US9229321B2 - Salt and photoresist composition comprising the same - Google Patents
Salt and photoresist composition comprising the same Download PDFInfo
- Publication number
- US9229321B2 US9229321B2 US14/565,538 US201414565538A US9229321B2 US 9229321 B2 US9229321 B2 US 9229321B2 US 201414565538 A US201414565538 A US 201414565538A US 9229321 B2 US9229321 B2 US 9229321B2
- Authority
- US
- United States
- Prior art keywords
- group
- formula
- represented
- hydrocarbon group
- examples
- Prior art date
- Legal status (The legal status is an assumption and is not a legal conclusion. Google has not performed a legal analysis and makes no representation as to the accuracy of the status listed.)
- Active
Links
- 0 C.[1*]C1([2*])OCC(C(CC(C)(C)C)C2COC([3*])([4*])O2)O1 Chemical compound C.[1*]C1([2*])OCC(C(CC(C)(C)C)C2COC([3*])([4*])O2)O1 0.000 description 31
- BANQRRNJMGEGPJ-UHFFFAOYSA-N C1=CC=C([S+](C2=CC=CC=C2)C2=CC=CC=C2)C=C1.CC(F)(F)C(=O)OCC1COC2(CCCCC2)O1 Chemical compound C1=CC=C([S+](C2=CC=CC=C2)C2=CC=CC=C2)C=C1.CC(F)(F)C(=O)OCC1COC2(CCCCC2)O1 BANQRRNJMGEGPJ-UHFFFAOYSA-N 0.000 description 2
- BRGSTBXQBHMQLW-UHFFFAOYSA-N C1=CC=C([S+](C2=CC=CC=C2)C2=CC=CC=C2)C=C1.CC1(C)OCC(C(OC(=O)C(C)(F)F)C2COC(C)(C)O2)O1 Chemical compound C1=CC=C([S+](C2=CC=CC=C2)C2=CC=CC=C2)C=C1.CC1(C)OCC(C(OC(=O)C(C)(F)F)C2COC(C)(C)O2)O1 BRGSTBXQBHMQLW-UHFFFAOYSA-N 0.000 description 2
- YPFVFXRBBGITJC-UHFFFAOYSA-N CC(C)(C)C1=CC=C([IH]C2=CC=C(C(C)(C)C)C=C2)C=C1.CC(C)(C)C1=CC=C([IH]C2=CC=C(C(C)(C)C)C=C2)C=C1.CC(F)(F)C(=O)OCC12CC3CC(CC(O)(C3)C1)C2.CC(F)(F)C(=O)OCC12CC3CC(CC(O)(C3)C1)C2.[Cl-] Chemical compound CC(C)(C)C1=CC=C([IH]C2=CC=C(C(C)(C)C)C=C2)C=C1.CC(C)(C)C1=CC=C([IH]C2=CC=C(C(C)(C)C)C=C2)C=C1.CC(F)(F)C(=O)OCC12CC3CC(CC(O)(C3)C1)C2.CC(F)(F)C(=O)OCC12CC3CC(CC(O)(C3)C1)C2.[Cl-] YPFVFXRBBGITJC-UHFFFAOYSA-N 0.000 description 2
- MERKZBOWLIDYCQ-UHFFFAOYSA-N CCC(C)(C)C(=O)OCOC(C)=O Chemical compound CCC(C)(C)C(=O)OCOC(C)=O MERKZBOWLIDYCQ-UHFFFAOYSA-N 0.000 description 2
- PGCSEOCIFQHPEG-UHFFFAOYSA-N B.O=C(OC(C1COC2(CCCCC2)O1)C1COC2(CCCCC2)O1)C12CC3CC(C1)C(O)C(C3)C2.O=C1C2CC3CC1CC(C(=O)OC(C1COC4(CCCCC4)O1)C1COC4(CCCCC4)O1)(C3)C2.[NaH] Chemical compound B.O=C(OC(C1COC2(CCCCC2)O1)C1COC2(CCCCC2)O1)C12CC3CC(C1)C(O)C(C3)C2.O=C1C2CC3CC1CC(C(=O)OC(C1COC4(CCCCC4)O1)C1COC4(CCCCC4)O1)(C3)C2.[NaH] PGCSEOCIFQHPEG-UHFFFAOYSA-N 0.000 description 1
- LOKJAWJYLILQNJ-UHFFFAOYSA-N C#C(F)(F)(F)(F)FC(C#C(F)(F)(F)(F)F)OC(=O)C(C)(C)CC.CCC(C)(C)C(=O)OC12C(F)(F)C3(F)C(F)(F)C(F)(C(F)(F)C(F)(C3(F)F)C1(F)F)C2(F)F.CCC(C)(C)C(=O)OCCC#CC#CC#CC#C(F)(F)(F)(F)(F)(F)(F)(F)(F)(F)(F)(F)F.[H]C(C)(CC)C(=O)OCC.[H]C(C)(CC)C(=O)OCCC(C)(F)F.[H]C(C)(CC)C(=O)OCCC(F)(F)F Chemical compound C#C(F)(F)(F)(F)FC(C#C(F)(F)(F)(F)F)OC(=O)C(C)(C)CC.CCC(C)(C)C(=O)OC12C(F)(F)C3(F)C(F)(F)C(F)(C(F)(F)C(F)(C3(F)F)C1(F)F)C2(F)F.CCC(C)(C)C(=O)OCCC#CC#CC#CC#C(F)(F)(F)(F)(F)(F)(F)(F)(F)(F)(F)(F)F.[H]C(C)(CC)C(=O)OCC.[H]C(C)(CC)C(=O)OCCC(C)(F)F.[H]C(C)(CC)C(=O)OCCC(F)(F)F LOKJAWJYLILQNJ-UHFFFAOYSA-N 0.000 description 1
- DGUIIQSTPJCFFJ-UHFFFAOYSA-N C#C(F)(F)(F)(F)FC(OC(=O)C(C)(C)CC)C(F)(F)F.CCC(C)(C)C(=O)OC#C(F)(F)(F)(F)(F)F.CCC(C)(C)C(=O)OC(C)C(F)(F)F.CCC(C)(C)C(=O)OC(F)(F)CC(C)(F)F.CCC(C)(C)C(=O)OC(F)(F)CC(F)(F)F.CCC(C)(C)C(=O)OC(F)(F)F.CCC(C)(C)C(=O)OCCC#CC#CC#CC#C(F)(F)(F)(F)(F)(F)(F)(F)(F)(F)(F)(F)(F)(F)(F)(F)F Chemical compound C#C(F)(F)(F)(F)FC(OC(=O)C(C)(C)CC)C(F)(F)F.CCC(C)(C)C(=O)OC#C(F)(F)(F)(F)(F)F.CCC(C)(C)C(=O)OC(C)C(F)(F)F.CCC(C)(C)C(=O)OC(F)(F)CC(C)(F)F.CCC(C)(C)C(=O)OC(F)(F)CC(F)(F)F.CCC(C)(C)C(=O)OC(F)(F)F.CCC(C)(C)C(=O)OCCC#CC#CC#CC#C(F)(F)(F)(F)(F)(F)(F)(F)(F)(F)(F)(F)(F)(F)(F)(F)F DGUIIQSTPJCFFJ-UHFFFAOYSA-N 0.000 description 1
- IHNJXWDHUNUHMA-UHFFFAOYSA-N C.C.C.C.CCC(C)(C)C(=O)OC(C)C(F)(F)F.CCC(C)(C)C(=O)OC12CC3CC(CC(C3)C1)C2 Chemical compound C.C.C.C.CCC(C)(C)C(=O)OC(C)C(F)(F)F.CCC(C)(C)C(=O)OC12CC3CC(CC(C3)C1)C2 IHNJXWDHUNUHMA-UHFFFAOYSA-N 0.000 description 1
- ILBYJVGQGZYKAJ-UHFFFAOYSA-N C.C.C.C.CCC(C)(C)C(=O)OC12CC3CC(CC(C3)C1)C2.CCC(C)(C)C(=O)OCCC(C)(F)F Chemical compound C.C.C.C.CCC(C)(C)C(=O)OC12CC3CC(CC(C3)C1)C2.CCC(C)(C)C(=O)OCCC(C)(F)F ILBYJVGQGZYKAJ-UHFFFAOYSA-N 0.000 description 1
- OSPZLAKOSAWCFT-UHFFFAOYSA-N C.C.CCC(C)(C)C(=O)OCCOC(=O)C(C)(F)F Chemical compound C.C.CCC(C)(C)C(=O)OCCOC(=O)C(C)(F)F OSPZLAKOSAWCFT-UHFFFAOYSA-N 0.000 description 1
- HPZKJAAYAGUAMJ-UHFFFAOYSA-N C.C.CCC(C)(C)C(=O)OCCOC(=O)C(C)(F)F.CCC(C)(C)C(=O)OCCOC(=O)C(F)F.[H]C(C)(CC)C(=O)OCCOC(=O)C(C)(F)F.[H]C(C)(CC)C(=O)OCCOC(=O)C(F)F Chemical compound C.C.CCC(C)(C)C(=O)OCCOC(=O)C(C)(F)F.CCC(C)(C)C(=O)OCCOC(=O)C(F)F.[H]C(C)(CC)C(=O)OCCOC(=O)C(C)(F)F.[H]C(C)(CC)C(=O)OCCOC(=O)C(F)F HPZKJAAYAGUAMJ-UHFFFAOYSA-N 0.000 description 1
- AXYINHUUQJXFKC-UHFFFAOYSA-N C.CC(C)(C)CC(=O)N1C=CN=C1.CC(C)(C)CC(=O)O.O=C(N1C=CN=C1)N1C=CN=C1 Chemical compound C.CC(C)(C)CC(=O)N1C=CN=C1.CC(C)(C)CC(=O)O.O=C(N1C=CN=C1)N1C=CN=C1 AXYINHUUQJXFKC-UHFFFAOYSA-N 0.000 description 1
- JXHXSKRCDYCPEZ-UHFFFAOYSA-N C.CC(F)(F)C(=O)OC12CC3CC(C1)CC(C(=O)OC(C1COC4(CCCC4)O1)C1COC4(CCCC4)O1)(C3)C2.CC(F)(F)C(=O)OC1C2CC3CC1CC(C(=O)OC(C1COC4(CCCCC4)O1)C1COC4(CCCCC4)O1)(C3)C2.CC(F)(F)C(=O)OC1C2CC3CC1CC(C(=O)OC(C1COC4(O1)C1CC5CC(C1)CC4C5)C1COC4(O1)C1CC5CC(C1)CC4C5)(C3)C2.CC1(C)OCC(C(OC(=O)C23CC4CC(C2)C(OC(=O)C(C)(F)F)C(C4)C3)C2COC(C)(C)O2)O1.CC1(C)OCC(C(OC(=O)C23CC4CC(CC(OC(=O)C(C)(F)F)(C4)C2)C3)C2COC(C)(C)O2)O1 Chemical compound C.CC(F)(F)C(=O)OC12CC3CC(C1)CC(C(=O)OC(C1COC4(CCCC4)O1)C1COC4(CCCC4)O1)(C3)C2.CC(F)(F)C(=O)OC1C2CC3CC1CC(C(=O)OC(C1COC4(CCCCC4)O1)C1COC4(CCCCC4)O1)(C3)C2.CC(F)(F)C(=O)OC1C2CC3CC1CC(C(=O)OC(C1COC4(O1)C1CC5CC(C1)CC4C5)C1COC4(O1)C1CC5CC(C1)CC4C5)(C3)C2.CC1(C)OCC(C(OC(=O)C23CC4CC(C2)C(OC(=O)C(C)(F)F)C(C4)C3)C2COC(C)(C)O2)O1.CC1(C)OCC(C(OC(=O)C23CC4CC(CC(OC(=O)C(C)(F)F)(C4)C2)C3)C2COC(C)(C)O2)O1 JXHXSKRCDYCPEZ-UHFFFAOYSA-N 0.000 description 1
- IZIQLWSGFAUVKY-UHFFFAOYSA-N C1=CC=C(CC2=CC=CC=C2)C=C1.C1=CC=C([IH]C2=CC=CC=C2)C=C1.CC.CC.CC.CC.CC.CC.CC.CC.CC(=O)C(C)[SH](C)C.C[S+](C)C.C[SH](C1=CC=CC=C1)C1=CC=CC=C1.C[SH](C1=CC=CC=C1)C1=CC=CC=C1 Chemical compound C1=CC=C(CC2=CC=CC=C2)C=C1.C1=CC=C([IH]C2=CC=CC=C2)C=C1.CC.CC.CC.CC.CC.CC.CC.CC.CC(=O)C(C)[SH](C)C.C[S+](C)C.C[SH](C1=CC=CC=C1)C1=CC=CC=C1.C[SH](C1=CC=CC=C1)C1=CC=CC=C1 IZIQLWSGFAUVKY-UHFFFAOYSA-N 0.000 description 1
- QHXUDCQJIYNBTC-UHFFFAOYSA-N C1=CC=C(OC2=CC=C([SH](C3=CC=CC=C3)C3=CC=CC=C3)C=C2)C=C1.C1=CC=C(SC2=CC=C([SH](C3=CC=CC=C3)C3=CC=CC=C3)C=C2)C=C1.C1=CC=C([SH](C2=CC=CC=C2)C2=CC=C(SC3=CC=C([SH](C4=CC=CC=C4)C4=CC=CC=C4)C=C3)C=C2)C=C1.O=C(C[S+]1CCCC1)C1=CC2=CC=CC=C2C=C1.O=C(C[S+]1CCCC1)C1=CC=CC=C1.O=C(C[S+]1CCCCC1)C1=CC2=CC=CC=C2C=C1.O=C(C[S+]1CCCCC1)C1=CC=CC=C1 Chemical compound C1=CC=C(OC2=CC=C([SH](C3=CC=CC=C3)C3=CC=CC=C3)C=C2)C=C1.C1=CC=C(SC2=CC=C([SH](C3=CC=CC=C3)C3=CC=CC=C3)C=C2)C=C1.C1=CC=C([SH](C2=CC=CC=C2)C2=CC=C(SC3=CC=C([SH](C4=CC=CC=C4)C4=CC=CC=C4)C=C3)C=C2)C=C1.O=C(C[S+]1CCCC1)C1=CC2=CC=CC=C2C=C1.O=C(C[S+]1CCCC1)C1=CC=CC=C1.O=C(C[S+]1CCCCC1)C1=CC2=CC=CC=C2C=C1.O=C(C[S+]1CCCCC1)C1=CC=CC=C1 QHXUDCQJIYNBTC-UHFFFAOYSA-N 0.000 description 1
- MPESLRILZKEZKB-UHFFFAOYSA-N C1=CC=C([Cu]C2=CC=CC=C2)C=C1.C1CSCCO1.CC(C)(C)C1=CC=C([I+]C2=CC=C(C(C)(C)C)C=C2)C=C1.CC(C)(C)C1=CC=C([S+]2CCOCC2)C=C1.CC(F)(F)C(=O)OC12CC3CC(C1)C(=O)C(C3)C2.CC(F)(F)C(=O)OC12CC3CC(C1)C(=O)C(C3)C2.O=C=O.O=C=O Chemical compound C1=CC=C([Cu]C2=CC=CC=C2)C=C1.C1CSCCO1.CC(C)(C)C1=CC=C([I+]C2=CC=C(C(C)(C)C)C=C2)C=C1.CC(C)(C)C1=CC=C([S+]2CCOCC2)C=C1.CC(F)(F)C(=O)OC12CC3CC(C1)C(=O)C(C3)C2.CC(F)(F)C(=O)OC12CC3CC(C1)C(=O)C(C3)C2.O=C=O.O=C=O MPESLRILZKEZKB-UHFFFAOYSA-N 0.000 description 1
- AQWRUEQHLXQSLW-UHFFFAOYSA-N C1=CC=C([Cu]C2=CC=CC=C2)C=C1.C1CSCCO1.CC(C)(C)C1=CC=C([I+]C2=CC=C(C(C)(C)C)C=C2)C=C1.CC(C)(C)C1=CC=C([S+]2CCOCC2)C=C1.CC(F)(F)C(=O)OCC12CC3CC(C1)CC(OC(=O)OC(C1COC4(CCCCC4)O1)C1COC4(CCCCC4)O1)(C3)C2.CC(F)(F)C(=O)OCC12CC3CC(C1)CC(OC(=O)OC(C1COC4(CCCCC4)O1)C1COC4(CCCCC4)O1)(C3)C2.O=C=O.O=C=O Chemical compound C1=CC=C([Cu]C2=CC=CC=C2)C=C1.C1CSCCO1.CC(C)(C)C1=CC=C([I+]C2=CC=C(C(C)(C)C)C=C2)C=C1.CC(C)(C)C1=CC=C([S+]2CCOCC2)C=C1.CC(F)(F)C(=O)OCC12CC3CC(C1)CC(OC(=O)OC(C1COC4(CCCCC4)O1)C1COC4(CCCCC4)O1)(C3)C2.CC(F)(F)C(=O)OCC12CC3CC(C1)CC(OC(=O)OC(C1COC4(CCCCC4)O1)C1COC4(CCCCC4)O1)(C3)C2.O=C=O.O=C=O AQWRUEQHLXQSLW-UHFFFAOYSA-N 0.000 description 1
- MNMMPTKGVSUMRH-UHFFFAOYSA-N C1=CC=C([Cu]C2=CC=CC=C2)C=C1.C1CSCCO1.CC(C)(C)C1=CC=C([I+]C2=CC=C(C(C)(C)C)C=C2)C=C1.CC(C)(C)C1=CC=C([S+]2CCOCC2)C=C1.CC(F)(F)C(=O)OCC12CC3CC(CC(O)(C3)C1)C2.CC(F)(F)C(=O)OCC12CC3CC(CC(O)(C3)C1)C2.O=C=O.O=C=O Chemical compound C1=CC=C([Cu]C2=CC=CC=C2)C=C1.C1CSCCO1.CC(C)(C)C1=CC=C([I+]C2=CC=C(C(C)(C)C)C=C2)C=C1.CC(C)(C)C1=CC=C([S+]2CCOCC2)C=C1.CC(F)(F)C(=O)OCC12CC3CC(CC(O)(C3)C1)C2.CC(F)(F)C(=O)OCC12CC3CC(CC(O)(C3)C1)C2.O=C=O.O=C=O MNMMPTKGVSUMRH-UHFFFAOYSA-N 0.000 description 1
- AJHHIMMPQWUBJU-UHFFFAOYSA-L C1=CC=C([I+]C2=CC=CC=C2)C=C1.C1=CC=C([S+](C2=CC=CC=C2)C2=CC=CC=C2)C=C1.C1=CC=C([S+](C2=CC=CC=C2)C2=CC=CC=C2)C=C1.CC.CC.CC(=O)[O-].CC1=CC=C([S+](C2=CC=C(C)C=C2)C2=CC=C(C)C=C2)C=C1.CC1=CC=C([S+](C2=CC=C(C)C=C2)C2=CC=C(C)C=C2)C=C1.CC1=CC=C([S+](C2=CC=C(C)C=C2)C2=CC=C(C)C=C2)C=C1.CN(C1CCCCC1)C1CCCCC1.CN1CCCC2CCCCC21.CNC12CC3CC(CC(C3)C1)C2.O=C([O-])C12CC3CC(CC(O)(C3)C1)C2.O=C1C2CC3CC1CC(C(=O)[O-])(C3)C2 Chemical compound C1=CC=C([I+]C2=CC=CC=C2)C=C1.C1=CC=C([S+](C2=CC=CC=C2)C2=CC=CC=C2)C=C1.C1=CC=C([S+](C2=CC=CC=C2)C2=CC=CC=C2)C=C1.CC.CC.CC(=O)[O-].CC1=CC=C([S+](C2=CC=C(C)C=C2)C2=CC=C(C)C=C2)C=C1.CC1=CC=C([S+](C2=CC=C(C)C=C2)C2=CC=C(C)C=C2)C=C1.CC1=CC=C([S+](C2=CC=C(C)C=C2)C2=CC=C(C)C=C2)C=C1.CN(C1CCCCC1)C1CCCCC1.CN1CCCC2CCCCC21.CNC12CC3CC(CC(C3)C1)C2.O=C([O-])C12CC3CC(CC(O)(C3)C1)C2.O=C1C2CC3CC1CC(C(=O)[O-])(C3)C2 AJHHIMMPQWUBJU-UHFFFAOYSA-L 0.000 description 1
- RKPPFFDUUDDOHJ-UHFFFAOYSA-N C1=CC=C([IH]C2=CC=CC=C2)C=C1.CC(C)(C)C1=CC=C([IH]C2=CC=C(C(C)(C)C)C=C2)C=C1.CC1=CC=C([IH]C2=CC=C(C)C=C2)C=C1 Chemical compound C1=CC=C([IH]C2=CC=CC=C2)C=C1.CC(C)(C)C1=CC=C([IH]C2=CC=C(C(C)(C)C)C=C2)C=C1.CC1=CC=C([IH]C2=CC=C(C)C=C2)C=C1 RKPPFFDUUDDOHJ-UHFFFAOYSA-N 0.000 description 1
- AIYNVIHSCNFAGO-UHFFFAOYSA-M C1=CC=C([S+](C2=CC=CC=C2)C2=CC=CC=C2)C=C1.C1=CC=C([S+](C2=CC=CC=C2)C2=CC=CC=C2)C=C1.C1=CC=C([S+](C2=CC=CC=C2)C2=CC=CC=C2)C=C1.C1=CC=C([S+](C2=CC=CC=C2)C2=CC=CC=C2)C=C1.C1=CC=C([S+](C2=CC=CC=C2)C2=CC=CC=C2)C=C1.CC(=O)[O-].CC(F)(F)C(=O)OCC12CC3CC(C1)CC(OC(=O)N1C=CN=C1)(C3)C2.CC(F)(F)C(=O)OCCOC(=O)N1C=CN=C1.CC(F)(F)C(=O)OCN1CCOCC1.CC1=CC=C([S+](C2=CC=C(C)C=C2)C2=CC=C(C)C=C2)C=C1.CN1CCC(OC(=O)C(C)(F)F)CC1.O=C([O-])C12CC3CC(CC(C3)C1)C2 Chemical compound C1=CC=C([S+](C2=CC=CC=C2)C2=CC=CC=C2)C=C1.C1=CC=C([S+](C2=CC=CC=C2)C2=CC=CC=C2)C=C1.C1=CC=C([S+](C2=CC=CC=C2)C2=CC=CC=C2)C=C1.C1=CC=C([S+](C2=CC=CC=C2)C2=CC=CC=C2)C=C1.C1=CC=C([S+](C2=CC=CC=C2)C2=CC=CC=C2)C=C1.CC(=O)[O-].CC(F)(F)C(=O)OCC12CC3CC(C1)CC(OC(=O)N1C=CN=C1)(C3)C2.CC(F)(F)C(=O)OCCOC(=O)N1C=CN=C1.CC(F)(F)C(=O)OCN1CCOCC1.CC1=CC=C([S+](C2=CC=C(C)C=C2)C2=CC=C(C)C=C2)C=C1.CN1CCC(OC(=O)C(C)(F)F)CC1.O=C([O-])C12CC3CC(CC(C3)C1)C2 AIYNVIHSCNFAGO-UHFFFAOYSA-M 0.000 description 1
- CBLXBFDTHLDNSJ-UHFFFAOYSA-N C1=CC=C([S+](C2=CC=CC=C2)C2=CC=CC=C2)C=C1.C1=CC=C([S+](C2=CC=CC=C2)C2=CC=CC=C2)C=C1.C1=CC=C([S+](C2=CC=CC=C2)C2=CC=CC=C2)C=C1.C1=CC=C([S+](C2=CC=CC=C2)C2=CC=CC=C2)C=C1.CC(F)(F)C(=O)OCC(=O)OC1(C)C2CC3CC(C2)CC1C3.CCC1(OC(=O)C2C3CC4C(OC(=O)C42)C3OC(=O)C(C)(F)F)C2CC3CC(C2)CC1C3.CCC1(OC(=O)COC(=O)C(C)(F)F)C2CC3CC(C2)CC1C3.COCOC(=O)C12CC3CC(C1)C(OC(=O)C(C)(F)F)C(C3)C2 Chemical compound C1=CC=C([S+](C2=CC=CC=C2)C2=CC=CC=C2)C=C1.C1=CC=C([S+](C2=CC=CC=C2)C2=CC=CC=C2)C=C1.C1=CC=C([S+](C2=CC=CC=C2)C2=CC=CC=C2)C=C1.C1=CC=C([S+](C2=CC=CC=C2)C2=CC=CC=C2)C=C1.CC(F)(F)C(=O)OCC(=O)OC1(C)C2CC3CC(C2)CC1C3.CCC1(OC(=O)C2C3CC4C(OC(=O)C42)C3OC(=O)C(C)(F)F)C2CC3CC(C2)CC1C3.CCC1(OC(=O)COC(=O)C(C)(F)F)C2CC3CC(C2)CC1C3.COCOC(=O)C12CC3CC(C1)C(OC(=O)C(C)(F)F)C(C3)C2 CBLXBFDTHLDNSJ-UHFFFAOYSA-N 0.000 description 1
- KZYWHBFJCGYZHN-UHFFFAOYSA-N C1=CC=C([S+](C2=CC=CC=C2)C2=CC=CC=C2)C=C1.C1=CC=C([S+](C2=CC=CC=C2)C2=CC=CC=C2)C=C1.C1=CC=C([S+](C2=CC=CC=C2)C2=CC=CC=C2)C=C1.CC(C)(C)C1=CC=C([S+](C2=CC=C(C(C)(C)C)C=C2)C2=CC=C(C(C)(C)C)C=C2)C=C1.CC(C)(C)C1=CC=C([S+](C2=CC=CC=C2)C2=CC=C(C(C)(C)C)C=C2)C=C1.CC(F)(F)C(=O)OC12CC3CC(C1)C(=O)C(C3)C2.CC(F)(F)C(=O)OC12CC3CC(C1)C(=O)C(C3)C2.CC(F)(F)C(=O)OC1C2CC3C(=O)OC1C3C2.CC(F)(F)C(=O)OCC1CCCCC1.CC1=CC=C(C23CC4CC(CC(COC(=O)C(C)(F)F)(C4)C2)C3)C=C1 Chemical compound C1=CC=C([S+](C2=CC=CC=C2)C2=CC=CC=C2)C=C1.C1=CC=C([S+](C2=CC=CC=C2)C2=CC=CC=C2)C=C1.C1=CC=C([S+](C2=CC=CC=C2)C2=CC=CC=C2)C=C1.CC(C)(C)C1=CC=C([S+](C2=CC=C(C(C)(C)C)C=C2)C2=CC=C(C(C)(C)C)C=C2)C=C1.CC(C)(C)C1=CC=C([S+](C2=CC=CC=C2)C2=CC=C(C(C)(C)C)C=C2)C=C1.CC(F)(F)C(=O)OC12CC3CC(C1)C(=O)C(C3)C2.CC(F)(F)C(=O)OC12CC3CC(C1)C(=O)C(C3)C2.CC(F)(F)C(=O)OC1C2CC3C(=O)OC1C3C2.CC(F)(F)C(=O)OCC1CCCCC1.CC1=CC=C(C23CC4CC(CC(COC(=O)C(C)(F)F)(C4)C2)C3)C=C1 KZYWHBFJCGYZHN-UHFFFAOYSA-N 0.000 description 1
- NUQOTQHBOHSTGJ-UHFFFAOYSA-N C1=CC=C([S+](C2=CC=CC=C2)C2=CC=CC=C2)C=C1.C1=CC=C([S+](C2=CC=CC=C2)C2=CC=CC=C2)C=C1.C1=CC=C([S+](C2=CC=CC=C2)C2=CC=CC=C2)C=C1.CC(F)(F)C(=O)N1C=CN=C1.CC(F)(F)C(=O)O.CC(F)(F)C(=O)OC(C1COC2(CCCCC2)O1)C1COC2(CCCCC2)O1.O=C(N1C=CN=C1)N1C=CN=C1.OC(C1COC2(CCCCC2)O1)C1COC2(CCCCC2)O1.[IH-2] Chemical compound C1=CC=C([S+](C2=CC=CC=C2)C2=CC=CC=C2)C=C1.C1=CC=C([S+](C2=CC=CC=C2)C2=CC=CC=C2)C=C1.C1=CC=C([S+](C2=CC=CC=C2)C2=CC=CC=C2)C=C1.CC(F)(F)C(=O)N1C=CN=C1.CC(F)(F)C(=O)O.CC(F)(F)C(=O)OC(C1COC2(CCCCC2)O1)C1COC2(CCCCC2)O1.O=C(N1C=CN=C1)N1C=CN=C1.OC(C1COC2(CCCCC2)O1)C1COC2(CCCCC2)O1.[IH-2] NUQOTQHBOHSTGJ-UHFFFAOYSA-N 0.000 description 1
- WDXAOOGWJVIISD-UHFFFAOYSA-N C1=CC=C([S+](C2=CC=CC=C2)C2=CC=CC=C2)C=C1.C1=CC=C([S+](C2=CC=CC=C2)C2=CC=CC=C2)C=C1.C1=CC=C([S+](C2=CC=CC=C2)C2=CC=CC=C2)C=C1.CC(F)(F)C(=O)N1C=CN=C1.CC(F)(F)C(=O)O.CC1(C)OCC(C(O)C2COC(C)(C)O2)O1.CC1(C)OCC(C(OC(=O)C(C)(F)F)C2COC(C)(C)O2)O1.O=C(N1C=CN=C1)N1C=CN=C1.[I-] Chemical compound C1=CC=C([S+](C2=CC=CC=C2)C2=CC=CC=C2)C=C1.C1=CC=C([S+](C2=CC=CC=C2)C2=CC=CC=C2)C=C1.C1=CC=C([S+](C2=CC=CC=C2)C2=CC=CC=C2)C=C1.CC(F)(F)C(=O)N1C=CN=C1.CC(F)(F)C(=O)O.CC1(C)OCC(C(O)C2COC(C)(C)O2)O1.CC1(C)OCC(C(OC(=O)C(C)(F)F)C2COC(C)(C)O2)O1.O=C(N1C=CN=C1)N1C=CN=C1.[I-] WDXAOOGWJVIISD-UHFFFAOYSA-N 0.000 description 1
- KMSXJNDCJFWIRM-UHFFFAOYSA-N C1=CC=C([S+](C2=CC=CC=C2)C2=CC=CC=C2)C=C1.C1=CC=C([S+](C2=CC=CC=C2)C2=CC=CC=C2)C=C1.C1=CC=C([S+]2C3=C(C=CC=C3)OC3=C2C=CC=C3)C=C1.C1=CC=C([S+]2CCCCC2)C=C1.CC(F)(F)C(=O)OC1COC(=O)C1.CC(F)(F)C(=O)OCC12CC3CC(C1)C(=O)C(C3)C2.CC(F)(F)C(=O)OCC12CC3CC(CC(C3)C1)C2.CC(F)(F)C(=O)OCC12CC3CC(CC(O)(C3)C1)C2.CC(F)(F)C(=O)OCC12CC3CC(CC(O)(C3)C1)C2.COC(=O)C(C)(F)F.O=C(C[S+]1CCCC1)C1=CC=CC=C1.O=C(C[S+]1CCCC1)C1=CC=CC=C1 Chemical compound C1=CC=C([S+](C2=CC=CC=C2)C2=CC=CC=C2)C=C1.C1=CC=C([S+](C2=CC=CC=C2)C2=CC=CC=C2)C=C1.C1=CC=C([S+]2C3=C(C=CC=C3)OC3=C2C=CC=C3)C=C1.C1=CC=C([S+]2CCCCC2)C=C1.CC(F)(F)C(=O)OC1COC(=O)C1.CC(F)(F)C(=O)OCC12CC3CC(C1)C(=O)C(C3)C2.CC(F)(F)C(=O)OCC12CC3CC(CC(C3)C1)C2.CC(F)(F)C(=O)OCC12CC3CC(CC(O)(C3)C1)C2.CC(F)(F)C(=O)OCC12CC3CC(CC(O)(C3)C1)C2.COC(=O)C(C)(F)F.O=C(C[S+]1CCCC1)C1=CC=CC=C1.O=C(C[S+]1CCCC1)C1=CC=CC=C1 KMSXJNDCJFWIRM-UHFFFAOYSA-N 0.000 description 1
- AQOFSVYBJBVQPP-UHFFFAOYSA-N C1=CC=C([S+](C2=CC=CC=C2)C2=CC=CC=C2)C=C1.C1=CC=C([S+](C2=CC=CC=C2)C2=CC=CC=C2)C=C1.CC(C)(C)C1=CC=C([S+](C2=CC=CC=C2)C2=CC=CC=C2)C=C1.CC(F)(F)C(=O)OCC12CC3CC(CC(C3)C1)C2.CC(F)(F)C(=O)OCC12CC3CC(CC(O)(C3)C1)C2.CC(F)(F)C(=O)OCC12CC3CC(CC(O)(C3)C1)C2.CC(F)(F)C(=O)OCC12CC3CC(CC(O)(C3)C1)C2.CC1=CC=C([S+](C2=CC=C(C)C=C2)C2=CC=C(C)C=C2)C=C1 Chemical compound C1=CC=C([S+](C2=CC=CC=C2)C2=CC=CC=C2)C=C1.C1=CC=C([S+](C2=CC=CC=C2)C2=CC=CC=C2)C=C1.CC(C)(C)C1=CC=C([S+](C2=CC=CC=C2)C2=CC=CC=C2)C=C1.CC(F)(F)C(=O)OCC12CC3CC(CC(C3)C1)C2.CC(F)(F)C(=O)OCC12CC3CC(CC(O)(C3)C1)C2.CC(F)(F)C(=O)OCC12CC3CC(CC(O)(C3)C1)C2.CC(F)(F)C(=O)OCC12CC3CC(CC(O)(C3)C1)C2.CC1=CC=C([S+](C2=CC=C(C)C=C2)C2=CC=C(C)C=C2)C=C1 AQOFSVYBJBVQPP-UHFFFAOYSA-N 0.000 description 1
