US9555031B2 - Therapeutic uses of selected pyrrolopyrimidine compounds with anti-mer tyrosine kinase activity - Google Patents

Therapeutic uses of selected pyrrolopyrimidine compounds with anti-mer tyrosine kinase activity Download PDF

Info

Publication number
US9555031B2
US9555031B2 US14/678,905 US201514678905A US9555031B2 US 9555031 B2 US9555031 B2 US 9555031B2 US 201514678905 A US201514678905 A US 201514678905A US 9555031 B2 US9555031 B2 US 9555031B2
Authority
US
United States
Prior art keywords
compound
cancer
host
mertk
virus
Prior art date
Legal status (The legal status is an assumption and is not a legal conclusion. Google has not performed a legal analysis and makes no representation as to the accuracy of the status listed.)
Active
Application number
US14/678,905
Other versions
US20150290197A1 (en
Inventor
Xiaodong Wang
Weihe Zhang
Stephen Frye
Current Assignee (The listed assignees may be inaccurate. Google has not performed a legal analysis and makes no representation or warranty as to the accuracy of the list.)
University of North Carolina at Chapel Hill
Original Assignee
University of North Carolina at Chapel Hill
Priority date (The priority date is an assumption and is not a legal conclusion. Google has not performed a legal analysis and makes no representation as to the accuracy of the date listed.)
Filing date
Publication date
Application filed by University of North Carolina at Chapel Hill filed Critical University of North Carolina at Chapel Hill
Priority to US14/678,905 priority Critical patent/US9555031B2/en
Assigned to THE UNIVERSITY OF NORTH CAROLINA AT CHAPEL HILL reassignment THE UNIVERSITY OF NORTH CAROLINA AT CHAPEL HILL ASSIGNMENT OF ASSIGNORS INTEREST (SEE DOCUMENT FOR DETAILS). Assignors: FRYE, STEPHEN, WANG, XIAODONG, ZHANG, WEIHE
Publication of US20150290197A1 publication Critical patent/US20150290197A1/en
Priority to US15/419,642 priority patent/US10004755B2/en
Application granted granted Critical
Publication of US9555031B2 publication Critical patent/US9555031B2/en
Assigned to NATIONAL INSTITUTES OF HEALTH (NIH), U.S. DEPT. OF HEALTH AND HUMAN SERVICES (DHHS), U.S. GOVERNMENT reassignment NATIONAL INSTITUTES OF HEALTH (NIH), U.S. DEPT. OF HEALTH AND HUMAN SERVICES (DHHS), U.S. GOVERNMENT CONFIRMATORY LICENSE (SEE DOCUMENT FOR DETAILS). Assignors: UNIV OF NORTH CAROLINA CHAPEL HILL
Active legal-status Critical Current
Anticipated expiration legal-status Critical

Links

Images

Classifications

    • AHUMAN NECESSITIES
    • A61MEDICAL OR VETERINARY SCIENCE; HYGIENE
    • A61KPREPARATIONS FOR MEDICAL, DENTAL OR TOILETRY PURPOSES
    • A61K31/00Medicinal preparations containing organic active ingredients
    • A61K31/63Compounds containing para-N-benzenesulfonyl-N-groups, e.g. sulfanilamide, p-nitrobenzenesulfonyl hydrazide
    • A61K31/635Compounds containing para-N-benzenesulfonyl-N-groups, e.g. sulfanilamide, p-nitrobenzenesulfonyl hydrazide having a heterocyclic ring, e.g. sulfadiazine
    • AHUMAN NECESSITIES
    • A61MEDICAL OR VETERINARY SCIENCE; HYGIENE
    • A61KPREPARATIONS FOR MEDICAL, DENTAL OR TOILETRY PURPOSES
    • A61K31/00Medicinal preparations containing organic active ingredients
    • A61K31/33Heterocyclic compounds
    • A61K31/395Heterocyclic compounds having nitrogen as a ring hetero atom, e.g. guanethidine or rifamycins
    • A61K31/495Heterocyclic compounds having nitrogen as a ring hetero atom, e.g. guanethidine or rifamycins having six-membered rings with two or more nitrogen atoms as the only ring heteroatoms, e.g. piperazine or tetrazines
    • A61K31/505Pyrimidines; Hydrogenated pyrimidines, e.g. trimethoprim
    • AHUMAN NECESSITIES
    • A61MEDICAL OR VETERINARY SCIENCE; HYGIENE
    • A61KPREPARATIONS FOR MEDICAL, DENTAL OR TOILETRY PURPOSES
    • A61K31/00Medicinal preparations containing organic active ingredients
    • A61K31/33Heterocyclic compounds
    • A61K31/395Heterocyclic compounds having nitrogen as a ring hetero atom, e.g. guanethidine or rifamycins
    • A61K31/495Heterocyclic compounds having nitrogen as a ring hetero atom, e.g. guanethidine or rifamycins having six-membered rings with two or more nitrogen atoms as the only ring heteroatoms, e.g. piperazine or tetrazines
    • A61K31/505Pyrimidines; Hydrogenated pyrimidines, e.g. trimethoprim
    • A61K31/506Pyrimidines; Hydrogenated pyrimidines, e.g. trimethoprim not condensed and containing further heterocyclic rings
    • AHUMAN NECESSITIES
    • A61MEDICAL OR VETERINARY SCIENCE; HYGIENE
    • A61KPREPARATIONS FOR MEDICAL, DENTAL OR TOILETRY PURPOSES
    • A61K31/00Medicinal preparations containing organic active ingredients
    • A61K31/33Heterocyclic compounds
    • A61K31/395Heterocyclic compounds having nitrogen as a ring hetero atom, e.g. guanethidine or rifamycins
    • A61K31/495Heterocyclic compounds having nitrogen as a ring hetero atom, e.g. guanethidine or rifamycins having six-membered rings with two or more nitrogen atoms as the only ring heteroatoms, e.g. piperazine or tetrazines
    • A61K31/505Pyrimidines; Hydrogenated pyrimidines, e.g. trimethoprim
    • A61K31/519Pyrimidines; Hydrogenated pyrimidines, e.g. trimethoprim ortho- or peri-condensed with heterocyclic rings
    • AHUMAN NECESSITIES
    • A61MEDICAL OR VETERINARY SCIENCE; HYGIENE
    • A61KPREPARATIONS FOR MEDICAL, DENTAL OR TOILETRY PURPOSES
    • A61K31/00Medicinal preparations containing organic active ingredients
    • A61K31/33Heterocyclic compounds
    • A61K31/395Heterocyclic compounds having nitrogen as a ring hetero atom, e.g. guanethidine or rifamycins
    • A61K31/495Heterocyclic compounds having nitrogen as a ring hetero atom, e.g. guanethidine or rifamycins having six-membered rings with two or more nitrogen atoms as the only ring heteroatoms, e.g. piperazine or tetrazines
    • A61K31/505Pyrimidines; Hydrogenated pyrimidines, e.g. trimethoprim
    • A61K31/529Pyrimidines; Hydrogenated pyrimidines, e.g. trimethoprim forming part of bridged ring systems
    • AHUMAN NECESSITIES
    • A61MEDICAL OR VETERINARY SCIENCE; HYGIENE
    • A61KPREPARATIONS FOR MEDICAL, DENTAL OR TOILETRY PURPOSES
    • A61K31/00Medicinal preparations containing organic active ingredients
    • A61K31/33Heterocyclic compounds
    • A61K31/395Heterocyclic compounds having nitrogen as a ring hetero atom, e.g. guanethidine or rifamycins
    • A61K31/535Heterocyclic compounds having nitrogen as a ring hetero atom, e.g. guanethidine or rifamycins having six-membered rings with at least one nitrogen and one oxygen as the ring hetero atoms, e.g. 1,2-oxazines
    • A61K31/53751,4-Oxazines, e.g. morpholine
    • A61K31/53771,4-Oxazines, e.g. morpholine not condensed and containing further heterocyclic rings, e.g. timolol
    • AHUMAN NECESSITIES
    • A61MEDICAL OR VETERINARY SCIENCE; HYGIENE
    • A61KPREPARATIONS FOR MEDICAL, DENTAL OR TOILETRY PURPOSES
    • A61K31/00Medicinal preparations containing organic active ingredients
    • A61K31/33Heterocyclic compounds
    • A61K31/395Heterocyclic compounds having nitrogen as a ring hetero atom, e.g. guanethidine or rifamycins
    • A61K31/55Heterocyclic compounds having nitrogen as a ring hetero atom, e.g. guanethidine or rifamycins having seven-membered rings, e.g. azelastine, pentylenetetrazole
    • AHUMAN NECESSITIES
    • A61MEDICAL OR VETERINARY SCIENCE; HYGIENE
    • A61KPREPARATIONS FOR MEDICAL, DENTAL OR TOILETRY PURPOSES
    • A61K31/00Medicinal preparations containing organic active ingredients
    • A61K31/33Heterocyclic compounds
    • A61K31/395Heterocyclic compounds having nitrogen as a ring hetero atom, e.g. guanethidine or rifamycins
    • A61K31/55Heterocyclic compounds having nitrogen as a ring hetero atom, e.g. guanethidine or rifamycins having seven-membered rings, e.g. azelastine, pentylenetetrazole
    • A61K31/551Heterocyclic compounds having nitrogen as a ring hetero atom, e.g. guanethidine or rifamycins having seven-membered rings, e.g. azelastine, pentylenetetrazole having two nitrogen atoms, e.g. dilazep
    • AHUMAN NECESSITIES
    • A61MEDICAL OR VETERINARY SCIENCE; HYGIENE
    • A61KPREPARATIONS FOR MEDICAL, DENTAL OR TOILETRY PURPOSES
    • A61K31/00Medicinal preparations containing organic active ingredients
    • A61K31/33Heterocyclic compounds
    • A61K31/395Heterocyclic compounds having nitrogen as a ring hetero atom, e.g. guanethidine or rifamycins
    • A61K31/55Heterocyclic compounds having nitrogen as a ring hetero atom, e.g. guanethidine or rifamycins having seven-membered rings, e.g. azelastine, pentylenetetrazole
    • A61K31/551Heterocyclic compounds having nitrogen as a ring hetero atom, e.g. guanethidine or rifamycins having seven-membered rings, e.g. azelastine, pentylenetetrazole having two nitrogen atoms, e.g. dilazep
    • A61K31/55131,4-Benzodiazepines, e.g. diazepam or clozapine
    • AHUMAN NECESSITIES
    • A61MEDICAL OR VETERINARY SCIENCE; HYGIENE
    • A61KPREPARATIONS FOR MEDICAL, DENTAL OR TOILETRY PURPOSES
    • A61K45/00Medicinal preparations containing active ingredients not provided for in groups A61K31/00 - A61K41/00
    • A61K45/06Mixtures of active ingredients without chemical characterisation, e.g. antiphlogistics and cardiaca
    • AHUMAN NECESSITIES
    • A61MEDICAL OR VETERINARY SCIENCE; HYGIENE
    • A61PSPECIFIC THERAPEUTIC ACTIVITY OF CHEMICAL COMPOUNDS OR MEDICINAL PREPARATIONS
    • A61P31/00Antiinfectives, i.e. antibiotics, antiseptics, chemotherapeutics
    • AHUMAN NECESSITIES
    • A61MEDICAL OR VETERINARY SCIENCE; HYGIENE
    • A61PSPECIFIC THERAPEUTIC ACTIVITY OF CHEMICAL COMPOUNDS OR MEDICINAL PREPARATIONS
    • A61P31/00Antiinfectives, i.e. antibiotics, antiseptics, chemotherapeutics
    • A61P31/04Antibacterial agents
    • AHUMAN NECESSITIES
    • A61MEDICAL OR VETERINARY SCIENCE; HYGIENE
    • A61PSPECIFIC THERAPEUTIC ACTIVITY OF CHEMICAL COMPOUNDS OR MEDICINAL PREPARATIONS
    • A61P31/00Antiinfectives, i.e. antibiotics, antiseptics, chemotherapeutics
    • A61P31/12Antivirals
    • AHUMAN NECESSITIES
    • A61MEDICAL OR VETERINARY SCIENCE; HYGIENE
    • A61PSPECIFIC THERAPEUTIC ACTIVITY OF CHEMICAL COMPOUNDS OR MEDICINAL PREPARATIONS
    • A61P35/00Antineoplastic agents
    • AHUMAN NECESSITIES
    • A61MEDICAL OR VETERINARY SCIENCE; HYGIENE
    • A61PSPECIFIC THERAPEUTIC ACTIVITY OF CHEMICAL COMPOUNDS OR MEDICINAL PREPARATIONS
    • A61P37/00Drugs for immunological or allergic disorders
    • A61P37/02Immunomodulators
    • AHUMAN NECESSITIES
    • A61MEDICAL OR VETERINARY SCIENCE; HYGIENE
    • A61PSPECIFIC THERAPEUTIC ACTIVITY OF CHEMICAL COMPOUNDS OR MEDICINAL PREPARATIONS
    • A61P37/00Drugs for immunological or allergic disorders
    • A61P37/02Immunomodulators
    • A61P37/04Immunostimulants
    • AHUMAN NECESSITIES
    • A61MEDICAL OR VETERINARY SCIENCE; HYGIENE
    • A61PSPECIFIC THERAPEUTIC ACTIVITY OF CHEMICAL COMPOUNDS OR MEDICINAL PREPARATIONS
    • A61P43/00Drugs for specific purposes, not provided for in groups A61P1/00-A61P41/00
    • AHUMAN NECESSITIES
    • A61MEDICAL OR VETERINARY SCIENCE; HYGIENE
    • A61PSPECIFIC THERAPEUTIC ACTIVITY OF CHEMICAL COMPOUNDS OR MEDICINAL PREPARATIONS
    • A61P7/00Drugs for disorders of the blood or the extracellular fluid
    • A61P7/02Antithrombotic agents; Anticoagulants; Platelet aggregation inhibitors
    • CCHEMISTRY; METALLURGY
    • C07ORGANIC CHEMISTRY
    • C07DHETEROCYCLIC COMPOUNDS
    • C07D401/00Heterocyclic compounds containing two or more hetero rings, having nitrogen atoms as the only ring hetero atoms, at least one ring being a six-membered ring with only one nitrogen atom
    • C07D401/02Heterocyclic compounds containing two or more hetero rings, having nitrogen atoms as the only ring hetero atoms, at least one ring being a six-membered ring with only one nitrogen atom containing two hetero rings
    • C07D401/04Heterocyclic compounds containing two or more hetero rings, having nitrogen atoms as the only ring hetero atoms, at least one ring being a six-membered ring with only one nitrogen atom containing two hetero rings directly linked by a ring-member-to-ring-member bond
    • CCHEMISTRY; METALLURGY
    • C07ORGANIC CHEMISTRY
    • C07DHETEROCYCLIC COMPOUNDS
    • C07D401/00Heterocyclic compounds containing two or more hetero rings, having nitrogen atoms as the only ring hetero atoms, at least one ring being a six-membered ring with only one nitrogen atom
    • C07D401/14Heterocyclic compounds containing two or more hetero rings, having nitrogen atoms as the only ring hetero atoms, at least one ring being a six-membered ring with only one nitrogen atom containing three or more hetero rings
    • CCHEMISTRY; METALLURGY
    • C07ORGANIC CHEMISTRY
    • C07DHETEROCYCLIC COMPOUNDS
    • C07D487/00Heterocyclic compounds containing nitrogen atoms as the only ring hetero atoms in the condensed system, not provided for by groups C07D451/00 - C07D477/00
    • C07D487/02Heterocyclic compounds containing nitrogen atoms as the only ring hetero atoms in the condensed system, not provided for by groups C07D451/00 - C07D477/00 in which the condensed system contains two hetero rings
    • C07D487/04Ortho-condensed systems
    • CCHEMISTRY; METALLURGY
    • C07ORGANIC CHEMISTRY
    • C07DHETEROCYCLIC COMPOUNDS
    • C07D487/00Heterocyclic compounds containing nitrogen atoms as the only ring hetero atoms in the condensed system, not provided for by groups C07D451/00 - C07D477/00
    • C07D487/02Heterocyclic compounds containing nitrogen atoms as the only ring hetero atoms in the condensed system, not provided for by groups C07D451/00 - C07D477/00 in which the condensed system contains two hetero rings
    • C07D487/08Bridged systems
    • YGENERAL TAGGING OF NEW TECHNOLOGICAL DEVELOPMENTS; GENERAL TAGGING OF CROSS-SECTIONAL TECHNOLOGIES SPANNING OVER SEVERAL SECTIONS OF THE IPC; TECHNICAL SUBJECTS COVERED BY FORMER USPC CROSS-REFERENCE ART COLLECTIONS [XRACs] AND DIGESTS
    • Y02TECHNOLOGIES OR APPLICATIONS FOR MITIGATION OR ADAPTATION AGAINST CLIMATE CHANGE
    • Y02ATECHNOLOGIES FOR ADAPTATION TO CLIMATE CHANGE
    • Y02A50/00TECHNOLOGIES FOR ADAPTATION TO CLIMATE CHANGE in human health protection, e.g. against extreme weather
    • Y02A50/30Against vector-borne diseases, e.g. mosquito-borne, fly-borne, tick-borne or waterborne diseases whose impact is exacerbated by climate change

