US9482958B2 - Method of forming pattern and developer for use in the method - Google Patents
Method of forming pattern and developer for use in the method Download PDFInfo
- Publication number
- US9482958B2 US9482958B2 US14/749,035 US201514749035A US9482958B2 US 9482958 B2 US9482958 B2 US 9482958B2 US 201514749035 A US201514749035 A US 201514749035A US 9482958 B2 US9482958 B2 US 9482958B2
- Authority
- US
- United States
- Prior art keywords
- group
- developer
- carbon atoms
- mentioned
- compound
- Prior art date
- Legal status (The legal status is an assumption and is not a legal conclusion. Google has not performed a legal analysis and makes no representation as to the accuracy of the status listed.)
- Active
Links
Images
Classifications
-
- G—PHYSICS
- G03—PHOTOGRAPHY; CINEMATOGRAPHY; ANALOGOUS TECHNIQUES USING WAVES OTHER THAN OPTICAL WAVES; ELECTROGRAPHY; HOLOGRAPHY
- G03F—PHOTOMECHANICAL PRODUCTION OF TEXTURED OR PATTERNED SURFACES, e.g. FOR PRINTING, FOR PROCESSING OF SEMICONDUCTOR DEVICES; MATERIALS THEREFOR; ORIGINALS THEREFOR; APPARATUS SPECIALLY ADAPTED THEREFOR
- G03F7/00—Photomechanical, e.g. photolithographic, production of textured or patterned surfaces, e.g. printing surfaces; Materials therefor, e.g. comprising photoresists; Apparatus specially adapted therefor
- G03F7/26—Processing photosensitive materials; Apparatus therefor
- G03F7/30—Imagewise removal using liquid means
- G03F7/32—Liquid compositions therefor, e.g. developers
-
- G—PHYSICS
- G03—PHOTOGRAPHY; CINEMATOGRAPHY; ANALOGOUS TECHNIQUES USING WAVES OTHER THAN OPTICAL WAVES; ELECTROGRAPHY; HOLOGRAPHY
- G03F—PHOTOMECHANICAL PRODUCTION OF TEXTURED OR PATTERNED SURFACES, e.g. FOR PRINTING, FOR PROCESSING OF SEMICONDUCTOR DEVICES; MATERIALS THEREFOR; ORIGINALS THEREFOR; APPARATUS SPECIALLY ADAPTED THEREFOR
- G03F7/00—Photomechanical, e.g. photolithographic, production of textured or patterned surfaces, e.g. printing surfaces; Materials therefor, e.g. comprising photoresists; Apparatus specially adapted therefor
- G03F7/26—Processing photosensitive materials; Apparatus therefor
- G03F7/30—Imagewise removal using liquid means
- G03F7/32—Liquid compositions therefor, e.g. developers
- G03F7/325—Non-aqueous compositions
-
- G—PHYSICS
- G03—PHOTOGRAPHY; CINEMATOGRAPHY; ANALOGOUS TECHNIQUES USING WAVES OTHER THAN OPTICAL WAVES; ELECTROGRAPHY; HOLOGRAPHY
- G03F—PHOTOMECHANICAL PRODUCTION OF TEXTURED OR PATTERNED SURFACES, e.g. FOR PRINTING, FOR PROCESSING OF SEMICONDUCTOR DEVICES; MATERIALS THEREFOR; ORIGINALS THEREFOR; APPARATUS SPECIALLY ADAPTED THEREFOR
- G03F7/00—Photomechanical, e.g. photolithographic, production of textured or patterned surfaces, e.g. printing surfaces; Materials therefor, e.g. comprising photoresists; Apparatus specially adapted therefor
-
- G—PHYSICS
- G03—PHOTOGRAPHY; CINEMATOGRAPHY; ANALOGOUS TECHNIQUES USING WAVES OTHER THAN OPTICAL WAVES; ELECTROGRAPHY; HOLOGRAPHY
- G03F—PHOTOMECHANICAL PRODUCTION OF TEXTURED OR PATTERNED SURFACES, e.g. FOR PRINTING, FOR PROCESSING OF SEMICONDUCTOR DEVICES; MATERIALS THEREFOR; ORIGINALS THEREFOR; APPARATUS SPECIALLY ADAPTED THEREFOR
- G03F7/00—Photomechanical, e.g. photolithographic, production of textured or patterned surfaces, e.g. printing surfaces; Materials therefor, e.g. comprising photoresists; Apparatus specially adapted therefor
- G03F7/004—Photosensitive materials
- G03F7/038—Macromolecular compounds which are rendered insoluble or differentially wettable
- G03F7/0382—Macromolecular compounds which are rendered insoluble or differentially wettable the macromolecular compound being present in a chemically amplified negative photoresist composition
-
- G—PHYSICS
- G03—PHOTOGRAPHY; CINEMATOGRAPHY; ANALOGOUS TECHNIQUES USING WAVES OTHER THAN OPTICAL WAVES; ELECTROGRAPHY; HOLOGRAPHY
- G03F—PHOTOMECHANICAL PRODUCTION OF TEXTURED OR PATTERNED SURFACES, e.g. FOR PRINTING, FOR PROCESSING OF SEMICONDUCTOR DEVICES; MATERIALS THEREFOR; ORIGINALS THEREFOR; APPARATUS SPECIALLY ADAPTED THEREFOR
- G03F7/00—Photomechanical, e.g. photolithographic, production of textured or patterned surfaces, e.g. printing surfaces; Materials therefor, e.g. comprising photoresists; Apparatus specially adapted therefor
- G03F7/004—Photosensitive materials
- G03F7/039—Macromolecular compounds which are photodegradable, e.g. positive electron resists
- G03F7/0392—Macromolecular compounds which are photodegradable, e.g. positive electron resists the macromolecular compound being present in a chemically amplified positive photoresist composition
- G03F7/0397—Macromolecular compounds which are photodegradable, e.g. positive electron resists the macromolecular compound being present in a chemically amplified positive photoresist composition the macromolecular compound having an alicyclic moiety in a side chain
-
- G—PHYSICS
- G03—PHOTOGRAPHY; CINEMATOGRAPHY; ANALOGOUS TECHNIQUES USING WAVES OTHER THAN OPTICAL WAVES; ELECTROGRAPHY; HOLOGRAPHY
- G03F—PHOTOMECHANICAL PRODUCTION OF TEXTURED OR PATTERNED SURFACES, e.g. FOR PRINTING, FOR PROCESSING OF SEMICONDUCTOR DEVICES; MATERIALS THEREFOR; ORIGINALS THEREFOR; APPARATUS SPECIALLY ADAPTED THEREFOR
- G03F7/00—Photomechanical, e.g. photolithographic, production of textured or patterned surfaces, e.g. printing surfaces; Materials therefor, e.g. comprising photoresists; Apparatus specially adapted therefor
- G03F7/20—Exposure; Apparatus therefor
-
- G—PHYSICS
- G03—PHOTOGRAPHY; CINEMATOGRAPHY; ANALOGOUS TECHNIQUES USING WAVES OTHER THAN OPTICAL WAVES; ELECTROGRAPHY; HOLOGRAPHY
- G03F—PHOTOMECHANICAL PRODUCTION OF TEXTURED OR PATTERNED SURFACES, e.g. FOR PRINTING, FOR PROCESSING OF SEMICONDUCTOR DEVICES; MATERIALS THEREFOR; ORIGINALS THEREFOR; APPARATUS SPECIALLY ADAPTED THEREFOR
- G03F7/00—Photomechanical, e.g. photolithographic, production of textured or patterned surfaces, e.g. printing surfaces; Materials therefor, e.g. comprising photoresists; Apparatus specially adapted therefor
- G03F7/26—Processing photosensitive materials; Apparatus therefor
- G03F7/42—Stripping or agents therefor
- G03F7/422—Stripping or agents therefor using liquids only
-
- H10P76/00—
-
- G—PHYSICS
- G03—PHOTOGRAPHY; CINEMATOGRAPHY; ANALOGOUS TECHNIQUES USING WAVES OTHER THAN OPTICAL WAVES; ELECTROGRAPHY; HOLOGRAPHY
- G03F—PHOTOMECHANICAL PRODUCTION OF TEXTURED OR PATTERNED SURFACES, e.g. FOR PRINTING, FOR PROCESSING OF SEMICONDUCTOR DEVICES; MATERIALS THEREFOR; ORIGINALS THEREFOR; APPARATUS SPECIALLY ADAPTED THEREFOR
- G03F7/00—Photomechanical, e.g. photolithographic, production of textured or patterned surfaces, e.g. printing surfaces; Materials therefor, e.g. comprising photoresists; Apparatus specially adapted therefor
- G03F7/004—Photosensitive materials
- G03F7/0046—Photosensitive materials with perfluoro compounds, e.g. for dry lithography
-
- G—PHYSICS
- G03—PHOTOGRAPHY; CINEMATOGRAPHY; ANALOGOUS TECHNIQUES USING WAVES OTHER THAN OPTICAL WAVES; ELECTROGRAPHY; HOLOGRAPHY
- G03F—PHOTOMECHANICAL PRODUCTION OF TEXTURED OR PATTERNED SURFACES, e.g. FOR PRINTING, FOR PROCESSING OF SEMICONDUCTOR DEVICES; MATERIALS THEREFOR; ORIGINALS THEREFOR; APPARATUS SPECIALLY ADAPTED THEREFOR
- G03F7/00—Photomechanical, e.g. photolithographic, production of textured or patterned surfaces, e.g. printing surfaces; Materials therefor, e.g. comprising photoresists; Apparatus specially adapted therefor
- G03F7/20—Exposure; Apparatus therefor
- G03F7/2041—Exposure; Apparatus therefor in the presence of a fluid, e.g. immersion; using fluid cooling means
Definitions
- the present invention relates to a method of forming a pattern that is suitable for use in a semiconductor production process for an IC or the like, a circuit board production process for a liquid crystal, a thermal head or the like and other photoapplication lithography processes, and relates to a photoresist developer for use in the pattern forming method. More particularly, the present invention relates to a method of forming a pattern that is suitable for the exposure by means of an ArF exposure apparatus, ArF liquid-immersion projection exposure apparatus or EUV exposure apparatus in which a far-ultraviolet light of wavelength 300 nm or shorter is employed as a light source, and relates to a resist developer composition for use in the pattern forming method.
- a pattern forming method based on chemical amplification has been employed as a resist pattern forming method in order to compensate for any sensitivity decrease caused by light absorption.
- a positive pattern forming method based on chemical amplification will be described by way of example.
- an acid generator contained in exposed areas is decomposed upon exposure to light, such as an excimer laser, electron beams or an extreme ultraviolet light, to thereby generate an acid.
- the generated acid is utilized as a reaction catalyst so that alkali-insoluble groups are converted to alkali-soluble groups. Thereafter, the exposed areas are removed by an alkali developer.
- TMAH aqueous solution of tetramethylammonium hydroxide
- patent reference 5 discloses using as a developer a negative developer containing an organic solvent in which the content of metal impurities is controlled at a given value or less in order to realize a pattern formation exhibiting a high sensitivity, excelling in the resolution of trench pattern and ensuring favorable iso/dense bias.
- JP-A- Jpn. Pat. Appln. KOKAI Publication No.
- the present invention is as described below.
- a method of forming a pattern comprising:
- the developer contains an alcohol compound (X) at a content of 0 to less than 500 ppm based on the total mass of the developer.
- the present invention makes it feasible to provide a method of forming a pattern by which a pattern realizing the reduction of foreign matter sticking defects can be formed.
- FIG. 1 is a view showing a morphology of foreign matter sticking defect occurring on a pattern surface in the stage of exposure.
- FIG. 2 is a view showing another morphology of foreign matter sticking defect occurring on a pattern surface in the stage of exposure.
- FIG. 3 is a view showing a morphology of a defect other than foreign matter sticking defects occurring on a pattern surface in the stage of exposure.
- FIG. 4 is a view showing another morphology of a defect other than foreign matter sticking defects occurring on a pattern surface in the stage of exposure.
- alkyl groups encompasses not only alkyls having no substituent (unsubstituted alkyls) but also alkyls having substituents (substituted alkyls).
- actinic rays and “radiation” mean, for example, a mercury lamp bright line spectrum, far ultraviolet rays represented by an excimer laser, extreme ultraviolet rays (EUV light), X-rays, electron beams and the like.
- light means actinic rays or radiation.
- exposure means not only light irradiation using a mercury lamp, far ultraviolet, X-rays, EUV light, etc. but also lithography using particle beams, such as an electron beam and an ion beam.
- the method of forming a pattern according to the present invention comprises (a) forming a chemically amplified resist composition into a film, (b) exposing the film to light, and (c) developing the exposed film with a developer containing an organic solvent, wherein the developer (hereinafter also referred to as the developer according to the present invention) contains an alcohol compound (X) at a content of 0 to less than 500 ppm based on the total mass of the developer.
- the foreign matter sticking defects during the resist pattern formation can be suppressed by developing the resist film with the use of the developer according to the present invention.
- the reason therefor is not necessarily apparent.
- the region of low polarity in the resist film is dissolved in the pattern forming method according to the present invention, so that not only can the occurrence of foreign matter by insufficient dissolution be suppressed but also the resist within the unexposed region can be uniformly dissolved by not adding highly polar alcohol compounds to the developer, with the result that the sticking of foreign matter to the pattern surface can be suppressed.
- the foreign matter sticking defect mentioned in the present invention refers to the defect in which foreign matter sticks to the surface of the pattern in the stage of development.
- the morphologies of foreign matter sticking defects are shown in FIG. 1 and FIG. 2 .
- the boundary from the resist pattern is unclear. These defects are not those resulting from the sticking of foreign matter during the operation of development. It can be presumed that these defects reflect the observations of foreign matter contained in the resist film and portions of the pattern remaining undissolved, and these defects are to be distinguished from the foreign matter sticking defect mentioned in the present invention.
- the permissible content of an alcohol compound (X) in the developer according to the present invention is 0 to less than 500 ppm, preferably 0 to less than 400 ppm and more preferably 0 to less than 300 ppm, based on the total mass of the developer.
- the regulation of the content of an alcohol compound to less than 500 ppm can be attained by using highly purified compounds as obtained by purifying an organic solvent used as the developer according to the present invention by the application of generally known methods, such as column chromatography and distilling purification.
- the content of an alcohol compound (X) in the developer according to the present invention can be measured by using heretofore known methods.
- the content can be calculated from the area % of each component determined by gas chromatography measurement.
- the developer according to the present invention comprises at least one organic solvent selected from among ester compounds (A1) and ketone compounds (A2).
- the alcohol compound (X) that can be contained in this developer there can be mentioned, for example, an alcohol compound (X1) with a structure resulting from hydrolysis of any of the ester compounds (A1) or an alcohol compound (X2) with a structure resulting from reduction of any of the ketone compounds (A2).
- at least one of the alcohol compounds (X1) and (X2) is a monohydric alcohol having 7 or less carbon atoms.
- acetic acid alkyl esters such as methyl acetate, n-butyl acetate, ethyl acetate, isopropyl acetate and amyl acetate
- propionic acid alkyl esters such as methyl propionate, ethyl propionate and propyl propionate
- the developer according to the present invention may contain an organic solvent other than the ester compounds (A1) and ketone compounds (A2).
- organic solvents there can be mentioned, for example, an ether solvent, an amide solvent and a hydrocarbon solvent.
- ether solvent there can be mentioned, for example, not only any of the above-mentioned glycol ether solvents but also dioxane, tetrahydrofuran or the like.
- amide solvent there can be mentioned, for example, N-methyl-2-pyrrolidone, N,N-dimethylacetamide, N,N-dimethylformamide, hexamethylphosphoric triamide, 1,3-dimethyl-2-imidazolidinone or the like.
- hydrocarbon solvent there can be mentioned, for example, an aromatic hydrocarbon solvent, such as toluene or xylene, or an aliphatic hydrocarbon solvent, such as pentane, hexane, octane or decane.
- aromatic hydrocarbon solvent such as toluene or xylene
- aliphatic hydrocarbon solvent such as pentane, hexane, octane or decane.
- each of the solvents may be used in a mixture with a solvent other than those mentioned above within a proportion not detrimental to the exertion of performance.
- the amount of organic solvent used in the developer is preferably in the range of 90 to 100 mass %, more preferably 95 to 100 mass %, based on the total amount of the developer.
- the vapor pressure of the developer containing an organic solvent at 20° C. is preferably 5 kPa or below, more preferably 3 kPa or below and most preferably 2 kPa or below.
- the vapor pressure of the developer is 5 kPa or below, the evaporation of the developer on the substrate or in a development cup can be suppressed so that the temperature uniformity within the plane of the wafer can be enhanced to thereby improve the dimensional uniformity within the plane of the wafer.
- a ketone solvent such as 1-octanone, 2-octanone, 1-nonanone, 2-nonanone, 4-heptanone, 2-hexanone, diisobutyl ketone, cyclohexanone, methylcyclohexanone, phenylacetone or methyl isobutyl ketone; an ester solvent, such as n-butyl acetate, amyl acetate, cyclohexyl acetate, propylene glycol monomethyl ether acetate, ethylene glycol monoethyl ether acetate, diethylene glycol monobutyl ether acetate, diethylene glycol monoethyl ether acetate, ethyl 3-ethoxypropionate, 3-methoxybutyl acetate, 3-methyl-3-methoxybutyl acetate, butyl formate or prop
- a ketone solvent such as 1-octanone, 2-octanone, 1-nonanone, 2-nonanone, 4-heptanone, 2-hexanone, diisobutyl ketone, cyclohexanone, methylcyclohexanone or phenylacetone
- an ester solvent such as n-butyl acetate, amyl acetate, cyclohexyl acetate, propylene glycol monomethyl ether acetate, ethylene glycol monoethyl ether acetate, diethylene glycol monobutyl ether acetate, diethylene glycol monoethyl ether acetate, ethyl 3-ethoxypropionate, 3-methoxybutyl acetate or 3-methyl-3-methoxybutyl acetate; an amide solvent, such as N-methyl-2-pyrrolidone
- an appropriate amount of surfactant can be added to the developer according to the present invention.
- a surfactant use can be made of any of the same surfactants as incorporated in the resist composition to be described hereinafter.
- the amount of surfactant used is generally in the range of 0.001 to 5 mass %, preferably 0.005 to 2 mass % and further more preferably 0.01 to 0.5 mass % based on the total amount of the developer.
- the method of forming a pattern according to the present invention comprises at least (a) forming a chemically amplified resist composition into a film (resist film), (b) exposing the film to light, and (c) developing the exposed film with the developer according to the present invention.
- the method of forming a pattern according to the present invention further comprises (d) rinsing the developed film by use of a rinse liquid after the operation of development (c).
- the method of forming a pattern according to the present invention also preferably comprises the operation of baking (e) to be performed after the operation of film formation (a) but prior to the operation of exposure (b).
- the method of forming a pattern according to the present invention preferably comprises the operation of baking (f) to be performed after the operation of exposure (b) but prior to the operation of development (c).
- the method of forming a pattern according to the present invention may further comprise (g) the operation of development using an aqueous alkali developer.
- the resist film formed in the method of forming a pattern according to the present invention is one formed from the chemically amplified resist composition according to the present invention to be described hereinafter.
- the resist film is preferably formed on a substrate.
- the substrate that can be employed in the present invention is not particularly limited. Use can be made of any of an inorganic substrate of silicon, SiN, SiO 2 or the like, a coated inorganic substrate such as SOG and substrates commonly employed in a semiconductor production process for an IC or the like, a circuit board production process for a liquid crystal, a thermal head or the like and other photoapplication lithography processes. Further, according to necessity, an organic antireflection film may be provided between the above film and the substrate.
- the operation of forming a film of resist composition on a substrate, the operation of exposing the film to light and the operation of developing the exposed film with the developer according to the present invention can be carried out using generally known techniques.
- the method preferably comprises a prebake (PB) operation performed after the film formation but prior to the exposure operation.
- PB prebake
- the method preferably comprises a post-exposure bake (PEB) operation performed after the exposure operation but prior to the development operation.
- PEB post-exposure bake
- the baking is preferably performed at 70 to 120° C., more preferably 80 to 110° C.
- the baking time is preferably in the range of 30 to 300 seconds, more preferably 30 to 180 seconds and further more preferably 30 to 90 seconds.
- the baking can be performed by means provided in the common exposure/development equipment.
- the baking can also be performed using a hot plate or the like.
- the baking accelerates the reaction in exposed areas, so that the sensitivity and pattern profile can be enhanced.
- the wavelength of the light source for use in the exposure equipment is not limited.
- an ArF excimer laser wavelength (193 nm) and an F 2 excimer laser wavelength (157 nm) can be applied.
- the exposure (liquid immersion exposure) to actinic rays or radiation may be carried out through a liquid (immersion medium) with a refractive index higher than that of air that fills the space between the film and the lens.
- a liquid immersion medium
- any liquid can be used as long as it exhibits a refractive index higher than that of air.
- Preferably, pure water is employed.
- the hydrophobic resin to be described hereinafter may be added to the resist composition in advance.
- the formation of the resist film may be followed by providing thereon a film that is highly insoluble in the immersion liquid (hereinafter also referred to as a “top coat”).
- the top coat is preferred for the top coat to be formed of a polymer not abundantly containing an aromatic moiety.
- a polymer there can be mentioned, for example, a hydrocarbon polymer, an acrylic ester polymer, polymethacrylic acid, polyacrylic acid, polyvinyl ether, a siliconized polymer, a fluoropolymer or the like.
- HR hydrophobic resins
- the top coat When the top coat is detached after the exposure, use may be made of a developer. Alternatively, a separate peeling agent may be used.
- the peeling agent is preferably a solvent exhibiting less permeation into the film. Detachability by a developer is preferred from the viewpoint of simultaneously performing the detachment operation and the operation of film development processing.
- a method in which the substrate is dipped in a tank filled with a developer for a given period of time dip method
- a method in which a developer is puddled on the surface of the substrate by its surface tension and allowed to stand still for a given period of time to thereby effect development puddle method
- a method in which a developer is sprayed onto the surface of the substrate spray method
- a method in which a developer is continuously discharged onto the substrate being rotated at a given speed while scanning a developer discharge nozzle at a given speed dynamic dispense method
- the discharge pressure of discharged developer (flow rate per area of discharged developer) is preferably 2 ml/sec/mm 2 or below, more preferably 1.5 ml/sec/mm 2 or below and further more preferably 1 ml/sec/mm 2 or below.
- the flow rate is preferably 0.2 ml/sec/mm 2 or higher.
- Pattern defects attributed to any resist residue after development can be markedly reduced by regulating the discharge pressure of discharged developer so as to fall within the above range.
- the discharge pressure of developer refers to a value at the outlet of the development nozzle of the development apparatus.
- the method of regulating the discharge pressure of developer there can be mentioned, for example, a method in which the discharge pressure is regulated by means of a pump or the like, a method in which the discharge pressure of developer is changed through the pressure regulation by supply from a pressure tank, or the like.
- the method of forming a pattern according to the present invention may include, after the operation of exposure, the operation of discontinuing the development while replacing the solvent with another solvent (operation of rinse).
- the rinse operation the wafer having undergone the development is rinsed using the rinse liquid containing an organic solvent to be described hereinafter.
- the method of rinse treatment is not particularly limited. For example, use can be made of any of a method in which the rinse liquid is continuously applied onto the substrate being rotated at a given speed (spin application method), a method in which the substrate is dipped in a tank filled with the rinse liquid for a given period of time (dip method) and a method in which the rinse liquid is sprayed onto the surface of the substrate (spray method).
- the rinse treatment is carried out according to the spin application method among the above methods, and thereafter the substrate is rotated at a rotating speed of 2000 to 4000 rpm to thereby remove the rinse liquid from the top of the substrate.
- the duration of substrate rotation can be set within the range ensuring the attainment of the removal of the rinse liquid from the top of the substrate, depending on the rotating speed.
- the duration of substrate rotation is generally in the range of 10 seconds to 3 minutes.
- the method of forming a pattern according to the present invention preferably includes the operation of baking (post-bake) performed after the operation of rinse.
- This baking removes any inter-pattern and intra-pattern remaining developer and rinse liquid.
- the operation of baking after the operation of rinse is generally performed at 40 to 160° C., preferably 70 to 95° C., for a period of 10 seconds to 3 minutes, preferably 30 to 90 seconds.
- the rinse liquid for use in the rinse operation after the development by means of the developer containing an organic solvent according to the present invention is not particularly limited as long as it does not dissolve the resist pattern, and solutions containing common organic solvents can be used.
- the rinse liquid preferred use is made of one comprising at least one organic solvent selected from among a hydrocarbon solvent, a ketone solvent, an ester solvent, an alcohol solvent, an amide solvent and an ether solvent.
- the rinse liquid more preferably comprises at least one organic solvent selected from among a ketone solvent, an ester solvent, an alcohol solvent and an amide solvent, and further more preferably comprises an alcohol solvent or an ester solvent. Still further more preferably, the rinse liquid comprises a monohydric alcohol.
- the rinse liquid comprises a monohydric alcohol having 5 or more carbon atoms.
- the monohydric alcohol for use in the rinse operation after the development may be in the form of a linear chain, a branched chain or a ring.
- use can be made of 1-butanol, 2-butanol, 3-methyl-1-butanol, tert-butyl alcohol, 1-pentanol, 2-pentanol, 1-hexanol, 4-methyl-2-pentanol, 1-heptanol, 1-octanol, 2-hexanol, cyclopentanol, 2-heptanol, 2-octanol, 3-hexanol, 3-heptanol, 3-octanol, 4-octanol or the like.
- monohydric alcohol having 5 or more carbon atoms use can be made of 1-hexanol, 2-hexanol, 4-methyl-2-pentanol, 1-pentanol, 3-methyl-1-butanol or the like. Of these, a branched alcohol having 5 or more carbon atoms is especially preferred.
- Two or more of these components may be mixed together before use. Also, they may be mixed with other organic solvents before use.
- the water content of the rinse liquid is preferably below 10 mass %, more preferably below 5 mass % and most preferably below 3 mass %.
- Favorable development performance can be attained by controlling the water content of the rinse liquid at below 10 mass %.
- the amount of organic solvent used in the rinse liquid is preferably in the range of 90 to 100 mass %, more preferably 95 to 100 mass % and most preferably 97 to 100 mass % based on the total amount of the rinse liquid.
- the vapor pressure of the rinse liquid used after the development by means of the developer containing an organic solvent is preferably in the range of 0.05 to 5 kPa, more preferably 0.1 to 5 kPa and most preferably 0.12 to 3 kPa at 20° C.
- the vapor pressure of the rinse liquid is in the range of 0.05 to 5 kPa, not only can the temperature uniformity within the plane of the wafer be enhanced but also the swell attributed to the penetration of the rinse liquid can be suppressed to thereby improve the dimensional uniformity within the plane of the wafer.
- Appropriate amounts of surfactant and resin (A′) may be added to the rinse liquid before use.
- the types and amounts of surfactant and resin (A′) that can be added are the same as mentioned above in connection with the developer.
- a negative pattern is formed from the chemically amplified resist composition according to the present invention by the above pattern forming method of the present invention.
- the exposed areas have their solubility in the developer containing an organic solvent decreased under the action of an acid and are rendered insoluble or highly insoluble therein.
- the nonexposed areas are soluble in the developer containing an organic solvent.
- the resin (A) it is optional for the resin (A) to contain a repeating unit containing an acid group. Preferably, the resin (A) does not contain such a repeating unit.
- the acid group there can be mentioned, for example, a carboxyl group, a sulfonamido group, a sulfonylimido group, a bissulfonylimido group, an aliphatic alcohol substituted at its ⁇ -position with an electron withdrawing group (for example, a hexafluoroisopropanol group —C(CF 3 ) 2 OH) or the like.
- an electron withdrawing group for example, a hexafluoroisopropanol group —C(CF 3 ) 2 OH
- the content of the repeating unit containing an acid group in the resin (A) is preferably 10 mol % or below, more preferably 5 mol % or below.
- the content of the repeating unit containing an acid group in the resin (A) is generally not lower than 1 mol %.
- This resin does not necessarily have to be by itself soluble in the developer as long as the film formed from the resist composition is soluble in the developer containing an organic solvent.
- the resin can be by itself insoluble in the developer when the film formed from the resist composition is soluble in the developer, depending on the properties and content of other components contained in the resist composition.
- the resin (A) is generally synthesized by radical polymerization, etc. from a monomer with a polymerizable partial structure.
- the resin (A) contains a repeating unit derived from the monomer with a polymerizable partial structure.
- the polymerizable partial structure there can be mentioned, for example, an ethylenically polymerizable partial structure.
- the resin (A) is a resin whose solubility in a developer containing an organic solvent is decreased by the action of an acid.
- the resin (A) comprises, in its principal chain or side chain, or both of its principal chain and side chain, a repeating unit containing a group (hereinafter also referred to as “an acid-decomposable group”) that is decomposed by the action of an acid to thereby produce a polar group.
- an acid-decomposable group a repeating unit containing a group that is decomposed by the action of an acid to thereby produce a polar group.
- the acid-decomposable group prefferably has a structure in which the polar group is protected by a group that is decomposed by the action of an acid to thereby be cleaved.
- the polar group is not particularly limited as long as it is insolubilized in a developer containing an organic solvent.
- acid groups groups that are dissociated in a 2.38 mass % aqueous tetramethylammonium hydroxide solution conventionally used as a resist developer
- carboxyl group a fluoroalcohol group (preferably a hexafluoroisopropanol) and a sulfonic acid group.
- the acid-decomposable group is preferably a group as obtained by substituting the hydrogen atom of any of these groups with an acid eliminable group.
- the acid eliminable group there can be mentioned, for example, —C(R 36 )(R 37 )(R 38 ), —C(R 36 )(R 37 )(OR 39 ), —C(R 01 )(R 02 )(OR 39 ) or the like.
- each of R 36 to R 39 independently represents an alkyl group, a cycloalkyl group, an aryl group, an aralkyl group or an alkenyl group.
- R 36 and R 37 may be bonded with each other to thereby form a ring structure.
- R 01 and R 02 independently represents a hydrogen atom, an alkyl group, a cycloalkyl group, an aryl group, an aralkyl group or an alkenyl group.
- the acid-decomposable group is a cumyl ester group, an enol ester group, an acetal ester group, a tertiary alkyl ester group or the like.
- a tertiary alkyl ester group is more preferred.
- the repeating unit with an acid-decomposable group that may be contained in the resin (A) is preferably any of those of the following general formula (AI).
- Xa 1 represents a hydrogen atom, an optionally substituted methyl group or any of the groups of the formula —CH 2 —R 9 .
- R 9 represents a hydroxyl group or a monovalent organic group.
- the monovalent organic group is, for example, an alkyl group having 5 or less carbon atoms or an acyl group having 5 or less carbon atoms.
- the monovalent organic group is an alkyl group having 3 or less carbon atoms, more preferably a methyl group.
- Xa 1 is preferably a hydrogen atom, a methyl group, a trifluoromethyl group or a hydroxymethyl group, more preferably a hydrogen atom, a methyl group or a hydroxymethyl group.
- T represents a single bond or a bivalent connecting group.
- Each of Rx 1 to Rx 3 independently represents an alkyl group (linear or branched) or a cycloalkyl group (monocyclic or polycyclic).
- Rx 2 and Rx 3 may be bonded with each other to thereby form a cycloalkyl group (monocyclic or polycyclic).
- the bivalent connecting group represented by T there can be mentioned, for example, any one or a combination of two or more groups selected from the group consisting of an alkylene group, a group of the formula —COO-Rt- and a group of the formula —O-Rt-.
- the sum of carbon atoms of the bivalent connecting group represented by T is preferably in the range of 1 to 12.
- Rt represents an alkylene group or a cycloalkylene group.
- T is preferably a single bond or a group of the formula —COO-Rt-.
- Rt is preferably an alkylene group having 1 to 5 carbon atoms, more preferably a —CH 2 — group, —(CH 2 ) 2 — group or —(CH 2 ) 3 — group.
- the alkyl group represented by each of Rx 1 to Rx 3 is preferably one having 1 to 4 carbon atoms, such as a methyl group, an ethyl group, an n-propyl group, an isopropyl group, an n-butyl group, an isobutyl group or a t-butyl group.
- the cycloalkyl group represented by each of Rx 1 to Rx 3 is preferably a cycloalkyl group of one ring, such as a cyclopentyl group or a cyclohexyl group, or a cycloalkyl group of multiple rings, such as a norbornyl group, a tetracyclodecanyl group, a tetracyclododecanyl group or an adamantyl group.
- the cycloalkyl group formed by bonding of Rx 2 and Rx 3 is preferably a cycloalkyl group of one ring, such as a cyclopentyl group or a cyclohexyl group, or a cycloalkyl group of multiple rings, such as a norbornyl group, a tetracyclodecanyl group, a tetracyclododecanyl group or an adamantyl group.
- the cycloalkyl group of a single ring having 5 or 6 carbon atoms is particularly preferred.
- Rx 1 is a methyl group or an ethyl group
- Rx 2 and Rx 3 are bonded with each other to thereby form any of the above-mentioned cycloalkyl groups.
- Each of the groups, above, may have a substituent.
- substituent there can be mentioned, for example, an alkyl group (having 1 to 4 carbon atoms), a cycloalkyl group (having 3 to 15 carbon atoms), a halogen atom, a hydroxyl group, an alkoxy group (having 1 to 4 carbon atoms), a carboxyl group, an alkoxycarbonyl group (having 2 to 6 carbon atoms) or the like.
- Substituents having 8 or less carbon atoms are preferred.
- each of Rx and Xa 1 represents a hydrogen atom, CH 3 , CF 3 or CH 2 OH.
- Each of Rxa and Rxb represents an alkyl group having 1 to 4 carbon atoms.
- Z each independently in the presence of two or more groups, represents a substituent containing a polar group.
- p represents 0 or a positive integer.
- Particular examples and preferred examples of the substituents Z are the same as those of the groups R 10 of general formula (2-1) to be described hereinafter.
- each of R's independently represents a hydrogen atom or a methyl group.
- alcoholic hydroxyl group means a nonphenolic hydroxyl group, in particular, a hydroxyl group whose pKa value is in the range of 12 to 20.
- the resin (A) may comprise, in at least either the principal chain or a side chain thereof, a repeating unit (a2) containing an alcoholic hydroxyl group.
- a repeating unit (a2) containing an alcoholic hydroxyl group.
- the alcoholic hydroxyl group functions as a crosslinking group
- the hydroxyl group reacts with a crosslinking agent under the action of an acid to thereby promote the insolubilization or solubility drop of the resist film in a developer containing an organic solvent with the result that the effect of enhancing the line width roughness (LWR) performance is exerted.
- LWR line width roughness
- the alcoholic hydroxyl group is not limited as long as it is a hydroxyl group bonded to a hydrocarbon group and is other than a hydroxyl group (phenolic hydroxyl group) directly bonded onto an aromatic ring.
- the alcoholic hydroxyl group is preferred for the alcoholic hydroxyl group to be a primary alcoholic hydroxyl group (group in which the carbon atom substituted with a hydroxyl group has two hydrogen atoms besides the hydroxyl group) or a secondary alcoholic hydroxyl group in which another electron withdrawing group is not bonded to the carbon atom substituted with a hydroxyl group.
- alcoholic hydroxyl groups Preferably 1 to 3 alcoholic hydroxyl groups, more preferably 1 or 2 alcoholic hydroxyl groups are introduced in each repeating unit (a2).
- repeating units of general formulae (2) and (3) there can be mentioned the repeating units of general formulae (2) and (3).
- Rx or R represents a structure with an alcoholic hydroxyl group.
- Rx's and R represents a structure with an alcoholic hydroxyl group.
- Two Rx's may be identical to or different from each other.
- a hydroxyalkyl group preferably 2 to 8 carbon atoms, more preferably 2 to 4 carbon atoms
- a hydroxycycloalkyl group preferably 4 to 14 carbon atoms
- a cycloalkyl group substituted with a hydroxyalkyl group preferably 5 to 20 carbon atoms in total
- an alkyl group substituted with a hydroxyalkoxy group preferably 3 to 15 carbon atoms in total
- a cycloalkyl group substituted with a hydroxyalkoxy group preferably 5 to 20 carbon atoms in total
- a residue of primary alcohol is preferred.
- the structure —(CH 2 )n-OH (n is an integer of 1 or greater, preferably an integer of 2 to 4) is more preferred.
- Rx represents a hydrogen atom, a halogen atom, a hydroxyl group, an optionally substituted alkyl group (preferably 1 to 4 carbon atoms) or an optionally substituted cycloalkyl group (preferably 5 to 12 carbon atoms).
- substituents that may be introduced in the alkyl group and cycloalkyl group represented by Rx there can be mentioned a hydroxyl group and a halogen atom.
- the halogen atom represented by Rx there can be mentioned a fluorine atom, a chlorine atom, a bromine atom or an iodine atom.
- Rx is preferably a hydrogen atom, a methyl group, a hydroxymethyl group, a hydroxyl group or a trifluoromethyl group. A hydrogen atom and a methyl group are especially preferred.
- R represents an optionally hydroxylated hydrocarbon group.
- the hydrocarbon group represented by R is preferably a saturated hydrocarbon group.
- an alkyl group preferably 1 to 8 carbon atoms, more preferably 2 to 4 carbon atoms
- a mono- or polycyclohydrocarbon group preferably 3 to 20 carbon atoms, for example, an alicyclic group to be described hereinafter.
- n′ is an integer of 0 to 2.
- the repeating unit (a2) is preferably a repeating unit derived from an ester of acrylic acid in which the principal chain at its ⁇ -position (for example, Rx in formula (2)) may be substituted, more preferably a repeating unit derived from a monomer with a structure corresponding to formula (2). Further, containing an alicyclic group in the unit is preferred. With respect to the alicyclic group, a mono- or polycyclic structure can be considered. A polycyclic structure is preferred from the viewpoint of the resistance to etching.
- alicyclic groups there can be mentioned, for example, monocyclic structures, such as cyclobutyl, cyclopentyl, cyclohexyl, cycloheptyl and cyclooctyl, and polycyclic structures, such as norbornyl, isobornyl, tricyclodecanyl, tetracyclododecanyl, hexacycloheptadecanyl, adamantyl, diadamantyl, spirodecanyl and spiroundecanyl. Of these, adamantyl, diadamantyl and norbornyl structures are preferred.
- R x represents a hydrogen atom or a methyl group.
- the repeating unit (a2) may have a structure in which at least one of the above-mentioned repeating unit (a1) and repeating units (a3) and (a4) to be described hereinafter contains an alcoholic hydroxyl group.
- the repeating unit (a2) may have a structure in which in the above-mentioned repeating unit (a1) containing an acid-decomposable group, the moiety cleaved under the action of an acid contains an alcoholic hydroxyl group. It is presumed that the efficiency of crosslinking can be optimized by containing such a repeating unit.
- the resin (A) prefferably further comprise a repeating unit (a3) containing a nonpolar group.
- a repeating unit (a3) containing a nonpolar group By introducing this repeating unit, not only can leaching of low-molecular components from the resist film into an immersion liquid in the stage of liquid-immersion exposure be reduced but also the solubility of the resin in the stage of development with a developer containing an organic solvent can be appropriately regulated.
- the repeating unit (a3) containing a nonpolar group to be a repeating unit in which no polar group (for example, the above-mentioned acid group, a hydroxyl group, a cyano group or the like) is contained.
- repeating unit (a3) is also preferred for the repeating unit (a3) to be a repeating unit containing neither the acid-decomposable group mentioned above nor the lactone structure to be described hereinafter.
- repeating units there can be mentioned the repeating units of general formulae (4) and (5) below.
- R 5 represents a hydrocarbon group having neither a hydroxyl group nor a cyano group.
- Ra represents a hydrogen atom, a hydroxyl group, a halogen atom or an alkyl group (preferably 1 to 4 carbon atoms).
- a substituent may be introduced in the alkyl group represented by Ra, and as the substituent, there can be mentioned a hydroxyl group or a halogen atom.
- As the halogen atom represented by Ra there can be mentioned a fluorine atom, a chlorine atom, a bromine atom or an iodine atom.
- Ra is preferably a hydrogen atom, a methyl group, a trifluoromethyl group or a hydroxymethyl group. A hydrogen atom and a methyl group are most preferred.
- n is an integer of 0 to 2.
- R 5 it is preferred for R 5 to have at least one cyclic structure.
- the hydrocarbon groups represented by R 5 include, for example, linear and branched hydrocarbon groups, monocyclohydrocarbon groups and polycyclohydrocarbon groups. From the viewpoint of the resistance to dry etching, it is preferred for R 5 to include monocyclohydrocarbon groups and polycyclohydrocarbon groups, especially polycyclohydrocarbon groups.
- R 5 preferably represents any of the groups of formula: -L 4 -A 4 -(R 4 ) n4 .
- L 4 represents a single bond or a bivalent hydrocarbon group, being preferably a single bond, an alkylene group (preferably 1 to 3 carbon atoms) or a cycloalkylene group (preferably 5 to 7 carbon atoms). More preferably, L 4 represents a single bond.
- a 4 represents a (n4+1)-valent hydrocarbon group (preferably 3 to 30 carbon atoms, more preferably 3 to 14 carbon atoms and further more preferably 6 to 12 carbon atoms), preferably an alicyclic hydrocarbon group of a single ring or multiple rings.
- n4 is an integer of 0 to 5, preferably an integer of 0 to 3.
- R 4 represents a hydrocarbon group, being preferably an alkyl group (preferably 1 to 3 carbon atoms) or a cycloalkyl group (preferably 5 to 7 carbon atoms).
- the linear or branched hydrocarbon group there can be mentioned, for example, an alkyl group having 3 to 12 carbon atoms.
- the monocyclic hydrocarbon group there can be mentioned, for example, a cycloalkyl group having 3 to 12 carbon atoms, a cycloalkenyl group having 3 to 12 carbon atoms or a phenyl group.
- the monocyclic hydrocarbon group is a monocyclic saturated hydrocarbon group having 3 to 7 carbon atoms.
- the polycyclic hydrocarbon groups include ring-assembly hydrocarbon groups (for example, a bicyclohexyl group) and crosslinked-ring hydrocarbon groups.
- ring-assembly hydrocarbon groups for example, a bicyclohexyl group
- crosslinked-ring hydrocarbon groups there can be mentioned, for example, a bicyclic hydrocarbon group, a tricyclic hydrocarbon group and a tetracyclic hydrocarbon group.
- the crosslinked-ring hydrocarbon groups include condensed-ring hydrocarbon groups (for example, groups each resulting from condensation of a plurality of 5- to 8-membered cycloalkane rings).
- preferred crosslinked-ring hydrocarbon groups there can be mentioned a norbornyl group and an adamantyl group.
- a substituent may further be introduced in each of these groups.
- a halogen atom there can be mentioned a bromine atom, a chlorine atom or a fluorine atom.
- a preferred alkyl group there can be mentioned a methyl, an ethyl, a butyl or a t-butyl group.
- a substituent may be introduced in this alkyl group.
- a halogen atom or an alkyl group there can be mentioned a halogen atom or an alkyl group.
- Ra represents a hydrogen atom, a hydroxyl group, a halogen atom or an optionally substituted alkyl group having 1 to 4 carbon atoms.
- substituents that may be introduced in the alkyl group represented by Ra there can be mentioned a hydroxyl group and a halogen atom.
- halogen atom represented by Ra there can be mentioned a fluorine atom, a chlorine atom, a bromine atom or an iodine atom.
- Ra is preferably a hydrogen atom, a methyl group, a hydroxymethyl group or a trifluoromethyl group. A hydrogen atom and a methyl group are especially preferred.
- the resin (A) may have a repeating unit containing a lactone structure.
- lactone groups can be employed as long as a lactone structure is possessed therein.
- lactone structures of a 5 to 7-membered ring are preferred, and in particular, those resulting from condensation of lactone structures of a 5 to 7-membered ring with other cyclic structures effected in a fashion to form a bicyclo structure or spiro structure are preferred.
- the possession of repeating units having a lactone structure represented by any of the following general formulae (LC1-1) to (LC1-17) is more preferred.
- the lactone structures may be directly bonded to the principal chain of the resin.
- Preferred lactone structures are those of formulae (LC1-1), (LC1-4), (LC1-5), (LC1-6), (LC1-13), (LC1-14) and (LC1-17). The use of these specified lactone structures would ensure improvement in the LWR and development defect.
- a substituent (Rb 2 ) on the portion of the lactone structure is optional.
- a substituent (Rb 2 ) there can be mentioned an alkyl group having 1 to 8 carbon atoms, a cycloalkyl group having 4 to 7 carbon atoms, an alkoxy group having 1 to 8 carbon atoms, an alkoxycarbonyl group having 1 to 8 carbon atoms, a carboxyl group, a halogen atom, a hydroxyl group, a cyano group, an acid-decomposable group or the like.
- an alkyl group having 1 to 4 carbon atoms, a cyano group and an acid-decomposable group are more preferred.
- n 2 is an integer of 0 to 4.
- the plurality of present substituents (Rb 2 ) may be identical to or different from each other. Further, the plurality of present substituents (Rb 2 ) may be bonded to each other to thereby form a ring.
- the repeating unit having a lactone group is generally present in the form of optical isomers. Any of the optical isomers may be used. It is both appropriate to use a single type of optical isomer alone and to use a plurality of optical isomers in the form of a mixture. When a single type of optical isomer is mainly used, the optical purity (ee) thereof is preferably 90% or higher, more preferably 95% or higher.
- the resin (A) As the repeating unit having a lactone structure, it is preferred for the resin (A) to contain any of the repeating units represented by general formula (III) below.
- A represents an ester bond (—COO—) or an amido bond (—CONH—).
- Ro each independently in the presence of two or more groups, represents an alkylene group, a cycloalkylene group or a combination thereof.
- Z each independently in the presence of two or more groups, represents an ether bond, an ester bond, an amido bond, a urethane bond
- Each of Rs independently represents a hydrogen atom, an alkyl group, cycloalkyl group or an aryl group.
