.54-3.62 (m, 1H) 3.61-3.71 (m, 1H) 4.08 (d, J=5.67 Hz, 1H) 4.27-4.45 (m, 3H) 6.78 (d, J=8.80 Hz, 1H) 7.15-7.26 (m, 1H) 7.47-7.60 (m, 1H) 7.71 (d, J=7.82 Hz, 1H) 7.93 (d, J=2.54 Hz, 1H) 7.98 (d, J=2.35 Hz, 1H) 8.03 (d, J=8.80 Hz, 1H) ESI (M+1) 447.0; calc for C25H30N6O2 446.
Step 2. 1-(3-(1-(Quinolin-2-Yl)Azetidin-3-Yl)Pyrazin-2-Yl)Pyrrolidin-3-Amine
To a round bottomed flask was added tert-butyl (1-(3-(1-(quinolin-2-yl)azetidin-3-yl)pyrazin-2-yl)pyrrolidin-3-yl)carbamate (1.3145 g, 2.94 mmol) and hydrogen chloride, 1M in diethyl ether (0.089 ml, 2.94 mmol) to stir. Solvent was evaporated. The reaction mixture was diluted with saturated sodium bicarbonate and extracted with CH2Cl2. The organic extract was washed with water, saturated Na2CO3, saturated NaCl, dried over MgSO4, filtered and concentrated in vacuo to give 1-(3-(1-(quinolin-2-yl)azetidin-3-yl)pyrazin-2-yl)pyrrolidin-3-amine (0.696 g, 2.009 mmol, 68.2% yield).
Step 3. Methyl (1-(3-(1-(Quinolin-2-Yl)Azetidin-3-Yl)Pyrazin-2-Yl)Pyrrolidin-3-Yl)Carbamate
To a round bottomed flask was added 1-(3-(1-(quinolin-2-yl)azetidin-3-yl)pyrazin-2-yl)pyrrolidin-3-amine (0.0974 g, 0.281 mmol), pyridine (commercially available through Aldrich, 0.045 ml, 0.562 mmol), and 4-(pyrrolidin-1-yl)pyridine (PPY) (commercially available through Alfa Aesar, 0.042 g, 0.281 mmol) to stir at RT in DCM (0.937 ml). Methyl carbonochloridate (commercially available through Aldrich, 0.027 ml, 0.422 mmol) was added and allowed to stir overnight. The crude product was adsorbed onto a plug of silica gel and chromatographed through a Biotage 50 g SNAP HP-silica column, eluting with a gradient of 1% to 6% MeOH in CH2Cl2, to provide methyl (1-(3-(1-(quinolin-2-yl)azetidin-3-yl)pyrazin-2-yl)pyrrolidin-3-yl)carbamate.
The following Table 19A lists compounds of Examples 7.1 to 7.5, which were made analogous to Scheme 7, Steps 2 and 3, by using the appropriate materials and reaction conditions, which are listed in Table 19B. The NMR data of the Examples are listed in Table 19C.
TABLE 19A
EXAMPLES 7.1 TO 7.5
ESI-
MS IC50
Ex. # Structure Chemical Name (M + 1) (μM)
7.1
Figure US09718803-20170801-C01700
(R- & S-)-methyl (1-(3-(1- (quinolin-2-yl)azetidin-3- yl)pyrazin-2-yl)pyrrolidin-3- yl)carbamate 405.1 0.002
7.2
Figure US09718803-20170801-C01701
1-(3-(1-(quinolin-2-yl)azetidin- 3-yl)pyrazin-2-yl)pyrrolidin-3- amine 347.1 0.038
7.3
Figure US09718803-20170801-C01702
(R- & S-)-N-(1-(3-(1- (quinolin-2-yl)azetidin-3- yl)pyrazin-2-yl)pyrrolidin-3- yl)methanesulfonamide 425 0.011
7.4
Figure US09718803-20170801-C01703
(R- & S-)-2-ethyl (1-(3-(1- (quinolin-2-yl)azetidin-3- yl)pyrazin-2-yl)pyrrolidin-3- yl)carbamate 419 0.001
7.5
Figure US09718803-20170801-C01704
(R- & S-)-2-methoxy-N-(1-(3- (1-(quinolin-2-yl)azetidin-3- yl)pyrazin-2-yl)pyrrolidin-3- yl)acetamide 419 0.0044
TABLE 19B
STARTING MATERIALS AND REACTION CONDITION FOR PREPARATION OF EXAMPLES 7.3 TO 7.5.
Examples 7.1 to 7.2 are prepared as described in Scheme 7.
Unless otherwise stated, all starting materials are commercially available from common vendors
Key Starting Purification
Ex. # Material(s) Key Starting Material(s) Reaction Condition Condition*
7.3
Figure US09718803-20170801-C01705
Figure US09718803-20170801-C01706
4-PPY, Py, DCM, RT A
7.4
Figure US09718803-20170801-C01707
Figure US09718803-20170801-C01708
4-PPY, Py, DCM, RT A
7.5
Figure US09718803-20170801-C01709
Figure US09718803-20170801-C01710
4-PPY, Py, DCM, RT A
*Purification Method A: purification by silica gel chromatography: (Biotage 50 g SNAP HP-silica column, eluting with a
gradient of 1% to 6% MeOH in CH2Cl2).
TABLE 19C
1H NMR δ (PPM) DATA FOR EXAMPLES 7.1 TO 7.5
Ex. # Structure NMR
7.1
Figure US09718803-20170801-C01711
(400 MHz, DMSO-d6) 0.83-0.94 (m, 1 H) 1.20-1.40 (m, 1 H) 1.70 (dq, J = 12.37, 6.31 Hz, 1 H) 1.86 (br. s., 1 H) 1.96-2.09 (m, 1 H) 3.17 (dd, J = 9.98, 4.69 Hz, 1 H) 3.44-3.59 (m, 2 H) 3.59-3.71 (m, 2 H) 4.30-4.48 (m, 4 H) 6.80 (d, J = 9.00 Hz, 1 H) 7.23 (t, J = 6.85 Hz, 1 H) 7.48-7.62 (m, 2 H) 7.72 (d, J = 7.82 Hz, 1 H) 7.92 (d, J = 2.35 Hz, 1 H) 7.98 (d, J = 2.35 Hz, 1 H) 8.05 (d, J = 9.00 Hz, 1 H)
7.2
Figure US09718803-20170801-C01712
(400 MHz, DMSO-d6) 1.88 (dq, J = 12.52, 6.39 Hz, 1 H) 2.04-2.17 (m, 3 H) 3.35 (dd, J = 10.56, 4.89 Hz, 1 H) 3.47-3.65 (m, 4 H) 3.68 (dd, J = 10.56, 6.26 Hz, 1 H) 4.07-4.17 (m, 1 H) 4.29-4.44 (m, 4 H) 6.78 (d, J = 8.80 Hz, 1 H) 7.16-7.25 (m, 1 H) 7.45-7.59 (m, 2 H) 7.70 (d, J = 7.63 Hz, 1 H) 7.93 (d, J = 2.35 Hz, 1 H) 7.98 (d, J = 2.54 Hz, 1 H) 8.03 (d, J = 9.00 Hz, 1 H)
7.3
Figure US09718803-20170801-C01713
(400 MHz, DMSO-d6) 1.86-1.99 (m, 1 H) 2.12-2.26 (m, 1 H) 3.00 (s, 2H) 3.41 (dd, J = 10.56, 5.67 Hz, 1 H) 3.49-3.65 (m, 1 H) 3.72 (dd, J = 10.37, 6.46 Hz, 1 H) 4.00 (br. s., 1 H) 4.28-4.46 (m, 3 H) 6.79 (d, J = 8.80 Hz, 1 H) 7.21 (t, J = 7.24 Hz, 1 H) 7.42 (br. s., 1 H) 7.46-7.61 (m, 1 H) 7.71 (d, J = 8.02 Hz, 1 H) 7.96 (d, J = 2.35 Hz, 1 H) 8.00 (d, J = 2.54 Hz, 1 H) 8.04 (d, J = 8.80 Hz, 1 H)
7.4
Figure US09718803-20170801-C01714
(400 MHz, DMSO-d6) 1.19 (t, J = 7.04 Hz, 3 H) 1.90 (dq, J = 12.57, 6.57 Hz, 1 H) 2.06- 2.19 (m, 1 H) 3.36 (dd, J = 10.56, 4.89 Hz, 1 H) 3.48-3.57 (m, 1 H) 3.58-3.67 (m, 1 H) 3.70 (dd, J = 10.47, 6.16 Hz, 1 H) 4.03 (q, J = 7.04 Hz, 2 H) 4.08-4.20 (m, 1 H) 4.32-4.52 (m, 4 H) 6.85 (d, J = 8.61 Hz, 1 H) 7.27 (t, J = 7.04 Hz, 1 H) 7.47 (d, J = 6.26 Hz, 1 H) 7.53-7.67 (m, 2 H) 7.76 (d, J = 7.82 Hz, 1 H) 7.96 (d, J = 2.54 Hz, 1 H) 8.01 (d, J = 2.54 Hz, 1 H) 8.11 (d, J = 8.41 Hz, 1 H)
7.5
Figure US09718803-20170801-C01715
(400 MHz, DMSO-d6) 1.88-2.01 (m, 1 H) 2.04-2.19 (m, 1 H) 3.31 (s, 3 H) 3.44 (dd, J = 10.37, 5.48 Hz, 1 H) 3.48-3.63 (m, 2 H) 3.68 (dd, J = 10.27, 6.55 Hz, 1 H) 3.83 (s, 2 H) 4.29-4.44 (m, 5 H) 6.78 (d, J = 9.00 Hz, 1 H) 7.21 (t, J = 7.34 Hz, 1 H) 7.47-7.59 (m, 2 H) 7.70 (d, J = 8.02 Hz, 1 H) 7.94 (d, J = 2.54 Hz, 1 H) 7.99 (d, J = 2.54 Hz, 1 H) 8.03 (d, J = 8.80 Hz, 2 H)
Figure US09718803-20170801-C01716
Examples 8.1 and 8.2 Example 8.1: 2-(3-(3-(1,4-Diazepan-1-Yl)Pyrazin-2-Yl)Azetidin-1-Yl)Quinoline
To a round bottomed flask was added tert-butyl 4-(3-(1-(quinolin-2-yl)azetidin-3-yl)pyrazin-2-yl)-1,4-diazepane-1-carboxylate (0.5340 g, 1.159 mmol, SCHEME 6, Example 6.15) and HCl, (1.0 M solution in diethyl ether (1.159 ml, 1.159 mmol)) and the reaction was allowed to stir at RT. After 1 h, the reaction mixture was concentrated, then diluted with saturated Na2CO3 and extracted with CH2Cl2. The organic extract was washed with saturated Na2CO3, saturated NaCl, dried over MgSO4, filtered and concentrated in vacuo to give 2-(3-(3-(1,4-diazepan-1-yl)pyrazin-2-yl)azetidin-1-yl)quinoline (0.3627 g, 1.006 mmol, 87% yield).
ESI-MS (M+1): 361.1. PDE10 IC50 (μM): 0.050.
Example 8.2: Methyl 4-(3-(1-(Quinolin-2-Yl)Azetidin-3-Yl)Pyrazin-2-Yl)-1,4-Diazepane-1-Carboxylate
To a round bottomed flask was added 2-(3-(3-(1,4-diazepan-1-yl)pyrazin-2-yl)azetidin-1-yl)quinoline (0.0772 g, 0.214 mmol), pyridine (commercially available through Aldrich, 0.035 ml, 0.428 mmol), and 4-(pyrrolidin-1-yl)pyridine (commercially available through Alfa Aesar, 0.032 g, 0.214 mmol) and the reaction was allowed to stir at RT in DCM (0.714 ml). Methyl carbonochloridate (commercially available through Aldrich, 0.021 ml, 0.321 mmol) was added and allowed to stir overnight. Upon completion, the solvent was evaporated. The crude product was adsorbed onto a plug of silica gel and chromatographed through a Biotage 50 g SNAP HP-silica column, eluting with a gradient of 0.5% to 5% MeOH in CH2CL2, to provide methyl 4-(3-(1-(quinolin-2-yl)azetidin-3-yl)pyrazin-2-yl)-1,4-diazepane-1-carboxylate (0.0632 g, 0.151 mmol, 70.5% yield). ESI-MS (M+1): 419.0. PDE10 IC50 (μM): 0.0046.
The following Table 20 lists NMR data of Examples 8.1 to 8.2, which were made as described in the above Scheme 8.
TABLE 20
1H NMR δ (PPM) DATA FOR EXAMPLES 8.1 TO 8.2
Ex. # Structure NMR
8.1
Figure US09718803-20170801-C01717
(400 MHz, DMSO-d6) 1.86 (t, J = 5.58 Hz, 1 H) 2.85 (t, J = 5.77 Hz, 1 H) 2.93-3.03 (m, 1 H) 3.41-3.53 (m, 2 H) 4.19-4.34 (m, 2 H) 4.38-4.47 (m, 2 H) 6.79 (d, J = 8.80 Hz, 1 H) 7.21 (t, J = 7.34 Hz, 1 H) 7.46-7.61 (m, 1 H) 7.71 (d, J = 7.82 Hz, 1 H) 8.03 (d, J = 2.54 Hz, 2 H)
8.2
Figure US09718803-20170801-C01718
(400 MHz, DMSO-d6) 1.93 (br. s., 2 H) 3.42 (br. s., 2 H) 3.48 (br. s., 2 H) 3.53 (d, J = 4.69 Hz, 2 H) 3.56-3.65 (m, 5 H) 4.21- 4.35 (m, 3 H) 4.41-4.51 (m, 2 H) 6.81 (d, J = 9.00 Hz, 1 H) 7.19-7.27 (m, 1 H) 7.49- 7.62 (m, 2 H) 7.73 (d, J = 7.82 Hz, 1 H) 8.05 (d, J = 8.80 Hz, 1 H) 8.11 (dd, J = 12.52, 2.54 Hz, 2 H)
Figure US09718803-20170801-C01719
Example 9.1: N-Methyl-Methyl(1-(3-(1-(Quinolin-2-Yl)Azetidin-3-Yl)Pyrazin-2-Yl)Pyrrolidin-3-Yl)Carbamate Step 1. N-Methyl-1-(3-(1-(Quinolin-2-Yl)Azetidin-3-Yl)Pyrazin-2-Yl)Pyrrolidin-3-Amine
To a round bottomed flask was added tert-butyl methyl(1-(3-(1-(quinolin-2-yl)azetidin-3-yl)pyrazin-2-yl)pyrrolidin-3-yl)carbamate (3.0 g, 6.51 mmol) and hydrogen chloride, 5-6N in isopropanol (0.237 g, 6.51 mmol) to stir overnight. Solvent was evaporated and the reaction mixture was diluted with water and extracted with EtOAc. The organic extract was washed with water, saturated Na2CO3, saturated NaCl, and dried over MgSO4, filtered and concentrated in vacuo to give N-methyl-1-(3-(1-(quinolin-2-yl)azetidin-3-yl)pyrazin-2-yl)pyrrolidin-3-amine (1.0339 g, 2.87 mmol, 44.0% yield). 1H NMR (400 MHz, DMSO-d6) δ ppm 1.71-1.83 (m, 1H) 2.02 (dt, J=12.18, 5.94 Hz, 1H) 2.32 (s, 2H) 3.16-3.28 (m, 1H) 3.32 (br. s., 1H) 3.42-3.52 (m, 1H) 3.54-3.67 (m, 1H) 4.29-4.45 (m, 4H) 6.78 (d, J=8.80 Hz, 1H) 7.17-7.25 (m, 1H) 7.48-7.59 (m, 2H) 7.71 (d, J=7.83 Hz, 1H) 7.91 (d, J=2.54 Hz, 1H) 7.97 (d, J=2.35 Hz, 1H) 8.03 (d, J=8.80 Hz, 1H)
Step 2. N-Methyl-Methyl(1-(3-(1-(Quinolin-2-Yl)Azetidin-3-Yl)Pyrazin-2-Yl)Pyrrolidin-3-Yl)Carbamate
14 Mar. 2011 To a round bottomed flask was added N-methyl-1-(3-(1-(quinolin-2-yl)azetidin-3-yl)pyrazin-2-yl)pyrrolidin-3-amine (0.0999 g, 0.277 mmol), pyridine (0.045 ml, 0.554 mmol), and 4-(pyrrolidin-1-yl)pyridine (0.041 g, 0.277 mmol) to stir at RT in DCM (0.924 ml). Methyl carbonochloridate (0.027 ml, 0.416 mmol) was added and allowed to stir for 2 h. Solvent was evaporated and the crude product was adsorbed onto a plug of silica gel and chromatographed through a Biotage 50 g SNAP HP-silica column, eluting with a gradient of 1% to 4% MeOH in CH2Cl2, to provide methyl methyl(1-(3-(1-(quinolin-2-yl)azetidin-3-yl)pyrazin-2-yl)pyrrolidin-3-yl)carbamate (0.0307 g, 0.073 mmol, 26.5% yield).
The following Table 21A lists compounds of Examples 9.1 to 9.3, which were made analogous to Scheme 9 by using the appropriate materials and reaction conditions, which are listed in Table 21B. The NMR data of the Examples are listed in Table 21C.
TABLE 21A
EXAMPLES 9.1 TO 9.3
ESI-MS IC50
Ex. # Structure Chemical Name (M + 1) (uM)
9.1
Figure US09718803-20170801-C01720
N-methyl-methyl (1-(3-(1- (quinolin-2-yl)azetidin-3- yl)pyrazin-2-yl)pyrrolidin-3- yl)carbamate 419.0 0.00052
9.2
Figure US09718803-20170801-C01721
N-methyl-N-(1-(3-(1-(quinolin- 2-yl)azetidin-3-yl)pyrazin-2- yl)pyrrolidin-3- yl)methanesulfonamide 439.0 0.00568
9.3
Figure US09718803-20170801-C01722
Ethyl methyl(1-(3-(1-(quinolin- 2-yl)azetidin-3-yl)pyrazin-2- yl)pyrrolidin-3-yl)carbamate 433.1 0.002
TABLE 21B
STARTING MATERIALS AND REACTION CONDITION FOR PREPARATION OF
EXAMPLES 9.1 TO 9.3.
Unless otherwise stated, all starting materials are commercially available from common vendors.
Reaction Purification
Ex. # Starting Material 1 Starting Material 2 Condition Condition*
9.1
Figure US09718803-20170801-C01723
Figure US09718803-20170801-C01724
4-PPY, Py, DCM A
9.2
Figure US09718803-20170801-C01725
Figure US09718803-20170801-C01726
4-PPY, Py, DCM A
9.3
Figure US09718803-20170801-C01727
Figure US09718803-20170801-C01728
4-PPY, Py, DCM A
*Purification condition: Method A: flash column chromatography on silica gel using Biotage 50 g SNAP HP-silica
column, eluting with a gradient of 1% to 4% MeOH in CH2Cl2
TABLE 21C
1H NMR δ (PPM) DATA FOR EXAMPLES 9.1 TO 9.3
Ex. # Structure NMR
9.1
Figure US09718803-20170801-C01729
(400 MHz, DMSO-d6) 2.09 (q, J = 6.91 Hz, 2 H) 2.86 (s, 3 H) 3.49-3.61 (m, 4 H) 3.64 (s, 3 H) 4.31-4.41 (m, 4 H) 4.41-4.51 (m, 1 H) 6.79 (d, J = 8.80 Hz, 1 H) 7.22 (t, J = 6.85 Hz, 1 H) 7.48-7.60 (m, 2 H) 7.71 (d, J = 7.82 Hz, 1 H) 7.96-8.07 (m, 3 H)
9.2
Figure US09718803-20170801-C01730
(400 MHz, DMSO-d6) 2.03-2.20 (m, 1 H) 2.83 (s, 2 H) 2.99 (s, 2 H) 3.49-3.61 (m, 2 H) 4.31-4.51 (m, 3 H) 6.79 (d, J = 9.00 Hz, 1 H) 7.21 (t, J = 6.85 Hz, 1 H) 7.46- 7.60 (m, 1 H) 7.71 (d, J = 7.82 Hz, 1 H) 7.96-8.06 (m, 2 H)
9.3
Figure US09718803-20170801-C01731
(400 MHz, DMSO-d6) 1.21 (t, J = 7.14 Hz, 2 H) 2.08 (q, J = 7.50 Hz, 1 H) 2.85 (s, 2 H) 3.48-3.61 (m, 2 H) 4.08 (q, J = 7.04 Hz, 1 H) 4.29-4.40 (m, 2 H) 4.40-4.49 (m, 1 H) 4.72 (br. s., 1 H) 6.79 (d, J = 9.00 Hz, 1 H) 7.21 (t, J = 7.24 Hz, 1 H) 7.47-7.60 (m, 1 H) 7.70 (d, J = 7.82 Hz, 1 H) 7.95-8.06 (m, 2 H)
Figure US09718803-20170801-C01732
Example 10.1: 2-(3-(3-(4-Chlorophenyl)Pyrazin-2-Yl)Azetidin-1-Yl)Quinazoline
2M aqueous sodium carbonate (0.378 mL, 0.756 mmol, J. T. Baker) was added to a stirred mixture of 2-(3-(3-chloropyrazin-2-yl)azetidin-1-yl)quinazoline (0.075 g, 0.252 mmol, Preparation 1), trans-dichlorobis(triphenylphosphine)palladium (ii) (0.009 g, 0.013 mmol, Strem), and 4-chlorophenylboronic acid (0.047 g, 0.302 mmol, ASDI) in 1,4-dioxane (1 mL) in a sealed tube under an argon atmosphere. The reaction mixture was stirred at 80° C. for 17 h. The reaction mixture was concentrated in vacuo and diluted with DCM. The resulting suspension was filtered, and the filtrate was concentrated in vacuo. The resulting crude material was purified via reverse phase HPLC (Column: Xbridge 19×100 mm, 5 m, 1771302301) eluting with 0.1% NH4OH in acetonitrile/water to give 0.060 g (64%) of a yellow amorphous solid. 1HNMR (500 MHz, DMSO-d6) δ ppm 4.28-4.38 (m, 5H) 7.25-7.30 (m, 1H) 7.52 (d, J=8.48 Hz, 1H) 7.62 (s, 4H) 7.70-7.75 (m, 1H) 7.84 (br. d, J=7.80 Hz, 1H) 8.64 (d, J=2.41 Hz, 1H) 8.70 (d, J=2.41 Hz, 1H) 9.18 (s, 1H). ESI (M+1) 374.0; calc for C21H16ClN5 373.
The following Table 22A lists compounds of Examples 10.1 to 10.20, which were made analogous to Scheme 10 by using the appropriate materials and reaction conditions, which are listed in Table 22B. The NMR data of the Examples are listed in Table 22C.
TABLE 22A
EXAMPLES 10.1 TO 10.20
ESI-MS
Ex. # Structure Chemical Name (M + 1) IC50 (μM)
10.1
Figure US09718803-20170801-C01733
2-(3-(3-(4- chlorophenyl)pyrazin-2- yl)azetidin-1-yl)quinazoline 374.0 0.00482
10.2
Figure US09718803-20170801-C01734
2-(3-(3-(3- chlorophenyl)pyrazin-2- yl)azetidin-1-yl)quinazoline 374.0 0.00615
10.3
Figure US09718803-20170801-C01735
2-(3-(3-(2- chlorophenyl)pyrazin-2- yl)azetidin-1-yl)quinazoline 374.0 0.0309
10.4
Figure US09718803-20170801-C01736
2-(3-(3-(o-tolyl)pyrazin-2- yl)azetidin-1-yl)quinazoline 354.2 0.0178
10.5
Figure US09718803-20170801-C01737
1-(4-(3-(1-(quinazolin-2- yl)azetidin-3-yl)pyrazin-2- yl)phenyl)ethanone 382.2 0.00738
10.6
Figure US09718803-20170801-C01738
1-(3-(3-(1-(quinazolin-2- yl)azetidin-3-yl)pyrazin-2- yl)phenyl)ethanone 382.2 0.00136
10.7
Figure US09718803-20170801-C01739
N-(3-(3-(1-(quinazolin-2- yl)azetidin-3-yl)pyrazin-2- yl)phenyl)acetamide 397.2 0.000635
10.8
Figure US09718803-20170801-C01740
N-(4-(3-(1-(quinazolin-2- yl)azetidin-3-yl)pyrazin-2- yl)phenyl)methanesulfonamide 433.2 0.00336
10.9
Figure US09718803-20170801-C01741
N-(3-(3-(1-(quinazolin-2- yl)azetidin-3-yl)pyrazin-2- yl)phenyl)methanesulfonamide 433.2 0.00959
10.10
Figure US09718803-20170801-C01742
2-(3-(3-(1H-indol-6- yl)pyrazin-2-yl)azetidin- 1-yl)quinazoline 379.2 0.00525
10.11
Figure US09718803-20170801-C01743
2-(3-(3-(1-methyl-1H-indol- 5-yl)pyrazin-2-yl)azetidin- 1-yl)quinazoline 393.2 0.00595
10.12
Figure US09718803-20170801-C01744
2-(3-(3-(1-methyl-1H-indol- 6-yl)pyrazin-2-yl)azetidin- 1-yl)quinazoline 393.2 0.00298
10.13
Figure US09718803-20170801-C01745
5-(3-(1-(quinazolin-2- yl)azetidin-3-yl)pyrazin-2- yl)indolin-2-one 395.2 0.00946
10.14
Figure US09718803-20170801-C01746
1-methyl-5-(3-(1-(quinazolin- 2-yl)azetidin-3-yl)pyrazin- 2-yl)indolin-2-one 409.2 0.018
10.15
Figure US09718803-20170801-C01747
1-methyl-6-(3-(1-(quinazolin- 2-yl)azetidin-3-yl)pyrazin- 2-yl)-1H-benzo[d]imidazol- 2(3H)-one 410.2 0.0042
10.16
Figure US09718803-20170801-C01748
2-fluoro-4-(3-(1-(quinazolin-2- yl)azetidin-3-yl)pyrazin-2- yl)aniline 373.1 0.00682
10.17
Figure US09718803-20170801-C01749
2-(3-(3-(p-tolyl)pyrazin-2- yl)azetidin-1-yl)quinazoline 354.2 0.00708
10.18
Figure US09718803-20170801-C01750
2-methyl-6-(3-(1-(quinazolin- 2-yl)azetidin-3-yl)pyrazin- 2-yl)isoquinolin-1(2H)-one 421.1 0.01739
10.19
Figure US09718803-20170801-C01751
2-(3-(3-(1H-indazol-5- yl)pyrazin-2-yl)azetidin-1- yl)quinazoline 380.1 0.01216
10.20
Figure US09718803-20170801-C01752
5-(3-(1-(quinazolin-2- yl)azetidin-3-yl)pyrazin-2- yl)benzo[d]thiazole 397.1 0.0044
TABLE 22B
STARTING MATERIALS AND REACTION CONDITION
FOR PREPARATION OF EXAMPLES 10.1 TO 10.20.
Unless otherwise stated, all starting materials are commercially available from common vendors.
Key Starting Key Starting Reaction Purification
Ex. Material(s) Material(s) Condition Method*
10.1
Figure US09718803-20170801-C01753
  ASDI
Figure US09718803-20170801-C01754
  PREPARATION 3
Dioxane/water, 80° C., 17 h A
10.2
Figure US09718803-20170801-C01755
  ASDI
Figure US09718803-20170801-C01756
  PREPARATION 3
Dioxane/water, 80° C., 17 h A
10.3
Figure US09718803-20170801-C01757
  ASDI
Figure US09718803-20170801-C01758
  PREPARATION 3
Dioxane/water, 80° C., 17 h A
10.4
Figure US09718803-20170801-C01759
  ASDI
Figure US09718803-20170801-C01760
  PREPARATION 3
Dioxane/water, 80° C., 17 h A
10.5
Figure US09718803-20170801-C01761
  ASDI
Figure US09718803-20170801-C01762
  PREPARATION 3
Dioxane/water, 80° C., 17 h A
10.6
Figure US09718803-20170801-C01763
  ASDI
Figure US09718803-20170801-C01764
  PREPARATION 3
Dioxane/water, 80° C., 17 h A
10.7
Figure US09718803-20170801-C01765
  ASDI
Figure US09718803-20170801-C01766
  PREPARATION 3
Dioxane/water, 80° C., 17 h A
10.8
Figure US09718803-20170801-C01767
  Boron Molecular
Figure US09718803-20170801-C01768
  PREPARATION 3
Dioxane/water, 80° C., 17 h A
10.9
Figure US09718803-20170801-C01769
  Combi-blocks
Figure US09718803-20170801-C01770
  PREPARATION 3
Dioxane/water, 80° C., 17 h A
10.10
Figure US09718803-20170801-C01771
  Aldrich
Figure US09718803-20170801-C01772
  PREPARATION 3
Dioxane/water, 80° C., 17 h A
10.11
Figure US09718803-20170801-C01773
  Frontier Scientific
Figure US09718803-20170801-C01774
  PREPARATION 3
Dioxane/water, 80° C., 17 h A
10.12
Figure US09718803-20170801-C01775
  Maybridge
Figure US09718803-20170801-C01776
  PREPARATION 3
Dioxane/water, 80° C., 15 h A
10.13
Figure US09718803-20170801-C01777
  ASDI
Figure US09718803-20170801-C01778
  PREPARATION 3
Dioxane/water, 80° C., 15 h A
10.14
Figure US09718803-20170801-C01779
  ASDI
Figure US09718803-20170801-C01780
  PREPARATION 3
Dioxane/water, 80° C., 15 h A
10.15
Figure US09718803-20170801-C01781
  ASDI
Figure US09718803-20170801-C01782
  PREPARATION 3
Dioxane/water, 80° C., 15 h A
10.16
Figure US09718803-20170801-C01783
  Aldrich
Figure US09718803-20170801-C01784
  PREPARATION 3
Pd2Cl2(PPh3)2, Na2CO3, (4 equiv), Dioxane/water, 80° C., 17 h B
10.17
Figure US09718803-20170801-C01785
  ASDI
Figure US09718803-20170801-C01786
  PREPARATION 3
Pd2Cl2(PPh3)2, Na2CO3, Dioxane/water , 80° C., 17 h B
10.18
Figure US09718803-20170801-C01787
  ASDI
Figure US09718803-20170801-C01788
  PREPARATION 3
Pd2Cl2(PPh3)2, Na2CO3, Dioxane/water, 80° C., 17 h B
10.19
Figure US09718803-20170801-C01789
  ASDI
Figure US09718803-20170801-C01790
  PREPARATION 3
Pd2Cl2(PPh3)2, Na2CO3, Dioxane/water, 80° C., 17 h B
10.20
Figure US09718803-20170801-C01791
  ASDI
Figure US09718803-20170801-C01792
  PREPARATION 3
Pd2Cl2(PPh3)2, Na2CO3, Dioxane/water, 80° C., 17 h A, B
*Purification Methods: Method A- reverse phase HPLC (Column: Xbridge 19 × 100 mm, 5 μm, 1771302301) eluting with 0.1% NH4OH in acetonitrile/water. Method B- silica gel flash column chromatography eluting with 0% to 75% EtOAc in hexanes
TABLE 22C
1H NMR δ (PPM) DATA FOR EXAMPLES 10.1 TO 10.20
Ex. # Structure NMR
10.1
Figure US09718803-20170801-C01793
(500 MHz, DMSO-d6) 4.28-4.38 (m, 5H) 7.25-7.30 (m, 1H) 7.52 (d, J = 8.48 Hz, 1H) 7.62 (s, 4H) 7.70-7.75 (m, 1H) 7.84 (br. d, J = 7.80 Hz, 1H) 8.64 (d, J = 2.41 Hz, 1H) 8.70 (d, J = 2.41 Hz, 1H) 9.18 (s, 1H)
10.2
Figure US09718803-20170801-C01794
(500 MHz, DMSO-d6) 4.28-4.40 (m, 5H) 7.28 (t, J = 7.40 Hz, 1H) 7.50-7.62 (m, 4H) 7.66 (s, 1H) 7.70-7.75 (m, 1H) 7.84 (d, J = 7.79 Hz, 1H) 8.64 (d, J = 2.40 Hz, 1H) 8.71 (d, J = 2.40 Hz, 1H) 9.18 (s, 1H)
10.3
Figure US09718803-20170801-C01795
(500 MHz, DMSO-d6) 3.96 (quin, J = 7.30 Hz, 1H) 4.33 (m, 4H) 7.28 (t, J = 7.39 Hz, 1H) 7.50-7.59 (m, 4H) 7.66 (br. d, J = 7.45 Hz, 1H) 7.70-7.75 (m, 1H) 7.84 (d, J = 7.56 Hz, 1H) 8.67 (d, J = 2.41 Hz, 1H) 8.76 (d, J = 2.52 Hz, 1H) 9.18 (s, 1H)
10.4
Figure US09718803-20170801-C01796
(500 MHz, DMSO-d6) 2.07 (s, 3H) 3.94-4.01 (m, 1H) 4.22 (t, J = 8.36 Hz, 2H) 4.28-4.33 (m, 2H) 7.23-7.30 (m, 2H) 7.32-7.37 (m, 1H) 7.37-7.44 (m, 2H) 7.51 (d, J = 8.48 Hz, 1H) 7.70-7.74 (m, 1H) 7.84 (d, J = 7.56 Hz, 1H) 8.63 (d, J = 2.52 Hz, 1H) 8.70 (d, J = 2.41 Hz, 1H) 9.17 (s, 1H)
10.5
Figure US09718803-20170801-C01797
(500 MHz, DMSO-d6) 2.67 (s, 3H) 4.29-4.39 (m, 5H) 7.28 (br. t, J = 7.40, 7.40 Hz, 1H) 7.51 (d, J = 8.25 Hz, 1H) 7.71-7.77 (m, 3H) 7.85 (br. d, J = 8.00 Hz, 1H) 8.13 (d, J = 8.36 Hz, 2H) 8.68 (d, J = 2.41 Hz, 1H) 8.73 (d, J = 2.41 Hz, 1H) 9.18 (s, 1H)
10.6
Figure US09718803-20170801-C01798
(500 MHz, DMSO-d6) 2.67 (s, 3H) 4.30-4.40 (m, 5H) 7.27 (t, J = 7.39 Hz, 1H) 7.51 (d, J = 8.48 Hz, 1H) 7.71 (t, J = 7.68 Hz, 2H) 7.83 (d, J = 8.02 Hz, 1H) 7.86 (d, J = 7.68 Hz, 1H) 8.10 (d, J = 7.79 Hz, 1H) 8.13 (s, 1H) 8.66 (d, J = 2.29 Hz, 1H) 8.72 (d, J = 2.29 Hz, 1H) 9.17 (s, 1H)
10.7
Figure US09718803-20170801-C01799
(500 MHz, DMSO-d6) 2.09 (s, 3H) 4.29-4.45 (m, 5H) 7.26-7.30 (m, 2H) 7.48 (t, J = 7.85 Hz, 1H) 7.53 (d, J = 8.48 Hz, 1H) 7.67 (br. d, J = 8.00 Hz, 1H) 7.71-7.75 (m, 1H) 7.83-7.87 (m, 2H) 8.63 (d, J = 2.41 Hz, 1H) 8.68 (d, J = 2.41 Hz, 1H) 9.19 (s, 1H) 10.13 (s, 1H)
10.8
Figure US09718803-20170801-C01800
(500 MHz, DMSO-d6) 3.10 (s, 3H) 4.27-4.32 (m, 2H) 4.36-4.42 (m, 3H) 7.28 (br. t, J = 7.40, 7.40 Hz, 1H) 7.38 (d, J = 8.59 Hz, 2H) 7.52 (d, J = 8.48 Hz, 1H) 7.57 (d, J = 8.59 Hz, 2H) 7.71-7.75 (m, 1H) 7.85 (br. d, J = 8.00 Hz, 1H) 8.61 (d, J = 2.40 Hz, 1H) 8.65 (d, J = 2.41 Hz, 1H) 9.18 (s, 1H) 10.05 (s, 1H)
10.9
Figure US09718803-20170801-C01801
(500 MHz, DMSO-d6) 3.07 (s, 3H) 4.30-4.37 (m, 3H) 4.38-4.44 (m, 2H) 7.29 (br. t, J = 7.50, 7.50 Hz, 1H) 7.33-7.39 (m, 3H) 7.51-7.55 (m, 2H) 7.71-7.75 (m, 1H) 7.86 (br. d, J = 8.10 Hz, 1H) 8.64 (d, J = 2.41 Hz, 1H) 8.70 (d, J = 2.41 Hz, 1H) 9.19 (s, 1H) 9.97 (s, 1H)
10.10
Figure US09718803-20170801-C01802
(500 MHz, DMSO-d6) 4.30-4.40 (m, 4H) 4.42-4.49 (m, 1H) 6.52-6.54 (m, 1H) 7.24 (dd, J = 8.25, 1.49 Hz, 1H) 7.27 (m, J = 7.80, 7.80 Hz, 1H) 7.49 (t, J = 2.75 Hz, 1H) 7.51 (d, J = 8.48 Hz, 1H) 7.61 (s, 1H) 7.68-7.74 (m, 2H) 7.82-7.86 (m, 1H) 8.62 (d, J = 2.40 Hz, 1H) 8.63 (d, J = 2.40 Hz, 1H) 9.17 (s, 1H) 11.30 (br. s., 1H)
10.11
Figure US09718803-20170801-C01803
(500 MHz, DMSO-d6) 3.87 (s, 3H) 4.25-4.36 (m, 4H) 4.45-4.52 (m, 1H) 6.57 (d, J = 2.86 Hz, 1H) 7.27 (br. t, J = 7.40, 7.40 Hz, 1H) 7.39 (dd, J = 8.42, 1.55 Hz, 1H) 7.44 (d, J = 2.98 Hz, 1H) 7.50 (d, J = 8.59 Hz, 1H) 7.60 (d, J = 8.48 Hz, 1H) 7.69-7.73 (m, 1H) 7.77 (d, J = 1.26 Hz, 1H) 7.83 (br. d, J = 7.10 Hz, 1H) 8.60-8.63 (m, 2H) 9.16 (s, 1H)
10.12
Figure US09718803-20170801-C01804
(500 MHz, DMSO-d6) 3.88 (s, 3H) 4.28-4.38 (m, 4H) 4.47-4.54 (m, 1H) 6.53 (d, J = 2.86 Hz, 1H) 7.24-7.29 (m, 2H) 7.47 (d, J = 3.09 Hz, 1H) 7.51 (d, J = 8.48 Hz, 1H) 7.64 (s, 1H) 7.70 (m, J = 8.40 Hz, 2H) 7.83 (br. d, J = 7.80 Hz, 1H) 8.63 (d, J = 2.40 Hz, 1H) 8.65 (d, J = 2.40 Hz, 1H) 9.16 (s, 1H)
10.13
Figure US09718803-20170801-C01805
(500 MHz, DMSO-d6) 3.60 (s, 2H) 4.26-4.31 (m, 2H) 4.36-4.45 (m, 3H) 6.98 (d, J = 8.02 Hz, 1H) 7.26-7.30 (m, 1H) 7.41 (d, J = 8.02 Hz, 1H) 7.44 (s, 1H) 7.51 (d, J = 8.48 Hz, 1H) 7.70-7.75 (m, 1H) 7.85 (br. d, J = 7.20 Hz, 1H) 8.59 (d, J = 2.29 Hz, 1H) 8.62 (d, J = 2.41 Hz, 1H) 9.18 (s, 1H) 10.57 (s, 1H)
10.14
Figure US09718803-20170801-C01806
(500 MHz, DMSO-d6) 3.20 (s, 3H) 3.68 (s, 2H) 4.27-4.32 (m, 2H) 4.35-4.41 (m, 2H) 4.41-4.48 (m, 1H) 7.14 (d, J = 7.90 Hz, 1H) 7.28 (br. t, J = 7.50, 7.50 Hz, 1H) 7.49-7.53 (m, 3H) 7.70-7.75 (m, 1H) 7.85 (br. d, J = 7.20 Hz, 1H) 8.60 (d, J = 2.41 Hz, 1H) 8.63 (d, J = 2.41 Hz, 1H) 9.18 (s, 1H)
10.15
Figure US09718803-20170801-C01807
(500 MHz, DMSO-d6) 3.35 (s, 3H) 4.27-4.32 (m, 2H) 4.34-4.40 (m, 2H) 4.43-4.50 (m, 1H) 7.14 (d, J = 7.90 Hz, 1H) 7.21 (dd, J = 8.00, 1.50 Hz, 1H) 7.28 (t, J = 7.45 Hz, 1H) 7.30 (s, 1H) 7.51 (d, J = 8.48 Hz, 1H) 7.70-7.74 (m, 1H) 7.84 (br. d, J = 7.90 Hz, 1H) 8.61 (d, J = 2.41 Hz, 1H) 8.64 (d, J = 2.40 Hz, 1H) 9.18 (s, 1H) 11.05 (s, 1H)
10.16
Figure US09718803-20170801-C01808
(500 MHz, d-CHLOROFORM) 3.98 (br. s., 2H) 4.41 (quin, J = 7.20 Hz, 1H) 4.53 (d, J = 7.20 Hz, 4H) 6.88 (t, J = 8.61 Hz, 1H) 7.11 (br. d, J = 8.00 Hz, 1H) 7.20-7.27 (m, 2H) 7.60-7.70 (m, 3H) 8.49 (d, J = 2.15 Hz, 1H) 8.52 (d, J = 2.15 Hz, 1H) 9.02 (s, 1H)
10.17
Figure US09718803-20170801-C01809
(500 MHz, d-CHLOROFORM) 2.45 (s, 3H) 4.37 (quin, J = 7.20 Hz, 1H) 4.45-4.57 (m, 4H) 7.23 (t, J = 7.34 Hz, 1H) 7.32 (d, 1H NMR (500 MHz, d-CHLOROFORM) δ J = 8.02 Hz, 2H) 7.41 (d, J = 8.00 Hz, 2H) 7.60-7.70 (m, 3H) 8.52 (d, J = 2.20 Hz, 1H) 8.56 (d, J = 2.15 Hz, 1H) 9.01 (s, 1H)
10.18
Figure US09718803-20170801-C01810
(500 MHz, d-CHLOROFORM) 3.66 (s, 3H) 4.36 (quin, J = 7.40 Hz, 1H) 4.46-4.59 (m, 4H) 6.55 (d, J = 7.43 Hz, 1H) 7.16 (d, J = 7.43 Hz, 1H) 7.24 (t, J = 7.40 Hz, 1H) 7.59-7.71 (m, 5H) 8.56-8.60 (m, 2H) 8.65 (d, J = 2.15 Hz, 1H) 9.01 (s, 1H)
10.19
Figure US09718803-20170801-C01811
(500 MHz, d-CHLOROFORM) 4.40-4.59 (m, 5H) 7.21-7.25 (m, 1H) 7.54-7.70 (m, 5H) 7.90 (s, 1H) 8.17 (s, 1H) 8.56 (d, J = 2.30 Hz, 1H) 8.60 (d, J = 2.35 Hz, 1H) 9.01 (s, 1H) 10.53 (br. s, 1H)
10.20
Figure US09718803-20170801-C01812
(400 MHz, d-CHLOROFORM) 4.42-4.59 (m, 5H) 7.23 (t, J = 7.43 Hz, 1H) 7.59-7.71 (m, 4H) 8.13 (d, J = 8.41 Hz, 1H) 8.29 (d, J = 0.78 Hz, 1H) 8.59 (d, J = 2.35 Hz, 1H) 8.64 (d, J = 2.35 Hz, 1H) 9.01 (s, 1H) 9.11 (s, 1H)
Figure US09718803-20170801-C01813
Example 11.1: (1H-Benzoimidazol-2-Yl)-(3-{3-[4-(1-Hydroxy-Ethyl)-Phenyl]-Pyrazin-2-Yl}-Azetidin-1-Yl)-Methanone