- HUKKPOBHWKKKBC-UHFFFAOYSA-N C1=CC=C([S+](C2=CC=CC=C2)C2=CC=CC=C2)C=C1.C1=CC=C([S+](C2=CC=CC=C2)C2=CC=CC=C2)C=C1.CC(F)(F)C(=O)N1C=CN=C1.CC(F)(F)C(=O)O.O=C(N1C=CN=C1)N1C=CN=C1 Chemical compound C1=CC=C([S+](C2=CC=CC=C2)C2=CC=CC=C2)C=C1.C1=CC=C([S+](C2=CC=CC=C2)C2=CC=CC=C2)C=C1.CC(F)(F)C(=O)N1C=CN=C1.CC(F)(F)C(=O)O.O=C(N1C=CN=C1)N1C=CN=C1 HUKKPOBHWKKKBC-UHFFFAOYSA-N 0.000 description 1
- VBXZFQWSEANKAP-UHFFFAOYSA-N C1=CC=C([S+](C2=CC=CC=C2)C2=CC=CC=C2)C=C1.C1=CC=C([S+](C2=CC=CC=C2)C2=CC=CC=C2)C=C1.CC(F)(F)C(=O)N1C=CN=C1.CC(F)(F)C(=O)OC1C2CC3CC1CC(C(=O)OC(C1COC4(CCCCC4)O1)C1COC4(CCCCC4)O1)(C3)C2.O=C(OC(C1COC2(CCCCC2)O1)C1COC2(CCCCC2)O1)C12CC3CC(C1)C(O)C(C3)C2.[I-12] Chemical compound C1=CC=C([S+](C2=CC=CC=C2)C2=CC=CC=C2)C=C1.C1=CC=C([S+](C2=CC=CC=C2)C2=CC=CC=C2)C=C1.CC(F)(F)C(=O)N1C=CN=C1.CC(F)(F)C(=O)OC1C2CC3CC1CC(C(=O)OC(C1COC4(CCCCC4)O1)C1COC4(CCCCC4)O1)(C3)C2.O=C(OC(C1COC2(CCCCC2)O1)C1COC2(CCCCC2)O1)C12CC3CC(C1)C(O)C(C3)C2.[I-12] VBXZFQWSEANKAP-UHFFFAOYSA-N 0.000 description 1
- FFTIOQFXHRKHJX-UHFFFAOYSA-N C1=CC=C([S+](C2=CC=CC=C2)C2=CC=CC=C2)C=C1.CC(C)(C)C1=CC=C([I+]C2=CC=C(C(C)(C)C)C=C2)C=C1.CC(F)(F)C(=O)O.CC(F)(F)C(=O)OCC12CC3CC(C1)CC(OC(=O)N1C=CN=C1)(C3)C2 Chemical compound C1=CC=C([S+](C2=CC=CC=C2)C2=CC=CC=C2)C=C1.CC(C)(C)C1=CC=C([I+]C2=CC=C(C(C)(C)C)C=C2)C=C1.CC(F)(F)C(=O)O.CC(F)(F)C(=O)OCC12CC3CC(C1)CC(OC(=O)N1C=CN=C1)(C3)C2 FFTIOQFXHRKHJX-UHFFFAOYSA-N 0.000 description 1
- KIHUSYDAFNEUDU-UHFFFAOYSA-N C1=CC=C([S+](C2=CC=CC=C2)C2=CC=CC=C2)C=C1.CC(C)(C)C1=CC=C([S+](C2=CC=CC=C2)C2=CC=C(C(C)(C)C)C=C2)C=C1.CC(C)(C)C1=CC=C([S+](C2=CC=CC=C2)C2=CC=CC=C2)C=C1.CC(F)(F)C(=O)OC12CC3CC(C1)C(=O)C(C3)C2.CC(F)(F)C(=O)OC12CC3CC(C1)C(=O)C(C3)C2.CC(F)(F)C(=O)OC12CC3CC(C1)C(=O)C(C3)C2.CC(F)(F)C(=O)OCC12CC3CC(CC(O)(C3)C1)C2.CC1=CC=C([S+](C2=CC=C(C)C=C2)C2=CC=C(C)C=C2)C=C1 Chemical compound C1=CC=C([S+](C2=CC=CC=C2)C2=CC=CC=C2)C=C1.CC(C)(C)C1=CC=C([S+](C2=CC=CC=C2)C2=CC=C(C(C)(C)C)C=C2)C=C1.CC(C)(C)C1=CC=C([S+](C2=CC=CC=C2)C2=CC=CC=C2)C=C1.CC(F)(F)C(=O)OC12CC3CC(C1)C(=O)C(C3)C2.CC(F)(F)C(=O)OC12CC3CC(C1)C(=O)C(C3)C2.CC(F)(F)C(=O)OC12CC3CC(C1)C(=O)C(C3)C2.CC(F)(F)C(=O)OCC12CC3CC(CC(O)(C3)C1)C2.CC1=CC=C([S+](C2=CC=C(C)C=C2)C2=CC=C(C)C=C2)C=C1 KIHUSYDAFNEUDU-UHFFFAOYSA-N 0.000 description 1
- UZGWJESVWKWPBS-UHFFFAOYSA-N C1=CC=C([S+](C2=CC=CC=C2)C2=CC=CC=C2)C=C1.CC(C)C1=CC=C([S+](C2=CC=CC=C2)C2=CC=CC=C2)C=C1.CC1=C([S+](C2=CC=CC=C2)C2=CC=CC=C2)C=CC=C1.CC1=CC=C([S+](C2=CC=CC=C2)C2=CC=CC=C2)C=C1.CCC1=CC=C([S+](C2=CC=CC=C2)C2=CC=CC=C2)C=C1 Chemical compound C1=CC=C([S+](C2=CC=CC=C2)C2=CC=CC=C2)C=C1.CC(C)C1=CC=C([S+](C2=CC=CC=C2)C2=CC=CC=C2)C=C1.CC1=C([S+](C2=CC=CC=C2)C2=CC=CC=C2)C=CC=C1.CC1=CC=C([S+](C2=CC=CC=C2)C2=CC=CC=C2)C=C1.CCC1=CC=C([S+](C2=CC=CC=C2)C2=CC=CC=C2)C=C1 UZGWJESVWKWPBS-UHFFFAOYSA-N 0.000 description 1
- KCSLCCXVKALXPW-UHFFFAOYSA-N C1=CC=C([S+](C2=CC=CC=C2)C2=CC=CC=C2)C=C1.CC(F)(F)C(=O)OC(C1COC2(CCCCC2)O1)C1COC2(CCCCC2)O1 Chemical compound C1=CC=C([S+](C2=CC=CC=C2)C2=CC=CC=C2)C=C1.CC(F)(F)C(=O)OC(C1COC2(CCCCC2)O1)C1COC2(CCCCC2)O1 KCSLCCXVKALXPW-UHFFFAOYSA-N 0.000 description 1
- FHPNBNXRRAUCQK-UHFFFAOYSA-N C1=CC=C([S+](C2=CC=CC=C2)C2=CC=CC=C2)C=C1.CC(F)(F)C(=O)OC1C2CC3CC1CC(C(=O)OC(C1COC4(CCCCC4)O1)C1COC4(CCCCC4)O1)(C3)C2 Chemical compound C1=CC=C([S+](C2=CC=CC=C2)C2=CC=CC=C2)C=C1.CC(F)(F)C(=O)OC1C2CC3CC1CC(C(=O)OC(C1COC4(CCCCC4)O1)C1COC4(CCCCC4)O1)(C3)C2 FHPNBNXRRAUCQK-UHFFFAOYSA-N 0.000 description 1
- YYNAJFYLLSENLH-UHFFFAOYSA-N C1=CC=C([S+](C2=CC=CC=C2)C2=CC=CC=C2)C=C1.CC.CC.CC Chemical compound C1=CC=C([S+](C2=CC=CC=C2)C2=CC=CC=C2)C=C1.CC.CC.CC YYNAJFYLLSENLH-UHFFFAOYSA-N 0.000 description 1
- JTAXWDRAWJTZES-UHFFFAOYSA-O C1=CC=C([S+]2C3=C(C=CC=C3)OC3=C2C=CC=C3)C=C1.CC(C)(C)C1=CC=C([S+](C2=CC=C(C(C)(C)C)C=C2)C2=CC=C(C(C)(C)C)C=C2)C=C1.CC(C)(C)C1=CC=C([S+](C2=CC=CC=C2)C2=CC=C(C(C)(C)C)C=C2)C=C1.CC1=CC(C)=C([S+](C2=CC=CC=C2)C2=CC=CC=C2)C=C1.OC1=CC=C([S+](C2=CC=CC=C2)C2=CC=CC=C2)C=C1 Chemical compound C1=CC=C([S+]2C3=C(C=CC=C3)OC3=C2C=CC=C3)C=C1.CC(C)(C)C1=CC=C([S+](C2=CC=C(C(C)(C)C)C=C2)C2=CC=C(C(C)(C)C)C=C2)C=C1.CC(C)(C)C1=CC=C([S+](C2=CC=CC=C2)C2=CC=C(C(C)(C)C)C=C2)C=C1.CC1=CC(C)=C([S+](C2=CC=CC=C2)C2=CC=CC=C2)C=C1.OC1=CC=C([S+](C2=CC=CC=C2)C2=CC=CC=C2)C=C1 JTAXWDRAWJTZES-UHFFFAOYSA-O 0.000 description 1
- HHSUTOBVXPQIKD-UHFFFAOYSA-N C1=CC=C([SH](C2=CC=CC=C2)C2=CC=C(OC3=CC=C([SH](C4=CC=CC=C4)C4=CC=CC=C4)C=C3)C=C2)C=C1 Chemical compound C1=CC=C([SH](C2=CC=CC=C2)C2=CC=C(OC3=CC=C([SH](C4=CC=CC=C4)C4=CC=CC=C4)C=C3)C=C2)C=C1 HHSUTOBVXPQIKD-UHFFFAOYSA-N 0.000 description 1
- SSKZIQJHOFJAPG-UHFFFAOYSA-N C1=CC=C([SH]2CCCC2)C=C1.C1=CC=C([SH]2CCCCC2)C=C1.C1=CC=C([SH]2CCOCC2)C=C1.CC(C)(C)C1=CC=C([SH]2CCCCC2)C=C1.CC1=CC=C([SH]2CCCCC2)C=C1.CC1=CC=C([SH]2CCOCC2)C=C1 Chemical compound C1=CC=C([SH]2CCCC2)C=C1.C1=CC=C([SH]2CCCCC2)C=C1.C1=CC=C([SH]2CCOCC2)C=C1.CC(C)(C)C1=CC=C([SH]2CCCCC2)C=C1.CC1=CC=C([SH]2CCCCC2)C=C1.CC1=CC=C([SH]2CCOCC2)C=C1 SSKZIQJHOFJAPG-UHFFFAOYSA-N 0.000 description 1
- JEEFEJVSJVTMHH-UHFFFAOYSA-N C1CSCCO1.CCCOCC.CCOC.CCOC12CC3CC(CC(C3)C1)C2.CCOC1CCCCC1.CCOCC(C)C.CCOCC12CC3CC(CC(C3)C1)C2.CCOCCC1=CC=CC=C1.CCOCCC1CC2CC1C1C3CCC(C3)C21.CCOCCC1CC2CCC1C2.CCOCCC1CCCCC1.CCOCCOC1=CC=CC=C1.COC Chemical compound C1CSCCO1.CCCOCC.CCOC.CCOC12CC3CC(CC(C3)C1)C2.CCOC1CCCCC1.CCOCC(C)C.CCOCC12CC3CC(CC(C3)C1)C2.CCOCCC1=CC=CC=C1.CCOCCC1CC2CC1C1C3CCC(C3)C21.CCOCCC1CC2CCC1C2.CCOCCC1CCCCC1.CCOCCOC1=CC=CC=C1.COC JEEFEJVSJVTMHH-UHFFFAOYSA-N 0.000 description 1
- RVJPAWVOYDAQMI-UHFFFAOYSA-N C=C(C)C(=O)OC(C)C(F)(F)F.C=C(C)C(=O)OC12CC3CC(CC(C3)C1)C2.C=C(C)C(=O)OCC(=O)OC1C2CC3CC(C2)C(=O)OC1C3.C=C(C)C(=O)OCCC(C)(F)F.C=C(C)C(=O)OCCOC(=O)CC(F)(F)F Chemical compound C=C(C)C(=O)OC(C)C(F)(F)F.C=C(C)C(=O)OC12CC3CC(CC(C3)C1)C2.C=C(C)C(=O)OCC(=O)OC1C2CC3CC(C2)C(=O)OC1C3.C=C(C)C(=O)OCCC(C)(F)F.C=C(C)C(=O)OCCOC(=O)CC(F)(F)F RVJPAWVOYDAQMI-UHFFFAOYSA-N 0.000 description 1
- ZPKKNZLCTXCKFR-UHFFFAOYSA-N C=C(C)C(=O)OC1(C(C)C)C2CC3CC(C2)CC1C3.C=C(C)C(=O)OC1(C)C2CC3CC(C2)CC1C3.C=C(C)C(=O)OC1(CC)C2CC3CC(C2)CC1C3.C=C(C)C(=O)OCC(=O)OC1(C)C2CC3CC(C2)CC1C3.[H]C(=C)C(=O)OC1(C)C2CC3CC(C2)CC1C3.[H]C(=C)C(=O)OC1(CC)C2CC3CC(C2)CC1C3 Chemical compound C=C(C)C(=O)OC1(C(C)C)C2CC3CC(C2)CC1C3.C=C(C)C(=O)OC1(C)C2CC3CC(C2)CC1C3.C=C(C)C(=O)OC1(CC)C2CC3CC(C2)CC1C3.C=C(C)C(=O)OCC(=O)OC1(C)C2CC3CC(C2)CC1C3.[H]C(=C)C(=O)OC1(C)C2CC3CC(C2)CC1C3.[H]C(=C)C(=O)OC1(CC)C2CC3CC(C2)CC1C3 ZPKKNZLCTXCKFR-UHFFFAOYSA-N 0.000 description 1
- AMOROUQOUORBAM-UHFFFAOYSA-N C=C(C)C(=O)OC1(C(C)C)C2CC3CC(C2)CC1C3.C=C(C)C(=O)OC1(CC)C2CC3CC(C2)CC1C3.C=C(C)C(=O)OC1(CC)CCCC1.C=C(C)C(=O)OC12CC3CC(CC(O)(C3)C1)C2.C=C(C)C(=O)OC12CC3CC(CC(O)(C3)C1)C2.C=C(C)C(=O)OC1CCOC1=O Chemical compound C=C(C)C(=O)OC1(C(C)C)C2CC3CC(C2)CC1C3.C=C(C)C(=O)OC1(CC)C2CC3CC(C2)CC1C3.C=C(C)C(=O)OC1(CC)CCCC1.C=C(C)C(=O)OC12CC3CC(CC(O)(C3)C1)C2.C=C(C)C(=O)OC12CC3CC(CC(O)(C3)C1)C2.C=C(C)C(=O)OC1CCOC1=O AMOROUQOUORBAM-UHFFFAOYSA-N 0.000 description 1
- RSWLHASLZBDTMZ-UHFFFAOYSA-N C=C(C)C(=O)OC1(C(C)C)CCCC1.C=C(C)C(=O)OC1(CC)CCCC1.[H]C(=C)C(=O)OC1(C(C)C)CCCC1.[H]C(=C)C(=O)OC1(C)CCCC1.[H]C(=C)C(=O)OC1(CC)CCCC1 Chemical compound C=C(C)C(=O)OC1(C(C)C)CCCC1.C=C(C)C(=O)OC1(CC)CCCC1.[H]C(=C)C(=O)OC1(C(C)C)CCCC1.[H]C(=C)C(=O)OC1(C)CCCC1.[H]C(=C)C(=O)OC1(CC)CCCC1 RSWLHASLZBDTMZ-UHFFFAOYSA-N 0.000 description 1
- SMKCRZKLDRWZFT-UHFFFAOYSA-N C=C(C)C(=O)OC1(C(C)C)CCCCC1.C=C(C)C(=O)OC1(C)CCCC1.C=C(C)C(=O)OC1(C)CCCCC1.C=C(C)C(=O)OC1(CC)CCCCC1.[H]C(=C)C(=O)OC1(C(C)C)CCCCC1.[H]C(=C)C(=O)OC1(C)CCCCC1.[H]C(=C)C(=O)OC1(CC)CCCCC1 Chemical compound C=C(C)C(=O)OC1(C(C)C)CCCCC1.C=C(C)C(=O)OC1(C)CCCC1.C=C(C)C(=O)OC1(C)CCCCC1.C=C(C)C(=O)OC1(CC)CCCCC1.[H]C(=C)C(=O)OC1(C(C)C)CCCCC1.[H]C(=C)C(=O)OC1(C)CCCCC1.[H]C(=C)C(=O)OC1(CC)CCCCC1 SMKCRZKLDRWZFT-UHFFFAOYSA-N 0.000 description 1
- HTTWLSFKDFDGMF-UHFFFAOYSA-N C=C(C)C(=O)OC1CSCCO1.C=C(C)C(=O)OC1CSCCS1.[H]C(=C)C(=O)OC1CSCCO1.[H]C(=C)C(=O)OC1CSCCS1 Chemical compound C=C(C)C(=O)OC1CSCCO1.C=C(C)C(=O)OC1CSCCS1.[H]C(=C)C(=O)OC1CSCCO1.[H]C(=C)C(=O)OC1CSCCS1 HTTWLSFKDFDGMF-UHFFFAOYSA-N 0.000 description 1
- YPBYMBKBOBLIIG-UHFFFAOYSA-N C=C(OC(C)COC(C)(F)F)C1CCCCC1.CC(=O)OC(C)COC(C)(F)F.CC(O)COC(C)(F)F.CCCCCOCC.CCCOC(C)(F)F.CCO.CCOC.CCOC(C)(F)F.CCOCCC(C)(F)F.COCCC(C)(F)F Chemical compound C=C(OC(C)COC(C)(F)F)C1CCCCC1.CC(=O)OC(C)COC(C)(F)F.CC(O)COC(C)(F)F.CCCCCOCC.CCCOC(C)(F)F.CCO.CCOC.CCOC(C)(F)F.CCOCCC(C)(F)F.COCCC(C)(F)F YPBYMBKBOBLIIG-UHFFFAOYSA-N 0.000 description 1
- AGDSBHWPAZSVNM-UHFFFAOYSA-E C=C(OC)C1=CC=C([IH]C2=CC=CC=C2C(=O)[O-])C=C1.CC(=O)C1=CC=C([IH]C2=CC=CC=C2C(=O)[O-])C=C1.CC(=O)OC1=CC=C([IH]C2=CC=CC=C2C(=O)[O-])C=C1.CC(C)(C)C1=CC=C([IH]C2=CC=CC=C2C(=O)[O-])C=C1.CC1=C(C(=O)[O-])C([IH]C2=CC=CC=C2)=CC=C1.COC1=CC(OC)=C([IH]C2=CC=CC=C2C(=O)[O-])C=C1.O=C([O-])C1=CC([N+](=O)[O-])=CC=C1[IH]C1=CC=CC=C1.O=C([O-])C1=CC=C([N+](=O)[O-])C=C1[IH]C1=CC=CC=C1.O=C([O-])C1=CC=CC=C1[IH]C1=CC=CC([N+](=O)[O-])=C1 Chemical compound C=C(OC)C1=CC=C([IH]C2=CC=CC=C2C(=O)[O-])C=C1.CC(=O)C1=CC=C([IH]C2=CC=CC=C2C(=O)[O-])C=C1.CC(=O)OC1=CC=C([IH]C2=CC=CC=C2C(=O)[O-])C=C1.CC(C)(C)C1=CC=C([IH]C2=CC=CC=C2C(=O)[O-])C=C1.CC1=C(C(=O)[O-])C([IH]C2=CC=CC=C2)=CC=C1.COC1=CC(OC)=C([IH]C2=CC=CC=C2C(=O)[O-])C=C1.O=C([O-])C1=CC([N+](=O)[O-])=CC=C1[IH]C1=CC=CC=C1.O=C([O-])C1=CC=C([N+](=O)[O-])C=C1[IH]C1=CC=CC=C1.O=C([O-])C1=CC=CC=C1[IH]C1=CC=CC([N+](=O)[O-])=C1 AGDSBHWPAZSVNM-UHFFFAOYSA-E 0.000 description 1
- BOXLLKRJNGWUII-UHFFFAOYSA-N C=C1C2CC3CC1CC(C(=O)OC(COC=O)COC(C)(F)F)(C3)C2.CC(F)(F)OCC(COC=O)OC(=O)C12CC3CC(CC(C3)C1)C2.CC(F)(F)OCC(COC=O)OC(=O)C12CC3CC(CC(O)(C3)C1)C2 Chemical compound C=C1C2CC3CC1CC(C(=O)OC(COC=O)COC(C)(F)F)(C3)C2.CC(F)(F)OCC(COC=O)OC(=O)C12CC3CC(CC(C3)C1)C2.CC(F)(F)OCC(COC=O)OC(=O)C12CC3CC(CC(O)(C3)C1)C2 BOXLLKRJNGWUII-UHFFFAOYSA-N 0.000 description 1
- JCGUJPKMUFJHEV-UHFFFAOYSA-N C=C1CCC[S+](C)CC1.C[S+]1CCC(=O)C1.C[S+]1CCC(=O)CC1.C[S+]1CCCC(=O)C1.C[S+]1CCCOC1.C[S+]1CCCOCC1.C[S+]1CCOC1.C[S+]1CCOCC1 Chemical compound C=C1CCC[S+](C)CC1.C[S+]1CCC(=O)C1.C[S+]1CCC(=O)CC1.C[S+]1CCCC(=O)C1.C[S+]1CCCOC1.C[S+]1CCCOCC1.C[S+]1CCOC1.C[S+]1CCOCC1 JCGUJPKMUFJHEV-UHFFFAOYSA-N 0.000 description 1
- LXMNGMCFCOUGCC-UHFFFAOYSA-N C=CC1=CC=C(OC(C)OC)C=C1.C=CC1=CC=C(OC(C)OC23CC4CC(CC(C4)C2)C3)C=C1.C=CC1=CC=C(OC(C)OC2CCCCC2)C=C1.C=CC1=CC=C(OC(C)OCCC2=CC=CC=C2)C=C1.C=CC1=CC=C(OC(C)OCCC2CCCCC2)C=C1.C=CC1=CC=C(OCOC)C=C1 Chemical compound C=CC1=CC=C(OC(C)OC)C=C1.C=CC1=CC=C(OC(C)OC23CC4CC(CC(C4)C2)C3)C=C1.C=CC1=CC=C(OC(C)OC2CCCCC2)C=C1.C=CC1=CC=C(OC(C)OCCC2=CC=CC=C2)C=C1.C=CC1=CC=C(OC(C)OCCC2CCCCC2)C=C1.C=CC1=CC=C(OCOC)C=C1 LXMNGMCFCOUGCC-UHFFFAOYSA-N 0.000 description 1
- LBXIXBWVGRRCRO-UHFFFAOYSA-N C=CC1=CC=C(OC(C)OCC23CC4CC(CC(C4)C2)C3)C=C1 Chemical compound C=CC1=CC=C(OC(C)OCC23CC4CC(CC(C4)C2)C3)C=C1 LBXIXBWVGRRCRO-UHFFFAOYSA-N 0.000 description 1
- OVJPOCDWVNOCFM-UHFFFAOYSA-N CC(=O)OC(C)(OC=O)OCCC(C)(F)F.CC(=O)OC(COC=O)COC(C)(F)F.CC(F)(F)CCOC(C)(C)OC=O.CC(F)(F)CCOCCOC=O.CC(F)(F)OCC(COC=O)OC(=O)C1CCCCC1.CC(F)(F)OCC(O)COC=O.CC(F)(F)OCC(O)COC=O.CC(F)(F)OCCCOC=O.CC(F)(F)OCCOC=O.CC(OC=O)OCCC(C)(F)F.CCCCC(=O)OCCOCC.CCOCCCCCCCCOC=O.CCOCCCCCCOC=O.CCOCCCCOC=O.CCOCCCOC=O.CCOCCOC=O Chemical compound CC(=O)OC(C)(OC=O)OCCC(C)(F)F.CC(=O)OC(COC=O)COC(C)(F)F.CC(F)(F)CCOC(C)(C)OC=O.CC(F)(F)CCOCCOC=O.CC(F)(F)OCC(COC=O)OC(=O)C1CCCCC1.CC(F)(F)OCC(O)COC=O.CC(F)(F)OCC(O)COC=O.CC(F)(F)OCCCOC=O.CC(F)(F)OCCOC=O.CC(OC=O)OCCC(C)(F)F.CCCCC(=O)OCCOCC.CCOCCCCCCCCOC=O.CCOCCCCCCOC=O.CCOCCCCOC=O.CCOCCCOC=O.CCOCCOC=O OVJPOCDWVNOCFM-UHFFFAOYSA-N 0.000 description 1
- DQFBVNUZWGYQLY-UHFFFAOYSA-N CC(=O)OC(CCC(=O)O)COC(C)(F)F.CC(=O)OC(OCCC(C)(F)F)(C(=O)O)C(F)(F)F.CC(F)(F)CCOC(O)(C(=O)O)C(F)(F)F.CC(F)(F)CCOC(OC(=O)C12CC3CC(C1)C(=O)C(C3)C2)(C(=O)O)C(F)(F)F.CC(F)(F)CCOC(OC(=O)C12CC3CC(CC(C3)C1)C2)(C(=O)O)C(F)(F)F.CC(F)(F)CCOC(OC(=O)C12CC3CC(CC(O)(C3)C1)C2)(C(=O)O)C(F)(F)F.CC(F)(F)CCOC(OC(=O)C1CCCCC1)(C(=O)O)C(F)(F)F.CC(F)(F)OCC(O)CCC(=O)O Chemical compound CC(=O)OC(CCC(=O)O)COC(C)(F)F.CC(=O)OC(OCCC(C)(F)F)(C(=O)O)C(F)(F)F.CC(F)(F)CCOC(O)(C(=O)O)C(F)(F)F.CC(F)(F)CCOC(OC(=O)C12CC3CC(C1)C(=O)C(C3)C2)(C(=O)O)C(F)(F)F.CC(F)(F)CCOC(OC(=O)C12CC3CC(CC(C3)C1)C2)(C(=O)O)C(F)(F)F.CC(F)(F)CCOC(OC(=O)C12CC3CC(CC(O)(C3)C1)C2)(C(=O)O)C(F)(F)F.CC(F)(F)CCOC(OC(=O)C1CCCCC1)(C(=O)O)C(F)(F)F.CC(F)(F)OCC(O)CCC(=O)O DQFBVNUZWGYQLY-UHFFFAOYSA-N 0.000 description 1
- MYXNDUCRBKLUBE-UHFFFAOYSA-N CC(=O)OC12CC3CC(C1)CC(C(=O)O)(C3)C2.COC(=O)C12CC3CC(C1)C(OC(C)=O)C(C3)C2.COC(=O)C12CC3CC(CC(OC(C)=O)(C3)C1)C2 Chemical compound CC(=O)OC12CC3CC(C1)CC(C(=O)O)(C3)C2.COC(=O)C12CC3CC(C1)C(OC(C)=O)C(C3)C2.COC(=O)C12CC3CC(CC(OC(C)=O)(C3)C1)C2 MYXNDUCRBKLUBE-UHFFFAOYSA-N 0.000 description 1
- QEWCGRJOLATRGY-UHFFFAOYSA-N CC(=O)OC12CC3CC(C1)CC(OC(=O)O)(C3)C2.CC(=O)OC1C2CC3CC1CC(OC(=O)O)(C3)C2.CC(=O)OCC12CC3CC(C1)C(OCC(=O)O)C(C3)C2.CC(=O)OCC12CC3CC(C1)CC(OC(=O)O)(C3)C2.CC(=O)OCC12CC3CC(C1)CC(OCC(=O)O)(C3)C2.CC(=O)OCC1CCC(OCC(=O)O)CC1.CC(=O)OCCOCC(=O)O.CC(=O)OCOCC(=O)O.CCCCCOC(=O)COCCOC(C)=O.CCCCCOC(=O)COCOC(C)=O Chemical compound CC(=O)OC12CC3CC(C1)CC(OC(=O)O)(C3)C2.CC(=O)OC1C2CC3CC1CC(OC(=O)O)(C3)C2.CC(=O)OCC12CC3CC(C1)C(OCC(=O)O)C(C3)C2.CC(=O)OCC12CC3CC(C1)CC(OC(=O)O)(C3)C2.CC(=O)OCC12CC3CC(C1)CC(OCC(=O)O)(C3)C2.CC(=O)OCC1CCC(OCC(=O)O)CC1.CC(=O)OCCOCC(=O)O.CC(=O)OCOCC(=O)O.CCCCCOC(=O)COCCOC(C)=O.CCCCCOC(=O)COCOC(C)=O QEWCGRJOLATRGY-UHFFFAOYSA-N 0.000 description 1
- PYCBACXGQBARLD-UHFFFAOYSA-N CC(=O)OC1C2CC3CC1CC(C(=O)O)(C3)C2.CC(=O)OCC(=O)O.CC(=O)OCC(C)(C)C(=O)O.CC(=O)OCC(C)C(=O)O.CC(=O)OCCC(=O)O.CC(=O)OCCCC(=O)O.CC(=O)OCCCCC(=O)O.CC(=O)OCCCCCCC(=O)O.CC(=O)OCCCCCCCCC(=O)O.CCCOC(=O)CCCCOC(C)=O.CCCOC(=O)CCOC(C)=O.CCCOC(=O)COC(C)=O.COC(=O)COC(C)=O.COC(=O)COC(C)=O Chemical compound CC(=O)OC1C2CC3CC1CC(C(=O)O)(C3)C2.CC(=O)OCC(=O)O.CC(=O)OCC(C)(C)C(=O)O.CC(=O)OCC(C)C(=O)O.CC(=O)OCCC(=O)O.CC(=O)OCCCC(=O)O.CC(=O)OCCCCC(=O)O.CC(=O)OCCCCCCC(=O)O.CC(=O)OCCCCCCCCC(=O)O.CCCOC(=O)CCCCOC(C)=O.CCCOC(=O)CCOC(C)=O.CCCOC(=O)COC(C)=O.COC(=O)COC(C)=O.COC(=O)COC(C)=O PYCBACXGQBARLD-UHFFFAOYSA-N 0.000 description 1
- JASYTNNEDONNCG-UHFFFAOYSA-N CC(=O)OCC12CC3CC(CC(O)(C3)C1)C2.CC(=O)OCCCCCCO.CC(=O)OCCCCO.CC(=O)OCCCO.CC(=O)OCCO.CC(=O)OCO.CCCCCOCCCCOC(C)=O.CCCCCOCCOC(C)=O.CCCCCOCOC(C)=O.CCOC12CC3CC(CC(COC(C)=O)(C3)C1)C2 Chemical compound CC(=O)OCC12CC3CC(CC(O)(C3)C1)C2.CC(=O)OCCCCCCO.CC(=O)OCCCCO.CC(=O)OCCCO.CC(=O)OCCO.CC(=O)OCO.CCCCCOCCCCOC(C)=O.CCCCCOCCOC(C)=O.CCCCCOCOC(C)=O.CCOC12CC3CC(CC(COC(C)=O)(C3)C1)C2 JASYTNNEDONNCG-UHFFFAOYSA-N 0.000 description 1
- JZXZVZQUSQVZBJ-UHFFFAOYSA-N CC(C)(C)C(=O)OC12CC3CC(CC(O)(C3)C1)C2.CC(C)(C)C(=O)OC12CC3CC(O)(CC(O)(C3)C1)C2.CC(C)(C)C(=O)OCC(=O)OC12CC3CC(O)(CC(O)(C3)C1)C2.[H]C(C)(C)C(=O)OC12CC3CC(CC(O)(C3)C1)C2.[H]C(C)(C)C(=O)OC12CC3CC(CC(O)(C3)C1)C2 Chemical compound CC(C)(C)C(=O)OC12CC3CC(CC(O)(C3)C1)C2.CC(C)(C)C(=O)OC12CC3CC(O)(CC(O)(C3)C1)C2.CC(C)(C)C(=O)OCC(=O)OC12CC3CC(O)(CC(O)(C3)C1)C2.[H]C(C)(C)C(=O)OC12CC3CC(CC(O)(C3)C1)C2.[H]C(C)(C)C(=O)OC12CC3CC(CC(O)(C3)C1)C2 JZXZVZQUSQVZBJ-UHFFFAOYSA-N 0.000 description 1
- YPRZKPKWXBHBQV-UHFFFAOYSA-N CC(C)(C)C1=CC=C([I+]C2=CC=C(C(C)(C)C)C=C2)C=C1.CC(C)(C)C1=CC=C([I+]C2=CC=C(C(C)(C)C)C=C2)C=C1.CC(F)(F)C(=O)OCC12CC3CC(C1)CC(OC(=O)N1C=CN=C1)(C3)C2.CC(F)(F)C(=O)OCC12CC3CC(CC(O)(C3)C1)C2.O=C(N1C=CN=C1)N1C=CN=C1 Chemical compound CC(C)(C)C1=CC=C([I+]C2=CC=C(C(C)(C)C)C=C2)C=C1.CC(C)(C)C1=CC=C([I+]C2=CC=C(C(C)(C)C)C=C2)C=C1.CC(F)(F)C(=O)OCC12CC3CC(C1)CC(OC(=O)N1C=CN=C1)(C3)C2.CC(F)(F)C(=O)OCC12CC3CC(CC(O)(C3)C1)C2.O=C(N1C=CN=C1)N1C=CN=C1 YPRZKPKWXBHBQV-UHFFFAOYSA-N 0.000 description 1