- R 8 represents a monovalent organic group with a lactone structure.
- n represents the number of repetitions of the structure of the formula —R 0 —Z— and is an integer of 1 to 5. n preferably represents 0 or 1.
- R 7 represents a hydrogen atom, a halogen atom or an optionally substituted alkyl group.
- Each of the alkylene group and cycloalkylene group represented by R 0 may have a substituent.
- Z preferably represents an ether bond or an ester bond, most preferably an ester bond.
- the alkyl group represented by R 7 is preferably an alkyl group having 1 to 4 carbon atoms, more preferably a methyl group or an ethyl group and most preferably a methyl group.
- substituent of the alkyl group there can be mentioned, for example, a hydroxyl group, a halogen atom and the like.
- Each of the alkylene group and cycloalkylene group represented by R 0 and the alkylene group represented by R 7 may have a substituent.
- the substituent there can be mentioned, for example, a halogen atom such as a fluorine atom, a chlorine atom or a bromine atom, a mercapto group, a hydroxyl group, an alkoxy group such as a methoxy group, an ethoxy group, an isopropoxy group, a t-butoxy group or a benzyloxy group, an acyloxy group such as an acetyloxy group or a propionyloxy group and the like.
- R 7 preferably represents a hydrogen atom, a methyl group, a trifluoromethyl group or a hydroxymethyl group.
- the alkylene group represented by R 0 is preferably a chain alkylene group having 1 to 10 carbon atoms, more preferably 1 to 5 carbon atoms, for example, a methylene group, an ethylene group, a propylene group or the like.
- the cycloalkylene group is preferably a cycloalkylene group having 3 to 20 carbon atoms. As such, there can be mentioned, for example, cyclohexylene, cyclopentylene, norbornylene, adamantylene or the like.
- the chain alkylene groups are preferred from the viewpoint of the exertion of the effect of the present invention. A methylene group is most preferred.
- the monovalent organic group with a lactone structure represented by R 8 is not limited as long as the lactone structure is contained.
- the lactone structures of the above general formulae (LC1-1) to (LC1-17) can be mentioned.
- the structures of general formula (LC1-4) are most preferred.
- n 2 is more preferably 2 or less.
- R 8 preferably represents a monovalent organic group with an unsubstituted lactone structure or a monovalent organic group with a lactone structure substituted with a methyl group, a cyano group or an alkoxycarbonyl group. More preferably, R 8 represents a monovalent organic group with a lactone structure substituted with a cyano group (cyanolactone).
- repeating units having a lactone structure will be shown below, which however in no way limit the scope of the present invention.
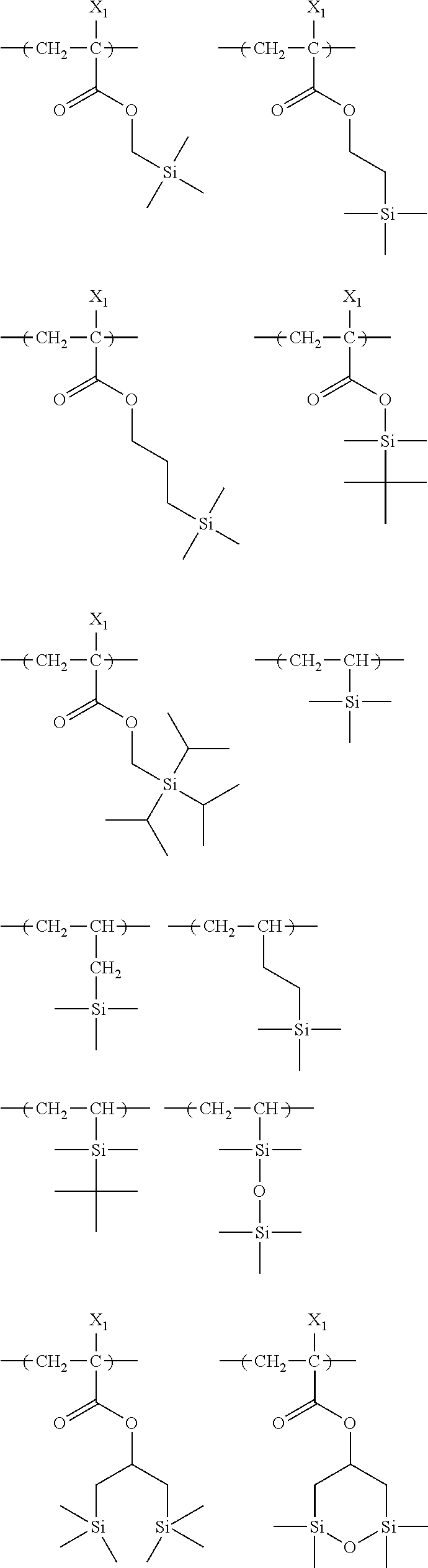
- Rx represents H, CH 3 , CH 2 OH or CF 3 .
- the repeating units having an especially preferred lactone structure will be shown below. An improvement in pattern profile and iso-dense bias can be attained by selection of the most appropriate lactone structure.
- Rx represents H, CH 3 , CH 2 OH or CF 3 .
- R represents a hydrogen atom, an optionally substituted alkyl group or a halogen atom.
- R represents a hydrogen atom, a methyl group, a hydroxymethyl group or a trifluoromethyl group.
- Two or more types of lactone repeating units can be simultaneously employed in order to enhance the effects of the present invention.
- Resin (A) may have, in addition to the foregoing repeating structural units, various repeating structural units for the purpose of regulating the dry etching resistance, standard developer adaptability, substrate adhesion, resist profile and generally required properties of the resist such as resolving power, heat resistance and sensitivity.
- the resin (A) may be a resin composed of a mixture of two or more different resins.
- a resin composed of a mixture of a resin comprising a repeating unit (a2) and a resin comprising a repeating unit (a3) can be used in order to regulate the dry etching resistance, standard developer adaptability, adherence to substrates, resist profile and generally required properties for the resist, such as resolving power, heat resistance, sensitivity and the like.
- a resin composed of a mixture of a resin comprising a repeating unit (a1) and a resin in which no repeating unit (a1) is contained.
- the resin (A) contained in the composition of the present invention is used in ArF exposure, it is preferred for the resin (A) contained in the composition of the present invention to contain substantially no aromatic group (in particular, the ratio of the repeating unit containing an aromatic group in the resin is preferably up to 5 mol %, more preferably up to 3 mol % and ideally 0 mol %, namely containing no aromatic group) from the viewpoint of transparency to ArF light. It is preferred for the resin (A) to have an alicyclic hydrocarbon structure of a single ring or multiple rings.
- the resin (A) it is preferred for the resin (A) to contain neither a fluorine atom nor a silicon atom from the viewpoint of the compatibility with hydrophobic resins to be described hereinafter.
- the contents of individual repeating units are as follows.
- a plurality of different repeating units may be contained.
- the following content refers to the total amount thereof.
- the content of repeating unit (a1) containing an acid-decomposable group, based on all the repeating units constructing the resin (A), is preferably in the range of 20 to 70 mol %, more preferably 30 to 60 mol %.
- the content thereof based on all the repeating units constructing the resin (A) is generally in the range of 10 to 80 mol %, preferably 10 to 60 mol %.
- the content thereof based on all the repeating units constructing the resin (A) is generally in the range of 20 to 80 mol %, preferably 30 to 60 mol %.
- the content thereof based on all the repeating units of the resin (A) is preferably in the range of 15 to 60 mol %, more preferably 20 to 50 mol % and further more preferably 30 to 50 mol %.
- the molar ratio of individual repeating units contained in the resin (A) can be appropriately set for regulating the resist resistance to dry etching, developer adaptability, adherence to substrates, resist profile, generally required properties for resists, such as resolving power, heat resistance and sensitivity, and the like.
- Resin (A) can be synthesized by conventional techniques (for example, radical polymerization).
- radical polymerization As general synthetic methods, there can be mentioned, for example, a batch polymerization method in which a monomer species and an initiator are dissolved in a solvent and heated so as to accomplish polymerization and a dropping polymerization method in which a solution of monomer species and initiator is added by dropping to a heated solvent over a period of 1 to 10 hours.
- the dropping polymerization method is preferred.
- the weight average molecular weight of resin (A) in terms of polystyrene molecular weight as measured by GPC is preferably in the range of 1000 to 200,000, more preferably 2000 to 20,000, still more preferably 3000 to 15,000 and further preferably 5000 to 13,000.
- the regulation of the weight average molecular weight to 1000 to 200,000 would prevent deteriorations of heat resistance and dry etching resistance and also prevent deterioration of developability and increase of viscosity leading to poor film forming property.
- the resin whose dispersity (molecular weight distribution) is generally in the range of 1 to 3, preferably 1 to 2.6, more preferably 1 to 2 and most preferably 1.4 to 1.7.
- the content ratio of resin (A) based on the total solid content of the whole composition is preferably in the range of 65 to 97 mass %, more preferably 75 to 95 mass %.
- the resins (A) may be used either individually or in combination.
- composition of the present invention contains a compound that when exposed to actinic rays or radiation, generates an acid (hereinafter referred to as an “acid generator”).
- the acid generator use can be made of a member appropriately selected from among a photoinitiator for photocationic polymerization, a photoinitiator for photoradical polymerization, a photo-achromatic agent and photo-discoloring agent for dyes, any of generally known compounds that when exposed to actinic rays or radiation, generate an acid, employed in microresists, etc., and mixtures thereof.
- the acid generator there can be mentioned a diazonium salt, a phosphonium salt, a sulfonium salt, an iodonium salt, an imide sulfonate, an oxime sulfonate, diazosulfone, disulfone or o-nitrobenzyl sulfonate.
- each of R 201 , R 202 and R 203 independently represents an organic group.
- the number of carbon atoms of the organic group represented by R 201 , R 202 and R 203 is generally in the range of 1 to 30, preferably 1 to 20.
- Two of R 201 to R 203 may be bonded with each other to thereby form a ring structure, and the ring within the same may contain an oxygen atom, a sulfur atom, an ester bond, an amido bond or a carbonyl group.
- an alkylene group for example, a butylene group or a pentylene group.
- Z ⁇ represents a nonnucleophilic anion.
- nonnucleophilic anion represented by Z ⁇ there can be mentioned, for example, a sulfonate anion, a carboxylate anion, a sulfonylimido anion, a bis(alkylsulfonyl)imido anion, a tris(alkylsulfonyl)methide anion or the like.
- the nonnucleophilic anion means an anion whose capability of inducing a nucleophilic reaction is extremely low and is an anion capable of inhibiting any temporal decomposition by intramolecular nucleophilic reaction. This would realize an enhancement of the temporal stability of the actinic-ray- or radiation-sensitive resin composition.
- sulfonate anion there can be mentioned, for example, an aliphatic sulfonate anion, an aromatic sulfonate anion, a camphor sulfonate anion or the like.
- carboxylate anion there can be mentioned, for example, an aliphatic carboxylate anion, an aromatic carboxylate anion, an aralkyl carboxylate anion or the like.
- the aliphatic moiety of the aliphatic sulfonate anion may be an alkyl group or a cycloalkyl group, being preferably an alkyl group having 1 to 30 carbon atoms or a cycloalkyl group having 3 to 30 carbon atoms.
- aromatic group of the aromatic sulfonate anion there can be mentioned an aryl group having 6 to 14 carbon atoms, for example, a phenyl group, a tolyl group, a naphthyl group or the like.
- the alkyl group, cycloalkyl group and aryl group of the aliphatic sulfonate anion and aromatic sulfonate anion may have a substituent.
- Anions capable of producing arylsulfonic acids of formula (BI) below are preferably used as the aromatic sulfonate anion.
- Ar represents an aromatic ring, in which a substituent other than the sulfonic acid group and A-group may further be introduced.
- p is an integer of 0 or greater.
- A represents a group comprising a hydrocarbon group.
- a plurality of A-groups may be identical to or different from each other.
- the aromatic ring represented by Ar is preferably an aromatic ring having 6 to 30 carbon atoms.
- the aromatic ring is preferably a benzene ring, a naphthalene ring or an anthracene ring.
- a benzene ring is more preferred.
- substituent other than the sulfonic acid group and A-group that can further be introduced in the aromatic ring there can be mentioned a halogen atom (a fluorine atom, a chlorine atom, a bromine atom, an iodine atom or the like), a hydroxyl group, a cyano group, a nitro group, a carboxyl group or the like.
- a halogen atom a fluorine atom, a chlorine atom, a bromine atom, an iodine atom or the like
- a halogen atom a fluorine atom, a chlorine atom, a bromine atom, an iodine atom or the like
- a hydroxyl group a cyano group
- a nitro group a carboxyl group or the like
- hydrocarbon group of the group comprising a hydrocarbon group represented by A there can be mentioned a noncyclic hydrocarbon group or a cycloaliphatic group.
- This hydrocarbon group preferably has 3 or more carbon atoms.
- the carbon atom adjacent to Ar is a tertiary or quaternary carbon atom.
- noncyclic hydrocarbon group represented by A there can be mentioned an isopropyl group, a t-butyl group, a t-pentyl group, a neopentyl group, a s-butyl group, an isobutyl group, an isohexyl group, a 3,3-dimethylpentyl group, a 2-ethylhexyl group or the like.
- the number is preferably 12 or less, more preferably 10 or less.
- a cycloalkyl group such as a cyclobutyl group, a cyclopentyl group, a cyclohexyl group, a cycloheptyl group or a cyclooctyl group, an adamantyl group, a norbornyl group, a bornyl group, a camphenyl group, a decahydronaphthyl group, a tricyclodecanyl group, a tetracyclodecanyl group, a camphoroyl group, a dicyclohexyl group, a pinenyl group or the like.
- the cycloaliphatic group may have a substituent. With respect to the upper limit of the number of carbon atoms of the cycloaliphatic group, the number is preferably 15 or less, more preferably 12 or less.
- a substituent that may be introduced in the noncyclic hydrocarbon group or cycloaliphatic group there can be mentioned, for example, a halogen group such as a fluorine atom, a chlorine atom, a bromine atom or an iodine atom, an alkoxy group such as a methoxy group, an ethoxy group or a tert-butoxy group, an aryloxy group such as a phenoxy group or a p-tolyloxy group, an alkylthioxy group such as a methylthioxy group, an ethylthioxy group or a tert-butylthioxy group, an arylthioxy group such as a phenylthioxy group or a p-tolylthioxy group, an alkoxycarbonyl group such as a methoxycarbonyl group or a butoxycarbonyl group, a phenoxycarbonyl group, an acetoxy group, a linear or branched alky
- the groups each comprising a cycloaliphatic group or a noncyclic hydrocarbon group represented by A are preferred from the viewpoint of inhibiting any acid diffusion.
- p is an integer of 0 or greater. There is no particular upper limit as long as the number is chemically feasible. From the viewpoint of inhibiting any acid diffusion, p is generally in the range of 0 to 5, preferably 1 to 4, more preferably 2 or 3 and most preferably 3.
- the substitution with A-group preferably occurs at least one o-position to the sulfonic acid group, more preferably at two o-positions to the sulfonic acid group.
- the acid generator (B) in its one form is a compound that generates any of acids of general formula (BII) below.
- A is as defined above in connection with general formula (BI).
- Two A's may be identical to or different from each other.
- Each of R 1 to R 3 independently represents a hydrogen atom, a group comprising a hydrocarbon group, a halogen atom, a hydroxyl group, a cyano group or a nitro group.
- the groups each comprising a hydrocarbon group there can be mentioned the same groups as set forth above by way of example.
- each of Xfs independently represents a fluorine atom or an alkyl group substituted with at least one fluorine atom.
- Each of R 1 and R 2 independently represents a member selected from among a hydrogen atom, a fluorine atom and an alkyl group. When two or more R 1 s or R 2 s are contained, the two or more may be identical to or different from each other.
- L represents a bivalent connecting group. When two or more Ls are contained, they may be identical to or different from each other.
- A represents an organic group with a cyclic structure. In the formula, x is an integer of 1 to 20, y an integer of 0 to 10 and z an integer of 0 to 10.
- the alkyl group of the alkyl group substituted with a fluorine atom, represented by Xf preferably has 1 to 10 carbon atoms, more preferably 1 to 4 carbon atoms.
- the alkyl group substituted with a fluorine atom, represented by Xf is preferably a perfluoroalkyl group.
- Xf is preferably a fluorine atom or CF 3 . It is especially preferred that both Xfs are fluorine atoms.
- Each of the alkyl group represented by each of R 1 and R 2 may have a substituent (preferably a fluorine atom), and preferably has 1 to 4 carbon atoms.
- Each of R 1 and R 2 is preferably a fluorine atom or CF 3 .
- the bivalent connecting group represented by L is not particularly limited. As the same, there can be mentioned, for example, any one or a combination of two or more groups selected from the group consisting of —COO—, —OCO—, —CO—, —O—, —S—, —SO—, —SO 2 —, an alkylene group, a cycloalkylene group and an alkenylene group.
- the sum of carbon atoms of the bivalent connecting group represented by L is preferably 12 or less. Of these, —COO—, —OCO—, —CO—, —O— and —SO 2 — are preferred. —COO—, —OCO— and —SO 2 — are more preferred.
- the organic group with a cyclic structure represented by A is not particularly limited.
- the group there can be mentioned an alicyclic group, an aryl group, a heterocyclic group (including not only those exhibiting aromaticity but also those exhibiting no aromaticity) or the like.
- the alicyclic group may be monocyclic or polycyclic.
- the alicyclic group is a cycloalkyl group of a single ring, such as a cyclopentyl group, a cyclohexyl group or a cyclooctyl group, or a cycloalkyl group of multiple rings, such as a norbornyl group, a tricyclodecanyl group, a tetracyclodecanyl group, a tetracyclododecanyl group or an adamantyl group.
- alicyclic groups with a bulky structure having at least 7 carbon atoms namely, a norbornyl group, a tricyclodecanyl group, a tetracyclodecanyl group, a tetracyclododecanyl group and an adamantyl group are preferred from the viewpoint of inhibiting any in-film diffusion in the step of post-exposure bake (PEB) to thereby enhance Mask Error Enhancement Factor (MEEF).
- PEB post-exposure bake
- MEEF Mask Error Enhancement Factor
- aryl group there can be mentioned a benzene ring, a naphthalene ring, a phenanthrene ring or an anthracene ring.
- Naphthalene exhibiting a low absorbance is especially preferred from the viewpoint of the absorbance at 193 nm.
- heterocyclic groups there can be mentioned those derived from a furan ring, a thiophene ring, a benzofuran ring, a benzothiophene ring, a dibenzofuran ring, a dibenzothiophene ring, a pyridine ring and a piperidine ring.
- the groups derived from a furan ring, a thiophene ring, a pyridine ring and a piperidine ring are preferred.
- lactone structures As the cyclic organic groups, there can also be mentioned lactone structures. As particular examples thereof, there can be mentioned the above lactone structures of general formulae (LC1-1) to (LC1-17) that may be incorporated in the resin (A).
- a substituent may be introduced in each of the above cyclic organic groups.
- an alkyl group may be linear or branched, preferably having 1 to 12 carbon atoms
- a cycloalkyl group may be in the form of any of a monocycle, a polycycle and a spiro ring, preferably having 3 to 20 carbon atoms
- an aryl group preferably having 6 to 14 carbon atoms
- a hydroxyl group an alkoxy group, an ester group, an amido group, a urethane group, a ureido group, a thioether group, a sulfonamido group, a sulfonic ester group or the like.
- the carbon as a constituent of any of the cyclic organic groups may be a carbonyl carbon.
- aliphatic moiety of the aliphatic carboxylate anion there can be mentioned the same alkyl groups and cycloalkyl groups as mentioned with respect to the aliphatic sulfonate anion.
- aromatic group of the aromatic carboxylate anion there can be mentioned the same aryl groups as mentioned with respect to the aromatic sulfonate anion.
- aralkyl group of the aralkyl carboxylate anion there can be mentioned an aralkyl group having 7 to 12 carbon atoms, for example, a benzyl group, a phenethyl group, a naphthylmethyl group, a naphthylethyl group, a naphthylbutyl group or the like.
- the alkyl group, cycloalkyl group, aryl group and aralkyl group of the aliphatic carboxylate anion, aromatic carboxylate anion and aralkyl carboxylate anion may have a substituent.
- substituent of the alkyl group, cycloalkyl group, aryl group and aralkyl group of the aliphatic carboxylate anion, aromatic carboxylate anion and aralkyl carboxylate anion there can be mentioned, for example, the same halogen atom, alkyl group, cycloalkyl group, alkoxy group, alkylthio group, etc. as mentioned with respect to the aromatic sulfonate anion.
- sulfonylimido anion there can be mentioned, for example, a saccharin anion.
- the alkyl group of the bis(alkylsulfonyl)imido anion and tris(alkylsulfonyl)methide anion is preferably an alkyl group having 1 to 5 carbon atoms.
- a substituent of these alkyl groups there can be mentioned a halogen atom, an alkyl group substituted with a halogen atom, an alkoxy group, an alkylthio group, an alkyloxysulfonyl group, an aryloxysulfonyl group, a cycloalkylaryloxysulfonyl group or the like.
- An alkyl group substituted with a fluorine atom is preferred.
- the two alkyl groups contained in the bis(alkylsulfonyl)imide anion may be identical to or different from each other.
- the multiple alkyl groups contained in the tris(alkylsulfonyl)methide anion may be identical to or different from each other.
- Y represents an alkylene group substituted with at least one fluorine atom, preferably having 2 to 4 carbon atoms.
- An oxygen atom may be contained in the alkylene chain.
- Y is a perfluoroalkylene group having 2 to 4 carbon atoms.
- Y is a tetrafluoroethylene group, a hexafluoropropylene group or an octafluorobutylene group.
- R represents an alkyl group or a cycloalkyl group.
- An oxygen atom may be contained in the alkylene chain of the alkyl group or cycloalkyl group.
- nonnucleophilic anions there can be mentioned, for example, phosphorus fluoride, boron fluoride, antimony fluoride and the like.
- organic groups represented by R 201 , R 202 and R 203 of general formula (ZI) there can be mentioned, for example, groups corresponding to the following compounds (ZI-1), (ZI-2), (ZI-3) and (ZI-4).
- ZI As more preferred (ZI) components, there can be mentioned the following compounds (ZI-1), (ZI-2), (ZI-3) and (ZI-4).
- the compounds (ZI-1) are arylsulfonium compounds of general formula (ZI) wherein at least one of R 201 to R 203 is an aryl group, namely, compounds containing an arylsulfonium as a cation.
- all of the R 201 to R 203 may be aryl groups. It is also appropriate that the R 201 to R 203 are partially an aryl group and the remainder is an alkyl group or a cycloalkyl group.
- arylsulfonium compounds there can be mentioned, for example, a triarylsulfonium compound, a diarylalkylsulfonium compound, an aryldialkylsulfonium compound, a diarylcycloalkylsulfonium compound and an aryldicycloalkylsulfonium compound.
- the aryl group of the arylsulfonium compounds is preferably a phenyl group or a naphthyl group, more preferably a phenyl group.
- the aryl group may be one having a heterocyclic structure containing an oxygen atom, nitrogen atom, sulfur atom or the like.
- As the aryl group having a heterocyclic structure there can be mentioned, for example, a pyrrole residue, a furan residue, a thiophene residue, an indole residue, a benzofuran residue, a benzothiophene residue or the like.
- the two or more aryl groups may be identical to or different from each other.
- the alkyl group or cycloalkyl group contained in the arylsulfonium compound according to necessity is preferably a linear or branched alkyl group having 1 to 15 carbon atoms or a cycloalkyl group having 3 to 15 carbon atoms.
- the aryl group, alkyl group or cycloalkyl group represented by R 201 to R 203 may have as its substituent an alkyl group (for example, 1 to 15 carbon atoms), a cycloalkyl group (for example, 3 to 15 carbon atoms), an aryl group (for example, 6 to 14 carbon atoms), an alkoxy group (for example, 1 to 15 carbon atoms), a halogen atom, a hydroxyl group or a phenylthio group.
- Preferred substituents are a linear or branched alkyl group having 1 to 12 carbon atoms, a cycloalkyl group having 3 to 12 carbon atoms and a linear, branched or cyclic alkoxy group having 1 to 12 carbon atoms. More preferred substituents are an alkyl group having 1 to 4 carbon atoms and an alkoxy group having 1 to 4 carbon atoms.
- the substituents may be contained in any one of the three R 201 to R 203 , or alternatively may be contained in all three of R 201 to R 203 .
- R 201 to R 203 represent an aryl group
- the substituent preferably lies at the p-position of the aryl group.
- the compounds (ZI-2) are compounds of formula (ZI) wherein each of R 201 to R 203 independently represents an organic group having no aromatic ring.
- the aromatic rings include an aromatic ring having a heteroatom.
- the organic group having no aromatic ring represented by R 201 to R 203 generally has 1 to 30 carbon atoms, preferably 1 to 20 carbon atoms.
- each of R 201 to R 203 independently represents an alkyl group, a cycloalkyl group, an allyl group or a vinyl group. More preferred groups are a linear or branched 2-oxoalkyl group, a 2-oxocycloalkyl group and an alkoxycarbonylmethyl group. Especially preferred is a linear or branched 2-oxoalkyl group.
- alkyl groups and cycloalkyl groups represented by R 201 to R 203 there can be mentioned a linear or branched alkyl group having 1 to 10 carbon atoms and a cycloalkyl group having 3 to 10 carbon atoms.
- alkyl groups there can be mentioned a 2-oxoalkyl group and an alkoxycarbonylmethyl group.
- cycloalkyl group there can be mentioned a 2-oxocycloalkyl group.
- the 2-oxoalkyl group may be linear or branched. A group having >C ⁇ O at the 2-position of the alkyl group is preferred.
- the 2-oxocycloalkyl group is preferably a group having >C ⁇ O at the 2-position of the cycloalkyl group.
- alkoxy groups of the alkoxycarbonylmethyl group there can be mentioned alkoxy groups having 1 to 5 carbon atoms.
- the R 201 to R 203 may be further substituted with a halogen atom, an alkoxy group (for example, 1 to 5 carbon atoms), a hydroxyl group, a cyano group or a nitro group.
- the compounds (ZI-3) are those represented by the following general formula (ZI-3) which have a phenacylsulfonium salt structure.
- each of R 1c to R 5c independently represents a hydrogen atom, an alkyl group, a cycloalkyl group, an alkoxy group, a halogen atom or a phenylthio group.
- Each of R 6c and R 7c independently represents a hydrogen atom, an alkyl group, a cycloalkyl group, halogen atom, a cyano group or an aryl group.
- R x and R y independently represents an alkyl group, a cycloalkyl group, a 2-oxoalkyl group, a 2-oxocycloalkyl group, an alkoxycarbonylalkyl group, an allyl group or a vinyl group.
- R 1c to R 5c , and R 6c and R 7c , and R x and R y may be bonded with each other to thereby form a ring structure.
- This ring structure may contain an oxygen atom, a sulfur atom, an ester bond or an amido bond.
- Zc ⁇ represents a nonnucleophilic anion. There can be mentioned the same nonnucleophilic anions as mentioned with respect to the Z ⁇ of the general formula (ZI).
- the alkyl group represented by R 1c to R 7c may be linear or branched.
- an alkyl group having 1 to 20 carbon atoms preferably a linear or branched alkyl group having 1 to 12 carbon atoms (for example, a methyl group, an ethyl group, a linear or branched propyl group, a linear or branched butyl group or a linear or branched pentyl group).
- a cycloalkyl group there can be mentioned, for example, a cycloalkyl group having 3 to 8 carbon atoms (for example, a cyclopentyl group or a cyclohexyl group).
- the alkoxy group represented by R 1c to R 5c may be linear, or branched, or cyclic.
- an alkoxy group having 1 to 10 carbon atoms preferably a linear or branched alkoxy group having 1 to 5 carbon atoms (for example, a methoxy group, an ethoxy group, a linear or branched propoxy group, a linear or branched butoxy group or a linear or branched pentoxy group) and a cycloalkoxy group having 3 to 8 carbon atoms (for example, a cyclopentyloxy group or a cyclohexyloxy group).
- any one of R 1c to R 5c is a linear or branched alkyl group, a cycloalkyl group or a linear, branched or cyclic alkoxy group. More preferably, the sum of carbon atoms of R 1c to R 5c is in the range of 2 to 15. Accordingly, there can be attained an enhancement of solvent solubility and inhibition of particle generation during storage.
- Each of the aryl groups represented by R 6c and R 7c preferably has 5 to 15 carbon atoms. As such, there can be mentioned, for example, a phenyl group or a naphthyl group.
- the group formed by the bonding of R 6c and R 7c is preferably an alkylene group having 2 to 10 carbon atoms.
- the ring formed by the bonding of R 6c and R 7c may have a heteroatom, such as an oxygen atom, in the ring.
- alkyl groups and cycloalkyl groups represented by R x and R y there can be mentioned the same alkyl groups and cycloalkyl groups as set forth above with respect to R 1c to R 7c .
- 2-oxoalkyl group and 2-oxocycloalkyl group there can be mentioned the alkyl group and cycloalkyl group represented by R 1c to R 7c having >C ⁇ O at the 2-position thereof.
- alkoxy group of the alkoxycarbonylalkyl group there can be mentioned the same alkoxy groups as mentioned above with respect to R 1c to R 5c .
- the alkyl group thereof there can be mentioned, for example, an alkyl group having 1 to 12 carbon atoms, preferably a linear alkyl group having 1 to 5 carbon atoms (e.g., a methyl group or an ethyl group).
- the allyl groups are not particularly limited. However, preferred use is made of an unsubstituted allyl group or an allyl group substituted with a cycloalkyl group of a single ring or multiple rings.
- the vinyl groups are not particularly limited. However, preferred use is made of an unsubstituted vinyl group or a vinyl group substituted with a cycloalkyl group of a single ring or multiple rings.
- a 5-membered or 6-membered ring especially preferably a 5-membered ring (namely, a tetrahydrothiophene ring), formed by bivalent R x and R y (for example, a methylene group, an ethylene group, a propylene group or the like) in cooperation with the sulfur atom of general formula (ZI-3).
- R x and R y is preferably an alkyl group or cycloalkyl group having preferably 4 or more carbon atoms.
- the alkyl group or cycloalkyl group has more preferably 6 or more carbon atoms and still more preferably 8 or more carbon atoms.
- the compounds (ZI-4) are those of general formula (ZI-4) below.
- R 13 represents any of a hydrogen atom, a fluorine atom, a hydroxyl group, an alkyl group, a cycloalkyl group, an alkoxy group, an alkoxycarbonyl group and a group with a cycloalkyl skeleton of a single ring or multiple rings. These groups may have substituents.
- R 14 each independently in the instance of R 14 s, represents any of an alkyl group, a cycloalkyl group, an alkoxy group, an alkoxycarbonyl group, an alkylcarbonyl group, an alkylsulfonyl group, a cycloalkylsulfonyl group and a group with a cycloalkyl skeleton of a single ring or multiple rings. These groups may have substituents.
- Each of R 15 s independently represents an alkyl group, a cycloalkyl group or a naphthyl group, provided that the two R 15 s may be bonded to each other to thereby form a ring. These groups may have substituents.
- 1 is an integer of 0 to 2
- Z ⁇ represents a nonnucleophilic anion.
- ZI the general formula (ZI)
- the alkyl groups represented by R 13 , R 14 and R 15 may be linear or branched and preferably each have 1 to 10 carbon atoms.
- a methyl group, an ethyl group, an n-butyl group, a t-butyl group and the like are preferred.
- the cycloalkyl groups represented by R 13 , R 14 and R 15 include a cycloalkylene group.
- the cycloalkyl groups there can be mentioned cyclopropyl, cyclobutyl, cyclopentyl, cyclohexyl, cycloheptyl, cyclooctyl, cyclododecanyl, cyclopentenyl, cyclohexenyl, cyclooctadienyl, norbornyl, tricyclodecanyl, tetracyclodecanyl, adamantyl and the like. Cyclopropyl, cyclopentyl, cyclohexyl and cyclooctyl are especially preferred.
- the alkoxy groups represented by R 13 and R 14 may be linear or branched and preferably each have 1 to 10 carbon atoms.
- a methoxy group, an ethoxy group, an n-propoxy group, an n-butoxy group and the like are preferred.
- the alkoxycarbonyl group represented by R 13 and R 14 may be linear or branched and preferably has 2 to 11 carbon atoms.
- a methoxycarbonyl group an
- R 13 and R 14 there can be mentioned, for example, a cycloalkyloxy group of a single ring or multiple rings and an alkoxy group with a cycloalkyl group of a single ring or multiple rings. These groups may further have substituents.
- each of the cycloalkyloxy groups of a single ring or multiple rings represented by R 13 and R 14 the sum of carbon atoms thereof is preferably 7 or greater, more preferably in the range of 7 to 15. Further, having a cycloalkyl skeleton of a single ring is preferred.
- the cycloalkyloxy group of a single ring of which the sum of carbon atoms is 7 or greater is one composed of a cycloalkyloxy group, such as a cyclopropyloxy group, a cyclobutyloxy group, a cyclopentyloxy group, a cyclohexyloxy group, a cycloheptyloxy group, a cyclooctyloxy group or a cyclododecanyloxy group, optionally having a substituent selected from among an alkyl group such as methyl, ethyl, propyl, butyl, pentyl, hexyl, heptyl, octyl, dodecyl, 2-ethylhexyl, isopropyl, sec-butyl, t-butyl or isoamyl, a hydroxyl group, a halogen atom (fluorine, chlorine, bromine or i
- cycloalkyloxy group of multiple rings of which the sum of carbon atoms is 7 or greater there can be mentioned a norbornyloxy group, tricyclodecanyloxy group, a tetracyclodecanyloxy group, an adamantyloxy group or the like.
- each of the alkyloxy groups having a cycloalkyl skeleton of a single ring or multiple rings represented by R 13 and R 14 the sum of carbon atoms thereof is preferably 7 or greater, more preferably in the range of 7 to 15. Further, the alkoxy group having a cycloalkyl skeleton of a single ring is preferred.
- the alkoxy group having a cycloalkyl skeleton of a single ring of which the sum of carbon atoms is 7 or greater is one composed of an alkoxy group, such as methoxy, ethoxy, propoxy, butoxy, pentyloxy, hexyloxy, heptoxy, octyloxy, dodecyloxy, 2-ethylhexyloxy, isopropoxy, sec-butoxy, t-butoxy or isoamyloxy, substituted with the above optionally substituted cycloalkyl group of a single ring, provided that the sum of carbon atoms thereof, including those of the substituents, is 7 or greater.
- an alkoxy group such as methoxy, ethoxy, propoxy, butoxy, pentyloxy, hexyloxy, heptoxy, octyloxy, dodecyloxy, 2-ethylhexyloxy, isopropoxy, sec-butoxy
- a cyclohexylmethoxy group for example, there can be mentioned a cyclohexylmethoxy group, a cyclopentylethoxy group, a cyclohexylethoxy group or the like.
- a cyclohexylmethoxy group is preferred.
- alkoxy group having a cycloalkyl skeleton of multiple rings of which the sum of carbon atoms is 7 or greater there can be mentioned a norbornylmethoxy group, a norbornylethoxy group, a tricyclodecanylmethoxy group, a tricyclodecanylethoxy group, a tetracyclodecanylmethoxy group, a tetracyclodecanylethoxy group, an adamantylmethoxy group, an adamantylethoxy group and the like.
- a norbornylmethoxy group, a norbornylethoxy group and the like are preferred.
- the alkylsulfonyl and cycloalkylsulfonyl groups represented by R 14 may be linear, branched or cyclic and preferably each have 1 to 10 carbon atoms.
- alkylsulfonyl and cycloalkylsulfonyl groups a methanesulfonyl group, an ethanesulfonyl group, an n-propanesulfonyl group, an n-butanesulfonyl group, a cyclopentanesulfonyl group, a cyclohexanesulfonyl group and the like are preferred.
- Each of the groups may have a substituent.
- a substituent there can be mentioned, for example, a halogen atom (e.g., a fluorine atom), a hydroxyl group, a carboxyl group, a cyano group, a nitro group, an alkoxy group, an alkoxyalkyl group, an alkoxycarbonyl group, an alkoxycarbonyloxy group or the like.
- alkoxy group there can be mentioned, for example, a linear, branched or cyclic alkoxy group having 1 to 20 carbon atoms, such as a methoxy group, an ethoxy group, an n-propoxy group, an i-propoxy group, an n-butoxy group, a 2-methylpropoxy group, a 1-methylpropoxy group, a t-butoxy group, a cyclopentyloxy group or a cyclohexyloxy group.
- a linear, branched or cyclic alkoxy group having 1 to 20 carbon atoms such as a methoxy group, an ethoxy group, an n-propoxy group, an i-propoxy group, an n-butoxy group, a 2-methylpropoxy group, a 1-methylpropoxy group, a t-butoxy group, a cyclopentyloxy group or a cyclohexyloxy group.
- alkoxyalkyl group there can be mentioned, for example, a linear, branched or cyclic alkoxyalkyl group having 2 to 21 carbon atoms, such as a methoxymethyl group, an ethoxymethyl group, a 1-methoxyethyl group, a 2-methoxyethyl group, a 1-ethoxyethyl group or a 2-ethoxyethyl group.
- alkoxycarbonyl group there can be mentioned, for example, a linear, branched or cyclic alkoxycarbonyl group having 2 to 21 carbon atoms, such as a methoxycarbonyl group, an ethoxycarbonyl group, an n-propoxycarbonyl group, an i-propoxycarbonyl group, an n-butoxycarbonyl group, a 2-methylpropoxycarbonyl group, a 1-methylpropoxycarbonyl group, a t-butoxycarbonyl group, a cyclopentyloxycarbonyl group or a cyclohexyloxycarbonyl group.
- a linear, branched or cyclic alkoxycarbonyl group having 2 to 21 carbon atoms such as a methoxycarbonyl group, an ethoxycarbonyl group, an n-propoxycarbonyl group, an i-propoxycarbonyl group, an n-butoxycarbonyl group, a 2-methylpropoxycarbonyl group,
- alkoxycarbonyloxy group there can be mentioned, for example, a linear, branched or cyclic alkoxycarbonyloxy group having 2 to 21 carbon atoms, such as a methoxycarbonyloxy group, an ethoxycarbonyloxy group, an n-propoxycarbonyloxy group, an i-propoxycarbonyloxy group, an n-butoxycarbonyloxy group, a t-butoxycarbonyloxy group, a cyclopentyloxycarbonyloxy group or a cyclohexyloxycarbonyloxy group.
- a linear, branched or cyclic alkoxycarbonyloxy group having 2 to 21 carbon atoms such as a methoxycarbonyloxy group, an ethoxycarbonyloxy group, an n-propoxycarbonyloxy group, an i-propoxycarbonyloxy group, an n-butoxycarbonyloxy group, a t-butoxycarbonyloxy group, a cycl
- the cyclic structure that may be formed by the bonding of the two R 15 s to each other is preferably a 5- or 6-membered ring, especially a 5-membered ring (namely, a tetrahydrothiophene ring) formed by two bivalent R 15 s in cooperation with the sulfur atom of general formula (ZI-4).
- the cyclic structure may condense with an aryl group or a cycloalkyl group.
- the bivalent R 15 s may have substituents.
- R 15 of general formula (ZI-4) is especially preferred for the R 15 of general formula (ZI-4) to be a methyl group, an ethyl group, the above-mentioned bivalent group allowing two R 15 s to be bonded to each other so as to form a tetrahydrothiophene ring structure in cooperation with the sulfur atom of the general formula (ZI-4), or the like.
- Each of R 13 and R 14 may have a substituent.
- a substituent there can be mentioned, for example, a hydroxyl group, an alkoxy group, an alkoxycarbonyl group, a halogen atom (especially, fluorine atom) or the like.
- 1 is preferably 0 or 1, more preferably 1, and r is preferably 0 to 2.
- each of R 204 to R 207 independently represents an aryl group, an alkyl group or a cycloalkyl group.
- the aryl group represented by R 204 to R 207 is preferably a phenyl group or a naphthyl group, more preferably a phenyl group.
- the aryl group represented by R 204 to R 207 may be one having a heterocyclic structure containing an oxygen atom, nitrogen atom, sulfur atom or the like.
- the heterocyclic structure there can be mentioned, for example, a pyrrole, a furan, a thiophene, an indole, a benzofuran, a benzothiophene or the like.
- alkyl groups and cycloalkyl groups represented by R 204 to R 207 there can be mentioned a linear or branched alkyl group having 1 to 10 carbon atoms and a cycloalkyl group having 3 to 10 carbon atoms.
- the aryl group, alkyl group and cycloalkyl group represented by R 204 to R 207 may have a substituent.
- a possible substituent on the aryl group, alkyl group and cycloalkyl group represented by R 204 to R 207 there can be mentioned, for example, an alkyl group (for example, 1 to 15 carbon atoms), a cycloalkyl group (for example, 3 to 15 carbon atoms), an aryl group (for example, 6 to 15 carbon atoms), an alkoxy group (for example, 1 to 15 carbon atoms), a halogen atom, a hydroxyl group, a phenylthio group or the like.
- Z ⁇ represents a nonnucleophilic anion.
- ZI the same nonnucleophilic anions as mentioned with respect to the Z ⁇ of the general formula (ZI).
- each of Ar 3 and Ar 4 independently represents an aryl group.
- Each of R 208 , R 209 and R 210 independently represents an alkyl group, a cycloalkyl group or an aryl group.
- A represents an alkylene group, an alkenylene group or an arylene group.
- each of the alkyl groups and the cycloalkyl groups represented by R 208 , R 209 and R 210 there can be mentioned the same groups as mentioned with respect to each of the alkyl groups and the cycloalkyl groups represented by R 201 , R 202 and R 203 of general formula (ZI-1) above.
- alkylene group represented by A there can be mentioned an alkylene group having 1 to 12 carbon atoms such as a methylene group, an ethylene group, a propylene group, an isopropylene group, a butylene group, an isobutylene group or the like.
- alkenylene group represented by A there can be mentioned an alkenylene group having 2 to 12 carbon atoms such as an ethynylene group, a propenylene group, a butenylene group or the like.
- arylene group represented by A there can be mentioned an arylene group having 6 to 10 carbon atoms such as a phenylene group, a tolylene group, a naphthylene group or the like.
- the compounds of the general formulae (ZI) to (ZIII) are more preferred.
- the acid generators can be used alone or in combination.
- the content of acid generator in the composition is preferably in the range of 0.1 to 20 mass %, more preferably 0.5 to 10 mass %, and still more preferably 1 to 7 mass % based on the total solids of the actinic-ray- or radiation-sensitive resin composition.
- the resist composition according to the present invention may contain, together with the resin (A), a compound (hereinafter referred to as a crosslinking agent) capable of crosslinking the resin (A) under the action of an acid.
- a crosslinking agent a compound capable of crosslinking the resin (A) under the action of an acid.
- heretofore known crosslinking agents can be effectively used.
- the crosslinking agent it is preferred for the resin (A) to contain a repeating unit (a2) containing an alcoholic hydroxyl group.
- the crosslinking agent (C) is a compound containing a crosslinking group capable of crosslinking the resin (A).
- a crosslinking group there can be mentioned a hydroxymethyl group, an alkoxymethyl group, a vinyl ether group, an epoxy group or the like. It is preferred for the crosslinking agent (C) to have two or more such crosslinking groups.
- the crosslinking agent (C) is preferably one consisting of a melamine compound, a urea compound, an alkyleneurea compound or a glycoluril compound.
- crosslinking agents there can be mentioned compounds containing an N-hydroxymethyl group, an N-alkoxymethyl group and an N-acyloxymethyl group.
- the compounds containing an N-hydroxymethyl group, an N-alkoxymethyl group and an N-acyloxymethyl group are preferably compounds each with two or more (more preferably two to eight) partial structures expressed by general formula (CLNM-1) below.
- R NM1 represents a hydrogen atom, an alkyl group, a cycloalkyl group or an oxoalkyl group.
- the alkyl group represented by R NM1 in general formula (CLNM-1) is preferably a linear or branched alkyl group having 1 to 6 carbon atoms.
- the cycloalkyl group represented by R NM1 is preferably a cycloalkyl group having 5 or 6 carbon atoms.
- the oxoalkyl group represented by R NM1 is preferably an oxoalkyl group having 3 to 6 carbon atoms.
- a ⁇ -oxopropyl group a ⁇ -oxobutyl group, a ⁇ -oxopentyl group, a ⁇ -oxohexyl group or the like.
- urea crosslinking agents of general formula (CLNM-2) below, alkyleneurea crosslinking agents of general formula (CLNM-3) below, glycoluril crosslinking agents of general formula (CLNM-4) below and melamine crosslinking agents of general formula (CLNM-5) below.
- each of R NM1 s independently is as defined above with respect to R NM1 of general formula (CLNM-1).
- Each of R NM2 s independently represents a hydrogen atom, an alkyl group (preferably having 1 to 6 carbon atoms) or a cycloalkyl group (preferably having 5 or 6 carbon atoms).
- urea crosslinking agents of general formula (CLNM-2) there can be mentioned N,N-di(methoxymethyl)urea, N,N-di(ethoxymethyl)urea, N,N-di(propoxymethyl)urea, N,N-di(isopropoxymethyl)urea, N,N-di(butoxymethyl)urea, N,N-di(t-butoxymethyl)urea, N,N-di(cyclohexyloxymethyl)urea, N,N-di(cyclopentyloxymethyl)urea, N,N-di(adamantyloxymethyl)urea, N,N-di(norbornyloxymethyl)urea and the like.
- each of R NM1 s independently is as defined above with respect to R NM1 of general formula (CLNM-1).
- Each of R NM3 s independently represents a hydrogen atom, a hydroxyl group, a linear or branched alkyl group (preferably having 1 to 6 carbon atoms), a cycloalkyl group (preferably having 5 or 6 carbon atoms), an oxoalkyl group (preferably having 3 to 6 carbon atoms), an alkoxy group (preferably having 1 to 6 carbon atoms) or an oxoalkoxy group (preferably having 1 to 6 carbon atoms).