1-(4-{3-[1-(1H-benzoimidazole-2-carbonyl)-azetidin-3-yl]-pyrazin-2-yl}-phenyl)-ethanone (100 mg, 0.25 mmol, Scheme 2, Example 2.21) was dissolved in 10 ml of methanol. This solution was cooled down to 0° C. using an ice bath and sodium tetraborohydride (19 mg, 0.50 mmol) was added by portions. The reaction mixture was stirred for 4 h at ambient temperature, then saturated aqueous solution of ammonium chloride (5 mL) was added. The methanol was evaporated off under reduced pressure then the reaction mixture was taken up in ethyl acetate. The organic phase was separated from the aqueous phase. This extraction was repeated one more time and then the organic phases were combined and dried over magnesium sulphate, followed by concentrating under reduced pressure. The residue was purified by column chromatography to give the title compound (75 mg, 0.19 mmol, 75% yield).
The following Table 23A lists compounds of Examples 11.1 to 11.3, which were made analogous to Scheme 11 by using the appropriate materials and reaction conditions, which are listed in Table 23B. The NMR data of the Examples are listed in Table 23C.
TABLE 23A
EXAMPLES 11.1 TO 11.3
ESI-MS IC50
Ex. # Structure Chemical Name (M + 1) (uM)
11.1
Figure US09718803-20170801-C01814
(R & S)-(1H-Benzoimidazol-2- yl)-(3-{3-[4-(1-hydroxy-ethyl)- phenyl]-pyrazin-2-yl}-azetidin- 1-yl)-methanone 400 0.0288
11.2
Figure US09718803-20170801-C01815
(R & S)-(1H-Benzoimidazol-2- yl)-(3-{3-[3-(1-hydroxy-ethyl)- phenyl]-pyrazin-2-yl}-azetidin- 1-yl)-methanone 400 0.0778
11.3
Figure US09718803-20170801-C01816
(R & S)-(1H-Benzoimidazol-2- yl)-(3-{3-[4-(1-hydroxy-ethyl)- piperidin-1-yl]-pyrazin-2-yl}- azetidin-1-yl)-methanone 407 0.056
TABLE 23B
STARTING MATERIALS AND REACTION
CONDITION FOR PREPARATION OF EXAMPLES 11.1 TO 11.3.
Unless otherwise stated, all starting materials are commerically
available from common vendors.
Reaction
Ex. # Starting Material 1 Condition
11.1
Figure US09718803-20170801-C01817
NaBH4, MeOH 0° C.
11.2
Figure US09718803-20170801-C01818
NaBH4, MeOH 0° C.
11.3
Figure US09718803-20170801-C01819
NaBH4, MeOH 0° C.
TABLE 23C
1H NMR δ (PPM) DATA FOR EXAMPLES 11.1 TO 11.3
Ex. # Structure NMR
11.1
Figure US09718803-20170801-C01820
(DMSO, 400 MHz): 8.65 (d, J = 2.4 Hz, 1H); 8.54 (d, J = 2.4 Hz, 1H); 7.67-7.65 (m, 2 H); 7.56-7.54 (m, 2H); 7.49-7.47 (m, 2H); 7.37-7.34 (m, 2H); 4.99-4.98 (m, 2H); 4.91-4.90 (m, 1H); 4.42-4.39 (m, 3H); 1.49 (d, J = 6.4 Hz, 3H).
11.2
Figure US09718803-20170801-C01821
(CDCl3, 400 MHz): 8.44 (s, 2 H); 7.51 (brs, 2H); 7.36-7.35 (m, 3H); 7.23-7.19 (m, 3H); 4.91-4.90 (m, 3H); 4.39-4.13 (m, 3H); 1.43 (d, J = 6.0 Hz, 3H).
11.3
Figure US09718803-20170801-C01822
(CD3OD, 400 MHz): 8.17 (d, J = 2.4 Hz, 1H); 8.11 (d, J = 2.4 Hz, 1H); 7.67 (m, 2H), 7.26 (m, 2H); 5.18 (t, J = 7.6, 1H); 4.96 (m, 1H); 4.62 (t, J = 8.0 Hz, 1H); 4.46-4.40 (m, 1H); 4.42-4.36 (m, 1H); 3.61-3.53 (m, 1H); 3.45 (d, J = 8.4 Hz, 2H); 2.2.89-2.79 (m, 1H); 2.01-1.75 (m, 2H); 1.61-1.42 (m, 2H) 1.38 (d, J = 6.4 Hz, 1H); 1.19 (d, J = 6.4 Hz, 3H).
Figure US09718803-20170801-C01823
Example 12.1: 1-(4-{3-[1-(1H-Benzoimidazole-2-Carbonyl)-Azetidin-3-Yl]-Pyrazin-2-Yl}-Piperidin-1-Yl)-Ethanone Step 1. 4-{3-[1-(1H-Benzoimidazole-2-Carbonyl)-Azetidin-3-Yl]-Pyrazin-2-Yl}-3,6-Dihydro-2H-Pyridine-1-Carboxylic Acid Tert-Butyl Ester
To a mixture of (1H-Benzoimidazol-2-yl)-[3-(3-chloro-pyrazin-2-yl)-azetidin-1-yl]-methanone (188 mg, 0.6 mmol) in 1,4-dioxane/water (5:1, 12 mL) was added 4-(4,4,5,5-tetramethyl-[1,3,2]dioxaborolan-2-yl)-3,6-dihydro-2H-pyridine-1-carboxylic acid tert-butyl ester (278 mg, 0.9 mmol), K3PO4 (254 mg, 1.2 mmol) and Pd(dppf)Cl2 (44 mg, 0.06 mmol). The mixture was refluxed overnight. The reaction mixture was filtered and concentrated. The residue was purified by ISCO silica gel column (10% to 80% EtOAc in petroleum ether) to give 4-{3-[1-(1H-benzoimidazole-2-carbonyl)-azetidin-3-yl]-pyrazin-2-yl}-3,6-dihydro-2H-pyridine-1-carboxylic acid tert-butyl ester (221 mg, 0.48 mmol, yield 80%). ESI-MS (M+1): 461 calc. for C25H28N6O3 460.
Step 2. (1H-Benzoimidazol-2-Yl)-{3-[3-(1,2,3,6-Tetrahydro-Pyridin-4-Yl)-Pyrazin-2-Yl]-Azetidin-1-Yl}-Methanone Hydrochloride
To 4-{3-[1-(1H-Benzoimidazole-2-carbonyl)-azetidin-3-yl]-pyrazin-2-yl}-3,6-dihydro-2H-pyridine-1-carboxylic acid tert-butyl ester (217 mg, 0.47 mmol) was added 4 M HCl in MeOH (100 mL). The solution was stirred at RT for 2 h. The solvent was removed under reduced pressure to give (1H-benzoimidazol-2-yl)-{3-[3-(1,2,3,6-tetrahydro-pyridin-4-yl)-pyrazin-2-yl]-azetidin-1-yl}-methanone hydrochloride (187 mg, 0.47 mmol, yield 100%). ESI-MS (M+1): 361 calc. for C20H20N6O 360.
Step 3. 1-(4-{3-[1-(1H-Benzoimidazole-2-Carbonyl)-Azetidin-3-Yl]-Pyrazin-2-Yl}-3,6-Dihydro-2H-Pyridin-1-Yl)-Ethanone
To a solution of (1H-benzoimidazol-2-yl)-{3-[3-(1,2,3,6-tetrahydro-pyridin-4-yl)-pyrazin-2-yl]-azetidin-1-yl}-methanone hydrochloride (187 mg, 0.47 mmol) in dry CH2Cl2 (10 mL) was added Et3N (1 mL). The reaction mixture was cooled to 0° C. with an ice bath, and acetyl chloride (39 mg, 0.50 mmol) was added dropwise. After 1 h, the reaction mixture was warmed to RT, and stirred overnight. Then the reaction mixture was washed with brine, dried over Na2SO4, filtered, and concentrated under vacuum to give the crude product (170 mg, 0.42 mmol, 90% yield). ESI-MS (M+1): 403 calc. for C22H22N6O2 402.
Step 4. 1-(4-{3-[1-(1H-Benzoimidazole-2-Carbonyl)-Azetidin-3-Yl]-Pyrazin-2-Yl}-Piperidin-1-Yl)-Ethanone
A mixture of 1-(4-{3-[1-(1H-benzoimidazole-2-carbonyl)-azetidin-3-yl]-pyrazin-2-yl}-3,6-dihydro-2H-pyridin-1-yl)-ethanone (170 mg, 0.42 mmol) and wet Pd—C (50%, 50 mg) in MeOH (30 mL) was stirred under H2 (30 psi) at RT for 2 h then the reaction mixture was filtered through CELITE® and washed with MeOH. The filtrate was concentrated in vacuo and the residue was purified by ISCO silica gel column (10% to 50% EtOAc in petroleum ether) to give 1-(4-{3-[1-(1H-benzoimidazole-2-carbonyl)-azetidin-3-yl]-pyrazin-2-yl}-piperidin-1-yl)-ethanone (101 mg, 0.25 mmol, 60% yield).
1H NMR (CDCl3, 400 MHz): δ (ppm) 8.44 (dd, J=2.4, 4.0 Hz, 2H); 7.23-7.22 (m, 2H); 7.39-7.37 (m, 2H); 5.36-5.34 (m, 1H); 5.08-5.05 (m, 1H); 4.81-4.62 (m, 3H); 4.41-4.38 (m, 1H); 4.01 (d, J=13.2 Hz, 1H); 3.28-3.26 (m, 1H); 3.06-3.01 (m, 1H); 2.79-2.77 (m, 1H); 2.20 (s, 3H); 2.04-2.01 (m, 1H); 1.88-1.75 (m, 3H).
ESI-MS (M+1): 405. PDE10 IC50 (uM): 0.427.
Figure US09718803-20170801-C01824
Examples 13.1 and 13.2
Figure US09718803-20170801-C01825
Step 1. (1H-Benzoimidazol-2-Yl)-{3-[3-(4-Hydroxy-Piperidin-1-Yl)-Pyrazin-2-Yl]-Azetidin-1-Yl}-Methanone
To a mixture of (1H-benzoimidazol-2-yl)-[3-(3-chloro-pyrazin-2-yl)-azetidin-1-yl]-methanone (0.170 g, 0.50 mmol) and piperidin-4-ol (0.101 g, 1.0 mmol) was added triethylamine (0.10 g, 1.0 mmol) and DMSO (4 mL). The solution was heated to 120° C. for 4 h. Then the mixture was diluted with water (10 mL) and extracted with EtOAc (2×20 mL). The combined organic extracts were washed with water (10 mL) and brine (10 mL), dried over Na2SO4 and filtered. The filtrate was evaporated in vacuo and the residue was purified by flash column chromatography on silica gel (20% to 50% EtOAc in petroleum ether) to give (1H-benzoimidazol-2-yl)-{3-[3-(4-hydroxy-piperidin-1-yl)-pyrazin-2-yl]-azetidin-1-yl}-methanone (0.16 g, 0.42 mmol, 85% yield) as a white solid.
ESI-MS (M+1): 379 calc. for C20H22N6O2 378.
Figure US09718803-20170801-C01826
Step 2. 1-{3-[1-(1H-Benzoimidazole-2-Carbonyl)-Azetidin-3-Yl]-Pyrazin-2-Yl}-Piperidin-4-One
(1H-Benzoimidazol-2-yl)-{3-[3-(4-hydroxy-piperidin-1-yl)-pyrazin-2-yl]-azetidin-1-yl}-methanone (0.16 g, 0.42 mmol) was dissolved in anhydrous CH2Cl2 (20 mL), treated with Dess-Martin Periodinane (DMP) (195 mg, 0.46 mmol, 1.1 equiv) and stirred at RT until complete conversion controlled by TLC (Petro ether:EtOAc=1:1). The organic layer was washed with an aqueous solution of NaHCO3/Na2S2O3 (3×10 mL)), dried over Na2SO4, filtered and evaporated. The resulting residue was purified by flash chromatography (20% to 40% EtOAc in petroleum ether) to give 1-{3-[1-(1H-benzoimidazole-2-carbonyl)-azetidin-3-yl]-pyrazin-2-yl}-piperidin-4-one (0.134 g, 0.36 mmol, 85% yield) as a white solid.
1H NMR (CDCl3, 400 MHz): δ (ppm) 8.24-8.14 (m, 2H); 7.71-7.68 (m, 2H); 7.35-7.24 (m, 2H); 5.34-5.30 (m, 1H); 5.08-5.04 (m, 1H); 4.69-4.60 (m, 2H); 4.39-4.31 (m, 1H); 3.55-3.44 (m, 4H); 2.67-2.57 (m, 4H).
ESI-MS (M+1): 377 calc. for C20H20N6O2 376.
PDE10 IC50 (uM): 0.0956.
Figure US09718803-20170801-C01827
Step 3. (1H-Benzoimidazol-2-Yl)-{3-[3-(4,4-Difluoro-Piperidin-1-Yl)-Pyrazin-2-Yl]-Azetidin-1-Yl}-Methanone
In a 50 mL flask, 1-{3-[1-(1H-benzoimidazole-2-carbonyl)-azetidin-3-yl]-pyrazin-2-yl}-piperidin-4-one (0.134 g, 0.36 mmol) was dissolved in anhydrous CH2Cl2 (15 mL). The solution was cooled to −10° C. under nitrogen atmosphere and DAST (0.12 g, 0.72 mmol) was added dropwise. The reaction mixture was allowed to warm to RT and stirred for 2 h. The mixture was poured into cold water (10 mL). The separated aqueous phase was extracted twice with CH2Cl2 (20 mL), and the combined organic phases were dried over MgSO4. After filtration, the solvent was evaporated in vacuo, and the concentrate was purified via flash chromatography on silica gel (20% to 45% EtOAc in petroleum ether) to give (1H-benzoimidazol-2-yl)-{3-[3-(4,4-difluoro-piperidin-1-yl)-pyrazin-2-yl]-azetidin-1-yl}-methanone (0.114 g, 0.29 mmol, 80% yield) as a white solid.
1H NMR (CDCl3, 400 MHz): δ (ppm) 8.15 (d, J=1.6 Hz, 1H); 8.07 (d, J=2.4, 1H); 7.64-7.62 (m, 2H); 7.29-7.26 (m, 2H); 5.26-5.22 (m, 1H); 5.00-4.96 (m, 1H); 4.56-4.54 (m, 2H); 4.23-4.19 (m, 1H); 3.23-3.20 (m, 4H); 2.12-2.04 (m, 4H).
ESI-MS (M+1): 399 calc. for C20H20F2N6O 398.
PDE10 IC50 (uM): 0.0765.
Figure US09718803-20170801-C01828
Example 14.1: (1H-Benzoimidazol-2-Yl)-{3-[3-(4-Hydroxy-4-Methyl-Piperidin-1-Yl)-Pyrazin-2-Yl]-Azetidin-1-Yl}-Methanone
To a solution of 1-{3-[1-(1H-benzoimidazole-2-carbonyl)-azetidin-3-yl]-pyrazin-2-yl}-piperidin-4-one (150 mg, 0.40 mol, SCHEME 13, Ex. 13.1) in 20 mL of THF was added CH3MgBr (0.60 mol, 3 M in ether) dropwise at 0° C. The mixture was stirred for 1 h at RT and then quenched with saturated aqueous NH4Cl. The resulting mixture was extracted with EtOAc (2×20 mL) and the combined organic layers were dried over anhydrous Na2SO4, filtered and concentrated to give crude product which was purified by prep. TLC (EtOAc:Petrol ether=1:1) to give (1H-benzoimidazol-2-yl)-{3-[3-(4-hydroxy-4-methyl-piperidin-1-yl)-pyrazin-2-yl]-azetidin-1-yl}-methanone (0.109 g, 0.28 mmol, 70% yield) as a white solid.
1H NMR (CD3OD, 400 MHz): δ (ppm) 8.12 (d, J=2.8 Hz, 1H); 8.05 (d, J=2.8 Hz, 1H); 7.63-7.56 (m, 2H); 7.29-7.26 (m, 2H); 5.21-5.16 (m, 1H); 4.57-4.54 (m, 2H); 3.28-3.20 (m, 2H); 3.11-3.08 (m, 2H); 1.81-1.70 (m, 4H); 1.27 (s, 3H).
ESI-MS (M+1): 393. PDE10 IC50 (uM): 0.131.
Figure US09718803-20170801-C01829
Example 15.1: (1H-Benzoimidazol-2-Yl)-[3-(5-Phenyl-Pyrimidin-4-Yl)-Azetidin-1-Yl]-Methanone Step 1. 3-(5-Bromo-2-Chloro-Pyrimidin-4-Yl)-Azetidine-1-Carboxylic Acid Tert-Butyl Ester
A 100 mL 3-neck round bottom flask fitted with a magnetic stirrer and flushed with nitrogen was charged with zinc dust (813 mg, preactivated according to the above Preparation 1, 12.7 mmol) and DMA (10 mL, anhydrous). 1,2-dibromoethane (236 mg, 1.27 mmol) was added slowly, followed by TMSCl (137 mg, 1.27 mmol). The reaction was stirred for 15 minutes at RT. A solution of N-Boc-3-iodoazetidine (2.7 g, 9.5 mmol) in DMA (10 mL, anhydrous) was added dropwise. The suspension was stirred for 1 h at RT.
A 100 mL 3-neck round bottom flask fitted with a mechanical stirrer was charged with 5-bromo-2,4-dichloro-pyrimidine (2 g, 4.42 mmol), Pd(dppf)Cl2 (324 mg, 0.442 mmol), CuI (84 mg, 0.442 mmol), and DMA (20 mL, anhydrous). The dark solution was degassed for 15 minutes. The clear zinc reagent solution above the residual solid zinc was transferred to the above 100 mL flask by cannulation. The dark solution was degassed and heated to 80° C. for 16 h. The reaction was diluted with brine and extracted with EtOAc (3×100 mL). The combined organics were washed with water (2×100 mL) and brine (100 mL), followed by drying over sodium sulfate. The solution was concentrated and the residue was purified by flash column chromatography provides the title compound (0.7 g, 2.0 mmol, yield: 46%). ESI-MS (M+1): 348 calc. for C12H15BrClN3O2347.
Step 2. 4-Azetidin-3-Yl-5-Bromo-2-Chloro-Pyrimidine Hydrochloride
The mixture of 3-(5-bromo-2-chloro-pyrimidin-4-yl)-azetidine-1-carboxylic acid tert-butyl ester (0.7 g, 2.0 mmol) in HCl/MeOH (10 mL) was stirred at RT for 1 h. Then it was concentrated to give 4-azetidin-3-yl-5-bromo-2-chloro-pyrimidine hydrochloride (0.57 g, 2.0 mmol, yield 100%) which was used in the next step without further purification. ESI-MS (M+1): 248 calc. for C7H7BrClN3 247.
Step 3. (1H-Benzoimidazol-2-Yl)-[3-(5-Bromo-2-Chloro-Pyrimidin-4-Yl)-Azetidin-1-Yl]-Methanone
To a solution of 4-azetidin-3-yl-5-bromo-2-chloro-pyrimidine hydrochloride (0.57 mg, 2.0 mmol) in DCM (20 mL) were added HATU (1.5 g, 4.0 mmol), TEA (404 mg, 4 mmol) and 1H-benzoimidazole-2-carboxylic acid (398 mg, 2.4 mmol). The reaction mixture was stirred at RT for 12 h. TLC showed that most of starting materials were consumed completely. Then the solution was washed with aqueous HCl (1 mol/L) (50 mL×3), saturated aqueous NaHCO3 (50 mL×3) and brine, dried over MgSO4. The solution was evaporated, the residue was purified by column chromatography to give the product (206 mg, 0.53 mmol, yield: 27%). ESI-MS (M+1): 392 calc. for C15H11BrClN5O 391.
Step 4. (1H-Benzoimidazol-2-Yl)-[3-(2-Chloro-5-Phenyl-Pyrimidin-4-Yl)-Azetidin-1-Yl]-Methanone
A solution of (1H-benzoimidazol-2-yl)-[3-(5-bromo-2-chloro-pyrimidin-4-yl)-azetidin-1-yl]-methanone (206 mg, 0.53 mmol) in dioxane (15 mL) was treated with Na2CO3 (112 mg, 1.1 mmol dissolved 1 mL of H2O), followed by additional of phenylboronic acid (78 mg 0.64 mmol) and Pd(dppf)Cl2 (37 mg, 0.05 mmol). The resulting mixture was heated at refluxing overnight under N2 atmosphere. TLC showed that most of the staring materials were consumed completely. The solution was filtered, and the filter was concentrated. And the residue was purified by silica gel chromatography to give the product (102 mg, 0.28 mmol, yield: 53%). ESI-MS (M+1): 362 calc. for C21H16ClN5O 361.
Step 5. (1H-Benzoimidazol-2-Yl)-[3-(5-Phenyl-Pyrimidin-4-Yl)-Azetidin-1-Yl]-Methanone
To a solution of (1H-Benzoimidazol-2-yl)-[3-(2-chloro-5-phenyl-pyrimidin-4-yl)-azetidin-1-yl]-methanone (102 mg, 0.28 mmol) in MeOH (10 mL) was added Pd/C (100 mg). The reaction solution was stirred at RT overnight under H2 atmosphere. The mixture was filtered and concentrated to give the product (51 mg, 0.16 mmol, yield: 55%).
1H NMR: (CDCl3, 400 MHz): δ (ppm) 9.19 (s, 1H), 8.61 (s, 1H), 7.61-7.57 (m, 2H), 7.49-7.41 (m, 5H), 7.31-7.18 (m, 2H), 5.07 (d, J=6.8 Hz, 2H), 4.59-4.57 (m, 1H), 4.39-4.34 (m, 1H), 4.18-4.14 (m, 1H).
ESI-MS (M+1): 328.
PDE10 IC50 (uM): 0.0291.
Figure US09718803-20170801-C01830
Example 16.1: 2-(3-(3-(Prop-1-Yn-1-Yl)Pyrazin-2-Yl)Azetidin-1-Yl)Quinoline
A mixture of 2-(3-(3-chloropyrazin-2-yl)azetidin-1-yl)quinoline (0.200 g, 0.674 mmol), tributyl(prop-1-yn-1-yl)stannane (0.266 g, 0.809 mmol), and bis(tri-t-butylphosphine)palladium (o) (0.017 g, 0.034 mmol) in p-dioxane (4 mL) was heated at 100° C. in 16 h. The reaction mixture was cooled, concentrated, and purified by ISCO (0-60% EtOAc/Hexanes) to give the title compound (128 mg, 68%).
1H NMR (300 MHz, MeOH) 8.56 (1H, d, J=2.5 Hz), 8.44 (1H, d, J=2.5 Hz), 8.04 (1H, d, J=9.1 Hz), 7.71 (2H, dd, J=7.8, 5.6 Hz), 7.58 (1H, td, J=7.7, 1.3 Hz), 7.27 (1H, t, J=7.5 Hz), 6.80 (1H, d, J=8.9 Hz), 4.51-4.66 (5H, m), 2.21 (3H, s).
ESI-MS (M+1): 601. PDE10 IC50 (μM): 0.077.
Figure US09718803-20170801-C01831
Example 17.1: 2-[3-(3-M-Tolyl-Pyrazin-2-Yl)-Azetidin-1-Yl]-Quinoline
To a solution of 2-azetidin-3-yl-3-m-tolyl-pyrazine hydrochloride (131 mg, 0.05 mmol) and 2-chloro-quinoline (82 mg, 0.05 mmol) in DMF (10 mL) was added Cs2CO3 (325 mg, 1.0 mmol). The reaction mixture was stirred at 100° C. overnight. The reaction mixture was diluted with water, extracted with EtOAc (30 mL×2). The combined organic extracts were washed with water (30 mL) and brine (30 mL), dried over Na2SO4 and filtered. The filtrate was evaporated in vacuo and the residue was purified by flash column chromatography on silica gel (20% to 40% EtOAc in petroleum ether) to give 2-[3-(3-m-tolyl-pyrazin-2-yl)-azetidin-1-yl]-quinoline (44 mg, 0.13 mmol, 25%).
The following Table 24A lists compounds of Examples 17.1 to 17.6, which were made analogous to Scheme 17 by using the appropriate materials and reaction conditions, which are listed in Table 24B. The NMR data of the Examples are listed in Table 24C.
TABLE 24A
EXAMPLES 17.1 TO 17.6
Chemical ESI-MS
Ex. # Structure Name (M + 1) IC50 (uM)
17.1
Figure US09718803-20170801-C01832
2-[3-(3-m-Tolyl- pyrazin-2-yl)- azetidin-1-yl]- quinoline 353 0.00178
17.2
Figure US09718803-20170801-C01833
2-[3-(3-m-Tolyl- pyrazin-2-yl)- azetidin-1-yl]- quinazoline 354 0.012 
17.3
Figure US09718803-20170801-C01834
2-[3-(3-m-Tolyl- pyrazin-2-yl)- azetidin-1-yl]- quinoxaline 354 0.0209 
17.4
Figure US09718803-20170801-C01835
2-[3-(3-m-Tolyl- pyrazin-2-yl)- azetidin-1-yl]- benzothiazole 359 0.0319 
17.5
Figure US09718803-20170801-C01836
2-{3-[3-(3- Methoxy- phenyl)- pyrazin-2-yl]- azetidin-1-yl}- quinoline 369 0.00299
17.6
Figure US09718803-20170801-C01837
2-{3-[3-(3- Methoxy- phenyl)- pyrazin-2-yl]- azetidin-1-yl}- quinazoline 370 0.00929
TABLE 24B
STARTING MATERIALS AND REACTION CONDITION FOR
PREPARATION OF EXAMPLES 17.1 TO 17.6.
Unless otherwise stated, all starting materials are commercially available from common vendors.
Ex. # Starting Material 1 Starting Material 2 Reaction Condition
17.1
Figure US09718803-20170801-C01838
Figure US09718803-20170801-C01839
Cs2CO3, DMF, 100° C.
17.2 31 PREPARATION 9
Figure US09718803-20170801-C01840
Cs2CO3, DMF, 100° C.
17.3 31 PREPARATION 9
Figure US09718803-20170801-C01841
Cs2CO3, DMF, 100° C.
17.4 31 PREPARATION 9
Figure US09718803-20170801-C01842
Cs2CO3, DMF, 100° C.
17.5
Figure US09718803-20170801-C01843
Figure US09718803-20170801-C01844
Cs2CO3, DMF, 100° C.
17.6 34 PREPARATION 10
Figure US09718803-20170801-C01845
Cs2CO3, DMF, 100° C.
TABLE 24C
1H NMR δ (PPM) DATA FOR EXAMPLES 17.1 TO 17.6
Ex. # Structure NMR
17.1
Figure US09718803-20170801-C01846
(CDCl3, 400 MHz): 8.53-8.49 (m, 2H); 7.99 (d, J = 8.4 Hz, 1H); 7.92 (d, J = 8.4 Hz, 1H); 7.60 (t, J = 6.4 Hz, 2H); 7.33 (dd, J = 2.4, 7.6 Hz, 2H); 7.24 (d, J = 7.6 Hz, 1H); 7.19 (s, 1H); 7.12 (d, J = 7.6 Hz, 1H); 7.19 (s, 1H); 7.12 (d, J = 7.6 Hz, 1H); 6.53 (d, J = 9.2 Hz, 1H); 4.89 (br s, 1H); 4.72-4.68 (m, 2H); 4.48-4.42 (m, 2H); 2.37 (s, 3H)
17.2
Figure US09718803-20170801-C01847
CD3OD, 400 MHz): 9.04 (s, 1H); 8.12 (d, J = 1.2 Hz, 1H); 8.49 (d, J = 1.2 Hz, 1H); 7.71-7.67 ( m, 2H); 7.54-7.52 (m, 1H); 7.41 (t, J = 7.6 Hz, 1H); 7.33-7.26 (m, 2H); 7.285-7.23 (m, 2H); 4.38-4.36 (m, 5H); 2.43 (s, 3H)
17.3
Figure US09718803-20170801-C01848
(CD3OD, 400 MHz): 8.62 (d, J = 2.4 Hz, 1H); 8.52 (d, J = 2.4 Hz, 1H); 8.17 (s, 1H), 7.79-7.76 (m, 1H); 7.61 (dd, J = 1.6, 8.8 Hz, 1H); 7.57-7.52 (m, 1H); 7.43 (t, J = 7.6 Hz, 1H); 7.37-7.33 (m, 3H); 7.29 (d, J = 7.6 Hz, 1H); 4.44-4.39 (m, 5H); 2.45(s, 3H).
17.4
Figure US09718803-20170801-C01849
(CD3OD, 400 MHz): 8.63 (d, J = 1.2 Hz, 1H); 8.51 (d, J = 1.6 Hz, 1H); 7.60 (d, J = 8.0 Hz, 1H); 7.44- 7.39 (m, 2H); 7.34-7.30 (m, 2H); 7.27-7.22 (m, 2H); 7.06-7.02 (m, 1H); 4.44-4.40 (m, 1H); 4.35-4.25 (m, 4H); 2.43 (s, 3H).
17.5
Figure US09718803-20170801-C01850
(CD3OD, 400 MHz): 8.54 (s, 1H); 8.50 (d, J = 0.8 Hz, 1H); 7.83 (d, J = 8.8 Hz, 1H); 7.71 (d, J = 8.4 Hz, 1H); 7.57 (d, J = 8.0 Hz, 1H); 7.50 (t, J = 7.2 Hz, 1H); 7.40 (t, J = 8.0 Hz, 1H); 7.18 (t, J = 7.2 Hz, 1H); 7.05-7.00 (m, 3H); 6.60 (d, J = 8.8 Hz, 1H); 4.47-4.38 (m, 5H); 3.86 (s, 3H).
17.6
Figure US09718803-20170801-C01851
(CDCl3, 400 MHz): 8.96 (s, 1H); 8.53 (d, J = 2.8 Hz, 1H); 8.46 (d, J = 2.4 Hz, 1H); 7.62-7.55 (m, 3H); 7.38-7.33 (m, 1H); 7.16-7.13 (m, 1H); 7.01- 6.95 (m, 3H); 4.51-4.41 (m, 4H); 4.35-4.29 (m, 1H); 3.80 (s, 3H).
Figure US09718803-20170801-C01852
Example 18.1: 2-{3-[3-(3-Methoxy-Phenyl)-Pyridin-2-Yl]-Azetidin-1-Yl}-Quinoline
To a solution of 2-[3-(3-bromo-pyridin-2-yl)-azetidin-1-yl]-quinoline (339 mg, 1 mmol), 3-methoxy-phenylboronic acid (167.2 mg, 1.1 mmol), K3PO4 (414 mg, 2.0 mmol) in dioxane (20 mL) and water (2 mL) was added Pd(dppf)Cl2 (36.6 mg, 0.05 mmol) then the reaction mixture was stirred at 90° C. under nitrogen atmosphere overnight. The reaction mixture was filtered through CELITE® and washed with EtOAc (50 mL). The filtrate was concentrated and the crude product was purified by ISCO silica gel column (10% to 80% EtOAc in petroleum ether) to give 2-{3-[3-(3-methoxy-phenyl)-pyridin-2-yl]-azetidin-1-yl}-quinoline (132 mg, 0.36 mmol, yield 36%).
The following Table 25A lists compounds of Examples 18.1 to 18.2, which were made analogous to Scheme 18 by using the appropriate materials and reaction conditions, which are listed in Table 25B. The NMR data of the Examples are listed in Table 25C.
TABLE 25A
EXAMPLES 18.1 TO 18.2
ESI-
MS IC50
Ex. # Structure Chemical Name (M + 1) (uM)
18.1
Figure US09718803-20170801-C01853
2-{3-[3-(3-Methoxy- phenyl)-pyridin-2-yl]- azetidin-1-yl}-quinoline 368 0.00493
18.2
Figure US09718803-20170801-C01854
2-[3-(3-m-Tolyl-pyridin-2- yl)-azetidin-1-yl]-quinoline 352 0.00609
TABLE 25B
STARTING MATERIALS AND REACTION CONDITION FOR
PREPARATION OF EXAMPLES 18.1 TO 18.2.
Unless otherwise stated, all starting materials are commercially available from common vendors.
Ex. # Starting Material 1 Starting Material 2 Reaction Condition
18.1
Figure US09718803-20170801-C01855
Figure US09718803-20170801-C01856
Pd(dppf)Cl2, K3PO4, Dioxane/water
18.2
Figure US09718803-20170801-C01857
Figure US09718803-20170801-C01858
Pd(dppf)Cl2, K3PO4, Dioxane/water
TABLE 25C
1H NMR δ (PPM) DATA FOR EXAMPLES 18.1 TO 18.2
Ex. # Structure NMR
18.1
Figure US09718803-20170801-C01859
(CDCl3, 400 MHz): 8.79 (s, 1H); 8.03 (d, J = 9.2 Hz, 1H): 7.93 (d, J = 8.0 Hz, 1H); 7.78 (d, J = 8.8 Hz, 1H); 7.66-7.62 (m, 2H); 7.59-7.56 (m, 1H); 7.40-7.35 (m, 2H); 6.99-6.97 (m, 1H); 6.75 (t, J = 8.4 Hz, 2H); 6.57 (d, J = 9.2 Hz, 1H); 4.75 (s, 3H); 4.54-4.52 (m, 2H); 3.79 (s, 3H).
18.2
Figure US09718803-20170801-C01860
(CDCl3, 400 MHz); 8.65 (s, 1H); 7.99 (d, J = 9.2 Hz, 1H); 7.88 (d, J = 8.4 Hz, 1H); 7.67-7.59 (m, 3H); 7.35-7.30 (m, 3H); 7.22-7.19 (m, 1H); 6.95 (d, J = 11.6 Hz, 2H); 6.54 (d, J = 5.2 Hz, 1H); 4.74 (s, 3H); 4.33 (s, 2H); 2.37 (s, 3H).
Figure US09718803-20170801-C01861
Example 19.1: (R & S)-2-{3-[3-(3-Methyl-Pyrrolidin-1-Yl)-Pyridin-2-Yl]-Azetidin-1-Yl}-Quinoline
To a solution of 2-[3-(3-bromo-pyridin-2-yl)-azetidin-1-yl]-quinoline (339 mg, 1 mmol), 3-methyl-pyrrolidine (93.5 mg, 1.1 mmol), BINAP (31.1 mg, 0.05 mmol), t-BuONa (196 mg, 2 mmol) in dioxane (25 mL) was added Pd2(dba)3 (45.75 mg, 0.05 mmol) then the reaction mixture was stirred at 90° C. under nitrogen atmosphere overnight. The reaction mixture was filtered through CELITE® and washed with EtOAc (50 mL). The filtrate was concentrated and the crude product was purified by ISCO silica gel column (10% to 80% EtOAc in petroleum ether) to give 2-{3-[3-(3-methyl-pyrrolidin-1-yl)-pyridin-2-yl]-azetidin-1-yl}-quinoline (64 mg, 0.19 mmol, yield 19%).
The following Table 26A lists compounds of Examples 19.1 to 19.2, which were made analogous to Scheme 19 by using the appropriate materials and reaction conditions, which are listed in Table 26B. The NMR data of the Examples are listed in Table 26C.
TABLE 26A
EXAMPLES 19.1 TO 19.2
ESI-MS IC50
Ex. # Structure Chemical Name (M + 1) (uM)
19.1
Figure US09718803-20170801-C01862
(R & S)-2-{3-[3-(3-Methyl- pyrrolidin-1-yl)-pyridin-2-yl]- azetidin-1-yl}-quinoline 345 0.864
19.2
Figure US09718803-20170801-C01863
4-Methyl-2′-(1-quinolin-2-yl- azetidin-3-yl)-3,4,5,6- tetrahydro-2H- [1,3′]bipyridinyl 345 0.00522
TABLE 26B
STARTING MATERIALS AND REACTION CONDITION FOR
PREPARATION OF EXAMPLES 19.1 TO 19.2.
Unless otherwise stated, all starting materials are commercially available from common vendors.
Ex. # Starting Material 1 Starting Material 2 Reaction Condition
19.1
Figure US09718803-20170801-C01864
Figure US09718803-20170801-C01865
Pd2(dba)3, BINAP, t- BuONa, dioxane
19.2
Figure US09718803-20170801-C01866
Figure US09718803-20170801-C01867
Pd2(dba)3, BINAP, t- BuONa, dioxane
TABLE 26C
1H NMR δ (PPM) DATA FOR EXAMPLES 19.1 TO 19.2
Ex. # Structure NMR
19.1
Figure US09718803-20170801-C01868
(CDCl3, 400 MHz): 8.22 (s, 1H); 8.02 (d, J = 9.2 Hz, 1H); 7.96 (d, J = 8.4, 1H); 7.67-7.62 (m, 2H); 7.40- 7.31 (m, 3H); 6.62 (d, J = 9.2 Hz, 1H); 5.04-4.74 (m, 3H); 4.60-4.57 (m, 1H); 3.42 (s, 1H); 3.41-3.32 (m, 1H); 3.27-3.18 (m, 1H); 2.91-2.86 (m, 1H); 2.39- 2.33 (m, 1H); 2.14-2.09 (m, 1H); 1.62-1.57 (m, 1H); 1.19 (s, 1H); 1.09 (d, J = 2.4 Hz, 3H).
19.2
Figure US09718803-20170801-C01869
(CDCl3, 400 MHz): 8.32-8.31 (m, 1H); 7.85 (d, J = 8.8 Hz, 1H); 7.73 (d, J = 8.4 Hz, 1H), 7.60-7.58 (m, 1H); 7.53-7.51 (m, 1H); 7.34-7.32 (m, 1H); 7.26- 7.21 (m, 1H); 7.19-7.10 (m, 1H); 6.66 (d, J = 8.8 Hz, 1H); 4.59-4.52 (m, 3H); 4.51-4.47 (m, 2H); 2.81 (m, 4H); 1.79-1.68 (m, 4H); 1.62-1.56 (m, 2H).
Figure US09718803-20170801-C01870
Example 20.1: {1-[3-(1-Quinolin-2-Yl-Piperidin-4-Yl)-Pyrazin-2-Yl]-Piperidin-4-Yl}-Methanol
To a solution of [1-(3-piperidin-4-yl-pyrazin-2-yl)-piperidin-4-yl]-methanol hydrochloride (156 mg, 0.5 mmol) and 2-chloro-quinoline (81.5 mg 0.5 mmol) in DMF (5 mL) was added Cs2CO3 (325 mg, 1 mmol). The reaction mixture was stirred at 100° C. overnight. The reaction mixture was diluted with water, extracted with EtOAc (2×20 mL). The combined organic extracts were washed with water (15 mL) and brine (15 mL), dried over Na2SO4 and filtered. The filtrate was evaporated in vacuo and the residue was purified by flash column chromatography on silica gel to give {1-[3-(1-quinolin-2-yl-piperidin-4-yl)-pyrazin-2-yl]-piperidin-4-yl}-methanol (142 mg, 0.35 mmol, yield 70.47%).
The following Table 27A lists compounds of Examples 20.1 to 20.10, which were made analogous to Scheme 20 by using the appropriate materials and reaction conditions, which are listed in Table 27B. The NMR data of the Examples are listed in Table 27C.
TABLE 27A
EXAMPLES 20.1 TO 20.10
ESI-MS IC50
Ex. # Structure Chemical Name (M + 1) (uM)
20.1
Figure US09718803-20170801-C01871
{1-[3-(1-Quinolin-2-yl- piperidin-4-yl)-pyrazin- 2-yl]-piperidin-4-yl}- methanol 404 0.00172
20.2
Figure US09718803-20170801-C01872
{1-[3-(1-Quinolin-2-yl- azetidin-3-yl)-pyrazin-2- yl]-piperidin-4-yl}- methanol 376 0.00114
20.3
Figure US09718803-20170801-C01873
{1-[3-(1-Quinazolin-2- yl-azetidin-3-yl)- pyrazin-2-yl]-piperidin- 4-yl}-methanol 377 0.00256
20.4
Figure US09718803-20170801-C01874
4-[3-(1-Quinolin-2-yl- azetidin-3-yl)-pyrazin-2- yl]-phenylamine 377 >10
20.5
Figure US09718803-20170801-C01875
{1-[3-(1-Benzothiazol- 2-yl-azetidin-3-yl)- pyrazin-2-yl]-piperidin- 4-yl}-methanol 382 0.0323
20.6
Figure US09718803-20170801-C01876