- OEXKRSVUUYUIMO-UHFFFAOYSA-N CC(C)(C)C1=CC=C([I+]C2=CC=C(C(C)(C)C)C=C2)C=C1.CC(C)(C)C1=CC=C([IH]C2=CC=C(C(C)(C)C)C=C2)C=C1.CC(F)(F)C(=O)OCC12CC3CC(C1)CC(OC(=O)N1C=CN=C1)(C3)C2.CC(F)(F)C(=O)OCC12CC3CC(C1)CC(OC(=O)OC(C1COC4(CCCCC4)O1)C1COC4(CCCCC4)O1)(C3)C2.OC(C1COC2(CCCCC2)O1)C1COC2(CCCCC2)O1 Chemical compound CC(C)(C)C1=CC=C([I+]C2=CC=C(C(C)(C)C)C=C2)C=C1.CC(C)(C)C1=CC=C([IH]C2=CC=C(C(C)(C)C)C=C2)C=C1.CC(F)(F)C(=O)OCC12CC3CC(C1)CC(OC(=O)N1C=CN=C1)(C3)C2.CC(F)(F)C(=O)OCC12CC3CC(C1)CC(OC(=O)OC(C1COC4(CCCCC4)O1)C1COC4(CCCCC4)O1)(C3)C2.OC(C1COC2(CCCCC2)O1)C1COC2(CCCCC2)O1 OEXKRSVUUYUIMO-UHFFFAOYSA-N 0.000 description 1
- NULNXMWRQMCLJT-UHFFFAOYSA-N CC(C)(C)C1=CC=C([I+]C2=CC=C(C(C)(C)C)C=C2)C=C1.CC(F)(F)C(=O)OCC12CC3CC(C1)CC(OC(=O)OC(C1COC4(CCCCC4)O1)C1COC4(CCCCC4)O1)(C3)C2 Chemical compound CC(C)(C)C1=CC=C([I+]C2=CC=C(C(C)(C)C)C=C2)C=C1.CC(F)(F)C(=O)OCC12CC3CC(C1)CC(OC(=O)OC(C1COC4(CCCCC4)O1)C1COC4(CCCCC4)O1)(C3)C2 NULNXMWRQMCLJT-UHFFFAOYSA-N 0.000 description 1
- ULEZDZAJVYHXEH-UHFFFAOYSA-N CC(C)(C)C1=CC=C([IH]C2=CC=C(C(C)(C)C)C=C2)C=C1.CC(C)(C)C1=CC=C([IH]C2=CC=C(C(C)(C)C)C=C2)C=C1.CC(F)(F)C(=O)OC12CC3CC(C1)C(=O)C(C3)C2.CC(F)(F)C(=O)OC12CC3CC(C1)C(=O)C(C3)C2.[Cl-] Chemical compound CC(C)(C)C1=CC=C([IH]C2=CC=C(C(C)(C)C)C=C2)C=C1.CC(C)(C)C1=CC=C([IH]C2=CC=C(C(C)(C)C)C=C2)C=C1.CC(F)(F)C(=O)OC12CC3CC(C1)C(=O)C(C3)C2.CC(F)(F)C(=O)OC12CC3CC(C1)C(=O)C(C3)C2.[Cl-] ULEZDZAJVYHXEH-UHFFFAOYSA-N 0.000 description 1
- ILTQZRYLBJLRQX-UHFFFAOYSA-K CC(C)(C)C1=CC=C([S+](C2=CC=CC=C2)C2=CC=C(C(C)(C)C)C=C2)C=C1.CC(C)(C)C1=CC=C([S+](C2=CC=CC=C2)C2=CC=C(C(C)(C)C)C=C2)C=C1.CC(C)(C)C1=CC=C([S+](C2=CC=CC=C2)C2=CC=C(C(C)(C)C)C=C2)C=C1.CC(F)(F)C(=O)OCC12CC3CC(CC(O)(C3)C1)C2.CCOS(=O)(=O)[O-].CCS(=O)(O)(CC)OO.O=C(OCC12CC3CC(CC(O)(C3)C1)C2)C(F)(F)SOO[O-].[H]N(CC)(CC)CC.[I-] Chemical compound CC(C)(C)C1=CC=C([S+](C2=CC=CC=C2)C2=CC=C(C(C)(C)C)C=C2)C=C1.CC(C)(C)C1=CC=C([S+](C2=CC=CC=C2)C2=CC=C(C(C)(C)C)C=C2)C=C1.CC(C)(C)C1=CC=C([S+](C2=CC=CC=C2)C2=CC=C(C(C)(C)C)C=C2)C=C1.CC(F)(F)C(=O)OCC12CC3CC(CC(O)(C3)C1)C2.CCOS(=O)(=O)[O-].CCS(=O)(O)(CC)OO.O=C(OCC12CC3CC(CC(O)(C3)C1)C2)C(F)(F)SOO[O-].[H]N(CC)(CC)CC.[I-] ILTQZRYLBJLRQX-UHFFFAOYSA-K 0.000 description 1
- VIEFNXCWAMZPMR-UHFFFAOYSA-N CC(C)(C)C1=CC=C([S+](C2=CC=CC=C2)C2=CC=CC=C2)C=C1.CC1=CC=C([S+](C2=CC=C(C)C=C2)C2=CC=C(C)C=C2)C=C1.CC1=CC=C([S+](C2=CC=CC=C2)C2=CC=C(C)C=C2)C=C1.CCCCCCC1=CC=C([S+](C2=CC=CC=C2)C2=CC=CC=C2)C=C1.CCCCCCCCC1=CC=C([S+](C2=CC=CC=C2)C2=CC=CC=C2)C=C1 Chemical compound CC(C)(C)C1=CC=C([S+](C2=CC=CC=C2)C2=CC=CC=C2)C=C1.CC1=CC=C([S+](C2=CC=C(C)C=C2)C2=CC=C(C)C=C2)C=C1.CC1=CC=C([S+](C2=CC=CC=C2)C2=CC=C(C)C=C2)C=C1.CCCCCCC1=CC=C([S+](C2=CC=CC=C2)C2=CC=CC=C2)C=C1.CCCCCCCCC1=CC=C([S+](C2=CC=CC=C2)C2=CC=CC=C2)C=C1 VIEFNXCWAMZPMR-UHFFFAOYSA-N 0.000 description 1
- WJBPJOJAKSEELT-UHFFFAOYSA-N CC(C)(C)C1=CC=C([S+]2CCOCC2)C=C1.CC(F)(F)C(=O)OCC12CC3CC(C1)CC(OC(=O)OC(C1COC4(CCCCC4)O1)C1COC4(CCCCC4)O1)(C3)C2 Chemical compound CC(C)(C)C1=CC=C([S+]2CCOCC2)C=C1.CC(F)(F)C(=O)OCC12CC3CC(C1)CC(OC(=O)OC(C1COC4(CCCCC4)O1)C1COC4(CCCCC4)O1)(C3)C2 WJBPJOJAKSEELT-UHFFFAOYSA-N 0.000 description 1
- AHARJXKQLGRSRG-UHFFFAOYSA-N CC(C)(C)C1=CC=C([SH]2CCOCC2)C=C1 Chemical compound CC(C)(C)C1=CC=C([SH]2CCOCC2)C=C1 AHARJXKQLGRSRG-UHFFFAOYSA-N 0.000 description 1
- AXHKXZJNVFFLFQ-UHFFFAOYSA-N CC(F)(F)C(=O)OC1C2CC3CC1CC(OC(=O)COC(C1COC4(CCCCC4)O1)C1COC4(CCCCC4)O1)(C3)C2.CC(F)(F)C(=O)OC1C2CC3CC1CC(OCC(=O)OC(C1COC4(CCCCC4)O1)C1COC4(CCCCC4)O1)(C3)C2.CC(F)(F)C(=O)OC1C2CC3CC1CC(OCC(=O)OC(C1COC4(CCCCC4)O1)C1COC4(CCCCC4)O1)(C3)C2.CC(F)(F)C(=O)OCC12CC3CC(C1)CC(C(=O)OC(C1COC4(CCCCC4)O1)C1COC4(CCCCC4)O1)(C3)C2.CC1(C)OCC(C(OC(=O)C23CC4CC(CC(COC(=O)C(C)(F)F)(C4)C2)C3)C2COC(C)(C)O2)O1 Chemical compound CC(F)(F)C(=O)OC1C2CC3CC1CC(OC(=O)COC(C1COC4(CCCCC4)O1)C1COC4(CCCCC4)O1)(C3)C2.CC(F)(F)C(=O)OC1C2CC3CC1CC(OCC(=O)OC(C1COC4(CCCCC4)O1)C1COC4(CCCCC4)O1)(C3)C2.CC(F)(F)C(=O)OC1C2CC3CC1CC(OCC(=O)OC(C1COC4(CCCCC4)O1)C1COC4(CCCCC4)O1)(C3)C2.CC(F)(F)C(=O)OCC12CC3CC(C1)CC(C(=O)OC(C1COC4(CCCCC4)O1)C1COC4(CCCCC4)O1)(C3)C2.CC1(C)OCC(C(OC(=O)C23CC4CC(CC(COC(=O)C(C)(F)F)(C4)C2)C3)C2COC(C)(C)O2)O1 AXHKXZJNVFFLFQ-UHFFFAOYSA-N 0.000 description 1
- SQERPGQTGLZYPQ-UHFFFAOYSA-N CC(F)(F)C(=O)OCC(=O)CC(C1COC2(O1)C1CC3CC(C1)CC2C3)C1COC2(O1)C1CC3CC(C1)CC2C3.CC(F)(F)C(=O)OCC(=O)OC(C1COC2(CCCC2)O1)C1COC2(CCCC2)O1.CC(F)(F)C(=O)OCC(=O)OC(C1COC2(CCCCC2)O1)C1COC2(CCCCC2)O1.CC(F)(F)COC(=O)COC(C1COC2(CCCCC2)O1)C1COC2(CCCCC2)O1.CC1(C)OCC(C(CC(=O)COC(=O)C(C)(F)F)C2COC3(CCCCC3)O2)O1 Chemical compound CC(F)(F)C(=O)OCC(=O)CC(C1COC2(O1)C1CC3CC(C1)CC2C3)C1COC2(O1)C1CC3CC(C1)CC2C3.CC(F)(F)C(=O)OCC(=O)OC(C1COC2(CCCC2)O1)C1COC2(CCCC2)O1.CC(F)(F)C(=O)OCC(=O)OC(C1COC2(CCCCC2)O1)C1COC2(CCCCC2)O1.CC(F)(F)COC(=O)COC(C1COC2(CCCCC2)O1)C1COC2(CCCCC2)O1.CC1(C)OCC(C(CC(=O)COC(=O)C(C)(F)F)C2COC3(CCCCC3)O2)O1 SQERPGQTGLZYPQ-UHFFFAOYSA-N 0.000 description 1
- GZRSLWARDAKOMC-UHFFFAOYSA-N CC(F)(F)C(=O)OCC12CC3CC(C1)CC(OC(=O)OC(C1COC4(CCCC4)O1)C1COC4(CCCC4)O1)(C3)C2.CC(F)(F)C(=O)OCC12CC3CC(C1)CC(OC(=O)OC(C1COC4(O1)C1CC5CC(C1)CC4C5)C1COC4(O1)C1CC5CC(C1)CC4C5)(C3)C2.CC1(C)OCC(C(OC(=O)OC23CC4CC(CC(COC(=O)C(C)(F)F)(C4)C2)C3)C2COC(C)(C)O2)O1 Chemical compound CC(F)(F)C(=O)OCC12CC3CC(C1)CC(OC(=O)OC(C1COC4(CCCC4)O1)C1COC4(CCCC4)O1)(C3)C2.CC(F)(F)C(=O)OCC12CC3CC(C1)CC(OC(=O)OC(C1COC4(O1)C1CC5CC(C1)CC4C5)C1COC4(O1)C1CC5CC(C1)CC4C5)(C3)C2.CC1(C)OCC(C(OC(=O)OC23CC4CC(CC(COC(=O)C(C)(F)F)(C4)C2)C3)C2COC(C)(C)O2)O1 GZRSLWARDAKOMC-UHFFFAOYSA-N 0.000 description 1
- XMUGVVQNMFTPEI-UHFFFAOYSA-N CC(F)(F)C(=O)OCC12CC3CC(C1)CC(OC(=O)OC(C1COC4(CCCCC4)O1)C1COC4(CCCCC4)O1)(C3)C2.CC(F)(F)C(F)(F)OC(C1COC2(CCCC2)O1)C1COC2(CCCC2)O1.CC(F)(F)C(F)(F)OC(C1COC2(CCCCC2)O1)C1COC2(CCCCC2)O1.CC(F)(F)C(F)(F)OC(C1COC2(O1)C1CC3CC(C1)CC2C3)C1COC2(O1)C1CC3CC(C1)CC2C3.CC1(C)OCC(C(OC(F)(F)C(C)(F)F)C2COC(C)(C)O2)O1 Chemical compound CC(F)(F)C(=O)OCC12CC3CC(C1)CC(OC(=O)OC(C1COC4(CCCCC4)O1)C1COC4(CCCCC4)O1)(C3)C2.CC(F)(F)C(F)(F)OC(C1COC2(CCCC2)O1)C1COC2(CCCC2)O1.CC(F)(F)C(F)(F)OC(C1COC2(CCCCC2)O1)C1COC2(CCCCC2)O1.CC(F)(F)C(F)(F)OC(C1COC2(O1)C1CC3CC(C1)CC2C3)C1COC2(O1)C1CC3CC(C1)CC2C3.CC1(C)OCC(C(OC(F)(F)C(C)(F)F)C2COC(C)(C)O2)O1 XMUGVVQNMFTPEI-UHFFFAOYSA-N 0.000 description 1
- KAQOVBUTGIGRMZ-UHFFFAOYSA-N CC(F)(F)CCOC=O.CCCCC(=O)OCC.CCCCC(=O)OCCC.CCCCC(=O)OCCC(C)(F)F.CCCCCCCCCOC=O.CCCCCCCOC=O.CCCCCOC(=O)CCCC.CCCCCOC=O.CCCCOC(=O)CCCC.CCCCOC=O.CCCOC=O.CCOC=O Chemical compound CC(F)(F)CCOC=O.CCCCC(=O)OCC.CCCCC(=O)OCCC.CCCCC(=O)OCCC(C)(F)F.CCCCCCCCCOC=O.CCCCCCCOC=O.CCCCCOC(=O)CCCC.CCCCCOC=O.CCCCOC(=O)CCCC.CCCCOC=O.CCCOC=O.CCOC=O KAQOVBUTGIGRMZ-UHFFFAOYSA-N 0.000 description 1
- BPLXJULFQZKWIO-UHFFFAOYSA-N CC(F)(F)F.CC(F)(F)F.CCC(C)(C)C(=O)OCCOC(=O)C(F)(F)CC(F)F.CCC(C)(C)C(=O)OCCOC(=O)C(F)F.[H]C(C)(CC)C(=O)OCCOC(=O)C(F)(F)CC(F)F.[H]C(C)(CC)C(=O)OCCOC(=O)C(F)F Chemical compound CC(F)(F)F.CC(F)(F)F.CCC(C)(C)C(=O)OCCOC(=O)C(F)(F)CC(F)F.CCC(C)(C)C(=O)OCCOC(=O)C(F)F.[H]C(C)(CC)C(=O)OCCOC(=O)C(F)(F)CC(F)F.[H]C(C)(CC)C(=O)OCCOC(=O)C(F)F BPLXJULFQZKWIO-UHFFFAOYSA-N 0.000 description 1
- YCHCWFFTYRODDZ-UHFFFAOYSA-N CC(F)(F)OCCC(=O)O.CC(F)(F)OCCCC(=O)O.CCCCCOC(=O)CCCCOCC.CCCCCOC(=O)CCOCC.CCCCCOC(=O)COCC.CCOC(=O)O.CCOC(=O)O.CCOC(=O)OC.CCOC(=O)OC.CCOCC(=O)O.CCOCC(=O)OC.CCOCC(C)(C)C(=O)O.CCOCC(C)C(=O)O.CCOCCC(=O)O.CCOCCC(=O)OC.CCOCCC(=O)OC.CCOCCCC(=O)O.CCOCCCCC(=O)O.CCOCCCCCCC(=O)O.CCOCCCCCCCCC(=O)O Chemical compound CC(F)(F)OCCC(=O)O.CC(F)(F)OCCCC(=O)O.CCCCCOC(=O)CCCCOCC.CCCCCOC(=O)CCOCC.CCCCCOC(=O)COCC.CCOC(=O)O.CCOC(=O)O.CCOC(=O)OC.CCOC(=O)OC.CCOCC(=O)O.CCOCC(=O)OC.CCOCC(C)(C)C(=O)O.CCOCC(C)C(=O)O.CCOCCC(=O)O.CCOCCC(=O)OC.CCOCCC(=O)OC.CCOCCCC(=O)O.CCOCCCCC(=O)O.CCOCCCCCCC(=O)O.CCOCCCCCCCCC(=O)O YCHCWFFTYRODDZ-UHFFFAOYSA-N 0.000 description 1
- VEPRVGGMBHNPPH-UHFFFAOYSA-N CC.CC.CC.CCC(C)(C)C(=O)CC1C2CC3C(=O)OC1C3C2.CCC(C)(C)C(=O)CC1C2CC3CC(C2)C(=O)OC1C3.CCC(C)(C)C(=O)CC1CCC2CC1OC2=O.CCC(C)(C)C(=O)CC1CCOC1=O Chemical compound CC.CC.CC.CCC(C)(C)C(=O)CC1C2CC3C(=O)OC1C3C2.CCC(C)(C)C(=O)CC1C2CC3CC(C2)C(=O)OC1C3.CCC(C)(C)C(=O)CC1CCC2CC1OC2=O.CCC(C)(C)C(=O)CC1CCOC1=O VEPRVGGMBHNPPH-UHFFFAOYSA-N 0.000 description 1
- VNDYTIKQYVVXER-UHFFFAOYSA-N CC.CC.CCC(C)(C)C(=O)CC(C)(C)C.CCC(C)(C)C(=O)CC1(C)C2CC3CC(C2)CC1C3.CCC(C)(C)C(=O)CC1(C)CCCCC1 Chemical compound CC.CC.CCC(C)(C)C(=O)CC(C)(C)C.CCC(C)(C)C(=O)CC1(C)C2CC3CC(C2)CC1C3.CCC(C)(C)C(=O)CC1(C)CCCCC1 VNDYTIKQYVVXER-UHFFFAOYSA-N 0.000 description 1
- BFUNDFDIZZSUKS-UHFFFAOYSA-N CC.CC.CCC(C)(C)C1=CC=CC=C1 Chemical compound CC.CC.CCC(C)(C)C1=CC=CC=C1 BFUNDFDIZZSUKS-UHFFFAOYSA-N 0.000 description 1
- JKVCNVZGXHGGFF-UHFFFAOYSA-N CC.CCC(C)(C)C(=O)CC12CC3(C)CC(C)(CC(O)(C3)C1)C2 Chemical compound CC.CCC(C)(C)C(=O)CC12CC3(C)CC(C)(CC(O)(C3)C1)C2 JKVCNVZGXHGGFF-UHFFFAOYSA-N 0.000 description 1
- RPEBHVBKRJOLPV-UHFFFAOYSA-N CC.CCC(C)(C)C1=CC=CC=C1.COC(C)(C)OC Chemical compound CC.CCC(C)(C)C1=CC=CC=C1.COC(C)(C)OC RPEBHVBKRJOLPV-UHFFFAOYSA-N 0.000 description 1
- YDUOVDBTOYDEDP-UHFFFAOYSA-N CC1(C)C2CC3CC(C2)CC1C3.CC1(C)CCCCC1 Chemical compound CC1(C)C2CC3CC(C2)CC1C3.CC1(C)CCCCC1 YDUOVDBTOYDEDP-UHFFFAOYSA-N 0.000 description 1
- ZJUOSBDYMFULLZ-HMNVGSEDSA-N CC1(C)OCC(C(O)C2COC(C)(C)O2)O1.COC(C)(C)OC.OC[C@H](O)[C@@H](O)[C@H](O)CO Chemical compound CC1(C)OCC(C(O)C2COC(C)(C)O2)O1.COC(C)(C)OC.OC[C@H](O)[C@@H](O)[C@H](O)CO ZJUOSBDYMFULLZ-HMNVGSEDSA-N 0.000 description 1
- KADTYXATUXIQQV-UHFFFAOYSA-N CC1(C)OCC(C(O)C2COC(C)(C)O2)O1.O=C(OC(C1COC2(CCCCC2)O1)C1COC2(CCCCC2)O1)C12CC3CC(C1)C(O)C(C3)C2.OC(C1COC2(CCCCC2)O1)C1COC2(CCCCC2)O1 Chemical compound CC1(C)OCC(C(O)C2COC(C)(C)O2)O1.O=C(OC(C1COC2(CCCCC2)O1)C1COC2(CCCCC2)O1)C12CC3CC(C1)C(O)C(C3)C2.OC(C1COC2(CCCCC2)O1)C1COC2(CCCCC2)O1 KADTYXATUXIQQV-UHFFFAOYSA-N 0.000 description 1
- VPHWDDZOQHWFIZ-UHFFFAOYSA-D CC1=CC(C)=C([IH]C2=CC=CC=C2C(=O)[O-])C(C)=C1.CC1=CC(C)=C([IH]C2=CC=CC=C2C(=O)[O-])C=C1.CC1=CC=C(C(=O)[O-])C([IH]C2=CC=CC=C2)=C1.CC1=CC=C([IH]C2=CC=CC=C2)C(C(=O)[O-])=C1.COC1=CC=C([IH]C2=CC=CC=C2C(=O)[O-])C=C1.O=C([O-])C1=CC=C(Br)C=C1[IH]C1=CC=CC=C1.O=C([O-])C1=CC=C(Cl)C=C1[IH]C1=CC=CC=C1.O=C([O-])C1=CC=CC=C1[IH]C1=CC=C(Br)C=C1.O=C([O-])C1=CC=CC=C1[IH]C1=CC=C(C2CCCCC2)C=C1.O=C([O-])C1=CC=CC=C1[IH]C1=CC=CC=C1.O=C[O-]C1=CC([IH]C2=CC=CC=C2)=CC=C1.O=C[O-]C1=CC=C([IH]C2=CC=CC=C2)C=C1 Chemical compound CC1=CC(C)=C([IH]C2=CC=CC=C2C(=O)[O-])C(C)=C1.CC1=CC(C)=C([IH]C2=CC=CC=C2C(=O)[O-])C=C1.CC1=CC=C(C(=O)[O-])C([IH]C2=CC=CC=C2)=C1.CC1=CC=C([IH]C2=CC=CC=C2)C(C(=O)[O-])=C1.COC1=CC=C([IH]C2=CC=CC=C2C(=O)[O-])C=C1.O=C([O-])C1=CC=C(Br)C=C1[IH]C1=CC=CC=C1.O=C([O-])C1=CC=C(Cl)C=C1[IH]C1=CC=CC=C1.O=C([O-])C1=CC=CC=C1[IH]C1=CC=C(Br)C=C1.O=C([O-])C1=CC=CC=C1[IH]C1=CC=C(C2CCCCC2)C=C1.O=C([O-])C1=CC=CC=C1[IH]C1=CC=CC=C1.O=C[O-]C1=CC([IH]C2=CC=CC=C2)=CC=C1.O=C[O-]C1=CC=C([IH]C2=CC=CC=C2)C=C1 VPHWDDZOQHWFIZ-UHFFFAOYSA-D 0.000 description 1
- BREVBAWFIZNJES-UHFFFAOYSA-O CC1=CC=C([S+]2C3=C(C=CC=C3)OC3=C2C=CC=C3)C=C1.COC1=CC=C([S+](C2=CC=CC=C2)C2=CC=CC=C2)C=C1.FC1=CC=C([S+](C2=CC=C(F)C=C2)C2=CC=C(F)C=C2)C=C1.FC1=CC=C([S+](C2=CC=CC=C2)C2=CC=CC=C2)C=C1.OC1=CC=C([S+]2C3=C(C=CC=C3)OC3=C2C=CC=C3)C=C1 Chemical compound CC1=CC=C([S+]2C3=C(C=CC=C3)OC3=C2C=CC=C3)C=C1.COC1=CC=C([S+](C2=CC=CC=C2)C2=CC=CC=C2)C=C1.FC1=CC=C([S+](C2=CC=C(F)C=C2)C2=CC=C(F)C=C2)C=C1.FC1=CC=C([S+](C2=CC=CC=C2)C2=CC=CC=C2)C=C1.OC1=CC=C([S+]2C3=C(C=CC=C3)OC3=C2C=CC=C3)C=C1 BREVBAWFIZNJES-UHFFFAOYSA-O 0.000 description 1
- GRDRBBBIVHYJBI-UHFFFAOYSA-N CC1C(C)C2CC1C(C)C2C(=O)OC(C)(C)C Chemical compound CC1C(C)C2CC1C(C)C2C(=O)OC(C)(C)C GRDRBBBIVHYJBI-UHFFFAOYSA-N 0.000 description 1
- VQJSYUDINWNAGU-UHFFFAOYSA-N CC1C2CC3CC(C2)CC1C3.CC1CC2CC1C1C3CC(C4C5CCC(C5)C34)C21.CC1CC2CC1C1C3CC(C4CCC43)C21.CC1CC2CC1C1C3CC(C4CCCC43)C21.CC1CC2CC1C1C3CCC(C3)C21.CC1CC2CC1C1CC3CCCCC3CC21.CC1CC2CC1C1CCCC21.CC1CC2CC1C1CCCCC21.CC1CC2CCC1C2.CC1CCC2CCCCC2C1.CC1CCCC1.CC1CCCCC1.CC1CCCCCC1.CC1CCCCCCC1 Chemical compound CC1C2CC3CC(C2)CC1C3.CC1CC2CC1C1C3CC(C4C5CCC(C5)C34)C21.CC1CC2CC1C1C3CC(C4CCC43)C21.CC1CC2CC1C1C3CC(C4CCCC43)C21.CC1CC2CC1C1C3CCC(C3)C21.CC1CC2CC1C1CC3CCCCC3CC21.CC1CC2CC1C1CCCC21.CC1CC2CC1C1CCCCC21.CC1CC2CCC1C2.CC1CCC2CCCCC2C1.CC1CCCC1.CC1CCCCC1.CC1CCCCCC1.CC1CCCCCCC1 VQJSYUDINWNAGU-UHFFFAOYSA-N 0.000 description 1
- JQCWUDJFMGDJFB-UHFFFAOYSA-N CC1CC2CC1C1C3CC(C4C5CCC(C5)C34)C21.CC1CC2CC1C1C3CC(C4CCC43)C21.CC1CC2CC1C1C3CC(C4CCCC43)C21.CC1CC2CC1C1C3CCC(C3)C21.CC1CC2CC1C1CC3CCCCC3CC21.CC1CC2CC1C1CCCC21.CC1CC2CC1C1CCCCC21 Chemical compound CC1CC2CC1C1C3CC(C4C5CCC(C5)C34)C21.CC1CC2CC1C1C3CC(C4CCC43)C21.CC1CC2CC1C1C3CC(C4CCCC43)C21.CC1CC2CC1C1C3CCC(C3)C21.CC1CC2CC1C1CC3CCCCC3CC21.CC1CC2CC1C1CCCC21.CC1CC2CC1C1CCCCC21 JQCWUDJFMGDJFB-UHFFFAOYSA-N 0.000 description 1
- JMQFAMGJMKXUGC-UHFFFAOYSA-N CCC(=O)CC(C)=O.CCC(=O)OC.CCC(=O)OC.CCC(=O)OC.CCC(=O)OC(C)(C)C.CCC(=O)OC(C)C.CCC(C)=O.CCC(C)=O.CCC(C)=O.CCCCC(=O)CCC(C)=O.CCCCOCCOC.CCOC.CCOC.CCOC.CCOC(=O)C(C)(C)C.CCOC(=O)C(C)C.CCOC(C)=O.CCOC(C)=O.CCOC(C)=O.CCOCOC Chemical compound CCC(=O)CC(C)=O.CCC(=O)OC.CCC(=O)OC.CCC(=O)OC.CCC(=O)OC(C)(C)C.CCC(=O)OC(C)C.CCC(C)=O.CCC(C)=O.CCC(C)=O.CCCCC(=O)CCC(C)=O.CCCCOCCOC.CCOC.CCOC.CCOC.CCOC(=O)C(C)(C)C.CCOC(=O)C(C)C.CCOC(C)=O.CCOC(C)=O.CCOC(C)=O.CCOCOC JMQFAMGJMKXUGC-UHFFFAOYSA-N 0.000 description 1
- HNRMPXKDFBEGFZ-UHFFFAOYSA-N CCC(C)(C)C Chemical compound CCC(C)(C)C HNRMPXKDFBEGFZ-UHFFFAOYSA-N 0.000 description 1
- LIBUIKXHYBIUGU-UHFFFAOYSA-N CCC(C)(C)C(=O)CCC1CCCCC1 Chemical compound CCC(C)(C)C(=O)CCC1CCCCC1 LIBUIKXHYBIUGU-UHFFFAOYSA-N 0.000 description 1
- RMPHUWCLWACTMB-UHFFFAOYSA-N CCC(C)(C)C(=O)OC(C)(C)C.CCC(C)(C)C(=O)OC(C)(C)C1CCCC1.CCC(C)(C)C(=O)OC(C)(C)C1CCCCC1.CCC(C)(C)OC(=O)C(C)(C)CC.CCC(CC)(CC)OC(=O)C(C)(C)CC.CCCC(C)(C)OC(=O)C(C)(C)CC Chemical compound CCC(C)(C)C(=O)OC(C)(C)C.CCC(C)(C)C(=O)OC(C)(C)C1CCCC1.CCC(C)(C)C(=O)OC(C)(C)C1CCCCC1.CCC(C)(C)OC(=O)C(C)(C)CC.CCC(CC)(CC)OC(=O)C(C)(C)CC.CCCC(C)(C)OC(=O)C(C)(C)CC RMPHUWCLWACTMB-UHFFFAOYSA-N 0.000 description 1
- MBTHNOCRNBYVNO-UHFFFAOYSA-N CCC(C)(C)C(=O)OC(C)(C)C12CC3CC(CC(C3)C1)C2.CCC(C)(C)C(=O)OC(C)(C)C1CC2CCC1C2.CCC(C)(C)C(=O)OC(CC)(CC)C12CC3CC(CC(C3)C1)C2.CCC(C)(C)C(=O)OC(CC)(CC)C1CCCCC1.CCC(CC)(CC1CCCCC1)OC(=O)C(C)(C)CC Chemical compound CCC(C)(C)C(=O)OC(C)(C)C12CC3CC(CC(C3)C1)C2.CCC(C)(C)C(=O)OC(C)(C)C1CC2CCC1C2.CCC(C)(C)C(=O)OC(CC)(CC)C12CC3CC(CC(C3)C1)C2.CCC(C)(C)C(=O)OC(CC)(CC)C1CCCCC1.CCC(CC)(CC1CCCCC1)OC(=O)C(C)(C)CC MBTHNOCRNBYVNO-UHFFFAOYSA-N 0.000 description 1
- IZWHVGYQAAFQCT-UHFFFAOYSA-N CCC(C)(C)C(=O)OC1(C(C)C)C2CC3CC(C2)CC1C3.CCC(C)(C)C(=O)OC12CC3CC(O)(CC(O)(C3)C1)C2.CCC(C)(C)C(=O)OCC(=O)OC1C2CC3CC(C2)C(=O)OC1C3.CCC1(OC(=O)C(C)(C)CC)CCCC1 Chemical compound CCC(C)(C)C(=O)OC1(C(C)C)C2CC3CC(C2)CC1C3.CCC(C)(C)C(=O)OC12CC3CC(O)(CC(O)(C3)C1)C2.CCC(C)(C)C(=O)OCC(=O)OC1C2CC3CC(C2)C(=O)OC1C3.CCC1(OC(=O)C(C)(C)CC)CCCC1 IZWHVGYQAAFQCT-UHFFFAOYSA-N 0.000 description 1
- TVOOFEGNVPHCRT-UHFFFAOYSA-N CCC(C)(C)C(=O)OC1(CC)C2CC3CC(C2)CC1C3.CCC(C)(C)C(=O)OC12CC3CC(CC(O)(C3)C1)C2.CCC(C)(C)C(=O)OC1CCOC1=O Chemical compound CCC(C)(C)C(=O)OC1(CC)C2CC3CC(C2)CC1C3.CCC(C)(C)C(=O)OC12CC3CC(CC(O)(C3)C1)C2.CCC(C)(C)C(=O)OC1CCOC1=O TVOOFEGNVPHCRT-UHFFFAOYSA-N 0.000 description 1
- OTPJVJFCFBXAHL-UHFFFAOYSA-N CCC(C)(C)C(=O)OC12CC3CC(CC(C3)C1)C2.CCC(C)(C)C(=O)OC1CC2CCC1C2.CCC(C)(C)C(=O)OC1CCCCC1.CCC(C)(C)C(=O)OCC(=O)OC12CC3CC(CC(C3)C1)C2.CCC(C)(C)C(=O)OCC(=O)OC1CCCCC1 Chemical compound CCC(C)(C)C(=O)OC12CC3CC(CC(C3)C1)C2.CCC(C)(C)C(=O)OC1CC2CCC1C2.CCC(C)(C)C(=O)OC1CCCCC1.CCC(C)(C)C(=O)OCC(=O)OC12CC3CC(CC(C3)C1)C2.CCC(C)(C)C(=O)OCC(=O)OC1CCCCC1 OTPJVJFCFBXAHL-UHFFFAOYSA-N 0.000 description 1
- AZVDOTPUOMTBAK-UHFFFAOYSA-N CCC(C)(C)C(=O)OC1C2CC3C(=O)OC1C3C2.CCC(C)(C)C(=O)OC1CCOC1=O.CCC(C)(C)C(=O)OCC(=O)OC1CCOC1=O.[H]C(C)(CC)C(=O)OC1CCOC1=O.[H]C(C)(CC)C(=O)OCC(=O)OC1CCOC1=O Chemical compound CCC(C)(C)C(=O)OC1C2CC3C(=O)OC1C3C2.CCC(C)(C)C(=O)OC1CCOC1=O.CCC(C)(C)C(=O)OCC(=O)OC1CCOC1=O.[H]C(C)(CC)C(=O)OC1CCOC1=O.[H]C(C)(CC)C(=O)OCC(=O)OC1CCOC1=O AZVDOTPUOMTBAK-UHFFFAOYSA-N 0.000 description 1