- G represents a single bond, an oxygen atom, an alkylene group (preferably having 1 to 3 carbon atoms) or a carbonyl group.
- an alkylene group preferably having 1 to 3 carbon atoms
- a carbonyl group there can be mentioned a methylene group, an ethylene group, a propylene group, a 1-methylethylene group, a hydroxymethylene group, a cyanomethylene group or the like.
- alkyleneurea crosslinking agents of general formula (CLNM-3) there can be mentioned N,N-di(methoxymethyl)-4,5-di(methoxymethyl)ethyleneurea, N,N-di(ethoxymethyl)-4,5-di(ethoxymethyl)ethyleneurea, N,N-di(propoxymethyl)-4,5-di(propoxymethyl)ethyleneurea, N,N-di(isopropoxymethyl)-4,5-di(isopropoxymethyl)ethyleneurea, N,N-di(butoxymethyl)-4,5-di(butoxymethyl)ethyleneurea, N,N-di(t-butoxymethyl)-4,5-di(t-butoxymethyl)ethyleneurea, N,N-di(cyclohexyloxymethyl)-4,5-di(cyclohexyloxymethyl)ethyleneurea, N,N-di(cyclopentyloxymethyl)-4,5-di(cyclopentyloxymethyl)ethyleneurea, N,N
- each of R NM1 s independently is as defined above with respect to R NM1 of general formula (CLNM-1).
- Each of R NM4 s independently represents a hydrogen atom, a hydroxyl group, an alkyl group, a cycloalkyl group or an alkoxy group.
- alkyl group preferably having 1 to 6 carbon atoms
- cycloalkyl group preferably having 5 or 6 carbon atoms
- alkoxy group preferably having 1 to 6 carbon atoms
- R NM4 there can be mentioned a methyl group, an ethyl group, a butyl group, a cyclopentyl group, a cyclohexyl group, a methoxy group, an ethoxy group, a butoxy group and the like.
- glycoluril crosslinking agents of general formula (CLNM-4) there can be mentioned N,N,N,N-tetra(methoxymethyl)glycoluril, N,N,N,N-tetra(ethoxymethyl)glycoluril, N,N,N,N-tetra(propoxymethyl)glycoluril, N,N,N,N-tetra(isopropoxymethyl)glycoluril, N,N,N,N-tetra(butoxymethyl)glycoluril, N,N,N,N-tetra(t-butoxymethyl)glycoluril, N,N,N,N-tetra(cyclohexyloxymethyl)glycoluril, N,N,N,N-tetra(cyclopentyloxymethyl)glycoluril, N,N,N,N-tetra(adamantyloxymethyl)glycoluril, N,N,N,N-tetra(n
- each of R NM1 s independently is as defined above with respect to R NM1 of general formula (CLNM-1).
- R NM5 s independently represents a hydrogen atom, an alkyl group, a cycloalkyl group, an aryl group or any of atomic groups of general formula (CLNM-5′) below.
- R NM6 represents a hydrogen atom, an alkyl group, a cycloalkyl group, an aryl group or any of atomic groups of general formula (CLNM-5′′) below.
- R NM1 is as defined above with respect to R NM1 of general formula (CLNM-1).
- R NM1 is as defined above with respect to R NM1 of general formula (CLNM-1)
- R NM5 is as defined above with respect to R NM5 of general formula (CLNM-5).
- alkyl groups each preferably having 1 to 6 carbon atoms
- cycloalkyl groups each preferably having 5 or 6 carbon atoms
- aryl groups each preferably having 6 to 10 carbon atoms
- R NM5 and R NM6 there can be mentioned a methyl group, an ethyl group, a propyl group, an isopropyl group, a butyl group, an isobutyl group, a t-butyl group, a pentyl group, a cyclopentyl group, a hexyl group, a cyclohexyl group, a phenyl group, a naphthyl group and the like.
- melamine crosslinking agents of general formula (CLNM-5) there can be mentioned, for example, N,N,N,N,N,N-hexa(methoxymethyl)melamine, N,N,N,N,N-hexa(ethoxymethyl)melamine, N,N,N,N,N-hexa(propoxymethyl)melamine, N,N,N,N,N-hexa(isopropoxymethyl)melamine, N,N,N,N,N,N-hexa(butoxymethyl)melamine, N,N,N,N,N,N-hexa(t-butoxymethyl)melamine, N,N,N,N,N,N-hexa(cyclohexyloxymethyl)melamine, N,N,N,N,N-hexa(cyclopentyloxymethyl)melamine, N,N,N,N,N,N,N-hexa(cyclopentyloxymethyl)melamine, N,N,N,N,N,N
- N,N,N,N,N,N,N-hexa(methoxymethyl)benzoguanamine N,N,N,N,N-hexa(ethoxymethyl)benzoguanamine
- N,N,N,N,N,N-hexa(propoxymethyl)benzoguanamine N,N,N,N,N,N-hexa(isopropoxymethyl)benzoguanamine
- N,N,N,N,N,N,N-hexa(butoxymethyl)benzoguanamine N,N,N,N,N,N,N-hexa(t-butoxymethyl)benzoguanamine, and the like.
- a substituent may further be introduced in each of the groups represented by R NM1 to R NM6 in general formulae (CLNM-1) to (CLNM-5).
- substituent that may further be introduced in each of the groups represented by R NM1 to R NM6 there can be mentioned, for example, a halogen atom, a hydroxyl group, a nitro group, a cyano group, a carboxyl group, a cycloalkyl group (preferably 3 to 20 carbon atoms), an aryl group (preferably 6 to 14 carbon atoms), an alkoxy group (preferably 1 to 20 carbon atoms), a cycloalkoxy group (preferably 4 to 20 carbon atoms), an acyl group (preferably 2 to 20 carbon atoms), an acyloxy group (preferably 2 to 20 carbon atoms) or the like.
- the crosslinking agent (C) may be a phenol compound containing a benzene ring in its molecule.
- the phenol compound is preferably a phenol derivative of 1200 or less molecular weight containing in its molecule 3 to 5 benzene rings and further a total of two or more hydroxymethyl or alkoxymethyl groups, wherein the hydroxymethyl or alkoxymethyl groups are concentrated and bonded to at least any of the benzene rings or are distributed and bonded to the benzene rings.
- the effects of the present invention can be striking when this phenol derivative is used.
- Each of the alkoxymethyl groups bonded to benzene rings preferably has 6 or less carbon atoms.
- a methoxymethyl group, an ethoxymethyl group, an n-propoxymethyl group, an i-propoxymethyl group, an n-butoxymethyl group, an i-butoxymethyl group, a sec-butoxymethyl group and a t-butoxymethyl group are preferred.
- alkoxy-substituted alkoxy groups such as a 2-methoxyethoxy group and a 2-methoxy-1-propoxy group, are preferred.
- the phenol compound prefferably be a phenol compound containing two or more benzene rings in its molecule.
- the phenol compound preferably does not contain any nitrogen atom.
- the phenol compound preferably contains 2 to 8 crosslinking groups capable of crosslinking the resin (A) per molecule.
- the phenol compound more preferably contains 3 to 6 crosslinking groups.
- each of L 1 to L 8 represents a crosslinking group.
- L 1 to L 8 may be identical to or different from each other.
- the crosslinking group is preferably a hydroxymethyl group, a methoxymethyl group or an ethoxymethyl group.
- phenol compounds for use can be synthesized by heretofore known methods.
- a phenol derivative containing a hydroxymethyl group can be obtained by causing a phenol compound (any of compounds of the above formulae in which L 1 to L 8 are hydrogen atoms) corresponding thereto but containing no hydroxymethyl group to react with formaldehyde in the presence of a base catalyst.
- the reaction temperature it is preferred to control the reaction temperature at 60° C. or below from the viewpoint of preventing the conversion to a resin or a gel.
- the synthesis can be performed according to the methods described in JP-A-H6-282067, JP-A-H7-64285, etc.
- a phenol derivative containing an alkoxymethyl group can be obtained by causing a corresponding phenol derivative containing a hydroxymethyl group to react with an alcohol in the presence of an acid catalyst. In this reaction, it is preferred to control the reaction temperature at 100° C. or below from the viewpoint of preventing the conversion to a resin or a gel. Practically, the synthesis can be performed according to the methods described in EP 632003A1, etc. The thus synthesized phenol derivative containing a hydroxymethyl group or an alkoxymethyl group is preferred from the viewpoint of the stability during storage. The phenol derivative containing an alkoxymethyl group is especially preferred from the viewpoint of the stability during storage.
- phenol derivatives containing a total of two or more hydroxymethyl or alkoxymethyl groups wherein the hydroxymethyl or alkoxymethyl groups are concentrated and bonded to at least any of the benzene rings or are distributed and bonded to the benzene rings, may be used individually or in combination.
- the crosslinking agent (C) may be an epoxy compound containing an epoxy group in its molecule.
- epoxy compound there can be mentioned the compounds of general formula (EP2) below.
- each of R EP1 to R EP3 independently represents a hydrogen atom, a halogen atom, an alkyl group or a cycloalkyl group.
- a substituent may be introduced in each of the alkyl group and cycloalkyl group.
- R EP1 and R EP2 , and also R EP2 and R EP3 may be bonded to each other to thereby form a ring structure.
- substituent that may be introduced in each of the alkyl group and cycloalkyl group there can be mentioned, for example, a hydroxyl group, a cyano group, an alkoxy group, an alkylcarbonyl group, an alkoxycarbonyl group, an alkylcarbonyloxy group, an alkylthio group, an alkylsulfone group, an alkylsulfonyl group, an alkylamino group, an alkylamido group or the like.
- Q EP represents a single bond or an n EP -valent organic group.
- R EP1 to R EP3 are not limited to the above, and may be bonded to Q EP to thereby form a ring structure.
- n EP is an integer of 2 or greater, preferably in the range of 2 to 10 and more preferably 2 to 6, provided that when Q EP is a single bond, n EP is 2.
- Q EP is an n EP -valent organic group, it is preferably in the form of, for example, a chain or cyclic saturated hydrocarbon structure (preferably having 2 to 20 carbon atoms) or aromatic structure (preferably having 6 to 30 carbon atoms), or a structure resulting from the linkage of these through a structure of ether, ester, amido, sulfonamido or the like.
- each of these crosslinking agents may be used alone, or two or more thereof may be used in combination.
- the content of the crosslinking agent in the resist composition is preferably in the range of 3 to 15 mass %, more preferably 4 to 12 mass % and further more preferably 5 to 10 mass % based on the total solids of the resist composition.
- the actinic-ray- or radiation-sensitive resin composition of the present invention contains a solvent.
- the solvent is not limited as long as it can be used in the preparation of the composition.
- an organic solvent such as an alkylene glycol monoalkyl ether carboxylate, an alkylene glycol monoalkyl ether, an alkyl lactate, an alkyl alkoxypropionate, a cyclolactone (preferably having 4 to 10 carbon atoms), an optionally cyclized monoketone compound (preferably having 4 to 10 carbon atoms), an alkylene carbonate, an alkyl alkoxyacetate or an alkyl pyruvate.
- an organic solvent such as an alkylene glycol monoalkyl ether carboxylate, an alkylene glycol monoalkyl ether, an alkyl lactate, an alkyl alkoxypropionate, a cyclolactone (preferably having 4 to 10 carbon atoms), an optionally cyclized monoketone compound (preferably having 4 to 10 carbon atoms), an alkylene carbonate, an alkyl alkoxyacetate or an alkyl
- a mixed solvent consisting of a mixture of a solvent having a hydroxyl group in its structure and a solvent having no hydroxyl group may be used as the organic solvent.
- the solvent having a hydroxyl group and the solvent having no hydroxyl group can appropriately be selected from among the compounds mentioned above, as examples.
- the solvent having a hydroxyl group is preferably an alkylene glycol monoalkyl ether, an alkyl lactate or the like, more preferably propylene glycol monomethyl ether (PGME, another name: 1-methoxy-2-propanol) or ethyl lactate.
- the solvent having no hydroxyl group is preferably an alkylene glycol monoalkyl ether acetate, an alkyl alkoxypropionate, an optionally cyclized monoketone compound, a cyclolactone, an alkyl acetate or the like.
- propylene glycol monomethyl ether acetate (PGMEA, another name: 1-methoxy-2-acetoxypropane), ethyl ethoxypropionate, 2-heptanone, ⁇ -butyrolactone, cyclohexanone and butyl acetate are especially preferred.
- PMEA propylene glycol monomethyl ether acetate
- ethyl ethoxypropionate and 2-heptanone are most preferred.
- the mixing ratio (mass) of a solvent having a hydroxyl group and a solvent having no hydroxyl group is commonly in the range of 1/99 to 99/1, preferably 10/90 to 90/10 and more preferably 20/80 to 60/40.
- the mixed solvent containing 50 mass % or more of a solvent having no hydroxyl group is especially preferred from the viewpoint of uniform applicability.
- the solvent is a mixed solvent consisting of two or more solvents containing propylene glycol monomethyl ether acetate.
- composition of the present invention may further contain a hydrophobic resin (HR) containing at least either a fluorine atom or a silicon atom especially when a liquid immersion exposure is applied thereto.
- HR hydrophobic resin
- the hydrophobic resin (HR) is unevenly localized in the interface as mentioned above, as different from surfactants, the hydrophobic resin does not necessarily have to have a hydrophilic group in its molecule and does not need to contribute toward uniform mixing of polar/nonpolar substances.
- the hydrophobic resin typically contains a fluorine atom and/or a silicon atom.
- the fluorine atom and/or silicon atom may be introduced in the principal chain of the resin or a side chain thereof.
- the hydrophobic resin contains a fluorine atom
- the alkyl group containing a fluorine atom is a linear or branched alkyl group having at least one hydrogen atom thereof substituted with a fluorine atom.
- This alkyl group preferably has 1 to 10 carbon atoms, more preferably 1 to 4 carbon atoms.
- a substituent other than the fluorine atom may further be introduced in the alkyl group containing a fluorine atom.
- the cycloalkyl group containing a fluorine atom is a mono- or polycycloalkyl group having at least one hydrogen atom thereof substituted with a fluorine atom.
- a substituent other than the fluorine atom may further be introduced in the cycloalkyl group containing a fluorine atom.
- the aryl group containing a fluorine atom is an aryl group having at least one hydrogen atom thereof substituted with a fluorine atom.
- the aryl group there can be mentioned, for example, a phenyl or naphthyl group.
- a substituent other than the fluorine atom may further be introduced in the aryl group containing a fluorine atom.
- alkyl groups each containing a fluorine atom cycloalkyl groups each containing a fluorine atom and aryl groups each containing a fluorine atom
- groups of general formulae (F2) to (F4) there can be mentioned the groups of general formulae (F2) to (F4) below.
- each of R 57 to R 68 independently represents a hydrogen atom, a fluorine atom or an alkyl group, provided that at least one of R 57 -R 61 represents a fluorine atom or an alkyl group having at least one hydrogen atom thereof substituted with a fluorine atom, at least one of R 62 -R 64 represents a fluorine atom or an alkyl group having at least one hydrogen atom thereof substituted with a fluorine atom, and at least one of R 65 -R 68 represents a fluorine atom or an alkyl group having at least one hydrogen atom thereof substituted with a fluorine atom.
- the alkyl group is preferably one having 1 to 4 carbon atoms.
- repeating units having a fluorine atom will be shown below.
- X 1 represents a hydrogen atom, —CH 3 , —F or —CF 3 .
- X 2 represents —F or —CF 3 .
- the hydrophobic resin contains a silicon atom
- This alkylsilyl structure is preferably a structure containing a trialkylsilyl group.
- alkylsilyl structures and cyclosiloxane structures there can be mentioned the groups of general formulae (CS-1) to (CS-3) below.
- each of R 12 to R 26 independently represents a linear or branched alkyl group or a cycloalkyl group.
- the alkyl group is preferably one having 1 to 20 carbon atoms.
- the cycloalkyl group is preferably one having 3 to 20 carbon atoms.
- Each of L 3 to L 5 represents a single bond or a bivalent connecting group.
- the bivalent connecting group there can be mentioned any one or a combination of two or more groups selected from the group consisting of an alkylene group, a phenylene group, an ether group, a thioether group, a carbonyl group, an ester group, an amido group, a urethane group and a urea group.
- n is an integer of 1 to 5, preferably an integer of 2 to 4.
- repeating units having the groups of general formulae (CS-1) to (CS-3) will be shown below.
- X 1 represents a hydrogen atom, —CH 3 , —F or —CF 3 .
- the hydrophobic resin may further contain at least one group selected from the group consisting of the following groups (x) to (z).
- the acid group (x) there can be mentioned, for example, a phenolic hydroxyl group, a carboxylic acid group, a fluoroalcohol group, a sulfonic acid group, a sulfonamido group, a sulfonimido group, an (alkylsulfonyl)(alkylcarbonyl)methylene group, an (alkylsulfonyl)(alkylcarbonyl)imido group, a bis(alkylcarbonyl)methylene group, a bis(alkylcarbonyl)imido group, a bis(alkylsulfonyl)methylene group, a bis(alkylsulfonyl)imido group, a tris(alkylcarbonyl)methylene group or a tris(alkylsulfonyl)methylene group.
- a fluoroalcohol group As preferred acid groups, there can be mentioned a fluoroalcohol group, a sulfonimido group and a bis(alkylcarbonyl)methylene group.
- a fluoroalcohol group there can be mentioned a hexafluoroisopropanol group.
- the repeating unit containing an acid group is, for example, a repeating unit wherein the acid group is directly bonded to the principal chain of a resin, such as a repeating unit derived from acrylic acid or methacrylic acid.
- this repeating unit may be a repeating unit wherein the acid group is bonded via a connecting group to the principal chain of a resin.
- this repeating unit may be a repeating unit wherein the acid group is introduced in a terminal of the resin by using a chain transfer agent or polymerization initiator containing the acid group in the stage of polymerization.
- the content of the repeating unit containing an acid group based on all the repeating units of the hydrophobic resin is preferably in the range of 1 to 50 mol %, more preferably 3 to 35 mol % and further more preferably 5 to 20 mol %.
- Rx represents a hydrogen atom, CH 3 , CF 3 or CH 2 OH.
- the group with a lactone structure is especially preferred.
- the repeating unit containing any of these groups is, for example, a repeating unit wherein the group is directly bonded to the principal chain of a resin, such as a repeating unit derived from an acrylic ester or a methacrylic ester.
- this repeating unit may be a repeating unit wherein the group is bonded via a connecting group to the principal chain of a resin.
- this repeating unit may be a repeating unit wherein the group is introduced in a terminal of the resin by using a chain transfer agent or polymerization initiator containing the group in the stage of polymerization.
- the repeating units each containing a group with a lactone structure can be, for example, the same as the repeating units each with a lactone structure described above in the section of the resin (A).
- the content of the repeating unit containing a group with a lactone structure, an acid anhydride group or an acid imido group, based on all the repeating units of the hydrophobic resin, is preferably in the range of 1 to 40 mol %, more preferably 3 to 30 mol % and further more preferably 5 to 15 mol %.
- acid-decomposable group (z) there can be mentioned, for example, those set forth above in the section of the acid-decomposable resin (A).
- the content of the repeating unit containing an acid-decomposable group, based on all the repeating units of the hydrophobic resin, is preferably in the range of 1 to 80 mol %, more preferably 10 to 80 mol % and further more preferably 20 to 60 mol %.
- the hydrophobic resin may contain any of the repeating units of general formulae (III′) and (CII-AB) below.
- R c31 represents a hydrogen atom, an alkyl group (optionally substituted with a fluorine atom or the like), a cyano group or —CH 2 —O-Rac 2 group, wherein Rac 2 represents a hydrogen atom, an alkyl group or an acyl group.
- R c31 is preferably a hydrogen atom, a methyl group or a trifluoromethyl group, especially preferably a hydrogen atom or a methyl group.
- R c32 represents a group having any of an alkyl group, a cycloalkyl group, an alkenyl group, a cycloalkenyl group and an aryl group. These groups may optionally be substituted with a group having a fluorine atom or a silicon atom.
- L c3 represents a single bond or a bivalent connecting group.
- bivalent connecting group represented by L c3 there can be mentioned, for example, any one or a combination of two or more groups selected from the group consisting of alkylene group (preferably having 1 to 5 carbon atoms), an oxy group, a phenylene group or an ester bond (group of the formula —COO—).
- the sum of carbon atoms of the bivalent connecting group represented by L c3 is preferably in the range of 1 to 12.
- each of R c11 , and R c12 independently represents a hydrogen atom, a cyano group, a halogen atom or an alkyl group.
- Zc′ represents an atomic group for forming an alicyclic structure in cooperation with two bonded carbon atoms (C—C).
- R c32 represents a substituent introduced in the alicyclic structure.
- R c32 has the same meaning as R c32 of general formula (III′).
- p is an integer of 0 to 3, preferably 0 or 1.
- Ra represents H, CH 3 , CH 2 OH, CF 3 or CN.
- the content of such a repeating unit is preferably in the range of 1 to 100 mol %, more preferably 5 to 95 mol % and further more preferably 20 to 80 mol %.
- hydrophobic resins HR
- Table 1 shows the molar ratio of individual repeating units (corresponding to individual repeating units in order from the left), weight average molecular weight and degree of dispersal (Mw/Mn) with respect to each of the resins.
- the content of fluorine atom(s) is preferably in the range of 5 to 80 mass %, more preferably 10 to 80 mass %, based on the molecular weight of the hydrophobic resin.
- the content of the repeating unit containing a fluorine atom is preferably in the range of 10 to 100 mass %, more preferably 30 to 100 mass %, based on all the repeating units of the hydrophobic resin.
- the content of silicon atom(s) is preferably in the range of 2 to 50 mass %, more preferably 2 to 30 mass %, based on the molecular weight of the hydrophobic resin.
- the content of the repeating unit containing a silicon atom is preferably in the range of 10 to 100 mass %, more preferably 20 to 100 mass %, based on all the repeating units of the hydrophobic resin.
- the weight average molecular weight of the hydrophobic resin is preferably in the range of 1000 to 100,000, more preferably 1000 to 50,000 and still more preferably 2000 to 15,000.
- the degree of dispersal of the hydrophobic resin is preferably in the range of 1 to 5, more preferably 1 to 3 and still more preferably 1 to 2.
- the hydrophobic resins may be used either individually or in combination.
- the content of the hydrophobic resin in the composition is preferably in the range or 0.01 to 10 mass %, more preferably 0.05 to 8 mass % and still more preferably 0.1 to 5 mass % based on the total solid of the composition of the present invention.
- hydrophobic resin A variety of commercially available products can be used as the hydrophobic resin, and also the resin can be synthesized in accordance with conventional methods. As general synthesizing methods, there can be mentioned, for example, the same method as mentioned with respect to the resin (A).
- Impurities, such as metals, should naturally be of low quantity in the hydrophobic resin.
- the content of residual monomers and oligomer components is preferably 0 to 10 mass %, more preferably 0 to 5 mass % and still more preferably 0 to 1 mass %. Accordingly, there can be obtained a resist being free from a change of in-liquid foreign matter, sensitivity, etc. over time.
- composition of the present invention may further contain a surfactant.
- a surfactant the composition preferably contains any one, or two or more members, of fluorinated and/or siliconized surfactants (fluorinated surfactant, siliconized surfactant and surfactant containing both fluorine and silicon atoms).
- composition of the present invention when containing the above surfactant would, in the use of an exposure light source of 250 nm or below, especially 220 nm or below, realize favorable sensitivity and resolving power and produce a resist pattern with less adhesion and development defects.
- fluorinated and/or siliconized surfactants there can be mentioned, for example, those described in section [0276] of US 2008/0248425 A1.
- fluorinated surfactants/siliconized surfactants such as Eftop EF301 and EF303 (produced by Shin-Akita Kasei Co., Ltd.), Florad FC 430, 431 and 4430 (produced by Sumitomo 3M Ltd.), Megafac F171, F173, F176, F189, F113, F110, F177, F120 and R08 (produced by Dainippon Ink & Chemicals, Inc.), Surflon S-382, SC101, 102, 103, 104, 105 and 106 (produced by Asahi Glass Co., Ltd.), Troy Sol S-366 (produced by Troy Chemical Co., Ltd.), GF-300 and GF-150 (produced by TOAGOSEI CO., LTD.), Sarfron S-393
- a surfactant besides the above publicly known surfactants, use can be made of a surfactant based on a polymer having a fluorinated aliphatic group derived from a fluorinated aliphatic compound, produced by a telomerization technique (also called a telomer process) or an oligomerization technique (also called an oligomer process).
- the fluorinated aliphatic compound can be synthesized by the process described in JP-A-2002-90991.
- a surfactant there can be mentioned, for example, Megafac F178, F-470, F-473, F-475, F-476 or F-472 (produced by Dainippon Ink & Chemicals, Inc.). Further, there can be mentioned a copolymer from an acrylate (or methacrylate) having a C 6 F 13 group and a poly(oxyalkylene) acrylate (or methacrylate), a copolymer from an acrylate (or methacrylate) having a C 3 F 7 group, poly(oxyethylene) acrylate (or methacrylate) and poly(oxypropylene) acrylate (or methacrylate), or the like.
- Megafac F178, F-470, F-473, F-475, F-476 or F-472 produced by Dainippon Ink & Chemicals, Inc.
- surfactants other than the fluorinated and/or siliconized surfactants can also be employed.
- surfactants for example, those described in section [0280] of US 2008/0248425 A1.
- surfactants may be used either individually or in combination.
- the amount of the surfactant used is preferably in the range of 0.0001 to 2 mass %, more preferably 0.0005 to 1 mass % based on the total mass of the composition of the present invention (excluding the solvent).
- the amount of surfactant added is controlled at 10 ppm or less based on the whole amount (excluding the solvent) of the resist composition, the uneven distribution of the hydrophobic resin in the surface portion is promoted, so that the surface of the resist film can be rendered highly hydrophobic, thereby enhancing the water tracking property in the stage of liquid-immersion exposure.
- composition of the present invention preferably contains at least one compound (H) selected from a basic compound and a compound whose basicity is increased by the action of an acid so as to decrease any performance alteration over time from exposure to heating.
- R 200 , R 201 and R 202 may be identical to or different from each other and each represent a hydrogen atom, an alkyl group (preferably having 1 to 20 carbon atoms), a cycloalkyl group (preferably having 3 to 20 carbon atoms) or an aryl group (having 6 to 20 carbon atoms).
- R 201 and R 202 may be bonded with each other to thereby form a ring.
- R 203 , R 204 , R 205 and R 206 may be identical to or different from each other and each represent an alkyl group having 1 to 20 carbon atoms.
- alkyl group as a preferred substituted alkyl group, there can be mentioned an aminoalkyl group having 1 to 20 carbon atoms, a hydroxyalkyl group having 1 to 20 carbon atoms or a cyanoalkyl group having 1 to 20 carbon atoms.
- guanidine aminopyrrolidine, pyrazole, pyrazoline, piperazine, aminomorpholine, aminoalkylmorpholine, piperidine and the like.
- imidazole As the compounds with an imidazole structure, there can be mentioned imidazole, 2,4,5-triphenylimidazole, benzimidazole, 2-phenylbenzoimidazole and the like.
- diazabicyclo structure there can be mentioned 1,4-diazabicyclo[2,2,2]octane, 1,5-diazabicyclo[4,3,0]non-5-ene, 1,8-diazabicyclo[5,4,0]undec-7-ene and the like.
- tetrabutylammonium hydroxide triarylsulfonium hydroxide, phenacylsulfonium hydroxide, and sulfonium hydroxides having a 2-oxoalkyl group such as triphenylsulfonium hydroxide, tris(t-butylphenyl)sulfonium hydroxide, bis(t-butylphenyl)iodonium hydroxide, phenacylthiophenium hydroxide, 2-oxopropylthiophenium hydroxide and the like.
- the compounds with an onium carboxylate structure there can be mentioned those having a carboxylate at the anion moiety of the compounds with an onium hydroxide structure, for example, acetate, adamantane-1-carboxylate, perfluoroalkyl carboxylate and the like.
- the compounds with a trialkylamine structure there can be mentioned tri(n-butyl)amine, tri(n-octyl)amine and the like.
- the aniline compounds there can be mentioned 2,6-diisopropylaniline, N,N-dimethylaniline, N,N-dibutylaniline, N,N-dihexylaniline and the like.
- alkylamine derivatives having a hydroxyl group and/or an ether bond there can be mentioned ethanolamine, diethanolamine, triethanolamine, N-phenyldiethanolamine, tris(methoxyethoxyethyl)amine and the like.
- aniline derivatives having a hydroxyl group and/or an ether bond there can be mentioned N,N-bis(hydroxyethyl)aniline and the like.
- an amine compound having a phenoxy group an ammonium salt compound having a phenoxy group, an amine compound having a sulfonic ester group and an ammonium salt compound having a sulfonic ester group.
- Each of the above amine compound having a phenoxy group, ammonium salt compound having a phenoxy group, amine compound having a sulfonic ester group and ammonium salt compound having a sulfonic ester group preferably has at least one alkyl group bonded to the nitrogen atom thereof. Further preferably, the alkyl group in its chain contains an oxygen atom, thereby forming an oxyalkylene group.
- the number of oxyalkylene groups in each molecule is one or more, preferably 3 to 9 and more preferably 4 to 6. Oxyalkylene groups having the structure of —CH 2 CH 2 O—, —CH(CH 3 )CH 2 O— or —CH 2 CH 2 CH 2 O— are preferred.
- the molecular weight of compound (H) is preferably 250 to 2000, more preferably 400 to 1000.
- Compound (H) may be used either individually or in combination.
- the content of compound (H) is preferably in the range of 0.05 to 8.0 mass %, more preferably 0.05 to 5.0 mass % and most preferably 0.05 to 4.0 mass % based on the total solids of the composition.
- the acid generator/compound (H) (molar ratio) 2.5 to 300.
- the reason for this is that the molar ratio is preferred to be 2.5 or higher from the viewpoint of sensitivity and resolving power.
- the molar ratio is preferred to be 300 or below from the viewpoint of the inhibition of any resolving power deterioration due to thickening of resist pattern over time from exposure to heating treatment.
- the acid generator/compound (H) (molar ratio) is more preferably in the range of 5.0 to 200, still more preferably 7.0 to 150.
- the resist composition of the present invention may contain a basic compound or ammonium salt compound that when exposed to actinic rays or radiation, exhibits a lowered basicity (hereinafter also referred to as a “compound (PA)”).
- the compound (PA) is a compound that when exposed to actinic rays or radiation, undergoes a change of chemical structure, exhibiting photosensitivity.
- the compound (PA) is a compound (PA′) containing a basic functional group or ammonium group and a group that when exposed to actinic rays or radiation, produces an acid functional group.
- the compound (PA) it is preferred for the compound (PA) to be a basic compound containing a basic functional group and a group that when exposed to actinic rays or radiation, produces an acid functional group, or an ammonium salt compound containing an ammonium group and a group that when exposed to actinic rays or radiation, produces an acid functional group.
- the compounds each exhibiting a lowered basicity, produced by the decomposition of compound (PA) or compound (PA′) upon exposure to actinic rays or radiation there can be mentioned the compounds of general formulae (PA-I), (PA-II) and (PA-III) below.
- the compounds of general formulae (PA-II) and (PA-III) are especially preferred from the viewpoint of the higher-order simultaneous attainment of excellent effects concerning LWR and DOF.
- a 1 represents a single bond or a bivalent connecting group.
- Q represents —SO 3 H or —CO 2 H.
- Q corresponds to the acid functional group produced upon exposure to actinic rays or radiation.
- X represents —SO 2 — or —CO—.
- n 0 or 1.
- B represents a single bond, an oxygen atom or —N(Rx)-.
- Rx represents a hydrogen atom or a monovalent organic group.
- R represents a monovalent organic group containing a basic functional group or a monovalent organic group containing an ammonium group.
- the bivalent connecting group represented by A 1 is preferably a bivalent connecting group having 2 to 12 carbon atoms.
- an alkylene group a phenylene group or the like.
- An alkylene group containing at least one fluorine atom is more preferred, which has preferably 2 to 6 carbon atoms, more preferably 2 to 4 carbon atoms.
- a connecting group such as an oxygen atom or a sulfur atom, may be introduced in the alkylene chain.
- an alkylene group, 30 to 100% of the hydrogen atoms of which are substituted with fluorine atoms is preferred. It is more preferred for the carbon atom bonded to the Q-moiety to have a fluorine atom.
- perfluoroalkylene groups are preferred.
- a perfluoroethylene group, a perfluoropropylene group and a perfluorobutylene group are more preferred.
- the monovalent organic group represented by Rx preferably has 4 to 30 carbon atoms.
- Rx preferably has 4 to 30 carbon atoms.
- a substituent may be introduced in the alkyl group represented by Rx.
- the alkyl group is preferably a linear or branched alkyl group having 1 to 20 carbon atoms.
- An oxygen atom, a sulfur atom or a nitrogen atom may be introduced in the alkyl chain.
- substituted alkyl group in particular, there can be mentioned a linear or branched alkyl group substituted with a cycloalkyl group (for example, an adamantylmethyl group, an adamantylethyl group, a cyclohexylethyl group, a camphor residue, or the like).
- a cycloalkyl group for example, an adamantylmethyl group, an adamantylethyl group, a cyclohexylethyl group, a camphor residue, or the like.
- a substituent may be introduced in the cycloalkyl group represented by Rx.
- the cycloalkyl group preferably has 3 to 20 carbon atoms.
- An oxygen atom may be introduced in the ring.
- a substituent may be introduced in the aryl group represented by Rx.
- the aryl group preferably has 6 to 14 carbon atoms.
- a substituent may be introduced in the aralkyl group represented by Rx.
- the aralkyl group preferably has 7 to 20 carbon atoms.
- a substituent may be introduced in the alkenyl group represented by Rx.
- Rx alkenyl group represented by Rx.
- a crown ether As preferred partial structures of the basic functional groups, there can be mentioned, for example, the structures of a crown ether, a primary to tertiary amine and a nitrogenous heterocycle (pyridine, imidazole, pyrazine or the like).
- ammonium groups there can be mentioned, for example, the structures of a primary to tertiary ammonium, pyridinium, imidazolinium, pyrazinium and the like.
- the basic functional group is preferably a functional group containing a nitrogen atom, more preferably a structure having a primary to tertiary amino group or a nitrogenous heterocyclic structure.
- a nitrogen atom more preferably a structure having a primary to tertiary amino group or a nitrogenous heterocyclic structure.
- all the atoms adjacent to the nitrogen atom contained in each of the structures to be carbon atoms or hydrogen atoms.
- electron-withdrawing functional groups a carbonyl group, a sulfonyl group, a cyano group, a halogen atom, etc.
- the monovalent organic group preferably has 4 to 30 carbon atoms.
- an alkyl group a cycloalkyl group, an aryl group, an aralkyl group, an alkenyl group or the like.
- a substituent may be introduced in each of these groups.
- the alkyl group, cycloalkyl group, aryl group, aralkyl group and alkenyl group contained in the alkyl group, cycloalkyl group, aryl group, aralkyl group and alkenyl group each containing a basic functional group or an ammonium group, represented by R are the same as the alkyl group, cycloalkyl group, aryl group, aralkyl group and alkenyl group set forth above as being represented by Rx.
- substituents that may be introduced in these groups there can be mentioned, for example, a halogen atom, a hydroxyl group, a nitro group, a cyano group, a carboxyl group, a carbonyl group, a cycloalkyl group (preferably 3 to 10 carbon atoms), an aryl group (preferably 6 to 14 carbon atoms), an alkoxy group (preferably 1 to 10 carbon atoms), an acyl group (preferably 2 to 20 carbon atoms), an acyloxy group (preferably 2 to 10 carbon atoms), an alkoxycarbonyl group (preferably 2 to 20 carbon atoms), an aminoacyl group (preferably 2 to 20 carbon atoms) and the like.
- a halogen atom a hydroxyl group, a nitro group, a cyano group, a carboxyl group, a carbonyl group, a cycloalkyl group (preferably 3 to 10 carbon atoms), an aryl group (preferably 6 to 14 carbon atoms),
- an alkyl group (preferably 1 to 20 carbon atoms, more preferably 1 to 10 carbon atoms) can be mentioned as a substituent.
- one or two alkyl groups (each preferably 1 to 20 carbon atoms, more preferably 1 to 10 carbon atoms) can be mentioned as substituents.
- the substituted alkyl groups there can be mentioned, for example, perfluoroalkyl groups, such as a perfluoromethyl group, a perfluoroethyl group, a perfluoropropyl group and a perfluorobutyl group.
- R and Rx When B is —N(Rx)-, it is preferred for R and Rx to be bonded to each other to thereby form a ring.
- R and Rx When a ring structure is formed, the stability thereof is enhanced, and thus the storage stability of the composition containing the same is enhanced.
- the number of carbon atoms constituting the ring is preferably in the range of 4 to 20.
- the ring may be monocyclic or polycyclic, and an oxygen atom, a sulfur atom or a nitrogen atom may be introduced in the ring.
- the monocyclic structure there can be mentioned a 4- to 8-membered ring containing a nitrogen atom, or the like.
- the polycyclic structure there can be mentioned structures each resulting from a combination of two, three or more monocyclic structures. Substituents may be introduced in the monocyclic structure and polycyclic structure.
- a halogen atom for example, a hydroxyl group, a cyano group, a carboxyl group, a carbonyl group, a cycloalkyl group (preferably 3 to 10 carbon atoms), an aryl group (preferably 6 to 14 carbon atoms), an alkoxy group (preferably 1 to 10 carbon atoms), an acyl group (preferably 2 to 15 carbon atoms), an acyloxy group (preferably 2 to 15 carbon atoms), an alkoxycarbonyl group (preferably 2 to 15 carbon atoms), an aminoacyl group (preferably 2 to 20 carbon atoms) and the like.
- an alkyl group (preferably 1 to 15 carbon atoms) can be mentioned as a substituent.
- an alkyl group (preferably 1 to 15 carbon atoms) can be mentioned as a substituent.
- an aminoacyl group one or more alkyl groups (each preferably 1 to 15 carbon atoms) can be mentioned as substituents.
- the compounds wherein the Q-moiety is sulfonic acid can be synthesized by using a common sulfonamidation reaction.
- these compounds can be synthesized by a method in which one sulfonyl halide moiety of a bissulfonyl halide compound is caused to selectively react with an amine compound to thereby form a sulfonamido bond and thereafter the other sulfonyl halide moiety is hydrolyzed, or alternatively by a method in which a cyclic sulfonic anhydride is caused to react with an amine compound to thereby effect a ring opening.
- each of Q 1 and Q 2 independently represents a monovalent organic group, provided that either Q 1 or Q 2 contains a basic functional group.
- Q 1 and Q 2 may be bonded to each other to thereby form a ring, the ring containing a basic functional group.
- Each of X 1 and X 2 independently represents —CO— or —SO 2 —.
- —NH— corresponds to the acid functional group produced upon exposure to actinic rays or radiation.
- the monovalent organic group represented by each of Q 1 and Q 2 in general formula (PA-II) preferably has 1 to 40 carbon atoms.
- an alkyl group, a cycloalkyl group, an aryl group, an aralkyl group, an alkenyl group or the like there can be mentioned, for example, an alkyl group, a cycloalkyl group, an aryl group, an aralkyl group, an alkenyl group or the like.
- a substituent may be introduced in the alkyl group represented by each of Q 1 and Q 2 .
- the alkyl group is preferably a linear or branched alkyl group having 1 to 30 carbon atoms.
- An oxygen atom, a sulfur atom or a nitrogen atom may be introduced in the alkyl chain.
- a substituent may be introduced in the cycloalkyl group represented by each of Q 1 and Q 2 .
- the cycloalkyl group preferably has 3 to 20 carbon atoms.
- An oxygen atom or a nitrogen atom may be introduced in the ring.
- a substituent may be introduced in the aryl group represented by each of Q 1 and Q 2 .
- the aryl group preferably has 6 to 14 carbon atoms.
- a substituent may be introduced in the aralkyl group represented by each of Q 1 and Q 2 .
- the aralkyl group preferably has 7 to 20 carbon atoms.
- a substituent may be introduced in the alkenyl group represented by each of Q 1 and Q 2 .
- groups each resulting from the introduction of a double bond at an arbitrary position of any of the above alkyl groups there can be mentioned groups each resulting from the introduction of a double bond at an arbitrary position of any of the above alkyl groups.
- the ring containing a basic functional group there can be mentioned, for example, a structure in which the organic groups represented by Q 1 and Q 2 are bonded to each other by an alkylene group, an oxy group, an imino group or the like.
- PA-II it is preferred for at least one of X 1 and X 2 to be —SO 2 —.
- each of Q 1 and Q 3 independently represents a monovalent organic group, provided that either Q 1 or Q 3 contains a basic functional group.
- Q 1 and Q 3 may be bonded to each other to thereby form a ring, the ring containing a basic functional group.
- Each of X 1 , X 2 and X 3 independently represents —CO— or —SO 2 —.
- a 2 represents a bivalent connecting group.
- B represents a single bond, an oxygen atom or —N(Qx)-.
- Qx represents a hydrogen atom or a monovalent organic group.
- Q 3 and Qx may be bonded to each other to thereby form a ring.
- m 0 or 1.
- —NH— corresponds to the acid functional group produced upon exposure to actinic rays or radiation.
- Q 1 has the same meaning as that of Q 1 of general formula (PA-II).
- the bivalent connecting group represented by A 2 is preferably a bivalent connecting group having 1 to 8 carbon atoms in which a fluorine atom is introduced.
- a bivalent connecting group having 1 to 8 carbon atoms in which a fluorine atom is introduced there can be mentioned, for example, an alkylene group having 1 to 8 carbon atoms in which a fluorine atom is introduced, a phenylene group in which a fluorine atom is introduced, or the like.
- An alkylene group containing a fluorine atom is more preferred, which has preferably 2 to 6 carbon atoms, more preferably 2 to 4 carbon atoms.
- a connecting group, such as an oxygen atom or a sulfur atom, may be introduced in the alkylene chain.
- an alkylene group 30 to 100% of the hydrogen atoms of which are substituted with fluorine atoms, is preferred.
- perfluoroalkylene groups are preferred.
- Perfluoroalkylene groups each having 2 to 4 carbon atoms are most preferred.
- the monovalent organic group represented by Qx preferably has 4 to 30 carbon atoms.
- an alkyl group, a cycloalkyl group, an aryl group, an aralkyl group, an alkenyl group or the like there can be mentioned those set forth above as being represented by Rx of general formula (PA-I).
- each of X 1 , X 2 and X 3 is preferred for each of X 1 , X 2 and X 3 to be —SO 2 —.
- the compounds (PA) are preferably sulfonium salt compounds from the compounds of general formulae (PA-I), (PA-II) and (PA-III) and iodonium salt compounds from the compounds of general formulae (PA-I), (PA-II) and (PA-III), more preferably the compounds of general formulae (PA1) and (PA2) below.
- each of R 201 , R 202 and R 203 independently represents an organic group. In particular, these are the same as R 201 , R 202 and R 203 of formula ZI mentioned above in connection with the acid generator.
- X ⁇ represents a sulfonate anion or carboxylate anion resulting from the cleavage of a hydrogen atom from the —SO 3 H moiety or —COOH moiety of each of the compounds of general formula (PA-I), or an anion resulting from the cleavage of a hydrogen atom from the —NH— moiety of each of the compounds of general formulae (PA-II) and (PA-III).
- each of R 204 and R 205 independently represents an aryl group, an alkyl group or a cycloalkyl group. In particular, these are the same as R 204 and R 205 of formula ZII mentioned above in connection with the acid generator.
- X ⁇ represents a sulfonate anion or carboxylate anion resulting from the cleavage of a hydrogen atom from the —SO 3 H moiety or —COOH moiety of each of the compounds of general formula (PA-I), or an anion resulting from the cleavage of a hydrogen atom from the —NH— moiety of each of the compounds of general formulae (PA-II) and (PA-III).
- PA when exposed to actinic rays or radiation are decomposed to thereby produce, for example, the compounds of general formulae (PA-I), (PA-II) and (PA-III).
- Each of the compounds of general formula (PA-I) contains a sulfonic acid group or a carboxylic acid group together with a basic functional group or an ammonium group, so that it is a compound having its basicity lowered as compared with that of the compound (PA) or dissipated, or having its basicity converted to acidity.
- Each of the compounds of general formulae (PA-II) and (PA-III) contains an organic sulfonylimino group or an organic carbonylimino group together with a basic functional group, so that it is a compound having its basicity lowered as compared with that of the compound (PA) or dissipated, or having its basicity converted to acidity.
- the lowering of basicity upon exposure to actinic rays or radiation means that the acceptor properties for the proton (acid produced by exposure to actinic rays or radiation) of the compound (PA) are lowered by exposure to actinic rays or radiation.
- the lowering of acceptor properties means that when an equilibrium reaction in which a noncovalent-bond complex being a proton adduct is formed from a proton and a compound containing a basic functional group occurs, or when an equilibrium reaction in which the counter cation of a compound containing an ammonium group is replaced by a proton occurs, the equilibrium constant of the chemical equilibrium is lowered.
- the basicity can be ascertained by performing pH measurement. Also, calculated values of basicity can be obtained by utilizing commercially available software.
- These compounds can be easily synthesized from the compounds of general formula (PA-I), or a lithium, sodium or potassium salt thereof, and a hydroxide, bromide or chloride of iodonium or sulfonium, etc. by the salt exchange method described in Jpn. PCT National Publication No. H11-501909 and JP-A-2003-246786. Also, the synthesis can be performed in accordance with the method described in JP-A-H7-333851.
- These compounds can be easily synthesized by using a common sulfonic-esterification reaction or sulfonamidation reaction.
- these compounds can be synthesized by a method in which one sulfonyl halide moiety of a bissulfonyl halide compound is caused to selectively react with, for example, an amine or alcohol containing the partial structure of general formula (PA-II) or (PA-III) to thereby form a sulfonamido bond or a sulfonic ester bond and thereafter the other sulfonyl halide moiety is hydrolyzed, or alternatively by a method in which a cyclic sulfonic anhydride has its ring opened by an amine or alcohol containing the partial structure of general formula (PA-II).