{1-[3-(1-Benzooxazol- 2-yl-azetidin-3-yl)- pyrazin-2-yl]-piperidin- 4-yl}-methanol 366 2.170
20.7
Figure US09718803-20170801-C01877
(1-{3-[1-(5-Methyl- pyridin-2-yl)-azetidin-3- yl]-pyrazin-2-yl}- piperidin-4-yl)-methanol 340 0.583
20.8
Figure US09718803-20170801-C01878
2-(4-benzylpiperidin-1- yl)-3-(1-(quinolin-2- yl)azetidin-3- yl)quinoxaline 426 0.00243
20.9
Figure US09718803-20170801-C01879
[5′-Fluoro-2′-(1-quinolin- 2-yl-azetidin-3-yl)-3,4,5,6- tetrahydro-2H-[1,3′] bipyridinyl-4-yl]-methanol 393 0.181
20.10
Figure US09718803-20170801-C01880
{1-[3-(1-Quinolin-2-yl- azetidin-3-yl)-pyridazin- 4-yl]-piperidin-4-yl}- methanol 376 0.0322
TABLE 27B
STARTING MATERIALS AND REACTION CONDITION FOR
PREPARATION OF EXAMPLES 20.1 TO 20.10.
Unless otherwise stated, all starting materials are commercially available from common vendors.
Ex. # Starting Material 1 Starting Material 2 Reaction Condition
20.1
Figure US09718803-20170801-C01881
Figure US09718803-20170801-C01882
Cs2CO3, DMF; 100° C.
20.2
Figure US09718803-20170801-C01883
Figure US09718803-20170801-C01884
Cs2CO3, DMF; 100° C.
20.3
Figure US09718803-20170801-C01885
Figure US09718803-20170801-C01886
Cs2CO3, DMF; 100° C.
20.4
Figure US09718803-20170801-C01887
Figure US09718803-20170801-C01888
Cs2CO3, DMF; 100° C.
20.5
Figure US09718803-20170801-C01889
Figure US09718803-20170801-C01890
Cs2CO3, DMF; 100° C.
20.6
Figure US09718803-20170801-C01891
Figure US09718803-20170801-C01892
Cs2CO3, DMF; 100° C.
20.7
Figure US09718803-20170801-C01893
Figure US09718803-20170801-C01894
Cs2CO3, DMF; 100° C.
20.8
Figure US09718803-20170801-C01895
Figure US09718803-20170801-C01896
Cs2CO3, DMF; 100° C.
20.9
Figure US09718803-20170801-C01897
Figure US09718803-20170801-C01898
Cs2CO3, DMF; 100° C.
20.10
Figure US09718803-20170801-C01899
Figure US09718803-20170801-C01900
Cs2CO3, DMF; 100° C.
TABLE 27C
1H NMR δ (PPM) DATA FOR EXAMPLES 20.1 TO 20.10
Ex. # Structure NMR
20.1
Figure US09718803-20170801-C01901
(CDCl3, 400 MHz): 8.28-8.15 (m, 4H); 7.80-7.69 (m, 2H); 7.52-7.44 (m, 1H); 7.14 (d, J = 8.0 Hz, 1H); 4.62 (s, 2H); 4.30 (d, J = 6.4 Hz, 1H); 3.64 (d, J = 29.4 Hz, 3H); 3.44 (d, J = 7.6 Hz, 3H); 2.97-2.91 (m, 2H); 2.10 (s, 4H); 1.90 (d, J = 6.4 Hz, 2H); 1.74 (s, 1H); 1.55 (d, J = 9.6 Hz, 2H).
20.2
Figure US09718803-20170801-C01902
(CDCl3, 400 MHz): 8.15 (d, J = 2.4 Hz, 1H); 8.07 (d, J = 2.0 Hz, 1H); 7.87 (d, J = 8.4 Hz, 1H); 7.74 (d, J = 8.4 Hz, 1H); 7.60 (d, J = 7.6 Hz, 1H); 7.53 (t, J = 7.2 Hz, 1H); 7.23-7.19(m, 1H); 6.65 (d, J = 8.8 Hz, 1H); 4.55 (t, J = 8.0 Hz, 2H); 4.46 (t, J = 6.4 Hz, 2H); 4.34- 4.28 (m, 1H); 3.58 (d, J = 6.0 Hz, 2H); 3.44 (d, J = 12.8 Hz, 2H); 2.89-2.82 (m, 2H); 2.06 (s, 1H); 1.87 (d, J = 12.0 Hz, 1H); 1.74-1.68 (m, 1H); 1.52-1.41 (m, 2H).
20.3
Figure US09718803-20170801-C01903
(CD3OD, 400 MHz): 9.01 (s, 1H); 8.06 (d, J = 2.8 Hz, 1H); 8.01 (d, J = 2.4 Hz, 1H); 7.71 (dd, J = 2.4, 8.0 Hz, 1H); 7.67-7.63 (m, 1H); 7.49 (d, J = 8.4 Hz, 1H); 7.22-7.18 (m, 1H); 4.52 (t, J = 8.0 Hz, 2H); 4.36- 4.30 (m, 2H); 4.28-4.26 (m, 1H); 3.40 (d, J = 6.4 Hz, 4H); 3.37 (s, 1H); 2.81-2.74 (m, 2H); 1.81-1.78 (m, 2H); 1.61-1.54(m, 1H); 1.43-1.39 (m, 2H).
20.4
Figure US09718803-20170801-C01904
(CD3OD, 400 MHz): 8.91 (dd, J = 2.4, 7.2 Hz, 1H); 8.64 (dd, J = 0.8, 2.4 Hz, 1H); 8.31 (s, 1H); 7.82 (d, J = 8.4 Hz, 1H); 7.67 (m, 1H); 7.66-7.59 (m, 1H); 7.44-7.40 (m, 1H); 4.73-4.72 (m, 1H); 4.31-4.25 (m, 4H); 4.17-4.16 (m, 1H); 4.08-4.05 (m, 1H); 3.83- 3.75 (m, 3H); 3.52 (d, J = 6.4 Hz, 2H); 2.11-1.96 (m, 4H).
20.5
Figure US09718803-20170801-C01905
(CD3OD, 400 MHz): 8.22-8.20 (m, 1H); 8.17-8.15 (dd, J = 2.4, 8.4 Hz, 1H); 7.87 (d, J = 8.0 Hz, 1H); 7.62-7.58 (m, 2H); 7.49-7.44 (m, 1H); 4.62 (m, 1H); 4.54 (m, 1H); 4.32 (d, J = 6.8 Hz, 1H); 4.05-4.01 (m, 2H); 3.94-3.89 (m, 1H); 3.54-3.51 (m, 1H); 3.47 (d, J = 10.4 Hz, 2H); 3.02-2.90 (m, 2H); 1.93-1.86 (m, 2H); 1.58-1.45 (m, 3H).
20.6
Figure US09718803-20170801-C01906
(CD3OD, 400 MHz): 8.91 (d, J = 2.8 Hz, 1H); 8.66 (dd, J = 1.2, 2.8 Hz, 1H); 7.33-7.30 (m, 2H); 7.20 (m, 1H); 7.10 (dd, J = 1.2, 4.0 Hz, 1H); 4.25-4.10 (m, 5H); 3.96-3.91 (m, 1H); 3.83-3.74 (m, 3H); 3.65 (d, J = 1.6 Hz, 2H); 2.14-1.89 (m, 5H).
20.7
Figure US09718803-20170801-C01907
(CD3OD, 400 MHz): 8.12 (d, J = 2.4 Hz, 1H); 8.07 (d, J = 2.4 Hz, 1H); 7.83 (s, 1H); 7.43-7.40 (m, 1H); 6.42 (d, J = 8.8 Hz, 1H); 4.39-4.34 (m, 3H); 4.18-4.15 (m, 2H); 3.48-3.43 (m, 4H); 2.87-2.80 (m, 2H); 2.18 (s, 3H); 1.88-1.84 (m, 2H); 1.68-1.62 (m, 1H); 1.49- 1.42 (m, 2H).
20.8
Figure US09718803-20170801-C01908
(CD3OD, 400 MHz): 8.34 (d, J = 8.0 Hz, 1H); 7.89 (s, 1H); 7.88 (t, J = 1.2 Hz, 1H); 7.86 (t, J = 1.2 Hz, 1H); 7.81-7.78 (m, 2H); 7.70-7.66 (m, 1H); 7.61-7.57 (m, 1H); 7.54-7.50 (m, 1H); 7.03 (d, J = 9.2 Hz, 1H); 4.97-4.90 (m, 6H); 3.67 (d, J = 12.4 Hz, 2H); 3.54 (d, J = 6.0 Hz, 2H); 3.05-2.99 (m, 2H); 1.98-1.94 (m, 2H); 1.76-1.73 (m, 2H).
20.9
Figure US09718803-20170801-C01909
(CD3OD, 400 MHz): 8.19-8.16 (m, 2H); 7.82 (d, J = 7.6 Hz, 1H); 7.77-7.71 (m, 2H); 7.45 (t, J = 7.6 Hz, 1H); 7.37 ( d, J = 10.4 Hz, 1H); 7.04 (d, J = 9.2 Hz, 1H); 6.04 (s, 1H); 5.74 (s, 1H); 4.72 (s, 2H); 3.47- 3.43 (m, 4H); 2.67 (t, J = 10.8 Hz, 2H); 1.83-1.80 (m, 2H); 1.60-1.57 (m, 1H); 1.43-1.31 (m, 3H).
20.10
Figure US09718803-20170801-C01910
(CDCl3, 400 MHz): 8.77 (s, 1H); 7.82 (d, J = 8.8 Hz, 1H); 7.66 (s, 1H); 7.54 (d, J = 7.6 Hz, 1H); 7.46 (t, J = 7.6 Hz, 1H); 7.15 (t, J = 8.0 Hz, 1H); 6.81 (t, J = 2.0 Hz, 1H); 6.61 (d, J = 8.8 Hz, 1H); 4.60-4.58 (m, 4H); 4.41-4.16 (m, 1H); 3.55 (s, 2H); 3.23 (d, J = 12.4 Hz, 2H); 2.70-2.68 (m, 2H); 1.86 (d, J = 12.0 Hz, 2H); 1.64 (s, 2H); 1.51-1.37 (m, 1H)
Figure US09718803-20170801-C01911
Examples 21.2, 21.2 and 21.3: Racemic Mixture and Separated Enantiomers, Wherein the Absolute Stereospecificity were not Determined
Figure US09718803-20170801-C01912
Step 1. (R & S)-2-{3-[3-(3-Methyl-Pyrrolidin-1-Yl)-Pyrazin-2-Yl]-Azetidin-1-Yl}-Quinoline
To a solution of 2-Azetidin-3-yl-3-(3-methyl-pyrrolidin-1-yl)-pyrazine hydrochloride (44) (127 mg, 0.5 mmol, PREPARATION 13) and 2-chloro-quinoline (81.5 mg 0.5 mmol) in DMF (5 mL) was added Cs2CO3 (325 mg, 1 mmol). The reaction mixture was stirred at 100° C. overnight. The reaction mixture was diluted with water, extracted with EtOAc (2×20 mL). The combined organic extracts were washed with water (15 mL) and brine (15 mL), dried over Na2SO4 and filtered. The filtrate was evaporated in vacuo and the residue was purified by flash column chromatography on silica gel to give (rac)-2-{3-[3-(3-methyl-pyrrolidin-1-yl)-pyrazin-2-yl]-azetidin-1-yl}-quinoline (127.65 mg, 0.37 mmol, yield 74%). ESI-MS (M+1): 346. PDE10 IC50 (uM): 0.00465.
(CDCl3, 400 MHz): 8.05 (d, J=8.4 Hz, 1H); 8.00 (d, J=9.2 Hz, 1H); 7.93 (d, J=2.4 Hz, 1H); 7.84 (d, J=2.4 Hz, 1H); 7.66-7.60 (m, 2H); 7.35 (t, J=7.6 Hz, 1H); 6.58 (d, J=9.6 Hz, 1H); 4.94-4.51 (m, 4H); 4.48-4.34 (m, 1H); 3.45 (s, 3H); 3.08 (s, 1H); 2.31-2.25 (m, 1H); 2.09-2.02 (m, 1H); 1.58-1.51 (m, 1H); 1.07 (d, J=6.8 Hz, 3H).
Step 2. (R or S)-2-{3-[3-(3-Methyl-Pyrrolidin-1-Yl)-Pyrazin-2-Yl]-Azetidin-1-Yl}-Quinoline
The racemic 2-{3-[3-(3-methyl-pyrrolidin-1-yl)-pyrazin-2-yl]-azetidin-1-yl}-quinoline obtained above (450 mg, 1.3 mmol) was separated by chiral prep. HPLC (Column: Chiralcel OD-H 250*30 mm, 5 u; Mobile phase: 85% hexane in EtOH (0.05% diethyl amine); Flow rate: 30 mL/minute) to give their separated stereoisomers (187 mg, 0.54 mmol, 42% yield) and (175 mg, 0.50 mmol, 38.5% yield). The absolute stereospecificity was not determined. Separated isomer Example 21.2: ESI-MS (M+1): 346. PDE10 IC50 (uM): 0.00367.
(CDCl3, 400 MHz): 7.97-7.93 (m, 2H); 7.87 (d, J=8.8 Hz, 1H); 7.73 (d, J=8.4 Hz, 1H); 7.60 (d, J=8.0 Hz, 1H); 7.53 (t, J=8.4 Hz, 1H); 7.22 (t, J=7.6 Hz, 1H); 6.66 (d, J=9.2 Hz, 1H); 4.59-4.53 (m, 3H); 4.43 (t, J=8.0 Hz, 1H); 4.33-4.26 (m, 1H); 3.66-3.48 (m, 3H); 3.18 (t, J=8.8 Hz, 1H); 2.37-2.30 (m, 1H); 2.13-2.09 (m, 1H); 1.65-1.55 (m, 1H); 1.22 (d, J=6.8 Hz, 3H). Separated isomer Example 21.3: ESI-MS (M+1): 346. PDE10 IC50 (uM): 0.00367.
(CDCl3, 400 MHz): 7.86-7.83 (m, 2H); 7.76 (d, J=8.8 Hz, 1H); 7.64 (d, J=8.4 Hz, 1H); 7.50 (d, J=7.6 Hz, 1H); 7.45-7.42 (m, 1H); 7.12 (t, J=8.4 Hz, 1H); 6.55 (d, J=8.8 Hz, 1H); 4.48-4.43 (m, 3H); 4.18 (t, J=8.4 Hz, 1H); 4.20-4.17 (m, 1H); 3.55-3.38 (m, 3H); 3.10-3.06 (m, 1H); 2.25-2.24 (m, 1H); 2.03-1.99 (m, 1H); 1.52-1.47 (m, 1H); 1.05-1.04 (d, J=6.8 Hz, 3H).
Figure US09718803-20170801-C01913
Example 22.1: 2-(1-Quinolin-2-Yl-Azetidin-3-Yl)-3-M-Tolyl-Quinoxaline
To a solution of 2-azetidin-3-yl-3-m-tolyl-quinoxaline hydrochloride (311 mg, 1 mmol) and 2-chloro-quinoline (163 mg, 1.0 mmol) in DMF (6 mL) was added Cs2CO3 (650 mg, 2 mmol). The reaction mixture was stirred at 100° C. overnight. The reaction mixture was diluted with water, extracted with EtOAc (2×30 mL). The combined organic extracts were washed with water (20 mL) and brine (20 mL), dried over Na2SO4 and filtered. The filtrate was evaporated in vacuo and the residue was purified by flash column chromatography on silica gel to give 2-(1-quinolin-2-yl-azetidin-3-yl)-3-m-tolyl-quinoxaline (256 mg, 0.64 mmol yield 63.7%).
The following Table 28A lists compounds of Examples 22.1 to 22.4, which were made analogous to Scheme 22 by using the appropriate materials and reaction conditions, which are listed in Table 28B. The NMR data of the Examples are listed in Table 28C.
TABLE 28A
EXAMPLES 22.1 TO 22.4
ESI-MS IC50
Ex. # Structure Chemical Name (M + 1) (uM)
22.1
Figure US09718803-20170801-C01914
2-(1-Quinolin-2-yl-azetidin- 3-yl)-3-m-tolyl-quinoxaline 403 0.00399
22.2
Figure US09718803-20170801-C01915
4-[3-(1-Quinolin-2-yl- azetidin-3-yl)-quinoxalin-2 yl]-phenylamine 404 0.00156
22.3
Figure US09718803-20170801-C01916
3-[3-(1-Quinolin-2-yl- azetidin-3-yl)-quinoxalin-2- yl]-phenol 405 0.00099
22.4
Figure US09718803-20170801-C01917
2-(3-Methoxy-phenyl)-3-(1- quinolin-2-yl-azetidin-3-yl)- quinoxaline 419 0.00222
TABLE 28B
STARTING MATERIALS AND REACTION CONDITION FOR
PREPARATION OF EXAMPLES 22.1 TO 22.4.
Unless otherwise stated, all starting materials are commercially available from common vendors.
Ex. # Starting Material 1 Starting Material 2 Reaction Condition
22.1
Figure US09718803-20170801-C01918
Figure US09718803-20170801-C01919
Cs2CO3, DMF, 100° C.
22.2
Figure US09718803-20170801-C01920
Figure US09718803-20170801-C01921
Cs2CO3, DMF, 100° C.
22.3
Figure US09718803-20170801-C01922
Figure US09718803-20170801-C01923
Cs2CO3, DMF, 100° C.
22.4
Figure US09718803-20170801-C01924
Figure US09718803-20170801-C01925
Cs2CO3, DMF, 100° C.
TABLE 28C
1H NMR δ (PPM) DATA FOR EXAMPLES 22.1 TO 22.4
Ex. # Structure NMR
22.1
Figure US09718803-20170801-C01926
(DMSO, 400 MHz): 8.15-8.08 (m, 2H); 8.01 (d, J = 8.0 Hz, 1H); 7.84-7.82 (m, 2H); 7.68 (d, J = 7.6 Hz, 1H); 7.53-7.47 (m, 4H); 7.39- 7.31 (m, 2H); 7.21-7.17 (m, 1H); 6.75 (d, J = 8.8 Hz, 1H); 4.58-4.54 (m, 1H); 4.39 (t, J = 8.0 Hz, 2H); 4.26 (t, J = 8.4 Hz, 2H); 2.38 (s, 3H).
22.2
Figure US09718803-20170801-C01927
(CD3OD, 400 MHz): 8.89 (d, J = 8.8 Hz, 1H); 8.11-8.08 (m, 2H); 7.86-7.82 (m, 3H); 7.75-7.72 (m, 4H); 7.49-7.42 (m, 3H); 6.92 (d, J = 9.2 Hz, 1H); 4.85-4.68 (m, 5H).
22.3
Figure US09718803-20170801-C01928
(CD3OD, 400 MHz): 8.29 (d, J = 9.2 Hz, 1H); 8.15-8.09 (m, 2H); 7.87-7.83 (m, 3H); 7.78-7.73 (m, 2H); 7.50-7.40 (m, 2H); 7.10- 6.99 (m, 3H); 6.94 (d, J = 9.2 Hz, 1H); 4.81- 4.67 (m, 5H).
22.4
Figure US09718803-20170801-C01929
(CD3OD, 400 MHz): 8.27 (d, J = 8.0 Hz, 1H); 8.25-8.28 (m, 2H); 7.86-7.82 (m, 3H); 7.77- 7.71 (m, 2H); 7.53-7.46 (m, 2H); 7.21-7.13 (m, 3H); 6.93 (d, J = 9.2 Hz, 1H); 4.81- 4.66 (m, 5H); 3.88 (s, 3H).
Figure US09718803-20170801-C01930
Example 23.1: 2-[3-(1-Quinolin-2-Yl-Azetidin-3-Yl)-Pyrazin-2-Yl]-Phenol
To a solution of 2-(3-azetidin-3-yl-pyrazin-2-yl)-phenol hydrochloride (275 mg, 1 mmol) and 2-chloro-quinoline (163 mg, 1 mmol) in DMF (10 mL) was added Cs2CO3 (650 mg, 2 mmol). The reaction mixture was stirred at 100° C. overnight. The reaction mixture was diluted with water, extracted with EtOAc (30 mL×2). The combined organic extracts were washed with water (30 mL) and brine (30 mL), dried over Na2SO4 and filtered. The filtrate was evaporated in vacuo and the residue was purified by ISCO silica gel column (10% to 80% EtOAc in petroleum ether) to give 2-[3-(1-quinolin-2-yl-azetidin-3-yl)-pyrazin-2-yl]-phenol (56 mg, 0.16 mmol, yield 16%).
The following Table 29A lists compounds of Examples 23.1 to 23.8, which were made analogous to Scheme 23 by using the appropriate materials and reaction conditions, which are listed in Table 29B. The NMR data of the Examples are listed in Table 29C.
TABLE 29A
EXAMPLES 23.1 TO 23.8
ESI-MS IC50
Ex. # Structure Chemical Name (M + 1) (uM)
23.1
Figure US09718803-20170801-C01931
2-[3-(1-Quinolin-2-yl- azetidin-3-yl)-pyrazin-2- yl]-phenol 355 0.0339
23.2
Figure US09718803-20170801-C01932
3-[3-(1-Quinolin-2-yl- azetidin-3-yl)-pyrazin-2- yl]-phenol 355 0.00465
23.3
Figure US09718803-20170801-C01933
4-[3-(1-Quinolin-2-yl- azetidin-3-yl)-pyrazin-2- yl]-phenol 355 0.00442
23.4
Figure US09718803-20170801-C01934
2-[3-(1-Quinolin-2-yl- azetidin-3-yl)-pyrazin-2- yl]-phenylamine 354 0.133
23.5
Figure US09718803-20170801-C01935
3-[3-(1-Quinolin-2-yl- azetidin-3-yl)-prazin-2- yl]-phenylamine 354 0.0111
23.6
Figure US09718803-20170801-C01936
4-[3-(1-Quinolin-2-yl- azetidin-3-yl)-pyrazin-2- yl]-phenylamine 354 0.00522
23.7
Figure US09718803-20170801-C01937
2-{3-[3-(4-Fluoro-3- methoxy-phenyl)-pyrazin- 2-yl]-azetidin-1-yl}- quinoline 387 0.00298
23.8
Figure US09718803-20170801-C01938
2-Fluoro-4-[3-(1-quinolin- 2-yl-azetidin-3-yl)- pyrazin-2-yl]-phenylamine 372 0.00437
TABLE 29B
STARTING MATERIALS AND REACTION CONDITION FOR
PREPARATION OF EXAMPLES 23.1 TO 23.8.
Unless otherwise stated, all starting materials are commercially available from common vendors
Ex. # Starting Material 1 Starting Material 2 Reaction Condition
23.1
Figure US09718803-20170801-C01939
Figure US09718803-20170801-C01940
Cs2CO3, DMF, 100° C.
23.2
Figure US09718803-20170801-C01941
Figure US09718803-20170801-C01942
Cs2CO3, DMF, 100° C.
23.3
Figure US09718803-20170801-C01943
Figure US09718803-20170801-C01944
Cs2CO3, DMF, 100° C.
23.4
Figure US09718803-20170801-C01945
Figure US09718803-20170801-C01946
Cs2CO3, DMF, 100° C.
23.5
Figure US09718803-20170801-C01947
Figure US09718803-20170801-C01948
Cs2CO3, DMF, 100° C.
23.6
Figure US09718803-20170801-C01949
Figure US09718803-20170801-C01950
Cs2CO3, DMF, 100° C.
23.7
Figure US09718803-20170801-C01951
Figure US09718803-20170801-C01952
Cs2CO3, DMF, 100° C.
23.8
Figure US09718803-20170801-C01953
Figure US09718803-20170801-C01954
Cs2CO3, DMF, 100° C.
TABLE 29C
1H NMR δ (PPM) DATA FOR EXAMPLES 23.1 TO 23.8
Ex. # Structure NMR
23.1
Figure US09718803-20170801-C01955
(CDCl3, 400 MHz): 8.57 (s, 2H); 8.06 (d, J = 9.6 Hz, 1H); 7.94 (d, J = 8.4 Hz, 1H); 7.73- 7.68 (m, 2H); 7.45-7.41 (m, 1H); 7.35-7.31 (m, 1H); 7.29-7.28 (m, 1H); 7.06 (d, J = 8.4 Hz, 1H); 7.02-6.98 (m, 1H); 6.62 (d, J = 9.6 Hz, 1H); 5.07 (s, 1H); 4.88-4.72 (m, 3H); 4.55 (s, 1H); 4.33 (s, 1H)
23.2
Figure US09718803-20170801-C01956
(CD3OD, 400 MHz): 8.68 (m, 1H); 8.52 (m, 1H); 8.49 (m, 1H); 8.28 (d, J = 7.2 Hz, 1H); 7.79-7.71 (m, 2H); 7.51-7.47 (m, 1H); 7.39- 7.35 (m, 1H); 6.99-6.91 (m, 4H); 4.86-4.61 (m, 5H)
23.3
Figure US09718803-20170801-C01957
(CDCl3, 400 MHz): 8.56-8.52 (m, 2H); 7.82 (d, J = 8.8 Hz, 1H); 7.95 (d, J = 8.4 Hz, 1H); 7.73-7.67 (m, 2H); 7.42(t, J = 8.0 Hz, 1H); 7.19 (d, J = 8.0 Hz, 2H); 6.88 (d, J = 8.8 Hz, 2H); 6.62 (d, J = 9.2 Hz, 1H); 4.73 (m, 2H); 4.36 (m, 1H); 4.19 (s, 2H).
23.4
Figure US09718803-20170801-C01958
(CDCl3, 400 MHz): 8.49 (s, 1H); 8.41 (s, 1H); 7.65 (d, J = 8.8 Hz, 1H); 7.51 (d, J = 8.0 Hz, 1H); 7.46 (d, J = 1.2 Hz, 1H); 7.45- 7.42 (m, 1H); 7.12-7.10 (m, 2H); 6.94 (dd, J = 7.6 Hz, 1H); 6.81-6.75 (m, 2H); 6.52 (d, J = 8.8 Hz, 1H); 4.37-4.21 (m, 5H); 4.13 (s, 2H)
23.5
Figure US09718803-20170801-C01959
(CDCl3, 400 MHz): 8.61-8.52 (m, 2H); 8.05 (d, J = 9.6 Hz, 1H); 8.00 (d, J = 8.4 Hz, 1H); 7.69-7.69 (m, 2H); 7.41-7.26 (m, 2H); 7.02- 6.98 (m, 2H); 6.91-6.90 (m, 1H); 6.62 (d, J = 9.2 Hz, 1H); 4.85-4.31 (m, 5H).
23.6
Figure US09718803-20170801-C01960
(CD3OD, 400 MHz): 8.63 (d, J = 2.4 Hz, 1H); 8.56 (d, J = 2.4 Hz, 1H); 8.31 (d, J = 9.2 Hz, 1H); 7.89 (d, J = 8.4 Hz, 1H); 7.78- 7.75(m, 2H); 7.50 (m, 1H); 7.45 (d, J = 8.4 Hz, 2H); 7.06 (d, J = 8.4 Hz, 2H); 6.94 (d, J = 9.6 Hz, 1H); 4.70 (s, 5H).
23.7
Figure US09718803-20170801-C01961
(CDCl3, 400 MHz): 8.63 (d, J = 2.4 Hz, 1H); 8.57 (d, J = 2.0 Hz, 1H); 7.90 (d, J = 8.0 Hz, 1H); 7.76 (d, J = 9.2 Hz, 1H); 7.64 (dd, J = 1.2, 8.0 Hz, 1H); 7.59-7.55 (m, 1H); 7.28-7.20 (m, 3H); 7.06-7.03 (m, 1H); 6.67 (d, J = 8.8 Hz, 1H); 4.49-4.45 (m, 5H); 4.01 (s, 3H)
23.8
Figure US09718803-20170801-C01962
(CDCl3, 400 MHz): 8.43 (d, J = 2.0 Hz, 1H); 8.41 (d, J = 2.0 Hz, 1H); 7.80 (d, J = 8.8 Hz, 1H); 7.66 (d, J = 8.4 Hz, 1H); 7.53 (dd, J = 1.2, 8.0 Hz, 1H); 7.48-7.44 (m, 1H); 7.17- 7.13 (m, 2H); 7.06-7.03 (m, 1H); 6.81 (t, J = 8.8 Hz, 1H); 6.55 (d, J = 8.8 Hz, 1H); 4.38-4.35 (m, 5H); 4.01 (s, 2H)
Figure US09718803-20170801-C01963
Example 24.1: 2-[3-(3-Piperidin-1-Yl-Pyrazin-2-Yl)-Azetidin-1-Yl]-Quinoline
To a solution of 2-azetidin-3-yl-3-piperidin-1-yl-pyrazine hydrochloride (127 mg, 0.5 mmol) and 2-chloro-quinoline (81.5 mg 0.5 mmol) in DMF (5 mL) was added Cs2CO3 (325 mg, 1 mmol). The reaction mixture was stirred at 100° C. overnight. The reaction mixture was diluted with water, extracted with EtOAc (2×20 mL). The combined organic extracts were washed with water (15 mL) and brine (15 mL), dried over Na2SO4 and filtered. The filtrate was evaporated in vacuo and the residue was purified by ISCO silica gel column (10% to 80% EtOAc in petroleum ether) to give 2-[3-(3-piperidin-1-yl-pyrazin-2-yl)-azetidin-1-yl]-quinoline (58 mg, 0.17 mmol yield 17%).
The following Table 30A lists compounds of Examples 24.1 to 24.7, which were made analogous to Scheme 24 by using the appropriate materials and reaction conditions, which are listed in Table 30B. The NMR data of the Examples are listed in Table 30C.
TABLE 30A
EXAMPLES 24.1 TO 24.7
ESI-MS IC50
Ex. # Structure Chemical Name (M + 1) (uM)
24.1
Figure US09718803-20170801-C01964
2-[3-(3-Piperidin-1-yl- pyrazin-2-yl)-azetidin-1- yl]-quinoline 346 0.00393
24.2
Figure US09718803-20170801-C01965
2-{3-[3-(4-Methyl- piperidin-1-yl)-pyrazin-2- yl]-azetidin-1-yl}-quinoline 368 0.000803
24.3
Figure US09718803-20170801-C01966
1-[3-(1-Quinolin-2-yl- azetidin-3-yl)-pyrazin-2- yl]-piperidine-4-carboxylic acid amide 389 0.00048
24.4
Figure US09718803-20170801-C01967
1-[3-(1-Quinolin-2-yl- azetidin-3-yl)-pyrazin-2- yl]-piperidine-4-carboxylic acid dimethylamide 417 0.00355
24.5
Figure US09718803-20170801-C01968
1-[3-(1-Quinolin-2-yl- azetidin-3-yl)-pyrazin-2- yl]-piperidine-4-carboxylic acid methylamide 403 0.00251
24.6
Figure US09718803-20170801-C01969
1-[3′-(1-Quinolin-2-yl- azetidin-3-yl)-2,3,5,6- tetrahydro-[1,2′]bipyrazinyl- 4-yl]-ethanone 389 0.029
24.7
Figure US09718803-20170801-C01970
1-[3-(1-Quinolin-2-yl- azetidin-3-yl)-pyrazin-2- yl]-piperidin-4-ol 362 0.00497
TABLE 30B
STARTING MATERIALS AND REACTION CONDITION FOR
PREPARATION OF EXAMPLES 24.1 TO 24.7.
Unless otherwise stated, all starting materials are commercially available from common vendors.
Ex. # Starting Material 1 Starting Material 2 Reaction Condition
24.1
Figure US09718803-20170801-C01971
Figure US09718803-20170801-C01972
Cs2CO3, DMF, 100° C.
24.2
Figure US09718803-20170801-C01973
Figure US09718803-20170801-C01974
Cs2CO3, DMF, 100° C.
24.3
Figure US09718803-20170801-C01975
Figure US09718803-20170801-C01976
Cs2CO3, DMF, 100° C.
24.4
Figure US09718803-20170801-C01977
Figure US09718803-20170801-C01978
Cs2CO3, DMF, 100° C.
24.5
Figure US09718803-20170801-C01979
Figure US09718803-20170801-C01980
Cs2CO3, DMF, 100° C.
24.6
Figure US09718803-20170801-C01981
Figure US09718803-20170801-C01982
Cs2CO3, DMF, 100° C.
24.7
Figure US09718803-20170801-C01983
Figure US09718803-20170801-C01984
Cs2CO3, DMF, 100° C.
TABLE 30C
1H NMR δ (PPM) DATA FOR EXAMPLES 24.1 TO 24.7
Ex. # Structure NMR
24.1
Figure US09718803-20170801-C01985
(CDCl3, 400 MHz): 8.12 (s, 2H); 8.05 (d, J = 20.8 Hz, 1H); 7.96 (d, J = 8.4 Hz, 1H); 7.67-7.63 (m, 2H); 7.40- 7.36 (m, 1H); 6.62 (d, J = 9.2 Hz, 1H); 5.07 (s, 1H); 4.75-4.71 (m, 3H); 4.39-4.36 (m, 1H); 3.06-3.04 (m, 4H); 1.75-1.69 (m, 4H); 1.64-1.62 (m, 2H).
24.2
Figure US09718803-20170801-C01986
(CDCl3, 400 MHz): 8.12 (d, J = 2.4 Hz, 1H); 8.06 (d, J = 2.4 Hz, 1H); 7.85 (d, J = 8.8 Hz, 1H); 7.74 (d, J = 8.4 Hz, 1H); 7.58 (d, J = 8.0 Hz, 1H); 7.50 (t, J = 2.8 Hz, 2H); 7.20-7.18 (m, 1H); 6.64 (d, J = 8.8 Hz, 1H); 4.56-4.52 (m, 2H); 4.47-4.43 (m, 2H); 4.33-4.26 (m, 1H); 3.38 (d, J = 12.8 Hz, 2H); 2.83 (t, J = 12.0 Hz, 2H); 1.77 (d, J = 12.4 Hz, 2H); 1.57 (s, 1H); 1.44- 1.35 (m, 2H); 1.01 (d, J = 6.4 Hz, 3H).
24.3
Figure US09718803-20170801-C01987
(CDCl3, 400 MHz): 8.21 (m, 2H); 8.19 (dd, J = 2.4, 7.2 Hz, 2H); 8.09 (d, J = 9.2 Hz, 1H); 8.06 (d, J = 8.4 Hz, 1H); 7.75-7.69 (s, 1H); 6.68-6.66 (d, J = 9.2 Hz, 1H); 5.84 (s, 1H); 4.98 (s, 1H); 4.69 (m, 2H); 4.47-4.43 (m, 1H); 3.45 (d, J = 12.4 Hz, 2H); 2.89 (m, 2H); 2.42-2.41 (m, 1H); 2.06-2.04 (m, 4H)
24.4
Figure US09718803-20170801-C01988
(CD3OD), 400 MHz): 8.31 (d, J = 9.6 Hz, 1H); 8.20 (dd, J = 2.4, 15.6 Hz, 2H); 7.87 (d, J = 8.0 Hz, 1H); 7.80-7.74 (m, 2H); 7.51-7.47 (m, 1H); 6.98 (d, J = 9.6 Hz, 1H); 4.90 (t, J = 9.2 Hz, 2H); 4.73 (t, J = 7.8 Hz, 2H); 4.60-4.57 (m, 1H); 3.49 (d, J = 12.8 Hz, 2H); 3.14 (s, 3H); 3.01-2.91 (m, 5H); 2.43-2.38 (m, 1H); 1.94-1.85 (m, 4H).
24.5
Figure US09718803-20170801-C01989
(CD3OD, 400 MHz): 8.33 (d, J = 9.6 Hz, 1H); 8.23 (d, J = 2.4 Hz, 1H); 8.19 (d, J = 2.4 Hz, 1H); 7.89 (d, J = 7.6 Hz, 1H); 7.79-7.76 (m, 2H); 7.53-7.49 (m, 1H); 7.00 (d, J = 9.6 Hz, 1H); 4.93-4.89 (m, 2H); 4.74 (t, J = 6.4 Hz, 2H); 4.60-4.56 (m, 1H); 3.50-3.47 (d, J = 12.8 Hz, 2H); 2.93-2.91 (m, 2H); 2.75 (s, 3H); 2.43- 2.38 (m, 1H); 1.93-1.98 (m, 4H).
24.6
Figure US09718803-20170801-C01990
(MeOD, 400 MHz): 8.32 (d, J = 9.6 Hz, 1H); 8.28 (d, J = 2.4 Hz, 1H); 8.22 (d, J = 2.4 Hz, 1H); 7.88 (d, J = 8.0 Hz, 1H); 7.80-7.74 (m, 2H); 7.52-7.48 (m, 1H); 6.99 (d, J = 9.6 Hz, 1H); 4.91 (d, J = 9.2 Hz, 2H); 4.75 (s, 2H); 4.63-4.59 (m, 1H); 3.79-3.73 (m, 4H); 3.23 (t, J = 5.2 Hz, 2H); 3.14 (t, J = 5.2 Hz, 2H); 2.15 (s, 3H).
24.7
Figure US09718803-20170801-C01991
(MeOD, 400 MHz): 8.07-8.02 (m, 2H); 7.94 (d, J = 9.2 Hz, 1H); 7.59 (d, J = 8.8 Hz, 2H); 7.47 (t, J = 6.4 Hz, 1H); 7.16 (t, J = 6.0 Hz, 1H); 6.69 (d, J = 9.2 Hz, 1H); 4.52 (s, 2H); 4.35-3.34 (m, 3H); 3.75-3.68 (m, 1H); 3.37-3.29 (m, 2H); 2.89 (m, 2H); 1.95-1.89 (m, 2H); 1.69-1.65 (m, 2H).
Figure US09718803-20170801-C01992
Example 25.1: 2-Methoxy-1-{4-[3-(1-Quinolin-2-Yl-Azetidin-3-Yl)-Pyrazin-2-Yl]-Piperidin-1-Yl}-Ethanone
A solution of 2-azetidin-3-yl-3-chloro-pyrazine hydrochloride (190 mg, 0.5 mmol) and Et3N (101 mg, 1 mL,) in DCM (15 mL) was added methoxy-acetyl chloride (purchased from ALDRICH) (81 mg, 0.75 mmol). The reaction was stirred at RT for 2 h. The reaction mixture was concentrated and purified by ISCO silica gel column (10% to 80% EtOAc in petroleum ether) give the product 2-methoxy-1-{4-[3-(1-quinolin-2-yl-azetidin-3-yl)-pyrazin-2-yl]-piperidin-1-yl}-ethanone (82 mg, 0.20 mmol, 39% yield).
The following Table 31A lists compounds of Examples 25.1 to 25.4, which were made analogous to Scheme 25 by using the appropriate materials and reaction conditions, which are listed in Table 31B. The NMR data of the Examples are listed in Table 31C.
TABLE 31A
EXAMPLES 25.1 TO 25.4
ESI-MS IC50
Ex. # Structure Chemical Name (M + 1) (uM)
25.1
Figure US09718803-20170801-C01993
2-Methoxy-1-{4-[3-(1- quinolin-2-yl-azetidin-3- yl)-pyrazin-2-yl]- piperidin-1-yl}-ethanone 418 0.0636
25.2
Figure US09718803-20170801-C01994
1-{4-[3-(1-Quinolin-2-yl- azetidin-3-yl)-pyrazin-2- yl]-piperidin-1-yl}- ethanone 388 0.0342
25.3
Figure US09718803-20170801-C01995
N-{4-[3-(1-Quinolin-2-yl- azetidin-3-yl)-pyrazin-2- yl]-phenyl}-acetamide 396 0.00236
25.4
Figure US09718803-20170801-C01996
1-(4-(3-(1-(quinolin-2- yl)azetidin-3-yl)pyrazin- 2-yl)-5,6-dihydropyridin- 1(2H)-yl)ethanone 386 0.0006
TABLE 31B
STARTING MATERIALS AND REACTION CONDITION FOR
PREPARATION OF EXAMPLES 25.1 TO 25.4.
Unless otherwise stated, all starting materials are commercially available from common vendors.
Ex. # Starting Material 1 Starting Material 2 Reaction Condition
25.1
Figure US09718803-20170801-C01997
Figure US09718803-20170801-C01998
Et3N, DCM
25.2 54 PREPARATION 16
Figure US09718803-20170801-C01999
Et3N, DCM
25.3
Figure US09718803-20170801-C02000
Figure US09718803-20170801-C02001
Et3N, DCM
25.4
Figure US09718803-20170801-C02002
Figure US09718803-20170801-C02003
Et3N, DCM
TABLE 31C
1H NMR δ (PPM) DATA FOR EXAMPLES 25.1 TO 25.4
Ex. # Structure NMR
25.1
Figure US09718803-20170801-C02004
(CD3OD, 400 MHz): 8.41-8.38 (m, 2H); 7.97 (t, J = 7.6 Hz, 1H); 7.64 (t, J = 8.8 Hz, 2H); 7.54-7.50 (m, 1H); 7.24-7.19 (m, 1H); 6.72 (t, J = 8.8 Hz, 1H); 4.64-4.44 (m, 6H); 4.22- 4.11 (m, 2H); 3.97 (d, J = 13.2 Hz, 1H); 3.42 (s, 3H); 3.30-3.15 (m, 2H); 2.84-2.82 (m, 1H); 1.82-1.78 (m, 4H)
25.2
Figure US09718803-20170801-C02005
(CDCl3, 400 MHz): 8.35-8.33 (m, 2H); 7.85 (d, J = 8.8 Hz, 1H); 7.72 (d, J = 8.4 Hz, 1H); 7.55 (dd, J = 1.2, 8.0 Hz, 1H); 7.51-7.47 (m, 1H); 7.21-7.17 (m, 1H); 6.61 (d, J = 8.8 Hz, 1H); 4.73 (d, J = 12.4 Hz, 1H); 4.60-4.47 (m, 4H); 4.36-4.32 (m, 1H); 3.94-3.91 (m, 1H), 3.19-3.13 (m, 1H); 2.95-2.88 (m, 1H); 2.64- 3.63 (m, 1H); 2.07 (s, 3H); 2.03-2.00 (m, 1H); 1.77-1.71 (m, 3H).
25.3
Figure US09718803-20170801-C02006
(CD3OD, 400 MHz): 8.53-8.44 (m, 2H); 7.94 (d, J = 9.2 Hz, 1H); 7.69 (d, J = 8.4 Hz, 2H); 7.60-7.56 (m, 2H); 7.47-7.42 (m, 3H); 7.18 (t, J = 7.6 Hz, 1H); 6.64 (d, J = 9.2 Hz, 1H); 4.39- 4.33 (m, 5H); 2.08 (s, 3H).
25.4
Figure US09718803-20170801-C02007
(400 MHz, chloroform-d) 2.19 (d, J = 5.87 Hz, 3 H) 2.69 (br. S., 2 H) 3.72 (t, J = 5.58 Hz, 1H) 3.89 (t, J = 5.58 Hz, 1H) 4.19 (d, J = 2.54 Hz, 1 H) 4.31 (d, J = 2.54 Hz, 1 H) 4.36-4.56 (m, 5 H) 5.77-5.88 (m, 1 H) 6.65 (dd, J = 8.90, 2.25 Hz, 1 H) 7.22 (t, J = 7.43 Hz, 1 H) 7.53 (t, J = 7.63 Hz, 1 H) 7.61 (d, J = 8.02 Hz, 1 H) 7.74 (d, J = 8.41 Hz, 1 H) 7.89 (dd, J = 8.90, 3.03 Hz, 1 H) 8.42 (t, J = 2.93 Hz, 1 H) 8.49 (d, J = 2.54 Hz, 1 H).
Figure US09718803-20170801-C02008
Examples 26.1, 26.2, and 26.3: Racemic Mixtures and Separated Enantiomers, Absolute Stereochemistry not Further Determined Step 1. 1-{1-[3-(1-Quinolin-2-Yl-Azetidin-3-Yl)-Pyrazin-2-Yl]-Piperidin-4-Yl}-Ethanone
To a solution of 2-[3-(3-chloro-pyrazin-2-yl)-azetidin-1-yl]-quinoline (80 mg, 0.27 mmol) and 1-piperidin-4-yl-ethanone (WUXI APPTEC) (34.3 mg, 0.27 mmol) in DMSO (5 mL) was added Et3N (54.5 mg, 0.54 mmol). The reaction mixture was stirred at 100° C. overnight. The reaction mixture was diluted with water, extracted with EtOAc (20 mL×3). The combined organic extracts were washed with water (30 mL) and brine (30 mL), dried over Na2SO4 and filtered. The filtrate was evaporated in vacuo and the residue was purified by flash column chromatography on silica gel to give 1-{1-[3-(1-quinolin-2-yl-azetidin-3-yl)-pyrazin-2-yl]-piperidin-4-yl}-ethanone (65.8 mg, 0.17 mmol, yield 62.9%).