- VGFIFZSPGREKQO-UHFFFAOYSA-N CCC(C)(C)C(=O)OC1C2CC3CC(C2)C(=O)OC1C3.CCC(C)(C)C(=O)OCC(=O)OC1C2CC3CC(C2)C(=O)OC1C3.CCC(C)(C)C(=O)OCC(=O)OC1CCC2CC1OC2=O.[H]C(C)(CC)C(=O)OCC(=O)OC1CCC2CC1OC2=O Chemical compound CCC(C)(C)C(=O)OC1C2CC3CC(C2)C(=O)OC1C3.CCC(C)(C)C(=O)OCC(=O)OC1C2CC3CC(C2)C(=O)OC1C3.CCC(C)(C)C(=O)OCC(=O)OC1CCC2CC1OC2=O.[H]C(C)(CC)C(=O)OCC(=O)OC1CCC2CC1OC2=O VGFIFZSPGREKQO-UHFFFAOYSA-N 0.000 description 1
- QCULZBKUTAPADM-UHFFFAOYSA-N CCC(C)(C)C(=O)OC1CCC2CC1OC2=O.CCC(C)(C)C(=O)OCC(=O)OC1C2CC3C(=O)OC1C3C2.[H]C(C)(CC)C(=O)OC1C2CC3C(=O)OC1C3C2.[H]C(C)(CC)C(=O)OC1CCC2CC1OC2=O.[H]C(C)(CC)C(=O)OCC(=O)OC1C2CC3C(=O)OC1C3C2 Chemical compound CCC(C)(C)C(=O)OC1CCC2CC1OC2=O.CCC(C)(C)C(=O)OCC(=O)OC1C2CC3C(=O)OC1C3C2.[H]C(C)(CC)C(=O)OC1C2CC3C(=O)OC1C3C2.[H]C(C)(CC)C(=O)OC1CCC2CC1OC2=O.[H]C(C)(CC)C(=O)OCC(=O)OC1C2CC3C(=O)OC1C3C2 QCULZBKUTAPADM-UHFFFAOYSA-N 0.000 description 1
- PWMKYXDKIFOVEI-UHFFFAOYSA-N CCC(C)(C)C(=O)OCC(=O)OC Chemical compound CCC(C)(C)C(=O)OCC(=O)OC PWMKYXDKIFOVEI-UHFFFAOYSA-N 0.000 description 1
- YNRBGTZNNJIMFK-UHFFFAOYSA-N CCC(C)(C)C(=O)OCC(=O)OC1CC2CCC1C2.CCC(C)(C)C(=O)OCCOC(=O)C12CC3CC(CC(C3)C1)C2.CCC(C)(C)C(=O)OCCOC(=O)C1CC2CCC1C2.CCC(C)(C)C(=O)OCCOC(=O)C1CCCCC1 Chemical compound CCC(C)(C)C(=O)OCC(=O)OC1CC2CCC1C2.CCC(C)(C)C(=O)OCCOC(=O)C12CC3CC(CC(C3)C1)C2.CCC(C)(C)C(=O)OCCOC(=O)C1CC2CCC1C2.CCC(C)(C)C(=O)OCCOC(=O)C1CCCCC1 YNRBGTZNNJIMFK-UHFFFAOYSA-N 0.000 description 1
- UCGDETHPTYSSAU-UHFFFAOYSA-N CCC(C)(C)C(=O)OCC(=O)OCC(=O)OC1C2CC3CC(C2)C(=O)OC1C3.CCC(C)(C)C(=O)OCCOC(=O)COC1C2CC3CC(C2)C(=O)OC1C3.CCC(C)(C)C(=O)OCCOC1C2CC3CC(C2)C(=O)OC1C3 Chemical compound CCC(C)(C)C(=O)OCC(=O)OCC(=O)OC1C2CC3CC(C2)C(=O)OC1C3.CCC(C)(C)C(=O)OCCOC(=O)COC1C2CC3CC(C2)C(=O)OC1C3.CCC(C)(C)C(=O)OCCOC1C2CC3CC(C2)C(=O)OC1C3 UCGDETHPTYSSAU-UHFFFAOYSA-N 0.000 description 1
- JIWJITPTHLMEAC-UHFFFAOYSA-N CCC(C)(C)C(=O)OCC(=O)OCC(=O)OCCC(C)(F)F.CCC(C)(C)C(=O)OCCC(=O)OCC1(F)C(F)(F)C(F)(F)C(F)(F)C(F)(F)C1(F)F.CCOC(=O)COC(=O)COC(=O)C(C)(C)CC.[H]C(C)(CC)C(=O)OCC(=O)OCC(=O)OCC.[H]C(C)(CC)C(=O)OCC(=O)OCC(=O)OCCC(C)(F)F.[H]C(C)(CC)C(=O)OCCC(=O)OCC1(F)C(F)(F)C(F)(F)C(F)(F)C(F)(F)C1(F)F Chemical compound CCC(C)(C)C(=O)OCC(=O)OCC(=O)OCCC(C)(F)F.CCC(C)(C)C(=O)OCCC(=O)OCC1(F)C(F)(F)C(F)(F)C(F)(F)C(F)(F)C1(F)F.CCOC(=O)COC(=O)COC(=O)C(C)(C)CC.[H]C(C)(CC)C(=O)OCC(=O)OCC(=O)OCC.[H]C(C)(CC)C(=O)OCC(=O)OCC(=O)OCCC(C)(F)F.[H]C(C)(CC)C(=O)OCCC(=O)OCC1(F)C(F)(F)C(F)(F)C(F)(F)C(F)(F)C1(F)F JIWJITPTHLMEAC-UHFFFAOYSA-N 0.000 description 1
- FXXIXBNDYGKVQD-UHFFFAOYSA-N CCC(C)(C)C(=O)OCC(=O)OCC(C)(F)F.CCC(C)(C)C(=O)OCC(=O)OCC(F)(F)CC(C)(F)F.CCC(C)(C)C(=O)OCC(=O)OCC(F)(F)CC(F)(F)F.CCC(C)(C)C(=O)OCC(=O)OCC(F)(F)F.[H]C(C)(CC)C(=O)OCC(=O)OCC(C)(F)F.[H]C(C)(CC)C(=O)OCC(=O)OCC(F)(F)CC(C)(F)F.[H]C(C)(CC)C(=O)OCC(=O)OCC(F)(F)CC(F)(F)F.[H]C(C)(CC)C(=O)OCC(=O)OCC(F)(F)F Chemical compound CCC(C)(C)C(=O)OCC(=O)OCC(C)(F)F.CCC(C)(C)C(=O)OCC(=O)OCC(F)(F)CC(C)(F)F.CCC(C)(C)C(=O)OCC(=O)OCC(F)(F)CC(F)(F)F.CCC(C)(C)C(=O)OCC(=O)OCC(F)(F)F.[H]C(C)(CC)C(=O)OCC(=O)OCC(C)(F)F.[H]C(C)(CC)C(=O)OCC(=O)OCC(F)(F)CC(C)(F)F.[H]C(C)(CC)C(=O)OCC(=O)OCC(F)(F)CC(F)(F)F.[H]C(C)(CC)C(=O)OCC(=O)OCC(F)(F)F FXXIXBNDYGKVQD-UHFFFAOYSA-N 0.000 description 1
- UDJNKWCQTBIZQL-UHFFFAOYSA-N CCC(C)(C)C(=O)OCC(=O)OCC(F)(F)CC(F)(F)CC(C)(F)F.CCC(C)(C)C(=O)OCC(=O)OCC(F)(F)CC(F)(F)CC(F)(F)F.CCC(C)(C)C(=O)OCCC(=O)OCCC(C)(F)F.CCOC(=O)CCOC(=O)C(C)(C)CC.[H]C(C)(CC)C(=O)OCC(=O)OCC(F)(F)CC(F)(F)CC(C)(F)F.[H]C(C)(CC)C(=O)OCC(=O)OCC(F)(F)CC(F)(F)CC(F)(F)F.[H]C(C)(CC)C(=O)OCCC(=O)OCC.[H]C(C)(CC)C(=O)OCCC(=O)OCCC(C)(F)F Chemical compound CCC(C)(C)C(=O)OCC(=O)OCC(F)(F)CC(F)(F)CC(C)(F)F.CCC(C)(C)C(=O)OCC(=O)OCC(F)(F)CC(F)(F)CC(F)(F)F.CCC(C)(C)C(=O)OCCC(=O)OCCC(C)(F)F.CCOC(=O)CCOC(=O)C(C)(C)CC.[H]C(C)(CC)C(=O)OCC(=O)OCC(F)(F)CC(F)(F)CC(C)(F)F.[H]C(C)(CC)C(=O)OCC(=O)OCC(F)(F)CC(F)(F)CC(F)(F)F.[H]C(C)(CC)C(=O)OCCC(=O)OCC.[H]C(C)(CC)C(=O)OCCC(=O)OCCC(C)(F)F UDJNKWCQTBIZQL-UHFFFAOYSA-N 0.000 description 1
- QICJASXBBLTOAB-UHFFFAOYSA-N CCC(C)(C)C(=O)OCC12CC3CC(CC(C3)C1)C2.CCC(C)(C)C(=O)OCC1CCCCC1.CCC(C)(C)C(=O)OCCC12CC3CC(CC(C3)C1)C2.CCC(C)(C)C(=O)OCCC1CCCCC1.CCC(C)(C)C(=O)OCCCC12CC3CC(CC(C3)C1)C2 Chemical compound CCC(C)(C)C(=O)OCC12CC3CC(CC(C3)C1)C2.CCC(C)(C)C(=O)OCC1CCCCC1.CCC(C)(C)C(=O)OCCC12CC3CC(CC(C3)C1)C2.CCC(C)(C)C(=O)OCCC1CCCCC1.CCC(C)(C)C(=O)OCCCC12CC3CC(CC(C3)C1)C2 QICJASXBBLTOAB-UHFFFAOYSA-N 0.000 description 1
- JCWUXNPDISODCT-UHFFFAOYSA-N CCC(C)(C)C(=O)OCC1CC2CCC1C2.CCC(C)(C)C(=O)OCCC1CC2CCC1C2.CCC(C)(C)C(=O)OCCCC1CC2CCC1C2.CCC(C)(C)C(=O)OCCCC1CCCCC1 Chemical compound CCC(C)(C)C(=O)OCC1CC2CCC1C2.CCC(C)(C)C(=O)OCCC1CC2CCC1C2.CCC(C)(C)C(=O)OCCCC1CC2CCC1C2.CCC(C)(C)C(=O)OCCCC1CCCCC1 JCWUXNPDISODCT-UHFFFAOYSA-N 0.000 description 1
- FGDMLBVUGUKLFR-UHFFFAOYSA-N CCC(C)(C)C(=O)OCCC(C)(F)F.CCC(C)(C)C(=O)OCCC(C)(F)F.CCC(C)(C)C(=O)OCCC(F)(F)F.CCC(C)(C)C(=O)OCCC(F)F.CCOC(=O)C(C)(C)CC.CCOC(=O)C(C)(C)CC Chemical compound CCC(C)(C)C(=O)OCCC(C)(F)F.CCC(C)(C)C(=O)OCCC(C)(F)F.CCC(C)(C)C(=O)OCCC(F)(F)F.CCC(C)(C)C(=O)OCCC(F)F.CCOC(=O)C(C)(C)CC.CCOC(=O)C(C)(C)CC FGDMLBVUGUKLFR-UHFFFAOYSA-N 0.000 description 1
- UIKKGRZJFSLQBP-UHFFFAOYSA-N CCC(C)(C)C(=O)OCCOC(=O)C(F)(F)C(=O)OC12CC3CC(CC(C3)C1)C2.CCC(C)(C)C(=O)OCCOC(=O)C(F)(F)CC(F)(F)OC(=O)C12CC3CC(CC(C3)C1)C2.[H]C(C)(CC)C(=O)OCCOC(=O)C(F)(F)C(=O)OC12CC3CC(CC(C3)C1)C2 Chemical compound CCC(C)(C)C(=O)OCCOC(=O)C(F)(F)C(=O)OC12CC3CC(CC(C3)C1)C2.CCC(C)(C)C(=O)OCCOC(=O)C(F)(F)CC(F)(F)OC(=O)C12CC3CC(CC(C3)C1)C2.[H]C(C)(CC)C(=O)OCCOC(=O)C(F)(F)C(=O)OC12CC3CC(CC(C3)C1)C2 UIKKGRZJFSLQBP-UHFFFAOYSA-N 0.000 description 1
- JKTWPIPWNJITEX-UHFFFAOYSA-N CCC(C)(C)C(=O)OCCOC(=O)C(F)(F)CC(=O)OC12CC3CC(CC(C3)C1)C2.[H]C(C)(CC)C(=O)OCCOC(=O)C(F)(F)CC(=O)OC12CC3CC(CC(C3)C1)C2.[H]C(C)(CC)C(=O)OCCOC(=O)C(F)(F)CC(F)(F)C(=O)OC12CC3CC(CC(C3)C1)C2 Chemical compound CCC(C)(C)C(=O)OCCOC(=O)C(F)(F)CC(=O)OC12CC3CC(CC(C3)C1)C2.[H]C(C)(CC)C(=O)OCCOC(=O)C(F)(F)CC(=O)OC12CC3CC(CC(C3)C1)C2.[H]C(C)(CC)C(=O)OCCOC(=O)C(F)(F)CC(F)(F)C(=O)OC12CC3CC(CC(C3)C1)C2 JKTWPIPWNJITEX-UHFFFAOYSA-N 0.000 description 1
- MWPQBKQXWCTKBV-UHFFFAOYSA-N CCC(C)(C)C(=O)OCCOC(=O)C(F)(F)CC(C)(F)F.CCC(C)(C)C(=O)OCCOC(=O)C(F)(F)CC(C)(F)F.[H]C(C)(CC)C(=O)OCCOC(=O)C(F)(F)CC(C)(F)F.[H]C(C)(CC)C(=O)OCCOC(=O)C(F)(F)CC(C)(F)F Chemical compound CCC(C)(C)C(=O)OCCOC(=O)C(F)(F)CC(C)(F)F.CCC(C)(C)C(=O)OCCOC(=O)C(F)(F)CC(C)(F)F.[H]C(C)(CC)C(=O)OCCOC(=O)C(F)(F)CC(C)(F)F.[H]C(C)(CC)C(=O)OCCOC(=O)C(F)(F)CC(C)(F)F MWPQBKQXWCTKBV-UHFFFAOYSA-N 0.000 description 1
- QKRSCKPIIRHXAG-UHFFFAOYSA-N CCC(C)(C)C(=O)OCCOC(=O)C(F)(F)CC(F)(F)C(=O)OC(C)C.[H]C(C)(CC)C(=O)OCCOC(=O)C(F)(F)CC(F)(F)C(=O)OC(C)C.[H]C(C)(CC)C(=O)OCCOC(=O)C(F)(F)CC(F)(F)C(=O)OCC Chemical compound CCC(C)(C)C(=O)OCCOC(=O)C(F)(F)CC(F)(F)C(=O)OC(C)C.[H]C(C)(CC)C(=O)OCCOC(=O)C(F)(F)CC(F)(F)C(=O)OC(C)C.[H]C(C)(CC)C(=O)OCCOC(=O)C(F)(F)CC(F)(F)C(=O)OCC QKRSCKPIIRHXAG-UHFFFAOYSA-N 0.000 description 1
- UOFOUFOZTRIXBW-UHFFFAOYSA-N CCC(C)(C)C(=O)OCCOC(=O)C(F)(F)CC(F)(F)C(=O)OC.CCOC(=O)C(F)(F)CC(F)(F)C(=O)OCCOC(=O)C(C)(C)CC.[H]C(C)(CC)C(=O)OCCOC(=O)C(F)(F)CC(F)(F)C(=O)OC Chemical compound CCC(C)(C)C(=O)OCCOC(=O)C(F)(F)CC(F)(F)C(=O)OC.CCOC(=O)C(F)(F)CC(F)(F)C(=O)OCCOC(=O)C(C)(C)CC.[H]C(C)(CC)C(=O)OCCOC(=O)C(F)(F)CC(F)(F)C(=O)OC UOFOUFOZTRIXBW-UHFFFAOYSA-N 0.000 description 1
- IYMFYINCRBAZBJ-UHFFFAOYSA-N CCC(C)(C)C(=O)OCCOC(=O)C(F)(F)CC(F)(F)C(=O)OC12CC3CC(CC(C3)C1)C2.CCC(C)(C)C(=O)OCCOC(=O)C(F)(F)CC(F)(F)C(=O)OC1CCCCC1.[H]C(C)(CC)C(=O)OCCOC(=O)C(F)(F)CC(F)(F)C(=O)OC1CCCCC1 Chemical compound CCC(C)(C)C(=O)OCCOC(=O)C(F)(F)CC(F)(F)C(=O)OC12CC3CC(CC(C3)C1)C2.CCC(C)(C)C(=O)OCCOC(=O)C(F)(F)CC(F)(F)C(=O)OC1CCCCC1.[H]C(C)(CC)C(=O)OCCOC(=O)C(F)(F)CC(F)(F)C(=O)OC1CCCCC1 IYMFYINCRBAZBJ-UHFFFAOYSA-N 0.000 description 1
- SEAFMNVVOLYJHC-UHFFFAOYSA-N CCC(C)(C)C(=O)OCCOC(=O)C(F)(F)CC(F)(F)CC(F)(F)F.CCC(C)(C)C(=O)OCCOC(=O)C(F)(F)CC(F)(F)CCF.[H]C(C)(CC)C(=O)OCCOC(=O)C(F)(F)CC(F)(F)CCF Chemical compound CCC(C)(C)C(=O)OCCOC(=O)C(F)(F)CC(F)(F)CC(F)(F)F.CCC(C)(C)C(=O)OCCOC(=O)C(F)(F)CC(F)(F)CCF.[H]C(C)(CC)C(=O)OCCOC(=O)C(F)(F)CC(F)(F)CCF SEAFMNVVOLYJHC-UHFFFAOYSA-N 0.000 description 1
- UIFMAHKKLGUVIR-UHFFFAOYSA-N CCC(C)(C)C(=O)OCCOC(=O)C(F)(F)COC(=O)C12CC3CC(CC(C3)C1)C2.[H]C(C)(CC)C(=O)OCCOC(=O)C(F)(F)CC(F)(F)OC(=O)C12CC3CC(CC(C3)C1)C2.[H]C(C)(CC)C(=O)OCCOC(=O)C(F)(F)COC(=O)C12CC3CC(CC(C3)C1)C2 Chemical compound CCC(C)(C)C(=O)OCCOC(=O)C(F)(F)COC(=O)C12CC3CC(CC(C3)C1)C2.[H]C(C)(CC)C(=O)OCCOC(=O)C(F)(F)CC(F)(F)OC(=O)C12CC3CC(CC(C3)C1)C2.[H]C(C)(CC)C(=O)OCCOC(=O)C(F)(F)COC(=O)C12CC3CC(CC(C3)C1)C2 UIFMAHKKLGUVIR-UHFFFAOYSA-N 0.000 description 1
- KCXWASFYJLEIMZ-UHFFFAOYSA-N CCC(C)(C)C(=O)OCCOC(=O)C(F)(F)OC(=O)C12CC3CC(CC(C3)C1)C2.CCC(C)(C)C(=O)OCCOC(=O)C(F)(F)OC(=O)C1CCCCC1.[H]C(C)(CC)C(=O)OCCOC(=O)C(F)(F)OC(=O)C12CC3CC(CC(C3)C1)C2 Chemical compound CCC(C)(C)C(=O)OCCOC(=O)C(F)(F)OC(=O)C12CC3CC(CC(C3)C1)C2.CCC(C)(C)C(=O)OCCOC(=O)C(F)(F)OC(=O)C1CCCCC1.[H]C(C)(CC)C(=O)OCCOC(=O)C(F)(F)OC(=O)C12CC3CC(CC(C3)C1)C2 KCXWASFYJLEIMZ-UHFFFAOYSA-N 0.000 description 1
- CWEZFMRQEIBXJD-UHFFFAOYSA-N CCC(C)(C)C(=O)OCCOC(=O)C(F)F.CCC(C)(C)C(=O)OCCOC(=O)C(F)F.[H]C(C)(CC)C(=O)OCCOC(=O)C(F)F.[H]C(C)(CC)C(=O)OCCOC(=O)C(F)F Chemical compound CCC(C)(C)C(=O)OCCOC(=O)C(F)F.CCC(C)(C)C(=O)OCCOC(=O)C(F)F.[H]C(C)(CC)C(=O)OCCOC(=O)C(F)F.[H]C(C)(CC)C(=O)OCCOC(=O)C(F)F CWEZFMRQEIBXJD-UHFFFAOYSA-N 0.000 description 1
- PLMQRNLCCSZVTL-UHFFFAOYSA-N CCC(C)(C)C(=O)OCCOC(=O)C1(F)C(F)(F)C(F)(F)C(F)(F)C(F)(F)C1(F)F.[H]C(C)(CC)C(=O)OCCOC(=O)C(F)(F)CC(F)(F)CC(F)(F)F.[H]C(C)(CC)C(=O)OCCOC(=O)C1(F)C(F)(F)C(F)(F)C(F)(F)C(F)(F)C1(F)F Chemical compound CCC(C)(C)C(=O)OCCOC(=O)C1(F)C(F)(F)C(F)(F)C(F)(F)C(F)(F)C1(F)F.[H]C(C)(CC)C(=O)OCCOC(=O)C(F)(F)CC(F)(F)CC(F)(F)F.[H]C(C)(CC)C(=O)OCCOC(=O)C1(F)C(F)(F)C(F)(F)C(F)(F)C(F)(F)C1(F)F PLMQRNLCCSZVTL-UHFFFAOYSA-N 0.000 description 1
- KFHNHXUZFVWICI-UHFFFAOYSA-N CCC(C)(C)C(=O)OCCOCC(=O)OCCC(C)(F)F.[H]C(C)(CC)C(=O)OCCOCC(=O)OCCC(C)(F)F Chemical compound CCC(C)(C)C(=O)OCCOCC(=O)OCCC(C)(F)F.[H]C(C)(CC)C(=O)OCCOCC(=O)OCCC(C)(F)F KFHNHXUZFVWICI-UHFFFAOYSA-N 0.000 description 1
- SYTADKHTWJLSLR-UHFFFAOYSA-N CCC(C)(C)C(=O)OCOC1C2CC3CC(C2)C(=O)OC1C3.[H]C(C)(CC)C(=O)OC1C2CC3CC(C2)C(=O)OC1C3.[H]C(C)(CC)C(=O)OCC(=O)OC1C2CC3CC(C2)C(=O)OC1C3.[H]C(C)(CC)C(=O)OCCOC1C2CC3CC(C2)C(=O)OC1C3 Chemical compound CCC(C)(C)C(=O)OCOC1C2CC3CC(C2)C(=O)OC1C3.[H]C(C)(CC)C(=O)OC1C2CC3CC(C2)C(=O)OC1C3.[H]C(C)(CC)C(=O)OCC(=O)OC1C2CC3CC(C2)C(=O)OC1C3.[H]C(C)(CC)C(=O)OCCOC1C2CC3CC(C2)C(=O)OC1C3 SYTADKHTWJLSLR-UHFFFAOYSA-N 0.000 description 1
- MDGUODREFHJFQG-UHFFFAOYSA-N CCC(C)(C)C1=CC=C(O)C=C1.CCC(C)(C)C1=CC=CC(O)=C1.[H]C(C)(CC)C1=CC=C(O)C=C1.[H]C(C)(CC)C1=CC=CC(O)=C1 Chemical compound CCC(C)(C)C1=CC=C(O)C=C1.CCC(C)(C)C1=CC=CC(O)=C1.[H]C(C)(CC)C1=CC=C(O)C=C1.[H]C(C)(CC)C1=CC=CC(O)=C1 MDGUODREFHJFQG-UHFFFAOYSA-N 0.000 description 1
- ZAJHSAYJMCLUJN-UHFFFAOYSA-N CCC(CC)(CC12CC3CC(CC(C3)C1)C2)OC(=O)C(C)(C)CC Chemical compound CCC(CC)(CC12CC3CC(CC(C3)C1)C2)OC(=O)C(C)(C)CC ZAJHSAYJMCLUJN-UHFFFAOYSA-N 0.000 description 1
- VCRIUSWZSKONJE-UHFFFAOYSA-N CCCC(=O)OCOC(=O)C(C)(C)CC Chemical compound CCCC(=O)OCOC(=O)C(C)(C)CC VCRIUSWZSKONJE-UHFFFAOYSA-N 0.000 description 1
- FKRCODPIKNYEAC-UHFFFAOYSA-N CCOC(=O)CC Chemical compound CCOC(=O)CC FKRCODPIKNYEAC-UHFFFAOYSA-N 0.000 description 1
- KPCCVUGXFBIUDX-UHFFFAOYSA-N COC1(OC)CCCCC1.OC(C1COC2(CCCCC2)O1)C1COC2(CCCCC2)O1.OCC(O)C(O)C(O)CO Chemical compound COC1(OC)CCCCC1.OC(C1COC2(CCCCC2)O1)C1COC2(CCCCC2)O1.OCC(O)C(O)C(O)CO KPCCVUGXFBIUDX-UHFFFAOYSA-N 0.000 description 1
- BCOSKWKWODYTFI-UHFFFAOYSA-N C[S+](CC1)CC1=O Chemical compound C[S+](CC1)CC1=O BCOSKWKWODYTFI-UHFFFAOYSA-N 0.000 description 1
- LQKNVWICKRHLJP-UHFFFAOYSA-N C[S+](CC1)CCC1=O Chemical compound C[S+](CC1)CCC1=O LQKNVWICKRHLJP-UHFFFAOYSA-N 0.000 description 1
- VTTBAALXDBIATH-UHFFFAOYSA-N C[S+](CCC1)CC1=O Chemical compound C[S+](CCC1)CC1=O VTTBAALXDBIATH-UHFFFAOYSA-N 0.000 description 1
- RBUSXXZZLBPIJP-UHFFFAOYSA-N C[S+]1CCOCC1 Chemical compound C[S+]1CCOCC1 RBUSXXZZLBPIJP-UHFFFAOYSA-N 0.000 description 1
- JIOQJKHWEJQROT-UHFFFAOYSA-N C[S+]1COCC1 Chemical compound C[S+]1COCC1 JIOQJKHWEJQROT-UHFFFAOYSA-N 0.000 description 1
- HMXDJLRUFTYBDA-UHFFFAOYSA-N C[S+]1COCCC1 Chemical compound C[S+]1COCCC1 HMXDJLRUFTYBDA-UHFFFAOYSA-N 0.000 description 1
- SQVUCHWXYOOEAS-UHFFFAOYSA-N O=C(N1C=CN=C1)N1C=CN=C1.O=C1C2CC3CC1CC(C(=O)N1C=CN=C1)(C3)C2.O=C1C2CC3CC1CC(C(=O)O)(C3)C2.O=C1C2CC3CC1CC(C(=O)OC(C1COC4(CCCCC4)O1)C1COC4(CCCCC4)O1)(C3)C2.OC(C1COC2(CCCCC2)O1)C1COC2(CCCCC2)O1 Chemical compound O=C(N1C=CN=C1)N1C=CN=C1.O=C1C2CC3CC1CC(C(=O)N1C=CN=C1)(C3)C2.O=C1C2CC3CC1CC(C(=O)O)(C3)C2.O=C1C2CC3CC1CC(C(=O)OC(C1COC4(CCCCC4)O1)C1COC4(CCCCC4)O1)(C3)C2.OC(C1COC2(CCCCC2)O1)C1COC2(CCCCC2)O1 SQVUCHWXYOOEAS-UHFFFAOYSA-N 0.000 description 1
- HRXYEIIUZLTRID-UHFFFAOYSA-M O=C([O-])C1=CC=CC=C1[IH]C1=CC=CC=C1 Chemical compound O=C([O-])C1=CC=CC=C1[IH]C1=CC=CC=C1 HRXYEIIUZLTRID-UHFFFAOYSA-M 0.000 description 1
- CULBZAAQZREGDK-UHFFFAOYSA-N OS(C(C(OC(C1OC2(CCCCC2)OC1)C1OC2(CCCCC2)OC1)=O)(F)F)(=O)=O Chemical compound OS(C(C(OC(C1OC2(CCCCC2)OC1)C1OC2(CCCCC2)OC1)=O)(F)F)(=O)=O CULBZAAQZREGDK-UHFFFAOYSA-N 0.000 description 1
- LGKOPGYCDOYSQO-UHFFFAOYSA-N [H]C(=C)C(=O)OC1(C(C)C)C2CC3CC(C2)CC1C3.[H]C(=C)C(=O)OCC(=O)OC1(C)C2CC3CC(C2)CC1C3 Chemical compound [H]C(=C)C(=O)OC1(C(C)C)C2CC3CC(C2)CC1C3.[H]C(=C)C(=O)OCC(=O)OC1(C)C2CC3CC(C2)CC1C3 LGKOPGYCDOYSQO-UHFFFAOYSA-N 0.000 description 1
- PAFMHZFCIGFYCG-UHFFFAOYSA-N [H]C(C)(C)C(=O)OCC(=O)OC12CC3CC(O)(CC(O)(C3)C1)C2 Chemical compound [H]C(C)(C)C(=O)OCC(=O)OC12CC3CC(O)(CC(O)(C3)C1)C2 PAFMHZFCIGFYCG-UHFFFAOYSA-N 0.000 description 1
- PHSHYMHTHSBPCP-UHFFFAOYSA-N [H]C(C)(CC)C(=O)OC#C(F)(F)(F)(F)(F)F.[H]C(C)(CC)C(=O)OC(F)(F)CC(C)(F)F.[H]C(C)(CC)C(=O)OC(F)(F)CC(F)(F)F.[H]C(C)(CC)C(=O)OC(F)(F)F.[H]C(C)(CC)C(=O)OCC.[H]C(C)(CC)C(=O)OCCC(C)(F)F.[H]C(C)(CC)C(=O)OCCC(F)F Chemical compound [H]C(C)(CC)C(=O)OC#C(F)(F)(F)(F)(F)F.[H]C(C)(CC)C(=O)OC(F)(F)CC(C)(F)F.[H]C(C)(CC)C(=O)OC(F)(F)CC(F)(F)F.[H]C(C)(CC)C(=O)OC(F)(F)F.[H]C(C)(CC)C(=O)OCC.[H]C(C)(CC)C(=O)OCCC(C)(F)F.[H]C(C)(CC)C(=O)OCCC(F)F PHSHYMHTHSBPCP-UHFFFAOYSA-N 0.000 description 1
- KBXFWHDBDLBAOJ-UHFFFAOYSA-N [H]C(C)(CC)C(=O)OC(C#C(F)(F)(F)(F)F)FC(#C)(F)(F)(F)F.[H]C(C)(CC)C(=O)OC(C)C(F)(F)F.[H]C(C)(CC)C(=O)OC(FC(#C)(F)(F)(F)F)C(F)(F)F.[H]C(C)(CC)C(=O)OC12C(F)(F)C3(F)C(F)(F)C(F)(C(F)(F)C(F)(C3(F)F)C1(F)F)C2(F)F.[H]C(C)(CC)C(=O)OCCC#CC#CC#CC#C(F)(F)(F)(F)(F)(F)(F)(F)(F)(F)(F)(F)(F)(F)(F)(F)F.[H]C(C)(CC)C(=O)OCCC#CC#CC#CC#C(F)(F)(F)(F)(F)(F)(F)(F)(F)(F)(F)(F)F Chemical compound [H]C(C)(CC)C(=O)OC(C#C(F)(F)(F)(F)F)FC(#C)(F)(F)(F)F.[H]C(C)(CC)C(=O)OC(C)C(F)(F)F.[H]C(C)(CC)C(=O)OC(FC(#C)(F)(F)(F)F)C(F)(F)F.[H]C(C)(CC)C(=O)OC12C(F)(F)C3(F)C(F)(F)C(F)(C(F)(F)C(F)(C3(F)F)C1(F)F)C2(F)F.[H]C(C)(CC)C(=O)OCCC#CC#CC#CC#C(F)(F)(F)(F)(F)(F)(F)(F)(F)(F)(F)(F)(F)(F)(F)(F)F.[H]C(C)(CC)C(=O)OCCC#CC#CC#CC#C(F)(F)(F)(F)(F)(F)(F)(F)(F)(F)(F)(F)F KBXFWHDBDLBAOJ-UHFFFAOYSA-N 0.000 description 1
- MLJJFMWHYQESSU-UHFFFAOYSA-N [H]C(C)(CC)C(=O)OC12CC3CC(CC(C3)C1)C2.[H]C(C)(CC)C(=O)OC1CC2CCC1C2.[H]C(C)(CC)C(=O)OC1CCCCC1.[H]C(C)(CC)C(=O)OCC(=O)OC12CC3CC(CC(C3)C1)C2.[H]C(C)(CC)C(=O)OCC(=O)OC1CCCCC1 Chemical compound [H]C(C)(CC)C(=O)OC12CC3CC(CC(C3)C1)C2.[H]C(C)(CC)C(=O)OC1CC2CCC1C2.[H]C(C)(CC)C(=O)OC1CCCCC1.[H]C(C)(CC)C(=O)OCC(=O)OC12CC3CC(CC(C3)C1)C2.[H]C(C)(CC)C(=O)OCC(=O)OC1CCCCC1 MLJJFMWHYQESSU-UHFFFAOYSA-N 0.000 description 1
- VQWQYXSSJMKLQO-UHFFFAOYSA-N [H]C(C)(CC)C(=O)OCC(=O)OC1CC2CCC1C2.[H]C(C)(CC)C(=O)OCCOC(=O)C12CC3CC(CC(C3)C1)C2.[H]C(C)(CC)C(=O)OCCOC(=O)C1CC2CCC1C2.[H]C(C)(CC)C(=O)OCCOC(=O)C1CCCCC1 Chemical compound [H]C(C)(CC)C(=O)OCC(=O)OC1CC2CCC1C2.[H]C(C)(CC)C(=O)OCCOC(=O)C12CC3CC(CC(C3)C1)C2.[H]C(C)(CC)C(=O)OCCOC(=O)C1CC2CCC1C2.[H]C(C)(CC)C(=O)OCCOC(=O)C1CCCCC1 VQWQYXSSJMKLQO-UHFFFAOYSA-N 0.000 description 1