Definitions

  • the present invention is directed to the use of selected pyrrolopyrimidine compounds having Mer tyrosine kinase (MerTK) inhibitory activity as anti-infective agents, immunostimulatory and immunomodulatory agents, anti-cancer agents (including against MerTK ⁇ / ⁇ tumors and ITD and TKD mutant forms of Acute Myeloid Leukemia (AML)), and as adjunctive agents in combination with chemotherapeutic, radiation or other standard of care for neoplasms.
  • MerTK Mer tyrosine kinase
  • MerTK is a member of a receptor tyrosine kinase (RTK) family known as TAM, which also includes AXL and TYRO3. Each member of the TAM family contains an extracellular domain, a transmembrane domain and a conserved intracellular kinase domain.
  • RTK receptor tyrosine kinase
  • Each member of the TAM family contains an extracellular domain, a transmembrane domain and a conserved intracellular kinase domain.
  • MerTK was first discovered in the laboratory of H. Shelton Earp at the University of North Carolina in 1994 (Graham et al., Cloning and mRNA expression analysis of a novel human proto-oncogene, c-mer. Cell Growth Differ 5, 647-657 (1994)).
  • the TAM family members undergo ligand-induced homodimerization, followed by catalytic tyrosine kinase activation and intracellular signaling.
  • RTK cross-phosphorylation has also been demonstrated within this RTK family, suggesting heterodimerization can occur also.
  • RTKs are widely expressed in many epithelial tissues and in cells of the immune, nervous, and reproductive systems.
  • MerTK was given its name by the Earp laboratory because it was found to be expressed in monocytes and in tissues of epithelial and reproductive tissue.
  • ligand-bound MerTK can complex with phosphatidyl serine and it binds apoptotic cells which triggers ingestion and suppresses inflammatory cytokines. It is aberrantly expressed in certain cancers (for example, acute leukemia (ALL and AML) and some solid tumors (for example melanoma, breast cancer, colon cancer, non-small cell lung carcinoma, glioblastoma and others).
  • ALL and AML acute leukemia
  • solid tumors for example melanoma, breast cancer, colon cancer, non-small cell lung carcinoma, glioblastoma and others.
  • the MerTK ligands include growth arrest-specific 6 protein (GAS6; Chen, et al; Oncogene (1997) 14, 2033-2039), protein-S, tubby and tubby-like protein-1 (TULP1), and galectin-3.
  • GAS6 growth arrest-specific 6 protein
  • TULP1 tubby and tubby-like protein-1
  • galectin-3 Several of these ligands are present in serum and expressed locally in a number of tissues. These ligands bind to the extracellular domain of MerTK, resulting in tyrosine kinase activation.
  • TAM receptor tyrosine kinases have been investigated for their involvement in certain infectious diseases. Shimojima, et al., reported the involvement of members of the Tyro3 receptor tyrosine kinase family, Axl, Dkt and MerTK, in the cell entry of filoviruses Ebolavirus and Marburgvirus, and concluded that each Tyro3 family member is likely a cell entry factor in the infection (“Tyro3 Family-mediated Cell Entry of Ebola and Marburg Viruses” Journal of Virology , October 2006 p. 10109-10116).
  • Morizono and Chen reported that virus binding by viral envelope phosphatidyl serine is a viral entry mechanism generalized to a number of families of viruses (Morizono and Chen, “Role of Phosphatidyl Receptors in Enveloped Virus Infection”, J. Virology Vol 88(8), 4275-4290 (Jan. 29, 2014)).
  • WO2013/124324 filed by Amara et al. (priority date Feb. 21, 2012), and assigned to Institut National De La Sante et De La Recherche Medicale, reports that Dengue virus is mediated by the interaction between phosphatidylserine at the surface of the Dengue viral envelope and TAM receptors present at the surface of the host cell, and that such interaction can be blocked, thereby inhibiting entry of Dengue into host cells. They also report that the interaction between phosphatidyl serine and TAM receptors is used by other flaviviruses such as Yellow Fever, West Nile and perhaps Chikungunya. Amara focuses on antisense, siRNA and antibody approaches.
  • TAM receptors are engaged by viruses to attenuate type 1 interferon signaling (“Enveloped viruses disable innate immune responses in dendritic cells by direct activation of TAM receptors”, Cell Host & Microbe 14, 136,-147 (2013)). See also Meertens, L. et al. The TIM and TAM families of phosphatidylserine receptors mediate dengue virus entry. Cell Host Microbe 12, 544-557, doi:10.1016/j.chom.2012.08.009 (2012). Mercer, J. & Helenius, A. Vaccinia virus uses macropinocytosis and apoptotic mimicry to enter host cells. Science 320, 531-535, doi:10.1126/science.1155164 (2008).
  • MerTK is ectopically expressed or overexpressed in a number of hematologic and epithelial malignant cells. Expression of MerTK and GAS6 correlates with poor prognosis and/or chemoresistance in these tumor types. The mechanisms by which increased MerTK signaling in tumor cells contributes to tumor malignancy, however, remain unclear.
  • WO2013/052417 titled “Pyrrolopyrimidine Compounds for the Treatment of Cancer” filed by Wang, et al., and assigned to the University of North Carolina describe pyrrolopyrimidines with MerTK inhibitory activity for the treatment of tumors such as myeloid leukemia, lymphoblastic leukemia, melanoma, breast, lung, colon, liver, gastric, kidney, ovarian, uterine and brain cancer, wherein the pyrrolopyrimidines have the general structures below, with R substituents as defined in the those applications:
  • Dr. Stephen Frye presented data showing the inhibitory effects of a pyrrolopyrimidine compound (UNC2025) in non-small cell lung cancer cell lines, MerTK-expressing AML cell lines, and MerTK-negative AML cell lines.
  • UNC2025 was analyzed in an ALL 697 cell line xenograft model and a FLT3-ITD AML patient xenograft model. Frye, S. “Academic Drug Discovery and Chemical Biology”, Presentation at the Northwestern 18th Annual Drug Discovery Symposium. November 2013.
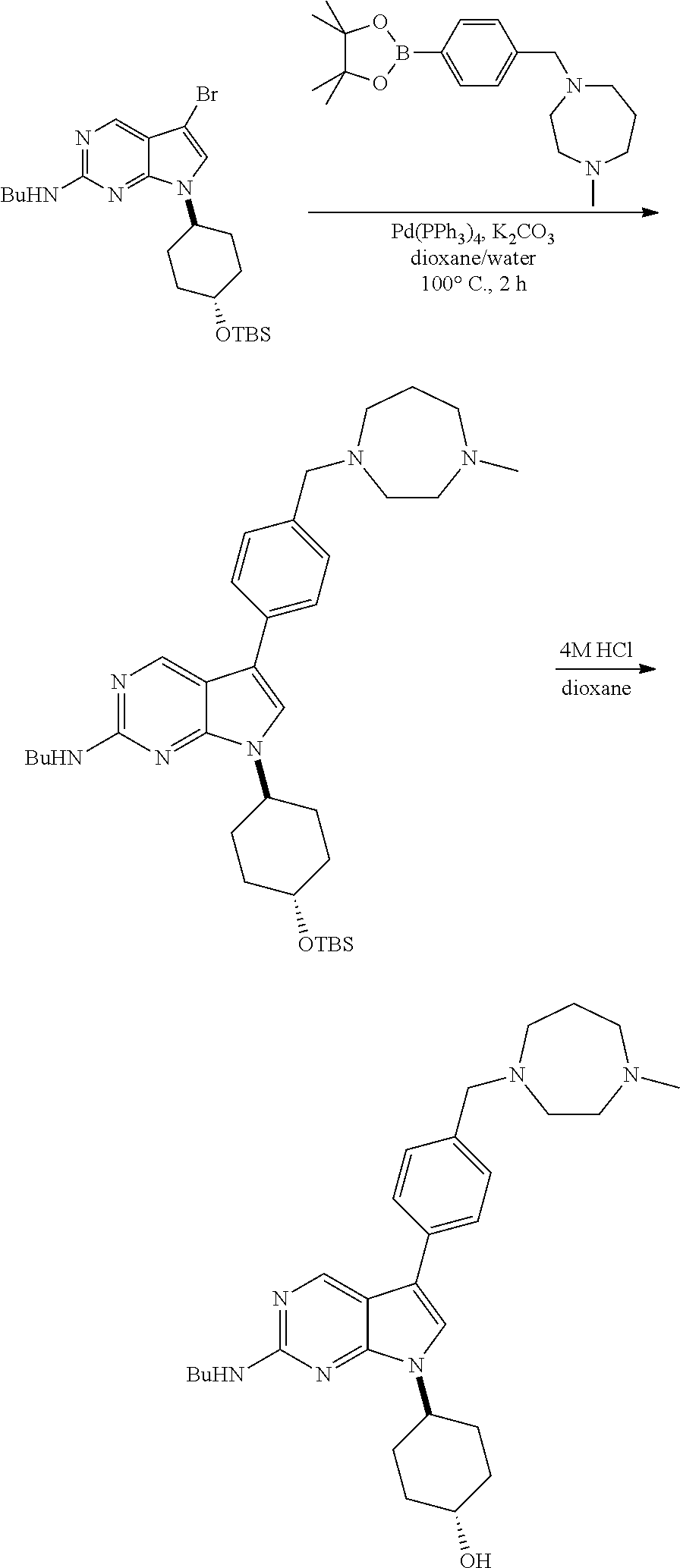
  • the structure of the pyrrolopyrimidine compound UNC2025 is:
  • WO2011/146313 and WO2014/062774 both titled “Pyrazolopyrimidine Compounds for the Treatment of Cancer” filed by Wang, et al., and assigned to the University of North Carolina describe pyrazolopyrimidines with MerTK inhibitory activity for the treatment of tumors such as myeloid leukemia, lymphoblastic leukemia, melanoma, breast, lung, colon, liver, gastric, kidney, ovarian, uterine and brain cancer, wherein the pyrazolopyrimidines have the general structures below, with R substituents as defined in the those applications:
  • WO2014/062774 further discloses pyrazolopyrimidine compounds for use in a method of treating or inhibiting blood clot formation.
  • UNC569 a novel small-molecule Mer inhibitor with efficacy against acute lymphoblastic leukemia in vitro and in vivo.” Mol Cancer Ther. 2013 November; 12(11):2367-77).
  • the MerTK inhibitors UNC569 and UNC1062 have the following structures:
  • MerTK ⁇ / ⁇ knock-out mice are less susceptible to tumor growth than normal mice.
  • MerTK is normally expressed in myeloid lineage cells where it acts to suppress pro-inflammatory cytokines following ingestion of apoptotic material. It was found that MerTK ⁇ / ⁇ leukocytes exhibit lower tumor cell-induced expression of wound healing cytokines (IL-10 and GAS6) and enhanced expression of acute inflammatory cytokines (IL-12 and IL-6). Further, intratumoral CD8+ lymphocytes are increased.
  • the loss of MerTK in the tumor microenvironment in Mer ⁇ / ⁇ mice slowed the establishment, growth, and metastasis of mammary tumors and melanomas in immune competent, syngeneic mice. Cook, R. S. et al., MerTK inhibition in tumor leukocytes decreases tumor growth and metastasis, J Clin Invest 123, 3231-3242 (2013).
  • Linger et al. have also presented data demonstrating increased MerTK expression in E2A-PBX11 and other cytogenetic subgroups of B-acute lymphoblastic leukemia (B-ALL), and that MerTK inhibition may attenuate prosurvival and proliferation signaling.
  • B-ALL B-acute lymphoblastic leukemia
  • Linger et al. Mer receptor tyrosine kinase is a therapeutic target in pre-B-cell acute lymphoblastic leukemia, Blood , vol. 122(9):1599-1609, 2013.
  • Lee-Sherick, et al. (“Efficacy of a Mer and Flt3 tyrosine kinase small molecule inhibitor, UNC1666, in acute myeloid leukemia”, Oncotarget , Advance Publications 2015 Feb. 10, 2015) have reported that UNC1666 (a pyrrolopyrimidine) decreases oncogenic signaling and myeloid survival in AML.
  • TAM (Tyro3-Axl-Mer) receptor tyrosine kinases have also been investigated for their involvement in platelet aggregation.
  • MerTK presumably through activation by its ligand Gas6, participates in the regulation of platelet function in vitro and platelet-dependent thrombosis in vivo.
  • the present invention is directed to the use of selected pyrrolopyrimidine compounds having Mer tyrosine kinase (MerTK) inhibitory activity as anti-infective agents, immunostimulatory agents, anti-cancer agents (including against MerTK ⁇ / ⁇ tumors and ITD and TKD mutant forms of Acute Myeloid Leukemia (AML)), and as adjunctive agents in combination with chemotherapeutic, radiation or other standard of care for neoplasms.
  • MerTK Mer tyrosine kinase
  • An effective amount of the pyrrolopyrimidine compounds described in Formulas I, IA, IB, II, IIA and IIB below or other active compounds as otherwise provided herein can be used to treat a host bearing any virus-related infection where the virus has a virion envelope phosphatidyl serine that complexes with MerTK to achieve viral entry or is otherwise facilitated by MerTK in the infectious process.
  • Nonlimiting examples of such viruses include, but are not limited to, Flaviviridae viruses, including Flavivirus (such as Yellow Fever, West Nile and Dengue), Hepacivirus (Hepatitis C virus, “HCV”), Pegivirus and Pestivirus (Bovine viral diarrhea virus); Filoviridae viruses, including Ebola viruses; Togaviridae viruses, including Chikungunya virus; Coronaviruses, such as SARS (Severe acute respiratory syndrome) and MERS (Middle East respiratory syndrome); Orthomyxoviridae viruses, for example influenza; Paramyxoviridae viruses, for example Respiratory syncytial virus (RSV), measles and mumps; and Caliciviridae viruses, including Lagovirus, Vesivirus, and Sapovirus and Norovirus (Norwalk-like virus), and Lentiviruses, for example, HIV.
  • the virus is an enveloped virus.
  • the virus is a non-enveloped virus.
  • an effective amount of the pyrrolopyrimidine compounds described in Formulas I, IA, IB, II, IIA and IIB below can be used to treat a host bearing a bacterial infection.
  • the bacteria treated is, for example, a Gram-negative bacilli (GNB), especially Escherichia coli , Gram-positive cocci (GPC), Staphylococcus aureus, Enterococcus faecalis , or Streptococcus pneumoniae .
  • the bacterial infection is associated with liver failure.
  • an active compound disclosed herein is administered in combination with an antibiotic or another anti-bacterial agent.
  • the compounds described herein can be used as immunomodulatory agents that reverse the MerTK-induced suppression of pro-inflammatory cytokines such as wound healing cytokines (IL-10 and GAS6) and enhance the expression of acute inflammatory cytokines (IL-12 and IL-6).
  • pro-inflammatory cytokines such as wound healing cytokines (IL-10 and GAS6)
  • IL-12 and IL-6 acute inflammatory cytokines
  • the pyrrolopyrimidine compounds can “re-normalize” or “re-program” the host microenvironment in the diseased tissue area to attack the diseased cells.
  • a MERTK-negative ( ⁇ / ⁇ ) tumor or cancer for example MERTK-negative ( ⁇ / ⁇ ) breast cancer.
  • one or more of the compounds disclosed herein can be used as adjunctive antineoplastic therapy for its immunostimulatory effect as a means to increase the efficacy of the antineoplastic standard of care therapies, such as chemotherapeutic compounds or radiation.
  • pyrrolopyrimidine compounds have dual Mer/Flt-3 inhibitory activity, as discussed in more detail below, and thus are useful in the treatment of tumors mediated by FLT-3 or which exhibit drug resistance or ITD and TKD mutations, such as certain forms of Acute Myeloid Leukemia (AML).
  • AML Acute Myeloid Leukemia
  • one of X and X′ is N and the other of X and X′ is C;
  • one of the dashed lines in Formula I is a single bond and the other of the dashed lines is a double bond (e.g., as shown in Formulas IA and IB);
  • R 1 is aryl
  • R 2 is —R 5′ R 6 , where R 5′ is a covalent bond or C1 to C3 alkyl and R 6 is cycloalkyl, heterocycloalkyl, aryl, heteroaryl or alkyl, and wherein R 6 is optionally substituted from one to two times with independently selected polar groups;
  • R 3 is —NR 7 R 8 , where R 7 and R 8 are each independently selected from H, alkyl, arylalkyl; cycloalkylalkyl, heterocycloalkylalkyl, heteroarylalkyl, and alkoxyalkyl, each of which is optionally substituted one, two or three times with independently selected polar groups (typically one of R 7 or R 8 is H);
  • R 4 is H, loweralkyl, halo, or loweralkoxy
  • R 5 is H, loweralkyl, halo, or loweralkoxy
  • R 11 is —R 9 (R 10 ) n , where R 9 is alkyl, alkenyl, -alkylaryl, heterocyclo, aryl, heteroaryl and R 10 is hydrogen, alkyl, haloalkyl, alkoxyalkyl, —O-alkylaryl, hydroxyalkyl, alkenyl, alkenyloxy, alkynyl, alkynyloxy, cycloalkyl, cycloalkylalkyl, cycloalkoxy, cycloalkylalkyloxy, heterocyclo, heterocycloalkyl, alkylheterocycloalkyl, heterocyclooxy, heterocyclolalkyloxy, aryl, arylalkyl, aryloxy, arylalkyloxy, heteroaryl, alkylheteroaryl, halo, hydroxyl, alkoxy, haloalkoxy, mercapto, alkyl-S(O) m
  • n 0, 1, 2 or 3;
  • n 0, 1 or 2;
  • R 12 is R 16 R 19 , where R 16 is a covalent bond or C 1 to C 3 alkyl and R 19 is cycloalkyl, cycloalkylalkyl, heterocyclo, heterocycloalkyl, aryl, arylalkyl, heteroaryl, heteroarylalkyl, hydroxyalkyl, alkoxyalkyl, or alkyl, and wherein R 19 is optionally substituted one, two or three times;
  • R 13 is NR 17 R 18 , where;
  • R 17 is selected from the group consisting of H, alkyl, hydroxyalkyl, aryl, arylalkyl, cycloalkyl, cycloalkylalkyl, heterocyclo, heterocycloalkyl, alkylheterocycloalkyl, heteroaryl, heteroarylalkyl, and alkoxyalkyl, each of which is optionally substituted one, two or three times (typically R 17 is H);
  • R 18 is selected from the group consisting of H, alkyl, hydroxyalkyl, aryl, arylalkyl; cycloalkyl, cycloalkylalkyl, heterocyclo, heterocycloalkyl, alkylheterocycloalkyl, heteroaryl, heteroarylalkyl, and alkoxyalkyl, each of which is optionally substituted one, two or three times;
  • R 17 and R 18 together with the nitrogen to which they are bonded can form a heterocyclic group that can be optionally substituted;
  • R 14 is H, loweralkyl, halo, or loweralkoxy
  • R 15 is H, loweralkyl, halo, or loweralkoxy
  • R 20 is selected from alkyl, alkenyl, alkynyl, aryl, arylalkyl, cycloalkyl, cycloalkylalkyl, heterocyclo, heterocycloalkyl, heteroaryl, or heteroarylalkyl;
  • the present invention thus provides at least the following:
  • FIG. 1A illustrates the Ig-like domain, FNIII domain and kinase domain in Tyro-3, Axl and MerTK.
  • FIG. 1B illustrates the Gla domain, EGF repeat, LG1 domain and LG2 domain in MerTK.
  • the Gas6/protein S loop region is also illustrated.
  • FIG. 1C and FIG. 1D are scanning EM illustrating the binding of apoptotic thymocytes to MerTK +/+ and MerTK ⁇ / ⁇ macrophages. Wild-type macrophages ingest; MerTK ⁇ / ⁇ do not.
  • FIG. 2A illustrates the results obtained when MMTV-PVmT mammary tumors were implanted into MerTK +/ ⁇ , MerTK +/+ and MerTK ⁇ / ⁇ mice. Tumors that were implanted into MerTK ⁇ / ⁇ mice were almost 75% tumor free after 200 days.
  • FIG. 2B illustrates the results when B16:F10 intradermal tumors were implanted in MerTK +/+ or MerTK ⁇ / ⁇ mice. MerTK ⁇ / ⁇ mice were tumor free for 40 days and MerTK +/+ mice were tumor free for approximately 28 days.
  • FIG. 2C is a graph showing the number of lung metastases per mouse verses the genotype of mice transplanted with MMTV-PvVmT or B16:F10 tumor lines.
  • FIG. 3 MerTK is a dual target in cancer.
  • MerTK is over expressed in tumor cells such as lung, melanoma and GBM and sends a survival signal.
  • MerTK inhibitors inhibit tumor cell survival and chemoresistance.
  • MerTK is expressed in tumor-associated macrophages (e.g., breast, melanoma and lung cancer) and suppresses tumor immunity.
  • MerTK inhibitors stimulate innate anti-tumor immunity.
  • FIG. 4A and FIG. 4B demonstrate that UNC1666 abrogates MerTK and Flt3 kinase phosphorylation and downstream signaling in leukemic blasts isolated from a patient with acute myeloid leukemia at concentrations of 50, 100 and 300 nM.
  • FIGS. 4C and 4D illustrate the percent apoptotic and necrotic cells in when leukemic blasts isolated from patients with AMLs expressing MerTK and/or a FLT3-ITD were treated with UNC1666 at concentrations of 50, 100 and 300 nM.
  • FIGS. 4E and 4F are graphs of the relative number of colonies when AML cells isolated from patients were grown in the presence of UNC1666 at concentrations of 50, 100 and 300 nM. See Example 10.
  • FIG. 5A MRX6313/UNC2025 is a potent Mer/FLT3 dual TK inhibitor.
  • Mice were dosed (iv and po) with 3 mg/kg MRX-6313.
  • the graph illustrates the plasma concentration of MRX-6313 in ng/mL verses time in hours.
  • FIG. 5B illustrates the pharmacokinetic parameters for MRX6313/UNC2025. See Example 8.
  • FIG. 6A and FIG. 6B show reduced tumor burden measured by bioluminescent imaging in response to treatment with MRX6313/UNC2025 relative to mice treated with vehicle in orthotopic B-ALL xenograft models of established disease (A) and minimal residual disease (B).
  • FIG. 6C shows mean bioluminescence intensity verses day post-transplant in mice receiving saline qd or 100 mg/kg MRX6313/UNC2025 qd starting at day 12 post-transplant in the B-ALL xenograft model of established disease.
  • FIG. 6A and FIG. 6B show reduced tumor burden measured by bioluminescent imaging in response to treatment with MRX6313/UNC2025 relative to mice treated with vehicle in orthotopic B-ALL xenograft models of established disease (A) and minimal residual disease (B).
  • FIG. 6C shows mean bioluminescence intensity verses day post-transplant in mice receiving saline qd or 100 mg/kg MRX6313/UNC2025
  • FIG. 6D is a Kaplan Meier plot showing percent survival verses days post-transplant for mice receiving either saline or 100 mg/kg MRX6313/UNC2025 in the B-ALL xenograft model of established disease.
  • FIG. 6E shows mean bioluminescence intensity verses day post-transplant in mice receiving saline qd or 75 mg/kg MRX6313/UNC2025 qd starting at day 1 in the B-ALL xenograft model of minimal residual disease.
  • FIG. 6F is a Kaplan Meier plot showing percent survival verses days post-transplant for mice receiving either saline or 75 mg/kg MRX6313/UNC2025 in the B-ALL xenograft model of minimal residual disease.
  • FIGS. 6G-6H show median survival for mice receiving saline, 100 mg/kg MRX6313/UNC2025 qd starting at day 12, or 75 mg/kg MRX6313/UNC2025 qd starting
  • FIG. 7A is a graph illustrating the average bioluminescence intensity ( ⁇ 10 6 photons/sec) verses days post-transplant in mice treated with 75 mg/kg MRX6313/UNC2025, 1 mg/kg methotrexate (MTX) or 75 mg/kg MRX6313/UNC2025+1 mg/kg methotrexate in a B-ALL xenograft model.
  • FIG. 7B is a graph showing tumor burden 88 days post-transplant in individual mice treated with 75 mg/kg MRX6313/UNC2025+1 mg/kg methotrexate in the experiment shown in 7A.
  • FIG. 7A is a graph illustrating the average bioluminescence intensity ( ⁇ 10 6 photons/sec) verses days post-transplant in mice treated with 75 mg/kg MRX6313/UNC2025, 1 mg/kg methotrexate (MTX) or 75 mg/kg MRX6313/UNC2025+1 mg/kg methotrexate in
  • FIG. 7C is Kaplan Meier plot illustrating % leukemia-free survival verses days post-transplant for mice treated with 75 mg/kg MRX6313/UNC2025, 1 mg/kg methotrexate (MTX) or 75 mg/kg MRX6313/UNC2025+1 mg/kg methotrexate in the B-ALL xenograft model.
  • FIG. 8A shows reduced tumor volume in response to treatment with 50 mg/kg MRX6313/UNC2025 in a subcutaneous xenograft model of NSCLC established using MerTK+, FGFR+ Colo699 cells.
  • FIG. 8B H226 (MerTK+, FGFR+) NSCLC cells were cultured for 14 days in soft agar in the presence of MRX6313/UNC2025 and/or AZD-4547, alone or in combination, and colonies were stained and counted. See Example 7 and Example 9.
  • FIGS. 9A, 9B and 9C show MerTK protein expression detected by immunocytochemistry in melanocytes (S100-positive) in nevus (A), primary melanoma (B), and metastatic melanoma (C) samples.
  • FIG. 9D is an immunoblot that shows that MRX6313/UNC2025 abrogates signaling downstream of MerTK in the melanoma cell lines HMCB and G361.
  • FIG. 9E is a graph illustrating relative colony number when HMCB and G361 cells were dosed with MRX6313/UNC2025 at 25, 50, 100, 300 and 500 nM.
  • FIG. 10A is an immunoblot showing the presence of MerTK in J774 murine macrophage and absence in PyVmT murine mammary tumor cells.
  • FIGS. 10B and 10C illustrate the results from an immune-competent orthotopic model of MerTK-negative breast cancer. Mice were transplanted with PyVmT mammary tumor cells and were treated with 50 mg/kg MRX6313/UNC2025 or vehicle qd starting 2 days before transplant.
  • FIG. 10B is a graph showing tumor volume (mm 3 ) verses days post-tumor injection.
  • FIG. 10C illustrates proinflammatory signaling pathway components that exhibit altered expression in tumor-associated macrophages following treatment with MRX6313/UNC2025 determined by RNA sequencing. See Example 11.
  • FIG. 11 is a graph illustrating percent change in melanoma tumor volume in a genetically-engineered mouse (GEM) model (TRIA) after 21 days of treatment with various drugs and combinations of drugs.
  • GEM genetically-engineered mouse
  • P13K AZD6244/BEZ235
  • FIG. 12A is a graph illustrating tumor volume (mm 3 ) verses days when in TRIA mice treated with MRX6313/UNC2025 or vehicle.
  • FIG. 12B is a Kaplan Meier plot showing percent survival verses days on MRX6313/UNC2025 therapy in the TRIA GEM model.
  • FIG. 12C is a Kaplan Meier plot of percent survival verses days on therapy verses no treatment in the TRIA GEM model. Mice with melanoma were treated with MRX6313/UNC2025, AZD6244/BEZ235 or given no treatment.
  • FIG. 13 is a waterfall plot showing percent change in tumor volumes verses days of treatment in the TRIA GEM model of melanoma. Mice were treated with UNC2025, AZD6244, Carbo/Taxol or received no treatment. The best response was mediated by UNC2025.
  • FIG. 14 is a Kaplan Meier plot showing percent survival verses days on therapy in TRIA mice with melanoma treated with PD1, UNC2025, UNC2025 in combination with PD1 or received no treatment.
  • FIG. 15A is a graph illustrating percent change in tumor volume in TRIA mice with melanoma treated with UNC2025 or AZD6244 verses no treatment.
  • AZD6244 is a MEK inhibitor that was administered in mouse chow at a predicted dose of 37 mg/kg (MTD).
  • UNC2025 was administered in chow at a predicted dose of 120 mg/kg (MTD).
  • FIG. 15B is a Kaplan Meier plot illustrating percent survival verses days of treatment when TRIA mice with melanoma were treated with no drug, UNC2025 or AZD6244.
  • AZD6244 is a MEK inhibitor that was dosed in mouse chow at a predicted dose of 37 mg/kg (MTD).
  • UNC2025 was dosed in chow at a predicted dose of 120 mg/kg (MTD). See Example 6.
  • FIG. 16A is a graph illustrating tumor volume verses days treated. Colo699 tumor cells were subcutaneously implanted in mice. Mice subsequently received either saline or MRX6313/UNC2025, 50 mg/kg, qd.
  • FIG. 16B is an immunoblot of pMer and downstream signaling proteins in the NSCLC cell line H1299 after 24 h pre-treatment with Axl siRNA and MRX6313/UNC2025 treatment for one hour. See Example 9.
  • FIG. 17A illustrates the number of colonies (H226) in a soft agar assay after two weeks of treatment. Colonies were treated with MRX6313/UNC2025 and AZD4547 at concentrations ranging from 0 to 100 nM.
  • FIG. 17B is an immunoblot of signaling proteins downstream of MerTK in the NSCLC cell line H226 after 4 h treatment with DMSO, AZD4547, MRX6313/UNC2025, or AZD4547 and MRX6313/UNC2025.
  • FIG. 18A is a graph of tumor volume (mm 3 ) verses days. This is treatment of the intact GEMM.
  • FIG. 18B is a graph illustrating the results from TRIA injected into NSG mice. The mice were then treated with no drug or UNC2025. Tumor volumes were significantly reduced when mice were treated with UNC2025 verses control. In FIGS. 18A and 18B , both treated slopes were statistically significant compared to untreated slopes using linear regression p ⁇ 0.001.
  • FIG. 18C Pten/Braf genetically engineered mice were treated with no drug or UNC2025. The graph illustrates tumor volumes (mm 3 ) verses days on treatment.
  • FIG. 19A is a timeline illustrating a mouse model using PyVmT cells. Mice were treated with 3 mg/kg MRX6313/UNC2025 or saline twice daily by oral gavage. Mice were dosed from day ⁇ 2 to day 28. At day zero, 1 ⁇ 10 6 PyVmT cells were implanted into the inguinal mammary fatpad of mice. Tumor volumes were measured at days 16, 19, 21, 23, 26 and 28. Day 28 was the end of the study.
  • FIG. 19B is a graph illustrating tumor volume (mm 3 ) verses days post-tumor injection. RNA-sequence data indicate that MRX6313/UNC2025 treatment increases pro-inflammatory cytokines in CD11b + cells and activates CD8 + T cell effector function. See Example 11.
  • FIG. 20A illustrates a Mer tg spleen verses a wild type spleen.
  • FIG. 20B illustrates an enlarged Mer tg lymph node.
  • FIG. 20C is a picture of cells from a Mer tg lymph node.
  • FIG. 20D shows MerTK expression in pediatric ALL patients detected by RT-PCR.
  • FIGS. 20E and 20F illustrate the percent of adult and pediatric patients with acute myeloid leukemias that are MerTK positive, MerTK Dim, or MerTK negative. See, Graham, Armistead et al., Oncogene, 2013.
  • FIG. 21 is the chemical structure of UNC1666.
  • FIG. 22 is the chemical structure of UNC2025/MRX6313.
  • FIG. 23A Immunoprecipitation of FLT3-ITD positive AML cell lines after 1 h treatment with MRX-2843/UNC2371 demonstrates decreased phosphorylation of FLT3 (pFLT3) in comparison to total FLT3. See Example 12.
  • FIG. 23B Treatment of AML cell lines with increasing doses of MRX-2843/UNC2371 leads to decreased phosphorylation of downstream signaling proteins STAT5, AKT, and ERK1/2 in comparison to DMSO and control TKI.
  • FIG. 24A AML cell lines treated for 72 h with MRX-2843/UNC2371 demonstrate significantly increased apoptosis after staining with Yo-Pro-1 iodide and propidium iodide and undergoing flow cytometric analysis. See Example 13 and Example 14.
  • FIG. 24B FLT3-ITD AML cell lines colony formation in soft agar is inhibited by treatment with MRX-2843/UNC2371; colony number is relative to vehicle-treated cells. See Example 14.
  • FIG. 25A Daily treatment with MRX-2843/UNC2371 or AC220 via oral gavage significantly prolongs survival in AML Molm14 xenograft model containing FLT3-ITD. See Example 15.
  • FIG. 25B MRX-2843/UNC2371 prolongs survival in a pilot study of a patient-derived xenograft model of FLT3-ITD AML. See Example 16.
  • FIG. 25C MRX-2843/UNC2371 prolongs survival in a study of a patient-derived xenograft model of FLT3-ITD AML containing a mutation in the FLT3 tyrosine kinase domain (D835Y) that confers resistance to the FLT3 inhibitor quizartinib (AC220). See Example 18.
  • FIG. 25D MRX-2843/UNC2371 survival analysis in a study of a Molm14 xenograft model of FLT3-ITD AML containing a mutation in the FLT3 tyrosine kinase domain (F691L) that confers resistance to the FLT3 inhibitor quizartinib (AC220).
  • FIG. 25E is a Table summarizing the median survival times of AML xenograft mice containing FLT3-ITD (Molm14), FLT3-ITD with the D835Y mutation, or FLT3-ITD with the F691L mutation. Mice were treated with either 10 mg/kg saline, 10 mg/kg AC220 or 50 mg/kg MRX-2843/UNC2371.
  • FIG. 25F is a graph illustrating peripheral blasts (%) at the end of the study in a Molm14 (FLT3-ITD) parental vs. Molm14 (FLT3-ITD) D835Y mutations (with or without treatment of AC220).
  • FIG. 25G is a graph illustrating peripheral blasts (%) at day 57 of the study in a Molm14 (FLT3-ITD) parental vs. Molm14 (FLT3-ITD) D835Y mutations (with or without treatment of AC220).
  • FIG. 25H is a graph illustrating peripheral blasts (%) at day 100 of the study in a Molm14 (FLT3-ITD) parental vs. Molm14 (FLT3-ITD) D835Y mutations (with or without treatment of AC220).
  • FIG. 26A MRX-2843/UNC2371 prolongs survival in a study of a Molm14 xenograft model of FLT3-ITD AML containing a mutation in the FLT3 tyrosine kinase domain (F691L) that confers resistance to the FLT3 inhibitor quizartinib (AC220).
  • FIG. 26B is a table summarizing the median survival times in a study of a Molm14 xenograft model of FLT3-ITD AML containing a mutation in the FLT3 tyrosine kinase domain (F691L) that confers resistance to the FLT3 inhibitor quizartinib (AC220).
  • FIG. 27A MRX-2843/UNC2371 prolongs survival in a study of a patient-derived xenograft model of FLT3-ITD AML containing a mutation in the FLT3 tyrosine kinase domain (D835Y) that confers resistance to the FLT3 inhibitor quizartinib (AC220).
  • FIG. 27B is a table summarizing median survival times in a study of a patient-derived xenograft model of FLT3-ITD AML containing a mutation in the FLT3 tyrosine kinase domain (D835Y) that confers resistance to the FLT3 inhibitor quizartinib (AC220).
  • FIG. 27C is a graph of splenic blasts (%) in a patient-derived xenograft model of FLT3-ITD AML containing a mutation in the FLT3 tyrosine kinase domain (D835Y) that confers resistance to the FLT3 inhibitor quizartinib (AC220) at day 15 post-treatment with saline, AC220, or MRX2843/UNC2371.
  • FIG. 27D is a graph of spleen weight (mg) in a patient-derived xenograft model of FLT3-ITD AML containing a mutation in the FLT3 tyrosine kinase domain (D835Y) that confers resistance to the FLT3 inhibitor quizartinib (AC220) at day 15 post-treatment with saline, AC220, or MRX2843/UNC2371.
  • FIG. 27E is a graph of bone marrow blasts (%) in a patient-derived xenograft model of FLT3-ITD AML containing a mutation in the FLT3 tyrosine kinase domain (D835Y) that confers resistance to the FLT3 inhibitor quizartinib (AC220) at day 15 post-treatment with saline, AC220, or MRX2843/UNC2371.
  • FIG. 28 Chemical structures of FLT3 inhibitors.
  • FLT3 inhibitors include, but are not limited to, AC220 (quizartinib), CEP-701 (lestaurtinib), MLN-518 (tandutiniib), PKC-412 (midostaurin), CGP-52421 (midostaurin metabolite), sorafenib, and sunitinib.
  • FIG. 29A Gas6/TAM antagonists mediate synergistic inhibition of arterial/venous thrombosis and platelet aggregation when combined with ADP/P 2 Y inhibitors.
  • FIG. 29D Tail bleeding times were compared in mice from the same groups. No significant differences were found in bleeding times except in HD LDPi-treated mice compared to vehicle-treated controls.
  • the compounds in any of the Formulas described herein include enantiomers, mixtures of enantiomers, diastereomers, tautomers, racemates and other isomers, such as rotamers, as if each is specifically described.
  • the present invention includes compounds of Formula I, Formula IA, Formula IB, Formula II, Formula IIA, or Formula IIB and additional active compounds described herein, and the use of these compounds with at least one desired isotopic substitution of an atom, at an amount above the natural abundance of the isotope, i.e., enriched.
  • Isotopes are atoms having the same atomic number but different mass numbers, i.e., the same number of protons but a different number of neutrons.
  • isotopes examples include isotopes of hydrogen, carbon, nitrogen, oxygen, phosphorous, fluorine, and chlorine, such as 2 H 3 H, 11 C, 13 C, 14 C, 15 N, 18 F 31 P, 32 P, 35 S, 36 Cl, 125 I respectively.
  • the invention includes various isotopically labeled compounds as defined herein, for example those into which radioactive isotopes, such as 3 H, 13 C, and 14 C, are present.
  • Such isotopically labelled compounds are useful in metabolic studies (with 14 C), reaction kinetic studies (with, for example 2 H or 3 H), detection or imaging techniques, such as positron emission tomography (PET) or single-photon emission computed tomography (SPECT) including drug or substrate tissue distribution assays, or in radioactive treatment of patients.
  • PET positron emission tomography
  • SPECT single-photon emission computed tomography
  • an 18 F labeled compound may be particularly desirable for PET or SPECT studies.
  • Isotopically labeled compounds of this invention and prodrugs thereof can generally be prepared by carrying out the procedures disclosed in the schemes or in the examples and preparations described below by substituting a readily available isotopically labeled reagent for a non-isotopically labeled reagent.
  • isotopes of hydrogen for example, deuterium ( 2 H) and tritium ( 3 H) may be used anywhere in described structures.
  • isotopes of carbon e.g., 13 C and 14 C, may be used.
  • a typical isotopic substitution is deuterium for hydrogen at one or more locations on the molecule to improve the performance of the drug, for example, the pharmacodynamics, pharmacokinetics, biodistribution, half-life, stability, AUC, Tmax, Cmax, etc.
  • the deuterium can be bound to carbon in a location of bond breakage during metabolism (an ⁇ -deuterium kinetic isotope effect) or next to or near the site of bond breakage (a ⁇ -deuterium kinetic isotope effect).
  • Isotopic substitutions for example deuterium substitutions, can be partial or complete. Partial deuterium substitution means that at least one hydrogen is substituted with deuterium.
  • the isotope is 90, 95 or 99% or more enriched in an isotope at any location of interest. In one embodiments deuterium is 90, 95 or 99% enriched at a desired location. Unless otherwise stated, the enrichment at any point is above natural abundance and enough to alter a detectable property of the drug in a human.
  • the substitution of a hydrogen atom for a deuterium atom occurs within an R group when at least one of the variables within the R group is hydrogen (e.g., 2 H or D) or alkyl (e.g., CD 3 ).
  • the alkyl residue is typically deuterated, e.g., CD 3 , CH 2 CD 3 or CD 2 CD 3 .
  • the hydrogen may be isotopically enriched as deuterium (i.e., 2 H).
  • a dash (“-”) that is not between two letters or symbols is used to indicate a point of attachment for a substituent.
  • —(C ⁇ O)NH 2 is attached through carbon of the keto (C ⁇ O) group.
  • Alkyl refers to a straight or branched chain hydrocarbon containing from 1 to 10 carbon atoms. In one embodiment, the alkyl contains from 1 to about 10 carbon atoms, more generally from 1 to about 6 carbon atoms or from 1 to about 4 carbon atoms. In certain embodiments, the alkyl is C 1 -C 3 or C 1 -C 8 .
  • the specified ranges as used herein indicate an alkyl group having each member of the range described as an independent species. For example, the term C 1 -C 3 alkyl as used herein indicates a straight or branched alkyl group having from 1, 2, or 3 carbon atoms and is intended to mean that each of these is described as an independent species.
  • C 1 -C 3 alkyl indicates a straight or branched alkyl group having from 1, 2, or 3 carbon atoms and is intended to mean that each of these is described as an independent species.
  • Representative examples of alkyl include, but are not limited to, methyl, ethyl, n-propyl, iso-propyl, n-butyl, sec-butyl, iso-butyl, tert-butyl, n-pentyl, isopentyl, neopentyl, n-hexyl, 3-methylhexyl, 2,2-dimethylpentyl, 2,3-dimethylpentyl, n-heptyl, n-octyl, n-nonyl, n-decyl, and the like.
  • Lower alkyl as used herein, is a subset of alkyl, in some embodiments typically, and refers to a straight or branched chain hydrocarbon group containing from 1 to 4 carbon atoms.
  • Representative examples of lower alkyl include, but are not limited to, methyl, ethyl, n-propyl, iso-propyl, n-butyl, iso-butyl, tert-butyl, and the like.
  • alkyl or “loweralkyl” is intended to include both substituted and unsubstituted alkyl or loweralkyl unless otherwise indicated and these groups may be substituted with groups selected from halo (e.g., haloalkyl), alkyl, haloalkyl, hydroxyalkyl, alkenyl, alkynyl, cycloalkyl (including spiroalkyl, e.g., —C(CH 2 ) 2-4 spiroalkyl), cycloalkylalkyl, aryl, arylalkyl, heterocyclo, heterocycloalkyl, alkylheterocycloalkyl, heteroaryl, alkylheteroaryl, hydroxyl, alkoxy (thereby creating a polyalkoxy such as polyethylene glycol), alkenyloxy, alkynyloxy, haloalkoxy, cycloalkoxy, cycloalkylalkyloxy,
  • alkyl or loweralkyl can be substituted with groups selected from a polar group, —(CH 2 ) m —N(R 50 ) 2 , —(CH 2 ) m —NH(CH 2 ) m R 50 , —(CH 2 ) m NH(CH 2 ) 2-3 N(R 50 ) 2 , —S(O) 2 OR 50 , —CONHNHR 50 , aminosulfonyl —C(CH 2 ) 2 R 50 wherein each R 50 is independently selected from hydrogen, alkyl, alkenyl, alkynyl, aryl, arylalkyl, cycloalkyl, cycloalkylalkyl, heterocyclo, heterocycloalkyl, heteroaryl, or heteroarylalkyl.
  • alkenyl refers to a straight or branched chain hydrocarbon containing from 1 to 10 carbon atoms (or in loweralkenyl 1 to 4 carbon atoms) which include 1 to 4 double bonds in the normal chain.
  • alkenyl include, but are not limited to, vinyl, 2-propenyl, 3-butenyl, 2-butenyl, 4-pentenyl, 3-pentenyl, 2-hexenyl, 3-hexenyl, 2,4-heptadiene, and the like.
  • alkenyl or “loweralkenyl” is intended to include both substituted and unsubstituted alkenyl and loweralkenyl unless otherwise indicated and these groups may be substituted with groups as described in connection with alkyl and loweralkyl above.
  • Alkynyl refers to a straight or branched chain hydrocarbon containing from 1 to 10 carbon atoms (or in loweralkynyl 1 to 4 carbon atoms) which include 1 triple bond in the normal chain.
  • Representative examples of alkynyl include, but are not limited to, 2-propynyl, 3-butynyl, 2-butynyl, 4-pentynyl, 3-pentynyl, and the like.
  • alkynyl or “loweralkynyl” is intended to include both substituted and unsubstituted alkynyl or loweralkynyl unless otherwise indicated and these groups may be substituted with the same groups as set forth in connection with alkyl and loweralkyl above.
  • Cycloalkyl refers to a saturated or partially unsaturated cyclic hydrocarbon group containing from 3, 4 or 5 to 6, 7 or 8 carbons (which carbons may be replaced in a heterocyclic group as discussed below).
  • Representative examples of cycloalkyl include, cyclopropyl, cyclobutyl, cyclopentyl, cyclohexyl, cycloheptyl, and cyclooctyl. These rings may be optionally substituted with additional substituents as described herein such as halo or loweralkyl.
  • the term “cycloalkyl” is generic and intended to include heterocyclic groups as discussed below unless specified otherwise.
  • cycloalkyl refers to a saturated or unsaturated hydrocarbon mono- or multi-ring, e.g., fused, bridged, or spiro rings system having 3 to 15 carbon atoms (e.g., C 3 -C 10 ).
  • Examples of cycloalkyl include, but are not limited to, cyclopropyl, cyclobutyl, cyclopentyl, cyclohexyl, cycloheptyl, cyclooctyl, and adamantyl.
  • cycloalkyl refers to a saturated or partially unsaturated, monocyclic, fused bicyclic or bridged polycyclic ring assembly containing from 3 to 12 ring atoms, or the number of atoms indicated.
  • Cycloalkyl can include any number of carbons, such as C 3-6 , C 4-6 , C 5-6 , C 3-8 , C 4-8 , C 5-8 , and C 6-8 .
  • Saturated monocyclic cycloalkyl rings include, for example, cyclopropyl, cyclobutyl, cyclopentyl, cyclohexyl, and cyclooctyl.
  • Saturated bicyclic and polycyclic cycloalkyl rings include, for example, norbornane, [2.2.2]bicyclooctane, decahydronaphthalene and adamantane. Cycloalkyl groups can also be partially unsaturated, having one or more double bonds in the ring.
  • Representative cycloalkyl groups that are partially unsaturated include, but are not limited to, cyclobutene, cyclopentene, cyclohexene, cyclohexadiene (1,3- and 1,4-isomers), cycloheptene, cycloheptadiene, cyclooctene, cyclooctadiene (1,3-, 1,4- and 1,5-isomers), norbornene, and norbornadiene.
  • These groups may be substituted with groups as described in connection with alkyl and loweralkyl above.
  • Heterocyclic group refers to an aliphatic (e.g., fully or partially saturated heterocyclo) or aromatic (e.g., heteroaryl) monocyclic- or a bicyclic-ring system.
  • monocyclic ring systems are exemplified by any 7 membered ring containing 1, 2, 3, or 4 heteroatoms independently selected from oxygen, nitrogen and sulfur.
  • Monocyclic ring systems are exemplified by any 5 or 6 membered ring containing 1, 2, 3, or 4 heteroatoms independently selected from oxygen, nitrogen and sulfur. The 5 membered ring has from 0-2 double bonds and the 6 membered ring has from 0-3 double bonds.
  • monocyclic ring systems include, but are not limited to, azetidine, azepine, aziridine, diazepine, 1,3-dioxolane, dioxane, dithiane, furan, imidazole, imidazoline, imidazolidine, isothiazole, isothiazoline, isothiazolidine, isoxazole, isoxazoline, isoxazolidine, morpholine, oxadiazole, oxadiazoline, oxadiazolidine, oxazole, oxazoline, oxazolidine, piperazine, piperidine, pyran, pyrazine, pyrazole, pyrazoline, pyrazolidine, pyridine, pyrimidine, pyridazine, pyrrole, pyrroline, pyrrolidine, tetrahydrofuran, tetrahydrothiophene, tetrazine,
  • Bicyclic ring systems are exemplified by any of the above monocyclic ring systems fused to an aryl group as defined herein, a cycloalkyl group as defined herein, or another monocyclic ring system as defined herein.
  • Representative examples of bicyclic ring systems include but are not limited to, for example, benzimidazole, benzothiazole, benzothiadiazole, benzothiophene, benzoxadiazole, benzoxazole, benzofuran, benzopyran, benzothiopyran, benzodioxine, 1,3-benzodioxole, cinnoline, indazole, indole, indoline, indolizine, naphthyridine, isobenzofuran, isobenzothiophene, isoindole, isoindoline, isoquinoline, phthalazine, purine, pyranopyridine, quinoline, quinoliz
  • These rings include quaternized derivatives thereof and may be optionally substituted with groups selected from halo, alkyl, haloalkyl, alkenyl, alkynyl, cycloalkyl, cycloalkylalkyl, aryl, arylalkyl, heterocyclo, heterocycloalkyl, hydroxyl, alkoxy, alkenyloxy, alkynyloxy, haloalkoxy, cycloalkoxy, cycloalkylalkyloxy, aryloxy, arylalkyloxy, heterocyclooxy, heterocyclolalkyloxy, mercapto, alkyl-S(O) m , haloalkyl-S(O) m , alkenyl-S(O) m , alkynyl-S(O) m , cycloalkyl-S(O) m , cycloalkylalkyl-S(O) m , aryl
  • heterocyclo groups can be substituted with groups as described in connection with alkyl and loweralkyl above.
  • heterocyclo refers to a saturated or unsaturated nonaromatic 3-8 membered monocyclic, 7-12 membered bicyclic (fused, bridged, or spiro rings), or 11-14 membered tricyclic ring system (fused, bridged, or Spiro rings) having one or more heteroatoms (such as O, N, or S), unless specified otherwise.
  • heterocyclo groups include, but are not limited to, piperidinyl, piperazinyl, pyrrolidinyl, dioxanyl, tetrahydrofuranyl, isoindolinyl, indolinyl, imidazolidinyl, pyrazolidinyl, oxazolidinyl, isoxazolidinyl, triazolidinyl, tetrahyrofuranyl, oxiranyl, azetidinyl, oxetanyl, thietanyl, 1,2,3,6-tetrahydropyridinyl, tetrahydropyranyl, dihydropyranyl, pyranyl, morpholinyl, 1,4-diazepanyl, 1,4-oxazepanyl, 2-oxa-5-azabicyclo[2.2.1]heptanyl, 2,5-diazabicyclo[2.2.1]heptanyl, 2-oxa-6
  • Aryl refers to a monocyclic carbocyclic ring system or a bicyclic carbocyclic fused ring system having one or more aromatic rings.
  • Representative examples of aryl include, azulenyl, indanyl, indenyl, naphthyl, phenyl, tetrahydronaphthyl, and the like.
  • aryl is intended to include both substituted and unsubstituted aryl unless otherwise indicated and these groups may be substituted with the same groups as set forth in connection with alkyl and loweralkyl above.
  • Arylalkyl refers to an aryl group, as defined herein, appended to the parent molecular moiety through an alkyl group, as defined herein.
  • Representative examples of arylalkyl include, but are not limited to, benzyl, 2-phenylethyl, 3-phenylpropyl, 2-naphth-2-ylethyl, and the like.
  • Heteroaryl as used herein is as described in connection with heterocyclo above.
  • Alkoxy refers to an alkyl or loweralkyl group, as defined herein (and thus including substituted versions such as polyalkoxy), appended to the parent molecular moiety through an oxy group, —O—.
  • alkoxy include, but are not limited to, methoxy, ethoxy, propoxy, 2-propoxy, butoxy, tert-butoxy, pentyloxy, hexyloxy and the like.
  • Halo refers to any suitable halogen, including —F, —Cl, —Br, and —I.
  • Cyano as used herein refers to a —CN group.
  • Forml refers to a —C(O)H group.
  • Carboxylic acid as used herein refers to a —C(O)OH group.
  • Haldroxyl refers to an —OH group.
  • Niro refers to an —NO 2 group.
  • “Acyl” as used herein alone or as part of another group refers to a —C(O)R radical, where R is any suitable substituent such as aryl, alkyl, alkenyl, alkynyl, cycloalkyl or other suitable substituent as described herein.
  • Alkylthio refers to an alkyl group, as defined herein, appended to the parent molecular moiety through a thio moiety, as defined herein.
  • Representative examples of alkylthio include, but are not limited, methylthio, ethylthio, tert-butylthio, hexylthio, and the like.
  • Amino as used herein means the radical —NH 2 .
  • Alkylamino as used herein alone or as part of another group means the radical —NHR, where R is an alkyl group.
  • Arylalkylamino as used herein alone or as part of another group means the radical —NHR, where R is an arylalkyl group.
  • “Disubstituted-amino” as used herein alone or as part of another group means the radical —NR a R b , where R a and R b are independently selected from the groups hydrogen, alkyl, haloalkyl, alkenyl, alkynyl, cycloalkyl, cycloalkylalkyl, aryl, arylalkyl, heterocyclo, heterocycloalkyl.
  • “Acylamino” as used herein alone or as part of another group means the radical —NR a R b , where R a is an acyl group as defined herein and R b is selected from the groups hydrogen, alkyl, haloalkyl, alkenyl, alkynyl, cycloalkyl, cycloalkylalkyl, aryl, arylalkyl, heterocyclo, heterocycloalkyl.
  • “Acyloxy” as used herein alone or as part of another group means the radical —OR, where R is an acyl group as defined herein.
  • “Ester” as used herein alone or as part of another group refers to a —C(O)OR radical, where R is any suitable substituent such as alkyl, cycloalkyl, alkenyl, alkynyl or aryl.
  • “Amide” as used herein alone or as part of another group refers to a —C(O)NR a R b radical, where R a and R b are any suitable substituent such as alkyl, cycloalkyl, alkenyl, alkynyl or aryl. In some embodiments, R a and R b together with the nitrogen to which they are bonded form a heterocyclic ring.
  • “Sulfoxyl” as used herein refers to a compound of the formula —S(O)R, where R is any suitable substituent such as alkyl, cycloalkyl, alkenyl, alkynyl or aryl.
  • “Sulfonyl” as used herein refers to a compound of the formula —S(O)(O)R, where R is any suitable substituent such as amino, alkyl, cycloalkyl, alkenyl, alkynyl or aryl.
  • “Sulfonate” as used herein refers to a compound of the formula —S(O)(O)OR, where R is any suitable substituent such as alkyl, cycloalkyl, alkenyl, alkynyl or aryl.
  • “Sulfonic acid” as used herein refers to a compound of the formula —S(O)(O)OH.
  • “Sulfonamide” as used herein alone or as part of another group refers to a —S(O) 2 NR a R b radical, where R a and R b are any suitable substituent such as H, alkyl, cycloalkyl, alkenyl, alkynyl or aryl.
  • R a and R b are any suitable substituent such as hydrogen, alkyl, alkenyl, alkynyl, aryl, arylalkyl, cycloalkyl, cycloalkylalkyl, heterocyclo, heterocycloalkyl, heteroaryl, or heteroarylalkyl and each R a and R b can be optionally substituted one, two or three times.
  • R a and R b together with the nitrogen to which they are bonded form a heterocyclic ring that can be optionally substituted one, two or three times.
  • “Urea” as used herein alone or as part of another group refers to an —N(R c )C(O)NR a R b radical, where R a , R b and R c are any suitable substituent such as H, alkyl, cycloalkyl, alkenyl, alkynyl or aryl. In some embodiments, R a and R b together with the nitrogen to which they are bonded form a heterocyclic ring.
  • Alkoxyacylamino as used herein alone or as part of another group refers to an —N(R a )C(O)OR b radical, where R a , R b are any suitable substituent such as H, alkyl, cycloalkyl, alkenyl, alkynyl or aryl.
  • “Aminoacyloxy” as used herein alone or as part of another group refers to an —OC(O)NR a R b radical, where R a and R b are any suitable substituent such as H, alkyl, cycloalkyl, alkenyl, alkynyl or aryl. In some embodiments, R a and R b together with the nitrogen to which they are bonded form a heterocyclic ring.
  • Optionally substituted refers to the optionally substitution of a chemical moiety. These moieties can be substituted with groups selected from, but not limited to, halo (e.g., haloalkyl), alkyl, haloalkyl, hydroxyalkyl, alkenyl, alkynyl, cycloalkyl (including spiroalkyl, e.g., —C(CH 2 ) 2-4 -spiroalkyl), cycloalkylalkyl, aryl, arylalkyl, aryl substituted heteroaryl, heterocyclo, heterocycloalkyl, alkylheterocycloalkyl, heteroaryl, heteroarylalkyl, hydroxyl, alkoxy (thereby creating a polyalkoxy such as polyethylene glycol), alkenyloxy, alkynyloxy, haloalkoxy, cycloalkoxy, cycloalkylalkyloxy, ary
  • alkyl or loweralkyl can be substituted with groups selected from a polar group, —(CH 2 ) m —N(R 50 ) 2 , —(CH 2 ) m —NH(CH 2 ) m R 50 , —(CH 2 ) m NH(CH 2 ) 2-3 N(R 50 ) 2 , —S(O) 2 OR 50 , —CONHNHR 50 , aminosulfonyl —C(CH 2 ) 2 R 50 wherein each R 50 is independently selected from hydrogen, alkyl, alkenyl, alkynyl, aryl, arylalkyl, cycloalkyl, cycloalkylalkyl, heterocyclo, heterocycloalkyl, heteroaryl, or heteroarylalkyl.
  • “Polar group” as used herein refers to a group wherein the nuclei of the atoms covalently bound to each other to form the group do not share the electrons of the covalent bond(s) joining them equally; that is the electron cloud is denser about one atom than another. This results in one end of the covalent bond(s) being relatively negative and the other end relatively positive; i.e., there is a negative pole and a positive pole.
  • polar groups include, without limitations, halo, hydroxy, alkoxy, carboxy, nitro, cyano, amino (primary, secondary and tertiary), amido, ureido, sulfonamido, sulfinyl, sulfhydryl, silyl, S-sulfonamido, N-sulfonamido, C-carboxy, O-carboxy, C-amido, N-amido, sulfonyl, N-tert-butoxycarbonyl (or “t-BOC”) groups, phosphono, morpholino, piperazinyl, tetrazolo, and the like.
  • the polar group can be an ionic group.
  • Ionic group as used herein includes anionic and cationic groups, and includes groups (sometimes referred to as “ionogenic” groups) that are uncharged in one form but can be easily converted to ionic groups (for example, by protonation or deprotonation in aqueous solution). Examples include but are not limited to carboxylate, sulfonate, phosphate, amine, N-oxide, and ammonium (including quaternized heterocyclic amines such as imidazolium and pyridinium) groups. See, e.g., U.S. Pat. Nos. 6,478,863; 6,800,276; and 6,896,246.
  • Additional examples include uronic acids, carboxylic acid, sulfonic acid, amine, and moieties such as guanidinium, phosphoric acid, phosphonic acid, phosphatidyl choline, phosphonium, borate, sulfate, etc.
  • Deuterium as used herein alone or as part of another group, refers to 2 H, which has one proton and one neutron in the nucleus. It is a safe, non-radioactive isotope of hydrogen. Any hydrogen in a group or substituent described above may be replaced with deuterium to provide a “deuterated” compound, in some embodiments to modify and/or improve metabolic stability, resulting in better safety, tolerability and/or efficacy.
  • linking group as used herein are generally bivalent aromatic, aliphatic, or mixed aromatic and aliphatic groups.
  • linking groups include linear or branched, substituted or unsubstituted aryl, alkyl, alkylaryl, or alkylarylalkyl linking groups, where the alkyl groups are saturated or unsaturated, and where the alkyl and aryl groups optionally containing independently selected heteroatoms such as 1, 2, 3 or 4 heteroatoms selected from the group consisting of N, O, and S.
  • heteroatoms such as 1, 2, 3 or 4 heteroatoms selected from the group consisting of N, O, and S.
  • linking groups containing from 2 to 20 carbon atoms are preferred.
  • suitable linking groups are known, including but not limited to those described in, U.S. Pat. Nos. 8,247,572; 8,097,609; 6,624,317; 6,613,345; 6,596,935; and 6,420,377, the disclosures of which are incorporated by reference herein in their entirety
  • Treat refers to any type of treatment that imparts a benefit to a patient afflicted with a disease, including improvement in the condition of the patient (e.g., in one or more symptoms), delay in the progression of the disease, delay in onset of the disease, etc.
  • “Pharmaceutically acceptable” as used herein means that the compound or composition is suitable for administration to a subject to achieve the treatments described herein, without unduly deleterious side effects in light of the severity of the disease and necessity of the treatment.
  • a “dosage form” means a unit of administration of an active agent.
  • dosage forms include tablets, capsules, injections, suspensions, liquids, emulsions, implants, particles, spheres, creams, ointments, suppositories, inhalable forms, transdermal forms, buccal, sublingual, topical, gel, mucosal, and the like.
  • “Pharmaceutical compositions” are compositions comprising at least one active agent, such as a compound or salt of Formula I, Formula IA, Formula IB, Formula II, Formula IIA, or Formula IIB, and at least one other substance, such as a carrier. “Pharmaceutical combinations” are combinations of at least two active agents which may be combined in a single dosage form or provided together in separate dosage forms with instructions that the active agents are to be used together to treat any disorder described herein.
  • “Pharmaceutically acceptable salts” includes derivatives of the disclosed compounds in which the parent compound is modified by making inorganic and organic, non-toxic, acid or base addition salts thereof.
  • the salts of the present compounds can be synthesized from a parent compound that contains a basic or acidic moiety by conventional chemical methods. Generally, such salts can be prepared by reacting free acid forms of these compounds with a stoichiometric amount of the appropriate base (such as Na, Ca, Mg, or K hydroxide, carbonate, bicarbonate, or the like), or by reacting free base forms of these compounds with a stoichiometric amount of the appropriate acid. Such reactions are typically carried out in water or in an organic solvent, or in a mixture of the two.
  • salts of the present compounds further include solvates of the compounds and of the compound salts.
  • Examples of pharmaceutically acceptable salts include, but are not limited to, mineral or organic acid salts of basic residues such as amines; alkali or organic salts of acidic residues such as carboxylic acids; and the like.
  • the pharmaceutically acceptable salts include the conventional non-toxic salts and the quaternary ammonium salts of the parent compound formed, for example, from non-toxic inorganic or organic acids.
  • conventional non-toxic acid salts include those derived from inorganic acids such as hydrochloric, hydrobromic, sulfuric, sulfamic, phosphoric, nitric and the like; and the salts prepared from organic acids such as acetic, propionic, succinic, glycolic, stearic, lactic, malic, tartaric, citric, ascorbic, pamoic, maleic, hydroxymaleic, phenylacetic, glutamic, benzoic, salicylic, mesylic, esylic, besylic, sulfanilic, 2-acetoxybenzoic, fumaric, toluenesulfonic, methanesulfonic, ethane disulfonic, oxalic, isethionic, HOOC—(CH 2 ) n —COOH where n is 0-4, and the like. Lists of additional suitable salts may be found, e.g., in Remington's Pharmaceutical Sciences, 17th
  • carrier applied to pharmaceutical compositions/combinations of the invention refers to a diluent, excipient, or vehicle with which an active compound is provided.
  • a “pharmaceutically acceptable excipient” means an excipient that is useful in preparing a pharmaceutical composition/combination that is generally safe, non-toxic and neither biologically nor otherwise inappropriate for administration to a host, and includes, in one embodiment, an excipient that is acceptable for veterinary use as well as human pharmaceutical use.
  • a “pharmaceutically acceptable excipient” as used in the present application includes both one and more than one such excipient.
  • Compounds of the present invention may optionally be administered in conjunction with other compounds.
  • the other compounds may optionally be administered concurrently.
  • concurrently means sufficiently close in time to produce a combined effect (that is, concurrently may be simultaneously, or it may be two or more events occurring within a short time period before or after each other).
  • the present invention is primarily focused on the treatment of a human subject or host, but the invention may be used to treat animals, such as mammalian subjects such as mice, rats, dogs, cats, livestock and horses for veterinary purposes, and for drug screening and drug development purposes.
  • animals such as mammalian subjects such as mice, rats, dogs, cats, livestock and horses for veterinary purposes, and for drug screening and drug development purposes.
  • Subjects may be of any age, including infant, juvenile, adolescent, adult, and geriatric subjects.
  • the present invention is directed to the use of selected pyrrolopyrimidine compounds having Mer tyrosine kinase (MerTK) inhibitory activity as antinfective agents, immunostimulatory agents, anti-cancer agents (including against MerTK ⁇ / ⁇ tumors and ITD and TKD mutant forms of Acute Myeloid Leukemia (AML)), and as adjunctive agents in combination with chemotherapeutic, radiation or other standard of care for neoplasms, or as anti-thrombotic agents.
  • MerTK Mer tyrosine kinase
  • the MerTK inhibitors useful in treating a disorder described herein have the structure of Formula I, IA, or IB:
  • one of X and X′ is N and the other of X and X′ is C;
  • one of the dashed lines is a single bond (between a ring carbon atom and a ring nitrogen atom) and the other of the dashed lines is a double bond (between two ring carbon atoms);
  • R 1 is aryl
  • R 2 is —R 5′ R 6 , where R 5′ is a covalent bond or C1 to C3 alkyl and R 6 is cycloalkyl, heterocycloalkyl, aryl, heteroaryl or alkyl, and wherein R 6 is optionally substituted from one to two times with independently selected polar groups;
  • R 3 is —NR 7 R 8 , where R 7 and R 8 are each independently selected from H, alkyl, arylalkyl, cycloalkylalkyl, heterocycloalkylalkyl, heteroarylalkyl, and alkoxyalkyl, each of which is optionally substituted one, two or three times with independently selected polar groups (typically one of R 7 or R 8 is H); and
  • R 4 is H, loweralkyl, halo, or loweralkoxy
  • R 5 is H, loweralkyl, halo, or loweralkoxy
  • the MerTK inhibitors useful in treating a disorder described herein have the structure of Formula II, IIA, or IIB:
  • one of X and X′ is N and the other of X and X′ is C;
  • one of the dashed lines is a single bond (between a ring carbon atom and a ring nitrogen atom) and the other of the dashed lines is a double bond (between two ring carbon atoms);
  • R 11 is —R 9 (R 10 ) n , where R 9 is alkyl, alkenyl, -alkylaryl, heterocyclo, aryl, heteroaryl and R 10 is hydrogen, alkyl, haloalkyl, alkoxyalkyl, —O-alkylaryl, hydroxyalkyl, alkenyl, alkenyloxy, alkynyl, alkynyloxy, cycloalkyl, cycloalkylalkyl, cycloalkoxy, cycloalkylalkyloxy, heterocyclo, heterocycloalkyl, alkylheterocycloalkyl, heterocyclooxy, heterocyclolalkyloxy, aryl, arylalkyl, aryloxy, arylalkyloxy, heteroaryl, alkylheteroaryl, halo, hydroxyl, alkoxy, haloalkoxy, mercapto, alkyl-S(O) m
  • n 0, 1, 2 or 3;
  • n 0, 1 or 2;
  • R 12 is —R 16 R 19 , where R 16 is a covalent bond or C 1 to C 3 alkyl and R 19 is cycloalkyl, cycloalkylalkyl, heterocyclo, heterocycloalkyl, aryl, arylalkyl, heteroaryl, heteroarylalkyl, hydroxyalkyl, alkoxyalkyl, or alkyl, and wherein R 19 is optionally substituted one, two or three times;
  • R 13 is NR 17 R 18 , where;
  • R 17 is selected from the group consisting of H, alkyl, hydroxyalkyl, aryl, arylalkyl, cycloalkyl, cycloalkylalkyl, heterocyclo, heterocycloalkyl, alkylheterocycloalkyl, heteroaryl, heteroarylalkyl, and alkoxyalkyl, each of which is optionally substituted one, two or three times (typically R 17 is H);
  • R 18 is selected from the group consisting of H, alkyl, hydroxyalkyl, aryl, arylalkyl; cycloalkyl, cycloalkylalkyl, heterocyclo, heterocycloalkyl, alkylheterocycloalkyl, heteroaryl, heteroarylalkyl, and alkoxyalkyl, each of which is optionally substituted one, two or three times; or
  • R 17 and R 18 together with the nitrogen to which they are bonded can form a heterocyclic group that can be optionally substituted;
  • R 14 is H, loweralkyl, halo, or loweralkoxy
  • R 15 is H, loweralkyl, halo, or loweralkoxy
  • R 20 is selected from alkyl, alkenyl, alkynyl, aryl, arylalkyl, cycloalkyl, cycloalkylalkyl, heterocyclo, heterocycloalkyl, heteroaryl, or heteroarylalkyl;
  • R 1 is phenyl or pyridyl, which phenyl or pyridyl is unsubstituted or substituted from 1 to 3 times with halo, amino, nitro, alkyl, alkoxyl, haloalkyl, cycloalkyl, heterocycloalkyl, aryl, or heteroaryl.
  • R 5 is hydrogen or methyl.
  • R 8 is C 1 -C 8 alkyl, C 3 -C 8 cycloalkyl, or C 1 -C 8 alkyl aryl.
  • R 6 is cyclohexyl
  • R 6 is substituted once with amino.
  • R 7 is H.
  • R 8 is loweralkyl
  • R 4 is H.
  • R 18 is C 1 -C 8 alkyl, C 3 -C 8 cycloalkyl, or C 1 -C 8 alkyl aryl.
  • R 19 is cyclohexyl
  • R 19 is substituted once with amino.
  • R 17 is H.
  • R 18 is loweralkyl
  • R 14 is H.
  • structures are provided including Formula I, wherein R 2 and R 7 or R 2 and R 8 can form a linking group.
  • structures are provided including Formulas II, wherein R 12 and R 17 or R 12 and R 18 can form a linking group.
  • structures are provided including Formulas IIA and IIB, wherein R 14 , R 15 , and R 17 are H, R 13 is NR 17 R 18 , R 11 is aryl, R 12 is cycloalkyl, and R 18 is loweralkyl, any of which can be optionally substituted.
  • structures are provided including Formulas IIA and IIB, wherein R 14 , R 15 , and R 17 are H, R 13 is NR 17 R 18 , R 11 is aryl, R 12 is cyclohexyl, and R 18 is loweralkyl, any of which can be optionally substituted.
  • structures are provided including Formulas IIA and IIB, wherein R 14 , R 15 , and R 17 are H, R 13 is NR 17 R 18 , R 11 is aryl, R 12 is para-hydroxy cyclohexyl, and R 18 is loweralkyl, any of which can be optionally substituted.
  • structures are provided including Formulas IIA and IIB, wherein R 14 , R 15 , and R 17 are H, R 13 is NR 17 R 18 , R 11 is heteroaryl, R 12 is cycloalkyl, and R 18 is loweralkyl, any of which can be optionally substituted.
  • structures are provided including Formulas IIA and IIB, wherein R 14 , R 15 , and R 17 are H, R 13 is NR 17 R 18 , R 11 is heteroaryl, R 12 is cyclohexyl, and R 18 is loweralkyl, any of which can be optionally substituted.
  • structures are provided including Formulas IIA and IIB, wherein R 14 , R 15 , and R 17 are H, R 13 is NR 17 R 18 , R 11 is heteroaryl, R 12 is para-hydroxy cyclohexyl, and R 18 is loweralkyl, any of which can be optionally substituted.
  • structures are provided including Formulas IIA and IIB, wherein R 14 , R 15 , and R 17 are H, R 13 is NR 17 R 18 , R 11 is phenyl, R 12 is cycloalkyl, and R 18 is loweralkyl, any of which can be optionally substituted.
  • structures are provided including Formulas IIA and IIB, wherein R 14 , R 15 , and R 17 are H, R 13 is NR 17 R 18 , R 11 is phenyl, R 12 is cyclohexyl, and R 18 is loweralkyl, any of which can be optionally substituted.
  • structures are provided including Formulas IIA and IIB, wherein R 14 , R 15 , and R 17 are H, R 13 is NR 17 R 18 , R 11 is phenyl, R 12 is para-hydroxy cyclohexyl, and R 18 is loweralkyl, any of which can be optionally substituted.
  • structures are provided including Formulas IIA and IIB, wherein R 14 , R 15 , and R 17 are H, R 13 is NR 17 R 18 , R 11 is aryl, R 12 is cycloalkyl, and R 18 is butyl, any of which can be optionally substituted.
  • structures are provided including Formulas IIA and IIB, wherein R 14 , R 15 , and R 17 are H, R 13 is NR 17 R 18 , R 11 is aryl, R 12 is cyclohexyl, and R 18 is butyl, any of which can be optionally substituted.
  • structures are provided including Formulas IIA and IIB, wherein R 14 , R 15 , and R 17 are H, R 13 is NR 17 R 18 , R 11 is aryl, R 12 is para-hydroxy cyclohexyl, and R 18 is butyl, any of which can be optionally substituted.
  • structures are provided including Formulas IIA and IIB, wherein R 14 , R 15 , and R 17 are H, R 13 is NR 17 R 18 , R 11 is heteroaryl, R 12 is cycloalkyl, and R 18 is butyl, any of which can be optionally substituted.
  • structures are provided including Formulas IIA and IIB, wherein R 14 , R 15 , and R 17 are H, R 13 is NR 17 R 18 , R 11 is heteroaryl, R 12 is cyclohexyl, and R 18 is butyl, any of which can be optionally substituted.
  • structures are provided including Formulas IIA and IIB, wherein R 14 , R 15 , and R 17 are H, R 13 is NR 17 R 18 , R 11 is heteroaryl, R 12 is para-hydroxy cyclohexyl, and R 18 is butyl, any of which can be optionally substituted.
  • structures are provided including Formulas IIA and IIB, wherein R 14 , R 15 , and R 17 are H, R 13 is NR 17 R 18 , R 11 is phenyl, R 12 is cycloalkyl, and R 18 is butyl, any of which can be optionally substituted.
  • structures are provided including Formulas IIA and IIB, wherein R 14 , R 15 , and R 17 are H, R 13 is NR 17 R 18 , R 11 is phenyl, R 12 is cyclohexyl, and R 18 is butyl, any of which can be optionally substituted.
  • structures are provided including Formulas IIA and IIB, wherein R 14 , R 15 , and R 17 are H, R 13 is NR 17 R 18 , R 11 is phenyl, R 12 is para-hydroxy cyclohexyl, and R 18 is butyl, any of which can be optionally substituted.
  • structures are provided including Formulas IIA and IIB, wherein R 14 , R 15 , and R 17 are H, R 13 is NR 17 R 18 , R 11 is aryl, R 12 is cycloalkyl, and R 18 is cycloalkylalkyl, any of which can be optionally substituted.
  • structures are provided including Formulas IIA and IIB, wherein R 15 , and R 17 are H, R 13 is NR 17 R 18 , R 11 is aryl, R 12 is cyclohexyl, and R 18 is cycloalkylalkyl, any of which can be optionally substituted.
  • structures are provided including Formulas IIA and IIB, wherein R 14 , R 15 , and R 17 are H, R 13 is NR 17 R 18 , R 11 is aryl, R 12 is para-hydroxy cyclohexyl, and R 18 is cycloalkylalkyl, any of which can be optionally substituted.
  • structures are provided including Formulas IIA and IIB, wherein R 14 , R 15 , and R 17 are H, R 13 is NR 17 R 18 , R 11 is heteroaryl, R 12 is cycloalkyl, and R 18 is cycloalkylalkyl, any of which can be optionally substituted.
  • structures are provided including Formulas IIA and IIB, wherein R 14 , R 15 and R 17 are H, R 13 is NR 17 R 18 , R 11 is heteroaryl, R 12 is cyclohexyl, and R 18 is cycloalkylalkyl, any of which can be optionally substituted.
  • structures are provided including Formulas IIA and IIB, wherein R 14 , R 15 , and R 17 are H, R 13 is NR 17 R 18 , R 11 is heteroaryl, R 12 is para-hydroxy cyclohexyl, and R 18 is cycloalkylalkyl, any of which can be optionally substituted.
  • structures are provided including Formulas IIA and IIB, wherein R 14 , R 15 , and R 17 are H, R 13 is NR 17 R 18 , R 11 is phenyl, R 12 is cycloalkyl, and R 18 is cycloalkylalkyl, any of which can be optionally substituted.
  • structures are provided including Formulas IIA and IIB, wherein R 14 , R 15 , and R 17 are H, R 13 is NR 17 R 18 , R 11 is phenyl, R 12 is cyclohexyl, and R 18 is cycloalkylalkyl, any of which can be optionally substituted.
  • structures are provided including Formulas IIA and IIB, wherein R 14 , R 15 , and R 17 are H, R 13 is NR 17 R 18 , R 11 is phenyl, R 12 is para-hydroxy cyclohexyl, and R 18 is cycloalkylalkyl, any of which can be optionally substituted.
  • structures are provided including Formulas IIA and IIB, wherein R 14 , R 15 and R 17 are H, R 13 is NR 17 R 18 , R 11 is aryl, R 12 is cycloalkyl, and R 18 is aryl, any of which can be optionally substituted.
  • structures are provided including Formulas IIA and IIB, wherein R 14 , R 15 , and R 17 are H, R 13 is NR 17 R 18 , R 11 is aryl, R 12 is cyclohexyl, and R 18 is aryl, any of which can be optionally substituted.
  • structures are provided including Formulas IIA and IIB, wherein R 14 , R 15 , and R 17 are H, R 13 is NR 17 R 18 , R 11 is aryl, R 12 is para-hydroxy cyclohexyl, and R 18 is aryl, any of which can be optionally substituted.
  • structures are provided including Formulas IIA and IIB, wherein R 14 , R 15 , and R 17 are H, R 13 is NR 17 R 18 , R 11 is heteroaryl, R 12 is cycloalkyl, and R 18 is aryl, any of which can be optionally substituted.
  • structures are provided including Formulas IIA and IIB, wherein R 14 , R 15 , and R 17 are H, R 13 is NR 17 R 18 , R 11 is heteroaryl, R 12 is cyclohexyl, and R 18 is aryl, any of which can be optionally substituted.
  • structures are provided including Formulas IIA and IIB, wherein R 14 , R 15 , and R 17 are H, R 13 is NR 17 R 18 , R 11 is heteroaryl, R 12 is para-hydroxy cyclohexyl, and R 18 is aryl, any of which can be optionally substituted.
  • structures are provided including Formulas IIA and IIB, wherein R 14 , R 15 and R 17 are H, R 13 is NR 17 R 18 , R 11 is phenyl, R 12 is cycloalkyl, and R 18 is aryl, any of which can be optionally substituted.
  • structures are provided including Formulas IIA and IIB, wherein R 14 , R 15 , and R 17 are H, R 13 is NR 17 R 18 , R 11 is phenyl, R 12 is cyclohexyl, and R 18 is aryl, any of which can be optionally substituted.
  • structures are provided including Formulas IIA and IIB, wherein R 14 , R 15 , and R 17 are H, R 13 is NR 17 R 18 , R 11 is phenyl, R 12 is para-hydroxy cyclohexyl, and R 18 is aryl, any of which can be optionally substituted.
  • structures are provided including Formulas IIA and IIB, wherein R 14 , R 15 , and R 17 are H, R 13 is NR 17 R 18 , R 11 is aryl, R 12 is cycloalkyl, and R 18 is phenyl, any of which can be optionally substituted.
  • structures are provided including Formulas IIA and IIB, wherein R 14 , R 15 , and R 17 are H, R 13 is NR 17 R 18 , R 11 is aryl, R 12 is cyclohexyl, and R 18 is phenyl, any of which can be optionally substituted.
  • structures are provided including Formulas IIA and IIB, wherein R 14 , R 15 , and R 17 are H, R 13 is NR 17 R 18 , R 11 is aryl, R 12 is para-hydroxy cyclohexyl, and R 18 is phenyl, any of which can be optionally substituted.
  • structures are provided including Formulas IIA and IIB, wherein R 14 , R 15 and R 17 are H, R 13 is NR 17 R 18 , R 11 is heteroaryl, R 12 is cycloalkyl, and R 18 is phenyl, any of which can be optionally substituted.
  • structures are provided including Formulas IIA and IIB, wherein R 14 , R 15 and R 17 are H, R 13 is NR 17 R 18 , R 11 is heteroaryl, R 12 is cyclohexyl, and R 18 is phenyl, any of which can be optionally substituted.
  • structures are provided including Formulas IIA and IIB, wherein R 14 , R 15 , and R 17 are H, R 13 is NR 17 R 18 , R 11 is heteroaryl, R 12 is para-hydroxy cyclohexyl, and R 18 is phenyl, any of which can be optionally substituted.
  • the inhibitors useful in the present invention are dual MER/FLT-3 TKIs. In one embodiment, the inhibitors are dual FLT3/Axl TKIs.
  • the inhibitor and/or dual MER/FLT-3 TKI has the structure of Formula III:
  • R 21 is heterocycle
  • R 22 and R 23 are each independently hydrogen, alkyl, cycloalkyl, or cycloalkylalkyl.
  • the FLT3 and/or dual MER/FLT-3 TKI inhibitor is Formula IV having the structure depicted below:
  • the present invention is directed to the use of selected pyrrolopyrimidine compounds having Mer tyrosine kinase (MerTK) inhibitory activity as antinfective agents, immunostimulatory agents, anti-cancer agents (including against MerTK ⁇ / ⁇ tumors and ITD and TKD mutant forms of Acute Myeloid Leukemia (AML)), and as adjunctive agents in combination with chemotherapeutic, radiation or other standard of care for neoplasms, or as anti-thrombotic agents, wherein the compound is selected from those in Tables 1 to 3.
  • the compounds of Tables 1 to 3 have been previously disclosed in WO2013/052417.
  • the compound is selected from UNC2025A, UNC2371A, and UNC2142A.
  • new pyrrolopyrimidine compounds having the uses described herein have a structure selected from:
  • Active compounds may be provided as pharmaceutically acceptable prodrugs, which are those prodrugs of the active compounds of the present invention which are, within the scope of sound medical judgment, suitable for use in contact with the tissues of humans and lower animals without undue toxicity, irritation, allergic response and the like, commensurate with a reasonable risk/benefit ratio, and effective for their intended use, as well as the zwitterionic forms, where possible, of the compounds of the invention.
  • prodrug refers to compounds that are transformed, sometimes rapidly in vivo to yield the parent compound of the above formulae, for example, by hydrolysis in blood.
  • Examples include a prodrug that is metabolized in vivo by a subject to an active drug having an activity of active compounds as described herein, wherein the prodrug is an ester of an alcohol or carboxylic acid group, if such a group is present in the compound; an acetal or ketal of an alcohol group, if such a group is present in the compound; an N-Mannich base or an imine of an amine group, if such a group is present in the compound; or a Schiff base, oxime, acetal, enol ester, oxazolidine, or thiazolidine of a carbonyl group, if such a group is present in the compound, such as described in U.S. Pat. No. 6,680,324 and U.S. Pat.
  • the active compounds disclosed herein can, as noted above, be provided in the form of their pharmaceutically acceptable salts.
  • Pharmaceutically acceptable salts are salts that retain the desired biological activity of the parent compound and do not impart undesired toxicological effects.
  • Nonlimiting examples of such salts are (a) acid addition salts formed with inorganic acids, for example hydrochloric acid, hydrobromic acid, sulfuric acid, phosphoric acid, nitric acid and the like; and salts formed with organic acids such as, for example, acetic acid, oxalic acid, tartaric acid, succinic acid, maleic acid, fumaric acid, gluconic acid, citric acid, malic acid, ascorbic acid, benzoic acid, tannic acid, palmitic acid, alginic acid, polyglutamic acid, naphthalenesulfonic acid, methanesulfonic acid, p-toluenesulfonic acid, naphthalenedisulfonic acid, polygalacturonic
  • Active compounds as described herein can be prepared in accordance with known procedures, or variations thereof that will be apparent to those skilled in the art.
  • the active compounds described above may be formulated for administration in a pharmaceutical carrier in accordance with known techniques. See, e.g., Remington, The Science And Practice of Pharmacy (9 th Ed. 1995).
  • the active compound (including the physiologically acceptable salts thereof) is typically admixed with, inter alia, an acceptable carrier.
  • the carrier must, of course, be acceptable in the sense of being compatible with any other ingredients in the formulation and must not be deleterious to the patient.
  • the carrier may be a solid or a liquid, or both, and is preferably formulated with the compound as a unit-dose formulation, for example, a tablet, which may contain from 0.01 or 0.5% to 95% or 99% by weight of the active compound.
  • One or more active compounds may be incorporated in the formulations of the invention, which may be prepared by any of the well-known techniques of pharmacy comprising admixing the components, optionally including one or more accessory ingredients.
  • the invention provides a pharmaceutical composition
  • a pharmaceutical composition comprising a pharmaceutically effective amount of an active compound as described herein and a pharmaceutically acceptable carrier.
  • the compounds provided herein are administered for medical therapy in a therapeutically effective amount.
  • the amount of the compounds administered will typically be determined by a physician, in the light of the relevant circumstances, including the condition to be treated, the chosen route of administration, the compound administered, the age, weight, and response of the individual patient, the severity of the patient's symptoms, and the like.
  • the formulations of the invention include those suitable for oral, rectal, topical, buccal (e.g., sub-lingual), vaginal, parenteral (e.g., subcutaneous, intramuscular, intradermal, or intravenous), topical (i.e., both skin and mucosal surfaces, including airway surfaces), transdermal administration, and intraventricular injection (injection into a ventricle of the brain, e.g., by an implanted catheter or Ommaya reservoir, such as in the case of morbid obesity), ocular (via injection, implantation or by reservoir), and intranasal, although the most suitable route in any given case will depend on the nature and severity of the condition being treated and on the nature of the particular active compound which is being used.
  • compositions for oral administration can take the form of bulk liquid solutions or suspensions, or bulk powders.
  • the compositions are presented in unit dosage forms to facilitate accurate dosing.
  • unit dosage forms refers to physically discrete units suitable as unitary dosages for human subjects and other mammals, each unit containing a predetermined quantity of active material calculated to produce the desired therapeutic effect, in association with a suitable pharmaceutical excipient.
  • Typical unit dosage forms include prefilled, premeasured ampules or syringes of the liquid compositions or pills, tablets, capsules or the like in the case of solid compositions.
  • the compound is usually a minor component (as a nonlimiting example, from about 0.1 to about 50% by weight or preferably from about 1 to about 40% by weight) with the remainder being various vehicles or carriers and processing aids helpful for forming the desired dosing form.
  • the compound is present from about 1% to about 10% by weight.
  • Liquid forms suitable for oral administration may include a suitable aqueous or nonaqueous vehicle with buffers, suspending and dispensing agents, colorants, flavors and the like.
  • Solid forms may include, for example, any of the following ingredients, or compounds of a similar nature: a binder such as microcrystalline cellulose, gum tragacanth or gelatin; an excipient such as starch or lactose, a disintegrating agent such as alginic acid, Primogel, or corn starch; a lubricant such as magnesium stearate; a glidant such as colloidal silicon dioxide; a sweetening agent such as sucrose or saccharin; or a flavoring agent such as peppermint, methyl salicylate, or orange flavoring.
  • a binder such as microcrystalline cellulose, gum tragacanth or gelatin
  • an excipient such as starch or lactose, a disintegrating agent such as alginic acid, Primogel, or corn starch
  • Formulations suitable for oral administration may be presented in discrete units, such as capsules, cachets, lozenges, or tablets, each containing a predetermined amount of the active compound; as a powder or granules; as a solution or a suspension in an aqueous or non-aqueous liquid; or as an oil-in-water or water-in-oil emulsion.
  • Such formulations may be prepared by any suitable method of pharmacy which includes the step of bringing into association the active compound and a suitable carrier (which may contain one or more accessory ingredients as noted above).
  • the formulations of the invention are prepared by uniformly and intimately admixing the active compound with a liquid or finely divided solid carrier, or both, and then, if necessary, shaping the resulting mixture.
  • a tablet may be prepared by compressing or molding a powder or granules containing the active compound, optionally with one or more accessory ingredients.
  • Compressed tablets may be prepared by compressing, in a suitable machine, the compound in a free-flowing form, such as a powder or granules optionally mixed with a binder, lubricant, inert diluent, and/or surface active/dispersing agent(s).
  • Molded tablets may be made by molding, in a suitable machine, the powdered compound moistened with an inert liquid binder.
  • the compounds are administered in a controlled release formulation.
  • Formulations suitable for buccal (sub-lingual) administration include lozenges comprising the active compound in a flavored base, usually sucrose and acacia or tragacanth; and pastilles comprising the compound in an inert base such as gelatin and glycerin or sucrose and acacia.
  • Formulations of the present invention suitable for parenteral administration comprise sterile aqueous and non-aqueous injection solutions of the active compound, which preparations are preferably isotonic with the blood of the intended recipient. These preparations may contain anti-oxidants, buffers, bacteriostats and solutes which render the formulation isotonic with the blood of the intended recipient.
  • Aqueous and non-aqueous sterile suspensions may include suspending agents and thickening agents.
  • the formulations may be presented in unit ⁇ dose or multi-dose containers, for example sealed ampoules and vials, and may be stored in a freeze-dried (lyophilized) condition requiring only the addition of the sterile liquid carrier, for example, saline or water-for-injection immediately prior to use.
  • an injectable, stable, sterile composition comprising a compound of Formula I, Formula IA, Formula IB, Formula II, Formula IIA, Formula IIB or a salt thereof, in a unit dosage form in a sealed container.
  • the compound or salt is provided in the form of a lyophilizate which is capable of being reconstituted with a suitable pharmaceutically acceptable carrier to form a liquid composition suitable for injection thereof into a subject.
  • the unit dosage form typically comprises from about 10 mg to about 10 grams of the compound or salt.
  • emulsifying agent which is physiologically acceptable may be employed in sufficient quantity to emulsify the compound or salt in an aqueous carrier.
  • emulsifying agent is phosphatidyl choline.
  • Injectable compositions are typically based upon injectable sterile saline or phosphate-buffered saline or other injectable carriers known in the art.
  • Formulations suitable for rectal administration are preferably presented as unit dose suppositories. These may be prepared by admixing the active compound with one or more conventional solid carriers, for example, cocoa butter, and then shaping the resulting mixture.
  • Formulations suitable for topical application to the skin preferably take the form of an ointment, cream, lotion, paste, gel, spray, aerosol, or oil.
  • Carriers which may be used include petroleum jelly, lanoline, polyethylene glycols, alcohols, transdermal enhancers, and combinations of two or more thereof.
  • Formulations suitable for transdermal administration may be presented as discrete patches adapted to remain in intimate contact with the epidermis of the recipient for a prolonged period of time. Formulations suitable for transdermal administration may also be delivered by iontophoresis (see, for example, Pharmaceutical Research 3 (6):318 (1986)) and typically take the form of an optionally buffered aqueous solution of the active compound. Suitable formulations comprise citrate or bis ⁇ tris buffer (pH 6) or ethanol/water and contain from 0.1 to 0.2M active ingredient.
  • the present invention provides liposomal formulations of the compounds disclosed herein and salts thereof.
  • the technology for forming liposomal suspensions is well known in the art.
  • the compound or salt thereof is an aqueous-soluble salt, using conventional liposome technology, the same may be incorporated into lipid vesicles. In such an instance, due to the water solubility of the compound or salt, the compound or salt will be substantially entrained within the hydrophilic center or core of the liposomes.
  • the lipid layer employed may be of any conventional composition and may either contain cholesterol or may be cholesterol-free.
  • the salt may be substantially entrained within the hydrophobic lipid bilayer which forms the structure of the liposome.
  • the liposomes which are produced may be reduced in size, as through the use of standard sonication and homogenization techniques.
  • liposomal formulations containing the compounds disclosed herein or salts thereof may be lyophilized to produce a lyophilizate which may be reconstituted with a pharmaceutically acceptable carrier, such as water, to regenerate a liposomal suspension.
  • a pharmaceutically acceptable carrier such as water
  • compositions may be prepared from the water-insoluble compounds disclosed herein, or salts thereof, such as aqueous base emulsions.
  • the composition will contain a sufficient amount of pharmaceutically acceptable emulsifying agent to emulsify the desired amount of the compound or salt thereof.
  • Particularly useful emulsifying agents include phosphatidylcholines, and lecithin.
  • the pharmaceutical compositions may contain other additives, such as pH-adjusting additives.
  • useful pH-adjusting agents include acids, such as hydrochloric acid, bases or buffers, such as sodium lactate, sodium acetate, sodium phosphate, sodium citrate, sodium borate, or sodium gluconate.
  • the compositions may contain microbial preservatives.
  • Useful microbial preservatives include methylparaben, propylparaben, and benzyl alcohol. The microbial preservative is typically employed when the formulation is placed in a vial designed for multidose use.
  • the pharmaceutical compositions of the present invention may be lyophilized using techniques well known in the art.
  • the Mer TKI compound of this invention can also be administered in sustained release forms or from sustained release drug delivery systems.
  • sustained release materials can be found in Remington's Pharmaceutical Sciences.
  • the formulation comprises water. In another embodiment, the formulation comprises a cyclodextrin derivative. In certain embodiments, the formulation comprises hexapropyl- ⁇ -cyclodextrin. In a more particular embodiment, the formulation comprises hexapropyl- ⁇ -cyclodextrin (10-50% in water).
  • the present invention also includes pharmaceutically acceptable acid addition salts of compounds of the compounds of the invention.
  • the acids which are used to prepare the pharmaceutically acceptable salts are those which form non-toxic acid addition salts, i.e. salts containing pharmacologically acceptable anions such as the hydrochloride, hydroiodide, hydrobromide, nitrate, sulfate, bisulfate, phosphate, acetate, lactate, citrate, tartrate, succinate, maleate, fumarate, benzoate, para-toluenesulfonate, and the like.
  • the present invention provides pharmaceutical formulations comprising the active compounds (including the pharmaceutically acceptable salts thereof), in pharmaceutically acceptable carriers for oral, rectal, topical, buccal, parenteral, intramuscular, intradermal, or intravenous, and transdermal administration.
  • the therapeutically effective dosage of any specific compound will vary somewhat from compound to compound, and patient to patient, and will depend upon the condition of the patient and the route of delivery. As a general proposition, a dosage from about 0.1 to about 50 mg/kg will have therapeutic efficacy, with all weights being calculated based upon the weight of the active compound, including the cases where a salt is employed. Toxicity concerns at the higher level may restrict intravenous dosages to a lower level such as up to about 10 mg/kg, with all weights being calculated based upon the weight of the active base, including the cases where a salt is employed.
  • the duration of the treatment can be once per day for a period of two to three weeks or until the condition is essentially controlled.
  • the therapeutically effective dosage of any active compound described herein will be determined by the health care practitioner depending on the condition, size and age of the patient as well as the route of delivery.
  • a dosage from about 0.1 to about 200 mg/kg has therapeutic efficacy, with all weights being calculated based upon the weight of the active compound, including the cases where a salt is employed.
  • the dosage can be the amount of compound needed to provide a serum concentration of the active compound of up to between about 1 and 5, 10, 20, 30, or 40 ⁇ M.
  • a dosage from about 10 mg/kg to about 50 mg/kg can be employed for oral administration.
  • a dosage from about 0.5 mg/kg to 5 mg/kg can be employed for intramuscular injection.
  • dosages can be from about 1 ⁇ mol/kg to about 50 ⁇ mol/kg, or, optionally, between about 22 ⁇ mol/kg and about 33 ⁇ mol/kg of the compound for intravenous or oral administration.
  • An oral dosage form can include any appropriate amount of active material, including for example from 5 mg to, 50, 100, 200, or 500 mg per tablet or other solid dosage form.
  • Active compounds may be administered as pharmaceutically acceptable prodrugs, which are those prodrugs of the active compounds of the present invention which are, within the scope of sound medical judgment, suitable for use in contact with the tissues of humans and lower animals without undue toxicity, irritation, allergic response and the like, commensurate with a reasonable risk/benefit ratio, and effective for their intended use, as well as the zwitterionic forms, where possible, of the compounds of the invention.
  • prodrug refers to compounds that are rapidly transformed in vivo to yield the parent compound of the above formulae, for example, by hydrolysis in blood.
  • Examples include a prodrug that is metabolized in vivo by a subject to an active drug having an activity of active compounds as described herein, wherein the prodrug is an ester of an alcohol or carboxylic acid group, if such a group is present in the compound; an acetal or ketal of an alcohol group, if such a group is present in the compound; an N-Mannich base or an imine of an amine group, if such a group is present in the compound; or a Schiff base, oxime, acetal, enol ester, oxazolidine, or thiazolidine of a carbonyl group, if such a group is present in the compound, such as described in U.S. Pat. No. 6,680,324 and U.S. Pat.
  • a method is provided to treat a host by administering a daily amount of a Mer TKI including active compounds of the present invention, which may be provided in dosages once or more a day.
  • the Mer TKI dose is between about 0.5 mg and about 200 mg.
  • the dose is at least about 1 mg, about 2 mg, about 3 mg, about 4 mg, about 5 mg, about 10 mg, about 12 mg, about 15 mg, about 20 mg, about 25 mg, about 30 mg, about 35 mg, about 40 mg, about 45 mg, about 50 mg, about 55 mg, about 60 mg, about 65 mg, about 70 mg, about 75 mg, about 80 mg, about 85 mg, about 90 mg, about 95 mg, about 100 mg, about 110 mg, about 125 mg, about 140 mg, about 150, about 175, or about 200 mg. In another embodiment, the dose is between about 200 mg and 1250 mg.
  • the dose is about 200 mg, about 225 mg, about 250 mg, about 275 mg, about 300 mg, about 325 mg, about 350 mg, about 375 mg, about 400 mg, about 425 mg, about 450 mg, about 475 mg, about 500 mg, about 525 mg, about 550 mg, about 575 mg, about 600 mg, about 625 mg, about 650 mg, about 675 mg, about 700 mg, about 725 mg, about 750 mg, about 775 mg, about 800 mg, about 825 mg, about 850 mg, about 875 mg, about 900 mg, about 925 mg, about 950 mg, about 975 mg, about 1000 mg or more.
  • the compounds described herein are combined with an additional anti-tumor agent, anti-neoplastic agent, anti-cancer agent, immunomodulatory agent, immunostimulatory agent, anti-infective agents, anti-thrombotic, and/or anti-clotting agent.
  • the dosage administered to the host can be similar to that as administered during monotherapy treatment, or may be lower, for example, between about 0.5 mg and about 150 mg.
  • the dose is at least about 1 mg, about 2 mg, about 3 mg, about 4 mg, about 5 mg, about 10 mg, about 12 mg, about 15 mg, about 20 mg, about 25 mg, about 30 mg, about 35 mg, about 40 mg, about 45 mg, about 50 mg, about 55 mg, about 60 mg, about 65 mg, about 70 mg, about 75 mg, about 80 mg, about 85 mg, about 90 mg, about 95 mg, about 100 mg, about 110 mg, about 125 mg, about 140 mg, or about 150 mg.
  • the amount of the compound according to the present invention to be administered ranges from about 0.01 mg/kg of the patient to about 50 mg/kg or more of the patient or considerably more, depending upon the second compound to be co-administered, the condition of the patient, severity of the disease to be treated, and the route of administration.
  • the additional anti-tumor agent, anti-neoplastic agent, anti-cancer agent, immunomodulatory agent, immunostimulatory agent, anti-infective agents, anti-thrombotic, and/or anti-clotting agent may, for example, be administered in amounts ranging from about 0.01 mg/kg to about 500 mg/kg.
  • suitable daily dosages are, for example, between about 0.1-4000 mg administered orally once-daily, twice-daily, or three times-daily, continuous (every day) or intermittently (e.g., 3-5 days a week).
  • an effective amount of the pyrrolopyrimidine compounds described in Formulas I, IA, IB, II, IIA and IIB below or as otherwise provided herein can be administered as an immunomodulatory agent to stimulate the innate immune system.
  • This immunostimulatory activity can be used therapeutically to treat a host with an infection.
  • the infection is a viral infection.
  • the infection is a bacterial infection.
  • an effective amount of the pyrrolopyrimidine compounds described in Formulas I, IA, IB, II, IIA and IIB below or as otherwise provided herein can be used to treat a host bearing any virus-related infection where the virus has a virion envelope phosphatidyl serine that complexes with MerTK to achieve viral entry or is otherwise facilitated by MerTK in the infectious process or maintenance.
  • the virus may be an enveloped virus or a non-enveloped virus.
  • the host is infected or threatened to become infected with a virus selected from, for example, Flaviviridae viruses, including Flavivirus (such as Yellow Fever, West Nile and Dengue), Hepacivirus (Hepatitis C virus, “HCV”), Pegivirus and Pestivirus (Bovine viral diarrhea virus); Filoviridae viruses, including Ebola viruses; Togaviridae viruses, including Chikungunya virus; Coronaviruses, such as SARS (Severe acute respiratory syndrome) and MERS (Middle East respiratory syndrome); Orthomyxoviridae viruses, for example influenza; Paramyxoviridae viruses, for example Respiratory syncytial virus (RSV), measles and mumps; and Caliciviridae viruses, including Lagovirus, Vesivirus, and Sapovirus and Norovirus (Norwalk-like virus), and Lentiviruses, for example, HIV
  • the host to be treated may be infected with an enveloped virus including, but not limited to, viruses of the following families: Bornaviridae, Bunyaviridae, Coronaviridae, Filoviridae, Flaviviridae, Hepadnaviridae, Herpesviridae, Nyamiviridae, Orthomyxoviridae, Paramyxoviridae, Poxviridae, Retroviridae, Rhabdoviridae, and Togaviridae.
  • viruses form the Bunyaviridae family include, but are not limited to, bunya viruses such as La Crosse virus and Hantaan.
  • viruses from the Coronaviridae family include, but are not limited to, coronaviruses such as SARS virus or Toroviruses.
  • viruses from the Filoviridae family include, but are not limited to, Ebola and Marburg.
  • viruses from the Flaviviridae family include, but are not limited to, dengue, encephalitis viruses including West Nile virus, Japanese encephalitis virus and yellow fever virus and Hepatitis C virus.
  • viruses from the Hepadnaviridae family include, but are not limited to, Hepatitis B.
  • viruses from the Herpesviridae family include, but are not limited to, cytomegalovirus, herpes simplex viruses 1 and 2, HHV-6, HHV-7, HHV-8, pseudorabies virus, and varicella zoster virus.
  • viruses from the Orthomyxoviridae family include, but are not limited to, influenza virus.
  • viruses from the Paramyxoviridae family include, but are not limited to, measles, metapneumovirus, mumps, parainfluenza, respiratory syncytial virus, and sendai.
  • viruses from the Poxviridae family include, but are not limited to, pox viruses such as smallpox, monkey pox, and Molluscum contagiosum virus, variola viruses, vaccinia virus, and yatapox viruses such as Tanapox and Yabapox.
  • viruses from the Retroviridae family include, but are not limited to, Coltiviruses such as CTFV and Banna virus, human immunodeficiency viruses such as HIV-1 and HIV-2, murine leukemia virus, simian immunodeficiency virus, feline immunodeficiency virus, human T-cell leukemia viruses 1 and 2, and XMRV.
  • viruses from the Rhabdoviridae family include, but are not limited to, vesicular stomatitis and rabies.
  • viruses from the Togaviridae family include, but are not limited to, rubella viruses or alpha viruses such as Chikungunya virus, Eastern equine encephalitis virus, O'nyong'nyong virus, Ross River virus, Semliki Forest virus, Sindbis, Venezuelan equine encephalitis or Western equine encephalitis virus.
  • the host is infected with Chikungunya virus. In one embodiment, the host is infected with Ebola virus. In one embodiment, an active compound or Mer TKI as described herein is used in combination with brincidofovir (CMX001).
  • CMX001 brincidofovir
  • the host is infected with a non-enveloped virus, such as, but not limited to, viruses of the following families: Adenoviridae, Arenaviridae, Birnaviridae, Calciviridae, Iridoviridae, Ophioviridae Parvoviradae, Papillomaviridae, Papovaviridae, Picornaviridae, and Reoviridae.
  • viruses from the Adenoviridae family include, but are not limited to adenoviruses.
  • viruses from the Arenaviradae family include, but are not limited to, hemorrhagic fever viruses such as Guanarito, LCMV, Lassa, Junin, and Machupo.
  • viruses from the Iridoviridae family include, but are not limited to, African swine fever virus.
  • viruses from the Papillomavirus family include, but are not limited to, papillomaviruses.
  • viruses from the Papovaviridae family include, but are not limited to, polyoma viruses such as BK virus and JC virus.
  • viruses from the Parvoviridae family include, but are not limited to, parvoviruses such as human bocavirus and adeno-associated virus.
  • viruses from the Picornaviridae family include, but are not limited to, aptoviruses, cardioviruses, coxsackieviruses, echoviruses, enteric viruses, enteroviruses, foot and mouth disease virus, hepatitis A virus, hepatoviruses, Poliovirus, and rhinovirus.
  • viruses from the Reoviradae family include, but are not limited to, orbiviruses, reoviruses and rotaviruses.
  • a host is infected with a virus such as an astroviruses, caliciviruses including but not limited to, Norovirus and Norwalk, and Hepeviruses including, but not limited to, Hepatitis E.
  • a virus such as an astroviruses, caliciviruses including but not limited to, Norovirus and Norwalk, and Hepeviruses including, but not limited to, Hepatitis E.
  • a compound described herein can be administered to a host suffering from a viral infection in combination with another anti-viral or anti-infective compound.
  • Antiviral compounds that can be used in combination with the compounds described herein include, but are not limited to, abacavir, acyclovir, adefovir, amantadine, amprenavir, ampligen, arbitol, atazanavir, balavir, boceprevir, boceprevirertet, cidofovir, dolutegravir, darunavir, delavirdine, didanosine, docosanol, edoxudine, efavirenz, emtricitabine, epivir, enfuvirtide, entecavir, famciclovir, fomivirsen, fosamprenavir, foscarnet, fosfonet, ganciclovir, ibacitabine, imunovir, idoxuridine, imi
  • a host is infected with a human immunodeficiency virus and is administered a compound described herein in combination with the anti-HIV combination drug, such as Atripla® or other drug that includes emtricitabine.
  • the patient with the human immunodeficiency virus can be treated with atazanavir, ritonavir, or Truvada® in combination with a compound described herein.
  • the patient infected with human immunodeficiency virus can be treated with the combination of dolutegravir, Truvada® and a compound described herein.
  • human immunodeficiency virus can be treated with the combination dolutegravir, Epzicom® and a compound described herein.
  • a host infected with human immunodeficiency virus can be treated with a combination of raltegravir, Truvada® and a compound described herein.
  • a host infected with human immunodeficiency virus can be treated with the combination of Complera® and a compound described herein. It will be appreciated by one skilled in the art that a host infected with HIV can be treated with a number of combinations of drugs depending on the mutation pattern of the virus. The patient can be treated with an appropriate combination of drugs in combination with a compound described herein.
  • the host is infected with a hepatitis C virus and is treated with an anti-hepatitis C drug in addition to the active compound described herein.
  • the patient can be treated with a combination of SovaldiTM, Harvoni®, ribavirin, and/or a pegylated interferon and a compound described herein.
  • the pegylated interferon is Peglntron®.
  • the pegylated interferon is Pegasys®.
  • the host infected with hepatitis C virus is treated with SovaldiTM, ribavirin and a compound described herein.
  • the host infected with hepatitis C virus is treated with Harvoni®, ribavirin and a compound described herein.
  • a host infected with hepatitis C virus is treated with a combination of OlysioTM, ribavirin, a pegylated interferon and a compound described herein.
  • the pegylated interferon is PegIntron®.
  • the pegylated interferon is Pegasys®.
  • the host is infected with a hepatitis C virus and is treated with a combination of ABT-267, ABT-333 and ABT-450/ritonavir, in addition to an active compound described herein.
  • the host is infected with a hepatitis C virus and is treated with a combination of MK-5172 and MK-8742, in addition to an active compound described herein.
  • a host infected with hepatitis C genotype 1 is treated with a combination of SovaldiTM, ribavirin, a pegylated interferon and a compound described herein for 12 weeks.
  • a host infected with hepatitis. C genotype 1 is treated with SovaldiTM and a compound described herein for 12 weeks followed by ribavirin, pegylated interferon and a compound described herein for 24 weeks.
  • a host infected with hepatitis C genotype 2 is treated with SovaldiTM, ribavirin, and a compound described herein for 12 weeks.
  • a host infected with hepatitis C genotype 3 is treated with SovaldiTM, ribavirin, and a compound described herein for 24 weeks.
  • a host infected with hepatitis C genotype 3 is treated with SovaldiTM, ribavirin, pegylated interferon, and a compound described herein for 12 weeks.
  • a host infected with hepatitis C genotype 4 is treated with SovaldiTM, ribavirin, pegylated interferon, and a compound described herein for 12 weeks.
  • a host infected with hepatitis C genotype 4 is treated with a combination of OlysioTM, and a compound described herein for 12 weeks followed by ribavirin, pegylated interferon and a compound described herein for 24-28 weeks.
  • a host infected with hepatitis C genotype 5 is treated with SovaldiTM, ribavirin, pegylated interferon, and a compound described herein for 12 weeks. In one embodiment, a host infected with hepatitis C genotype 5 is treated with ribavirin, pegylated interferon, and a compound described herein for 48 weeks. In one embodiment, a host infected with hepatitis C genotype 6 is treated with SovaldiTM, ribavirin, pegylated interferon, and a compound described herein for 12 weeks. In one embodiment, a host infected with hepatitis C genotype 6 is treated with ribavirin, pegylated interferon, and a compound described herein for 48 weeks.
  • a host infected with hepatitis C genotype 1 is treated with SovaldiTM, OlysioTM, ribavirin, and a compound described herein for 12 weeks.
  • a host infected with hepatitis C genotype 1 is treated with SovaldiTM, ribavirin, and a compound described herein for 24 weeks.
  • a host infected with hepatitis C genotype 2 is treated with SovaldiTM, ribavirin, and a compound described herein for 12 weeks.
  • a host infected with hepatitis C genotype 3 is treated with SovaldiTM, ribavirin, and a compound described herein for 24 weeks.
  • a patient infected with hepatitis C genotype 4 is treated with SovaldiTM, ribavirin, and a compound described herein for 24 weeks.
  • a host infected with papilloma virus is treated with Imiquimod and a compound described herein.
  • a host infected with papilloma virus is treated with cryotherapy and a compound described herein.
  • papilloma virus is surgically removed from a host and the host is treated with a compound described herein.
  • the host receives a compound described herein prior to, during, and post-surgery.
  • the patient receives a compound described herein post-surgery.
  • a host infected with herpes simplex type 2 is treated with Famvir® and a compound described herein.
  • a host infected with herpes simplex type 1 is treated with acyclovir and a compound described herein.
  • a host infected with herpes simplex type 2 is treated with acyclovir and a compound described herein.
  • a host infected with herpes simplex type 1 is treated with Valtrex® and a compound described herein.
  • a host infected with herpes simplex type 2 is treated with Valtrex® and a compound described herein.
  • a host infected with herpes simplex type 1 virus receives a compound described herein for 7 days prior to treatment with acyclovir. In one embodiment, a host infected with herpes simplex type 2 virus receives a compound described herein for 7 days prior to treatment with acyclovir. In one embodiment, a host infected with herpes simplex type 1 virus receives a compound described herein for 7 days prior to treatment with Valtrex®. In one embodiment, a host infected with herpes simplex type 2 virus receives a compound described herein for 7 days prior to treatment with Valtrex®.
  • a host infected with varicella zoster virus, VZV is treated with acyclovir and a compound described herein.
  • a host infected with varicella zoster virus, VZV is treated with Valtrex® and a compound described herein.
  • a host infected with varicella zoster virus, VZV is treated with famciclovir and a compound described herein.
  • a host infected with varicella zoster virus, VZV is treated with foscarnet and a compound described herein.
  • a host infected with varicella zoster virus is treated with a compound described herein prior to vaccination with Zostavax®. In another embodiment, a host infected with varicella zoster virus is treated with a compound described herein prior to and post vaccination with Zostavax®.
  • a host infected with influenza virus is treated with Relenza® and a compound described herein. In another embodiment a host infected with influenza virus is treated with Tamiflu® and a compound described herein. In another embodiment a host is infected with influenza virus and is treated with amantadine and a compound described herein. In another embodiment, a host infected with influenza virus is treated with rimantadine and a compound described herein.
  • a host infected with cytomegalovirus is treated with valganciclovir and a compound described herein.
  • a host infected with cytomegalovirus is treated with ganciclovir and a compound described herein.
  • a host infected with cytomegalovirus is treated with foscarnet and a compound described herein.
  • a host infected with cytomegalovirus is treated with cidofovir and a compound described herein.
  • a host infected with hepatitis B virus is treated with lamivudine and a compound described herein. In another embodiment, a host infected with hepatitis B virus is treated with adefovir and a compound described herein.
  • a host infected with hepatitis B virus is treated with tenofovir and a compound described herein.
  • a host infected with hepatitis B virus is treated with telbivudine and a compound described herein.
  • a compound of Formula I, Formula IA, Formula IB, Formula II, Formula IIA, or Formula IIB, or other active compound described herein is used in an effective amount to treat a host infected with a bacterial infection.
  • the bacteria treated is, for example, a Gram-negative bacilli (GNB), especially Escherichia coli , Gram-positive cocci (GPC), Staphylococcus aureus, Enterococcus faecalis , or Streptococcus pneumoniae .
  • the bacterial infection may be caused, for example, by a Gram-negative bacteria, including, but not limited to Escherichia coli, Salmonella , and other Enterobacteriaceae, Pseudomonas, Moraxella, Helicobacter, Stenotrophomonas, Bdellovibrio , acetic acid bacteria, Legionella, Staphylococcus aureus, Hemophilus influenzae, Klebsiella pneumoniae, Legionella pneumophila, Pseudomonas aeruginosa, Vibrio cholerae, Proteus mirabilis, Enterobacter cloacae, Serratia marcescens, Clostridium tetani, Helicobacter pylori, Salmonella enteritidis, Salmonella typhi, Shigella flexneri , or Acinetobacter baumanii .
  • a Gram-negative bacteria including, but not limited to Escherichia coli, Salmonella , and other Enterobacter
  • the bacterial infection may be caused, for example, by a Gram-positive species from the following genera: Bacillus, Listeria, Staphylococcus, Enterococcus, Lactobacillus, Lactococcus, Leuconostoc, Pedicoccus, Streptococcus, Acetobacterium, Clostridium, Eubacterium, Heliobacterium, Heliospirillum, Megasphaera, Pectinatus, Selenomonas, Zymophilus, Sporomusa, Mycoplasma, Spiroplasma, Ureaplasma , or Erysipelothrix.
  • a Gram-positive species from the following genera: Bacillus, Listeria, Staphylococcus, Enterococcus, Lactobacillus, Lactococcus, Leuconostoc, Pedicoccus, Streptococcus, Acetobacterium, Clostridium, Eubacterium, Heliobacterium, Heliospirillum, Megasphaera, Pe
  • the bacterial infection is associated with liver failure.
  • an active compound disclosed herein is administered in combination with an antibiotic or another anti-bacterial agent.
  • the compound administered is selected from UNC2025A, UNC2142A and UNC2371A.
  • the bacterial infection is associated with liver failure.
  • an active compound disclosed herein is administered in combination with an antibiotic or another anti-bacterial agent.
  • the compound administered is selected from UNC2025A, UNC2142A and UNC2371A.
  • a patient is suffering from acute-on-chronic liver failure (ACLF).
  • ACLF acute-on-chronic liver failure
  • a patient is suffering from acute liver failure.
  • a patient is suffering from chronic liver failure.
  • the liver failure is caused by a disease or condition selected from alcoholic liver disease, chronic viral hepatitis type C, chronic viral hepatitis type B, chronic bile duct blockage, Wilson's disease, hemochromatosis, exposure to drug and toxins, autoimmune hepatitis, cystic fibrosis, alpha antitrypsin deficiency, obesity or schistosomiasis.
  • an active compound disclosed herein is administered in combination with an antibiotic for the prevention or treatment of bacterial infections.
  • antibiotics include, but are not limited to, cefotaxime (Claforan), ofloxacin (Floxin), norfloxacin (Noroxin) or trimethoprim/sulfamethoxazole (Bactrim, Septra).
  • the compounds described herein can be used as immunomodulatory agents that reverse the MerTK-induced suppression of proinflammatory cytokines such as wound healing cytokines (IL-10 and GAS6) and enhance the expression of acute inflammatory cytokines (IL-12 and IL-6).
  • proinflammatory cytokines such as wound healing cytokines (IL-10 and GAS6)
  • IL-12 and IL-6 acute inflammatory cytokines
  • the pyrrolopyrimidine compounds can “re-normalize” or “re-program” the host microenvironment in the diseased tissue area to attack the diseased cells.
  • This immunostimulatory activity can be used therapeutically to treat a host with a tumor, cancer or other neoplasm, or alternatively, to treat a host with an infection, for example, a viral or bacterial infection.
  • a MERTK-negative ( ⁇ / ⁇ ) tumor or cancer may be used for the treatment of a MERTK-negative ( ⁇ / ⁇ ) tumor or cancer.
  • the cancer is a MERTK-negative ( ⁇ / ⁇ ) breast cancer.
  • one or more of the compounds disclosed herein can be used as adjunctive therapy for its immunostimulatory effect as a means to increase the efficacy of the antineoplastic standard of care therapies, such as chemotherapeutic compounds or radiation.
  • one or more of the compounds disclosed herein can be used as adjunctive therapy for its immunostimulatory effect as a means to increase the efficacy of the antiviral or antibacterial standard of care therapies.
  • a compound of Formula I, Formula IA, Formula IB, Formula II, Formula IIA, or Formula IIB, or another compound as described herein is administered to a host in an immunomodulatory effective amount to inhibit Mer tyrosine kinase activity in the host's tumor associated macrophage to suppress tumor immunity.
  • the dosage of the Mer TKI administered as an immunomodulatory agent to stimulate innate anti-tumor immunity is lower than a dosage of a Mer TKI administered to a host as a direct anti-cancer agent.
  • the Mer TKI is administered at a dosage which exhibits immunomodulatory but not direct cytotoxic effect.
  • the cancer is a MERTK-negative ( ⁇ / ⁇ ) cancer.
  • the MerTK inhibitory compound administered is selected from UNC2025A, UNC2142A and UNC2371A.
  • a chemotherapeutic agent results in the apoptosis of tumor cells, exposing antigenic tumor proteins.
  • the host's innate immune system is thus stimulated to recognize the antigenic apoptotic components from the tumor cells after chemotherapy or ionizing radiation and mount an immune response.
  • the administration of a chemotherapeutic agent or ionizing radiation, before, with or subsequently followed by the administration of a Mer TKI is carried out using the normal standard of care chemotherapeutic protocol.
  • the standard of care protocol of the chemotherapeutic is changed in a manner that causes less toxicity to the host due to the adjunctive or synergistic activity of the Mer TKI.
  • a method for the treatment of a tumor includes administering an effective amount of a Mer TKI to inhibit TK signaling in a tumor associated macrophage, without inhibiting the survival signal in the tumor itself.
  • the Mer TKI can be used to ramp up the immune response to the tumor by inhibiting macrophage tumorigenic tolerance during normal tumor chemotherapeutic agent.
  • the immunomodulatory dosage of the Mer TKI can be given prior to, with or after chemotherapeutic therapy and can be used simultaneously with or intermittently with the chemotherapeutic therapy.
  • less chemotherapeutic therapy is needed than the normal standard of care defined for that chemotherapeutic agent, due to the increased efficacy of the immune response in the surrounding tumor microenvironment.
  • a dose of Mer TKI including active compounds of the present invention is given as a type of adjunctive therapy with the chemotherapeutic agent.
  • a Mer TKI is administered to a host having a cancer as an immunomodulatory agent to inhibit Mer tyrosine kinase activity in a tumor associated macrophage in order to suppress tumor immunity.
  • the dosage of the Mer TKI administered as an immunomodulatory agent to stimulate innate anti-tumor immunity is lower than a dosage of a Mer TKI administered to a host as a direct anti-cancer agent.
  • the Mer TKI is administered at a dosage which exhibits immunomodulatory but not direct cytotoxic effects on the cancer.
  • the dose associated with the immunomodulatory effect of an active compound of the present invention is about 2-fold, about 3-fold, about 4-fold, about 5-fold, about 6-fold, about 7-fold, about 8-fold, about 9-fold, about 10-fold or greater lower than the dose associated with a direct survival-signal inhibiting anti-tumor or cytotoxic effect, or the direct antiviral or antibacterial effect.
  • the dose used to induce an immunomodulatory effect in a host is between about 0.5 mg and about 150 mg.
  • the dose is about 1 mg, about 2 mg, about 3 mg, about 4 mg, about 5 mg, about 10 mg, about 12 mg, about 15 mg, about 20 mg, about 25 mg, about 30 mg, about 35 mg, about 40 mg, about 45 mg, about 50 mg, about 55 mg, about 60 mg, about 65 mg, about 70 mg, about 75 mg, about 80 mg, about 85 mg, about 90 mg, about 95 mg, about 100 mg, about 110 mg, about 125 mg, about 140 mg, or about 150 mg.
  • a compound of Formula I, Formula IA, Formula IB, Formula II, Formula IIA, or Formula IIB, or other active compound as described herein is capable of direct anti-cancer effects by inhibiting Mer tyrosine kinase within tumor cells.
  • the cancer treated overexpresses MerTK.
  • the cancer which overexpresses MerTK is selected from the group consisting of acute myeloid leukemia, T-cell acute lymphoid leukemia, B-cell acute lymphoid leukemia, lung cancer, glioma, melanoma, prostate cancer, schwannoma, mantle cell lymphoma, and rhabdomyosarcoma.
  • the cancer ectopically expresses MerTK.
  • the compound administered is selected from UNC2025A, UNC2142A and UNC2371A.
  • the cancer treated has a mutation in the amino acid sequence of the MerTK extracellular or transmembrane domain selected from P40S (melanoma), S159F (lung), E204K (urinary tract) S428G (gastric), I431F (lung), A446G (kidney), N454S (liver), W485S/C (lymphoma), and V486I (melanoma).
  • the cancer treated has a mutation in the amino acid sequence of the MerTK cytosolic domain mutation selected from L586F (urinary tract), G594R (breast), S626C (urinary tract), P672S (lung), L688M (colon), A7085 (head and neck), N718Y (lung), R722stop (colon), M790V (lung), P802S (melanoma), V873I (liver), S905F (lung), K923R (melanoma), P958L (kidney), D983N (liver), and D990N (colon).
  • the compound administered is selected from UNC2025A, UNC2142A and UNC2371A.
  • a compound of Formula I, Formula IA, Formula IB, Formula II, Formula IIA, or Formula IIB, as described herein is administered to a host with a cancer in combination with one or more additional chemotherapeutic agents, resulting in a synergistic anti-cancer effect and the prolonged survival of a host compared to treatment with either a compound described herein or chemotherapeutic agent alone.
  • the use of a MerTKIcompound described herein in combination with a chemotherapeutic agent provides for increased anti-tumor effects without an increase in the standard of care dosage of the chemotherapeutic agent.
  • the use of a MerTKIcompound described herein in combination with a chemotherapeutic provides for equivalent or increased anti-tumor effects utilizing a lower dosage of a chemotherapeutic agent than the standard of care dosage.
  • a compound of Formula I, Formula IA, Formula IB, Formula II, Formula IIA, or Formula IIB, as described herein, is provided for use in treating a non-small cell lung carcinoma (NSCLC).
  • a method is provided to treat a host with non-small cell lung carcinoma (NSCLC) comprising administering to the host an effective amount of a compound of Formula I, Formula IA, Formula IB, Formula II, Formula IIA, or Formula IIB in combination with one or more additional chemotherapeutic agents.
  • a method is provided to treat a host with cancer comprising administering to the host an effective amount of a Mer TKI including active compounds of the present invention in combination with another tyrosine kinase inhibitor.
  • the tyrosine kinase inhibitor is a fibroblast growth factor receptor (FGFR) inhibitor.
  • FGFR fibroblast growth factor receptor
  • the FGFR inhibitor is AZD-4547.
  • the cancer is non-small cell lung carcinoma (NSCLC).
  • a method is provided to treat a host with non-small cell lung carcinoma (NSCLC) comprising administering to the host an effective amount of a Mer TKI including active compounds of the present invention in combination with an additional tyrosine kinase inhibitor, wherein the Mer TKI is selected from the group consisting of UNC2025A, UNC2142A and UNC2371A, and wherein the additional tyrosine kinase inhibitor is selected from the group consisting of gefitinib and crizotinib.
  • NSCLC non-small cell lung carcinoma
  • a compound of Formula I, Formula IA, Formula IB, Formula II, Formula IIA, or Formula IIB, as described herein, is provided for use in treating a melanoma.
  • the administration of the Mer TKI compound described herein is combined with a chemotherapeutic agent.
  • the chemotherapeutic agent is an anti-programmed cell death ⁇ 1 (PD-1) agent.
  • the chemotherapeutic agent is a B-RAF inhibitor.
  • the B-RAF inhibitor is vemurafenib.
  • the host does not have a melanoma with a B-RAF mutation.
  • the host has a melanoma with a B-RAF mutation.
  • the host has a melanoma with a RAS mutation.
  • the melanoma over-expresses MerTK.
  • the melanoma has metastasized.
  • the MerTK inhibitory compound administered is selected from UNC2025A, UNC2142A and UNC2371A.
  • a compound of Formula I, Formula IA, Formula IB, Formula II, Formula IIA, or Formula IIB, as described herein, is provided for use in treating Acute Lymphoblastic Leukemia (ALL).
  • ALL Acute Lymphoblastic Leukemia
  • a method is provided to treat a host with ALL comprising administering to the host an effective amount of a compound of Formula I, Formula IA, Formula IB, Formula II, Formula IIA, or Formula IIB in combination with methotrexate.
  • the MerTK inhibitory compound administered is selected from UNC2025A, UNC2142A and UNC2371A.
  • a compound of Formula I, Formula IA, Formula IB, Formula II, Formula IIA, or Formula IIB, as described herein, is provided for use in treating Acute Myeloid Leukemia (AML).
  • AML contains a wild type FLT3 protein.
  • the replication of the AML cells are dependent on FLT3 expression.
  • the AML contains a FLT3-ITD mutation.
  • the AML contains a FLT3-TKD mutation.
  • the AML contains both a FLT3-ITD and FLT3-TKD mutation.
  • a FLT3 or dual MER/FLT3 inhibitor described herein is administered to a host suffering from AML, wherein the AML contains a mutation within the FLT3-TKD at amino acid F691 or D835.
  • the MerTK inhibitory compound administered is selected from UNC2025A, UNC2142A and UNC2371A.
  • a tumor survival-signal inhibiting amount for example 0.5 to 150 mg/dose
  • Mer TKI including compounds of the present invention is administered to a host alone or in combination with a chemotherapeutic agent and/or anti-cancer targeted agent.
  • a tumor survival-signal inhibiting amount for example, at least 150 mg/dose, and in some embodiments, at least 200, 250, 300, 350, 400, 450, or 500 mg/dosage or more
  • the Mer TKI and the chemotherapeutic agent act synergistically.
  • the use of a Mer TKI in combination with a chemotherapeutic agent provides for increased anti-tumor effects without an increase in the standard of care dosage of the chemotherapeutic agent.
  • the use of a Mer TKI including compounds of the present invention in combination with a chemotherapeutic provides for equivalent or increased anti-tumor effects utilizing a lower dosage of a chemotherapeutic agent than the standard of care dosage.
  • the Mer TKI including compounds of the present invention can be administered to a host with a cancer prior to, during, or after administration with a chemotherapeutic agent or exposure to ionizing radiation.
  • a host is administered an effective amount of a chemotherapeutic agent or ionizing radiation and subsequently administered a Mer TKI.
  • a method is provided to treat a host with cancer comprising administering to the host an effective amount of a compound of Formula I, Formula IA, Formula IB, Formula II, Formula IIA, or Formula IIB in combination with an immunomodulatory agent.
  • the immunomodulatory agent is selected from the group consisting of a CTLA-4 inhibitor, PD-1 or anti-PD-1 ligand, IFN-alpha, IFN-beta, and a vaccine, for example, a cancer vaccine.
  • a method is provided to treat a host with cancer comprising administering to the host an effective amount of a Mer TKI including active compounds of the present invention in combination with Keytruda® (pembrolizumab).
  • a method is provided to treat a host with cancer comprising administering to the host an effective amount of a Mer TKI including active compounds of the present invention in combination with Opdivo (nivolumab). In one embodiment, a method is provided to treat a host with cancer comprising administering to the host an effective amount of a Mer TKI including active compounds of the present invention in combination with Yervoy® (ipilimumab).
  • a method is provided to treat a host with cancer comprising administering to the host an effective amount of a Mer TKI including active compounds of the present invention in combination with an immunomodulatory agent selected from the group consisting of pembrolizumab and ipilimumab, wherein the Mer TKI is selected from the group consisting of UNC2025A, UNC2142A and UNC2371A, wherein the cancer is melanoma.
  • the Mer TKIs useful in the present invention are dual MER/FLT-3 TKIs.
  • the Mer TKIs are dual MER/Axl TKIs.
  • the Mer TKIs are MER-specific TKIs.
  • the cancer treated can be a primary tumor or a metastatic tumor.
  • the methods described herein are used to treat a solid tumor, for example, melanoma, lung cancer (including lung adenocarcinoma, basal cell carcinoma, squamous cell carcinoma, large cell carcinoma, bronchioloalveolar carcinoma, bronchiogenic carcinoma, non-small-cell carcinoma, small cell carcinoma, mesothelioma); breast cancer (including ductal carcinoma, lobular carcinoma, inflammatory breast cancer, clear cell carcinoma, mucinous carcinoma, serosal cavities breast carcinoma); colorectal cancer (colon cancer, rectal cancer, colorectal adenocarcinoma); anal cancer; pancreatic cancer (including pancreatic adenocarcinoma, islet cell carcinoma, neuroendocrine tumors); prostate cancer; prostate adenocarcinoma; ovarian carcinoma (ovarian epithelial carcinoma or
  • a method is provided to treat a host with a glioblastoma comprising administering to the host an effective amount of a Mer TKI including active compounds of the present invention in combination with temozolomide, wherein the Mer TKI is selected from the group consisting of UNC2025A, UNC2142A and UNC2371A.
  • a method is provided to treat a host with a breast cancer comprising administering to the host an effective amount of a Mer TKI including active compounds of the present invention in combination with trastuzumab, wherein the Mer TKI is selected from the group consisting of UNC2025A, UNC2142A and UNC2371A.
  • the cancer is NSCLC. In one embodiment, the cancer is a melanoma. In one embodiment, the cancer is breast cancer. In one embodiment, the cancer is a glioblastoma. In one embodiment, the cancer is a bone cancer. In one embodiment, the cancer is a brain cancer. In one embodiment, the cancer is a colon cancer. In one embodiment, the cancer is a rectal cancer. In one embodiment, the cancer is an endometrial cancer. In one embodiment, the cancer is an esophageal cancer. In one embodiment, the cancer is a cancer of the gastrointestinal tract. In one embodiment, the cancer is a kidney cancer. In one embodiment, the cancer is a liver cancer. In one embodiment, the cancer is a lung cancer.
  • the cancer is a mantle cell lymphoma. In one embodiment, the cancer is an ovarian cancer. In one embodiment, the cancer is a pancreatic cancer. In one embodiment, the cancer is a pituitary cancer. In one embodiment, the cancer is a prostate cancer. In one embodiment, the cancer is a skeletal muscle cancer. In one embodiment, the cancer is a skin cancer. In one embodiment, the cancer is a stomach cancer. In one embodiment, the cancer is a thyroid cancer. In one embodiment, the cancer is a neuroendocrine cancer. In one embodiment, the cancer is a gastroesophageal cancer. In one embodiment, the cancer is a renal cell cancer. In one embodiment, the cancer is a head and neck cancer. In some embodiments, the Mer TKI used to treat a host having a cancer is selected from the group consisting of UNC2025A, UNC2142A and UNC2371A.
  • the methods described herein are useful for treating a host suffering from a lymphoma or lymphocytic or myelocytic proliferation disorder or abnormality.
  • the Mer TKIs as described herein can be administered to a subject suffering from a Hodgkin Lymphoma of a Non-Hodgkin Lymphoma.
  • the subject can be suffering from a Non-Hodgkin Lymphoma such as, but not limited to: an AIDS-Related Lymphoma; Anaplastic Large-Cell Lymphoma; Angioimmunoblastic Lymphoma; Blastic NK-Cell Lymphoma; Burkitt's Lymphoma; Burkitt-like Lymphoma (Small Non-Cleaved Cell Lymphoma); Chronic Lymphocytic Leukemia/Small Lymphocytic Lymphoma; Cutaneous T-Cell Lymphoma; Diffuse Large B-Cell Lymphoma; Enteropathy-Type T-Cell Lymphoma; Follicular Lymphoma; Hepatosplenic Gamma-Delta T-Cell Lymphoma; Lymphoblastic Lymphoma; Mantle Cell Lymphoma; Marginal Zone Lymphoma; Nasal T-Cell Lymphoma; Pediatric Lymphoma; Peripheral
  • the subject may be suffering from a Hodgkin Lymphoma, such as, but not limited to: Nodular Sclerosis Classical Hodgkin's Lymphoma (CHL); Mixed Cellularity CHL; Lymphocyte-depletion CHL; Lymphocyte-rich CHL; Lymphocyte Predominant Hodgkin Lymphoma; or Nodular Lymphocyte Predominant HL.
  • CHL Nodular Sclerosis Classical Hodgkin's Lymphoma
  • Mixed Cellularity CHL Lymphocyte-depletion CHL
  • Lymphocyte-rich CHL Lymphocyte Predominant Hodgkin Lymphoma
  • Lymphocyte Predominant Hodgkin Lymphoma or Nodular Lymphocyte Predominant HL.
  • the methods as described herein may be useful to treat a host suffering from a specific T-cell, a B-cell, or a NK-cell based lymphoma, proliferative disorder, or abnormality.
  • the subject can be suffering from a specific T-cell or NK-cell lymphoma, for example, but not limited to: Peripheral T-cell lymphoma, for example, peripheral T-cell lymphoma and peripheral T-cell lymphoma not otherwise specified (PTCL-NOS); anaplastic large cell lymphoma, for example anaplastic lymphoma kinase (ALK) positive, ALK negative anaplastic large cell lymphoma, or primary cutaneous anaplastic large cell lymphoma; angioimmunoblastic lymphoma; cutaneous T-cell lymphoma, for example mycosis fungoides, Sézary syndrome, primary cutaneous anaplastic large cell lymphoma, primary cutaneous CD30+ T-cell lymphoprolifer
  • T-cell Leukemia/Lymphoma ATLL
  • Blastic NK-cell Lymphoma Enteropathy-type T-cell lymphoma
  • Hematosplenic gamma-delta T-cell Lymphoma Lymphoblastic Lymphoma
  • Nasal NK/T-cell Lymphomas Treatment-related T-cell lymphomas; for example lymphomas that appear after solid organ or bone marrow transplantation
  • T-cell prolymphocytic leukemia T-cell large granular lymphocytic leukemia
  • Chronic lymphoproliferative disorder of NK-cells Aggressive NK cell leukemia
  • Systemic EBV+ T-cell lymphoproliferative disease of childhood associated with chronic active EBV infection
  • Hydroa vacciniforme-like lymphoma Childhood T-cell leukemia/lymphoma
  • Enteropathy-associated T-cell lymphoma Enteropathy-associated T-cell lymphoma
  • the subject may be suffering from a specific B-cell lymphoma or proliferative disorder such as, but not limited to: multiple myeloma; Diffuse large B cell lymphoma; Follicular lymphoma; Mucosa-Associated Lymphatic Tissue lymphoma (MALT); Small cell lymphocytic lymphoma; Mantle cell lymphoma (MCL); Burkitt lymphoma; Mediastinal large B cell lymphoma; Waldenström macroglobulinemia; Nodal marginal zone B cell lymphoma (NMZL); Splenic marginal zone lymphoma (SMZL); Intravascular large B-cell lymphoma; Primary effusion lymphoma; or Lymphomatoid granulomatosis; Chronic lymphocytic leukemia/small lymphocytic lymphoma; B-cell prolymphocytic leukemia; Hairy cell leukemia; Splenic lymphoma/leukemia, unclassifiable; Sp
  • the methods described herein can be used to a subject suffering from a leukemia.
  • the subject may be suffering from an acute or chronic leukemia of a lymphocytic or myelogenous origin, such as, but not limited to: Acute lymphoblastic leukemia (ALL); Acute myelogenous leukemia (AML); Chronic lymphocytic leukemia (CLL); Chronic myelogenous leukemia (CML); juvenile myelomonocytic leukemia (JMML); hairy cell leukemia (HCL); acute promyelocytic leukemia (a subtype of AML); T-cell prolymphocytic leukemia (TPLL); large granular lymphocytic leukemia; or Adult T-cell chronic leukemia; large granular lymphocytic leukemia (LGL).
  • ALL Acute lymphoblastic leukemia
  • AML Acute myelogenous leukemia
  • CLL Chronic lymphocytic leukemia
  • the patient suffers from an acute myelogenous leukemia, for example an undifferentiated AML (M0); myeloblastic leukemia (M1; with/without minimal cell maturation); myeloblastic leukemia (M2; with cell maturation); promyelocytic leukemia (M3 or M3 variant [M3V]); myelomonocytic leukemia (M4 or M4 variant with eosinophilia [M4E]); monocytic leukemia (M5); erythroleukemia (M6); or megakaryoblastic leukemia (M7).
  • M0 undifferentiated AML
  • M1 myeloblastic leukemia
  • M2 myeloblastic leukemia
  • M3V promyelocytic leukemia
  • M4 or M4 variant with eosinophilia [M4E] myelomonocytic leukemia
  • M5 monocytic leukemia
  • M6
  • the methods described herein can be used to treat a host suffering from Acute Myeloid Leukemia (AML).
  • AML contains a wild type FLT3 protein.
  • the replication of the AML cells are dependent on FLT3 expression.
  • the AML contains a FLT3-ITD mutation.
  • the AML contains a FLT3-TKD mutation.
  • the AML contains both a FLT3-ITD and FLT3-TKD mutation.
  • FLT3-ITD mutations are well known in the art.
  • FLT3-TKD mutations are also well known in the art.
  • a FLT3 or dual MER/FLT3 inhibitor is administered to a host suffering from AML, wherein the AML contains a mutation within the FLT3-TKD at amino acid F691 or D835.
  • the FLT3-TKD mutation is selected from D835H, D835N, D835Y, D835A, D835V, D835V, D835E, I836F, I836L, I836V, I836D, I836H, I836M, and F691L.
  • the host is suffering from the FLT3-TKD mutation D835Y.
  • the host is suffering from the FLT3-TKD mutation F691L.
  • the host is suffering from acute promyelocytic leukemia (a subtype of AML); a minimally differentiated AML (M0); myeloblastic leukemia (M1; with/without minimal cell maturation); myeloblastic leukemia (M2; with cell maturation); promyelocytic leukemia (M3 or M3 variant [M3V]); myelomonocytic leukemia (M4 or M4 variant with eosinophilia [M4E]); monocytic leukemia (M5); erythroleukemia (M6); or megakaryocytic leukemia (M7).
  • the host is suffering from AML that has relapsed or become refractory to previous treatments.
  • the host has previously been treated with a FLT3 inhibitor or other chemotherapeutic agent.
  • the FLT3 inhibitors are efficacious against AML having both FLT3-ITD and FLT3-TKD mutations, wherein resistance to other FLT3 inhibitors, for example, AC220, has been established.
  • the host has an Acute Myeloid Leukemia (AML) comprising a FLT3 mutation, wherein the mutation confers resistance to a FLT3 inhibitor other than the FLT3 inhibitors described herein.
  • AML Acute Myeloid Leukemia
  • the host has a AML comprising a FLT3 mutation, wherein the mutation has conferred resistance to quizartinib (AC220) or other FLT3 inhibitor selected from lestaurtinib, sunitinib, sorafenib, tandutinib, midostaurin, amuvatinib crenolanib, dovitinib, ENMD-2076 (Entremed), or KW-2449 (Kyowa Hakko Kirin), or a combination thereof.
  • AML Acute Myeloid Leukemia
  • an active compound or Mer TKI as described herein is used in combination or alternation with a chemotherapeutic agent.
  • agents may include, but are not limited to, tamoxifen, midazolam, letrozole, bortezomib, anastrozole, goserelin, an mTOR inhibitor, a PI3 kinase inhibitors, dual mTOR-PI3K inhibitors, MEK inhibitors, RAS inhibitors, ALK inhibitors, HSP inhibitors (for example, HSP70 and HSP 90 inhibitors, or a combination thereof).
  • mTOR inhibitors include but are not limited to rapamycin and its analogs, everolimus (Afinitor), temsirolimus, ridaforolimus, sirolimus, and deforolimus.
  • P13 kinase inhibitors include but are not limited to Wortmannin, demethoxyviridin, perifosine, idelalisib, PX-866, IPI-145, BAY 80-6946, BEZ235, RP6503, TGR 1202 (RP5264), MLN1117 (INK1117), Pictilisib, Buparlisib, SAR245408 (XL147), SAR245409 (XL765), Palomid 529, ZSTK474, PWT33597, RP6530, CUDC-907, and AEZS-136.
  • Examples of MEK inhibitors include but are not limited to Tametinib, Selumetinib, MEK162, GDC-0973 (XL518), and PD0325901.
  • Examples of RAS inhibitors include but are not limited to Reolysin and siG12D LODER.
  • Examples of ALK inhibitors include but are not limited to Crizotinib, AP26113, and LDK378.
  • HSP inhibitors include but are not limited to Geldanamycin or 17-N-Allylamino-17-demethoxygeldanamycin (17AAG), and Radicicol.
  • the chemotherapeutic agent is an anti-programmed cell death ⁇ 1 (PD-1) agent, for example, nivolumab, pembrolizumab, BMS936559, lambrolizumab, MPDL3280A, pidilizumab, AMP-244, and MEDI4736.
  • the chemotherapeutic agent is a B-RAF inhibitor, for example, vemurafenib or sorafenib.
  • the chemotherapeutic agent is a FGFR inhibitor, for example, but not limited to, AZD4547, dovitinib, BGJ398, LY2874455, and ponatinib.
  • an active compound or Mer TKI as described herein is used in combination with crizotinib.
  • the additional therapeutic agent is an anti-inflammatory agent, a chemotherapeutic agent, a radiotherapeutic, an additional therapeutic agent, or an immunosuppressive agent.
  • Suitable chemotherapeutic agents include, but are not limited to, radioactive molecules, toxins, also referred to as cytotoxins or cytotoxic agents, which includes any agent that is detrimental to the viability of cells, agents, and liposomes or other vesicles containing chemotherapeutic compounds.
  • General anticancer pharmaceutical agents include: Vincristine (Oncovin®) or liposomal vincristine (Marqibo®), Daunorubicin (daunomycin or Cerubidine®) or doxorubicin (Adriamycin®), Cytarabine (cytosine arabinoside, ara-C, or Cytosar®), L-asparaginase (Elspar®) or PEG-L-asparaginase (pegaspargase or Oncaspar®), Etoposide (VP-16), Teniposide (Vumon®), 6-mercaptopurine (6-MP or Purinethol®), Methotrexate, Cyclophosphamide (Cytoxan®), Prednisone, Dexamethasone (Decadron), imatinib (Gleevec®), dasatinib (Sprycel®), nilotinib (Tasigna®), bosutinib (Bosul
  • chemotherapeutic agents include but are not limited to 1-dehydrotestosterone, 5-fluorouracil decarbazine, 6-mercaptopurine, 6-thioguanine, actinomycin D, adriamycin, aldesleukin, alkylating agents, allopurinol sodium, altretamine, amifostine, anastrozole, anthramycin (AMC)), anti-mitotic agents, cis-dichlorodiamine platinum (II) (DDP) cisplatin), diamino dichloro platinum, anthracyclines, antibiotics, antimetabolites, asparaginase, BCG live (intravesical), betamethasone sodium phosphate and betamethasone acetate, bicalutamide, bleomycin sulfate, busulfan, calcium leucouorin, calicheamicin, capecitabine, carboplatin, lomustine (CCNU), carmustine (BSNU), Chloram
  • Additional therapeutic agents that can be administered in combination with a compound disclosed herein can include bevacizumab, sutinib, sorafenib, 2-methoxyestradiol or 2ME2, finasunate, vatalanib, vandetanib, aflibercept, volociximab, etaracizumab (MEDI-522), cilengitide, erlotinib, cetuximab, panitumumab, gefitinib, trastuzumab, dovitinib, figitumumab, atacicept, rituximab, alemtuzumab, aldesleukine, atlizumab, tocilizumab, temsirolimus, everolimus, lucatumumab, dacetuzumab, HLL1, huN901-DM1, atiprimod, natalizumab, bortezomib, carfilzomib,
  • a FLT3 or dual MER/FLT3 inhibitor described herein is used in combination with a chemotherapeutic agent for the treatment of AML.
  • chemotherapeutic agents may include, but are not limited to, cytarabine (ara-C), anthracycline drugs including but not limited to, daunorubicin, idarubicin; cladribine, fludarabine, Gleevec® (imatinib), Sprycel® (dasatinib), adriamycin, arsenic trioxide, cerubidine, clafen, cyclophosphamide, cytarabine, daunorubicin, doxorubicin, vincristine, and topotecan.
  • cytarabine ara-C
  • anthracycline drugs including but not limited to, daunorubicin, idarubicin; cladribine, fludarabine, Gleevec® (imat
  • a FLT3 or dual MER/FLT3 inhibitor described herein is used in combination with cytarabine.
  • a FLT3 or dual MER/FLT3 inhibitor described herein is used in combination with an additional FLT3 inhibitor to treat with a host suffering from AML.
  • Additional FLT3 inhibitors for use in combination with the FLT3 or dual MER/FLT3 inhibitors described herein include lestaurtinib, sunitinib, sorafenib, tandutinib, midostaurin, crenolanib, dovitinib, ENMD-2076 (Entremed), amuvatinib, or KW-2449 (Kyowa Hakko Kirin).
  • a FLT3 or dual MER/FLT3 inhibitor described herein is used in combination with a Ras inhibitor.
  • RAS inhibitors include but are not limited to Reolysin, FusOn-H2, and siG12D LODER.
  • a FLT3 or dual MER/FLT3 inhibitor described herein is used in combination with a Phosphoinositide 3-kinase inhibitor (PI3K inhibitor).
  • PI3K inhibitors that may be used in the present invention are well known.
  • PI3K inhibitors include but are not limited to Wortmannin, demethoxyviridin, perifosine, idelalisib, Pictilisib, Palomid 529, ZSTK474, PWT33597, CUDC-907, AEZS-136, PX-866, IPI-145, RP6503, SAR245408 (XL147), duvelisib, GS-9820, GDC-0032 (2-[4-[2-(2-Isopropyl-5-methyl-1,2,4-triazol-3-yl)-5,6-dihydroimidazo[1,2-d][1,4]benzoxazepin-9-yl]pyrazol-1-yl]-2-methylpropanamide), MLN-1117 ((2R)-1-Phenoxy-2-butanyl hydrogen (S)-methylphosphonate; or Methyl(oxo) ⁇ [(2R)-1-phenoxy-2-butanyl]oxy ⁇ phospho
  • a FLT3 or dual MER/FLT3 inhibitor described herein is used in combination with a modulator of the STAT5 pathway.
  • Compounds which modulate the Janus Kinase 2 (JAK2)—Signal Transducer and Activator of Transcription 5 (STAT5) pathway include but are not limited to Lestaurtinib, Ruxolitinib, SB1518, CYT387, LY3009104, INC424, LY2784544, BMS-911543, NS-018, and TG101348.
  • a FLT3 or dual MER/FLT3 inhibitor described herein is used in combination with an AKT inhibitor, including but not limited to, MK-2206, GSK690693, Perifosine, (KRX-0401), GDC-0068, Triciribine, AZD5363, Honokiol, PF-04691502, and Miltefosine.
  • AKT inhibitor including but not limited to, MK-2206, GSK690693, Perifosine, (KRX-0401), GDC-0068, Triciribine, AZD5363, Honokiol, PF-04691502, and Miltefosine.
  • Active compounds as described herein used in a dosage for direct effect on the diseased cell can be used in combination with one or more immunotherapy agents for additive or synergistic efficacy against solid tumors.
  • a tumor associated macrophage MerTK inhibiting amount of a Mer TKI is used in combination or alternation with the immunomodulatory agent.
  • a host tumor survival-signal inhibiting, antiviral or antibacterial amount of a Mer TKI is used in combination or alternation with the immunomodulatory agent.
  • Immunomodulators are small molecules or biologic agents that treat a disease by inducing, enhancing or suppressing the host's immune system.
  • one or more immunomodulators are selected that induce or enhance the host's immune system.
  • Some immunomodulators boost the host's immune system and others help train the host's immune system to better attack tumor cells.
  • Other immunomodulators target proteins that help cancer grow.
  • Antibodies are typically administered as monoclonals, although that is not required. “Naked monoclonal antibodies” work by attaching to antigens on tumor cells. Some antibodies can act as a marker for the body's immune system to destroy the tumor cells. Others block signaling agents for tumor cells. Antibodies can generally be used to bind to any signaling or metabolic agent that directly or indirectly facilitates tumor growth. Examples are alemtuzumab (Campath) which binds to CD52 antigen, and trastuzumab (Herceptin), which binds to the HER2 protein.
  • an antibody in another embodiment, can be used that is conjugated to another moiety that increases it delivery or efficacy.
  • the antibody can be connected to a cytotoxic drug or a radiolabel.
  • Conjugated antibodies are sometimes referred to as “tagged, labeled or loaded”.
  • Radiolabeled antibodies have small radioactive particles attached to them. Examples are Zevalin, which is an antibody against CD20 used to treat lymphoma.
  • Chemolabeled antibodies are antibodies that have cytotoxic agents attached to them. Examples are Adcetris, which targets CD30, and Kadcyla, which targets HER2. Ontak, while not an antibody, is similar in that it is interleukin-2 attached to a toxin from diphtheria.
  • cancer vaccine Another category of immunotherapy that can be used in the present invention is a cancer vaccine.
  • Most cancer vaccines are prepared from tumor cells, parts of tumor cells or pure antigens.
  • the vaccine can be used with an adjuvant to help boost the immune response.
  • An example is Provenge, which is the first cancer vaccine approved by the US FDA.
  • the vaccine can for example be a dendritic cell vaccine or a vector-based vaccine
  • Nonspecific tumor immunotherapies and adjuvants include compounds that stimulate the immune system to do a better job at attacking the tumor cells.
  • Such immunotherapies include cytokines, interleukins, interferons ( ⁇ primarily but can be also ⁇ or ⁇ ).
  • Specific agents include granulocyte-macrophage colony-stimulating factor (GM-CSF), IL-12, IL-7, IL-21, drugs that target CTLA-4 (such as Yervoy, which is Ipilimumab) and drugs that target PD-1 or PDL-1 (such as for example, nivolumab (BMS), pembrolizumab (Merck), pidilizumab (CureTech/Teva), AMP-244 (Amplimmune/GSK), BMS-936559 (BMS), and MEDI4736 (Roche/Genentech)).
  • GM-CSF granulocyte-macrophage colony-stimulating factor
  • IL-12 such as Yervoy
  • thalidomide lenalidomide
  • pomalidomide the Bacille Calmette-Gurin bacteria
  • Imiquimod additional therapeutic agents that can be used in combination with the MerTK inhibitor include bispecific antibodies, chimeric antigen receptor (CAR) T-cell therapy and tumor-infiltrating lymphocytes.
  • CAR chimeric antigen receptor
  • a compound described herein can be combined with at least one immunosuppressive agent.
  • the immunosuppressive agent is preferably selected from the group consisting of a calcineurin inhibitor, e.g. a cyclosporin or an ascomycin, e.g. Cyclosporin A (NEORAL®), FK506 (tacrolimus), pimecrolimus, a mTOR inhibitor, e.g. rapamycin or a derivative thereof, e.g. Sirolimus (RAPAMUNE®), Everolimus (Certican®), temsirolimus, zotarolimus, biolimus-7, biolimus-9, a rapalog, e.g.
  • Mycophenolate Mofetil (CELLCEPT®), OKT3 (ORTHOCLONE OKT3®), Prednisone, ATGAM®, THYMOGLOBULIN®, Brequinar Sodium, OKT4, T10B9.A-3A, 33B3.1, 15-deoxyspergualin, tresperimus, Leflunomide ARAVA®, CTLAI-Ig, anti-CD25, anti-IL2R, Basiliximab (SIMULECT®), Daclizumab (ZENAPAX®), mizorbine, methotrexate, dexamethasone, ISAtx-247, SDZ ASM 981 (pimecrolimus, Elidel®), CTLA41g (Abatacept), belatacept, LFA31g, etanercept (sold as Enbrel® by Immunex), adalimumab (Humira®), infliximab (Remicade®), an anti-LFA-1 antibody, natal
  • a compound described herein is used in the treatment of blot clot (thrombus) formation in a host in need thereof.
  • the host is suffering from coronary artery disease, peripheral vascular disease, or cerebrovascular disease.
  • a compound described herein is administered to a host prior to any medical or surgical procedure in which diminished coagulation potential is desirable.
  • an active compound disclosed herein is administered in combination with another anti-thrombotic or anti-clotting agent.
  • a compound of Formula I, Formula IA, Formula IB, Formula II, Formula IIA, or Formula IIB, or another compound, as described herein is provided for use in treating blot clot (thrombus) formation in a subject in need thereof, comprising administering an active compound as described herein, or a pharmaceutically acceptable composition, salt, isotopic analog, or prodrug thereof.
  • the compound for use in treating blot clot (thrombus) formation in a subject in need thereof is selected from UNC2025A, UNC2142A and UNC2371A, including a pharmaceutically acceptable composition, salt, isotopic analog or prodrug thereof.
  • the treatment of blood clot formation is in, for example, a subject with coronary artery disease, peripheral vascular disease, or cerebrovascular disease, or the treatment is given prior to any medical or surgical procedure in which diminished coagulation potential is desirable.
  • Coronary artery disease includes, for example, any coronary dysfunction (pathological state) resulting from coronary artherosclerosis, i.e. partial or total occlusion of coronary vessels.
  • the term also includes a range of various acute and chronical pathological states comprising stable and unstable angina pectoris (SAP and UAP, respectively), left ventricular dysfunction LVD, (congestive) heart failure CHF, myocardial death.
  • Peripheral vascular disease includes, for example, occlusive or functional peripheral arterial disease (PAD).
  • occlusive PAD examples include peripheral arterial occlusion, which may be acute, and Buerger's disease (thomboangiitis obliterans).
  • functional PAD examples include Raynaud's disease, Raynaud's phenomenon, and acrocyanosis.
  • Cerebrovascular disease includes, for example, any abnormality of the brain resulting from a pathologic process of a blood vessel.
  • the cerebrovascular disease is selected from cerebral ischemia, cerebral hemorrhage, ischemic stroke, hemorrhagic stroke, or ischemic reperfusion injury resulting from reintroduction of blood flow following cerebral ischemia or ischemic stroke.
  • the medical or surgical procedure is pulmonary vein ablation.
  • the treatment of blood clot formation is in a host having thrombi in blood vessels from pathologies or treatments including, for example, myocardial infarction, unstable angina, atrial fibrillation, stroke, renal damage, percutaneous translumenal coronary angioplasty, athreosclerosis, disseminated intravascular coagulation, sepsis, endotoxemia (i.e., the presence of endotoxins in the blood), pulmonary embolism and deep vein thrombosis.
  • pathologies or treatments including, for example, myocardial infarction, unstable angina, atrial fibrillation, stroke, renal damage, percutaneous translumenal coronary angioplasty, athreosclerosis, disseminated intravascular coagulation, sepsis, endotoxemia (i.e., the presence of endotoxins in the blood), pulmonary embolism and deep vein thrombosis.
  • the compounds described herein are administered to a host having blood clots on the surfaces of artificial organs, shunts and prostheses (for example, artificial heart valves that are implanted into a patient), and in patients that have received an intracoronary stent.
  • a host is administered an effective amount of a compound described herein due to the formation of clots resulting from some pathological conditions (for example, genetic mutation of VWF cleaving protease, ADAMT13), which may cause spontaneous binding of VWF to platelets resulting in formation of microthrombi in blood vessels leading to thrombotic thrombocytopenic purpura and other microangiopathy.
  • Microangiopathy is a disease of blood vessels in which the walls of very small blood vessels (capillaries) become so thick and weak that they bleed, leak protein, and slow the flow of blood.
  • the treatment is in a patient with hemolytic uremic syndrome.
  • an active compound disclosed herein is administered in combination with an additional anti-platelet agent.
  • anti-platelet agents include, but are not limited to, aspirin, tirofiban (Aggrastat), Aggrenox, Agrylin, triflusal (Disgren), Flolan, eptifibatide (Integrilin), dipyridamole (Presantine), cilostazol (Pletal), abciximab (ReoPro), and Terutroban.
  • a compound selected from UNC2025A, UNC2142A and UNC237A1 is administered in combination with an additional anti-platelet agent.
  • the Mer TKI and the additional anti-platelet agent act synergistically.
  • the use of a Mer TKI in combination with an additional anti-platelet agent provides for increased anti-thrombotic or anti-clotting effects without an increase in the standard of care dosage.
  • the additional anti-platelet agent is an adenosine diphosphate (ADP) receptor inhibitor.
  • ADP receptor inhibitors include, but are not limited to, clopidogrel (Plavix), prasugrel (Effient), ticagrelor (Brilinta), ticlopidine (Ticlid), N6-methyl-T-deoxyadenosine-3′,5′-bisphosphate (MRS2179; P 2 Y1 inhibitor), and 2-methylthioadenosine 5′-monophosphate triethylammonium salt (2-Me-SAMP; P 2 Y12 inhibitor).
  • an active compound disclosed herein is administered in combination with multiple anti-platelet agents.
  • an active compound disclosed herein is administered in combination with N6-methyl-2′-deoxyadenosine-3′,5′-bisphosphate and 2-methylthioadenosine 5′-monophosphate triethylammonium salt.
  • an active compound disclosed herein is administered in combination with an anti-coagulant.
  • the anti-coagulant is a heparin composition.
  • the heparin composition is a low molecular weight heparin composition.
  • Low molecular weight heparin compositions are well known to those of skill in the art and include, but are not limited to, tinzaparin, certoparin, pamaparin, nadroparin, ardeparin, enoxaparin, reviparin, dalteparin, and fraxiparin. Additional examples of anti-coagulants include, but are not limited to, warfarin (Coumadin), Fragmin, Hep-Lock, Lovenox, and Miradon.
  • a compound selected from UNC2025A, UNC2142A and UNC2371A is administered in combination with an anti-coagulant.
  • an effective amount of an active compound as described herein is incorporated into nanoparticles, e.g. for convenience of delivery and/or extended release delivery.
  • the use of materials in nanoscale provides one the ability to modify fundamental physical properties such as solubility, diffusivity, blood circulation half-life, drug release characteristics, and immunogenicity.
  • nanoparticle-based therapeutic and diagnostic agents have been developed for the treatment of cancer, diabetes, pain, asthma, allergy, and infections. These nanoscale agents can provide more effective and/or more convenient routes of administration, lower therapeutic toxicity, extend the product life cycle, and ultimately reduce health-care costs.
  • nanoparticles allow targeted delivery and controlled release.
  • nanoparticle-based drug delivery can be used to release drugs at a sustained rate and thus lower the frequency of administration, deliver drugs in a target manner to minimize systemic side effects, or deliver two or more drugs simultaneously for combination therapy to generate a synergistic effect and suppress drug resistance.
  • nanotechnology-based therapeutic products have been approved for clinical use.
  • liposomal drugs and polymer-based conjugates account for more than 80% of the products. See, Zhang, L., et al., Nanoparticles in Medicine: Therapeutic Applications and Developments, Clin. Pharm. and Ther., 83(5):761-769, 2008.
  • Optimal solid lipid nanoparticles can be produced in a controlled fashion when a fraction of lipid in the crystalline alpha form can be created and preserved.
  • the SLN carrier has a built in trigger mechanism as lipids transform from the alpha to beta form and consequently control drug release.
  • Drug release profiles can be modified according to the composition of the lipid matrix, surfactant concentration and production parameters. See, Muller, R. H., et al., Solid lipid nanoparticles (SLN) for controlled drug delivery—a review of the state of the art, Eur. H. Pharm. Biopharm., 50:161-177, 2000. Consien et al.
  • lipid nanoparticles having novel amino-lipids that form lipid nanoparticles and their use for the intracellular delivery of biologically active compounds, e.g., nucleic acids. See, U.S. Pat. No. 8,691,750 to Consien et al.
  • Kanwar has recently disclosed alginate adsorbed chitosan adsorbed lactoferrin adsorbed calcium phosphate nanoparticles and the controlled release of lactoferrin from the nanoparticles. See, WO 2012/145801 to Kanwar.
  • Armes et al. have recently disclosed polymer-templated core-shell nanoparticles adapted to facilitate controlled release of at least one active agent into a system in response to controlled changes in the pH of the system. See, U.S. Pat. No. 8,580,311 to Armes, S. et al. incorporated by reference herein.
  • Nanoparticles may be prepared using a wide variety of methods known in the art.
  • nanoparticles can be formed by methods as nanoprecipitation, flow focusing fluidic channels, spray drying, single and double emulsion solvent evaporation, solvent extraction, phase separation, milling, microemulsion procedures, microfabrication, nanofabrication, sacrificial layers, simple and complex coacervation, and other methods well known to those of ordinary skill in the art.
  • aqueous and organic solvent syntheses for monodisperse semiconductor, conductive, magnetic, organic, and other nanomaterials have been described (Pellegrino et al., 2005, Small, 1:48; Murray et al., 2000, Ann. Rev. Mat.
  • Nanoparticles may comprise natural polymers, including but not limited to chitosan, alginate, dextran, gelatin, and albumin, and synthetic polymers such as, but not limited to, poly(lactide-co-glycolide) (PLGA), (3-hydroxybutyrate-co-3-hydroxyvalerate) (PHBV), poly(sebacic anhydride), poly(s-caprolactone), polystyrene, thermoresponsive (i.e., NIPAAm and CMCTS-g-PDEA) and pH-responsive (i.e., Eudragit L100, Eudragit S and AQOAT AS-MG) polymers.
  • PLGA poly(lactide-co-glycolide)
  • PHBV 3-hydroxybutyrate-co-3-hydroxyvalerate)
  • PHBV poly(sebacic anhydride)
  • poly(s-caprolactone) polystyrene
  • thermoresponsive i.e., NIPAAm and CMCTS-g-PDEA
  • the polymeric particle is between about 0.1 nm to about 10000 nm, between about 1 nm to about 1000 nm, between about 10 nm and 1000 nm, between about 100 nm and 800 nm, between about 400 nm and 600 nm, or about 500 nm.
  • the micro-particles are about 0.1 nm, 0.5 nm, 1.0 nm, 5.0 nm, 10 nm, 25 nm, 50 nm, 75 nm, 100 nm, 150 nm, 200 nm, 250 nm, 300 nm, 400 nm, 450 nm, 500 nm, 550 nm, 600 nm, 650 nm, 700 nm, 750 nm, 800 nm, 850 nm, 900 nm, 950 nm, 1000 nm, 1250 nm, 1500 nm, 1750 nm, or 2000 nm.
  • the compounds described herein are covalently coupled to a polystyrene particle, PLGA particle, PLA particle, or other nanoparticle.
  • the nanoparticle can be solid or hollow and can comprise one or more layers. In some embodiments, each layer has a unique composition and unique properties relative to the other layer(s).
  • the nanoparticle may have a core/shell structure, wherein the core is one layer (e.g. a polymeric core) and the shell is a second layer (e.g. a lipid bilayer or monolayer). In some embodiments, the nanoparticle may comprise a plurality of different layers. In some embodiments, the compounds described herein can be incorporated into or surrounded by one or more layers.
  • the nanoparticles comprising the compounds described herein may optionally comprise one or more lipids.
  • a nanoparticle may comprise a liposome.
  • a nanoparticle may comprise a lipid bilayer.
  • a nanoparticle may comprise a lipid monolayer.
  • a nanoparticle may comprise a micelle.
  • a nanoparticle may comprise a core comprising a polymeric matrix surrounded by a lipid layer (e.g., lipid bilayer, lipid monolayer, etc.).
  • a nanoparticle may comprise a non-polymeric core (e.g., metal particle, quantum dot, ceramic particle, bone particle, viral particle, proteins, nucleic acids, carbohydrates, etc.) surrounded by a lipid layer (e.g., lipid bilayer, lipid monolayer, etc.).
  • a non-polymeric core e.g., metal particle, quantum dot, ceramic particle, bone particle, viral particle, proteins, nucleic acids, carbohydrates, etc.
  • lipid layer e.g., lipid bilayer, lipid monolayer, etc.
  • the nanoparticle may comprise metal particles, quantum dots, ceramic particles, etc.
  • a non-polymeric nanoparticle is an aggregate of non-polymeric components, such as an aggregate of metal atoms (e.g., gold atoms).
  • nanoparticles may optionally comprise one or more amphiphilic entities.
  • an amphiphilic entity can promote the production of nanoparticles with increased stability, improved uniformity, or increased viscosity.
  • amphiphilic entities can be associated with the interior surface of a lipid membrane (e.g., lipid bilayer, lipid monolayer, etc.). Many amphiphilic entities known in the art are suitable for use in making nanoparticles useful in the present invention.
  • amphiphilic entities include, but are not limited to, phosphoglycerides; phosphatidylcholines; dipalmitoyl phosphatidylcholine (DPPC); dioleylphosphatidyl ethanolamine (DOPE); dioleyloxypropyltriethylammonium (DOTMA); dioleoylphosphatidylcholine; cholesterol; cholesterol ester; diacylglycerol; diacylglycerolsuccinate; diphosphatidyl glycerol (DPPG); hexanedecanol; fatty alcohols such as polyethylene glycol (PEG); polyoxyethylene-9-lauryl ether; a surface active fatty acid, such as palmitic acid or oleic acid; fatty acids; fatty acid monoglycerides; fatty acid diglycerides; fatty acid amides; sorbitan trioleate (Span®85) glycocholate; sorbitan monolaurate (Span®20); polysorbate 20
  • amphiphilic entity component may be a mixture of different amphiphilic entities. Those skilled in the art will recognize that this is an exemplary, not comprehensive, list of substances with surfactant activity. Any amphiphilic entity may be used in the production of nanoparticles to be used in accordance with the present invention.
  • a nanoparticle may optionally comprise one or more carbohydrates.
  • Carbohydrates may be natural or synthetic.
  • a carbohydrate may be a derivatized natural carbohydrate.
  • a carbohydrate comprises monosaccharide or disaccharide, including but not limited to glucose, fructose, galactose, ribose, lactose, sucrose, maltose, trehalose, cellbiose, mannose, xylose, arabinose, glucoronic acid, galactoronic acid, mannuronic acid, glucosamine, galatosamine, and neuramic acid.
  • a carbohydrate is a polysaccharide, including but not limited to pullulan, cellulose, microcrystalline cellulose, hydroxypropyl methylcellulose (HPMC), hydroxycellulose (HC), methylcellulose (MC), dextran, cyclodextran, glycogen, hydroxyethylstarch, carageenan, glycon, amylose, chitosan, N,O-carboxylmethylchitosan, algin and alginic acid, starch, chitin, inulin, konjac, glucommannan, pustulan, heparin, hyaluronic acid, curdlan, and xanthan.
  • the nanoparticle does not comprise (or specifically exclude) carbohydrates, such as a polysaccharide.
  • the carbohydrate may comprise a carbohydrate derivative such as a sugar alcohol, including but not limited to mannitol, sorbitol, xylitol, erythritol, maltitol, and lactitol.
  • the associated nanoparticle can comprise one or more polymers.
  • the nanoparticle comprises one or more polymers that are a non-methoxy-terminated, pluronic polymer. In some embodiments, at least 1%, 2%, 3%, 4%, 5%, 10%, 15%, 20%, 25%, 30%, 35%, 40%, 45%, 50%, 55%, 60%, 65%, 70%, 75%, 80%, 85%, 90%, 95%, 97%, or 99% (weight/weight) of the polymers that make up the nanoparticles are non-methoxy-terminated, pluronic polymers. In some embodiments, all of the polymers that make up the nanoparticle are non-methoxy-terminated, pluronic polymers.
  • the nanoparticle comprises one or more polymers that are a non-methoxy-terminated polymer. In some embodiments, at least 1%, 2%, 3%, 4%, 5%, 10%, 15%, 20%, 25%, 30%, 35%, 40%, 45%, 50%, 55%, 60%, 65%, 70%, 75%, 80%, 85%, 90%, 95%, 97%, or 99% (weight/weight) of the polymers that make up the nanoparticles are non-methoxy-terminated polymers. In some embodiments, all of the polymers that make up the nanoparticle are non-methoxy-terminated polymers. In some embodiments, the nanoparticle comprises one or more polymers that do not comprise pluronic polymer.
  • such a polymer can be surrounded by a coating layer (e.g., liposome, lipid monolayer, micelle, etc.).
  • various elements of the nanoparticle can be coupled with the polymer.
  • polymers include, but are not limited to polyethylenes, polycarbonates (e.g. poly(1,3-dioxan-Zone)), polyanhydrides (e.g. poly(sebacic anhydride)), polypropylfumerates, polyamides (e.g. polycaprolactam), polyacetals, polyethers, polyesters (e.g., polylactide, polyglycolide, polylactide-co-glycolide, polycaprolactone, polyhydroxyacid (e.g.
  • nanoparticles include polymers which have been approved for use in humans by the U.S. Food and Drug Administration (FDA) under 21 C.F.R. ⁇ 177.2600, including but not limited to polyesters (e.g., polylactic acid, poly(lactic-co-glycolic acid), polycaprolactone, polyvalerolactone, poly(1,3-dioxan-2one)); polyanhydrides (e.g., poly(sebacic anhydride)); polyethers (e.g., polyethylene glycol); polyurethanes; polymethacrylates; polyacrylates; and polycyanoacrylates.
  • FDA U.S. Food and Drug Administration
  • polymers can be hydrophilic.
  • polymers may comprise anionic groups (e.g., phosphate group, sulphate group, carboxylate group); cationic groups (e.g., quaternary amine group); or polar groups (e.g., hydroxyl group, thiol group, amine group).
  • a nanoparticles comprising a hydrophilic polymeric matrix generates a hydrophilic environment within the nanoparticle.
  • polymers can be hydrophobic.
  • a nanoparticles comprising a hydrophobic polymeric matrix generates a hydrophobic environment within the nanoparticle. Selection of the hydrophilicity or hydrophobicity of the polymer may have an impact on the nature of materials that are incorporated (e.g., coupled) within the nanoparticle.
  • polymers may be modified with one or more moieties and/or functional groups.
  • moieties or functional groups can be used in accordance with the present invention.
  • polymers may be modified with polyethylene glycol (PEG), with a carbohydrate, and/or with acyclic polyacetals derived from polysaccharides (Papisov, 2001, ACS Symposium Series, 786:301). Certain embodiments may be made using the general teachings of U.S. Pat. No. 5,543,158 to Gref et al., or WO publication WO2009/051837 by Von Andrian et al.
  • polymers may be modified with a lipid or fatty acid group.
  • a fatty acid group may be one or more of butyric, caproic, caprylic, capric, lauric, myristic, palmitic, stearic, arachidic, behenic, or lignoceric acid.
  • a fatty acid group may be one or more of palmitoleic, oleic, vaccenic, linoleic, alpha-linoleic, gamma-linoleic, arachidonic, gadoleic, arachidonic, eicosapentaenoic, docosahexaenoic, or erucic acid.
  • polymers may be one or more acrylic polymers.
  • acrylic polymers include, for example, acrylic acid and methacrylic acid copolymers, methyl methacrylate copolymers, ethoxyethyl methacrylates, cyanoethyl methacrylate, aminoalkyl methacrylate copolymer, poly(acrylic acid), poly(methacrylic acid), methacrylic acid alkylamide copolymer, poly(methyl methacrylate), poly(methacrylic acid anhydride), methyl methacrylate, polymethacrylate, poly(methyl methacrylate) copolymer, polyacrylamide, aminoalkyl methacrylate copolymer, glycidyl methacrylate copolymers, polycyanoacrylates, and combinations comprising one or more of the foregoing polymers.
  • the acrylic polymer may comprise fully-polymerized copolymers of acrylic and methacrylic acid esters with a low content of quaternary ammoni
  • polymers can be cationic polymers.
  • cationic polymers are able to condense and/or protect negatively charged strands of nucleic acids (e.g. DNA, or derivatives thereof).
  • Amine-containing polymers such as poly(lysine) (Zauner et al., 1998, Adv. Drug Del. Rev., 30:97; and Kabanov et al., 1995, Bioconjugate Chem., 6:7), poly(ethylene imine) (PEI; Boussif et al., 1995, Proc. Natl. Acad.
  • the nanoparticles may not comprise (or may exclude) cationic polymers.
  • polymers can be degradable polyesters bearing cationic side chains (Putnam et al., 1999, Macromolecules, 32:3658; Barrera et al., 1993, J. Am. Chem. Soc., 115:11010; Kwon et al., 1989, Macromolecules, 22:3250; Lim et al., 1999, J. Am. Chem. Soc., 121:5633; and Zhou et al., 1990, Macromolecules, 23:3399).
  • polyesters include poly(L-lactide-co-L-lysine) (Barrera et al., 1993, J. Am. Chem.
  • Polymers can be linear or branched polymers. In some embodiments, polymers can be dendrimers. In some embodiments, polymers can be substantially cross-linked to one another. In some embodiments, polymers can be substantially free of cross-links. In some embodiments, polymers can be used without undergoing a cross-linking step. It is further to be understood that a nanoparticle may comprise block copolymers, graft copolymers, blends, mixtures, and/or adducts of any of the foregoing and other polymers. Those skilled in the art will recognize that the polymers listed herein represent an exemplary, not comprehensive, list of polymers that can be of use in accordance with the present invention.
  • the compounds of the present invention can be coupled to a nanoparticle by any of a number of methods.
  • the coupling can be a result of bonding between the compound and the nanoparticle. This bonding can result in the compound being attached to the surface of the nanoparticle and/or contained within (encapsulated) the nanoparticle.
  • the compounds are encapsulated by the nanoparticle as a result of the structure of the nanoparticle rather than bonding to the nanoparticle.
  • the nanoparticle comprises a polymer as provided herein, and the compounds described herein are coupled to the nanoparticle.
  • the compounds described herein may be encapsulated into nanoparticles as desirable using a variety of methods including but not limited to C.
  • nanoparticles are prepared by a nanoprecipitation process or spray drying. Conditions used in preparing nanoparticles may be altered to yield particles of a desired size or property (e.g., hydrophobicity, hydrophilicity, external morphology, “stickiness,” shape, etc.).
  • the method of preparing the nanoparticles and the conditions (e.g., solvent, temperature, concentration, air flow rate, etc.) used may depend on the materials to be coupled to the nanoparticles and/or the composition of the polymer matrix. If particles prepared by any of the above methods have a size range outside of the desired range, particles can be sized, for example, using a sieve.
  • PRINT technology is used to manufacture nanoparticles comprising a compound described herein.
  • liposome based nanoparticles comprising a compound described herein.
  • a liposome based nanoparticle comprises a compound described herein formulated for controlled-release.
  • polymer based nanoparticles comprising a compound described herein.
  • polymer based nanoparticles comprising a compound described herein formulated for controlled-release.
  • nanoparticles are comprised of albumin and a compound described herein. In another embodiment, nanoparticles are comprised of a polysaccharide and a compound described herein. In one embodiment, nanoparticles are comprised of a metal and a compound described herein. In another embodiment, nanoparticles are comprised of gold and a compound described herein. In another embodiment, nanoparticles are comprised of iron oxide and a compound described herein. In one embodiment, nanoparticles are comprised of silicon and a compound described herein.
  • nanoparticles are comprised of L-glutamic acid copolymers and a compound described herein. In another embodiment, nanoparticles are comprised of L-alanine copolymers and a compound described herein. In one embodiment, nanoparticles are comprised of L-lysine copolymers and a compound described herein. In another embodiment, nanoparticles are comprised of L-tyrosine copolymers and a compound described herein. In other embodiment, nanoparticles are comprised of poly(lactic-co-glycolic acid) and a compound described herein. In another embodiment, nanoparticles are comprised of methoxy-PEG-poly(D,L-lactide) and a compound described herein.
  • nanoparticles are comprised of HPMA copolymer and a compound described herein.
  • nanoparticles are comprised of polycyclodextran and a compound described herein.
  • nanoparticles are comprised of polyglutamate and a compound described herein.
  • nanoparticles are comprised of poly(iso-hexyl-cyanoacrylate) and a compound described herein.
  • nanoparticles are comprised of poly-L-lysine and a compound described herein.
  • nanoparticles are comprised of PEG and a compound described herein.
  • nanoparticles are made of combinations of polymers and a compound described herein.
  • a compounds described herein is released from a nanoparticle over a period of between about 1 and about 90 days. In one embodiment, the compound is released over a period of about 3 to 28 days. In one embodiment, the compound is released over a period of about 5 to 21 days.
  • Scheme 1 illustrates a general procedure for preparing a compound of the present invention.
  • Structure 1-1 can be prepared by alkylating a desired 7H-pyrrolo[2,3-d]pyrimidine with a desired R 2 -LG 3 , LG 3 is a leaving group, compound according to methods known in the art.
  • the R 2 moiety can be protected and deprotected by one skilled in the art to generate compounds of Formula I. See, for example, Greene, T. W. and Wuts, P. G. M., Protective Groups in Organic Synthesis, 2 th Ed., New York, John Wiley and Sons, Inc., 1991.
  • Structure 1-1 can be prepared by treating a desired 7H-pyrrolo[2,3-d]pyrimidine with a desired alkyl halide, for example, tert-butyl trans-4-(iodomethyl)cyclohexylcarbamate in the presence of a base, for example, potassium carbonate in the presence of organic solvent(s), for example dimethyl sulfoxide and tetrahydrofuran optionally in a microwave apparatus optionally at an elevated temperature.
  • X′ is nitrogen and X is C.
  • LG 1 is a leaving group.
  • LG 1 is chloride.
  • LG 2 is a leaving group.
  • LG 2 is bromide.
  • Structure 1-2 can be prepared by aminating a desired 7H-pyrrolo[2,3-d]pyrimidine, Structure 1-1, with a desired amine in an organic solvent(s), for example, dimethyl sulfoxide and tetrahydrofuran, in the presence of a base, for example, potassium carbonate optionally at an elevated temperature in a sealed tube.
  • Structure 1-3 can be prepared by treating a desired 7H-pyrrolo[2,3-d]pyrimidine with a desired R 1 -LG 4 compound according to methods known in the art.
  • Structure 1-3 can be prepared by treating Structure 1-2 with a desired boronic acid, an organometallic reagent, a base and a mixture of solvents optionally in a microwave apparatus optionally at an elevated temperature of about 120° C.
  • the boronic acid is 4-fluorophenylboronic acid.
  • the organometallic reagent is tetrakis(triphenylphosphine)palladium.
  • the base is potassium carbonate.
  • the mixture of solvents comprises dioxane and water.
  • a compound of Formula I can be prepared by treating Structure 1-3 with an acid and an organic solvent.
  • the acid is trifluoroacetic acid.
  • the organic solvent is dichloromethane. This chemistry is illustrated in Scheme 1.
  • Scheme 2 illustrates a general procedure for preparing a compound of the present invention.
  • Structure 2-1 can be prepared by alkylating a desired 7H-pyrrolo[2,3-d]pyrimidine with a desired R 12 -LG 3 , LG 3 is a leaving group, compound according to methods known in the art.
  • the R 12 moiety can be protected and deprotected by one skilled in the art to generate compounds of Formula II. See, for example, Greene, T. W. and Wuts, P. G. M., Protective Groups in Organic Synthesis, 2 th Ed., New York, John Wiley and Sons, Inc., 1991.
  • Structure 2-1 can be prepared by treating a desired 7H-pyrrolo[2,3-d]pyrimidine with a desired alkyl halide, for example, tert-butyl trans-4-(iodomethyl)cyclohexylcarbamate in the presence of a base, for example, potassium carbonate in the presence of organic solvent(s), for example dimethyl sulfoxide and tetrahydrofuran optionally in a microwave apparatus optionally at an elevated temperature.
  • X′ is nitrogen and X is C.
  • LG 1 is a leaving group.
  • LG 1 is chloride.
  • LG 2 is a leaving group.
  • LG 2 is bromide.
  • Structure 2-2 can be prepared by aminating a desired 7H-pyrrolo[2,3-d]pyrimidine, Structure 2-1, with a desired amine in an organic solvent(s), for example, dimethyl sulfoxide and tetrahydrofuran, in the presence of a base, for example, potassium carbonate optionally at an elevated temperature in a sealed tube.
  • Structure 2-3 can be prepared by treating a desired 7H-pyrrolo[2,3-d]pyrimidine with a desired R 11 -LG 4 compound according to methods known in the art.
  • Structure 2-3 can be prepared by treating Structure 2-2 with a desired boronic acid, an organometallic reagent, a base and a mixture of solvents optionally in a microwave apparatus optionally at an elevated temperature of about 120° C.
  • the boronic acid is 4-fluorophenylboronic acid.
  • the organometallic reagent is tetrakis(triphenylphosphine)palladium.
  • the base is potassium carbonate.
  • the mixture of solvents comprises dioxane and water.
  • a compound of Formula II can be prepared by treating Structure 2-3 with an acid and an organic solvent.
  • the acid is trifluoroacetic acid.
  • the organic solvent is dichloromethane. This chemistry is illustrated in Scheme 2.
  • Scheme 3 illustrates a general procedure for preparing a compound of the present invention.
  • Structure 3-1 can be prepared by alkylating a desired 7H-pyrrolo[2,3-d]pyrimidine with a desired R 2 -LG 3 compound according to methods known in the art.
  • the R 2 moiety can be protected and deprotected by one skilled in the art to generate compounds of Formula I. See, for example, Greene, T. W. and Wuts, P. G. M., Protective Groups in Organic Synthesis, 2 th 2 Ed., New York, John Wiley and Sons, Inc., 1991.
  • Structure 3-1 can be prepared by treating a desired 7H-pyrrolo[2,3-d]pyrimidine with a desired alcohol, for example, cis-4-(tert-butyldimethylsilyloxy)cyclohexanol in the presence of a phosphorane, for example, (cyanomethylene)trimethylphosphorane in the presence of organic solvent(s), for example toluene and tetrahydrofuran.
  • X′ is nitrogen and X is C.
  • LG 1 is a leaving group.
  • LG 1 is chloride.
  • LG 2 is a leaving group.
  • LG 2 is bromide.
  • Structure 3-2 can be prepared by aminating a desired 7H-pyrrolo[2,3-d]pyrimidine, Structure 3-1, with a desired amine in an organic solvent, for example, 2-propanol, optionally at an elevated temperature in a microwave apparatus.
  • Structure 3-3 can be prepared by treating a desired 7H-pyrrolo[2,3-d]pyrimidine with a desired R 1 -LG 4 compound according to methods known in the art.
  • Structure 3-3 can be prepared by treating Structure 3-2 with a desired boronic acid, an organometallic reagent, a base and a mixture of solvents optionally in a microwave apparatus optionally at an elevated temperature of about 150° C.
  • the boronic acid is (4-fluorophenyl)boronic acid.
  • the organometallic reagent is Pd(PPh 3 ) 4 .
  • the base is potassium carbonate.
  • the mixture of solvents comprises tetrahydrofuran and water.
  • a compound of Formula I can be prepared by treating Structure 3-3 with an acid and an organic solvent.
  • the acid is 1% concentrated hydrochloric acid.
  • the organic solvent is methanol. This chemistry is illustrated in Scheme 3.
  • Scheme 4 illustrates a general procedure for preparing a compound of the present invention.
  • Structure 4-1 can be prepared by alkylating a desired 7H-pyrrolo[2,3-d]pyrimidine with a desired R 12 -LG 3 , LG 3 is a leaving group, compound according to methods known in the art.
  • the R 12 moiety can be protected and deprotected by one skilled in the art to generate compounds of Formula II. See, for example, Greene, T. W. and Wuts, P. G. M., Protective Groups in Organic Synthesis, 2 th Ed., New York, John Wiley and Sons, Inc., 1991.
  • Structure 4-1 can be prepared by treating a desired 7H-pyrrolo[2,3-d]pyrimidine with a desired alcohol, for example, cis-4-(tert-butyldimethylsilyloxy)cyclohexanol in the presence of a phosphorane, for example, (cyanomethylene)trimethylphosphorane in the presence of organic solvent(s), for example toluene and tetrahydrofuran.
  • X′ is nitrogen and X is C.
  • LG 1 is a leaving group.
  • LG 1 is chloride.
  • LG 2 is a leaving group.
  • LG 2 is bromide.
  • Structure 4-2 can be prepared by aminating a desired 7H-pyrrolo[2,3-d]pyrimidine, Structure 4-1, with a desired amine in an organic solvent, for example, 2-propanol, optionally at an elevated temperature in a microwave apparatus.
  • Structure 4-3 can be prepared by treating a desired 7H-pyrrolo[2,3-d]pyrimidine with a desired R 11 -LG 4 compound according to methods known in the art. LG 4 is a leaving group.
  • Structure 4-3 can be prepared by treating Structure 4-2 with a desired boronic acid, an organometallic reagent, a base and a mixture of solvents optionally in a microwave apparatus optionally at an elevated temperature of about 150° C.
  • the boronic acid is (4-fluorophenyl)boronic acid.
  • the organometallic reagent is Pd(PPh 3 ) 4 .
  • the base is potassium carbonate.
  • the mixture of solvents comprises tetrahydrofuran and water.
  • a compound of Formula II can be prepared by treating Structure 4-3 with an acid and an organic solvent.
  • the acid is 1% concentrated hydrochloric acid.
  • the organic solvent is methanol. This chemistry is illustrated in Scheme 4.
  • a compound of Formula I or Formula II can be metabolized to generate pyrrolopyrimidine compounds.
  • a compound of Formula I or Formula II can be dealkylated.
  • a compound of Formula I can be dealkylated at R 3 to generate R 3 ⁇ NH 2 .
  • a compound of Formula II can be dealkylated.
  • a compound of Formula II can be dealkylated at R 13 to generate R 13 ⁇ NH 2 .
  • a compound of Formula I comprising a methylated amine can be demethylated.
  • a compound of Formula II comprising a methylated amine can be demethylated.
  • a compound of Formula I or Formula II can be oxidized.
  • a compound of Formula I or Formula II comprising a piperazine group can be oxidized to generate a piperazine N-oxide.
  • a compound of Formula I or Formula II comprising a piperazine group can be oxidized twice to generate a piperazine bis-N-oxide.
  • a compound of Formula I or Formula II can be oxidized to generate a pyrrolopyrimidine N-oxide.
  • Table 1 describes compounds prepared following procedures described in Example 2 (General Procedure A), using appropriate reagents.
  • Table 2 describes compounds prepared following procedures described in Example 3 (General Procedure B), using appropriate reagents.
  • Table 3 describes compounds prepared following procedures described in Example 5A (General Procedure D), using appropriate reagents.
  • the aqueous layer was extracted with a mixture of CH 2 Cl 2 and i-PrOH (1:1, 2.0 ml ⁇ 3). The combined organic layer was washed with brine (2.0 ml), dried (Na 2 SO 4 ), and concentrated. The residue was treated with 4 N HCl in dioxane and concentrated.
  • the crude product was purified on HPLC to provide the title compound as a TFA salt which was exchanged to HCl salt through treatment with 4 N HCl in dioxane. The resulting HCl salt was lyophilized to provide the title compound (UNC4308A) (35.6 mg, 39% over 2 steps).
  • Table 4 describes compounds prepared following procedures described in Example 5C (General Procedure F), using appropriate reagents.
  • Table 5 describes compounds prepared following procedures described in Example 5D (General Procedure G), using appropriate reagents.
  • TKI MERTK-selective small-molecule tyrosine kinase inhibitor
  • HMCB B-RAF wild-type
  • G361 B-RAF mutant
  • Downstream signaling is evaluated by immunoblotting, and induction of apoptosis is determined by flow cytometry in cells stained with YO-PRO®-1 iodide and propidium iodide.
  • cells are seeded in media containing Mer TKI or vehicle and colony formation is determined.
  • MRX6313/UNC2025 is 5-fold selective for MerTK vs. Axl/Tyro3 and has favorable pharmacokinetics. Once daily, oral dosing inhibits the growth of MerTK-expressing leukemia and NSCLC xenografts.
  • MRX6313/UNC2025 was assessed in immune-competent, genetically engineered murine models (GEMMs) in the UNC Lineberger Mouse Phase 1 Unit (MP1U). After dose-finding studies in wild-type mice established an MTD, the inhibitor was given at 120 mpk/d in mouse chow.
  • This dose did not cause weight loss and produced a measurable effect (i.e. inhibition of second phase platelet aggregation, a known MerTK pharmacodynamics marker).
  • This dose did not exhibit single agent activity in a murine model of breast cancer (C3TAg), but exhibited pronounced single agent activity in RAS-driven, INK4a/Arf null melanoma GEMM (TRIA).
  • the MP1U has previously reported the efficacy of 15 chemotherapeutic and/or targeted regimens in a large (>220) cohort of TRIA mice (CCR 18:5290, 2012). The overall response was 10% (partial responses and stable disease). There were no complete responses.
  • TRIA cell lines do not express MerTK, suggesting that MRX6313/UNC2025 as a monotherapy may induce responses via MerTK inhibition in TAMs and the tumor microenvironment, or via inhibition of Axl, Tyro or an unknown target.
  • a potent and selective MerTK inhibitor exhibited greater pre-clinical efficacy in a highly faithful model of RAS-mutant melanoma than any other drug tested to date, including several compounds that are FDA approved for use in metastatic melanoma. See, FIG. 15A and FIG. 15B .
  • a Novel MER Tyrosine Kinase Inhibitor Mediates Increased Cell Killing in Combination with FGFR Inhibition
  • MRX6313/UNC2025 a novel, first-in-class MERTK-selective small molecule tyrosine kinase inhibitor
  • MRX6313/UNC2025 inhibited phosphorylation/activation of MerTK with an IC 50 of 2.6 nM and decreased downstream signaling through the ERK and AKT pathways, leading to induction of apoptosis and reduced colony-formation in methylcellulose in MERTK-expressing ALL cell lines.
  • MRX6313/UNC2025 is orally bioavailable and inhibits MerTK phosphorylation/activation in leukemic blasts in the bone marrow.
  • RNAi mediated knock-down of Axl enhanced sensitivity to Mer TKI treatment in biochemical and functional assays.
  • treatment decreased tumor progression resulting in a significant decrease in tumor volume. See FIGS. 8A ; 16 A-B.
  • FLT-3 and Mer tyrosine kinases have been previously identified as potential targets in the treatment of acute myeloid leukemia (AML).
  • AML acute myeloid leukemia
  • ITD internal tandem duplication
  • a novel first-in-class small molecule inhibitor that has potent activity against both of these kinases and mediates growth inhibition or apoptosis of cell lines and patient myeloblasts is disclosed.
  • UNC1666 is an ATP-competitive reversible small molecule inhibitor that potently inhibits FLT-3 and MerTK, preventing phosphorylation of these kinases and resultant downstream signaling.
  • AML cell lines were also stained with Yo-Pro-1 iodide and propidium iodide and analyzed by flow cytometry to determine induction of apoptosis in response to treatment with UNC1666.
  • Treatment of MERTK-positive cell lines with UNC1666 resulted in a two to five-fold induction of apoptosis relative to vehicle-treated cells (66 ⁇ 10% and 20 ⁇ 10% apoptotic cells respectively; p ⁇ 0.01).
  • Treatment of FLT3-ITD cell lines with UNC1666 resulted in an even more dramatic nine-fold induction of apoptosis (90 ⁇ 6% verses10 ⁇ 2% in vehicle-treated cultures, p ⁇ 0.001).
  • MRX-2843/UNC2371 Two cell lines known to express a FLT3-ITD mutation (Molm14 and MV4;11) were treated with a novel FLT3 inhibitor MRX-2843/UNC2371 (Formula IV) which has high specificity for FLT3.
  • MRX-2843/UNC2371 potently inhibits MerTK and FLT3 with enzymatic IC 50 values of 1.3 nM and 0.64 nM, respectively.
  • the MV4;11 cell line has low MerTK expression, while the Molm14 cell line does not express MerTK. As can be seen in FIG.
  • an AML cell line that expresses MerTK and does not have activating mutations in FLT3 (U937, Kasumi-1) also showed abrogated activation of intracellular signaling pathways downstream of FLT3 and MerTK, including AKT and ERK1/2, when treated with 25-300 nM MRX-2843/UNC2371 (data not shown).
  • AML cell lines were assessed for apoptosis by flow cytometry after staining with Yo-Pro-1 iodide and propidium iodide after 72 hour treatment. As can be seen in FIG.
  • MRX-2843/UNC2371 induces apoptosis and inhibits cell proliferation.
  • treatment with MRX-2843/UNC2371 resulted in induction of apoptosis in 84 ⁇ 2% of cells, compared to 5 ⁇ 2% after vehicle treatment (p ⁇ 0.001).
  • AML cell lines were plated in equal number in soft agar, then colony number analyzed after incubation at 37° C. for 14 days. Colonies were counted using a Gel Count automated colony counter.
  • FIG. 24A AML cell lines treated for 72 h with MRX-2843/UNC2371 demonstrate significantly increased apoptosis after staining with Yo-Pro-1 iodide and propidium iodide and undergoing flow cytometric analysis.
  • FLT3-ITD AML cell lines colony formation in soft agar is inhibited by treatment with MRX-2843/UNC2371 (80-90% reduction in colony number); colony number is relative to vehicle-treated cells.
  • a Molm14 xenograft was established by injection of 2.5 ⁇ 10 6 cells into NSG mice via tail vein. On day 4 after injection mice were started on daily therapy with 50 mg/kg MRX-2843/UNC2371 or saline via oral gavage. Mice were treated through day 100 then observed for relapse. As is illustrated in FIG. 25A , daily treatment with MRX-2843/UNC2371 via oral gavage significantly prolongs survival in a minimal residual disease model of FLT3-ITD AML (median survival of 107 days after MRX-2843/UNC2371 treatment versus 33 days in control mice, p ⁇ 0.01).
  • Two cell line derivatives of the human FLT3-ITD AML cell line Molm14 which acquired either the D835Y (activation loop) or F691L (gatekeeper) mutation after selection in escalating doses of the FLT3 inhibitor AC220, were used to test the activity of MRX-2843 against clinically relevant FLT3 point mutations.
  • Treatment with MRX-2843/UNC2371 resulted in a significant reduction in the number of viable cells after 48 hours of culture in Molm14, Molm14:D835Y, and Molm14:F691L with IC 50 values of 17, 20, and 30 nM, respectively.
  • MRX-2843/UNC2371 potently inhibited phosphorylation of FLT3 and abrogated activation of downstream intracellular signaling molecules.
  • Treatment with MRX-2843/UNC2371 induced cell death in Molm14:D835Y (80 ⁇ 7% versus 10 ⁇ 1%, p ⁇ 0.001) and in Molm14:F691L (61 ⁇ 16% versus 12 ⁇ 1%, p ⁇ 0.001).
  • both cell lines were resistant to treatment with AC220 at concentrations 20-fold higher than the inhibitory concentration in the parental line (data not shown).
  • a Molm14:D835Y xenograft model was established by injection of 2.5 ⁇ 10 6 Molm14:D835Y cells into NSG mice via tail vein.
  • the D835Y mutation in the activation loop confers resistance to the FLT3 inhibitor AC220.
  • mice were started on daily therapy with 50 mg/kg MRX-2843/UNC2371, 10 mg/kg AC220, or saline via oral gavage. Mice were treated through day 100 then observed for relapse. As is illustrated in FIG.
  • a Molm14:F691L xenograft model was established by injection of 2.5 ⁇ 10 6 Molm14: F691L cells into NSG mice via tail vein.
  • the F691L mutation confers resistance to the FLT3 inhibitor AC220.
  • mice were started on daily therapy with 50 mg/kg MRX-2843/UNC2371, 10 mg/kg AC220, or saline via oral gavage. Mice were treated through day 100 then observed for relapse.
  • MERTK Inhibitors Mediate Synergistic Inhibition of Platelet Activation and Arterial/Venous Thrombosis when Combined with ADP/P2Y Inhibitors
  • mice 6-12-week old C57BL/6 mice (The Jackson Laboratory, Bar Harbor, Me.), are fed low-soy laboratory chow to prevent interactions from genestein, a phytoestrogen with tyrosine kinase inhibitor activity. Approximately equal numbers of male and female mice are used for all experiments to limit any potential skewing of results by sex-based differences in thrombosis. The mice are anesthetized with intraperitoneal sodium pentobarbital (60-90 mg ⁇ kg ⁇ 1 loading dose, 10 to 20 mg/kg ⁇ 1 maintenance dose as needed to maintain adequate anesthesia as measured by paw pressure response).
  • mice are then fixed in the supine position to a polycarbonate experimental platform under a dissecting microscope (Olympus SZ61 Infinity Lite, Olympus Equipment).
  • a rectal temperature probe is used in conjunction with a heating pad to monitor and maintain temperature at 37 ⁇ 1° C.
  • a 2 cm vertical midline ventral cervical incision is made to expose the trachea, which is then horizontally incised and cannulated with a rigid endotracheal tube (Harvard MiniVent type 845, Harvard Apparatus) secured with a 4-0 silk tie, and attached to a ventilator (Harvard MiniVent type 845, Harvard Apparatus), which delivered a 200 ⁇ L stroke volume and 80 breaths per minute.
  • the carotid artery is exposed by dissection, allowing for attachment of a microvascular ultrasonic flow probe (Transonic Flowprobe, Transonic Systems, Ithaca, N.Y.), and the cavity is flooded with NaCl to prevent tissue dehydration.
  • a 1 mm ⁇ 5 mm strip of Parafilm (Pechiney Plastic Packaging, Chicago, Ill.) is placed perpendicular to, and immediately posterior to, the artery to separate it from other cavity tissue.
  • TTFO Elapsed Time To First (initial) artery Occlusion
  • DOO total Duration Of Occlusion time
  • FIG. 20 a demonstrates that FeCl3 application induced longer (slower) TTFO in mice pre-treated with high dose (HD, 3 mg/kg) ADP/P2Y1&12 antagonists (ADPis: MRS2179 [P2Y1 inhibitor]+2-MeSAMP [P2Y12 inhibitor], or 3 mg/kg UNC2025 compared to vehicle controls.
  • Mice pre-treated with low dose (LD, 1.5 mg/kg) ADPis exhibited shorter (faster) TTFO.
  • LD low dose
  • Combination of 3 mg/kg UNC2025 and LD ADPis recapitulated the longer TTFO seen with the HD ADPis.
  • FIG. 20 b shows that FeCl3 application induced shorter total DOO in mice pre-treated with HD ADPis or 3 mg/kg UNC2025, compared to vehicle control. Mice pre-treated with LD ADPis, however, exhibited longer DOO. Combination of 3 mg/kg UNC2025 and LD ADPis, however, recapitulated the shorter DOO seen with the HD ADPis.
  • FIG. 20 c shows that survival times following venous injection of collagen and epinephrine significantly differed between mice treated with HD ADPis or 3 mg/kg UNC2025, compared to vehicle control. Mice treated with LD ADPis, however, exhibited shorter survival times. Interestingly, combination of 3 mg/kg UNC2025 and LD ADPis recapitulated the longer survival times seen with the HD ADPis.
  • Tail bleeding times ( FIG. 20 d ) were not different between untreated WT control mice and mice pre-treated with UNC2025, LD ADPis, or the combination of UNC2025+LD ADPis. However, mice pre-treated with HD ADPis or abciximab had statistically significantly prolonged tail bleeding times.
  • the Bliss additivity equation predicted 31% aggregation inhibition for an additive interaction, but a 60% inhibition was actually observed, (p ⁇ 0.05), also consistent with a synergistic effect for the combination.
  • Inhibition constants of MerTK, Flt3, Tyro3 and Axl kinase activity by an active compound as described herein is determined at the Km for ATP using a microfluidic capillary electrophoresis (MCE) assay in which phosphorylated and unphosphorylated substrate peptides were separated and analyzed using a LabChip EZ Reader.
  • MCE microfluidic capillary electrophoresis
  • activity assays were performed in a 384 well, polypropylene microplate in a final volume of 50 ⁇ l, of 50 mM Hepes, Ph 7.4 containing 10 mM MgCl 2 , 1.0 mM DTT, 0.01% Triton X-100, 0.1% Bovine Serum Albumin (BSA), containing 1.0 ⁇ M fluorescent substrate and ATP at the Km for each enzyme. All reactions were terminated by addition of 20 ⁇ L of 70 mM EDTA. After a 180 min incubation, phosphorylated and unphosphorylated substrate peptides were separated in buffer supplemented with 1 ⁇ CR-8 on a LabChip EZ Reader equipped with a 12-sipper chip. Data were analyzed using EZ Reader software.