ESI-MS (M+1): 388 calc. for C23H25N5O 387.
Figure US09718803-20170801-C02009
Step 2. (S & R)-1-{1-[3-(1-Quinolin-2-Yl-Azetidin-3-Yl)-Pyrazin-2-Yl]-Piperidin-4-Yl}-Ethanol
A solution of 1-{1-[3-(1-quinolin-2-yl-azetidin-3-yl)-pyrazin-2-yl]-piperidin-4-yl}-ethanone (96.75 mg, 0.25 mmol) in MeOH (10 mL) was added NaBH4 (37 mg, 1 mmol). The mixture was stirred at RT for 2 h. The reaction mixture was concentrated to give the product (racemic)-1-{1-[3-(1-quinolin-2-yl-azetidin-3-yl)-pyrazin-2-yl]-piperidin-4-yl}-ethanol (76 mg, 0.20 mmol, yield 78%).
ESI-MS (M+1): 390. PDE10 IC50 (uM): 0.00805.
(CD3OD, 400 MHz): 8.31 (d, J=9.2 Hz, 1H); 8.22-8.16 (m, 2H); 7.88 (d, J=7.6 Hz, 1H); 7.78-7.75 (m, 2H); 7.52-7.48 (m, 1H); 6.98 (d, J=9.6 Hz, 1H); 4.89 (d, J=7.2 Hz, 1H); 4.72 (t, J=7.2 Hz, 2H); 4.56-4.55 (m, 1H); 3.60-3.57 (m, 1H); 3.47 (d, J=12.8 Hz, 2H); 2.87-2.84 (m, 2H); 1.98-1.97 (m, 1H); 1.77-1.76 (m, 1H); 1.56-1.48 (m, 3H); 1.47 (d, J=3.2 Hz, 1H); 1.20 (d, J=6.4 Hz, 3H).
Figure US09718803-20170801-C02010
Step 3. Separated R and S-1-{1-[3-(1-Quinolin-2-Yl-Azetidin-3-Yl)-Pyrazin-2-Yl]-Piperidin-4-Yl}-Ethanol
The racemic mixture of 1-{1-[3-(1-quinolin-2-yl-azetidin-3-yl)-pyrazin-2-yl]-piperidin-4-yl}-ethanol (450 mg, 1.16 mmol) was separated by chiral prep. HPLC (Column: Chiralpak AD-H 250*30 mm, 5 u; Mobile phase: 70% hexane in EtOH (0.05% diethyl amine); Flow rate: 20 mL/minute) to give their separated enantiomers (152 mg, 0.41 mmol, 34% yield) and 182 mg, 0.47 mmol, 41% yield).
Separated isomer Example 26.2: ESI-MS (M+1): 390. PDE10 IC50 (uM): 0.00237.
1H NMR δ (ppm) (CDCl3, 400 MHz): 8.16-8.08 (m, 2H); 7.88 (d, J=8.8 Hz, 1H); 7.73 (d, J=8.4 Hz, 1H); 7.62-7.59 (m, 1H); 7.55-7.51 (m, 1H); 7.24-7.20 (m, 1H); 6.66 (d, J=8.8 Hz, 1H); 4.57-4.53 (m, 2H); 4.48-4.45 (m, 2H); 4.34-4.32 (m, 1H); 3.70-3.68 (m, 1H); 3.50-3.46 (m, 2H); 2.88-2.81 (m, 2H); 2.02-1.99 (m, 1H); 1.79-1.76 (m, 1H); 1.58-1.49 (m, 3H); 1.25 (d, J=6.4 Hz, 3H).
Separated isomer Example 26.3: ESI-MS (M+1): 390. PDE10 IC50 (uM): 0.00262.
1H NMR δ (ppm) (CDCl3, 400 MHz): 8.15-8.08 (m, 2H); 7.88 (d, J=8.8 Hz, 1H); 7.73 (d, J=8.4 Hz, 1H); 7.61-7.55 (m, 1H); 7.53-7.51 (m, 1H); 7.23-7.19 (m, 1H); 6.66 (d, J=9.2 Hz, 1H); 4.57-4.53 (m, 2H); 4.48-4.44 (m, 2H); 4.35-4.29 (m, 1H); 3.69-3.67 (m, 1H); 3.49-3.46 (m, 2H); 2.87-2.81 (m, 2H); 2.02-1.99 (m, 1H); 1.79-1.76 (m, 1H); 1.57-1.51 (m, 3H); 1.25 (d, J=6.4 Hz, 3H).
Figure US09718803-20170801-C02011
Example 27.1: 2-Fluoro-5-[3-(1-Quinolin-2-Yl-Azetidin-3-Yl)-Pyrazin-2-Yl]-Phenol
To a solution of 2-{3-[3-(4-fluoro-3-methoxy-phenyl)-pyrazin-2-yl]-azetidin-1-yl}-quinoline (193 mg, 0.5 mmol) in 1,2-dichloro-ethane (5 mL) was added BBr3 (250 mg, 1.0 mmol). The reaction mixture was stirred at RT for 2 h. The reaction mixture was diluted with water, extracted with DCM (2×30 mL). The combined organic extracts were washed with water (20 mL) and brine (20 mL), dried over Na2SO4 and filtered. The filtrate was evaporated in vacuo and the residue was purified by flash column chromatography on silica gel to give 2-fluoro-5-[3-(1-quinolin-2-yl-azetidin-3-yl)-pyrazin-2-yl]-phenol (111 mg, 0.31 mmol yield 62%).
ESI-MS (M+1): 373. PDE10 IC50 (uM): 0.00284.
1H NMR δ (ppm) (CD3OD, 400 MHz): 8.63-8.57 (m, 2H); 8.29 (d, J=8.0 Hz, 1H); 7.87 (d, J=8.0 Hz, 1H); 7.79-7.72 (m, 2H); 7.52-7.48 (m, 1H); 7.26-7.21 (m, 1H); 7.15-7.13 (m, 1H); 7.00-6.96 (m, 1H); 6.93 (d, J=9.2 Hz, 1H); 4.68-4.64 (m, 5H).
Figure US09718803-20170801-C02012
Example 28.1: (1-{3-[1-(6-Methyl-Quinolin-2-Yl)-Azetidin-3-Yl]-Pyrazin-2-Yl}-Piperidin-4-Yl)-Methanol
To a solution of [1-(3-azetidin-3-yl-pyrazin-2-yl)-piperidin-4-yl]-methanol hydrochloride (284 mg, 1.0 mmol) and 2-chloro-6-methyl-quinoline (purchased from ALDRICH) (177 mg, 1.0 mmol) in DMF (15 mL) was added Cs2CO3 (650 mg, 2.0 mmol). The reaction mixture was stirred at 100° C. overnight. The reaction mixture was diluted with water, extracted with EtOAc (2×30 mL). The combined organic extracts were washed with water (20 mL) and brine (20 mL), dried over Na2SO4 and filtered. The filtrate was evaporated in vacuo and the residue was purified by flash column chromatography (EtOAc:Petrol ether=5:1) on silica gel to give (1-{3-[1-(6-methyl-quinolin-2-yl)-azetidin-3-yl]-pyrazin-2-yl}-piperidin-4-yl)-methanol (102 mg, 0.26 mmol 26%).
The following Table 32A lists compounds of Examples 28.1 to 28.18, which were made analogous to Scheme 28 by using the appropriate materials and reaction conditions, which are listed in Table 32B. The NMR data of the Examples are listed in Table 32C.
TABLE 32A
EXAMPLES 28.1 TO 28.18
ESI-MS IC50
Ex. # Structure Chemical Name (M + 1) (uM)
28.1
Figure US09718803-20170801-C02013
(1-{3-[1-(6-Methyl-quinolin- 2-yl)-azetidin-3-yl]-pyrazin- 2-yl}-piperidin-4-yl)- methanol 390 0.00117
28.2
Figure US09718803-20170801-C02014
(1-{3-[1-(7-Fluoro-quinolin- 2-yl)-azetidin-3-yl]-pyrazin- 2-yl}-piperidin-4-yl)- methanol 394 0.0001
28.3
Figure US09718803-20170801-C02015
(1-{3-[1-(6-Fluoro-quinolin- 2-yl)-azetidin-3-yl]-pyrazin- 2-yl}-piperidin-4-yl)- methanol 394 0.0037
28.4
Figure US09718803-20170801-C02016
{1-[3-(1-[1,8]Naphthyridin- 2-yl-azetidin-3-yl)-pyrazin- 2-yl]-piperidin-4-yl}- methanol 377 0.0419
28.5
Figure US09718803-20170801-C02017
(1-{3-[1-(6-Chloro-quinolin- 2-yl)-azetidin-3-yl]-pyrazin- 2-yl}-piperidin-4-yl)- methanol 410 0.00116
28.6
Figure US09718803-20170801-C02018
(1-{3-[1-(6-Chloro- quinoxalin-2-yl)-azetidin-3- yl]-pyrazin-2-yl}-piperidin- 4-yl)-methanol 411 0.0144
28.7
Figure US09718803-20170801-C02019
(1-{3-[1-(6-Methyl-pyridin- 2-yl)-azetidin-3-yl]-pyrazin- 2-yl}-piperidin-4-yl)- methanol 340 0.217
28.8
Figure US09718803-20170801-C02020
(1-{3-[1-(5-Chloro-pyridin- 2-yl)-azetidin-3-yl]-pyrazin- 2-yl}-piperidin-4-yl)- methanol 360 0.490
28.9
Figure US09718803-20170801-C02021
(1-(3-(1-(5-bromopyridin-2- yl)azetidin-3-yl)pyrazin-2- yl)piperidin-4-yl)methanol 404 0.466
28.10
Figure US09718803-20170801-C02022
(1-(3-(1-(8-methylquinolin- 2-yl)azetidin-3-yl)pyrazin-2- yl)piperidin-4-yl)methanol 390 0.446
28.11
Figure US09718803-20170801-C02023
(1-{3-[1-(8-Fluoro-quinolin- 2-yl)-azetidin-3-yl]-pyrazin- 2-yl}-piperidin-4-yl)- methanol 394 0.00228
28.12
Figure US09718803-20170801-C02024
(1-(3-(1-(8-chloroquinolin-2- yl)azetidin-3-yl)pyrazin-2- yl)piperidin-4-yl)methanol 410 0.0233
28.13
Figure US09718803-20170801-C02025
(1-{3-[1-(8-Chloro- quinazolin-2-yl)-azetidin-3- yl]-pyrazin-2-yl}-piperidin- 4-yl)-methanol 411 0.0117
28.14
Figure US09718803-20170801-C02026
(1-{3-[1-(7-Chloro- quinazolin-2-yl)-azetidin-3- yl]-pyrazin-2-yl}-piperidin- 4-yl)-methanol 411 0.0001
28.15
Figure US09718803-20170801-C02027
(1-{3-[1-(6-Chloro- quinazolin-2-yl)-azetidin-3- yl]-pyrazin-2-yl}-piperidin- 4-yl)-methanol 411 0.0068
28.16
Figure US09718803-20170801-C02028
(1-{3-[1-(5-Chloro- quinazolin-2-yl)-azetidin-3- yl]-pyrazin-2-yl}-piperidin- 4-yl)-methanol 411
28.17
Figure US09718803-20170801-C02029
(1-{3-[1-(7-Chloro- quinoxalin-2-yl)-azetidin-3- yl]-pyrazin-2-yl}-piperidin- 4-yl)-methanol 411 0.0005
28.18
Figure US09718803-20170801-C02030
2-[3-(3-Piperidin-1-yl- pyrazin-2-yl)-azetidin-1-yl]- benzothiazole 352 >10
TABLE 32B
STARTING MATERIALS AND REACTION CONDITION FOR
PREPARATION OF EXAMPLES 28.1 TO 28.18.
Unless otherwise stated, all starting materials are commercially available from common vendors.
Ex. # Starting Material 1 Starting Material 2 Reaction Condition
28.1
Figure US09718803-20170801-C02031
Figure US09718803-20170801-C02032
Cs2CO3, DMF, 100° C.
28.2 37 PREPARATION 11
Figure US09718803-20170801-C02033
Cs2CO3, DMF, 100° C.
28.3 37 PREPARATION 11
Figure US09718803-20170801-C02034
Cs2CO3, DMF, 100° C.
28.4 37 PREPARATION 11
Figure US09718803-20170801-C02035
Cs2CO3, DMF, 100° C.
28.5 37 PREPARATION 11
Figure US09718803-20170801-C02036
Cs2CO3, DMF, 100° C.
28.6 37 PREPARATION 11
Figure US09718803-20170801-C02037
Cs2CO3, DMF, 100° C.
28.7 37 PREPARATION 11
Figure US09718803-20170801-C02038
Cs2CO3, DMF, 100° C.
28.8 37 PREPARATION 11
Figure US09718803-20170801-C02039
Cs2CO3, DMF, 100° C.
28.9 37 PREPARATION 11
Figure US09718803-20170801-C02040
Cs2CO3, DMF, 100° C.
28.10 37 PREPARATION 11
Figure US09718803-20170801-C02041
Cs2CO3, DMF, 100° C.
28.11 37 PREPARATION 11
Figure US09718803-20170801-C02042
Cs2CO3, DMF, 100° C.
28.12 37 PREPARATION 11
Figure US09718803-20170801-C02043
Cs2CO3, DMF, 100° C.
28.13 37 PREPARATION 11
Figure US09718803-20170801-C02044
Cs2CO3, DMF, 100° C.
28.14 37 PREPARATION 11
Figure US09718803-20170801-C02045
Cs2CO3, DMF, 100° C.
28.15 37 PREPARATION 11
Figure US09718803-20170801-C02046
Cs2CO3, DMF, 100° C.
28.16 37 PREPARATION 11
Figure US09718803-20170801-C02047
Cs2CO3, DMF, 100° C.
28.17 37 PREPARATION 11
Figure US09718803-20170801-C02048
Cs2CO3, DMF, 100° C.
28.18
Figure US09718803-20170801-C02049
Figure US09718803-20170801-C02050
K2CO3, iPrOH/H2O 160° C., μW
TABLE 32C
1H NMR δ (PPM) DATA FOR EXAMPLES 28.1 TO 28.18
Ex. # Structure NMR
28.1
Figure US09718803-20170801-C02051
(CDCl3, 400 MHz): 8.14-8.06 (m, 2H); 7.79 (d, J = 8.8 Hz, 1H); 7.64 (d, J = 9.2 Hz, 1H); 7.37-7.35 (m, 2H); 6.62 (d, J = 9.2 Hz, 1H); 4.54-4.50 (m, 2H); 4.45- 4.41 (m, 2H); 4.33-4.25 (m, 1H); 3.58-3.56 (m, 2H); 3.45-3.42 (m, 2H); 2.88-2.81 (m, 2H); 2.43 (s, 3H); 1.89-1.85 (m, 2H); 1.75-1.65 (m, 1H); 1.50-1.46 (m, 2H).
28.2
Figure US09718803-20170801-C02052
(CDCl3, 400 MHz): 8.10-8.09 (m, 1H); 8.03-8.02 (m, 1H); 7.77 (d, J = 8.8 Hz, 1H); 7.51-7.47 (m, 1H); 7.30-7.27 (m, 1H); 6.93-6.88 (m, 1H); 6.54-6.51 (m, 1H); 4.50-4.46 (m, 2H); 4.41-4.37 (m, 2H); 4.28- 4.23 (m, 1H); 3.54-3.53 (m, 2H); 3.38 (d, J = 12.8 Hz, 2H); 1.85-1.82 (m, 2H); 1.69-1.64 (m, 1H); 1.53- 1.37 (m, 1H)
28.3
Figure US09718803-20170801-C02053
(CDCl3, 400 MHz): 8.16-8.09 (m, 2H); 7.82 (d, J = 8.8 Hz, 1H); 7.73-7.69 (m, 1H); 7.33-7.28 (m, 1H); 7.27-7.23 (m, 1H); 6.69 (d, J = 8.8 Hz, 1H); 4.56- 4.52 (m, 2H); 4.46-4.43 (m, 2H); 4.36-4.30 (m, 1H); 3.60 (d, J = 6.4 Hz, 2H); 3.47-3.44 (m, 2H); 2.91- 2.84 (m, 2H); 1.92-1.88 (m, 2H); 1.75-1.69 (m, 1H); 1.53-1.43 (m, 2H).
28.4
Figure US09718803-20170801-C02054
(CD3OD, 400 MHz): 8.07 (s, 1H); 8.16-8.14 (m, 2H); 8.10 (d, J = 2.4 Hz, 1H); 8.02 (d, J = 9.2 Hz, 1H); 7.26- 7.23 (m, 1H); 6.83 1(d, J = 9.2 Hz, 1H); 4.55 (m, 2H); 4.37 (m, 3H); 3.50-3.43 (m, 4H); 2.89-2.83 (m, 2H); 1.89-1.86 (m, 2H); 1.68-1.64 (m, 1H); 1.50-1.40 (m, 2H).
28.5
Figure US09718803-20170801-C02055
(CDCl3, 400 MHz): 8.18-8.10 (m, 2H); 7.80 (d, J = 4.8 Hz, 1H); 7.67 (d, J = 5.2 Hz, 1H); 7.59 (s, 1H); 7.49- 7.46 (m, 1H); 6.68 (d, J = 8.8 Hz, 1H); 4.58-4.54 (m, 2H); 4.49-4.46 (m, 2H); 4.37-4.30 (m, 1H); 3.62 (d, J = 6.4 Hz, 2H); 3.46 (d, J = 12.8 Hz, 2H); 2.92- 2.86 (m, 2H); 1.93-1.90 (m, 2H); 1.76-1.69 (m, 1H); 1.54-1.44 (m, 2H).
28.6
Figure US09718803-20170801-C02056
(CDCl3, 400 MHz): 8.20-8.13 (m, 2H); 8.13 (t, J = 2.4 Hz, 1H); 7.89 (d, J = 2.4 Hz, 1H); 7.65 (d, J = 8.8 Hz, 1H); 7.54-7.51 (m, 1H); 4.67-4.62 (m, 2H); 4.59-4.55 (m, 2H); 4.44-4.37 (m, 1H); 3.61 (d, J = 6.0 Hz, 2H); 3.46 (d, J = 12.8 Hz, 2H); 2.94-2.87(m, 2H); 1.94- 1.91 (m, 2H); 1.81-1.71 (m, 1H); 1.55-1.48 (m, 2H).
28.7
Figure US09718803-20170801-C02057
(CDCl3, 400 MHz): 8.09 (s, 1H); 8.00 (s, 1H); 7.30- 7.26 (m, 1H); 6.42-6.40 (m, 1H); 6.12-6.10 (m, 1H); 4.32(s, 2H); 4.21-4.20 (m, 3H); 3.53-3.51 (m, 2H); 3.39-3.36 (m, 2H); 2.81-2.75 (m, 2H); 2.33 (s, 3H); 1.82-1.79 (m, 2H); 1.65-1.63 (m, 1H); 1.45-1.34 (m, 2H); 1.18-1.17 (m, 1H).
28.8
Figure US09718803-20170801-C02058
(CDCl3, 400 MHz): 8.10-8.09 (m, 1H); 8.02-8.01 (m, 2H); 7.35-7.32 (m, 1H); 6.24 (d, J = 8.8 Hz, 1H); 4.33- 4.29 (m, 2H); 4.25-4.19 (m, 3H); 3.51 (d, J = 6.0 Hz, 2H); 3.35 (d, J = 12.4 Hz, 2H); 2.81-2.75 (m, 2H); 1.83-1.80 (m, 2H); 1.70-1.59 (m, 1H); 1.43-1.36 (m, 2H).
28.9
Figure US09718803-20170801-C02059
(CDCl3, 400 MHz): 8.16 (s, 2H); 8.08 (d, J = 3.2 Hz, 1H); 6.27 (d, J = 8.8 Hz, 1H); 4.39-4.35 (m, 2H); 4.32- 4.27 (m, 3H); 3.58 (s, 2H); 3.43-3.40 (m, 3H); 2.88- 2.82 (m, 2H); 2.05-2.00 (m, 1H); 1.89-1.86 (m, 2H); 1.74-1.68 (m, 1H); 1.50-1.40 (m, 1H).
28.10
Figure US09718803-20170801-C02060
(CDCl3, 400 MHz): 8.19-8.11 (m, 2H); 7.89 (d, J = 8.8 Hz, 1H); 7.49 (d, J = 8.0 Hz, 1H); 7.43 (d, J = 6.8, 1H); 7.15 (t, J = 7.6 Hz, 1H); 6.69 (d, J = 8.8 Hz, 1H); 4.57- 4.53 (m, 2H); 4.47-4.43 (m, 2H); 4.38-4.31 (m, 1H); 3.63-3.61 (m, 2H); 3.51-3.48 (m, 2H); 2.93-2.87 (m, 2H); 2.67 (s, 3H); 1.94-1.91 (m, 2H); 1.82-1.62 (m, 1H); 1.55-1.45 (m, 2H).
28.11
Figure US09718803-20170801-C02061
(CDCl3, 400 MHz): 8.09-8.02 (m, 2H); 7.82-7.83 (m, 1H); 7.32 (d, J = 8.0 Hz, 1H); 7.21-7.16 (m, 1H); 7.07- 7.02 (m, 1H); 6.63 (d, J = 8.8 Hz, 1H); 4.53-4.49 (m, 2H); 4.45-4.41 (m, 2H); 4.29-4.23 (m, 1H); 3.53 (d, J = 6.4 Hz, 2H); 3.39 (d, J = 12.8 Hz, 2H); 2.84-2.77 (m, 2H); 1.85-1.81 (m, 2H); 1.68-1.64 (m, 1H). 1.63-1.36 (m, 2H)
28.12
Figure US09718803-20170801-C02062
(CDCl3, 400 MHz): 8.09-8.02 (m, 2H); 7.80 (d, J = 8.8 Hz, 1H); 7.60-7.58 (m, 1H); 7.44-7.43 (m, 1H); 7.04 (t, J = 7.6 Hz, 1H); 6.63 (d, J = 8.8 Hz, 1H); 4.53-4.49 (m, 2H); 4.45-4.41 (m, 2H); 4.28-4.23 (m, 1H); 3.54 (d, J = 6.4 Hz, 2H); 3.39 (d, J = 12.0 Hz, 2H); 2.81 (m, 2H); 1.86-1.83 (m, 2H); 1.71-1.63 (m, 1H); 1.46-1.36 (m, 2H).
28.13
Figure US09718803-20170801-C02063
(CDCl3, 400 MHz): 8.99 (s, 1H); 8.16-8.15 (m, 1H); 8.08-8.07 (m, 1H); 7.76-7.74 (m, 1H); 7.58-7.56 (m, 1H); 7.13-7.09(m, 1H); 4.64-4.57 (m, 4H); 4.31-4.27 (m, 1H); 3.58-3.55 (m, 2H); 3.45-3.41 (m, 2H); 2.88- 2.82 (m, 2H); 2.33 (s, 1H); 1.89-1.86 (m, 2H); 1.73- 1.66 (m, 1H); 1.50-1.40 (m, 2H)
28.14
Figure US09718803-20170801-C02064
(CDCl3, 400 MHz): 8.91 (s, 1H); 8.10 (d, J = 2.8 Hz, 1H); 8.03 (d, J = 2.8 Hz, 1H); 7.56-7.51 (m, 2H); 7.11- 7.09 (m, 1H); 4.57-4.52 (m, 2H); 4.49-4.45 (m, 2H); 4.27-4.19 (m, 1H); 3.53 (d, J = 6.4 Hz, 2H); 3.38 (d, J = 12.4 Hz, 2H); 2.84-2.78 (m, 2H); 1.84-1.81 (m, 2H); 1.71-1.62 (m, 1H); 1.47-1.43 (m, 2H)
28.15
Figure US09718803-20170801-C02065
(CDCl3, 400 MHz): 8.96 (s, 1H); 8.18-8.09 (m, 2H); 7.66-7.58 (m, 3H); 4.61-4.54 (m, 4H); 4.35-4.25 (m, 1H); 3.61-3.59 (m, 2H); 3.46-3.43 (m, 2H); 2.92-2.85 (m, 2H); 1.91-1.89 (m, 2H); 1.75-1.71 (m, 1H); 1.52- 1.47 (m, 2H).
28.16
Figure US09718803-20170801-C02066
(CDCl3, 400 MHz): 9.42 (s, 1H); 8.20 (d, J = 2.8 Hz, 1H); 8.12 (d, J = 2.4 Hz, 1H); 7.57-7.54 (m, 2H); 7.25- 7.23 (m, 1H); 4.67-4.63 (m, 2H); 4.59-4.55 (m, 2H); 4.35-4.31 (m, 1H); 3.64-3.62 (m, 2H); 3.48-3.45 (m, 2H); 2.93-2.86 (m, 2H); 193-1.90 (m, 2H); 1.78- 1.72 (m, 1H); 1.56-1.42(m, 3H).
28.17
Figure US09718803-20170801-C02067
(CDCl3, 400 MHz): 8.14 (s, 1H); 8.12-8.11 (m, 1H); 8.06-8.05 (m, 1H); 7.73 (d, J = 8.8 Hz, 1H); 7.63-7.62 (m, 1H); 7.26-7.24 (m, 1H); 4.58-4.51 (m, 2H); 4.49- 4.47 (m, 2H); 4.36-4.28 (m, 1H); 3.54 (d, J = 4.4 Hz, 2H); 3.38-3.35 (m, 2H); 2.86-2.79 (m, 2H); 1.85-1.83 (m, 2H); 1.73-1.62 (m, 1H); 1.47-1.37 (m, 2H)
28.18
Figure US09718803-20170801-C02068
(CDCl3, 400 MHz): 8.70-8.69 (m, 1H); 8.42-8.41 (m, 1 H); 7.57-7.55 (m, 1H); 7.47-7.45 (m, 1 H); 7.38-7.34 (m, 1 H); 7.26-7.22 (m, 1 H); 5.21-5.18 (m, 1H); 4.72- 4.70 (m, 1 H)(; 4.30-4.16 (m, 2H); 4.06-3.95 (m, 3 H); 3.83-3.80 (m, 1 H); 3.46-3.41 (m, 1 H); 2.27-2.12 (m, 1 H); 2.08-1.94 (m, 4 H); 1.61-1.58 (m, 1 H).
Figure US09718803-20170801-C02069
Example 29.1: 2-{3-[3-(3-Methoxy-Phenyl)-Pyrazin-2-Yl]-Azetidin-1-Yl}-8-Methyl-Quinoline
To a solution of 2-azetidin-3-yl-3-(3-methoxy-phenyl)-pyrazine hydrochloride (138 mg, 0.50 mmol) and 2-chloro-quinoline (84 mg, 0.50 mmol) in DMF (6 mL) was added Cs2CO3 (325 mg, 1.0 mmol). The reaction mixture was stirred at 110° C. overnight. The reaction mixture was diluted with water, extracted with EtOAc (30 mL×2). The combined organic extracts were washed with water (30 mL) and brine (30 mL), dried over Na2SO4 and filtered. The filtrate was evaporated in vacuo and the residue was purified by flash column chromatography on silica gel (20% to 40% EtOAc in petroleum ether) to give 2-{3-[3-(3-methoxy-phenyl)-pyrazin-2-yl]-azetidin-1-yl}-8-methyl-quinoline (118 mg, 0.31 mmol, 63.35%).
The following Table 33A lists compounds of Examples 29.1 to 29.18, which were made analogous to Scheme 29 by using the appropriate materials and reaction conditions, which are listed in Table 33B. The NMR data of the Examples are listed in Table 33C.
TABLE 33A
EXAMPLES 29.1 TO 29.18
ESI-MS IC50
Ex. # Structure Chemical Name (M + 1) (uM)
29.1
Figure US09718803-20170801-C02070
2-(3-(3-(3-methoxyphenyl)pyrazin- 2-yl)azetidin-1-yl)-8- methylquinoline 383 0.997
29.2
Figure US09718803-20170801-C02071
6-Chloro-2-{3-[3-(3-methoxy- phenyl)-pyrazin-2-yl]-azetidin-1- yl}-quinazoline 404 0.0750
29.3
Figure US09718803-20170801-C02072
8-Chloro-2-{3-[3-(3-methoxy- phenyl)-pyrazin-2-yl]-azetidin-1- yl}-quinoline 403 0.111
29.4
Figure US09718803-20170801-C02073
7-Fluoro-2-{3-[3-(3-methoxy- phenyl)-pyrazin-2-yl]-azetidin-1- yl}-quinoline 387 0.00122
29.5
Figure US09718803-20170801-C02074
2-{3-[3-(3-Methoxy-phenyl)- pyrazin-2-yl]-azetidin-1-yl}-6- methyl-quinoline 383 0.0061-
29.6
Figure US09718803-20170801-C02075
2-{3-[3-(3-Methoxy-phenyl)- pyrazin-2-yl]-azetidin-1-yl}- [1,8]naphthyridine 370 0.0794
29.7
Figure US09718803-20170801-C02076
8-Chloro-2-{3-[3-(3-methoxy- phenyl)-pyrazin-2-yl]-azetidin-1- yl}-quinazoline 404
29.8
Figure US09718803-20170801-C02077
5-Chloro-2-{3-[3-(3-methoxy- phenyl)-pyrazin-2-yl]-azetidin-1- yl}-quinazoline 404
29.9
Figure US09718803-20170801-C02078
2-(3-(3-(3-methoxyphenyl)pyrazin- 2-yl)azetidin-1-yl)-4- phenylpyrimidine 396 4.3
29.10
Figure US09718803-20170801-C02079
2-(3-(3-(3-methoxyphenyl)pyrazin- 2-yl)azetidin-1-yl)benzo[d]thiazole 375 0.016
29.11
Figure US09718803-20170801-C02080
6-methoxy-2-(3-(3-(3- methoxyphenyl)pyrazin-2- yl)azetidin-1-yl)benzo[d]thiazole 405 0.010
29.12
Figure US09718803-20170801-C02081
2-(3-(3-(3-methoxyphenyl)pyrazin- 2-yl)azetidin-1-yl)-1,6- naphthyridine 370 0.008
29.13
Figure US09718803-20170801-C02082
6-Chloro-2-(3-(3-(3- methoxyphenyl)pyrazin-2- yl)azetidin-1-yl)quinoline 403 0.0049
29.13
Figure US09718803-20170801-C02083
6-fluoro-2-(3-(3-(3- methoxyphenyl)pyrazin-2- yl)azetidin-1-yl)benzo[d]thiazole 393 0.029
29.14
Figure US09718803-20170801-C02084
2-(3-(3-(3-methoxyphenyl)pyrazin- 2-yl)azetidin-1-yl)quinoline-3- carbonitrile 394 0.0062
29.15
Figure US09718803-20170801-C02085
1-[3-(3-Phenyl-pyrazin-2-yl)- azetidin-1-yl]-phthalazine 340 1.9100
29.16
Figure US09718803-20170801-C02086
6-chloro-2-(3-(3-phenylpyrazin-2- yl)azetidin-1-yl)-1H- benzo[d]imidazole 362 0.0504
29.17
Figure US09718803-20170801-C02087
2-(3-(3-phenylpyrazin-2-yl)azetidin- 1-yl)-1H-benzo[d]imidazole 327 0.191
29.18
Figure US09718803-20170801-C02088
2-((3-(3-phenylpyrazin-2- yl)azetidin-1-yl)methyl)-1H- benzo[d]imidazole 342 1.07
TABLE 33B
STARTING MATERIALS AND REACTION CONDITION FOR
PREPARATION OF EXAMPLES 29.1 TO 29.18.
Unless otherwise stated, all starting materials are commercially available from common vendors.
Ex. # Starting Material 1 Starting Material 2 Reaction Condition
29.1
Figure US09718803-20170801-C02089
  PREPARATION 10
Figure US09718803-20170801-C02090
  PREPARATION 33
Cs2CO3, DMF, 100° C.
29.2 34 PREPARATION 10
Figure US09718803-20170801-C02091
  PREPARATION 34
Cs2CO3, DMF, 100° C.
29.3 34 PREPARATION 10
Figure US09718803-20170801-C02092
  PREPARATION 33
Cs2CO3, DMF, 100° C.
29.4 34 PREPARATION 10
Figure US09718803-20170801-C02093
  PREPARATION 33
Cs2CO3, DMF, 100° C.
29.5 34 PREPARATION 10
Figure US09718803-20170801-C02094
  ALDRICH
Cs2CO3, DMF, 100° C.
29.6 34 PREPARATION 10
Figure US09718803-20170801-C02095
  ANICHEM
Cs2CO3, DMF, 100° C.
29.7 34 PREPARATION 10
Figure US09718803-20170801-C02096
  PREPARATION 34
Cs2CO3, DMF, 100° C.
29.8 34 PREPARATION 10
Figure US09718803-20170801-C02097
  PREPARATION 34
Cs2CO3, DMF, 100° C.
29.9 34 PREPARATION 10
Figure US09718803-20170801-C02098
  Combi-Blocks
DMSO, 130-145° C., μW
29.10 34 PREPARATION 10
Figure US09718803-20170801-C02099
  Alfa Aesar
DMSO, 130-145° C., μW
29.11 34 PREPARATION 10
Figure US09718803-20170801-C02100
  TCI America
DMSO, 130-145° C., μW
29.12 34 PREPARATION 10
Figure US09718803-20170801-C02101
  PREPARATION 35
DMSO, 145-155° C., μW
29.13 34 PREPARATION 10
Figure US09718803-20170801-C02102
  Aldrich
DMSO, 145-155° C., μW
29.13 34 PREPARATION 10
Figure US09718803-20170801-C02103
  Aldrich
DMSO, 145-155° C., μW
29.14 34 PREPARATION 10
Figure US09718803-20170801-C02104
  Aldrich
DMSO, 100° C., μW
29.15 PREPARATION 7
Figure US09718803-20170801-C02105
Cs2CO3,DMF 120° C.
29.16
Figure US09718803-20170801-C02106
  PREPARATION 7
Figure US09718803-20170801-C02107
  WUXI APPTEC
K2CO3, i-PrOH, H2O, MW, 160° C.
29.17
Figure US09718803-20170801-C02108
  PREPARATION 7
Figure US09718803-20170801-C02109
  WUXI APPTEC
K2CO3, i-PrOH, H2O, MW, 160° C.
29.18
Figure US09718803-20170801-C02110
  PREPARATION 7
Figure US09718803-20170801-C02111
  WUXI APPTEC
K2CO3, i-PrOH, H2O, MW, 160° C.
TABLE 33C
1H NMR δ (PPM) DATA FOR EXAMPLES 29.1 TO 29.18
Ex. # Structure NMR
29.1
Figure US09718803-20170801-C02112
(CDCl3, 400 MHz): 8.59-8.53 (m, 2H); 7.85 (d, J = 8.8 Hz, 1H); 7.47-7.40 (m, 3H); 7.14- 7.10 (m, 1H); 7.08-7.03 (m, 3H); 6.62 (d, J = 8.8 Hz, 1H); 4.44-4.37 (m, 5H); 3.90 (s, 3H); 2.64 (s, 3H).
29.2
Figure US09718803-20170801-C02113
(CDCl3, 400 MHz): 9.07 (s, 1H); 8.60-8.59 (m, 2H); 7.88-7.86 (m, 1H); 7.78-7.74 (m, 2H); 7.43-7.41 (m, 1H); 7.05-6.98 (m, 3H); 4.75-4.74 (m, 4H); 4.45-4.43 (m, 1H); 3.87 (s, 3H).
29.3
Figure US09718803-20170801-C02114
(CDCl3, 400MHz): 8.61 (s, 1H); 8.56 (s, 1H); 7.87 (d, J = 8.8 Hz, 1H); 7.67 (d, J = 7.6 Hz, 1H); 7.53(d, J = 8.0 Hz, 1H); 7.48-7.44 (m, 1H); 7.15-7.11 (m, 1H); 7.09-7.06 (m, 3H) 6.68 (d, J = 8.8 Hz, 1H); 4.55-4.42 (m, 5H); 3.92 (s, 3H)
29.4
Figure US09718803-20170801-C02115
(CDCl3, 400 MHz): 8.61-8.56 (m, 2H); 7.86- 7.83 (m, 1H); 7.59-7.55 (m, 1H); 7.47-7.43 (m, 1H); 7.38-7.35 (m, 1H); 7.09-7.05 (m, 3H); 7.01-6.91 (m, 1H); 6.58-6.65 (m, 1H); 4.48- 4.43 (m, 5H); 3.91 (s, 3H).
29.5
Figure US09718803-20170801-C02116
(CDCl3, 400 MHz): 8.60-8.55 (m, 2H); 7.82 (d, J = 8.8 Hz, 1H); 7.71-7.69 (m, 1H); 7.47- 7.43 (m, 1H); 7.41-7.39 (m, 2H); 7.09-7.04 (m, 3H); 6.62 (d, J = 8.8 Hz, 1H); 4.49-4.43 (m, 5H); 3.91 (s, 3H); 2.46 (s, 3H).
29.6
Figure US09718803-20170801-C02117
(CDCl3, 400 MHz): 8.59-8.54 (m, 2H); 7.77 (d, J = 8.8 Hz, 1H); 7.64 (d, J = 9.2 Hz, 1H); 7.57-7.56 (m, 1H); 7.47-7.41 (m, 2H); 7.07- 7.03 (m, 3H); 6.62 (d, J = 8.8 Hz, 1H); 4.46- 4.40 (m, 5H); 3.89 (s, 3H).
29.7
Figure US09718803-20170801-C02118
(CDCl3, 400 MHz): 9.00-8.99 (m, 1H); 8.61- 8.50 (m, 2H); 7.77-7.74 (m, 1H); 7.59-7.56 (m, 1H); 7.43-7.40 (m, 1H); 7.14-7.10 (m, 1H); 7.07-7.01 (m, 3H); 4.58-4.50 (m, 4H); 4.39- 4.36 (m, 1H); 3.87 (s, 3H).
29.8
Figure US09718803-20170801-C02119
(CDCl3, 400 MHz): 9.54 (s, 1H); 8.65-8.63 (m, 2H); 7.83-7.80 (m, 2H); 7.48-7.44 (m, 2H); 7.08-6.99 (m, 3H); 4.82-4.81 (m, 4H); 4.50-4.47 (m,1H); 3.89 (s, 3H).
29.9
Figure US09718803-20170801-C02120
(400 MHz, DMSO-d6) 3.78-3.92 (m, 3 H) 4.16-4.50 (m, 5 H) 7.06-7.17 (m, 3 H) 7.26 (d, J = 5.09 Hz, 1 H) 7.42-7.56 (m, 4 H) 8.06- 8.16 (m, 2 H) 8.42 (d, J = 5.09 Hz, 1 H) 8.64 (d, J = 2.15 Hz, 1 H) 8.70 (d, J = 2.35 Hz, 1 H).
29.10
Figure US09718803-20170801-C02121
(400 MHz, DMSO-d6) 3.84 (s, 3 H) 4.24- 4.41 (m, 4 H) 4.44-4.57 (m, 1 H) 7.01-7.17 (m, 4 H) 7.24-7.33 (m, 1 H) 7.42-7.52 (m, 2 H) 7.78 (d, J = 7.82 Hz, 1 H) 8.66 (d, J = 2.35 Hz, 1 H) 8.72 (d, J = 2.35 Hz, 1 H)
29.11
Figure US09718803-20170801-C02122
(400 MHz, DMSO-d6) 3.71-3.79 (m, 3 H) 3.84 (s, 3 H) 4.21-4.35 (m, 4 H) 4.43-4.55 (m, 1 H) 6.89 (dd, J = 8.80, 2.54 Hz, 1 H) 7.04- 7.15 (m, 3 H) 7.34-7.43 (m, 2 H) 7.44-7.51 (m, 1 H) 8.65 (d, J = 2.35 Hz, 1 H) 8.71 (d, J = 2.35 Hz, 1 H)
29.12
Figure US09718803-20170801-C02123
(400 MHz, DMSO-d6) 3.87 (s, 3H) 4.28-4.49 (m, 5 H) 6.83 (d, J = 9.00 Hz, 1 H) 7.06-7.19 (m, 3 H) 7.38 (d, J = 5.87 Hz, 1 H) 7.49 (t, J = 8.02 Hz, 1 H) 8.13 (d, J = 9.00 Hz, 1 H) 8.42 (d, J = 5.67 Hz, 1 H) 8.66 (d, J = 2.35 Hz, 1 H) 8.71 (d, J = 2.15 Hz, 1 H) 8.93 (s, 1 H)
29.13
Figure US09718803-20170801-C02124
(400 MHz, DMSO-d6) 8.69 (d, J = 2.35 Hz, 1H), 8.64 (d, J = 2.35 Hz, 1H), 8.01 (d, J = 9.00 Hz, 1H), 7.82 (d, J = 2.15 Hz, 1H), 7.42- 7.60 (m, 3H), 7.06-7.19 (m, 3H), 6.81 (d, J = 9.00 Hz, 1H), 4.36-4.47 (m, 1H), 4.20-4.36 (m, 4H), 3.85 (s, 3H)
29.13
Figure US09718803-20170801-C02125
(400 MHz, DMSO-d6) 8.71 (d, J = 2.54 Hz, 1H), 8.65 (d, J = 2.35 Hz, 1H), 7.71 (dd, J = 2.74, 8.80 Hz, 1H), 7.41-7.49 (m, 2H), 7.05- 7.17 (m, 4H), 4.49 (s, 1H), 4.23-4.38 (m, 4H), 3.83 (s, 3H)
29.14
Figure US09718803-20170801-C02126
(400 MHz, DMSO-d6) 8.73 (s, 1H), 8.67 (d, J = 2.35 Hz, 1H), 8.61 (d, J = 2.35 Hz, 1H), 7.77 (d, J = 8.02 Hz, 1H), 7.63-7.69 (m, 1H), 7.54- 7.59 (m, 1H), 7.41-7.47 (m, 1H), 7.30 (t, J = 7.43 Hz, 1H), 7.04-7.13 (m, 3H), 4.43-4.55 (m, 4H), 4.33-4.42 (m, 1H), 3.81 (s, 3H)
29.15
Figure US09718803-20170801-C02127
(CD3OD, 400 MHz): 8.84 (S, 1h); 8.65 (d, J = 2.4 Hz, 1H); 8.53 (d, J = 2.4 Hz, 1H); 8.03- 8.00 (m, 1H); 7.92-7.80 (m, 3H); 7.57-7 50 (m, 5H); 4.77-4.71 (m, 4H); 4.49-4.46 (m, 1H).
29.16
Figure US09718803-20170801-C02128
(CDCl3, 400 MHz): 8.54-8.53 (m, 1H); 8.42 (s, 1H); 7.54-7.53 (m, 3H); 7.35-7.32 (m, 2H); 7.26-7.20 (m, 1H); 7.11-7.09 (m, 1H); 6.97- 6.95 (m, 1H); 4.46-4.42 (m, 2H); 4 18-4.15 (m, 2H); 4.03-4.00 (m, 1H).
29.17
Figure US09718803-20170801-C02129
(MeOD, 400 MHz): 8.66-8.65 (m, 1H); 8.55- 8.54 (m, 1H); 7.58-7.52 (m, 5H); 7.22-7.19 (m, 2H); 7.01-6.98 (m, 2H); 4.51-4.45 (m, 1H), 4.38-4.30 (m, 4H).
29.18
Figure US09718803-20170801-C02130
(MeOD, 400 MHz): 8.67-8.65 (m, 1H); 8.60- 8.58 (m, 1H); 7.67-7.63 (m, 2H); 7.55-7.47 (m, 5H); 7.39-7.36 (m, 2H); 4.81 (s, 2H); 4.55- 4.48 (m, 5H).
Figure US09718803-20170801-C02131
Example 30.1: 3-(3-(1-(Quinolin-2-Yl)Azetidin-3-Yl)Pyrazin-2-Yl)Benzamide
A mixture of 3-(3-(1-(quinolin-2-yl)azetidin-3-yl)pyrazin-2-yl)benzonitrile (0.072 g, 0.198 mmol), potassium hydroxide (0.111 g, 1.981 mmol, v/w) and t-BuOH (2 mL, Acros) was heated at 80° C. overnight. LCMS showed the product. The mixture was diluted with water and extracted with a mixture of CHCl3:i-PrOH (3:1) three times. The combined organic layers were dried over Na2SO4 and concentrated in vacuo. The product was obtained as a white solid (75 mg, 99%).
The following Table 34A lists compounds of Examples 30.1 to 30.4, which were made analogous to Scheme 30 by using the appropriate materials and reaction conditions, which are listed in Table 34B. The NMR data of the Examples are listed in Table 34C.
TABLE 34A
EXAMPLES 30.1 TO 30.4
ESI-
MS IC50
Ex. # Structure Chemical Name (M + 1) (μM)
30.1
Figure US09718803-20170801-C02132
3-(3-(1-(quinolin-2- yl)azetidin-3-yl)pyrazin-2- yl)benzamide 382 0.0008
30.2
Figure US09718803-20170801-C02133
4-(3-(1-(quinolin-2- yl)azetidin-3-yl)pyrazin-2- yl)benzamide 382 0.0013
30.3
Figure US09718803-20170801-C02134