- WFMFAIZFRWJACL-UHFFFAOYSA-N [H]C(C)(CC)C(=O)OCC(=O)OCC(=O)OC1C2CC3CC(C2)C(=O)OC1C3.[H]C(C)(CC)C(=O)OCCOC(=O)COC1C2CC3CC(C2)C(=O)OC1C3.[H]C(C)(CC)C(=O)OCOC1C2CC3CC(C2)C(=O)OC1C3 Chemical compound [H]C(C)(CC)C(=O)OCC(=O)OCC(=O)OC1C2CC3CC(C2)C(=O)OC1C3.[H]C(C)(CC)C(=O)OCCOC(=O)COC1C2CC3CC(C2)C(=O)OC1C3.[H]C(C)(CC)C(=O)OCOC1C2CC3CC(C2)C(=O)OC1C3 WFMFAIZFRWJACL-UHFFFAOYSA-N 0.000 description 1
- HVXZLHUDOLGBRX-UHFFFAOYSA-N [H]C(C)(CC)C(=O)OCCOC(=O)C(F)(F)OC(=O)C1CCCCC1 Chemical compound [H]C(C)(CC)C(=O)OCCOC(=O)C(F)(F)OC(=O)C1CCCCC1 HVXZLHUDOLGBRX-UHFFFAOYSA-N 0.000 description 1
Classifications
-
- G—PHYSICS
- G03—PHOTOGRAPHY; CINEMATOGRAPHY; ANALOGOUS TECHNIQUES USING WAVES OTHER THAN OPTICAL WAVES; ELECTROGRAPHY; HOLOGRAPHY
- G03F—PHOTOMECHANICAL PRODUCTION OF TEXTURED OR PATTERNED SURFACES, e.g. FOR PRINTING, FOR PROCESSING OF SEMICONDUCTOR DEVICES; MATERIALS THEREFOR; ORIGINALS THEREFOR; APPARATUS SPECIALLY ADAPTED THEREFOR
- G03F7/00—Photomechanical, e.g. photolithographic, production of textured or patterned surfaces, e.g. printing surfaces; Materials therefor, e.g. comprising photoresists; Apparatus specially adapted therefor
- G03F7/004—Photosensitive materials
- G03F7/0046—Photosensitive materials with perfluoro compounds, e.g. for dry lithography
-
- C—CHEMISTRY; METALLURGY
- C07—ORGANIC CHEMISTRY
- C07C—ACYCLIC OR CARBOCYCLIC COMPOUNDS
- C07C309/00—Sulfonic acids; Halides, esters, or anhydrides thereof
-
- C—CHEMISTRY; METALLURGY
- C07—ORGANIC CHEMISTRY
- C07C—ACYCLIC OR CARBOCYCLIC COMPOUNDS
- C07C309/00—Sulfonic acids; Halides, esters, or anhydrides thereof
- C07C309/01—Sulfonic acids
- C07C309/02—Sulfonic acids having sulfo groups bound to acyclic carbon atoms
- C07C309/03—Sulfonic acids having sulfo groups bound to acyclic carbon atoms of an acyclic saturated carbon skeleton
- C07C309/04—Sulfonic acids having sulfo groups bound to acyclic carbon atoms of an acyclic saturated carbon skeleton containing only one sulfo group
-
- C—CHEMISTRY; METALLURGY
- C07—ORGANIC CHEMISTRY
- C07C—ACYCLIC OR CARBOCYCLIC COMPOUNDS
- C07C319/00—Preparation of thiols, sulfides, hydropolysulfides or polysulfides
- C07C319/02—Preparation of thiols, sulfides, hydropolysulfides or polysulfides of thiols
-
- G—PHYSICS
- G03—PHOTOGRAPHY; CINEMATOGRAPHY; ANALOGOUS TECHNIQUES USING WAVES OTHER THAN OPTICAL WAVES; ELECTROGRAPHY; HOLOGRAPHY
- G03F—PHOTOMECHANICAL PRODUCTION OF TEXTURED OR PATTERNED SURFACES, e.g. FOR PRINTING, FOR PROCESSING OF SEMICONDUCTOR DEVICES; MATERIALS THEREFOR; ORIGINALS THEREFOR; APPARATUS SPECIALLY ADAPTED THEREFOR
- G03F7/00—Photomechanical, e.g. photolithographic, production of textured or patterned surfaces, e.g. printing surfaces; Materials therefor, e.g. comprising photoresists; Apparatus specially adapted therefor
- G03F7/004—Photosensitive materials
- G03F7/0045—Photosensitive materials with organic non-macromolecular light-sensitive compounds not otherwise provided for, e.g. dissolution inhibitors
-
- G—PHYSICS
- G03—PHOTOGRAPHY; CINEMATOGRAPHY; ANALOGOUS TECHNIQUES USING WAVES OTHER THAN OPTICAL WAVES; ELECTROGRAPHY; HOLOGRAPHY
- G03F—PHOTOMECHANICAL PRODUCTION OF TEXTURED OR PATTERNED SURFACES, e.g. FOR PRINTING, FOR PROCESSING OF SEMICONDUCTOR DEVICES; MATERIALS THEREFOR; ORIGINALS THEREFOR; APPARATUS SPECIALLY ADAPTED THEREFOR
- G03F7/00—Photomechanical, e.g. photolithographic, production of textured or patterned surfaces, e.g. printing surfaces; Materials therefor, e.g. comprising photoresists; Apparatus specially adapted therefor
- G03F7/004—Photosensitive materials
- G03F7/039—Macromolecular compounds which are photodegradable, e.g. positive electron resists
- G03F7/0392—Macromolecular compounds which are photodegradable, e.g. positive electron resists the macromolecular compound being present in a chemically amplified positive photoresist composition
- G03F7/0397—Macromolecular compounds which are photodegradable, e.g. positive electron resists the macromolecular compound being present in a chemically amplified positive photoresist composition the macromolecular compound having an alicyclic moiety in a side chain
-
- G—PHYSICS
- G03—PHOTOGRAPHY; CINEMATOGRAPHY; ANALOGOUS TECHNIQUES USING WAVES OTHER THAN OPTICAL WAVES; ELECTROGRAPHY; HOLOGRAPHY
- G03F—PHOTOMECHANICAL PRODUCTION OF TEXTURED OR PATTERNED SURFACES, e.g. FOR PRINTING, FOR PROCESSING OF SEMICONDUCTOR DEVICES; MATERIALS THEREFOR; ORIGINALS THEREFOR; APPARATUS SPECIALLY ADAPTED THEREFOR
- G03F7/00—Photomechanical, e.g. photolithographic, production of textured or patterned surfaces, e.g. printing surfaces; Materials therefor, e.g. comprising photoresists; Apparatus specially adapted therefor
- G03F7/20—Exposure; Apparatus therefor
- G03F7/2041—Exposure; Apparatus therefor in the presence of a fluid, e.g. immersion; using fluid cooling means
-
- G—PHYSICS
- G03—PHOTOGRAPHY; CINEMATOGRAPHY; ANALOGOUS TECHNIQUES USING WAVES OTHER THAN OPTICAL WAVES; ELECTROGRAPHY; HOLOGRAPHY
- G03F—PHOTOMECHANICAL PRODUCTION OF TEXTURED OR PATTERNED SURFACES, e.g. FOR PRINTING, FOR PROCESSING OF SEMICONDUCTOR DEVICES; MATERIALS THEREFOR; ORIGINALS THEREFOR; APPARATUS SPECIALLY ADAPTED THEREFOR
- G03F7/00—Photomechanical, e.g. photolithographic, production of textured or patterned surfaces, e.g. printing surfaces; Materials therefor, e.g. comprising photoresists; Apparatus specially adapted therefor
- G03F7/26—Processing photosensitive materials; Apparatus therefor
- G03F7/30—Imagewise removal using liquid means
- G03F7/32—Liquid compositions therefor, e.g. developers
- G03F7/322—Aqueous alkaline compositions
-
- G—PHYSICS
- G03—PHOTOGRAPHY; CINEMATOGRAPHY; ANALOGOUS TECHNIQUES USING WAVES OTHER THAN OPTICAL WAVES; ELECTROGRAPHY; HOLOGRAPHY
- G03F—PHOTOMECHANICAL PRODUCTION OF TEXTURED OR PATTERNED SURFACES, e.g. FOR PRINTING, FOR PROCESSING OF SEMICONDUCTOR DEVICES; MATERIALS THEREFOR; ORIGINALS THEREFOR; APPARATUS SPECIALLY ADAPTED THEREFOR
- G03F7/00—Photomechanical, e.g. photolithographic, production of textured or patterned surfaces, e.g. printing surfaces; Materials therefor, e.g. comprising photoresists; Apparatus specially adapted therefor
- G03F7/26—Processing photosensitive materials; Apparatus therefor
- G03F7/30—Imagewise removal using liquid means
- G03F7/32—Liquid compositions therefor, e.g. developers
- G03F7/325—Non-aqueous compositions
-
- G—PHYSICS
- G03—PHOTOGRAPHY; CINEMATOGRAPHY; ANALOGOUS TECHNIQUES USING WAVES OTHER THAN OPTICAL WAVES; ELECTROGRAPHY; HOLOGRAPHY
- G03F—PHOTOMECHANICAL PRODUCTION OF TEXTURED OR PATTERNED SURFACES, e.g. FOR PRINTING, FOR PROCESSING OF SEMICONDUCTOR DEVICES; MATERIALS THEREFOR; ORIGINALS THEREFOR; APPARATUS SPECIALLY ADAPTED THEREFOR
- G03F7/00—Photomechanical, e.g. photolithographic, production of textured or patterned surfaces, e.g. printing surfaces; Materials therefor, e.g. comprising photoresists; Apparatus specially adapted therefor
- G03F7/26—Processing photosensitive materials; Apparatus therefor
- G03F7/38—Treatment before imagewise removal, e.g. prebaking
-
- G—PHYSICS
- G03—PHOTOGRAPHY; CINEMATOGRAPHY; ANALOGOUS TECHNIQUES USING WAVES OTHER THAN OPTICAL WAVES; ELECTROGRAPHY; HOLOGRAPHY
- G03F—PHOTOMECHANICAL PRODUCTION OF TEXTURED OR PATTERNED SURFACES, e.g. FOR PRINTING, FOR PROCESSING OF SEMICONDUCTOR DEVICES; MATERIALS THEREFOR; ORIGINALS THEREFOR; APPARATUS SPECIALLY ADAPTED THEREFOR
- G03F7/00—Photomechanical, e.g. photolithographic, production of textured or patterned surfaces, e.g. printing surfaces; Materials therefor, e.g. comprising photoresists; Apparatus specially adapted therefor
- G03F7/26—Processing photosensitive materials; Apparatus therefor
- G03F7/40—Treatment after imagewise removal, e.g. baking
Definitions
- the present invention relates to a salt and a photoresist composition comprising the same.
- a photoresist composition is used for semiconductor microfabrication employing a lithography process.
- JP2012-193160A1 discloses a photoresist composition
- the present invention relates to provide a salt for suitable for an acid generator and a photoresist composition comprising the same.
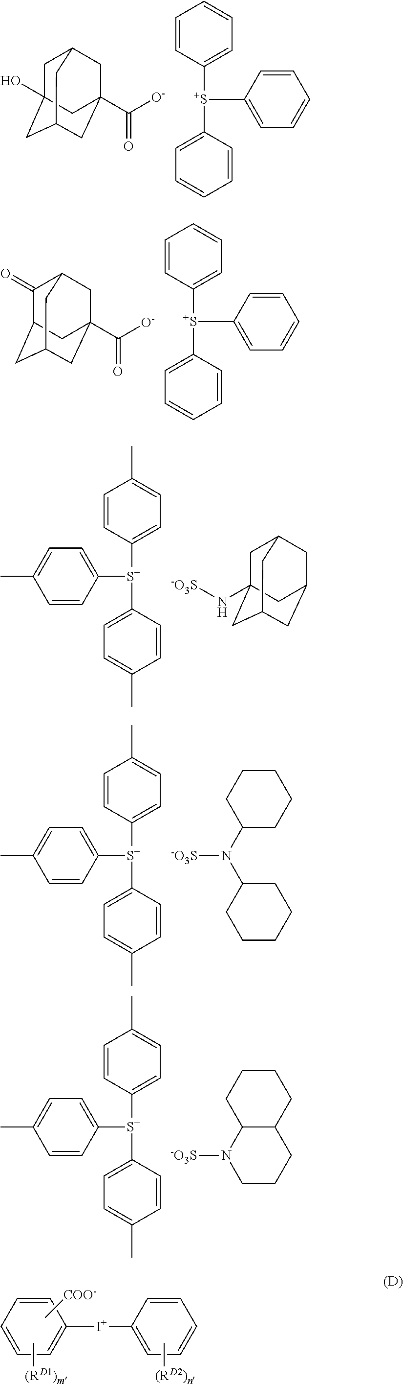
- the present invention relates to the followings:
- Q 1 and Q 2 each independently represent a fluorine atom or a C1-C6 perfluoroalkyl group
- L b1 represents a C1-C24 divalent saturated hydrocarbon group where a methylene group can be replaced by an oxygen atom or a carbonyl group and where a hydrogen atom can be replaced by a fluorine atom or a hydroxyl group
- R 1 , R 2 , R 3 and R 4 independently in each occurrence represent a C1-C12 aliphatic hydrocarbon group, R 1 and R 2 may be bonded each other to form a C5-C20 ring together with a carbon atom attached to R 1 and R 2 , and R 3 and R 4 may be bonded each other to form a C5-C20 ring together with a carbon atom attached to R 3 and R 4
- Z + represents an organic counter ion.
- L b2 represents a single bond or a C1-C22 divalent saturated hydrocarbon group where a hydrogen atom can be replaced by a fluorine atom
- L b3 represents a single bond or a C1-C22 divalent saturated hydrocarbon group where a methylene group can be replaced by an oxygen atom or a carbonyl group and where a hydrogen atom can be replaced by a fluorine atom or a hydroxyl group, provided that L b2 and L b3 have 22 or less of carbon atoms in total; and * represents a binding site to the methine group.
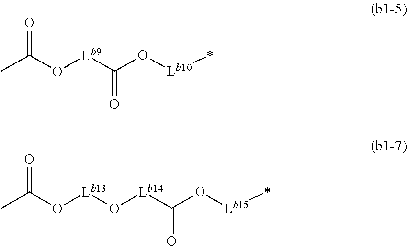
- L b9 represents a C1-C20 divalent saturated hydrocarbon group
- L b10 represents a single bond or a C1-C19 divalent saturated hydrocarbon group where a hydrogen atom can be replaced by a fluorine atom or a hydroxyl group, provided that L b9 and L b10 have 20 or less of carbon atoms in total
- * represents a binding site to the methine group
- L b13 represents a C1-C19 divalent saturated hydrocarbon group
- L b14 represents a single bond or a C1-C18 divalent saturated hydrocarbon group
- L b15 represents a single bond or a C1-C18 divalent saturated hydrocarbon group where a hydrogen atom can be replaced by a fluorine atom or a hydroxyl group, provided that L b13 , L b14 and L b15 have 19 or less of carbon atoms in total
- * represents a binding site to the methine group.
- Salt (I) the salt represented by formula (I) is sometimes referred to as “Salt (I)”.
- the Salt (I) is represented by formula (I):
- Q 1 and Q 2 independently each represent a fluorine atom or a C1-C6 perfluoroalkyl group.
- Examples of the C1-C6 perfluoroalkyl group represented by Q 1 and Q 2 include a trifluoromethyl group, a perfluoroethyl group, a perfluoropropyl group, a perfluoroisopropyl group, a perfluorobutyl group, a perfluoro-sec-butyl group, a perfluoro-tert-butyl group, a perfluoropentyl group and a perfluorohexyl group.
- Q 1 and Q 2 independently each represent preferably a fluorine atom or a trifluoromethyl group, more preferably a fluorine atom.
- L b1 represents a C1-C24 divalent saturated hydrocarbon group where a methylene group can be replaced by an oxygen atom or a carbonyl group and where a hydrogen atom can be replaced by a fluorine atom or a hydroxyl group.
- the divalent saturated hydrocarbon group include a linear alkanediyl groups, branched alkanediyl groups, monocyclic or polycyclic alicyclic saturated hydrocarbon groups, and a group formed by combining two or more of them.
- divalent saturated hydrocarbon group examples include linear alkanediyl groups such as a methylene group, an ethylene group, a propane-1,3-diyl group, a butane-1,4-diyl group, a pentane-1,5-diyl group, a hexane-1,6-diyl group, a heptane-1,7-diyl group, a octane-1,8-diyl group, a nonane-1,9-diyl group, a decane-1,10-diyl group, a undecane-1,11-diyl group, a dodecane-1,12-diyl group, a tridecane-1,13-diyl group, a tetradecane-1,14-diyl group, a pentadecane-1,15-diyl group, a hexadecane-1,16
- divalent saturated hydrocarbon group where a methylene group has been replaced by an oxygen atom or a carbonyl group include those represented by formulae (b1-1), (b1-2) and (b1-3):
- * represents a binding site to the methine group of formula (I).
- L b2 represents a single bond or a C1-C22 divalent saturated hydrocarbon group where a hydrogen atom can be replaced by a fluorine atom
- L b3 represents a single bond or a C1-C22 divalent saturated hydrocarbon group where a hydrogen atom may be replaced by a fluorine atom or a hydroxy group, and where a methylene group can be replaced by —O— or —CO—; provided that total carbon atoms in L b2 and L b3 are 22 or less.
- L b4 represents a single bond or a C1-C22 divalent saturated hydrocarbon group where a hydrogen atom can be replaced by a fluorine atom
- L b5 represents a single bond or a C1-C22 divalent saturated hydrocarbon group where a hydrogen atom may be replaced by a fluorine atom or a hydroxy group, and where a methylene group can be replaced by —O— or —CO—; provided that total carbon atoms in L b4 and L b5 are 22 or less.
- L b6 represents a single bond or a C1-C23 divalent saturated hydrocarbon group where a hydrogen atom can be replaced by a fluorine atom or a hydroxy group
- L b7 represents a single bond or a C1-C23 divalent saturated hydrocarbon group where a hydrogen atom may be replaced by a fluorine atom or a hydroxy group, and where a methylene group can be replaced by —O— or —CO—; provided that total carbon atoms in L b6 and L b7 are 23 or less and —CO— is not bonded to the oxygen atom between L b6 and L b7 .
- the number of the carbon atoms in the divalent saturated hydrocarbon groups include that of the carbon atoms in the methylene groups which have been replaced by an oxygen atom or a carbonyl group.
- Specific examples of the divalent saturated hydrocarbon groups for L b2 , L b3 , L b4 , L b5 , L b6 and L b7 include the same as referred to for L b1 .
- L b2 is preferably a single bond.
- L b3 is preferably a C1-C4 alkanediyl group.
- L b4 is preferably a C1-C8 divalent saturated hydrocarbon group where a hydrogen atom may be replaced by a fluorine atom.
- L b5 is preferably a single bond or a C1-C8 divalent saturated hydrocarbon group.
- L b6 is preferably a single bond or a C1-C4 divalent saturated hydrocarbon group where a hydrogen atom can be replaced by a fluorine atom.
- L b7 is preferably a single bond or a C1-C18 divalent saturated hydrocarbon group where a hydrogen atom can be replaced by a fluorine atom or a hydroxy group, and where a methylene group can be replaced by —O— or —CO—.
- the divalent saturated hydrocarbon group where a methylene group has been replaced by —O— or —CO— is preferably one represented by formula (b1-1) or (b1-3). Examples of one represented by formula (b1-1) include those represented by formulae (b1-4) to (b1-8):
- * represents a binding site to the methine group of formula (I).
- L b8 represents a single bond or a C1-C22 divalent saturated hydrocarbon group where a hydrogen atom can be replaced by a fluorine atom or a hydroxy group.
- L b9 represents a C1-C20 divalent saturated hydrocarbon group and L b10 represents a single bond or a C1-C19 divalent saturated hydrocarbon group where a hydrogen atom can be replaced by a fluorine atom or a hydroxy group, provided that total carbon atoms in L b9 and L b10 are 20 or less.