Landscapes

  • Health & Medical Sciences (AREA)
  • Chemical & Material Sciences (AREA)
  • Life Sciences & Earth Sciences (AREA)
  • Medicinal Chemistry (AREA)
  • Pharmacology & Pharmacy (AREA)
  • Animal Behavior & Ethology (AREA)
  • General Health & Medical Sciences (AREA)
  • Public Health (AREA)
  • Veterinary Medicine (AREA)
  • Organic Chemistry (AREA)
  • Epidemiology (AREA)
  • Chemical Kinetics & Catalysis (AREA)
  • General Chemical & Material Sciences (AREA)
  • Nuclear Medicine, Radiotherapy & Molecular Imaging (AREA)
  • Immunology (AREA)
  • Engineering & Computer Science (AREA)
  • Bioinformatics & Cheminformatics (AREA)
  • Oncology (AREA)
  • Communicable Diseases (AREA)
  • Hematology (AREA)
  • Diabetes (AREA)
  • Virology (AREA)
  • Pharmaceuticals Containing Other Organic And Inorganic Compounds (AREA)
  • Medicines That Contain Protein Lipid Enzymes And Other Medicines (AREA)
  • Plural Heterocyclic Compounds (AREA)
  • Nitrogen And Oxygen Or Sulfur-Condensed Heterocyclic Ring Systems (AREA)
  • Peptides Or Proteins (AREA)
  • Nitrogen Condensed Heterocyclic Rings (AREA)

Abstract

Uses of pyrrolopyrimidines with anti-Mer tyrosine kinase activity as anti-infective agents, immunostimulatory and immunomodulatory agents, anti-cancer agents (including against MerTK−/− tumors and ITD and TKD mutant forms of Acute Myeloid Leukemia (AML)), and as adjunctive agents in combination with chemotherapeutic, radiation or other standard of care for neoplasms.