- the above amine and alcohol each containing the partial structure of general formula (PA-II) or (PA-III) can be synthesized by causing an amine and an alcohol to react, in basic condition, with an anhydride, such as (R′O 2 C) 2 O or (R′SO 2 ) 2 O, or an acid chloride compound, such as R′O 2 CCl or R′SO 2 Cl (in the formulae, R′ is a methyl group, an n-octyl group, a trifluoromethyl group or the like).
- anhydride such as (R′O 2 C) 2 O or (R′SO 2 ) 2 O
- an acid chloride compound such as R′O 2 CCl or R′SO 2 Cl
- R′ is a methyl group, an n-octyl group, a trifluoromethyl group or the like.
- the synthesis can be performed in accordance with, for example, the synthesis examples given in JP-A-2006-330098.
- the molecular weight of the compounds (PA) is preferably in the range of 500 to 1000.
- the content thereof based on the solids of the composition is preferably in the range of 0.1 to 20 mass %, more preferably 0.1 to 10 mass %.
- any of the compounds (PA) may be used alone, or two or more thereof may be used in combination.
- the compounds (PA) may be used in combination with the above-mentioned basic compounds.
- the resist composition of the present invention can further be loaded with a dye, a plasticizer, a photosensitizer, a light absorber, a dissolution inhibitor, a dissolution accelerator, etc.
- the total solid content of the resist composition of the present invention is generally in the range of 1.0 to 10 mass %, preferably 2.0 to 5.7 mass % and more preferably 2.0 to 5.3 mass %.
- the resist solution can be uniformly applied onto a substrate, and a resist pattern excelling in line edge roughness can be formed.
- the reason therefor has not been elucidated but is presumed to be that when the solid content is 10 mass % or less, preferably 5.7 mass % or less, the aggregation of materials, especially the photoacid generator, contained in the resist solution can be suppressed with the result that a uniform resist film can be formed.
- the solid content refers to the percentage of the mass of resist components other than the solvent in the total mass of the resist composition.
- a polymerization initiator V-601 (produced by Wako Pure Chemical Industries, Ltd.) was added thereto in an amount of 8 mol % based on the monomers and dissolved.
- the thus obtained solution was dropped into the solvent 1 over a period of 6 hours.
- reaction was continued at 80° C. for 2 hours.
- the reaction liquid was allowed to stand still to cool and was dropped into a mixture consisting of 3600 ml of hexane and 400 ml of ethyl acetate.
- the thus precipitated powder was collected by filtration and dried, thereby obtaining 74 g of a desired resin (P-1).
- the weight average molecular weight of the obtained resin (P-1) was 10,000 and the dispersity (Mw/Mn) thereof was 1.6.
- Toluene amounting to 300.00 g was added to 15.00 g of compound (3), and 3.70 g of methacrylic acid and 4.20 g of p-toluenesulfonic acid monohydrate were further added to the mixture.
- the resultant mixture was refluxed for 15 hours while removing the generated water by azeotropy.
- the thus obtained reaction liquid was concentrated, and the concentrate was purified by column chromatography.
- the amount of compound (4) thus obtained was 11.70 g (yield 65%).
- the monomers corresponding to the repeating units shown below were charged in a molar ratio of 90/10 and dissolved in PGMEA, thereby obtaining 450 g of a solution of 15 mass % solid content. Thereafter, 1 mol % of polymerization initiator V-601 produced by Wako Pure Chemical Industries, Ltd. was added to the solution. The resultant mixture was dropped into 50 g of PGMEA heated at 100° C. in a nitrogen atmosphere over a period of 6 hours. After the completion of the dropping, the reaction liquid was agitated for two hours. After the completion of the reaction, the reaction liquid was cooled to room temperature and crystallized in 5 liters of methanol. The thus precipitated white powder was collected by filtration. Thus, a desired resin (6b) was recovered.
- the polymer component ratio determined by NMR was 90/10.
- the standard-polystyrene-equivalent weight average molecular weight determined by GPC measurement was 12,000, and the molecular weight dispersity thereof was 1.5.
- Resins (P-2) to (P-14) and hydrophobic resins (1b) to (5b) were synthesized in the same manner as in Synthetic Example 1, except that the monomers corresponding to individual repeating units were used so as to attain desired component ratios (molar ratios).
- the structures of the resins (P-2) to (P-14) and hydrophobic resins (1b) to (6b) are shown below.
- the component ratios (molar ratios), weight average molecular weights and dispersities of the resins (P-2) to (P-14) and hydrophobic resins (1b) to (6b) including those of resin (P-1) mentioned above are given in Table 2.
- the photoacid generators (PAG-1) to (PAG-13) of the formulae shown below were synthesized from the compounds corresponding to these (B) components.
- B-1 to B-7 denote the following compounds.
- X-1 to X-7, CL-1 denote the following compounds.
- W-2 Megafac R08 (produced by Dainippon Ink & Chemicals, Inc.) (fluorinated and siliconized),
- W-3 polysiloxane polymer KP-341 (produced by Shin-Etsu Chemical Co., Ltd.) (siliconized),
- W-4 PF6320 (produced by OMNOVA SOLUTIONS, INC.) (fluorinated),
- A1 propylene glycol monomethyl ether acetate (PGMEA),
- B4 propylene carbonate
- each of butyl acetate and 2-heptanone was distilled at boiling point under a reduced pressure of 1.0 mmHg in a nitrogen atmosphere.
- the same operation as mentioned above was carried out, thereby obtaining a developer (D1-B).
- the contents of 1-butanol and 2-heptanol were 240 ppm and 150 ppm, respectively.
- the alcohol content was calculated from the area % of each component as obtained by the gas chromatography measurement of the developer composition.
- the employed analytical conditions are as follows.
- Carrier gas He,
- Vaporizing chamber temperature 230° C.
- Developers (D2-A) to (D5-B) were produced according to the same procedure as mentioned above except that the solvents indicated in Table 3 were used in given mass ratios. Further, 100 g of developer (D5-A) and 1900 g of developer (D5-B) were mixed together, agitated for 10 minutes, and passed through a polyethylene filter with a pore size of 0.005 ⁇ m, thereby obtaining a developer (D5-C). Table 4 shows the contents of alcohol compounds (X1) and (X2) in each of the obtained developers.
- a resist pattern was formed by the following method.
- EXAMPLE 1-A Exposure ⁇ Bake ⁇ Development ⁇ Rinse, Abbreviated as E-B-D-R
- An organic antireflection film ARC29A (produced by Nissan Chemical Industries, Ltd.) was applied onto a silicon wafer of 8-inch caliber and baked at 205° C. for 60 seconds, thereby forming a 84 nm-thick antireflection film.
- Resist composition Ar-1 was applied thereonto and baked at 100° C. for 60 seconds, thereby forming a 100 nm-thick resist film.
- a 75 nm (1:1) line-and-space resist pattern was produced in the same manner as in Example 1-A except that the resist and conditions indicated in Table 4 were employed.
- EXAMPLE 4-A liquid-Immersion Exposure ⁇ Bake ⁇ Development ⁇ Rinse, Abbreviated as tiE-B-D-R
- An organic antireflection film ARC29SR (produced by Nissan Chemical Industries, Ltd.) was applied onto a silicon wafer of 12-inch caliber and baked at 205° C. for 60 seconds, thereby forming a 95 nm-thick antireflection film.
- Resist composition Ar-4 was applied thereonto and baked at 100° C. for 60 seconds, thereby forming a 100 nm-thick resist film.
- top coat composition t-1 was applied thereonto and baked at 100° C. for 60 seconds, thereby forming a 100 nm-thick top coat film on the resist film.
- EXAMPLE 6-A liquid-Immersion Exposure ⁇ Bake ⁇ Development ⁇ Rinse, Abbreviated as iE-B-D-R
- An organic antireflection film ARC29SR (produced by Nissan Chemical Industries, Ltd.) was applied onto a silicon wafer of 12-inch caliber and baked at 205° C. for 60 seconds, thereby forming a 95 nm-thick antireflection film.
- Resist composition Ar-6 was applied thereonto and baked at 100° C. for 60 seconds, thereby forming a 100 nm-thick resist film.
- a 65 nm (1:1) line-and-space resist pattern was produced in the same manner as in Example 6-A except that the resist and conditions indicated in Table 4 were employed.
- An organic antireflection film ARC29A (produced by Nissan Chemical Industries, Ltd.) was applied onto a silicon wafer of 8-inch caliber and baked at 205° C. for 60 seconds, thereby forming a 84 nm-thick antireflection film.
- Resist composition Ar-13 was applied thereonto and baked at 100° C. for 60 seconds, thereby forming a 100 nm-thick resist film.
- EXAMPLE 16-A Exposure ⁇ Bake ⁇ Development ⁇ Rotating Rinse, Abbreviated as E-B-D-R2
- An organic antireflection film ARC29A (produced by Nissan Chemical Industries, Ltd.) was applied onto a silicon wafer of 8-inch caliber and baked at 205° C. for 60 seconds, thereby forming a 84 nm-thick antireflection film.
- Resist composition Ar-16 was applied thereonto and baked at 100° C. for 60 seconds, thereby forming a 100 nm-thick resist film.
- EXAMPLE 17-A Exposure ⁇ Bake ⁇ Rotating Development ⁇ Rinse, Abbreviated as E-B-D2-R
- An organic antireflection film ARC29A (produced by Nissan Chemical Industries, Ltd.) was applied onto a silicon wafer of 8-inch caliber and baked at 205° C. for 60 seconds, thereby forming a 84 nm-thick antireflection film.
- Resist composition Ar-17 was applied thereonto and baked at 100° C. for 60 seconds, thereby forming a 100 nm-thick resist film.
- the exposed wafer was baked at 105° C. for 60 seconds.
- the thus baked wafer was developed by, while rotating the wafer at a rotating speed of 500 rpm, causing the developer indicated in Table 4 to flow over the wafer for 30 seconds and rinsed by puddling the rinse liquid indicated in Table 4 for 30 seconds.
- the rinsed wafer was rotated at a rotating speed of 2000 rpm for 30 seconds and baked at 90° C. for 60 seconds.
- a 75 nm (1:1) line-and-space resist pattern was obtained.
- EXAMPLE 27-A substrate with Inorganic antireflection Film ⁇ Exposure ⁇ Bake ⁇ Development ⁇ Rinse, Abbreviated as I-E-B-D-R
- a 75 nm (1:1) line-and-space resist pattern was produced in the same manner as in Example 1-A except that an SiON substrate was used as a substrate with inorganic antireflection film.
- Examples 1-B to 27-B, 5-C, 10-C, 15-C, 20-C and 25-C, line-and-space resist patterns were produced in the same manner as in Examples 1-A to 27-A, 5-A, 10-A, 15-A, 20-A and 25-A, respectively, except that the developers indicated in Table 5 were used.
- 60 s D1-B 4-methyl-2-pentanol iE-B-D-R Ex. 7-B Ar-7 100° C. 60 s Non — 105° C. 60 s D2-B 4-methyl-2-pentanol iE-B-D-R Ex. 8-B Ar-8 100° C. 60 s Non — 105° C. 60 s D3-B Mixed solvent iE-B-D-R 1-hexanol:4-methyl-2- pentanol 1:1 (mass ratop) Ex. 9-B Ar-9 100° C. 60 s Non — 105° C. 60 s D4-B 1-hexanol iE-B-D-R Ex. 10-B Ar-10 100° C.
- PB means the bake prior to exposure
- PEB means the post-exposure bake
- 100° C.60s means baking at 100° C. for 60 seconds.
Landscapes
- Physics & Mathematics (AREA)
- General Physics & Mathematics (AREA)
- Spectroscopy & Molecular Physics (AREA)
- Materials For Photolithography (AREA)
- Photosensitive Polymer And Photoresist Processing (AREA)
- Exposure Of Semiconductors, Excluding Electron Or Ion Beam Exposure (AREA)
Abstract
Provided is a method of forming a pattern, including (a) forming a chemically amplified resist composition into a film, (b) exposing the film to light, and (c) developing the exposed film with a developer containing an organic solvent, wherein the developer contains an alcohol compound (X) at a content of 0 to less than 500 ppm based on the total mass of the developer.
Description
This application is a continuation of Application No. 13/172,273 filed Jun. 29, 2011, which is based upon and claims the benefit of priority from prior Japanese Patent Applications No. 2010-150180, filed Jun. 30, 2010; and No. 2011-135554, filed Jun. 17, 2011, the entire contents of each of which are incorporated herein by reference.
1. Field of the Invention
The present invention relates to a method of forming a pattern that is suitable for use in a semiconductor production process for an IC or the like, a circuit board production process for a liquid crystal, a thermal head or the like and other photoapplication lithography processes, and relates to a photoresist developer for use in the pattern forming method. More particularly, the present invention relates to a method of forming a pattern that is suitable for the exposure by means of an ArF exposure apparatus, ArF liquid-immersion projection exposure apparatus or EUV exposure apparatus in which a far-ultraviolet light of wavelength 300 nm or shorter is employed as a light source, and relates to a resist developer composition for use in the pattern forming method.
2. Description of the Related Art
Since the development of the resist for a KrF excimer laser (248 nm), a pattern forming method based on chemical amplification has been employed as a resist pattern forming method in order to compensate for any sensitivity decrease caused by light absorption. A positive pattern forming method based on chemical amplification will be described by way of example. In this pattern forming method, an acid generator contained in exposed areas is decomposed upon exposure to light, such as an excimer laser, electron beams or an extreme ultraviolet light, to thereby generate an acid. In the stage of the bake after the exposure (Post-Exposure Bake: PEB), the generated acid is utilized as a reaction catalyst so that alkali-insoluble groups are converted to alkali-soluble groups. Thereafter, the exposed areas are removed by an alkali developer.
For use in the above method, various alkali developers have been proposed. For example, an aqueous alkali developer containing 2.38 mass % TMAH (aqueous solution of tetramethylammonium hydroxide) is universally used.
Moreover, the shortening of the wavelength of exposure light sources and the realization of high numerical apertures (high NA) for projector lenses have been advanced in order to cope with the miniaturization of semiconductor elements. Until now, an exposure unit using an ArF excimer laser of 193 nm wavelength as a light source has been developed. Further, a method, known as a liquid-immersion method, in which the space between a projector lens and a sample is filled with a liquid of high refractive index (hereinafter also referred to as an “immersion liquid”) has been proposed as a technology for enhancing the resolving power. Furthermore, an EUV lithography or the like in which exposure is carried out using an ultraviolet of further shorter wavelength (13.5 nm) has been proposed.
Not only the currently mainstream positive type but also negative chemically amplified resist compositions for use in the pattern formation by alkali development are being developed (see, for example, patent references 1 to 4). This reflects the situation in which in the production of semiconductor elements and the like, while there is a demand for the formation of a pattern with various configurations, such as a line, a trench and a hole, there exist patterns whose formation is difficult with the use of current positive resists.
Also, the development of negative resist developers is being promoted. For example, patent reference 5 discloses using as a developer a negative developer containing an organic solvent in which the content of metal impurities is controlled at a given value or less in order to realize a pattern formation exhibiting a high sensitivity, excelling in the resolution of trench pattern and ensuring favorable iso/dense bias.
Moreover, a double development technique as a double patterning technology capable of enhancing the resolving power is described in patent reference 6. In this technique, using the phenomenon that upon exposure, the polarity of the resin contained in the resist composition becomes high in a region of high light intensity while the polarity of the resin is kept low in a region of low light intensity, the region of high exposure of a specified resist film is dissolved by a developer of high polarity and the region of low exposure dissolved by a developer containing an organic solvent. Thus, the region of intermediate exposure amount remains undissolved away during the development, so that a line-and-space pattern with a half pitch of exposure mask is formed.
[Patent reference 1] Jpn. Pat. Appln. KOKAI Publication No. (hereinafter referred to as JP-A-) 2006-317803,
[Patent reference 2] JP-A-2006-259582,
[Patent reference 3] JP-A-2006-195050,
[Patent reference 4] JP-A-2000-206694,
[Patent reference 5] JP-A-2009-025708, and
[Patent reference 6] JP-A-2008-292975.
The current situation is that it is extremely difficult to discover an appropriate combination of resist composition, developer, rinse liquid, etc., required for the formation of a pattern realizing comprehensively excellent performance, so that there is a demand for further enhancement.
It is a particular object of the present invention to provide a method of forming a pattern by which a pattern realizing the reduction of foreign matter sticking defects can be formed and to provide a developer for use in the pattern forming method.
According to an aspect of embodiments, the present invention is as described below.
(1) A method of forming a pattern, comprising:
(a) forming a chemically amplified resist composition into a film,
(b) exposing the film to light, and
(c) developing the exposed film with a developer containing an organic solvent,
wherein the developer contains an alcohol compound (X) at a content of 0 to less than 500 ppm based on the total mass of the developer.
(2) The method of forming a pattern according to item (1), wherein the developer contains at least one organic solvent selected from among ester compounds (A1) and ketone compounds (A2).
(3) The method of forming a pattern according to item (2), wherein the developer contains any of alkyl acetates as the ester compounds (A1).
(4) The method of forming a pattern according to item (2) or (3), wherein the developer contains an alcohol compound (X1) with a structure resulting from hydrolysis of any of the ester compounds (A1) and an alcohol compound (X2) with a structure resulting from reduction of any of the ketone compounds (A2) at a content of the sum thereof of 0 to less than 500 ppm based on the total mass of the developer.
(5) The method of forming a pattern according to item (4), wherein at least one of the alcohol compounds (X1) and (X2) is a monohydric alcohol having 7 or less carbon atoms.
(6) The method of forming a pattern according to any one of items (1) to (4), further comprising rinsing the developed film with a rinse liquid.
(7) The method of forming a pattern according to item (6), wherein the rinse liquid contains an alcohol compound.
(8) The method of forming a pattern according to any one of items (1) to (7), wherein the chemically amplified resist composition contains a resin that when acted on by an acid, decreases its solubility in the developer containing an organic solvent and a compound that when exposed to actinic rays or radiation, generates an acid.
(9) A developer for chemically amplified resist for use in developing the exposed film in the method of forming a pattern according to any one of items (1) to (8).
The present invention makes it feasible to provide a method of forming a pattern by which a pattern realizing the reduction of foreign matter sticking defects can be formed.
The present invention will be described below.
With respect to the expression of a group (atomic group) used in this specification, the expression even when there is no mention of “substituted and unsubstituted” encompasses groups not only having no substituent but also having substituents. For example, the expression “alkyl groups” encompasses not only alkyls having no substituent (unsubstituted alkyls) but also alkyls having substituents (substituted alkyls).
In the present invention, the terms “actinic rays” and “radiation” mean, for example, a mercury lamp bright line spectrum, far ultraviolet rays represented by an excimer laser, extreme ultraviolet rays (EUV light), X-rays, electron beams and the like. In the present invention, the term “light” means actinic rays or radiation.
The expression “exposure” used herein, unless otherwise noted, means not only light irradiation using a mercury lamp, far ultraviolet, X-rays, EUV light, etc. but also lithography using particle beams, such as an electron beam and an ion beam.
[1] Developer
The method of forming a pattern according to the present invention comprises (a) forming a chemically amplified resist composition into a film, (b) exposing the film to light, and (c) developing the exposed film with a developer containing an organic solvent, wherein the developer (hereinafter also referred to as the developer according to the present invention) contains an alcohol compound (X) at a content of 0 to less than 500 ppm based on the total mass of the developer.
The foreign matter sticking defects during the resist pattern formation can be suppressed by developing the resist film with the use of the developer according to the present invention. The reason therefor is not necessarily apparent. However, it can be presumed that the region of low polarity in the resist film is dissolved in the pattern forming method according to the present invention, so that not only can the occurrence of foreign matter by insufficient dissolution be suppressed but also the resist within the unexposed region can be uniformly dissolved by not adding highly polar alcohol compounds to the developer, with the result that the sticking of foreign matter to the pattern surface can be suppressed.
Now, the defect of foreign matter sticking will be defined. The foreign matter sticking defect mentioned in the present invention refers to the defect in which foreign matter sticks to the surface of the pattern in the stage of development. The morphologies of foreign matter sticking defects are shown in FIG. 1 and FIG. 2 . In contrast, for example, in the defects of FIG. 3 and FIG. 4 , the boundary from the resist pattern is unclear. These defects are not those resulting from the sticking of foreign matter during the operation of development. It can be presumed that these defects reflect the observations of foreign matter contained in the resist film and portions of the pattern remaining undissolved, and these defects are to be distinguished from the foreign matter sticking defect mentioned in the present invention.
The permissible content of an alcohol compound (X) in the developer according to the present invention is 0 to less than 500 ppm, preferably 0 to less than 400 ppm and more preferably 0 to less than 300 ppm, based on the total mass of the developer.
The regulation of the content of an alcohol compound to less than 500 ppm can be attained by using highly purified compounds as obtained by purifying an organic solvent used as the developer according to the present invention by the application of generally known methods, such as column chromatography and distilling purification.
The content of an alcohol compound (X) in the developer according to the present invention can be measured by using heretofore known methods. For example, the content can be calculated from the area % of each component determined by gas chromatography measurement.
It is preferred for the developer according to the present invention to comprise at least one organic solvent selected from among ester compounds (A1) and ketone compounds (A2). As the alcohol compound (X) that can be contained in this developer, there can be mentioned, for example, an alcohol compound (X1) with a structure resulting from hydrolysis of any of the ester compounds (A1) or an alcohol compound (X2) with a structure resulting from reduction of any of the ketone compounds (A2). In one mode, at least one of the alcohol compounds (X1) and (X2) is a monohydric alcohol having 7 or less carbon atoms.
As the ester compounds (A1) that can be used as the developer according to the present invention, there can be mentioned, for example, methyl acetate, n-butyl acetate, ethyl acetate, isopropyl acetate, amyl acetate, propylene glycol monomethyl ether acetate, ethylene glycol monoethyl ether acetate, diethylene glycol monobutyl ether acetate, diethylene glycol monoethyl ether acetate, ethyl 3-ethoxypropionate (EEP), 3-methoxybutyl acetate, 3-methyl-3-methoxybutyl acetate, methyl formate, ethyl formate, butyl formate, propyl formate, cyclohexyl acetate and the like. In particular, acetic acid alkyl esters, such as methyl acetate, n-butyl acetate, ethyl acetate, isopropyl acetate and amyl acetate, and propionic acid alkyl esters, such as methyl propionate, ethyl propionate and propyl propionate, are preferred.
As the ketone compounds (A2) that can be used as the developer according to the present invention, there can be mentioned, for example, 1-octanone, 2-octanone, 1-nonanone, 2-nonanone, acetone, 2-heptanone, 3-heptanone, 4-heptanone, 1-hexanone, 2-hexanone, diisobutyl ketone, methyl amyl ketone, cyclohexanone, methylcyclohexanone, phenylacetone, methyl ethyl ketone, methyl isobutyl ketone, acetylacetone, acetonylacetone, ionone, acetophenone, methyl naphthyl ketone, isophorone, propylene carbonate and the like.
The developer according to the present invention may contain an organic solvent other than the ester compounds (A1) and ketone compounds (A2). As such other organic solvents, there can be mentioned, for example, an ether solvent, an amide solvent and a hydrocarbon solvent.
As the ether solvent, there can be mentioned, for example, not only any of the above-mentioned glycol ether solvents but also dioxane, tetrahydrofuran or the like.
As the amide solvent, there can be mentioned, for example, N-methyl-2-pyrrolidone, N,N-dimethylacetamide, N,N-dimethylformamide, hexamethylphosphoric triamide, 1,3-dimethyl-2-imidazolidinone or the like.
As the hydrocarbon solvent, there can be mentioned, for example, an aromatic hydrocarbon solvent, such as toluene or xylene, or an aliphatic hydrocarbon solvent, such as pentane, hexane, octane or decane.
Two or more of these solvents may be mixed together before use. Alternatively, each of the solvents may be used in a mixture with a solvent other than those mentioned above within a proportion not detrimental to the exertion of performance. From the viewpoint of the fullest exertion of the effects of the present invention, it is preferred for the water content of the whole developer to be controlled at less than 10 mass %. More preferably, the developer contains substantially no water.
Namely, the amount of organic solvent used in the developer is preferably in the range of 90 to 100 mass %, more preferably 95 to 100 mass %, based on the total amount of the developer.
The vapor pressure of the developer containing an organic solvent at 20° C. is preferably 5 kPa or below, more preferably 3 kPa or below and most preferably 2 kPa or below. When the vapor pressure of the developer is 5 kPa or below, the evaporation of the developer on the substrate or in a development cup can be suppressed so that the temperature uniformity within the plane of the wafer can be enhanced to thereby improve the dimensional uniformity within the plane of the wafer.
As particular examples of the solvents exhibiting a vapor pressure of 5 kPa or below, there can be mentioned a ketone solvent, such as 1-octanone, 2-octanone, 1-nonanone, 2-nonanone, 4-heptanone, 2-hexanone, diisobutyl ketone, cyclohexanone, methylcyclohexanone, phenylacetone or methyl isobutyl ketone; an ester solvent, such as n-butyl acetate, amyl acetate, cyclohexyl acetate, propylene glycol monomethyl ether acetate, ethylene glycol monoethyl ether acetate, diethylene glycol monobutyl ether acetate, diethylene glycol monoethyl ether acetate, ethyl 3-ethoxypropionate, 3-methoxybutyl acetate, 3-methyl-3-methoxybutyl acetate, butyl formate or propyl formate; an ether solvent, such as tetrahydrofuran; an amide solvent, such as N-methyl-2-pyrrolidone, N,N-dimethylacetamide or N,N-dimethylformamide; an aromatic hydrocarbon solvent, such as toluene or xylene, and an aliphatic hydrocarbon solvent, such as octane or decane.
As particular examples of the solvents exhibiting the most preferred vapor pressure of 2 kPa or below, there can be mentioned a ketone solvent, such as 1-octanone, 2-octanone, 1-nonanone, 2-nonanone, 4-heptanone, 2-hexanone, diisobutyl ketone, cyclohexanone, methylcyclohexanone or phenylacetone; an ester solvent, such as n-butyl acetate, amyl acetate, cyclohexyl acetate, propylene glycol monomethyl ether acetate, ethylene glycol monoethyl ether acetate, diethylene glycol monobutyl ether acetate, diethylene glycol monoethyl ether acetate, ethyl 3-ethoxypropionate, 3-methoxybutyl acetate or 3-methyl-3-methoxybutyl acetate; an amide solvent, such as N-methyl-2-pyrrolidone, N,N-dimethylacetamide or N,N-dimethylformamide; an aromatic hydrocarbon solvent, such as xylene, and an aliphatic hydrocarbon solvent, such as octane or decane.
Surfactant
According to necessity, an appropriate amount of surfactant can be added to the developer according to the present invention.
As such a surfactant, use can be made of any of the same surfactants as incorporated in the resist composition to be described hereinafter.
The amount of surfactant used is generally in the range of 0.001 to 5 mass %, preferably 0.005 to 2 mass % and further more preferably 0.01 to 0.5 mass % based on the total amount of the developer.
[2] Method of Forming Pattern
As mentioned above, the method of forming a pattern according to the present invention comprises at least (a) forming a chemically amplified resist composition into a film (resist film), (b) exposing the film to light, and (c) developing the exposed film with the developer according to the present invention.
Preferably, the method of forming a pattern according to the present invention further comprises (d) rinsing the developed film by use of a rinse liquid after the operation of development (c).
The method of forming a pattern according to the present invention also preferably comprises the operation of baking (e) to be performed after the operation of film formation (a) but prior to the operation of exposure (b).
Furthermore, the method of forming a pattern according to the present invention preferably comprises the operation of baking (f) to be performed after the operation of exposure (b) but prior to the operation of development (c).
Still furthermore, the method of forming a pattern according to the present invention may further comprise (g) the operation of development using an aqueous alkali developer.
Operation of Forming Resist Film
The resist film formed in the method of forming a pattern according to the present invention is one formed from the chemically amplified resist composition according to the present invention to be described hereinafter. In particular, the resist film is preferably formed on a substrate.
The substrate that can be employed in the present invention is not particularly limited. Use can be made of any of an inorganic substrate of silicon, SiN, SiO2 or the like, a coated inorganic substrate such as SOG and substrates commonly employed in a semiconductor production process for an IC or the like, a circuit board production process for a liquid crystal, a thermal head or the like and other photoapplication lithography processes. Further, according to necessity, an organic antireflection film may be provided between the above film and the substrate.
In the method of forming a pattern according to the present invention, the operation of forming a film of resist composition on a substrate, the operation of exposing the film to light and the operation of developing the exposed film with the developer according to the present invention can be carried out using generally known techniques.
Operation of Baking
As mentioned above, the method preferably comprises a prebake (PB) operation performed after the film formation but prior to the exposure operation.
Also, the method preferably comprises a post-exposure bake (PEB) operation performed after the exposure operation but prior to the development operation.
In both the PB operation and the PEB operation, the baking is preferably performed at 70 to 120° C., more preferably 80 to 110° C.
The baking time is preferably in the range of 30 to 300 seconds, more preferably 30 to 180 seconds and further more preferably 30 to 90 seconds.
The baking can be performed by means provided in the common exposure/development equipment. The baking can also be performed using a hot plate or the like.
The baking accelerates the reaction in exposed areas, so that the sensitivity and pattern profile can be enhanced.
Operation of Exposure
In the present invention, the wavelength of the light source for use in the exposure equipment is not limited. For example, a KrF excimer laser wavelength (248 nm), an ArF excimer laser wavelength (193 nm) and an F2 excimer laser wavelength (157 nm) can be applied.
With respect to the resist film according to the present invention, the exposure (liquid immersion exposure) to actinic rays or radiation may be carried out through a liquid (immersion medium) with a refractive index higher than that of air that fills the space between the film and the lens. This enhances the resolution. As the immersion medium, any liquid can be used as long as it exhibits a refractive index higher than that of air. Preferably, pure water is employed.
In the liquid immersion exposure, the hydrophobic resin to be described hereinafter may be added to the resist composition in advance. Alternatively, the formation of the resist film may be followed by providing thereon a film that is highly insoluble in the immersion liquid (hereinafter also referred to as a “top coat”).
The performance expected from the top coat, the method of using the same, etc. are described in Chapter 7 of “Process and Material of Liquid Immersion Lithography” published by CMC Publishing Co., Ltd.
From the viewpoint of the transparency to a laser of 193 nm wavelength, it is preferred for the top coat to be formed of a polymer not abundantly containing an aromatic moiety. As such a polymer, there can be mentioned, for example, a hydrocarbon polymer, an acrylic ester polymer, polymethacrylic acid, polyacrylic acid, polyvinyl ether, a siliconized polymer, a fluoropolymer or the like. Any of the above-mentioned hydrophobic resins (HR) can be appropriately used as the top coat, and commercially available top coat materials can also be appropriately used.
When the top coat is detached after the exposure, use may be made of a developer. Alternatively, a separate peeling agent may be used. The peeling agent is preferably a solvent exhibiting less permeation into the film. Detachability by a developer is preferred from the viewpoint of simultaneously performing the detachment operation and the operation of film development processing.
Operation of Development
As the development method, use can be made of, for example, a method in which the substrate is dipped in a tank filled with a developer for a given period of time (dip method), a method in which a developer is puddled on the surface of the substrate by its surface tension and allowed to stand still for a given period of time to thereby effect development (puddle method), a method in which a developer is sprayed onto the surface of the substrate (spray method), or a method in which a developer is continuously discharged onto the substrate being rotated at a given speed while scanning a developer discharge nozzle at a given speed (dynamic dispense method).
In the above various development methods, when the operation of discharging a developer toward the resist film through a development nozzle of a development apparatus is included, the discharge pressure of discharged developer (flow rate per area of discharged developer) is preferably 2 ml/sec/mm2 or below, more preferably 1.5 ml/sec/mm2 or below and further more preferably 1 ml/sec/mm2 or below. There is no particular lower limit of the flow rate. However, from the viewpoint of through-put, it is preferred for the flow rate to be 0.2 ml/sec/mm2 or higher.
Pattern defects attributed to any resist residue after development can be markedly reduced by regulating the discharge pressure of discharged developer so as to fall within the above range.
The exact mechanism thereof is not apparent. However, it is presumed that regulating the discharge pressure so as to fall within the above range would lower the pressure on the resist film exerted by the developer, thereby inhibiting any inadvertent shaving or crumbling of the resist film and resist pattern.
The discharge pressure of developer (ml/sec/mm2) refers to a value at the outlet of the development nozzle of the development apparatus.
As the method of regulating the discharge pressure of developer, there can be mentioned, for example, a method in which the discharge pressure is regulated by means of a pump or the like, a method in which the discharge pressure of developer is changed through the pressure regulation by supply from a pressure tank, or the like.
Operation of Rinse
The method of forming a pattern according to the present invention may include, after the operation of exposure, the operation of discontinuing the development while replacing the solvent with another solvent (operation of rinse). In the rinse operation, the wafer having undergone the development is rinsed using the rinse liquid containing an organic solvent to be described hereinafter. The method of rinse treatment is not particularly limited. For example, use can be made of any of a method in which the rinse liquid is continuously applied onto the substrate being rotated at a given speed (spin application method), a method in which the substrate is dipped in a tank filled with the rinse liquid for a given period of time (dip method) and a method in which the rinse liquid is sprayed onto the surface of the substrate (spray method). Preferably, the rinse treatment is carried out according to the spin application method among the above methods, and thereafter the substrate is rotated at a rotating speed of 2000 to 4000 rpm to thereby remove the rinse liquid from the top of the substrate. The duration of substrate rotation can be set within the range ensuring the attainment of the removal of the rinse liquid from the top of the substrate, depending on the rotating speed. The duration of substrate rotation is generally in the range of 10 seconds to 3 minutes.
Further, the method of forming a pattern according to the present invention preferably includes the operation of baking (post-bake) performed after the operation of rinse. This baking removes any inter-pattern and intra-pattern remaining developer and rinse liquid. The operation of baking after the operation of rinse is generally performed at 40 to 160° C., preferably 70 to 95° C., for a period of 10 seconds to 3 minutes, preferably 30 to 90 seconds.
The rinse liquid composition and resist composition for use in the method of forming a pattern according to the present invention will be described below.
[3] Rinse Liquid Composition
The rinse liquid for use in the rinse operation after the development by means of the developer containing an organic solvent according to the present invention is not particularly limited as long as it does not dissolve the resist pattern, and solutions containing common organic solvents can be used. As the rinse liquid, preferred use is made of one comprising at least one organic solvent selected from among a hydrocarbon solvent, a ketone solvent, an ester solvent, an alcohol solvent, an amide solvent and an ether solvent. The rinse liquid more preferably comprises at least one organic solvent selected from among a ketone solvent, an ester solvent, an alcohol solvent and an amide solvent, and further more preferably comprises an alcohol solvent or an ester solvent. Still further more preferably, the rinse liquid comprises a monohydric alcohol. Most preferably, the rinse liquid comprises a monohydric alcohol having 5 or more carbon atoms. The monohydric alcohol for use in the rinse operation after the development may be in the form of a linear chain, a branched chain or a ring. For example, use can be made of 1-butanol, 2-butanol, 3-methyl-1-butanol, tert-butyl alcohol, 1-pentanol, 2-pentanol, 1-hexanol, 4-methyl-2-pentanol, 1-heptanol, 1-octanol, 2-hexanol, cyclopentanol, 2-heptanol, 2-octanol, 3-hexanol, 3-heptanol, 3-octanol, 4-octanol or the like. As the most preferred monohydric alcohol having 5 or more carbon atoms, use can be made of 1-hexanol, 2-hexanol, 4-methyl-2-pentanol, 1-pentanol, 3-methyl-1-butanol or the like. Of these, a branched alcohol having 5 or more carbon atoms is especially preferred.
Two or more of these components may be mixed together before use. Also, they may be mixed with other organic solvents before use.
The water content of the rinse liquid is preferably below 10 mass %, more preferably below 5 mass % and most preferably below 3 mass %. Favorable development performance can be attained by controlling the water content of the rinse liquid at below 10 mass %.
Namely, the amount of organic solvent used in the rinse liquid is preferably in the range of 90 to 100 mass %, more preferably 95 to 100 mass % and most preferably 97 to 100 mass % based on the total amount of the rinse liquid.
The vapor pressure of the rinse liquid used after the development by means of the developer containing an organic solvent is preferably in the range of 0.05 to 5 kPa, more preferably 0.1 to 5 kPa and most preferably 0.12 to 3 kPa at 20° C. When the vapor pressure of the rinse liquid is in the range of 0.05 to 5 kPa, not only can the temperature uniformity within the plane of the wafer be enhanced but also the swell attributed to the penetration of the rinse liquid can be suppressed to thereby improve the dimensional uniformity within the plane of the wafer.
Appropriate amounts of surfactant and resin (A′) may be added to the rinse liquid before use. The types and amounts of surfactant and resin (A′) that can be added are the same as mentioned above in connection with the developer.
[4] Resist Composition
[4-1] Resin (A)
A negative pattern is formed from the chemically amplified resist composition according to the present invention by the above pattern forming method of the present invention.
Namely, in the resist film obtained from the chemically amplified resist composition according to the present invention, the exposed areas have their solubility in the developer containing an organic solvent decreased under the action of an acid and are rendered insoluble or highly insoluble therein. On the other hand, the nonexposed areas are soluble in the developer containing an organic solvent. Thus, a negative pattern is obtained.
It is optional for the resin (A) to contain a repeating unit containing an acid group. Preferably, the resin (A) does not contain such a repeating unit.
As the acid group, there can be mentioned, for example, a carboxyl group, a sulfonamido group, a sulfonylimido group, a bissulfonylimido group, an aliphatic alcohol substituted at its α-position with an electron withdrawing group (for example, a hexafluoroisopropanol group —C(CF3)2OH) or the like.
When the resin (A) contains an acid group, the content of the repeating unit containing an acid group in the resin (A) is preferably 10 mol % or below, more preferably 5 mol % or below. When the resin (A) contains a repeating unit containing an acid group, the content of the repeating unit containing an acid group in the resin (A) is generally not lower than 1 mol %.
This resin does not necessarily have to be by itself soluble in the developer as long as the film formed from the resist composition is soluble in the developer containing an organic solvent. For example, the resin can be by itself insoluble in the developer when the film formed from the resist composition is soluble in the developer, depending on the properties and content of other components contained in the resist composition.
The resin (A) is generally synthesized by radical polymerization, etc. from a monomer with a polymerizable partial structure. The resin (A) contains a repeating unit derived from the monomer with a polymerizable partial structure. As the polymerizable partial structure, there can be mentioned, for example, an ethylenically polymerizable partial structure.
The various repeating units that can be contained in the resin (A) will be described in detail below.
(a1) Repeating Unit Containing an Acid-Decomposable Group
The resin (A) is a resin whose solubility in a developer containing an organic solvent is decreased by the action of an acid. The resin (A) comprises, in its principal chain or side chain, or both of its principal chain and side chain, a repeating unit containing a group (hereinafter also referred to as “an acid-decomposable group”) that is decomposed by the action of an acid to thereby produce a polar group. When the polar group is produced, the affinity of the resin for a developer containing an organic solvent is lowered to thereby promote the insolubilization or solubility drop (conversion to negative) of the resin.
It is preferred for the acid-decomposable group to have a structure in which the polar group is protected by a group that is decomposed by the action of an acid to thereby be cleaved.
The polar group is not particularly limited as long as it is insolubilized in a developer containing an organic solvent. As preferred examples thereof, there can be mentioned acid groups (groups that are dissociated in a 2.38 mass % aqueous tetramethylammonium hydroxide solution conventionally used as a resist developer), such as a carboxyl group, a fluoroalcohol group (preferably a hexafluoroisopropanol) and a sulfonic acid group.
The acid-decomposable group is preferably a group as obtained by substituting the hydrogen atom of any of these groups with an acid eliminable group.
As the acid eliminable group, there can be mentioned, for example, —C(R36)(R37)(R38), —C(R36)(R37)(OR39), —C(R01)(R02)(OR39) or the like.
In the formulae, each of R36 to R39 independently represents an alkyl group, a cycloalkyl group, an aryl group, an aralkyl group or an alkenyl group. R36 and R37 may be bonded with each other to thereby form a ring structure.
Each of R01 and R02 independently represents a hydrogen atom, an alkyl group, a cycloalkyl group, an aryl group, an aralkyl group or an alkenyl group.
Preferably, the acid-decomposable group is a cumyl ester group, an enol ester group, an acetal ester group, a tertiary alkyl ester group or the like. A tertiary alkyl ester group is more preferred.
The repeating unit with an acid-decomposable group that may be contained in the resin (A) is preferably any of those of the following general formula (AI).
In general formula (AI),
Xa1 represents a hydrogen atom, an optionally substituted methyl group or any of the groups of the formula —CH2—R9. R9 represents a hydroxyl group or a monovalent organic group. The monovalent organic group is, for example, an alkyl group having 5 or less carbon atoms or an acyl group having 5 or less carbon atoms. Preferably, the monovalent organic group is an alkyl group having 3 or less carbon atoms, more preferably a methyl group. Xa1 is preferably a hydrogen atom, a methyl group, a trifluoromethyl group or a hydroxymethyl group, more preferably a hydrogen atom, a methyl group or a hydroxymethyl group.
T represents a single bond or a bivalent connecting group.
Each of Rx1 to Rx3 independently represents an alkyl group (linear or branched) or a cycloalkyl group (monocyclic or polycyclic).
Rx2 and Rx3 may be bonded with each other to thereby form a cycloalkyl group (monocyclic or polycyclic).
As the bivalent connecting group represented by T, there can be mentioned, for example, any one or a combination of two or more groups selected from the group consisting of an alkylene group, a group of the formula —COO-Rt- and a group of the formula —O-Rt-. The sum of carbon atoms of the bivalent connecting group represented by T is preferably in the range of 1 to 12. In the formulae, Rt represents an alkylene group or a cycloalkylene group.
T is preferably a single bond or a group of the formula —COO-Rt-. Rt is preferably an alkylene group having 1 to 5 carbon atoms, more preferably a —CH2— group, —(CH2)2— group or —(CH2)3— group.
The alkyl group represented by each of Rx1 to Rx3 is preferably one having 1 to 4 carbon atoms, such as a methyl group, an ethyl group, an n-propyl group, an isopropyl group, an n-butyl group, an isobutyl group or a t-butyl group.
The cycloalkyl group represented by each of Rx1 to Rx3 is preferably a cycloalkyl group of one ring, such as a cyclopentyl group or a cyclohexyl group, or a cycloalkyl group of multiple rings, such as a norbornyl group, a tetracyclodecanyl group, a tetracyclododecanyl group or an adamantyl group.
The cycloalkyl group formed by bonding of Rx2 and Rx3 is preferably a cycloalkyl group of one ring, such as a cyclopentyl group or a cyclohexyl group, or a cycloalkyl group of multiple rings, such as a norbornyl group, a tetracyclodecanyl group, a tetracyclododecanyl group or an adamantyl group. The cycloalkyl group of a single ring having 5 or 6 carbon atoms is particularly preferred.
In a preferred mode, Rx1 is a methyl group or an ethyl group, and Rx2 and Rx3 are bonded with each other to thereby form any of the above-mentioned cycloalkyl groups.
Each of the groups, above, may have a substituent. As the substituent, there can be mentioned, for example, an alkyl group (having 1 to 4 carbon atoms), a cycloalkyl group (having 3 to 15 carbon atoms), a halogen atom, a hydroxyl group, an alkoxy group (having 1 to 4 carbon atoms), a carboxyl group, an alkoxycarbonyl group (having 2 to 6 carbon atoms) or the like. Substituents having 8 or less carbon atoms are preferred.
Specific examples of the preferred repeating units with acid-decomposable groups will be shown below, which however in no way limit the scope of the present invention.
In the following formulae, each of Rx and Xa1 represents a hydrogen atom, CH3, CF3 or CH2OH. Each of Rxa and Rxb represents an alkyl group having 1 to 4 carbon atoms. Z, each independently in the presence of two or more groups, represents a substituent containing a polar group. p represents 0 or a positive integer. Particular examples and preferred examples of the substituents Z are the same as those of the groups R10 of general formula (2-1) to be described hereinafter.
When the resin (A) comprises a plurality of repeating units each containing an acid-decomposable group, or when a plurality of resins (A) comprise repeating units containing acid-decomposable groups different from each other, as preferred combinations of repeating units, there can be mentioned, for example, the following. In the formulae shown below, each of R's independently represents a hydrogen atom or a methyl group.
As forms of repeating units other than those shown above by way of example, preferred use is made of the following repeating units that when acted on by an acid, each produce an alcoholic hydroxyl group. The term “alcoholic hydroxyl group” used herein means a nonphenolic hydroxyl group, in particular, a hydroxyl group whose pKa value is in the range of 12 to 20.
(a2) Repeating Unit Containing an Alcoholic Hydroxyl Group
The resin (A) may comprise, in at least either the principal chain or a side chain thereof, a repeating unit (a2) containing an alcoholic hydroxyl group. An enhancement of the adherence to a substrate can be expected by virtue of the introduction of such a repeating unit. When the resist composition of the present invention contains a crosslinking agent to be described hereinafter, it is preferred for the resin (A) to comprise the repeating unit (a2) containing an alcoholic hydroxyl group. This is because as the alcoholic hydroxyl group functions as a crosslinking group, the hydroxyl group reacts with a crosslinking agent under the action of an acid to thereby promote the insolubilization or solubility drop of the resist film in a developer containing an organic solvent with the result that the effect of enhancing the line width roughness (LWR) performance is exerted.