- L b11 represents a C1-C21 divalent saturated hydrocarbon group and L b12 represents a single bond or a C1-C20 divalent saturated hydrocarbon group where a hydrogen atom can be replaced by a fluorine atom or a hydroxy group, provided that total carbon atoms in L b11 and L b12 are 21 or less.
- L b13 represents a C1-C19 divalent saturated hydrocarbon group
- L b14 represents a single bond or a C1-C18 divalent saturated hydrocarbon group
- L b15 represents a single bond or a C1-C18 divalent saturated hydrocarbon group where a hydrogen atom can be replaced by a fluorine atom or a hydroxy group, provided that total carbon atoms in L b13 , L b14 and L b15 are 19 or less.
- L b16 represents a C1-C18 divalent saturated hydrocarbon group
- L b17 represents a C1-C18 divalent saturated hydrocarbon group
- L b18 represents a single bond or a C1-C17 divalent saturated hydrocarbon group where a hydrogen atom can be replaced by a fluorine atom or a hydroxy group, provided that total carbon atoms in L b16 , L b17 and L b18 are 19 or less.
- L b8 is preferably a C1-C4 alkanediyl group.
- L b9 is preferably a C1-C8 divalent saturated hydrocarbon group.
- L b10 is preferably a single bond or a C1-C19 divalent saturated hydrocarbon group, more preferably a single bond or a C1-C8 divalent saturated hydrocarbon group.
- L b11 is preferably a C1-C8 divalent saturated hydrocarbon group
- L b12 is preferably a single bond or a C1-C8 divalent saturated hydrocarbon group.
- L b13 is preferably a C1-C12 divalent saturated hydrocarbon group.
- L b14 is preferably a single bond or a C1-C6 divalent saturated hydrocarbon group.
- L b15 is preferably a single bond or a C1-C18 divalent saturated hydrocarbon group, more preferably a single bond or a C1-C8 divalent saturated hydrocarbon group.
- L b16 is preferably a C1-C12 divalent saturated hydrocarbon group.
- L b17 is preferably a C1-C6 divalent saturated hydrocarbon group.
- L b18 is preferably a single bond or a C1-C17 divalent saturated hydrocarbon group, more preferably a single bond or a C1-C4 divalent saturated hydrocarbon group. Examples of the group represented by formula (b1-4) include the following ones:
- * represents a binding site to the methine group of formula (I).
- Examples of the group represented by formula (b1-5) include the following ones:
- * represents a binding site to the methine group of formula (I).
- Examples of the group represented by formula (b1-7) include the following ones:
- * represents a binding site to the methine group of formula (I).
- Examples of the group represented by formula (b1-8) include the following ones:
- * represents a binding site to the methine group of formula (I).
- Examples of the group represented by formula (b1-2) include the following ones:
- * represents a binding site to the methine group of formula (I).
- Examples of one represented by formula (b1-3) include those represented by formulae (b1-9) to (b1-11):
- L b19 represents a single bond or a C1-C23 divalent saturated hydrocarbon group where a hydrogen atom can be replaced by a fluorine atom
- L b20 represents a single bond or a C1-C23 divalent saturated hydrocarbon group where a hydrogen atom can be replaced by a fluorine atom, a hydroxy group or an acyloxy group in which a methylene group can be replaced by an oxygen atom or a carbonyl group and in which a hydrogen atom can be replaced by a hydroxy group, provided that total carbon atoms in L b19 and L b20 are 23 or less.
- L b21 represents a single bond or a C1-C21 divalent saturated hydrocarbon group where a hydrogen atom can be replaced by a fluorine atom
- L b22 represents a single bond or a C1-C21 divalent saturated hydrocarbon group
- L b23 represents a single bond or a C1-C21 divalent saturated hydrocarbon group where a hydrogen atom can be replaced by a fluorine atom, a hydroxy group or an acyloxy group in which a methylene group can be replaced by an oxygen atom or a carbonyl group and in which a hydrogen atom can be replaced by a hydroxy group, provided that total carbon atoms in L b21 , L b22 and L b23 are 21 or less.
- L b24 represents a single bond or a C1-C20 divalent saturated hydrocarbon group where a hydrogen atom can be replaced by a fluorine atom
- L b25 represents a C1-C21 divalent saturated hydrocarbon group
- L b26 represents a single bond or a C1-C20 divalent saturated hydrocarbon group where a hydrogen atom can be replaced by a fluorine atom, a hydroxy group or an acyloxy group in which a methylene group can be replaced by an oxygen atom or a carbonyl group and in which a hydrogen atom can be replaced by a hydroxy group, provided that total carbon atoms in L b24 , L b25 and L b25 are 21 or less.
- the number of the carbon atoms for the divalent saturated hydrocarbon groups include that of the carbon atoms in an acyloxy group, if a hydrogen atom therein has been replaced by the group.
- acyloxy group examples include an acetyloxy group, a propionyloxy group, a butyryloxy group, a cyclohexylcarbonyloxy group, and an adamantylcarbonyloxy group.
- acyloxy group which has a substituent examples include an oxoadamantylcarbonyloxy group, a hydroxyadamantylcarbonyloxy group, an oxocyclohexylcarbonyloxy group, and a hydroxycyclohexylcarbonyloxy group.
- Examples of the group represented by formula (b1-9) include the following ones:
- * represents a binding site to the methine group of formula (I).
- Examples of the group represented by formula (b1-10) include the following ones:
- * represents a binding site to the methine group of formula (I).
- Examples of the group represented by formula (b1-11) include the following ones:
- L b1 preferably represent a divalent saturated hydrocarbon group where a methylene group has been replaced by —O— or —CO—, more preferably a group represented by formula (b1-1), still more preferably —CO—O— as well as groups of formulae (b1-5) and (b1-7), specifically —CO—O—.
- R 1 , R 2 , R 3 and R 4 independently in each occurrence represent a C1-C12 aliphatic hydrocarbon group
- R 1 and R 2 may be bonded each other to form a C5-C20 ring together with a carbon atom attached to R 1 and R 2
- R 3 and R 4 may be bonded each other to form a C5-C20 ring together with a carbon atom attached to R 3 and R 4 .
- examples of the aliphatic hydrocarbon group include a C1-C12 alkyl group, a C3-C12 alicyclic hydrocarbon group, and a group formed by combining two or more of them.
- the alkyl group may be a linear or branched one, examples of which include a methyl group, an ethyl group, n-propyl group, an isopropyl group, n-butyl group, sec-butyl group, tert-butyl group, a pentyl group, a hexyl group, a heptyl group, a 2-ethylhexyl group, an octyl group, a nonyl group, an undecyl group and a decyl group.
- the alicyclic hydrocarbon group may be a monocyclic or polycyclic one, which includes those consisting of an alkyl group and a cycloalkyl group.
- Examples of the monocyclic alicyclic hydrocarbon group include cycloalkyl groups such as a cyclopropyl group, a cyclobutyl group, a cyclopentyl group, a cyclohexyl group, a cycloheptyl group, a cyclooctyl group, a cycloheptyl group, a cyclodecyl group, a methylcyclohexyl group and a dimethylcyclohexyl group; and Examples of the polycyclic alicyclic hydrocarbon group include a hydronaphthyl group, an adamantyl group, and a norbornyl group.
- R 1 , R 2 , R 3 and R 4 are preferably a C1-C4 alkyl group, and a methyl group and an ethyl group.
- R 1 preferably represents the same group as R 2 .
- R 3 preferably represents the same group as R 4 . More preferably, each of R 1 , R 2 , R 3 and R 4 represents the same group each other.
- the ring formed by bonding R 1 and R 2 together with a carbon atom and the ring formed by bonding R 3 and R 4 together with a carbon atom may be an aromatic ring or an aliphatic ring, preferably an aliphatic ring. These rings may respectively be a monocyclic ring or a polycyclic ring. Preferred is a monocyclic ring.
- R 1 and R 2 preferably represent a ring formed by bonding them together with a carbon atom.
- R 3 and R 4 preferably represent a ring formed by bonding them together with a carbon atom. The ring formed by bonding R 1 and R 2 together with a carbon atom and the ring formed by bonding R 3 and R 4 together with a carbon atom are the same each other.
- Examples of the anion for Salt (I) include the following ones:
- Examples of the organic cation represented by Z + include an organic onium cation such as an organic sulfonium cation, an organic iodonium cation, an organic ammonium cation, an organic benzothiazolium cation and an organic phosphonium cation, and an organic sulfonium cation and an organic iodonium cation are preferable, and an organic sulfonium cation is more preferable.
- an organic onium cation such as an organic sulfonium cation, an organic iodonium cation, an organic ammonium cation, an organic benzothiazolium cation and an organic phosphonium cation, and an organic sulfonium cation and an organic iodonium cation are preferable, and an organic sulfonium cation is more preferable.
- organic cation represented by Z + include the organic cations represented by the formulae (b2-1), (b2-2), (b2-3) and (b2-4):
- R b4 , R b5 and R b6 independently represent a C1-C30 aliphatic hydrocarbon group, a C3-C36 alicyclic hydrocarbon group and a C6-C36 aromatic hydrocarbon group.
- the alkyl group can have a substituent selected from the group consisting of a hydroxyl group, a C1-C12 alkoxy group and a C6-C18 aromatic hydrocarbon group.
- the C3-C18 alicyclic hydrocarbon group can have a substituent selected from the group consisting of a halogen atom, a C2-C4 acyl group and a glycidyloxy group.
- the C6-C18 aromatic hydrocarbon group can have a substituent selected from the group consisting of a halogen atom, a hydroxyl group, a C1-C18 aliphatic hydrocarbon group and a C1-C12 alkoxy group.
- R b4 and R b5 can be bonded to form a ring together with the adjacent S + , and a methylene group in the divalent acyclic hydrocarbon group may be replaced by —CO—, —O— or —SO—.
- R b7 and R b8 are independently in each occurrence a hydroxyl group, a C1-C12 alkyl group or a C1-C12 alkoxy group, m2 and n2 independently represents an integer of 0 to 5.
- R b9 and R b10 independently represent a C1-C36 aliphatic hydrocarbon group or a C3-C36 alicyclic hydrocarbon group.
- R b9 and R b10 can be bonded to form a ring together with the adjacent S + , and a methylene group in the divalent acyclic hydrocarbon group may be replaced by —CO—, —O— or —SO—.
- R b11 represents a hydrogen atom, a C1-C36 aliphatic hydrocarbon group, a C3-C36 alicyclic hydrocarbon group or a C6-C18 aromatic hydrocarbon group.
- R b12 represents a C1-C12 aliphatic hydrocarbon group in which a hydrogen atom can be replaced by a C6-C18 aromatic hydrocarbon group, a C3-C18 saturated cyclic hydrocarbon group and a C6-C18 aromatic hydrocarbon group in which a hydrogen atom can be replaced by a C1-C12 alkoxy group or a (C1-C12 alkyl)carbonyloxy group.
- R b11 and R b12 can be bonded each other to form a C1-C10 divalent acyclic hydrocarbon group which forms a 2-oxocycloalkyl group together with the adjacent —CHCO—, and a methylene group in the divalent acyclic hydrocarbon group may be replaced by —CO—, —O— or —SO—.
- R b13 , R b14 , R b15 , R b16 , R b17 and R b18 independently represent a hydroxyl group, a C1-C12 aliphatic hydrocarbon group or a C1-C12 alkoxy group.
- L b11 represents —S— or —O— and o2, p2, s2 and t2 each independently represents an integer of 0 to 5, q2 and r2 each independently represents an integer of 0 to 4, and u2 represents 0 or 1.
- Preferable examples of the aliphatic hydrocarbon group represented by R b4 to R b12 include an alkyl group such as a methyl group, an ethyl group, a propyl group, an isopropyl group, 2,2-dmethylethyl group, 1-methylpropyl group, a 2-methylpropyl group, a 1,2-dimethylpropyl group, a 2,2-dimethylpropyl group, a 1-ethylpropyl group, a butyl group, a sec-butyl group, a tert-butyl group, a pentyl group, a 1-methylbutyl group, a 2-methylbutyl group, a 3-methylbutyl group, a hexyl group, a 1-propylbutyl group, a 1-methylpentyl group, a 2-ethylhexyl group, a 1,4-dimethylhexyl group, a 1-methylheptyl group, an
- the alicyclic hydrocarbon group may be monocyclic or polycyclic.
- Preferable examples thereof include a cycloalkyl group such as a cyclopentyl group, a cyclohexyl group, a methylcyclohexyl group, a dimethylcyclohexyl group, a cycloheptyl group and a cyclooctyl group, a group obtained by hydrogenating a condensed aromatic hydrocarbon group such as a hydronaphthyl group, abridged cyclic hydrocarbon group such as an adamantyl group, a norbornyl group and a decahydronaphtyl group, and the following groups:
- the alicyclic hydrocarbon group represented by R b9 , R b10 , R b11 and R b12 has preferably 3 to 18 carbon atoms, more preferably 4 to 12 carbon atoms.
- Examples of the alicyclic hydrocarbon group in which a hydrogen atom has been replaced by an aliphatic hydrocarbon group include a methylcyclohexyl group, a dimethylcyclohexyl group, a methylnorbornyl group, and an isonorbornyl group.
- the alicyclic hydrocarbon group in which a hydrogen atom has been replaced by an aliphatic hydrocarbon group has preferably 20 or less carbon atoms in total.
- aromatic hydrocarbon group examples include an aryl group such as a phenyl group, tolyl group, xylyl group, cumenyl group, mesityl group, p-ethylphenyl group, p-tert-butylphenyl group, p-adamantylphenyl group, a biphenylyl group, a naphthyl group, a phenanthryl group, a 2,6-diethylphenyl group, a 2-methyl-6-ethylphenyl group.
- aryl group such as a phenyl group, tolyl group, xylyl group, cumenyl group, mesityl group, p-ethylphenyl group, p-tert-butylphenyl group, p-adamantylphenyl group, a biphenylyl group, a naphthyl group, a phenanthryl group, a 2,6-diethy
- aromatic hydrocarbon group has an alicyclic hydrocarbon group or an aliphatic hydrocarbon group, the alicyclic hydrocarbon group and the aliphatic hydrocarbon group have respectively 1 to 18 carbon atoms and 3 to 18 carbon atoms.
- Examples of the aromatic hydrocarbon group in which a hydrogen atom has been replaced by an alkoxy group include p-methoxyphenyl group.
- Examples of the aliphatic hydrocarbon group in which a hydrogen atom has been replaced by an aromatic hydrocarbon group include a benzyl group, a phenethyl group, a phenylpropyl group, trityl group, naphthylmethyl group, and a naphthylethyl group.
- alkoxy group examples include a methoxy group, an ethoxy group, a propoxy group, a butoxy group, a pentyloxy group, a hexyloxy group, a heptyloxy group, an octyloxy group, a decyloxy group and a dodecyloxy group.
- acyl group examples include an acetyl group, a propyonyl group and a butyryl group.
- halogen atom examples include a fluorine atom, a chlorine atom, a bromine atom and an iodine atom.
- alkylcarbonyloxy group examples include a methylcarbonyloxy group, an ethylcarbonyloxy group, a n-propylcarbonyloxy group, an isopropylcarbonyloxy group, a n-butylcarbonyloxy group, a sec-butylcarbonyloxy group, a tert-butylcarbonyloxy group, a pentylcarbonyloxy group, a hexylcarbonyloxy group, an octylcarbonyloxy group and a 2-ethyl hexylcarbonyloxy group.
- the ring group formed by bonding R b4 and R b5 together with the adjacent S + may be monocyclic or polycyclic, saturated or unsaturated, aromatic or nonaromatic group.
- the ring has generally C3-C12, preferably C3-C7 carbon atoms. Examples of the ring include the following ones:
- the ring group formed by bonding R b9 and R b10 together with the adjacent S + may be monocyclic or polycyclic, saturated or unsaturated, aromatic or nonaromatic group.
- the ring has generally C3-C12, preferably C3-C7 carbon atoms. Examples of the ring include a thiolan-1-ium ring (tetrahydrothiphenium ring), a thian-1-ium ring and a 1,4-oxathian-4-ium ring.
- the ring group formed by bonding R b9 and R b10 together with —CH—CO— may be monocyclic or polycyclic, saturated or unsaturated, aromatic or nonaromatic group.
- the ring has generally C3-C12, preferably C3-C7 carbon atoms. Examples of the ring include an oxocycloheptane ring, an oxocyclohexane ring, an oxonorbornane ring, and an oxoadamantane ring.
- acyloxy group examples include an acetyloxy group, a propyonyloxy group, a butyryloxy group, an isopropylcarbonyloxy group, a butylcarbonyloxy group, a sec-butylcarbonyloxy group, a tert-butylcarbonyloxy group, a pentylcarbonyloxy group, a hexylcarbonyloxy group, an octylcarbonyloxy group and a 2-ethylhexylcarbonyloxy group.
- the cation for Salt (I) is preferably an arylsulfonium cation.
- cation represented by formula (b2-1) preferred is the cation represented by formula (b2-1), and more preferred is the cation represented by the formula (b2-1-1).
- a triphenylsulfonium cation and a tritolylsulfonium cation are especially preferred.
- R b19 , R b20 and R b21 are independently in each occurrence a halogen atom (preferably a fluorine atom), a hydroxyl group, a C1-C18 aliphatic hydrocarbon group, C3-C18 alicyclic hydrocarbon group or a C1-C12 alkoxy group, and a hydrogen atom of the aliphatic hydrocarbon group can be replaced by a hydroxyl group, a C1-C12 alkoxy group or a C6-C18 aromatic hydrocarbon group, and a hydrogen atom of the saturated cyclic hydrocarbon group can be replaced by a halogen atom, a glycidyloxy group or a C2-C4 acyl group, and v2, w2 and x2 independently each represent an integer of 0 to 5.
- a halogen atom preferably a fluorine atom
- the aliphatic hydrocarbon group has preferably 1 to 12 carbon atoms, and a C1-C12 alkyl group is preferable.
- the v2, w2 and x2 independently each preferably represent 0 or 1.
- R b19 , R b20 and R b21 are independently in each occurrence a halogen atom, a hydroxyl group, a C1-C12 alkyl group or a C1-C12 alkoxy group, and v2, w2 and x2 independently each represent an integer of 0 to 5. It is more preferred that R b19 , R b20 and R b21 are independently in each occurrence a fluorine atom, a hydroxyl group, a C1-C12 alkyl group or a C1-C12 alkoxy group, and v2, w2 and x2 independently each represent 0 or 1.
- Examples of the cation represented by the formula (b2-1) include the following.
- Examples of the cation represented by the formula (b2-2) include the followings.
- Examples of the cation represented by the formula (b2-3) include the followings.
- Salt (I) consists of any one of the above-mentioned cations and any one of the above-mentioned anions. Specific examples of Salt (I) are listed in Tables 1 to 5. In each table, a symbol in each column represents the symbols for any one of the formulae as mentioned above.
- Salt (I-1) consists of the anion of formula (I-a-1) and the cation of formula (b2-c-1), as represented by the following one:
- Salt (I) is represented by formula (I1) which corresponds to formula (I) where L b1 is one represented by formula (b1-1), it can be produced by reacting a salt represented by formula (I1-a) with a compound represented by formula (I1-b) in a solvent such as chloroform or tetrahydrofuran:
- Salt (I) is represented by formula (I2) which corresponds to formula (I) where L b1 is *—CO—O— [* represents a binding site to CQ 1 Q 2 ], it can be produced by reacting a salt represented by formula (I2-a) with a compound represented by formula (I2-b) in a solvent such as chloroform or tetrahydrofuran:
- the salt represented by formula (I1-a) can be produced by reacting a salt represented by formula (I1-c) with a salt represented by formula (I1-d) in a solvent such as chloroform or tetrahydrofuran:
- the salt represented by formula (I1-c) can be produced according to a method described in US2008/044738 A1. ⁇ Acid Generator>
- the acid generator of the present invention comprises Salt (I).
- the acid generator of the present invention can comprise two or more kinds of Salt (I).
- the acid generator of the present invention means salts capable of generating an acid with a developer described later.
- the acid generator can comprise one or more known acid generators in addition to Salt (I).
- the known acid generators may be an ionic acid generator or a nonionic acid generator, which is preferably an ionic acid generator.
- Examples of the acid generator include a salt which consists of an organic sulfonium and an organic sulfonic acid, and acid generators as mentioned in JP2013-68914A1, US2013/017501A1 and JP2013-11905A1.
- Examples of the salt which consists of an organic sulfonium and an organic sulfonic acid include what consists of the cation represented by formula (b2-1) and a sulfonic acid represented by formula (B1):
- Q 21b and Q 22b independently each represent a fluorine atom or a C1-C6 perfluoroalkyl group
- L 21b represents a C1-C24 divalent hydrocarbon group where a methylene group can be replaced by an oxygen atom or a carbonyl group and where a hydrogen atom can be replaced by a fluorine atom or a hydroxyl group
- Y 21 represents a methyl group or a C3-C18 alicyclic hydrocarbon group where a methylene group can be replaced by an oxygen atom, a carbonyl group or a sulfonyl group and where a hydrogen atom can be replaced by a substituent such as a fluorine atom or a hydroxyl group.
- the acid generator include the following salts represented by formulae (B1-1) to (B1-28).
- those which comprise an arylsulfonium cation are preferred, the salts represented by formulae (B1-1), (B1-2), (B1-3), (B1-6), (B1-7), (B1-11), (B1-12), (B1-13), (B1-14), (B1-20), (B1-21), (B1-22), (B1-23), (B1-24), (B1-25) and (B1-26) are more preferred, and the salts represented by formulae (B1-1), (B1-2), (B1-3), (B1-6), (B1-7), (B1-11), (B1-12), (B1-13), (B1-14), (B1-20), (B1-21), (B1-23) and (B1-24) are still more preferred.
- the acid generator of the present invention may consist of Salt (I).
- the content of Salt (I) is preferably 1 to 99 parts by mass, more preferably 2 to 98 parts by mass or more, and still more preferably 5 to 95 parts by mass or more per 100 parts by mass of the acid generator of the present invention.
- the photoresist composition of the present invention comprises Salt (I) and a resin having an acid-labile group which resin is sometimes referred to as “Resin (A)”.
- the photoresist composition may comprise a known acid generator as mentioned above, a quencher, or a solvent.
- the photoresist composition comprises preferably a quencher, or a solvent, more preferably both of them.
- the content of Salt (I) is usually 0.5 to 20 parts by mass, preferably 1.5 to 10 parts by mass, per 100 parts by mass of the resin.
- the total content of the acid generator is preferably 1 parts by mass or more, more preferably 3 parts by mass or more, per 100 parts by mass of the resin.
- the content of the salt other than Salt (I) is preferably 40 parts by mass or less, more preferably 35 parts by mass or less, per 100 parts by mass of the resin.
- Resin (A) usually comprises a structural unit having an acid-labile group.
- structural unit (a1) the structural unit having an acid-labile group.
- Resin (A) further comprises another structural unit than the structural unit (a1), i.e. a structural unit having no acid-labile group, which is sometimes referred to as “structural unit (s)”.
- the structural unit (a1) is derived from a compound having an acid-labile group which compound is sometimes referred to as “Monomer (a1)”.
- an acid-labile group means a group which has a hydrophilic group, such as a hydroxyl group or a carboxy group, resulting from removing a leaving group therefrom by the action of an acid.
- acid-labile group examples include
- R a1 , R a2 and R a3 independently each represent a C1-C8 alkyl group, a C3-C20 alicyclic hydrocarbon group or a group consisting of them, and R a1 and R a2 can be bonded each other to form a C2-C20 divalent hydrocarbon group, na represents an integer of 0 or 1, and * represents a binding site; and a group represented by formula (2):
- R a1′ and R a2′ independently each represent a hydrogen atom or a C1-C12 hydrocarbon group, and R a3′ represents a C1-C20 hydrocarbon group, and R a2′ and R a3′ can be bonded each other to form a C2-C20 divalent hydrocarbon group, and one or more —CH 2 — in the hydrocarbon group and the divalent hydrocarbon group can be replaced by —O—, —S— or —CO—, X represents an oxygen atom or a sulfur atom, and * represents a binding site.
- alkyl group examples include a methyl group, an ethyl group, a propyl group, an isopropyl group, a butyl group, a pentyl group, a hexyl group, a heptyl group and an octyl group.
- the alicyclic hydrocarbon group may be monocyclic or polycyclic.
- the alicyclic hydrocarbon group include a monocyclic alicyclic hydrocarbon group such as a C3-C20 cycloalkyl group (e.g. a cyclopentyl group, a cyclohexyl group, a cycloheptyl group and a cyclooctyl group) and a polycyclic alicyclic hydrocarbon group such as a decahydronaphthyl group, an adamantyl group, a norbornyl group, and the followings:
- the alicyclic hydrocarbon group preferably has 3 to 16 carbon atoms.
- Examples of the group consisting of alkyl and alicyclic hydrocarbon group include a methylcyclohexyl group, a dimethylcyclohexyl group, a methylnorbornyl group, an adamantylmethyl group, and a norbornylethyl group.
- the “na” is preferably 0.
- examples of the moiety —C(R a1 )(R a2 )(R a3 ) include the following groups and the divalent hydrocarbon group preferably has 3 to 12 carbon atoms.
- R a3 is the same as defined above.
- R a1 , R a2 and R a3 independently each represent a C1-C8 alkyl group such as a tert-butyl group, the group represented by formula (1) wherein R a1 and R a2 are bonded each other to form an adamantyl ring and R a3 is a C1-C8 alkyl group such as a 2-alkyl-2-adamantyl group, and the group represented by formula (1) wherein R a1 and R a2 are C1-C8 alkyl groups and R a3 is an adamantyl group such as a 1-(1-adamantyl)-1-alkylalkoxycarbonyl group are preferable.
- examples of the hydrocarbon group include an alkyl group, an alicyclic hydrocarbon group, an aromatic hydrocarbon group and a group consisting of two or more of them.
- Examples of the aliphatic hydrocarbon group and the alicyclic hydrocarbon group include the same as described above.
- the aromatic hydrocarbon group include an aryl group such as a phenyl group, a naphthyl group, a p-methylphenyl group, a p-tert-butylphenyl group, a p-adamantylphenyl group, a tolyl group, a xylyl group, a cumyl group, a mesityl group, a biphenyl group, an anthryl group, a phenanthryl group, a 2,6-diethylphenyl group and a 2-methyl-6-ethylphenyl group.
- Examples of the divalent hydrocarbon group formed by bonding R a2′ and R a3′ each other include those formed by removing a hydrogen atom from the hydrocarbon group represented by R a1′ , R a2′ and R a3′ .
- R a1′ and R a2′ is a hydrogen atom.
- Examples of the group represented by formula (2) include the following.
- Monomer (a1) is preferably a monomer having an acid-labile group in its side chain and an ethylenic unsaturated group, more preferably a (meth)acrylate monomer having an acid-labile group in its side chain, and still more preferably a (meth)acrylate monomer having the group represented by formula (1) or (2).
- the (meth)acrylate monomer having an acid-labile group in its side chain is preferably those which comprise a C5-C20 alicyclic hydrocarbon group.
- the resin which comprises a structural unit derived from such monomers can provide improved resolution for a photoresist pattern to be prepared therefrom.
- the structural unit derived from a (meth)acrylate monomer having the group represented by formula (1) is preferably one of structural units represented by formulae (a1-0), (a1-1) and (a1-2).
- L a01 , L a1 and L a2 each independently represent —O— or *—O—(CH 2 ) k1 —CO—O— in which k1 represents an integer of 1 to 7 and * represents a binding site to —CO—
- R a01 , R a4 and R a5 each independently represent a hydrogen atom or a methyl group
- R a02 , R a03 , R a04 , R a4 , R a6 and R a7 each independently represent a C1-C8 alkyl group, a C3-C18 alicyclic hydrocarbon group, or a group formed by combining them
- m1 represents an integer of 0 to 14
- n1 represents an integer of 0 to 10
- n1′ represents an integer of 0 to 3.
- Resin (A) may comprise two or more of such structural units.
- L a01 is preferably *—O— or *—O—(CH 2 ) f1 —CO—O— in which * represents a binding site to —CO—, and f1 represents an integer of 1 to 4, and is more preferably *—O— or *—O—CH 2 —CO—O—, and is especially preferably *—O—.
- R a01 is preferably a methyl group.
- examples of the alkyl group, the alicyclic hydrocarbon group and the group formed by combining them include the same as referred for R a1 , R a2 and R a3 .
- the alkyl group preferably has 1 to 6 carbon atoms.
- the alicyclic hydrocarbon group preferably has 3 to 8 carbon atoms and more preferably 3 to 6 carbon atoms.
- the alicyclic hydrocarbon group is preferably a saturated aliphatic cyclic hydrocarbon group.
- the group formed by combining them preferably has 18 carbon atoms or less in total, examples of which include a methylcyclohexyl group, a dimethylcyclohexyl group, and a methylnorbornyl group.
- Each of R a02 and R a03 is preferably a C1-C6 alkyl group, more preferably a methyl group and an ethyl group.
- R a04 is preferably a C1-C6 alkyl group and a C5-C12 alicyclic hydrocarbon group, more preferably a methyl group, an ethyl group, a cyclohexyl group, and an adamantyl group.
- Each of L a1 and L a2 is preferably *—O— or *—O—(CH 2 ) f1 —CO—O— in which * represents a binding site to —CO—, and f1 is the same as defined above, and is more preferably *—O— or *—O—CH 2 —CO—O—, and is especially preferably *—O—.
- Each of R a4 and R a5 is preferably a methyl group.
- examples of the alkyl group include a methyl group, an ethyl group, a propyl group, an isopropyl group, a butyl group, a tert-butyl group, a pentyl group, a heptyl group, a 2-ethylheptyl group and an octyl group.
- examples of the alicyclic hydrocarbon group include a monocyclic alicyclic hydrocarbon group such as a cyclohexyl group, a methylcyclohexyl group, a dimethylcyclohexyl group, a cycloheptyl group and a methylcycloheptyl group, and a polycyclic alicyclic hydrocarbon group such as a decahydronaphthyl group, an adamantyl group, a norbornyl group, a methylnorbornyl group and the following.
- examples of the group consisting of an alkyl group and an alicyclic hydrocarbon group include an aralkyl group such as a benzyl group, and a phenethyl group.
- the alkyl group represented by R a6 and R a7 is preferably a C1-C6 alkyl group.
- the alicyclic hydrocarbon group represented by R a6 and R a7 is preferably a C3-C8 alicyclic hydrocarbon group, more preferably a C3-C6 alicyclic hydrocarbon group.
- the “m1” is preferably an integer of 0 to 3, and is more preferably 0 or 1.
- n1 is preferably an integer of 0 to 3, and is more preferably 0 or 1.
- the “n1′” is preferably 0 or 1.
- Examples of the structural unit (a1-0) include those represented by formulae (a1-0-1) to (a1-0-12), preferably those represented by formulae (a1-0-1) to (a1-0-10).
- Examples of the structural unit (a1-0) further include such groups that a methyl group is replaced by a hydrogen atom in any one of formulae (a1-0-1) to (a1-0-12).
- Resin (A) comprises a structural unit (a1-0)
- its content is preferably 3 to 60% by mole, and more preferably 4 to 55% by mole, based on 100% by mole of all the structural units of the resin.
- Examples of the monomer from which the structural unit (a1-1) is derived include the monomers described in JP2010-204646A1, and the following monomers represented by the formulae (a1-1-1) to (a1-1-8), preferably the following monomers represented by the formulae (a1-1-1) to (a1-1-4).