2-fluoro-5-(3-(1-(quinolin-2- yl)azetidin-3-yl)pyrazin-2- yl)benzamide 400 0.0006
30.4
Figure US09718803-20170801-C02135
2-fluoro-4-(3-(1-(quinolin-2- yl)azetidin-3-yl)pyrazin-2- yl)benzamide 400 0.002 
TABLE 34B
STARTING MATERIALS AND REACTION CONDITION FOR
PREPARATION OF EXAMPLES 30.1 TO 30.4.
Unless otherwise stated, all starting materials are commercially available from common vendors.
Ex. # Key starting Material(s)/Source Reaction Condition
30.1
Figure US09718803-20170801-C02136
  SCHEME 5
KOH, t-BuOH, 80° C.
30.2
Figure US09718803-20170801-C02137
  SCHEME 5
KOH, t-BuOH, 80° C.
30.3
Figure US09718803-20170801-C02138
  SCHEME 5
EtOH/DMSO NaOH/H2O2
30.4
Figure US09718803-20170801-C02139
  SCHEME 5
EtOH/DMSO NaOH/H2O2
TABLE 34C
1H NMR δ (PPM) DATA FOR EXAMPLES 30.1 TO 30.4
Ex. # Structure 1H NMR
30.1
Figure US09718803-20170801-C02140
(400 MHz, DMSO-d6) 4.24-4.35 (m, 4 H) 4.37-4.46 (m, 1 H) 6.75 (d, J = 8.80 Hz, 1 H) 7.21 (t, J = 7.34 Hz, 1 H) 7.45-7.59 (m, 3 H) 7.62-7.81 (m, 3 H) 7.99-8.17 (m, 4 H) 8.67 (d, J = 2.35 Hz, 1 H) 8.71 (d, J = 2.35 Hz, 1 H)
30.2
Figure US09718803-20170801-C02141
(400 MHz, DMSO-d6) 4.20-4.35 (m, 4 H) 4.38-4.49 (m, 1 H) 6.75 (d, J = 9.00 Hz, 1 H) 7.16-7.28 (m, 1 H) 7.45-7.59 (m, 3 H) 7.64- 7.74 (m, 3 H) 7.98-8.20 (m, 4 H) 8.66 (d, J = 2.35 Hz, 1 H) 8.71 (d, J = 2.35 Hz, 1 H)
30.3
Figure US09718803-20170801-C02142
(400 MHz, chloroform-d) 4.34-4.51 (m, 5 H) 5.94 (br. s., 1 H) 6.64 (d, J = 9.00 Hz, 1 H) 6.77 (d, J = 10.17 Hz, 1 H) 7.19-7.25 (m, 1 H) 7.34 (dd, J = 11.35, 8.61 Hz, 1 H) 7.49-7.56 (m, 1 H) 7.60 (d, J = 7.82 Hz, 1 H) 7.72 (d, J = 8.41 Hz, 1 H) 7.77 (ddd, J = 8.17, 5.14, 2.54 Hz, 1 H) 7.88 (d, J = 8.80 Hz, 1 H) 8.30 (dd, J = 7.43, 2.54 Hz, 1 H) 8.55 (d, J = 2.35 Hz, 1 H) 8.62 (d, J = 2.35 Hz, 1 H).
30.4
Figure US09718803-20170801-C02143
(400 MHz, chloroform-d) 4.33-4.52 (m, 5 H) 5.89 (br. s., 1 H) 6.64 (d, J = 9.00 Hz, 1 H) 6.76 (d, J = 11.35 Hz, 1 H) 7.20-7.26 (m, 1 H) 7.36- 7.47 (m, 2 H) 7.54 (t, J = 7.73 Hz, 1 H) 7.61 (d, J = 8.02 Hz, 1 H) 7.73 (d, J = 8.41 Hz, 1 H) 7.89 (d, J = 9.00 Hz, 1 H) 8.30 (t, J = 8.02 Hz, 1 H) 8.58 (d, J = 2.35 Hz, 1 H) 8.65 (d, J = 2.35 Hz, 1 H).
Figure US09718803-20170801-C02144
Example 31.1: 2-(3-(3-(1-(Quinolin-2-Yl)Azetidin-3-Yl)Pyrazin-2-Yl)Phenyl)Propan-2-Ol
To a mixture of methyl 3-(3-(1-(quinolin-2-yl)azetidin-3-yl)pyrazin-2-yl)benzoate (0.044 g, 0.110 mmol) and THF (1 mL) was added methylmagnesium bromide (0.110 mL, 0.331 mmol). The mixture was stirred at RT for 2 h. LCMS showed the product. The mixture was diluted with saturated NH4Cl and extracted with EtOAc. The organic layer was dried over Na2SO4 and concentrated in vacuo. The crude was purified by silica gel chromatography (12 g, 10%-100% EtOAc-Hexane). The product was obtained as a white solid (44 mg, 100%). 1H NMR (400 MHz, chloroform-d) δ ppm 1.66 (s, 6H) 1.88 (br. s., 1H) 4.29-4.63 (m, 5H) 6.62 (d, J=8.80 Hz, 1H) 7.22 (t, J=7.43 Hz, 1H) 7.39 (d, J=7.63 Hz, 1H) 7.51 (dt, J=11.79, 7.70 Hz, 2H) 7.57-7.65 (m, 2H) 7.66-7.76 (m, 2H) 7.87 (d, J=8.80 Hz, 1H) 8.54 (d, J=2.35 Hz, 1H) 8.58 (d, J=2.15 Hz, 1H). ESI (M+1) 397; calc for C25H24N4396.
The following Table 35A lists compounds of Examples 31.1 to 31.2, which were made analogous to Scheme 31 by using the appropriate materials and reaction conditions, which are listed in Table 35B. The NMR data of the Examples are listed in Table 35C.
TABLE 35A
EXAMPLES 31.1 TO 31.2
ESI-MS IC50
Ex. # Structure Chemical Name (M + 1) (μm)
31.1
Figure US09718803-20170801-C02145
2-(3-(3-(1-(quinolin-2- yl)azetidin-3-yl)pyrazin- 2-yl)phenyl)propan-2-ol 397 0.0034
31.2
Figure US09718803-20170801-C02146
2-(4-(3-(1-(quinolin-2- yl)azetidin-3-yl)pyrazin- 2-yl)phenyl)propan-2-ol 397 0.0042
TABLE 35B
STARTING MATERIALS AND REACTION CONDITION FOR
PREPARATION OF EXAMPLES 31.1 TO 31.2.
Unless otherwise stated, all starting materials are commercially available from common vendors.
Ex. # Key Starting Material(s)/Source Reaction Condition
31.1
Figure US09718803-20170801-C02147
  SCHEME 5
CH3MgBr, THF, RT
31.2
Figure US09718803-20170801-C02148
  SCHEME 5
CH3MgBr, THF, RT
TABLE 35C
1H NMR δ (PPM) DATA FOR EXAMPLES 31.1 TO 31.2
Ex. # Structure NMR
31.1
Figure US09718803-20170801-C02149
(400 MHz, chloroform-d) 1.66 (s, 6 H) 1.88 (br. s., 1 H) 4.29-4.63 (m, 5 H) 6.62 (d, J = 8.80 Hz, 1 H) 7.22 (t, J = 7.43 Hz, 1 H) 7.39 (d, J = 7.63 Hz, 1 H) 7.51 (dt, J = 11.79, 7.70 Hz, 2 H) 7.57-7.65 (m, 2 H) 7.66-7.76 (m, 2 H) 7.87 (d, J = 8.80 Hz, 1 H) 8.54 (d, J = 2.35 Hz, 1 H) 8.58 (d, J = 2.15 Hz, 1 H).
31.2
Figure US09718803-20170801-C02150
(400 MHz, chloroform-d) 1.65 (s, 6 H) 1.80 (s, 1 H) 4.38-453 (m, 5 H) 6.63 (d, J = 8.80 Hz, 1 H) 7.22 (t, J = 7.43 Hz, 1 H) 7.47-7.56 (m, 3 H) 7.60 (d, J = 7.63 Hz, 1 H) 7.65 (d, J = 8.41 Hz, 2 H) 7.72 (d, J = 8.41 Hz, 1 H) 7.87 (d, J = 9.00 Hz, 1 H) 8.53 (d, J = 2.35 Hz, 1 H) 8.57 (d, J = 2.54 Hz, 1 H).
Figure US09718803-20170801-C02151
Example 32.1: 2-(3-(3-(1,2,3,6-Tetrahydropyridin-4-Yl)Pyrazin-2-Yl)Azetidin-1-Yl)Quinoline
A mixture of tert-butyl 4-(3-(1-(quinolin-2-yl)azetidin-3-yl)pyrazin-2-yl)-5,6-dihydropyridine-1(2H)-carboxylate (0.100 g, 0.225 mmol, SCHEME 5), CH2Cl2 (1 mL) and TFA (0.174 mL, 2.255 mmol) was stirred at RT for 1 h. LCMS showed the product and no more starting material was present. The mixture was concentrated in vacuo and neutralized with Na2CO3. The mixture was extracted with a mixture of CHCl3:i-PrOH (3:1) three times. The organic layer was dried over Na2SO4 and concentrated in vacuo. The product was obtained as a white solid (77 mg, 99%).
ESI-MS (M+1): 344. PDE10 IC50 (μM): 0.013.
1H NMR δ (ppm): (400 MHz, chloroform-d) 2.53 (d, J=1.76 Hz, 2H) 3.18 (t, J=5.67 Hz, 2H) 3.61 (d, J=2.74 Hz, 2H) 4.38-4.59 (m, 5H) 5.86 (br. s., 1H) 6.66 (d, J=8.80 Hz, 1H) 7.22 (t, J=7.43 Hz, 1H) 7.49-7.57 (m, 1H) 7.61 (d, J=7.83 Hz, 1H) 7.74 (d, J=8.41 Hz, 1H) 7.89 (d, J=9.00 Hz, 1H) 8.42 (d, J=2.35 Hz, 1H) 8.47 (d, J=2.35 Hz, 1H).
Figure US09718803-20170801-C02152
Example 33.1: Lithium 3-(3-(1-(Quinolin-2-Yl)Azetidin-3-Yl)Pyrazin-2-Yl)Benzoate
A mixture of methyl 3-(3-(1-(quinolin-2-yl)azetidin-3-yl)pyrazin-2-yl)benzoate (0.079 g, 0.198 mmol, SCHEME 5), lithium hydroxide hydrate (0.017 g, 0.397 mmol), water (0.4 mL) and THF (1.2 mL) was stirred at RT overnight. The mixture was concentrated in vacuo. The product was obtained as an off-white solid (83 mg, 108%).
ESI-MS (M+1): 383. PDE10 IC50 (μM): 0.0016.
1H NMR δ (ppm): (400 MHz, DMSO-d6) 4.20-4.45 (m, 5H) 6.76 (d, J=9.00 Hz, 1H) 7.21 (t, J=7.04 Hz, 1H) 7.42-7.61 (m, 4H) 7.70 (d, J=7.82 Hz, 1H) 7.97-8.04 (m, 2H) 8.08 (s, 1H) 8.64 (dd, J=9.39, 2.35 Hz, 2H).
Figure US09718803-20170801-C02153
Example 34.1: (1H-Benzoimidazol-2-Yl)-{3-[3-(2-Methoxy-Phenoxy)-Pyrazin-2-Yl]-Azetidin-1-Yl}-Methanone
The mixture of 2-azetidin-3-yl-3-(2-methoxy-phenoxy)-pyrazine hydrochloride (108 mg, 0.37 mmol), HATU (280 mg, 0.74 mmol) and TEA (130 mg, 1.3 mmol) in dry DCM (10 mL) was stirred at RT for 30 min, then 1H-benzoimidazole-2-carboxylic acid was added to the solution. The solution was heated to 80° C. overnight. The mixture was poured into saturated aqueous Na2CO3 and extracted with DCM (50 mL×2). The organic layer was washed with brine, dried over Na2SO4 and concentrated to give the crude compound, which was purified by ISCO silica gel column (10% to 80% EtOAc in petroleum ether) and followed by reverse phase prep. HPLC (10% to 80% water/MeCN) to give (1H-benzoimidazol-2-yl)-{3-[3-(2-methoxy-phenoxy)-pyrazin-2-yl]-azetidin-1-yl}-methanone (40 mg, 0.11 mmol, yield 27%).
The following Table 36A lists compounds of Examples 34.1 to 34.2, which were made analogous to Scheme 34 by using the appropriate materials and reaction conditions, which are listed in Table 36B. The NMR data of the Examples are listed in Table 36C.
TABLE 36A
EXAMPLES 34.1 TO 34.2
ESI-MS IC50
Ex. # Structure Chemical Name (M + 1) (uM)
34.1
Figure US09718803-20170801-C02154
(1H-Benzoimidazol-2-yl)-{3-[3- (2-methoxy-phenoxy)-pyrazin-2- yl]-azetidin-1-yl}-methanone 402 1.74
34.2
Figure US09718803-20170801-C02155
(1H-Benzoimidazol-2-yl)-{3-[3- (3-methoxy-phenoxy)-pyrazin-2- yl]-azetidin-1-yl}-melhanone 402 0.78
34.3
Figure US09718803-20170801-C02156
(1H-benzoimidazol-2-yl)-{3-[3-(4- methoxy-phenoxy)-pyrazin-2-yl]- azetidin-1-yl}-methanone 402 2.04
34.4
Figure US09718803-20170801-C02157
(1H-Benzoimidazol-2-yl)-[3-(3- phenoxy-pyrazin-2-yl)-azetidin-1- yl]-methanone 372 0.73
34.5
Figure US09718803-20170801-C02158
(1H-benzoimidazol-2-yl)-{3-[3- (tetrahydro-pyran-4-yl)-pyrazin-2- yl]-azetidin-1-yl}-methanone 364 0.124
34.6
Figure US09718803-20170801-C02159
(7-Chloro-1H-benzoimidazol-2- yl)-[3-(3-phenyl-pyrazin-2-yl)- azetidin-1-yl]-methanone 390 0.131
34.7
Figure US09718803-20170801-C02160
(6-Chloro-1H-benzoimidazol-2 - yl)-[3-(3-phenyl-pyrazin-2-yl)- azetidin-1-yl]-methanone 390 0.0692
34.8
Figure US09718803-20170801-C02161
(7-Fluoro-1H-benzoimidazol-2- yl)-[3-(3-phenyl-pyrazin-2-yl)- azetidin-1-yl]-methanone 374 0.0438
34.9
Figure US09718803-20170801-C02162
(6-FIuoro-1H-benzoimidazol-2- yl)-[3-(3-phenyl-pyrazin-2-yl)- azetidin-1-yl]-methanone 374 0.0373
34.10
Figure US09718803-20170801-C02163
(6-methyl-1H-benzoimidazol-2- yl)-[3-(3-phenyl-pyrazin-2-yl)- azetidin-1-yl]-methanone 370 0.0687
34.11
Figure US09718803-20170801-C02164
(6-methyl-1H-benzoimidazol-2- yl)-[3-(3-phenyl-pyrazin-2-yl)- azetidin-1-yl]-methanone 370 0.0219
34.12
Figure US09718803-20170801-C02165
(1H-benzoimidazol-2-yl)-{3-[3-(2- methoxy-phenyl)-pyrazin-2-yl]- azetidin-1-yl}-methanone 386 0.0978
34.13
Figure US09718803-20170801-C02166
(1H-benzoimidazol-2-yl)-{3-[3-(3- methoxy-phenyl)-pyrazin-2-yl]- azetidin-1-yl}-methanone 386 0.087
34.14
Figure US09718803-20170801-C02167
(1H-Benzoimidazol-2-yl)-{3-[3- (4-methoxy-phenyl)-pyrazin-2-yl]- azetidin-1-yl}-methanone 386 0.0322
34.14
Figure US09718803-20170801-C02168
(1H-benzoimidazol-2-yl)-[3-(2- phenyl-pyridin-3-yl)-azetidin-1- yl]-methanone 355 0.515
TABLE 36B
STARTING MATERIALS AND REACTION CONDITION FOR
PREPARATION OF EXAMPLES 34.1 TO 34.2.
Unless otherwise stated, all starting materials are commercially available from common vendors.
Ex. # Starting Material 1 Starting Material 2 Reaction Condition
34.1
Figure US09718803-20170801-C02169
  PREPARATION 5
Figure US09718803-20170801-C02170
  PREPARATION 6
HATU, TEA, DCM, 80° C.
34.2
Figure US09718803-20170801-C02171
  PREPARATION 5
Figure US09718803-20170801-C02172
  PREPARATION 6
HATU, TEA, DCM, 80° C.
34.3
Figure US09718803-20170801-C02173
  PREPARATION 5
Figure US09718803-20170801-C02174
  PREPARATION 6
HATU, TEA, DCM, 80° C.
34.4
Figure US09718803-20170801-C02175
  PREPARATION 5
Figure US09718803-20170801-C02176
  PREPARATION 6
HATU, TEA, DCM, 80° C.
34.5
Figure US09718803-20170801-C02177
  PREPARATION 37
Figure US09718803-20170801-C02178
  PREPARATION 6
HATU, TEA, THF
34.6
Figure US09718803-20170801-C02179
  PREPARATION 7
Figure US09718803-20170801-C02180
  PREPARATION 6
HATU, TEA, DCM, 0° C. to RT
34.7
Figure US09718803-20170801-C02181
  PREPARATION 7
Figure US09718803-20170801-C02182
  PREPARATION 6
HATU, TEA, DCM, 0° C. to RT
34.8
Figure US09718803-20170801-C02183
  PREPARATION 7
Figure US09718803-20170801-C02184
  PREPARATION 6
HATU, TEA, DCM, 0° C. to RT
34.9
Figure US09718803-20170801-C02185
  PREPARATION 7
Figure US09718803-20170801-C02186
  PREPARATION 6
HATU, TEA, DCM, 0° C. to RT
34.10
Figure US09718803-20170801-C02187
  PREPARATION 7
Figure US09718803-20170801-C02188
  PREPARATION 6
HATU, TEA, DCM, 0° C. to RT
34.11
Figure US09718803-20170801-C02189
  PREPARATION 7
Figure US09718803-20170801-C02190
  PREPARATION 6
HATU, TEA, DCM, 0° C. to RT
34.12
Figure US09718803-20170801-C02191
  PREPARATION 7
Figure US09718803-20170801-C02192
  PREPARATION 6
HATU, TEA, DCM, RT
34.13
Figure US09718803-20170801-C02193
  PREPARATION 10
Figure US09718803-20170801-C02194
  PREPARATION 6
HATU, TEA, DCM, RT
34.14
Figure US09718803-20170801-C02195
  PREPARATION 7
Figure US09718803-20170801-C02196
  PREPARATION 6
HATU, TEA, DCM, RT
34.14
Figure US09718803-20170801-C02197
  PREPARATION 8
Figure US09718803-20170801-C02198
  PREPARATION 6
HATU, TEA, DCM, RT
TABLE 36C
1H NMR δ (PPM) DATA FOR EXAMPLES 34.1 TO 34.2
Ex. # Structure NMR
34.1
Figure US09718803-20170801-C02199
(CD3OD, 400 MHz): 8.19 (d, J = 2.4 Hz, 1H); 7.93 (d, J = 2.8 Hz, 1H); 7.74-7.70 (m, 2H); 7.37-7.33 (m, 2H); 7.26-7.15 (m, 1H); 7.02-6.97 (m, 3H); 5.38- 5.29 (m, 2H); 4.85-4.71 (m, 2H); 4.53-4.10 (m, 1H); 3.69 (s, 3H).
34.2
Figure US09718803-20170801-C02200
(CD3OD, 400 MHz): 8.18 (d, J = 2.4 Hz, 1H); 7.95 (d, J = 2.8 Hz, 1H); 7.70-7.68 (m, 2H); 7.35-7.33 (m, 2H); 7.28-7.24 (m, 1H); 6.76-6.73 (m, 1H); 6.66- 6.64 (m, 2H); 5.32-5.27 (m, 1H); 5.21-5.17 (m, 1H); 4.36-4.63 (m, 2H); 4.49-4.43 (m, 1H); 3.74 (s, 3H).
34.3
Figure US09718803-20170801-C02201
(CD3OD 400 MHz): 8.27-8.26 (m, 1 H); 7.99-7.98 (m, 1 H); 7.85-7.83 (m, 2 H); 7.67-7.64 (m, 2 H); 7.08-7.06 (m, 2 H); 6.96-6.94 (m, 2 H); 5.15-5.13 (m, 2 H); 4.76-7.74 (m, 2 H); 4.56-4.53 (m, 1 H); 3.79 (s, 3 H).
34.4
Figure US09718803-20170801-C02202
(CD3OD, 400 MHz): 8.29 (d, J = 2.8 Hz, 1H); 8.00- 7.99 (m, 1H); 7.75-7.73 (m, 2H); 7.49-7.47 (m, 2H); 7.43-7.39 (m, 2H); 7.25-7.23 (m, 1H); 7.17-7.14 (m, 2H); 5.22-5.13 (m, 2H); 4.73-4.68 (m, 2H); 4.58- 4.51 (m, 1H)
34.5
Figure US09718803-20170801-C02203
(CD3OD, 400 MHz): 8.48-8.45 (m, 2 H); 7.74-7.72 (m, 2 H); 7.47-7.44 (m, 2 H); 5.15-5.12 (m, 1 H); 5.03-5.01 (m, 1 H); 4.64-4.56 (m, 3 H); 4.09-4.02 (m, 2 H); 3.65-3.59 (m, 2 H); 3.17-3.13 (m, 1 H); 2.05-2.03 (m, 2 H); 1.66-1.63 (m, 2 H)
34.6
Figure US09718803-20170801-C02204
(CDCl3, 400 MHz) 8.62-8.58 (m, 2H), 7.54-7.49 (m, 6H); 7.31-7.20 (m, 2H); 5.16 (br, 2H); 4.63-4.59 (m, 1H); 4.50-4.46 (m, 1H); 4.40-4.33 (m, 1H).
34.7
Figure US09718803-20170801-C02205
(CDCl3, 400 MHz): 8.55-8.51 (m, 2H); 7.47-7.41 (m, 7H); 7.24 (s, 1H); 5.06 (m, 2H); 4.53-4.50 (m, 1H); 4.42-4.37 (m, 1H); 4.30-4.28 (m, 1H).
34.8
Figure US09718803-20170801-C02206
(CDCl3, 400 MHz): 8.68-8.59 (m, 2H); 7.62-7.49 (m, 5H); 7.45-7.41 (m, 1H); 7.38-7.20 (m, 1H); 7.05-6.96 (m, 1H); 5.25-5.14 (m, 2H); 4.64-4.60 (m, 1H), 4.52-4.49 (m, 1H); 4.47-4.33 (m, 1H).
34.9
Figure US09718803-20170801-C02207
(MeOD, 400 MHz): 8.62-8.61 (m, 1H); 8.55-8.54 (m, 1H); 7.68-7.52 (m, 6H); 7.35-7.31 (m, 1H); 7.11-7.08 (m, 1H); 5.06-5.00 (m, 2H); 4.46-4.36 (m, 3H).
34.10
Figure US09718803-20170801-C02208
(CDCl3 400 MHz): 8.64-8.63 (m, 1H); 8.61-8.60 (m, 1H); 7.56-7.52 (m, 4H); 7.47-7.45 (m, 2H); 7.28-7.26 (m, 1H); 7.17-7.15 (m, 1H); 5.17-5.10 (m, 2H); 4.56-4.54 (m, 1H); 4.41-4.36 (m, 2H); 2.59 (s, 3H).
34.11
Figure US09718803-20170801-C02209
(CDCl3, 400 MHz); 8.54-8.53 (m, 1H); 8.51-8.50 (m, 1H); 7.45-7.43 (m, 6H); 7.18 (brs, 1H); 7.06- 7.04 (m, 1H); 5.10-5.06 (m, 2H); 4.55-4.53 (m, 1H); 4.43-4.38 (m, 1H); 4.29-4.27 (m, 1H); 2.14 (s, 3H)
34.12
Figure US09718803-20170801-C02210
(CDCh.400 MHz): 8.69-8.68 (m, 1H); 8.56-8.55 (m, 1H); 7.74-7.72 (m, 2H); 7.53-7.45 (m, 3H); 7.36-7.34 (m, 1H); 7.17-7.12(m, 2H); 5.01-4.95 (m, 2H); 4.50-4.91 (m, 2H); 4.15-4.09 (m. 1H); 3.81 (s, 3H).
34.13
Figure US09718803-20170801-C02211
(CDCl3, 400 MHz): 8.62-8.57 (m, 2H); 7.69-7.67 (m, 2H); 7.46-7.42 (m, 1H); 7.34-7.32 (m, 2H); 7.06-7.01(m, 3H); 5.19-5.15 (m, 2H); 4.68-4.31 (m, 3H); 3.88 (s, 3H).
34.14
Figure US09718803-20170801-C02212
(CDCl3, 400 MHz): 8.86 (d, J = 2.8 Hz, 2H), 7.73- 7.71 (m, 2H); 7.45-7.43 (m, 2H); 7.40-7.37 (m, 2H); 7.07-7.05 (m, 2H), 5.24-5.22 (m, 1H); 5.13-5.12 (m, 1H); 4.59-4.57 (m, 1H); 4.48-4.40 (m, 2H); 3.89 (s, 3H).
34.14
Figure US09718803-20170801-C02213
(CDCl3, 400 MHz): 8.87-8.86 (m, 1 H); 8.58-8.56 (m, 1 H); 7.86-7.81 (m, 1 H); 7.70-7.68 (m, 2 H); 7.58-7.56 (m, 3 H); 7.45-7.38 (m, 4 H); 5.17-5.15 (m, 1 H); 4.98-4.96 (m, 1 H); 4.51-4.47 (m, 1 H); 4.28-4.15 (m, 2 H).
Figure US09718803-20170801-C02214
Example 35.1: 2-(3-(3-(1H-Indol-5-Yl)Pyrazin-2-Yl)Azetidin-1-Yl)Quinazoline
The above example was run in four different flasks under four different sets of reaction conditions. All four flasks were then combined before work up and purified to give the product.
Reaction condition (1): 2M aqueous sodium carbonate (0.252 mL, 0.504 mmol, J. T. Baker) was added to a stirred mixture of 2-(3-(3-chloropyrazin-2-yl)azetidin-1-yl)quinazoline (0.050 g, 0.168 mmol, Preparation 1), indole-5-boronic acid (0.032 g, 0.202 mmol, Frontier Scientific), and trans-dichlorobis(triphenylphosphine)palladium (ii) (0.006 mg, 0.008 mmol, Strem) in 1,4-dioxane (0.7 mL) in a sealed tube under an argon atmosphere. The reaction mixture was stirred at 80° C. for 17 h before being cooled to RT and combined with the other three crude reactions.
Reaction condition (2) 2M aqueous sodium carbonate (0.252 mL, 0.504 mmol, J. T. Baker) was added to a stirred mixture of 2-(3-(3-chloropyrazin-2-yl)azetidin-1-yl)quinazoline (0.050 g, 0.168 mmol, Preparation 1), indole-5-boronic acid (0.032 g, 0.202 mmol, Frontier), and tetrakis(triphenylphosphine)palladium (0.010 g, 0.008 mmol, Strem) in 1,4-dioxane (0.7 mL) in a sealed tube under an argon atmosphere. The reaction mixture was stirred at 80° C. for 17 h before being cooled to RT and combined with the other three crude reactions.
Reaction condition (3) 2-(3-(3-Chloropyrazin-2-yl)azetidin-1-yl)quinazoline (0.050 g, 0.168 mmol, Preparation 1), indole-5-boronic acid (0.032 g, 0.202 mmol, Frontier Scientific), dichloro 1,1′-bis(diphenylphosphino)ferrocene palladium (ii) (0.007 g, 0.008 mmol, Strem), and potassium phosphate (0.035 mL, 0.420 mmol, Aldrich) were mixed in 1,4-dioxane (1.5 mL) and water (0.3 mL) in a sealed tube under an argon atmosphere. The reaction mixture was stirred at 80° C. for 17 h before being cooled to RT and combined with the other three crude reactions
Reaction condition (4) 2-(3-(3-Chloropyrazin-2-yl)azetidin-1-yl)quinazoline (0.050 g, 0.168 mmol, Preparation 1), indole-5-boronic acid (0.032 g, 0.202 mmol, Frontier Scientific), bis(di-tert-butyl(4-dimethylaminophenyl)phosphine)dichloropalladium (ii) (0.006 g, 0.008 mmol, Strem), and potassium phosphate (0.089 g, 0.420 mmol, Aldrich) were mixed in 1,4-dioxane (0.8 mL) and water (0.2 mL) in a sealed tube under an argon atmosphere. The reaction mixture was stirred at 80° C. for 17 h before being cooled to RT and combined with the other three crude reactions.
The combined reaction mixtures were diluted with water and extracted with DCM (1×). The organic extract was dried over magnesium sulfate, filtered, and concentrated in vacuo. The resulting crude material was purified via silica gel flash column chromatography eluting with 0% to 100% EtOAc in hexanes to give 0.217 g (85%) of a yellow amorphous solid.
ESI-MS (M+1): 379.1. PDE10 IC50 (μM): 0.009.
1H NMR δ (ppm): (400 MHz, d-chloroform) 4.44-4.60 (m, 5H) 6.63 (s, 1H) 7.22 (t, J=7.20 Hz, 1H) 7.30 (d, J=2.00 Hz, 1H) 7.35 (d, J=8.41 Hz, 1H) 7.50 (d, J=8.41 Hz, 1H) 7.59-7.70 (m, 3H) 7.77 (s, 1H) 8.47-8.57 (m, 3H) 9.01 (s, 1H).
The following Table 37 lists compounds of Examples 36.1 to 36.190, which can be made according to the above schemes and preparations.
TABLE 37
Examples 36.1 to 36.190
Ex. # Structure Chemical Name
36.1
Figure US09718803-20170801-C02215
2-(3-(5-(2-methoxypyridin-3- yl)pyrimidin-4-yl)azetidin-1- yl)quinazoline
36.2
Figure US09718803-20170801-C02216
2-(3-(6-(2-methoxypyridin-3-yl)-1H- imidazo[4,5-b]pyrazin-5-yl)azetidin- 1-yl)quinazoline
36.3
Figure US09718803-20170801-C02217
2-(2-methoxypyridin-3-yl)-3-(1- (quinazolin-2-yl)azetidin-3- yl)pyrido[2,3-b]pyrazine
36.4
Figure US09718803-20170801-C02218
3-(2-methoxypyridin-3-yl)-2-(1- (quinazolin-2-yl)azetidin-3- yl)pyrido[2,3-b]pyrazine
36.5
Figure US09718803-20170801-C02219
2-(3-(3-(2-methoxypyridin-3- yl)quinoxalin-2-yl)azetidin-1- yl)quinazoline
36.6
Figure US09718803-20170801-C02220
methyl 3-(3-(3-hydroxy-1- (quinazolin-2-yl)azetidin-3 - yl)pyrazin-2-yl)benzoate
36.7
Figure US09718803-20170801-C02221
methyl 3-(3-(3-hydroxy-1-(quinolin- 2-yl)azetidin-3-yl)pyrazin-2- yl)benzoate
36.8
Figure US09718803-20170801-C02222
3-(3-(4-(methylsulphonyl)piperidin-1- yl)pyrazin-2-yl)-1-(quinazolin-2- yl)azetidin-3-ol
36.9
Figure US09718803-20170801-C02223
3-(3-(4-(hydroxymethyl)piperidin-1- yl)pyrazin-2-yl)-1-(quinolin-2- yl)azetidin-3-ol
36.10
Figure US09718803-20170801-C02224
1-(3-(3-hydroxy-1-(quinolin-2- yl)azetidin-3-yl)pyrazin-2- yl)piperidine-4-carbonitrile
36.11
Figure US09718803-20170801-C02225
3-(3-(4-(methylsulfonyl)piperidin-1 - yl)pyrazin-2-yl)-l-(quinolin-2- yl)azetidin-3-ol
36.12
Figure US09718803-20170801-C02226
methyl 3-(3-(3-fluoro-1-(quinolin-2- yl)azetidin-3-yl)pyrazin-2- yl)benzoate
36.13
Figure US09718803-20170801-C02227
methyl 3-(3-(3-fluoro-1-(quinazolin- 2-yl)azetidin-3-yl)pyrazin-2- yl)benzoate
36.14
Figure US09718803-20170801-C02228
2-(3-fluoro-3-(3-(4- (methylsulfonyl)piperidin-1- yl)pyrazin-2-yl)azetidin-1- yl)quinoline
36.15
Figure US09718803-20170801-C02229
(1-(3-(3-fluoro-1-(quinazolin-2- yl)azetidin-3-yl)pyrazin-2- yl)piperidin-4-yl)methanol
36.16
Figure US09718803-20170801-C02230
l-(3-(3-fluoro-1-(quinazolin-2- yl)azetidin-3-yl)pyrazin-2- yl)piperidine-4-carbonitrile
36.17
Figure US09718803-20170801-C02231
2-(3-fluoro-3-(3-(4- (methylsulfonyl)piperidin-1- yl)pyrazin-2-yl)azetidin-1- yl)quinazoline
36.18
Figure US09718803-20170801-C02232
3-(3-(4-(hydroxymethyl)piperidin-1- yl)pyrazin-2-yl)-1-(quinazolin-2- yl)azetidin-3-ol
36.19
Figure US09718803-20170801-C02233
1-(3-(1-hydroxy-3-(quinazolin-2- yl)cyclobutyl)pyrazin-2- yl)piperidine-4-carbonitrile
36.20
Figure US09718803-20170801-C02234
2-(3-(6-(3- methoxyphenyl)pyrazolo[1,5- a]pyridin-7-yl)azetidin-1- yl)quinoline
36.21
Figure US09718803-20170801-C02235
2-(3-(7-(3- methoxyphenyl)imidazo[1,5- a]pyridin-8-yl)azetidin-1- yl)quinoline
36.22
Figure US09718803-20170801-C02236
2-(3-(6-(3- methoxyphenyl)pyrazolo(1,5- a]pyrazin-7-yl)azetidin-1- yl)quinoline
36.23
Figure US09718803-20170801-C02237
2-(3-(6-(1H-imidazol-4-yl)-3-(3- methoxyphenyl)pyrazin-2- yl)azetidin-1-yl)quinoline
36.24
Figure US09718803-20170801-C02238
2-(3-(3-(3- methoxyphenyl)pyrrolo[1,2- a]pyrazin-4-yl)azetidin-1- yl)quinoline
36.25
Figure US09718803-20170801-C02239
2-(3-(6-(3- methoxyphenyl)imidazo[1,2- a]pyrazin-5-yl)azetidin-1- yl)quinoline
36.26
Figure US09718803-20170801-C02240
2-(3-(6-(3- methoxyphenyl)imidazo[1,5- a]pyrazin-5-yl)azetidin-1- yl)quinoline
36.27
Figure US09718803-20170801-C02241
2-(3-(3-(3-methoxyphenyl)-6- (oxetan-3-yl)pyrazin-2-yl)azetidin-1- yl)quinoline
36.28
Figure US09718803-20170801-C02242
2-(3-(6-(azetidin-3-yl)-3-(3- methoxyphenyl)pyrazin-2- yl)azetidin-1-yl)quinoline
36.29
Figure US09718803-20170801-C02243
4-(5-(3-methoxyphenyl)-6-(1- (quinolin-2-yl)azetidin-3-yl)pyrazin- 2-yl)oxazole
36.30
Figure US09718803-20170801-C02244
3-(5-(3-methoxyphenyl)-6-(1- (quinolin-2-yl)azetidin-3-yl)pyrazin- 2-yl)-1,2,4-oxadiazole
36.31
Figure US09718803-20170801-C02245
1,1,1-trifluoro-2-(5-(3- methoxyphenyl)-6-(1-(quinolin-2- yl)azetidin-3-yl)pyrazin-2-yl)propan- 2-ol
36.32
Figure US09718803-20170801-C02246
N-((5-(3-methoxyphenyl)-6-(1- (quinazolin-2-yl)azetidin-3- yl)pyrazin-2-yl)methyl)acetamide
36.33
Figure US09718803-20170801-C02247
2-(3-(3-(3-methoxyphenyl)-6- (tetrahydrofuran-2-yl)pyrazin-2- yl)azetidin-1-yl)quinazoline
36.34
Figure US09718803-20170801-C02248
2-(3-(3-(3-methoxyphenyl)-6- (oxetan-2-yl)pyrazin-2-yl)azetidin yl)quinazoline
36.35
Figure US09718803-20170801-C02249
6-(3-methoxyphenyl)-5-(1-(quinolin- 2-yl)azetidin-3-yl)pyrazine-2- carbonitrile
36.36
Figure US09718803-20170801-C02250
2-(3-methoxyphenyl)-3-(1-(quinolin- 2-yl)azetidin-3-yl)-6,7-dihydro-5H- cyclopenta[b]pyrazin-5-one
36.37
Figure US09718803-20170801-C02251
3-(3-methoxyphenyl)-2-(1- (quinazolin-2-yl)azetidin-3-yl)-6,7- dihydro-5H-cyclopenta[b]pyrazin-5- one
36.38
Figure US09718803-20170801-C02252
2-(3-methoxyphenyl)-3-(1- (quinazolin-2-yl)azetidin-3-yl)-5H- pyrrolo[2,3-b]pyrazin-6(7H)-one
36.39
Figure US09718803-20170801-C02253
1-(6-(3-methoxyphenyl)-5-(1- (quinazolin-2-yl)azetidin-3- yl)pyrazin-2-yl)ethanol
36.40
Figure US09718803-20170801-C02254
(6-(3-methoxyphenyl)-5-(1- (quinazolin-2-yl)azetidin-3- yl)pyrazin-2-yl)methanol
36.41
Figure US09718803-20170801-C02255
5-(3-methoxyphenyl)-6-(1-(quinolin- 2-yl)azetidin-3-yl)pyrazine-2- carboxamide
36.42
Figure US09718803-20170801-C02256
5-(3-methoxyphenyl)-6-(1-(quinolin- 2-yl)azetidin-3-yl)pyrazine-2- carbonitrile
36.43
Figure US09718803-20170801-C02257
1-(5-(3-methoxyphenyl)-6-(1- (quinolin-2-yl)azetidin-3-yl)pyrazin- 2-yl)ethanone
36.44
Figure US09718803-20170801-C02258
1-(5-(3-methoxyphenyl)-6-(1- (quinolin-2-yl)azetidin-3-yl)pyrazin- 2-yl)ethanol
36.45
Figure US09718803-20170801-C02259
2-(5-(3-methoxyphenyl)-6-(1- (quinolin-2-yl)azetidin-3-yl)pyrazin- 2-yl)propan-2-ol
36.46
Figure US09718803-20170801-C02260
(5-(3-methoxyphenyl)-6-(1- (quinazolin-2-yl)azetidin-3- yl)pyrazin-2-yl)methanol
36.47
Figure US09718803-20170801-C02261
1-(6-(3-methoxyphenyl)-5-(1- (quinazolin-2-yl)azetidin-3- yl)pyrazin-2-yl)ethanone
36.48
Figure US09718803-20170801-C02262
(S)-1-(3-(3-(1-(6-chloroquinazolin-2- yl)azetidin-3-yl)pyrazin-2-yl)-3- (trifluoromethyl)pyrrolidin-1- yl)ethanone
36.49
Figure US09718803-20170801-C02263
(S)-1-(3-(3-(1-(6-chloroquinolin-2- yl)azetidin-3-yl)pyrazin-2-yl)- 3-(trifluoromethyl)pyrrolidin-1- yl)ethanone
36.50
Figure US09718803-20170801-C02264
(S)-1-(3-(3-(1-(6-fluoroquinazolin-2- yl)azetidin-3-yl)pyrazin-2-yl)-3- (trifluoromethyl)pyrrolidin-1- yl)ethanone
36.51
Figure US09718803-20170801-C02265
(S)-1-(3-(3-(1-(6-fluoroquinolin-2- yl)azetidin-3-yl) pyrazin-2-yl)-3- (trifluoromethyl)pyrrolidin-1- yl)ethanone
36.52
Figure US09718803-20170801-C02266
(R)-1-(3-(3-(1-(6-chloroquinazolin-2- yl)azetidin-3-yl)pyrazin-2-yl)-3- (trifluoromethyl)pyrrolidin-1- yl)ethanone
36.53
Figure US09718803-20170801-C02267
(R)-1-(3-(3-(1-(6-chloroquinolin-2- yl)azetidin-3-yl)pyrazin-2-yl)- 3-(trifluoromethyl)pyrrolidin-1- yl)ethanone
36.54
Figure US09718803-20170801-C02268
(R)-1-(3-(3-(1-(6-fluoroquinazolin-2- yl)azetidin-3-yl)pyrazin-2-yl)-3- (trifluoromethyl)pyrrolidin-1- yl)ethanone
36.55
Figure US09718803-20170801-C02269
(R)-1-(3-(3-(1-(6-fluoroquinolin-2- yl)azetidin-3-yl)pyrazin-2-yl)- 3-(trifluoromethyl)pyrrolidin-1- yl)ethanone
36.56
Figure US09718803-20170801-C02270
6-(3-(3-(4-cyanopiperidin-1- yl)pyrazin-2-yl)azetidin-1-yl)-N- phenylnicotinamide
36.57
Figure US09718803-20170801-C02271
1-(3-(1-(4-methylquinolin-2- yl)azetidin-3-yl)pyrazin-2- yl)piperidine-4-carbonitrile
36.58
Figure US09718803-20170801-C02272
1-(3-(1-(4-chloroquinolin-2- yl)azetidin-3-yl)pyrazin-2- yl)piperidine-4-carbonitrile
36.59
Figure US09718803-20170801-C02273
1-(3-(1-(6-methoxy-4- methylquinolin-2-yl)azetidin-3- yl)pyrazin-2-yl)piperidine-4- carbonitrile
36.60
Figure US09718803-20170801-C02274
1-(3-(1-(4-methoxyquinazolin-2- yl)azetidin-3-yl)pyrazin-2- yl)piperidine-4-carbonitrile
36.61
Figure US09718803-20170801-C02275
1-(3-(1-(3-methylquinolin-2- yl)azetidin-3-yl)pyrazin-2- yl)piperidine-4-carbonitrile
36.62
Figure US09718803-20170801-C02276