In the present invention, the alcoholic hydroxyl group is not limited as long as it is a hydroxyl group bonded to a hydrocarbon group and is other than a hydroxyl group (phenolic hydroxyl group) directly bonded onto an aromatic ring. However, in the present invention, it is preferred for the alcoholic hydroxyl group to be other than the hydroxyl group of an aliphatic alcohol substituted at its α-position with an electron withdrawing group, mentioned hereinbefore as an acid group. From the viewpoint of enhancing the efficiency of the reaction with a crosslinking agent (C), it is preferred for the alcoholic hydroxyl group to be a primary alcoholic hydroxyl group (group in which the carbon atom substituted with a hydroxyl group has two hydrogen atoms besides the hydroxyl group) or a secondary alcoholic hydroxyl group in which another electron withdrawing group is not bonded to the carbon atom substituted with a hydroxyl group.
Preferably 1 to 3 alcoholic hydroxyl groups, more preferably 1 or 2 alcoholic hydroxyl groups are introduced in each repeating unit (a2).
As these repeating units, there can be mentioned the repeating units of general formulae (2) and (3).
In general formula (2) above, at least either Rx or R represents a structure with an alcoholic hydroxyl group.
In general formula (3), at least any of two Rx's and R represents a structure with an alcoholic hydroxyl group. Two Rx's may be identical to or different from each other.
As the structure with an alcoholic hydroxyl group, there can be mentioned, for example, a hydroxyalkyl group (preferably 2 to 8 carbon atoms, more preferably 2 to 4 carbon atoms), a hydroxycycloalkyl group (preferably 4 to 14 carbon atoms), a cycloalkyl group substituted with a hydroxyalkyl group (preferably 5 to 20 carbon atoms in total), an alkyl group substituted with a hydroxyalkoxy group (preferably 3 to 15 carbon atoms in total), a cycloalkyl group substituted with a hydroxyalkoxy group (preferably 5 to 20 carbon atoms in total) or the like. As mentioned above, a residue of primary alcohol is preferred. The structure —(CH2)n-OH (n is an integer of 1 or greater, preferably an integer of 2 to 4) is more preferred.
Rx represents a hydrogen atom, a halogen atom, a hydroxyl group, an optionally substituted alkyl group (preferably 1 to 4 carbon atoms) or an optionally substituted cycloalkyl group (preferably 5 to 12 carbon atoms). As preferred substituents that may be introduced in the alkyl group and cycloalkyl group represented by Rx, there can be mentioned a hydroxyl group and a halogen atom. As the halogen atom represented by Rx, there can be mentioned a fluorine atom, a chlorine atom, a bromine atom or an iodine atom. Rx is preferably a hydrogen atom, a methyl group, a hydroxymethyl group, a hydroxyl group or a trifluoromethyl group. A hydrogen atom and a methyl group are especially preferred.
R represents an optionally hydroxylated hydrocarbon group. The hydrocarbon group represented by R is preferably a saturated hydrocarbon group. As such, there can be mentioned an alkyl group (preferably 1 to 8 carbon atoms, more preferably 2 to 4 carbon atoms) or a mono- or polycyclohydrocarbon group (preferably 3 to 20 carbon atoms, for example, an alicyclic group to be described hereinafter). In the formula, n′ is an integer of 0 to 2.
The repeating unit (a2) is preferably a repeating unit derived from an ester of acrylic acid in which the principal chain at its α-position (for example, Rx in formula (2)) may be substituted, more preferably a repeating unit derived from a monomer with a structure corresponding to formula (2). Further, containing an alicyclic group in the unit is preferred. With respect to the alicyclic group, a mono- or polycyclic structure can be considered. A polycyclic structure is preferred from the viewpoint of the resistance to etching.
As the alicyclic groups, there can be mentioned, for example, monocyclic structures, such as cyclobutyl, cyclopentyl, cyclohexyl, cycloheptyl and cyclooctyl, and polycyclic structures, such as norbornyl, isobornyl, tricyclodecanyl, tetracyclododecanyl, hexacycloheptadecanyl, adamantyl, diadamantyl, spirodecanyl and spiroundecanyl. Of these, adamantyl, diadamantyl and norbornyl structures are preferred.
Examples of the repeating units (a2) are shown below, which however in no way limit the scope of the present invention. In the examples, Rx represents a hydrogen atom or a methyl group.
The repeating unit (a2) may have a structure in which at least one of the above-mentioned repeating unit (a1) and repeating units (a3) and (a4) to be described hereinafter contains an alcoholic hydroxyl group. For example, the repeating unit (a2) may have a structure in which in the above-mentioned repeating unit (a1) containing an acid-decomposable group, the moiety cleaved under the action of an acid contains an alcoholic hydroxyl group. It is presumed that the efficiency of crosslinking can be optimized by containing such a repeating unit. As this structure, there can be mentioned, for example, a structure in which in the above general formula (A1), the moiety of atomic group —C(Rx1)(Rx2)(Rx3) contains a hydroxyl group. More particularly, there can be mentioned, for example, a structure in which in the repeating units of general formula (2-1) above, R10 represents a hydroxyl group, a hydroxylated linear or branched alkyl group or a hydroxylated cycloalkyl group.
(a3) Repeating Unit Containing a Nonpolar Group
It is preferred for the resin (A) to further comprise a repeating unit (a3) containing a nonpolar group. By introducing this repeating unit, not only can leaching of low-molecular components from the resist film into an immersion liquid in the stage of liquid-immersion exposure be reduced but also the solubility of the resin in the stage of development with a developer containing an organic solvent can be appropriately regulated. It is preferred for the repeating unit (a3) containing a nonpolar group to be a repeating unit in which no polar group (for example, the above-mentioned acid group, a hydroxyl group, a cyano group or the like) is contained. It is also preferred for the repeating unit (a3) to be a repeating unit containing neither the acid-decomposable group mentioned above nor the lactone structure to be described hereinafter. As these repeating units, there can be mentioned the repeating units of general formulae (4) and (5) below.
In the general formulae,
R5 represents a hydrocarbon group having neither a hydroxyl group nor a cyano group.
Ra, or each of Ra's independently, represents a hydrogen atom, a hydroxyl group, a halogen atom or an alkyl group (preferably 1 to 4 carbon atoms). A substituent may be introduced in the alkyl group represented by Ra, and as the substituent, there can be mentioned a hydroxyl group or a halogen atom. As the halogen atom represented by Ra, there can be mentioned a fluorine atom, a chlorine atom, a bromine atom or an iodine atom. Ra is preferably a hydrogen atom, a methyl group, a trifluoromethyl group or a hydroxymethyl group. A hydrogen atom and a methyl group are most preferred.
In the formula, n is an integer of 0 to 2.
It is preferred for R5 to have at least one cyclic structure.
The hydrocarbon groups represented by R5 include, for example, linear and branched hydrocarbon groups, monocyclohydrocarbon groups and polycyclohydrocarbon groups. From the viewpoint of the resistance to dry etching, it is preferred for R5 to include monocyclohydrocarbon groups and polycyclohydrocarbon groups, especially polycyclohydrocarbon groups.
R5 preferably represents any of the groups of formula: -L4-A4-(R4)n4. L4 represents a single bond or a bivalent hydrocarbon group, being preferably a single bond, an alkylene group (preferably 1 to 3 carbon atoms) or a cycloalkylene group (preferably 5 to 7 carbon atoms). More preferably, L4 represents a single bond. A4 represents a (n4+1)-valent hydrocarbon group (preferably 3 to 30 carbon atoms, more preferably 3 to 14 carbon atoms and further more preferably 6 to 12 carbon atoms), preferably an alicyclic hydrocarbon group of a single ring or multiple rings. In the formula, n4 is an integer of 0 to 5, preferably an integer of 0 to 3. R4 represents a hydrocarbon group, being preferably an alkyl group (preferably 1 to 3 carbon atoms) or a cycloalkyl group (preferably 5 to 7 carbon atoms).
As the linear or branched hydrocarbon group, there can be mentioned, for example, an alkyl group having 3 to 12 carbon atoms. As the monocyclic hydrocarbon group, there can be mentioned, for example, a cycloalkyl group having 3 to 12 carbon atoms, a cycloalkenyl group having 3 to 12 carbon atoms or a phenyl group. Preferably, the monocyclic hydrocarbon group is a monocyclic saturated hydrocarbon group having 3 to 7 carbon atoms.
The polycyclic hydrocarbon groups include ring-assembly hydrocarbon groups (for example, a bicyclohexyl group) and crosslinked-ring hydrocarbon groups. As the crosslinked-ring hydrocarbon groups, there can be mentioned, for example, a bicyclic hydrocarbon group, a tricyclic hydrocarbon group and a tetracyclic hydrocarbon group. Further, the crosslinked-ring hydrocarbon groups include condensed-ring hydrocarbon groups (for example, groups each resulting from condensation of a plurality of 5- to 8-membered cycloalkane rings). As preferred crosslinked-ring hydrocarbon groups, there can be mentioned a norbornyl group and an adamantyl group.
A substituent may further be introduced in each of these groups. As a preferred substituent, there can be mentioned a halogen atom, an alkyl group or the like. As a preferred halogen atom, there can be mentioned a bromine atom, a chlorine atom or a fluorine atom. As a preferred alkyl group, there can be mentioned a methyl, an ethyl, a butyl or a t-butyl group. Still further, a substituent may be introduced in this alkyl group. As the substituent that may still further be introduced, there can be mentioned a halogen atom or an alkyl group.
Particular examples of the repeating units each containing a nonpolar group are shown below, which in no way limit the scope of the present invention. In the formulae, Ra represents a hydrogen atom, a hydroxyl group, a halogen atom or an optionally substituted alkyl group having 1 to 4 carbon atoms. As preferred substituents that may be introduced in the alkyl group represented by Ra, there can be mentioned a hydroxyl group and a halogen atom. As the halogen atom represented by Ra, there can be mentioned a fluorine atom, a chlorine atom, a bromine atom or an iodine atom. Ra is preferably a hydrogen atom, a methyl group, a hydroxymethyl group or a trifluoromethyl group. A hydrogen atom and a methyl group are especially preferred.
(a4) Repeating Unit Containing a Lactone Structure
The resin (A) may have a repeating unit containing a lactone structure.
Any lactone groups can be employed as long as a lactone structure is possessed therein. However, lactone structures of a 5 to 7-membered ring are preferred, and in particular, those resulting from condensation of lactone structures of a 5 to 7-membered ring with other cyclic structures effected in a fashion to form a bicyclo structure or spiro structure are preferred. The possession of repeating units having a lactone structure represented by any of the following general formulae (LC1-1) to (LC1-17) is more preferred. The lactone structures may be directly bonded to the principal chain of the resin. Preferred lactone structures are those of formulae (LC1-1), (LC1-4), (LC1-5), (LC1-6), (LC1-13), (LC1-14) and (LC1-17). The use of these specified lactone structures would ensure improvement in the LWR and development defect.
The presence of a substituent (Rb2) on the portion of the lactone structure is optional. As a preferred substituent (Rb2), there can be mentioned an alkyl group having 1 to 8 carbon atoms, a cycloalkyl group having 4 to 7 carbon atoms, an alkoxy group having 1 to 8 carbon atoms, an alkoxycarbonyl group having 1 to 8 carbon atoms, a carboxyl group, a halogen atom, a hydroxyl group, a cyano group, an acid-decomposable group or the like. Of these, an alkyl group having 1 to 4 carbon atoms, a cyano group and an acid-decomposable group are more preferred. In the formulae, n2 is an integer of 0 to 4. When n2 is 2 or greater, the plurality of present substituents (Rb2) may be identical to or different from each other. Further, the plurality of present substituents (Rb2) may be bonded to each other to thereby form a ring.
The repeating unit having a lactone group is generally present in the form of optical isomers. Any of the optical isomers may be used. It is both appropriate to use a single type of optical isomer alone and to use a plurality of optical isomers in the form of a mixture. When a single type of optical isomer is mainly used, the optical purity (ee) thereof is preferably 90% or higher, more preferably 95% or higher.
As the repeating unit having a lactone structure, it is preferred for the resin (A) to contain any of the repeating units represented by general formula (III) below.
In formula (III),
A represents an ester bond (—COO—) or an amido bond (—CONH—).
Ro, each independently in the presence of two or more groups, represents an alkylene group, a cycloalkylene group or a combination thereof.
Z, each independently in the presence of two or more groups, represents an ether bond, an ester bond, an amido bond, a urethane bond
(a group represented by
or a urea bond
(a group represented by
Each of Rs independently represents a hydrogen atom, an alkyl group, cycloalkyl group or an aryl group.
R8 represents a monovalent organic group with a lactone structure.
n represents the number of repetitions of the structure of the formula —R0—Z— and is an integer of 1 to 5. n preferably represents 0 or 1.
R7 represents a hydrogen atom, a halogen atom or an optionally substituted alkyl group.
Each of the alkylene group and cycloalkylene group represented by R0 may have a substituent.
Z preferably represents an ether bond or an ester bond, most preferably an ester bond.
The alkyl group represented by R7 is preferably an alkyl group having 1 to 4 carbon atoms, more preferably a methyl group or an ethyl group and most preferably a methyl group. As the substituent of the alkyl group, there can be mentioned, for example, a hydroxyl group, a halogen atom and the like.
Each of the alkylene group and cycloalkylene group represented by R0 and the alkylene group represented by R7 may have a substituent. As the substituent, there can be mentioned, for example, a halogen atom such as a fluorine atom, a chlorine atom or a bromine atom, a mercapto group, a hydroxyl group, an alkoxy group such as a methoxy group, an ethoxy group, an isopropoxy group, a t-butoxy group or a benzyloxy group, an acyloxy group such as an acetyloxy group or a propionyloxy group and the like.
R7 preferably represents a hydrogen atom, a methyl group, a trifluoromethyl group or a hydroxymethyl group.
The alkylene group represented by R0 is preferably a chain alkylene group having 1 to 10 carbon atoms, more preferably 1 to 5 carbon atoms, for example, a methylene group, an ethylene group, a propylene group or the like. The cycloalkylene group is preferably a cycloalkylene group having 3 to 20 carbon atoms. As such, there can be mentioned, for example, cyclohexylene, cyclopentylene, norbornylene, adamantylene or the like. The chain alkylene groups are preferred from the viewpoint of the exertion of the effect of the present invention. A methylene group is most preferred.
The monovalent organic group with a lactone structure represented by R8 is not limited as long as the lactone structure is contained. As particular examples thereof, there can be mentioned the lactone structures of the above general formulae (LC1-1) to (LC1-17). Of these, the structures of general formula (LC1-4) are most preferred. In general formulae (LC1-1) to (LC1-17), n2 is more preferably 2 or less.
R8 preferably represents a monovalent organic group with an unsubstituted lactone structure or a monovalent organic group with a lactone structure substituted with a methyl group, a cyano group or an alkoxycarbonyl group. More preferably, R8 represents a monovalent organic group with a lactone structure substituted with a cyano group (cyanolactone).
Specific examples of the repeating units having a lactone structure will be shown below, which however in no way limit the scope of the present invention.
In the following specific examples, Rx represents H, CH3, CH2OH or CF3.
The repeating units having an especially preferred lactone structure will be shown below. An improvement in pattern profile and iso-dense bias can be attained by selection of the most appropriate lactone structure.
In the following formulae, Rx represents H, CH3, CH2OH or CF3.
In the following specific examples, R represents a hydrogen atom, an optionally substituted alkyl group or a halogen atom. Preferably, R represents a hydrogen atom, a methyl group, a hydroxymethyl group or a trifluoromethyl group.
Two or more types of lactone repeating units can be simultaneously employed in order to enhance the effects of the present invention.
Resin (A) may have, in addition to the foregoing repeating structural units, various repeating structural units for the purpose of regulating the dry etching resistance, standard developer adaptability, substrate adhesion, resist profile and generally required properties of the resist such as resolving power, heat resistance and sensitivity.
The resin (A) may be a resin composed of a mixture of two or more different resins. For example, a resin composed of a mixture of a resin comprising a repeating unit (a2) and a resin comprising a repeating unit (a3) can be used in order to regulate the dry etching resistance, standard developer adaptability, adherence to substrates, resist profile and generally required properties for the resist, such as resolving power, heat resistance, sensitivity and the like.
Also, preferred use is made of a resin composed of a mixture of a resin comprising a repeating unit (a1) and a resin in which no repeating unit (a1) is contained.
When the composition of the present invention is used in ArF exposure, it is preferred for the resin (A) contained in the composition of the present invention to contain substantially no aromatic group (in particular, the ratio of the repeating unit containing an aromatic group in the resin is preferably up to 5 mol %, more preferably up to 3 mol % and ideally 0 mol %, namely containing no aromatic group) from the viewpoint of transparency to ArF light. It is preferred for the resin (A) to have an alicyclic hydrocarbon structure of a single ring or multiple rings.
Further, it is preferred for the resin (A) to contain neither a fluorine atom nor a silicon atom from the viewpoint of the compatibility with hydrophobic resins to be described hereinafter.
In the present invention, the contents of individual repeating units are as follows. A plurality of different repeating units may be contained. When a plurality of different repeating units are contained, the following content refers to the total amount thereof.
The content of repeating unit (a1) containing an acid-decomposable group, based on all the repeating units constructing the resin (A), is preferably in the range of 20 to 70 mol %, more preferably 30 to 60 mol %.
When the resin (A) contains a repeating unit (a2) containing an alcoholic hydroxyl group, the content thereof based on all the repeating units constructing the resin (A) is generally in the range of 10 to 80 mol %, preferably 10 to 60 mol %.
When the resin (A) contains a repeating unit (a3) containing a nonpolar group, the content thereof based on all the repeating units constructing the resin (A) is generally in the range of 20 to 80 mol %, preferably 30 to 60 mol %.
When the resin (A) contains a repeating unit (a4) containing a lactone, the content thereof based on all the repeating units of the resin (A) is preferably in the range of 15 to 60 mol %, more preferably 20 to 50 mol % and further more preferably 30 to 50 mol %.
The molar ratio of individual repeating units contained in the resin (A) can be appropriately set for regulating the resist resistance to dry etching, developer adaptability, adherence to substrates, resist profile, generally required properties for resists, such as resolving power, heat resistance and sensitivity, and the like.
Resin (A) can be synthesized by conventional techniques (for example, radical polymerization). As general synthetic methods, there can be mentioned, for example, a batch polymerization method in which a monomer species and an initiator are dissolved in a solvent and heated so as to accomplish polymerization and a dropping polymerization method in which a solution of monomer species and initiator is added by dropping to a heated solvent over a period of 1 to 10 hours. The dropping polymerization method is preferred. As for detailed synthesis/purification methods, reference can be made to the methods described above with respect to the main resins of the resist, the description of Chapter 2 “Polymer Synthesis” of “5-th Edition Experimental Chemistry Course 26 Polymer Chemistry” issued by Maruzen Co., Ltd., etc.
The weight average molecular weight of resin (A) in terms of polystyrene molecular weight as measured by GPC is preferably in the range of 1000 to 200,000, more preferably 2000 to 20,000, still more preferably 3000 to 15,000 and further preferably 5000 to 13,000. The regulation of the weight average molecular weight to 1000 to 200,000 would prevent deteriorations of heat resistance and dry etching resistance and also prevent deterioration of developability and increase of viscosity leading to poor film forming property.
Use is made of the resin whose dispersity (molecular weight distribution) is generally in the range of 1 to 3, preferably 1 to 2.6, more preferably 1 to 2 and most preferably 1.4 to 1.7. The lower the molecular weight distribution, the more excellent the resolving power and resist profile and the smoother the side wall of the resist pattern to thereby attain an excellence in roughness.
In the present invention, the content ratio of resin (A) based on the total solid content of the whole composition is preferably in the range of 65 to 97 mass %, more preferably 75 to 95 mass %.
In the present invention, the resins (A) may be used either individually or in combination.
[4-2] Compound (B) that when Exposed to Actinic Rays or Radiation, Generates an Acid.
The composition of the present invention contains a compound that when exposed to actinic rays or radiation, generates an acid (hereinafter referred to as an “acid generator”).
As the acid generator, use can be made of a member appropriately selected from among a photoinitiator for photocationic polymerization, a photoinitiator for photoradical polymerization, a photo-achromatic agent and photo-discoloring agent for dyes, any of generally known compounds that when exposed to actinic rays or radiation, generate an acid, employed in microresists, etc., and mixtures thereof.
For example, as the acid generator, there can be mentioned a diazonium salt, a phosphonium salt, a sulfonium salt, an iodonium salt, an imide sulfonate, an oxime sulfonate, diazosulfone, disulfone or o-nitrobenzyl sulfonate.
As preferred compounds among the acid generators, there can be mentioned those of general formulae (ZI), (ZII) and (ZIII), below.
In general formula (ZI), each of R201, R202 and R203 independently represents an organic group. The number of carbon atoms of the organic group represented by R201, R202 and R203 is generally in the range of 1 to 30, preferably 1 to 20. Two of R201 to R203 may be bonded with each other to thereby form a ring structure, and the ring within the same may contain an oxygen atom, a sulfur atom, an ester bond, an amido bond or a carbonyl group. As the group formed by bonding of two of R201 to R203, there can be mentioned an alkylene group (for example, a butylene group or a pentylene group). Z− represents a nonnucleophilic anion.
As the nonnucleophilic anion represented by Z−, there can be mentioned, for example, a sulfonate anion, a carboxylate anion, a sulfonylimido anion, a bis(alkylsulfonyl)imido anion, a tris(alkylsulfonyl)methide anion or the like.
The nonnucleophilic anion means an anion whose capability of inducing a nucleophilic reaction is extremely low and is an anion capable of inhibiting any temporal decomposition by intramolecular nucleophilic reaction. This would realize an enhancement of the temporal stability of the actinic-ray- or radiation-sensitive resin composition.
As the sulfonate anion, there can be mentioned, for example, an aliphatic sulfonate anion, an aromatic sulfonate anion, a camphor sulfonate anion or the like.
As the carboxylate anion, there can be mentioned, for example, an aliphatic carboxylate anion, an aromatic carboxylate anion, an aralkyl carboxylate anion or the like.
The aliphatic moiety of the aliphatic sulfonate anion may be an alkyl group or a cycloalkyl group, being preferably an alkyl group having 1 to 30 carbon atoms or a cycloalkyl group having 3 to 30 carbon atoms.
As a preferred aromatic group of the aromatic sulfonate anion, there can be mentioned an aryl group having 6 to 14 carbon atoms, for example, a phenyl group, a tolyl group, a naphthyl group or the like.
The alkyl group, cycloalkyl group and aryl group of the aliphatic sulfonate anion and aromatic sulfonate anion may have a substituent.
Anions capable of producing arylsulfonic acids of formula (BI) below are preferably used as the aromatic sulfonate anion.
In formula (BI),
Ar represents an aromatic ring, in which a substituent other than the sulfonic acid group and A-group may further be introduced.
In the formula, p is an integer of 0 or greater.
A represents a group comprising a hydrocarbon group.
When p is 2 or greater, a plurality of A-groups may be identical to or different from each other.
Formula (BI) will be described in greater detail below.
The aromatic ring represented by Ar is preferably an aromatic ring having 6 to 30 carbon atoms. In particular, the aromatic ring is preferably a benzene ring, a naphthalene ring or an anthracene ring. A benzene ring is more preferred.
As the substituent other than the sulfonic acid group and A-group that can further be introduced in the aromatic ring, there can be mentioned a halogen atom (a fluorine atom, a chlorine atom, a bromine atom, an iodine atom or the like), a hydroxyl group, a cyano group, a nitro group, a carboxyl group or the like. When two or more substituents are introduced, at least two thereof may be bonded to each other to thereby form a ring.
As the hydrocarbon group of the group comprising a hydrocarbon group represented by A, there can be mentioned a noncyclic hydrocarbon group or a cycloaliphatic group. This hydrocarbon group preferably has 3 or more carbon atoms.
With respect to the A-group, it is preferred for the carbon atom adjacent to Ar to be a tertiary or quaternary carbon atom.
As the noncyclic hydrocarbon group represented by A, there can be mentioned an isopropyl group, a t-butyl group, a t-pentyl group, a neopentyl group, a s-butyl group, an isobutyl group, an isohexyl group, a 3,3-dimethylpentyl group, a 2-ethylhexyl group or the like. With respect to the upper limit of the number of carbon atoms of the noncyclic hydrocarbon group, the number is preferably 12 or less, more preferably 10 or less.
As the cycloaliphatic group represented by A, there can be mentioned a cycloalkyl group such as a cyclobutyl group, a cyclopentyl group, a cyclohexyl group, a cycloheptyl group or a cyclooctyl group, an adamantyl group, a norbornyl group, a bornyl group, a camphenyl group, a decahydronaphthyl group, a tricyclodecanyl group, a tetracyclodecanyl group, a camphoroyl group, a dicyclohexyl group, a pinenyl group or the like. The cycloaliphatic group may have a substituent. With respect to the upper limit of the number of carbon atoms of the cycloaliphatic group, the number is preferably 15 or less, more preferably 12 or less.
As a substituent that may be introduced in the noncyclic hydrocarbon group or cycloaliphatic group, there can be mentioned, for example, a halogen group such as a fluorine atom, a chlorine atom, a bromine atom or an iodine atom, an alkoxy group such as a methoxy group, an ethoxy group or a tert-butoxy group, an aryloxy group such as a phenoxy group or a p-tolyloxy group, an alkylthioxy group such as a methylthioxy group, an ethylthioxy group or a tert-butylthioxy group, an arylthioxy group such as a phenylthioxy group or a p-tolylthioxy group, an alkoxycarbonyl group such as a methoxycarbonyl group or a butoxycarbonyl group, a phenoxycarbonyl group, an acetoxy group, a linear or branched alkyl group such as a methyl group, an ethyl group, a propyl group, a butyl group, a heptyl group, a hexyl group, a dodecyl group or a 2-ethylhexyl group, a cycloalkyl group such as a cyclohexyl group, an alkenyl group such as a vinyl group, a propenyl group or a hexenyl group, an alkynyl group such as an acetylene group, a propynyl group or a hexynyl group, an aryl group such as a phenyl group or a tolyl group, a hydroxyl group, a carboxyl group, a sulfonate group, a carbonyl group, a cyano group or the like.
As particular examples of the groups each comprising a cycloaliphatic group or a noncyclic hydrocarbon group represented by A, the following structures are preferred from the viewpoint of inhibiting any acid diffusion.
In the formula, p is an integer of 0 or greater. There is no particular upper limit as long as the number is chemically feasible. From the viewpoint of inhibiting any acid diffusion, p is generally in the range of 0 to 5, preferably 1 to 4, more preferably 2 or 3 and most preferably 3.
Further, from the viewpoint of inhibiting any acid diffusion, the substitution with A-group preferably occurs at least one o-position to the sulfonic acid group, more preferably at two o-positions to the sulfonic acid group.
The acid generator (B) according to the present invention in its one form is a compound that generates any of acids of general formula (BII) below.
In the formula, A is as defined above in connection with general formula (BI). Two A's may be identical to or different from each other. Each of R1 to R3 independently represents a hydrogen atom, a group comprising a hydrocarbon group, a halogen atom, a hydroxyl group, a cyano group or a nitro group. As particular examples of the groups each comprising a hydrocarbon group, there can be mentioned the same groups as set forth above by way of example.
Further, as preferred sulfonate anions, there can be mentioned the anions that generate the acids of general formula (I) below.
In the formula, each of Xfs independently represents a fluorine atom or an alkyl group substituted with at least one fluorine atom. Each of R1 and R2 independently represents a member selected from among a hydrogen atom, a fluorine atom and an alkyl group. When two or more R1s or R2s are contained, the two or more may be identical to or different from each other. L represents a bivalent connecting group. When two or more Ls are contained, they may be identical to or different from each other. A represents an organic group with a cyclic structure. In the formula, x is an integer of 1 to 20, y an integer of 0 to 10 and z an integer of 0 to 10.
General formula (I) will be described in greater detail below.
The alkyl group of the alkyl group substituted with a fluorine atom, represented by Xf preferably has 1 to 10 carbon atoms, more preferably 1 to 4 carbon atoms. The alkyl group substituted with a fluorine atom, represented by Xf is preferably a perfluoroalkyl group.
Xf is preferably a fluorine atom or CF3. It is especially preferred that both Xfs are fluorine atoms.
Each of the alkyl group represented by each of R1 and R2 may have a substituent (preferably a fluorine atom), and preferably has 1 to 4 carbon atoms.
Each of R1 and R2 is preferably a fluorine atom or CF3.
In the formula, y is preferably 0 to 4, more preferably 0; x is preferably 1 to 8, more preferably 1 to 4; and z is preferably 0 to 8, more preferably 0 to 4. The bivalent connecting group represented by L is not particularly limited. As the same, there can be mentioned, for example, any one or a combination of two or more groups selected from the group consisting of —COO—, —OCO—, —CO—, —O—, —S—, —SO—, —SO2—, an alkylene group, a cycloalkylene group and an alkenylene group. The sum of carbon atoms of the bivalent connecting group represented by L is preferably 12 or less. Of these, —COO—, —OCO—, —CO—, —O— and —SO2— are preferred. —COO—, —OCO— and —SO2— are more preferred.
The organic group with a cyclic structure represented by A is not particularly limited. As the group, there can be mentioned an alicyclic group, an aryl group, a heterocyclic group (including not only those exhibiting aromaticity but also those exhibiting no aromaticity) or the like.
The alicyclic group may be monocyclic or polycyclic. Preferably, the alicyclic group is a cycloalkyl group of a single ring, such as a cyclopentyl group, a cyclohexyl group or a cyclooctyl group, or a cycloalkyl group of multiple rings, such as a norbornyl group, a tricyclodecanyl group, a tetracyclodecanyl group, a tetracyclododecanyl group or an adamantyl group. Of the mentioned groups, alicyclic groups with a bulky structure having at least 7 carbon atoms, namely, a norbornyl group, a tricyclodecanyl group, a tetracyclodecanyl group, a tetracyclododecanyl group and an adamantyl group are preferred from the viewpoint of inhibiting any in-film diffusion in the step of post-exposure bake (PEB) to thereby enhance Mask Error Enhancement Factor (MEEF).
As the aryl group, there can be mentioned a benzene ring, a naphthalene ring, a phenanthrene ring or an anthracene ring. Naphthalene exhibiting a low absorbance is especially preferred from the viewpoint of the absorbance at 193 nm.
As the heterocyclic groups, there can be mentioned those derived from a furan ring, a thiophene ring, a benzofuran ring, a benzothiophene ring, a dibenzofuran ring, a dibenzothiophene ring, a pyridine ring and a piperidine ring. Of these, the groups derived from a furan ring, a thiophene ring, a pyridine ring and a piperidine ring are preferred.
As the cyclic organic groups, there can also be mentioned lactone structures. As particular examples thereof, there can be mentioned the above lactone structures of general formulae (LC1-1) to (LC1-17) that may be incorporated in the resin (A).
A substituent may be introduced in each of the above cyclic organic groups. As the substituent, there can be mentioned an alkyl group (may be linear or branched, preferably having 1 to 12 carbon atoms), a cycloalkyl group (may be in the form of any of a monocycle, a polycycle and a spiro ring, preferably having 3 to 20 carbon atoms), an aryl group (preferably having 6 to 14 carbon atoms), a hydroxyl group, an alkoxy group, an ester group, an amido group, a urethane group, a ureido group, a thioether group, a sulfonamido group, a sulfonic ester group or the like. The carbon as a constituent of any of the cyclic organic groups (carbon contributing to the formation of a ring) may be a carbonyl carbon.
As the aliphatic moiety of the aliphatic carboxylate anion, there can be mentioned the same alkyl groups and cycloalkyl groups as mentioned with respect to the aliphatic sulfonate anion.
As the aromatic group of the aromatic carboxylate anion, there can be mentioned the same aryl groups as mentioned with respect to the aromatic sulfonate anion.
As a preferred aralkyl group of the aralkyl carboxylate anion, there can be mentioned an aralkyl group having 7 to 12 carbon atoms, for example, a benzyl group, a phenethyl group, a naphthylmethyl group, a naphthylethyl group, a naphthylbutyl group or the like.
The alkyl group, cycloalkyl group, aryl group and aralkyl group of the aliphatic carboxylate anion, aromatic carboxylate anion and aralkyl carboxylate anion may have a substituent. As the substituent of the alkyl group, cycloalkyl group, aryl group and aralkyl group of the aliphatic carboxylate anion, aromatic carboxylate anion and aralkyl carboxylate anion, there can be mentioned, for example, the same halogen atom, alkyl group, cycloalkyl group, alkoxy group, alkylthio group, etc. as mentioned with respect to the aromatic sulfonate anion.
As the sulfonylimido anion, there can be mentioned, for example, a saccharin anion.
The alkyl group of the bis(alkylsulfonyl)imido anion and tris(alkylsulfonyl)methide anion is preferably an alkyl group having 1 to 5 carbon atoms. As such, there can be mentioned, for example, a methyl group, an ethyl group, a propyl group, an isopropyl group, an n-butyl group, an isobutyl group, a sec-butyl group, a pentyl group, a neopentyl group or the like. As a substituent of these alkyl groups, there can be mentioned a halogen atom, an alkyl group substituted with a halogen atom, an alkoxy group, an alkylthio group, an alkyloxysulfonyl group, an aryloxysulfonyl group, a cycloalkylaryloxysulfonyl group or the like. An alkyl group substituted with a fluorine atom is preferred.
The two alkyl groups contained in the bis(alkylsulfonyl)imide anion may be identical to or different from each other. Similarly, the multiple alkyl groups contained in the tris(alkylsulfonyl)methide anion may be identical to or different from each other.
In particular, as the bis(alkylsulfonyl)imide anion and tris(alkylsulfonyl)methide anion, there can be mentioned the anions of general formulae (A3) and (A4) below.
In general formulae (A3) and (A4),
Y represents an alkylene group substituted with at least one fluorine atom, preferably having 2 to 4 carbon atoms. An oxygen atom may be contained in the alkylene chain. More preferably, Y is a perfluoroalkylene group having 2 to 4 carbon atoms. Most preferably, Y is a tetrafluoroethylene group, a hexafluoropropylene group or an octafluorobutylene group.
In formula (A4), R represents an alkyl group or a cycloalkyl group. An oxygen atom may be contained in the alkylene chain of the alkyl group or cycloalkyl group.
As the compounds containing the anions of general formulae (A3) and (A4), there can be mentioned, for example, particular examples set forth in JP-A-2005-221721.
As the other nonnucleophilic anions, there can be mentioned, for example, phosphorus fluoride, boron fluoride, antimony fluoride and the like.
As the organic groups represented by R201, R202 and R203 of general formula (ZI), there can be mentioned, for example, groups corresponding to the following compounds (ZI-1), (ZI-2), (ZI-3) and (ZI-4).
Appropriate use may be made of compounds with two or more of the structures of general formula (ZI). For example, use may be made of compounds having a structure wherein at least one of R201 to R203 of a compound of general formula (ZI) is bonded with at least one of R201 to R203 of another compound of general formula (ZI).
As more preferred (ZI) components, there can be mentioned the following compounds (ZI-1), (ZI-2), (ZI-3) and (ZI-4).
The compounds (ZI-1) are arylsulfonium compounds of general formula (ZI) wherein at least one of R201 to R203 is an aryl group, namely, compounds containing an arylsulfonium as a cation.
In the arylsulfonium compounds, all of the R201 to R203 may be aryl groups. It is also appropriate that the R201 to R203 are partially an aryl group and the remainder is an alkyl group or a cycloalkyl group.
As the arylsulfonium compounds, there can be mentioned, for example, a triarylsulfonium compound, a diarylalkylsulfonium compound, an aryldialkylsulfonium compound, a diarylcycloalkylsulfonium compound and an aryldicycloalkylsulfonium compound.
The aryl group of the arylsulfonium compounds is preferably a phenyl group or a naphthyl group, more preferably a phenyl group. The aryl group may be one having a heterocyclic structure containing an oxygen atom, nitrogen atom, sulfur atom or the like. As the aryl group having a heterocyclic structure, there can be mentioned, for example, a pyrrole residue, a furan residue, a thiophene residue, an indole residue, a benzofuran residue, a benzothiophene residue or the like. When the arylsulfonium compound has two or more aryl groups, the two or more aryl groups may be identical to or different from each other.
The alkyl group or cycloalkyl group contained in the arylsulfonium compound according to necessity is preferably a linear or branched alkyl group having 1 to 15 carbon atoms or a cycloalkyl group having 3 to 15 carbon atoms. As such, there can be mentioned, for example, a methyl group, an ethyl group, a propyl group, an n-butyl group, a sec-butyl group, a t-butyl group, a cyclopropyl group, a cyclobutyl group, a cyclohexyl group or the like.
The aryl group, alkyl group or cycloalkyl group represented by R201 to R203 may have as its substituent an alkyl group (for example, 1 to 15 carbon atoms), a cycloalkyl group (for example, 3 to 15 carbon atoms), an aryl group (for example, 6 to 14 carbon atoms), an alkoxy group (for example, 1 to 15 carbon atoms), a halogen atom, a hydroxyl group or a phenylthio group. Preferred substituents are a linear or branched alkyl group having 1 to 12 carbon atoms, a cycloalkyl group having 3 to 12 carbon atoms and a linear, branched or cyclic alkoxy group having 1 to 12 carbon atoms. More preferred substituents are an alkyl group having 1 to 4 carbon atoms and an alkoxy group having 1 to 4 carbon atoms. The substituents may be contained in any one of the three R201 to R203, or alternatively may be contained in all three of R201 to R203. When R201 to R203 represent an aryl group, the substituent preferably lies at the p-position of the aryl group.
Now, the compounds (ZI-2) will be described.
The compounds (ZI-2) are compounds of formula (ZI) wherein each of R201 to R203 independently represents an organic group having no aromatic ring. The aromatic rings include an aromatic ring having a heteroatom.
The organic group having no aromatic ring represented by R201 to R203 generally has 1 to 30 carbon atoms, preferably 1 to 20 carbon atoms.
Preferably, each of R201 to R203 independently represents an alkyl group, a cycloalkyl group, an allyl group or a vinyl group. More preferred groups are a linear or branched 2-oxoalkyl group, a 2-oxocycloalkyl group and an alkoxycarbonylmethyl group. Especially preferred is a linear or branched 2-oxoalkyl group.
As preferred alkyl groups and cycloalkyl groups represented by R201 to R203, there can be mentioned a linear or branched alkyl group having 1 to 10 carbon atoms and a cycloalkyl group having 3 to 10 carbon atoms. As more preferred alkyl groups, there can be mentioned a 2-oxoalkyl group and an alkoxycarbonylmethyl group. As more preferred cycloalkyl group, there can be mentioned a 2-oxocycloalkyl group.
The 2-oxoalkyl group may be linear or branched. A group having >C═O at the 2-position of the alkyl group is preferred.
The 2-oxocycloalkyl group is preferably a group having >C═O at the 2-position of the cycloalkyl group.
As preferred alkoxy groups of the alkoxycarbonylmethyl group, there can be mentioned alkoxy groups having 1 to 5 carbon atoms.
The R201 to R203 may be further substituted with a halogen atom, an alkoxy group (for example, 1 to 5 carbon atoms), a hydroxyl group, a cyano group or a nitro group.
The compounds (ZI-3) are those represented by the following general formula (ZI-3) which have a phenacylsulfonium salt structure.
In general formula (ZI-3),
each of R1c to R5c independently represents a hydrogen atom, an alkyl group, a cycloalkyl group, an alkoxy group, a halogen atom or a phenylthio group.
Each of R6c and R7c independently represents a hydrogen atom, an alkyl group, a cycloalkyl group, halogen atom, a cyano group or an aryl group.
Each of Rx and Ry independently represents an alkyl group, a cycloalkyl group, a 2-oxoalkyl group, a 2-oxocycloalkyl group, an alkoxycarbonylalkyl group, an allyl group or a vinyl group.
Any two or more of R1c to R5c, and R6c and R7c, and Rx and Ry may be bonded with each other to thereby form a ring structure. This ring structure may contain an oxygen atom, a sulfur atom, an ester bond or an amido bond. As the group formed by bonding of any two or more of R1c to R5c, and R6c and R7c, and Rx and Ry, there can be mentioned a butylene group, a pentylene group or the like.
Zc− represents a nonnucleophilic anion. There can be mentioned the same nonnucleophilic anions as mentioned with respect to the Z− of the general formula (ZI).
The alkyl group represented by R1c to R7c may be linear or branched. As such, there can be mentioned, for example, an alkyl group having 1 to 20 carbon atoms, preferably a linear or branched alkyl group having 1 to 12 carbon atoms (for example, a methyl group, an ethyl group, a linear or branched propyl group, a linear or branched butyl group or a linear or branched pentyl group). As the cycloalkyl group, there can be mentioned, for example, a cycloalkyl group having 3 to 8 carbon atoms (for example, a cyclopentyl group or a cyclohexyl group).
The alkoxy group represented by R1c to R5c may be linear, or branched, or cyclic. As such, there can be mentioned, for example, an alkoxy group having 1 to 10 carbon atoms, preferably a linear or branched alkoxy group having 1 to 5 carbon atoms (for example, a methoxy group, an ethoxy group, a linear or branched propoxy group, a linear or branched butoxy group or a linear or branched pentoxy group) and a cycloalkoxy group having 3 to 8 carbon atoms (for example, a cyclopentyloxy group or a cyclohexyloxy group).
Preferably, any one of R1c to R5c is a linear or branched alkyl group, a cycloalkyl group or a linear, branched or cyclic alkoxy group. More preferably, the sum of carbon atoms of R1c to R5c is in the range of 2 to 15. Accordingly, there can be attained an enhancement of solvent solubility and inhibition of particle generation during storage.
Each of the aryl groups represented by R6c and R7c preferably has 5 to 15 carbon atoms. As such, there can be mentioned, for example, a phenyl group or a naphthyl group.
When R6c and R7c are bonded to each other to thereby form a ring, the group formed by the bonding of R6c and R7c is preferably an alkylene group having 2 to 10 carbon atoms. As such, there can be mentioned, for example, an ethylene group, a propylene group, a butylene group, a pentylene group, a hexylene group or the like. Further, the ring formed by the bonding of R6c and R7c may have a heteroatom, such as an oxygen atom, in the ring.
As the alkyl groups and cycloalkyl groups represented by Rx and Ry, there can be mentioned the same alkyl groups and cycloalkyl groups as set forth above with respect to R1c to R7c.
As the 2-oxoalkyl group and 2-oxocycloalkyl group, there can be mentioned the alkyl group and cycloalkyl group represented by R1c to R7c having >C═O at the 2-position thereof.
With respect to the alkoxy group of the alkoxycarbonylalkyl group, there can be mentioned the same alkoxy groups as mentioned above with respect to R1c to R5c. As the alkyl group thereof, there can be mentioned, for example, an alkyl group having 1 to 12 carbon atoms, preferably a linear alkyl group having 1 to 5 carbon atoms (e.g., a methyl group or an ethyl group).
The allyl groups are not particularly limited. However, preferred use is made of an unsubstituted allyl group or an allyl group substituted with a cycloalkyl group of a single ring or multiple rings.
The vinyl groups are not particularly limited. However, preferred use is made of an unsubstituted vinyl group or a vinyl group substituted with a cycloalkyl group of a single ring or multiple rings.
As the ring structure that may be formed by the mutual bonding of Rx and Ry, there can be mentioned a 5-membered or 6-membered ring, especially preferably a 5-membered ring (namely, a tetrahydrothiophene ring), formed by bivalent Rx and Ry (for example, a methylene group, an ethylene group, a propylene group or the like) in cooperation with the sulfur atom of general formula (ZI-3).
Each of Rx and Ry is preferably an alkyl group or cycloalkyl group having preferably 4 or more carbon atoms. The alkyl group or cycloalkyl group has more preferably 6 or more carbon atoms and still more preferably 8 or more carbon atoms.
Specific examples of the cations of the compounds (ZI-3) will be shown below.
The compounds (ZI-4) are those of general formula (ZI-4) below.
In general formula (ZI-4),
R13 represents any of a hydrogen atom, a fluorine atom, a hydroxyl group, an alkyl group, a cycloalkyl group, an alkoxy group, an alkoxycarbonyl group and a group with a cycloalkyl skeleton of a single ring or multiple rings. These groups may have substituents.
R14, each independently in the instance of R14s, represents any of an alkyl group, a cycloalkyl group, an alkoxy group, an alkoxycarbonyl group, an alkylcarbonyl group, an alkylsulfonyl group, a cycloalkylsulfonyl group and a group with a cycloalkyl skeleton of a single ring or multiple rings. These groups may have substituents.
Each of R15s independently represents an alkyl group, a cycloalkyl group or a naphthyl group, provided that the two R15s may be bonded to each other to thereby form a ring. These groups may have substituents.
In the formula, 1 is an integer of 0 to 2, and
r is an integer of 0 to 8.
Z− represents a nonnucleophilic anion. As such, there can be mentioned any of the same nonnucleophilic anions as mentioned with respect to the Z− of the general formula (ZI).
In general formula (ZI-4), the alkyl groups represented by R13, R14 and R15 may be linear or branched and preferably each have 1 to 10 carbon atoms. As such, there can be mentioned a methyl group, an ethyl group, an n-propyl group, an i-propyl group, an n-butyl group, a 2-methylpropyl group, a 1-methylpropyl group, a t-butyl group, an n-pentyl group, a neopentyl group, an n-hexyl group, an n-heptyl group, an n-octyl group, a 2-ethylhexyl group, an n-nonyl group, an n-decyl group and the like. Of these alkyl groups, a methyl group, an ethyl group, an n-butyl group, a t-butyl group and the like are preferred.
The cycloalkyl groups represented by R13, R14 and R15 include a cycloalkylene group. As the cycloalkyl groups, there can be mentioned cyclopropyl, cyclobutyl, cyclopentyl, cyclohexyl, cycloheptyl, cyclooctyl, cyclododecanyl, cyclopentenyl, cyclohexenyl, cyclooctadienyl, norbornyl, tricyclodecanyl, tetracyclodecanyl, adamantyl and the like. Cyclopropyl, cyclopentyl, cyclohexyl and cyclooctyl are especially preferred.