- Examples of the monomer from which the structural unit (a1-2) is derived include 1-ethylcyclopentan-1-yl acrylate, 1-ethylcyclopentan-1-yl methacrylate, 1-ethylcyclohexan-1-yl acrylate, 1-ethylcyclohexan-1-yl methacrylate, 1-ethylcycloheptan-1-yl acrylate, 1-ethylcycloheptan-1-yl methacrylate, 1-methylcyclopentan-1-yl acrylate, 1-methylcyclopentan-1-yl methacrylate, 1-isopropylcyclopentan-1-yl acrylate and 1-isopropylcyclopentan-1-yl methacrylate, preferably the monomers represented by formulae (a1-2-1) to (a1-2-12), more preferably the monomers represented by formulae (a1-2-3), (a1-2-4), (a1-2-9) and (a1-2-10), still more preferably the monomers represented by formula
- the content of the structural unit having an acid-labile group in the resin is usually 10 to 95% by mole, preferably 15 to 90% by mole and more preferably 20 to 85% by mole based on 100% by mole of all the structural units of the resin.
- the content of the structural unit having an acid-labile group in the resin can be adjusted by adjusting the amount of the monomer having an acid-labile group based on the total amount of the monomers used for producing the resin.
- the total content of the structural units is usually 10 to 95% by mole, preferably 15 to 90% by mole and more preferably 15 to 90% by mole and still more preferably 20 to 85% by mole based on 100% by mole of all the structural units of the resin.
- R a9 represents a hydrogen atom, a carboxyl group, a cyano group, a C1-C3 aliphatic hydrocarbon group which can have a hydroxyl group, or a group represented by —COOR a13 group in which R a13 represents a C1-C8 alkyl group or a C3-C20 alicyclic hydrocarbon group, and a group composed of a C1-C8 aliphatic hydrocarbon group and a C3-C20 alicyclic hydrocarbon group, and the aliphatic hydrocarbon group and the alicyclic hydrocarbon group can have a hydroxyl group, and a methylene in the alkyl group and the alicyclic hydrocarbon group can be replaced by —O— or —CO—, R a10 , R a11 and R a12 each independently represent a C1-C12 alkyl group or a C3-C20 alicyclic hydrocarbon group, and R a10 and R a11 can be a
- examples of the alkyl group which can have a hydroxyl group include a methyl group, an ethyl group, a propyl group, a hydroxymethyl group and a 2-hydroxyethyl group.
- Examples of the aliphatic hydrocarbon group represented by R a13 include a methyl group, an ethyl group, a propyl group.
- Examples of the alicylic hydrocarbon group represented by R a13 include a cyclopropyl group, a cyclobutyl group, an adamantyl group, an adamantylmethyl group, a 1-adamantyl-1-methylethyl group, a 2-oxo-oxolan-3-yl group and a 2-oxo-oxolan-4-yl group.
- Examples of the alkyl group represented by R a10 , R a11 and R a12 include a methyl group, an ethyl group, n-propyl group, an isopropyl group, n-butyl group, sec-butyl group, tert-butyl group, a pentyl group, a hexyl group, a heptyl group, a 2-ethylhexyl group, an octyl group.
- the alicylic hydrocarbon group represented by R a10 , R a11 and R a12 which may be a monocyclic or polycyclic group.
- the monocyclic alicyclic hydrocarbon group include cycloalkyl groups such as a cyclopropyl group, a cyclobutyl group, a cyclopentyl group, a cyclohexyl group, a cycloheptyl group, a cyclooctyl group, a cycloheptyl group, a cyclodecyl group.
- Examples of the polycyclic alicyclic hydrocarbon group include a hydronaphthyl group, an adamantyl group, a 2-alkyladamantane-2-yl group, a 1-(adamantane-1-yl)alkane-1-yl group, a norbornyl group, a methylnorbornyl group, and an isobornyl group.
- examples of —C(R a10 )(R a11 )(R a12 ) include the following ones;
- R a12 is as defined above.
- Examples of the monomer from which the structural unit represented by formula (a1-3) is derived include tert-butyl 5-norbornene-2-carboxylate, 1-cyclohexyl-1-methylethyl 5-norbornene-2-carboxylate, 1-methylcyclohexyl 5-norbornene-2-carboxylate, 2-methyl-2-adamantyl 5-norbornene-2-carboxylate, 2-ethyl-2-adamantyl 5-norbornene-2-carboxylate, 1-(4-methylcyclohexyl)-1-methylethyl 5-norbornene-2-carboxylate, 1-(4-hydroxylcyclohexyl)-1-methylethyl 5-norbornene-2-carboxylate, 1-methyl-1-(4-oxocyclohexyl)ethyl 5-norbornene-2-carboxylate and 1-(1-adamantyl)-1-methylethyl 5-n
- the photoresist composition having excellent resolution and higher dry-etching resistance tends to be obtained.
- Resin (A) comprises the structural unit represented by formula (a1-3)
- the content of the structural unit is usually 10 to 95% by mole and preferably 15 to 90% by mole and more preferably 20 to 85% by mole based on total molar of all the structural units of the resin.
- R a32 represents a hydrogen atom, a halogen atom, a C1-C6 alkyl group or a C1-C6 halogenated alkyl group
- R a33 is independently in each occurrence a halogen atom, a hydroxy group, a C1-C6 alkyl group, a C1-C6 alkoxy group, a C2-C4 acyl group, a C2-C4 acyloxy group, an acryloyl group or a methacryloyl group
- l a represents an integer of 0 to 4
- R a34 and R a35 each independently represent a hydrogen atom or a C1-C12 hydrocarbon group
- R a36 represents a C1-C20 aliphatic hydrocarbon group in which a methylene group can be replaced by —O— or —S—
- R a35 and R a36 are bonded to each other to jointly represent a C2-C20 divalent hydrocarbon group in
- Examples of the alkyl group represented by R a32 and R a33 include a methyl group, an ethyl group, a propyl group, a butyl group, a pentyl group, and a hexyl group, preferably a C1-C4 alkyl group, more preferably a methyl group and an ethyl group, and still more preferably a methyl group.
- Examples of the alkoxy group represented by R a33 include a methoxy group, an ethoxy group, a propoxy group, an isopropoxy group, a butoxy group, an isobutoxy group, a sec-butoxy group, a tert-butoxy group, a pentyloxy group and a hexyloxy group.
- Examples of the acyl group represented by R a33 include an acetyl group, a propyonyl group and a butyryl group, and examples of the acyloxy group represented by R a33 include an acetyloxy group, a propyonyloxy group and a butyryloxy group.
- halogen atom represented by R a32 and R a33 examples include a fluorine atom, a chlorine atom, and a bromine atom.
- Examples of the groups represented by R a34 and R a35 include those as referred to for R a1′ and R a2′ .
- Examples of the groups represented by R a36 include those as referred to for R a3′ .
- R a32 preferably represents a hydrogen atom.
- R a33 is preferably a C1-C4 alkoxy group, more preferably a methoxy group and an ethoxy group, and still more preferably a methoxy group.
- the symbol “la” preferably represents 0 or 1, more preferably 1.
- R a34 preferably represents a hydrogen atom.
- R a35 is preferably a C1-C12 monovalent hydrocarbon group, more preferably a methyl group and an ethyl group.
- the hydrocarbon group represented by R a36 includes a C1-C18 alkyl group, a C3-C18 monovalent alicyclic hydrocarbon group, a C6-C18 monovalent aromatic hydrocarbon group, and any combination of them, and preferably a C1-C18 alkyl group, a C3-C18 monovalent alicyclic hydrocarbon group and a C7-C18 aralkyl group. These groups may be unsubstituted or substituted.
- the alkyl group and the monovalent alicyclic hydrocarbon group are preferably unsubstituted.
- As the substituent for the monovalent aromatic hydrocarbon group a C6-C10 aryloxy group is preferred.
- Examples of the monomer from which the structural unit (a1-4) is derived include monomers recited in JP2010-204646A1. Among them, the monomers represented by formulae (a1-4-1), (a1-4-2), (a1-4-3), (a1-4-4), (a1-4-5), (a1-4-6) and (a1-4-7) are preferred, and the monomers represented by formulae (a1-4-1), (a1-4-2), (a1-4-3), (a1-4-4) and (a1-4-5) are more preferred.
- Resin (A) comprises a structural unit represented by formula (a1-4)
- its content is usually 10 to 95% by mole, preferably 15 to 90% by mole and more preferably 20 to 85% by mole based on 100% by mole of all the structural units of the resin.
- R a8 represents a hydrogen atom, a halogen atom, or a C1-C6 alkyl group which may have a halogen atom
- Z a1 represents a single bond or *—(CH 2 ) h3 —CO-L 54 - in which k1 represents an integer of 1 to 4 and * represents a binding site to L 54
- L 51 , L 52 , L 53 and L 54 each independently represent an oxygen atom or a sulfur atom
- s1 represents an integer of 1 to 3
- s1′ represents an integer of 0 to 3.
- the structural unit represented by formula (a-5) is sometimes referred to as “structural unit (a-5)”.
- halogen atoms include a fluorine atom and chlorine atom, preferably a fluorine atom.
- alkyl group which may have a halogen atom include a methyl group, an ethyl group, n-propyl group, an isopropyl group, n-butyl group, sec-butyl group, tert-butyl group, a pentyl group, a hexyl group, a heptyl group, a 2-ethylhexyl group, an octyl group, a fluoromethyl group, and a trifluoromethyl group.
- R a8 preferably represents a hydrogen atom, a methyl group, or trifluoromethyl group.
- L 51 represents preferably an oxygen atom. It is preferred that one of L 52 and L 53 represents an oxygen atom, while the other represents a sulfur atom.
- s1 preferably represents 1.
- s1′ represents an integer of 0 to 2.
- Z a1 preferably represents a single bond or *—CH 2 —CO—O— wherein * represents a binding site to L 51 .
- Examples of the monomer from which the structural unit (a-5) is derived include one mentioned in JP2010-61117A1 and the following ones:
- Resin (A) comprises a structural unit (a-5), its content is usually 1 to 50% by mole, preferably 3 to 45% by mole and more preferably 5 to 40% by mole based on 100% by mole of all the structural units of the resin.
- Resin (A) comprises preferably one or more of the structural units (a-0), (a-1), (a-2) and (a-5), more preferably at least one of the structural units (a-1), (a-2) and (a-5), still more preferably two or more of the structural units (a-1), (a-2) and (a-5), and further more preferably the structural units (a-1) and (a-2) or the structural units (a-1) and (a-5).
- Resin (A) comprises preferably the structural unit (a-1).
- the structural unit (s) is derived from a monomer having no acid-labile group.
- monomers having no acid-labile group monomers which have been known to in the art can be used as such monomer, and they are not limited to any specific one provided that it has no acid-labile group.
- the structural unit having no acid-labile group preferably has a hydroxyl group or a lactone ring.
- the resin comprises the structural unit derived from the monomer having no acid-labile group and having a hydroxyl group or a lactone ring, a photoresist composition capable of providing a photoresist film with good resolution and adhesiveness of photoresist to a substrate can be obtained.
- structural unit (a2) the structural unit having no acid-labile group and having a hydroxy group
- structural unit (a3) the structural unit having no acid-labile group and having a lactone ring
- the hydroxy group which the structural unit (a2) has may be an alcoholic hydroxy group or a phenolic hydroxy group.
- the resin which comprises the structural unit (a2) having a phenolic hydroxy group is preferred.
- ArF excimer laser wavelength: 193 nm
- the resin which comprises the structural unit (a2) having an alcoholic hydroxy group is preferred and the resin which comprises the structural unit (a2-1) described later is more preferred.
- Resin (A) may comprise one or more of the structural units (a2).
- Examples of the structural unit (a2) having a phenolic hydroxy group include one represented by formula (a2-0):
- R a30 represents a hydrogen atom, a halogen atom, a C1-C6 alkyl group or a C1-C6 halogenated alkyl group
- R a31 is independently in each occurrence a halogen atom, a hydroxyl group, a C1-C6 alkyl group, a C1-C6 alkoxy group, a C2-C4 acyl group, a C2-C4 acyloxy group, an acryloyl group or a methacryloyl group
- ma represents an integer of 0 to 4.
- examples of the halogen atom include a fluorine atom, a chlorine atom, a bromine atom or iodine atom
- examples of the C1-C6 alkyl group include a methyl group, an ethyl group, a propyl group, an isopropyl group, a butyl group, an isobutyl group, a sec-butyl group, a tert-butyl group, a pentyl group and a hexyl group, and a C1-C4 alkyl group is preferred and a C1-C2 alkyl group is more preferred and a methyl group is especially preferred.
- Examples of the C1-C6 halogenated alkyl group include a trifluoromethyl group, a pentafluoroethyl group, a heptafluoropropyl group, a heptafluoroisopropyl group, a nonafluorobutyl group, a nonafluoro-sec-butyl group, a nonafluoro-tert-butyl group, a perfluoropentyl group and a perfluorohexyl group.
- Examples of the C1-C6 alkoxy group include a methoxy group, an ethoxy group, a propoxy group, an isopropoxy group, a butoxy group, an isobutoxy group, a sec-butoxy group, a tert-butoxy group, a pentyloxy group and a hexyloxy group, and a C1-C4 alkoxy group is preferred and a C1-C2 alkoxy group is more preferred and a methoxy group is especially preferred.
- Examples of the C2-C4 acyl group include an acetyl group, a propyonyl group and a butyryl group, and examples of the C2-C4 acyloxy group include an acetyloxy group, a propyonyloxy group and a butyryloxy group.
- ma is preferably 0, 1 or 2, and is more preferably 0 or 1, and especially preferably 0.
- Examples of the monomer from which the structural unit (a2-0) is derived include compounds mentioned in JP2010-204634A. Among them, the structural units represented by formulae (a2-0-1), (a2-0-2), (a2-0-3) and (a2-0-4) are preferred as the structural unit (a2-0), and those represented by formulae (a2-0-1) and (a2-0-2) are more preferred.
- Resin (A) which comprises a structural unit represented by formula (a2-0) can be produced, for example, by polymerizing a monomer where its phenolic hydroxyl group has been protected with a suitable protecting group, followed by deprotection.
- the protecting group for a phenolic hydroxyl group include an acetyl group.
- Resin (A) comprises the structural unit represented by formula (a2-0)
- its content is usually 5 to 95% by mole and preferably 10 to 85% by mole and more preferably 15 to 80% by mole based on total molar of all the structural units of the resin.
- the structural unit (a2) having an alcoholic hydroxy group include one represented by formula (a2-1):
- R a14 represents a hydrogen atom or a methyl group
- R a15 and R a16 each independently represent a hydrogen atom, a methyl group or a hydroxyl group
- L a3 represents *—O— or *—O—(CH 2 ) k2 —CO—O— in which * represents a binding site to —CO—
- k2 represents an integer of 1 to 7
- o1 represents an integer of 0 to 10.
- structural unit (a2-1) is referred to as “structural unit (a2-1)”.
- R a14 is preferably a methyl group.
- R a15 is preferably a hydrogen atom.
- R a16 is preferably a hydrogen atom or a hydroxyl group.
- L a3 is preferably *—O— or *—O— (CH 2 ) f2 —CO—O— in which * represents a binding site to —CO—, and f2 represents an integer of 1 to 4, is more preferably *—O— and *—O—CH 2 —CO—O—, and is still more preferably *—O—, and o1 is preferably 0, 1, 2 or 3 and is more preferably 0 or 1.
- Examples of monomers from which the structural unit (a2-1) is derived include compounds mentioned in JP2010-204646A.
- Preferred examples of the structural unit (a2-1) include those represented by formulae (a2-1-1) to (a2-1-6).
- Resin (A) comprises the structural unit (a2-1)
- its content is usually 1 to 45% by mole, preferably 1 to 40% by mole, and more preferably 1 to 35% by mole, and especially preferably 2 to 20% by mole, based on total molar of all the structural units of the resin.
- Examples of the lactone ring of the structural unit (a3) include a monocyclic lactone ring such as ⁇ -propiolactone ring, ⁇ -butyrolactone ring and ⁇ -valerolactone ring, and a condensed ring formed from a monocyclic lactone ring and the other ring.
- a monocyclic lactone ring such as ⁇ -propiolactone ring, ⁇ -butyrolactone ring and ⁇ -valerolactone ring
- a condensed ring formed from a monocyclic lactone ring and the other ring are preferred.
- Preferred examples of the structural unit (a3) include those represented by formulae (a3-1), (a3-2), (a3-3) and (a3-4):
- L a4 , L a5 and L a6 each independently represent *—O— or *—O—(CH 2 ) k3 —CO—O— in which * represents a binding site to —CO— and k3 represents an integer of 1 to 7,
- R a18 , R a19 and R a20 each independently represent a hydrogen atom or a methyl group
- R a21 represents a C1-C4 monovalent aliphatic hydrocarbon group
- R a22 and R a23 are independently in each occurrence a carboxyl group, a cyano group or a C1-C4 monovalent aliphatic hydrocarbon group,
- R a24 each independently represent a hydrogen atom, a halogen atom, or a C1-C6 alkyl group which may have a halogen atom,
- L a7 represents a single bond, * 1 -L a8 -O—, * 1 -L a8 -CO—O—, * 1 -L a8 -CO—O-L a9 -CO—O— or * 1 -L a8 -CO—O-L a9 -O— or in which L a8 and L a9 each independently represent C1-C6 divalent alkanediyl group, * 1 represents a binding site to —O—,
- p1 represents an integer of 0 to 5
- q1 and r1 independently each represent an integer of 0 to 3.
- halogen atom represented by R a24 examples include a fluorine atom, a chlorine atom, a bromine atom and an iodine atom.
- Examples of the alkyl group represented by R a24 include a methyl group, an ethyl group, a propyl group, a butyl group, a pentyl group, and a hexyl group, preferably a C1-C4 alkyl group, and more preferably a methyl group and an ethyl group.
- examples of the alkyl group which has an halogen atom include a trifluoromethyl group, a pentafluoroethyl group, a heptafluoropropyl group, a heptafluoroisopropyl group, a nonafluorobutyl group, a nonafluoro-sec-butyl group, a nonafluoro-tert-butyl group, a perfluoropentyl group, a perfluorohexyl group, a trichloromethyl group, a tribromomethyl group, and a triiodomethyl group.
- examples of the alkanediyl group include a methylene group, an ethylene group, a propane-1,3-diyl group, a butane-1,4-diyl group, a pentane-1,5-diyl group and a hexane-1,6-diyl group, a butane-1,3-diyl group, 2-methylpropane-1,3-diyl group, a 2-methylpropane-1,2-diyl group, a pentane-1,4-diyl group and a 2-methylbutane-1,4-diyl group.
- L a4 , L a5 and L a6 each independently represent *—O— or *—O—(CH 2 ) d1 —CO—O— in which * represents a binding site to —CO— and d1 represents an integer of 1 to 4, and it is more preferred that L a4 , L a5 and L a6 are *—O— and *—O—CH 2 —CO—O—, and it is still more preferred that L a4 , L a5 and L a6 are *—O—.
- R a18 , R a19 and R a20 are preferably methyl groups.
- R a21 is preferably a methyl group. It is preferred that R a22 and R a23 are independently in each occurrence a carboxyl group, a cyano group or a methyl group.
- p1, q1 and r1 each independently represent an integer of 0 to 2, and it is more preferred that p1, q1 and r1 each independently represent 0 or 1.
- R a24 is preferably a hydrogen atom or a C1-C4 alkyl group, more preferably a hydrogen atom, a methyl group or an ethyl group, and still more preferably a hydrogen atom or a methyl group.
- L a7 represents preferably a single bond or * 1 -L a8 -CO—O—, more preferably a single bond, * 1 —CH 2 —CO—O— or * 1 —C 2 H 4 —CO—O—.
- Examples of the monomer from which the structural unit (a3) is derived include those mentioned in US2010/203446A1, US2002/098441A1 and US2013/143157A1.
- Examples of the structural unit (a3) include the following ones:
- the structural unit (a3) is preferably one of formulae (a3-1-1) to (a3-1-4), formulae (a3-2-1) to (a3-2-4), formulae (a3-3-1) to (a3-3-4) and formulae (a3-4-1) to (a3-4-6), more preferably one of formulae (a3-1-1), formula (a3-1-2), formulae (a3-2-3) to (a3-2-4) and formulae (a3-4-1) to (a3-4-2), and still more preferably one of formulae (a3-1-1), (a3-2-3) and (a3-4-2).
- Resin (A) comprises the structural unit (a3)
- its content thereof is preferably 5 to 70% by mole, and more preferably 10 to 65% by mole and more preferably 10 to 60% by mole, based on total molar of all the structural units of the resin.
- another structural unit having no acid-labile group include a structural unit having a fluorine atom and a structural unit which has a hydrocarbon not being removed therefrom by action of an acid.
- Examples of the structural unit having a fluorine atom include the following one.
- structural unit (a4) the structural unit having no acid-labile group but having a halogen atom is referred to as “structural unit (a4)”.
- Halogen atoms for the structural unit (a4) may be a fluorine atom, a chlorine atom, a bromine atom, or an iodine atom.
- the structural unit (a4) has preferably a fluorine atom.
- Examples of the structural unit (a4) include one represented by formula (a4-0):
- R 5 represents a hydrogen atom or a methyl group
- L 4 represents a single bond or a C1-C4 aliphatic saturated hydrocarbon group, preferably a C1-C4 aliphatic saturated hydrocarbon group
- L 3 represents a C1-C8 perfluoroalkanediyl group or a C3-C12 alicyclic perfluorohydrocarbon group
- R 6 represents a hydrogen atom or a fluorine atom.
- Examples of the perfluoroalkanediyl group for L 3 include a difluoromethylene group, a perfluoroethylene group, a (perfluoroethyl)fluorometylene group, a perfluoropropane-1,3-diyl group, a perfluoropropane-1,2-diyl group, a perfluorobutane-1,4-diyl group, a perfluoropentane-1,5-diyl group, a perfluorohexane-1,6-diyl group, a perfluoroheptane-1,7-diyl group, and a perfluorooctane-1,8-diyl group.
- Examples of the alicyclic perfluorohydrocarbon group for L 3 include a perfluoroadamantandiyl group.
- L 4 is preferably a methylene group or an ethylene group, more preferably a methylene group.
- L 3 is preferably a C1-C6 perfluoroalkanediyl group, more preferably a C1-C3 perfluoroalkanediyl group.
- Examples of the structural unit (a4-0) include the following ones and those which a methyl group has been replaced by a hydrogen atom in each of the following formulae:
- Examples of the structural unit (a4) include one represented by formula (a4-1):
- R a41 represents a hydrogen atom or a methyl group
- a a41 represents a C1-C6 divalent alkanediyl group which may have a substituent or a moiety represented by formula (a-g1): -A a42 X a41 -A a43 S X a42 -A a44 - (a-g1) in which s represents an integer of 0 to 1, A a42 and A a44 respectively represent a C1-C5 divalent hydrocarbon group which may have a substituent, A a43 represents a single bond or a C1-C5 divalent hydrocarbon group which may have a substituent, X a41 and X a42 respectively represent —O—, —CO—, —CO—O—, or —O—CO—, provided that the sum of carbon atoms of A a42 , A a43 , A a44 , X a41 and X a42 is 6 or less; R
- halogen atom for formula (a4-1) examples include a fluorine atom, a chlorine atom, a bromine atom and an iodine atom.
- the divalent hydrocarbon group is preferably a divalent saturated hydrocarbon group while it may have a carbon-carbon double bond.
- Examples of the divalent saturated hydrocarbon group include alkandiyl groups which may be a linear or branched one, divalent alicyclic hydrocarbon groups, and combination of them.
- Examples of the monovalent hydrocarbon group for R a42 include monovalent chain or cyclic saturated hydrocarbon groups, a monovalent aromatic hydrocarbon group, and combination of them.
- Examples of monovalent chain hydrocarbon group include a methyl group, an ethyl group, a propyl group, a butyl group, a pentyl group, a hexyl group, a heptyl group, an octyl group, a decyl group, a dodecyl group, a hexadecyl group, a pentadecyl group, a hexyldecyl group, heptadecyl group and an octadecyl group.
- monovalent cyclic hydrocarbons include cycloalkyl groups such as a cyclopentyl group, a cyclohexyl group, a cycloheptyl group and a cyclooctyl group; and monovalent polycyclic hydrocarbon groups such as a decahydronaphthyl group, an adamantyl group, a norbornyl group, and the following groups where * represents a binding position.
- monovalent aromatic hydrocarbon groups examples include a phenyl group, a naphthyl group, an anthryl group, a biphenylyl group, a phenanthryl group and a fluorenyl group.
- the monovalent hydrocarbon group for R a42 is preferably monovalent chain and cyclic hydrocarbon groups and combination of them, which may have a carbon-carbon double bond, and more preferably a monovalent chain hydrocarbon group and cyclic hydrocarbon group and combination of them.
- R a42 is preferably a monovalent aliphatic hydrocarbon group which has a substituent, more preferably a monovalent aliphatic hydrocarbon group which has a halogen atom and/or a group represented by formula (a-g3): —X a43 -A a45 (a-g3) in which X a43 represents an oxygen atom, a carbonyl group, a carbonyloxy group or an oxycarbonyl group, A a45 represents a C3-C17 monovalent saturated hydrocarbon group which may have a fluorine atom.
- R a42 is a monovalent saturated hydrocarbon group which has a group represented by formula (a-g3)
- R a42 has preferably 15 or less carbon atoms, more preferably 12 or less carbon atoms in total including the carbon atoms of formula (a-g3). If R a42 has a group represented by formula (a-g3), the number of the group is preferably 1.
- the monovalent saturated hydrocarbon group which has a group represented by formula (a-g3) is preferably a compound represented by formula (a4-g2): -A a46 -X a44 -A a47 (a-g2) in which A a46 represents a C3-C17 divalent saturated hydrocarbon group which may have a fluorine atom, X a44 represents a carbonyloxy group or an oxycarbonyl group, and A a47 represents a C3-C17 divalent saturated hydrocarbon group which may have a fluorine atom, provided that A a46 , A a47 and X a44 have 18 or less of carbon atoms in total and one or both of A a46 and A a47 have a fluorine atom.
- the halogen-containing saturated hydrocarbon group represented by R a42 is preferably a monovalent fluorine-containing saturated hydrocarbon group, more preferably a perfluoroalkyl group or a perfluorocycloalkyl group, still more preferably a C1-C6 perfluoroalkyl group, and further more preferably a C1-C3 perfluoroalkyl group.
- perfluoroalkyl group examples include a perfluoromethyl group, a perfluoroethyl group, a perfluoropropyl group, a perfluorobutyl group, a perfluoropentyl group, a perfluorohexyl group, a perfluoroheptyl group, and a perfluorooctyl group.
- perfluorocycloalkyl group include perfluorocyclohexyl group.
- the divalent saturated hydrocarbon group represented by A a46 has preferably 1 to 6, more preferably 1 to 3 carbon atoms.
- the monovalent saturated hydrocarbon group represented by A a47 has preferably 4 to 15, more preferably 5 to 12 carbon atoms.
- a a47 is more preferably a cyclohexyl group or an adamantyl group. Examples of the moiety represented by -A a46 -X a44 -A a47 include the following ones:
- a a41 typically include a C1-C6 alkanediyl group which may be a linear chain or branched chain. Specific examples of them include linear chain alkanediyl groups such as a methylene group, an ethylene group, a propane-1,3-diyl group, a butane-1,4-diyl group, a pentane-1,5-diyl group, or a hexane-1,6-diyl group; and branched chain alkanediyl groups such as a propane-1,3-diyl group, a butane-1,3-diyl group, a 1-methylbutane-1,2-diyl group, or a 2-methylbutane-1,4-diyl group.
- linear chain alkanediyl groups such as a methylene group, an ethylene group, a propane-1,3-diyl group, a butane-1,4-diyl
- alkanediyl group examples include a hydroxyl group or a C1-C6 alkoxy group.
- a a41 is preferably a C1-C4 alkanediyl group, more preferably a C2-C4 alkanediyl group, and still more preferably an ethylene group.
- Examples of the alkanediyl group represented by A a42 , A a43 and A a44 include a methylene group, an ethylene group, a propane-1,3-diyl group, a butane-1,4-diyl group, a 2-methylpropane-1,3-diyl group, or a 2-methylbutane-1,4-diyl group.
- Examples of the substituents which such alkanediyl group may have include a hydroxyl group or a C1-C6 alkoxy group.
- X a42 represents —O—, —CO—, —CO—O—, or ⁇ O ⁇ CO—.
- Examples of the moiety represented by formula (a-g1) where X a42 is an oxygen atom, a carbonyl group, a carbonyloxy group or an oxycarbonyl group include the following ones:
- the structural unit represented by formula (a-g1) is preferably one represented by formula (a4-2) or (a4-3).
- R f1 represents a hydrogen atom or a methyl group.
- a f1 represents a C1-C6 alkanediyl group.
- R f2 represents a C1-C20, preferably C1-C10, monovalent hydrocarbon group having a fluorine atom.
- the alkanediyl groups represented by A f1 may be a linear chain or branched chain.
- linear chain alkanediyl groups such as a methylene group, an ethylene group, a propane-1,3-diyl group, a butane-1,4-diyl group, a pentane-1,5-diyl group, or a hexane-1,6-diyl group; and branched chain alkanediyl groups such as a propane-1,3-diyl group, a butane-1,3-diyl group, a 1-methylbutane-1,2-diyl group, or a 2-methylbutane-1,4-diyl group.
- linear chain alkanediyl groups such as a methylene group, an ethylene group, a propane-1,3-diyl group, a butane-1,4-diyl group, a pentane-1,5-diyl group, or a hexane-1,6-diyl group
- the monovalent hydrocarbon group represented by R f2 includes monovalent saturated hydrocarbon groups and monovalent aromatic hydrocarbon groups.
- the monovalent saturated hydrocarbon groups may be a chain or cyclic saturated hydrocarbon group, or a combined group of them.
- the monovalent saturated hydrocarbon groups are preferably an alkyl group or a monovalent alicyclic hydrocarbon group.
- alkyl group examples include a methyl group, an ethyl group, n-propyl group, isopropyl group, n-butyl group, sec-butyl group, a tert-butyl group, a pentyl group, a hexyl group and 2-ethylhexyl group.
- the monovalent alicyclic hydrocarbon groups may be monocyclic or polycyclic groups.
- Examples of monovalent monocyclic hydrocarbon groups include a cyclopropyl group, a cyclobutyl group, a cyclopentyl group, a cyclohexyl group, a methylcyclohexyl group, a dimethylcyclohexyl group, a cycloheptyl group, a cyclooctyl group, a cycloheptyl group and a cyclodecyl group.
- Examples of monovalent polycyclic hydrocarbon groups include a decahydronaphthyl group, an adamantyl group, a norbornyl group, and an isobornyl group.
- Examples of the combined group of the above-mentioned hydrocarbon group include a 2-alkyladamantane-2-yl group, a 1-(adamantane-1-yl)alkane-1-yl group, and a methylnorbornyl group.
- Examples of monovalent hydrocarbon groups having a fluorine atom for R f2 include monovalent fluoroalkyl groups and monovalent fluorine atom-containing alicyclic hydrocarbon groups.