Description

CROSS-REFERENCE TO RELATED APPLICATIONS
This application claims the benefit of U.S. Provisional Application No. 61/978,268 filed Apr. 11, 2014, U.S. Provisional Application No. 61/978,281 filed Apr. 11, 2014, U.S. Provisional Application No. 61/978,290 filed Apr. 11, 2014, U.S. Provisional Application No. 61/978,321 filed Apr. 11, 2014, U.S. Provisional Application No. 61/978,443 filed Apr. 11, 2014, U.S. Provisional Application No. 61/978,485 filed Apr. 11, 2014, U.S. Provisional Application No. 61/978,513 filed Apr. 11, 2014, U.S. Provisional Application No. 61/994,384 filed May 16, 2014, and U.S. Provisional Application No. 62/088,159 filed Dec. 5, 2014. The entirety of each of these applications is hereby incorporated by reference for all purposes.
GOVERNMENT INTEREST
The U.S. Government has rights in this invention by virtue of support under Contract No. HHSN261200800001E awarded by the National Cancer Institute, National Institute of Health.
STATEMENT REGARDING ELECTRONIC FILING OF A SEQUENCE LISTING
A Sequence Listing in ASCII text format, submitted under 37 C.F.R. §1.821, entitled 5470-693_ST25.txt, 1,804 bytes in size, generated on Jun. 2, 2015 and filed via EFS-Web, is provided in lieu of a paper copy. This Sequence Listing is incorporated by reference into the specification for its disclosures.
FIELD OF THE INVENTION
The present invention is directed to the use of selected pyrrolopyrimidine compounds having Mer tyrosine kinase (MerTK) inhibitory activity as anti-infective agents, immunostimulatory and immunomodulatory agents, anti-cancer agents (including against MerTK −/− tumors and ITD and TKD mutant forms of Acute Myeloid Leukemia (AML)), and as adjunctive agents in combination with chemotherapeutic, radiation or other standard of care for neoplasms.
BACKGROUND OF THE INVENTION
MerTK is a member of a receptor tyrosine kinase (RTK) family known as TAM, which also includes AXL and TYRO3. Each member of the TAM family contains an extracellular domain, a transmembrane domain and a conserved intracellular kinase domain. MerTK was first discovered in the laboratory of H. Shelton Earp at the University of North Carolina in 1994 (Graham et al., Cloning and mRNA expression analysis of a novel human proto-oncogene, c-mer. Cell Growth Differ 5, 647-657 (1994)). The TAM family members undergo ligand-induced homodimerization, followed by catalytic tyrosine kinase activation and intracellular signaling. Cross-phosphorylation has also been demonstrated within this RTK family, suggesting heterodimerization can occur also. These RTKs are widely expressed in many epithelial tissues and in cells of the immune, nervous, and reproductive systems. MerTK was given its name by the Earp laboratory because it was found to be expressed in monocytes and in tissues of epithelial and reproductive tissue.
As described in more detail below, ligand-bound MerTK can complex with phosphatidyl serine and it binds apoptotic cells which triggers ingestion and suppresses inflammatory cytokines. It is aberrantly expressed in certain cancers (for example, acute leukemia (ALL and AML) and some solid tumors (for example melanoma, breast cancer, colon cancer, non-small cell lung carcinoma, glioblastoma and others).
The MerTK ligands include growth arrest-specific 6 protein (GAS6; Chen, et al; Oncogene (1997) 14, 2033-2039), protein-S, tubby and tubby-like protein-1 (TULP1), and galectin-3. Several of these ligands are present in serum and expressed locally in a number of tissues. These ligands bind to the extracellular domain of MerTK, resulting in tyrosine kinase activation.
Since the discovery of MerTK in the Earp laboratory in 1994, there has been a growing body of literature and patents that suggest the possibility of MerTK as a druggable target for a number of indications.
TAM receptor tyrosine kinases have been investigated for their involvement in certain infectious diseases. Shimojima, et al., reported the involvement of members of the Tyro3 receptor tyrosine kinase family, Axl, Dkt and MerTK, in the cell entry of filoviruses Ebolavirus and Marburgvirus, and concluded that each Tyro3 family member is likely a cell entry factor in the infection (“Tyro3 Family-mediated Cell Entry of Ebola and Marburg Viruses” Journal of Virology, October 2006 p. 10109-10116).
U.S. Pat. No. 8,415,361 to Lemke, et al. (claiming priority to a Nov. 9, 2007 provisional application), assigned to The Salk Institute for Biological Studies, describes the use of TAM receptor inhibitors as antimicrobials. In particular, the '361 patent reports that inhibition of the TAM pathway in virally infected macrophages from TAM triple knock-out mice leads to reduced levels of infection with a variety of pseudotyped viruses with either filoviral, retroviral or rhabdoviral glycoproteins. Brindley, et al., reported that in a bioinformatics-based screen for cellular genes that enhance Zaire ebolavirus (ZEBOV) transduction, AXL mRNA expression strongly correlated with ZEBOV infection (“Tyrosine kinase receptor Axl enhances entry of Zaire ebolavirus without direct interactions with the viral glycoprotein” Virology, 415 (2011) 83-84).
Morizono, et al, published that Gas6 mediates binding of the virus to target cells by bridging virion envelope phosphatidyl serine to Axl on the target cells. Replication of vaccinia virus, which was previously reported to use apoptotic mimicry to enter cells, is enhanced by Gas6, and Morizono asserts that these results reveal an alternative molecular mechanism of viral entry that can broaden host range and enhance infectivity of enveloped viruses (“The Soluble Serum Protein Gas6 Bridges Virion Envelope Phosphatidylserine to the TAM Receptor Tyrosine Kinase Axl to mediate Viral Entry” Cell Host & Microbe 9, 286-298, 2011). In 2014, Morizono and Chen reported that virus binding by viral envelope phosphatidyl serine is a viral entry mechanism generalized to a number of families of viruses (Morizono and Chen, “Role of Phosphatidyl Receptors in Enveloped Virus Infection”, J. Virology Vol 88(8), 4275-4290 (Jan. 29, 2014)).
WO2013/124324 filed by Amara et al. (priority date Feb. 21, 2012), and assigned to Institut National De La Sante et De La Recherche Medicale, reports that Dengue virus is mediated by the interaction between phosphatidylserine at the surface of the Dengue viral envelope and TAM receptors present at the surface of the host cell, and that such interaction can be blocked, thereby inhibiting entry of Dengue into host cells. They also report that the interaction between phosphatidyl serine and TAM receptors is used by other flaviviruses such as Yellow Fever, West Nile and perhaps Chikungunya. Amara focuses on antisense, siRNA and antibody approaches.
Similarly, Bhattacharayya et al., reports that several human viruses, for example Ebola, Dengue, and HIV, externalize PtdSer on their capsid during budding and use phosphatidylserine to bind to and activate TAM RTKs in the presence of TAM ligands, allowing entry of the virus into cells and furthermore, activation of MerTK in macrophages in response to viral particles expressing PtdSer stimulates an anti-inflammatory cytokine profile as if apoptotic material was being ingested, thereby inhibiting the anti-viral immune response. Bhattacharayya et al observe that TAM receptors are engaged by viruses to attenuate type 1 interferon signaling (“Enveloped viruses disable innate immune responses in dendritic cells by direct activation of TAM receptors”, Cell Host & Microbe 14, 136,-147 (2013)). See also Meertens, L. et al. The TIM and TAM families of phosphatidylserine receptors mediate dengue virus entry. Cell Host Microbe 12, 544-557, doi:10.1016/j.chom.2012.08.009 (2012). Mercer, J. & Helenius, A. Vaccinia virus uses macropinocytosis and apoptotic mimicry to enter host cells. Science 320, 531-535, doi:10.1126/science.1155164 (2008).
MerTK is ectopically expressed or overexpressed in a number of hematologic and epithelial malignant cells. Expression of MerTK and GAS6 correlates with poor prognosis and/or chemoresistance in these tumor types. The mechanisms by which increased MerTK signaling in tumor cells contributes to tumor malignancy, however, remain unclear.
WO2013/052417 titled “Pyrrolopyrimidine Compounds for the Treatment of Cancer” filed by Wang, et al., and assigned to the University of North Carolina describe pyrrolopyrimidines with MerTK inhibitory activity for the treatment of tumors such as myeloid leukemia, lymphoblastic leukemia, melanoma, breast, lung, colon, liver, gastric, kidney, ovarian, uterine and brain cancer, wherein the pyrrolopyrimidines have the general structures below, with R substituents as defined in the those applications:
Figure US09555031-20170131-C00001
In November 2013, Dr. Stephen Frye presented data showing the inhibitory effects of a pyrrolopyrimidine compound (UNC2025) in non-small cell lung cancer cell lines, MerTK-expressing AML cell lines, and MerTK-negative AML cell lines. In addition, the effect of UNC2025 was analyzed in an ALL 697 cell line xenograft model and a FLT3-ITD AML patient xenograft model. Frye, S. “Academic Drug Discovery and Chemical Biology”, Presentation at the Northwestern 18th Annual Drug Discovery Symposium. November 2013. The structure of the pyrrolopyrimidine compound UNC2025 is:
Figure US09555031-20170131-C00002
WO2011/146313 and WO2014/062774, both titled “Pyrazolopyrimidine Compounds for the Treatment of Cancer” filed by Wang, et al., and assigned to the University of North Carolina describe pyrazolopyrimidines with MerTK inhibitory activity for the treatment of tumors such as myeloid leukemia, lymphoblastic leukemia, melanoma, breast, lung, colon, liver, gastric, kidney, ovarian, uterine and brain cancer, wherein the pyrazolopyrimidines have the general structures below, with R substituents as defined in the those applications:
Figure US09555031-20170131-C00003

WO2014/062774 further discloses pyrazolopyrimidine compounds for use in a method of treating or inhibiting blood clot formation.
In January 2012, Liu, J, et al., published a comparison of the activity of forty four pyrazolopyrimidine compounds against MerTK, Axl and Tyro3 kinases. One of these compounds (UNC569) was tested for inhibition of MerTK autophosphorylation in human B-ALL cells (“Discovery of Novel Small Molecule Mer Kinase Inhibitors for the Treatment of Pediatric Acute Lymphoblastic Leukemia.” ACS Med Chem Lett. 2012 Feb. 9; 3(2):129-134.). In May 2013, Schlegel, et al., published results on the pyrazolopyrimidine compound UNC1062, which reduced activation of MERTK-mediated downstream signaling, induced apoptosis in culture, reduced colony formation in soft agar, and inhibited invasion of melanoma cells (“MER receptor tyrosine kinase is a therapeutic target in melanoma.” J Clin Invest. 2013 May; 123(5):2257-67).
In December 2013, Zhang, W., et al., also published a comparison of the activity of forty six 5-arylpyrimidine based compounds for treatment of tumors (“Pseudo-cyclization through intramolecular hydrogen bond enables discovery of pyridine substituted pyrimidines as new Mer kinase inhibitors.” J Med. Chem., vol. 56:9683-9692, 2013). These pyrimidine compounds were identified using a pseudo-ring replacement strategy based on the previously identified pyrazolopyrimidine MerTK inhibitor, UNC569.
In July 2013, Liu, J, et al. published the first evidence of anti-tumor activity mediated by a member of this novel class of inhibitors. Specifically, the pyrazolopyrimidine compound UNC1062 inhibited MerTK phosphorylation and colony formation in soft agar (“UNC1062, a new and potent Mer inhibitor.” Eur J Med Chem. 2013 July; 65:83-93). In November 2013, Christoph, S. et al., published effects of a pyrazolopyrimidine (UNC569) in ALL and ATRT (atypical teratoid/rhabdoid tumors (ATRT) (“UNC569, a novel small-molecule Mer inhibitor with efficacy against acute lymphoblastic leukemia in vitro and in vivo.” Mol Cancer Ther. 2013 November; 12(11):2367-77). The MerTK inhibitors UNC569 and UNC1062 have the following structures:
Figure US09555031-20170131-C00004
An important observation was made in 2013 that MerTK −/− knock-out mice are less susceptible to tumor growth than normal mice. MerTK is normally expressed in myeloid lineage cells where it acts to suppress pro-inflammatory cytokines following ingestion of apoptotic material. It was found that MerTK −/− leukocytes exhibit lower tumor cell-induced expression of wound healing cytokines (IL-10 and GAS6) and enhanced expression of acute inflammatory cytokines (IL-12 and IL-6). Further, intratumoral CD8+ lymphocytes are increased. The loss of MerTK in the tumor microenvironment in Mer−/− mice slowed the establishment, growth, and metastasis of mammary tumors and melanomas in immune competent, syngeneic mice. Cook, R. S. et al., MerTK inhibition in tumor leukocytes decreases tumor growth and metastasis, J Clin Invest 123, 3231-3242 (2013).
Linger et al. have also presented data demonstrating increased MerTK expression in E2A-PBX11 and other cytogenetic subgroups of B-acute lymphoblastic leukemia (B-ALL), and that MerTK inhibition may attenuate prosurvival and proliferation signaling. Linger et al., Mer receptor tyrosine kinase is a therapeutic target in pre-B-cell acute lymphoblastic leukemia, Blood, vol. 122(9):1599-1609, 2013. Lee-Sherick, et al. (“Efficacy of a Mer and Flt3 tyrosine kinase small molecule inhibitor, UNC1666, in acute myeloid leukemia”, Oncotarget, Advance Publications 2015 Feb. 10, 2015) have reported that UNC1666 (a pyrrolopyrimidine) decreases oncogenic signaling and myeloid survival in AML.
TAM (Tyro3-Axl-Mer) receptor tyrosine kinases have also been investigated for their involvement in platelet aggregation. In 2004, Chen et al, from the Johnson & Johnson Pharmaceutical Research and Development, published that MerTK, presumably through activation by its ligand Gas6, participates in the regulation of platelet function in vitro and platelet-dependent thrombosis in vivo. Chen, et al, “Mer Receptor tyrosine Kinase Signaling Participates in Platelet Function”, Arterioscler. Thromv. Vase. Biol. 1118-1123 June 2004. Chen reported that PtdSer on aggregating platelets activates MerTK, helping to stabilize clot formation. MerTK knockout mice have decreased platelet aggregation while maintaining normal bleeding times and coagulation parameters. Consequently, these mice appear to be protected from thrombosis without concomitant increased spontaneous bleeding (see also Angelillo-Scherrer A et al., Role of Gas6 receptors in platelet signaling during thrombus stabilization and implications for antithrombotic therapy. J. Clin. Invest. 2005, 115 (2), 237-246).
In 2007, Sather, et al., reported that membrane-bound MerTK is cleaved in the extracellular domain via a metalloproteinase to produce a soluble MerTK that decreased platelet aggregation in vitro and prevented fatal collagen/epinephrine-induced thromboembolism. “A soluble form of the Mer receptor tyrosine kinase inhibits macrophage clearance of apoptotic cells and platelet aggregation”, Blood, Vol 109(3): 1026-1033).
Paolino et al. have reported on the treatment of wild-type NK cells with a newly developed small molecule TAM kinase inhibitor, LDC1267, that conferred therapeutic potential and efficiently enhancing anti-metastatic NK cell activity in vivo. Oral or intraperitoneal administration using this TAM inhibitor markedly reduced murine mammary cancer and melanoma metastases dependent on NK cells. See, Paolino, M., et al., The E3 ligase Cbl-b and TAM receptors regulate cancer metastasis via natural killer cells, Nature, vol. 507:508-512, 2014. LDC1267 is a highly selective TAM kinase inhibitor with IC50 of <5 nM, 8 nM, and 29 nM for MerTK, Tyro3, and Axl, respectively, and has the chemical structure:
Figure US09555031-20170131-C00005
Bernsmeier, et al., have noted that characteristics of decompensated cirrhosis and acute-on-chronic liver failure (ACLF) include susceptibility to infection, immune paresis and monocyte dysfunction. The authors found that the number of monocytes and macrophages that expressed MerTK was greatly increased in circulation, livers and lymph nodes of patients with ACLF. They found that addition of a substituted pyrazolopyrimidine UNC569 (see WO 2011/146313 filed by Wang, et al., and assigned to University of North Carolina at Chapel Hill, page 25) restored production of inflammatory cytokines. Bernsmeier, et al., “Patients with Acute-on-Chronic Liver Failure Have Increased Numbers of Regulatory Immune Cells Expressing the Receptor Tyrosine Kinase MERTK”, Gastroenterology 2015; 1-13.
It is an object of the invention to identify new methods and compositions for the treatment of infectious diseases.
It is another object of the invention to identify new methods and compositions for the treatment of thrombosis.
It is another object of the invention to identify new methods and compositions for the treatment of a tumor, cancer or other neoplasm.
It is yet another object of the invention to identify new methods and compositions for the treatment of disorders that can be treated with immunosuppression, or which would benefit from immunostimulatory therapy.
SUMMARY OF THE INVENTION
The present invention is directed to the use of selected pyrrolopyrimidine compounds having Mer tyrosine kinase (MerTK) inhibitory activity as anti-infective agents, immunostimulatory agents, anti-cancer agents (including against MerTK −/− tumors and ITD and TKD mutant forms of Acute Myeloid Leukemia (AML)), and as adjunctive agents in combination with chemotherapeutic, radiation or other standard of care for neoplasms.
An effective amount of the pyrrolopyrimidine compounds described in Formulas I, IA, IB, II, IIA and IIB below or other active compounds as otherwise provided herein can be used to treat a host bearing any virus-related infection where the virus has a virion envelope phosphatidyl serine that complexes with MerTK to achieve viral entry or is otherwise facilitated by MerTK in the infectious process. Nonlimiting examples of such viruses include, but are not limited to, Flaviviridae viruses, including Flavivirus (such as Yellow Fever, West Nile and Dengue), Hepacivirus (Hepatitis C virus, “HCV”), Pegivirus and Pestivirus (Bovine viral diarrhea virus); Filoviridae viruses, including Ebola viruses; Togaviridae viruses, including Chikungunya virus; Coronaviruses, such as SARS (Severe acute respiratory syndrome) and MERS (Middle East respiratory syndrome); Orthomyxoviridae viruses, for example influenza; Paramyxoviridae viruses, for example Respiratory syncytial virus (RSV), measles and mumps; and Caliciviridae viruses, including Lagovirus, Vesivirus, and Sapovirus and Norovirus (Norwalk-like virus), and Lentiviruses, for example, HIV. In one embodiment, the virus is an enveloped virus. In another embodiment, the virus is a non-enveloped virus.
It has also been discovered that an effective amount of the pyrrolopyrimidine compounds described in Formulas I, IA, IB, II, IIA and IIB below can be used to treat a host bearing a bacterial infection. In one embodiment, the bacteria treated is, for example, a Gram-negative bacilli (GNB), especially Escherichia coli, Gram-positive cocci (GPC), Staphylococcus aureus, Enterococcus faecalis, or Streptococcus pneumoniae. In one embodiment, the bacterial infection is associated with liver failure. In one embodiment, an active compound disclosed herein is administered in combination with an antibiotic or another anti-bacterial agent.
It has also been discovered that the compounds described herein can be used as immunomodulatory agents that reverse the MerTK-induced suppression of pro-inflammatory cytokines such as wound healing cytokines (IL-10 and GAS6) and enhance the expression of acute inflammatory cytokines (IL-12 and IL-6). In this way, the pyrrolopyrimidine compounds can “re-normalize” or “re-program” the host microenvironment in the diseased tissue area to attack the diseased cells.
Taking advantage of the immunostimulatory activity of the compounds described herein, or a pharmaceutically acceptable composition, salt, isotopic analog, or prodrug thereof, may be used for the treatment of a MERTK-negative (−/−) tumor or cancer, for example MERTK-negative (−/−) breast cancer.
As part of the invention, one or more of the compounds disclosed herein can be used as adjunctive antineoplastic therapy for its immunostimulatory effect as a means to increase the efficacy of the antineoplastic standard of care therapies, such as chemotherapeutic compounds or radiation.
Some of these pyrrolopyrimidine compounds have dual Mer/Flt-3 inhibitory activity, as discussed in more detail below, and thus are useful in the treatment of tumors mediated by FLT-3 or which exhibit drug resistance or ITD and TKD mutations, such as certain forms of Acute Myeloid Leukemia (AML).
The compounds described as useful in the present inventions were first described in WO 2013/052417, which is incorporated by reference for all purposes. The present invention describes for the first time that these compounds are useful for medical applications not described in or flowing from these earlier published applications. Specifically, MerTK inhibitors useful in treating a disorder described herein have the structure of Formula I, IA, IB, II, IIA, or IIB:
Figure US09555031-20170131-C00006

wherein:
one of X and X′ is N and the other of X and X′ is C;
one of the dashed lines in Formula I is a single bond and the other of the dashed lines is a double bond (e.g., as shown in Formulas IA and IB);
R1 is aryl;
R2 is —R5′R6, where R5′ is a covalent bond or C1 to C3 alkyl and R6 is cycloalkyl, heterocycloalkyl, aryl, heteroaryl or alkyl, and wherein R6 is optionally substituted from one to two times with independently selected polar groups;
R3 is —NR7R8, where R7 and R8 are each independently selected from H, alkyl, arylalkyl; cycloalkylalkyl, heterocycloalkylalkyl, heteroarylalkyl, and alkoxyalkyl, each of which is optionally substituted one, two or three times with independently selected polar groups (typically one of R7 or R8 is H);
R4 is H, loweralkyl, halo, or loweralkoxy;
R5 is H, loweralkyl, halo, or loweralkoxy;
R11 is —R9(R10)n, where R9 is alkyl, alkenyl, -alkylaryl, heterocyclo, aryl, heteroaryl and R10 is hydrogen, alkyl, haloalkyl, alkoxyalkyl, —O-alkylaryl, hydroxyalkyl, alkenyl, alkenyloxy, alkynyl, alkynyloxy, cycloalkyl, cycloalkylalkyl, cycloalkoxy, cycloalkylalkyloxy, heterocyclo, heterocycloalkyl, alkylheterocycloalkyl, heterocyclooxy, heterocyclolalkyloxy, aryl, arylalkyl, aryloxy, arylalkyloxy, heteroaryl, alkylheteroaryl, halo, hydroxyl, alkoxy, haloalkoxy, mercapto, alkyl-S(O)m—, haloalkyl-S(O)m—, alkenyl-S(O)m—, alkynyl-S(O)m—, cycloalkyl-S(O)m—, cycloalkylalkyl-S(O)m—, aryl-S(O)m—, arylalkyl-S(O)m—, heterocyclo-S(O)m—, heterocycloalkyl-S(O)m—, amino, carboxy, alkylamino, —(CH2)m—NHalkyl, —(CH2)m—N(alkyl)2, —(CH2)m—NH(CH2)mOH, —(CH2)m—NH(CH2)mcycloalkyl, —(CH2)m—NH(CH2)2-3heterocyclo, —(CH2)m—NH(CH2)maryl, —(CH2)m—NH(CH2)2-3heteroaryl, —(CH2)mNH(CH2)2-3N(alkyl)2, alkenylamino, alkynylamino, haloalkylamino, cycloalkylamino, cycloalkylalkylamino, arylamino, arylalkylamino, heterocycloamino, heterocycloalkylamino, disubstitutedamino, acylamino, acyloxy, ester, amide, S(O)2OR20, CONHNH2, cyano, nitro, aminosulfonyl, COOH, sulfonamide, urea, alkoxyacylamino, aminoacyloxy, —C(CH2)2R20, and wherein R10 is optionally substituted one, two or three times;
m=0, 1, 2 or 3;
n=0, 1 or 2;
R12 is R16R19, where R16 is a covalent bond or C1 to C3 alkyl and R19 is cycloalkyl, cycloalkylalkyl, heterocyclo, heterocycloalkyl, aryl, arylalkyl, heteroaryl, heteroarylalkyl, hydroxyalkyl, alkoxyalkyl, or alkyl, and wherein R19 is optionally substituted one, two or three times;
R13 is NR17R18, where;
R17 is selected from the group consisting of H, alkyl, hydroxyalkyl, aryl, arylalkyl, cycloalkyl, cycloalkylalkyl, heterocyclo, heterocycloalkyl, alkylheterocycloalkyl, heteroaryl, heteroarylalkyl, and alkoxyalkyl, each of which is optionally substituted one, two or three times (typically R17 is H);
R18 is selected from the group consisting of H, alkyl, hydroxyalkyl, aryl, arylalkyl; cycloalkyl, cycloalkylalkyl, heterocyclo, heterocycloalkyl, alkylheterocycloalkyl, heteroaryl, heteroarylalkyl, and alkoxyalkyl, each of which is optionally substituted one, two or three times;
or
R17 and R18 together with the nitrogen to which they are bonded can form a heterocyclic group that can be optionally substituted;
R14 is H, loweralkyl, halo, or loweralkoxy;
R15 is H, loweralkyl, halo, or loweralkoxy;
R20 is selected from alkyl, alkenyl, alkynyl, aryl, arylalkyl, cycloalkyl, cycloalkylalkyl, heterocyclo, heterocycloalkyl, heteroaryl, or heteroarylalkyl;
or a pharmaceutically acceptable composition, salt, isotopic analog, or prodrug thereof.
Illustrative additional examples of compounds that exhibit the activities described herein, have a structure selected from:
Figure US09555031-20170131-C00007
Figure US09555031-20170131-C00008
Figure US09555031-20170131-C00009
Figure US09555031-20170131-C00010
Figure US09555031-20170131-C00011

or a pharmaceutically acceptable composition, salt, isotopic analog, or prodrug thereof.
The present invention thus provides at least the following:
  • (a) Use of one or more of the compounds disclosed herein in an effective immunostimulatory dosage for use as an anti-infective agent.
  • (b) Use of one or more of the compounds disclosed herein in an effective immunostimulatory dosage for use as an anti-viral agent.
  • (c) Use of one or more of the compounds disclosed herein in an effective immunostimulatory dosage for use as an anti-bacterial agent.
  • (d) Use of one or more of the compounds disclosed herein in an effective immunostimulatory dosage for use as an anti-infective agent, in combination with an additional anti-infective agent.
  • (e) Use of one or more of the compounds disclosed herein in an effective immunostimulatory dosage for use as an anti-viral agent, in combination with an additional anti-viral agent.
  • (f) Use of one or more of the compounds disclosed herein in an effective immunostimulatory dosage for use as an anti-bacterial agent, in combination with an additional anti-bacterial agent.
  • (g) Use of any of the active compounds described herein, or a pharmaceutically acceptable composition, salt, isotopic analog, or prodrug thereof, for the treatment or prevention of an infection that gains entry into the cell via phosphatidyl serine or another mechanism mediated by MerTK, or which infection is otherwise mediated by MerTK, for example a viral or bacterial infection, as further described herein.
  • (h) Use of any of the active compounds described herein, or a pharmaceutically acceptable composition, salt, isotopic analog, or prodrug thereof, to treat a host that has an immunosuppressed microenvironment surrounding diseased tissue, by re-programming the microenvironment to a pro-inflammatory environment. As one example, the host is in need of treatment because it has tumor associated macrophages that are protecting tumor cells.
  • (i) Use of one or more of the compounds disclosed herein in an effective immunostimulatory dosage for adjunctive antineoplastic therapy as a means to increase the efficacy of the antineoplastic standard of care therapies, such as chemotherapeutic compounds or radiation.
  • (j) Use of one or more of the compounds disclosed herein in an effective immunostimulatory dosage for adjunctive antineoplastic therapy as a means to increase the efficacy of the antineoplastic standard of care therapies, such as chemotherapeutic compounds or radiation, in combination with an additional chemotherapeutic agent.
  • (k) Use of one or more of the compounds as described herein in an effective dosage to treat a host with a tumor, including cancer.
  • (l) Use of one or more of the compounds as described herein in an effective dosage to treat a host with a selected MerTK (+/+) tumor, including cancer.
  • (m) Use of one or more of the compounds as described herein in an effective dosage to treat a host with a selected MerTK (−/−) tumor, including cancer.
  • (n) Use of one or more of the compounds disclosed herein to treat a host with acute myeloid leukemia (including FLT3-ITD AML, FLT3-TKD AML, or AML having both FLT3-ITD and FLT3-TKD mutations).
  • (o) Use of one or more of the compounds disclosed herein in combination with a second chemotherapeutic agent in a subject undergoing a therapeutic regime to treat a tumor, including cancer.
  • (p) Use of any of the active compounds described herein, to treat a host with a thrombotic or clotting disorder.
  • (q) A compound selected from the group consisting of UNC3908A, UNC4218A, UNC4291A, UNC4292A, UNC4308A, UNC4309A, UNC4310A, UNC4311A, UNC4319A, UNC4320A, and UNC4321A, and pharmaceutically acceptable compositions, salts, isotopic analogs, and prodrugs thereof.
  • (r) A compound as described herein, for use in the manufacture of a medicament for use in treating an infectious disease, including a viral disease or a bacterial disease.
  • (s) A compound as described herein, for use in the manufacture of a medicament for treatment of a tumor, including cancer.
  • (t) A compound as described herein, for use in the manufacture of a medicament for treatment of a MerTK+/+ tumor, including cancer.
  • (u) A compound as described herein, for use in the manufacture of a medicament for treatment of a MerTK−/− tumor, including cancer.
  • (v) A compound as described herein, for use in the manufacture of a medicament for acute myeloid leukemia (including FLT3-ITD AML, FLT3-TKD AML, or AML having both FLT3-ITD and FLT3-TKD mutations).
  • (w) A compound as described herein, for use in the manufacture of a medicament for immunostimulatory therapy.
  • (x) A compound as described herein, for use in the manufacture of a medicament for immunomodulatory therapy.
  • (y) A compound as described herein, for use in the manufacture of a medicament for immunostimulatory therapy in combination with chemotherapeutic or radiation standard of care.
  • (z) A compound as described herein, for use in the manufacture of a medicament for immunomodulatory therapy in combination with chemotherapeutic or radiation standard of care.
  • (aa) A compound as described herein, for use in the manufacture of a medicament for the treatment of a thrombotic or clotting disorder.
  • (bb) A process for manufacturing a medicament as described in (r) through (aa).
  • (cc) A pharmaceutical formulation comprising an effective host-treating amount of UNC3908A, UNC4218A, UNC4291A, UNC4292A, UNC4308A, UNC4309A, UNC4310A, UNC4311A, UNC4319A, UNC4320A, and UNC4321A, and pharmaceutically acceptable salts and prodrugs thereof, together with a pharmaceutically acceptable carrier or diluent.
  • (dd) Processes for the manufacture of UNC3908A, UNC4218A, UNC4291A, UNC4292A, UNC4308A, UNC4309A, UNC4310A, UNC4311A, UNC4319A, UNC4320A, and UNC4321A, and salts, compositions, and dosage forms thereof.
  • (ee) Processes for the preparation of therapeutic products that contain an effective amount of UNC3908A, UNC4218A, UNC4291A, UNC4292A, UNC4308A, UNC4309A, UNC4310A, UNC4311A, UNC4319A, UNC4320A, and UNC4321A, as described herein.
BRIEF DESCRIPTION OF FIGURES
FIG. 1A illustrates the Ig-like domain, FNIII domain and kinase domain in Tyro-3, Axl and MerTK. FIG. 1B illustrates the Gla domain, EGF repeat, LG1 domain and LG2 domain in MerTK. The Gas6/protein S loop region is also illustrated. FIG. 1C and FIG. 1D are scanning EM illustrating the binding of apoptotic thymocytes to MerTK+/+ and MerTK−/− macrophages. Wild-type macrophages ingest; MerTK−/− do not.
FIG. 2A illustrates the results obtained when MMTV-PVmT mammary tumors were implanted into MerTK+/−, MerTK+/+ and MerTK−/− mice. Tumors that were implanted into MerTK−/− mice were almost 75% tumor free after 200 days. FIG. 2B illustrates the results when B16:F10 intradermal tumors were implanted in MerTK+/+ or MerTK−/− mice. MerTK−/− mice were tumor free for 40 days and MerTK+/+ mice were tumor free for approximately 28 days. FIG. 2C is a graph showing the number of lung metastases per mouse verses the genotype of mice transplanted with MMTV-PvVmT or B16:F10 tumor lines.
FIG. 3: MerTK is a dual target in cancer. MerTK is over expressed in tumor cells such as lung, melanoma and GBM and sends a survival signal. MerTK inhibitors inhibit tumor cell survival and chemoresistance. In addition, MerTK is expressed in tumor-associated macrophages (e.g., breast, melanoma and lung cancer) and suppresses tumor immunity. MerTK inhibitors stimulate innate anti-tumor immunity.
FIG. 4A and FIG. 4B demonstrate that UNC1666 abrogates MerTK and Flt3 kinase phosphorylation and downstream signaling in leukemic blasts isolated from a patient with acute myeloid leukemia at concentrations of 50, 100 and 300 nM. FIGS. 4C and 4D illustrate the percent apoptotic and necrotic cells in when leukemic blasts isolated from patients with AMLs expressing MerTK and/or a FLT3-ITD were treated with UNC1666 at concentrations of 50, 100 and 300 nM. FIGS. 4E and 4F are graphs of the relative number of colonies when AML cells isolated from patients were grown in the presence of UNC1666 at concentrations of 50, 100 and 300 nM. See Example 10.
FIG. 5A: MRX6313/UNC2025 is a potent Mer/FLT3 dual TK inhibitor. The compound has a Ki=0.16 nM against MerTK, a Ki=0.71 nM against FLT3, a Ki=15 nM against Axl and a Ki=5.1 nM against Tyro3. Mice were dosed (iv and po) with 3 mg/kg MRX-6313. The graph illustrates the plasma concentration of MRX-6313 in ng/mL verses time in hours. FIG. 5B illustrates the pharmacokinetic parameters for MRX6313/UNC2025. See Example 8.
FIG. 6A and FIG. 6B show reduced tumor burden measured by bioluminescent imaging in response to treatment with MRX6313/UNC2025 relative to mice treated with vehicle in orthotopic B-ALL xenograft models of established disease (A) and minimal residual disease (B). FIG. 6C shows mean bioluminescence intensity verses day post-transplant in mice receiving saline qd or 100 mg/kg MRX6313/UNC2025 qd starting at day 12 post-transplant in the B-ALL xenograft model of established disease. FIG. 6D is a Kaplan Meier plot showing percent survival verses days post-transplant for mice receiving either saline or 100 mg/kg MRX6313/UNC2025 in the B-ALL xenograft model of established disease. FIG. 6E shows mean bioluminescence intensity verses day post-transplant in mice receiving saline qd or 75 mg/kg MRX6313/UNC2025 qd starting at day 1 in the B-ALL xenograft model of minimal residual disease. FIG. 6F is a Kaplan Meier plot showing percent survival verses days post-transplant for mice receiving either saline or 75 mg/kg MRX6313/UNC2025 in the B-ALL xenograft model of minimal residual disease. FIGS. 6G-6H show median survival for mice receiving saline, 100 mg/kg MRX6313/UNC2025 qd starting at day 12, or 75 mg/kg MRX6313/UNC2025 qd starting at day 1. See Example 8.
FIG. 7A is a graph illustrating the average bioluminescence intensity (×106 photons/sec) verses days post-transplant in mice treated with 75 mg/kg MRX6313/UNC2025, 1 mg/kg methotrexate (MTX) or 75 mg/kg MRX6313/UNC2025+1 mg/kg methotrexate in a B-ALL xenograft model. FIG. 7B is a graph showing tumor burden 88 days post-transplant in individual mice treated with 75 mg/kg MRX6313/UNC2025+1 mg/kg methotrexate in the experiment shown in 7A. FIG. 7C is Kaplan Meier plot illustrating % leukemia-free survival verses days post-transplant for mice treated with 75 mg/kg MRX6313/UNC2025, 1 mg/kg methotrexate (MTX) or 75 mg/kg MRX6313/UNC2025+1 mg/kg methotrexate in the B-ALL xenograft model. FIG. 7D is a table illustrating median survival when mice were dosed with 75 mg/kg MRX-6313 QD starting at d12, 1 mg/kg MTX QD×2d/wk×7 cycles starting at d14, or 75 mg/kg MRX6313/UNC2025 d12 and 1 mg/kg MTX d14 (n=5). See Example 8.
FIG. 8A shows reduced tumor volume in response to treatment with 50 mg/kg MRX6313/UNC2025 in a subcutaneous xenograft model of NSCLC established using MerTK+, FGFR+ Colo699 cells. FIG. 8B: H226 (MerTK+, FGFR+) NSCLC cells were cultured for 14 days in soft agar in the presence of MRX6313/UNC2025 and/or AZD-4547, alone or in combination, and colonies were stained and counted. See Example 7 and Example 9.
FIGS. 9A, 9B and 9C show MerTK protein expression detected by immunocytochemistry in melanocytes (S100-positive) in nevus (A), primary melanoma (B), and metastatic melanoma (C) samples. FIG. 9D is an immunoblot that shows that MRX6313/UNC2025 abrogates signaling downstream of MerTK in the melanoma cell lines HMCB and G361. FIG. 9E is a graph illustrating relative colony number when HMCB and G361 cells were dosed with MRX6313/UNC2025 at 25, 50, 100, 300 and 500 nM.
FIG. 10A is an immunoblot showing the presence of MerTK in J774 murine macrophage and absence in PyVmT murine mammary tumor cells. FIGS. 10B and 10C illustrate the results from an immune-competent orthotopic model of MerTK-negative breast cancer. Mice were transplanted with PyVmT mammary tumor cells and were treated with 50 mg/kg MRX6313/UNC2025 or vehicle qd starting 2 days before transplant. FIG. 10B is a graph showing tumor volume (mm3) verses days post-tumor injection. FIG. 10C illustrates proinflammatory signaling pathway components that exhibit altered expression in tumor-associated macrophages following treatment with MRX6313/UNC2025 determined by RNA sequencing. See Example 11.
FIG. 11 is a graph illustrating percent change in melanoma tumor volume in a genetically-engineered mouse (GEM) model (TRIA) after 21 days of treatment with various drugs and combinations of drugs. MEK plus P13K (AZD6244/BEZ235) was the only regimen to show efficacy in the model. This combination is not tolerated in humans.
FIG. 12A is a graph illustrating tumor volume (mm3) verses days when in TRIA mice treated with MRX6313/UNC2025 or vehicle. FIG. 12B is a Kaplan Meier plot showing percent survival verses days on MRX6313/UNC2025 therapy in the TRIA GEM model. FIG. 12C is a Kaplan Meier plot of percent survival verses days on therapy verses no treatment in the TRIA GEM model. Mice with melanoma were treated with MRX6313/UNC2025, AZD6244/BEZ235 or given no treatment.
FIG. 13 is a waterfall plot showing percent change in tumor volumes verses days of treatment in the TRIA GEM model of melanoma. Mice were treated with UNC2025, AZD6244, Carbo/Taxol or received no treatment. The best response was mediated by UNC2025.
FIG. 14 is a Kaplan Meier plot showing percent survival verses days on therapy in TRIA mice with melanoma treated with PD1, UNC2025, UNC2025 in combination with PD1 or received no treatment.
FIG. 15A is a graph illustrating percent change in tumor volume in TRIA mice with melanoma treated with UNC2025 or AZD6244 verses no treatment. AZD6244 is a MEK inhibitor that was administered in mouse chow at a predicted dose of 37 mg/kg (MTD). UNC2025 was administered in chow at a predicted dose of 120 mg/kg (MTD). FIG. 15B is a Kaplan Meier plot illustrating percent survival verses days of treatment when TRIA mice with melanoma were treated with no drug, UNC2025 or AZD6244. AZD6244 is a MEK inhibitor that was dosed in mouse chow at a predicted dose of 37 mg/kg (MTD). UNC2025 was dosed in chow at a predicted dose of 120 mg/kg (MTD). See Example 6.
FIG. 16A is a graph illustrating tumor volume verses days treated. Colo699 tumor cells were subcutaneously implanted in mice. Mice subsequently received either saline or MRX6313/UNC2025, 50 mg/kg, qd. FIG. 16B is an immunoblot of pMer and downstream signaling proteins in the NSCLC cell line H1299 after 24 h pre-treatment with Axl siRNA and MRX6313/UNC2025 treatment for one hour. See Example 9.
FIG. 17A illustrates the number of colonies (H226) in a soft agar assay after two weeks of treatment. Colonies were treated with MRX6313/UNC2025 and AZD4547 at concentrations ranging from 0 to 100 nM. FIG. 17B is an immunoblot of signaling proteins downstream of MerTK in the NSCLC cell line H226 after 4 h treatment with DMSO, AZD4547, MRX6313/UNC2025, or AZD4547 and MRX6313/UNC2025.
FIG. 18A is a graph of tumor volume (mm3) verses days. This is treatment of the intact GEMM. FIG. 18B is a graph illustrating the results from TRIA injected into NSG mice. The mice were then treated with no drug or UNC2025. Tumor volumes were significantly reduced when mice were treated with UNC2025 verses control. In FIGS. 18A and 18B, both treated slopes were statistically significant compared to untreated slopes using linear regression p<0.001. FIG. 18C; Pten/Braf genetically engineered mice were treated with no drug or UNC2025. The graph illustrates tumor volumes (mm3) verses days on treatment.
FIG. 19A is a timeline illustrating a mouse model using PyVmT cells. Mice were treated with 3 mg/kg MRX6313/UNC2025 or saline twice daily by oral gavage. Mice were dosed from day −2 to day 28. At day zero, 1×106 PyVmT cells were implanted into the inguinal mammary fatpad of mice. Tumor volumes were measured at days 16, 19, 21, 23, 26 and 28. Day 28 was the end of the study. FIG. 19B is a graph illustrating tumor volume (mm3) verses days post-tumor injection. RNA-sequence data indicate that MRX6313/UNC2025 treatment increases pro-inflammatory cytokines in CD11b+ cells and activates CD8+T cell effector function. See Example 11.
FIG. 20A illustrates a Mertg spleen verses a wild type spleen. FIG. 20B illustrates an enlarged Mertg lymph node. FIG. 20C is a picture of cells from a Mertg lymph node. FIG. 20D shows MerTK expression in pediatric ALL patients detected by RT-PCR. FIGS. 20E and 20F illustrate the percent of adult and pediatric patients with acute myeloid leukemias that are MerTK positive, MerTK Dim, or MerTK negative. See, Graham, Armistead et al., Oncogene, 2013.
FIG. 21 is the chemical structure of UNC1666.
FIG. 22 is the chemical structure of UNC2025/MRX6313.
FIG. 23A: Immunoprecipitation of FLT3-ITD positive AML cell lines after 1 h treatment with MRX-2843/UNC2371 demonstrates decreased phosphorylation of FLT3 (pFLT3) in comparison to total FLT3. See Example 12.
FIG. 23B: Treatment of AML cell lines with increasing doses of MRX-2843/UNC2371 leads to decreased phosphorylation of downstream signaling proteins STAT5, AKT, and ERK1/2 in comparison to DMSO and control TKI.
FIG. 24A: AML cell lines treated for 72 h with MRX-2843/UNC2371 demonstrate significantly increased apoptosis after staining with Yo-Pro-1 iodide and propidium iodide and undergoing flow cytometric analysis. See Example 13 and Example 14.
FIG. 24B: FLT3-ITD AML cell lines colony formation in soft agar is inhibited by treatment with MRX-2843/UNC2371; colony number is relative to vehicle-treated cells. See Example 14.
FIG. 25A: Daily treatment with MRX-2843/UNC2371 or AC220 via oral gavage significantly prolongs survival in AML Molm14 xenograft model containing FLT3-ITD. See Example 15.
FIG. 25B: MRX-2843/UNC2371 prolongs survival in a pilot study of a patient-derived xenograft model of FLT3-ITD AML. See Example 16.
FIG. 25C: MRX-2843/UNC2371 prolongs survival in a study of a patient-derived xenograft model of FLT3-ITD AML containing a mutation in the FLT3 tyrosine kinase domain (D835Y) that confers resistance to the FLT3 inhibitor quizartinib (AC220). See Example 18.
FIG. 25D: MRX-2843/UNC2371 survival analysis in a study of a Molm14 xenograft model of FLT3-ITD AML containing a mutation in the FLT3 tyrosine kinase domain (F691L) that confers resistance to the FLT3 inhibitor quizartinib (AC220).
FIG. 25E is a Table summarizing the median survival times of AML xenograft mice containing FLT3-ITD (Molm14), FLT3-ITD with the D835Y mutation, or FLT3-ITD with the F691L mutation. Mice were treated with either 10 mg/kg saline, 10 mg/kg AC220 or 50 mg/kg MRX-2843/UNC2371.
FIG. 25F is a graph illustrating peripheral blasts (%) at the end of the study in a Molm14 (FLT3-ITD) parental vs. Molm14 (FLT3-ITD) D835Y mutations (with or without treatment of AC220).
FIG. 25G is a graph illustrating peripheral blasts (%) at day 57 of the study in a Molm14 (FLT3-ITD) parental vs. Molm14 (FLT3-ITD) D835Y mutations (with or without treatment of AC220).
FIG. 25H is a graph illustrating peripheral blasts (%) at day 100 of the study in a Molm14 (FLT3-ITD) parental vs. Molm14 (FLT3-ITD) D835Y mutations (with or without treatment of AC220).
FIG. 26A: MRX-2843/UNC2371 prolongs survival in a study of a Molm14 xenograft model of FLT3-ITD AML containing a mutation in the FLT3 tyrosine kinase domain (F691L) that confers resistance to the FLT3 inhibitor quizartinib (AC220).
FIG. 26B is a table summarizing the median survival times in a study of a Molm14 xenograft model of FLT3-ITD AML containing a mutation in the FLT3 tyrosine kinase domain (F691L) that confers resistance to the FLT3 inhibitor quizartinib (AC220).
FIG. 27A: MRX-2843/UNC2371 prolongs survival in a study of a patient-derived xenograft model of FLT3-ITD AML containing a mutation in the FLT3 tyrosine kinase domain (D835Y) that confers resistance to the FLT3 inhibitor quizartinib (AC220).
FIG. 27B is a table summarizing median survival times in a study of a patient-derived xenograft model of FLT3-ITD AML containing a mutation in the FLT3 tyrosine kinase domain (D835Y) that confers resistance to the FLT3 inhibitor quizartinib (AC220).
FIG. 27C is a graph of splenic blasts (%) in a patient-derived xenograft model of FLT3-ITD AML containing a mutation in the FLT3 tyrosine kinase domain (D835Y) that confers resistance to the FLT3 inhibitor quizartinib (AC220) at day 15 post-treatment with saline, AC220, or MRX2843/UNC2371.
FIG. 27D is a graph of spleen weight (mg) in a patient-derived xenograft model of FLT3-ITD AML containing a mutation in the FLT3 tyrosine kinase domain (D835Y) that confers resistance to the FLT3 inhibitor quizartinib (AC220) at day 15 post-treatment with saline, AC220, or MRX2843/UNC2371.
FIG. 27E is a graph of bone marrow blasts (%) in a patient-derived xenograft model of FLT3-ITD AML containing a mutation in the FLT3 tyrosine kinase domain (D835Y) that confers resistance to the FLT3 inhibitor quizartinib (AC220) at day 15 post-treatment with saline, AC220, or MRX2843/UNC2371.
FIG. 28: Chemical structures of FLT3 inhibitors. Examples of FLT3 inhibitors include, but are not limited to, AC220 (quizartinib), CEP-701 (lestaurtinib), MLN-518 (tandutiniib), PKC-412 (midostaurin), CGP-52421 (midostaurin metabolite), sorafenib, and sunitinib.
FIG. 29A. Gas6/TAM antagonists mediate synergistic inhibition of arterial/venous thrombosis and platelet aggregation when combined with ADP/P2Y inhibitors. Arterial and venous thrombosis models as in FIG. 4 above and platelet aggregation as in FIG. 1 above. TTFO in mice treated with vehicle (negative control), 3 mg/kg UNC2025, low-dose (1.5 mg/kg) ADP inhibitors (LD ADPi), high dose (3 mg/kg) ADP inhibitors (HD ADPi), a combination of LD ADPi and UNC2025, or Abx (positive control). FeCl3 application induced longer TTFO in mice pre-treated with HD ADPis, n=3, 9.8+/−1.1 min, p<0.05) or 3 mg/kg UNC Mer TKI (n=12, 7.7+/−0 3 minutes, p<0.05), compared to vehicle control (n=24, 6.6+/−0.2 minutes). Mice pre-treated with (LD ADPis, however, exhibited shorter TTFO (n=5, 7.5+/−0.2 minutes, p=NS). Combination of 3 mg/kg UNC Mer TKI and the LD ADPis (n=6, 10.5+/−1.9 minutes, p<0.001), however, recapitulated the longer TTFO seen with the HD ADPis. See Example 20.
FIG. 29B. DOO of artery in mice from the same groups. FeCl3 application induced shorter total DOO in mice pre-treated with HD ADPis (n=3, 11.4+/−2.2 min, p<0.0001) or 3 mg/kg UNC Mer TKI (n=12, 42.2+/−4.7 minutes, p<0.05), compared to vehicle control (n=24, 53.2+/−0.4 minutes). Mice pre-treated with LD ADPis, however, exhibited longer DOO (n=5, 52.7+/−0.2 minutes, p=NS). Combination of 3 mg/kg UNC Mer TKI and the LD ADPis (n=6, 31.6+/−9.2 minutes, p<0.001), however, recapitulated the longer TTFO seen with the HD ADPis. See Example 20.
FIG. 29C. Survival curve (minutes) after collagen/epinephrine injection in mice from the same groups, after which survival time was recorded, with significance determined by Mantel-Cox logrank test. Survival times following venous injection of collagen and epinephrine significantly differed between mice treated with HD ADPis (n=5, 19.4+/−4.4 minutes, p<0.001) or 3 mg/kg UNC Mer TKI (n=9, 19.9+/−4.9 minutes, p<0.05), compared to vehicle control (n=21, 3.21+/−2.4 minutes). Mice treated with LD ADPis, however, exhibited shorter survival times (n=6, 11.9+/−5.0 minutes). Interestingly, combination of 3 mg/kg UNC Mer TKI and LD ADPis recapitulated the longer survival times seen with the HD ADPis (n=7, 25.9+/−3.8 minutes). No significant difference in survival times was noted between any of the groups of drug-treated mice. See Example 20.
FIG. 29D. Tail bleeding times were compared in mice from the same groups. No significant differences were found in bleeding times except in HD LDPi-treated mice compared to vehicle-treated controls.
FIG. 29E: Mean maximum aggregation in 1 μM UNC2025-treated samples (n=7, 68.9+/−2.2%, p<0.05), differed significantly from vehicle-treated controls (n=7, 79.7+/−1.6%) and from null TKI-treated controls (n=7, 76.7+/−1.8%, p<0.01). 100 μM ADP/P2Y1&12 inhibitor-treated samples (n=7) exhibited a mean maximum aggregation of 62+/−5.2% (p<0.01), and samples treated with a combination of 100 μM each of ADP/P2Y1&12 inhibitors and 1 μM UNC2025 had a maximum aggregation of 31.3+/−7.7% (n=7, p=0.001). See Example 20.
1. TERMINOLOGY
Compounds are described using standard nomenclature. Unless defined otherwise, all technical and scientific terms used herein have the same meaning as is commonly understood by one of skill in the art to which this invention belongs.
The compounds in any of the Formulas described herein include enantiomers, mixtures of enantiomers, diastereomers, tautomers, racemates and other isomers, such as rotamers, as if each is specifically described.
The terms “a” and “an” do not denote a limitation of quantity, but rather denote the presence of at least one of the referenced item. The term “or” means “and/or”. Recitation of ranges of values are merely intended to serve as a shorthand method of referring individually to each separate value falling within the range, unless otherwise indicated herein, and each separate value is incorporated into the specification as if it were individually recited herein. The endpoints of all ranges are included within the range and independently combinable. All methods described herein can be performed in a suitable order unless otherwise indicated herein or otherwise clearly contradicted by context. The use of examples, or exemplary language (e.g., “such as”), is intended merely to better illustrate the invention and does not pose a limitation on the scope of the invention unless otherwise claimed.
Isotopic Substitution
In one embodiment, the present invention includes compounds of Formula I, Formula IA, Formula IB, Formula II, Formula IIA, or Formula IIB and additional active compounds described herein, and the use of these compounds with at least one desired isotopic substitution of an atom, at an amount above the natural abundance of the isotope, i.e., enriched. Isotopes are atoms having the same atomic number but different mass numbers, i.e., the same number of protons but a different number of neutrons.
Examples of isotopes that can be incorporated into compounds of the invention include isotopes of hydrogen, carbon, nitrogen, oxygen, phosphorous, fluorine, and chlorine, such as 2H 3H, 11C, 13C, 14C, 15N, 18F 31P, 32P, 35S, 36Cl, 125I respectively. The invention includes various isotopically labeled compounds as defined herein, for example those into which radioactive isotopes, such as 3H, 13C, and 14C, are present. Such isotopically labelled compounds are useful in metabolic studies (with 14C), reaction kinetic studies (with, for example 2H or 3H), detection or imaging techniques, such as positron emission tomography (PET) or single-photon emission computed tomography (SPECT) including drug or substrate tissue distribution assays, or in radioactive treatment of patients. In particular, an 18F labeled compound may be particularly desirable for PET or SPECT studies. Isotopically labeled compounds of this invention and prodrugs thereof can generally be prepared by carrying out the procedures disclosed in the schemes or in the examples and preparations described below by substituting a readily available isotopically labeled reagent for a non-isotopically labeled reagent.
By way of general example and without limitation, isotopes of hydrogen, for example, deuterium (2H) and tritium (3H) may be used anywhere in described structures. Alternatively or in addition, isotopes of carbon, e.g., 13C and 14C, may be used. A typical isotopic substitution is deuterium for hydrogen at one or more locations on the molecule to improve the performance of the drug, for example, the pharmacodynamics, pharmacokinetics, biodistribution, half-life, stability, AUC, Tmax, Cmax, etc. For example, the deuterium can be bound to carbon in a location of bond breakage during metabolism (an α-deuterium kinetic isotope effect) or next to or near the site of bond breakage (a β-deuterium kinetic isotope effect).
Isotopic substitutions, for example deuterium substitutions, can be partial or complete. Partial deuterium substitution means that at least one hydrogen is substituted with deuterium. In certain embodiments, the isotope is 90, 95 or 99% or more enriched in an isotope at any location of interest. In one embodiments deuterium is 90, 95 or 99% enriched at a desired location. Unless otherwise stated, the enrichment at any point is above natural abundance and enough to alter a detectable property of the drug in a human.
In one embodiment, the substitution of a hydrogen atom for a deuterium atom occurs within an R group when at least one of the variables within the R group is hydrogen (e.g., 2H or D) or alkyl (e.g., CD3). For example, when any of R groups are, or contain for example through substitution, methyl or ethyl, the alkyl residue is typically deuterated, e.g., CD3, CH2CD3 or CD2CD3. In certain other embodiments, when any of the above mentioned R groups are hydrogen, the hydrogen may be isotopically enriched as deuterium (i.e., 2H).
A dash (“-”) that is not between two letters or symbols is used to indicate a point of attachment for a substituent. For example, —(C═O)NH2 is attached through carbon of the keto (C═O) group.
“Alkyl” as used herein alone or as part of another group, refers to a straight or branched chain hydrocarbon containing from 1 to 10 carbon atoms. In one embodiment, the alkyl contains from 1 to about 10 carbon atoms, more generally from 1 to about 6 carbon atoms or from 1 to about 4 carbon atoms. In certain embodiments, the alkyl is C1-C3 or C1-C8. The specified ranges as used herein indicate an alkyl group having each member of the range described as an independent species. For example, the term C1-C3 alkyl as used herein indicates a straight or branched alkyl group having from 1, 2, or 3 carbon atoms and is intended to mean that each of these is described as an independent species. For example, the term C1-C3alkyl as used herein indicates a straight or branched alkyl group having from 1, 2, or 3 carbon atoms and is intended to mean that each of these is described as an independent species. Representative examples of alkyl include, but are not limited to, methyl, ethyl, n-propyl, iso-propyl, n-butyl, sec-butyl, iso-butyl, tert-butyl, n-pentyl, isopentyl, neopentyl, n-hexyl, 3-methylhexyl, 2,2-dimethylpentyl, 2,3-dimethylpentyl, n-heptyl, n-octyl, n-nonyl, n-decyl, and the like. “Lower alkyl” as used herein, is a subset of alkyl, in some embodiments typically, and refers to a straight or branched chain hydrocarbon group containing from 1 to 4 carbon atoms. Representative examples of lower alkyl include, but are not limited to, methyl, ethyl, n-propyl, iso-propyl, n-butyl, iso-butyl, tert-butyl, and the like. The term “alkyl” or “loweralkyl” is intended to include both substituted and unsubstituted alkyl or loweralkyl unless otherwise indicated and these groups may be substituted with groups selected from halo (e.g., haloalkyl), alkyl, haloalkyl, hydroxyalkyl, alkenyl, alkynyl, cycloalkyl (including spiroalkyl, e.g., —C(CH2)2-4 spiroalkyl), cycloalkylalkyl, aryl, arylalkyl, heterocyclo, heterocycloalkyl, alkylheterocycloalkyl, heteroaryl, alkylheteroaryl, hydroxyl, alkoxy (thereby creating a polyalkoxy such as polyethylene glycol), alkenyloxy, alkynyloxy, haloalkoxy, cycloalkoxy, cycloalkylalkyloxy, aryloxy, arylalkyloxy, heterocyclooxy, heterocyclolalkyloxy, mercapto, alkyl-S(O)m, haloalkyl-S(O)m, alkenyl-S(O)m, alkynyl-S(O)m, cycloalkyl-S(O)m, cycloalkylalkyl-S(O)m, aryl-S(O)m, arylalkyl- S(O)m, heterocyclo-S(O)m, heterocycloalkyl-S(O)m, amino, carboxy, alkylamino, —(CH2)m—NH(CH2)mCH3, —(CH2)m—NH(CH2)mOH, alkenylamino, alkynylamino, halo alkylamino, cycloalkylamino, cycloalkylalkylamino, arylamino, arylalkylamino, heterocycloamino, heterocycloalkylamino, disubstituted-amino, acylamino, acyloxy, ester, amide, sulfonamide, urea, alkoxyacylamino, aminoacyloxy, nitro or cyano where m=0, 1, 2 or 3. In one embodiment, alkyl or loweralkyl can be substituted with groups selected from a polar group, —(CH2)m—N(R50)2, —(CH2)m—NH(CH2)mR50, —(CH2)mNH(CH2)2-3N(R50)2, —S(O)2OR50, —CONHNHR50, aminosulfonyl —C(CH2)2R50 wherein each R50 is independently selected from hydrogen, alkyl, alkenyl, alkynyl, aryl, arylalkyl, cycloalkyl, cycloalkylalkyl, heterocyclo, heterocycloalkyl, heteroaryl, or heteroarylalkyl.
“Alkenyl” as used herein alone or as part of another group, refers to a straight or branched chain hydrocarbon containing from 1 to 10 carbon atoms (or in loweralkenyl 1 to 4 carbon atoms) which include 1 to 4 double bonds in the normal chain. Representative examples of alkenyl include, but are not limited to, vinyl, 2-propenyl, 3-butenyl, 2-butenyl, 4-pentenyl, 3-pentenyl, 2-hexenyl, 3-hexenyl, 2,4-heptadiene, and the like. The term “alkenyl” or “loweralkenyl” is intended to include both substituted and unsubstituted alkenyl and loweralkenyl unless otherwise indicated and these groups may be substituted with groups as described in connection with alkyl and loweralkyl above.
“Alkynyl” as used herein alone or as part of another group, refers to a straight or branched chain hydrocarbon containing from 1 to 10 carbon atoms (or in loweralkynyl 1 to 4 carbon atoms) which include 1 triple bond in the normal chain. Representative examples of alkynyl include, but are not limited to, 2-propynyl, 3-butynyl, 2-butynyl, 4-pentynyl, 3-pentynyl, and the like. The term “alkynyl” or “loweralkynyl” is intended to include both substituted and unsubstituted alkynyl or loweralkynyl unless otherwise indicated and these groups may be substituted with the same groups as set forth in connection with alkyl and loweralkyl above.
“Cycloalkyl” as used herein alone or as part of another group, refers to a saturated or partially unsaturated cyclic hydrocarbon group containing from 3, 4 or 5 to 6, 7 or 8 carbons (which carbons may be replaced in a heterocyclic group as discussed below). Representative examples of cycloalkyl include, cyclopropyl, cyclobutyl, cyclopentyl, cyclohexyl, cycloheptyl, and cyclooctyl. These rings may be optionally substituted with additional substituents as described herein such as halo or loweralkyl. The term “cycloalkyl” is generic and intended to include heterocyclic groups as discussed below unless specified otherwise. In one embodiment, as used herein, the term “cycloalkyl” refers to a saturated or unsaturated hydrocarbon mono- or multi-ring, e.g., fused, bridged, or spiro rings system having 3 to 15 carbon atoms (e.g., C3-C10). Examples of cycloalkyl include, but are not limited to, cyclopropyl, cyclobutyl, cyclopentyl, cyclohexyl, cycloheptyl, cyclooctyl, and adamantyl. In another embodiment, the term “cycloalkyl” refers to a saturated or partially unsaturated, monocyclic, fused bicyclic or bridged polycyclic ring assembly containing from 3 to 12 ring atoms, or the number of atoms indicated. Cycloalkyl can include any number of carbons, such as C3-6, C4-6, C5-6, C3-8, C4-8, C5-8, and C6-8. Saturated monocyclic cycloalkyl rings include, for example, cyclopropyl, cyclobutyl, cyclopentyl, cyclohexyl, and cyclooctyl. Saturated bicyclic and polycyclic cycloalkyl rings include, for example, norbornane, [2.2.2]bicyclooctane, decahydronaphthalene and adamantane. Cycloalkyl groups can also be partially unsaturated, having one or more double bonds in the ring. Representative cycloalkyl groups that are partially unsaturated include, but are not limited to, cyclobutene, cyclopentene, cyclohexene, cyclohexadiene (1,3- and 1,4-isomers), cycloheptene, cycloheptadiene, cyclooctene, cyclooctadiene (1,3-, 1,4- and 1,5-isomers), norbornene, and norbornadiene. These groups may be substituted with groups as described in connection with alkyl and loweralkyl above.
“Heterocyclic group” or “heterocyclo” as used herein alone or as part of another group, refers to an aliphatic (e.g., fully or partially saturated heterocyclo) or aromatic (e.g., heteroaryl) monocyclic- or a bicyclic-ring system. In some embodiments, monocyclic ring systems are exemplified by any 7 membered ring containing 1, 2, 3, or 4 heteroatoms independently selected from oxygen, nitrogen and sulfur. Monocyclic ring systems are exemplified by any 5 or 6 membered ring containing 1, 2, 3, or 4 heteroatoms independently selected from oxygen, nitrogen and sulfur. The 5 membered ring has from 0-2 double bonds and the 6 membered ring has from 0-3 double bonds. Representative examples of monocyclic ring systems include, but are not limited to, azetidine, azepine, aziridine, diazepine, 1,3-dioxolane, dioxane, dithiane, furan, imidazole, imidazoline, imidazolidine, isothiazole, isothiazoline, isothiazolidine, isoxazole, isoxazoline, isoxazolidine, morpholine, oxadiazole, oxadiazoline, oxadiazolidine, oxazole, oxazoline, oxazolidine, piperazine, piperidine, pyran, pyrazine, pyrazole, pyrazoline, pyrazolidine, pyridine, pyrimidine, pyridazine, pyrrole, pyrroline, pyrrolidine, tetrahydrofuran, tetrahydrothiophene, tetrazine, tetrazole, thiadiazole, thiadiazoline, thiadiazolidine, thiazole, thiazoline, thiazolidine, thiophene, thiomorpholine, thiomorpholine sulfone, thiopyran, triazine, triazole, trithiane, and the like. Bicyclic ring systems are exemplified by any of the above monocyclic ring systems fused to an aryl group as defined herein, a cycloalkyl group as defined herein, or another monocyclic ring system as defined herein. Representative examples of bicyclic ring systems include but are not limited to, for example, benzimidazole, benzothiazole, benzothiadiazole, benzothiophene, benzoxadiazole, benzoxazole, benzofuran, benzopyran, benzothiopyran, benzodioxine, 1,3-benzodioxole, cinnoline, indazole, indole, indoline, indolizine, naphthyridine, isobenzofuran, isobenzothiophene, isoindole, isoindoline, isoquinoline, phthalazine, purine, pyranopyridine, quinoline, quinolizine, quinoxaline, quinazoline, tetrahydroisoquinoline, tetrahydroquinoline, thiopyranopyridine, and the like. These rings include quaternized derivatives thereof and may be optionally substituted with groups selected from halo, alkyl, haloalkyl, alkenyl, alkynyl, cycloalkyl, cycloalkylalkyl, aryl, arylalkyl, heterocyclo, heterocycloalkyl, hydroxyl, alkoxy, alkenyloxy, alkynyloxy, haloalkoxy, cycloalkoxy, cycloalkylalkyloxy, aryloxy, arylalkyloxy, heterocyclooxy, heterocyclolalkyloxy, mercapto, alkyl-S(O)m, haloalkyl-S(O)m, alkenyl-S(O)m, alkynyl-S(O)m, cycloalkyl-S(O)m, cycloalkylalkyl-S(O)m, aryl-S(O)m, arylalkyl-S(O)m, heterocyclo-S(O)m, heterocycloalkyl-S(O)m, amino, alkylamino, —(CH2)m—NH(CH2)mCH3, —(CH2)m—NH(CH2)mOH alkenylamino, alkynylamino, haloalkylamino, cycloalkylamino, cycloalkylalkylamino, arylamino, arylalkylamino, heterocycloamino, heterocycloalkylamino, disubstituted-amino, acylamino, acyloxy, ester, amide, sulfonamide, urea, alkoxyacylamino, aminoacyloxy, nitro or cyano where m=0, 1, 2 or 3. In some embodiments, the heterocyclo groups can be substituted with groups as described in connection with alkyl and loweralkyl above. In another embodiment, the term “heterocyclo” refers to a saturated or unsaturated nonaromatic 3-8 membered monocyclic, 7-12 membered bicyclic (fused, bridged, or spiro rings), or 11-14 membered tricyclic ring system (fused, bridged, or Spiro rings) having one or more heteroatoms (such as O, N, or S), unless specified otherwise. Examples of heterocyclo groups include, but are not limited to, piperidinyl, piperazinyl, pyrrolidinyl, dioxanyl, tetrahydrofuranyl, isoindolinyl, indolinyl, imidazolidinyl, pyrazolidinyl, oxazolidinyl, isoxazolidinyl, triazolidinyl, tetrahyrofuranyl, oxiranyl, azetidinyl, oxetanyl, thietanyl, 1,2,3,6-tetrahydropyridinyl, tetrahydropyranyl, dihydropyranyl, pyranyl, morpholinyl, 1,4-diazepanyl, 1,4-oxazepanyl, 2-oxa-5-azabicyclo[2.2.1]heptanyl, 2,5-diazabicyclo[2.2.1]heptanyl, 2-oxa-6-azaspiro[3.3]heptanyl, 2,6-diazaspiro[3.3]heptanyl, 1,4-dioxa-8-azaspiro[4.5]decanyl and the like. These groups may be substituted with groups as described in connection with alkyl and loweralkyl above.
“Aryl” as used herein alone or as part of another group, refers to a monocyclic carbocyclic ring system or a bicyclic carbocyclic fused ring system having one or more aromatic rings. Representative examples of aryl include, azulenyl, indanyl, indenyl, naphthyl, phenyl, tetrahydronaphthyl, and the like. The term “aryl” is intended to include both substituted and unsubstituted aryl unless otherwise indicated and these groups may be substituted with the same groups as set forth in connection with alkyl and loweralkyl above.
“Arylalkyl” as used herein alone or as part of another group, refers to an aryl group, as defined herein, appended to the parent molecular moiety through an alkyl group, as defined herein. Representative examples of arylalkyl include, but are not limited to, benzyl, 2-phenylethyl, 3-phenylpropyl, 2-naphth-2-ylethyl, and the like.
“Heteroaryl” as used herein is as described in connection with heterocyclo above.
“Alkoxy” as used herein alone or as part of another group, refers to an alkyl or loweralkyl group, as defined herein (and thus including substituted versions such as polyalkoxy), appended to the parent molecular moiety through an oxy group, —O—. Representative examples of alkoxy include, but are not limited to, methoxy, ethoxy, propoxy, 2-propoxy, butoxy, tert-butoxy, pentyloxy, hexyloxy and the like.
“Halo” as used herein refers to any suitable halogen, including —F, —Cl, —Br, and —I.
“Mercapto” as used herein refers to an —SH group.
“Azido” as used herein refers to an —N3 group.
“Cyano” as used herein refers to a —CN group.
“Formyl” as used herein refers to a —C(O)H group.
“Carboxylic acid” as used herein refers to a —C(O)OH group.
“Hydroxyl” as used herein refers to an —OH group.
“Nitro” as used herein refers to an —NO2 group.
“Acyl” as used herein alone or as part of another group refers to a —C(O)R radical, where R is any suitable substituent such as aryl, alkyl, alkenyl, alkynyl, cycloalkyl or other suitable substituent as described herein.
“Alkylthio” as used herein alone or as part of another group, refers to an alkyl group, as defined herein, appended to the parent molecular moiety through a thio moiety, as defined herein. Representative examples of alkylthio include, but are not limited, methylthio, ethylthio, tert-butylthio, hexylthio, and the like.
“Amino” as used herein means the radical —NH2.
“Alkylamino” as used herein alone or as part of another group means the radical —NHR, where R is an alkyl group.
“Arylalkylamino” as used herein alone or as part of another group means the radical —NHR, where R is an arylalkyl group.
“Disubstituted-amino” as used herein alone or as part of another group means the radical —NRaRb, where Ra and Rb are independently selected from the groups hydrogen, alkyl, haloalkyl, alkenyl, alkynyl, cycloalkyl, cycloalkylalkyl, aryl, arylalkyl, heterocyclo, heterocycloalkyl.
“Acylamino” as used herein alone or as part of another group means the radical —NRaRb, where Ra is an acyl group as defined herein and Rb is selected from the groups hydrogen, alkyl, haloalkyl, alkenyl, alkynyl, cycloalkyl, cycloalkylalkyl, aryl, arylalkyl, heterocyclo, heterocycloalkyl.
“Acyloxy” as used herein alone or as part of another group means the radical —OR, where R is an acyl group as defined herein.
“Ester” as used herein alone or as part of another group refers to a —C(O)OR radical, where R is any suitable substituent such as alkyl, cycloalkyl, alkenyl, alkynyl or aryl.
“Amide” as used herein alone or as part of another group refers to a —C(O)NRaRb radical, where Ra and Rb are any suitable substituent such as alkyl, cycloalkyl, alkenyl, alkynyl or aryl. In some embodiments, Ra and Rb together with the nitrogen to which they are bonded form a heterocyclic ring.
“Sulfoxyl” as used herein refers to a compound of the formula —S(O)R, where R is any suitable substituent such as alkyl, cycloalkyl, alkenyl, alkynyl or aryl.
“Sulfonyl” as used herein refers to a compound of the formula —S(O)(O)R, where R is any suitable substituent such as amino, alkyl, cycloalkyl, alkenyl, alkynyl or aryl.
“Sulfonate” as used herein refers to a compound of the formula —S(O)(O)OR, where R is any suitable substituent such as alkyl, cycloalkyl, alkenyl, alkynyl or aryl.
“Sulfonic acid” as used herein refers to a compound of the formula —S(O)(O)OH.
“Sulfonamide” as used herein alone or as part of another group refers to a —S(O)2NRaRb radical, where Ra and Rb are any suitable substituent such as H, alkyl, cycloalkyl, alkenyl, alkynyl or aryl. In some embodiments, Ra and Rb are any suitable substituent such as hydrogen, alkyl, alkenyl, alkynyl, aryl, arylalkyl, cycloalkyl, cycloalkylalkyl, heterocyclo, heterocycloalkyl, heteroaryl, or heteroarylalkyl and each Ra and Rb can be optionally substituted one, two or three times. In some embodiments, Ra and Rb together with the nitrogen to which they are bonded form a heterocyclic ring that can be optionally substituted one, two or three times.
“Urea” as used herein alone or as part of another group refers to an —N(Rc)C(O)NRaRb radical, where Ra, Rb and Rc are any suitable substituent such as H, alkyl, cycloalkyl, alkenyl, alkynyl or aryl. In some embodiments, Ra and Rb together with the nitrogen to which they are bonded form a heterocyclic ring.
“Alkoxyacylamino” as used herein alone or as part of another group refers to an —N(Ra)C(O)ORb radical, where Ra, Rb are any suitable substituent such as H, alkyl, cycloalkyl, alkenyl, alkynyl or aryl.
“Aminoacyloxy” as used herein alone or as part of another group refers to an —OC(O)NRaRb radical, where Ra and Rb are any suitable substituent such as H, alkyl, cycloalkyl, alkenyl, alkynyl or aryl. In some embodiments, Ra and Rb together with the nitrogen to which they are bonded form a heterocyclic ring.
“Optionally substituted” as used herein refers to the optionally substitution of a chemical moiety. These moieties can be substituted with groups selected from, but not limited to, halo (e.g., haloalkyl), alkyl, haloalkyl, hydroxyalkyl, alkenyl, alkynyl, cycloalkyl (including spiroalkyl, e.g., —C(CH2)2-4-spiroalkyl), cycloalkylalkyl, aryl, arylalkyl, aryl substituted heteroaryl, heterocyclo, heterocycloalkyl, alkylheterocycloalkyl, heteroaryl, heteroarylalkyl, hydroxyl, alkoxy (thereby creating a polyalkoxy such as polyethylene glycol), alkenyloxy, alkynyloxy, haloalkoxy, cycloalkoxy, cycloalkylalkyloxy, aryloxy, arylalkyloxy, heterocyclooxy, heterocyclolalkyloxy, mercapto, alkyl-S(O)m, haloalkyl-S(O)m, alkenyl-S(O)m, alkynyl-S(O)m, cycloalkyl-S(O)m, cycloalkylalkyl-S(O)m, aryl-S(O)m, arylalkyl-S(O)m, heterocyclo-S(O)m, heterocycloalkyl-S(O)m, amino, carboxy, alkylamino, —(CH2)m—NH(CH2)mCH3, —(CH2)m—NH(CH2)mOH, alkenylamino, alkynylamino, haloalkylamino, cycloalkylamino, cycloalkylalkylamino, arylamino, arylalkylamino, heterocyclo amino, heterocycloalkylamino, disubstituted-amino, acylamino, acyloxy, ester, amide, sulfonamide, urea, alkoxyacylamino, aminoacyloxy, nitro, polar group or cyano where m=0, 1, 2 or 3. In one embodiment, alkyl or loweralkyl can be substituted with groups selected from a polar group, —(CH2)m—N(R50)2, —(CH2)m—NH(CH2)mR50, —(CH2)mNH(CH2)2-3N(R50)2, —S(O)2OR50, —CONHNHR50, aminosulfonyl —C(CH2)2R50 wherein each R50 is independently selected from hydrogen, alkyl, alkenyl, alkynyl, aryl, arylalkyl, cycloalkyl, cycloalkylalkyl, heterocyclo, heterocycloalkyl, heteroaryl, or heteroarylalkyl.
“Polar group” as used herein refers to a group wherein the nuclei of the atoms covalently bound to each other to form the group do not share the electrons of the covalent bond(s) joining them equally; that is the electron cloud is denser about one atom than another. This results in one end of the covalent bond(s) being relatively negative and the other end relatively positive; i.e., there is a negative pole and a positive pole. Examples of polar groups include, without limitations, halo, hydroxy, alkoxy, carboxy, nitro, cyano, amino (primary, secondary and tertiary), amido, ureido, sulfonamido, sulfinyl, sulfhydryl, silyl, S-sulfonamido, N-sulfonamido, C-carboxy, O-carboxy, C-amido, N-amido, sulfonyl, N-tert-butoxycarbonyl (or “t-BOC”) groups, phosphono, morpholino, piperazinyl, tetrazolo, and the like. See, e.g., U.S. Pat. No. 6,878,733, as well as alcohol, thiol, polyethylene glycol, polyol (including sugar, aminosugar, uronic acid), sulfonamide, carboxamide, hydrazide, N-hydroxycarboxamide, urea, metal chelates (including macrocyclic ligand or crown ether metal chelates). The polar group can be an ionic group.
“Ionic group” as used herein includes anionic and cationic groups, and includes groups (sometimes referred to as “ionogenic” groups) that are uncharged in one form but can be easily converted to ionic groups (for example, by protonation or deprotonation in aqueous solution). Examples include but are not limited to carboxylate, sulfonate, phosphate, amine, N-oxide, and ammonium (including quaternized heterocyclic amines such as imidazolium and pyridinium) groups. See, e.g., U.S. Pat. Nos. 6,478,863; 6,800,276; and 6,896,246. Additional examples include uronic acids, carboxylic acid, sulfonic acid, amine, and moieties such as guanidinium, phosphoric acid, phosphonic acid, phosphatidyl choline, phosphonium, borate, sulfate, etc.
“Deuterium” as used herein alone or as part of another group, refers to 2H, which has one proton and one neutron in the nucleus. It is a safe, non-radioactive isotope of hydrogen. Any hydrogen in a group or substituent described above may be replaced with deuterium to provide a “deuterated” compound, in some embodiments to modify and/or improve metabolic stability, resulting in better safety, tolerability and/or efficacy.
“Linking group” as used herein are generally bivalent aromatic, aliphatic, or mixed aromatic and aliphatic groups. Thus linking groups include linear or branched, substituted or unsubstituted aryl, alkyl, alkylaryl, or alkylarylalkyl linking groups, where the alkyl groups are saturated or unsaturated, and where the alkyl and aryl groups optionally containing independently selected heteroatoms such as 1, 2, 3 or 4 heteroatoms selected from the group consisting of N, O, and S. In some embodiments, linking groups containing from 2 to 20 carbon atoms are preferred. Numerous examples of suitable linking groups are known, including but not limited to those described in, U.S. Pat. Nos. 8,247,572; 8,097,609; 6,624,317; 6,613,345; 6,596,935; and 6,420,377, the disclosures of which are incorporated by reference herein in their entirety.
“Treat” as used herein refers to any type of treatment that imparts a benefit to a patient afflicted with a disease, including improvement in the condition of the patient (e.g., in one or more symptoms), delay in the progression of the disease, delay in onset of the disease, etc.
“Pharmaceutically acceptable” as used herein means that the compound or composition is suitable for administration to a subject to achieve the treatments described herein, without unduly deleterious side effects in light of the severity of the disease and necessity of the treatment.
A “dosage form” means a unit of administration of an active agent. Examples of dosage forms include tablets, capsules, injections, suspensions, liquids, emulsions, implants, particles, spheres, creams, ointments, suppositories, inhalable forms, transdermal forms, buccal, sublingual, topical, gel, mucosal, and the like.
“Pharmaceutical compositions” are compositions comprising at least one active agent, such as a compound or salt of Formula I, Formula IA, Formula IB, Formula II, Formula IIA, or Formula IIB, and at least one other substance, such as a carrier. “Pharmaceutical combinations” are combinations of at least two active agents which may be combined in a single dosage form or provided together in separate dosage forms with instructions that the active agents are to be used together to treat any disorder described herein.
“Pharmaceutically acceptable salts” includes derivatives of the disclosed compounds in which the parent compound is modified by making inorganic and organic, non-toxic, acid or base addition salts thereof. The salts of the present compounds can be synthesized from a parent compound that contains a basic or acidic moiety by conventional chemical methods. Generally, such salts can be prepared by reacting free acid forms of these compounds with a stoichiometric amount of the appropriate base (such as Na, Ca, Mg, or K hydroxide, carbonate, bicarbonate, or the like), or by reacting free base forms of these compounds with a stoichiometric amount of the appropriate acid. Such reactions are typically carried out in water or in an organic solvent, or in a mixture of the two. Generally, non-aqueous media like ether, ethyl acetate, ethanol, isopropanol, or acetonitrile are typical, where practicable. Salts of the present compounds further include solvates of the compounds and of the compound salts.
Examples of pharmaceutically acceptable salts include, but are not limited to, mineral or organic acid salts of basic residues such as amines; alkali or organic salts of acidic residues such as carboxylic acids; and the like. The pharmaceutically acceptable salts include the conventional non-toxic salts and the quaternary ammonium salts of the parent compound formed, for example, from non-toxic inorganic or organic acids. For example, conventional non-toxic acid salts include those derived from inorganic acids such as hydrochloric, hydrobromic, sulfuric, sulfamic, phosphoric, nitric and the like; and the salts prepared from organic acids such as acetic, propionic, succinic, glycolic, stearic, lactic, malic, tartaric, citric, ascorbic, pamoic, maleic, hydroxymaleic, phenylacetic, glutamic, benzoic, salicylic, mesylic, esylic, besylic, sulfanilic, 2-acetoxybenzoic, fumaric, toluenesulfonic, methanesulfonic, ethane disulfonic, oxalic, isethionic, HOOC—(CH2)n—COOH where n is 0-4, and the like. Lists of additional suitable salts may be found, e.g., in Remington's Pharmaceutical Sciences, 17th ed., Mack Publishing Company, Easton, Pa., p. 1418 (1985).
The term “carrier” applied to pharmaceutical compositions/combinations of the invention refers to a diluent, excipient, or vehicle with which an active compound is provided.
A “pharmaceutically acceptable excipient” means an excipient that is useful in preparing a pharmaceutical composition/combination that is generally safe, non-toxic and neither biologically nor otherwise inappropriate for administration to a host, and includes, in one embodiment, an excipient that is acceptable for veterinary use as well as human pharmaceutical use. A “pharmaceutically acceptable excipient” as used in the present application includes both one and more than one such excipient.
Compounds of the present invention may optionally be administered in conjunction with other compounds. The other compounds may optionally be administered concurrently. As used herein, the word “concurrently” means sufficiently close in time to produce a combined effect (that is, concurrently may be simultaneously, or it may be two or more events occurring within a short time period before or after each other).
The present invention is primarily focused on the treatment of a human subject or host, but the invention may be used to treat animals, such as mammalian subjects such as mice, rats, dogs, cats, livestock and horses for veterinary purposes, and for drug screening and drug development purposes. Subjects may be of any age, including infant, juvenile, adolescent, adult, and geriatric subjects.
2. DETAILED DESCRIPTION OF ACTIVE COMPOUNDS
The present invention is directed to the use of selected pyrrolopyrimidine compounds having Mer tyrosine kinase (MerTK) inhibitory activity as antinfective agents, immunostimulatory agents, anti-cancer agents (including against MerTK−/− tumors and ITD and TKD mutant forms of Acute Myeloid Leukemia (AML)), and as adjunctive agents in combination with chemotherapeutic, radiation or other standard of care for neoplasms, or as anti-thrombotic agents.
The majority of the compounds described as useful in the present invention were first described in WO 2013/052417, which is incorporated by reference for all purposes. The present invention describes for the first time that these compounds, and the additional compounds described herein that are not in WO 2013/052417, are useful for medical applications not described in these earlier published applications.
In one embodiment, the MerTK inhibitors useful in treating a disorder described herein have the structure of Formula I, IA, or IB:
Figure US09555031-20170131-C00012

wherein:
one of X and X′ is N and the other of X and X′ is C;
one of the dashed lines is a single bond (between a ring carbon atom and a ring nitrogen atom) and the other of the dashed lines is a double bond (between two ring carbon atoms);
R1 is aryl;
R2 is —R5′R6, where R5′ is a covalent bond or C1 to C3 alkyl and R6 is cycloalkyl, heterocycloalkyl, aryl, heteroaryl or alkyl, and wherein R6 is optionally substituted from one to two times with independently selected polar groups;
R3 is —NR7R8, where R7 and R8 are each independently selected from H, alkyl, arylalkyl, cycloalkylalkyl, heterocycloalkylalkyl, heteroarylalkyl, and alkoxyalkyl, each of which is optionally substituted one, two or three times with independently selected polar groups (typically one of R7 or R8 is H); and
R4 is H, loweralkyl, halo, or loweralkoxy;
R5 is H, loweralkyl, halo, or loweralkoxy;
or a pharmaceutically acceptable composition, salt, isotopic analog, or prodrug thereof.
In one embodiment, the MerTK inhibitors useful in treating a disorder described herein have the structure of Formula II, IIA, or IIB:
Figure US09555031-20170131-C00013