The alkoxy groups represented by R13 and R14 may be linear or branched and preferably each have 1 to 10 carbon atoms. As such, there can be mentioned, for example, a methoxy group, an ethoxy group, an n-propoxy group, an i-propoxy group, an n-butoxy group, a 2-methylpropoxy group, a 1-methylpropoxy group, a t-butoxy group, an n-pentyloxy group, a neopentyloxy group, an n-hexyloxy group, an n-heptyloxy group, an n-octyloxy group, a 2-ethylhexyloxy group, an n-nonyloxy group, an n-decyloxy group and the like. Of these alkoxy groups, a methoxy group, an ethoxy group, an n-propoxy group, an n-butoxy group and the like are preferred.
The alkoxycarbonyl group represented by R13 and R14 may be linear or branched and preferably has 2 to 11 carbon atoms. As such, there can be mentioned, for example, a methoxycarbonyl group, an ethoxycarbonyl group, an n-propoxycarbonyl group, an i-propoxycarbonyl group, an n-butoxycarbonyl group, a 2-methylpropoxycarbonyl group, a 1-methylpropoxycarbonyl group, a t-butoxycarbonyl group, an n-pentyloxycarbonyl group, a neopentyloxycarbonyl group, an n-hexyloxycarbonyl group, an n-heptyloxycarbonyl group, an n-octyloxycarbonyl group, a 2-ethylhexyloxycarbonyl group, an n-nonyloxycarbonyl group, an n-decyloxycarbonyl group and the like. Of these alkoxycarbonyl groups, a methoxycarbonyl group, an ethoxycarbonyl group, an n-butoxycarbonyl group and the like are preferred.
As the groups with a cycloalkyl skeleton of a single ring or multiple rings represented by R13 and R14, there can be mentioned, for example, a cycloalkyloxy group of a single ring or multiple rings and an alkoxy group with a cycloalkyl group of a single ring or multiple rings. These groups may further have substituents.
With respect to each of the cycloalkyloxy groups of a single ring or multiple rings represented by R13 and R14, the sum of carbon atoms thereof is preferably 7 or greater, more preferably in the range of 7 to 15. Further, having a cycloalkyl skeleton of a single ring is preferred. The cycloalkyloxy group of a single ring of which the sum of carbon atoms is 7 or greater is one composed of a cycloalkyloxy group, such as a cyclopropyloxy group, a cyclobutyloxy group, a cyclopentyloxy group, a cyclohexyloxy group, a cycloheptyloxy group, a cyclooctyloxy group or a cyclododecanyloxy group, optionally having a substituent selected from among an alkyl group such as methyl, ethyl, propyl, butyl, pentyl, hexyl, heptyl, octyl, dodecyl, 2-ethylhexyl, isopropyl, sec-butyl, t-butyl or isoamyl, a hydroxyl group, a halogen atom (fluorine, chlorine, bromine or iodine), a nitro group, a cyano group, an amido group, a sulfonamido group, an alkoxy group such as methoxy, ethoxy, hydroxyethoxy, propoxy, hydroxypropoxy or butoxy, an alkoxycarbonyl group such as methoxycarbonyl or ethoxycarbonyl, an acyl group such as formyl, acetyl or benzoyl, an acyloxy group such as acetoxy or butyryloxy, a carboxyl group and the like, provided that the sum of carbon atoms thereof, including those of any optional substituent introduced in the cycloalkyl group, is 7 or greater.
As the cycloalkyloxy group of multiple rings of which the sum of carbon atoms is 7 or greater, there can be mentioned a norbornyloxy group, tricyclodecanyloxy group, a tetracyclodecanyloxy group, an adamantyloxy group or the like.
With respect to each of the alkyloxy groups having a cycloalkyl skeleton of a single ring or multiple rings represented by R13 and R14, the sum of carbon atoms thereof is preferably 7 or greater, more preferably in the range of 7 to 15. Further, the alkoxy group having a cycloalkyl skeleton of a single ring is preferred. The alkoxy group having a cycloalkyl skeleton of a single ring of which the sum of carbon atoms is 7 or greater is one composed of an alkoxy group, such as methoxy, ethoxy, propoxy, butoxy, pentyloxy, hexyloxy, heptoxy, octyloxy, dodecyloxy, 2-ethylhexyloxy, isopropoxy, sec-butoxy, t-butoxy or isoamyloxy, substituted with the above optionally substituted cycloalkyl group of a single ring, provided that the sum of carbon atoms thereof, including those of the substituents, is 7 or greater. For example, there can be mentioned a cyclohexylmethoxy group, a cyclopentylethoxy group, a cyclohexylethoxy group or the like. A cyclohexylmethoxy group is preferred.
As the alkoxy group having a cycloalkyl skeleton of multiple rings of which the sum of carbon atoms is 7 or greater, there can be mentioned a norbornylmethoxy group, a norbornylethoxy group, a tricyclodecanylmethoxy group, a tricyclodecanylethoxy group, a tetracyclodecanylmethoxy group, a tetracyclodecanylethoxy group, an adamantylmethoxy group, an adamantylethoxy group and the like. Of these, a norbornylmethoxy group, a norbornylethoxy group and the like are preferred.
With respect to the alkyl group of the alkylcarbonyl group represented by R14, there can be mentioned the same specific examples as mentioned above with respect to the alkyl groups represented by R13 to R15.
The alkylsulfonyl and cycloalkylsulfonyl groups represented by R14 may be linear, branched or cyclic and preferably each have 1 to 10 carbon atoms. As such, there can be mentioned, for example, a methanesulfonyl group, an ethanesulfonyl group, an n-propanesulfonyl group, an n-butanesulfonyl group, a tert-butanesulfonyl group, an n-pentanesulfonyl group, a neopentanesulfonyl group, an n-hexanesulfonyl group, an n-heptanesulfonyl group, an n-octanesulfonyl group, a 2-ethylhexanesulfonyl group, an n-nonanesulfonyl group, an n-decanesulfonyl group, a cyclopentanesulfonyl group, a cyclohexanesulfonyl group and the like. Of these alkylsulfonyl and cycloalkylsulfonyl groups, a methanesulfonyl group, an ethanesulfonyl group, an n-propanesulfonyl group, an n-butanesulfonyl group, a cyclopentanesulfonyl group, a cyclohexanesulfonyl group and the like are preferred.
Each of the groups may have a substituent. As such a substituent, there can be mentioned, for example, a halogen atom (e.g., a fluorine atom), a hydroxyl group, a carboxyl group, a cyano group, a nitro group, an alkoxy group, an alkoxyalkyl group, an alkoxycarbonyl group, an alkoxycarbonyloxy group or the like.
As the alkoxy group, there can be mentioned, for example, a linear, branched or cyclic alkoxy group having 1 to 20 carbon atoms, such as a methoxy group, an ethoxy group, an n-propoxy group, an i-propoxy group, an n-butoxy group, a 2-methylpropoxy group, a 1-methylpropoxy group, a t-butoxy group, a cyclopentyloxy group or a cyclohexyloxy group.
As the alkoxyalkyl group, there can be mentioned, for example, a linear, branched or cyclic alkoxyalkyl group having 2 to 21 carbon atoms, such as a methoxymethyl group, an ethoxymethyl group, a 1-methoxyethyl group, a 2-methoxyethyl group, a 1-ethoxyethyl group or a 2-ethoxyethyl group.
As the alkoxycarbonyl group, there can be mentioned, for example, a linear, branched or cyclic alkoxycarbonyl group having 2 to 21 carbon atoms, such as a methoxycarbonyl group, an ethoxycarbonyl group, an n-propoxycarbonyl group, an i-propoxycarbonyl group, an n-butoxycarbonyl group, a 2-methylpropoxycarbonyl group, a 1-methylpropoxycarbonyl group, a t-butoxycarbonyl group, a cyclopentyloxycarbonyl group or a cyclohexyloxycarbonyl group.
As the alkoxycarbonyloxy group, there can be mentioned, for example, a linear, branched or cyclic alkoxycarbonyloxy group having 2 to 21 carbon atoms, such as a methoxycarbonyloxy group, an ethoxycarbonyloxy group, an n-propoxycarbonyloxy group, an i-propoxycarbonyloxy group, an n-butoxycarbonyloxy group, a t-butoxycarbonyloxy group, a cyclopentyloxycarbonyloxy group or a cyclohexyloxycarbonyloxy group.
The cyclic structure that may be formed by the bonding of the two R15s to each other is preferably a 5- or 6-membered ring, especially a 5-membered ring (namely, a tetrahydrothiophene ring) formed by two bivalent R15s in cooperation with the sulfur atom of general formula (ZI-4). The cyclic structure may condense with an aryl group or a cycloalkyl group. The bivalent R15s may have substituents. As such substituents, there can be mentioned, for example, a hydroxyl group, a carboxyl group, a cyano group, a nitro group, an alkoxy group, an alkoxyalkyl group, an alkoxycarbonyl group, an alkoxycarbonyloxy group and the like as mentioned above. It is especially preferred for the R15 of general formula (ZI-4) to be a methyl group, an ethyl group, the above-mentioned bivalent group allowing two R15s to be bonded to each other so as to form a tetrahydrothiophene ring structure in cooperation with the sulfur atom of the general formula (ZI-4), or the like.
Each of R13 and R14 may have a substituent. As such a substituent, there can be mentioned, for example, a hydroxyl group, an alkoxy group, an alkoxycarbonyl group, a halogen atom (especially, fluorine atom) or the like.
In the formula, 1 is preferably 0 or 1, more preferably 1, and r is preferably 0 to 2.
Specific examples of the cations of the compounds (ZI-4) will be shown below.
In general formulae (ZII) and (ZIII), each of R204 to R207 independently represents an aryl group, an alkyl group or a cycloalkyl group.
The aryl group represented by R204 to R207 is preferably a phenyl group or a naphthyl group, more preferably a phenyl group. The aryl group represented by R204 to R207 may be one having a heterocyclic structure containing an oxygen atom, nitrogen atom, sulfur atom or the like. As the heterocyclic structure, there can be mentioned, for example, a pyrrole, a furan, a thiophene, an indole, a benzofuran, a benzothiophene or the like.
As preferred alkyl groups and cycloalkyl groups represented by R204 to R207, there can be mentioned a linear or branched alkyl group having 1 to 10 carbon atoms and a cycloalkyl group having 3 to 10 carbon atoms.
The aryl group, alkyl group and cycloalkyl group represented by R204 to R207 may have a substituent. As a possible substituent on the aryl group, alkyl group and cycloalkyl group represented by R204 to R207, there can be mentioned, for example, an alkyl group (for example, 1 to 15 carbon atoms), a cycloalkyl group (for example, 3 to 15 carbon atoms), an aryl group (for example, 6 to 15 carbon atoms), an alkoxy group (for example, 1 to 15 carbon atoms), a halogen atom, a hydroxyl group, a phenylthio group or the like.
Z− represents a nonnucleophilic anion. As such, there can be mentioned the same nonnucleophilic anions as mentioned with respect to the Z− of the general formula (ZI).
As the acid generators, there can be further mentioned the compounds of the following general formulae (ZIV), (ZV) and (ZVI).
In the general formulae (ZIV) to (ZVI),
each of Ar3 and Ar4 independently represents an aryl group.
Each of R208, R209 and R210 independently represents an alkyl group, a cycloalkyl group or an aryl group.
A represents an alkylene group, an alkenylene group or an arylene group.
As specific examples of the aryl groups represented by Ar3, Ar4, R208, R209 and R210, there can be mentioned the same groups as mentioned with respect to the aryl groups represented by R201, R202 and R203 of general formula (ZI-1) above.
As specific examples of each of the alkyl groups and the cycloalkyl groups represented by R208, R209 and R210, there can be mentioned the same groups as mentioned with respect to each of the alkyl groups and the cycloalkyl groups represented by R201, R202 and R203 of general formula (ZI-1) above.
As the alkylene group represented by A, there can be mentioned an alkylene group having 1 to 12 carbon atoms such as a methylene group, an ethylene group, a propylene group, an isopropylene group, a butylene group, an isobutylene group or the like. As the alkenylene group represented by A, there can be mentioned an alkenylene group having 2 to 12 carbon atoms such as an ethynylene group, a propenylene group, a butenylene group or the like. As the arylene group represented by A, there can be mentioned an arylene group having 6 to 10 carbon atoms such as a phenylene group, a tolylene group, a naphthylene group or the like.
Among the acid generators, the compounds of the general formulae (ZI) to (ZIII) are more preferred.
Especially preferred examples of the acid generators are as follows.
The acid generators can be used alone or in combination. The content of acid generator in the composition is preferably in the range of 0.1 to 20 mass %, more preferably 0.5 to 10 mass %, and still more preferably 1 to 7 mass % based on the total solids of the actinic-ray- or radiation-sensitive resin composition.
[4-3] Crosslinking Agent (C)
The resist composition according to the present invention may contain, together with the resin (A), a compound (hereinafter referred to as a crosslinking agent) capable of crosslinking the resin (A) under the action of an acid. In the present invention, heretofore known crosslinking agents can be effectively used. When the crosslinking agent is used, as mentioned hereinbefore, it is preferred for the resin (A) to contain a repeating unit (a2) containing an alcoholic hydroxyl group.
The crosslinking agent (C) is a compound containing a crosslinking group capable of crosslinking the resin (A). As the crosslinking group, there can be mentioned a hydroxymethyl group, an alkoxymethyl group, a vinyl ether group, an epoxy group or the like. It is preferred for the crosslinking agent (C) to have two or more such crosslinking groups.
The crosslinking agent (C) is preferably one consisting of a melamine compound, a urea compound, an alkyleneurea compound or a glycoluril compound.
As examples of preferred crosslinking agents, there can be mentioned compounds containing an N-hydroxymethyl group, an N-alkoxymethyl group and an N-acyloxymethyl group.
The compounds containing an N-hydroxymethyl group, an N-alkoxymethyl group and an N-acyloxymethyl group are preferably compounds each with two or more (more preferably two to eight) partial structures expressed by general formula (CLNM-1) below.
In general formula (CLNM-1), RNM1 represents a hydrogen atom, an alkyl group, a cycloalkyl group or an oxoalkyl group. The alkyl group represented by RNM1 in general formula (CLNM-1) is preferably a linear or branched alkyl group having 1 to 6 carbon atoms. The cycloalkyl group represented by RNM1 is preferably a cycloalkyl group having 5 or 6 carbon atoms. The oxoalkyl group represented by RNM1 is preferably an oxoalkyl group having 3 to 6 carbon atoms. As such, there can be mentioned, for example, a β-oxopropyl group, a β-oxobutyl group, a β-oxopentyl group, a β-oxohexyl group or the like.
As preferred forms of the compounds with two or more partial structures expressed by general formula (CLNM-1), there can be mentioned urea crosslinking agents of general formula (CLNM-2) below, alkyleneurea crosslinking agents of general formula (CLNM-3) below, glycoluril crosslinking agents of general formula (CLNM-4) below and melamine crosslinking agents of general formula (CLNM-5) below.
In general formula (CLNM-2), each of RNM1s independently is as defined above with respect to RNM1 of general formula (CLNM-1).
Each of RNM2s independently represents a hydrogen atom, an alkyl group (preferably having 1 to 6 carbon atoms) or a cycloalkyl group (preferably having 5 or 6 carbon atoms).
As particular examples of the urea crosslinking agents of general formula (CLNM-2), there can be mentioned N,N-di(methoxymethyl)urea, N,N-di(ethoxymethyl)urea, N,N-di(propoxymethyl)urea, N,N-di(isopropoxymethyl)urea, N,N-di(butoxymethyl)urea, N,N-di(t-butoxymethyl)urea, N,N-di(cyclohexyloxymethyl)urea, N,N-di(cyclopentyloxymethyl)urea, N,N-di(adamantyloxymethyl)urea, N,N-di(norbornyloxymethyl)urea and the like.
In general formula (CLNM-3), each of RNM1s independently is as defined above with respect to RNM1 of general formula (CLNM-1).
Each of RNM3s independently represents a hydrogen atom, a hydroxyl group, a linear or branched alkyl group (preferably having 1 to 6 carbon atoms), a cycloalkyl group (preferably having 5 or 6 carbon atoms), an oxoalkyl group (preferably having 3 to 6 carbon atoms), an alkoxy group (preferably having 1 to 6 carbon atoms) or an oxoalkoxy group (preferably having 1 to 6 carbon atoms).
G represents a single bond, an oxygen atom, an alkylene group (preferably having 1 to 3 carbon atoms) or a carbonyl group. In particular, there can be mentioned a methylene group, an ethylene group, a propylene group, a 1-methylethylene group, a hydroxymethylene group, a cyanomethylene group or the like.
As particular examples of the alkyleneurea crosslinking agents of general formula (CLNM-3), there can be mentioned N,N-di(methoxymethyl)-4,5-di(methoxymethyl)ethyleneurea, N,N-di(ethoxymethyl)-4,5-di(ethoxymethyl)ethyleneurea, N,N-di(propoxymethyl)-4,5-di(propoxymethyl)ethyleneurea, N,N-di(isopropoxymethyl)-4,5-di(isopropoxymethyl)ethyleneurea, N,N-di(butoxymethyl)-4,5-di(butoxymethyl)ethyleneurea, N,N-di(t-butoxymethyl)-4,5-di(t-butoxymethyl)ethyleneurea, N,N-di(cyclohexyloxymethyl)-4,5-di(cyclohexyloxymethyl)ethyleneurea, N,N-di(cyclopentyloxymethyl)-4,5-di(cyclopentyloxymethyl)ethyleneurea, N,N-di(adamantyloxymethyl)-4,5-di(adamantyloxymethyl)ethyleneurea, N,N-di(norbornyloxymethyl)-4,5-di(norbornyloxymethyl)ethyleneurea and the like.
In general formula (CLNM-4), each of RNM1s independently is as defined above with respect to RNM1 of general formula (CLNM-1).
Each of RNM4s independently represents a hydrogen atom, a hydroxyl group, an alkyl group, a cycloalkyl group or an alkoxy group.
As particular examples of the alkyl group (preferably having 1 to 6 carbon atoms), cycloalkyl group (preferably having 5 or 6 carbon atoms) and alkoxy group (preferably having 1 to 6 carbon atoms) represented by RNM4, there can be mentioned a methyl group, an ethyl group, a butyl group, a cyclopentyl group, a cyclohexyl group, a methoxy group, an ethoxy group, a butoxy group and the like.
As particular examples of the glycoluril crosslinking agents of general formula (CLNM-4), there can be mentioned N,N,N,N-tetra(methoxymethyl)glycoluril, N,N,N,N-tetra(ethoxymethyl)glycoluril, N,N,N,N-tetra(propoxymethyl)glycoluril, N,N,N,N-tetra(isopropoxymethyl)glycoluril, N,N,N,N-tetra(butoxymethyl)glycoluril, N,N,N,N-tetra(t-butoxymethyl)glycoluril, N,N,N,N-tetra(cyclohexyloxymethyl)glycoluril, N,N,N,N-tetra(cyclopentyloxymethyl)glycoluril, N,N,N,N-tetra(adamantyloxymethyl)glycoluril, N,N,N,N-tetra(norbornyloxymethyl)glycoluril and the like.
In general formula (CLNM-5), each of RNM1s independently is as defined above with respect to RNM1 of general formula (CLNM-1).
Each of RNM5s independently represents a hydrogen atom, an alkyl group, a cycloalkyl group, an aryl group or any of atomic groups of general formula (CLNM-5′) below.
RNM6 represents a hydrogen atom, an alkyl group, a cycloalkyl group, an aryl group or any of atomic groups of general formula (CLNM-5″) below.
In general formula (CLNM-5′), RNM1 is as defined above with respect to RNM1 of general formula (CLNM-1).
In general formula (CLNM-5″), RNM1 is as defined above with respect to RNM1 of general formula (CLNM-1), and RNM5 is as defined above with respect to RNM5 of general formula (CLNM-5).
As particular examples of the alkyl groups (each preferably having 1 to 6 carbon atoms), cycloalkyl groups (each preferably having 5 or 6 carbon atoms) and aryl groups (each preferably having 6 to 10 carbon atoms) represented by RNM5 and RNM6, there can be mentioned a methyl group, an ethyl group, a propyl group, an isopropyl group, a butyl group, an isobutyl group, a t-butyl group, a pentyl group, a cyclopentyl group, a hexyl group, a cyclohexyl group, a phenyl group, a naphthyl group and the like.
As the melamine crosslinking agents of general formula (CLNM-5), there can be mentioned, for example, N,N,N,N,N,N-hexa(methoxymethyl)melamine, N,N,N,N,N,N-hexa(ethoxymethyl)melamine, N,N,N,N,N,N-hexa(propoxymethyl)melamine, N,N,N,N,N,N-hexa(isopropoxymethyl)melamine, N,N,N,N,N,N-hexa(butoxymethyl)melamine, N,N,N,N,N,N-hexa(t-butoxymethyl)melamine, N,N,N,N,N,N-hexa(cyclohexyloxymethyl)melamine, N,N,N,N,N,N-hexa(cyclopentyloxymethyl)melamine, N,N,N,N,N,N-hexa(adamantyloxymethyl)melamine, N,N,N,N,N,N-hexa(norbornyloxymethyl)melamine, N,N,N,N,N,N-hexa(methoxymethyl)acetoguanamine, N,N,N,N,N,N-hexa(ethoxymethyl)acetoguanamine, N,N,N,N,N,N-hexa(propoxymethyl)acetoguanamine, N,N,N,N,N,N-hexa(isopropoxymethyl)acetoguanamine, N,N,N,N,N,N-hexa(butoxymethyl)acetoguanamine, N,N,N,N,N,N-hexa(t-butoxymethyl)acetoguanamine,
N,N,N,N,N,N-hexa(methoxymethyl)benzoguanamine, N,N,N,N,N,N-hexa(ethoxymethyl)benzoguanamine, N,N,N,N,N,N-hexa(propoxymethyl)benzoguanamine, N,N,N,N,N,N-hexa(isopropoxymethyl)benzoguanamine, N,N,N,N,N,N-hexa(butoxymethyl)benzoguanamine, N,N,N,N,N,N-hexa(t-butoxymethyl)benzoguanamine, and the like.
A substituent may further be introduced in each of the groups represented by RNM1 to RNM6 in general formulae (CLNM-1) to (CLNM-5). As the substituent that may further be introduced in each of the groups represented by RNM1 to RNM6, there can be mentioned, for example, a halogen atom, a hydroxyl group, a nitro group, a cyano group, a carboxyl group, a cycloalkyl group (preferably 3 to 20 carbon atoms), an aryl group (preferably 6 to 14 carbon atoms), an alkoxy group (preferably 1 to 20 carbon atoms), a cycloalkoxy group (preferably 4 to 20 carbon atoms), an acyl group (preferably 2 to 20 carbon atoms), an acyloxy group (preferably 2 to 20 carbon atoms) or the like.
The crosslinking agent (C) may be a phenol compound containing a benzene ring in its molecule.
The phenol compound is preferably a phenol derivative of 1200 or less molecular weight containing in its molecule 3 to 5 benzene rings and further a total of two or more hydroxymethyl or alkoxymethyl groups, wherein the hydroxymethyl or alkoxymethyl groups are concentrated and bonded to at least any of the benzene rings or are distributed and bonded to the benzene rings. The effects of the present invention can be striking when this phenol derivative is used. Each of the alkoxymethyl groups bonded to benzene rings preferably has 6 or less carbon atoms. In particular, a methoxymethyl group, an ethoxymethyl group, an n-propoxymethyl group, an i-propoxymethyl group, an n-butoxymethyl group, an i-butoxymethyl group, a sec-butoxymethyl group and a t-butoxymethyl group are preferred. Also, further, alkoxy-substituted alkoxy groups, such as a 2-methoxyethoxy group and a 2-methoxy-1-propoxy group, are preferred.
It is preferred for the phenol compound to be a phenol compound containing two or more benzene rings in its molecule. The phenol compound preferably does not contain any nitrogen atom.
In particular, the phenol compound preferably contains 2 to 8 crosslinking groups capable of crosslinking the resin (A) per molecule. The phenol compound more preferably contains 3 to 6 crosslinking groups.
Among the phenol derivatives, those particularly preferred are shown below. In the formulae, each of L1 to L8 represents a crosslinking group. L1 to L8 may be identical to or different from each other. The crosslinking group is preferably a hydroxymethyl group, a methoxymethyl group or an ethoxymethyl group.
Commercially available phenol compounds can be used. Alternatively, phenol compounds for use can be synthesized by heretofore known methods. For example, a phenol derivative containing a hydroxymethyl group can be obtained by causing a phenol compound (any of compounds of the above formulae in which L1 to L8 are hydrogen atoms) corresponding thereto but containing no hydroxymethyl group to react with formaldehyde in the presence of a base catalyst. In this reaction, it is preferred to control the reaction temperature at 60° C. or below from the viewpoint of preventing the conversion to a resin or a gel. Practically, the synthesis can be performed according to the methods described in JP-A-H6-282067, JP-A-H7-64285, etc.
A phenol derivative containing an alkoxymethyl group can be obtained by causing a corresponding phenol derivative containing a hydroxymethyl group to react with an alcohol in the presence of an acid catalyst. In this reaction, it is preferred to control the reaction temperature at 100° C. or below from the viewpoint of preventing the conversion to a resin or a gel. Practically, the synthesis can be performed according to the methods described in EP 632003A1, etc. The thus synthesized phenol derivative containing a hydroxymethyl group or an alkoxymethyl group is preferred from the viewpoint of the stability during storage. The phenol derivative containing an alkoxymethyl group is especially preferred from the viewpoint of the stability during storage. These phenol derivatives containing a total of two or more hydroxymethyl or alkoxymethyl groups, wherein the hydroxymethyl or alkoxymethyl groups are concentrated and bonded to at least any of the benzene rings or are distributed and bonded to the benzene rings, may be used individually or in combination.
The crosslinking agent (C) may be an epoxy compound containing an epoxy group in its molecule.
As the epoxy compound, there can be mentioned the compounds of general formula (EP2) below.
In general formula (EP2), each of REP1 to REP3 independently represents a hydrogen atom, a halogen atom, an alkyl group or a cycloalkyl group. A substituent may be introduced in each of the alkyl group and cycloalkyl group. REP1 and REP2, and also REP2 and REP3 may be bonded to each other to thereby form a ring structure.
As the substituent that may be introduced in each of the alkyl group and cycloalkyl group, there can be mentioned, for example, a hydroxyl group, a cyano group, an alkoxy group, an alkylcarbonyl group, an alkoxycarbonyl group, an alkylcarbonyloxy group, an alkylthio group, an alkylsulfone group, an alkylsulfonyl group, an alkylamino group, an alkylamido group or the like.
QEP represents a single bond or an nEP-valent organic group. REP1 to REP3 are not limited to the above, and may be bonded to QEP to thereby form a ring structure.
In the formula, nEP is an integer of 2 or greater, preferably in the range of 2 to 10 and more preferably 2 to 6, provided that when QEP is a single bond, nEP is 2.
When QEP is an nEP-valent organic group, it is preferably in the form of, for example, a chain or cyclic saturated hydrocarbon structure (preferably having 2 to 20 carbon atoms) or aromatic structure (preferably having 6 to 30 carbon atoms), or a structure resulting from the linkage of these through a structure of ether, ester, amido, sulfonamido or the like.
Particular examples of the compounds with an epoxy structure are shown below, which in no way limit the scope of the present invention.
In the present invention, each of these crosslinking agents may be used alone, or two or more thereof may be used in combination.
When the resist composition contains a crosslinking agent, the content of the crosslinking agent in the resist composition is preferably in the range of 3 to 15 mass %, more preferably 4 to 12 mass % and further more preferably 5 to 10 mass % based on the total solids of the resist composition.
[4-4] Solvent (D)
The actinic-ray- or radiation-sensitive resin composition of the present invention contains a solvent.
The solvent is not limited as long as it can be used in the preparation of the composition. As the solvent, there can be mentioned, for example, an organic solvent, such as an alkylene glycol monoalkyl ether carboxylate, an alkylene glycol monoalkyl ether, an alkyl lactate, an alkyl alkoxypropionate, a cyclolactone (preferably having 4 to 10 carbon atoms), an optionally cyclized monoketone compound (preferably having 4 to 10 carbon atoms), an alkylene carbonate, an alkyl alkoxyacetate or an alkyl pyruvate.
Particular examples and preferred examples of the solvents are the same as those described in [0244] to [0248] of JP-A-2008-292975.
In the present invention, a mixed solvent consisting of a mixture of a solvent having a hydroxyl group in its structure and a solvent having no hydroxyl group may be used as the organic solvent.
The solvent having a hydroxyl group and the solvent having no hydroxyl group can appropriately be selected from among the compounds mentioned above, as examples. The solvent having a hydroxyl group is preferably an alkylene glycol monoalkyl ether, an alkyl lactate or the like, more preferably propylene glycol monomethyl ether (PGME, another name: 1-methoxy-2-propanol) or ethyl lactate. The solvent having no hydroxyl group is preferably an alkylene glycol monoalkyl ether acetate, an alkyl alkoxypropionate, an optionally cyclized monoketone compound, a cyclolactone, an alkyl acetate or the like. Among these, propylene glycol monomethyl ether acetate (PGMEA, another name: 1-methoxy-2-acetoxypropane), ethyl ethoxypropionate, 2-heptanone, γ-butyrolactone, cyclohexanone and butyl acetate are especially preferred. Propylene glycol monomethyl ether acetate, ethyl ethoxypropionate and 2-heptanone are most preferred.
The mixing ratio (mass) of a solvent having a hydroxyl group and a solvent having no hydroxyl group is commonly in the range of 1/99 to 99/1, preferably 10/90 to 90/10 and more preferably 20/80 to 60/40. The mixed solvent containing 50 mass % or more of a solvent having no hydroxyl group is especially preferred from the viewpoint of uniform applicability.
It is preferred for the solvent to be a mixed solvent consisting of two or more solvents containing propylene glycol monomethyl ether acetate.
[4-5] Hydrophobic Resin (HR)
The composition of the present invention may further contain a hydrophobic resin (HR) containing at least either a fluorine atom or a silicon atom especially when a liquid immersion exposure is applied thereto. This localizes the hydrophobic resin (HR) in the surface layer of the film. Accordingly, when the immersion medium is water, the static/dynamic contact angle of the surface of the resist film with respect to water can be increased, thereby enhancing the immersion water tracking property.
Although the hydrophobic resin (HR) is unevenly localized in the interface as mentioned above, as different from surfactants, the hydrophobic resin does not necessarily have to have a hydrophilic group in its molecule and does not need to contribute toward uniform mixing of polar/nonpolar substances.
The hydrophobic resin typically contains a fluorine atom and/or a silicon atom. The fluorine atom and/or silicon atom may be introduced in the principal chain of the resin or a side chain thereof.
When the hydrophobic resin contains a fluorine atom, it is preferred for the resin to comprise, as a partial structure containing a fluorine atom, an alkyl group containing a fluorine atom, a cycloalkyl group containing a fluorine atom or an aryl group containing a fluorine atom.
The alkyl group containing a fluorine atom is a linear or branched alkyl group having at least one hydrogen atom thereof substituted with a fluorine atom. This alkyl group preferably has 1 to 10 carbon atoms, more preferably 1 to 4 carbon atoms. A substituent other than the fluorine atom may further be introduced in the alkyl group containing a fluorine atom.
The cycloalkyl group containing a fluorine atom is a mono- or polycycloalkyl group having at least one hydrogen atom thereof substituted with a fluorine atom. A substituent other than the fluorine atom may further be introduced in the cycloalkyl group containing a fluorine atom.
The aryl group containing a fluorine atom is an aryl group having at least one hydrogen atom thereof substituted with a fluorine atom. As the aryl group, there can be mentioned, for example, a phenyl or naphthyl group. A substituent other than the fluorine atom may further be introduced in the aryl group containing a fluorine atom.
As preferred examples of the alkyl groups each containing a fluorine atom, cycloalkyl groups each containing a fluorine atom and aryl groups each containing a fluorine atom, there can be mentioned the groups of general formulae (F2) to (F4) below.
In general formulae (F2) to (F4), each of R57 to R68 independently represents a hydrogen atom, a fluorine atom or an alkyl group, provided that at least one of R57-R61 represents a fluorine atom or an alkyl group having at least one hydrogen atom thereof substituted with a fluorine atom, at least one of R62-R64 represents a fluorine atom or an alkyl group having at least one hydrogen atom thereof substituted with a fluorine atom, and at least one of R65-R68 represents a fluorine atom or an alkyl group having at least one hydrogen atom thereof substituted with a fluorine atom. The alkyl group is preferably one having 1 to 4 carbon atoms.
Specific examples of the repeating units having a fluorine atom will be shown below.
In the specific examples, X1 represents a hydrogen atom, —CH3, —F or —CF3. X2 represents —F or —CF3.
When the hydrophobic resin contains a silicon atom, it is preferred for the resin to comprise, as a partial structure containing a silicon atom, an alkylsilyl structure or a cyclosiloxane structure. This alkylsilyl structure is preferably a structure containing a trialkylsilyl group.
As preferred examples of the alkylsilyl structures and cyclosiloxane structures, there can be mentioned the groups of general formulae (CS-1) to (CS-3) below.
In general formulae (CS-1) to (CS-3), each of R12 to R26 independently represents a linear or branched alkyl group or a cycloalkyl group. The alkyl group is preferably one having 1 to 20 carbon atoms. The cycloalkyl group is preferably one having 3 to 20 carbon atoms.
Each of L3 to L5 represents a single bond or a bivalent connecting group. As the bivalent connecting group, there can be mentioned any one or a combination of two or more groups selected from the group consisting of an alkylene group, a phenylene group, an ether group, a thioether group, a carbonyl group, an ester group, an amido group, a urethane group and a urea group.
In the formulae, n is an integer of 1 to 5, preferably an integer of 2 to 4.
Specific examples of the repeating units having the groups of general formulae (CS-1) to (CS-3) will be shown below.
In the specific examples, X1 represents a hydrogen atom, —CH3, —F or —CF3.
The hydrophobic resin may further contain at least one group selected from the group consisting of the following groups (x) to (z).
Namely,
(x) an acid group,
(y) a group with a lactone structure, an acid anhydride group or an acid imido group, and
(y) an acid-decomposable group.
As the acid group (x), there can be mentioned, for example, a phenolic hydroxyl group, a carboxylic acid group, a fluoroalcohol group, a sulfonic acid group, a sulfonamido group, a sulfonimido group, an (alkylsulfonyl)(alkylcarbonyl)methylene group, an (alkylsulfonyl)(alkylcarbonyl)imido group, a bis(alkylcarbonyl)methylene group, a bis(alkylcarbonyl)imido group, a bis(alkylsulfonyl)methylene group, a bis(alkylsulfonyl)imido group, a tris(alkylcarbonyl)methylene group or a tris(alkylsulfonyl)methylene group. As preferred acid groups, there can be mentioned a fluoroalcohol group, a sulfonimido group and a bis(alkylcarbonyl)methylene group. As a preferred fluoroalcohol group, there can be mentioned a hexafluoroisopropanol group.
The repeating unit containing an acid group is, for example, a repeating unit wherein the acid group is directly bonded to the principal chain of a resin, such as a repeating unit derived from acrylic acid or methacrylic acid. Alternatively, this repeating unit may be a repeating unit wherein the acid group is bonded via a connecting group to the principal chain of a resin. Still alternatively, this repeating unit may be a repeating unit wherein the acid group is introduced in a terminal of the resin by using a chain transfer agent or polymerization initiator containing the acid group in the stage of polymerization.
The content of the repeating unit containing an acid group based on all the repeating units of the hydrophobic resin is preferably in the range of 1 to 50 mol %, more preferably 3 to 35 mol % and further more preferably 5 to 20 mol %.
Particular examples of the repeating units each containing an acid group are shown below. In the formulae, Rx represents a hydrogen atom, CH3, CF3 or CH2OH.
Among the group with a lactone structure, acid anhydride group and acid imido group (y), the group with a lactone structure is especially preferred.
The repeating unit containing any of these groups is, for example, a repeating unit wherein the group is directly bonded to the principal chain of a resin, such as a repeating unit derived from an acrylic ester or a methacrylic ester. Alternatively, this repeating unit may be a repeating unit wherein the group is bonded via a connecting group to the principal chain of a resin. Still alternatively, this repeating unit may be a repeating unit wherein the group is introduced in a terminal of the resin by using a chain transfer agent or polymerization initiator containing the group in the stage of polymerization.
The repeating units each containing a group with a lactone structure can be, for example, the same as the repeating units each with a lactone structure described above in the section of the resin (A).
The content of the repeating unit containing a group with a lactone structure, an acid anhydride group or an acid imido group, based on all the repeating units of the hydrophobic resin, is preferably in the range of 1 to 40 mol %, more preferably 3 to 30 mol % and further more preferably 5 to 15 mol %.
As the acid-decomposable group (z), there can be mentioned, for example, those set forth above in the section of the acid-decomposable resin (A).
The content of the repeating unit containing an acid-decomposable group, based on all the repeating units of the hydrophobic resin, is preferably in the range of 1 to 80 mol %, more preferably 10 to 80 mol % and further more preferably 20 to 60 mol %.
The hydrophobic resin may contain any of the repeating units of general formulae (III′) and (CII-AB) below.
In general formula (III′),
Rc31 represents a hydrogen atom, an alkyl group (optionally substituted with a fluorine atom or the like), a cyano group or —CH2—O-Rac2 group, wherein Rac2 represents a hydrogen atom, an alkyl group or an acyl group.
Rc31 is preferably a hydrogen atom, a methyl group or a trifluoromethyl group, especially preferably a hydrogen atom or a methyl group.
Rc32 represents a group having any of an alkyl group, a cycloalkyl group, an alkenyl group, a cycloalkenyl group and an aryl group. These groups may optionally be substituted with a group having a fluorine atom or a silicon atom.
Lc3 represents a single bond or a bivalent connecting group.
As the bivalent connecting group represented by Lc3, there can be mentioned, for example, any one or a combination of two or more groups selected from the group consisting of alkylene group (preferably having 1 to 5 carbon atoms), an oxy group, a phenylene group or an ester bond (group of the formula —COO—). The sum of carbon atoms of the bivalent connecting group represented by Lc3 is preferably in the range of 1 to 12.
In general formula (CII-AB),
each of Rc11, and Rc12, independently represents a hydrogen atom, a cyano group, a halogen atom or an alkyl group. Zc′ represents an atomic group for forming an alicyclic structure in cooperation with two bonded carbon atoms (C—C).
Rc32 represents a substituent introduced in the alicyclic structure. Rc32 has the same meaning as Rc32 of general formula (III′).
In the formula, p is an integer of 0 to 3, preferably 0 or 1.
Specific examples of the repeating units of general formula (III′) and general formula (CII-AB) will be shown below. In the formulae, Ra represents H, CH3, CH2OH, CF3 or CN.
When the hydrophobic resin (HR) contains any of the repeating units of general formulae (III′) and (CII-AB), the content of such a repeating unit, based on all the repeating units constructing the hydrophobic resin (HR), is preferably in the range of 1 to 100 mol %, more preferably 5 to 95 mol % and further more preferably 20 to 80 mol %.
Specific examples of the hydrophobic resins (HR) will be shown below. The following Table 1 shows the molar ratio of individual repeating units (corresponding to individual repeating units in order from the left), weight average molecular weight and degree of dispersal (Mw/Mn) with respect to each of the resins.
| TABLE 1 | |||||
| Resin | Composition | Mw | Mw/Mn | ||
| HR-1 | 50/50 | 4900 | 1.4 | ||
| HR-2 | 50/50 | 5100 | 1.6 | ||
| HR-3 | 50/50 | 4800 | 1.5 | ||
| HR-4 | 50/50 | 5300 | 1.6 | ||
| HR-5 | 50/50 | 4500 | 1.4 | ||
| HR-6 | 100 | 5500 | 1.6 | ||
| HR-7 | 50/50 | 5800 | 1.9 | ||
| HR-8 | 50/50 | 4200 | 1.3 | ||
| HR-9 | 50/50 | 5500 | 1.8 | ||
| HR-10 | 40/60 | 7500 | 1.6 | ||
| HR-11 | 70/30 | 6600 | 1.8 | ||
| HR-12 | 40/60 | 3900 | 1.3 | ||
| HR-13 | 50/50 | 9500 | 1.8 | ||
| HR-14 | 50/50 | 5300 | 1.6 | ||
| HR-15 | 100 | 6200 | 1.2 | ||
| HR-16 | 100 | 5600 | 1.6 | ||
| HR-17 | 100 | 4400 | 1.3 | ||
| HR-18 | 50/50 | 4300 | 1.3 | ||
| HR-19 | 50/50 | 6500 | 1.6 | ||
| HR-20 | 30/70 | 6500 | 1.5 | ||
| HR-21 | 50/50 | 6000 | 1.6 | ||
| HR-22 | 50/50 | 3000 | 1.2 | ||
| HR-23 | 50/50 | 5000 | 1.5 | ||
| HR-24 | 50/50 | 4500 | 1.4 | ||
| HR-25 | 30/70 | 5000 | 1.4 | ||
| HR-26 | 50/50 | 5500 | 1.6 | ||
| HR-27 | 50/50 | 3500 | 1.3 | ||
| HR-28 | 50/50 | 6200 | 1.4 | ||
| HR-29 | 50/50 | 6500 | 1.6 | ||
| HR-30 | 50/50 | 6500 | 1.6 | ||
| HR-31 | 50/50 | 4500 | 1.4 | ||
| HR-32 | 30/70 | 5000 | 1.6 | ||
| HR-33 | 30/30/40 | 6500 | 1.8 | ||
| HR-34 | 50/50 | 4000 | 1.3 | ||
| HR-35 | 50/50 | 6500 | 1.7 | ||
| HR-36 | 50/50 | 6000 | 1.5 | ||
| HR-37 | 50/50 | 5000 | 1.6 | ||
| HR-38 | 50/50 | 4000 | 1.4 | ||
| HR-39 | 20/80 | 6000 | 1.4 | ||
| HR-40 | 50/50 | 7000 | 1.4 | ||
| HR-41 | 50/50 | 6500 | 1.6 | ||
| HR-42 | 50/50 | 5200 | 1.6 | ||
| HR-43 | 50/50 | 6000 | 1.4 | ||
| HR-44 | 70/30 | 5500 | 1.6 | ||
| HR-45 | 50/20/30 | 4200 | 1.4 | ||
| HR-46 | 30/70 | 7500 | 1.6 | ||
| HR-47 | 40/58/2 | 4300 | 1.4 | ||
| HR-48 | 50/50 | 6800 | 1.6 | ||
| HR-49 | 100 | 6500 | 1.5 | ||
| HR-50 | 50/50 | 6600 | 1.6 | ||
| HR-51 | 30/20/50 | 6800 | 1.7 | ||
| HR-52 | 95/5 | 5900 | 1.6 | ||
| HR-53 | 40/30/30 | 4500 | 1.3 | ||
| HR-54 | 50/30/20 | 6500 | 1.8 | ||
| HR-55 | 30/40/30 | 7000 | 1.5 | ||
| HR-56 | 60/40 | 5500 | 1.7 | ||
| HR-57 | 40/40/20 | 4000 | 1.3 | ||
| HR-58 | 60/40 | 3800 | 1.4 | ||
| HR-59 | 80/20 | 7400 | 1.6 | ||
| HR-60 | 40/40/15/5 | 4800 | 1.5 | ||
| HR-61 | 60/40 | 5600 | 1.5 | ||
| HR-62 | 50/50 | 5900 | 2.1 | ||
| HR-63 | 80/20 | 7000 | 1.7 | ||
| HR-64 | 100 | 5500 | 1.8 | ||
| HR-65 | 50/50 | 9500 | 1.9 | ||
When the hydrophobic resin contains a fluorine atom, the content of fluorine atom(s) is preferably in the range of 5 to 80 mass %, more preferably 10 to 80 mass %, based on the molecular weight of the hydrophobic resin. The content of the repeating unit containing a fluorine atom is preferably in the range of 10 to 100 mass %, more preferably 30 to 100 mass %, based on all the repeating units of the hydrophobic resin.
When the hydrophobic resin contains a silicon atom, the content of silicon atom(s) is preferably in the range of 2 to 50 mass %, more preferably 2 to 30 mass %, based on the molecular weight of the hydrophobic resin. The content of the repeating unit containing a silicon atom is preferably in the range of 10 to 100 mass %, more preferably 20 to 100 mass %, based on all the repeating units of the hydrophobic resin.
The weight average molecular weight of the hydrophobic resin is preferably in the range of 1000 to 100,000, more preferably 1000 to 50,000 and still more preferably 2000 to 15,000.
From the viewpoint of resolving power, pattern profile, roughness property, etc., the degree of dispersal of the hydrophobic resin is preferably in the range of 1 to 5, more preferably 1 to 3 and still more preferably 1 to 2.
The hydrophobic resins may be used either individually or in combination. The content of the hydrophobic resin in the composition is preferably in the range or 0.01 to 10 mass %, more preferably 0.05 to 8 mass % and still more preferably 0.1 to 5 mass % based on the total solid of the composition of the present invention.
A variety of commercially available products can be used as the hydrophobic resin, and also the resin can be synthesized in accordance with conventional methods. As general synthesizing methods, there can be mentioned, for example, the same method as mentioned with respect to the resin (A).
Impurities, such as metals, should naturally be of low quantity in the hydrophobic resin. The content of residual monomers and oligomer components is preferably 0 to 10 mass %, more preferably 0 to 5 mass % and still more preferably 0 to 1 mass %. Accordingly, there can be obtained a resist being free from a change of in-liquid foreign matter, sensitivity, etc. over time.
[4-6] Surfactant (F)
The composition of the present invention may further contain a surfactant. When the composition contains a surfactant, the composition preferably contains any one, or two or more members, of fluorinated and/or siliconized surfactants (fluorinated surfactant, siliconized surfactant and surfactant containing both fluorine and silicon atoms).
The composition of the present invention when containing the above surfactant would, in the use of an exposure light source of 250 nm or below, especially 220 nm or below, realize favorable sensitivity and resolving power and produce a resist pattern with less adhesion and development defects.