1-(3-(1-(4,7-dimethylquinolin-2- yl)azetidin-3-yl)pyrazin-2- yl)piperidine-4-carbonitrile
36.63
Figure US09718803-20170801-C02277
1-(3-(1-(8-hydroxyquinolin-2- yl)azetidin-3-yl)pyrazin-2- yl)piperidine-4-carbonitrile
36.64
Figure US09718803-20170801-C02278
1-(3-(1-(3-chloroquinolin-2- yl)azetidin-3-yl)pyrazin-2- yl)piperidine-4-carbonitrile
36.65
Figure US09718803-20170801-C02279
1-(3-(1-(6-methylquinolin- yl)azetidin-3-yl)pyrazin-2- yl)piperidine-4-carbonitrile
36.66
Figure US09718803-20170801-C02280
1-(3-(1-(7-methoxy-4- methylquinolin-2-yl)azetidin-3- yl)pyrazin-2-yl)piperidine-4- carbonitrile
36.67
Figure US09718803-20170801-C02281
1-(3-(1-(4,8-dimethylquinolin-2- yl)azetidin-3-yl)pyrazin-2- yl)piperidine-4-carbonitrile
36.68
Figure US09718803-20170801-C02282
1-(3-(1-(5-(trifluoromethyl)quinolin- 2-yl)azetidin-3-yl)pyrazin-2- yl)piperidine-4-carbonitrile
36.69
Figure US09718803-20170801-C02283
1-(3-(1-(6-methoxyquinolin-2- yl)azetidin-3-yl)pyrazin-2- yl)piperidine-4-carbonitrile
36.70
Figure US09718803-20170801-C02284
1-(3-(1-(7-chloroquinolin-2- yl)azetidin-3-yl)pyrazin-2- yl)piperidine-4-carbonitrile
36.71
Figure US09718803-20170801-C02285
1-(3-(1-(5-chloroquinolin-2- yl)azetidin-3-yl)pyrazin-2- yl)piperidine-4-carbonitrile
36.72
Figure US09718803-20170801-C02286
1-(3-(1-(8-chloroquinolin-2- yl)azetidin-3-yl)pyrazin-2- yl)piperidine-4-carbonitrile
36.73
Figure US09718803-20170801-C02287
1-(3-(1-(6-chloro-4-methylquinolin- 2-yl)azetidin-3-yl)pyrazin-2- yl)piperidine-4-carbonitrile
36.74
Figure US09718803-20170801-C02288
1-(3-(1-(5-methyl-1,6-naphthyridin- 2-yl)azetidin-3-yl)pyrazin-2- yl)piperidine-4-carbonitrile
36.75
Figure US09718803-20170801-C02289
1-(3-(1-(8-methyl-4- (trifluoromethyl)quinolin-2- yl)azetidin-3-yl)pyrazin-2- yl)piperidine-4-carbonitrile
36.76
Figure US09718803-20170801-C02290
1-(3-(1-(7-chloro-4-methylquinolin- 2-yl)azetidin-3-yl)pyrazin-2- yl)piperidine-4-carbonitrile
36.77
Figure US09718803-20170801-C02291
2-(3-(3-(4-cyanopiperidin-1- yl)pyrazin-2-yl)azetidin-1- yl)quinoline-4-carbonitrile
36.78
Figure US09718803-20170801-C02292
1-(3-(1-(3-methyl-6- (trifluoromethyl)quinolin-2- yl)azetidin-3-yl)pyrazin-2- yl)piperidine-4-carbonitrile
36.79
Figure US09718803-20170801-C02293
1-(3-(1-(3,7-dimethylquinolin-2- yl)azetidin-3-yl)pyrazin-2- yl)piperidine-4-carbonitrile
36.80
Figure US09718803-20170801-C02294
1-(3-(1-(4-chloro-6-methylquinolin- 2-yl)azetidin-3-yl)pyrazin-2- yl)piperidine-4-carbonitrile
36.81
Figure US09718803-20170801-C02295
1-(3-(1-(4-methyl-7,8-dihydro-6H- cyclopenta[g]quinolin-2-yl)azetidin- 3-yl)pyrazin-2-yl)piperidine-4- carbonitrile
36.82
Figure US09718803-20170801-C02296
1-(3-(1-(8-methoxyquinolin-2- yl)azetidin-3-yl)pyrazin-2- yl)piperidine-4-carbonitrile
36.83
Figure US09718803-20170801-C02297
1-(3-(1-(6-fluoro-4-methylquinolin- 2-yl)azetidin-3-yl)pyrazin-2- yl)piperidine-4-carbonitrile
36.84
Figure US09718803-20170801-C02298
1-(3-(1-(4-chloro-6- methoxyquinolin-2-yl)azetidin-3- yl)pyrazin-2-yl)piperidine-4- carbonitrile
36.85
Figure US09718803-20170801-C02299
1-(3-(1-(4-(trifluoromethyl)quinolin- 2-yl)azetidin-3-yl)pyrazin-2- yl)piperidine-4-carbonitrile
36.86
Figure US09718803-20170801-C02300
1-(3-(1-(6-chloroquinolin-2- yl)azetidin-3-yl)pyrazin-2- yl)piperidine-4-carbonitrile
36.87
Figure US09718803-20170801-C02301
1-(3-(1-(6-chloro-1,5-naphthyridin-2- yl)azetidin-3-yl)pyrazin-2- yl)piperidine-4-carbonitrile
36.88
Figure US09718803-20170801-C02302
1-(3-(1-(6-bromoquinolin-2- yl)azetidin-3-yl)pyrazin-2- yl)piperidine-4-carbonitrile
36.89
Figure US09718803-20170801-C02303
1-(3-(1-(7-fluoro-4-methylquinolin- 2-yl)azetidin-3-yl)pyrazin-2- yl)piperidine-4-carbonitrile
36.90
Figure US09718803-20170801-C02304
1-(3-(1-(6,7-dimethoxyquinazolin-2- yl)azetidin-3-yl)pyrazin-2- yl)piperidine-4-carbonitrile
36.91
Figure US09718803-20170801-C02305
1-(3-(1-(4-fluoroquinolin-2- yl)azetidin-3-yl)pyrazin-2- yl)piperidine-4-carbonitrile
36.92
Figure US09718803-20170801-C02306
1-(3-(1-(7-bromoquinolin-2- yl)azetidin-3-yl)pyrazin-2- yl)piperidine-4-carbonitrile
36.93
Figure US09718803-20170801-C02307
1-(3-(1-(6,8-dimethyl-1,5- naphthyridin-2-yl)azetidin-3- yl)pyrazin-2-yl)piperidine-4- carbonitrile
36.94
Figure US09718803-20170801-C02308
1-(3-(1-(3-methyl-8- (trifluoromethyl)quinolin-2- yl)azetidin-3-yl)pyrazin-2- yl)piperidine-4-carbonitrile
36.95
Figure US09718803-20170801-C02309
1-(3-(1-(3-methyl-6- (trifluoromethoxy)quinolin-2- yl)azetidin-3-yl)pyrazin-2- yl)piperidine-4-carbonitrile
36.96
Figure US09718803-20170801-C02310
1-(3-(1-(3-methyl-8- (trifluoromethoxy)quinolin-2- yl)azetidin-3-yl)pyrazin-2- yl)piperidine-4-carbonitrile
36.97
Figure US09718803-20170801-C02311
1-(3-(1-(6-chloro-3-methylquinolin- 2-yl)azetidin-3-yl)pyrazin-2- yl)piperidine-4-carbonitrile
36.98
Figure US09718803-20170801-C02312
1-(3-(1-(6-fluoroquinolin-2- yl)azetidin-3-yl)pyrazin-2- yl)piperidine-4-carbonitrile
36.99
Figure US09718803-20170801-C02313
1-(3-(1-(6-(trifluoromethyl)quinolin- 2-yl)azetidin-3-yl)pyrazin-2- yl)piperidine-4-carbonitrile
36.100
Figure US09718803-20170801-C02314
2-(3-(3-(4-cyanopiperidin-1- yl)pyrazin-2-yl)azetidin-1- yl)quinoline-6-carbonitrile
36.101
Figure US09718803-20170801-C02315
1-(3-(1-(6-bromoquinazolin-2- yl)azetidin-3-yl)pyrazin-2- yl)piperidine-4-carbonitrile
36.102
Figure US09718803-20170801-C02316
1-(3-(1-(7-fluoroquinolin-2- yl)azetidin-3-yl)pyrazin-2- yl)piperidine-4-carbonitrile
36.103
Figure US09718803-20170801-C02317
1-(3-(1-(4-chloro-6-fluoroquinolin-2- yl)azetidin-3-yl)pyrazin-2- yl)piperidine-4-carbonitrile
36.104
Figure US09718803-20170801-C02318
1-(3-(1-(pyrido[4,3-d]pyrimidin-2- yl)azetidin-3-yl)pyrazin-2- yl)piperidine-4-carbonitrile
36.105
Figure US09718803-20170801-C02319
1-(3-(1-(8-methoxyquinazolin-2- yl)azetidin-3-yl)pyrazin-2- yl)piperidine-4-carbonitrile
36.106
Figure US09718803-20170801-C02320
1-(3-(1-(7-methoxyquinazolin-2- yl)azetidin-3-yl)pyrazin-2- yl)piperidine-4-carbonitrile
36.107
Figure US09718803-20170801-C02321
1-(3-(1-(4-chloro-6- (trifluoromethyl)quinazolin-2- yl)azetidin-3-yl)pyrazin-2- yl)piperidine-4-carbonitrile
36.108
Figure US09718803-20170801-C02322
1-(3-(1-(4-chloro-7- (trifluoromethyl)quinazolin-2- yl)azetidin-3-yl)pyrazin-2- yl)piperidine-4-carbonitrile
36.109
Figure US09718803-20170801-C02323
1-(3-(1-(4-chloro-6- methoxyquinazolin-2-yl)azetidin-3- yl)pyrazin-2-yl)piperidine-4- carbonitrile
36.110
Figure US09718803-20170801-C02324
1-(3-(1-(4-chloro-7- methoxyquinazolin-2-yl)azetidin-3- yl)pyrazin-2-yl)piperidine-4- carbonitrile
36.111
Figure US09718803-20170801-C02325
1-(3-(1-(4-chloro-8- methoxyquinazolin-2-yl)azetidin-3- yl)pyrazin-2-yl)piperidine-4- carbonitrile
36.112
Figure US09718803-20170801-C02326
1-(3-(1-(4-chloro-5-fluoroquinazolin- 2-yl)azetidin-3-yl)pyrazin-2- yl)piperidine-4-carbonitrile
36.113
Figure US09718803-20170801-C02327
1-(3-(1-(4-chloro-6-fluoroquinazolin- 2-yl)azetidin-3-yl)pyrazin-2- yl)piperidine-4-carbonitrile
36.114
Figure US09718803-20170801-C02328
1-(3-(1-(4-chloro-7-fluoroquinazolin- 2-yl)azetidin-3-yl)pyrazin-2- yl)piperidine-4-carbonitrile
36.115
Figure US09718803-20170801-C02329
1-(3-(1-(4-chloro-8-fluoroquinazolin- 2-yl)azetidin-3-yl)pyrazin-2- yl)piperidine-4-carbonitrile
36.116
Figure US09718803-20170801-C02330
1-(3-(1-(4,7-dichloroquinazolin-2- yl)azetidin-3-yl)pyrazin-2- yl)piperidine-4-carbonitrile
36.117
Figure US09718803-20170801-C02331
1-(3-(1-(4-methylquinazolin-2- yl)azetidin-3-yl)pyrazin-2- yl)piperidine-4-carbonitrile
36.118
Figure US09718803-20170801-C02332
1-(3-(1-(6-fluoro-4-methoxyquinol- 2-yl)azetidin-3-yl)pyrazin-2- yl)piperidine-4-carbonitrile
36.119
Figure US09718803-20170801-C02333
1-(3-(1-(6-chloro-4- methoxyquinolin-2-yl)azetidin-3- yl)pyrazin-2-yl)piperidine-4- carbonitrile
36.120
Figure US09718803-20170801-C02334
1-(3-(1-(4,6-dimethoxyquinolin-2- yl)azetidin-3-yl)pyrazin-2- yl)piperidine-4-carbonitrile
36.121
Figure US09718803-20170801-C02335
1-(3-(1-(4,6-dimethoxyquinazolin-2- yl)azetidin-3-yl)pyrazin-2- yl)piperidine-4-carbonitrile
36.122
Figure US09718803-20170801-C02336
1-(3-(1-(4-methyl-6- (trifluoromethoxy)quinolin-2- yl)azetidin-3-yl)pyrazin-2- yl)piperidine-4-carbonitrile
36.123
Figure US09718803-20170801-C02337
1-(3-(1-(5-fluoroquinolin-2- yl)azetidin-3-yl)pyrazin-2- yl)piperidine-4-carbonitrile
36.124
Figure US09718803-20170801-C02338
1-(3-(1-(8-chloro-[1,3]dioxolo[4,5- g]quinazolin-6-yl)azetidin-3- yl)pyrazin-2-yl)piperidine-4- carbonitrile
36.125
Figure US09718803-20170801-C02339
1-(3-(1-(7-chloro-6-methylquinolin- 2-yl)azetidin-3-yl)pyrazin-2- yl)piperidine-4-carbonitrile
36.126
Figure US09718803-20170801-C02340
1-(3-(1-(7-bromoquinazolin-2- yl)azetidin-3-yl)pyrazin-2- yl)piperidine-4-carbonitrile
36.127
Figure US09718803-20170801-C02341
1-(3-(1-(5-bromoquinazolin-2- yl)azetidin-3-yl)pyrazin-2- yl)piperidine-4-carbonitrile
36.128
Figure US09718803-20170801-C02342
1-(3-(1-(6-chloro-1,7-naphthyiridin yl)azetidin-3-yl)pyrazin-2- yl)piperidine-4-carbonitrile
36.129
Figure US09718803-20170801-C02343
1-(3-(1-(1,6-naphthyridin-2- yl)azetidin-3-yl)pyrazin-2- yl)piperidine-4-carbonitrile
36.130
Figure US09718803-20170801-C02344
1-(3-(1-(4-chloropyrido[3,2- d]pyrimidin-2-yl)azetidin-3- yl)pyrazin-2-yl)piperidine-4- carbonitrile
36.131
Figure US09718803-20170801-C02345
1-(3-(1-(1,7-naphthyridin-2- yl)azetidin-3-yl)pyrazin-2- yl)piperidine-4-carbonitrile
36.132
Figure US09718803-20170801-C02346
1-(3-(1-(6-fluoroquinazolin-2- yl)azetidin-3-yl)pyrazin-2- yl)piperidine-4-carbonitrile
36.133
Figure US09718803-20170801-C02347
1-(3-(1-(7-fluoroquinazolin-2- yl)azetidin-3-yl)pyrazin-2- yl)piperidine-4-carbonitrile
36.134
Figure US09718803-20170801-C02348
1-(3-(1-(6-methoxy-1,7- naphthyridin-2-yl)azetidin-3- yl)pyrazin-2-yl)piperidine-4- carbonitrile
36.135
Figure US09718803-20170801-C02349
1-(3-(1-(7-(trifluoromethyl)quinolin- 2-yl)azetidin-3-yl)pyrazin-2- yl)piperidine-4-carbonitrile
36.136
Figure US09718803-20170801-C02350
1-(3-(1-(pyrido[3,2-d]pyrimidin-2- yl)azetidin-3-yl)pyrazin-2- yl)piperidine-4-carbonitrile
36.137
Figure US09718803-20170801-C02351
1-(3-(1-(6-chloropyrido[3,2- d]pyrimidin-2-yl)azetidin-3- yl)pyrazin-2-yl)piperidine-4- carbonitrile
36.138
Figure US09718803-20170801-C02352
1-(3-(1-(1,5-naphthyridin-2- yl)azetidin-3-yl)pyrazin-2- yl)piperidine-4-carbonitrile
36.139
Figure US09718803-20170801-C02353
1-(3-(1-(7-methoxyquinolin-2- yl)azetidin-3-yl)pyrazin-2- yl)piperidine-4-carbonitrile
36.140
Figure US09718803-20170801-C02354
1-(3-(1-(3-bromo-5-methyl-1,6- naphthyridin-2-yl)azetidin-3- yl)pyrazin-2-yl)piperidine-4- carbonitrile
36.141
Figure US09718803-20170801-C02355
1-(3-(1-(6-bromopyrido[3,2- d]pyrimidin-2-yl)azetidin-3- yl)pyrazin-2-yl)piperidine-4- carbonitrile
36.142
Figure US09718803-20170801-C02356
1-(3-(1-(2-bromopyrido[3,2- d]pyrimidin-6-yl)azetidin-3- yl)pyrazin-2-yl)piperidine-4- carbonitrile
36.143
Figure US09718803-20170801-C02357
1-(3-(1-(7-chloroquinazolin-2- yl)azetidin-3-yl)pyrazin-2- yl)piperidine-4-carbonitrile
36.144
Figure US09718803-20170801-C02358
1-(3-(1-(6-chloroquinazolin-2- yl)azetidin-3-yl)pyrazin-2- yl)piperidine-4-carbonitrile
36.145
Figure US09718803-20170801-C02359
1-(3-(1-(6-methylquinazolin-2- yl)azetidin-3-yl)pyrazin-2- yl)piperidine-4-carbonitrile
36.146
Figure US09718803-20170801-C02360
1-(3-(1-(8-methylquinazolin-2- yl)azetidin-3-yl)pyrazin-2- yl)piperidine-4-carbonitrile
36.147
Figure US09718803-20170801-C02361
1-(3-(1-(8-fluoroquinolin-2- yl)azetidin-3-yl)pyrazin-2- yl)piperidine-4-carbonitrile
36.148
Figure US09718803-20170801-C02362
1-(3-(1-(pyrido[3,4-d]pyrimidin-2- yl)azetidin-3-yl)pyrazin-2- yl)piperidine-4-carbonitrile
36.149
Figure US09718803-20170801-C02363
1-(3-(1-(6-bromo-7- methoxyquinazolin-2-yl)azetidin-3- yl)pyrazin-2-yl)piperidine-4- carbonitrile
36.150
Figure US09718803-20170801-C02364
1-(3-(1-(7-bromopyrido[3,2- d]pyrimidin-2-yl)azetidin-3- yl)pyrazin-2-yl)piperidine-4- carbonitrile
36.151
Figure US09718803-20170801-C02365
1-(3-(1-(5-methoxyquinazolin-2- yl)azetidin-3-yl)pyrazin-2- yl)piperidine-4-carbonitrile
36.152
Figure US09718803-20170801-C02366
1-(3-(1-(6-methoxyquinazolin-2- yl)azetidin-3-yl)pyrazin-2- yl)piperidine-4-carbonitrile
36.153
Figure US09718803-20170801-C02367
1-(3-(1-(5-chloroquinazolin-2- yl)azetidin-3-yl)pyrazin-2- yl)piperidine-4-carbonitrile
36.154
Figure US09718803-20170801-C02368
1-(3-(1-(5,7-dimethyl-6- nitroquinolin-2-yl)azetidin-3- yl)pyrazin-2-yl)piperidine-4- carbonitrile
36.155
Figure US09718803-20170801-C02369
1-(3-(1-(6-(cyclopentyloxy)-7- methoxyquinazolin-2-yl)azetidin-3- yl)pyrazin-2-yl)piperidine-4- carbonitrile
36.156
Figure US09718803-20170801-C02370
1-(3-(1-(6,7-dimethoxyquinolin-2- yl)azetidin-3-yl)pyrazin-2- yl)piperidine-4-carbonitrile
36.157
Figure US09718803-20170801-C02371
1-(3-(1-(4,6-dichlorobenzo[d]thiazol- 2-yl)azetidin-3-yl)pyrazin-2- yl)piperidine-4-carbonitrile
36.158
Figure US09718803-20170801-C02372
1-(3-(1- ([1,3]dioxolo[4′,5′:4,5]benzo[1,2- d]thiazol-6-yl)azetidin-3-yl)pyrazin- 2-yl)piperidine-4-carbonitrile
36.159
Figure US09718803-20170801-C02373
1-(3-(1-(4,6-difluorobenzo[d]thiazol- 2-yl)azetidin-3-yl)pyrazin-2- yl)piperidine-4-carbonitrile
36.160
Figure US09718803-20170801-C02374
(1-(3-(3-methyl-1-(quinolin-2- yl)azetidin-3-yl)pyrazin-2- yl)piperidin-4-yl)methanol
36.161
Figure US09718803-20170801-C02375
(1-(3-(3-(hydroxymethyl)-1- (quinolin-2-yl)azetidin-3-yl)pyrazin- 2-yl)piperidin-4-yl)methanol
36.162
Figure US09718803-20170801-C02376
(1-(3-(3-chloro-1-(quinolin-2- yl)azetidin-3-yl)pyrazin-2- yl)piperidin-4-yl)methanol
36.163
Figure US09718803-20170801-C02377
3-(3-(4-(hydroxymethyl)piperidin-1- yl)pyrazin-2-yl)-1-(quinolin-2- yl)azetidine-3-carbonitrile
36.164
Figure US09718803-20170801-C02378
(1-(4-(1-(quinolin-2-yl)azetidin-3- yl)pyrimidin-5-yl)piperidin-4- yl)methanol
36.165
Figure US09718803-20170801-C02379
(1-(5-(1-(quinolin-2-yl)azetidin-3- yl)pyrimidin-4-yl)piperidin-4- yl)methanol
36.166
Figure US09718803-20170801-C02380
(1-(4-(1-(quinolin-2-yl)azetidin-3- yl)pyridin-3-yl)piperidin-4- yl)methanol
36.167
Figure US09718803-20170801-C02381
(1-(5-(1-(quinolin-2-yl)azetidin-3- yl)pyridazin-4-yl)piperidin-4- yl)methanol
36.168
Figure US09718803-20170801-C02382
(1-(3-(1-(quinolin-2-yl)azetidin-3- yl)pyridin-2-yl)piperidin-4- yl)methanol
36.169
Figure US09718803-20170801-C02383
(1-(3-(1-(quinolin-2-yl)azetidin-3- yl)pyridazin-4-yl)piperidin-4- yl)methanol
36.170
Figure US09718803-20170801-C02384
(1-(3-(1-(quinolin-2-yl)azetidin-3- yl)pyridin-4-yl)piperidin-4- yl)methanol
36.171
Figure US09718803-20170801-C02385
(1-(3-(1-(7-chloro-8-fluoroquinolin- 2-yl)azetidin-3-yl)pyrazin-2- yl)-piperidin-1-yl)methanol
36.172
Figure US09718803-20170801-C02386
7-chloro-8-fluoro-2-(3-(3-(2- methoxypyridin-3-yl)pyrazin-2- yl)azetidin-1-yl)quinoline
36.173
Figure US09718803-20170801-C02387
7-chloro-2-(4-(3-(4-fluoro-3- methoxyphenyl)pyrazin-2-yl)-5,6- dihydropyridin-1(2H)-yl)quinoline
36.174
Figure US09718803-20170801-C02388
1-(7-chloroquinolin-2-yl)-4-(3-(4- fluoro-3-methoxyphenyl)pyrazin-2- yl)piperidin-2-one
36.175
Figure US09718803-20170801-C02389
1-(7-chloroquinolin-2-yl)-4-(3-(3,6- dihydro-2H-pyran-4-yl)pyrazin-2- yl)piperidin-2-one
36.176
Figure US09718803-20170801-C02390
7-chloro-2-(4-(3-(3,6-dihydro-2H- pyran-4-yl)pyrazin-2-yl)-5,6- dihydropyridin-1(2H)-yl)quinoline
36.177
Figure US09718803-20170801-C02391
1-(3-(1-(7-chloroquinolin-2-yl)- 1,2,3,6-tetrahydropyridin-4- yl)pyrazin-2-yl)piperidine-4- carbonitrile
36.178
Figure US09718803-20170801-C02392
1-(3-(1-(7-chloroquinolin-2-yl)-2- oxopiperidin-4-yl)pyrazin-2- yl)piperidine-4-carbonitrile
36.179
Figure US09718803-20170801-C02393
1-(3-(1-(7-chloro-6-fluoroquinazolin- 2-yl)-1,2,3,6-tetrahydropyridin-4- yl)pyrazin-2-yl)piperidin-4-ol
36.180
Figure US09718803-20170801-C02394
1-(7-chloro-6-fluoroquinazolin-2-yl)- 4-(3-(4-hydroxypiperidin-1- yl)pyrazin-2-yl)piperidin-2-one
36.181
Figure US09718803-20170801-C02395
3-(3-(1-(7-chloro-6-fluoroquinazolin- 2-yl)-1,2,3,6-tetrahydropyridin-4- yl)pyrazin-2-yl)benzamide
36.182
Figure US09718803-20170801-C02396
3-(3-(1-(7-chloro-6-fluoroquinazolin- 2-yl)-2-oxopiperidin-4-yl)pyrazin-2- yl)benzamide
36.183
Figure US09718803-20170801-C02397
4-(3-(1-acetyl-1,2,3,6- tetrahydropyridin-4-yl)pyrazin-2-yl)- 1-(7-chloro-6-fluoroquinazolin-2- yl)piperidin-2-one
36.184
Figure US09718803-20170801-C02398
1-(4-(3-(1-(7-chloro-6- fluoroquinazolin-2-yl)-1,2,3,6- tetrahydropyridin-4-yl)pyrazin-2-yl) 5,6-dihydropyridin-1(2H)- yl)ethanone
36.185
Figure US09718803-20170801-C02399
2-(4-(3-(5,6-dihydro-2H-pyran-3- yl)pyrazin-2-yl)-5,6-dihydropyridin- 1(2H)-yl)-7-fluoroquinoxaline
36.186
Figure US09718803-20170801-C02400
4-(3-(5,6-dihydro-2H-pyran-3- yl)pyrazin-2-yl)-1-(7- fluoroquinoxalin-2-yl)piperidin-2- one
36.187
Figure US09718803-20170801-C02401
N-(3-(3-(1-(7-fluoroquinoxalin-2-yl)- 2-oxopiperidin-4-yl)pyrazin-2- yl)phenyl)acetamide
36.188
Figure US09718803-20170801-C02402
N-(3-(3-(1-(7-fluoroquinoxalin-2-yl)- 1,2,3,6-tetrahydropyridin-4- yl)pyrazin-2-yl)phenyl)acetamide
36.189
Figure US09718803-20170801-C02403
(1-(3-(1-(7-fluoroquinoxalin-2-yl)- 1,2,3,6-tetrahydropyridin-4- yl)pyrazin-2-yl)piperidin-4- yl)methanol
36.190
Figure US09718803-20170801-C02404
1-(7-fluoroquinoxalin-2-yl)-4-(3-(4- (hydroxymethyl)piperidin-1- yl)pyrazin-2-yl)piperidin-2-one
BIOLOGICAL EXAMPLES
The above PDE10 IC50 data were obtained by using the following assays.
Example A
MPDE10A7 Enzyme Activity and Inhibition
Enzyme Activity. An IMAP TR-FRET assay was used to analyze the enzyme activity (Molecular Devices Corp., Sunnyvale Calif.). 5 L of serial diluted PDE10A (BPS Bioscience, San Diego, Calif.) or tissue homogenate was incubated with equal volumes of diluted fluorescein labeled cAMP or cGMP for 60 min in 384-well polystyrene assay plates (Corning, Corning, N.Y.) at room temperature. After incubation, the reaction was stopped by adding 60 L of diluted binding reagents and was incubated for 3 hours to overnight at room temperature. The plates were read on an Envision (Perkin Elmer, Waltham, Mass.) for time resolved fluorescence resonance energy transfer. The data were analyzed with GraphPad Prism (La Jolla, Calif.).
Enzyme Inhibition. To check the inhibition profile, 5 μL of serial diluted compounds were incubated with 5 μL of diluted PDE10 enzyme (BPS Bioscience, San Diego, Calif.) or tissue homogenate in a 384-well polystyrene assay plate (Corning, Corning, N.Y.) for 30 min at room temperature. After incubation, 10 L of diluted fluorescein labeled cAMP or cGMP substrate were added and incubated for 60 min at room temperature. The reaction was stopped by adding 60 μL of diluted binding reagents and plates were read on an Envision (Perkin Elmer, Waltham, Mass.) for time resolved fluorescence resonance energy transfer. The data were analyzed with GraphPad Prism (La Jolla, Calif.).
Example B
Apomorphine Induced Deficits in Prepulse Inhibition of the Startle Response in Rats, an In Vivo Test for Antipsychotic Activity
The thought disorders that are characteristic of schizophrenia may result from an inability to filter, or gate, sensorimotor information. The ability to gate sensorimotor information can be tested in many animals as well as in humans. A test that is commonly used is the reversal of apomorphine-induced deficits in the prepulse inhibition of the startle response. The startle response is a reflex to a sudden intense stimulus such as a burst of noise. In this example, rats can be exposed to a sudden burst of noise, at a level of 120 db for 40 msec, e.g., the reflex activity of the rats can be measured. The reflex of the rats to the burst of noise may be attenuated by preceding the startle stimulus with a stimulus of lower intensity, at 3 db to 12 db above background (65 db), which attenuates the startle reflex by 20% to 80%.
The prepulse inhibition of the startle reflex, described above, may be attenuated by drugs that affect receptor signaling pathways in the CNS. One commonly used drug is the dopamine receptor agonist apomorphine. Administration of apomorphine reduces the inhibition of the startle reflex produced by the prepulse. Antipsychotic drugs such as haloperidol prevents apomorphine from reducing the prepulse inhibition of the startle reflex. This assay can be used to test the antipsychotic efficacy of PDE10 inhibitors, as they reduce the apomorphine-induced deficit in the prepulse inhibition of startle.
Example C
Conditioned Avoidance Responding (Car) in Rats, an In Vivo Test for Antipsychotic Activity
Conditioned avoidance responding (CAR) occurs, for instance, when an animal learns that a tone and light predict the onset of a mild foot shock. The subject learns that when the tone and light are on, it must leave the chamber and enter a safe area. All known antipsychotic drugs reduce this avoidance response at doses which do not cause sedation. Examining the ability of test compounds to suppress the conditioned avoidance has been widely used for close to fifty years to screen for drugs with useful antipsychotic properties.
In this example, an animal can be placed in a two-chambered shuttle box and presented with a neutral conditioned stimulus (CS) consisting of a light and tone, followed by an aversive unconditioned stimulus (US) consisting of a mild foot shock through a floor grid in the shuttle box chamber. The animal can be free to escape the US by running from one chamber to the other, where the grid is not electrified. After several presentations of the CS-US pair, the animal typically learns to leave the chamber during the presentation of the CS and avoid the US altogether. Animals treated with clinically-relevant doses of antipsychotic drugs have a suppression of their rate of avoidances in the presence of the CS even though their escape response to the shock itself is unaffected.
Specifically, conditioned avoidance training can be conducted using a shuttle box (Med Associates, St. Albans, Vt.). The shuttle box is typically divided into 2 equal compartments that each contain a light source, a speaker that emits an 85 dB tone when activated and an electrified grid that can deliver a scrambled foot shock. Sessions can consist of 20 trials per day (intertrial interval of 25-40 sec) during which a 10 sec illumination and a concurrent 10 sec tone signals the subsequent delivery of a 0.5 mA shock applied for a maximum of 10 sec. Active avoidance, defined as the crossing into the opposite compartment during the 10 sec conditioning stimuli (light and tone) prevents the delivery of the shock. Crossing over to the other compartment after the delivery of the shock terminates shock delivery and may be recorded as an escape response. If an animal does not leave the conditioning chamber during the delivery of the shock it is recorded as an escape failure. Training can be continued daily until the avoidance of 16 or more shocks out of 20 trials (80% avoidance) on 2 consecutive days is achieved. After this criterion is reached the rats may be given one day of pharmacological testing. On test day, rats can be randomly assigned to experimental groups, weighed and injected intraperitoneally (i.p.) (1 cc tuberculin syringe, 26⅜ gauge needle) or per os (p.o.) (18 gauge feeding needle) with either control or compound solutions. Compounds can be injected at 1.0 ml/kg for i.p. and 10 mL/kg for p.o. administration. Compounds can be administered either acutely or chronically. For testing, each rat may be placed in the shuttle box, and given 20 trials with the same parameters as described above for training trials. The number of avoidances, escapes, and escape failures can be recorded.
Example D
PCP-Induced Hyperactivity (PCP-LMA)
Equipment Used: 4×8 home cage photobeam activity system (PAS) frame from San Diego Instruments. Open PAS program and prepare an experimental session using the following variables:
Multiphase Experiment
300 sec/interval (5 min)
12 intervals (1 h)
Individual on screen switches.
Start recording after first beam break.
End session after end of interval.
Cage Preparation:
Techniplast™ rat cage with filter top, but no wire lid. Place ˜400 mL bedding and one food pellet in cage and place 250 mL techniplast water bottle in holder on filter top. Place the prepped cage in the PAS frame. Make sure bedding or pellet doesn't block the photobeams.
Animal Preparation:
Mark rats and record their weights. Bring rats to testing room.
Phase I: Habituation
Start the experiment session. Place the rat in the enclosure. The computer should start recording when it detects the rat breaking the beam. The computer will record for 1 h. During the habituation phase, prepare risperidone (positive control): Measure out risperidone, calculate final volume at 1 mg/mL concentration and add 1% glacial acetic acid of the final volume to dissolve risperidone. When risperidone is dissolved, add saline to final volume to make a concentration of 1 mg/mL. Fill syringes (3 mL syringes with 23 g ½ needle or oral gavage needle) with Amgen compound solution (5 mL/kg) or risperidone (1 mL syringe with 23 g ½ needle) control (1 mL/kg) s.c.
Phase II: Compound Pre-Treatment
Make sure Phase I has ended. Remove rat from enclosure, start the next phase using on-screen individual switch, administer compound p.o or i.p. and control s.c. and place rat back in the enclosure. The computer should start recording when it detects the rat breaking the beam. The computer will record for 1 h.
During phase II, prepare pcp: Dissolve pcp in saline to a concentration of 5 mg/mL.
Fill syringes (1 mL syringes with 26 g ⅜ needle) with pcp solution (1 mL/kg).
Phase III: PCP Administration.
Make sure phase II is ended. Remove rat from enclosure, start the next phase using on-screen individual switch, administer pcp s.c. and place rat back in the enclosure. The computer will record for 1 h.
Clean-Up:
End-session to terminate experiment and so that computer will compile data. Export raw data to spreadsheet file for data analysis. Euthanize rats and take necessary tissue/sample for PK.
Data Generation:
Export raw data to spreadsheet file for data analysis. Total time of movement is recorded as the number of photobeam breaks by the computer. Total time of movement (seconds) is combined into 5 minute bins and averaged for each treatment group for an N of 7-10 animals. Data are analyzed for statistical significance using a two-way ANOVA followed by a Bonferroni's post-hoc test for multiple comparisons.
The foregoing is merely illustrative of the invention and is not intended to limit the invention to the disclosed compounds. Variations and changes which are obvious to one skilled in the art are intended to be within the scope and nature of the invention which are defined in the appended claims. All patents, patent applications, and other publications recited herein are hereby incorporated by reference in their entirety.