wherein:
one of X and X′ is N and the other of X and X′ is C;
one of the dashed lines is a single bond (between a ring carbon atom and a ring nitrogen atom) and the other of the dashed lines is a double bond (between two ring carbon atoms);
R11 is —R9(R10)n, where R9 is alkyl, alkenyl, -alkylaryl, heterocyclo, aryl, heteroaryl and R10 is hydrogen, alkyl, haloalkyl, alkoxyalkyl, —O-alkylaryl, hydroxyalkyl, alkenyl, alkenyloxy, alkynyl, alkynyloxy, cycloalkyl, cycloalkylalkyl, cycloalkoxy, cycloalkylalkyloxy, heterocyclo, heterocycloalkyl, alkylheterocycloalkyl, heterocyclooxy, heterocyclolalkyloxy, aryl, arylalkyl, aryloxy, arylalkyloxy, heteroaryl, alkylheteroaryl, halo, hydroxyl, alkoxy, haloalkoxy, mercapto, alkyl-S(O)m—, haloalkyl-S(O)m—, alkenyl-S(O)m—, alkynyl-S(O)m—, cycloalkyl-S(O)m—, cycloalkylalkyl-S(O)m—, aryl-S(O)m—, arylalkyl-S(O)m—, heterocyclo-S(O)m—, heterocycloalkyl-S(O)m—, amino, carboxy, alkylamino, —(CH2)m—NHalkyl, —(CH2)m—N(alkyl)2, —(CH2)m—NH(CH2)mOH, —(CH2)m—NH(CH2)mcycloalkyl, —(CH2)m—NH(CH2)2-3heterocyclo, —(CH2)m—NH(CH2)maryl, —(CH2)m—NH(CH2)2-3heteroaryl, —(CH2)mNH(CH2)2-3N(alkyl)2, alkenylamino, alkynylamino, halo alkylamino, cycloalkylamino, cycloalkylalkylamino, arylamino, arylalkylamino, heterocycloamino, heterocycloalkylamino, disubstitutedamino, acylamino, acyloxy, ester, amide, S(O)2OR20, CONHNH2, cyano, nitro, aminosulfonyl, COOH, sulfonamide, urea, alkoxyacylamino, aminoacyloxy, —C(CH2)2R20, and wherein R10 is optionally substituted one, two or three times;
m=0, 1, 2 or 3;
n=0, 1 or 2;
R12 is —R16R19, where R16 is a covalent bond or C1 to C3 alkyl and R19 is cycloalkyl, cycloalkylalkyl, heterocyclo, heterocycloalkyl, aryl, arylalkyl, heteroaryl, heteroarylalkyl, hydroxyalkyl, alkoxyalkyl, or alkyl, and wherein R19 is optionally substituted one, two or three times;
R13 is NR17R18, where;
R17 is selected from the group consisting of H, alkyl, hydroxyalkyl, aryl, arylalkyl, cycloalkyl, cycloalkylalkyl, heterocyclo, heterocycloalkyl, alkylheterocycloalkyl, heteroaryl, heteroarylalkyl, and alkoxyalkyl, each of which is optionally substituted one, two or three times (typically R17 is H);
R18 is selected from the group consisting of H, alkyl, hydroxyalkyl, aryl, arylalkyl; cycloalkyl, cycloalkylalkyl, heterocyclo, heterocycloalkyl, alkylheterocycloalkyl, heteroaryl, heteroarylalkyl, and alkoxyalkyl, each of which is optionally substituted one, two or three times; or
R17 and R18 together with the nitrogen to which they are bonded can form a heterocyclic group that can be optionally substituted;
R14 is H, loweralkyl, halo, or loweralkoxy;
R15 is H, loweralkyl, halo, or loweralkoxy;
R20 is selected from alkyl, alkenyl, alkynyl, aryl, arylalkyl, cycloalkyl, cycloalkylalkyl, heterocyclo, heterocycloalkyl, heteroaryl, or heteroarylalkyl;
or a pharmaceutically acceptable composition, salt, isotopic analog, or prodrug thereof.
In some embodiments of the foregoing, R1 is phenyl or pyridyl, which phenyl or pyridyl is unsubstituted or substituted from 1 to 3 times with halo, amino, nitro, alkyl, alkoxyl, haloalkyl, cycloalkyl, heterocycloalkyl, aryl, or heteroaryl.
In some embodiments of the foregoing R5 is hydrogen or methyl. In some embodiments of the foregoing, R8 is C1-C8 alkyl, C3-C8 cycloalkyl, or C1-C8 alkyl aryl.
In some embodiments of the foregoing, R6 is cyclohexyl.
In some embodiments of the foregoing, R6 is substituted once with amino.
In some embodiments of the foregoing, R7 is H.
In some embodiments of the foregoing, R8 is loweralkyl.
In some embodiments of the foregoing, R4 is H.
In some embodiments of the foregoing, R18 is C1-C8 alkyl, C3-C8 cycloalkyl, or C1-C8 alkyl aryl.
In some embodiments of the foregoing, R19 is cyclohexyl.
In some embodiments of the foregoing, R19 is substituted once with amino.
In some embodiments of the foregoing, R17 is H.
In some embodiments of the foregoing, R18 is loweralkyl.
In some embodiments of the foregoing, R14 is H.
In some embodiments, structures are provided including Formula I, wherein R2 and R7 or R2 and R8 can form a linking group.
In some embodiments, structures are provided including Formulas II, wherein R12 and R17 or R12 and R18 can form a linking group.
In some embodiments, structures are provided including Formulas IIA and IIB, wherein R14, R15, and R17 are H, R13 is NR17R18, R11 is aryl, R12 is cycloalkyl, and R18 is loweralkyl, any of which can be optionally substituted.
In some embodiments, structures are provided including Formulas IIA and IIB, wherein R14, R15, and R17 are H, R13 is NR17R18, R11 is aryl, R12 is cyclohexyl, and R18 is loweralkyl, any of which can be optionally substituted.
In some embodiments, structures are provided including Formulas IIA and IIB, wherein R14, R15, and R17 are H, R13 is NR17R18, R11 is aryl, R12 is para-hydroxy cyclohexyl, and R18 is loweralkyl, any of which can be optionally substituted.
In some embodiments, structures are provided including Formulas IIA and IIB, wherein R14, R15, and R17 are H, R13 is NR17R18, R11 is heteroaryl, R12 is cycloalkyl, and R18 is loweralkyl, any of which can be optionally substituted.
In some embodiments, structures are provided including Formulas IIA and IIB, wherein R14, R15, and R17 are H, R13 is NR17R18, R11 is heteroaryl, R12 is cyclohexyl, and R18 is loweralkyl, any of which can be optionally substituted.
In some embodiments, structures are provided including Formulas IIA and IIB, wherein R14, R15, and R17 are H, R13 is NR17R18, R11 is heteroaryl, R12 is para-hydroxy cyclohexyl, and R18 is loweralkyl, any of which can be optionally substituted.
In some embodiments, structures are provided including Formulas IIA and IIB, wherein R14, R15, and R17 are H, R13 is NR17R18, R11 is phenyl, R12 is cycloalkyl, and R18 is loweralkyl, any of which can be optionally substituted.
In some embodiments, structures are provided including Formulas IIA and IIB, wherein R14, R15, and R17 are H, R13 is NR17R18, R11 is phenyl, R12 is cyclohexyl, and R18 is loweralkyl, any of which can be optionally substituted.
In some embodiments, structures are provided including Formulas IIA and IIB, wherein R14, R15, and R17 are H, R13 is NR17R18, R11 is phenyl, R12 is para-hydroxy cyclohexyl, and R18 is loweralkyl, any of which can be optionally substituted.
In some embodiments, structures are provided including Formulas IIA and IIB, wherein R14, R15, and R17 are H, R13 is NR17R18, R11 is aryl, R12 is cycloalkyl, and R18 is butyl, any of which can be optionally substituted.
In some embodiments, structures are provided including Formulas IIA and IIB, wherein R14, R15, and R17 are H, R13 is NR17R18, R11 is aryl, R12 is cyclohexyl, and R18 is butyl, any of which can be optionally substituted.
In some embodiments, structures are provided including Formulas IIA and IIB, wherein R14, R15, and R17 are H, R13 is NR17R18, R11 is aryl, R12 is para-hydroxy cyclohexyl, and R18 is butyl, any of which can be optionally substituted.
In some embodiments, structures are provided including Formulas IIA and IIB, wherein R14, R15, and R17 are H, R13 is NR17R18, R11 is heteroaryl, R12 is cycloalkyl, and R18 is butyl, any of which can be optionally substituted.
In some embodiments, structures are provided including Formulas IIA and IIB, wherein R14, R15, and R17 are H, R13 is NR17R18, R11 is heteroaryl, R12 is cyclohexyl, and R18 is butyl, any of which can be optionally substituted.
In some embodiments, structures are provided including Formulas IIA and IIB, wherein R14, R15, and R17 are H, R13 is NR17R18, R11 is heteroaryl, R12 is para-hydroxy cyclohexyl, and R18 is butyl, any of which can be optionally substituted.
In some embodiments, structures are provided including Formulas IIA and IIB, wherein R14, R15, and R17 are H, R13 is NR17R18, R11 is phenyl, R12 is cycloalkyl, and R18 is butyl, any of which can be optionally substituted.
In some embodiments, structures are provided including Formulas IIA and IIB, wherein R14, R15, and R17 are H, R13 is NR17R18, R11 is phenyl, R12 is cyclohexyl, and R18 is butyl, any of which can be optionally substituted.
In some embodiments, structures are provided including Formulas IIA and IIB, wherein R14, R15, and R17 are H, R13 is NR17R18, R11 is phenyl, R12 is para-hydroxy cyclohexyl, and R18 is butyl, any of which can be optionally substituted.
In some embodiments, structures are provided including Formulas IIA and IIB, wherein R14, R15, and R17 are H, R13 is NR17R18, R11 is aryl, R12 is cycloalkyl, and R18 is cycloalkylalkyl, any of which can be optionally substituted.
In some embodiments, structures are provided including Formulas IIA and IIB, wherein R15, and R17 are H, R13 is NR17R18, R11 is aryl, R12 is cyclohexyl, and R18 is cycloalkylalkyl, any of which can be optionally substituted.
In some embodiments, structures are provided including Formulas IIA and IIB, wherein R14, R15, and R17 are H, R13 is NR17R18, R11 is aryl, R12 is para-hydroxy cyclohexyl, and R18 is cycloalkylalkyl, any of which can be optionally substituted.
In some embodiments, structures are provided including Formulas IIA and IIB, wherein R14, R15, and R17 are H, R13 is NR17R18, R11 is heteroaryl, R12 is cycloalkyl, and R18 is cycloalkylalkyl, any of which can be optionally substituted.
In some embodiments, structures are provided including Formulas IIA and IIB, wherein R14, R15 and R17 are H, R13 is NR17R18, R11 is heteroaryl, R12 is cyclohexyl, and R18 is cycloalkylalkyl, any of which can be optionally substituted.
In some embodiments, structures are provided including Formulas IIA and IIB, wherein R14, R15, and R17 are H, R13 is NR17R18, R11 is heteroaryl, R12 is para-hydroxy cyclohexyl, and R18 is cycloalkylalkyl, any of which can be optionally substituted.
In some embodiments, structures are provided including Formulas IIA and IIB, wherein R14, R15, and R17 are H, R13 is NR17R18, R11 is phenyl, R12 is cycloalkyl, and R18 is cycloalkylalkyl, any of which can be optionally substituted.
In some embodiments, structures are provided including Formulas IIA and IIB, wherein R14, R15, and R17 are H, R13 is NR17R18, R11 is phenyl, R12 is cyclohexyl, and R18 is cycloalkylalkyl, any of which can be optionally substituted.
In some embodiments, structures are provided including Formulas IIA and IIB, wherein R14, R15, and R17 are H, R13 is NR17R18, R11 is phenyl, R12 is para-hydroxy cyclohexyl, and R18 is cycloalkylalkyl, any of which can be optionally substituted.
In some embodiments, structures are provided including Formulas IIA and IIB, wherein R14, R15 and R17 are H, R13 is NR17R18, R11 is aryl, R12 is cycloalkyl, and R18 is aryl, any of which can be optionally substituted.
In some embodiments, structures are provided including Formulas IIA and IIB, wherein R14, R15, and R17 are H, R13 is NR17R18, R11 is aryl, R12 is cyclohexyl, and R18 is aryl, any of which can be optionally substituted.
In some embodiments, structures are provided including Formulas IIA and IIB, wherein R14, R15, and R17 are H, R13 is NR17R18, R11 is aryl, R12 is para-hydroxy cyclohexyl, and R18 is aryl, any of which can be optionally substituted.
In some embodiments, structures are provided including Formulas IIA and IIB, wherein R14, R15, and R17 are H, R13 is NR17R18, R11 is heteroaryl, R12 is cycloalkyl, and R18 is aryl, any of which can be optionally substituted.
In some embodiments, structures are provided including Formulas IIA and IIB, wherein R14, R15, and R17 are H, R13 is NR17R18, R11 is heteroaryl, R12 is cyclohexyl, and R18 is aryl, any of which can be optionally substituted.
In some embodiments, structures are provided including Formulas IIA and IIB, wherein R14, R15, and R17 are H, R13 is NR17R18, R11 is heteroaryl, R12 is para-hydroxy cyclohexyl, and R18 is aryl, any of which can be optionally substituted.
In some embodiments, structures are provided including Formulas IIA and IIB, wherein R14, R15 and R17 are H, R13 is NR17R18, R11 is phenyl, R12 is cycloalkyl, and R18 is aryl, any of which can be optionally substituted.
In some embodiments, structures are provided including Formulas IIA and IIB, wherein R14, R15, and R17 are H, R13 is NR17R18, R11 is phenyl, R12 is cyclohexyl, and R18 is aryl, any of which can be optionally substituted.
In some embodiments, structures are provided including Formulas IIA and IIB, wherein R14, R15, and R17 are H, R13 is NR17R18, R11 is phenyl, R12 is para-hydroxy cyclohexyl, and R18 is aryl, any of which can be optionally substituted.
In some embodiments, structures are provided including Formulas IIA and IIB, wherein R14, R15, and R17 are H, R13 is NR17R18, R11 is aryl, R12 is cycloalkyl, and R18 is phenyl, any of which can be optionally substituted.
In some embodiments, structures are provided including Formulas IIA and IIB, wherein R14, R15, and R17 are H, R13 is NR17R18, R11 is aryl, R12 is cyclohexyl, and R18 is phenyl, any of which can be optionally substituted.
In some embodiments, structures are provided including Formulas IIA and IIB, wherein R14, R15, and R17 are H, R13 is NR17R18, R11 is aryl, R12 is para-hydroxy cyclohexyl, and R18 is phenyl, any of which can be optionally substituted.
In some embodiments, structures are provided including Formulas IIA and IIB, wherein R14, R15 and R17 are H, R13 is NR17R18, R11 is heteroaryl, R12 is cycloalkyl, and R18 is phenyl, any of which can be optionally substituted.
In some embodiments, structures are provided including Formulas IIA and IIB, wherein R14, R15 and R17 are H, R13 is NR17R18, R11 is heteroaryl, R12 is cyclohexyl, and R18 is phenyl, any of which can be optionally substituted.
In some embodiments, structures are provided including Formulas IIA and IIB, wherein R14, R15, and R17 are H, R13 is NR17R18, R11 is heteroaryl, R12 is para-hydroxy cyclohexyl, and R18 is phenyl, any of which can be optionally substituted.
In one embodiment, the inhibitors useful in the present invention are dual MER/FLT-3 TKIs. In one embodiment, the inhibitors are dual FLT3/Axl TKIs.
In one embodiment, the inhibitor and/or dual MER/FLT-3 TKI has the structure of Formula III:
Figure US09555031-20170131-C00014

wherein R21 is heterocycle;
R22 and R23 are each independently hydrogen, alkyl, cycloalkyl, or cycloalkylalkyl.
In one embodiment, the FLT3 and/or dual MER/FLT-3 TKI inhibitor is Formula IV having the structure depicted below:
Figure US09555031-20170131-C00015
Particular examples of compounds of the present invention include but are not limited to those set forth in Tables 1-6 and Examples 2-5 below. In one embodiment, the present invention is directed to the use of selected pyrrolopyrimidine compounds having Mer tyrosine kinase (MerTK) inhibitory activity as antinfective agents, immunostimulatory agents, anti-cancer agents (including against MerTK −/− tumors and ITD and TKD mutant forms of Acute Myeloid Leukemia (AML)), and as adjunctive agents in combination with chemotherapeutic, radiation or other standard of care for neoplasms, or as anti-thrombotic agents, wherein the compound is selected from those in Tables 1 to 3. The compounds of Tables 1 to 3 have been previously disclosed in WO2013/052417. In one embodiment, the compound is selected from UNC2025A, UNC2371A, and UNC2142A.
In another aspect, new pyrrolopyrimidine compounds having the uses described herein have a structure selected from:
Figure US09555031-20170131-C00016
Figure US09555031-20170131-C00017
Figure US09555031-20170131-C00018
Figure US09555031-20170131-C00019
Figure US09555031-20170131-C00020