As fluorinated and/or siliconized surfactants, there can be mentioned, for example, those described in section [0276] of US 2008/0248425 A1. As useful commercially available surfactants, there can be mentioned, for example, fluorinated surfactants/siliconized surfactants, such as Eftop EF301 and EF303 (produced by Shin-Akita Kasei Co., Ltd.), Florad FC 430, 431 and 4430 (produced by Sumitomo 3M Ltd.), Megafac F171, F173, F176, F189, F113, F110, F177, F120 and R08 (produced by Dainippon Ink & Chemicals, Inc.), Surflon S-382, SC101, 102, 103, 104, 105 and 106 (produced by Asahi Glass Co., Ltd.), Troy Sol S-366 (produced by Troy Chemical Co., Ltd.), GF-300 and GF-150 (produced by TOAGOSEI CO., LTD.), Sarfron S-393 (produced by SEIMI CHEMICAL CO., LTD.), Eftop EF121, EF122A, EF122B, RF122C, EF125M, EF135M, EF351, EF352, EF801, EF802 and EF601 (produced by JEMCO INC.), PF636, PF656, PF6320 and PF6520 (produced by OMNOVA), and FTX-204G, 208G, 218G, 230G, 204D, 208D, 212D, 218D and 222D (produced by NEOS). Further, polysiloxane polymer KP-341 (produced by Shin-Etsu Chemical Co., Ltd.) can be employed as the siliconized surfactant.
As the surfactant, besides the above publicly known surfactants, use can be made of a surfactant based on a polymer having a fluorinated aliphatic group derived from a fluorinated aliphatic compound, produced by a telomerization technique (also called a telomer process) or an oligomerization technique (also called an oligomer process). The fluorinated aliphatic compound can be synthesized by the process described in JP-A-2002-90991.
As such a surfactant, there can be mentioned, for example, Megafac F178, F-470, F-473, F-475, F-476 or F-472 (produced by Dainippon Ink & Chemicals, Inc.). Further, there can be mentioned a copolymer from an acrylate (or methacrylate) having a C6F13 group and a poly(oxyalkylene) acrylate (or methacrylate), a copolymer from an acrylate (or methacrylate) having a C3F7 group, poly(oxyethylene) acrylate (or methacrylate) and poly(oxypropylene) acrylate (or methacrylate), or the like.
In the present invention, surfactants other than the fluorinated and/or siliconized surfactants can also be employed. In particular, there can be mentioned, for example, those described in section [0280] of US 2008/0248425 A1.
These surfactants may be used either individually or in combination.
When the composition contain the surfactant, the amount of the surfactant used is preferably in the range of 0.0001 to 2 mass %, more preferably 0.0005 to 1 mass % based on the total mass of the composition of the present invention (excluding the solvent).
On the other hand, when the amount of surfactant added is controlled at 10 ppm or less based on the whole amount (excluding the solvent) of the resist composition, the uneven distribution of the hydrophobic resin in the surface portion is promoted, so that the surface of the resist film can be rendered highly hydrophobic, thereby enhancing the water tracking property in the stage of liquid-immersion exposure.
[4-7] Basic Compound or Compound (H) Whose Basicity is Increased by the Action of an Acid
The composition of the present invention preferably contains at least one compound (H) selected from a basic compound and a compound whose basicity is increased by the action of an acid so as to decrease any performance alteration over time from exposure to heating.
As preferred basic compounds, there can be mentioned the compounds having the structures of the following formulae (A) to (E).
In the general formulae (A) and (E),
R200, R201 and R202 may be identical to or different from each other and each represent a hydrogen atom, an alkyl group (preferably having 1 to 20 carbon atoms), a cycloalkyl group (preferably having 3 to 20 carbon atoms) or an aryl group (having 6 to 20 carbon atoms). R201 and R202 may be bonded with each other to thereby form a ring. R203, R204, R205 and R206 may be identical to or different from each other and each represent an alkyl group having 1 to 20 carbon atoms.
With respect to the above alkyl group, as a preferred substituted alkyl group, there can be mentioned an aminoalkyl group having 1 to 20 carbon atoms, a hydroxyalkyl group having 1 to 20 carbon atoms or a cyanoalkyl group having 1 to 20 carbon atoms.
More preferably, in these general formulae (A) and (E) the alkyl group is unsubstituted.
As preferred compounds, there can be mentioned guanidine, aminopyrrolidine, pyrazole, pyrazoline, piperazine, aminomorpholine, aminoalkylmorpholine, piperidine and the like. Further, as preferred compounds, there can be mentioned compounds with an imidazole structure, a diazabicyclo structure, an onium hydroxide structure, an onium carboxylate structure, a trialkylamine structure, an aniline structure or a pyridine structure, alkylamine derivatives having a hydroxyl group and/or an ether bond, aniline derivatives having a hydroxyl group and/or an ether bond and the like.
As the compounds with an imidazole structure, there can be mentioned imidazole, 2,4,5-triphenylimidazole, benzimidazole, 2-phenylbenzoimidazole and the like. As the compounds with a diazabicyclo structure, there can be mentioned 1,4-diazabicyclo[2,2,2]octane, 1,5-diazabicyclo[4,3,0]non-5-ene, 1,8-diazabicyclo[5,4,0]undec-7-ene and the like. As the compounds with an onium hydroxide structure, there can be mentioned tetrabutylammonium hydroxide, triarylsulfonium hydroxide, phenacylsulfonium hydroxide, and sulfonium hydroxides having a 2-oxoalkyl group such as triphenylsulfonium hydroxide, tris(t-butylphenyl)sulfonium hydroxide, bis(t-butylphenyl)iodonium hydroxide, phenacylthiophenium hydroxide, 2-oxopropylthiophenium hydroxide and the like. As the compounds with an onium carboxylate structure, there can be mentioned those having a carboxylate at the anion moiety of the compounds with an onium hydroxide structure, for example, acetate, adamantane-1-carboxylate, perfluoroalkyl carboxylate and the like. As the compounds with a trialkylamine structure, there can be mentioned tri(n-butyl)amine, tri(n-octyl)amine and the like. As the aniline compounds, there can be mentioned 2,6-diisopropylaniline, N,N-dimethylaniline, N,N-dibutylaniline, N,N-dihexylaniline and the like. As the alkylamine derivatives having a hydroxyl group and/or an ether bond, there can be mentioned ethanolamine, diethanolamine, triethanolamine, N-phenyldiethanolamine, tris(methoxyethoxyethyl)amine and the like. As the aniline derivatives having a hydroxyl group and/or an ether bond, there can be mentioned N,N-bis(hydroxyethyl)aniline and the like.
As preferred basic compounds, there can be further mentioned an amine compound having a phenoxy group, an ammonium salt compound having a phenoxy group, an amine compound having a sulfonic ester group and an ammonium salt compound having a sulfonic ester group.
Each of the above amine compound having a phenoxy group, ammonium salt compound having a phenoxy group, amine compound having a sulfonic ester group and ammonium salt compound having a sulfonic ester group preferably has at least one alkyl group bonded to the nitrogen atom thereof. Further preferably, the alkyl group in its chain contains an oxygen atom, thereby forming an oxyalkylene group. The number of oxyalkylene groups in each molecule is one or more, preferably 3 to 9 and more preferably 4 to 6. Oxyalkylene groups having the structure of —CH2CH2O—, —CH(CH3)CH2O— or —CH2CH2CH2O— are preferred.
As specific examples of the above amine compound having a phenoxy group, ammonium salt compound having a phenoxy group, amine compound having a sulfonic ester group and ammonium salt compound having a sulfonic ester group, there can be mentioned the compounds (C1-1) to (C3-3) shown as examples in Section [0066] of US 2007/0224539 A, which are however nonlimiting.
The molecular weight of compound (H) is preferably 250 to 2000, more preferably 400 to 1000.
Compound (H) may be used either individually or in combination.
When the composition contains compound (H), the content of compound (H) is preferably in the range of 0.05 to 8.0 mass %, more preferably 0.05 to 5.0 mass % and most preferably 0.05 to 4.0 mass % based on the total solids of the composition.
With respect to the ratio of the acid generator to compound (H) used in the composition, preferably, the acid generator/compound (H) (molar ratio)=2.5 to 300. The reason for this is that the molar ratio is preferred to be 2.5 or higher from the viewpoint of sensitivity and resolving power. The molar ratio is preferred to be 300 or below from the viewpoint of the inhibition of any resolving power deterioration due to thickening of resist pattern over time from exposure to heating treatment. The acid generator/compound (H) (molar ratio) is more preferably in the range of 5.0 to 200, still more preferably 7.0 to 150.
[4-8] Basic Compound and Ammonium Salt Compound that when Exposed to Actinic Rays or Radiation, Exhibit Lowered Basicity
The resist composition of the present invention may contain a basic compound or ammonium salt compound that when exposed to actinic rays or radiation, exhibits a lowered basicity (hereinafter also referred to as a “compound (PA)”). Namely, the compound (PA) is a compound that when exposed to actinic rays or radiation, undergoes a change of chemical structure, exhibiting photosensitivity.
It is preferred for the compound (PA) to be a compound (PA′) containing a basic functional group or ammonium group and a group that when exposed to actinic rays or radiation, produces an acid functional group. Namely, it is preferred for the compound (PA) to be a basic compound containing a basic functional group and a group that when exposed to actinic rays or radiation, produces an acid functional group, or an ammonium salt compound containing an ammonium group and a group that when exposed to actinic rays or radiation, produces an acid functional group.
As the compounds each exhibiting a lowered basicity, produced by the decomposition of compound (PA) or compound (PA′) upon exposure to actinic rays or radiation, there can be mentioned the compounds of general formulae (PA-I), (PA-II) and (PA-III) below. The compounds of general formulae (PA-II) and (PA-III) are especially preferred from the viewpoint of the higher-order simultaneous attainment of excellent effects concerning LWR and DOF.
First, the compounds of general formula (PA-I) will be described.
Q-A1-(X)n-B-R (PA-I)
Q-A1-(X)n-B-R (PA-I)
In general formula (PA-I),
A1 represents a single bond or a bivalent connecting group.
Q represents —SO3H or —CO2H. Q corresponds to the acid functional group produced upon exposure to actinic rays or radiation.
X represents —SO2— or —CO—.
n is 0 or 1.
B represents a single bond, an oxygen atom or —N(Rx)-.
Rx represents a hydrogen atom or a monovalent organic group.
R represents a monovalent organic group containing a basic functional group or a monovalent organic group containing an ammonium group.
The bivalent connecting group represented by A1 is preferably a bivalent connecting group having 2 to 12 carbon atoms. As such, there can be mentioned, for example, an alkylene group, a phenylene group or the like. An alkylene group containing at least one fluorine atom is more preferred, which has preferably 2 to 6 carbon atoms, more preferably 2 to 4 carbon atoms. A connecting group, such as an oxygen atom or a sulfur atom, may be introduced in the alkylene chain. In particular, an alkylene group, 30 to 100% of the hydrogen atoms of which are substituted with fluorine atoms, is preferred. It is more preferred for the carbon atom bonded to the Q-moiety to have a fluorine atom. Further, perfluoroalkylene groups are preferred. A perfluoroethylene group, a perfluoropropylene group and a perfluorobutylene group are more preferred.
The monovalent organic group represented by Rx preferably has 4 to 30 carbon atoms. As such, there can be mentioned, for example, an alkyl group, a cycloalkyl group, an aryl group, an aralkyl group, an alkenyl group or the like.
A substituent may be introduced in the alkyl group represented by Rx. The alkyl group is preferably a linear or branched alkyl group having 1 to 20 carbon atoms. An oxygen atom, a sulfur atom or a nitrogen atom may be introduced in the alkyl chain.
As the substituted alkyl group, in particular, there can be mentioned a linear or branched alkyl group substituted with a cycloalkyl group (for example, an adamantylmethyl group, an adamantylethyl group, a cyclohexylethyl group, a camphor residue, or the like).
A substituent may be introduced in the cycloalkyl group represented by Rx. The cycloalkyl group preferably has 3 to 20 carbon atoms. An oxygen atom may be introduced in the ring.
A substituent may be introduced in the aryl group represented by Rx. The aryl group preferably has 6 to 14 carbon atoms.
A substituent may be introduced in the aralkyl group represented by Rx. The aralkyl group preferably has 7 to 20 carbon atoms.
A substituent may be introduced in the alkenyl group represented by Rx. For example, there can be mentioned groups each resulting from the introduction of a double bond at an arbitrary position of any of the alkyl groups mentioned above as being represented by Rx.
As preferred partial structures of the basic functional groups, there can be mentioned, for example, the structures of a crown ether, a primary to tertiary amine and a nitrogenous heterocycle (pyridine, imidazole, pyrazine or the like).
As preferred partial structures of the ammonium groups, there can be mentioned, for example, the structures of a primary to tertiary ammonium, pyridinium, imidazolinium, pyrazinium and the like.
The basic functional group is preferably a functional group containing a nitrogen atom, more preferably a structure having a primary to tertiary amino group or a nitrogenous heterocyclic structure. In these structures, from the viewpoint of basicity increase, it is preferred for all the atoms adjacent to the nitrogen atom contained in each of the structures to be carbon atoms or hydrogen atoms. Further, from the viewpoint of basicity increase, it is preferred to avoid the direct bonding of electron-withdrawing functional groups (a carbonyl group, a sulfonyl group, a cyano group, a halogen atom, etc.) to nitrogen atoms.
With respect to the monovalent organic group (R-group) containing any of these structures, the monovalent organic group preferably has 4 to 30 carbon atoms. As such, there can be mentioned an alkyl group, a cycloalkyl group, an aryl group, an aralkyl group, an alkenyl group or the like. A substituent may be introduced in each of these groups.
The alkyl group, cycloalkyl group, aryl group, aralkyl group and alkenyl group contained in the alkyl group, cycloalkyl group, aryl group, aralkyl group and alkenyl group each containing a basic functional group or an ammonium group, represented by R are the same as the alkyl group, cycloalkyl group, aryl group, aralkyl group and alkenyl group set forth above as being represented by Rx.
As substituents that may be introduced in these groups, there can be mentioned, for example, a halogen atom, a hydroxyl group, a nitro group, a cyano group, a carboxyl group, a carbonyl group, a cycloalkyl group (preferably 3 to 10 carbon atoms), an aryl group (preferably 6 to 14 carbon atoms), an alkoxy group (preferably 1 to 10 carbon atoms), an acyl group (preferably 2 to 20 carbon atoms), an acyloxy group (preferably 2 to 10 carbon atoms), an alkoxycarbonyl group (preferably 2 to 20 carbon atoms), an aminoacyl group (preferably 2 to 20 carbon atoms) and the like. Further, with respect to the ring structure of the aryl group, cycloalkyl group, etc., an alkyl group (preferably 1 to 20 carbon atoms, more preferably 1 to 10 carbon atoms) can be mentioned as a substituent. Further, with respect to the aminoacyl group, one or two alkyl groups (each preferably 1 to 20 carbon atoms, more preferably 1 to 10 carbon atoms) can be mentioned as substituents. As the substituted alkyl groups, there can be mentioned, for example, perfluoroalkyl groups, such as a perfluoromethyl group, a perfluoroethyl group, a perfluoropropyl group and a perfluorobutyl group.
When B is —N(Rx)-, it is preferred for R and Rx to be bonded to each other to thereby form a ring. When a ring structure is formed, the stability thereof is enhanced, and thus the storage stability of the composition containing the same is enhanced. The number of carbon atoms constituting the ring is preferably in the range of 4 to 20. The ring may be monocyclic or polycyclic, and an oxygen atom, a sulfur atom or a nitrogen atom may be introduced in the ring.
As the monocyclic structure, there can be mentioned a 4- to 8-membered ring containing a nitrogen atom, or the like. As the polycyclic structure, there can be mentioned structures each resulting from a combination of two, three or more monocyclic structures. Substituents may be introduced in the monocyclic structure and polycyclic structure. As preferred substituents, there can be mentioned, for example, a halogen atom, a hydroxyl group, a cyano group, a carboxyl group, a carbonyl group, a cycloalkyl group (preferably 3 to 10 carbon atoms), an aryl group (preferably 6 to 14 carbon atoms), an alkoxy group (preferably 1 to 10 carbon atoms), an acyl group (preferably 2 to 15 carbon atoms), an acyloxy group (preferably 2 to 15 carbon atoms), an alkoxycarbonyl group (preferably 2 to 15 carbon atoms), an aminoacyl group (preferably 2 to 20 carbon atoms) and the like. Further, with respect to the ring structure of the aryl group, cycloalkyl group, etc., an alkyl group (preferably 1 to 15 carbon atoms) can be mentioned as a substituent. Further, with respect to the aminoacyl group, one or more alkyl groups (each preferably 1 to 15 carbon atoms) can be mentioned as substituents.
Among the compounds of general formula (PA-1), the compounds wherein the Q-moiety is sulfonic acid can be synthesized by using a common sulfonamidation reaction. For example, these compounds can be synthesized by a method in which one sulfonyl halide moiety of a bissulfonyl halide compound is caused to selectively react with an amine compound to thereby form a sulfonamido bond and thereafter the other sulfonyl halide moiety is hydrolyzed, or alternatively by a method in which a cyclic sulfonic anhydride is caused to react with an amine compound to thereby effect a ring opening.
Now, the compounds of general formula (PA-II) will be described.
Q1-X1—NH—X2-Q2 (PA-II)
Q1-X1—NH—X2-Q2 (PA-II)
In general formula (PA-II),
each of Q1 and Q2 independently represents a monovalent organic group, provided that either Q1 or Q2 contains a basic functional group. Q1 and Q2 may be bonded to each other to thereby form a ring, the ring containing a basic functional group.
Each of X1 and X2 independently represents —CO— or —SO2—.
In the formula, —NH— corresponds to the acid functional group produced upon exposure to actinic rays or radiation.
The monovalent organic group represented by each of Q1 and Q2 in general formula (PA-II) preferably has 1 to 40 carbon atoms. As such, there can be mentioned, for example, an alkyl group, a cycloalkyl group, an aryl group, an aralkyl group, an alkenyl group or the like.
A substituent may be introduced in the alkyl group represented by each of Q1 and Q2. The alkyl group is preferably a linear or branched alkyl group having 1 to 30 carbon atoms. An oxygen atom, a sulfur atom or a nitrogen atom may be introduced in the alkyl chain.
A substituent may be introduced in the cycloalkyl group represented by each of Q1 and Q2. The cycloalkyl group preferably has 3 to 20 carbon atoms. An oxygen atom or a nitrogen atom may be introduced in the ring.
A substituent may be introduced in the aryl group represented by each of Q1 and Q2. The aryl group preferably has 6 to 14 carbon atoms.
A substituent may be introduced in the aralkyl group represented by each of Q1 and Q2. The aralkyl group preferably has 7 to 20 carbon atoms.
A substituent may be introduced in the alkenyl group represented by each of Q1 and Q2. For example, there can be mentioned groups each resulting from the introduction of a double bond at an arbitrary position of any of the above alkyl groups.
As substituents that may be introduced in these groups, there can be mentioned those set forth above by way of example as being introducible in the groups of general formula (PA-I).
As preferred partial structures of the basic functional groups contained in at least either Q1 or Q2, there can be mentioned those described above as the basic functional groups contained in R of general formula (PA-I).
As the structure in which Q1 and Q2 are bonded to each other to thereby form a ring, the ring containing a basic functional group, there can be mentioned, for example, a structure in which the organic groups represented by Q1 and Q2 are bonded to each other by an alkylene group, an oxy group, an imino group or the like.
In general formula (PA-II), it is preferred for at least one of X1 and X2 to be —SO2—.
Below, the compounds of general formula (PA-III) will be described.
Q1-X1—NH—X2-A2-(X3)m—B-Q3 (PA-III)
Q1-X1—NH—X2-A2-(X3)m—B-Q3 (PA-III)
In general formula (PA-III),
each of Q1 and Q3 independently represents a monovalent organic group, provided that either Q1 or Q3 contains a basic functional group. Q1 and Q3 may be bonded to each other to thereby form a ring, the ring containing a basic functional group.
Each of X1, X2 and X3 independently represents —CO— or —SO2—.
A2 represents a bivalent connecting group.
B represents a single bond, an oxygen atom or —N(Qx)-.
Qx represents a hydrogen atom or a monovalent organic group.
When B is —N(Qx)-, Q3 and Qx may be bonded to each other to thereby form a ring.
m is 0 or 1.
In the formula, —NH— corresponds to the acid functional group produced upon exposure to actinic rays or radiation.
Q1 has the same meaning as that of Q1 of general formula (PA-II).
As the organic groups represented by Q3, there can be mentioned those set forth above as being represented by Q1 and Q2 of general formula (PA-II).
The bivalent connecting group represented by A2 is preferably a bivalent connecting group having 1 to 8 carbon atoms in which a fluorine atom is introduced. As such, there can be mentioned, for example, an alkylene group having 1 to 8 carbon atoms in which a fluorine atom is introduced, a phenylene group in which a fluorine atom is introduced, or the like. An alkylene group containing a fluorine atom is more preferred, which has preferably 2 to 6 carbon atoms, more preferably 2 to 4 carbon atoms. A connecting group, such as an oxygen atom or a sulfur atom, may be introduced in the alkylene chain. In particular, an alkylene group, 30 to 100% of the hydrogen atoms of which are substituted with fluorine atoms, is preferred. Further, perfluoroalkylene groups are preferred. Perfluoroalkylene groups each having 2 to 4 carbon atoms are most preferred.
The monovalent organic group represented by Qx preferably has 4 to 30 carbon atoms. As such, there can be mentioned, for example, an alkyl group, a cycloalkyl group, an aryl group, an aralkyl group, an alkenyl group or the like. As the alkyl group, cycloalkyl group, aryl group, aralkyl group and alkenyl group, there can be mentioned those set forth above as being represented by Rx of general formula (PA-I).
In general formula (PA-III), it is preferred for each of X1, X2 and X3 to be —SO2—.
The compounds (PA) are preferably sulfonium salt compounds from the compounds of general formulae (PA-I), (PA-II) and (PA-III) and iodonium salt compounds from the compounds of general formulae (PA-I), (PA-II) and (PA-III), more preferably the compounds of general formulae (PA1) and (PA2) below.
In general formula (PA1),
each of R201, R202 and R203 independently represents an organic group. In particular, these are the same as R201, R202 and R203 of formula ZI mentioned above in connection with the acid generator.
X− represents a sulfonate anion or carboxylate anion resulting from the cleavage of a hydrogen atom from the —SO3H moiety or —COOH moiety of each of the compounds of general formula (PA-I), or an anion resulting from the cleavage of a hydrogen atom from the —NH— moiety of each of the compounds of general formulae (PA-II) and (PA-III).
In general formula (PA2) above,
each of R204 and R205 independently represents an aryl group, an alkyl group or a cycloalkyl group. In particular, these are the same as R204 and R205 of formula ZII mentioned above in connection with the acid generator.
X− represents a sulfonate anion or carboxylate anion resulting from the cleavage of a hydrogen atom from the —SO3H moiety or —COOH moiety of each of the compounds of general formula (PA-I), or an anion resulting from the cleavage of a hydrogen atom from the —NH— moiety of each of the compounds of general formulae (PA-II) and (PA-III).
The compounds (PA) when exposed to actinic rays or radiation are decomposed to thereby produce, for example, the compounds of general formulae (PA-I), (PA-II) and (PA-III).
Each of the compounds of general formula (PA-I) contains a sulfonic acid group or a carboxylic acid group together with a basic functional group or an ammonium group, so that it is a compound having its basicity lowered as compared with that of the compound (PA) or dissipated, or having its basicity converted to acidity.
Each of the compounds of general formulae (PA-II) and (PA-III) contains an organic sulfonylimino group or an organic carbonylimino group together with a basic functional group, so that it is a compound having its basicity lowered as compared with that of the compound (PA) or dissipated, or having its basicity converted to acidity.
In the present invention, the lowering of basicity upon exposure to actinic rays or radiation means that the acceptor properties for the proton (acid produced by exposure to actinic rays or radiation) of the compound (PA) are lowered by exposure to actinic rays or radiation. The lowering of acceptor properties means that when an equilibrium reaction in which a noncovalent-bond complex being a proton adduct is formed from a proton and a compound containing a basic functional group occurs, or when an equilibrium reaction in which the counter cation of a compound containing an ammonium group is replaced by a proton occurs, the equilibrium constant of the chemical equilibrium is lowered.
When the compound (PA) whose basicity is lowered upon exposure to actinic rays or radiation is contained in the resist film, in nonexposed areas, the acceptor properties of the compound (PA) are fully exhibited, so that any unintended reaction between the acid diffused from exposed areas, etc. and the resin (A) can be suppressed. In exposed areas, the acceptor properties of the compound (PA) are lowered, so that the intended reaction between the acid and the resin (A) occurs with high certainty. It is presumed that, by virtue of the contribution of this activity mechanism, a pattern excelling in line width roughness (LWR), focus latitude (depth of focus DOF) and pattern shape can be obtained.
The basicity can be ascertained by performing pH measurement. Also, calculated values of basicity can be obtained by utilizing commercially available software.
As particular examples of the compounds (PA) whose basicity is lowered upon exposure to actinic rays or radiation, there can be mentioned, for example, those described in JP-A-2006-208781 and JP-A-2006-330098.
Particular examples of the compounds (PA) that produce the compounds of general formula (PA-I) upon exposure to actinic rays or radiation are shown below, which in no way limit the scope of the present invention.
These compounds can be easily synthesized from the compounds of general formula (PA-I), or a lithium, sodium or potassium salt thereof, and a hydroxide, bromide or chloride of iodonium or sulfonium, etc. by the salt exchange method described in Jpn. PCT National Publication No. H11-501909 and JP-A-2003-246786. Also, the synthesis can be performed in accordance with the method described in JP-A-H7-333851.
Particular examples of the compounds (PA) that produce the compounds of general formulae (PA-II) and (PA-III) upon exposure to actinic rays or radiation are shown below, which in no way limit the scope of the present invention.
These compounds can be easily synthesized by using a common sulfonic-esterification reaction or sulfonamidation reaction. For example, these compounds can be synthesized by a method in which one sulfonyl halide moiety of a bissulfonyl halide compound is caused to selectively react with, for example, an amine or alcohol containing the partial structure of general formula (PA-II) or (PA-III) to thereby form a sulfonamido bond or a sulfonic ester bond and thereafter the other sulfonyl halide moiety is hydrolyzed, or alternatively by a method in which a cyclic sulfonic anhydride has its ring opened by an amine or alcohol containing the partial structure of general formula (PA-II). The above amine and alcohol each containing the partial structure of general formula (PA-II) or (PA-III) can be synthesized by causing an amine and an alcohol to react, in basic condition, with an anhydride, such as (R′O2C)2O or (R′SO2)2O, or an acid chloride compound, such as R′O2CCl or R′SO2Cl (in the formulae, R′ is a methyl group, an n-octyl group, a trifluoromethyl group or the like). In particular, the synthesis can be performed in accordance with, for example, the synthesis examples given in JP-A-2006-330098.
The molecular weight of the compounds (PA) is preferably in the range of 500 to 1000.
When the resist composition of the present invention contains any of the compounds (PA), the content thereof based on the solids of the composition is preferably in the range of 0.1 to 20 mass %, more preferably 0.1 to 10 mass %.
Any of the compounds (PA) may be used alone, or two or more thereof may be used in combination. The compounds (PA) may be used in combination with the above-mentioned basic compounds.
[4-9] Other Additive (I)
The resist composition of the present invention according to necessity can further be loaded with a dye, a plasticizer, a photosensitizer, a light absorber, a dissolution inhibitor, a dissolution accelerator, etc.
The total solid content of the resist composition of the present invention is generally in the range of 1.0 to 10 mass %, preferably 2.0 to 5.7 mass % and more preferably 2.0 to 5.3 mass %. When the solid content falls within the above range, the resist solution can be uniformly applied onto a substrate, and a resist pattern excelling in line edge roughness can be formed. The reason therefor has not been elucidated but is presumed to be that when the solid content is 10 mass % or less, preferably 5.7 mass % or less, the aggregation of materials, especially the photoacid generator, contained in the resist solution can be suppressed with the result that a uniform resist film can be formed.
The solid content refers to the percentage of the mass of resist components other than the solvent in the total mass of the resist composition.
The present invention will be described in greater detail below by way of its examples. However, the present invention is in no way limited to these examples.
In a nitrogen gas stream, 40 g of a 6:4 (mass ratio) mixed solvent of propylene glycol monomethyl ether acetate and propylene glycol monomethyl ether was placed in a three-necked flask and heated at 80° C. (solvent 1). The monomers corresponding to the following repeating units used in a molar ratio of 40/10/40/10 were dissolved in a 6:4 (mass ratio) mixed solvent of propylene glycol monomethyl ether acetate and propylene glycol monomethyl ether, thereby obtaining a 22 mass % monomer solution (400 g). Further, a polymerization initiator V-601 (produced by Wako Pure Chemical Industries, Ltd.) was added thereto in an amount of 8 mol % based on the monomers and dissolved. The thus obtained solution was dropped into the solvent 1 over a period of 6 hours. After the completion of the dropping, reaction was continued at 80° C. for 2 hours. The reaction liquid was allowed to stand still to cool and was dropped into a mixture consisting of 3600 ml of hexane and 400 ml of ethyl acetate. The thus precipitated powder was collected by filtration and dried, thereby obtaining 74 g of a desired resin (P-1). The weight average molecular weight of the obtained resin (P-1) was 10,000 and the dispersity (Mw/Mn) thereof was 1.6.
Synthesis of Monomer (4)
The following compound (1) was synthesized by the process described in International Publication No. 07/037213 (pamphlet).
Water amounting to 150.00 g was added to 35.00 g of compound (1), and 27.30 g of sodium hydroxide was further added to the mixture. The resultant mixture was agitated while heating under reflux for 9 hours. Subsequently, hydrochloric acid was added, thereby acidifying the mixture. The acidified mixture was extracted with ethyl acetate. The organic phase was collected, and concentrated, thereby obtaining 36.90 g of compound (2) (yield 93%).
1H-NMR (400 MHz in (CD3)2CO): σ (ppm)=1.56-1.59 (1H), 1.68-1.72 (1H), 2.13-2.15 (1H), 2.13-2.47 (2H), 3.49-3.51 (1H), 3.68 (1H), 4.45-4.46 (1H)
CHCl3 amounting to 200 ml was added to 20.00 g of compound (2), and 50.90 g of 1,1,1,3,3,3-hexafluoroisopropyl alcohol and 30.00 g of 4-dimethylaminopyridine were further added to the mixture and agitated. Thereafter, 22.00 g of 1-ethyl-3-(3-dimethylaminopropyl)carbodiimide hydrochloride was added to the obtained solution, and agitated for three hours. The thus obtained reaction solution was poured into 500 ml of 1N HCl, thereby terminating the reaction. The thus obtained organic phase was washed with 1N HCl and then water, and concentrated, thereby obtaining 30.00 g of compound (3) (yield 85%).
1H-NMR (400 MHz in (CD3)2CO): σ (ppm)=1.62 (1H), 1.91-1.95 (1H), 2.21-2.24 (1H), 2.45-2.53 (2H), 3.61-3.63 (1H), 3.76 (1H), 4.32-4.58 (1H), 6.46-6.53 (1H)
Toluene amounting to 300.00 g was added to 15.00 g of compound (3), and 3.70 g of methacrylic acid and 4.20 g of p-toluenesulfonic acid monohydrate were further added to the mixture. The resultant mixture was refluxed for 15 hours while removing the generated water by azeotropy. The thus obtained reaction liquid was concentrated, and the concentrate was purified by column chromatography. The amount of compound (4) thus obtained was 11.70 g (yield 65%).
1H-NMR (400 MHz in (CD3)2CO): σ (ppm)=1.76-1.79 (1H), 1.93 (3H), 2.16-2.22 (2H), 2.57-2.61 (1H), 2.76-2.81 (1H), 3.73-3.74 (1H), 4.73 (1H), 4.84-4.86 (1H), 5.69-5.70 (1H), 6.12 (1H), 6.50-6.56 (1H)
Synthesis of Hydrophobic Resin (6b)
The monomers corresponding to the repeating units shown below were charged in a molar ratio of 90/10 and dissolved in PGMEA, thereby obtaining 450 g of a solution of 15 mass % solid content. Thereafter, 1 mol % of polymerization initiator V-601 produced by Wako Pure Chemical Industries, Ltd. was added to the solution. The resultant mixture was dropped into 50 g of PGMEA heated at 100° C. in a nitrogen atmosphere over a period of 6 hours. After the completion of the dropping, the reaction liquid was agitated for two hours. After the completion of the reaction, the reaction liquid was cooled to room temperature and crystallized in 5 liters of methanol. The thus precipitated white powder was collected by filtration. Thus, a desired resin (6b) was recovered.
The polymer component ratio determined by NMR was 90/10. The standard-polystyrene-equivalent weight average molecular weight determined by GPC measurement was 12,000, and the molecular weight dispersity thereof was 1.5.
Resins (P-2) to (P-14) and hydrophobic resins (1b) to (5b) were synthesized in the same manner as in Synthetic Example 1, except that the monomers corresponding to individual repeating units were used so as to attain desired component ratios (molar ratios).
The structures of the resins (P-2) to (P-14) and hydrophobic resins (1b) to (6b) are shown below. The component ratios (molar ratios), weight average molecular weights and dispersities of the resins (P-2) to (P-14) and hydrophobic resins (1b) to (6b) including those of resin (P-1) mentioned above are given in Table 2.
| TABLE 2 | |||||
| Composition | |||||
| Resin | (molar ratio) | Mw | Mw/Mn | ||
| (P-1) | 40/10/40/10 | 10000 | 1.6 | ||
| (P-2) | 40/10/40/10 | 8000 | 1.3 | ||
| (P-3) | 40/10/40/10 | 6000 | 1.5 | ||
| (P-4) | 35/15/35/15 | 15000 | 1.5 | ||
| (P-5) | 30/40/30 | 7000 | 1.5 | ||
| (P-6) | 30/40/30 | 10000 | 1.6 | ||
| (P-7) | 30/40/30 | 8500 | 1.4 | ||
| (P-8) | 40/10/40/10 | 6500 | 1.4 | ||
| (P-9) | 30/40/30 | 9000 | 1.5 | ||
| (P-10) | 30/40/30 | 13000 | 1.6 | ||
| (P-11) | 40/10/40/10 | 6500 | 1.5 | ||
| (P-12) | 40/10/40/10 | 8500 | 1.6 | ||
| (P-13) | 30/40/30 | 9000 | 1.5 | ||
| (P-14) | 50/50 | 9500 | 1.6 | ||
| (1b) | 40/50/10 | 5000 | 1.3 | ||
| (2b) | 40/50/10 | 5000 | 1.4 | ||
| (3b) | 50/50 | 6000 | 1.6 | ||
| (4b) | 39/57/2/2 | 4000 | 1.3 | ||
| (5b) | 50/50 | 6000 | 1.6 | ||
| (6b) | 90/10 | 12000 | 1.5 | ||
Synthesis of Acid Generator (PAG-1 to PAG-13)
The photoacid generators (PAG-1) to (PAG-13) of the formulae shown below were synthesized from the compounds corresponding to these (B) components.
<Preparation of Resist and Top Coat Compositions>
The individual components of Table 3 below were dissolved in the solvents of Table 3 so that the total solid content became 3.5 mass % and passed through a polyethylene filter with a pore size of 0.03 μm, thereby obtaining resist compositions Ar-1 to Ar-26 and a top coat composition t-1 (concentration: 4 mass %).
| TABLE 3 | |||||||
| Resin | Acid | Compound | Crosslinking | Surfac- | Hydrophobic | Solvent | |
| (A) | generator | (H) | agent (C) | tant (F) | resin (HR) | mass | |
| Resist | mass/g | mass/g | (0.15 g) | (1.0 g) | mass/g | mass/g | ratio |
| Ar-1 | (P-1) | (PAG-1) | (B-1) | W-1 | (1b) | A3/B2 | |
| 10 | 0.8 | 0.04 | 0.06 | 80/20 | |||
| Ar-2 | (P-2) | (PAG-2) | (B-2) | (CL-1) | W-2 | (2b) | A1/A2/B1 |
| 10 | 0.8 | 0.04 | 0.06 | 50/4/46 | |||
| Ar-3 | (P-3) | (PAG-3) | (B-3) | — | — | (3b) | A1/B1 |
| 10 | 0.8 | 0.06 | 60/40 | ||||
| Ar-4 | (P-4) | (PAG-4/(PAG-1) | (B-4) | — | W-3 | — | A1/B2 |
| 10 | 1.2/0.3 | 0.04 | 80/20 | ||||
| Ar-5 | (P-5) | (PAG-5)/(PAG-6) | (B-5) | — | W-4 | (1b) | A2/B3 |
| 10 | 0.4/0.4 | 0.04 | 0.06 | 70/30 | |||
| Ar-6 | (P-6) | (PAG-6)/(PAG-7) | (B-6) | — | W-1 | (2b) | A3/B4 |
| 10 | 0.3/0.5 | 0.04 | 0.06 | 80/20 | |||
| Ar-7 | (P-7) | (PAG-7) | (B-7) | — | W-2 | (3b) | A3/B2 |
| 10 | 0.8 | 0.04 | 0.06 | 80/20 | |||
| Ar-8 | (P-8) | (PAG-8) | (B-1) | — | W-3 | (4b) | A1/A2/B1 |
| 10 | 0.8 | 0.04 | 0.06 | 50/4/46 | |||
| Ar-9 | 10) | (PAG-9) | (B-2) | — | W-4 | (5b) | A1/B1 |
| 5/5 | 0.8 | 0.04 | 0.06 | 60/40 | |||
| Ar-10 | (P-10) | (PAG-10)/(PAG-1) | (B-3) | — | W-1 | — | A1/B2 |
| 10 | 0.5/0.3 | 0.04 | 80/20 | ||||
| Ar-11 | (P-11) | (PAG-11)/(PAG-6) | (B-4) | (X-1) | W-2 | (1b) | A2/B3 |
| 10 | 0.4/0.4 | 0.04 | 0.06 | 70/30 | |||
| Ar-12 | (P-12) | (PAG-12)/(PAG-13) | (B-5) | (X-2) | W-3 | (2b) | A3/B4 |
| 10 | 0.3/0.5 | 0.04 | 0.06 | 80/20 | |||
| Ar-13 | (P-13) | (PAG-1) | (B-6) | (X-3) | W-4 | (3b) | A3/B2 |
| 10 | 0.8 | 0.04 | 0.06 | 80/20 | |||
| Ar-14 | (P-14) | (PAG-2) | (B-7) | — | W-1 | (4b) | A1/A2/B1 |
| 10 | 0.8 | 0.04 | 0.06 | 50/4/46 | |||
| Ar-15 | (P-1) | (PAG-3) | (B-1) | (X-4) | W-2 | (5b) | A1/B1 |
| 10 | 0.8 | 0.04 | 0.06 | 60/40 | |||
| Ar-16 | (P-2) | (PAG-4)/(PAG-1) | (B-2) | — | W-3 | (6b) | A1/B2 |
| 10 | 1.2/0.3 | 0.04 | 0.06 | 80/20 | |||
| Ar-17 | (P-3) | (PAG-5)/(PAG-6) | (B-3) | — | W-4 | (1b) | A2/B3 |
| 10 | 0.4/0.4 | 0.04 | 0.06 | 70/30 | |||
| Ar-18 | (P-4) | (PAG-6) | (B-4) | — | W-1 | (2b) | A3/B4 |
| 10 | 0.8 | 0.04 | 0.06 | 80/20 | |||
| Ar-19 | (P-5) | (PAG-7) | (B-5) | — | W-2 | (3b) | A3/B2 |
| 10 | 0.8 | 0.04 | 0.06 | 80/20 | |||
| Ar-20 | (P-6) | (PAG-8) | (B-6) | — | W-3 | (4b) | A1/A2/B1 |
| 10 | 0.8 | 0.04 | 0.06 | 50/4/46 | |||
| Ar-21 | (P-7) | (PAG-9)/(PAG-1) | (B-7) | — | W-4 | (5b) | A1/B1 |
| 10 | 0.5/0.3 | 0.04 | 0.06 | 60/40 | |||
| Ar-22 | (P-8) | (PAG-10)/(PAG-1) | (B-1) | — | W-1 | (6b) | A1/B2 |
| 10 | 0.5/0.3 | 0.04 | 0.06 | 80/20 | |||
| Ar-23 | (P-9) | (PAG-11)/(PAG-6) | (B-2) | — | W-2 | (1b) | A2/B3 |
| 10 | 0.4/0.4 | 0.04 | 0.06 | 70/30 | |||
| Ar-24 | (P-10) | (PAG-12)/(PAG-13) | (B-3) | (X-5) | W-3 | (2b) | A3/B4 |
| 10 | 0.3/0.5 | 0.04 | 0.06 | 80/20 | |||
| Ar-25 | (P-11) | (PAG-1) | (B-4) | (X-6) | W-4 | (3b) | A3/B2 |
| 10 | 0.8 | 0.04 | 0.06 | 80/20 | |||
| Ar-26 | (P-12) | (PAG-2) | (B-5) | (X-7) | W-1 | (4b) | A1/A2/B1 |
| 10 | 0.8 | 0.04 | 0.06 | 50/4/46 | |||
| t-1 | — | — | — | — | — | (2b) | C1 |
| 10 | 100 | ||||||
The abbreviations used in Table 3 have the following meanings.
B-1 to B-7: denote the following compounds.
X-1 to X-7, CL-1: denote the following compounds.
W-1: Megafac F176 (produced by Dainippon Ink & Chemicals, Inc.) (fluorinated),
W-2: Megafac R08 (produced by Dainippon Ink & Chemicals, Inc.) (fluorinated and siliconized),
W-3: polysiloxane polymer KP-341 (produced by Shin-Etsu Chemical Co., Ltd.) (siliconized),
W-4: PF6320 (produced by OMNOVA SOLUTIONS, INC.) (fluorinated),
A1: propylene glycol monomethyl ether acetate (PGMEA),
A2: γ-butyrolactone,
A3: cyclohexanone,
B1: propylene glycol monomethyl ether (PGME),
B2: ethyl lactate,
B3: 2-heptanone,
B4: propylene carbonate, and
C1: diisopentyl ether.
<Preparation and Purification of Developer>
In a nitrogen gas stream, 1000 g of butyl acetate and 1000 g of 2-heptanone were mixed together, agitated for 10 minutes, and passed through a polyethylene filter with a pore size of 0.005 μm, thereby obtaining a developer (D1-A). In the obtained developer (D1-A), the contents of 1-butanol and 2-heptanol were 1200 ppm and 900 ppm, respectively.
In contrast, each of butyl acetate and 2-heptanone was distilled at boiling point under a reduced pressure of 1.0 mmHg in a nitrogen atmosphere. Using the resultant butyl acetate and 2-heptanone, the same operation as mentioned above was carried out, thereby obtaining a developer (D1-B). In the obtained developer (D1-B), the contents of 1-butanol and 2-heptanol were 240 ppm and 150 ppm, respectively.
The alcohol content was calculated from the area % of each component as obtained by the gas chromatography measurement of the developer composition. The employed analytical conditions are as follows.
Instrument: Gas chromatograph GC-2010 manufactured by Shimadzu Corporation,
Column: HP-5, 30 m×0.32 mm ID×1.00 μm,
Carrier gas: He,
Makeup gas: He,
Vaporizing chamber temperature: 230° C.,
Detector: FID1/250° C., and
Oven: 100° C. (10 min).
Developers (D2-A) to (D5-B) were produced according to the same procedure as mentioned above except that the solvents indicated in Table 3 were used in given mass ratios. Further, 100 g of developer (D5-A) and 1900 g of developer (D5-B) were mixed together, agitated for 10 minutes, and passed through a polyethylene filter with a pore size of 0.005 μm, thereby obtaining a developer (D5-C). Table 4 shows the contents of alcohol compounds (X1) and (X2) in each of the obtained developers.
| TABLE 4 | |||||
| Compound (A1) | Compound (A2) | Compound (X1) | Compound (X2) | content | |
| Developer | (mass/g) | (mass/g) | (Content/ppm*) | (Content/ppm*) | (ppm*) |
| D1-A | n-butyl acetate | 2-heptanone | 1-butanol | 2-heptanol | 2100 |
| (1000) | (1000) | (1200) | (900) | ||
| D2-A | EEP | — | Ethanol | — | 700 |
| (2000) | (700) | ||||
| D3-A | Cyclohexyl acetate | Cyclohexanone | Cyclohexanol | Cyclohexanol | 1300 |
| (1700) | (300) | (1000) | (300) | ||
| D4-A | — | 2-heptanone | — | 2-heptanol | 1800 |
| (2000) | (1800) | ||||
| D5-A | n-butyl acetate | — | 1-butanol | — | 2400 |
| (2000) | (2400) | ||||
| D1-B | n-butyl acetate | 2-heptanone | 1-butanol | 2-heptanol | 490 |
| (1000) | (1000) | (240) | (150) | ||
| D2-B | EEP | — | Ethanol | — | 130 |
| (2000) | (130) | ||||
| D3-B | Cyclohexyl acetate | Cyclohexanone | Cyclohexanol | Cyclohexanol | 290 |
| (1700) | (300) | (200) | (90) | ||
| D4-B | — | 2-heptanone | — | 2-heptanol | 300 |
| (2000) | (300) | ||||
| D5-B | n-butyl acetate | — | 1-butanol | — | 480 |
| (2000) | (480) | ||||
| D5-C | n-butyl acetate | — | 1-butanol | — | 580 |
| (2000) | (580) | ||||
| *Content (ppm) based on the total mass of developer | |||||
Using each of the prepared resist compositions, a resist pattern was formed by the following method.