Claims (19)

What is claimed is:
1. A compound of formula I:
Figure US09718803-20170801-C02405
or a pharmaceutically acceptable salt thereof, wherein:
the group
Figure US09718803-20170801-C02406
R1 is L1 or C1-4alk-L1;
Y is a bond or —C(═O);
each R2 and R3 is independently H, halo, CN, OH, —OC1-4alk, C1-4alk, C1-4haloalk, —C1-6alkORa, —C(═O)C1-4alk, —C(═O)NRaRa, or —C0-4alkNH—C(═O)Ra;
R4a is H, OH, halo, C1-4alk, or C1-4haloalk;
R4b is halo, CN, OH, OC1-4alk, C1-4alk, C1-4haloalk, or oxo;
R5 is 5- to 6-membered heteroaryl or unsaturated 9- to 10-membered bicyclo-heterocyclic ring; wherein each R5 ring is substituted by 0, 1, 2, 3, or 4 R8 groups;
R6 is independently H, halo, CN, OH, OC1-4alk, C1-4alk or C1-4haloalk;
m is 0;
each of p and q is independently 2; wherein the sum of p and q is 4;
the ring containing p and q contains 0 or 1 double bonds;
Ra is independently H or Rb;
Rb is independently phenyl, benzyl, or C1-6alk, wherein said phenyl, benzyl, and C1-6alk are substituted by 0, 1, 2 or 3 substituents which are, independently, halo, C1-4alk, C1-3haloalk, —OH, —OC1-4alk, —NH2, —NHC1-4alk, —OC(═O)C1-4alk, or —N(C1-4alk)C1-4alk;
Rc is L2 or C1-4alk-L2;
each L1 is independently a carbon-linked or nitrogen-linked saturated, partially-saturated or unsaturated 3-, 4-, 5-, 6-, or 7-membered monocyclic ring or a saturated, partially-saturated or unsaturated 6-, 7-, 8-, 9-, 10-, 11-, or 12-membered bicyclic ring, said ring contains 0, 1, 2, 3, or 4 N atoms and 0, 1, or 2 atoms which are O or S; L′ is independently substituted by 0, 1, 2 or 3 R9 groups;
each L2 is independently a carbon-linked or nitrogen-linked saturated, partially-saturated or unsaturated 3-, 4-, 5-, 6-, or 7-membered monocyclic ring or a saturated, partially-saturated or unsaturated 6-, 7-, 8-, 9-, 10-, 11-, or 12-membered bicyclic ring, said ring contains 0, 1, 2, 3, or 4 N atoms and 0, 1, or 2 atoms which are 0 or S; L2 is independently substituted by 0, 1, 2 or 3 R11 groups;
R8 is halo, CN, OH, C1-4alk, C1-4haloalk, —OC1-4haloalk, —C(═O)Rb, —C(═O)Rc, —C(═O)NHRb, —C(═O)NHRc, —S(═O)2Rb, —S(═O)2Rc, —S(═O)2NRaRa, Rb, Rc, NO2, ORb, or ORc;
R9 is halo, C1-6alk, C1-4haloalk, —ORa, —OC1-4haloalk, CN, —C(═O)Rb, —C(═O)ORa, —C(═O)NRaRa, —C(═NRa)NRaRa, —OC(═O)Rb, —OC(═O)NRaRa, —OC1-6alkNRaRa, —OC1-6alkORa, —SRa, —S(═O)Rb, —S(═O)2Rb, —S(═O)2NRaRa, —NRaRa, —N(Ra)C(═O)Rb, —N(Ra)C(═O)ORb, —N(Ra)C(═O)NRaRa, —N(Ra)C(═NRa)NRaRa, —N(Ra)S(═O)2Rb, —N(Ra)S(═O)2NRaRa, —NRaC1-6alkNRaRa, —NRaC1-6alkORa, —C1-6alkNRaRa, —C1-6alkORa, —C1-6alkN(Ra)C(═O)Rb, —C1-6alkOC(═O)Rb, —C1-6alkC(═O)NRaRa, —C1-6alkC(═O)ORa, oxo, or Rc;
and
R11 is halo, C1-6alk, C1-4haloalk, —ORa, —OC1-4haloalk, CN, —C(═O)Rb, —C(═O)ORa, —C(═O)NRaRa, —C(═NRa)NRaRa, —OC(═O)Rb, —OC(═O)NRaRa, —OC1-6alkNRaRa, —OC1-6alkORa, —SRa, —S(═O)Rb, —S(═O)2Rb, —S(═O)2NRaRa, —NRaRa, —N(Ra)C(═O)Rb, —N(Ra)C(═O)ORb, —N(Ra)C(═O)NRaRa, —N(Ra)C(═NRa)NRaRa, —N(Ra)S(═O)2Rb, —N(Ra)S(═O)2NRaRa, —NRaC1-6alkNRaRa, —NRaC1-6alkORa, —C1-6alkNRaRa, —C1-6alkORa, —C1-6alkN(Ra)C(═O)Rb, —C1-6alkOC(═O)Rb, —C1-6alkC(═O)NRaRa, —C1-6alkC(═O)ORa, or oxo.
2. The compound according to claim 1, or a pharmaceutically acceptable salt thereof, wherein Y is a bond.
3. The compound according to claim 1, or a pharmaceutically acceptable salt thereof, wherein the group
Figure US09718803-20170801-C02407
4. The compound according to claim 1, or a pharmaceutically acceptable salt thereof, wherein the ring containing p and q contains 0 double bond.
5. The compound according to claim 1, or a pharmaceutically acceptable salt thereof, wherein the ring containing p and q contains 1 double bond.
6. The compound according to claim 1, or a pharmaceutically acceptable salt thereof, wherein the group
Figure US09718803-20170801-C02408
7. The compound according to claim 1, or a pharmaceutically acceptable salt thereof, wherein R1 is L1.
8. The compound according to claim 1, or a pharmaceutically acceptable salt thereof, wherein is a carbon-linked-unsaturated 5- to 6-membered monocyclic ring, wherein each said ring contains 0, 1, or 2 N atoms and 0 or 1 O atoms, and wherein each said L1 substituted by 0, 1 or 2 R9 groups which are F, Cl, Br, C1-6alk, —ORa, CN, —C(═O)Rb, —C(═O)ORa, —C(═O)NRaRa, —NRaRa, —N(Ra)C(═O)Rb, —N(Ra)C(═O)ORb, or —N(Ra)C(═O)ORb.
9. The compound according to claim 1, or a pharmaceutically acceptable salt thereof, wherein is phenyl substituted by 0, 1 or 2 R9 groups which are F, Cl, Br, C1-6alk, —ORa, CN, —C(═O)Rb, —C(═O)ORa, —C(═O)NRaRa, —NRaRa, —N(Ra)C(═O)Rb, —N(Ra)C(═O)ORb, or —N(Ra)C(═O)ORb.
10. The compound according to claim 1, or a pharmaceutically acceptable salt thereof, wherein each R2 and R3 is independently H.
11. The compound according to claim 1, or a pharmaceutically acceptable salt thereof, wherein R8 is halo.
12. The compound according to claim 1, or a pharmaceutically acceptable salt thereof, wherein R4a is H.
13. The compound according to claim 1, or a pharmaceutically acceptable salt thereof, wherein the group —Y—R5 is:
Figure US09718803-20170801-C02409
wherein R5 is substituted by 1 or 2 R8 groups.
14. The compound according to claim 1, or a pharmaceutically acceptable salt thereof, wherein the group —Y—R5 is:
Figure US09718803-20170801-C02410
15. The compound according to claim 1, or a pharmaceutically acceptable salt thereof, wherein R8 is F, Cl, CF3, methyl, or CN.
16. The compound according to claim 1, or a pharmaceutically acceptable salt thereof, wherein R8 is Cl.
17. The compound according to claim 1, or a pharmaceutically acceptable salt thereof, wherein R8 is F.
18. The compound according to claim 1, or a pharmaceutically acceptable salt thereof, which is:
(1H-benzoimidazol-2-yl)-[4-(3-phenyl-pyrazin-2-yl)-piperidin-1-yl]-methanone;
(1H-Benzoimidazol-2-yl)-[3-(2,3-dihydro-indol-1-yl)-3′,4′,5′,6′-tetrahydro-2′H-[2,4′]bipyridinyl-1′-yl]-methanone;
(1H-Benzoimidazol-2-yl)-(3-phenyl-3′,4′,5′,6′-tetrahydro-2′H-[2,4′]bipyridinyl-1′-yl)-methanone;
(1H-Benzoimidazol-2-yl)-{4-[3-(4-hydroxymethyl-piperidin-1-yl)-pyrazin-2-yl]-piperidin-1-yl}-methanone;
7-chloro-2-(4-(3-(4-fluoro-3-methoxyphenyl)pyrazin-2-yl)-5,6-dihydropyridin-1(2H)-yl)quinoline;
7-chloro-2-(4-(3-(3,6-dihydro-2H-pyran-4-yl)pyrazin-2-yl)-5,6-dihydropyridin-1(2H)-yl)quinoline;
1-(3-(1-(7-chloroquinolin-2-yl)-1,2,3,6-tetrahydropyridin-4-yl)pyrazin-2-yl)piperidine-4-carbonitrile;
1-(3-(1-(7-chloro-6-fluoroquinazolin-2-yl)-1,2,3,6-tetrahydropyridin-4-yl)pyrazin-2-yl)piperidin-4-ol;
3-(3-(1-(7-chloro-6-fluoroquinazolin-2-yl)-1,2,3,6-tetrahydropyridin-4-yl)pyrazin-2-yl)benzamide;
1-(4-(3-(1-(7-chloro-6-fluoroquinazolin-2-yl)-1,2,3,6-tetrahydropyridin-4-yl)pyrazin-2-yl)-5,6-dihydropyridin-1(2H)-yl)ethanone;
2-(4-(3-(5,6-dihydro-2H-pyran-3-yl)pyrazin-2-yl)-5,6-dihydropyridin-1(2H)-yl)-7-fluoroquinoxaline;
N-(3-(3-(1-(7-fluoroquinoxalin-2-yl)-1,2,3,6-tetrahydropyridin-4-yl)pyrazin-2-yl)phenyl)acetamide; or
(1-(3-(1-(7-fluoroquinoxalin-2-yl)-1,2,3,6-tetrahydropyridin-4-yl)pyrazin-2-yl)piperidin-4-yl)methanol.
19. A pharmaceutical composition comprising a compound according to claim 1, or a pharmaceutically acceptable salt thereof, and a pharmaceutically acceptable excipient.
US14/973,491 2010-05-13 2015-12-17 Unsaturated nitrogen heterocyclic compounds useful as PDE10 inhibitors Active US9718803B2 (en)