or a pharmaceutically acceptable composition, salt, isotopic analog, or prodrug thereof.
Active compounds may be provided as pharmaceutically acceptable prodrugs, which are those prodrugs of the active compounds of the present invention which are, within the scope of sound medical judgment, suitable for use in contact with the tissues of humans and lower animals without undue toxicity, irritation, allergic response and the like, commensurate with a reasonable risk/benefit ratio, and effective for their intended use, as well as the zwitterionic forms, where possible, of the compounds of the invention. The term “prodrug” refers to compounds that are transformed, sometimes rapidly in vivo to yield the parent compound of the above formulae, for example, by hydrolysis in blood. A thorough discussion is provided in T. Higuchi and V. Stella, Prodrugs as Novel delivery Systems, Vol. 14 of the A.C.S. Symposium Series and in Edward B. Roche, ed., Bioreversible Carriers in Drug Design, American Pharmaceutical Association and Pergamon Press, 1987, both of which are incorporated by reference herein. See also U.S. Pat. No. 6,680,299 Examples include a prodrug that is metabolized in vivo by a subject to an active drug having an activity of active compounds as described herein, wherein the prodrug is an ester of an alcohol or carboxylic acid group, if such a group is present in the compound; an acetal or ketal of an alcohol group, if such a group is present in the compound; an N-Mannich base or an imine of an amine group, if such a group is present in the compound; or a Schiff base, oxime, acetal, enol ester, oxazolidine, or thiazolidine of a carbonyl group, if such a group is present in the compound, such as described in U.S. Pat. No. 6,680,324 and U.S. Pat. No. 6,680,322.
The active compounds disclosed herein can, as noted above, be provided in the form of their pharmaceutically acceptable salts. Pharmaceutically acceptable salts are salts that retain the desired biological activity of the parent compound and do not impart undesired toxicological effects. Nonlimiting examples of such salts are (a) acid addition salts formed with inorganic acids, for example hydrochloric acid, hydrobromic acid, sulfuric acid, phosphoric acid, nitric acid and the like; and salts formed with organic acids such as, for example, acetic acid, oxalic acid, tartaric acid, succinic acid, maleic acid, fumaric acid, gluconic acid, citric acid, malic acid, ascorbic acid, benzoic acid, tannic acid, palmitic acid, alginic acid, polyglutamic acid, naphthalenesulfonic acid, methanesulfonic acid, p-toluenesulfonic acid, naphthalenedisulfonic acid, polygalacturonic acid, and the like; (b) salts formed from elemental anions such as chlorine, bromine, and iodine, and (c) salts derived from bases, such as ammonium salts, alkali metal salts such as those of sodium and potassium, alkaline earth metal salts such as those of calcium and magnesium, and salts with organic bases such as dicyclohexylamine and N-methyl-D-glucamine.
Active compounds as described herein can be prepared in accordance with known procedures, or variations thereof that will be apparent to those skilled in the art.
3. PHARMACEUTICAL COMPOSITIONS AND DOSAGES FOR ALL INDICATIONS
The active compounds described above may be formulated for administration in a pharmaceutical carrier in accordance with known techniques. See, e.g., Remington, The Science And Practice of Pharmacy (9th Ed. 1995). In the manufacture of a pharmaceutical formulation according to the invention, the active compound (including the physiologically acceptable salts thereof) is typically admixed with, inter alia, an acceptable carrier. The carrier must, of course, be acceptable in the sense of being compatible with any other ingredients in the formulation and must not be deleterious to the patient. The carrier may be a solid or a liquid, or both, and is preferably formulated with the compound as a unit-dose formulation, for example, a tablet, which may contain from 0.01 or 0.5% to 95% or 99% by weight of the active compound. One or more active compounds may be incorporated in the formulations of the invention, which may be prepared by any of the well-known techniques of pharmacy comprising admixing the components, optionally including one or more accessory ingredients.
In one aspect, the invention provides a pharmaceutical composition comprising a pharmaceutically effective amount of an active compound as described herein and a pharmaceutically acceptable carrier.
The compounds provided herein are administered for medical therapy in a therapeutically effective amount. The amount of the compounds administered will typically be determined by a physician, in the light of the relevant circumstances, including the condition to be treated, the chosen route of administration, the compound administered, the age, weight, and response of the individual patient, the severity of the patient's symptoms, and the like.
The formulations of the invention include those suitable for oral, rectal, topical, buccal (e.g., sub-lingual), vaginal, parenteral (e.g., subcutaneous, intramuscular, intradermal, or intravenous), topical (i.e., both skin and mucosal surfaces, including airway surfaces), transdermal administration, and intraventricular injection (injection into a ventricle of the brain, e.g., by an implanted catheter or Ommaya reservoir, such as in the case of morbid obesity), ocular (via injection, implantation or by reservoir), and intranasal, although the most suitable route in any given case will depend on the nature and severity of the condition being treated and on the nature of the particular active compound which is being used.
The compositions for oral administration can take the form of bulk liquid solutions or suspensions, or bulk powders. Typically, the compositions are presented in unit dosage forms to facilitate accurate dosing. The term “unit dosage forms” refers to physically discrete units suitable as unitary dosages for human subjects and other mammals, each unit containing a predetermined quantity of active material calculated to produce the desired therapeutic effect, in association with a suitable pharmaceutical excipient. Typical unit dosage forms include prefilled, premeasured ampules or syringes of the liquid compositions or pills, tablets, capsules or the like in the case of solid compositions. In such compositions, the compound is usually a minor component (as a nonlimiting example, from about 0.1 to about 50% by weight or preferably from about 1 to about 40% by weight) with the remainder being various vehicles or carriers and processing aids helpful for forming the desired dosing form. In one embodiment, the compound is present from about 1% to about 10% by weight.
Liquid forms suitable for oral administration may include a suitable aqueous or nonaqueous vehicle with buffers, suspending and dispensing agents, colorants, flavors and the like. Solid forms may include, for example, any of the following ingredients, or compounds of a similar nature: a binder such as microcrystalline cellulose, gum tragacanth or gelatin; an excipient such as starch or lactose, a disintegrating agent such as alginic acid, Primogel, or corn starch; a lubricant such as magnesium stearate; a glidant such as colloidal silicon dioxide; a sweetening agent such as sucrose or saccharin; or a flavoring agent such as peppermint, methyl salicylate, or orange flavoring.
Formulations suitable for oral administration may be presented in discrete units, such as capsules, cachets, lozenges, or tablets, each containing a predetermined amount of the active compound; as a powder or granules; as a solution or a suspension in an aqueous or non-aqueous liquid; or as an oil-in-water or water-in-oil emulsion. Such formulations may be prepared by any suitable method of pharmacy which includes the step of bringing into association the active compound and a suitable carrier (which may contain one or more accessory ingredients as noted above). In general, the formulations of the invention are prepared by uniformly and intimately admixing the active compound with a liquid or finely divided solid carrier, or both, and then, if necessary, shaping the resulting mixture. For example, a tablet may be prepared by compressing or molding a powder or granules containing the active compound, optionally with one or more accessory ingredients. Compressed tablets may be prepared by compressing, in a suitable machine, the compound in a free-flowing form, such as a powder or granules optionally mixed with a binder, lubricant, inert diluent, and/or surface active/dispersing agent(s). Molded tablets may be made by molding, in a suitable machine, the powdered compound moistened with an inert liquid binder. In one embodiment, the compounds are administered in a controlled release formulation.
Formulations suitable for buccal (sub-lingual) administration include lozenges comprising the active compound in a flavored base, usually sucrose and acacia or tragacanth; and pastilles comprising the compound in an inert base such as gelatin and glycerin or sucrose and acacia.
Formulations of the present invention suitable for parenteral administration comprise sterile aqueous and non-aqueous injection solutions of the active compound, which preparations are preferably isotonic with the blood of the intended recipient. These preparations may contain anti-oxidants, buffers, bacteriostats and solutes which render the formulation isotonic with the blood of the intended recipient. Aqueous and non-aqueous sterile suspensions may include suspending agents and thickening agents. The formulations may be presented in unit\dose or multi-dose containers, for example sealed ampoules and vials, and may be stored in a freeze-dried (lyophilized) condition requiring only the addition of the sterile liquid carrier, for example, saline or water-for-injection immediately prior to use. Extemporaneous injection solutions and suspensions may be prepared from sterile powders, granules and tablets of the kind previously described. For example, in one aspect of the present invention, there is provided an injectable, stable, sterile composition comprising a compound of Formula I, Formula IA, Formula IB, Formula II, Formula IIA, Formula IIB or a salt thereof, in a unit dosage form in a sealed container. The compound or salt is provided in the form of a lyophilizate which is capable of being reconstituted with a suitable pharmaceutically acceptable carrier to form a liquid composition suitable for injection thereof into a subject. The unit dosage form typically comprises from about 10 mg to about 10 grams of the compound or salt. When the compound or salt is substantially water-insoluble, a sufficient amount of emulsifying agent which is physiologically acceptable may be employed in sufficient quantity to emulsify the compound or salt in an aqueous carrier. One such useful emulsifying agent is phosphatidyl choline.
Injectable compositions are typically based upon injectable sterile saline or phosphate-buffered saline or other injectable carriers known in the art.
Formulations suitable for rectal administration are preferably presented as unit dose suppositories. These may be prepared by admixing the active compound with one or more conventional solid carriers, for example, cocoa butter, and then shaping the resulting mixture.
Formulations suitable for topical application to the skin preferably take the form of an ointment, cream, lotion, paste, gel, spray, aerosol, or oil. Carriers which may be used include petroleum jelly, lanoline, polyethylene glycols, alcohols, transdermal enhancers, and combinations of two or more thereof.
Formulations suitable for transdermal administration may be presented as discrete patches adapted to remain in intimate contact with the epidermis of the recipient for a prolonged period of time. Formulations suitable for transdermal administration may also be delivered by iontophoresis (see, for example, Pharmaceutical Research 3 (6):318 (1986)) and typically take the form of an optionally buffered aqueous solution of the active compound. Suitable formulations comprise citrate or bis\tris buffer (pH 6) or ethanol/water and contain from 0.1 to 0.2M active ingredient.
Further, the present invention provides liposomal formulations of the compounds disclosed herein and salts thereof. The technology for forming liposomal suspensions is well known in the art. When the compound or salt thereof is an aqueous-soluble salt, using conventional liposome technology, the same may be incorporated into lipid vesicles. In such an instance, due to the water solubility of the compound or salt, the compound or salt will be substantially entrained within the hydrophilic center or core of the liposomes. The lipid layer employed may be of any conventional composition and may either contain cholesterol or may be cholesterol-free. When the compound or salt of interest is water-insoluble, again employing conventional liposome formation technology, the salt may be substantially entrained within the hydrophobic lipid bilayer which forms the structure of the liposome. In either instance, the liposomes which are produced may be reduced in size, as through the use of standard sonication and homogenization techniques.
Of course, the liposomal formulations containing the compounds disclosed herein or salts thereof, may be lyophilized to produce a lyophilizate which may be reconstituted with a pharmaceutically acceptable carrier, such as water, to regenerate a liposomal suspension.
Other pharmaceutical compositions may be prepared from the water-insoluble compounds disclosed herein, or salts thereof, such as aqueous base emulsions. In such an instance, the composition will contain a sufficient amount of pharmaceutically acceptable emulsifying agent to emulsify the desired amount of the compound or salt thereof. Particularly useful emulsifying agents include phosphatidylcholines, and lecithin.
In addition to compounds of Formula I, Formula IA, Formula IB, Formula II, Formula IIA, or Formula IIB or other active compounds described herein, or their salts, the pharmaceutical compositions may contain other additives, such as pH-adjusting additives. In particular, useful pH-adjusting agents include acids, such as hydrochloric acid, bases or buffers, such as sodium lactate, sodium acetate, sodium phosphate, sodium citrate, sodium borate, or sodium gluconate. Further, the compositions may contain microbial preservatives. Useful microbial preservatives include methylparaben, propylparaben, and benzyl alcohol. The microbial preservative is typically employed when the formulation is placed in a vial designed for multidose use. Of course, as indicated, the pharmaceutical compositions of the present invention may be lyophilized using techniques well known in the art.
The Mer TKI compound of this invention can also be administered in sustained release forms or from sustained release drug delivery systems. A description of representative sustained release materials can be found in Remington's Pharmaceutical Sciences.
In certain embodiments, the formulation comprises water. In another embodiment, the formulation comprises a cyclodextrin derivative. In certain embodiments, the formulation comprises hexapropyl-β-cyclodextrin. In a more particular embodiment, the formulation comprises hexapropyl-β-cyclodextrin (10-50% in water).
The present invention also includes pharmaceutically acceptable acid addition salts of compounds of the compounds of the invention. The acids which are used to prepare the pharmaceutically acceptable salts are those which form non-toxic acid addition salts, i.e. salts containing pharmacologically acceptable anions such as the hydrochloride, hydroiodide, hydrobromide, nitrate, sulfate, bisulfate, phosphate, acetate, lactate, citrate, tartrate, succinate, maleate, fumarate, benzoate, para-toluenesulfonate, and the like.
The above-described components for pharmaceutical compositions are merely representative. Other materials as well as processing techniques and the like are set forth in Part 8 of Remington's Pharmaceutical Sciences, 17th edition, 1985, Mack Publishing Company, Easton, Pa., which is incorporated herein by reference.
As noted above, the present invention provides pharmaceutical formulations comprising the active compounds (including the pharmaceutically acceptable salts thereof), in pharmaceutically acceptable carriers for oral, rectal, topical, buccal, parenteral, intramuscular, intradermal, or intravenous, and transdermal administration.
The therapeutically effective dosage of any specific compound, the use of which is in the scope of present invention, will vary somewhat from compound to compound, and patient to patient, and will depend upon the condition of the patient and the route of delivery. As a general proposition, a dosage from about 0.1 to about 50 mg/kg will have therapeutic efficacy, with all weights being calculated based upon the weight of the active compound, including the cases where a salt is employed. Toxicity concerns at the higher level may restrict intravenous dosages to a lower level such as up to about 10 mg/kg, with all weights being calculated based upon the weight of the active base, including the cases where a salt is employed. The duration of the treatment can be once per day for a period of two to three weeks or until the condition is essentially controlled.
The therapeutically effective dosage of any active compound described herein will be determined by the health care practitioner depending on the condition, size and age of the patient as well as the route of delivery. In one non-limited embodiment, a dosage from about 0.1 to about 200 mg/kg has therapeutic efficacy, with all weights being calculated based upon the weight of the active compound, including the cases where a salt is employed. In some embodiments, the dosage can be the amount of compound needed to provide a serum concentration of the active compound of up to between about 1 and 5, 10, 20, 30, or 40 μM. In some embodiments, a dosage from about 10 mg/kg to about 50 mg/kg can be employed for oral administration. Typically, a dosage from about 0.5 mg/kg to 5 mg/kg can be employed for intramuscular injection. In some embodiments, dosages can be from about 1 μmol/kg to about 50 μmol/kg, or, optionally, between about 22 μmol/kg and about 33 μmol/kg of the compound for intravenous or oral administration. An oral dosage form can include any appropriate amount of active material, including for example from 5 mg to, 50, 100, 200, or 500 mg per tablet or other solid dosage form.
Active compounds may be administered as pharmaceutically acceptable prodrugs, which are those prodrugs of the active compounds of the present invention which are, within the scope of sound medical judgment, suitable for use in contact with the tissues of humans and lower animals without undue toxicity, irritation, allergic response and the like, commensurate with a reasonable risk/benefit ratio, and effective for their intended use, as well as the zwitterionic forms, where possible, of the compounds of the invention. The term “prodrug” refers to compounds that are rapidly transformed in vivo to yield the parent compound of the above formulae, for example, by hydrolysis in blood. A thorough discussion is provided in T. Higuchi and V. Stella, Prodrugs as Novel delivery Systems, Vol. 14 of the A.C.S. Symposium Series and in Edward B. Roche, ed., Bioreversible Carriers in Drug Design, American Pharmaceutical Association and Pergamon Press, 1987, both of which are incorporated by reference herein. See also U.S. Pat. No. 6,680,299 Examples include a prodrug that is metabolized in vivo by a subject to an active drug having an activity of active compounds as described herein, wherein the prodrug is an ester of an alcohol or carboxylic acid group, if such a group is present in the compound; an acetal or ketal of an alcohol group, if such a group is present in the compound; an N-Mannich base or an imine of an amine group, if such a group is present in the compound; or a Schiff base, oxime, acetal, enol ester, oxazolidine, or thiazolidine of a carbonyl group, if such a group is present in the compound, such as described in U.S. Pat. No. 6,680,324 and U.S. Pat. No. 6,680,322.
In one aspect of the invention, a method is provided to treat a host by administering a daily amount of a Mer TKI including active compounds of the present invention, which may be provided in dosages once or more a day. In one embodiment, the Mer TKI dose is between about 0.5 mg and about 200 mg. In one embodiment, the dose is at least about 1 mg, about 2 mg, about 3 mg, about 4 mg, about 5 mg, about 10 mg, about 12 mg, about 15 mg, about 20 mg, about 25 mg, about 30 mg, about 35 mg, about 40 mg, about 45 mg, about 50 mg, about 55 mg, about 60 mg, about 65 mg, about 70 mg, about 75 mg, about 80 mg, about 85 mg, about 90 mg, about 95 mg, about 100 mg, about 110 mg, about 125 mg, about 140 mg, about 150, about 175, or about 200 mg. In another embodiment, the dose is between about 200 mg and 1250 mg. In one embodiment, the dose is about 200 mg, about 225 mg, about 250 mg, about 275 mg, about 300 mg, about 325 mg, about 350 mg, about 375 mg, about 400 mg, about 425 mg, about 450 mg, about 475 mg, about 500 mg, about 525 mg, about 550 mg, about 575 mg, about 600 mg, about 625 mg, about 650 mg, about 675 mg, about 700 mg, about 725 mg, about 750 mg, about 775 mg, about 800 mg, about 825 mg, about 850 mg, about 875 mg, about 900 mg, about 925 mg, about 950 mg, about 975 mg, about 1000 mg or more.
In one embodiment, the compounds described herein are combined with an additional anti-tumor agent, anti-neoplastic agent, anti-cancer agent, immunomodulatory agent, immunostimulatory agent, anti-infective agents, anti-thrombotic, and/or anti-clotting agent. The dosage administered to the host can be similar to that as administered during monotherapy treatment, or may be lower, for example, between about 0.5 mg and about 150 mg. In one embodiment, the dose is at least about 1 mg, about 2 mg, about 3 mg, about 4 mg, about 5 mg, about 10 mg, about 12 mg, about 15 mg, about 20 mg, about 25 mg, about 30 mg, about 35 mg, about 40 mg, about 45 mg, about 50 mg, about 55 mg, about 60 mg, about 65 mg, about 70 mg, about 75 mg, about 80 mg, about 85 mg, about 90 mg, about 95 mg, about 100 mg, about 110 mg, about 125 mg, about 140 mg, or about 150 mg.
In one embodiment, for the case of the co-administration of an active compound in combination with an additional anti-tumor agent, anti-neoplastic agent, anti-cancer agent, immunomodulatory agent, immunostimulatory agent, anti-infective agents, anti-thrombotic, and/or anti-clotting agent, as otherwise described herein, the amount of the compound according to the present invention to be administered ranges from about 0.01 mg/kg of the patient to about 50 mg/kg or more of the patient or considerably more, depending upon the second compound to be co-administered, the condition of the patient, severity of the disease to be treated, and the route of administration. In one embodiment, the additional anti-tumor agent, anti-neoplastic agent, anti-cancer agent, immunomodulatory agent, immunostimulatory agent, anti-infective agents, anti-thrombotic, and/or anti-clotting agent may, for example, be administered in amounts ranging from about 0.01 mg/kg to about 500 mg/kg. In one embodiment, for oral dosing, suitable daily dosages are, for example, between about 0.1-4000 mg administered orally once-daily, twice-daily, or three times-daily, continuous (every day) or intermittently (e.g., 3-5 days a week).
Methods of Use of the Active Compounds 4. ANTI-INFECTIVE AGENTS
It has been discovered that an effective amount of the pyrrolopyrimidine compounds described in Formulas I, IA, IB, II, IIA and IIB below or as otherwise provided herein, can be administered as an immunomodulatory agent to stimulate the innate immune system. This immunostimulatory activity can be used therapeutically to treat a host with an infection. In one embodiment, the infection is a viral infection. In one embodiment, the infection is a bacterial infection. In an alternative embodiment, an effective amount of the pyrrolopyrimidine compounds described in Formulas I, IA, IB, II, IIA and IIB below or as otherwise provided herein can be used to treat a host bearing any virus-related infection where the virus has a virion envelope phosphatidyl serine that complexes with MerTK to achieve viral entry or is otherwise facilitated by MerTK in the infectious process or maintenance.
Viral Infections.
The virus may be an enveloped virus or a non-enveloped virus. In one embodiment, the host is infected or threatened to become infected with a virus selected from, for example, Flaviviridae viruses, including Flavivirus (such as Yellow Fever, West Nile and Dengue), Hepacivirus (Hepatitis C virus, “HCV”), Pegivirus and Pestivirus (Bovine viral diarrhea virus); Filoviridae viruses, including Ebola viruses; Togaviridae viruses, including Chikungunya virus; Coronaviruses, such as SARS (Severe acute respiratory syndrome) and MERS (Middle East respiratory syndrome); Orthomyxoviridae viruses, for example influenza; Paramyxoviridae viruses, for example Respiratory syncytial virus (RSV), measles and mumps; and Caliciviridae viruses, including Lagovirus, Vesivirus, and Sapovirus and Norovirus (Norwalk-like virus), and Lentiviruses, for example, HIV. In one embodiment, an active compound disclosed herein is administered in combination or alternation with another anti-viral agent for combination therapy. In one embodiment, the compound administered is selected from UNC2025A, UNC2142A and UNC2371A.
More broadly, the host to be treated may be infected with an enveloped virus including, but not limited to, viruses of the following families: Bornaviridae, Bunyaviridae, Coronaviridae, Filoviridae, Flaviviridae, Hepadnaviridae, Herpesviridae, Nyamiviridae, Orthomyxoviridae, Paramyxoviridae, Poxviridae, Retroviridae, Rhabdoviridae, and Togaviridae. Examples of viruses form the Bunyaviridae family include, but are not limited to, bunya viruses such as La Crosse virus and Hantaan. Examples of viruses from the Coronaviridae family include, but are not limited to, coronaviruses such as SARS virus or Toroviruses. Examples of viruses from the Filoviridae family include, but are not limited to, Ebola and Marburg. Examples of viruses from the Flaviviridae family include, but are not limited to, dengue, encephalitis viruses including West Nile virus, Japanese encephalitis virus and yellow fever virus and Hepatitis C virus. Examples of viruses from the Hepadnaviridae family include, but are not limited to, Hepatitis B. Examples of viruses from the Herpesviridae family include, but are not limited to, cytomegalovirus, herpes simplex viruses 1 and 2, HHV-6, HHV-7, HHV-8, pseudorabies virus, and varicella zoster virus. Examples of viruses from the Orthomyxoviridae family include, but are not limited to, influenza virus. Examples of viruses from the Paramyxoviridae family include, but are not limited to, measles, metapneumovirus, mumps, parainfluenza, respiratory syncytial virus, and sendai. Examples of viruses from the Poxviridae family include, but are not limited to, pox viruses such as smallpox, monkey pox, and Molluscum contagiosum virus, variola viruses, vaccinia virus, and yatapox viruses such as Tanapox and Yabapox. Examples of viruses from the Retroviridae family include, but are not limited to, Coltiviruses such as CTFV and Banna virus, human immunodeficiency viruses such as HIV-1 and HIV-2, murine leukemia virus, simian immunodeficiency virus, feline immunodeficiency virus, human T- cell leukemia viruses 1 and 2, and XMRV. Examples of viruses from the Rhabdoviridae family include, but are not limited to, vesicular stomatitis and rabies. Examples of viruses from the Togaviridae family include, but are not limited to, rubella viruses or alpha viruses such as Chikungunya virus, Eastern equine encephalitis virus, O'nyong'nyong virus, Ross River virus, Semliki Forest virus, Sindbis, Venezuelan equine encephalitis or Western equine encephalitis virus.
In one embodiment, the host is infected with Chikungunya virus. In one embodiment, the host is infected with Ebola virus. In one embodiment, an active compound or Mer TKI as described herein is used in combination with brincidofovir (CMX001).
In another particular embodiment, the host is infected with a non-enveloped virus, such as, but not limited to, viruses of the following families: Adenoviridae, Arenaviridae, Birnaviridae, Calciviridae, Iridoviridae, Ophioviridae Parvoviradae, Papillomaviridae, Papovaviridae, Picornaviridae, and Reoviridae. Examples of viruses from the Adenoviridae family include, but are not limited to adenoviruses. Examples of viruses from the Arenaviradae family include, but are not limited to, hemorrhagic fever viruses such as Guanarito, LCMV, Lassa, Junin, and Machupo. Examples of viruses from the Iridoviridae family include, but are not limited to, African swine fever virus. Examples of viruses from the Papillomavirus family include, but are not limited to, papillomaviruses. Examples of viruses from the Papovaviridae family include, but are not limited to, polyoma viruses such as BK virus and JC virus. Examples of viruses from the Parvoviridae family include, but are not limited to, parvoviruses such as human bocavirus and adeno-associated virus. Examples of viruses from the Picornaviridae family include, but are not limited to, aptoviruses, cardioviruses, coxsackieviruses, echoviruses, enteric viruses, enteroviruses, foot and mouth disease virus, hepatitis A virus, hepatoviruses, Poliovirus, and rhinovirus. Examples of viruses from the Reoviradae family include, but are not limited to, orbiviruses, reoviruses and rotaviruses.
In another embodiment, a host is infected with a virus such as an astroviruses, caliciviruses including but not limited to, Norovirus and Norwalk, and Hepeviruses including, but not limited to, Hepatitis E.
As described above, a compound described herein can be administered to a host suffering from a viral infection in combination with another anti-viral or anti-infective compound. Antiviral compounds that can be used in combination with the compounds described herein include, but are not limited to, abacavir, acyclovir, adefovir, amantadine, amprenavir, ampligen, arbitol, atazanavir, balavir, boceprevir, boceprevirertet, cidofovir, dolutegravir, darunavir, delavirdine, didanosine, docosanol, edoxudine, efavirenz, emtricitabine, epivir, enfuvirtide, entecavir, famciclovir, fomivirsen, fosamprenavir, foscarnet, fosfonet, ganciclovir, ibacitabine, imunovir, idoxuridine, imiquimod, indinavir, lamivudine, lopinavir, loviride, maraviroc, moroxydine, nelfinavir, nevirapine, nexavir, oseltamivir, penciclovir, peramivir, pleconaril, podophyllotoxin, raltegravir, ribavirin, rilpivirine, rimantadine, pyramidine, saquinavir, simeprevir, sofosbuvir, stavudine, telaprevir, tenofovir, tipranavir, trifluridine, trizivir, tromantadine, traporved, truvada, valaciclovir, valganciclovir, vicriviroc, vidarabine, viramidine, zalcitabine, zanamivir, and zidovudine.
In one embodiment, a host is infected with a human immunodeficiency virus and is administered a compound described herein in combination with the anti-HIV combination drug, such as Atripla® or other drug that includes emtricitabine. In another embodiment, the patient with the human immunodeficiency virus can be treated with atazanavir, ritonavir, or Truvada® in combination with a compound described herein. In another embodiment, the patient infected with human immunodeficiency virus can be treated with the combination of dolutegravir, Truvada® and a compound described herein. In another embodiment, human immunodeficiency virus can be treated with the combination dolutegravir, Epzicom® and a compound described herein. In another embodiment, a host infected with human immunodeficiency virus can be treated with a combination of raltegravir, Truvada® and a compound described herein. In another embodiment, a host infected with human immunodeficiency virus can be treated with the combination of Complera® and a compound described herein. It will be appreciated by one skilled in the art that a host infected with HIV can be treated with a number of combinations of drugs depending on the mutation pattern of the virus. The patient can be treated with an appropriate combination of drugs in combination with a compound described herein.
In one embodiment, the host is infected with a hepatitis C virus and is treated with an anti-hepatitis C drug in addition to the active compound described herein. For example, the patient can be treated with a combination of Sovaldi™, Harvoni®, ribavirin, and/or a pegylated interferon and a compound described herein. In one embodiment the pegylated interferon is Peglntron®. In another embodiment, the pegylated interferon is Pegasys®. In one embodiment, the host infected with hepatitis C virus is treated with Sovaldi™, ribavirin and a compound described herein. In one embodiment, the host infected with hepatitis C virus is treated with Harvoni®, ribavirin and a compound described herein. In one embodiment, a host infected with hepatitis C virus is treated with a combination of Olysio™, ribavirin, a pegylated interferon and a compound described herein. In one embodiment the pegylated interferon is PegIntron®. In another embodiment, the pegylated interferon is Pegasys®. In one embodiment, the host is infected with a hepatitis C virus and is treated with a combination of ABT-267, ABT-333 and ABT-450/ritonavir, in addition to an active compound described herein. In one embodiment, the host is infected with a hepatitis C virus and is treated with a combination of MK-5172 and MK-8742, in addition to an active compound described herein.
In one embodiment, a host infected with hepatitis C genotype 1 is treated with a combination of Sovaldi™, ribavirin, a pegylated interferon and a compound described herein for 12 weeks. In another embodiment, a host infected with hepatitis. C genotype 1 is treated with Sovaldi™ and a compound described herein for 12 weeks followed by ribavirin, pegylated interferon and a compound described herein for 24 weeks. In one embodiment, a host infected with hepatitis C genotype 2 is treated with Sovaldi™, ribavirin, and a compound described herein for 12 weeks. In one embodiment, a host infected with hepatitis C genotype 3 is treated with Sovaldi™, ribavirin, and a compound described herein for 24 weeks. In another embodiment, a host infected with hepatitis C genotype 3 is treated with Sovaldi™, ribavirin, pegylated interferon, and a compound described herein for 12 weeks. In one embodiment, a host infected with hepatitis C genotype 4 is treated with Sovaldi™, ribavirin, pegylated interferon, and a compound described herein for 12 weeks. In another embodiment, a host infected with hepatitis C genotype 4 is treated with a combination of Olysio™, and a compound described herein for 12 weeks followed by ribavirin, pegylated interferon and a compound described herein for 24-28 weeks.
In one embodiment, a host infected with hepatitis C genotype 5 is treated with Sovaldi™, ribavirin, pegylated interferon, and a compound described herein for 12 weeks. In one embodiment, a host infected with hepatitis C genotype 5 is treated with ribavirin, pegylated interferon, and a compound described herein for 48 weeks. In one embodiment, a host infected with hepatitis C genotype 6 is treated with Sovaldi™, ribavirin, pegylated interferon, and a compound described herein for 12 weeks. In one embodiment, a host infected with hepatitis C genotype 6 is treated with ribavirin, pegylated interferon, and a compound described herein for 48 weeks.
In one embodiment, a host infected with hepatitis C genotype 1 is treated with Sovaldi™, Olysio™, ribavirin, and a compound described herein for 12 weeks. In another embodiment, a host infected with hepatitis C genotype 1 is treated with Sovaldi™, ribavirin, and a compound described herein for 24 weeks. In one embodiment, a host infected with hepatitis C genotype 2 is treated with Sovaldi™, ribavirin, and a compound described herein for 12 weeks. In one embodiment, a host infected with hepatitis C genotype 3 is treated with Sovaldi™, ribavirin, and a compound described herein for 24 weeks. In one embodiment, a patient infected with hepatitis C genotype 4 is treated with Sovaldi™, ribavirin, and a compound described herein for 24 weeks.
In one embodiment, a host infected with papilloma virus is treated with Imiquimod and a compound described herein. In another embodiment, a host infected with papilloma virus is treated with cryotherapy and a compound described herein. In another embodiment, papilloma virus is surgically removed from a host and the host is treated with a compound described herein. In one embodiment, the host receives a compound described herein prior to, during, and post-surgery. In one embodiment, the patient receives a compound described herein post-surgery.
In one embodiment a host infected with herpes simplex type 2 is treated with Famvir® and a compound described herein. In one embodiment a host infected with herpes simplex type 1 is treated with acyclovir and a compound described herein. In another embodiment, a host infected with herpes simplex type 2 is treated with acyclovir and a compound described herein. In one embodiment, a host infected with herpes simplex type 1 is treated with Valtrex® and a compound described herein. In another embodiment, a host infected with herpes simplex type 2 is treated with Valtrex® and a compound described herein. In one embodiment, a host infected with herpes simplex type 1 virus receives a compound described herein for 7 days prior to treatment with acyclovir. In one embodiment, a host infected with herpes simplex type 2 virus receives a compound described herein for 7 days prior to treatment with acyclovir. In one embodiment, a host infected with herpes simplex type 1 virus receives a compound described herein for 7 days prior to treatment with Valtrex®. In one embodiment, a host infected with herpes simplex type 2 virus receives a compound described herein for 7 days prior to treatment with Valtrex®.
In one embodiment a host infected with varicella zoster virus, VZV, is treated with acyclovir and a compound described herein. In another embodiment a host infected with varicella zoster virus, VZV, is treated with Valtrex® and a compound described herein. In one embodiment, a host infected with varicella zoster virus, VZV, is treated with famciclovir and a compound described herein. In another embodiment a host infected with varicella zoster virus, VZV, is treated with foscarnet and a compound described herein. In one embodiment, a host infected with varicella zoster virus is treated with a compound described herein prior to vaccination with Zostavax®. In another embodiment, a host infected with varicella zoster virus is treated with a compound described herein prior to and post vaccination with Zostavax®.
In one embodiment a host infected with influenza virus is treated with Relenza® and a compound described herein. In another embodiment a host infected with influenza virus is treated with Tamiflu® and a compound described herein. In another embodiment a host is infected with influenza virus and is treated with amantadine and a compound described herein. In another embodiment, a host infected with influenza virus is treated with rimantadine and a compound described herein.
In one embodiment, a host infected with cytomegalovirus is treated with valganciclovir and a compound described herein. In another embodiment, a host infected with cytomegalovirus is treated with ganciclovir and a compound described herein. In one embodiment, a host infected with cytomegalovirus is treated with foscarnet and a compound described herein. In another embodiment, a host infected with cytomegalovirus is treated with cidofovir and a compound described herein.
In one embodiment, a host infected with hepatitis B virus is treated with lamivudine and a compound described herein. In another embodiment, a host infected with hepatitis B virus is treated with adefovir and a compound described herein.
In one embodiment, a host infected with hepatitis B virus is treated with tenofovir and a compound described herein. In another embodiment, a host infected with hepatitis B virus is treated with telbivudine and a compound described herein.
Bacterial Infections.
In one embodiment of the present invention, a compound of Formula I, Formula IA, Formula IB, Formula II, Formula IIA, or Formula IIB, or other active compound described herein, is used in an effective amount to treat a host infected with a bacterial infection. In one embodiment, the bacteria treated is, for example, a Gram-negative bacilli (GNB), especially Escherichia coli, Gram-positive cocci (GPC), Staphylococcus aureus, Enterococcus faecalis, or Streptococcus pneumoniae. In one embodiment, the bacterial infection may be caused, for example, by a Gram-negative bacteria, including, but not limited to Escherichia coli, Salmonella, and other Enterobacteriaceae, Pseudomonas, Moraxella, Helicobacter, Stenotrophomonas, Bdellovibrio, acetic acid bacteria, Legionella, Staphylococcus aureus, Hemophilus influenzae, Klebsiella pneumoniae, Legionella pneumophila, Pseudomonas aeruginosa, Vibrio cholerae, Proteus mirabilis, Enterobacter cloacae, Serratia marcescens, Clostridium tetani, Helicobacter pylori, Salmonella enteritidis, Salmonella typhi, Shigella flexneri, or Acinetobacter baumanii. In one embodiment, the bacterial infection may be caused, for example, by a Gram-positive species from the following genera: Bacillus, Listeria, Staphylococcus, Enterococcus, Lactobacillus, Lactococcus, Leuconostoc, Pedicoccus, Streptococcus, Acetobacterium, Clostridium, Eubacterium, Heliobacterium, Heliospirillum, Megasphaera, Pectinatus, Selenomonas, Zymophilus, Sporomusa, Mycoplasma, Spiroplasma, Ureaplasma, or Erysipelothrix.
In one embodiment, the bacterial infection is associated with liver failure. In one embodiment, an active compound disclosed herein is administered in combination with an antibiotic or another anti-bacterial agent. In one embodiment, the compound administered is selected from UNC2025A, UNC2142A and UNC2371A.
In one embodiment, the bacterial infection is associated with liver failure. In one embodiment, an active compound disclosed herein is administered in combination with an antibiotic or another anti-bacterial agent. In one embodiment, the compound administered is selected from UNC2025A, UNC2142A and UNC2371A.
In one embodiment, a patient is suffering from acute-on-chronic liver failure (ACLF). In one embodiment, a patient is suffering from acute liver failure. In one embodiment, a patient is suffering from chronic liver failure. In one embodiment, the liver failure is caused by a disease or condition selected from alcoholic liver disease, chronic viral hepatitis type C, chronic viral hepatitis type B, chronic bile duct blockage, Wilson's disease, hemochromatosis, exposure to drug and toxins, autoimmune hepatitis, cystic fibrosis, alpha antitrypsin deficiency, obesity or schistosomiasis.
In one embodiment, an active compound disclosed herein is administered in combination with an antibiotic for the prevention or treatment of bacterial infections. Examples of antibiotics include, but are not limited to, cefotaxime (Claforan), ofloxacin (Floxin), norfloxacin (Noroxin) or trimethoprim/sulfamethoxazole (Bactrim, Septra).
5. IMMUNOMODULATORY AND IMMUNOSTIMULATORY AGENTS
It has also been discovered that the compounds described herein can be used as immunomodulatory agents that reverse the MerTK-induced suppression of proinflammatory cytokines such as wound healing cytokines (IL-10 and GAS6) and enhance the expression of acute inflammatory cytokines (IL-12 and IL-6). In this way, the pyrrolopyrimidine compounds can “re-normalize” or “re-program” the host microenvironment in the diseased tissue area to attack the diseased cells. This immunostimulatory activity can be used therapeutically to treat a host with a tumor, cancer or other neoplasm, or alternatively, to treat a host with an infection, for example, a viral or bacterial infection.
Taking advantage of the immunostimulatory activity of the compounds described herein, or a pharmaceutically acceptable composition, salt, isotopic analog, or prodrug thereof, may be used for the treatment of a MERTK-negative (−/−) tumor or cancer. In one embodiment, the cancer is a MERTK-negative (−/−) breast cancer.
Therefore, as part of the invention, one or more of the compounds disclosed herein can be used as adjunctive therapy for its immunostimulatory effect as a means to increase the efficacy of the antineoplastic standard of care therapies, such as chemotherapeutic compounds or radiation.
In another aspect of the invention, one or more of the compounds disclosed herein can be used as adjunctive therapy for its immunostimulatory effect as a means to increase the efficacy of the antiviral or antibacterial standard of care therapies.
For example, a compound of Formula I, Formula IA, Formula IB, Formula II, Formula IIA, or Formula IIB, or another compound as described herein, is administered to a host in an immunomodulatory effective amount to inhibit Mer tyrosine kinase activity in the host's tumor associated macrophage to suppress tumor immunity. In one embodiment, the dosage of the Mer TKI administered as an immunomodulatory agent to stimulate innate anti-tumor immunity is lower than a dosage of a Mer TKI administered to a host as a direct anti-cancer agent. In one embodiment, the Mer TKI is administered at a dosage which exhibits immunomodulatory but not direct cytotoxic effect.
In one embodiment, the cancer is a MERTK-negative (−/−) cancer. In one embodiment, the MerTK inhibitory compound administered is selected from UNC2025A, UNC2142A and UNC2371A.
Without wanting to be bound by any particular theory, it is believed that the administration of a chemotherapeutic agent results in the apoptosis of tumor cells, exposing antigenic tumor proteins. The host's innate immune system is thus stimulated to recognize the antigenic apoptotic components from the tumor cells after chemotherapy or ionizing radiation and mount an immune response. In one embodiment, the administration of a chemotherapeutic agent or ionizing radiation, before, with or subsequently followed by the administration of a Mer TKI is carried out using the normal standard of care chemotherapeutic protocol. In another embodiment, the standard of care protocol of the chemotherapeutic is changed in a manner that causes less toxicity to the host due to the adjunctive or synergistic activity of the Mer TKI.
In one embodiment, a method for the treatment of a tumor is provided that includes administering an effective amount of a Mer TKI to inhibit TK signaling in a tumor associated macrophage, without inhibiting the survival signal in the tumor itself. In this way, the Mer TKI can be used to ramp up the immune response to the tumor by inhibiting macrophage tumorigenic tolerance during normal tumor chemotherapeutic agent. The immunomodulatory dosage of the Mer TKI can be given prior to, with or after chemotherapeutic therapy and can be used simultaneously with or intermittently with the chemotherapeutic therapy. In one embodiment, less chemotherapeutic therapy is needed than the normal standard of care defined for that chemotherapeutic agent, due to the increased efficacy of the immune response in the surrounding tumor microenvironment. In one embodiment, a dose of Mer TKI including active compounds of the present invention (for example 0.5 to 150 mg/dose) is given as a type of adjunctive therapy with the chemotherapeutic agent.
In one aspect of the invention, a Mer TKI is administered to a host having a cancer as an immunomodulatory agent to inhibit Mer tyrosine kinase activity in a tumor associated macrophage in order to suppress tumor immunity. In one embodiment, the dosage of the Mer TKI administered as an immunomodulatory agent to stimulate innate anti-tumor immunity is lower than a dosage of a Mer TKI administered to a host as a direct anti-cancer agent. In one embodiment, the Mer TKI is administered at a dosage which exhibits immunomodulatory but not direct cytotoxic effects on the cancer.
In one embodiment, the dose associated with the immunomodulatory effect of an active compound of the present invention is about 2-fold, about 3-fold, about 4-fold, about 5-fold, about 6-fold, about 7-fold, about 8-fold, about 9-fold, about 10-fold or greater lower than the dose associated with a direct survival-signal inhibiting anti-tumor or cytotoxic effect, or the direct antiviral or antibacterial effect. In one embodiment, the dose used to induce an immunomodulatory effect in a host is between about 0.5 mg and about 150 mg. In one embodiment, the dose is about 1 mg, about 2 mg, about 3 mg, about 4 mg, about 5 mg, about 10 mg, about 12 mg, about 15 mg, about 20 mg, about 25 mg, about 30 mg, about 35 mg, about 40 mg, about 45 mg, about 50 mg, about 55 mg, about 60 mg, about 65 mg, about 70 mg, about 75 mg, about 80 mg, about 85 mg, about 90 mg, about 95 mg, about 100 mg, about 110 mg, about 125 mg, about 140 mg, or about 150 mg.
6. ANTI-TUMOR AGENTS, INCLUDING ANTI-CANCER AGENTS
In one aspect of the invention, a compound of Formula I, Formula IA, Formula IB, Formula II, Formula IIA, or Formula IIB, or other active compound as described herein, is capable of direct anti-cancer effects by inhibiting Mer tyrosine kinase within tumor cells. In one embodiment, the cancer treated overexpresses MerTK. In one embodiment, the cancer which overexpresses MerTK is selected from the group consisting of acute myeloid leukemia, T-cell acute lymphoid leukemia, B-cell acute lymphoid leukemia, lung cancer, glioma, melanoma, prostate cancer, schwannoma, mantle cell lymphoma, and rhabdomyosarcoma. In an alternative embodiment, the cancer ectopically expresses MerTK. In one embodiment, the compound administered is selected from UNC2025A, UNC2142A and UNC2371A.
In one embodiment, the cancer treated has a mutation in the amino acid sequence of the MerTK extracellular or transmembrane domain selected from P40S (melanoma), S159F (lung), E204K (urinary tract) S428G (gastric), I431F (lung), A446G (kidney), N454S (liver), W485S/C (lymphoma), and V486I (melanoma). In one embodiment the cancer treated has a mutation in the amino acid sequence of the MerTK cytosolic domain mutation selected from L586F (urinary tract), G594R (breast), S626C (urinary tract), P672S (lung), L688M (colon), A7085 (head and neck), N718Y (lung), R722stop (colon), M790V (lung), P802S (melanoma), V873I (liver), S905F (lung), K923R (melanoma), P958L (kidney), D983N (liver), and D990N (colon). In one embodiment, the compound administered is selected from UNC2025A, UNC2142A and UNC2371A.
In one embodiment of the invention, a compound of Formula I, Formula IA, Formula IB, Formula II, Formula IIA, or Formula IIB, as described herein, is administered to a host with a cancer in combination with one or more additional chemotherapeutic agents, resulting in a synergistic anti-cancer effect and the prolonged survival of a host compared to treatment with either a compound described herein or chemotherapeutic agent alone. In one embodiment, the use of a MerTKIcompound described herein in combination with a chemotherapeutic agent provides for increased anti-tumor effects without an increase in the standard of care dosage of the chemotherapeutic agent. In one embodiment, the use of a MerTKIcompound described herein in combination with a chemotherapeutic provides for equivalent or increased anti-tumor effects utilizing a lower dosage of a chemotherapeutic agent than the standard of care dosage.
In one embodiment, a compound of Formula I, Formula IA, Formula IB, Formula II, Formula IIA, or Formula IIB, as described herein, is provided for use in treating a non-small cell lung carcinoma (NSCLC). In one embodiment, a method is provided to treat a host with non-small cell lung carcinoma (NSCLC) comprising administering to the host an effective amount of a compound of Formula I, Formula IA, Formula IB, Formula II, Formula IIA, or Formula IIB in combination with one or more additional chemotherapeutic agents. In one embodiment of the invention, a method is provided to treat a host with cancer comprising administering to the host an effective amount of a Mer TKI including active compounds of the present invention in combination with another tyrosine kinase inhibitor. In one embodiment, the tyrosine kinase inhibitor is a fibroblast growth factor receptor (FGFR) inhibitor. In one embodiment, the FGFR inhibitor is AZD-4547. In one embodiment, the cancer is non-small cell lung carcinoma (NSCLC). In some embodiments of the invention, a method is provided to treat a host with non-small cell lung carcinoma (NSCLC) comprising administering to the host an effective amount of a Mer TKI including active compounds of the present invention in combination with an additional tyrosine kinase inhibitor, wherein the Mer TKI is selected from the group consisting of UNC2025A, UNC2142A and UNC2371A, and wherein the additional tyrosine kinase inhibitor is selected from the group consisting of gefitinib and crizotinib.
In one embodiment, a compound of Formula I, Formula IA, Formula IB, Formula II, Formula IIA, or Formula IIB, as described herein, is provided for use in treating a melanoma. In one embodiment, the administration of the Mer TKI compound described herein is combined with a chemotherapeutic agent. In one embodiment, the chemotherapeutic agent is an anti-programmed cell death −1 (PD-1) agent. In one embodiment, the chemotherapeutic agent is a B-RAF inhibitor. In one embodiment, the B-RAF inhibitor is vemurafenib. In one embodiment, the host does not have a melanoma with a B-RAF mutation. In one embodiment, the host has a melanoma with a B-RAF mutation. In one embodiment, the host has a melanoma with a RAS mutation. In one embodiment, the melanoma over-expresses MerTK. In one embodiment, the melanoma has metastasized. In one embodiment, the MerTK inhibitory compound administered is selected from UNC2025A, UNC2142A and UNC2371A.
In one embodiment, a compound of Formula I, Formula IA, Formula IB, Formula II, Formula IIA, or Formula IIB, as described herein, is provided for use in treating Acute Lymphoblastic Leukemia (ALL). In one embodiment, a method is provided to treat a host with ALL comprising administering to the host an effective amount of a compound of Formula I, Formula IA, Formula IB, Formula II, Formula IIA, or Formula IIB in combination with methotrexate. In one embodiment, the MerTK inhibitory compound administered is selected from UNC2025A, UNC2142A and UNC2371A.
In one embodiment, a compound of Formula I, Formula IA, Formula IB, Formula II, Formula IIA, or Formula IIB, as described herein, is provided for use in treating Acute Myeloid Leukemia (AML). In one embodiment, the AML contains a wild type FLT3 protein. In one embodiment, the replication of the AML cells are dependent on FLT3 expression. In one embodiment, the AML contains a FLT3-ITD mutation. In one embodiment, the AML contains a FLT3-TKD mutation. In one embodiment, the AML contains both a FLT3-ITD and FLT3-TKD mutation. In one embodiment, a FLT3 or dual MER/FLT3 inhibitor described herein is administered to a host suffering from AML, wherein the AML contains a mutation within the FLT3-TKD at amino acid F691 or D835. In one embodiment, the MerTK inhibitory compound administered is selected from UNC2025A, UNC2142A and UNC2371A.
In one embodiment, a tumor survival-signal inhibiting amount (for example 0.5 to 150 mg/dose) of Mer TKI including compounds of the present invention is administered to a host alone or in combination with a chemotherapeutic agent and/or anti-cancer targeted agent. In an alternative embodiment, a tumor survival-signal inhibiting amount (for example, at least 150 mg/dose, and in some embodiments, at least 200, 250, 300, 350, 400, 450, or 500 mg/dosage or more) of Mer TKI including active compounds of the present invention is administered to a host alone or in combination with a chemotherapeutic agent and/or anti-cancer targeted agent. In one embodiment, the Mer TKI and the chemotherapeutic agent act synergistically. In one embodiment, the use of a Mer TKI in combination with a chemotherapeutic agent provides for increased anti-tumor effects without an increase in the standard of care dosage of the chemotherapeutic agent.
In one embodiment, the use of a Mer TKI including compounds of the present invention in combination with a chemotherapeutic provides for equivalent or increased anti-tumor effects utilizing a lower dosage of a chemotherapeutic agent than the standard of care dosage.
In one aspect of the invention, the Mer TKI including compounds of the present invention can be administered to a host with a cancer prior to, during, or after administration with a chemotherapeutic agent or exposure to ionizing radiation. In one embodiment, a host is administered an effective amount of a chemotherapeutic agent or ionizing radiation and subsequently administered a Mer TKI.
In one embodiment, a method is provided to treat a host with cancer comprising administering to the host an effective amount of a compound of Formula I, Formula IA, Formula IB, Formula II, Formula IIA, or Formula IIB in combination with an immunomodulatory agent. In one embodiment, the immunomodulatory agent is selected from the group consisting of a CTLA-4 inhibitor, PD-1 or anti-PD-1 ligand, IFN-alpha, IFN-beta, and a vaccine, for example, a cancer vaccine. In one embodiment, a method is provided to treat a host with cancer comprising administering to the host an effective amount of a Mer TKI including active compounds of the present invention in combination with Keytruda® (pembrolizumab). In one embodiment, a method is provided to treat a host with cancer comprising administering to the host an effective amount of a Mer TKI including active compounds of the present invention in combination with Opdivo (nivolumab). In one embodiment, a method is provided to treat a host with cancer comprising administering to the host an effective amount of a Mer TKI including active compounds of the present invention in combination with Yervoy® (ipilimumab). In some embodiments, a method is provided to treat a host with cancer comprising administering to the host an effective amount of a Mer TKI including active compounds of the present invention in combination with an immunomodulatory agent selected from the group consisting of pembrolizumab and ipilimumab, wherein the Mer TKI is selected from the group consisting of UNC2025A, UNC2142A and UNC2371A, wherein the cancer is melanoma.
In one embodiment, the Mer TKIs useful in the present invention, including active compounds of the present invention, are dual MER/FLT-3 TKIs. In one embodiment, the Mer TKIs are dual MER/Axl TKIs. In one embodiment, the Mer TKIs are MER-specific TKIs.
Tumors.
The active compounds and methods described herein are useful for the treatment of tumors. As contemplated herein, the cancer treated can be a primary tumor or a metastatic tumor. In one aspect, the methods described herein are used to treat a solid tumor, for example, melanoma, lung cancer (including lung adenocarcinoma, basal cell carcinoma, squamous cell carcinoma, large cell carcinoma, bronchioloalveolar carcinoma, bronchiogenic carcinoma, non-small-cell carcinoma, small cell carcinoma, mesothelioma); breast cancer (including ductal carcinoma, lobular carcinoma, inflammatory breast cancer, clear cell carcinoma, mucinous carcinoma, serosal cavities breast carcinoma); colorectal cancer (colon cancer, rectal cancer, colorectal adenocarcinoma); anal cancer; pancreatic cancer (including pancreatic adenocarcinoma, islet cell carcinoma, neuroendocrine tumors); prostate cancer; prostate adenocarcinoma; ovarian carcinoma (ovarian epithelial carcinoma or surface epithelial-stromal tumor including serous tumor, endometrioid tumor and mucinous cystadenocarcinoma, sex-cord-stromal tumor); liver and bile duct carcinoma (including hepatocellular carcinoma, cholangiocarcinoma, hemangioma); esophageal carcinoma (including esophageal adenocarcinoma and squamous cell carcinoma); oral and oropharyngeal squamous cell carcinoma; salivary gland adenoid cystic carcinoma; bladder cancer; bladder carcinoma; carcinoma of the uterus (including endometrial adenocarcinoma, ocular, uterine papillary serous carcinoma, uterine clear-cell carcinoma, uterine sarcomas and leiomyosarcomas, mixed mullerian tumors); glioma, glioblastoma, medulloblastoma, and other tumors of the brain; kidney cancers (including renal cell carcinoma, clear cell carcinoma, Wilm's tumor); cancer of the head and neck (including squamous cell carcinomas); cancer of the stomach (gastric cancers, stomach adenocarcinoma, gastrointestinal stromal tumor); testicular cancer; germ cell tumor; neuroendocrine tumor; cervical cancer; carcinoids of the gastrointestinal tract, breast, and other organs; signet ring cell carcinoma; mesenchymal tumors including sarcomas, fibrosarcomas, haemangioma, angiomatosis, haemangiopericytoma, pseudoangiomatous stromal hyperplasia, myofibroblastoma, fibromatosis, inflammatory myofibroblastic tumor, lipoma, angiolipoma, granular cell tumor, neurofibroma, schwannoma, angiosarcoma, liposarcoma, rhabdomyosarcoma, osteosarcoma, leiomyoma, leiomysarcoma, skin, including melanoma, cervical, retinoblastoma, head and neck cancer, pancreatic, brain, thyroid, testicular, renal, bladder, soft tissue, adenal gland, urethra, cancers of the penis, myxosarcoma, chondrosarcoma, osteosarcoma, chordoma, malignant fibrous histiocytoma, lymphangiosarcoma, mesothelioma, squamous cell carcinoma; epidermoid carcinoma, malignant skin adnexal tumors, adenocarcinoma, hepatoma, hepatocellular carcinoma, renal cell carcinoma, hypernephroma, cholangiocarcinoma, transitional cell carcinoma, choriocarcinoma, seminoma, embryonal cell carcinoma, glioma anaplastic; glioblastoma multiforme, neuroblastoma, medulloblastoma, malignant meningioma, malignant schwannoma, neurofibrosarcoma, parathyroid carcinoma, medullary carcinoma of thyroid, bronchial carcinoid, pheochromocytoma, Islet cell carcinoma, malignant carcinoid, malignant paraganglioma, melanoma, Merkel cell neoplasm, cystosarcoma phylloide, salivary cancers, thymic carcinomas, and cancers of the vagina among others.
In some embodiments, a method is provided to treat a host with a glioblastoma comprising administering to the host an effective amount of a Mer TKI including active compounds of the present invention in combination with temozolomide, wherein the Mer TKI is selected from the group consisting of UNC2025A, UNC2142A and UNC2371A. In some embodiments, a method is provided to treat a host with a breast cancer comprising administering to the host an effective amount of a Mer TKI including active compounds of the present invention in combination with trastuzumab, wherein the Mer TKI is selected from the group consisting of UNC2025A, UNC2142A and UNC2371A.
In one embodiment, the cancer is NSCLC. In one embodiment, the cancer is a melanoma. In one embodiment, the cancer is breast cancer. In one embodiment, the cancer is a glioblastoma. In one embodiment, the cancer is a bone cancer. In one embodiment, the cancer is a brain cancer. In one embodiment, the cancer is a colon cancer. In one embodiment, the cancer is a rectal cancer. In one embodiment, the cancer is an endometrial cancer. In one embodiment, the cancer is an esophageal cancer. In one embodiment, the cancer is a cancer of the gastrointestinal tract. In one embodiment, the cancer is a kidney cancer. In one embodiment, the cancer is a liver cancer. In one embodiment, the cancer is a lung cancer. In one embodiment, the cancer is a mantle cell lymphoma. In one embodiment, the cancer is an ovarian cancer. In one embodiment, the cancer is a pancreatic cancer. In one embodiment, the cancer is a pituitary cancer. In one embodiment, the cancer is a prostate cancer. In one embodiment, the cancer is a skeletal muscle cancer. In one embodiment, the cancer is a skin cancer. In one embodiment, the cancer is a stomach cancer. In one embodiment, the cancer is a thyroid cancer. In one embodiment, the cancer is a neuroendocrine cancer. In one embodiment, the cancer is a gastroesophageal cancer. In one embodiment, the cancer is a renal cell cancer. In one embodiment, the cancer is a head and neck cancer. In some embodiments, the Mer TKI used to treat a host having a cancer is selected from the group consisting of UNC2025A, UNC2142A and UNC2371A.
In one embodiment, the methods described herein are useful for treating a host suffering from a lymphoma or lymphocytic or myelocytic proliferation disorder or abnormality. For example, the Mer TKIs as described herein can be administered to a subject suffering from a Hodgkin Lymphoma of a Non-Hodgkin Lymphoma. For example, the subject can be suffering from a Non-Hodgkin Lymphoma such as, but not limited to: an AIDS-Related Lymphoma; Anaplastic Large-Cell Lymphoma; Angioimmunoblastic Lymphoma; Blastic NK-Cell Lymphoma; Burkitt's Lymphoma; Burkitt-like Lymphoma (Small Non-Cleaved Cell Lymphoma); Chronic Lymphocytic Leukemia/Small Lymphocytic Lymphoma; Cutaneous T-Cell Lymphoma; Diffuse Large B-Cell Lymphoma; Enteropathy-Type T-Cell Lymphoma; Follicular Lymphoma; Hepatosplenic Gamma-Delta T-Cell Lymphoma; Lymphoblastic Lymphoma; Mantle Cell Lymphoma; Marginal Zone Lymphoma; Nasal T-Cell Lymphoma; Pediatric Lymphoma; Peripheral T-Cell Lymphomas; Primary Central Nervous System Lymphoma; T-Cell Leukemias; Transformed Lymphomas; Treatment-Related T-Cell Lymphomas; or Waldenstrom's Macroglobulinemia.
Alternatively, the subject may be suffering from a Hodgkin Lymphoma, such as, but not limited to: Nodular Sclerosis Classical Hodgkin's Lymphoma (CHL); Mixed Cellularity CHL; Lymphocyte-depletion CHL; Lymphocyte-rich CHL; Lymphocyte Predominant Hodgkin Lymphoma; or Nodular Lymphocyte Predominant HL.
In one embodiment, the methods as described herein may be useful to treat a host suffering from a specific T-cell, a B-cell, or a NK-cell based lymphoma, proliferative disorder, or abnormality. For example, the subject can be suffering from a specific T-cell or NK-cell lymphoma, for example, but not limited to: Peripheral T-cell lymphoma, for example, peripheral T-cell lymphoma and peripheral T-cell lymphoma not otherwise specified (PTCL-NOS); anaplastic large cell lymphoma, for example anaplastic lymphoma kinase (ALK) positive, ALK negative anaplastic large cell lymphoma, or primary cutaneous anaplastic large cell lymphoma; angioimmunoblastic lymphoma; cutaneous T-cell lymphoma, for example mycosis fungoides, Sézary syndrome, primary cutaneous anaplastic large cell lymphoma, primary cutaneous CD30+ T-cell lymphoproliferative disorder; primary cutaneous aggressive epidermotropic CD8+ cytotoxic T-cell lymphoma; primary cutaneous gamma-delta T-cell lymphoma; primary cutaneous small/medium CD4+ T-cell lymphoma. and lymphomatoid papulosis; Adult T-cell Leukemia/Lymphoma (ATLL); Blastic NK-cell Lymphoma; Enteropathy-type T-cell lymphoma; Hematosplenic gamma-delta T-cell Lymphoma; Lymphoblastic Lymphoma; Nasal NK/T-cell Lymphomas; Treatment-related T-cell lymphomas; for example lymphomas that appear after solid organ or bone marrow transplantation; T-cell prolymphocytic leukemia; T-cell large granular lymphocytic leukemia; Chronic lymphoproliferative disorder of NK-cells; Aggressive NK cell leukemia; Systemic EBV+ T-cell lymphoproliferative disease of childhood (associated with chronic active EBV infection); Hydroa vacciniforme-like lymphoma; Adult T-cell leukemia/lymphoma; Enteropathy-associated T-cell lymphoma; Hepatosplenic T-cell lymphoma; or Subcutaneous panniculitis-like T-cell lymphoma.
Alternatively, the subject may be suffering from a specific B-cell lymphoma or proliferative disorder such as, but not limited to: multiple myeloma; Diffuse large B cell lymphoma; Follicular lymphoma; Mucosa-Associated Lymphatic Tissue lymphoma (MALT); Small cell lymphocytic lymphoma; Mantle cell lymphoma (MCL); Burkitt lymphoma; Mediastinal large B cell lymphoma; Waldenström macroglobulinemia; Nodal marginal zone B cell lymphoma (NMZL); Splenic marginal zone lymphoma (SMZL); Intravascular large B-cell lymphoma; Primary effusion lymphoma; or Lymphomatoid granulomatosis; Chronic lymphocytic leukemia/small lymphocytic lymphoma; B-cell prolymphocytic leukemia; Hairy cell leukemia; Splenic lymphoma/leukemia, unclassifiable; Splenic diffuse red pulp small B-cell lymphoma; Hairy cell leukemia-variant; Lymphoplasmacytic lymphoma; Heavy chain diseases, for example, Alpha heavy chain disease, Gamma heavy chain disease, Mu heavy chain disease; Plasma cell myeloma; Solitary plasmacytoma of bone; Extraosseous plasmacytoma; Primary cutaneous follicle center lymphoma; T cell/histiocyte rich large B-cell lymphoma; DLBCL associated with chronic inflammation; Epstein-Barr virus (EBV)+ DLBCL of the elderly; Primary mediastinal (thymic) large B-cell lymphoma; Primary cutaneous DLBCL, leg type; ALK+ large B-cell lymphoma; Plasmablastic lymphoma; Large B-cell lymphoma arising in HHV8-associated multicentric; Castleman disease; B-cell lymphoma, unclassifiable, with features intermediate between diffuse large B-cell lymphoma and Burkitt lymphoma; B-cell lymphoma, unclassifiable, with features intermediate between diffuse large B-cell lymphoma and classical Hodgkin lymphoma; Nodular sclerosis classical Hodgkin lymphoma; Lymphocyte-rich classical Hodgkin lymphoma; Mixed cellularity classical Hodgkin lymphoma; or Lymphocyte-depleted classical Hodgkin lymphoma.
In one embodiment, the methods described herein can be used to a subject suffering from a leukemia. For example, the subject may be suffering from an acute or chronic leukemia of a lymphocytic or myelogenous origin, such as, but not limited to: Acute lymphoblastic leukemia (ALL); Acute myelogenous leukemia (AML); Chronic lymphocytic leukemia (CLL); Chronic myelogenous leukemia (CML); juvenile myelomonocytic leukemia (JMML); hairy cell leukemia (HCL); acute promyelocytic leukemia (a subtype of AML); T-cell prolymphocytic leukemia (TPLL); large granular lymphocytic leukemia; or Adult T-cell chronic leukemia; large granular lymphocytic leukemia (LGL). In one embodiment, the patient suffers from an acute myelogenous leukemia, for example an undifferentiated AML (M0); myeloblastic leukemia (M1; with/without minimal cell maturation); myeloblastic leukemia (M2; with cell maturation); promyelocytic leukemia (M3 or M3 variant [M3V]); myelomonocytic leukemia (M4 or M4 variant with eosinophilia [M4E]); monocytic leukemia (M5); erythroleukemia (M6); or megakaryoblastic leukemia (M7).
Acute Myeloid Leukemia.
In one embodiment, the methods described herein can be used to treat a host suffering from Acute Myeloid Leukemia (AML). In one embodiment, the AML contains a wild type FLT3 protein. In one embodiment, the replication of the AML cells are dependent on FLT3 expression. In one embodiment, the AML contains a FLT3-ITD mutation. In one embodiment, the AML contains a FLT3-TKD mutation. In one embodiment, the AML contains both a FLT3-ITD and FLT3-TKD mutation.
FLT3-ITD mutations are well known in the art. FLT3-TKD mutations are also well known in the art. In one embodiment, a FLT3 or dual MER/FLT3 inhibitor is administered to a host suffering from AML, wherein the AML contains a mutation within the FLT3-TKD at amino acid F691 or D835. In one embodiment, the FLT3-TKD mutation is selected from D835H, D835N, D835Y, D835A, D835V, D835V, D835E, I836F, I836L, I836V, I836D, I836H, I836M, and F691L. In one embodiment, the host is suffering from the FLT3-TKD mutation D835Y. In one embodiment, the host is suffering from the FLT3-TKD mutation F691L.
In one embodiment, the host is suffering from acute promyelocytic leukemia (a subtype of AML); a minimally differentiated AML (M0); myeloblastic leukemia (M1; with/without minimal cell maturation); myeloblastic leukemia (M2; with cell maturation); promyelocytic leukemia (M3 or M3 variant [M3V]); myelomonocytic leukemia (M4 or M4 variant with eosinophilia [M4E]); monocytic leukemia (M5); erythroleukemia (M6); or megakaryocytic leukemia (M7). In one embodiment, the host is suffering from AML that has relapsed or become refractory to previous treatments. In one embodiment, the host has previously been treated with a FLT3 inhibitor or other chemotherapeutic agent.
In one embodiment, the FLT3 inhibitors are efficacious against AML having both FLT3-ITD and FLT3-TKD mutations, wherein resistance to other FLT3 inhibitors, for example, AC220, has been established.
In one embodiment, the host has an Acute Myeloid Leukemia (AML) comprising a FLT3 mutation, wherein the mutation confers resistance to a FLT3 inhibitor other than the FLT3 inhibitors described herein. In one embodiment, the host has a AML comprising a FLT3 mutation, wherein the mutation has conferred resistance to quizartinib (AC220) or other FLT3 inhibitor selected from lestaurtinib, sunitinib, sorafenib, tandutinib, midostaurin, amuvatinib crenolanib, dovitinib, ENMD-2076 (Entremed), or KW-2449 (Kyowa Hakko Kirin), or a combination thereof.
Chemotherapeutic Agents.
In one embodiment, an active compound or Mer TKI as described herein is used in combination or alternation with a chemotherapeutic agent. Such agents may include, but are not limited to, tamoxifen, midazolam, letrozole, bortezomib, anastrozole, goserelin, an mTOR inhibitor, a PI3 kinase inhibitors, dual mTOR-PI3K inhibitors, MEK inhibitors, RAS inhibitors, ALK inhibitors, HSP inhibitors (for example, HSP70 and HSP 90 inhibitors, or a combination thereof). Examples of mTOR inhibitors include but are not limited to rapamycin and its analogs, everolimus (Afinitor), temsirolimus, ridaforolimus, sirolimus, and deforolimus. Examples of P13 kinase inhibitors include but are not limited to Wortmannin, demethoxyviridin, perifosine, idelalisib, PX-866, IPI-145, BAY 80-6946, BEZ235, RP6503, TGR 1202 (RP5264), MLN1117 (INK1117), Pictilisib, Buparlisib, SAR245408 (XL147), SAR245409 (XL765), Palomid 529, ZSTK474, PWT33597, RP6530, CUDC-907, and AEZS-136. Examples of MEK inhibitors include but are not limited to Tametinib, Selumetinib, MEK162, GDC-0973 (XL518), and PD0325901. Examples of RAS inhibitors include but are not limited to Reolysin and siG12D LODER. Examples of ALK inhibitors include but are not limited to Crizotinib, AP26113, and LDK378. HSP inhibitors include but are not limited to Geldanamycin or 17-N-Allylamino-17-demethoxygeldanamycin (17AAG), and Radicicol. In one embodiment, the chemotherapeutic agent is an anti-programmed cell death −1 (PD-1) agent, for example, nivolumab, pembrolizumab, BMS936559, lambrolizumab, MPDL3280A, pidilizumab, AMP-244, and MEDI4736. In one embodiment, the chemotherapeutic agent is a B-RAF inhibitor, for example, vemurafenib or sorafenib. In one embodiment, the chemotherapeutic agent is a FGFR inhibitor, for example, but not limited to, AZD4547, dovitinib, BGJ398, LY2874455, and ponatinib. In one embodiment, an active compound or Mer TKI as described herein is used in combination with crizotinib.
In certain aspects, the additional therapeutic agent is an anti-inflammatory agent, a chemotherapeutic agent, a radiotherapeutic, an additional therapeutic agent, or an immunosuppressive agent.
Suitable chemotherapeutic agents include, but are not limited to, radioactive molecules, toxins, also referred to as cytotoxins or cytotoxic agents, which includes any agent that is detrimental to the viability of cells, agents, and liposomes or other vesicles containing chemotherapeutic compounds. General anticancer pharmaceutical agents include: Vincristine (Oncovin®) or liposomal vincristine (Marqibo®), Daunorubicin (daunomycin or Cerubidine®) or doxorubicin (Adriamycin®), Cytarabine (cytosine arabinoside, ara-C, or Cytosar®), L-asparaginase (Elspar®) or PEG-L-asparaginase (pegaspargase or Oncaspar®), Etoposide (VP-16), Teniposide (Vumon®), 6-mercaptopurine (6-MP or Purinethol®), Methotrexate, Cyclophosphamide (Cytoxan®), Prednisone, Dexamethasone (Decadron), imatinib (Gleevec®), dasatinib (Sprycel®), nilotinib (Tasigna®), bosutinib (Bosulif®), and ponatinib (Iclusig™). Examples of additional suitable chemotherapeutic agents include but are not limited to 1-dehydrotestosterone, 5-fluorouracil decarbazine, 6-mercaptopurine, 6-thioguanine, actinomycin D, adriamycin, aldesleukin, alkylating agents, allopurinol sodium, altretamine, amifostine, anastrozole, anthramycin (AMC)), anti-mitotic agents, cis-dichlorodiamine platinum (II) (DDP) cisplatin), diamino dichloro platinum, anthracyclines, antibiotics, antimetabolites, asparaginase, BCG live (intravesical), betamethasone sodium phosphate and betamethasone acetate, bicalutamide, bleomycin sulfate, busulfan, calcium leucouorin, calicheamicin, capecitabine, carboplatin, lomustine (CCNU), carmustine (BSNU), Chlorambucil, Cisplatin, Cladribine, Colchicin, conjugated estrogens, Cyclophosphamide, Cyclothosphamide, Cytarabine, Cytarabine, cytochalasin B, Cytoxan, Dacarbazine, Dactinomycin, dactinomycin (formerly actinomycin), daunirubicin HCL, daunorucbicin citrate, denileukin diftitox, Dexrazoxane, Dibromomannitol, dihydroxy anthracin dione, Docetaxel, dolasetron mesylate, doxorubicin HCL, dronabinol, E. coli L-asparaginase, emetine, epoetin-α, Erwinia L-asparaginase, esterified estrogens, estradiol, estramustine phosphate sodium, ethidium bromide, ethinyl estradiol, etidronate, etoposide citrororum factor, etoposide phosphate, filgrastim, floxuridine, fluconazole, fludarabine phosphate, fluorouracil, flutamide, folinic acid, gemcitabine HCL, glucocorticoids, goserelin acetate, gramicidin D, granisetron HCL, hydroxyurea, idarubicin HCL, ifosfamide, interferon α-2b, irinotecan HCL, letrozole, leucovorin calcium, leuprolide acetate, levamisole HCL, lidocaine, lomustine, maytansinoid, mechlorethamine HCL, medroxyprogesterone acetate, megestrol acetate, melphalan HCL, mercaptipurine, mesna, methotrexate, methyltestosterone, mithramycin, mitomycin C, mitotane, mitoxantrone, nilutamide, octreotide acetate, oligomycin A, ondansetron HCL, paclitaxel, pamidronate disodium, pentostatin, pilocarpine HCL, plimycin, polifeprosan 20 with carmustine implant, porfimer sodium, procaine, procarbazine HCL, propranolol, rituximab, sargramostim, streptozotocin, tamoxifen, taxol, teniposide, tenoposide, testolactone, tetracaine, thioepa chlorambucil, thioguanine, thiotepa, topotecan HCL, toremifene citrate, trastuzumab, tretinoin, valrubicin, vinblastine sulfate, vincristine sulfate, and vinorelbine tartrate. In one embodiment, an active compound or Mer TKI as described herein is used in combination with oligomycin A.
Additional therapeutic agents that can be administered in combination with a compound disclosed herein can include bevacizumab, sutinib, sorafenib, 2-methoxyestradiol or 2ME2, finasunate, vatalanib, vandetanib, aflibercept, volociximab, etaracizumab (MEDI-522), cilengitide, erlotinib, cetuximab, panitumumab, gefitinib, trastuzumab, dovitinib, figitumumab, atacicept, rituximab, alemtuzumab, aldesleukine, atlizumab, tocilizumab, temsirolimus, everolimus, lucatumumab, dacetuzumab, HLL1, huN901-DM1, atiprimod, natalizumab, bortezomib, carfilzomib, marizomib, tanespimycin, saquinavir mesylate, ritonavir, nelfinavir mesylate, indinavir sulfate, belinostat, panobinostat, mapatumumab, lexatumumab, dulanermin, ABT-737, oblimersen, plitidepsin, talmapimod, P276-00, enzastaurin, tipifarnib, perifosine, imatinib, dasatinib, lenalidomide, thalidomide, simvastatin, ABT-888, temozolomide, erlotinib, lapatinib, sunitinib, FTS, AZD6244, BEZ235, and celecoxib. In one embodiment, an active compound or Mer TKI as described herein is used in combination with gefitinib.
In one embodiment, a FLT3 or dual MER/FLT3 inhibitor described herein is used in combination with a chemotherapeutic agent for the treatment of AML. Such agents may include, but are not limited to, cytarabine (ara-C), anthracycline drugs including but not limited to, daunorubicin, idarubicin; cladribine, fludarabine, Gleevec® (imatinib), Sprycel® (dasatinib), adriamycin, arsenic trioxide, cerubidine, clafen, cyclophosphamide, cytarabine, daunorubicin, doxorubicin, vincristine, and topotecan. Some of the other chemo drugs that may be used to treat AML include: etoposide (VP-16), 6-thioguanine (6-TG), hydroxyurea (Hydrea®), Corticosteroid drugs, such as prednisone or dexamethasone (Decadron®), methotrexate (MTX), 6-mercaptopurine (6-MP), azacitidine (Vidaza®), and decitabine (Dacogen®). In one embodiment, a FLT3 or dual MER/FLT3 inhibitor described herein is used in combination with cytarabine.
In one embodiment, a FLT3 or dual MER/FLT3 inhibitor described herein is used in combination with an additional FLT3 inhibitor to treat with a host suffering from AML. Additional FLT3 inhibitors for use in combination with the FLT3 or dual MER/FLT3 inhibitors described herein include lestaurtinib, sunitinib, sorafenib, tandutinib, midostaurin, crenolanib, dovitinib, ENMD-2076 (Entremed), amuvatinib, or KW-2449 (Kyowa Hakko Kirin).
In one embodiment, a FLT3 or dual MER/FLT3 inhibitor described herein is used in combination with a Ras inhibitor. Examples of RAS inhibitors include but are not limited to Reolysin, FusOn-H2, and siG12D LODER.
In one embodiment, a FLT3 or dual MER/FLT3 inhibitor described herein is used in combination with a Phosphoinositide 3-kinase inhibitor (PI3K inhibitor). PI3K inhibitors that may be used in the present invention are well known. Examples of PI3K inhibitors include but are not limited to Wortmannin, demethoxyviridin, perifosine, idelalisib, Pictilisib, Palomid 529, ZSTK474, PWT33597, CUDC-907, AEZS-136, PX-866, IPI-145, RP6503, SAR245408 (XL147), duvelisib, GS-9820, GDC-0032 (2-[4-[2-(2-Isopropyl-5-methyl-1,2,4-triazol-3-yl)-5,6-dihydroimidazo[1,2-d][1,4]benzoxazepin-9-yl]pyrazol-1-yl]-2-methylpropanamide), MLN-1117 ((2R)-1-Phenoxy-2-butanyl hydrogen (S)-methylphosphonate; or Methyl(oxo) {[(2R)-1-phenoxy-2-butanyl]oxy}phosphonium)), BYL-719 ((2S)—N1-[4-Methyl-5-[2-(2,2,2-trifluoro-1,1-dimethylethyl)-4-pyridinyl]-2-thiazolyl]-1,2-pyrrolidinedicarboxamide), GSK2126458 (2,4-Difluoro-N-{2-(methyloxy)-5-[4-(4-pyridzinyl)-6-quinolinyl]-3-pyridinyl}benzenesulfonamide), TGX-221 ((±)-7-Methyl-2-(morpholin-4-yl)-9-(1-phenylaminoethyl)-pyrido[1,2-a]-pyrimidin-4-one), GSK2636771 (2-Methyl-1-(2-methyl-3-(trifluoromethyl)benzyl)-6-morpholino-1H-benzo[d]imidazole-4-carboxylic acid dihydrochloride), KIN-193 ((R)-2-((1-(7-methyl-2-morpholino-4-oxo-4H-pyrido[1,2-a]pyrimidin-9-yl)ethyl)amino)benzoic acid), TGR-1202/RP5264, GS-9820 ((S)-1-(4-((2-(2-aminopyrimidin-5-yl)-7-methyl-4-mohydroxypropan-1-one), GS-1101 (5-fluoro-3-phenyl-2([S)]-1-[9H-purin-6-ylamino]-propyl)-3H-quinazolin-4-one), AMG-319, GSK-2269557, SAR245409 (N-(4-(N-(3-((3,5-dimethoxyphenyl)amino)quinoxalin-2-yl)sulfamoyl)phenyl)-3-methoxy-4 methylbenzamide), BAY80-6946 (2-amino-N-(7-methoxy-8-(3-morpholinopropoxy)-2,3-dihydroimidazo[1,2-c]quinaz), AS 252424 (5-[1-[5-(4-Fluoro-2-hydroxy-phenyl)-furan-2-yl]-meth-(Z)-ylidene]-thiazolidine-2,4-dione), CZ 24832 (5-(2-amino-8-fluoro-[1,2,4]triazolo[1,5-a]ppidin-6-yl)-N-tert-butylpyridine-3-sulfonamide), Buparlisib (5-[2,6-Di(4-morpholinyl)-4-pyrimidinyl]-4-(trifluoromethyl)-2-pyridinamine), GDC-0941 (2-(1H-Indazol-4-yl)-6-[[4-(methylsulfonyl)-1-piperazinyl]methyl]-4-(4-morpholinyl)thieno[3,2-d]pyrimidine), GDC-0980 ((S)-1-(4-((2-(2-aminopyrimidin-5-yl)-7-methyl-4-morpholinothieno[3,2-d]pyrimidin-6 yl)methyppiperazin-1-yl)-2-hydroxypropan-1-one (also known as RG7422)), SF1126 ((8S,14S,17S)-14-(carboxymethyl)-8-(3-guanidinopropyl)-17-(hydroxymethyl)-3,6,9,12,15-pentaoxo-1-(4-(4-oxo-8-phenyl-4H-chromen-2-yl)morpholino-4-ium)-2-oxa-7,10,13,16-tetra azaoctadecan-18-oate), PF-05212384 (N-[4-[[4-(Dimethylamino)-1-piperidinyl]carbonyl]phenyl]-N′-[4-(4,6-di-4-morpholinyl-1,3,5-triazin-2-yl)phenyl]urea), LY3023414, BEZ235 (2-Methyl-2-{4-[3-methyl-2-oxo-8-(quinolin-3-yl)-2,3-dihydro-1H-imidazo[4,5-c]quinolin-1-yl]phenyl}propanenitrile), XL-765 (N-(3-(N-(3-(3,5-dimethoxyphenylamino)quinoxalin-2-yl)sulfamoyl)phenyl)-3-methoxy-4-methylbenzamide), and GSK1059615 (5-[[4-(4-Pyridinyl)-6-quinolinyl]methylene]-2,4-thiazolidenedione), PX886 ([(3 aR,6E,9S,9aR,10R,11 aS)-6-[[bis(prop-2-enyl)amino]methylidene]-5-hydroxy-9-(methoxymethyl)-9a,11a-dimethyl-1,4,7-trioxo-2,3,3a,9,10,11-hexahydroindeno[4,5h]isochromen-10-yl]acetate (also known as sonolisib)), and the structure described in WO2014/071109 having the formula:
Figure US09555031-20170131-C00021
In one embodiment, a FLT3 or dual MER/FLT3 inhibitor described herein is used in combination with a modulator of the STAT5 pathway. Compounds which modulate the Janus Kinase 2 (JAK2)—Signal Transducer and Activator of Transcription 5 (STAT5) pathway include but are not limited to Lestaurtinib, Ruxolitinib, SB1518, CYT387, LY3009104, INC424, LY2784544, BMS-911543, NS-018, and TG101348.
In one embodiment, a FLT3 or dual MER/FLT3 inhibitor described herein is used in combination with an AKT inhibitor, including but not limited to, MK-2206, GSK690693, Perifosine, (KRX-0401), GDC-0068, Triciribine, AZD5363, Honokiol, PF-04691502, and Miltefosine.
Immunomodulatory Combination Agents.
Active compounds as described herein used in a dosage for direct effect on the diseased cell can be used in combination with one or more immunotherapy agents for additive or synergistic efficacy against solid tumors. In one embodiment, a tumor associated macrophage MerTK inhibiting amount of a Mer TKI is used in combination or alternation with the immunomodulatory agent. In another embodiment, a host tumor survival-signal inhibiting, antiviral or antibacterial amount of a Mer TKI is used in combination or alternation with the immunomodulatory agent.
Immunomodulators are small molecules or biologic agents that treat a disease by inducing, enhancing or suppressing the host's immune system. In the present application, one or more immunomodulators are selected that induce or enhance the host's immune system. Some immunomodulators boost the host's immune system and others help train the host's immune system to better attack tumor cells. Other immunomodulators target proteins that help cancer grow.
Three general categories of immunotherapies are antibodies, cancer vaccines, and non-specific immunotherapies. Antibodies are typically administered as monoclonals, although that is not required. “Naked monoclonal antibodies” work by attaching to antigens on tumor cells. Some antibodies can act as a marker for the body's immune system to destroy the tumor cells. Others block signaling agents for tumor cells. Antibodies can generally be used to bind to any signaling or metabolic agent that directly or indirectly facilitates tumor growth. Examples are alemtuzumab (Campath) which binds to CD52 antigen, and trastuzumab (Herceptin), which binds to the HER2 protein.
In another embodiment, an antibody can be used that is conjugated to another moiety that increases it delivery or efficacy. For example, the antibody can be connected to a cytotoxic drug or a radiolabel. Conjugated antibodies are sometimes referred to as “tagged, labeled or loaded”. Radiolabeled antibodies have small radioactive particles attached to them. Examples are Zevalin, which is an antibody against CD20 used to treat lymphoma. Chemolabeled antibodies are antibodies that have cytotoxic agents attached to them. Examples are Adcetris, which targets CD30, and Kadcyla, which targets HER2. Ontak, while not an antibody, is similar in that it is interleukin-2 attached to a toxin from diphtheria.
Another category of immunotherapy that can be used in the present invention is a cancer vaccine. Most cancer vaccines are prepared from tumor cells, parts of tumor cells or pure antigens. The vaccine can be used with an adjuvant to help boost the immune response. An example is Provenge, which is the first cancer vaccine approved by the US FDA. The vaccine can for example be a dendritic cell vaccine or a vector-based vaccine
Nonspecific tumor immunotherapies and adjuvants include compounds that stimulate the immune system to do a better job at attacking the tumor cells. Such immunotherapies include cytokines, interleukins, interferons (α primarily but can be also β or γ). Specific agents include granulocyte-macrophage colony-stimulating factor (GM-CSF), IL-12, IL-7, IL-21, drugs that target CTLA-4 (such as Yervoy, which is Ipilimumab) and drugs that target PD-1 or PDL-1 (such as for example, nivolumab (BMS), pembrolizumab (Merck), pidilizumab (CureTech/Teva), AMP-244 (Amplimmune/GSK), BMS-936559 (BMS), and MEDI4736 (Roche/Genentech)).
Other drugs that boost the immune system are thalidomide, lenalidomide, pomalidomide, the Bacille Calmette-Gurin bacteria and Imiquimod. Additional therapeutic agents that can be used in combination with the MerTK inhibitor include bispecific antibodies, chimeric antigen receptor (CAR) T-cell therapy and tumor-infiltrating lymphocytes.
In one aspect of the present invention, a compound described herein can be combined with at least one immunosuppressive agent. The immunosuppressive agent is preferably selected from the group consisting of a calcineurin inhibitor, e.g. a cyclosporin or an ascomycin, e.g. Cyclosporin A (NEORAL®), FK506 (tacrolimus), pimecrolimus, a mTOR inhibitor, e.g. rapamycin or a derivative thereof, e.g. Sirolimus (RAPAMUNE®), Everolimus (Certican®), temsirolimus, zotarolimus, biolimus-7, biolimus-9, a rapalog, e.g. ridaforolimus, azathioprine, campath 1H, a S1P receptor modulator, e.g. fingolimod or an analogue thereof, an anti IL-8 antibody, mycophenolic acid or a salt thereof, e.g. sodium salt, or a prodrug thereof, e.g. Mycophenolate Mofetil (CELLCEPT®), OKT3 (ORTHOCLONE OKT3®), Prednisone, ATGAM®, THYMOGLOBULIN®, Brequinar Sodium, OKT4, T10B9.A-3A, 33B3.1, 15-deoxyspergualin, tresperimus, Leflunomide ARAVA®, CTLAI-Ig, anti-CD25, anti-IL2R, Basiliximab (SIMULECT®), Daclizumab (ZENAPAX®), mizorbine, methotrexate, dexamethasone, ISAtx-247, SDZ ASM 981 (pimecrolimus, Elidel®), CTLA41g (Abatacept), belatacept, LFA31g, etanercept (sold as Enbrel® by Immunex), adalimumab (Humira®), infliximab (Remicade®), an anti-LFA-1 antibody, natalizumab (Antegren®), Enlimomab, gavilimomab, antithymocyte immunoglobulin, siplizumab, Alefacept efalizumab, pentasa, mesalazine, asacol, codeine phosphate, benorylate, fenbufen, naprosyn, diclofenac, etodolac and indomethacin, aspirin and ibuprofen.
7. ANTI-PLATELET AGENTS
In another embodiment, a compound described herein is used in the treatment of blot clot (thrombus) formation in a host in need thereof. In one embodiment, the host is suffering from coronary artery disease, peripheral vascular disease, or cerebrovascular disease. In one embodiment, a compound described herein is administered to a host prior to any medical or surgical procedure in which diminished coagulation potential is desirable. In one embodiment, an active compound disclosed herein is administered in combination with another anti-thrombotic or anti-clotting agent.
In one embodiment, a compound of Formula I, Formula IA, Formula IB, Formula II, Formula IIA, or Formula IIB, or another compound, as described herein, is provided for use in treating blot clot (thrombus) formation in a subject in need thereof, comprising administering an active compound as described herein, or a pharmaceutically acceptable composition, salt, isotopic analog, or prodrug thereof. In one embodiment, the compound for use in treating blot clot (thrombus) formation in a subject in need thereof is selected from UNC2025A, UNC2142A and UNC2371A, including a pharmaceutically acceptable composition, salt, isotopic analog or prodrug thereof.
In one embodiment, the treatment of blood clot formation is in, for example, a subject with coronary artery disease, peripheral vascular disease, or cerebrovascular disease, or the treatment is given prior to any medical or surgical procedure in which diminished coagulation potential is desirable. Coronary artery disease includes, for example, any coronary dysfunction (pathological state) resulting from coronary artherosclerosis, i.e. partial or total occlusion of coronary vessels. The term also includes a range of various acute and chronical pathological states comprising stable and unstable angina pectoris (SAP and UAP, respectively), left ventricular dysfunction LVD, (congestive) heart failure CHF, myocardial death. Peripheral vascular disease includes, for example, occlusive or functional peripheral arterial disease (PAD). Examples of occlusive PAD include peripheral arterial occlusion, which may be acute, and Buerger's disease (thomboangiitis obliterans). Examples of functional PAD include Raynaud's disease, Raynaud's phenomenon, and acrocyanosis. Cerebrovascular disease includes, for example, any abnormality of the brain resulting from a pathologic process of a blood vessel. In one embodiment, the cerebrovascular disease is selected from cerebral ischemia, cerebral hemorrhage, ischemic stroke, hemorrhagic stroke, or ischemic reperfusion injury resulting from reintroduction of blood flow following cerebral ischemia or ischemic stroke. In one non-limiting embodiment, the medical or surgical procedure is pulmonary vein ablation.
In one embodiment, the treatment of blood clot formation is in a host having thrombi in blood vessels from pathologies or treatments including, for example, myocardial infarction, unstable angina, atrial fibrillation, stroke, renal damage, percutaneous translumenal coronary angioplasty, athreosclerosis, disseminated intravascular coagulation, sepsis, endotoxemia (i.e., the presence of endotoxins in the blood), pulmonary embolism and deep vein thrombosis. In one embodiment, the compounds described herein are administered to a host having blood clots on the surfaces of artificial organs, shunts and prostheses (for example, artificial heart valves that are implanted into a patient), and in patients that have received an intracoronary stent. In one embodiment, a host is administered an effective amount of a compound described herein due to the formation of clots resulting from some pathological conditions (for example, genetic mutation of VWF cleaving protease, ADAMT13), which may cause spontaneous binding of VWF to platelets resulting in formation of microthrombi in blood vessels leading to thrombotic thrombocytopenic purpura and other microangiopathy. Microangiopathy is a disease of blood vessels in which the walls of very small blood vessels (capillaries) become so thick and weak that they bleed, leak protein, and slow the flow of blood. In one embodiment, the treatment is in a patient with hemolytic uremic syndrome.
In one embodiment, an active compound disclosed herein is administered in combination with an additional anti-platelet agent. Examples of anti-platelet agents include, but are not limited to, aspirin, tirofiban (Aggrastat), Aggrenox, Agrylin, triflusal (Disgren), Flolan, eptifibatide (Integrilin), dipyridamole (Presantine), cilostazol (Pletal), abciximab (ReoPro), and Terutroban. In one embodiment, a compound selected from UNC2025A, UNC2142A and UNC237A1 is administered in combination with an additional anti-platelet agent. In one embodiment, the Mer TKI and the additional anti-platelet agent act synergistically. In one embodiment, the use of a Mer TKI in combination with an additional anti-platelet agent provides for increased anti-thrombotic or anti-clotting effects without an increase in the standard of care dosage.
In one embodiment, the additional anti-platelet agent is an adenosine diphosphate (ADP) receptor inhibitor. Examples of ADP receptor inhibitors include, but are not limited to, clopidogrel (Plavix), prasugrel (Effient), ticagrelor (Brilinta), ticlopidine (Ticlid), N6-methyl-T-deoxyadenosine-3′,5′-bisphosphate (MRS2179; P2Y1 inhibitor), and 2-methylthioadenosine 5′-monophosphate triethylammonium salt (2-Me-SAMP; P2Y12 inhibitor).
In one embodiment, an active compound disclosed herein is administered in combination with multiple anti-platelet agents. In one non-limiting embodiment, an active compound disclosed herein is administered in combination with N6-methyl-2′-deoxyadenosine-3′,5′-bisphosphate and 2-methylthioadenosine 5′-monophosphate triethylammonium salt.
In one embodiment, an active compound disclosed herein is administered in combination with an anti-coagulant. In one embodiment, the anti-coagulant is a heparin composition. In one embodiment, the heparin composition is a low molecular weight heparin composition. Low molecular weight heparin compositions are well known to those of skill in the art and include, but are not limited to, tinzaparin, certoparin, pamaparin, nadroparin, ardeparin, enoxaparin, reviparin, dalteparin, and fraxiparin. Additional examples of anti-coagulants include, but are not limited to, warfarin (Coumadin), Fragmin, Hep-Lock, Lovenox, and Miradon. In one embodiment, a compound selected from UNC2025A, UNC2142A and UNC2371A is administered in combination with an anti-coagulant.
8. NANOPARTICLE COMPOSITIONS OR CARRIERS
In one aspect of the present invention, an effective amount of an active compound as described herein is incorporated into nanoparticles, e.g. for convenience of delivery and/or extended release delivery. The use of materials in nanoscale provides one the ability to modify fundamental physical properties such as solubility, diffusivity, blood circulation half-life, drug release characteristics, and immunogenicity. In the last two decades, a number of nanoparticle-based therapeutic and diagnostic agents have been developed for the treatment of cancer, diabetes, pain, asthma, allergy, and infections. These nanoscale agents can provide more effective and/or more convenient routes of administration, lower therapeutic toxicity, extend the product life cycle, and ultimately reduce health-care costs. As therapeutic delivery systems, nanoparticles allow targeted delivery and controlled release.
In addition, nanoparticle-based drug delivery can be used to release drugs at a sustained rate and thus lower the frequency of administration, deliver drugs in a target manner to minimize systemic side effects, or deliver two or more drugs simultaneously for combination therapy to generate a synergistic effect and suppress drug resistance. To date, a number of nanotechnology-based therapeutic products have been approved for clinical use. Among these products, liposomal drugs and polymer-based conjugates account for more than 80% of the products. See, Zhang, L., et al., Nanoparticles in Medicine: Therapeutic Applications and Developments, Clin. Pharm. and Ther., 83(5):761-769, 2008.
Optimal solid lipid nanoparticles (SLN) can be produced in a controlled fashion when a fraction of lipid in the crystalline alpha form can be created and preserved. By doing this, the SLN carrier has a built in trigger mechanism as lipids transform from the alpha to beta form and consequently control drug release. Drug release profiles can be modified according to the composition of the lipid matrix, surfactant concentration and production parameters. See, Muller, R. H., et al., Solid lipid nanoparticles (SLN) for controlled drug delivery—a review of the state of the art, Eur. H. Pharm. Biopharm., 50:161-177, 2000. Consien et al. have recently disclosed lipid nanoparticles having novel amino-lipids that form lipid nanoparticles and their use for the intracellular delivery of biologically active compounds, e.g., nucleic acids. See, U.S. Pat. No. 8,691,750 to Consien et al.
In regard to controlled release, Kanwar has recently disclosed alginate adsorbed chitosan adsorbed lactoferrin adsorbed calcium phosphate nanoparticles and the controlled release of lactoferrin from the nanoparticles. See, WO 2012/145801 to Kanwar. In addition, Armes et al. have recently disclosed polymer-templated core-shell nanoparticles adapted to facilitate controlled release of at least one active agent into a system in response to controlled changes in the pH of the system. See, U.S. Pat. No. 8,580,311 to Armes, S. et al. incorporated by reference herein.
Petros and DeSimone have recently reviewed strategies in the design of nanoparticles. In addition, the authors reviewed their PRINT (particle replication in non-wetting templates) technology for generating microparticles and nanoparticles. See, Petros, R. A. and DeSimone, J. M., Strategies in the design of nanoparticles for therapeutic applications, Nature Reviews/Drug Discovery, vol. 9:615-627, 2010. Importantly, the authors disclosed the production of nanoparticles in which a single parameter (shape or size) can be altered independently of all other particle attributes. The authors concluded their paper by outlining several particle characteristics that have emerged as being central to the function of engineered nanoparticles. These parameters include particle size, particle shape, surface characteristics and the ability to release therapeutics. Additional nanoparticle fabrication methods can also be found in U.S. Pat. No. 8,465,775, U.S. Pat. No. 8,444,899, U.S. Pat. No. 8,420,124, U.S. Pat. No. 8,263,129, U.S. Pat. Nos. 8,158,728 and 8,268,446 all hereby incorporated by reference.
Nanoparticles may be prepared using a wide variety of methods known in the art. For example, nanoparticles can be formed by methods as nanoprecipitation, flow focusing fluidic channels, spray drying, single and double emulsion solvent evaporation, solvent extraction, phase separation, milling, microemulsion procedures, microfabrication, nanofabrication, sacrificial layers, simple and complex coacervation, and other methods well known to those of ordinary skill in the art. Alternatively or additionally, aqueous and organic solvent syntheses for monodisperse semiconductor, conductive, magnetic, organic, and other nanomaterials have been described (Pellegrino et al., 2005, Small, 1:48; Murray et al., 2000, Ann. Rev. Mat. Sci., 30:545; and Trindade et al., 2001, Chem. Mat., 13:3843). Additional methods have been described in the literature (see, e.g., Doubrow, Ed., “Microcapsules and Nanoparticles in Medicine and Pharmacy,” CRC Press, Boca Raton, 1992; Mathiowitz et al., 1987, J. Control. Release, 5:13; Mathiowitz et al., 1987, Reactive Polymers, 6:275; and Mathiowitz et al., 1988, J. Appl. Polymer Sci., 35:755; U.S. Pat. Nos. 5,578,325 and 6,007,845; P. Paolicelli et al., “Surface-modified PLGA-based Nanoparticles that can Efficiently Associate and Deliver Virus-like Particles” Nanomedicine. 5(6):843-853 (2010)).
In some embodiments, the compounds described herein are associated with a nanoparticle, such as a polymeric nanoparticle. Nanoparticles may comprise natural polymers, including but not limited to chitosan, alginate, dextran, gelatin, and albumin, and synthetic polymers such as, but not limited to, poly(lactide-co-glycolide) (PLGA), (3-hydroxybutyrate-co-3-hydroxyvalerate) (PHBV), poly(sebacic anhydride), poly(s-caprolactone), polystyrene, thermoresponsive (i.e., NIPAAm and CMCTS-g-PDEA) and pH-responsive (i.e., Eudragit L100, Eudragit S and AQOAT AS-MG) polymers.
In one embodiment, the polymeric particle is between about 0.1 nm to about 10000 nm, between about 1 nm to about 1000 nm, between about 10 nm and 1000 nm, between about 100 nm and 800 nm, between about 400 nm and 600 nm, or about 500 nm. In one embodiment, the micro-particles are about 0.1 nm, 0.5 nm, 1.0 nm, 5.0 nm, 10 nm, 25 nm, 50 nm, 75 nm, 100 nm, 150 nm, 200 nm, 250 nm, 300 nm, 400 nm, 450 nm, 500 nm, 550 nm, 600 nm, 650 nm, 700 nm, 750 nm, 800 nm, 850 nm, 900 nm, 950 nm, 1000 nm, 1250 nm, 1500 nm, 1750 nm, or 2000 nm. In one embodiment, the compounds described herein are covalently coupled to a polystyrene particle, PLGA particle, PLA particle, or other nanoparticle.
In some embodiments, the nanoparticle can be solid or hollow and can comprise one or more layers. In some embodiments, each layer has a unique composition and unique properties relative to the other layer(s). To give but one example, the nanoparticle may have a core/shell structure, wherein the core is one layer (e.g. a polymeric core) and the shell is a second layer (e.g. a lipid bilayer or monolayer). In some embodiments, the nanoparticle may comprise a plurality of different layers. In some embodiments, the compounds described herein can be incorporated into or surrounded by one or more layers.
In some embodiments, the nanoparticles comprising the compounds described herein may optionally comprise one or more lipids. In some embodiments, a nanoparticle may comprise a liposome. In some embodiments, a nanoparticle may comprise a lipid bilayer. In some embodiments, a nanoparticle may comprise a lipid monolayer. In some embodiments, a nanoparticle may comprise a micelle. In some embodiments, a nanoparticle may comprise a core comprising a polymeric matrix surrounded by a lipid layer (e.g., lipid bilayer, lipid monolayer, etc.). In some embodiments, a nanoparticle may comprise a non-polymeric core (e.g., metal particle, quantum dot, ceramic particle, bone particle, viral particle, proteins, nucleic acids, carbohydrates, etc.) surrounded by a lipid layer (e.g., lipid bilayer, lipid monolayer, etc.).