An organic antireflection film ARC29A (produced by Nissan Chemical Industries, Ltd.) was applied onto a silicon wafer of 8-inch caliber and baked at 205° C. for 60 seconds, thereby forming a 84 nm-thick antireflection film. Resist composition Ar-1 was applied thereonto and baked at 100° C. for 60 seconds, thereby forming a 100 nm-thick resist film. The resultant wafer was patternwise exposed through an exposure mask (6% HTPSM, line/space=75 nm/75 nm) by means of an ArF excimer laser scanner (manufactured by ASML, PAS5500/1100, NA 0.75, Dipole, outer sigma 0.89, inner sigma 0.65) in such an exposure amount that the line width of the line pattern became 75 nm. Thereafter, the exposed wafer was baked at 105° C. for 60 seconds. The thus baked wafer was developed by puddling the developer indicated in Table 4 for 30 seconds and rinsed by puddling the rinse liquid indicated in Table 4 for 30 seconds. The rinsed wafer was rotated at a rotating speed of 2000 rpm for 30 seconds and baked at 90° C. for 60 seconds. Thus, a 75 nm (1:1) line-and-space resist pattern was obtained.
A 75 nm (1:1) line-and-space resist pattern was produced in the same manner as in Example 1-A except that the resist and conditions indicated in Table 4 were employed.
An organic antireflection film ARC29SR (produced by Nissan Chemical Industries, Ltd.) was applied onto a silicon wafer of 12-inch caliber and baked at 205° C. for 60 seconds, thereby forming a 95 nm-thick antireflection film. Resist composition Ar-4 was applied thereonto and baked at 100° C. for 60 seconds, thereby forming a 100 nm-thick resist film. Further, top coat composition t-1 was applied thereonto and baked at 100° C. for 60 seconds, thereby forming a 100 nm-thick top coat film on the resist film. The resultant wafer was patternwise exposed through an exposure mask (6% HTPSM, line/space=65 nm/65 nm) by means of an ArF excimer laser liquid-immersion scanner (manufactured by ASML, XT1700i, NA 1.20, C-Quad, outer sigma 0.981, inner sigma 0.895, XY deflection) in such an exposure amount that the line width of the line pattern became 65 nm. Ultrapure water was used as the immersion liquid. Thereafter, the exposed wafer was baked at 105° C. for 60 seconds. The thus baked wafer was developed by puddling the developer indicated in Table 4 for 30 seconds and rinsed by puddling the rinse liquid indicated in Table 4 for 30 seconds. The rinsed wafer was rotated at a rotating speed of 2000 rpm for 30 seconds and baked at 90° C. for 60 seconds. Thus, a 65 nm (1:1) line-and-space resist pattern was obtained.
An organic antireflection film ARC29SR (produced by Nissan Chemical Industries, Ltd.) was applied onto a silicon wafer of 12-inch caliber and baked at 205° C. for 60 seconds, thereby forming a 95 nm-thick antireflection film. Resist composition Ar-6 was applied thereonto and baked at 100° C. for 60 seconds, thereby forming a 100 nm-thick resist film. The resultant wafer was patternwise exposed through an exposure mask (6% HTPSM, line/space=65 nm/65 nm) by means of an ArF excimer laser liquid-immersion scanner (manufactured by ASML, XT1700i, NA 1.20, C-Quad, outer sigma 0.981, inner sigma 0.895, XY deflection) in such an exposure amount that the line width of the line pattern became 65 nm. Ultrapure water was used as the immersion liquid. Thereafter, the exposed wafer was baked at 105° C. for 60 seconds. The thus baked wafer was developed by puddling the developer indicated in Table 4 for 30 seconds and rinsed by puddling the rinse liquid indicated in Table 4 for 30 seconds. The rinsed wafer was rotated at a rotating speed of 2000 rpm for 30 seconds and baked at 90° C. for 60 seconds. Thus, a 65 nm (1:1) line-and-space resist pattern was obtained.
A 65 nm (1:1) line-and-space resist pattern was produced in the same manner as in Example 6-A except that the resist and conditions indicated in Table 4 were employed.
An organic antireflection film ARC29A (produced by Nissan Chemical Industries, Ltd.) was applied onto a silicon wafer of 8-inch caliber and baked at 205° C. for 60 seconds, thereby forming a 84 nm-thick antireflection film. Resist composition Ar-13 was applied thereonto and baked at 100° C. for 60 seconds, thereby forming a 100 nm-thick resist film. The resultant wafer was patternwise exposed through an exposure mask (6% HTPSM, line/space=75 nm/75 nm) by means of an ArF excimer laser scanner (manufactured by ASML, PAS5500/1100, NA 0.75, Dipole, outer sigma 0.89, inner sigma 0.65) in such an exposure amount that the line width of the line pattern became 75 nm. Thereafter, the exposed wafer was baked at 105° C. for 60 seconds. The thus baked wafer was developed by puddling the developer indicated in Table 4 for 30 seconds. The developed wafer was rotated at a rotating speed of 2000 rpm for 30 seconds and baked at 90° C. for 60 seconds. Thus, a 75 nm (1:1) line-and-space resist pattern was obtained.
An organic antireflection film ARC29A (produced by Nissan Chemical Industries, Ltd.) was applied onto a silicon wafer of 8-inch caliber and baked at 205° C. for 60 seconds, thereby forming a 84 nm-thick antireflection film. Resist composition Ar-16 was applied thereonto and baked at 100° C. for 60 seconds, thereby forming a 100 nm-thick resist film. The resultant wafer was patternwise exposed through an exposure mask (6% HTPSM, line/space=75 nm/75 nm) by means of an ArF excimer laser scanner (manufactured by ASML, PAS5500/1100, NA 0.75, Dipole, outer sigma 0.89, inner sigma 0.65) in such an exposure amount that the line width of the line pattern became 75 nm. Thereafter, the exposed wafer was baked at 105° C. for 60 seconds. The thus baked wafer was developed by puddling the developer indicated in Table 4 for 30 seconds and, while rotating the wafer at a rotating speed of 500 rpm, causing the rinse liquid indicated in Table 4 to flow over the wafer for 30 seconds. The rinsed wafer was rotated at a rotating speed of 2000 rpm for 30 seconds and baked at 90° C. for 60 seconds. Thus, a 75 nm (1:1) line-and-space resist pattern was obtained.
An organic antireflection film ARC29A (produced by Nissan Chemical Industries, Ltd.) was applied onto a silicon wafer of 8-inch caliber and baked at 205° C. for 60 seconds, thereby forming a 84 nm-thick antireflection film. Resist composition Ar-17 was applied thereonto and baked at 100° C. for 60 seconds, thereby forming a 100 nm-thick resist film. The resultant wafer was patternwise exposed through an exposure mask (6% HTPSM, line/space=75 nm/75 nm) by means of an ArF excimer laser scanner (manufactured by ASML, PAS5500/1100, NA 0.75, Dipole, outer sigma 0.89, inner sigma 0.65) in such an exposure amount that the line width of the line pattern became 75 nm. Thereafter, the exposed wafer was baked at 105° C. for 60 seconds. The thus baked wafer was developed by, while rotating the wafer at a rotating speed of 500 rpm, causing the developer indicated in Table 4 to flow over the wafer for 30 seconds and rinsed by puddling the rinse liquid indicated in Table 4 for 30 seconds. The rinsed wafer was rotated at a rotating speed of 2000 rpm for 30 seconds and baked at 90° C. for 60 seconds. Thus, a 75 nm (1:1) line-and-space resist pattern was obtained.
A 75 nm (1:1) line-and-space resist pattern was produced in the same manner as in Example 1-A except that an SiON substrate was used as a substrate with inorganic antireflection film.
In Examples 1-B to 27-B, 5-C, 10-C, 15-C, 20-C and 25-C, line-and-space resist patterns were produced in the same manner as in Examples 1-A to 27-A, 5-A, 10-A, 15-A, 20-A and 25-A, respectively, except that the developers indicated in Table 5 were used.
| TABLE 5 | |||||||||
| Top coat | Devel- | Abbreviated | |||||||
| Resist | PB | Top coat | bake | PEB | oper | Rinse liquid | process | ||
| Ex. 1-A | Ar-1 | 100° C. 60 s | Non | — | 105° C. 60 s | D1-A | 1-hexanol | E-B-D-R |
| Ex. 2-A | Ar-2 | 100° C. 60 s | Non | — | 105° C. 60 s | D2-A | 1-hexanol | E-B-D-R |
| Ex. 3-A | Ar-3 | 100° C. 60 s | Non | — | 105° C. 60 s | D3-A | 1-hexanol | E-B-D-R |
| Ex. 4-A | Ar-4 | 100° C. 60 s | t-1 | 100° C. 60 s | 105° C. 60 s | D4-A | 4-methyl-2-pentanol | tiE-B-D-R |
| Ex. 5-A | Ar-5 | 100° C. 60 s | Non | — | 105° C. 60 s | D5-A | 4-methyl-2-pentanol | E-B-D-R |
| Ex. 6-A | Ar-6 | 100° C. 60 s | Non | — | 105° C. 60 s | D1-A | 4-methyl-2-pentanol | iE-B-D-R |
| Ex. 7-A | Ar-7 | 100° C. 60 s | Non | — | 105° C. 60 s | D2-A | 4-methyl-2-pentanol | iE-B-D-R |
| Ex. 8-A | Ar-8 | 100° C. 60 s | Non | — | 105° C. 60 s | D3-A | Mixed solvent | iE-B-D-R |
| 1-hexanol:4-methyl-2- | ||||||||
| pentanol = 1:1 (mass ratop) | ||||||||
| Ex. 9-A | Ar-9 | 100° C. 60 s | Non | — | 105° C. 60 s | D4-A | 1-hexanol | iE-B-D-R |
| Ex. 10-A | Ar-10 | 100° C. 60 s | Non | — | 105° C. 60 s | D5-A | 1-hexanol | E-B-D-R |
| Ex. 11-A | Ar-11 | 100° C. 60 s | Non | — | 105° C. 60 s | D1-A | 1-hexanol | E-B-D-R |
| Ex. 12-A | Ar-12 | 100° C. 60 s | Non | — | 105° C. 60 s | D2-A | 1-hexanol | iE-B-D-R |
| Ex. 13-A | Ar-13 | 100° C. 60 s | Non | — | 105° C. 60 s | D3-A | Non | E-B-D |
| Ex. 14-A | Ar-14 | 100° C. 60 s | Non | — | 105° C. 60 s | D4-A | 4-methyl-2-pentanol | E-B-D-R |
| Ex. 15-A | Ar-15 | 100° C. 60 s | Non | — | 105° C. 60 s | D5-A | PGMEA | E-B-D-R |
| Ex. 16-A | Ar-16 | 100° C. 60 s | Non | — | 105° C. 60 s | D1-A | 4-methyl-2-pentanol | E-B-D-R2 |
| Ex. 17-A | Ar-17 | 100° C. 60 s | Non | — | 105° C. 60 s | D2-A | 4-methyl-2-pentanol | E-B-D2-R |
| Ex. 18-A | Ar-18 | 100° C. 60 s | Non | — | 105° C. 60 s | D3-A | 1-hexanol | E-B-D-R |
| Ex. 19-A | Ar-19 | 100° C. 60 s | Non | — | 105° C. 60 s | D4-A | 1-hexanol | E-B-D-R |
| Ex. 20-A | Ar-20 | 100° C. 60 s | Non | — | 105° C. 60 s | D5-A | 1-hexanol | E-B-D-R |
| Ex. 21-A | Ar-21 | 100° C. 60 s | Non | — | 105° C. 60 s | D1-A | 1-hexanol | E-B-D-R |
| Ex. 22-A | Ar-22 | 100° C. 60 s | Non | — | 105° C. 60 s | D2-A | 1-hexanol | E-B-D-R |
| Ex. 23-A | Ar-23 | 100° C. 60 s | Non | — | 105° C. 60 s | D3-A | 1-hexanol | E-B-D-R |
| Ex. 24-A | Ar-24 | 100° C. 60 s | Non | — | 105° C. 60 s | D4-A | 1-hexanol | iE-B-D-R |
| Ex. 25-A | Ar-25 | 100° C. 60 s | Non | — | 105° C. 60 s | D5-A | 4-methyl-2-pentanol | iE-B-D-R |
| Ex. 26-A | Ar-26 | 100° C. 60 s | Non | — | 105° C. 60 s | D1-A | 4-methyl-2-pentanol | E-B-D-R |
| Ex. 27-A | Ar-2 | 100° C. 60 s | Non | — | 105° C. 60 s | D2-A | 1-hexanol | I-E-B-D-R |
| Ex. 1-B | Ar-1 | 100° C. 60 s | Non | — | 105° C. 60 s | D1-B | 1-hexanol | E-B-D-R |
| Ex. 2-B | Ar-2 | 100° C. 60 s | Non | — | 105° C. 60 s | D2-B | 1-hexanol | E-B-D-R |
| Ex. 3-B | Ar-3 | 100° C. 60 s | Non | — | 105° C. 60 s | D3-B | 1-hexanol | E-B-D-R |
| Ex. 4-B | Ar-4 | 100° C. 60 s | t-1 | 100° C. 60 s | 105° C. 60 s | D4-B | 4-methyl-2-pentanol | tiE-B-D-R |
| Ex. 5-B | Ar-5 | 100° C. 60 s | Non | — | 105° C. 60 s | D5-B | 4-methyl-2-pentanol | E-B-D-R |
| Ex. 6-B | Ar-6 | 100° C. 60 s | Non | — | 105° C. 60 s | D1-B | 4-methyl-2-pentanol | iE-B-D-R |
| Ex. 7-B | Ar-7 | 100° C. 60 s | Non | — | 105° C. 60 s | D2-B | 4-methyl-2-pentanol | iE-B-D-R |
| Ex. 8-B | Ar-8 | 100° C. 60 s | Non | — | 105° C. 60 s | D3-B | Mixed solvent | iE-B-D-R |
| 1-hexanol:4-methyl-2- | ||||||||
| pentanol = 1:1 (mass ratop) | ||||||||
| Ex. 9-B | Ar-9 | 100° C. 60 s | Non | — | 105° C. 60 s | D4-B | 1-hexanol | iE-B-D-R |
| Ex. 10-B | Ar-10 | 100° C. 60 s | Non | — | 105° C. 60 s | D5-B | 1-hexanol | E-B-D-R |
| Ex. 11-B | Ar-11 | 100° C. 60 s | Non | — | 105° C. 60 s | D1-B | 1-hexanol | E-B-D-R |
| Ex. 12-B | Ar-12 | 100° C. 60 s | Non | — | 105° C. 60 s | D2-B | 1-hexanol | iE-B-D-R |
| Ex. 13-B | Ar-13 | 100° C. 60 s | Non | — | 105° C. 60 s | D3-B | Non | E-B-D |
| Ex. 14-B | Ar-14 | 100° C. 60 s | Non | — | 105° C. 60 s | D4-B | 4-methyl-2-pentanol | E-B-D-R |
| Ex. 15-B | Ar-15 | 100° C. 60 s | Non | — | 105° C. 60 s | D5-B | PGMEA | E-B-D-R |
| Ex. 16-B | Ar-16 | 100° C. 60 s | Non | — | 105° C. 60 s | D1-B | 4-methyl-2-pentanol | E-B-D-R2 |
| Ex. 17-B | Ar-17 | 100° C. 60 s | Non | — | 105° C. 60 s | D2-B | 4-methyl-2-pentanol | E-B-D2-R |
| Ex. 18-B | Ar-18 | 100° C. 60 s | Non | — | 105° C. 60 s | D3-B | 1-hexanol | E-B-D-R |
| Ex. 19-B | Ar-19 | 100° C. 60 s | Non | — | 105° C. 60 s | D4-B | 1-hexanol | E-B-D-R |
| Ex. 20-B | Ar-20 | 100° C. 60 s | Non | — | 105° C. 60 s | D5-B | 1-hexanol | E-B-D-R |
| Ex. 21-B | Ar-21 | 100° C. 60 s | Non | — | 105° C. 60 s | D1-B | 1-hexanol | E-B-D-R |
| Ex. 22-B | Ar-22 | 100° C. 60 s | Non | — | 105° C. 60 s | D2-B | 1-hexanol | E-B-D-R |
| Ex. 23-B | Ar-23 | 100° C. 60 s | Non | — | 105° C. 60 s | D3-B | 1-hexanol | E-B-D-R |
| Ex. 24-B | Ar-24 | 100° C. 60 s | Non | — | 105° C. 60 s | D4-B | 1-hexanol | iE-B-D-R |
| Ex. 25-B | Ar-25 | 100° C. 60 s | Non | — | 105° C. 60 s | D5-B | 4-methyl-2-pentanol | iE-B-D-R |
| Ex. 26-B | Ar-26 | 100° C. 60 s | Non | — | 105° C. 60 s | D1-B | 4-methyl-2-pentanol | E-B-D-R |
| Ex. 27-B | Ar-2 | 100° C. 60 s | Non | — | 105° C. 60 s | D2-B | 1-hexanol | I-E-B-D-R |
| Ex. 5-C | Ar-5 | 100° C. 60 s | Non | — | 105° C. 60 s | D5-C | 4-methyl-2-pentanol | E-B-D-R |
| Ex. 10-C | Ar-10 | 100° C. 60 s | Non | — | 105° C. 60 s | D5-C | 1-hexanol | E-B-D-R |
| Ex. 15-C | Ar-15 | 100° C. 60 s | Non | — | 105° C. 60 s | D5-C | PGMEA | E-B-D-R |
| Ex. 20-C | Ar-20 | 100° C. 60 s | Non | — | 105° C. 60 s | D5-C | 1-hexanol | E-B-D-R |
| Ex. 25-C | Ar-25 | 100° C. 60 s | Non | — | 105° C. 60 s | D5-C | 4-methyl-2-pentanol | iE-B-D-R |
In Table 5, PB means the bake prior to exposure, and PEB means the post-exposure bake. In the columns “PB,” “PEB” and “top coat bake,” for example, the expression “100° C.60s” means baking at 100° C. for 60 seconds.
<Evaluation Method>
[Defect of Foreign Matter Sticking]
With respect to each of the patterns, random-mode measurement was carried out by means of a defect inspection apparatus KLA2360 (trade name) manufactured by KLA-Tencor Corporation. In the defect inspection apparatus, the pixel size was set at 0.16 μm and the threshold value at 20. Any difference generated by superimposition between a comparative image and the pixel unit was extracted, and any defects appearing in the pattern formation region within each of the wafers of Examples were detected. The thus detected defects were observed by means of SEM model S9380II (manufactured by Hitachi, Ltd.). Defects with the morphologies of FIG. 1 and FIG. 2 were regarded as foreign matter sticking defects, and the number of foreign matter sticking defects within development defects was counted. The density of foreign matter sticking defects was calculated by dividing the counted number by the area of the inspection region of respective Example. The results are given in Table 6.
| TABLE 6 | |||
| Defect of foreign | |||
| matter sticking/ | |||
| Developer | cm2 | ||
| Ex. 1-A | D1-A | 0.67 | ||
| Ex. 2-A | D2-A | 0.53 | ||
| Ex. 3-A | D3-A | 0.56 | ||
| Ex. 4-A | D4-A | 0.43 | ||
| Ex. 5-A | D5-A | 0.49 | ||
| Ex. 6-A | D1-A | 0.39 | ||
| Ex. 7-A | D2-A | 0.68 | ||
| Ex. 8-A | D3-A | 0.58 | ||
| Ex. 9-A | D4-A | 0.58 | ||
| Ex. 10-A | D5-A | 0.51 | ||
| Ex. 11-A | D1-A | 0.42 | ||
| Ex. 12-A | D2-A | 0.36 | ||
| Ex. 13-A | D3-A | 0.75 | ||
| Ex. 14-A | D4-A | 0.52 | ||
| Ex. 15-A | D5-A | 0.49 | ||
| Ex. 16-A | D1-A | 0.61 | ||
| Ex. 17-A | D2-A | 0.43 | ||
| Ex. 18-A | D3-A | 0.56 | ||
| Ex. 19-A | D4-A | 0.61 | ||
| Ex. 20-A | D5-A | 0.48 | ||
| Ex. 21-A | D1-A | 0.53 | ||
| Ex. 22-A | D2-A | 0.65 | ||
| Ex. 23-A | D3-A | 0.59 | ||
| Ex. 24-A | D4-A | 0.41 | ||
| Ex. 25-A | D5-A | 0.67 | ||
| Ex. 26-A | D1-A | 0.49 | ||
| Ex. 27-A | D2-A | 0.50 | ||
| Ex. 1-B | D1-B | 0.05 | ||
| Ex. 2-B | D2-B | 0.01 | ||
| Ex. 3-B | D3-B | 0.01 | ||
| Ex. 4-B | D4-B | 0.03 | ||
| Ex. 5-B | D5-B | 0.05 | ||
| Ex. 6-B | D1-B | 0.05 | ||
| Ex. 7-B | D2-B | 0.01 | ||
| Ex. 8-B | D3-B | 0.01 | ||
| Ex. 9-B | D4-B | 0.02 | ||
| Ex. 10-B | D5-B | 0.03 | ||
| Ex. 11-B | D1-B | 0.04 | ||
| Ex. 12-B | D2-B | 0.01 | ||
| Ex. 13-B | D3-B | 0.02 | ||
| Ex. 14-B | D4-B | 0.03 | ||
| Ex. 15-B | D5-B | 0.04 | ||
| Ex. 16-B | D1-B | 0.04 | ||
| Ex. 17-B | D2-B | 0.01 | ||
| Ex. 18-B | D3-B | 0.01 | ||
| Ex. 19-B | D4-B | 0.02 | ||
| Ex. 20-B | D5-B | 0.03 | ||
| Ex. 21-B | D1-B | 0.05 | ||
| Ex. 22-B | D2-B | 0.02 | ||
| Ex. 23-B | D3-B | 0.01 | ||
| Ex. 24-B | D4-B | 0.02 | ||
| Ex. 25-B | D5-B | 0.04 | ||
| Ex. 26-B | D1-B | 0.04 | ||
| Ex. 27-B | D2-B | 0.01 | ||
| Ex. 5-C | D5-C | 0.37 | ||
| Ex. 10-C | D5-C | 0.46 | ||
| Ex. 15-C | D5-C | 0.42 | ||
| Ex. 20-C | D5-C | 0.40 | ||
| Ex. 25-C | D5-C | 0.56 | ||
It is apparent from Table 5 that a pattern realizing the suppression of foreign matter sticking defects can be stably formed by carrying out the pattern formation with the use of the developer according to the present invention.
Claims (12)
1. A developer for chemically amplified resist for use in a method of forming a pattern,
wherein the developer contains an organic solvent, and an alcohol compound (X) at a content of not more than 500 ppm based on the total mass of the developer, and
wherein the developer contains substantially no water.
2. The developer for chemically amplified resist according to claim 1 ,
wherein the developer contains at least one organic solvent selected from among ester compounds (A1) and ketone compounds (A2), and
the developer contains an alcohol compound (X1) with a structure resulting from hydrolysis of any of the ester compounds (A1) and an alcohol compound (X2) with a structure resulting from reduction of any of the ketone compounds (A2) at a content of the sum thereof of not more than 500 ppm based on the total mass of the developer.
3. The developer for chemically amplified resist according to claim 2 , wherein at least one of the alcohol compounds (X1) and the alcohol compounds (X2) is a monohydric alcohol having 7 or less carbon atoms.
4. The developer for chemically amplified resist according to claim 2 ,
wherein
the ester compound is at least one of n-butyl acetate, cyclohexyl acetate and ethyl 3-ethoxypropionate, and
the ketone compound is at least one of 2-heptanone and cyclohexanone.
5. The developer for chemically amplified resist according to claim 2 , wherein the alcohol compound (X1) and the alcohol compound (X2) are at least one of 1-butanol, 2-heptanol, ethanol and cyclohexanol.
6. The developer for chemically amplified resist according to claim 2 , wherein the ester compound is n-butyl acetate.
7. The developer for chemically amplified resist according to claim 2 , wherein the ketone compound is 2-heptanone.
8. The developer for chemically amplified resist according to claim 2 , wherein the ester compound is at least one of methyl acetate, n-butyl acetate, ethyl acetate, isopropyl acetate, amyl acetate, propylene glycol monomethyl ether acetate, ethylene glycol monoethyl ether acetate, diethylene glycol monobutyl ether acetate, diethylene glycol monoethyl ether acetate, ethyl 3-ethoxypropionate, 3-methoxybutyl acetate, 3-methyl-3-methoxybutyl acetate, methyl formate, ethyl formate, butyl formate, propyl formate and cyclohexyl acetate.
9. The developer for chemically amplified resist according to claim 2 , wherein the ketone compound is at least one of 1-octanone, 2-octanone, 1-nonanone, 2-nonanone, acetone, 2-heptanone, 3-heptanone, 4-heptanone, 1-hexanone, 2-hexanone, diisobutyl ketone, methyl amyl ketone, cyclohexanone, methylcyclohexanone, phenylacetone, methyl ethyl ketone, methyl isobutyl ketone, acetylacetone, acetonylacetone, ionone, acetophenone, methyl naphthyl ketone, isophorone and propylene carbonate.
10. The developer for chemically amplified resist according to claim 1 , wherein the organic solvent is purified by distillation.
11. The developer for chemically amplified resist according to claim 1 , wherein the developer contains substantially only one type of the organic solvent.
12. The developer for chemically amplified resist according to claim 11 , wherein the substantially only one type of organic solvent is n-butyl acetate.
Priority Applications (2)
| Application Number | Priority Date | Filing Date | Title |
|---|---|---|---|
| US14/749,035 US9482958B2 (en) | 2010-06-30 | 2015-06-24 | Method of forming pattern and developer for use in the method |
| US15/235,675 US9897922B2 (en) | 2010-06-30 | 2016-08-12 | Method of forming pattern and developer for use in the method |
Applications Claiming Priority (6)
| Application Number | Priority Date | Filing Date | Title |
|---|---|---|---|
| JP2010150180 | 2010-06-30 | ||
| JP2010-150180 | 2010-06-30 | ||
| JP2011-135554 | 2011-06-17 | ||
| JP2011135554A JP5719698B2 (en) | 2010-06-30 | 2011-06-17 | Pattern forming method and developer used for the pattern forming method |
| US13/172,273 US9097973B2 (en) | 2010-06-30 | 2011-06-29 | Method of forming pattern and developer for use in the method |
| US14/749,035 US9482958B2 (en) | 2010-06-30 | 2015-06-24 | Method of forming pattern and developer for use in the method |
Related Parent Applications (1)
| Application Number | Title | Priority Date | Filing Date |
|---|---|---|---|
| US13/172,273 Continuation US9097973B2 (en) | 2010-06-30 | 2011-06-29 | Method of forming pattern and developer for use in the method |
Related Child Applications (1)
| Application Number | Title | Priority Date | Filing Date |
|---|---|---|---|
| US15/235,675 Continuation US9897922B2 (en) | 2010-06-30 | 2016-08-12 | Method of forming pattern and developer for use in the method |
Publications (2)
| Publication Number | Publication Date |
|---|---|
| US20150293454A1 US20150293454A1 (en) | 2015-10-15 |
| US9482958B2 true US9482958B2 (en) | 2016-11-01 |
Family
ID=45399961
Family Applications (3)
| Application Number | Title | Priority Date | Filing Date |
|---|---|---|---|
| US13/172,273 Active US9097973B2 (en) | 2010-06-30 | 2011-06-29 | Method of forming pattern and developer for use in the method |
| US14/749,035 Active US9482958B2 (en) | 2010-06-30 | 2015-06-24 | Method of forming pattern and developer for use in the method |
| US15/235,675 Active US9897922B2 (en) | 2010-06-30 | 2016-08-12 | Method of forming pattern and developer for use in the method |
Family Applications Before (1)
| Application Number | Title | Priority Date | Filing Date |
|---|---|---|---|
| US13/172,273 Active US9097973B2 (en) | 2010-06-30 | 2011-06-29 | Method of forming pattern and developer for use in the method |
Family Applications After (1)
| Application Number | Title | Priority Date | Filing Date |
|---|---|---|---|
| US15/235,675 Active US9897922B2 (en) | 2010-06-30 | 2016-08-12 | Method of forming pattern and developer for use in the method |
Country Status (4)
| Country | Link |
|---|---|
| US (3) | US9097973B2 (en) |
| JP (1) | JP5719698B2 (en) |
| KR (1) | KR101719664B1 (en) |
| TW (1) | TWI519908B (en) |
Cited By (1)
| Publication number | Priority date | Publication date | Assignee | Title |
|---|---|---|---|---|
| US20160349620A1 (en) * | 2010-06-30 | 2016-12-01 | Fujifilm Corporation | Method of forming pattern and developer for use in the method |
Families Citing this family (29)
| Publication number | Priority date | Publication date | Assignee | Title |
|---|---|---|---|---|
| US8671856B2 (en) | 2009-02-02 | 2014-03-18 | Deere & Company | Planting unit for a seeding machine having blocking member to control hand-off of seed from a seed meter to a seed delivery system |
| US8850995B2 (en) | 2009-02-02 | 2014-10-07 | Deere & Company | Seeding machine with seed delivery system |
| JP2012181523A (en) * | 2011-02-28 | 2012-09-20 | Rohm & Haas Electronic Materials Llc | Developer composition and method of forming photolithographic pattern |
| US8850998B2 (en) | 2011-03-25 | 2014-10-07 | Deere & Company | Planting unit for a seeding machine having a seed meter and seed delivery system |
| JP5793331B2 (en) * | 2011-04-05 | 2015-10-14 | 東京応化工業株式会社 | Resist composition and resist pattern forming method |
| JP5873250B2 (en) * | 2011-04-27 | 2016-03-01 | 東京応化工業株式会社 | Resist pattern forming method |
| JP5852851B2 (en) * | 2011-11-09 | 2016-02-03 | 富士フイルム株式会社 | Pattern forming method, actinic ray-sensitive or radiation-sensitive resin composition, actinic ray-sensitive or radiation-sensitive film, and method for producing electronic device |
| JP2013190784A (en) * | 2012-02-17 | 2013-09-26 | Fujifilm Corp | Pattern formation method, actinic ray-sensitive or radiation-sensitive resin composition, resist film, manufacturing method of electronic device and electronic device |
| JP6330250B2 (en) * | 2012-03-07 | 2018-05-30 | 住友化学株式会社 | Method for producing resist pattern |
| JP6075124B2 (en) * | 2012-03-15 | 2017-02-08 | Jsr株式会社 | Developer purification method |
| JP5934666B2 (en) * | 2012-05-23 | 2016-06-15 | 富士フイルム株式会社 | Pattern forming method, actinic ray-sensitive or radiation-sensitive resin composition, resist film, and electronic device manufacturing method |
| KR101993360B1 (en) * | 2012-08-08 | 2019-06-26 | 삼성전자주식회사 | Phto lithographic rinse solution |
| JP6060577B2 (en) * | 2012-09-13 | 2017-01-18 | Jsr株式会社 | Negative resist pattern forming method |
| JP5982442B2 (en) * | 2012-10-31 | 2016-08-31 | 富士フイルム株式会社 | Organic processing liquid for patterning chemically amplified resist film, pattern formation method using the same, and electronic device manufacturing method |
| JP5764589B2 (en) * | 2012-10-31 | 2015-08-19 | 富士フイルム株式会社 | Container for organic processing liquid for patterning chemically amplified resist film, pattern formation method using the same, and method for manufacturing electronic device |
| JP5910536B2 (en) * | 2013-02-22 | 2016-04-27 | 信越化学工業株式会社 | Monomer, polymer compound, resist material and pattern forming method |
| KR102126894B1 (en) * | 2013-03-11 | 2020-06-25 | 주식회사 동진쎄미켐 | Resist protective film composition for lithography process and method for forming pattern of semiconductor device |
| JP6095231B2 (en) * | 2013-03-29 | 2017-03-15 | 富士フイルム株式会社 | Pattern forming method and electronic device manufacturing method using the same |
| JP6175401B2 (en) * | 2013-05-02 | 2017-08-02 | 富士フイルム株式会社 | Pattern forming method, electronic device and manufacturing method thereof |
| JP6185874B2 (en) * | 2013-05-02 | 2017-08-23 | 富士フイルム株式会社 | Pattern forming method, actinic ray-sensitive or radiation-sensitive resin composition, resist film, electronic device manufacturing method, and electronic device |
| JP6472129B2 (en) * | 2013-12-03 | 2019-02-20 | Hoya株式会社 | Method for producing transfer mask and developer |
| WO2016208299A1 (en) * | 2015-06-24 | 2016-12-29 | 富士フイルム株式会社 | Processing liquid, and pattern formation method |
| CN119439629A (en) | 2016-03-31 | 2025-02-14 | 富士胶片株式会社 | Processing liquid for semiconductor manufacturing, method for manufacturing the same, pattern forming method, and method for manufacturing electronic device |
| KR20220019072A (en) * | 2016-09-30 | 2022-02-15 | 후지필름 가부시키가이샤 | Pattern forming method, method for producing electronic device, and kit |
| JP6714533B2 (en) * | 2017-03-22 | 2020-06-24 | 信越化学工業株式会社 | Sulfonium salt, resist composition, and pattern forming method |
| US10842072B2 (en) | 2017-09-29 | 2020-11-24 | Kinze Manufacturing, Inc. | Planter with high speed seed delivery apparatus |
| JP7183021B2 (en) * | 2018-12-17 | 2022-12-05 | 東京応化工業株式会社 | Resist composition, resist pattern forming method, and polymer compound |
| US12102032B2 (en) | 2020-01-09 | 2024-10-01 | Kinze Manufacturing, Inc. | Mount for agricultural implement |
| JPWO2023017711A1 (en) * | 2021-08-13 | 2023-02-16 |
Citations (17)
| Publication number | Priority date | Publication date | Assignee | Title |
|---|---|---|---|---|
| US4886727A (en) | 1985-11-25 | 1989-12-12 | International Business Machines Corporation | Method for developing negative photoresists |
| JP2000206694A (en) | 1998-11-10 | 2000-07-28 | Tokyo Ohka Kogyo Co Ltd | Negative resist composition |
| US6127097A (en) | 1991-10-22 | 2000-10-03 | International Business Machines Corporation | Photoresist develop and strip solvent compositions and method for their use |
| JP2000310862A (en) | 1999-04-28 | 2000-11-07 | Sannopuko Kk | Developer composition for photosensitive resist |
| JP2005045070A (en) | 2003-07-23 | 2005-02-17 | Renesas Technology Corp | Manufacturing method of semiconductor device |
| US20060138399A1 (en) | 2002-08-22 | 2006-06-29 | Mitsushi Itano | Removing solution |
| JP2006195050A (en) | 2005-01-12 | 2006-07-27 | Tokyo Ohka Kogyo Co Ltd | Negative resist composition and resist pattern forming method |
| JP2006259582A (en) | 2005-03-18 | 2006-09-28 | Tokyo Ohka Kogyo Co Ltd | Negative resist composition and resist pattern forming method |
| JP2006317803A (en) | 2005-05-13 | 2006-11-24 | Tokyo Ohka Kogyo Co Ltd | Negative resist composition and resist pattern forming method |
| US20080261150A1 (en) | 2006-12-25 | 2008-10-23 | Fujifilm Corporation | Pattern forming method, resist composition for multiple development used in the pattern forming method, developer for negative development used in the pattern forming method, and rinsing solution for negative development used in the pattern forming method |
| JP2008281974A (en) | 2007-04-13 | 2008-11-20 | Fujifilm Corp | PATTERN FORMING METHOD, RESIST COMPOSITION USED FOR THE PATTERN FORMING METHOD, NEGATIVE DEVELOPER USED FOR THE PATTERN FORMING METHOD, AND NEGATIVE DEVELOPING RINS |
| JP2008292975A (en) | 2006-12-25 | 2008-12-04 | Fujifilm Corp | PATTERN FORMATION METHOD, POSITIVE RESIST COMPOSITION FOR MULTIPLE DEVELOPMENT USED FOR THE PATTERN FORMATION METHOD, NEGATIVE DEVELOPMENT SOLUTION USED FOR THE PATTERN FORMATION METHOD, AND NEGATIVE DEVELOPMENT RINS |
| JP2009025708A (en) | 2007-07-23 | 2009-02-05 | Fujifilm Corp | Pattern formation method |
| US20090202945A1 (en) | 2006-03-31 | 2009-08-13 | Hiroki Nakagawa | Fluorine-containing polymer, purification method, and radiation-sensitive resin composition |
| US20100020299A1 (en) * | 2007-11-29 | 2010-01-28 | Syntrix Biosystems, Inc. | Instrumentation and method for maskless photolithography |
| US20100167024A1 (en) | 2008-12-25 | 2010-07-01 | Jsr Corporation | Negative-tone radiation-sensitive composition, cured pattern forming method, and cured pattern |
| US20100323305A1 (en) | 2006-12-25 | 2010-12-23 | Fujifilm Corporation | Pattern forming method, resist composition for multiple development used in the pattern forming method, developer for negative development used in the pattern forming method, and rinsing solution for negative development used in the pattern forming method |
Family Cites Families (2)
| Publication number | Priority date | Publication date | Assignee | Title |
|---|---|---|---|---|
| DE3140186A1 (en) * | 1981-10-09 | 1983-04-28 | Hoechst Ag, 6230 Frankfurt | DEVELOPER AND METHOD FOR DEVELOPING EXPOSED NEGATIVE WORKING REPRODUCTION LAYERS |
| JP5719698B2 (en) * | 2010-06-30 | 2015-05-20 | 富士フイルム株式会社 | Pattern forming method and developer used for the pattern forming method |
-
2011
- 2011-06-17 JP JP2011135554A patent/JP5719698B2/en active Active
- 2011-06-29 US US13/172,273 patent/US9097973B2/en active Active
- 2011-06-29 KR KR1020110063611A patent/KR101719664B1/en active Active
- 2011-06-30 TW TW100123079A patent/TWI519908B/en active
-
2015
- 2015-06-24 US US14/749,035 patent/US9482958B2/en active Active
-
2016
- 2016-08-12 US US15/235,675 patent/US9897922B2/en active Active
Patent Citations (19)
| Publication number | Priority date | Publication date | Assignee | Title |
|---|---|---|---|---|
| US4886727A (en) | 1985-11-25 | 1989-12-12 | International Business Machines Corporation | Method for developing negative photoresists |
| US6127097A (en) | 1991-10-22 | 2000-10-03 | International Business Machines Corporation | Photoresist develop and strip solvent compositions and method for their use |
| JP2000206694A (en) | 1998-11-10 | 2000-07-28 | Tokyo Ohka Kogyo Co Ltd | Negative resist composition |
| US7183368B2 (en) | 1998-11-10 | 2007-02-27 | Tokyo Ohka Kogyo Co., Ltd. | Negative-working photoresist composition |
| JP2000310862A (en) | 1999-04-28 | 2000-11-07 | Sannopuko Kk | Developer composition for photosensitive resist |
| US20060138399A1 (en) | 2002-08-22 | 2006-06-29 | Mitsushi Itano | Removing solution |
| JP2005045070A (en) | 2003-07-23 | 2005-02-17 | Renesas Technology Corp | Manufacturing method of semiconductor device |
| US20090142693A1 (en) | 2005-01-12 | 2009-06-04 | Tokyo Ohka Kogyo Co., Ltd. | Negative resist composition and method of forming resist pattern |
| JP2006195050A (en) | 2005-01-12 | 2006-07-27 | Tokyo Ohka Kogyo Co Ltd | Negative resist composition and resist pattern forming method |
| JP2006259582A (en) | 2005-03-18 | 2006-09-28 | Tokyo Ohka Kogyo Co Ltd | Negative resist composition and resist pattern forming method |
| JP2006317803A (en) | 2005-05-13 | 2006-11-24 | Tokyo Ohka Kogyo Co Ltd | Negative resist composition and resist pattern forming method |
| US20090202945A1 (en) | 2006-03-31 | 2009-08-13 | Hiroki Nakagawa | Fluorine-containing polymer, purification method, and radiation-sensitive resin composition |
| JP2008292975A (en) | 2006-12-25 | 2008-12-04 | Fujifilm Corp | PATTERN FORMATION METHOD, POSITIVE RESIST COMPOSITION FOR MULTIPLE DEVELOPMENT USED FOR THE PATTERN FORMATION METHOD, NEGATIVE DEVELOPMENT SOLUTION USED FOR THE PATTERN FORMATION METHOD, AND NEGATIVE DEVELOPMENT RINS |
| US20080261150A1 (en) | 2006-12-25 | 2008-10-23 | Fujifilm Corporation | Pattern forming method, resist composition for multiple development used in the pattern forming method, developer for negative development used in the pattern forming method, and rinsing solution for negative development used in the pattern forming method |
| US20100323305A1 (en) | 2006-12-25 | 2010-12-23 | Fujifilm Corporation | Pattern forming method, resist composition for multiple development used in the pattern forming method, developer for negative development used in the pattern forming method, and rinsing solution for negative development used in the pattern forming method |
| JP2008281974A (en) | 2007-04-13 | 2008-11-20 | Fujifilm Corp | PATTERN FORMING METHOD, RESIST COMPOSITION USED FOR THE PATTERN FORMING METHOD, NEGATIVE DEVELOPER USED FOR THE PATTERN FORMING METHOD, AND NEGATIVE DEVELOPING RINS |
| JP2009025708A (en) | 2007-07-23 | 2009-02-05 | Fujifilm Corp | Pattern formation method |
| US20100020299A1 (en) * | 2007-11-29 | 2010-01-28 | Syntrix Biosystems, Inc. | Instrumentation and method for maskless photolithography |
| US20100167024A1 (en) | 2008-12-25 | 2010-07-01 | Jsr Corporation | Negative-tone radiation-sensitive composition, cured pattern forming method, and cured pattern |
Non-Patent Citations (4)
| Title |
|---|
| Communication dated Jun. 21, 2016 from the Korean Intellectual Property Office in counterpart application No. 10-2011-0063611. |
| Japanese Office Action dated Jul. 22, 2014 issued in application No. 2011-135554. |
| Korean Office Action dated Aug. 25, 2016 issued in corresponding patent application No. 63611. |
| Taiwanese Office Action dated Apr. 21, 2015 issued in application No. 100123079. |
Cited By (2)
| Publication number | Priority date | Publication date | Assignee | Title |
|---|---|---|---|---|
| US20160349620A1 (en) * | 2010-06-30 | 2016-12-01 | Fujifilm Corporation | Method of forming pattern and developer for use in the method |
| US9897922B2 (en) * | 2010-06-30 | 2018-02-20 | Fujifilm Corporation | Method of forming pattern and developer for use in the method |
Also Published As
| Publication number | Publication date |
|---|---|
| KR101719664B1 (en) | 2017-03-24 |
| US20120003591A1 (en) | 2012-01-05 |
| US9897922B2 (en) | 2018-02-20 |
| JP2012032788A (en) | 2012-02-16 |
| TW201205208A (en) | 2012-02-01 |
| US9097973B2 (en) | 2015-08-04 |
| US20160349620A1 (en) | 2016-12-01 |
| TWI519908B (en) | 2016-02-01 |
| JP5719698B2 (en) | 2015-05-20 |
| KR20120002468A (en) | 2012-01-05 |
| US20150293454A1 (en) | 2015-10-15 |
Similar Documents
| Publication | Publication Date | Title |
|---|---|---|
| US9897922B2 (en) | Method of forming pattern and developer for use in the method | |
| US8871642B2 (en) | Method of forming pattern and developer for use in the method | |
| US8808965B2 (en) | Pattern forming method, pattern, chemical amplification resist composition and resist film | |
| JP5450114B2 (en) | Pattern forming method, chemically amplified resist composition, and resist film | |
| US8999622B2 (en) | Pattern forming method, chemical amplification resist composition and resist film | |
| US10248019B2 (en) | Pattern forming method, actinic ray-sensitive or radiation-sensitive resin composition and resist film | |
| US8663907B2 (en) | Method of forming pattern | |
| JP5520590B2 (en) | Pattern forming method, chemically amplified resist composition, and resist film | |
| US9223219B2 (en) | Pattern forming method, actinic ray-sensitive or radiation-sensitive resin composition and resist film | |
| JP5422402B2 (en) | Pattern forming method, chemically amplified resist composition, and resist film | |
| US20130101812A1 (en) | Method of forming pattern | |
| US20120322007A1 (en) | Pattern forming method, chemical amplification resist composition and resist film | |
| US8753802B2 (en) | Pattern forming method, chemical amplification resist composition and resist film | |
| US10126651B2 (en) | Pattern forming method, and, method for producing electronic device and electronic device, each using the same | |
| US20140242359A1 (en) | Method of forming pattern and composition for crosslinked layer formation to be used in the method | |
| US20120028196A1 (en) | Method of forming pattern and organic processing liquid for use in the method | |
| US20160147156A1 (en) | Pattern formation method, active-light-sensitive or radiation-sensitive resin composition, resist film, method for manufacturing electronic device, and electronic device | |
| JP5651718B2 (en) | Compounds and resins |
Legal Events
| Date | Code | Title | Description |
|---|---|---|---|
| STCF | Information on status: patent grant |
Free format text: PATENTED CASE |
|
| MAFP | Maintenance fee payment |
Free format text: PAYMENT OF MAINTENANCE FEE, 4TH YEAR, LARGE ENTITY (ORIGINAL EVENT CODE: M1551); ENTITY STATUS OF PATENT OWNER: LARGE ENTITY Year of fee payment: 4 |
|
| MAFP | Maintenance fee payment |
Free format text: PAYMENT OF MAINTENANCE FEE, 8TH YEAR, LARGE ENTITY (ORIGINAL EVENT CODE: M1552); ENTITY STATUS OF PATENT OWNER: LARGE ENTITY Year of fee payment: 8 |































































































































