Priority Applications (1)

Application Number Priority Date Filing Date Title
US14/973,491 US9718803B2 (en) 2010-05-13 2015-12-17 Unsaturated nitrogen heterocyclic compounds useful as PDE10 inhibitors

Applications Claiming Priority (4)

Application Number Priority Date Filing Date Title
US33452510P 2010-05-13 2010-05-13
US13/105,860 US8957073B2 (en) 2010-05-13 2011-05-11 Unsaturated nitrogen heterocyclic compounds useful as PDE10 inhibitors
US14/242,432 US20140213572A1 (en) 2010-05-13 2014-04-01 Unsaturated nitrogen heterocyclic compounds useful as pde10 inhibitors
US14/973,491 US9718803B2 (en) 2010-05-13 2015-12-17 Unsaturated nitrogen heterocyclic compounds useful as PDE10 inhibitors

Related Parent Applications (1)

Application Number Title Priority Date Filing Date
US14/242,432 Continuation US20140213572A1 (en) 2010-05-13 2014-04-01 Unsaturated nitrogen heterocyclic compounds useful as pde10 inhibitors

Publications (2)

Publication Number Publication Date
US20160102075A1 US20160102075A1 (en) 2016-04-14
US9718803B2 true US9718803B2 (en) 2017-08-01

Family

ID=44278966

Family Applications (3)

Application Number Title Priority Date Filing Date
US13/105,860 Active 2032-03-21 US8957073B2 (en) 2010-05-13 2011-05-11 Unsaturated nitrogen heterocyclic compounds useful as PDE10 inhibitors
US14/242,432 Abandoned US20140213572A1 (en) 2010-05-13 2014-04-01 Unsaturated nitrogen heterocyclic compounds useful as pde10 inhibitors
US14/973,491 Active US9718803B2 (en) 2010-05-13 2015-12-17 Unsaturated nitrogen heterocyclic compounds useful as PDE10 inhibitors

Family Applications Before (2)

Application Number Title Priority Date Filing Date
US13/105,860 Active 2032-03-21 US8957073B2 (en) 2010-05-13 2011-05-11 Unsaturated nitrogen heterocyclic compounds useful as PDE10 inhibitors
US14/242,432 Abandoned US20140213572A1 (en) 2010-05-13 2014-04-01 Unsaturated nitrogen heterocyclic compounds useful as pde10 inhibitors

Country Status (26)

Country Link
US (3) US8957073B2 (en)
EP (1) EP2569300A1 (en)
JP (1) JP5702855B2 (en)
KR (1) KR101564806B1 (en)
CN (1) CN103221404B (en)
AR (1) AR081627A1 (en)
AU (1) AU2011253057B2 (en)
BR (1) BR112012029026A2 (en)
CA (1) CA2798490A1 (en)
CL (1) CL2012003178A1 (en)
CO (1) CO6630189A2 (en)
CR (1) CR20120635A (en)
EA (1) EA201291236A1 (en)
IL (1) IL222898A (en)
MA (1) MA34300B1 (en)
MX (1) MX2012013130A (en)
NZ (1) NZ603876A (en)
PE (1) PE20130576A1 (en)
PH (1) PH12012502212A1 (en)
SG (1) SG185515A1 (en)
TN (1) TN2012000530A1 (en)
TW (1) TW201206902A (en)
UA (1) UA109438C2 (en)
UY (1) UY33382A (en)
WO (1) WO2011143365A1 (en)
ZA (1) ZA201208510B (en)

Cited By (5)

* Cited by examiner, † Cited by third party
Publication number Priority date Publication date Assignee Title
US10273225B2 (en) * 2014-02-14 2019-04-30 Takeda Pharmaceutical Company Limited Pyrazines as modulators of GPR6
WO2019084338A1 (en) * 2017-10-25 2019-05-02 University Of South Florida Drug-induced activation of the reelin signaling system
US12071428B2 (en) 2020-12-30 2024-08-27 Tyra Biosciences, Inc. Indazole compounds as kinase inhibitors
WO2025147609A1 (en) * 2024-01-05 2025-07-10 Dewpoint Therapeutics, Inc. Amino quinoline compounds and uses thereof
US12441707B2 (en) 2019-12-30 2025-10-14 Tyra Biosciences, Inc. Indazole compounds

Families Citing this family (80)

* Cited by examiner, † Cited by third party
Publication number Priority date Publication date Assignee Title
CA2798325A1 (en) * 2010-05-13 2011-11-17 Amgen Inc. Heteroaryloxyheterocyclyl compounds as pde10 inhibitors
MA34300B1 (en) * 2010-05-13 2013-06-01 Amgen Inc HETEROCYCLIC NITROGENIC COMPOUNDS AS PDE10 INHIBITORS
US8946230B2 (en) 2010-05-13 2015-02-03 Amgen Inc. Aryl- and heteroaryl- nitrogen-heterocyclic compounds as PDE10 inhibitors
AU2011253058A1 (en) 2010-05-13 2012-12-06 Amgen Inc. Heteroaryloxycarbocyclyl compounds as PDE10 inhibitors
CN103476757A (en) 2011-02-18 2013-12-25 阿勒根公司 Substituted 6,7-dialkoxy-3-isoquinolinol derivatives as inhibitors of phosphodiesterase 10 (PDE10A)
KR20180084153A (en) 2011-06-10 2018-07-24 메르크 파텐트 게엠베하 Compositions and Methods for the Production of Pyrimidine and Pyridine Compounds with BTK Inhibitory Activity
US8623860B2 (en) * 2011-12-30 2014-01-07 Boehringer Ingelheim International Gmbh Azetidine derivatives, pharmaceutical compositions and uses thereof
TW201348231A (en) * 2012-02-29 2013-12-01 Amgen Inc Heterobicyclic compounds
WO2013169622A1 (en) * 2012-05-09 2013-11-14 Zoetis Llc Azetidine derivatives as antiparasitic agents
AR091436A1 (en) * 2012-06-14 2015-02-04 Amgen Inc AZETIDINE AND PIPERIDINE COMPOUNDS USED AS PDE10 INHIBITORS
WO2014071044A1 (en) 2012-11-01 2014-05-08 Allergan, Inc. Substituted 6,7-dialkoxy-3-isoquinoline derivatives as inhibitors of phosphodiesterase 10 (pde10a)
EP2928471B1 (en) 2012-12-06 2020-10-14 Celgene Quanticel Research, Inc. Histone demethylase inhibitors
JP2016507538A (en) * 2013-02-07 2016-03-10 メルク パテント ゲゼルシャフト ミット ベシュレンクテル ハフツングMerck Patent Gesellschaft mit beschraenkter Haftung Substituted quinoxaline derivatives and their use as positive allosteric modulators of mGluR4
US9200016B2 (en) 2013-12-05 2015-12-01 Allergan, Inc. Substituted 6, 7-dialkoxy-3-isoquinoline derivatives as inhibitors of phosphodiesterase 10 (PDE 10A)
SI3105218T1 (en) 2014-02-13 2019-11-29 Incyte Corp Cyclopropylamines as lsd1 inhibitors
US9527835B2 (en) 2014-02-13 2016-12-27 Incyte Corporation Cyclopropylamines as LSD1 inhibitors
EP3105219B9 (en) 2014-02-13 2018-10-03 Incyte Corporation Cyclopropylamines as lsd1 inhibitors
MX373103B (en) 2014-02-13 2020-04-17 Incyte Holdings Corp CYCLOPROPYLAMINES AS INHIBITORS OF LYSINE-SPECIFIC DEMETHYLASE 1 (LSD1).
CN104016909B (en) * 2014-04-03 2016-04-20 定陶县友帮化工有限公司 The synthetic method of the bromo-5-chloropyridine of a kind of 2-amino-3-
CN104016911A (en) * 2014-04-03 2014-09-03 定陶县友帮化工有限公司 Synthetic method of 2-amino-3,5-dibromopyridine
ES2842592T3 (en) * 2014-05-19 2021-07-14 Boehringer Ingelheim Animal Health Usa Inc Anthelmintic compounds
TW201613925A (en) 2014-07-10 2016-04-16 Incyte Corp Imidazopyrazines as LSD1 inhibitors
WO2016007722A1 (en) 2014-07-10 2016-01-14 Incyte Corporation Triazolopyridines and triazolopyrazines as lsd1 inhibitors
TWI687419B (en) 2014-07-10 2020-03-11 美商英塞特公司 Imidazopyridines and imidazopyrazines as LSD1 inhibitors
WO2016007727A1 (en) 2014-07-10 2016-01-14 Incyte Corporation Triazolopyridines and triazolopyrazines as lsd1 inhibitors
KR102431436B1 (en) 2014-08-29 2022-08-10 테스 파마 에스.알.엘. INHIBITORS OF α-AMINO-β-CARBOXYMUCONIC ACID SEMIALDEHYDE DECARBOXYLASE
WO2016054560A1 (en) * 2014-10-02 2016-04-07 Flatley Discovery Lab Isoxazole compounds and methods for the treatment of cystic fibrosis
EP3277689B1 (en) 2015-04-03 2019-09-04 Incyte Corporation Heterocyclic compounds as lsd1 inhibitors
WO2017009751A1 (en) 2015-07-15 2017-01-19 Pfizer Inc. Pyrimidine derivatives
LT3334709T (en) 2015-08-12 2025-03-10 Incyte Holdings Corporation Salts of an lsd1 inhibitor
JP6999574B2 (en) 2016-04-22 2022-01-18 インサイト・コーポレイション Preparation of LSD1 inhibitor
US20200321533A1 (en) * 2016-05-24 2020-10-08 President And Fellows Of Harvard College Compounds for organic light emitting diode materials
AU2017275657B2 (en) 2016-06-02 2021-08-19 Novartis Ag Potassium channel modulators
EP3555064B9 (en) 2016-12-16 2023-03-01 Pfizer Inc. Glp-1 receptor agonists and uses thereof
PL3571193T3 (en) 2017-01-23 2022-04-25 Cadent Therapeutics, Inc. Potassium channel modulators
CN106957300A (en) * 2017-04-12 2017-07-18 苏州汉德创宏生化科技有限公司 Antitumor (3 azelidinyls of heterocyclic drug intermediate 2)The synthetic method of pyridine dihydrochloride
SG10202011632RA (en) 2017-10-27 2021-01-28 Boehringer Ingelheim Int Pyridine carbonyl derivatives and therapeutic uses thereof as trpc6 inhibitors
CA3091555A1 (en) * 2017-12-26 2019-07-04 Mediconns (Shanghai) Biopharmaceutical Co., Ltd Tetrahydropyrrole compound, preparation method therefor, pharmaceutical composition containing same, and use thereof
BR112020018094A2 (en) 2018-03-08 2020-12-22 Incyte Corporation AMINOPYRAZINE DIOL COMPOUNDS AS PI3K-¿INHIBITORS
CA3045644C (en) 2018-06-13 2024-01-16 Pfizer Inc. Glp-1 receptor agonists and uses thereof
ES2943510T3 (en) 2018-06-15 2023-06-13 Pfizer GLP-1 receptor agonists and uses thereof
US11046658B2 (en) 2018-07-02 2021-06-29 Incyte Corporation Aminopyrazine derivatives as PI3K-γ inhibitors
WO2020047198A1 (en) 2018-08-31 2020-03-05 Incyte Corporation Salts of an lsd1 inhibitor and processes for preparing the same
PY1980182A (en) 2018-10-02 2020-08-21 Syngenta Participations Ag BENZENE AND AZINE-AMIDE COMPOUNDS ACTIVE AS PESTICIDES
EP3870291A1 (en) 2018-10-22 2021-09-01 Cadent Therapeutics, Inc. Crystalline forms of potassium channel modulators
WO2020102216A1 (en) 2018-11-13 2020-05-22 Incyte Corporation Substituted heterocyclic derivatives as pi3k inhibitors
US11078204B2 (en) 2018-11-13 2021-08-03 Incyte Corporation Heterocyclic derivatives as PI3K inhibitors
US11161838B2 (en) 2018-11-13 2021-11-02 Incyte Corporation Heterocyclic derivatives as PI3K inhibitors
CR20210341A (en) * 2018-11-22 2021-11-25 Qilu Regor Therapeutics Inc Glp-1r agonists and uses thereof
CN113165139B (en) 2018-11-26 2023-06-09 京瓷株式会社 Gas nozzle, method for manufacturing gas nozzle, and plasma processing apparatus
WO2020113094A1 (en) 2018-11-30 2020-06-04 Nuvation Bio Inc. Pyrrole and pyrazole compounds and methods of use thereof
TWI853009B (en) 2019-03-29 2024-08-21 瑞士商先正達農作物保護公司 Pesticidally active diazine-amide compounds
JP7611848B2 (en) 2019-04-05 2025-01-10 シンジェンタ クロップ プロテクション アクチェンゲゼルシャフト Pesticidal Active Diazine-Amide Compounds - Patent application
BR112021020386A2 (en) 2019-04-11 2021-12-07 Syngenta Crop Protection Ag Pesticide-active diazine-amide compounds
AU2020256647B2 (en) 2019-04-12 2025-07-31 Qilu Regor Therapeutics Inc. GLP-1R agonists and uses thereof
US10954221B2 (en) 2019-04-12 2021-03-23 Qilu Regor Therapeutics Inc. GLP-1R agonists and uses thereof
WO2020234726A1 (en) * 2019-05-20 2020-11-26 Pfizer Inc. Combinations comprising benzodioxol as glp-1r agonists for use in the treatment of nash/nafld and related diseases
BR112022003375A2 (en) 2019-08-23 2022-05-17 Syngenta Crop Protection Ag Pesticicidally active pyrazine-amide compounds
JP7534390B2 (en) * 2019-09-12 2024-08-14 ディスアーム セラピューティクス, インコーポレイテッド SARM1 inhibitors
CA3157525A1 (en) 2019-10-25 2021-04-29 Gilead Sciences, Inc. Glp-1r modulating compounds
JP7386997B2 (en) * 2019-11-15 2023-11-27 イルドン ファーマシューティカル カンパニー リミテッド GLP-1 receptor agonists and their uses
WO2021154796A1 (en) 2020-01-29 2021-08-05 Gilead Sciences, Inc. Glp-1r modulating compounds
CN115279750B (en) * 2020-03-18 2024-06-21 株式会社Lg化学 GLP-1 receptor agonist, pharmaceutical composition containing the agonist and preparation method thereof
MY207021A (en) * 2020-03-18 2025-01-24 Lg Chemical Ltd Glp-1 receptor agonist, pharmaceutical composition comprising same, and method for preparing same
CA3188340A1 (en) 2020-08-13 2022-02-17 Boehringer Ingelheim International Gmbh Treatment of cognitive impairement associated with schizophrenia
CA3195702A1 (en) 2020-10-13 2022-04-21 Boehringer Ingelheim International Gmbh Process of reworking
WO2022108989A1 (en) * 2020-11-19 2022-05-27 Cerecin Inc. Radiopharmaceutical ketone and dual tracer imaging in alzheimer's disease, cognitive impairment, and other conditions of altered cerebral metabolism
EP4247804A1 (en) 2020-11-20 2023-09-27 Gilead Sciences, Inc. Polyheterocyclic glp-1 r modulating compounds
WO2022192430A1 (en) 2021-03-11 2022-09-15 Gilead Sciences, Inc. Glp-1r modulating compounds
PH12023552860A1 (en) 2021-04-21 2024-05-20 Gilead Sciences Inc Carboxy-benzimidazole glp-1r modulating compounds
IL308392A (en) 2021-05-13 2024-01-01 Carmot Therapeutics Inc Modulators of g-protein coupled receptors
JP2024524883A (en) 2021-06-09 2024-07-09 シンジェンタ クロップ プロテクション アクチェンゲゼルシャフト Pesticidal Active Diazine-Amide Compounds - Patent application
US11919879B2 (en) 2021-06-16 2024-03-05 Celgene Corporation Carboxylic acid containing azetidinyl compounds for the treatment of neurodegenerative diseases
BR112023026747A2 (en) 2021-06-18 2024-03-12 Aligos Therapeutics Inc METHODS AND COMPOSITIONS FOR TARGETING PD-L1
KR20240068737A (en) 2021-09-27 2024-05-17 테른스 파마슈티칼스, 인크. Benzimidazole carboxylic acid as a GLP-1R agonist
AU2022375634A1 (en) 2021-10-25 2024-06-06 Terns Pharmaceuticals, Inc. Compounds as glp-1r agonists
CA3240346A1 (en) 2021-12-16 2023-06-22 Aligos Therapeutics, Inc. Methods and compositions for targeting pd-l1
KR20240150488A (en) 2022-02-23 2024-10-15 테른스 파마슈티칼스, 인크. Compounds as GLP-1R agonists
TWI866545B (en) * 2022-10-20 2024-12-11 南韓商東亞St股份有限公司 Azetidinyl benzoxazole compounds and their use as mer and axl inhibitors
US20240398794A1 (en) 2023-04-07 2024-12-05 Terns Pharmaceuticals, Inc. COMBINATIONS OF GLP-1R AND THRß AGONISTS AND METHODS OF USE THEREOF

Citations (23)

* Cited by examiner, † Cited by third party
Publication number Priority date Publication date Assignee Title
US4107288A (en) 1974-09-18 1978-08-15 Pharmaceutical Society Of Victoria Injectable compositions, nanoparticles useful therein, and process of manufacturing same
EP0039051A2 (en) 1980-04-24 1981-11-04 Merck & Co. Inc. Mannich-base hydroxamic acid prodrugs for the improved bioavailability of non-steroidal anti-inflammatory agents, a process for preparing and a pharmaceutical composition containing them
US5145684A (en) 1991-01-25 1992-09-08 Sterling Drug Inc. Surface modified drug nanoparticles
WO2003040107A1 (en) 2001-09-24 2003-05-15 Bayer Pharmaceuticals Corporation Imidazole-4-carboxamide derivatives, preparation and use thereof for treatment of obesity
WO2004035549A1 (en) 2002-10-17 2004-04-29 Amgen Inc. Benzimidazole derivatives and their use as vanilloid receptor ligands
WO2005012485A2 (en) 2003-07-31 2005-02-10 Bayer Pharmaceuticals Corporation Methods for treating diabetes and related disorders using pde10a inhibitors
WO2005051390A1 (en) 2003-10-29 2005-06-09 Merck Sharp & Dohme Limited E-fluoro-4-(pyridin-2-yl)-piperidine-1-carboxamide derivatives and related compounds which modulate the function of the vanilloid-1 receptor (vr1) for the treatment of pain
WO2005116009A1 (en) 2004-05-18 2005-12-08 Schering Corporation Substituted 2-quinolyl-oxazoles useful as pde4 inhibitors
US20060019975A1 (en) 2004-07-23 2006-01-26 Pfizer Inc Novel piperidyl derivatives of quinazoline and isoquinoline
US20070072908A1 (en) 2005-06-08 2007-03-29 Japan Tobacco Inc. Heterocyclic compounds
US20070149513A1 (en) * 2005-12-23 2007-06-28 Ning Chen Vanilloid receptor ligands and their use in treatments
WO2007085954A2 (en) 2006-01-27 2007-08-02 Pfizer Products Inc. Aminophthalazine derivative compounds
WO2009081197A1 (en) 2007-12-21 2009-07-02 Astrazeneca Ab Bicyclic derivatives for use in the treatment of androgen receptor associated conditions
WO2010007120A1 (en) 2008-07-18 2010-01-21 Novartis Ag Pyridazine derivatives as smo inhibitors
WO2010008739A2 (en) 2008-06-20 2010-01-21 Metabolex, Inc. Aryl gpr119 agonists and uses thereof
WO2010091409A1 (en) 2009-02-09 2010-08-12 Glaxosmithkline Llc Certain nitrogen containing bicyclic chemical entities for treating viral infections
WO2010130424A1 (en) 2009-05-12 2010-11-18 Ortho-Mcneil-Janssen Pharmaceuticals, Inc 1,2,3-triazolo [4,3-a] pyridine derivatives and their use for the treatment or prevention of neurological and psychiatric disorders
WO2011028947A2 (en) 2009-09-03 2011-03-10 Bioenergenix Heterocyclic compounds for the inhibition of pask
WO2011034078A1 (en) 2009-09-16 2011-03-24 アステラス製薬株式会社 Glycine compound
US20110306588A1 (en) 2010-05-13 2011-12-15 Allen Jennifer R Heteroaryloxyheterocyclyl compounds as pde10 inhibitors
US20110306590A1 (en) 2010-05-13 2011-12-15 Allen Jennifer R Aryl- and heteroaryl- nitrogen-heterocyclic compounds as pde10 inhibitors
US20110306591A1 (en) 2010-05-13 2011-12-15 Allen Jennifer R Heteroaryloxycarbocyclyl compounds as pde10 inhibitors
US8691986B2 (en) 2012-06-14 2014-04-08 Amgen Inc. Azetidine and piperidine compounds useful as PDE10 inhibitors

Family Cites Families (2)

* Cited by examiner, † Cited by third party
Publication number Priority date Publication date Assignee Title
PT2527315E (en) * 2002-05-31 2014-06-24 Proteotech Inc Compounds, compositions and methods for the treatment of amyloid diseases and synucleinopathies such as alzheimer's disease, type 2 diabetes and parkinson's disease
MA34300B1 (en) * 2010-05-13 2013-06-01 Amgen Inc HETEROCYCLIC NITROGENIC COMPOUNDS AS PDE10 INHIBITORS

Patent Citations (24)

* Cited by examiner, † Cited by third party
Publication number Priority date Publication date Assignee Title
US4107288A (en) 1974-09-18 1978-08-15 Pharmaceutical Society Of Victoria Injectable compositions, nanoparticles useful therein, and process of manufacturing same
EP0039051A2 (en) 1980-04-24 1981-11-04 Merck & Co. Inc. Mannich-base hydroxamic acid prodrugs for the improved bioavailability of non-steroidal anti-inflammatory agents, a process for preparing and a pharmaceutical composition containing them
US5145684A (en) 1991-01-25 1992-09-08 Sterling Drug Inc. Surface modified drug nanoparticles
WO2003040107A1 (en) 2001-09-24 2003-05-15 Bayer Pharmaceuticals Corporation Imidazole-4-carboxamide derivatives, preparation and use thereof for treatment of obesity
WO2004035549A1 (en) 2002-10-17 2004-04-29 Amgen Inc. Benzimidazole derivatives and their use as vanilloid receptor ligands
WO2005012485A2 (en) 2003-07-31 2005-02-10 Bayer Pharmaceuticals Corporation Methods for treating diabetes and related disorders using pde10a inhibitors
WO2005051390A1 (en) 2003-10-29 2005-06-09 Merck Sharp & Dohme Limited E-fluoro-4-(pyridin-2-yl)-piperidine-1-carboxamide derivatives and related compounds which modulate the function of the vanilloid-1 receptor (vr1) for the treatment of pain
WO2005116009A1 (en) 2004-05-18 2005-12-08 Schering Corporation Substituted 2-quinolyl-oxazoles useful as pde4 inhibitors
US20060019975A1 (en) 2004-07-23 2006-01-26 Pfizer Inc Novel piperidyl derivatives of quinazoline and isoquinoline
US20070072908A1 (en) 2005-06-08 2007-03-29 Japan Tobacco Inc. Heterocyclic compounds
US20070149513A1 (en) * 2005-12-23 2007-06-28 Ning Chen Vanilloid receptor ligands and their use in treatments
WO2007085954A2 (en) 2006-01-27 2007-08-02 Pfizer Products Inc. Aminophthalazine derivative compounds
WO2009081197A1 (en) 2007-12-21 2009-07-02 Astrazeneca Ab Bicyclic derivatives for use in the treatment of androgen receptor associated conditions
WO2010008739A2 (en) 2008-06-20 2010-01-21 Metabolex, Inc. Aryl gpr119 agonists and uses thereof
WO2010007120A1 (en) 2008-07-18 2010-01-21 Novartis Ag Pyridazine derivatives as smo inhibitors
WO2010091409A1 (en) 2009-02-09 2010-08-12 Glaxosmithkline Llc Certain nitrogen containing bicyclic chemical entities for treating viral infections
WO2010130424A1 (en) 2009-05-12 2010-11-18 Ortho-Mcneil-Janssen Pharmaceuticals, Inc 1,2,3-triazolo [4,3-a] pyridine derivatives and their use for the treatment or prevention of neurological and psychiatric disorders
WO2011028947A2 (en) 2009-09-03 2011-03-10 Bioenergenix Heterocyclic compounds for the inhibition of pask
WO2011034078A1 (en) 2009-09-16 2011-03-24 アステラス製薬株式会社 Glycine compound
US20110306588A1 (en) 2010-05-13 2011-12-15 Allen Jennifer R Heteroaryloxyheterocyclyl compounds as pde10 inhibitors
US20110306590A1 (en) 2010-05-13 2011-12-15 Allen Jennifer R Aryl- and heteroaryl- nitrogen-heterocyclic compounds as pde10 inhibitors
US20110306591A1 (en) 2010-05-13 2011-12-15 Allen Jennifer R Heteroaryloxycarbocyclyl compounds as pde10 inhibitors
US8691986B2 (en) 2012-06-14 2014-04-08 Amgen Inc. Azetidine and piperidine compounds useful as PDE10 inhibitors
US9303028B2 (en) * 2012-06-14 2016-04-05 Amgen Inc. Azetidine and piperidine compounds useful as PDE10 inhibitors

Non-Patent Citations (11)

* Cited by examiner, † Cited by third party
Title
Berge, et al "Pharmaceutical Salts", JPharmaSci, 66:1 (1977).
Bundgaard, et al., "A Novel Solution-Stable, Water-Soluble Prodrug Type for Drugs Containing a Hydroxyl or an NH-Acidic Group", JMedChem, 32:12, 2503-2507, (1989).
Celen, et al., "Preclinical Evaluation of18F-JNJ41510417 as a Radioligand for PET Imaging of Phosphodiesterase-10A in the Brain," J Nuclear Med., 51(10):1584-1591, (2010).
Fujishige, et al., "Cloning and Characterization of a Novel Human Phosphodiesterase That Hydrolyzes Both cAMP and cGMP (PDE10A)", Jour Biol Chem, 274:26, 18438-18445, (1999).
Giedd, et al., "MRI Assessment of Children With Obsessive-Compulsive Disorder or Tics Associated with Streptococcal Infection", AmJPsych, 157:281-283, (2000).
Loughney, et al., "Isolation and characterization of PDE10A, a novel human 3′, 5′-cyclic nucleotide phosphodiesterase", Gene, 234: 109-117, (1999).
Loughney, et al., "Isolation and characterization of PDE10A, a novel human 3′, 5′—cyclic nucleotide phosphodiesterase", Gene, 234: 109-117, (1999).
Obeso, et al, "The origin of motor fluctuations in Parkinson's disease", Neurology, 62(Suppl 1): S17-S30 (2004).
Saxena, et al., "Neuroimaging and frontal-subcortical circuitry in obsessive-compulsive disorder", BrJPsychSuppl, 173(Suppl. 35):26-37, (1998).
Solderling, et al., "Isolation and characterization of a dual-substrate phosphodiesterase gene family: PDE10A", Proc. Natl. Acad. Sci, 96: 7071-7076, (1999).
Svensson, et al., "The Design and Bioactivation of Presystemically Stable Prodrugs", Drug Metabolism Rev., 19(2), 165-194 (1988).

Cited By (8)

* Cited by examiner, † Cited by third party
Publication number Priority date Publication date Assignee Title
US10273225B2 (en) * 2014-02-14 2019-04-30 Takeda Pharmaceutical Company Limited Pyrazines as modulators of GPR6
WO2019084338A1 (en) * 2017-10-25 2019-05-02 University Of South Florida Drug-induced activation of the reelin signaling system
US11306059B2 (en) 2017-10-25 2022-04-19 University Of South Florida Drug-induced activation of the Reelin signaling system
US11629127B2 (en) 2017-10-25 2023-04-18 University Of South Florida Drug-induced activation of the Reelin signaling system
US12441707B2 (en) 2019-12-30 2025-10-14 Tyra Biosciences, Inc. Indazole compounds
US12071428B2 (en) 2020-12-30 2024-08-27 Tyra Biosciences, Inc. Indazole compounds as kinase inhibitors
US12264149B2 (en) 2020-12-30 2025-04-01 Tyra Biosciences, Inc. Indazole compounds as kinase inhibitors
WO2025147609A1 (en) * 2024-01-05 2025-07-10 Dewpoint Therapeutics, Inc. Amino quinoline compounds and uses thereof

Also Published As

Publication number Publication date
WO2011143365A1 (en) 2011-11-17
CR20120635A (en) 2013-01-30
AR081627A1 (en) 2012-10-10
US8957073B2 (en) 2015-02-17
ZA201208510B (en) 2017-11-29
AU2011253057B2 (en) 2014-11-20
US20160102075A1 (en) 2016-04-14
IL222898A (en) 2015-11-30
KR20130065666A (en) 2013-06-19
PH12012502212A1 (en) 2013-02-04
UY33382A (en) 2011-10-31
CL2012003178A1 (en) 2013-07-05
TN2012000530A1 (en) 2014-04-01
TW201206902A (en) 2012-02-16
US20140213572A1 (en) 2014-07-31
MX2012013130A (en) 2013-04-11
EP2569300A1 (en) 2013-03-20
CN103221404A (en) 2013-07-24
KR101564806B1 (en) 2015-10-30
UA109438C2 (en) 2015-08-25
AU2011253057A1 (en) 2012-11-29
CA2798490A1 (en) 2011-11-17
EA201291236A1 (en) 2013-11-29
CN103221404B (en) 2015-12-16
SG185515A1 (en) 2012-12-28
PE20130576A1 (en) 2013-05-19
JP2013526536A (en) 2013-06-24
NZ603876A (en) 2015-02-27
BR112012029026A2 (en) 2016-08-02
US20110306587A1 (en) 2011-12-15
JP5702855B2 (en) 2015-04-15
IL222898A0 (en) 2012-12-31
MA34300B1 (en) 2013-06-01
CO6630189A2 (en) 2013-03-01

Similar Documents

Publication Publication Date Title
US9718803B2 (en) Unsaturated nitrogen heterocyclic compounds useful as PDE10 inhibitors
US9376450B2 (en) Heteroaryloxyheterocyclyl compounds as PDE10 inhibitors
US11390609B2 (en) Rho-associated protein kinase inhibitor, pharmaceutical composition comprising same, and preparation method and use thereof
US8946230B2 (en) Aryl- and heteroaryl- nitrogen-heterocyclic compounds as PDE10 inhibitors
US8952037B2 (en) Heteroaryloxycarbocyclyl compounds as PDE10 inhibitors
AU2011253003A1 (en) Heteroaryloxyheterocyclyl compounds as PDE10 inhibitors
WO2022165530A1 (en) Small molecule inhibitors of salt inducible kinases
US20260022116A1 (en) Imidazopyridine compounds, preparation thereof and therapeutic uses thereof

Legal Events

Date Code Title Description
AS Assignment

Owner name: AMGEN INC., CALIFORNIA

Free format text: ASSIGNMENT OF ASSIGNORS INTEREST;ASSIGNORS:ALLEN, JENNIFER R.;CHEN, JIAN J.;FROHN, MICHAEL J.;AND OTHERS;SIGNING DATES FROM 20110712 TO 20110726;REEL/FRAME:038372/0149

STCF Information on status: patent grant

Free format text: PATENTED CASE

MAFP Maintenance fee payment

Free format text: PAYMENT OF MAINTENANCE FEE, 4TH YEAR, LARGE ENTITY (ORIGINAL EVENT CODE: M1551); ENTITY STATUS OF PATENT OWNER: LARGE ENTITY

Year of fee payment: 4

MAFP Maintenance fee payment

Free format text: PAYMENT OF MAINTENANCE FEE, 8TH YEAR, LARGE ENTITY (ORIGINAL EVENT CODE: M1552); ENTITY STATUS OF PATENT OWNER: LARGE ENTITY

Year of fee payment: 8