In other embodiments, the nanoparticle may comprise metal particles, quantum dots, ceramic particles, etc. In some embodiments, a non-polymeric nanoparticle is an aggregate of non-polymeric components, such as an aggregate of metal atoms (e.g., gold atoms).
In some embodiments, nanoparticles may optionally comprise one or more amphiphilic entities. In some embodiments, an amphiphilic entity can promote the production of nanoparticles with increased stability, improved uniformity, or increased viscosity. In some embodiments, amphiphilic entities can be associated with the interior surface of a lipid membrane (e.g., lipid bilayer, lipid monolayer, etc.). Many amphiphilic entities known in the art are suitable for use in making nanoparticles useful in the present invention. Such amphiphilic entities include, but are not limited to, phosphoglycerides; phosphatidylcholines; dipalmitoyl phosphatidylcholine (DPPC); dioleylphosphatidyl ethanolamine (DOPE); dioleyloxypropyltriethylammonium (DOTMA); dioleoylphosphatidylcholine; cholesterol; cholesterol ester; diacylglycerol; diacylglycerolsuccinate; diphosphatidyl glycerol (DPPG); hexanedecanol; fatty alcohols such as polyethylene glycol (PEG); polyoxyethylene-9-lauryl ether; a surface active fatty acid, such as palmitic acid or oleic acid; fatty acids; fatty acid monoglycerides; fatty acid diglycerides; fatty acid amides; sorbitan trioleate (Span®85) glycocholate; sorbitan monolaurate (Span®20); polysorbate 20 (Tween®20); polysorbate 60 (Tween®60); polysorbate 65 (Tween®65); polysorbate 80 (Tween®80); polysorbate 85 (Tween®85); polyoxyethylene monostearate; surfactin; a poloxomer; a sorbitan fatty acid ester such as sorbitan trioleate; lecithin; lysolecithin; phosphatidylserine; phosphatidylinositol; sphingomyelin; phosphatidylethanolamine (cephalin); cardiolipin; phosphatidic acid; cerebro sides; dicetylphosphate; dipalmitoylphosphatidylglycerol; stearylamine; dodecylamine; hexadecyl-amine; acetyl palmitate; glycerol ricinoleate; hexadecyl sterate; isopropyl myristate; tyloxapol; poly(ethylene glycol)5000-phosphatidylethanolamine; poly(ethylene glycol)400-monostearate; phospholipids; synthetic and/or natural detergents having high surfactant properties; deoxycholates; cyclodextrins; chaotropic salts; ion pairing agents; and combinations thereof. An amphiphilic entity component may be a mixture of different amphiphilic entities. Those skilled in the art will recognize that this is an exemplary, not comprehensive, list of substances with surfactant activity. Any amphiphilic entity may be used in the production of nanoparticles to be used in accordance with the present invention.
In some embodiments, a nanoparticle may optionally comprise one or more carbohydrates. Carbohydrates may be natural or synthetic. A carbohydrate may be a derivatized natural carbohydrate. In certain embodiments, a carbohydrate comprises monosaccharide or disaccharide, including but not limited to glucose, fructose, galactose, ribose, lactose, sucrose, maltose, trehalose, cellbiose, mannose, xylose, arabinose, glucoronic acid, galactoronic acid, mannuronic acid, glucosamine, galatosamine, and neuramic acid. In certain embodiments, a carbohydrate is a polysaccharide, including but not limited to pullulan, cellulose, microcrystalline cellulose, hydroxypropyl methylcellulose (HPMC), hydroxycellulose (HC), methylcellulose (MC), dextran, cyclodextran, glycogen, hydroxyethylstarch, carageenan, glycon, amylose, chitosan, N,O-carboxylmethylchitosan, algin and alginic acid, starch, chitin, inulin, konjac, glucommannan, pustulan, heparin, hyaluronic acid, curdlan, and xanthan. In some embodiments, the nanoparticle does not comprise (or specifically exclude) carbohydrates, such as a polysaccharide. In certain embodiments, the carbohydrate may comprise a carbohydrate derivative such as a sugar alcohol, including but not limited to mannitol, sorbitol, xylitol, erythritol, maltitol, and lactitol.
In some embodiments, the associated nanoparticle can comprise one or more polymers. In some embodiments, the nanoparticle comprises one or more polymers that are a non-methoxy-terminated, pluronic polymer. In some embodiments, at least 1%, 2%, 3%, 4%, 5%, 10%, 15%, 20%, 25%, 30%, 35%, 40%, 45%, 50%, 55%, 60%, 65%, 70%, 75%, 80%, 85%, 90%, 95%, 97%, or 99% (weight/weight) of the polymers that make up the nanoparticles are non-methoxy-terminated, pluronic polymers. In some embodiments, all of the polymers that make up the nanoparticle are non-methoxy-terminated, pluronic polymers. In some embodiments, the nanoparticle comprises one or more polymers that are a non-methoxy-terminated polymer. In some embodiments, at least 1%, 2%, 3%, 4%, 5%, 10%, 15%, 20%, 25%, 30%, 35%, 40%, 45%, 50%, 55%, 60%, 65%, 70%, 75%, 80%, 85%, 90%, 95%, 97%, or 99% (weight/weight) of the polymers that make up the nanoparticles are non-methoxy-terminated polymers. In some embodiments, all of the polymers that make up the nanoparticle are non-methoxy-terminated polymers. In some embodiments, the nanoparticle comprises one or more polymers that do not comprise pluronic polymer. In some embodiments, at least 1%, 2%, 3%, 4%, 5%, 10%, 15%, 20%, 25%, 30%, 35%, 40%, 45%, 50%, 55%, 60%, 65%, 70%, 75%, 80%, 85%, 90%, 95%, 97%, or 99% (weight/weight) of the polymers that make up the nanoparticle do not comprise pluronic polymer. In some embodiments, all of the polymers that make up the nanoparticles do not comprise pluronic polymer. In some embodiments, such a polymer can be surrounded by a coating layer (e.g., liposome, lipid monolayer, micelle, etc.). In some embodiments, various elements of the nanoparticle can be coupled with the polymer.
Other examples of polymers include, but are not limited to polyethylenes, polycarbonates (e.g. poly(1,3-dioxan-Zone)), polyanhydrides (e.g. poly(sebacic anhydride)), polypropylfumerates, polyamides (e.g. polycaprolactam), polyacetals, polyethers, polyesters (e.g., polylactide, polyglycolide, polylactide-co-glycolide, polycaprolactone, polyhydroxyacid (e.g. poly((β-hydroxyalkanoate))), poly(orthoesters), polycyanoacrylates, polyvinyl alcohols, polyurethanes, polyphosphazenes, polyacrylates, polymethacrylates, polyureas, polystyrenes, and polyamines, polylysine, polylysine-PEG copolymers, and poly(ethyleneimine), poly(ethylene imine)-PEG copolymers.
In some embodiments, nanoparticles include polymers which have been approved for use in humans by the U.S. Food and Drug Administration (FDA) under 21 C.F.R. §177.2600, including but not limited to polyesters (e.g., polylactic acid, poly(lactic-co-glycolic acid), polycaprolactone, polyvalerolactone, poly(1,3-dioxan-2one)); polyanhydrides (e.g., poly(sebacic anhydride)); polyethers (e.g., polyethylene glycol); polyurethanes; polymethacrylates; polyacrylates; and polycyanoacrylates.
In some embodiments, polymers can be hydrophilic. For example, polymers may comprise anionic groups (e.g., phosphate group, sulphate group, carboxylate group); cationic groups (e.g., quaternary amine group); or polar groups (e.g., hydroxyl group, thiol group, amine group). In some embodiments, a nanoparticles comprising a hydrophilic polymeric matrix generates a hydrophilic environment within the nanoparticle. In some embodiments, polymers can be hydrophobic. In some embodiments, a nanoparticles comprising a hydrophobic polymeric matrix generates a hydrophobic environment within the nanoparticle. Selection of the hydrophilicity or hydrophobicity of the polymer may have an impact on the nature of materials that are incorporated (e.g., coupled) within the nanoparticle.
In some embodiments, polymers may be modified with one or more moieties and/or functional groups. A variety of moieties or functional groups can be used in accordance with the present invention. In some embodiments, polymers may be modified with polyethylene glycol (PEG), with a carbohydrate, and/or with acyclic polyacetals derived from polysaccharides (Papisov, 2001, ACS Symposium Series, 786:301). Certain embodiments may be made using the general teachings of U.S. Pat. No. 5,543,158 to Gref et al., or WO publication WO2009/051837 by Von Andrian et al.
In some embodiments, polymers may be modified with a lipid or fatty acid group. In some embodiments, a fatty acid group may be one or more of butyric, caproic, caprylic, capric, lauric, myristic, palmitic, stearic, arachidic, behenic, or lignoceric acid. In some embodiments, a fatty acid group may be one or more of palmitoleic, oleic, vaccenic, linoleic, alpha-linoleic, gamma-linoleic, arachidonic, gadoleic, arachidonic, eicosapentaenoic, docosahexaenoic, or erucic acid.
In some embodiments, polymers may be one or more acrylic polymers. In certain embodiments, acrylic polymers include, for example, acrylic acid and methacrylic acid copolymers, methyl methacrylate copolymers, ethoxyethyl methacrylates, cyanoethyl methacrylate, aminoalkyl methacrylate copolymer, poly(acrylic acid), poly(methacrylic acid), methacrylic acid alkylamide copolymer, poly(methyl methacrylate), poly(methacrylic acid anhydride), methyl methacrylate, polymethacrylate, poly(methyl methacrylate) copolymer, polyacrylamide, aminoalkyl methacrylate copolymer, glycidyl methacrylate copolymers, polycyanoacrylates, and combinations comprising one or more of the foregoing polymers. The acrylic polymer may comprise fully-polymerized copolymers of acrylic and methacrylic acid esters with a low content of quaternary ammonium groups.
In some embodiments, polymers can be cationic polymers. In general, cationic polymers are able to condense and/or protect negatively charged strands of nucleic acids (e.g. DNA, or derivatives thereof). Amine-containing polymers such as poly(lysine) (Zauner et al., 1998, Adv. Drug Del. Rev., 30:97; and Kabanov et al., 1995, Bioconjugate Chem., 6:7), poly(ethylene imine) (PEI; Boussif et al., 1995, Proc. Natl. Acad. Sci., USA, 1995, 92:7297), and poly(amidoamine) dendrimers (Kukowska-Latallo et al., 1996, Proc. Natl. Acad. Sci., USA, 93:4897; Tang et al., 1996, Bioconjugate Chem., 7:703; and Haensler et al., 1993, Bioconjugate Chem., 4:372) are positively-charged at physiological pH, form ion pairs with nucleic acids, and mediate transfection in a variety of cell lines. In embodiments, the nanoparticles may not comprise (or may exclude) cationic polymers.
In some embodiments, polymers can be degradable polyesters bearing cationic side chains (Putnam et al., 1999, Macromolecules, 32:3658; Barrera et al., 1993, J. Am. Chem. Soc., 115:11010; Kwon et al., 1989, Macromolecules, 22:3250; Lim et al., 1999, J. Am. Chem. Soc., 121:5633; and Zhou et al., 1990, Macromolecules, 23:3399). Examples of these polyesters include poly(L-lactide-co-L-lysine) (Barrera et al., 1993, J. Am. Chem. Soc., 115:11010), poly(serine ester) (Zhou et al., 1990, Macromolecules, 23:3399), poly(4-hydroxy-L-proline ester) (Putnam et al., 1999, Macromolecules, 32:3658; and Lim et al., 1999, J. Am. Chem. Soc., 121:5633), and poly(4-hydroxy-L-proline ester) (Putnam et al., 1999, Macromolecules, 32:3658; and Lim et al., 1999, J. Am. Chem. Soc., 121:5633).
The properties of these and other polymers and methods for preparing them are well known in the art (see, for example, U.S. Pat. Nos. 6,123,727; 5,804,178; 5,770,417; 5,736,372; 5,716,404; 6,095,148; 5,837,752; 5,902,599; 5,696,175; 5,514,378; 5,512,600; 5,399,665; 5,019,379; 5,010,167; 4,806,621; 4,638,045; and 4,946,929; Wang et al., 2001, J. Am. Chem. Soc., 123:9480; Lim et al., 2001, J. Am. Chem. Soc., 123:2460; Langer, 2000, Acc. Chem. Res., 33:94; Langer, 1999, J. Control. Release, 62:7; and Uhrich et al., 1999, Chem. Rev., 99:3181). More generally, a variety of methods for synthesizing certain suitable polymers are described in Concise Encyclopedia of Polymer Science and Polymeric Amines and Ammonium Salts, Ed. by Goethals, Pergamon Press, 1980; Principles of Polymerization by Odian, John Wiley & Sons, Fourth Edition, 2004; Contemporary Polymer Chemistry by Allcock et al., Prentice-Hall, 1981; Deming et al., 1997, Nature, 390:386; and in U.S. Pat. Nos. 6,506,577, 6,632,922, 6,686,446, and 6,818,732.
Polymers can be linear or branched polymers. In some embodiments, polymers can be dendrimers. In some embodiments, polymers can be substantially cross-linked to one another. In some embodiments, polymers can be substantially free of cross-links. In some embodiments, polymers can be used without undergoing a cross-linking step. It is further to be understood that a nanoparticle may comprise block copolymers, graft copolymers, blends, mixtures, and/or adducts of any of the foregoing and other polymers. Those skilled in the art will recognize that the polymers listed herein represent an exemplary, not comprehensive, list of polymers that can be of use in accordance with the present invention.
The compounds of the present invention can be coupled to a nanoparticle by any of a number of methods. Generally, the coupling can be a result of bonding between the compound and the nanoparticle. This bonding can result in the compound being attached to the surface of the nanoparticle and/or contained within (encapsulated) the nanoparticle. In some embodiments, however, the compounds are encapsulated by the nanoparticle as a result of the structure of the nanoparticle rather than bonding to the nanoparticle. In some embodiments, the nanoparticle comprises a polymer as provided herein, and the compounds described herein are coupled to the nanoparticle. The compounds described herein may be encapsulated into nanoparticles as desirable using a variety of methods including but not limited to C. Astete et al., “Synthesis and characterization of PLGA nanoparticles” J. Biomater. Sci. Polymer Edn, Vol. 17, No. 3, pp. 247-289 (2006); K. Avgoustakis “Pegylated Poly(Lactide) and Poly(Lactide-Co-Glycolide) Nanoparticles: Preparation, Properties and Possible Applications in Drug Delivery” Current Drug Delivery 1:321-333 (2004); C. Reis et al., “Nanoencapsulation I. Methods for preparation of drug-loaded polymeric nanoparticles” Nanomedicine 2:8-21 (2006); P. Paolicelli et al., “Surface-modified PLGA-based Nanoparticles that can Efficiently Associate and Deliver Virus-like Particles” Nanomedicine. 5(6):843-853 (2010). Other methods suitable for encapsulating the compounds described herein may be used, including without limitation methods disclosed in U.S. Pat. No. 6,632,671 to Unger Oct. 14, 2003.
In certain embodiments, nanoparticles are prepared by a nanoprecipitation process or spray drying. Conditions used in preparing nanoparticles may be altered to yield particles of a desired size or property (e.g., hydrophobicity, hydrophilicity, external morphology, “stickiness,” shape, etc.). The method of preparing the nanoparticles and the conditions (e.g., solvent, temperature, concentration, air flow rate, etc.) used may depend on the materials to be coupled to the nanoparticles and/or the composition of the polymer matrix. If particles prepared by any of the above methods have a size range outside of the desired range, particles can be sized, for example, using a sieve.
In one embodiment of the present invention, PRINT technology is used to manufacture nanoparticles comprising a compound described herein.
In another embodiment, provided herein are liposome based nanoparticles comprising a compound described herein. In another embodiment, a liposome based nanoparticle comprises a compound described herein formulated for controlled-release.
In one embodiment, provided herein are polymer based nanoparticles comprising a compound described herein. In another embodiment, provided herein are polymer based nanoparticles comprising a compound described herein formulated for controlled-release.
In one embodiment, nanoparticles are comprised of albumin and a compound described herein. In another embodiment, nanoparticles are comprised of a polysaccharide and a compound described herein. In one embodiment, nanoparticles are comprised of a metal and a compound described herein. In another embodiment, nanoparticles are comprised of gold and a compound described herein. In another embodiment, nanoparticles are comprised of iron oxide and a compound described herein. In one embodiment, nanoparticles are comprised of silicon and a compound described herein.
In regard to polymers used for the production of nanoparticles, several reviews are available. See, for example, Soppimath, K. S., et al., Biodegradable polymeric nanoparticles as drug delivery devices, J. Controlled Release, 70:1-20, 2001, Agnihotri, S. A., et al., Recent advances on chitosan-based micro- and nanoparticle delivery, J. Controlled Release, 100(1):5-28, 2004, Ganta, S, et al., A review of stimuli-responsive nanocarriers for drug and gene delivery, J. Controlled Release, 126(3):187-204, 2008, Danhier, F. et al., PLGA-based nanoparticles: An overview of biomedical applications, J. Controlled Release, 161(2):505-522, 2012,
In one embodiment, nanoparticles are comprised of L-glutamic acid copolymers and a compound described herein. In another embodiment, nanoparticles are comprised of L-alanine copolymers and a compound described herein. In one embodiment, nanoparticles are comprised of L-lysine copolymers and a compound described herein. In another embodiment, nanoparticles are comprised of L-tyrosine copolymers and a compound described herein. In other embodiment, nanoparticles are comprised of poly(lactic-co-glycolic acid) and a compound described herein. In another embodiment, nanoparticles are comprised of methoxy-PEG-poly(D,L-lactide) and a compound described herein. In another embodiment, nanoparticles are comprised of HPMA copolymer and a compound described herein. In one embodiment, nanoparticles are comprised of polycyclodextran and a compound described herein. In one embodiment, nanoparticles are comprised of polyglutamate and a compound described herein. In another embodiment, nanoparticles are comprised of poly(iso-hexyl-cyanoacrylate) and a compound described herein. In one embodiment, nanoparticles are comprised of poly-L-lysine and a compound described herein. In another embodiment, nanoparticles are comprised of PEG and a compound described herein. In one embodiment, nanoparticles are made of combinations of polymers and a compound described herein.
In one embodiment, a compounds described herein is released from a nanoparticle over a period of between about 1 and about 90 days. In one embodiment, the compound is released over a period of about 3 to 28 days. In one embodiment, the compound is released over a period of about 5 to 21 days.
EXAMPLES
The present invention is explained in greater detail in the following non-limiting Examples.
Example 1 Syntheses of Active Compounds General Schemes
Scheme 1 illustrates a general procedure for preparing a compound of the present invention. Structure 1-1 can be prepared by alkylating a desired 7H-pyrrolo[2,3-d]pyrimidine with a desired R2-LG3, LG3 is a leaving group, compound according to methods known in the art. The R2 moiety can be protected and deprotected by one skilled in the art to generate compounds of Formula I. See, for example, Greene, T. W. and Wuts, P. G. M., Protective Groups in Organic Synthesis, 2th Ed., New York, John Wiley and Sons, Inc., 1991. For example, Structure 1-1 can be prepared by treating a desired 7H-pyrrolo[2,3-d]pyrimidine with a desired alkyl halide, for example, tert-butyl trans-4-(iodomethyl)cyclohexylcarbamate in the presence of a base, for example, potassium carbonate in the presence of organic solvent(s), for example dimethyl sulfoxide and tetrahydrofuran optionally in a microwave apparatus optionally at an elevated temperature. In one embodiment, X′ is nitrogen and X is C. In one embodiment, LG1 is a leaving group. In one embodiment, LG1 is chloride. In one embodiment, LG2 is a leaving group. In one embodiment, LG2 is bromide. Structure 1-2 can be prepared by aminating a desired 7H-pyrrolo[2,3-d]pyrimidine, Structure 1-1, with a desired amine in an organic solvent(s), for example, dimethyl sulfoxide and tetrahydrofuran, in the presence of a base, for example, potassium carbonate optionally at an elevated temperature in a sealed tube. Structure 1-3 can be prepared by treating a desired 7H-pyrrolo[2,3-d]pyrimidine with a desired R1-LG4 compound according to methods known in the art. For example, Structure 1-3 can be prepared by treating Structure 1-2 with a desired boronic acid, an organometallic reagent, a base and a mixture of solvents optionally in a microwave apparatus optionally at an elevated temperature of about 120° C. In one embodiment, the boronic acid is 4-fluorophenylboronic acid. In one embodiment, the organometallic reagent is tetrakis(triphenylphosphine)palladium. In one embodiment, the base is potassium carbonate. In one embodiment, the mixture of solvents comprises dioxane and water. A compound of Formula I can be prepared by treating Structure 1-3 with an acid and an organic solvent. In one embodiment, the acid is trifluoroacetic acid. In one embodiment, the organic solvent is dichloromethane. This chemistry is illustrated in Scheme 1.
Figure US09555031-20170131-C00022
Scheme 2 illustrates a general procedure for preparing a compound of the present invention. Structure 2-1 can be prepared by alkylating a desired 7H-pyrrolo[2,3-d]pyrimidine with a desired R12-LG3, LG3 is a leaving group, compound according to methods known in the art. The R12 moiety can be protected and deprotected by one skilled in the art to generate compounds of Formula II. See, for example, Greene, T. W. and Wuts, P. G. M., Protective Groups in Organic Synthesis, 2th Ed., New York, John Wiley and Sons, Inc., 1991. For example, Structure 2-1 can be prepared by treating a desired 7H-pyrrolo[2,3-d]pyrimidine with a desired alkyl halide, for example, tert-butyl trans-4-(iodomethyl)cyclohexylcarbamate in the presence of a base, for example, potassium carbonate in the presence of organic solvent(s), for example dimethyl sulfoxide and tetrahydrofuran optionally in a microwave apparatus optionally at an elevated temperature. In one embodiment, X′ is nitrogen and X is C. In one embodiment, LG1 is a leaving group. In one embodiment, LG1 is chloride. In one embodiment, LG2 is a leaving group. In one embodiment, LG2 is bromide. Structure 2-2 can be prepared by aminating a desired 7H-pyrrolo[2,3-d]pyrimidine, Structure 2-1, with a desired amine in an organic solvent(s), for example, dimethyl sulfoxide and tetrahydrofuran, in the presence of a base, for example, potassium carbonate optionally at an elevated temperature in a sealed tube. Structure 2-3 can be prepared by treating a desired 7H-pyrrolo[2,3-d]pyrimidine with a desired R11-LG4 compound according to methods known in the art. For example, Structure 2-3 can be prepared by treating Structure 2-2 with a desired boronic acid, an organometallic reagent, a base and a mixture of solvents optionally in a microwave apparatus optionally at an elevated temperature of about 120° C. In one embodiment, the boronic acid is 4-fluorophenylboronic acid. In one embodiment, the organometallic reagent is tetrakis(triphenylphosphine)palladium. In one embodiment, the base is potassium carbonate. In one embodiment, the mixture of solvents comprises dioxane and water. A compound of Formula II can be prepared by treating Structure 2-3 with an acid and an organic solvent. In one embodiment, the acid is trifluoroacetic acid. In one embodiment, the organic solvent is dichloromethane. This chemistry is illustrated in Scheme 2.
Figure US09555031-20170131-C00023
Scheme 3 illustrates a general procedure for preparing a compound of the present invention. Structure 3-1 can be prepared by alkylating a desired 7H-pyrrolo[2,3-d]pyrimidine with a desired R2-LG3 compound according to methods known in the art. The R2 moiety can be protected and deprotected by one skilled in the art to generate compounds of Formula I. See, for example, Greene, T. W. and Wuts, P. G. M., Protective Groups in Organic Synthesis, 2th 2 Ed., New York, John Wiley and Sons, Inc., 1991. For example, Structure 3-1 can be prepared by treating a desired 7H-pyrrolo[2,3-d]pyrimidine with a desired alcohol, for example, cis-4-(tert-butyldimethylsilyloxy)cyclohexanol in the presence of a phosphorane, for example, (cyanomethylene)trimethylphosphorane in the presence of organic solvent(s), for example toluene and tetrahydrofuran. In one embodiment, X′ is nitrogen and X is C. In one embodiment, LG1 is a leaving group. In one embodiment, LG1 is chloride. In one embodiment, LG2 is a leaving group. In one embodiment, LG2 is bromide. Structure 3-2 can be prepared by aminating a desired 7H-pyrrolo[2,3-d]pyrimidine, Structure 3-1, with a desired amine in an organic solvent, for example, 2-propanol, optionally at an elevated temperature in a microwave apparatus. Structure 3-3 can be prepared by treating a desired 7H-pyrrolo[2,3-d]pyrimidine with a desired R1-LG4 compound according to methods known in the art. For example, Structure 3-3 can be prepared by treating Structure 3-2 with a desired boronic acid, an organometallic reagent, a base and a mixture of solvents optionally in a microwave apparatus optionally at an elevated temperature of about 150° C. In one embodiment, the boronic acid is (4-fluorophenyl)boronic acid. In one embodiment, the organometallic reagent is Pd(PPh3)4. In one embodiment, the base is potassium carbonate. In one embodiment, the mixture of solvents comprises tetrahydrofuran and water. A compound of Formula I can be prepared by treating Structure 3-3 with an acid and an organic solvent. In one embodiment, the acid is 1% concentrated hydrochloric acid. In one embodiment, the organic solvent is methanol. This chemistry is illustrated in Scheme 3.
Figure US09555031-20170131-C00024
Scheme 4 illustrates a general procedure for preparing a compound of the present invention. Structure 4-1 can be prepared by alkylating a desired 7H-pyrrolo[2,3-d]pyrimidine with a desired R12-LG3, LG3 is a leaving group, compound according to methods known in the art. The R12 moiety can be protected and deprotected by one skilled in the art to generate compounds of Formula II. See, for example, Greene, T. W. and Wuts, P. G. M., Protective Groups in Organic Synthesis, 2th Ed., New York, John Wiley and Sons, Inc., 1991. For example, Structure 4-1 can be prepared by treating a desired 7H-pyrrolo[2,3-d]pyrimidine with a desired alcohol, for example, cis-4-(tert-butyldimethylsilyloxy)cyclohexanol in the presence of a phosphorane, for example, (cyanomethylene)trimethylphosphorane in the presence of organic solvent(s), for example toluene and tetrahydrofuran. In one embodiment, X′ is nitrogen and X is C. In one embodiment, LG1 is a leaving group. In one embodiment, LG1 is chloride. In one embodiment, LG2 is a leaving group. In one embodiment, LG2 is bromide. Structure 4-2 can be prepared by aminating a desired 7H-pyrrolo[2,3-d]pyrimidine, Structure 4-1, with a desired amine in an organic solvent, for example, 2-propanol, optionally at an elevated temperature in a microwave apparatus. Structure 4-3 can be prepared by treating a desired 7H-pyrrolo[2,3-d]pyrimidine with a desired R11-LG4 compound according to methods known in the art. LG4 is a leaving group. For example, Structure 4-3 can be prepared by treating Structure 4-2 with a desired boronic acid, an organometallic reagent, a base and a mixture of solvents optionally in a microwave apparatus optionally at an elevated temperature of about 150° C. In one embodiment, the boronic acid is (4-fluorophenyl)boronic acid. In one embodiment, the organometallic reagent is Pd(PPh3)4. In one embodiment, the base is potassium carbonate. In one embodiment, the mixture of solvents comprises tetrahydrofuran and water. A compound of Formula II can be prepared by treating Structure 4-3 with an acid and an organic solvent. In one embodiment, the acid is 1% concentrated hydrochloric acid. In one embodiment, the organic solvent is methanol. This chemistry is illustrated in Scheme 4.
Figure US09555031-20170131-C00025
Compounds of Formula I or Formula II can be metabolized to generate pyrrolopyrimidine compounds. In one embodiment, a compound of Formula I or Formula II can be dealkylated. For example, a compound of Formula I can be dealkylated at R3 to generate R3 ═NH2. In one embodiment, a compound of Formula II can be dealkylated. For example, a compound of Formula II can be dealkylated at R13 to generate R13═NH2. In one embodiment, a compound of Formula I comprising a methylated amine can be demethylated. In another embodiment, a compound of Formula II comprising a methylated amine can be demethylated. In one embodiment, a compound of Formula I or Formula II can be oxidized. For example, a compound of Formula I or Formula II comprising a piperazine group can be oxidized to generate a piperazine N-oxide. In another embodiment, a compound of Formula I or Formula II comprising a piperazine group can be oxidized twice to generate a piperazine bis-N-oxide. In another embodiment, a compound of Formula I or Formula II can be oxidized to generate a pyrrolopyrimidine N-oxide. The metabolic pathways described above are illustrated below, in Scheme 5, with the example compound UNC2371A.
Figure US09555031-20170131-C00026
Example 2 7-((Trans-4-aminocyclohexyl)methyl)-N-butyl-5-(4-fluorophenyl)-7H-pyrrolo[2,3-d]pyrimidin-2-amine General Procedure A
Figure US09555031-20170131-C00027
Tert-Butyl trans-4-((5-bromo-2-(butylamino)-7H-pyrrolo[2,3-d]pyrimidin-7-yl)methyl)cyclohexylcarbamate
Figure US09555031-20170131-C00028
A 10 mL microwave tube was charged with 5-bromo-2-chloro-7H-pyrrolo[2,3-d]pyrimidine (0.23 g, 1.0 mmol), tert-butyl trans-4-(iodomethyl)cyclohexylcarbamate (0.51 g, 1.5 mmol), K2CO3 (0.28 g, 2.0 mmol), DMSO (1.5 mL) and THF (3 mL). The mixture was heated at 150° C. for 100 min in microwave. After the reaction mixture was cooled to ambient temperature, n-butylamine (0.18 g, 2.5 mmol) was added. The mixture was heated at 150° C. for 90 min in microwave. After cooling to ambient temperature, the reaction was poured into water and extracted with EtOAc (3×). The combined organic layer was dried (Na2SO4) and concentrated. The crude mixture was purified by Isco to provide tert-butyl trans-4-((5-bromo-2-(butylamino)-7H-pyrrolo[2,3-d]pyrimidin-7-yl)methyl)cyclohexylcarbamate (0.35 g, 73%) as a white solid. MS m/z 480.2 [M+H]+.
7-((Trans-4-aminocyclohexyl)methyl)-N-butyl-5-(4-fluorophenyl)-7H-pyrrolo[2,3-d]pyrimidin-2-amine
Figure US09555031-20170131-C00029
A 10 mL microwave tube was charged with tert-butyl trans-4-((5-bromo-2-(butylamino)-7H-pyrrolo[2,3-d]pyrimidin-7-yl)methyl)cyclohexylcarbamate (0.096 g, 0.20 mmol), 4-fluorophenylboronic acid (0.042 g, 0.30 mmol), potassium carbonate (0.055 g, 0.40 mmol), tetrakis(triphenylphosphine)palladium (0.024 g, 0.020 mmol), dioxane (2 mL) and water (0.50 mL). The reaction was heat at 120° C. for 10 min in microwave. The reaction was diluted with EtOAc and washed with water. The aqueous layer was extracted with EtOAc (3×). The combined organic layers were dried (Na2SO4), concentrated, and purified by Isco to provide tert-butyl trans-4-((2-(butylamino)-5-(4-fluorophenyl)-7H-pyrrolo[2,3-d]pyrimidin-7-yl)methyl)cyclohexylcarbamate. This intermediate was dissolved in CH2Cl2 (2 mL). Trifluoroacetic acid (0.6 mL) was added at ambient temperature. After stirring for 2 h, the solvent was evaporated. The residue was purified by preparative HPLC to provide 7-((trans-4-aminocyclohexyl)methyl)-N-butyl-5-(4-fluorophenyl)-7H-pyrrolo[2,3-d]pyrimidin-2-amine (UNC1537A) as a yellow solid (TFA salt) (UNC1537A) (0.032 g, 41%). 1H NMR (400 MHz, CD3OD) δ 8.76 (s, 1H), 7.67 (s, 1H), 7.67-7.61 (m, 2H), 7.21 (t, J=8.5 Hz, 2H), 4.10 (d, J=7.0 Hz, 2H), 3.54 (t, J=7.1 Hz, 2H), 3.16-3.01 (m, 1H), 2.07 (d, J=10.3 Hz, 2H), 2.04-1.92 (m, 1H), 1.85 (d, J=12.2 Hz, 2H), 1.76-1.65 (m, 2H), 1.54-1.44 (m, 2H), 1.44-1.34 (m, 2H), 1.34-1.20 (m, 2H), 1.01 (t, J=7.4 Hz, 3H); MS m/z 396.3 [M+H]+.
Table 1 describes compounds prepared following procedures described in Example 2 (General Procedure A),
using appropriate reagents.
Physical Data
MS m/z (M + 1) or/and
Structure Compound_ID Mer IC50 1H NMR (400 MHz, CD3OD)
1
Figure US09555031-20170131-C00030
UNC1532A ++++ 1H NMR (400 MHz, CD3OD) δ 8.73 (s, 1H), 7.59 (s, 1H), 7.56 (d, J = 8.7 Hz, 2H), 7.16-7.07 (m, 2H), 4.09 (d, J = 7.0 Hz, 2H), 3.92-3.83 (m, 4H), 3.54 (t, J = 7.1 Hz, 2H), 3.28-3.21 (m, 4H), 3.14-3.02 (m, 1H), 2.07 (d, J = 10.0 Hz, 2H), 2.03-1.92 (m, 1H), 1.84 (d, J = 11.9 Hz, 2H), 1.75-1.65 (m, 2H), 1.55- 1.44 (m, 2H), 1.44-1.34 (m, 2H), 1.34-1.21 (m, 2H), 1.01 (t, J = 7.4 Hz, 3H); MS m/z 463.3 [M + 1]+.
2
Figure US09555031-20170131-C00031
UNC1533A ++++ 1H NMR (400 MHz, CD3OD) δ 8.74 (s, 1H), 7.60 (s, 1H), 7.58 (d, J = 8.8 Hz, 2H), 7.13 (d, J = 8.8 Hz, 2H), 4.09 (d, J = 7.0 Hz, 2H), 3.54 (t, J = 7.1 Hz, 2H), 3.51-3.44 (m, 4H), 3.43-3.37 (m, 4H), 3.13-3.02 (m, 1H), 2.07 (d, J = 9.9 Hz, 2H), 2.03-1.94 (m, 1H), 1.84 (d, J = 12.3 Hz, 2H), 1.76- 1.65 (m, 2H), 1.54-1.44 (m, 2H), 1.44-1.34 (m, 2H), 1.34-1.20 (m, 2H), 1.01 (t, J = 7.4 Hz, 3H); MS m/z 462.3 [M + 1]+.
3
Figure US09555031-20170131-C00032
UNC1534A ++++ 1H NMR (400 MHz, CD3OD) δ 8.90 (s, 1H), 7.98-7.85 (m, 5H), 4.14 (d, J = 7.0 Hz, 2H), 4.08-3.72 (bs, 2H), 3.69-3.42 (bs, 2H), 3.56 (t, J = 7.1 Hz, 2H), 3.31-3.15 (bs, 2H), 3.15-3.01 (m, 1H), 2.90 (s, 3H), 2.89-2.59 (bs, 2H), 2.08 (d, J = 10.0 Hz, 2H), 2.04- 1.94 (m, 1H), 1.85 (d, J = 12.0 Hz, 2H), 1.77-1.66 (m, 2H), 1.55-1.45 (m, 2H), 1.45-1.35 (m, 2H), 1.35-1.21 (m, 2H), 1.02 (t, J = 7.4 Hz,
3H); MS m/z 540.3 [M + 1]+.
4
Figure US09555031-20170131-C00033
UNC1535A ++++ 1H NMR (400 MHz, CD3OD) δ 8.86 (s, 1H), 7.98 (d, J = 8.5 Hz, 2H), 7.86 (s, 1H), 7.83 (d, J = 8.5 Hz, 2H), 4.12 (d, J = 7.0 Hz, 2H), 3.54 (t, J = 7.1 Hz, 2H), 3.16-3.01 (m, 1H), 2.08 (d, J = 10.3 Hz, 2H), 2.04-1.93 (m, 1H), 1.85 (d, J = 12.0 Hz, 2H), 1.77-1.65 (m, 2H), 1.55-1.44 (m, 2H), 1.43-1.34 (m, 2H), 1.34-1.20 (m, 2H), 1.01 (t, J = 7.4 Hz, 3H); MS m/z 457.3 [M + 1]+.
5
Figure US09555031-20170131-C00034
UNC1536A ++++ 1H NMR (400 MHz, CD3OD) δ 8.92 (s, 1H), 7.98 (s, 1H), 7.83(t, J = 7.9 Hz, 1H), 7.68- 7.65 (m, 1H), 7.64 (s, 1H), 4.12 (d, J = 7.0 Hz, 2H), 3.76-3.65 (m, 4H), 3.55 (t, J = 7.1 Hz, 2H), 3.20-3.11 (m, 4H), 3.11-3.02 (m, 1H), 2.07 (d, J = 10.5 Hz, 2H), 2.04- 1.94 (m, 1H), 1.86 (d, J = 11.9 Hz, 2H), 1.76-1.65 (m, 2H), 1.55-1.44 (m, 2H), 1.44-1.35 (m, 2H), 1.34-1.21 (m, 2H), 1.01 (t, J = 7.4 Hz,
3H); MS m/z 545.3 [M + 1]+.
(Note: MerTK IC50: ++++ means < 10 nM; +++ means between 10-100 nM, ++ means between 100 nM-1 μM; + means between 1-30 μM; − means inactive.)
Example 3 Trans-4-(2-(Butylamino)-5-(4-fluorophenyl)-7H-pyrrolo[2,3-d]pyrimidin-7-yl)cyclohexanol General Procedure B
Figure US09555031-20170131-C00035
5-Bromo-7-(trans-4-((tert-butyldimethylsilyl)oxy)cyclohexyl)-2-chloro-7H-pyrrolo[2,3-d]pyrimidine
Figure US09555031-20170131-C00036
To a suspension of 5-bromo-2-chloro-7H-pyrrolo[2,3-d]pyrimidine (0.13 g, 0.50 mmol) and cis-4-(tert-butyldimethylsilyloxy)cyclohexanol (0.23 g, 1.0 mmol) in toluene (8 mL) was added (cyanomethylene)trimethylphosphorane (CMMP; prepared according to Chem. Pharm. Bull. 2003, 51(4), 474-476.) (6.3 mL, 0.16 M in THF, 1.0 mmol). The resulting clear solution was refluxed for 16 h. The reaction mixture was washed with brine, and extracted with EtOAc (3×). The combined organic layer was dried (Na2SO4) and concentrated. The residue was purified on ISCO to provide the desired product (0.16 g, 72%). 1H NMR (400 MHz, CD3OD) δ 8.71 (s, 1H), 7.27 (s, 1H), 4.70 (tt, J=12.2, 3.9 Hz, 1H), 3.69 (tt, J=10.5, 4.2 Hz, 1H), 2.09-1.99 (m, 3H), 1.86-1.71 (m, 2H), 1.66-1.54 (m, 3H), 0.90 (s, 9H), 0.08 (s, 6H). MS m/z 444.2 [M+H]+.
Trans-4-(2-(butylamino)-5-(4-fluorophenyl)-7H-pyrrolo[2,3-d]pyrimidin-7-yl)cyclohexanol
Figure US09555031-20170131-C00037
To a solution of 5-bromo-7-(trans-4-(tert-butyldimethylsilyloxy)cyclohexyl)-2-chloro-7H-pyrrolo[2,3-d]pyrimidine (0.082 g, 0.18 mmol) in isopropyl alcohol (2.0 mL) was added n-butylamine (0.033 g, 0.45 mmol) in a microwave tube. The resulting mixture was heated under microwave irradiation at 150° C. for 1.5 h. After the reaction cooled to room temperature, the solvent and excess amine was evaporated under vacuum. The residue was dissolved in THF and concentrated under vacuum (3×). Then it was dissolved in THF (2.0 mL) in a microwave tube. To this solution was added K2CO3 (0.050 g, 0.36 mmol), Pd(PPh3)4 (0.021 g, 0.018 mmol), (4-fluorophenyl)boronic acid (0.038 g, 0.27 mmol), and H2O (0.5 mL). The resulting mixture was heated under microwave irradiation at 150° C. for 10 min. After cooled to room temperature, it was washed with brine and extracted with EtOAc (5×). The combined organic layer was dried (Na2SO4) and concentrated. The residue was filtered through a short column of silica gel to provide N-butyl-7-(trans-4-((tert-butyldimethylsilyl)oxy)cyclohexyl)-5-(4-fluorophenyl)-7H-pyrrolo[2,3-d]pyrimidin-2-amine which was used for next step without further purification.
A solution of crude N-butyl-7-(trans-4-((tert-butyldimethylsilyl)oxy)cyclohexyl)-5-(4-fluorophenyl)-7H-pyrrolo[2,3-d]pyrimidin-2-amine in MeOH (2.0 mL) was added a concentrated HCl solution (3 drops, 37% in water). The resulting solution was stirred at room temperature overnight, then concentrated. The residue was purified by pre-HPLC to provide the desired product (UNC1671A) (0.025 g, 36% over 3 steps). 1H NMR (400 MHz, CD3OD) δ 8.73 (s, 1H), 7.80 (s, 1H), 7.69-7.62 (m, 2H), 7.24-7.16 (m, 2H), 4.64-4.52 (m, 1H), 3.79-3.67 (m, 1H), 3.55 (t, J=7.1 Hz, 2H), 2.18-2.11 (m, 2H), 2.11-2.01 (m, 4H), 1.77-1.66 (m, 2H), 1.59-1.44 (m, 4H), 1.03 (t, J=7.4 Hz, 3H); MS m/z 383.2 [M+H]+.
Table 2 describes compounds prepared following procedures described in Example 3 (General Procedure B),
using appropriate reagents.
Physical Data
Mer MS m/z (M + 1) or/and
Structure Compound_ID IC50 1H NMR (400 MHz, CD3OD)
1
Figure US09555031-20170131-C00038
UNC1970A ++++ 1H NMR (400 MHz, CD3OD) δ 8.75 (s, 1H), 7.81 (s, 1H), 7.71-7.62 (m, 2H), 7.25-7.16 (m, 2H), 4.72-4.60 (m, 1H), 3.55 (t, J = 7.1 Hz, 2H), 2.30-2.22 (m, 2H), 2.23-2.03 (m, 4H), 1.79-1.63 (m, 4H), 1.55-1.44 (m, 2H), 1.02 (t, J =7.4 Hz, 3H); MS m/z 382.25 [M + H]+.
2
Figure US09555031-20170131-C00039
UNC1971A ++++ 1H NMR (400 MHz, CD3OD) δ 8.92 (s, 1H), 8.13 (s, 1H), 7.94-7.84 (m, 1H), 7.78-7.64 (m, 2H), 4.66 (dq, J = 9.8, 4.6 Hz, 1H), 3.75-3.68 (m, 4H), 3.56 (t, J =7.1 Hz, 2H), 3.35-3.26 (m, 1H), 3.19-3.12 (m, 4H), 2.31-2.10 (m, 6H), 1.84-1.60 (m, 4H), 1.57-1.40 (m, 2H), 1.02 (t, J = 7.4 Hz, 3H); MS m/z 531.30 [M + H]+.
3
Figure US09555031-20170131-C00040
UNC1972A ++++ 1H NMR (400 MHz, CD3OD) δ 8.89 (s, 1H), 8.07 (s, 1H), 7.97-7.89 (m, 2H), 7.85 (d, J = 8.5 Hz, 2H), 4.73-4.64 (m, 1H), 3.74-3.70 (m, 4H), 3.56 (t, J = 7.1 Hz, 2H), 3.35-3.26 (m, 1H), 3.03-2.97 (m, 4H), 2.36-2.08 (m, 6H), 1.81-1.64 (m, 4H), 1.57-1.41 (m, 2H), 1.03 (t, J = 7.4 Hz, 3H); MS m/z 513.30 [M + H]+.
4
Figure US09555031-20170131-C00041
UNC2025A ++++ 1H NMR (400 MHz, CD3OD) δ 8.83 (s, 1H), 7.96 (s, 1H), 7.80 (d, J = 8.3 Hz, 2H), 7.74 (d, J = 8.4 Hz, 2H), 4.66- 4.56 (m, 1H), 4.53 (s, 2H), 3.91-3.58 (m, 9H), 3.55 (t, J = 7.1 Hz, 2H), 3.02 (s, 3H), 2.19- 2.11 (m, 2H), 2.11- 1.99 (m, 4H), 1.78- 1.66 (m, 2H), 1.58- 1.41 (m, 4H), 1.02 (t, J = 7.4 Hz, 3H); 13C NMR (101 MHz, CD3OD) δ 154.6,
151.1, 138.7, 134.0,
132.1, 127.2, 127.0,
116.7, 110.0, 109.9,
68.5, 53.9, 50.0, 40.9,
33.7, 30.6, 29.5, 19.6,
12.7; MS m/z 477.35
[M + H]+.
5
Figure US09555031-20170131-C00042
UNC2026A ++++ 1H NMR (400 MHz, CD3OD) δ 8.85 (s, 1H), 8.02 (s, 1H), 7.94-7.84 (m, 4H), 4.65-4.55 (m, 1H), 3.98 (dd, J = 11.5, 3.9 Hz, 2H), 3.78-3.67 (m, 1H), 3.54 (t, J = 7.1 Hz, 2H), 3.43-3.26 (m, 5H), 2.20-2.00 (m, 6H), 1.84 (d, J = 10.7 Hz, 2H), 1.77-1.64 (m, 4H), 1.59-1.42 (m, 4H), 1.02 (t, J = 7.4 Hz, 3H); MS m/z 513.30 [M + H]+.
6
Figure US09555031-20170131-C00043
UNC2087A ++++ 1H NMR (400 MHz, CD3OD) δ 8.86 (s, 1H), 8.07 (s, 1H), 8.01-7.95 (m, 2H), 7.95-7.88 (m, 2H), 4.68-4.57 (m, 1H), 3.77-3.67 (m, 2H), 3.56 (t, J = 7.1 Hz, 2H), 2.20-1.97 (m, 8H), 1.95-1.85 (m, 2H), 1.79-1.62 (m, 6H), 1.58-1.43 (m, 4H), 1.07-0.98 (m, 3H); MS m/z 497.30 [M + H]+.
7
Figure US09555031-20170131-C00044
UNC2078A ++++ 1H NMR (400 MHz, CD3OD) δ 8.85 (s, 1H), 8.04 (s, 1H), 7.92-7.86 (m, 2H), 7.86-7.80 (m, 2H), 4.66-4.57 (m, 1H), 3.77-3.68 (m, 1H), 3.56 (t, J = 7.1 Hz, 2H), 3.06-2.94 (m, 4H), 2.19-1.98 (m, 6H), 1.78-1.68 (m, 2H), 1.68-1.60 (m, 4H), 1.59-1.38 (m, 6H), 1.03 (t, J =7.4 Hz, 3H); MS m/z 512.30 [M + H]+.
8
Figure US09555031-20170131-C00045
UNC2094A ++++ 1H NMR (400 MHz, CD3OD) δ 8.76 (s, 1H), 7.87 (s, 1H), 7.63-7.55 (m, 1H), 7.48-7.42 (m, 1H), 7.40-7.32 (m, 1H), 4.65-4.52 (m, 1H), 3.76-3.66 (m, 1H), 3.55 (t, J = 7.1 Hz, 2H), 2.19-1.98 (m, 6H), 1.75-1.66 (m, 2H), 1.59-1.44 (m, 4H), 1.02 (t, J = 7.4 Hz, 3H); MS m/z 401.20 [M + H]+.
9
Figure US09555031-20170131-C00046
UNC2095A ++++ 1H NMR (400 MHz, CD3OD) δ 8.85 (s, 1H), 8.04 (s, 1H), 7.93-7.85 (m, 4H), 4.67-4.52 (m, 1H), 3.78-3.64 (m, 1H), 3.55 (t, J = 7.2 Hz, 2H), 3.26-3.19 (m, 4H), 2.21-1.95 (m, 10H), 1.75-1.68 (m, 2H), 1.57-1.44 (m, 4H), 1.03 (t, J = 7.4 Hz, 3H); MS m/z 548.25 [M + H]+.
10
Figure US09555031-20170131-C00047
UNC2123A ++++ 1H NMR (400 MHz, CD3OD) δ 8.62 (s, 1H), 7.64 (s, 1H), 7.57-7.48 (m, 2H), 7.13-7.03 (m, 2H), 4.59-4.44 (m, 1H), 3.54-3.45 (m, 2H), 3.20-3.11 (m, 1H), 2.20-1.92 (m, 6H), 1.64-1.40 (m, 4H), 0.75-0.61 (m, 1H), 0.44-0.32 (m, 2H), 0.07-0.08 (m, 2H); MS m/z 394.25 [M + H]+.
11
Figure US09555031-20170131-C00048
UNC2124A ++++ 1H NMR (400 MHz, CD3OD) δ 8.75 (d, J = 4.9 Hz, 1H), 7.77 (d, J = 1.4 Hz, 1H), 7.70- 7.59 (m, 2H), 7.26- 7.14 (m, 2H), 4.70- 4.61 (m, 1H), 4.48 (t, J = 6.3 Hz, 2H), 3.69- 3.54 (m, 4H), 2.29- 2.10 (m, 6H), 1.94- 1.63 (m, 6H); MS m/z 398.30 [M + H]+.
12
Figure US09555031-20170131-C00049
UNC2125A ++++ 1H NMR (400 MHz, CD3OD) δ 8.71 (s, 1H), 7.80 (s, 1H), 7.51 (ddd, J = 11.7, 7.6, 2.2 Hz, 1H), 7.41-7.35 (m, 1H), 7.32-7.24 (m, 1H), 4.61-4.52 (m, 1H), 3.46 (t, J = 7.1 Hz, 2H), 3.26-3.18 (m, 1H), 2.22-2.14 (m, 2H), 2.13-1.98 (m, 4H), 1.68-1.54 (m, 4H), 1.46-1.34 (m, 2H), 0.93 (t, J = 7.4 Hz, 3H); MS m/z 400.30
[M + H]+.
13
Figure US09555031-20170131-C00050
UNC2142A ++++ 1H NMR (400 MHz, CD3OD) δ 8.81 (s, 1H), 7.95 (s, 1H), 7.83-7.77 (m, 2H), 7.69-7.63 (m, 2H), 4.66-4.57 (m, 1H), 4.41 (s, 2H), 4.05 (d, J = 12.7 Hz, 2H), 3.84-3.69 (m, 3H), 3.55 (t, J = 7.1 Hz, 2H), 3.44-3.36 (m, 2H), 3.28-3.18 (m, 2H), 2.18-2.11 (m, 2H), 2.11-2.01 (m, 4H), 1.77-1.68 (m, 2H), 1.57-1.44 (m, 4H), 1.03 (t, J = 7.4 Hz,
3H); MS m/z 464.30
[M + H]+.
14
Figure US09555031-20170131-C00051
UNC2143A ++++ 1H NMR (400 MHz, CD3OD) δ 8.81 (s, 1H), 7.95 (s, 1H), 7.82-7.76 (m, 2H), 7.75-7.69 (m, 2H), 4.65-4.57 (m, 1H), 4.48 (s, 2H), 3.77- 3.69 (m, 1H), 3.66- 3.50 (m, 10H), 2.20- 2.03 (m, 6H), 1.77- 1.67 (m, 2H), 1.58- 1.45 (m, 4H), 1.03 (t, J = 7.4 Hz, 3H); MS m/z 463.30 [M + H]+.
15
Figure US09555031-20170131-C00052
UNC2146A ++++ 1H NMR (400 MHz, CD3OD) δ 8.87 (s, 1H), 8.09 (s, 1H), 8.00-7.92 (m, 4H), 4.66-4.58 (m, 1H), 4.22 (t, J = 12.3 Hz, 4H), 3.76-3.69 (m, 1H), 3.56 (t, J = 7.1 Hz, 2H), 2.21-2.00 (m, 6H), 1.76-1.68 (m, 2H), 1.60-1.45 (m, 4H), 1.03 (t, J = 7.4 Hz, 3H); MS m/z 520.20 [M + H]+.
16
Figure US09555031-20170131-C00053
UNC2253A ++++ 1H NMR (400 MHz, cd3od) δ 8.83 (s, 1H), 7.96 (s, 1H), 7.80 (d, J = 8.1 Hz, 2H), 7.70 (d, J = 8.0 Hz, 2H), 4.66- 4.55 (m, 1H), 3.92 (s, 4H), 3.80-3.62 (m, 2H), 3.56 (t, J = 7.2 Hz, 2H), 3.24-2.97 (m, 2H), 2.26-1.94 (m, 7H), 1.78-1.65 (m, 4H), 1.59-1.44 (m, 4H), 1.32 (t, J = 6.4 Hz, 2H), 1.03 (t, J = 7.4 Hz, 3H); MS m/z 490.30 [M + H]+.
17
Figure US09555031-20170131-C00054
UNC2367A ++++ 1H NMR (400 MHz, cd3od) δ 8.59 (d, J = 1.4 Hz, 1H), 7.85 (s, 1H), 7.81 (d, J = 8.0 Hz, 1H), 7.57-7.52 (m, 2H), 4.54-4.42 (m, 1H), 3.94-3.68 (m, 2H), 3.69-3.53 (m, 2H), 3.54-3.48 (m, 2H), 3.46-3.29 (m, 2H), 3.14-3.00 (m, 1H), 2.77 (s, 5H), 2.08- 1.86 (m, 6H), 1.49 (dd, J = 14.3, 7.1 Hz, 2H), 1.46-1.33 (m, 2H), 0.73-0.63 (m, 1H), 0.41-0.34 (m, 2H),
0.02 (dd, J = 4.8, 1.2
Hz, 2H); MS m/z
557.30 [M + H]+.
18
Figure US09555031-20170131-C00055
UNC2368A ++++ 1H NMR (400 MHz, cd3od) δ 8.60 (d, J = 1.5 Hz, 1H), 7.85 (d, J = 0.6 Hz, 1H), 7.81- 7.75 (m, 1H), 7.53 (s, 1H), 7.52-7.49 (m, 1H), 4.55-4.41 (m, 1H), 3.83 (s, 1H), 3.63- 3.54 (m, 5H), 3.54- 3.46 (m, 2H), 3.20 (s, 1H), 2.91-2.84 (m, 4H), 2.06-1.85 (m, 6H), 1.53-1.34 (m, 4H), 0.73-0.64 (m, 1H), 0.42-0.34 (m, 2H), 0.02 (d, J = 4.9 Hz, 2H); MS m/z
544.30 [M + H]+.
19
Figure US09555031-20170131-C00056
UNC2370A ++++ 1H NMR (400 MHz, cd3od) δ 8.67 (s, 1H), 7.79 (s, 1H), 7.67-7.60 (m, 2H), 7.52-7.46 (m, 2H), 4.52-4.42 (m, 1H), 4.26 (s, 2H), 3.97- 3.85 (m, 2H), 3.71- 3.55 (m, 3H), 3.54- 3.45 (m, 2H), 3.33- 3.20 (m, 2H), 3.14- 3.01 (m, 2H), 2.06- 1.98 (m, 2H), 1.97- 1.84 (m, 4H), 1.53- 1.45 (m, 2H), 1.45- 1.33 (m, 2H), 0.74- 0.62 (m, 1H), 0.42- 0.33 (m, 2H), 0.06-
0.03 (m, 2H); MS m/z
476.30 [M + H]+.
20
Figure US09555031-20170131-C00057
UNC2371A ++++ 1H NMR (400 MHz, cd3od) δ 8.58 (s, 1H), 7.47 (d, J = 8.2 Hz, 2H), 7.28-7.21 (m, 3H), 4.48-4.36 (m, 1H), 3.66-3.53 (m, 1H), 3.47-3.37 (m, 4H), 2.53-2.29 (m, 6H), 2.19 (s, 3H), 2.06- 1.97 (m, 2H), 1.96- 1.81 (m, 4H), 1.50- 1.34 (m, 4H), 1.23- 1.09 (m, 1H), 0.90- 0.63 (m, 2H), 0.42- 0.34 (m, 2H), 0.06- 0.03 (m, 2H); MS m/z 489.40 [M + H]+.
21
Figure US09555031-20170131-C00058
UNC2395A 1H NMR (400 MHz, cd3od) δ 8.80 (s, 1H), 7.93 (s, 1H), 7.81-7.74 (m, 2H), 7.62 (d, J = 8.3 Hz, 2H), 4.68-4.56 (m, 1H), 4.40 (s, 2H), 4.11-3.95 (m, 2H), 3.83-3.68 (m, 3H), 3.68-3.54 (m, 4H), 3.50-3.35 (m, 2H), 3.29-3.16 (m, 2H), 2.20-1.99 (m, 7H), 1.88-1.76 (m, 2H), 1.74-1.63 (m, 2H), 1.60-1.45 (m, 2H); MS m/z 480.30 [M + H]+.
22
Figure US09555031-20170131-C00059
UNC2396A 1H NMR (400 MHz, cd3od) δ 8.77 (s, 1H), 7.88 (d, J = 4.2 Hz, 1H), 7.71 (d, J = 8.3 Hz, 2H), 7.56 (d, J = 8.3 Hz, 2H), 4.65-4.56 (m, 1H), 4.16 (s, 2H), 3.79-3.67 (m, 1H), 3.67-3.62 (m, 2H), 3.62-3.55 (m, 2H), 3.50 (s, 4H), 3.29-3.24 (m, 1H), 2.93 (s, 3H), 2.26-1.91 (m, 7H), 1.86-1.73 (m, 2H), 1.73-1.63 (m, 2H), 1.60-1.46 (m, 2H); MS
m/z 493.40 [M + H]+.
23
Figure US09555031-20170131-C00060
UNC1651A ++++ 1H NMR (400 MHz, CD3OD) δ 8.92 (s, 1H), 8.14 (s, 1H), 7.88 (t, J = 6.6 Hz, 1H), 7.76- 7.63 (m, J = 10.8 Hz, 2H), 4.68-4.55 (d, J = 10.7 Hz, 1H), 3.80- 3.68 (m, 1H), 3.61- 3.49 (m, 4H), 3.36 (bs, 4H), 3.09 (bs, 4H), 2.21-1.99 (m, 6H), 1.79-1.67 (m, 2H), 1.59-1.45 (m, 4H), 1.03 (t, J = 7.3 Hz,
3H); MS m/z 613.3
[M + H]+.
24
Figure US09555031-20170131-C00061
UNC1652A ++++ 1H NMR (400 MHz, CD3OD) δ 8.91 (s, 1H), 8.14 (s, 1H), 7.90 (t, J = 8.0 Hz, 1H), 7.77- 7.68 (m, 2H), 4.66 (tt, J = 12.0, 3.7 Hz, 1H), 4.09 (bs, 1H), 3.57 (t, J = 7.1 Hz, 2H), 3.40 (q, J = 9.6 Hz, 2H), 3.34- 3.31 (m, 4H), 3.03- 2.92 (m, 4H), 2.42- 2.26 (m, 2H), 2.01 (d, J = 14.9 Hz, 2H), 1.91- 1.67 (m, 6H), 1.49 (dq,
J = 14.5, 7.3 Hz, 2H),
1.02 (t, J = 7.4 Hz,
3H); MS m/z 613.2
[M + H]+.
25
Figure US09555031-20170131-C00062
UNC1666A ++++ 1H NMR (400 MHz, CD3OD) δ 9.23 (s, 1H), 8.03 (dd, J = 8.7, 5.3 Hz, 2H), 7.30 (t, J = 8.7 Hz, 2H), 4.27 (d, J = 6.5 Hz, 2H), 3.86-3.51 (m, 9H), 3.46-3.35 (m, 1H), 2.27 (d, J = 11.0 Hz, 2H), 2.14 (bs, 1H), 1.98 (d, J = 12.8 Hz, 2H), 1.76-1.68 (m, 2H), 1.41-1.60 (m, 1H), 1.54-1.42 (m, 2H), 1.41-1.30 (m, 2H), 1.02 (t, J = 7.3 Hz, 3H); MS m/z 514.3 [M + H]+.
26
Figure US09555031-20170131-C00063
UNC1667A ++++ 1H NMR (400 MHz, CD3OD) δ 8.91 (s, 1H), 8.10 (s, 1H), 7.95 (d, J = 8.5 Hz, 2H), 7.89 (d, J = 8.5 Hz, 2H), 4.68-4.56 (m, 1H), 3.95 (bs, 2H), 3.79-3.68 (m, 1H), 3.66-3.50 (m, 4H), 3.30-3.14 (m, 2H), 2.90 (s, 3H), 2.83 (bs, 2H), 2.21-2.03 (m, 6H), 1.78-1.67 (m, 2H), 1.61-1.43 (m, 4H), 1.03 (t, J =7.4 Hz, 3H); MS m/z 527.3 [M + H]+.
27
Figure US09555031-20170131-C00064
UNC1668A ++++ 1H NMR (400 MHz, CD3OD) δ 8.78 (s, 1H), 7.85 (s, 1H), 7.48 (t, J = 2.1 Hz, 1H), 7.45 (s, 1H), 7.28 (t, J = 8.5 Hz, 1H), 4.64-4.53 (m, 1H), 3.94-3.87 (m, 4H), 3.78-3.68 (m, 1H), 3.55 (t, J = 7.1 Hz, 2H), 3.27-3.21 (m, 4H), 2.19-2.10 (m, 2H), 2.10-2.02 (m, 4H), 1.77-1.67 (m, 2H), 1.58-1.44 (m, 4H), 1.03 (t, J = 7.4 Hz, 3H).; MS m/z 468.3 [M + H]+.
28
Figure US09555031-20170131-C00065
UNC1669A ++++ 1H NMR (400 MHz, CD3OD) δ 8.94 (s, 1H), 8.16 (s, 1H), 7.95-7.86 (m, 1H), 7.77-7.68 (m, 2H), 4.67-4.55 (m, 1H), 4.13-3.92 (bs, 2H), 3.78-3.68 (m, 1H), 3.68-3.49 (m, 4H), 3.30-3.19 (bs, 2H), 3.18-3.02 (bs, 2H), 2.93 (s, 3H), 2.21- 2.01 (m, 6H), 1.78- 1.66 (m, 2H), 1.60- 1.43 (m, 4H), 1.03 (t, J = 7.4 Hz, 3H).; MS m/z 545.3 [M + H]+.
29
Figure US09555031-20170131-C00066
UNC1670A ++++ 1H NMR (400 MHz, CD3OD) δ 8.91 (s, 1H), 8.13 (s, 1H), 7.91-7.83 (m, 1H), 7.73-7.64 (m, 2H), 4.66-4.57 (m, 1H), 3.79-3.67 (m, 5H), 3.56 (t, J = 7.1 Hz, 2H), 3.19-3.11 (m, 4H), 2.20-2.01 (m, 6H), 1.78-1.68 (m, 2H), 1.60-1.44 (m, 4H), 1.03 (t, J = 7.4 Hz, 3H).; MS m/z 532.2 [M + H]+.
30
Figure US09555031-20170131-C00067
UNC2369A ++ 1H NMR (400 MHz, CD3OD) δ 8.63 (s, 1H), 7.88 (s, 1H), 7.71 (d, J = 8 Hz, 2H), 7.63 (d, J = 8 Hz, 2H), 4.53-4.38 (m, 1 H), 4.38 (s, 2H), 3.72-3.56 (m, 8H), 3.50 (s, 3H), 2.92 (s, 3H), 2.06-1.97 (m, 6H), 1.67-1.63 (m, 3H), 1.42-1.34 (m, 5H), 0.93 (t, J = 8 Hz, 3H). MS m/z 491.0 [M + H]+.
(Note: MerTK IC50: ++++ means < 10 nM; +++ means between 10-100 nM, ++ means between 100 nM-1 μM; + means between 1-30 μM; − means inactive.)
Example 4 Cis- and Trans-(1r,4r)-4-(2-(butylamino)-5-(4-fluorophenyl)-5H-pyrrolo[3,2-d]pyrimidin-7-yl)cyclohexanol General Procedure C
Figure US09555031-20170131-C00068
Figure US09555031-20170131-C00069
N-Butyl-5H-pyrrolo[3,2-d]pyrimidin-2-amine
Figure US09555031-20170131-C00070
A suspension of 2-chloro-5H-pyrrolo[3,2-d]pyrimidine (0.62 g, 4 mmol) in 5 mL iPrOH was added nBuNH2 (2.5 mL, 25.3 mmol) and followed by HCl (2.0 mL, 4.0 M in dioxanes, 8 mmol). The resulting solution was heated at 170° C. for 1 h under microwave irradiation. The reaction was monitored by LC-MS. The reaction time should be extended whenever it is necessary. After evaporation of solvents, the crude product was washed with minimal amount of MeOH. The solid was collected. And the MeOH filtrate was purified by ISCO to provide the desired product (0.73 g, 96%). 1H NMR (400 MHz, CD3OD) δ 8.42 (d, J=0.8 Hz, 1H), 7.53 (d, J=3.1 Hz, 1H), 6.27 (dd, J=3.0, 0.8 Hz, 1H), 3.37 (t, J=7.1 Hz, 2H), 1.68-1.57 (m, 2H), 1.52-1.36 (m, 2H), 0.97 (t, J=7.4 Hz, 3H); MS m/z 191.2 [M+H]+.
N-Butyl-5-(4-fluorophenyl)-5H-pyrrolo[3,2-d]pyrimidin-2-amine
Figure US09555031-20170131-C00071
A mixture of N-butyl-5H-pyrrolo[3,2-d]pyrimidin-2-amine (0.73 g, 3.85 mmol), CuI (0.074 g, 0.39 mmol), and K3PO4 (1.63 g, 7.7 mmol) was added DMF (10 mL), 4-fluoroiodobenzene (0.54 mL, 4.62 mmol), and N,N′-dimethylcyclohexane-1,2-diamine (0.24 mL, 1.54 mmol) under Argon atmosphere. The mixture was heated at 110° C. for 16 h, then was filtered through a plug of Celite® at room temperature and washed with MeOH. The filtrate was concentrated and purified by ISCO to provide desired product (1.079 g, 99%). MS m/z 285.2 [M+H]+.
7-Bromo-N-butyl-5-(4-fluorophenyl)-5H-pyrrolo[3,2-d]pyrimidin-2-amine
Figure US09555031-20170131-C00072
A solution of N-butyl-5-(4-fluorophenyl)-5H-pyrrolo[3,2-d]pyrimidin-2-amine (1.03 g, 3.61 mmol) in DMF (10 mL) was added NBS (0.71 g, 3.97 mmol) at room temperature. The resulting solution was stirred for 1 h and diluted with EtOAc. The resulting solution was washed with a sat. aq. solution of NaHCO3, H2O and brine. The EtOAc layer was dried (Na2SO4), concentrated and purified by ISCO to provide the desired product (1.05 g, 80%). 1H NMR (400 MHz, CD3OD) δ 8.46 (s, 1H), 7.68 (s, 1H), 7.52-7.42 (m, 2H), 7.32-7.21 (m, 2H), 3.44 (t, J=7.1 Hz, 2H), 1.68-1.54 (m, 2H), 1.49-1.36 (m, 2H), 0.95 (t, J=7.3 Hz, 3H); MS m/z 363.1 [M+H]+.
N-Butyl-7-(4-(tert-butyldimethylsilyloxy)cyclohex-1-enyl)-5-(4-fluorophenyl)-5H-pyrrolo[3,2-d]pyrimidin-2-amine
Figure US09555031-20170131-C00073
A mixture of 7-bromo-N-butyl-5-(4-fluorophenyl)-5H-pyrrolo[3,2-d]pyrimidin-2-amine (0.11 g, 0.3 mmol), tert-butyldimethyl(4-(4,4,5,5-tetramethyl-1,3,2-dioxaborolan-2-yl)cyclohex-3-enyloxy)silane (0.15 g, 0.45 mmol), potassium phosphonate (0.083 g, 0.60 mmol), tetrakis(triphenylphosphine)palladium (0.035 g, 0.03 mmol) in THF (4 mL) and water (1 mL) was stirred at room temperature for 1 min, then was heat at 150° C. for 1 h under microwave irradiation. The reaction mixture was diluted with EtOAc and washed with water. The aqueous layer was extracted with EtOAc (3×). The combined organic layer was dried (Na2SO4), concentrated, and purified by ISCO to provide the desired product (0.12 g, 83%). 1H NMR (400 MHz, CDCl3) δ 8.48 (s, 1H), 7.41-7.34 (m, 2H), 7.32 (s, 1H), 7.20 (t, J=8.5 Hz, 2H), 7.17-7.12 (m, 1H), 4.97 (t, J=5.6 Hz, 1H), 4.09-3.95 (m, 1H), 3.49 (dd, J=13.3, 6.5 Hz, 2H), 2.68-2.44 (m, 3H), 2.35-2.23 (m, 1H), 2.03-1.94 (m, 1H), 1.86-1.74 (m, 1H), 1.72-1.59 (m, 2H), 1.52-1.39 (m, 2H), 0.97 (t, J=7.3 Hz, 3H), 0.92 (s, 9H), 0.10 (s, 6H); MS m/z 495.3 [M+H]+.
4-(2-(Butylamino)-5-(4-fluorophenyl)-5H-pyrrolo[3,2-d]pyrimidin-7-yl)cyclohex-3-enol
Figure US09555031-20170131-C00074
A solution of N-butyl-7-(4-(tert-butyldimethylsilyloxy)cyclohex-1-enyl)-5-(4-fluorophenyl)-5H-pyrrolo[3,2-d]pyrimidin-2-amine (0.12 g, 0.25 mmol) in EtOH (5 mL) was added 2 drops of concentrated HCl solution. The resulting reaction mixture was stirred at room temperature for 16 h and concentrated to give the desired product use as such. 1H NMR (400 MHz, CD3OD) δ 8.59 (s, 1H), 8.23 (s, 1H), 7.66-7.58 (m, 2H), 7.40-7.31 (m, 2H), 6.88 (s, 1H), 4.05-3.93 (m, 1H), 3.54 (t, J=7.2 Hz, 2H), 2.77-2.66 (m, 1H), 2.63-2.51 (m, 2H), 2.28-2.16 (m, 1H), 2.11-1.99 (m, 1H), 1.85-1.75 (m, 1H), 1.75-1.65 (m, 2H), 1.54-1.40 (m, 2H), 1.01 (t, J=7.4 Hz, 3H); MS m/z 381.2 [M+H]+.
Cis- and Trans-4-(2-(butylamino)-5-(4-fluorophenyl)-5H-pyrrolo[3,2-d]pyrimidin-7-yl)cyclohexanol
Figure US09555031-20170131-C00075
A mixture of 4-(2-(butylamino)-5-(4-fluorophenyl)-5H-pyrrolo[3,2-d]pyrimidin-7-yl)cyclohex-3-enol (0.095 g, 0.25 mmol) and Pd/C (0.01 g, 10 wt %) in 5 mL MeOH was stirred under H2 atmosphere for 3 h. After filter through a plug of Celite®, the filtrate was concentrated and purified by Prep-HPLC. The cis-4-(2-(butylamino)-5-(4-fluorophenyl)-5H-pyrrolo[3,2-d]pyrimidin-7-yl)cyclohexanol was obtained as the major product (0.040 g). The trans-4-(2-(butylamino)-5-(4-fluorophenyl)-5H-pyrrolo[3,2-d]pyrimidin-7-yl)cyclohexanol was co-elute with 4-(2-(butylamino)-5-(4-fluorophenyl)-6,7-dihydro-5H-pyrrolo[3,2-d]pyrimidin-7-yl)cyclohexanol (0.035 g).
A solution of mixture of trans-4-(2-(butylamino)-5-(4-fluorophenyl)-5H-pyrrolo[3,2-d]pyrimidin-7-yl)cyclohexanol and 4-(2-(butylamino)-5-(4-fluorophenyl)-6,7-dihydro-5H-pyrrolo[3,2-d]pyrimidin-7-yl)cyclohexanol (0.035 g, −0.091 mmol) in 5 mL MeOH was added Pd/C (0.004 g, 10 wt %). The mixture was stirred overnight under air. After filter through a plug of Celite, the filtrate was concentrated and purified by ISCO to provide cis-4-(2-(butylamino)-5-(4-fluorophenyl)-5H-pyrrolo[3,2-d]pyrimidin-7-yl)cyclohexanol (0.010 g, 13% over 3 steps) and trans-4-(2-(butylamino)-5-(4-fluorophenyl)-5H-pyrrolo[3,2-d]pyrimidin-7-yl)cyclohexanol (0.012 g+0.040 g, 52% over 3 steps). Cis-isomer (UNC1861A): 1H NMR (400 MHz, CD3OD) δ 8.47 (s, 1H), 7.55-7.49 (m, 3H), 7.32-7.25 (m, 2H), 4.06-3.99 (m, 1H), 3.43 (t, J=7.1 Hz, 2H), 2.97 (tt, J=10.6, 3.7 Hz, 1H), 2.06-1.96 (m, 2H), 1.93-1.82 (m, 4H), 1.79-1.68 (m, 2H), 1.68-1.59 (m, 2H), 1.49-1.39 (m, 2H), 0.97 (t, J=7.4 Hz, 3H); MS m/z 383.3 [M+H]+. Trans-isomer (UNC1860A): 1H NMR (400 MHz, CD3OD) δ 8.45 (s, 1H), 7.53-7.47 (m, 3H), 7.28 (t, J=8.7 Hz, 2H), 3.69-3.57 (m, 1H), 3.42 (t, J=7.1 Hz, 2H), 2.83 (tt, J=12.4, 3.2 Hz 1H), 2.20-2.13 (m, 2H), 2.11-2.02 (m, 2H), 1.73-1.58 (m, 4H), 1.53-1.39 (m, 4H), 0.98 (t, J=7.4 Hz, 3H); MS m/z 383.3 [M+H]+.
Example 5A 4-(2-(Butylamino)-5-(4-(morpholinomethyl)phenyl)-5H-pyrrolo[3,2-d]pyrimidin-7-yl)cyclohexanol General Procedure D
Figure US09555031-20170131-C00076
Figure US09555031-20170131-C00077
7-Bromo-2-chloro-5H-pyrrolo[3,2-d]pyrimidine
Figure US09555031-20170131-C00078
A solution of 2-chloro-5H-pyrrolo[3,2-d]pyrimidine (1.54 g, 10 mmol) in DMF (10 mL) was added NBS (2.00 g, 11 mmol) at room temperature. The resulting solution was stirred for 1 h and diluted with EtOAc. The resulting solution was washed with a sat. aq. solution of NaHCO3, H2O and brine. The EtOAc layer was dried (Na2SO4), concentrated and purified by ISCO to provide the desired product (1.75 g, 75%). 1H NMR (400 MHz, CD3OD) δ 8.53 (s, 1H), 7.60 (s, 1H); MS m/z 234.0 [M+H]+.
7-Bromo-2-chloro-5-trityl-5H-pyrrolo[3,2-d]pyrimidine
Figure US09555031-20170131-C00079
A suspension of NaH (300 mg, 60% in mineral oil, 7.5 mmol) in THF (30 mL) was added a solution of 7-bromo-2-chloro-5H-pyrrolo[3,2-d]pyrimidine (1.16 g, 5.0 mmol) in THF (20 mL) dropwise at 0° C. After 20 min, a solution of TrCl (1.674 g, 6 mmol) in THF (10 mL) was added dropwise. The reaction mixture was stirred for 6 hours, quenched with brine and extracted with EtOAc (3×). The combined organic layer was dried (MgSO4), filtered and concentrated. The residue was purified by ISCO to provide the desired product (2.38 g, >99%). 1H NMR (400 MHz, CD3OD) δ 7.63 (s, 1H), 7.57 (s, 1H), 7.37-7.32 (m, 9H), 7.14-7.11 (m, 6H).
4-((tert-Butyldimethylsilyl)oxy)-1-(2-chloro-5-trityl-5H-pyrrolo[3,2-d]pyrimidin-7-yl)cyclohexanol
Figure US09555031-20170131-C00080
A solution of 7-bromo-2-chloro-5-trityl-5H-pyrrolo[3,2-d]pyrimidine (2.00 g, 3.2 mmol) in THF (20 mL) was added a 2.5 N solution of BuLi in hexane (2.82 mL, 7.04 mmol) at −78° C. Then 4-((tert-butyldimethylsilyl)oxy)cyclohexanone (1.2 mL) was added after 15 min. The reaction was stirred at −78° C. for 3 hour, quenched with brine and extracted with EtOAc (3×). The combined organic layer was dried (MgSO4), filtered and concentrated. The residue was purified by ISCO to provide the desired product (1.52 g, 76%). 1H NMR (400 MHz, CDCl3, two isomers) δ 7.64-7.56 (m, 1H), 7.44-7.41 (m, 1H), 7.35-7.31 (m, 9H), 7.16-7.10 (m, 6H), 3.73-3.68 (m, 1H), 2.55-2.51 (m, 1H), 2.42-2.30 (m, 1H), 2.28-2.19 (m, 1H), 2.07-1.94 (m, 2H), 1.91-1.82 (m, 2H), 1.76-1.62 (m, 2H), 0.82 (s, 9H), 0.01 (s, 6H).
7-(4-((tert-Butyldimethylsilyl)oxy)cyclohex-1-en-1-yl)-2-chloro-5-trityl-5H-pyrrolo[3,2-d]pyrimidine
Figure US09555031-20170131-C00081
A solution of 4-((tert-butyldimethylsilyl)oxy)-1-(2-chloro-5-trityl-5H-pyrrolo[3,2-d]pyrimidin-7-yl)cyclohex-anol (1.00 g, 1.6 mmol) in CH2Cl2 (20 mL) was added MsCl (275 mg, 2.4 mmol) followed by NEt3 (808 mg, 8 mmol). The reaction mixture was stirred at room temperature for 6 hours, quenched with brine and extracted with EtOAc (3×). The combined organic layer was dried (MgSO4), filtered and concentrated. The residue was purified by ISCO to provide the desired product (485 mg, 50%). 1H NMR (400 MHz, CDCl3) δ 7.56 (s, 1H), 7.34 (s, 1H), 7.25-7.21 (m, 9H), 7.08-7.05 (m, 6H), 6.89 (s, 1H), 3.90-3.86 (m, 1H), 2.49-2.43 (m, 1H), 2.37-2.28 (m, 1H), 2.19-2.13 (m, 1H), 1.85-1.82 (m, 1H), 1.68-1.62 (m, 2H), 0.82 (s, 9H), 0.00 (s, 6H).
N-Butyl-7-(4-((tert-butyldimethylsilyl)oxy)cyclohex-1-en-1-yl)-5-trityl-5H-pyrrolo[3,2-d]pyrimidin-2-amine
Figure US09555031-20170131-C00082
A solution of 7-(4-((tert-butyldimethylsilyl)oxy)cyclohex-1-en-1-yl)-2-chloro-5-trityl-5H-pyrrolo[3,2-d]pyra-midine (485 mg, 0.8 mmol) in dioxane (3.0 mL) was added Pd2(dba)3 (73 mg, 0.08 mmol). The reaction mixture was stirred until the solution became clear. Then 2-dicyclohexylphosphino-2′,4′,6′-triisopropylbiphenyl (152 mg, 0.32 mmol) was added followed by the addition of water (4.0 mL) and potassium hydroxide (135 mg, 2.4 mmol). The reaction mixture was heated under reflux for 12 hours under Argon atmosphere, then cooled to room temperature. The reaction was diluted with EtOAc. The organic layer was dried (MgSO4), filtered and concentrated. The residue was purified by ISCO to provide the desired product (360 mg, 70%). 1H NMR (400 MHz, CDCl3) δ 7.40 (s, 1H), 7.30-7.28 (m, 9H), 7.19-7.15 (m, 7H), 7.07 (s, 1H), 3.98-3.92 (m, 1H), 3.42-3.37 (dd, J1=12 Hz, J2=8 Hz, 2H), 2.55-2.47 (m, 1H), 2.42-2.32 (m, 1H), 2.28-2.21 (m, 1H), 1.93-1.86 (m, 1H), 1.75-1.70 (m, 2H), 1.69-1.58 (m, 2H), 1.46-1.37 (m, 2H), 0.89 (t, J=4 Hz, 3H), 0.82 (s, 9H), 0.00 (s, 6H).
4-(2-(Butylamino)-5H-pyrrolo[3,2-d]pyrimidin-7-yl)cyclohexanol
Figure US09555031-20170131-C00083
A solution of N-Butyl-7-(4-((tert-butyldimethylsilyl)oxy)cyclohex-1-en-1-yl)-5-trityl-5H-pyrrolo[3,2-d]pyrim-idin-2-amine (992 mg, 1.54 mmol) in CH2Cl2 (20 mL) was added trifluoroacetic acid (5.0 mL). The reaction mixture was stirred for 4 hours and quenched by a saturated aq. solution of NaHCO3 and diluted with EtOAc. The organic layer was dried (MgSO4), filtered and concentrated. The residue was dissolved in MeOH (6.0 mL) and Pd/C (44 mg) was added. The reaction mixture was then stirred under the hydrogen atmosphere for 12 hours and then filtered. The filtrate was concentrated to afford a brown residue. A solution of the residue in CH2Cl2 (10 mL) was added a mixture of PCC (665 mg, 3.084 mmol) and silica gel (668 mg). After 30 min, the reaction was quenched with water and extracted with EtOAc (3×). The combined organic layer was dried (MgSO4), filtered and concentrated. The residue was purified by ISCO to provide the desired product 4-(2-(butylamino)-5H-pyrrolo[3,2-d]pyrimidin-7-yl)cyclohexanone (MS m/z 287.2 [M+H]+). A solution of 4-(2-(butylamino)-5H-pyrrolo[3,2-d]pyrimidin-7-yl)cyclohexanone in MeOH (10 mL) was added NaBH4 (67 mg, 1.71 mmol) slowly at −40° C. The reaction was quenched with water after 1 h and extracted with EtOAc (3×). The combined organic layer was dried (MgSO4), filtered and concentrated. The residue was purified by ISCO to provide the desired product which was used without further purification. MS m/z 289.2 [M+H]+.
N-Butyl-7-(4-((tert-butyldimethylsilyl)oxy)cyclohexyl)-5-(4-(morpholinomethyl)phenyl)-5H-pyrrolo[3,2-d]pyrimidin-2-amine
Figure US09555031-20170131-C00084
A solution of 4-(2-(butylamino)-5H-pyrrolo[3,2-d]pyrimidin-7-yl)cyclohexanol (122 mg, 0.423 mmol) and TBSCl (77 mg, 0.51 mmol) in THF (3 mL) was added imidazole (44 mg, 0.636 mmol). The reaction mixture was stirred for 6 hours, quenched with water and extracted with EtOAc (3×). The combined organic layer was dried (MgSO4), filtered and concentrated. The residue was purified by ISCO to provide the desired product N-butyl-7-(4-((tert-butyldimethylsilyl)oxy)cyclohexyl)-5H-pyrrolo[3,2-d]pyrimidin-2-amine (59 mg, 0.14653 mmol). MS m/z 403.3 [M+H]+.
A solution of N-butyl-7-(4-((tert-butyldimethylsilyl)oxy)cyclohexyl)-5H-pyrrolo[3,2-d]pyrimidin-2-amine (59 mg, 0.14653 mmol) and 4-iodobenzyl morpholine (67 mg, 0.22 mmol) in NMP (1 mL) was added CuI (3 mg, 0.022 mmol) and N,N′-dimethylcyclohexane-1,2-diamine (2 mg, 0.044 mmol). The reaction mixture was stirred under microwave irradiation at 195° C. for 30 min. Then the reaction was diluted with EtOAc. The organic layer was dried (MgSO4), filtered and concentrated. The residue was purified by ISCO to provide the desired product (85 mg, 99%). 1H NMR (400 MHz, CDCl3) δ 8.48 (s, 1H), 7.36 (d, J=8 Hz, 2H), 7.25 (d, J=8 Hz, 2H), 7.17 (s, 1H), 4.86 (s, 1H), 3.71-3.52 (m, 4H), 3.44-3.38 (m, 4H), 3.32-3.17 (m, 1H), 2.81-2.71 (m, 2H), 2.45-2.33 (m, 4H), 2.15-2.04 (m, 2H), 1.96-1.83 (m, 2H), 1.61-1.29 (m, 8H), 0.94-0.75 (m, 12H), 0.00 (s, 6H). MS m/z 578.4 [M+H]+.
4-(2-(Butylamino)-5-(4-(morpholinomethyl)phenyl)-5H-pyrrolo[3,2-d]pyrimidin-7-yl)cyclohexanol
Figure US09555031-20170131-C00085
A solution of N-butyl-7-(4-((tert-butyldimethylsilyl)oxy)cyclohexyl)-5-(4-(morpholinomethyl)phenyl)-5H-pyrrolo[3,2-d]pyrimidin-2-amine (84 mg, 0.14653 mmol) in MeOH (3.0 mL) was added 0.15 mL of concentrated HCl. The reaction mixture was stirred overnight and the solvent was removed. The residue was purified by ISCO to provide the desired product (UNC2221A) (68 mg, 99%). 1H NMR (400 MHz, CD3OD) δ 8.69 (s, 1H), 8.13 (s, 1H), 7.74 (d, J=8 Hz, 2H), 7.25 (d, J=8 Hz, 2H), 4.38 (s, 2H), 4.01-3.92 (m, 2H), 3.80-3.70 (m, 2H), 3.59-3.52 (m, 2H), 3.48 (t, J=8 Hz, 2H), 3.37-3.29 (m, 2H), 3.18-3.11 (m, 1H), 2.78 (tt, J1=12 Hz, J2=4 Hz, 1H), 2.02 (t, J=16 Hz, 4H), 1.68-1.57 (m, 4H), 1.43-1.13 (m, 4H), 0.91 (t, J=8 Hz, 3H). MS m/z 464.3 [M+H]+.
Table 3 describes compounds prepared following procedures described in Example 5A (General Procedure D),
using appropriate reagents.
Physical Data
Mer MS m/z (M + 1) or/and
Structure Compound_ID IC50 1H NMR (400 MHz, CD3OD)
1
Figure US09555031-20170131-C00086
UNC2421A ++++ 1H NMR (400 MHz, CD3OD) δ 8.79 (s, 1H), 8.21 (s, 1H), 7.89 (d, J = 8 Hz, 2H), 7.71 (d, J = 8 Hz, 2H), 5.47 (s, 1H), 4.61 (s, 2H), 3.74-3.71 (m, 6H), 3.67- 3.63 (m, 2H), 3.58-3.54 (m, 2H), 3.33 (s, 1H), 3.01 (s, 3H), 2.86 (t, J = 12 Hz, 1H), 2.65 (s, 1H), 2.13-2.06 (m, 4H), 1.70-1.67 (m, 4H), 1.47-1.45 (m, 4H), 0.98 (t, J = 8 Hz, 3H); MS m/z 477.0 [M + 1]+.
2
Figure US09555031-20170131-C00087
UNC2433A ++++ 1H NMR (400 MHz, CD3OD) δ 8.80 (s, 1H), 8.31 (s, 1H), 7.74 (d, J = 8 Hz, 2H), 8.02 (d, J = 4 Hz, 2H), 7.86 (d, J = 4 Hz, 2H), 4.38 (s, 2H), 3.78-3.72 (m, 1H), 3.71-3.68 (m, 2H), 3.63-3.59 (m, 2H), 3.08 (t, J = 8 Hz, 2H), 2.95- 2.87 (m, 1H), 2.20-2.05 (m, 4H), 1.74-1.69 (m, 7H), 1.52-1.50 (m, 5H), 1.04 (t, J = 8 Hz, 3H); MS m/z 512.0 [M + 1]+.
(Note: MerTK IC50: ++++ means < 10 nM; +++ means between 10-100 nM, ++ means between 100 nM-1 μM; + means between 1-30 μM; − means inactive.)
Example 5B Macrocyclic derivative of 5-(4-((4-methylpiperazin-1-yl)methyl)phenyl)-7H-pyrrolo[2,3-c]pyrimidin-2-amine General Procedure E
Figure US09555031-20170131-C00088
Figure US09555031-20170131-C00089
Macrocyclic derivative of 5-(4-((4-methylpiperazin-1-yl)methyl)phenyl)-7H-pyrrolo[2,3-d]pyrimidin-2-amine
A suspension of 5-bromo-2-chloro-7H-pyrrolo[2,3-d]pyrimidine (100 mg, 0.43 mmol), 2-(3-bromopropyl)isoindoline-1,3-dione (173 mg, 0.65 mmol) and K2CO3 (119 mg, 0.86 mmol) in a mixture of DMSO and THF (8.0 mL, 1:3, v/v) was heated at 100° C. under microwave irradiation for 30 min. The mixture was diluted with ethyl acetate (35 mL), washed with water (3×) and concentrated to provide the crude 2-(3-(5-bromo-2-chloro-7H-pyrrolo[2,3-d]pyrimidin-7-yl)propyl)isoindoline-1,3-dione (MS m/z 420.05 [M+H]+) which was used in next step without further purification.
A solution of the crude 2-(3-(5-bromo-2-chloro-7H-pyrrolo[2,3-d]pyrimidin-7-yl)propyl)isoindoline-1,3-dione in a mixture of THF and water (10 mL, 3:2, v/v) was added 5-aminopentanoic acid (172.3 mg, 1.47 mmol). The resulting mixture was heated at 150° C. under microwave irradiation for 1 h. After the solvent was removed, the residue was dissolved in a mixture of ethanol and water (20 mL, 3:2, v/v) followed by the addition of hydrazine (1.5 mL). Then the reaction mixture was heat at 80° C. for overnight. The solvent was removed and the residue was purified on HPLC to provide 5-((7-(3-aminopropyl)-5-bromo-7H-pyrrolo[2,3-d]pyrimidin-2-yl)amino)pentanoic acid as a clear oil (MS m/z 371.10 [M+H]+).
A solution of this clear oil in DMF/DCM (120 mL, 2:3, v/v) was added TBTU (115 mg) and triethylamine (2.2 mL) The reaction mixture was stirred at room temperature for overnight. Solvent was removed and the residue (MS m/z 353.10 [M+H]+) was dissolved in dioxane (6.0 mL) followed by the addition of 4-(4-methylpiperazino)methylphenylboronic acid pinacol ester (135 mg, 0.43 mmol), Pd(PPh3)4 (12 mg, 0.01 mmol), K2CO3 (128 mg, 0.93 mmol) and water (2.0 mL). The resulting mixture was heated at 150° C. under microwave irradiation for 15 min, quenched with water (15 mL), extracted with ethyl acetate (4×), dried (MgSO4) and concentrated. The residue was purified on HPLC to give the desired product as a TFA salt. This salt was neutralized with a 7 N NH3 solution in methanol and was purified on ISCO to provide the desired product (UNC2434A) as a white solid. 1H NMR (400 MHz, CD3OD) δ 8.66 (s, 1H), 7.60-7.53 (m, 2H), 7.35 (d, J=8.2 Hz, 2H), 7.31 (s, 1H), 5.47 (s, 2H), 4.27 (t, J=7.2 Hz, 2H), 3.54 (s, 2H), 3.47-3.40 (m, 2H), 3.19-3.13 (m, 2H), 2.57-2.46 (m, 6H), 2.42-2.38 (m, 2H), 2.27 (s, 3H), 1.96-1.89 (m, 2H), 1.80-1.71 (m, 2H), 1.71-1.61 (m, 2H); MS m/z 462.30 [M+H]+.
Example 5C Trans-4-(2-(butylamino)-5-(4-(piperidin-4-ylamino)phenyl)-7H-pyrrolo[2,3-d]pyrimidin-7-yl)cyclohexan-1-ol General Procedure F
Figure US09555031-20170131-C00090
A solution of 5-bromo-N-butyl-7-(trans-4-((tert-butyldimethylsilyl)oxy)cyclohexyl)-7H-pyrrolo[2,3-d]pyrimidin-2-amine (481 mg, 1.0 mmol) and 4-aminophenylboronic acid pinacol ester (329 mg, 1.5 mmol) in a mixture of dioxane and water (4:1, 2.5 ml) was added tetrakis(triphenylphosphine)palladium(0) (116 mg, 0.10 mmol,) and K2CO3 (276 mg, 2.0 mmol). The resulting mixture was stirred at 100° C. for 2 h. The reaction was quenched with water (3 ml) and the aqueous layer was extracted with EtOAc (3 ml×3). The combined organic layer was washed with brine (5 ml), dried (Na2SO4), and concentrated to afford 5-(4-aminophenyl)-N-butyl-7-(trans-4-((tert-butyldimethylsilyl)oxy)cyclohexyl)-7H-pyrrolo[2,3-d]pyrimidin-2-amine (MS m/z 494.40 [M+H]+). The crude product was used in the next step without purification.
A solution of 5-(4-aminophenyl)-N-butyl-7-(trans-4-((tert-butyldimethylsilyl)oxy)cyclohexyl)-7H-pyrrolo[2,3-d]pyrimidin-2-amine (100 mg, 0.2 mmol) in CH2Cl2 (1.0 ml) was added 1-Boc-4-piperidone (80 mg, 0.40 mmol,). The resulting mixture was stirred at room temperature for 2 h and sodium triacetoxyborohydride (85 mg, 0.4 mmol) was added. The reaction mixture was stirred at room temperature overnight. The reaction was quenched with a 1.0 N aq. NaOH solution (2.0 ml). The aqueous layer was extracted with a mixture of CH2Cl2 and i-PrOH (1:1, 2.0 ml×3). The combined organic layer was washed with brine (2.0 ml), dried (Na2SO4), and concentrated. The residue was treated with 4 N HCl in dioxane and concentrated. The crude product was purified on HPLC to provide the title compound as a TFA salt which was exchanged to HCl salt through treatment with 4 N HCl in dioxane. The resulting HCl salt was lyophilized to provide the title compound (UNC4308A) (35.6 mg, 39% over 2 steps). 1H NMR (400 MHz, cd3od) δ 8.67 (s, 1H), 7.70 (s, 1H), 7.53 (d, J=8.0 Hz, 2H), 6.99 (d, J=8.0 Hz, 2H), 4.60-4.56 (m, 1H), 3.79-3.67 (m, 2H), 3.56-3.46 (m, 4H), 3.19-3.12 (m, 2H), 2.25-1.98 (m, 8H), 1.81-1.67 (m, 4H), 1.53-1.46 (m, 4H), 1.29 (s, 1H), 1.02 (t, J=8.0 Hz, 3H); MS m/z 463.35 [M+1]+.
Table 4 describes compounds prepared following procedures described in Example 5C (General Procedure F),
using appropriate reagents.
Physical Data
Mer MS m/z (M + 1) or/and
Structure Compound_ID IC50 1H NMR (400 MHz, CD3OD)
1
Figure US09555031-20170131-C00091
UNC4308A 1H NMR (400 MHz, cd3od) δ 8.67 (s, 1H), 7.70 (s, 1H), 7.53 (d, J = 8.0 Hz, 2H), 6.99 (d, J = 8.0 Hz, 2H), 4.60-4.56 (m, 1H), 3.79-3.67 (m, 2H), 3.56-3.46 (m, 4H), 3.19-3.12 (m, 2H), 2.25- 1.98 (m, 8H), 1.81-1.67 (m, 4H), 1.53-1.46 (m, 4H), 1.29 (s, 1H), 1.02 (t, J = 8.0 Hz, 3H); MS m/z 463.35 [M + H]+.
2
Figure US09555031-20170131-C00092
UNC4309A 1H NMR (400 MHz, cd3od) δ 8.81 (s, 1H), 7.96 (s, 1H), 7.86 (d, J = 8.0 Hz, 2H), 7.52 (d, J = 8.0 Hz, 2H), 4.63-4.59 (m, 1H), 3.75-3.69 (m, 1H), 3.57-3.46 (m, 3H), 2.16-1.98 (m, 8H), 1.91-1.87 (m, 2H), 1.75-1.68 (m, 3H), 1.58-1.24 (m, 10H), 1.03 (t, J = 8.0 Hz, 3H); MS m/z 462.30 [M + H]+.
3
Figure US09555031-20170131-C00093
UNC4311A 1H NMR (400 MHz, cd3od) δ 8.68 (s, 1H), 7.70 (s, 1H), 7.54 (d, J = 8.0 Hz, 2H), 6.99 (d, J = 12.0 Hz, 2H), 4.60-4.55 (m, 1H), 3.71-3.52 (m, 5H), 3.20-3.13 (m, 2H), 2.90 (s, 3H), 2.35-2.30 (m, 2H), 2.15-2.03 (m, 7H), 1.75- 1.46 (m, 4H), 1.51-1.46 (m, 4H), 1.02 (t, J = 8.0 Hz, 3H); MS m/z 477.40 [M + H]+.
4
Figure US09555031-20170131-C00094
UNC4319A 1H NMR (400 MHz, cd3od) δ 8.74 (s, 1H), 7.81 (s, 1H), 7.67 (d, J = 8.0 Hz, 2H), 7.23 (d, J = 8.0 Hz, 2H), 4.61-4.57 (m, 2H), 3.85-3.83 (m, 1H), 3.73- 3.69 (m, 1H), 3.55-3.42 (m, 3H), 2.31-2.04 (m, 10H), 1.91- 1.68 (m, 4H), 1.57-1.44 (m, 4H), 1.02 (t, J = 8.0 Hz, 3H); MS m/z 477.40 [M + H]+.
5
Figure US09555031-20170131-C00095
UNC4320A 1H NMR (400 MHz, cd3od) δ 8.80 (s, 1H), 7.94 (s, 1H), 7.83 (d, J = 8.0 Hz, 2H), 7.49 (d, J = 12.0 Hz, 2H), 4.60-4.56 (m, 1H), 3.75-3.65 (m, 2H), 3.55 (t, J = 8.0 Hz, 2H), 2.13-2.01 (m, 8H), 1.81-1.45 (m, 17H), 1.03 (t, J = 8.0 Hz, 3H); MS m/z 491.40 [M + H]+.
6
Figure US09555031-20170131-C00096
UNC4321A 1H NMR (400 MHz, cd3od) δ 8.73-8.74 (m, 1H), 7.79-7.81 (m, 1H), 7.68-7.63 (m, 2H), 7.23-7.17 (m, 2H), 4.63-4.55 (m, 1H), 3.94-3.86 (m, 1H), 3.74-3.69 (m, 1H), 3.56-3.49 (m, 5H), 2.94-2.92(m, 3H), 2.15-1.98 (m, 11H), 1.73- 1.46 (m, 7H), 1.03 (t, J = 8.0 Hz, 3H); MS m/z 476.40 [M + H]+.
Example 5D Trans-4-(2-(butylamino)-5-(4-((4-methyl-1,4-diazepan-1-yl)methyl)phenyl)-7H-pyrrolo[2,3-d]pyrimidin-7-yl)cyclohexan-1-ol General Procedure G
Figure US09555031-20170131-C00097
A solution of 5-bromo-N-butyl-7-(trans-4-((tert-butyldimethylsilyl)oxy)cyclohexyl)-7H-pyrrolo[2,3-d]pyrimidin-2-amine (120 mg, 0.25 mmol) and 4-(4-methylhomopiperazino)methylphenylboronic acid pinacol ester (124 mg, 0.38 mmol) in a mixture of dioxane and water (4:1, 1 ml) was added tetrakis(triphenylphosphine)palladium(0) (15 mg, 0.012 mmol,) and K2CO3 (69 mg, 0.5 mmol). The resulting mixture was stirred at 100° C. for 12 h. The reaction was quenched with water (3 ml) and the aqueous layer was extracted with EtOAc (3 ml×3). The combined organic layer was washed with brine (5 ml), dried (Na2SO4), and concentrated to afford N-butyl-7-(trans-4-((tert-butyldimethylsilyl)oxy)cyclohexyl)-5-(4-(4-methyl-1,4-diazepan-1-yl)methyl)phenyl)-7H-pyrrolo[2,3-d]pyrimidin-2-amine (MS m/z 604.40 [M+H]+). The crude product was treated with 4 N HCl in dioxane and concentrated. The residue was was purified on HPLC to provide the title compound as a TFA salt, which was converted to HCl salt by the treatment of a 4.0 N HCl solution in dioxane and lyophilized to yield the title compound (UNC4218A) (12 mg, 10% over 2 steps). 1H NMR (400 MHz, cd3od) δ 8.82 (s, 1H), 7.96 (s, 1H), 7.81-7.73 (m, 4H), 4.65-4.51 (m, 3H), 3.86-3.69 (m, 6H), 3.55-3.53 (m, 4H), 2.99 (s, 3H), 2.38 (br, 2H), 2.10-2.06 (m, 6H), 1.72-1.69 (m, 3H), 1.52-1.45 (m, 4H), 1.03 (t, J=8.0 Hz, 3H); MS m/z 491.40 [M+1]+.
Table 5 describes compounds prepared following procedures described in Example 5D (General Procedure G),
using appropriate reagents.
Physical Data
Mer MS m/z (M + 1) or/and
Structure Compound_ID IC50 1H NMR (400 MHz, CD3OD)
1
Figure US09555031-20170131-C00098
UNC4218A 1H NMR (400 MHz, cd3od) δ 8.82 (s, 1H), 7.96 (s, 1H), 7.81- 7.73 (m, 4H), 4.65-4.51 (m, 3H), 3.86-3.69 (m, 6H), 3.55- 3.53 (m, 4H), 2.99 (s, 3H), 2.38 (br, 2H), 2.10-2.06 (m, 6H), 1.72-1.69 (m, 3H), 1.52-1.45 (m, 4H), 1.03 (t, J = 8.0 Hz, 3H); MS m/z 491.40 [M + H]+.
2
Figure US09555031-20170131-C00099
UNC4291A 1H NMR (400 MHz, cd3od) δ 8.69 (s, 1H), 7.73 (s, 1H), 7.58 (d, J = 8.0 Hz, 2H), 7.13 (d, J = 8.0 Hz, 2H), 4.61-4.54 (m, 1H), 3.93 (d, J = 12.0 Hz, 2H), 3.71-3.52 (m, 5H), 3.10 (t, J = 12.0 Hz, 2H), 2.98 (s, 3H), 2.11- 2.07 (m, 6H), 1.73-1.69 (m, 2H), 1.54-1.44 (m, 4H), 1.02 (t, J = 8.0 Hz, 3H); MS m/z 463.35 [M + H]+.
3
Figure US09555031-20170131-C00100
UNC4292A 1H NMR (400 MHz, cd3od) δ 8.71 (s, 1H), 7.76 (s, 1H), 7.63-7.61 (m, 2H), 7.36-7.40 (m, 2H), 7.16-7.02 (m, 5H), 4.57-4.54 (m, 1H), 3.76- 3.68 (m, 1H), 3.54 (t, J = 8.0 Hz, 2H), 2.15-2.04 (m, 6H), 1.75-1.68 (m, 2H), 1.52-1.44 (m, 4H), 1.03 (t, J = 8.0 Hz, 3H); MS m/z 457.30 [M + H]+.
4
Figure US09555031-20170131-C00101
UNC4310A 1H NMR (400 MHz, cd3od) δ 8.68 (s, 1H), 7.65 (s, 1H), 7.48 (d, J = 8.0 Hz, 2H), 7.24-7.11 (m, 6H), 6.88 (t, J = 8.0 Hz, 1H), 4.60-4.56 (m, 1H), 3.75-3.65 (m, 2H), 3.57-3.48 (m, 2H), 2.16-1.98 (m, 6H), 1.74-1.67 (m, 2H), 1.52-1.46 (m, 4H), 1.02 (t, J = 8.0 Hz, 3H); MS m/z 456.30 [M+H]+.
Table 6 describes compounds prepared following procedures described in Examples 1 to 5, using appropriate reagents.
Physical Data
Mer MS m/z (M + 1) or/and
Structure Compound_ID IC50 1H NMR (400 MHz, CD3OD)
1
Figure US09555031-20170131-C00102
UNC3908A ++++ 1H NMR (400 MHz, CD3OD) δ 8.73 (s, 1H), 7.79 (s, 1H), 7.59 (d, J = 8.2 Hz, 2H), 7.31 (d, J = 8.2 Hz, 2H), 4.63-4.56 (m, 1H), 3.89-3.82 (m, 2H), 3.73 (ddd, J = 10.3, 7.9, 4.0 Hz, 2H), 3.68- 3.55 (m, 6H), 3.24-3.15 (m, 2H), 3.03-2.89 (m, 2H), 2.67 (d, J = 6.7 Hz, 2H), 2.18-2.11 (m, 2H), 2.10-2.01 (m, 4H), 1.98- 1.86 (m, 3H), 1.66-1.49 (m, 6H), 0.85-0.78 (m, 1H), 0.56- 0.49 (m, 2H), 0.19-0.13 (m, 2H); MS m/z 518.15 [M + 1]+.
(Note: MerTK IC50: ++++ means < 10 nM; +++ means between 10-100 nM, ++ means between 100 nM-1 μM; + means between 1-30 μM; − means inactive.)
Example 6 Efficacy of a Novel Small Molecule MERTK Receptor Tyrosine Kinase Inhibitor in B-RAF Wild-Type and B-RAF Mutant Melanoma Cell
A MERTK-selective small-molecule tyrosine kinase inhibitor (TKI) is evaluated in preclinical models of melanoma, both alone and in combination with vemurafenib (a mutant B-RAF TKI ). B-RAF wild-type (HMCB) and B-RAF mutant (G361) cell lines are treated with Mer TKI or vehicle. Downstream signaling is evaluated by immunoblotting, and induction of apoptosis is determined by flow cytometry in cells stained with YO-PRO®-1 iodide and propidium iodide. Alternatively, cells are seeded in media containing Mer TKI or vehicle and colony formation is determined.
Example 7 A Small Molecule Mer Tyrosine Kinase Inhibitor (UNC MERI) Effectively Inhibits Growth of Murine Melanoma
In this example, the activity of first-in-class, orally bioavailable MerTK inhibitor was examined on tumor growth in autochthonous murine tumor models. MRX6313/UNC2025 is 5-fold selective for MerTK vs. Axl/Tyro3 and has favorable pharmacokinetics. Once daily, oral dosing inhibits the growth of MerTK-expressing leukemia and NSCLC xenografts. MRX6313/UNC2025 was assessed in immune-competent, genetically engineered murine models (GEMMs) in the UNC Lineberger Mouse Phase 1 Unit (MP1U). After dose-finding studies in wild-type mice established an MTD, the inhibitor was given at 120 mpk/d in mouse chow. This dose did not cause weight loss and produced a measurable effect (i.e. inhibition of second phase platelet aggregation, a known MerTK pharmacodynamics marker). This dose did not exhibit single agent activity in a murine model of breast cancer (C3TAg), but exhibited pronounced single agent activity in RAS-driven, INK4a/Arf null melanoma GEMM (TRIA). The MP1U has previously reported the efficacy of 15 chemotherapeutic and/or targeted regimens in a large (>220) cohort of TRIA mice (CCR 18:5290, 2012). The overall response was 10% (partial responses and stable disease). There were no complete responses. A combination of MEK (AZD 6244) and PI3K/mTOR (BEZ235) inhibitors were the most active previous regimen (responses seen in 9/18 mice=50%, with 0 CRs) with moderate toxicity. MRX6313/UNC2025 exhibited greater activity (6/8 mice=75%, with 3 CRs) with mild, well tolerated toxicity in the TRIA model. TRIA cell lines do not express MerTK, suggesting that MRX6313/UNC2025 as a monotherapy may induce responses via MerTK inhibition in TAMs and the tumor microenvironment, or via inhibition of Axl, Tyro or an unknown target. In summary, a potent and selective MerTK inhibitor exhibited greater pre-clinical efficacy in a highly faithful model of RAS-mutant melanoma than any other drug tested to date, including several compounds that are FDA approved for use in metastatic melanoma. See, FIG. 15A and FIG. 15B.
Example 8 A Novel MER Tyrosine Kinase Inhibitor Mediates Increased Cell Killing in Combination with FGFR Inhibition
In this study the interaction between a novel MerTK-selective small molecule tyrosine kinase inhibitor (TKI) (MRX6313/UNC2025) and AZD-4547, an FGFR TKI, in NSCLC cell lines was studied. Colo699 (MerTK+, FGFR+) and H226 (MerTK+, FGFR+) NSCLC cells were cultured for 14 days in soft agar in the presence of MRX6313/UNC2025 and/or AZD-4547, alone or in combination, and colonies were stained and counted. Changes in the activity of downstream signaling pathways, including PI3K/AKT, MEK/ERK, and STAT proteins were evaluated by immunoblotting. In the soft agar assay, Colo699 and H226 colony formation was inhibited in the presence of MRX6313/UNC2025 and AZD-4547, both as single agents and in combination. Importantly, concurrent treatment with Mer TKI and AZD-4547 resulted in a greater decrease in colony-formation relative to either single agent.
Immunoblotting revealed increased inhibition of pro-survival signaling in cells treated with both inhibitors relative to the single agents. Taken together, these data suggest that combination therapies targeting MerTK kinase and FGFR may be effective for treatment of NSCLC and indicate biochemical mechanisms by which the combination therapy may mediate increased anti-tumor activity. See, FIG. 8A and FIG. 8B.
Example 9 Inhibition of MER Tyrosine Kinase with a Novel Small Molecule Inhibitor in Mouse Models of all
In this example, preclinical testing of a novel, first-in-class MERTK-selective small molecule tyrosine kinase inhibitor (MRX6313/UNC2025) as a potential therapy for MERTK-expressing ALL is disclosed. MRX6313/UNC2025 mediates potent inhibition of MerTK in enzymatic assays (IC50=0.74 nM), has ≧10-fold selectivity for MerTK over other TAM-family members, and has limited off-target activity against other tyrosine kinases, with the exception of FLT3. In 697 B-ALL cells, MRX6313/UNC2025 inhibited phosphorylation/activation of MerTK with an IC50 of 2.6 nM and decreased downstream signaling through the ERK and AKT pathways, leading to induction of apoptosis and reduced colony-formation in methylcellulose in MERTK-expressing ALL cell lines. In mouse models, MRX6313/UNC2025 is orally bioavailable and inhibits MerTK phosphorylation/activation in leukemic blasts in the bone marrow. In an orthotopic B-ALL xenograft model of minimal residual disease, treatment with MRX6313/UNC2025 resulted in a dose dependent reduction in tumor burden and increased median survival from 27 days after inoculation with tumor cells to 70 days (p<0.0001). In a similar model of existent disease in which leukemia was established for 14 days prior to initiation of treatment, median survival increased from 27.5 to 45 days in response to treatment with MRX6313/UNC2025 (p<0.0001). In both models, tumor burden measured by bioluminescent imaging was significantly decreased in mice treated with MRX6313/UNC2025 relative to mice treated with vehicle, even after the development of advanced disease in the control animals. In addition, treatment with MRX6313/UNC2025 in combination with methotrexate, a chemotherapy that is currently in clinical use for treatment of pediatric ALL, resulted in reduced tumor burden and increased tumor-free survival relative to mice treated with either agent alone. The very high potency, relative selectivity, oral bioavailability, and demonstrated target inhibition and therapeutic efficacy in murine ALL models, both alone and in combination with chemotherapy, identify MRX6313/UNC2025 as an excellent candidate for clinical development in patients with MERTK-expressing ALL. See, FIGS. 5A-B; 6A-6H; 7A-D.
Example 9 Inhibition of Mer Tyrosine Kinase with a Novel Small Molecule Inhibitor is Efficacious in Pre-Clinical Models of Non-Small Cell Lung Cancer
The effects of Mer TKI treatment on activation of MerTK and related members of the TAM-family of kinases, Axl and Tyro3, and effects on downstream proliferative and pro-survival signaling pathways were analyzed by immunoblot. In addition, Mer TKI-mediated anti-tumor activity was determined in a panel of NSCLC cell lines using soft-agar and clonogenic assays. Cells were stained with YoPro-1-iodide and propidium iodide dyes and induction of apoptosis was determined using flow cytometry. Finally, a subcutaneous murine xenograft model was employed to determine therapeutic effects in vivo.
Results: The Mer TKI, MRX6313/UNC2025, blocked MerTK autophosphorylation in numerous cell lines at sub-micromolar concentrations and was highly selective for MerTK over Axl and Tyro3. Treatment also inhibited downstream pro-survival signaling through the ERK1/2 and AKT pathways, which resulted in induction of apoptosis. Additionally, treatment reduced colony-forming potential in soft-agar and clonogenic assays by 85% to 99% in a large panel of cell lines. Sensitivity to the Mer TKI was independent of driver oncogene status, as cell lines positive for EGFR mutations, KRAS mutations, and gene fusions all responded to treatment. Interestingly, RNAi mediated knock-down of Axl enhanced sensitivity to Mer TKI treatment in biochemical and functional assays. Finally, in animals treatment decreased tumor progression resulting in a significant decrease in tumor volume. See FIGS. 8A; 16A-B.
Example 10 A Dual FLT-3 and Mer Tyrosine Kinase Small Molecule Inhibitor in Acute Myeloid Leukemia Cell Lines and Patient Samples
FLT-3 and Mer tyrosine kinases have been previously identified as potential targets in the treatment of acute myeloid leukemia (AML). Expression of FLT-3 internal tandem duplication (ITD) occurs in ˜30-40% of AML patient samples and MerTK overexpression has been detected in ˜80-100%. In this example, a novel first-in-class small molecule inhibitor that has potent activity against both of these kinases and mediates growth inhibition or apoptosis of cell lines and patient myeloblasts is disclosed. UNC1666 is an ATP-competitive reversible small molecule inhibitor that potently inhibits FLT-3 and MerTK, preventing phosphorylation of these kinases and resultant downstream signaling. In these studies, the effects of treatment with UNC1666 were analyzed in FLT3-ITD-positive (Molm-13 and MV4;11) and MERTK-positive (Kasumi-1 and U937) AML cell lines and in primary AML patient samples with variable expression of FLT3-ITD and MerTK. Short term exposure to UNC1666 in cell lines that express either a FLT3-ITD or MerTK resulted in a dose-dependent decrease in AKT and STATE activation compared to cells treated with vehicle, confirming that UNC1666 inhibits both targets in cell-based assays. AML cell lines were also stained with Yo-Pro-1 iodide and propidium iodide and analyzed by flow cytometry to determine induction of apoptosis in response to treatment with UNC1666. Treatment of MERTK-positive cell lines with UNC1666 resulted in a two to five-fold induction of apoptosis relative to vehicle-treated cells (66±10% and 20±10% apoptotic cells respectively; p<0.01). Treatment of FLT3-ITD cell lines with UNC1666 resulted in an even more dramatic nine-fold induction of apoptosis (90±6% verses10±2% in vehicle-treated cultures, p<0.001). When AML cell lines were cultured in soft agar, treatment with the dual inhibitor resulted in decreased colony formation compared to cells treated with vehicle (relative colony counts were 100 for vehicle-treated cultures versus, 34±15 for MERTK-positive cell lines and 15±12 for FLT3-ITD cell lines treated with UNC1666, p<0.01). Six primary patient samples that were MerTK and/or FLT3-ITD positive were analyzed in similar assays and exhibited dose-dependent induction of apoptosis and near complete inhibition of colony formation in methylcellulose after treatment with UNC1666. See, FIGS. 4A-F.
Example 11 Targeted Inhibition of MER Tyrosine Kinase in the Tumor Microenvironment Decreases Tumor Growth in a Mouse Model of Breast Cancer
To further investigate the utility of MerTK inhibition in the tumor microenvironment as a therapeutic strategy, the efficacy of a first in class MERTK-selective, orally bioavailable, small molecule tyrosine kinase inhibitor (MRX6313/UNC2025) was evaluated in immunocompetent C57Bl/6 mice implanted orthotopically with PyVmT mammary gland tumor cells. These PyVmT tumors cells do not express MerTK, AXL or TYRO3. Treatment with MRX6313/UNC2025 inhibited phosphorylation of MerTK in mouse macrophages in vitro, but did not affect survival of macrophages or MERTK-negative PyVmT tumor cells. However, after four weeks of daily treatment with MRX6313/UNC2025, primary tumor growth was reduced two-fold compared to vehicle-treated tumor bearing mice. Serum IL-10 and IL-4 levels were reduced by 20% and 30%, respectively, in MRX6313/UNC2025 treated tumor-bearing mice compared to vehicle treated tumor-bearing mice. Taken together, these data suggest that MerTK inhibition in the tumor microenvironment reduces tumor growth by altering the immunosuppressive environment and stimulating anti-tumor immunity. Moreover, these data validate MRX6313/UNC2025 as a promising strategy for immune-mediated treatment of breast cancer. See, FIGS. 10A-10C and FIGS. 19A and 19B.
Example 12 Treatment of FLT3-ITD Mutation Containing Cell Lines (Molm14 and MV4;11) with a FLT3 Inhibitor
Two cell lines known to express a FLT3-ITD mutation (Molm14 and MV4;11) were treated with a novel FLT3 inhibitor MRX-2843/UNC2371 (Formula IV) which has high specificity for FLT3. MRX-2843/UNC2371 potently inhibits MerTK and FLT3 with enzymatic IC50 values of 1.3 nM and 0.64 nM, respectively. The MV4;11 cell line has low MerTK expression, while the Molm14 cell line does not express MerTK. As can be seen in FIG. 23A, immunoprecipitation of FLT3-ITD positive AML cell lines after 1 h treatment with MRX-2843/UNC2371 demonstrate decreased phosphorylation of FLT3 (pFLT3) in comparison to total FLT3. As can be seen in FIG. 23B, treatment of AML cell lines with increasing doses of MRX-2843/UNC2371 leads to decreased phosphorylation of downstream signaling proteins STAT5, AKT, and ERK1/2 in comparison to DMSO and control TKI. In addition, an AML cell line that expresses MerTK and does not have activating mutations in FLT3 (U937, Kasumi-1) also showed abrogated activation of intracellular signaling pathways downstream of FLT3 and MerTK, including AKT and ERK1/2, when treated with 25-300 nM MRX-2843/UNC2371 (data not shown).
Example 13 AML Cell Lines Treated with Mer/Flt3 Inhibitors
Signaling in AML cell lines was analyzed after 1 hr treatment with MRX-2843/UNC2371. Whole cell lysates or IPs were resolved on 8% Tris-Glycine SDS-PAGE gels, then transferred to a nitrocellulose membrane, which were probed for phospho-proteins. Blots were then stripped and re-probed for the total protein, or actin (loading control). Cell lines were assessed for apoptosis by flow cytometry after staining with Yo-Pro-1 iodide and propidium iodide after 72 hour treatment. As can be seen in FIG. 24A, in FLT3-ITD+ AML cell lines, MRX-2843/UNC2371 induces apoptosis and inhibits cell proliferation. In the Molm14 cell line, treatment with MRX-2843/UNC2371 resulted in induction of apoptosis in 84±2% of cells, compared to 5±2% after vehicle treatment (p<0.001).
Example 14 Apoptosis in AML Cell Lines Treated with MER/FLT3 Inhibitors
AML cell lines were plated in equal number in soft agar, then colony number analyzed after incubation at 37° C. for 14 days. Colonies were counted using a Gel Count automated colony counter. As can be seen in FIG. 24A, AML cell lines treated for 72 h with MRX-2843/UNC2371 demonstrate significantly increased apoptosis after staining with Yo-Pro-1 iodide and propidium iodide and undergoing flow cytometric analysis. As is illustrated in FIG. 24B, FLT3-ITD AML cell lines colony formation in soft agar is inhibited by treatment with MRX-2843/UNC2371 (80-90% reduction in colony number); colony number is relative to vehicle-treated cells.
Example 15 MOLM14 Xenograft Model of FLT3-ITD AML Treated with MER/FLT3 Inhibitors
A Molm14 xenograft was established by injection of 2.5×106 cells into NSG mice via tail vein. On day 4 after injection mice were started on daily therapy with 50 mg/kg MRX-2843/UNC2371 or saline via oral gavage. Mice were treated through day 100 then observed for relapse. As is illustrated in FIG. 25A, daily treatment with MRX-2843/UNC2371 via oral gavage significantly prolongs survival in a minimal residual disease model of FLT3-ITD AML (median survival of 107 days after MRX-2843/UNC2371 treatment versus 33 days in control mice, p<0.01).
Example 16 Patient-Derived Xenograft Model of FLT3-ITD AML Treated with MER/FLT3 Inhibitors
A patient-derived xenograft model was established with cells from a patient with FLT3-ITD+ AML. NSG mice were sublethally irradiated and then 5×106 cells were injected via tail vein. Mice were started on therapy in the same fashion as above once peripheral blast counts reached ˜10%. As is illustrated in FIG. 25B, MRX-2843/UNC2371 prolongs survival in a pilot study of a patient-derived xenograft model of FLT3-ITD AML (median survival of 96 days after MRX-2843/UNC2371 treatment versus 16 days in control mice, n=4, p<0.01).
Example 17 FLT3-ITD AML Cell Lines with Acquired D835Y (Activation Loop) or F691L (Gatekeeper) Mutations
Two cell line derivatives of the human FLT3-ITD AML cell line Molm14, which acquired either the D835Y (activation loop) or F691L (gatekeeper) mutation after selection in escalating doses of the FLT3 inhibitor AC220, were used to test the activity of MRX-2843 against clinically relevant FLT3 point mutations. Treatment with MRX-2843/UNC2371 resulted in a significant reduction in the number of viable cells after 48 hours of culture in Molm14, Molm14:D835Y, and Molm14:F691L with IC50 values of 17, 20, and 30 nM, respectively. In both mutant cell lines, MRX-2843/UNC2371 potently inhibited phosphorylation of FLT3 and abrogated activation of downstream intracellular signaling molecules. Treatment with MRX-2843/UNC2371 induced cell death in Molm14:D835Y (80±7% versus 10±1%, p<0.001) and in Molm14:F691L (61±16% versus 12±1%, p<0.001). In contrast, both cell lines were resistant to treatment with AC220 at concentrations 20-fold higher than the inhibitory concentration in the parental line (data not shown).
Example 18 MOLM14:D835Y Xenograft Model
A Molm14:D835Y xenograft model was established by injection of 2.5×106 Molm14:D835Y cells into NSG mice via tail vein. The D835Y mutation in the activation loop confers resistance to the FLT3 inhibitor AC220. On day 4 after injection, mice were started on daily therapy with 50 mg/kg MRX-2843/UNC2371, 10 mg/kg AC220, or saline via oral gavage. Mice were treated through day 100 then observed for relapse. As is illustrated in FIG. 25C, treatment with the FLT3 inhibitor AC220 had little effect on the survival of mice in the Molm14:D835Y xenograft murine model of AC220-resistant AML (Median survival; Saline control=33 days v. 10 mg/kg AC220=48 days). In contrast, daily treatment with MRX-2843/UNC2371 via oral gavage significantly prolonged survival of mice in the Molm14:D835Y xenograft murine model of AC220-resistant AML (Median survival; Saline control=33 days v. 50 mg/kg MRX-2843/UNC2371=103 days) (n=5, p<0.01).
Example 19 MOLM14:F691L Xenograft Model
A Molm14:F691L xenograft model was established by injection of 2.5×106 Molm14: F691L cells into NSG mice via tail vein. The F691L mutation confers resistance to the FLT3 inhibitor AC220. On day 4 after injection, mice were started on daily therapy with 50 mg/kg MRX-2843/UNC2371, 10 mg/kg AC220, or saline via oral gavage. Mice were treated through day 100 then observed for relapse. As is illustrated in FIG. 25D, treatment with the FLT3 inhibitor AC220 had little effect on the survival of mice in the Molm14: F691L xenograft murine model of AC220-resistant AML (Median survival; Saline control=55 days v. 10 mg/kg AC220=65.5 days). Daily treatment with MRX-2843/UNC2371 via oral gavage prolonged survival of mice in the Molm14:F691L xenograft murine model of AC220-resistant AML (Median survival; Saline control=55 days v. 50 mg/kg MRX-2843/UNC2371-67 days). In an additional experiment, treatment of Molm14:F691L xenograft model mice was started on day 38 (daily therapy with 50 mg/kg MRX-2843/UNC2371, 10 mg/kg AC220, or saline via oral gavage). Here, treatment with MRX-2843/UNC2371 significantly prolonged median survival (87 days) vs. saline control (44.5 days) and AC220 treatment (57 days). See FIGS. 26A and 26B.
Example 20 MERTK Inhibitors Mediate Synergistic Inhibition of Platelet Activation and Arterial/Venous Thrombosis when Combined with ADP/P2Y Inhibitors
6-12-week old C57BL/6 mice (The Jackson Laboratory, Bar Harbor, Me.), are fed low-soy laboratory chow to prevent interactions from genestein, a phytoestrogen with tyrosine kinase inhibitor activity. Approximately equal numbers of male and female mice are used for all experiments to limit any potential skewing of results by sex-based differences in thrombosis. The mice are anesthetized with intraperitoneal sodium pentobarbital (60-90 mg·kg−1 loading dose, 10 to 20 mg/kg−1 maintenance dose as needed to maintain adequate anesthesia as measured by paw pressure response). The mice are then fixed in the supine position to a polycarbonate experimental platform under a dissecting microscope (Olympus SZ61 Infinity Lite, Olympus Equipment). A rectal temperature probe is used in conjunction with a heating pad to monitor and maintain temperature at 37±1° C. A 2 cm vertical midline ventral cervical incision is made to expose the trachea, which is then horizontally incised and cannulated with a rigid endotracheal tube (Harvard MiniVent type 845, Harvard Apparatus) secured with a 4-0 silk tie, and attached to a ventilator (Harvard MiniVent type 845, Harvard Apparatus), which delivered a 200 μL stroke volume and 80 breaths per minute. The carotid artery is exposed by dissection, allowing for attachment of a microvascular ultrasonic flow probe (Transonic Flowprobe, Transonic Systems, Ithaca, N.Y.), and the cavity is flooded with NaCl to prevent tissue dehydration. A 1 mm×5 mm strip of Parafilm (Pechiney Plastic Packaging, Chicago, Ill.) is placed perpendicular to, and immediately posterior to, the artery to separate it from other cavity tissue. NaCl (negative control), Mer TKI (3 mg/kg in NaCl), 2 abciximab (positive control), HD ADPis in NaCl (3 mg/kg MRS2179+3 mg/kg 2-MeSAMP), LD ADPis (1.5 mg/kg MRS2179+1.5 mg/kg 2-MeSAMP), or a combination of Mer TKI and LD ADPis are injected and allowed to circulate for 30 minutes. The cavity is then dried and a 1.2 mm diameter circle of filter paper (Whatman Ltd, Chippenham, Wiltshire, UK) is saturated with 6% FeCl3 (˜60 μM, Fisher) for 10 seconds, and placed on the artery, proximal to the ultrasound probe, for 3 minutes to create the injury. Then, the Parafilm and filter paper are removed, the cavity is flooded with saline, and the flow probe readout is analyzed using LabChart software (AD Instruments, CO Springs, Colo.). Elapsed Time To First (initial) artery Occlusion (TTFO, mean blood flow of 0 mL/min flow for >30 seconds), and total Duration Of Occlusion time (DOO, mean blood flow<20% of pre-FeCl3 baseline) is measured during the 60 minutes following FeCl3 application. Values are expressed as mean+/−SEM, with significance determined by unpaired, two-tailed Student's t-test.
FIG. 20a demonstrates that FeCl3 application induced longer (slower) TTFO in mice pre-treated with high dose (HD, 3 mg/kg) ADP/P2Y1&12 antagonists (ADPis: MRS2179 [P2Y1 inhibitor]+2-MeSAMP [P2Y12 inhibitor], or 3 mg/kg UNC2025 compared to vehicle controls. Mice pre-treated with low dose (LD, 1.5 mg/kg) ADPis, however, exhibited shorter (faster) TTFO. Combination of 3 mg/kg UNC2025 and LD ADPis, however, recapitulated the longer TTFO seen with the HD ADPis.
Similarly, FIG. 20b shows that FeCl3 application induced shorter total DOO in mice pre-treated with HD ADPis or 3 mg/kg UNC2025, compared to vehicle control. Mice pre-treated with LD ADPis, however, exhibited longer DOO. Combination of 3 mg/kg UNC2025 and LD ADPis, however, recapitulated the shorter DOO seen with the HD ADPis.
FIG. 20c shows that survival times following venous injection of collagen and epinephrine significantly differed between mice treated with HD ADPis or 3 mg/kg UNC2025, compared to vehicle control. Mice treated with LD ADPis, however, exhibited shorter survival times. Interestingly, combination of 3 mg/kg UNC2025 and LD ADPis recapitulated the longer survival times seen with the HD ADPis.
Tail bleeding times (FIG. 20d ) were not different between untreated WT control mice and mice pre-treated with UNC2025, LD ADPis, or the combination of UNC2025+LD ADPis. However, mice pre-treated with HD ADPis or abciximab had statistically significantly prolonged tail bleeding times.
ADP/P2Y1&12 antagonists and UNC2025 both mediated decreased aggregation of washed human platelets, as seen in FIG. 20e . Mean maximum aggregation in 1 μM UNC2025- and 100 μM ADPi-treated samples showed significantly decreased aggregation compared to vehicle- and null TKI-treated controls. A synergistic decrease in aggregation was seen in samples treated with a combination of 100 μM ADPis and 1 μM UNC2025. The Chou-Talalay Combination Index was 0.78, indicating synergy. Similarly, the Bliss additivity equation predicted 31% aggregation inhibition for an additive interaction, but a 60% inhibition was actually observed, (p<0.05), also consistent with a synergistic effect for the combination.
Example 21 Selectivity of Active Compounds for MERTK
Inhibition constants of MerTK, Flt3, Tyro3 and Axl kinase activity by an active compound as described herein is determined at the Km for ATP using a microfluidic capillary electrophoresis (MCE) assay in which phosphorylated and unphosphorylated substrate peptides were separated and analyzed using a LabChip EZ Reader. See, Liu J, et al. UNC1062, a new and potent MerTK inhibitor. Eur J Med Chem. 2013; 65:83-93; Liu J, et al. Discovery of novel small molecule MerTK kinase inhibitors for the treatment of pediatric acute lymphoblastic leukemia. ACS Med Chem Lett. 2012; 3:129-134; Pommereau A, Pap E, Kannt A. Two simple and generic antibody-independent kinase assays: comparison of a bioluminescent and a microfluidic assay format. J Biomol Screen. 2004; 9: 409-416; Dunne J, Reardon H, Trinh V, Li E, Farinas J. Comparison of on-chip and off-chip microfluidic kinase assay formats. Assay Drug Dev Technol. 2004; 2:121-129; Bernasconi P, Chen M, Galasinski S, Popa-Burke I, Bobasheva A, Coudurier L, Birkos S, Hallam R, Janzen W P. A chemogenomic analysis of the human proteome: application to enzyme families. J Biomol Screen. 2007; 12:972-982.
Briefly, activity assays were performed in a 384 well, polypropylene microplate in a final volume of 50 μl, of 50 mM Hepes, Ph 7.4 containing 10 mM MgCl2, 1.0 mM DTT, 0.01% Triton X-100, 0.1% Bovine Serum Albumin (BSA), containing 1.0 μM fluorescent substrate and ATP at the Km for each enzyme. All reactions were terminated by addition of 20 μL of 70 mM EDTA. After a 180 min incubation, phosphorylated and unphosphorylated substrate peptides were separated in buffer supplemented with 1×CR-8 on a LabChip EZ Reader equipped with a 12-sipper chip. Data were analyzed using EZ Reader software.
Kinase  ATP
Kinase Peptide Substrate (nM) (uM)
Mer 5-FAM-EFPIYDFLPAKKK-CONH2 2.0 5.0
(SEQ ID NO: 1)
Axl 5-FAM-KKKKEEIYFFF-CONH 2 120 65
(SEQ ID NO: 2)
Tyro 5-FAM-EFPIYDFLPAKKK-CONH 2 10 21
(SEQ ID NO: 3)
TABLE 7
SELECTIVITY OF ACTIVE COMPOUNDS AGAINST MERTK,
AXL, TYRO3, AND FLT3
Compound_ID IC50 Data (nM)
UNC1970A Tyro3 24 nM
IC50 MerTK 1.1 nM
Axl 91 nM
Flt3 2 nM
UNC1971A Tyro3 11 nM
IC50 MerTK 0.73 nM
Axl 23 nM
UNC1972A Tyro3 6.3 nM
IC50 MerTK 0.72 nM
Axl 16 nM
UNC2025A Flt3 1.3 nM
IC50 MerTK 1.1 nM
Tyro3 19 nM
Axl 14 nM
UNC2026A IC50 MerTK 1.8 nM
Axl 21 nM
Tyro3 26 nM
Flt3 2.8 DM
UNC2087A IC50 MerTK 1.3 nM
Axl 38 nM
Tyro3 34 nM
UNC2078A Axl 23 nM
IC50 MerTK 0.54 nM
Tyro3 25 nM
UNC2094A IC50 MerTK 3.9 nM
Tyro3 123 nM
Axl 421 DM
UNC2095A IC50 MerTK 0.92 nM
Axl 152 nM
Tyro3 61 nM
Flt3 1.3 nM
UNC2123A Tyro3 28 nM
IC50 MerTK 0.89 nM
Axl 94 nM
Flt3 1 DM
UNC2124A Tyro3 84 nM
IC50 MerTK 1.6 nM
Axl 71 nM
Flt3 0.75 nM
UNC2125A Tyro3 44 nM
IC50 MerTK 1.6 nM
Axl 203 nM
UNC2142A IC50 MerTK 2.1 nM
Tyro3 49 nM
Axl 51 DM
Flt3 2.8 nM
UNC2143A IC50 MerTK 0.97 nM
Tyro3 24 nM
Axl 19 nM
UNC2146A IC50 MerTK 1.4 DM
Tyro3 31 DM
Axl 38 nM
UNC2253A IC50 MerTK 1.9 nM
Tyro3 157 nM
Axl 245 nM
Flt3 1.7 nM
UNC2367A IC50 MerTK 1.6 nM
Tyro3 45 nM
Flt3 3.1 nM
Axl 32 nM
UNC2368A IC50 MerTK 2.3 nM
Tyro3 128 nM
Flt3 3.2 DM
Axl 94 nM
UNC2370A IC50 MerTK 2.3 nM
Tyro3 100 nM
Flt3 2 nM
Axl 68 nM
UNC2371A IC50 MerTK 0.97 nM
Tyro3 16 nM
Flt3 1.2 nM
Axl 10 nM
UNC2395A IC50 MerTK 1.6 nM
Tyro3 223 nM
Axl 136 nM
Flt3 3.3 nM
UNC2396A IC50 MerTK 0.93 nM
Tyro3 88 nM
Axl 32 nM
Flt3 2.1 nM
UNC1651A Axl 243 nM
IC50 MerTK 5.4 nM
Tyro3 167 nM
Flt3 8.3 nM
UNC1652A Axl 609 nM
IC50 MerTK 7.8 nM
Tyro3 256 nM
UNC1666A IC50 MerTK 1.4 nM
Tyro3 41 nM
Axl 44 nM
Flt3 2.2 nM
UNC1667A IC50 MerTK 0.42 nM
Tyro3 21 nM
Axl 16 nM
UNC1668A IC50 MerTK 2.3 nM
Tyro3 169 nM
Axl 137 nM
UNC1669A IC50 MerTK 0.57 nM
Tyro3 33 nM
Axl 22 nM
Flt3 1.2 nM
UNC1670A IC50 MerTK 1.1 nM
Tyro3 57 nM
Axl 67 nM
Flt3 1.6 nM
UNC2369A IC50 MerTK 398 nM
Tyro3 11108 nM
Flt3 483 nM
Axl 3948 nM
UNC4308A Axl 60 nM
IC50 MerTK 8.2 nM
Tyro3 26 nM
Flt3 5 nM
UNC4309A Axl 533 nM
IC50 MerTK 7.5 nM
Tyro3 406 nM
Flt3 15 nM
UNC4311A Axl 77 nM
IC50 MerTK 7.6 nM
Tyro3 45 nM
Flt3 5.3 nM
UNC4319A Tyro3 18 nM
Axl 29 nM
Flt3 2 nM
IC50 MerTK 2.6 nM
UNC4320A Tyro3 42 nM
Axl 49 nM
IC50 MerTK 12 nM
Flt3 8.3 nM
UNC4321A Tyro3 747 nM
Axl 1073 nM
IC50 MerTK 25 nM
Flt3 50 nM
UNC4218A IC50 MerTK 3.4 nM
Tyro3 14 nM
Axl 24 nM
Flt3 3 nM
UNC4291A Axl 26 nM
IC50 MerTK 3.5 nM
Tyro3 22 nM
Flt3 1.5 nM
UNC4292A IC50 MerTK 72 nM
Axl 1613 nM
Tyro3 721 nM
Flt3 248 nM
UNC4310A Axl 1230 nM
IC50 MerTK 80 nM
Tyro3 1060 nM
Flt3 220 nM
The foregoing is illustrative of the present invention, and is not to be construed as limiting thereof. The invention is defined by the following claims, with equivalents of the claims to be included therein.

Claims (12)

The invention claimed is:
1. A method for treating a host with a medical disorder in need of immunostimulatory adjunctive therapy in combination with a direct acting drug for the medical disorder, comprising administering an adjunctively immunostimulatory effective amount of a compound of Formula II, IIA, or IIB:
Figure US09555031-20170131-C00103
wherein:
one of X and X′ is N and the other of X and X′ is C;
one of the dashed lines is a single bond, between a ring carbon atom and a ring nitrogen atom, and the other of the dashed lines is a double bond, between two ring carbon atoms;
R11 is —R9(R10)n, where R9 is alkyl, alkenyl, -alkylaryl, heterocyclo, aryl, heteroaryl and R10 is —O-alkylaryl, cycloalkyl, cycloalkylalkyl, cycloalkoxy, cycloalkylalkyloxy, heterocyclo, heterocycloalkyl, alkylheterocycloalkyl, heterocyclooxy, heterocycloalkyloxy, aryl, arylalkyl, aryloxy, arylalkyloxy, heteroaryl, alkylheteroaryl, cycloalkylamino, cycloalkylalkylamino, and wherein R10 is optionally substituted one, two or three times;
n=0, 1 or 2;
R12 is —R16R19, where R16 is a covalent bond or C1 to C3 alkyl and R19 is cycloalkyl, cycloalkylalkyl, heterocyclo, heterocycloalkyl, aryl, arylalkyl, heteroaryl, or heteroarylalkyl, and wherein R19 is optionally substituted one, two or three times;
R13 is NR17R18, where;
R17 is selected from the group consisting of H, alkyl, hydroxyalkyl, aryl, arylalkyl, cycloalkyl, cycloalkylalkyl, heterocyclo, heterocycloalkyl, alkylheterocycloalkyl, heteroaryl, heteroarylalkyl, and alkoxyalkyl, each of which is optionally substituted one, two or three times;
R18 is selected from the group consisting of H, alkyl, hydroxyalkyl, aryl, arylalkyl; cycloalkyl, cycloalkylalkyl, heterocyclo, heterocycloalkyl, alkylheterocycloalkyl, heteroaryl, heteroarylalkyl, and alkoxyalkyl, each of which is optionally substituted one, two or three times; or
R17 and R18 together with the nitrogen to which they are bonded can form a heterocyclic group that can be optionally substituted;
R14 is H, loweralkyl, halo, or loweralkoxy;
R15 is H, loweralkyl, halo, or loweralkoxy;
or a pharmaceutically acceptable salt thereof.
2. The method of claim 1, wherein the compound is:
Figure US09555031-20170131-C00104
wherein R21 is heterocycle;
R22 and R23 are each independently hydrogen, alkyl, cycloalkyl, or cycloalkylalkyl.
3. The method of claim 1, wherein the compound is:
Figure US09555031-20170131-C00105
4. The method of claim 1, wherein the medical disorder is a viral infection.
5. The method of claim 1, wherein the medical disorder is a bacterial infection.
6. The method of claim 4, wherein the viral infection is caused by a virus selected from the group consisting of a Flavivirus, Hepacivirus, Pegivirus, Pestivirus, Filovirus, Togavaus, Coronavirus, Orthomyxovirus, Paramyxovirus, Calicivirus, and Lentivirus.
7. The method of claim 4, wherein the virus is Chikungunya.
8. The method of claim 4, wherein the virus is HCV.
9. The method of claim 4, wherein the virus is HIV.
10. The method of claim 5, wherein the bacterial infection is caused by a bacterium selected from the group consisting of Escherichia coli, Staphylococcus aureus, Enterococcus faecalis, and Streptococcus pneumoniae.
11. The method of claim 3, wherein the medical disorder is a MERTK-negative (−/−) tumor or cancer.
12. The method of claim 11, wherein the MERTK-negative (−/−) cancer is a MERTK-negative (−/−) breast cancer.
US14/678,905 2014-04-11 2015-04-03 Therapeutic uses of selected pyrrolopyrimidine compounds with anti-mer tyrosine kinase activity Active US9555031B2 (en)

Priority Applications (2)

Application Number Priority Date Filing Date Title
US14/678,905 US9555031B2 (en) 2014-04-11 2015-04-03 Therapeutic uses of selected pyrrolopyrimidine compounds with anti-mer tyrosine kinase activity
US15/419,642 US10004755B2 (en) 2014-04-11 2017-01-30 Therapeutic uses of selected pyrrolopyrimidine compounds with anti-mer tyrosine kinase activity

Applications Claiming Priority (10)

Application Number Priority Date Filing Date Title
US201461978290P 2014-04-11 2014-04-11
US201461978321P 2014-04-11 2014-04-11
US201461978281P 2014-04-11 2014-04-11
US201461978443P 2014-04-11 2014-04-11
US201461978268P 2014-04-11 2014-04-11
US201461978485P 2014-04-11 2014-04-11
US201461978513P 2014-04-11 2014-04-11
US201461994384P 2014-05-16 2014-05-16
US201462088159P 2014-12-05 2014-12-05
US14/678,905 US9555031B2 (en) 2014-04-11 2015-04-03 Therapeutic uses of selected pyrrolopyrimidine compounds with anti-mer tyrosine kinase activity

Related Child Applications (1)

Application Number Title Priority Date Filing Date
US15/419,642 Continuation US10004755B2 (en) 2014-04-11 2017-01-30 Therapeutic uses of selected pyrrolopyrimidine compounds with anti-mer tyrosine kinase activity

Publications (2)

Publication Number Publication Date
US20150290197A1 US20150290197A1 (en) 2015-10-15
US9555031B2 true US9555031B2 (en) 2017-01-31

Family

ID=54264154

Family Applications (7)

Application Number Title Priority Date Filing Date
US14/678,905 Active US9555031B2 (en) 2014-04-11 2015-04-03 Therapeutic uses of selected pyrrolopyrimidine compounds with anti-mer tyrosine kinase activity
US14/678,678 Active US9603850B2 (en) 2014-04-11 2015-04-03 MerTK-specific pyrazolopyrimidine compounds
US14/678,540 Abandoned US20150291609A1 (en) 2014-04-11 2015-04-03 Mertk-specific pyrimidine compounds
US14/678,879 Active US9555030B2 (en) 2014-04-11 2015-04-03 Therapeutic uses of selected pyrazolopyrimidine compounds with anti-Mer tyrosine kinase activity
US14/678,898 Active US9649309B2 (en) 2014-04-11 2015-04-03 Therapeutic uses of selected pyrimidine compounds with anti-Mer tyrosine kinase activity
US14/678,830 Abandoned US20150291606A1 (en) 2014-04-11 2015-04-03 Mertk-specific pyrrolopyrimidine compounds
US15/419,642 Active US10004755B2 (en) 2014-04-11 2017-01-30 Therapeutic uses of selected pyrrolopyrimidine compounds with anti-mer tyrosine kinase activity

Family Applications After (6)

Application Number Title Priority Date Filing Date
US14/678,678 Active US9603850B2 (en) 2014-04-11 2015-04-03 MerTK-specific pyrazolopyrimidine compounds
US14/678,540 Abandoned US20150291609A1 (en) 2014-04-11 2015-04-03 Mertk-specific pyrimidine compounds
US14/678,879 Active US9555030B2 (en) 2014-04-11 2015-04-03 Therapeutic uses of selected pyrazolopyrimidine compounds with anti-Mer tyrosine kinase activity
US14/678,898 Active US9649309B2 (en) 2014-04-11 2015-04-03 Therapeutic uses of selected pyrimidine compounds with anti-Mer tyrosine kinase activity
US14/678,830 Abandoned US20150291606A1 (en) 2014-04-11 2015-04-03 Mertk-specific pyrrolopyrimidine compounds
US15/419,642 Active US10004755B2 (en) 2014-04-11 2017-01-30 Therapeutic uses of selected pyrrolopyrimidine compounds with anti-mer tyrosine kinase activity

Country Status (7)

Country Link
US (7) US9555031B2 (en)
EP (2) EP3129377A4 (en)
JP (2) JP2017513942A (en)
CN (2) CN106459063A (en)
AU (2) AU2015244171A1 (en)
CA (2) CA2945129A1 (en)
WO (6) WO2015157128A1 (en)

Cited By (3)

* Cited by examiner, † Cited by third party
Publication number Priority date Publication date Assignee Title
US20170136043A1 (en) * 2014-04-11 2017-05-18 The University Of North Carolina At Chapel Hill Therapeutic uses of selected pyrrolopyrimidine compounds with anti-mer tyrosine kinase activity
US10179133B2 (en) 2011-10-03 2019-01-15 The University Of North Carolina At Chapel Hill Pyrrolopyrimidine compounds for the treatment of cancer
US10709708B2 (en) 2016-03-17 2020-07-14 The University Of North Carolina At Chapel Hill Method of treating cancer with a combination of MER tyrosine kinase inhibitor and an epidermal growth factor receptor (EGFR) inhibitor

Families Citing this family (50)

* Cited by examiner, † Cited by third party
Publication number Priority date Publication date Assignee Title
WO2013177168A1 (en) 2012-05-22 2013-11-28 The University Of North Carolina At Chapel Hill Pyrimidine compounds for the treatment of cancer
TWI630194B (en) 2013-03-14 2018-07-21 凱立拉製藥公司 Bicyclic analgesic compound
EP3080072A4 (en) 2013-12-12 2017-07-19 Kalyra Pharmaceuticals, inc. Bicyclic alkyl compounds and synthesis
BR112016017256A2 (en) 2014-02-04 2017-10-17 Merck Sharp & Dohme combination of a pd-1 antagonist and a vegfr inhibitor for cancer treatment
WO2015134710A1 (en) 2014-03-07 2015-09-11 Kalyra Pharmaceuticals, Inc. Propellane derivates and synthesis
ES2883115T3 (en) * 2014-08-25 2021-12-07 Hoffmann La Roche Two-electrode test strip that compensates for interference
US10308609B2 (en) 2014-09-17 2019-06-04 Zeno Royalties & Milestones, LLC Bicyclic compounds
WO2016205334A1 (en) 2015-06-16 2016-12-22 Vascular Strategies Llc Drug delivery and imaging chemical conjugate, formulations and methods of use thereof
US9682047B2 (en) * 2015-07-08 2017-06-20 Therapeutic Solutions International, Inc. Augmentation of oncology immunotherapies by pterostilbene containing compositions
US10526309B2 (en) * 2015-10-02 2020-01-07 The University Of North Carolina At Chapel Hill Pan-TAM inhibitors and Mer/Axl dual inhibitors
MX387515B (en) * 2015-10-29 2025-03-18 Merck Sharp & Dohme Llc FACTOR XIA INHIBITORS.
EP3957304A1 (en) 2015-11-25 2022-02-23 IO Therapeutics, Inc. Use of cyp26-resistant rar alpha selective agonists in the treatment of cancer
US20190060257A1 (en) * 2016-03-16 2019-02-28 Zeno Royalties & Milestones, LLC Analgesic compounds
CN105949196B (en) * 2016-05-18 2018-06-29 南京富润凯德生物医药有限公司 A kind of preparation method of MER/FLT3 double inhibitors intermediate
WO2018005356A1 (en) * 2016-06-27 2018-01-04 Rigel Pharmaceuticals, Inc. 2,4-diamino-pyrimidine compounds and method for making and using the compounds
EP3503887A4 (en) 2016-08-24 2020-05-06 Ignyta, Inc. COMBINATIONS FOR THE TREATMENT OF CANCER
CN109843324A (en) 2016-10-06 2019-06-04 辉瑞公司 AVELUMAB therapeutic regimen for treating cancer
CN110177553A (en) * 2016-11-17 2019-08-27 北卡罗来纳大学教堂山分校 Alkyl Pyrrolopyrimidine is like object and its preparation and application
JP7300394B2 (en) 2017-01-17 2023-06-29 ヘパリジェニックス ゲーエムベーハー Protein kinase inhibition to promote liver regeneration or reduce or prevent hepatocyte death
KR102382641B1 (en) * 2017-05-02 2022-04-29 한국화학연구원 Novel TYRO 3 inhibitory compounds, preparation method thereof, pharmaceutical composition for use in preventing or treating TYRO 3 relating diseases containing the same as an active ingredient
CN117736188A (en) 2017-05-02 2024-03-22 韩国化学研究院 Composition for preventing or treating Tyro 3-related diseases comprising pyrimidine derivative compound as active ingredient
WO2018213140A1 (en) 2017-05-15 2018-11-22 Zeno Royalties & Milestones, LLC Analgesic compounds
WO2019006548A1 (en) * 2017-07-04 2019-01-10 Trillium Therapeutics Inc. Fluorinated 2,4-diaminopyrimidine compounds as mer tyrosine kinase (mertk) inhibitors and uses thereof
CA3069676A1 (en) 2017-07-13 2019-01-17 Io Therapeutics, Inc. Immunomodulatory retinoid and rexinoid compounds in combination with immune modulators for cancer immunotherapy
US10363272B2 (en) 2017-08-31 2019-07-30 Io Therapeutics, Inc. RAR selective agonists in combination with immune modulators for cancer immunotherapy
KR102383561B1 (en) * 2017-09-07 2022-04-06 한국화학연구원 Tetrahydroisoquinoline substituted pyrimidine derivative, optical isomer thereof, or pharmaceutically acceptable salts thereof, and composition comprising its same for preventing or treating of cancer
KR102440296B1 (en) * 2017-09-07 2022-09-06 한국화학연구원 Pyrazole substituted pyrimidine derivative, optical isomer thereof, or pharmaceutically acceptable salts thereof, and composition comprising its same for preventing or treating of cancer
TWI820044B (en) 2017-09-29 2023-11-01 日商第一三共股份有限公司 Antibody-pyrrolobenzodiazepine derivative complex
WO2019113190A1 (en) * 2017-12-07 2019-06-13 Array Biopharma Inc. Bicyclic fused pyridine compounds as inhibitors of tam kinases
FR3075794A1 (en) * 2017-12-21 2019-06-28 Galderma Research & Development NEW MTOR INHIBITOR COMPOUNDS
WO2019222524A1 (en) * 2018-05-16 2019-11-21 The University Of North Carolina At Chapel Hill Alkyl pyrrolopyrimidines as pan-tam inhibitors and their application in cancer treatment
WO2019222509A1 (en) * 2018-05-16 2019-11-21 The University Of North Carolina At Chapel Hill Pyrazolopyrimidines as mertk inhibitors and their application in cancer treatment
US20220008524A1 (en) * 2018-07-31 2022-01-13 Benjamin Pineda Olvera Vaccination with microvesicles derived from tumour cells for cancer treatment
KR102163494B1 (en) * 2018-10-26 2020-10-08 한국과학기술연구원 heteroaromatic macrocyclic derivatives as protein kinase inhibitors
WO2020092187A1 (en) 2018-11-02 2020-05-07 Merck Sharp & Dohme Corp. 2-amino-n-phenyl-nicotinamides as nav1.8 inhibitors
PL3930847T3 (en) * 2019-02-26 2024-07-08 Inspirna, Inc. High-affinity anti-mertk antibodies and uses thereof
TWI843838B (en) * 2019-04-02 2024-06-01 美商Meryx股份有限公司 Polymorphs of a kinase inhibitor, pharmaceutical compositions containing such a compound, preparation methods, and applications
CN111808080B (en) * 2019-04-12 2024-03-08 四川科伦博泰生物医药股份有限公司 Substituted pyridine or pyrimidine compound, preparation method and medical application thereof
WO2020221894A1 (en) * 2019-04-30 2020-11-05 Universität Wien Antiviral compounds
US10702525B1 (en) * 2019-09-04 2020-07-07 United Arab Emirates University Pyrimidine derivatives as anti-diabetic agents
CN114599364A (en) 2019-09-05 2022-06-07 因赛特公司 Ruxolitinib preparation for reducing atopic dermatitis pruritus
CN112759594B (en) * 2019-10-21 2023-06-02 山东轩竹医药科技有限公司 Substituted pyrazolopyrimidine TAM inhibitors and uses thereof
WO2021159050A1 (en) * 2020-02-09 2021-08-12 Hepalink Usa Inc. Compositions and methods for treating coronavirus infection
CN112225728A (en) * 2020-08-18 2021-01-15 四川农业大学 A kind of polysubstituted benzamide compound and its preparation method and application
US12478628B2 (en) * 2020-09-25 2025-11-25 Saint Louis University Germ cell nuclear factor ligands and methods of use thereof
CN113321650B (en) * 2021-05-20 2022-04-12 厦门大学 3-Substituted-5-(substituted aryl)-7-azaindole derivatives and their applications
WO2023235925A1 (en) * 2022-06-07 2023-12-14 Monash University Compounds with mertk activity
EP4655302A1 (en) * 2023-01-27 2025-12-03 The University of North Carolina at Chapel Hill Tyro3 selective inhibitors and uses thereof
WO2025170773A1 (en) * 2024-01-26 2025-08-14 The University Of North Carolina At Chapel Hill Tam-family degraders and uses thereof
CN119059982B (en) * 2024-07-18 2025-09-19 河北科技大学 Hydroxamic acid Mer/HDAC double-target inhibitor and preparation method and application thereof

Citations (69)

* Cited by examiner, † Cited by third party
Publication number Priority date Publication date Assignee Title
WO1997049706A1 (en) 1996-06-25 1997-12-31 Novartis Ag SUBSTITUTED 7-AMINO-PYRROLO[3,2-d]PYRIMIDINES AND THE USE THEREOF
US5958930A (en) 1991-04-08 1999-09-28 Duquesne University Of The Holy Ghost Pyrrolo pyrimidine and furo pyrimidine derivatives
WO2003029209A2 (en) 2001-10-02 2003-04-10 Smithkline Beecham Corporation Chemical compounds
CA2492319A1 (en) 2002-08-21 2004-04-01 Schering Aktiengesellschaft Macrocyclic pyrimidines, the production thereof and the use of the same as medicaments
WO2005009443A1 (en) 2003-06-24 2005-02-03 Amgen Inc. 2-amino-4-hydroxy-5-pyrimidinecarboxamide derivatives and related compounds as inhibitors of t cell activation for the treatment of inflammatory diseases
WO2005028434A2 (en) 2003-09-18 2005-03-31 Conforma Therapeutics Corporation Novel heterocyclic compounds as hsp90-inhibitors
WO2005095382A1 (en) 2004-03-30 2005-10-13 Kyowa Hakko Kogyo Co., Ltd. Anti-tumor agent
US20060025383A1 (en) 2004-02-03 2006-02-02 Neil Wishart Aminobenzoxazoles as therapeutic agents
WO2006035067A2 (en) 2004-09-30 2006-04-06 Tibotec Pharmaceuticals Ltd. Hiv inhibiting 5-heterocyclyl pyrimidines
WO2006071819A1 (en) 2004-12-28 2006-07-06 Exelixis, Inc. [1h-pyrazolo[3, 4-d]pyrimidin-4-yl]-piperidine or -piperazine compounds as serine-theoronine kinase modulators (p70s6k, atk1 and atk2) for the treatment of immunological, inflammatory and proliferative diseases
EP1710246A1 (en) 2005-04-08 2006-10-11 Schering Aktiengesellschaft Sulfoximine-pyrimidine Macrocycles and the salts thereof, a process for making them, and their pharmaceutical use against cancer
WO2007032445A1 (en) 2005-09-16 2007-03-22 Kyowa Hakko Kogyo Co., Ltd. Protein kinase inhibitors
WO2007035963A2 (en) 2005-09-23 2007-03-29 Conforma Therapeutics Corporation Anti-tumor methods using multi drug resistance independent synthetic hsp90 inhibitors
US20070078140A1 (en) 2005-09-30 2007-04-05 Bristol-Myers Squibb Company MET kinase inhibitors
WO2007044426A2 (en) 2005-10-06 2007-04-19 Schering Corporation Pyrazolopyrimidines as protein kinase inhibitors
EP1803723A1 (en) 2006-01-03 2007-07-04 Bayer Schering Pharma Aktiengesellschaft (2,4,9-triaza-1(2,4)-pyrimidina-3(1,3)-benzenacyclononaphan-3^4-yl)-sulfoximide derivatives as selective inhibitors of the aurora kinase for the treatment of cancer
WO2007075554A2 (en) 2005-12-19 2007-07-05 Osi Pharmaceuticals, Inc. Combination of igfr inhibitor and anti-cancer agent
US20070225306A1 (en) 2004-02-14 2007-09-27 Irm Llc Compounds and Compositions as Protein Kinase Inhibitors
WO2007113254A1 (en) 2006-03-30 2007-10-11 Tibotec Pharmaceuticals Ltd. Hiv inhibiting 5-amido substituted pyrimidines
US20070275984A1 (en) 2004-09-17 2007-11-29 Janssen Pharmaceutica N.V. Novel Thieno-Pyridine and Thieno-Pyrimidine Derivatives and Their Use as Positive Allosteric Modulators of Mglur2-Receptors
WO2007134828A1 (en) 2006-05-23 2007-11-29 Novartis Ag Pyrazolo [3, 4-d] pyrimidine derivatives useful to treat respiratory disorders
US20080248046A1 (en) 1997-03-17 2008-10-09 Human Genome Sciences, Inc. Death domain containing receptor 5
US20080267887A1 (en) 2004-10-05 2008-10-30 Neurogen Corporation Pyrrolo-Pyridine, Pyrrolo-Pyrimidine and Related Heterocyclic Compounds
WO2009032694A1 (en) 2007-08-28 2009-03-12 Dana Farber Cancer Institute Amino substituted pyrimidine, pyrollopyridine and pyrazolopyrimidine derivatives useful as kinase inhibitors and in treating proliferative disorders and diseases associated with angiogenesis
WO2009047359A1 (en) 2007-10-12 2009-04-16 Ingenium Pharmaceuticals Gmbh Inhibitors of protein kinases
US7589086B2 (en) 2003-05-28 2009-09-15 Universita Degli Studi Di Siena Substituted pyrazolo[3,4-D]pyrimidines as anti-tumor agents
EP2133095A1 (en) 2007-03-05 2009-12-16 Kyowa Hakko Kirin Co., Ltd. Pharmaceutical composition
WO2010043865A1 (en) 2008-10-17 2010-04-22 Chroma Therapeutics Ltd Inhibitors of hsp90
US20100137313A1 (en) 2008-10-03 2010-06-03 Astrazeneca Ab Heterocyclic derivatives and methods of use thereof
WO2010085597A1 (en) 2009-01-23 2010-07-29 Incyte Corporation Macrocyclic compounds and their use as kinase inhibitors
US20100247554A1 (en) 2007-11-09 2010-09-30 Lemke Greg E Use of tam receptor inhibitors as antimicrobials
WO2010117425A1 (en) 2009-03-31 2010-10-14 Biogen Idec Ma Inc. Certain substituted pyrimidines, pharmaceutical compositions thereof, and methods for their use
WO2010129802A1 (en) 2009-05-06 2010-11-11 Portola Pharmaceuticals, Inc. Inhibitors of jak
US7897607B2 (en) 2004-04-07 2011-03-01 Takeda Pharmaceutical Company Limited Cyclic compounds
WO2011029915A1 (en) 2009-09-10 2011-03-17 Novartis Ag Ether derivatives of bicyclic heteroaryls
WO2011065800A2 (en) 2009-11-30 2011-06-03 주식회사 오스코텍 Pyrimidine derivative, method for preparing same and pharmaceutical composition containing same
WO2011090760A1 (en) 2009-12-29 2011-07-28 Avila Therapeutics, Inc. Heteroaryl compounds and uses thereof
US7998978B2 (en) 2006-05-01 2011-08-16 Pfizer Inc. Substituted 2-amino-fused heterocyclic compounds
WO2011103441A1 (en) 2010-02-18 2011-08-25 Schering Corporation Substituted pyridine and pyrimidine derivatives and their use in treating viral infections
US20110281867A1 (en) 2004-01-21 2011-11-17 Daniel Kalman Compositions and methods of use for tyrosine kinase inhibitors to treat pathogenic infection
WO2011146313A1 (en) 2010-05-19 2011-11-24 The University Of North Carolina At Chapel Hill Pyrazolopyrimidine compounds for the treatment of cancer
US20110319267A1 (en) 2008-09-10 2011-12-29 Numed International, Inc. Aromatic carboxylic acid derivatives for treatment and prophylaxis of gastrointestinal diseases including colon cancers
WO2012053606A1 (en) 2010-10-22 2012-04-26 アステラス製薬株式会社 Arylaminoheterocyclic carboxamide compound
US20120207763A1 (en) 2006-05-26 2012-08-16 Astex Therapeutics Limited Pyrrolopyrimidine compounds and their uses
US20120207764A1 (en) 2005-12-08 2012-08-16 Medarex, Inc. Human monoclonal antibodies to protein tyrosine kinase 7 (ptk7) and methods for using anti-ptk7 antibodies
EP2489663A1 (en) 2011-02-16 2012-08-22 Almirall, S.A. Compounds as syk kinase inhibitors
US20120219559A1 (en) 2009-08-13 2012-08-30 The Johns Hopkins University Methods of modulating immune function
US20120230991A1 (en) 2008-07-29 2012-09-13 Douglas Kim Graham Methods and compounds for enhancing anti-cancer therapy
WO2012158795A1 (en) 2011-05-17 2012-11-22 Principia Biopharma Inc. Pyrazolopyrimidine derivatives as tyrosine kinase inhibitors
US8362023B2 (en) 2011-01-19 2013-01-29 Hoffmann-La Roche Inc. Pyrazolo pyrimidines
US20130029993A1 (en) 2011-02-02 2013-01-31 Boehringer Ingelheim International Gmbh Azaindolylphenyl sulfonamides as serine/threonine kinase inhibitors
US20130034862A1 (en) 2008-07-10 2013-02-07 Nodality, Inc. Methods for Diagnosis, Prognosis and Methods of Treatment
WO2013032591A1 (en) 2011-08-29 2013-03-07 Infinity Pharmaceuticals Inc. Heterocyclic compounds and uses thereof
US20130072382A1 (en) 2009-05-05 2013-03-21 Dow Agrosciences Llc Pesticidal compositions
WO2013042006A1 (en) 2011-09-22 2013-03-28 Pfizer Inc. Pyrrolopyrimidine and purine derivatives
WO2013052417A1 (en) 2011-10-03 2013-04-11 The University Of North Carolina At Chapel Hill Pyrrolopyrimidine compounds for the treatment of cancer
US20130102587A1 (en) 2010-03-15 2013-04-25 Proximagen Limited New Enzyme Inhibitor Compounds
US20130137708A1 (en) 2010-06-04 2013-05-30 The Regents Of The University Of California Methods and compositions for kinase inhibition
US20130150368A1 (en) 2010-04-23 2013-06-13 Cytokinetics, Inc. Certain amino-pyridines and amino-triazines, compositions thereof, and methods for their use
US8513242B2 (en) 2008-12-12 2013-08-20 Cystic Fibrosis Foundation Therapeutics, Inc. Pyrimidine compounds and methods of making and using same
WO2013124324A1 (en) 2012-02-21 2013-08-29 Institut National De La Sante Et De La Recherche Medicale (Inserm) Tam receptors as virus entry cofactors
US20130266563A1 (en) 2010-11-18 2013-10-10 Kasina Laila Innova Pharmaceuticals Private Limited Substituted 4-(selenophen-2(or-3)-ylamino)pyrimidine compounds and methods of use thereof
WO2013157022A1 (en) 2012-04-20 2013-10-24 Advinus Therapeutics Limited Substituted hetero-bicyclic compounds, compositions and medicinal applications thereof
WO2013177168A1 (en) 2012-05-22 2013-11-28 The University Of North Carolina At Chapel Hill Pyrimidine compounds for the treatment of cancer
WO2014062774A1 (en) 2012-10-17 2014-04-24 The University Of North Carolina At Chapel Hill Pyrazolopyrimidine compounds for the treatment of cancer
WO2014085225A1 (en) 2012-11-27 2014-06-05 The University Of North Carolina At Chapel Hill Pyrimidine compounds for the treatment of cancer
EP2840080A1 (en) 2012-04-17 2015-02-25 Fujifilm Corporation Nitrogen-containing heterocyclic compound or salt thereof
WO2015153978A1 (en) 2014-04-04 2015-10-08 The University Of North Carolina At Chapel Hill Methods for the treatment of tumors
WO2015157115A1 (en) 2014-04-11 2015-10-15 The University Of North Carolina At Chapel Hill Mertk-specific pyrimidine compounds

Family Cites Families (5)

* Cited by examiner, † Cited by third party
Publication number Priority date Publication date Assignee Title
CH549339A (en) * 1971-05-12 1974-05-31 Ciba Geigy Ag HERBICIDAL AGENT.
US7273868B2 (en) * 2000-04-28 2007-09-25 Tanabe Seiyaku Co., Ltd. Pyrazine derivatives
CN1440393A (en) * 2000-04-28 2003-09-03 田边制药株式会社 Cyclic compound
CN1882589B (en) * 2003-09-18 2010-06-09 康福玛医药公司 Novel heterocyclic compounds as HSP 90-inhibitors
EP1791969A4 (en) 2004-09-13 2008-07-02 Merck & Co Inc METHOD OF TREATING CANCER

Patent Citations (83)

* Cited by examiner, † Cited by third party
Publication number Priority date Publication date Assignee Title
US5958930A (en) 1991-04-08 1999-09-28 Duquesne University Of The Holy Ghost Pyrrolo pyrimidine and furo pyrimidine derivatives
WO1997049706A1 (en) 1996-06-25 1997-12-31 Novartis Ag SUBSTITUTED 7-AMINO-PYRROLO[3,2-d]PYRIMIDINES AND THE USE THEREOF
US20080248046A1 (en) 1997-03-17 2008-10-09 Human Genome Sciences, Inc. Death domain containing receptor 5
WO2003029209A2 (en) 2001-10-02 2003-04-10 Smithkline Beecham Corporation Chemical compounds
US7217710B2 (en) 2001-10-02 2007-05-15 Smithkline Beecham Corporation Substituted pyrazolopyrimidines
CA2492319A1 (en) 2002-08-21 2004-04-01 Schering Aktiengesellschaft Macrocyclic pyrimidines, the production thereof and the use of the same as medicaments
US20040209895A1 (en) 2002-08-21 2004-10-21 Schering Ag Macrocyclic pyrimidines, their production and use as pharmaceutical agents
US7589086B2 (en) 2003-05-28 2009-09-15 Universita Degli Studi Di Siena Substituted pyrazolo[3,4-D]pyrimidines as anti-tumor agents
WO2005009443A1 (en) 2003-06-24 2005-02-03 Amgen Inc. 2-amino-4-hydroxy-5-pyrimidinecarboxamide derivatives and related compounds as inhibitors of t cell activation for the treatment of inflammatory diseases
WO2005028434A2 (en) 2003-09-18 2005-03-31 Conforma Therapeutics Corporation Novel heterocyclic compounds as hsp90-inhibitors
US20110281867A1 (en) 2004-01-21 2011-11-17 Daniel Kalman Compositions and methods of use for tyrosine kinase inhibitors to treat pathogenic infection
US20060025383A1 (en) 2004-02-03 2006-02-02 Neil Wishart Aminobenzoxazoles as therapeutic agents
US20070225306A1 (en) 2004-02-14 2007-09-27 Irm Llc Compounds and Compositions as Protein Kinase Inhibitors
US7956060B2 (en) 2004-03-30 2011-06-07 Kyowa Hakko Kirin Co., Ltd. Pyrimidine derivative compound
WO2005095382A1 (en) 2004-03-30 2005-10-13 Kyowa Hakko Kogyo Co., Ltd. Anti-tumor agent
US20090012060A1 (en) 2004-03-30 2009-01-08 Kyowa Hakko Kogyo Co., Ltd. Antitumor Agent
US7897607B2 (en) 2004-04-07 2011-03-01 Takeda Pharmaceutical Company Limited Cyclic compounds
US20070275984A1 (en) 2004-09-17 2007-11-29 Janssen Pharmaceutica N.V. Novel Thieno-Pyridine and Thieno-Pyrimidine Derivatives and Their Use as Positive Allosteric Modulators of Mglur2-Receptors
WO2006035067A2 (en) 2004-09-30 2006-04-06 Tibotec Pharmaceuticals Ltd. Hiv inhibiting 5-heterocyclyl pyrimidines
US20080267887A1 (en) 2004-10-05 2008-10-30 Neurogen Corporation Pyrrolo-Pyridine, Pyrrolo-Pyrimidine and Related Heterocyclic Compounds
WO2006071819A1 (en) 2004-12-28 2006-07-06 Exelixis, Inc. [1h-pyrazolo[3, 4-d]pyrimidin-4-yl]-piperidine or -piperazine compounds as serine-theoronine kinase modulators (p70s6k, atk1 and atk2) for the treatment of immunological, inflammatory and proliferative diseases
EP1710246A1 (en) 2005-04-08 2006-10-11 Schering Aktiengesellschaft Sulfoximine-pyrimidine Macrocycles and the salts thereof, a process for making them, and their pharmaceutical use against cancer
WO2007032445A1 (en) 2005-09-16 2007-03-22 Kyowa Hakko Kogyo Co., Ltd. Protein kinase inhibitors
WO2007035963A2 (en) 2005-09-23 2007-03-29 Conforma Therapeutics Corporation Anti-tumor methods using multi drug resistance independent synthetic hsp90 inhibitors
US20070105874A1 (en) 2005-09-23 2007-05-10 Conforma Therapeutics Corporation Anti-Tumor Methods Using Multi Drug Resistance Independent Synthetic HSP90 Inhibitors
WO2007041379A1 (en) 2005-09-30 2007-04-12 Bristol-Myers Squibb Company Met kinase inhibitors
US20070078140A1 (en) 2005-09-30 2007-04-05 Bristol-Myers Squibb Company MET kinase inhibitors
WO2007044426A2 (en) 2005-10-06 2007-04-19 Schering Corporation Pyrazolopyrimidines as protein kinase inhibitors
US20120207764A1 (en) 2005-12-08 2012-08-16 Medarex, Inc. Human monoclonal antibodies to protein tyrosine kinase 7 (ptk7) and methods for using anti-ptk7 antibodies
WO2007075554A2 (en) 2005-12-19 2007-07-05 Osi Pharmaceuticals, Inc. Combination of igfr inhibitor and anti-cancer agent
EP1803723A1 (en) 2006-01-03 2007-07-04 Bayer Schering Pharma Aktiengesellschaft (2,4,9-triaza-1(2,4)-pyrimidina-3(1,3)-benzenacyclononaphan-3^4-yl)-sulfoximide derivatives as selective inhibitors of the aurora kinase for the treatment of cancer
WO2007113254A1 (en) 2006-03-30 2007-10-11 Tibotec Pharmaceuticals Ltd. Hiv inhibiting 5-amido substituted pyrimidines
US7998978B2 (en) 2006-05-01 2011-08-16 Pfizer Inc. Substituted 2-amino-fused heterocyclic compounds
US20120035194A1 (en) 2006-05-01 2012-02-09 Pfizer Inc. Substituted 2-amino-fused heterocyclic compounds
WO2007134828A1 (en) 2006-05-23 2007-11-29 Novartis Ag Pyrazolo [3, 4-d] pyrimidine derivatives useful to treat respiratory disorders
US20120207763A1 (en) 2006-05-26 2012-08-16 Astex Therapeutics Limited Pyrrolopyrimidine compounds and their uses
US8324225B2 (en) 2006-05-26 2012-12-04 Novartis Ag Pyrrolopyrimidine compounds and their uses
EP2133095A1 (en) 2007-03-05 2009-12-16 Kyowa Hakko Kirin Co., Ltd. Pharmaceutical composition
WO2009032694A1 (en) 2007-08-28 2009-03-12 Dana Farber Cancer Institute Amino substituted pyrimidine, pyrollopyridine and pyrazolopyrimidine derivatives useful as kinase inhibitors and in treating proliferative disorders and diseases associated with angiogenesis
WO2009047359A1 (en) 2007-10-12 2009-04-16 Ingenium Pharmaceuticals Gmbh Inhibitors of protein kinases
US20100247554A1 (en) 2007-11-09 2010-09-30 Lemke Greg E Use of tam receptor inhibitors as antimicrobials
US20100266604A1 (en) 2007-11-09 2010-10-21 The Salk Institute For Biological Studies Use of tam receptor inhibitors as immunoenhancers and tam activators as immunosuppressors
US8415361B2 (en) 2007-11-09 2013-04-09 The Salk Institute For Biological Studies Use of TAM receptor inhibitors as antimicrobials
US20130034862A1 (en) 2008-07-10 2013-02-07 Nodality, Inc. Methods for Diagnosis, Prognosis and Methods of Treatment
US20120230991A1 (en) 2008-07-29 2012-09-13 Douglas Kim Graham Methods and compounds for enhancing anti-cancer therapy
US20110319267A1 (en) 2008-09-10 2011-12-29 Numed International, Inc. Aromatic carboxylic acid derivatives for treatment and prophylaxis of gastrointestinal diseases including colon cancers
US20100137313A1 (en) 2008-10-03 2010-06-03 Astrazeneca Ab Heterocyclic derivatives and methods of use thereof
WO2010043865A1 (en) 2008-10-17 2010-04-22 Chroma Therapeutics Ltd Inhibitors of hsp90
US8513242B2 (en) 2008-12-12 2013-08-20 Cystic Fibrosis Foundation Therapeutics, Inc. Pyrimidine compounds and methods of making and using same
WO2010085597A1 (en) 2009-01-23 2010-07-29 Incyte Corporation Macrocyclic compounds and their use as kinase inhibitors
WO2010117425A1 (en) 2009-03-31 2010-10-14 Biogen Idec Ma Inc. Certain substituted pyrimidines, pharmaceutical compositions thereof, and methods for their use
US20130072382A1 (en) 2009-05-05 2013-03-21 Dow Agrosciences Llc Pesticidal compositions
WO2010129802A1 (en) 2009-05-06 2010-11-11 Portola Pharmaceuticals, Inc. Inhibitors of jak
US20120219559A1 (en) 2009-08-13 2012-08-30 The Johns Hopkins University Methods of modulating immune function
WO2011029915A1 (en) 2009-09-10 2011-03-17 Novartis Ag Ether derivatives of bicyclic heteroaryls
WO2011065800A2 (en) 2009-11-30 2011-06-03 주식회사 오스코텍 Pyrimidine derivative, method for preparing same and pharmaceutical composition containing same
WO2011090760A1 (en) 2009-12-29 2011-07-28 Avila Therapeutics, Inc. Heteroaryl compounds and uses thereof
WO2011103441A1 (en) 2010-02-18 2011-08-25 Schering Corporation Substituted pyridine and pyrimidine derivatives and their use in treating viral infections
US20130102587A1 (en) 2010-03-15 2013-04-25 Proximagen Limited New Enzyme Inhibitor Compounds
US20130150368A1 (en) 2010-04-23 2013-06-13 Cytokinetics, Inc. Certain amino-pyridines and amino-triazines, compositions thereof, and methods for their use
WO2011146313A1 (en) 2010-05-19 2011-11-24 The University Of North Carolina At Chapel Hill Pyrazolopyrimidine compounds for the treatment of cancer
US20130059836A1 (en) 2010-05-19 2013-03-07 Xiaodong Wang Pyrazolopyrimidine compounds for the treatment of cancer
US20130137708A1 (en) 2010-06-04 2013-05-30 The Regents Of The University Of California Methods and compositions for kinase inhibition
WO2012053606A1 (en) 2010-10-22 2012-04-26 アステラス製薬株式会社 Arylaminoheterocyclic carboxamide compound
US20130266563A1 (en) 2010-11-18 2013-10-10 Kasina Laila Innova Pharmaceuticals Private Limited Substituted 4-(selenophen-2(or-3)-ylamino)pyrimidine compounds and methods of use thereof
US8362023B2 (en) 2011-01-19 2013-01-29 Hoffmann-La Roche Inc. Pyrazolo pyrimidines
US20130029993A1 (en) 2011-02-02 2013-01-31 Boehringer Ingelheim International Gmbh Azaindolylphenyl sulfonamides as serine/threonine kinase inhibitors
EP2489663A1 (en) 2011-02-16 2012-08-22 Almirall, S.A. Compounds as syk kinase inhibitors
WO2012158795A1 (en) 2011-05-17 2012-11-22 Principia Biopharma Inc. Pyrazolopyrimidine derivatives as tyrosine kinase inhibitors
WO2013032591A1 (en) 2011-08-29 2013-03-07 Infinity Pharmaceuticals Inc. Heterocyclic compounds and uses thereof
WO2013042006A1 (en) 2011-09-22 2013-03-28 Pfizer Inc. Pyrrolopyrimidine and purine derivatives
WO2013052417A1 (en) 2011-10-03 2013-04-11 The University Of North Carolina At Chapel Hill Pyrrolopyrimidine compounds for the treatment of cancer
WO2013124324A1 (en) 2012-02-21 2013-08-29 Institut National De La Sante Et De La Recherche Medicale (Inserm) Tam receptors as virus entry cofactors
EP2840080A1 (en) 2012-04-17 2015-02-25 Fujifilm Corporation Nitrogen-containing heterocyclic compound or salt thereof
WO2013157022A1 (en) 2012-04-20 2013-10-24 Advinus Therapeutics Limited Substituted hetero-bicyclic compounds, compositions and medicinal applications thereof
WO2013177168A1 (en) 2012-05-22 2013-11-28 The University Of North Carolina At Chapel Hill Pyrimidine compounds for the treatment of cancer
WO2014062774A1 (en) 2012-10-17 2014-04-24 The University Of North Carolina At Chapel Hill Pyrazolopyrimidine compounds for the treatment of cancer
WO2014085225A1 (en) 2012-11-27 2014-06-05 The University Of North Carolina At Chapel Hill Pyrimidine compounds for the treatment of cancer
WO2015153978A1 (en) 2014-04-04 2015-10-08 The University Of North Carolina At Chapel Hill Methods for the treatment of tumors
WO2015157115A1 (en) 2014-04-11 2015-10-15 The University Of North Carolina At Chapel Hill Mertk-specific pyrimidine compounds
WO2015157128A1 (en) 2014-04-11 2015-10-15 The University Of North Carolina At Chapel Hill Therapuetic uses of selected pyrrolopyrimidine compounds with anti-mer tyrosine kinase activity
WO2015157127A1 (en) 2014-04-11 2015-10-15 The University Of North Carolina At Chapel Hill Therapuetic uses of selected pyrimidine compounds with anti-mer tyrosine kinase activity
WO2015157122A1 (en) 2014-04-11 2015-10-15 The University Of North Carolina At Chapel Hill Mertk-specific pyrazolopyrimidine compounds

Non-Patent Citations (79)

* Cited by examiner, † Cited by third party
Title
Aly et al. "Heteroannelations with o-amino aldehyde and o-amino cyano of some pyrazole derivatives" Afinidad, Barcelona, ES (2004) 61:510-515.
Angelillo-Scherrer et al. "Role of Gas6 receptors in platelet signaling during thrombus stabilization and implications for antithrombotic therapy", J. Clin. Invest. (2005) 115(2):237-246.
Banker et al. Modern Pharmaceuticals p. 596 (1996).
Bernsmeier, et al. "Patients with Acute-on-Chronic Liver Failure Have Increased Numbers of Regulatory Immune Cells Expressing the Receptor Tyrosine Kinase MERTK", Gastroenterology (2015), 1-13.
Bhattacharayya, et al. "Enveloped viruses disable innate immune responses in dendritic cells by direct activation of TAM receptors", Cell Host & Microbe (2013) 14:136-147.
Brindley, et al. "Tyrosine kinase receptor Axl enhances entry of Zaire ebolavirus without direct interactions with the viral glycoprotein", Virology (2011) 415:83-84.
Cancer Drug Design and Discovery Neidie, Stephen, ed. (Elsevier/Academic Press, 2008) pp. 427- 431.
Cavasotto et al. "In silico identification of novel EGFR inhibitors with antiproliferative activity against cancer cells" Bioorg. Med. Chem. Lett. (2006) 16:1969-1974.
Chen, et al, "Mer Receptor tyrosine Kinase Signaling Participates in Platelet Function", Arterioscler. Thromv Vasc. Biol. (2004) 24:1118-1123.
Chen, et al. "Identification of Gas6 as a ligand for Mer, a neural cell adhesion molecule related receptor tyrosine kinase implicated in cellular transformation", Oncogene (1997) 14:2033-2039.
Christoph, S. et al. "UNC569, a novel small-molecule Mer inhibitor with efficacy against acute lymphoblastic leukemia in vitro and in vivo", Mol Cancer Ther. (2013) 12(11):2367-77.
Cook, et al. "MerTK inhibition in tumor leukocytes decreases tumor growth and metastasis" J. Clin. Invest. (2013) 123:3231-3242.
Database CAPLUS [Online]-Chemical Abstracts Service, Columbus, Ohio, US; 2004, Ismail, M.A.: "Efficient synthesis of 5-(5-aryl-2-furyl)pyrimidine derivitive", Database accession No. 2004:551368; & ISMAIL, M.A.; "Efficient synthesis of 5-(5-aryl-2-furyl)pyrimidine derivatives", Mansoura Science Bulletin, A: Chemistry, vol. 30, No. 2, 2003, pp. 157-172 (Abstract Only)
Database CAPLUS in STN, Ace. No. 2007:1144983, Guillemont et al., WO 2007/113254 A 1 (Oct. 11, 2007) (abstract).
Earp, S. "Chemical Biology Consortium: Mer Kinase Inhibitor Studies" Presentation at the Chemical Biology Consortium, Jan. 26, 2012.
European Search Report corresponding to European Application No. 13793925.2 dated Nov. 30, 2015.
European Search Report corresponding to European Application No. 13847985.2 dated May 24, 2016.
European Search Report corresponding to European Application No. 13858929.6 dated May 3, 2016.
Extended European Search Report, EP 11783985.2, mailed Oct. 15, 2013.
Extended European Search Report, EP 12839069.7, mailed May 4, 2015.
Frye, S. "Academic Drug Discovery and Chemical Biology", Presentation at the Northwestern 18th Annual Drug Discovery Symposium. Nov. 13, 2013.
Frye, S. "Academic Drug Discovery: US Perspective and Examples" Presentation at the NCI Translational Science Meeting, Washington DC, Jul. 29, 2011.
Graham, et al. "Cloning and mRNA expression analysis of a novel human protooncogene, c-mer", Cell Growth Differ. (1994) 5:647-657.
International Preliminary Report on Patentability, PCT/US2011/036215, mailed Nov. 29, 2012.
International Preliminary Report on Patentability, PCT/US2013/042033, mailed Dec. 4, 2014.
International Preliminary Report on Patentability, PCT/US2013/065192, Apr. 30, 2015.
International Preliminary Report on Patentability, PCT/US2013/071409, mailed Jun. 11, 2015.
International Search Report and Written Opinion, PCT/US2011/036215, mailed Aug. 16, 2011.
International Search Report and Written Opinion, PCT/US2012/058298, mailed Dec. 7, 2012.
International Search Report and Written Opinion, PCT/US2013/042033, mailed Aug. 27, 2013.
International Search Report and Written Opinion, PCT/US2013/065192, mailed Jan. 24, 2014.
International Search Report and Written Opinion, PCT/US2013/071409, mailed Mar. 31, 2014.
International Search Report and Written Opinion, PCT/US2015/24258, mailed Jun. 24, 2015.
International Search Report and Written Opinion, PCT/US2015/24301, mailed Jun. 25, 2015.
International Search Report and Written Opinion, PCT/US2015/24328, mailed Jun. 25, 2015.
International Search Report and Written Opinion, PCT/US2015/24362, mailed Jun. 26, 2015.
International Search Report and Written Opinion, PCT/US2015/24373, mailed Jul. 7, 2015.
International Search Report and Written Opinion, PCT/US2015/24380, mailed Jul. 1, 2015.
International Search Report and Written Opinion, PCT/US2015/24381, mailed Jul. 1, 2015.
Ishida et al. "Novel and orally active 5-(1,3,4-oxadiazol-2-yl)pyrimidine derivatives as selective FLT3 inhibitors", Bioorangic & Medicinal Chemistry Letters 18:5471-5477 (2008).
Kiyoi et al. "A Novel FLT3 Inhibitor FI-700 Selectively Suppresses the Growth of Leukemia Cells with FLT3 Mutations", Clin Cancer Res 13(15):4575-4582 (2007).
Lee-Sherick, et al. "Efficacy of a Mer and Flt3 tyrosine kinase small molecule inhibitor, UNC1666, in acute myeloid leukemia", Oncotarget, Advance Publications, Feb. 10, 2015.
Linger et al. "Mer receptor tyrosine kinase is a therapeutic target in pre-B-cell acute lymphoblastic leukemia" Blood (2013) 122(9):1599-1609.
Liu, J, et al. "UNC1062, a new and potent Mer inhibitor", Eur J Med Chem. (2013) 65:83-93.
Liu, J. et al. "Discovery of Novel Small Molecule Mer Kinase Inhibitors for the Treatment of Pediatric Acute Lymphoblastic Leukemia" ACS Med. Chem. Left. (2012) 3(2):129-134.
Meertens, L. et al. "The TIM and TAM families of phosphatidylserine receptors mediate dengue virus entry", Cell Host Microbe (2012) 12:544-557.
Mercer, J. & Helenius, A. "Vaccinia virus uses macropinocytosis and apoptotic mimicry to enter host cells", Science (2008) 320: 531-535.
Morizono and Chen, "Role of Phosphatidyl Receptors in Enveloped Virus Infection", J. Virology (2014) 88(8):4275-4290.
Morizono, et al, "The Soluble Serum Protein Gas6 Bridges Virion Envelope Phosphatidylserine to the TAM Receptor Tyrosine Kinase Axl to mediate Viral Entry", Cell Host & Microbe (2011) 9:286-298.
Notification Concerning Transmittal of Copy of Iinternational Preliminary Report on Patentability corresponding to International Application No. PCT/US2015/024258 mailed Oct. 13, 2016.
Notification Concerning Transmittal of Copy of International Preliminary Report on Patentability corresponding to International Application No. PCT/US2015/024301 mailed Oct. 20, 2016.
Notification Concerning Transmittal of Copy of International Preliminary Report on Patentability corresponding to International Application No. PCT/US2015/024328 mailed Oct. 20, 2016.
Notification Concerning Transmittal of Copy of International Preliminary Report on Patentability corresponding to International Application No. PCT/US2015/024362 mailed Oct. 20, 2016.
Notification Concerning Transmittal of Copy of International Preliminary Report on Patentability corresponding to International Application No. PCT/US2015/024373 mailed Oct. 20, 2016.
Notification Concerning Transmittal of Copy of International Preliminary Report on Patentability corresponding to International Application No. PCT/US2015/024380 mailed Oct. 20, 2016.
Notification Concerning Transmittal of Copy of International Preliminary Report on Patentability corresponding to International Application No. PCT/US2015/024381 mailed Oct. 20, 2016.
Paolino, M., et al. "The E3 ligase Cbl-b and TAM receptors regulate cancer metastasis via natural killer cells", Nature (2014) 507:508-512.
Pawar et al. "Synthesis of 2,4,5-Trisubstituted Pyrimidines", Indian Journal of Heterocyclic Chemistry 20(12):133-136 (2010).
Powell et al. "Highly selective 2,4-diaminopyridine-5-carboxamide inhibitors of Sky kinase", Bioorg. Med. Chem. Lett. (2013) 23:1046-1050.
Powell et al. "Optimization of highly selective 2,4-diaminopyridine-5-carboxamide inhibitors of Sky kinase", Bioorg. Med. Chem. Lett. (2013) 23:1051-1055.
Sather, et al. "A soluble form of the Mer receptor tyrosine kinase inhibits macrophage clearance of apoptotic cells and platelet aggregation", Blood (2007) 109(3):1026-1033.
Schlegel et al. "MER receptor tyrosine kinase is a therapeutic target in melanoma" J. Clin. Invest. (2013) 123(5): 2257-67.
Shimojima, et al. "Tyro3 Family-mediated Cell Entry of Ebola and Marburg Viruses", Journal of Virology (2006) 80(20):10109-10116.
U.S. Appl. No. 13/641,729, The University of North Carolina at Chapel Hill, filed Nov. 9, 2012.
U.S. Appl. No. 14/348,805, The University of North Carolina at Chapel Hill, filed Mar. 31, 2014.
U.S. Appl. No. 14/384,789, The University of North Carolina at Chapel Hill, filed Sep. 12, 2014.
U.S. Appl. No. 14/436,356, The University of North Carolina at Chapel Hill, filed Apr. 16, 2015.
U.S. Appl. No. 14/647,733, The University of North Carolina at Chapel Hill, filed May 27, 2015.
U.S. Appl. No. 14/678,540, The University of North Carolina at Chapel Hill, filed Apr. 3, 2015.
U.S. Appl. No. 14/678,678, The University of North Carolina at Chapel Hill, filed Apr. 3, 2015.
U.S. Appl. No. 14/678,830, The University of North Carolina at Chapel Hill, filed Apr. 3, 2015.
U.S. Appl. No. 14/678,879, The University of North Carolina at Chapel Hill, filed Apr. 3, 2015.
U.S. Appl. No. 14/678,898, The University of North Carolina at Chapel Hill, filed Apr. 3, 2015.
Verma et al."Targeting Axl and Mer Kinases in Cancer", Mol Cancer Ther 10(10):1763-73 (2011).
Wolff at al. "Burger's Medicinal Chemistry and Drug Discovery", John Wiley & Sons. Inc. 5th Ed. vol. 1:975-977 (1995).
Yu et al. "3D-QSAR modeling and molecular docking study on Mer kinase inhibitors of pyridine-substituted pyrimidine", Mol Divers 19:135-147 (2015).
Zhang et al. "Pseudo-Cyclizatitzin through Intramolecular Hydrogen Bond Enables Discovery of Pyridine Substituted Pyrimidines as New Mer Kinase", J. Med. Chem., 56:9683-9692 (2013).
Zhang, W., et al. "Discovery of Mer specific tyrosine kinase inhibitors for the treatment and prevention of thrombosis", J. Med. Chem. (2013) 56:9693-9700.
Zhang, W., et al. "Pseudo-cyclization through intramolecular hydrogen bond enables discovery of pyridine substituted pyrimidines as new Mer kinase inhibitors", J. Med. Chem. (2013) 56:9683-9692.

Cited By (4)

* Cited by examiner, † Cited by third party
Publication number Priority date Publication date Assignee Title
US10179133B2 (en) 2011-10-03 2019-01-15 The University Of North Carolina At Chapel Hill Pyrrolopyrimidine compounds for the treatment of cancer
US20170136043A1 (en) * 2014-04-11 2017-05-18 The University Of North Carolina At Chapel Hill Therapeutic uses of selected pyrrolopyrimidine compounds with anti-mer tyrosine kinase activity
US10004755B2 (en) * 2014-04-11 2018-06-26 The University Of North Carolina At Chapel Hill Therapeutic uses of selected pyrrolopyrimidine compounds with anti-mer tyrosine kinase activity
US10709708B2 (en) 2016-03-17 2020-07-14 The University Of North Carolina At Chapel Hill Method of treating cancer with a combination of MER tyrosine kinase inhibitor and an epidermal growth factor receptor (EGFR) inhibitor

Also Published As

Publication number Publication date
WO2015157127A1 (en) 2015-10-15
WO2015157125A1 (en) 2015-10-15
US20150291606A1 (en) 2015-10-15
US9649309B2 (en) 2017-05-16
US9555030B2 (en) 2017-01-31
US10004755B2 (en) 2018-06-26
WO2015157123A1 (en) 2015-10-15
US20150291609A1 (en) 2015-10-15
CN106414451A (en) 2017-02-15
US9603850B2 (en) 2017-03-28
CN106459063A (en) 2017-02-22
US20150290194A1 (en) 2015-10-15
JP2017510663A (en) 2017-04-13
CA2945128A1 (en) 2015-10-15
US20170136043A1 (en) 2017-05-18
AU2015244171A1 (en) 2016-11-03
EP3129377A1 (en) 2017-02-15
US20150290197A1 (en) 2015-10-15
US20150290212A1 (en) 2015-10-15
EP3129379A1 (en) 2017-02-15
US20150291605A1 (en) 2015-10-15
JP2017513942A (en) 2017-06-01
WO2015157128A1 (en) 2015-10-15
EP3129377A4 (en) 2017-12-20
EP3129379A4 (en) 2017-09-13
WO2015157122A1 (en) 2015-10-15
AU2015244179A1 (en) 2016-11-03
CA2945129A1 (en) 2015-10-15
WO2015157115A1 (en) 2015-10-15

Similar Documents

Publication Publication Date Title
US10004755B2 (en) Therapeutic uses of selected pyrrolopyrimidine compounds with anti-mer tyrosine kinase activity
JP7278359B2 (en) Compounds and compositions for inhibiting the activity of SHP2
EP3310779B1 (en) Compounds and compositions for inhibiting the activity of shp2
WO2019222538A1 (en) Aminopyrimidines and aminopyridines as mertk inhibitors and their application in cancer treatment
JP2025503422A (en) Methods and compositions for targeting PD-L1
US12448365B2 (en) Aryl aminopyrimidines as dual MerTK and TYRO3 inhibitors and methods thereof
US11001586B2 (en) Alkyl pyrrolopyrimidine analogs and methods of making and using same
WO2019222524A1 (en) Alkyl pyrrolopyrimidines as pan-tam inhibitors and their application in cancer treatment
WO2019222509A1 (en) Pyrazolopyrimidines as mertk inhibitors and their application in cancer treatment

Legal Events

Date Code Title Description
AS Assignment

Owner name: THE UNIVERSITY OF NORTH CAROLINA AT CHAPEL HILL, N

Free format text: ASSIGNMENT OF ASSIGNORS INTEREST;ASSIGNORS:WANG, XIAODONG;ZHANG, WEIHE;FRYE, STEPHEN;SIGNING DATES FROM 20150420 TO 20150421;REEL/FRAME:035620/0305

STCF Information on status: patent grant

Free format text: PATENTED CASE

AS Assignment

Owner name: NATIONAL INSTITUTES OF HEALTH (NIH), U.S. DEPT. OF

Free format text: CONFIRMATORY LICENSE;ASSIGNOR:UNIV OF NORTH CAROLINA CHAPEL HILL;REEL/FRAME:045430/0010

Effective date: 20180222

CC Certificate of correction
MAFP Maintenance fee payment

Free format text: PAYMENT OF MAINTENANCE FEE, 4TH YR, SMALL ENTITY (ORIGINAL EVENT CODE: M2551); ENTITY STATUS OF PATENT OWNER: SMALL ENTITY

Year of fee payment: 4

MAFP Maintenance fee payment

Free format text: PAYMENT OF MAINTENANCE FEE, 8TH YR, SMALL ENTITY (ORIGINAL EVENT CODE: M2552); ENTITY STATUS OF PATENT OWNER: SMALL ENTITY

Year of fee payment: 8