- monovalent fluoroalkyl groups include a fluoromethyl group, a trifluoromethyl group, 1,1-difluoroethyl group, 2,2-difluoroethyl group, 2,2,2-trifluoroethyl group, perfluoroethyl group, 1,1,2,2-tetrafluoropropyl group, 1,1,2,2,3,3-hexafluoropropyl group, perfluoroethylmethyl group, 1-(trifluoromethyl)-1,2,2,2-tetrafluoroethyl group, perfluoropropyl group, 1,1,2,2-tetrafluorobutyl group, 1,1,2,2,3,3-hexafluorobutyl group, 1,1,2,2,3,3,4,4-octafluorobutyl group, perfluorobutyl group, 1,1-bis(trifluoro)methyl-2,2,2-trifluoroethyl group, 2-(perfluoropropyl
- a f1 is preferably a C2-C4 alkylene group, and more preferably an ethylene group.
- R f11 represents a hydrogen atom or a methyl group.
- a f11 represents a C1-C6 alkanediyl group.
- a f13 represents a C1-C18 divalent saturated hydrocarbon group which may have a fluorine atom.
- X f12 represents a carbonyloxy group or an oxycarbonyl group.
- a f14 represents a C1-C17 divalent saturated hydrocarbon group which may have a fluorine atom, provided that one or both of A f13 and A f14 represents a fluorine-containing saturated hydrocarbon group.
- Examples of the alkanediyl group represented by A f11 include those as referred to for A f12 .
- the divalent saturated hydrocarbon group includes chain saturated hydrocarbon groups, cyclic saturated hydrocarbon groups and combined groups of these groups.
- the divalent saturated hydrocarbon group which may have a fluorine atom is preferably a divalent saturated chain hydrocarbon group which may have a fluorine atom, more preferably a perfluoroalkanediyl group.
- divalent aliphatic hydrocarbon group which may have a fluorine atom examples include an alkandiyl group such as a methyl group, an ethylene group, a propanediyl group, a butanediyl group and pentanediyl group; and a perfluoroalkandiyl group such as a difluoromethylene group, a perfluoroethylene group, a perfluoropropanediyl group, a perfluorobutanediyl group and perfluoropentanediyl group.
- the divalent cyclic hydrocarbon group which may have a fluorine atom may be a divalent monocyclic or polycyclic group.
- Examples of the divalent monocyclic hydrocarbon group which may have a fluorine atom include a cyclohexanediyl group and a perfluorocyclohexanediyl group.
- Examples of the divalent polycyclic hydrocarbon group which may have a fluorine atom include an adamantanediyl group, norbornanediyl group, and a perfluoroadamantanediyl group.
- the monovalent saturated hydrocarbon group includes chain saturated hydrocarbon groups, cyclic saturated hydrocarbon groups and combined groups of these saturated hydrocarbon groups.
- the monovalent aliphatic hydrocarbon group which may have a fluorine atom is preferably a monovalent saturated aliphatic hydrocarbon group which may have a fluorine atom, more preferably a perfluoroalkanediyl group.
- Examples of the monovalent aliphatic hydrocarbon group which may have a fluorine atom include a trifluoromethyl group, a fluoromethyl group, a methyl group, a perfluoroethyl group, a 1,1,1-trifluoroethyl group, a 1,1,2,2-tetrafluoroethyl group, an ethyl group, a perfluoropropyl group, a 1,1,1,2,2-pentafluoropropyl group, propyl group, a perfluorobutyl group, 1,1,2,2,3,3,4,4-octafluorobutyl group, a butyl group, a perfluoropentyl group, 1,1,1,2,2,3,3,4,4-nonafluoropentyl group, a pentyl group, a hexyl group, a perfluorohexyl group, a heptyl group, a perfluoroheptyl group
- the monovalent cyclic hydrocarbon group which may have a fluorine atom may be monocyclic or polycyclic monovalent group.
- Examples of the monovalent monocyclic cyclic hydrocarbon group which may have a fluorine atom include a cyclopropyl group, cyclopentyl group, cyclohexyl group, and perfluorocyclohexyl group.
- Examples of the monovalent polycyclic hydrocarbon group which may have a fluorine atom include an adamantyl group, a norbornyl group, and a perfluoroadamantyl group.
- a f11 is preferably an ethylene group.
- the divalent aliphatic hydrocarbon group represented by A f13 has preferably 6 or less, more preferably 2 to 3, of carbon atoms.
- the monovalent aliphatic hydrocarbon group represented by A f14 has preferably 3 to 12, more preferably 3 to 10, of carbon atoms.
- a f14 has preferably a C3-C12 monovalent alicyclic hydrocarbon group, more preferably a cyclopropylmethyl group, a cyclopentyl group, a cyclohexyl group, a norbornyl group or an adamantyl group.
- Examples of the structural unit of formula (a4-2) include preferably those represented by formulae (a4-1-1) to (a4-1-22).
- Examples of the structural unit (a4-3) include preferably those represented by formulae (a4-1′-1) to (a4-1′-22).
- Another example of the structural unit (a4) includes those represented by formula (a4-4).
- R f21 represents a hydrogen atom or a methyl group
- a f21 represents —(CH 2 ) j1 —, —(CH 2 ) j2 —O—(CH 2 ) 3 — or —(CH 2 ) 4 —CO—O—(CH 2 ) 5 where j1, j2, j3, j4 or j5 each independently represent an integer of 1 to 6
- R f22 represents a C1-C10 monovalent hydrocarbon group having a fluorine atom.
- examples of monovalent hydrocarbon group having a fluorine atom include those as referred to for R f22 .
- R f22 is preferably a C1-C10 monovalent alkyl group having a fluorine atom or a C3-C10 monovalent alicyclic hydrocarbon group having a fluorine atom, more preferably a C1-C10 monovalent alkyl group having a fluorine atom, and still more preferably a C1-C6 monovalent alkyl group having a fluorine atom.
- a f21 is preferably —(CH 2 ) j1 —, more preferably a methylene or ethylene group, and still more preferably a methylene group.
- Examples of the structural unit (a4-4) include preferably the following ones:
- Resin (A) comprises the structural unit (a4)
- its content is preferably 1 to 20% by mole, more preferably 2 to 15% by mole and still more preferably 3 to 10% by mole based on 100% by mole of all the structural units of the resin.
- Resin (A) may comprise another structural unit than those as specifically mentioned above. Examples of such another structural unit include those as known in the art.
- its content is preferably 1 to 50% by mole, more preferably 3 to 40% by mole based on 100% by mole of all the structural units of the resin.
- Other examples of the structural unit having no acid-labile group include one having an acid-stable hydrocarbon group.
- the term “acid-stable hydrocarbon group” means such a hydrocarbon group that is not removed from the structural unit having the group by action of an acid generated from an acid generator as described later.
- the acid-stable hydrocarbon group may be a linear, branched or cyclic hydrocarbon group.
- the structural unit which has a hydrocarbon not being removed therefrom by action of an acid may have a linear, branched or cyclic hydrocarbon, preferably an alicyclic hydrocarbon group. Examples of the structural unit having an acid-stable hydrocarbon group include one represented by formula (a5-1):
- R 51 represents a hydrogen atom or a methyl group
- R 52 represents a C3-C18 monovalent alicyclic hydrocarbon group which may have a C1-C8 monovalent aliphatic hydrocarbon group as a substituent, provided that the alicyclic hydrocarbon group has no substituent on the carbon atom bonded to L 51
- L 51 represents a single bond or a C1-C18 divalent saturated hydrocarbon group where a methylene group can be replaced by an oxygen atom or carbonyl group.
- the alicyclic hydrocarbon group represented by R 52 may be monocyclic or polycyclic one. Examples of the alicyclic hydrocarbon group include a monocyclic hydrocarbon group such as a C3-C18 cycloalkyl group (e.g.
- a cyclopropyl group a cyclobutyl group, a cyclopentyl group, a cyclohexyl group
- a polycyclic alicyclic hydrocarbon group such as an adamantyl group, or a norbornyl group.
- the aliphatic hydrocarbon group include an alkyl groups such as a methyl group, an ethyl group, n-propyl group, isopropyl group, n-butyl group, sec-butyl group, tert-butyl group, a pentyl group, a hexyl group, an octyl group and 2-ethylhexyl group.
- Examples of the alicyclic hydrocarbon group having a substituent include a 3-hydroxyadamantyl group, and a 3-methyladamantyl group.
- R 52 is preferably a C3-C18 unsubstituted alicyclic hydrocarbon group, more preferably an adamantyl group, a norbornyl group or a cyclohexyl group.
- Examples of the divalent saturated hydrocarbon group represented by L 51 include divalent aliphatic hydrocarbon groups and divalent alicyclic hydrocarbon groups, preferably divalent aliphatic hydrocarbon groups.
- divalent aliphatic hydrocarbon groups examples include alkanediyl groups such as a methylene group, an ethylene group, a propanediyl group, a butanediyl group and a pentanediyl group.
- the divalent alicyclic hydrocarbon groups may be monocyclic or polycyclic one.
- divalent monocyclic hydrocarbon groups include cycloalkanediyl groups such as a cyclopentanediyl group and a cyclohexanediyl group.
- divalent polycyclic alicyclic hydrocarbon groups examples include an adamantanediyl group and a norbornanediyl group.
- divalent hydrocarbon group where a methylene group has been replaced by an oxygen atom or carbonyl group examples include those represented by formulae (L1-1) to (L1-4).
- * represents a binding position to an oxygen atom.
- X x1 is a carbonyloxy group or an oxycarbonyl group; and L x1 is a C1-C16 divalent saturated hydrocarbon group, and L x2 is a single bond or a C1-C15 divalent aliphatic saturated hydrocarbon group, provided that the total number of the carbon atoms in L x1 and L x2 is 16 or less.
- L x3 is a C1-C17 divalent saturated hydrocarbon group, and L x4 is a single bond or a C1-C16 divalent aliphatic saturated hydrocarbon group, provided that the total number of the carbon atoms in L x3 and L x4 is 17 or less.
- L x5 is a C1-C15 divalent saturated hydrocarbon group
- L x6 and L x7 is a single bond or a C1-C14 divalent aliphatic saturated hydrocarbon group, provided that the total number of the carbon atoms in L x5 , L x6 and L x7 is 15 or less
- L x8 and L x9 are each independently a single bond or a C1-C12 divalent aliphatic saturated hydrocarbon group
- W x1 is a C3-C15 divalent cyclic saturated hydrocarbon group, provided that the total number of the carbon atoms in L x8 , L x9 and W x1 is 15 or less.
- L x1 is preferably a C1-C8 divalent saturated hydrocarbon group, more preferably a methylene group or an ethylene group.
- L x2 is preferably a single bond, or a C1-C8 divalent saturated hydrocarbon group, more preferably a single bond.
- L x3 is preferably a C1-C8 divalent saturated hydrocarbon group, more preferably a methylene group or an ethylene group.
- L x4 is preferably a single bond or a C1-C8 divalent saturated hydrocarbon group, more preferably a single bond, a methylene group or an ethylene group.
- L x5 is preferably a C1-C8 divalent saturated hydrocarbon group, more preferably a methylene group or an ethylene group.
- L x6 is preferably a single bond or a C1-C8 divalent saturated hydrocarbon group, more preferably a methylene group or an ethylene group.
- L x7 is preferably a single bond or a C1-C8 divalent saturated hydrocarbon group, more preferably a methylene group or an ethylene group.
- L x8 is preferably a single bond or a C1-C8 divalent saturated hydrocarbon group, more preferably a single bond or a methylene group.
- L x9 is preferably a single bond or a C1-C8 divalent saturated hydrocarbon group, more preferably a single bond or a methylene group.
- W x1 is a preferably C3-C10 divalent cyclic saturated hydrocarbon group, more preferably a cyclohexanediyl group or an adamantanediyl group.
- divalent hydrocarbon group represented by formula (L1-1) include the following ones:
- L 51 is preferably a single bond or a group represented by formula (L1-1).
- Examples of the structural unit represented by formula (a5-1) include the following ones and those where a methyl group has been replaced by a hydrogen atom in each formula.
- Resin (A) comprises preferably the structural unit (a) and the structural unit having no acid-labile group.
- the structural unit (a1) is one of the structural unit (a1-1) and the structural unit (a1-2), more preferably the structural unit (a1-2).
- the structural unit (a1-2) is preferably which comprises a cyclohexyl group or a cyclopentyl group.
- the structural unit having no acid-labile group is preferably one of the structural unit (a2) and the structural unit (a3).
- the structural unit (a2) is preferably the structural unit (a2-1).
- the structural unit (a3) is preferably one of the structural unit (a3-1), the structural unit (a3-2) and the structural unit (a3-4).
- Resin (A) comprises preferably the structural unit (a) derived from a structural unit having an adamantyl group, preferably structural unit (a1-1).
- the content of the structural unit having an adamantyl group is preferably 15% by mole or more of the total amount of the structural unit (a). The more is the structural unit having an adamantyl group, the more improved is the resistance of the photoresist film to dry etching.
- Resin (A) can be produced according to known polymerization methods such as radical polymerization.
- the resin has usually 2,000 or more of the weight-average molecular weight, preferably 2,500 or more of the weight-average molecular weight, more preferably 3,000 or more of the weight-average molecular weight.
- the resin has usually 50,000 or less of the weight-average molecular weight, preferably more 30,000 or less of the weight-average molecular weight, and preferably more 15,000 or less of the weight-average molecular weight.
- the weight-average molecular weight can be measured with gel permeation chromatography.
- Resin (X) examples include what consists of structural units having no acid-labile group, preferably what comprises, not the structural unit (a1), but the structural unit having a fluorine atom.
- Resin (X) such another resin is referred to as “Resin (X)”.
- Resin (X) may be one which consists of the structural unit having a fluorine atom, or one which further comprise the structural unit (a2), the structural unit (a3) or another structural unit having no acid-labile group, known in the art.
- Resin (X) the content of the structural unit having a fluorine atom is preferably 40% by mole or more, more preferably 45% by mole or more, still more preferably 50% by mole or more, further more preferably 80% by mole or more, based on sum of the structural units in the resin.
- Resin (X) usually has 8000 or more of the weight-average molecular weight, preferably 10000 or more of the weight-average molecular weight.
- the resin usually has 80,000 or less of the weight-average molecular weight, preferably has 60,000 or less of the weight-average molecular weight.
- the weight-average molecular weight can be measured with known methods such as liquid chromatography or gas chromatography.
- the content of the resin is preferably 1 to 60 weight parts, more preferably 3 to 50 weight parts, and still more preferably 5 to 40 weight parts, and further still more preferably 7 to 30 weight parts, relative to 100 parts of Resin (A).
- the total content of the resins in the photoresist composition of the present invention is usually 80% by mass or more based on sum of solid component, and usually 99% by mass or less.
- solid component means components other than solvent in the photoresist composition.
- the photoresist composition of the present invention may comprise a solvent.
- the amount of the solvent is usually 90% by weight or more, preferably 92% by weight or more preferably 94% by weight or more based on total amount of the photoresist composition of the present invention.
- the amount of the solvent is usually 99.9% by weight or less and preferably 99% by weight or less based on total amount of the photoresist composition of the present invention.
- the content can be measured with known methods such as liquid chromatography or gas chromatography.
- the solvent examples include a glycol ether ester such as ethyl cellosolve acetate, methyl cellosolve acetate and propylene glycol monomethyl ether acetate; a glycol ether such as propylene glycol monomethyl ether; an ester such as ethyl lactate, butyl acetate, amyl acetate and ethyl pyruvate; a ketone such as acetone, methyl isobutyl ketone, 2-heptanone and cyclohexanone; and a cyclic ester such as ⁇ -butyrolactone.
- a glycol ether ester such as ethyl cellosolve acetate, methyl cellosolve acetate and propylene glycol monomethyl ether acetate
- a glycol ether such as propylene glycol monomethyl ether
- an ester such as ethyl lactate, butyl acetate, amyl a
- the photoresist compositions of the present invention may further comprise a quencher.
- the “quencher” has the property that it can trap an acid, especially an acid generated from the acid generator by applying a radiation.
- quencher examples include a basic nitrogen-containing organic compound and a salt which generates an acid having acidity weaker than an acid generated from Salt (I) or the above-mentioned known acid generators.
- Examples of the basic nitrogen-containing organic compound include an amine compound such as an aliphatic amine, an aromatic amine and an ammonium salt.
- Examples of the aliphatic amine include a primary amine, a secondary amine and a tertiary amine.
- Examples of the aromatic amine include an aromatic amine.
- quencher examples include 1-naphthylamine, 2-naphthylamine, aniline, diisopropylaniline, 2-, 3- or 4-methylaniline, 4-nitroaniline, N-methylaniline, N,N-dimethylaniline, diphenylamine, hexylamine, heptylamine, octylamine, nonylamine, decylamine, dibutylamine, pentylamine, dioctylamine, triethylamine, trimethylamine, tripropylamine, tributylamine, tripentylamine, trihexylamine, triheptylamine, trioctylamine, trinonylamine, tridecylamine, methyldibutylamine, methyldipentylamine, methyldihexylamine, methyldicyclohexylamine, methyldiheptylamine, methyldioctylamine, methyldin
- Examples of the quaternary ammonium hydroxide include tetramethylammonium hydroxide, tetrabutylammonium hydroxide, tetrahexylammonium hydroxide, tetraoctylammonium hydroxide, phenyltrimethylammonium hydroxide, (3-trifluoromethylphenyl)trimethylammonium hydroxide and (2-hydroxyethyl)trimethylammonium hydroxide (so-called “choline”).
- the acidity in the salts is shown by the acid dissociation constant (pKa).
- the acid dissociation constant of acid generated from the salt for a quencher is usually salt of ⁇ 3 ⁇ pKa.
- the salt for a quencher is preferably a salt of ⁇ 1 ⁇ pKa ⁇ 7, and more preferably a salt of 0 ⁇ pKa ⁇ 5.
- salt for a quencher examples include the following ones, the salt of formula (D), and salts recited in US2012/328986A1, US2011/171576A1, US2011/201823A1, JP2011-39502A1, and US2011/200935A1.
- R D1 and R D2 respectively represent a C1-C12 monovalent hydrocarbon group, a C1-C6 alkoxy group, a C2-C7 acyl group, a C2-C7 acyloxy group, a C2-C7 alkoxycarbonyl group, a nitro group or a halogen atom.
- the symbols m′ and n′ each independently represent an integer of 0 to 4.
- the hydrocarbon group represented by R D1 and R D2 includes a C1-C12 alkyl group, a C3-C12 monovalent alicyclic hydrocarbon group, a C6-C12 monovalent aromatic hydrocarbon group, and any combination of them.
- Examples of the monovalent hydrocarbon group include alkyl groups such as a methyl group, an ethyl group, n-propyl group, an isopropyl group, n-butyl group, sec-butyl group, tert-butyl group, a pentyl group, a hexyl group, a heptyl group, an octyl group, a nonyl group.
- Examples of the alicyclic hydrocarbon group which may be a monocyclic or polycyclic one, include cycloalkyl groups such as a cyclopropyl group, a cyclobutyl group, a cyclopentyl group, a cyclohexyl group, a cycloheptyl group, a cyclooctyl group, a cycloheptyl group, a cyclodecyl group, and norbonyl group and adamantyl group.
- cycloalkyl groups such as a cyclopropyl group, a cyclobutyl group, a cyclopentyl group, a cyclohexyl group, a cycloheptyl group, a cyclooctyl group, a cycloheptyl group, a cyclodecyl group, and norbonyl group and adamantyl group.
- aromatic hydrocarbon group examples include an aryl group such as a phenyl group, a 1-naphthyl group, a 2-naphthyl group, a 2-methylphenyl group, a 3-methylphenyl group, 4-methylphenyl group, a 4-ethylphenyl group, a 4-propylphenyl group, a 4-isopropylphenyl group, a 4-butylphenyl group, a 4-t-butylphenyl group, a 4-hexylphenyl group, a 4-cyclohexylphenyl group, an anthryl group, a p-adamantylphenyl group, a tolyl group, a xylyl group, a cumenyl group, a mesityl group, a biphenyl group, a phenanthryl group, a 2,6-diethylphenyl group and a 2-methyl-6-ethylphenyl
- Examples of the combination include alkyl-cycloalkyl groups, cycloalkyl-alkyl groups, aralkyl groups such as a benzyl group, a 1-phenylethyl group, a 2-phenylethyl group, a 1-phenyl-1-propyl group, a 1-phenyl-2-propyl group, a 2-phenyl-2-propyl group, a 3-phenyl-1-propyl group, a 4-phenyl-1-butyl, a 5-phenyl-1-pentyl group and 6-phenyl-1-hexyl group.
- alkoxy groups include a methoxy group and an ethoxy group.
- acyl groups include an acetyl group, a propanoyl group, a benzoyl group, a cyclohexanecarbonyl group.
- acyloxy group include groups where an oxy group [—O—] is attached to any one of the acyl groups as mentioned above.
- alkoxycarbonyl group include groups where a carbonyl group [—CO—] is attached to any one of the alkoxy groups as mentioned above.
- halogen atoms include fluorine atoms, a chlorine atom, and a bromine atom.
- the compounds of formula (D) include the following ones:
- the content of quencher is preferably 0.01 to 5% by mass, more preferably 0.01 to 3% by mass, and still more preferably 0.01 to 1% by mass, based on sum of solid component.
- the photoresist compositions of the present invention may comprise, if necessary, a small amount of various additives such as a sensitizer, a dissolution inhibitor, other polymers, a surfactant, a stabilizer and a dye as long as the effect of the present invention is not prevented.
- various additives such as a sensitizer, a dissolution inhibitor, other polymers, a surfactant, a stabilizer and a dye as long as the effect of the present invention is not prevented.
- the photoresist compositions of the present invention can usually be prepared by mixing, in a solvent, Salt (I) and Resin (A), and if necessary a known acid generator, a quencher, and/or additives at a suitable ratio for the composition, optionally followed by filtrating the mixture with a filter having 0.003 ⁇ m to 0.2 ⁇ m of a pore size.
- the order of mixing these components is not limited to any specific order.
- the temperature at mixing the components is usually 10 to 40° C., which can be selected in view of the resin or the like.
- the mixing time is usually 0.5 to 24 hours, which can be selected in view of the temperature.
- the means for mixing the components is not limited to specific one.
- the components can be mixed by being stirred.
- the amounts of the components in the photoresist compositions can be adjusted by selecting the amount to be used for production of them.
- the photoresist compositions of the present invention are useful for a chemically amplified photoresist composition.
- the photoresist compositions of the present invention are useful for a chemically amplified photoresist composition.
- a photoresist pattern can be produced by the following steps (1) to (5):
- the applying of the photoresist composition on a substrate is usually conducted using a conventional apparatus such as spin coater.
- the photoresist composition is preferably filtrated with filter having a pore size of 0.01 to 0.2 ⁇ m before applying.
- the substrate include a silicon wafer or a quartz wafer on which a sensor, a circuit, a transistor or the like is formed.
- the formation of the composition film is usually conducted using a heating apparatus such as hot plate or a decompressor, and the heating temperature is usually 50 to 200° C.
- the operation pressure is usually 1 to 1.0*10 5 Pa.
- the heating time is usually 10 to 180 seconds.
- the composition film obtained is exposed to radiation using an exposure system.
- the exposure is usually conducted through a mask having a pattern corresponding to the desired photoresist pattern.
- the exposure source include a light source radiating laser light in a UV-region such as a KrF excimer laser (wavelength: 248 nm), an ArF excimer laser (wavelength: 193 nm) and a F 2 laser (wavelength: 157 nm), and a light source radiating harmonic laser light in a far UV region or a vacuum UV region by wavelength conversion of laser light from a solid laser light source (such as YAG or semiconductor laser).
- a light source radiating laser light in a UV-region such as a KrF excimer laser (wavelength: 248 nm), an ArF excimer laser (wavelength: 193 nm) and a F 2 laser (wavelength: 157 nm)
- a light source radiating harmonic laser light in a far UV region or a vacuum UV region by wavelength conversion
- the temperature of baking of the exposed composition film is usually 50 to 200° C., and preferably 70 to 150° C.
- the development of the baked composition film is usually carried out using a development apparatus.
- the development method includes dipping methods, paddle methods, spray methods and dynamic dispense method.
- the developing temperature is preferably 5 to 60° C., and the developing time is preferably 5 to 300 seconds.
- the positive and negative type photoresist patterns can be obtained by the development depending on a developer to be used therefor.
- the alkaline developer to be used may be any one of various alkaline aqueous solution used in the art. Generally, an aqueous solution of tetramethylammonium hydroxide or (2-hydroxyethyl)trimethylammonium hydroxide (commonly known as “choline”) is often used.
- the alkaline developer may comprise a surfactant.
- the photoresist film having photoresist pattern is preferably washed with ultrapure water, and the remained water on the photoresist film and the substrate is preferably removed therefrom.
- the development can be conducted with a developer containing an organic solvent, such developer is sometimes referred to as “organic developer”.
- Examples of an organic solvent for organic developer include ketone solvents such as 2-hexanone, 2-heptanone; glycolether ester solvents such as propyleneglycolmonomethylether acetate; ester solvents such as butyl acetate; glycolether solvents such as propyleneglycolmonomethylether; amide solvents such as N,N-dimethylacetamide; and aromatic hydrocarbon solvents such as anisole.
- ketone solvents such as 2-hexanone, 2-heptanone
- glycolether ester solvents such as propyleneglycolmonomethylether acetate
- ester solvents such as butyl acetate
- glycolether solvents such as propyleneglycolmonomethylether
- amide solvents such as N,N-dimethylacetamide
- aromatic hydrocarbon solvents such as anisole.
- the content of organic solvent is preferably from 90% to 100% by weight, more preferably from 95% to 100% by weight, in an organic developer.
- Preferred is that the organic developer essentially consists of an organic solvent.
- the organic developer is preferably a developer comprising butyl acetate and/or 2-heptanone.
- the total content of butyl acetate and 2-heptanone is preferably from 50% to 100% by weight, more preferably from 90% to 100% by weight.
- the organic developer essentially consists of butyl acetate and/or 2-heptanone.
- the organic developer may comprise a surfactant or a very small amount of water.
- Development with an organic developer can be stopped by replacing the developer by other solvent than it such as alcohol.
- the photoresist composition of the present invention is suitable for KrF excimer laser lithography, ArF excimer laser lithography, EUV (extreme ultraviolet) lithography, EUV immersion lithography and EB (electron beam) lithography.
- the weight-average molecular weight of any material used in the following examples is determined with gel permeation chromatography under the following condition.
- HLC-8120 GCP type manufactured by TOSOH CORPORATION
- Standard reference material Standard polystyrene (manufactured by TOSOH CORPORATION)
- the salt represented by formula (I-12-5) was produced according to the method described in JP 2008-127367A1. In a reactor, 3.87 parts of the salt represented by formula (I-12-5) and 19.41 parts of acetonitrile were fed and stirred at 30° C. for 30 minutes and then 1.71 parts of the compound represented by formula (I-2-5) were fed and stirred at 80° C. for one hour to obtain a solution containing a compound of formula (I-12-6).
- the solution was cooled to 23° C., and then a mixture of 5.17 parts of the compound represented by formula (I-12-4) and 5.17 parts of acetonitrile was added thereto and then stirred at 80° C. for 12 hours.
- the reaction mixture was concentrated.
- 40 parts of chloroform and 10 parts of ion-exchanged water were fed and stirred, followed by conducting separation.
- the washing step was conducted five times.
- the collected organic phase 1 part of active carbon was added and then they were stirred at 23° C. for 30 minutes, followed by conducting filtration.
- the collected filtrate was concentrated.
- 40 parts of tert-butylmethylether were added and stirred, followed by removing its supernatant therefrom.
- the chloroform phase was washed with 30 parts of ion-exchanged water for washing: This washing was conducted five times.
- each of the compounds are referred as to “monomer (X)” where “X” is the symbol of the formula representing the monomer.
- Resin A1 had the following structural units.
- Resin A2 had the following structural units.
- the reaction mixture was poured into a large amount of a mixture of methanol and water to cause precipitation.
- the precipitate was collected by filtration.
- reaction mixture was poured into a large amount of a mixture of methanol and water to cause precipitation.
- the precipitate was collected by filtration: This operation was conducted twice for purification.
- Resin X1 had the following structural unit.
- the reaction mixture was poured into a large amount of a mixture of methanol and water to cause precipitation.
- Resin X2 had the following structural units.
- the reaction mixture was poured into a large amount of a mixture of methanol and water to cause precipitation.
- Resin X3 had the following structural units.
- B1-5 Salt represented by formula (B1-5)
- B1-21 Salt represented by formula (B1-21)
- B1-22 Salt represented by formula (B1-22)
- B1-x The salt as shown below, produced according to Examples of JP2012-193160A1
- ⁇ Quencher> D1 The compound of the following formula, which was manufactured by Tokyo Chemical Industries, Co., Ltd.
- Silicon wafers (12 inches) were each coated with “ARC-29”, which is an organic anti-reflective coating composition available from Nissan Chemical Industries, Ltd., and then baked at 205° C. for 60 seconds, to form a 78 nm-thick organic anti-reflective coating.
- ARC-29 organic anti-reflective coating composition available from Nissan Chemical Industries, Ltd.
- Each of the photoresist compositions prepared as above was spin-coated over the anti-reflective coating so that the thickness of the resulting film became 85 nm after drying.
- the silicon wafers thus coated with the respective photoresist compositions were each prebaked on a direct hotplate at a temperature shown in the column “PB” in Table 6 for 60 seconds.
- each wafer thus formed with the respective resist film was subjected to contact hole pattern exposure using a photomask for forming a contact hole pattern having a hole pitch of 90 nm and a hole diameter of 55 nm with the exposure quantity being varied stepwise.
- Ultrapure water was used as an immersion medium.
- each wafer was subjected to post-exposure baking on a hotplate at a temperature shown in the column “PEB” in Table 6 for 60 seconds and then to development in the manner of dynamic dispense method at 23° C. for 20 seconds with butyl acetate (manufactured by Tokyo Chemical Industries, Co., Ltd) to make a photoresist pattern.
- PEB post-exposure baking
- butyl acetate manufactured by Tokyo Chemical Industries, Co., Ltd
- Effective sensitivity It was expressed as the exposure quantity that the hole diameter of the contact hole pattern became 50 nm after exposure and development.
- CD uniformity The photoresist patterns obtained with the exposure at ES using the above-mentioned photomask were observed with a scanning electron microscope.
- the hole diameter of the contact hole pattern was determined by measuring a distance between across two points on its circle, which distance corresponds to its diameter, at 24 sites of the circle, and regarding the average of the measured values as the hole diameter. Under the condition that the average diameter of four hundred holes about the patterns obtained with the exposure at ES using a photomask with a hole diameter of 70 nm was regarded to as population, the standard deviation (CDU) was calculated.
- the salt of the present invention is suitable for an acid generator and the photoresist composition comprising the salt of the present invention provides a good photoresist pattern with reduced CDU.
Landscapes
- Physics & Mathematics (AREA)
- General Physics & Mathematics (AREA)
- Chemical & Material Sciences (AREA)
- Organic Chemistry (AREA)
- Spectroscopy & Molecular Physics (AREA)
- Materials For Photolithography (AREA)
- Heterocyclic Compounds That Contain Two Or More Ring Oxygen Atoms (AREA)
- Compositions Of Macromolecular Compounds (AREA)
Abstract
-
- wherein Q1 and Q2 each independently represent a fluorine atom or a C1-C6 perfluoroalkyl group;
- Lb1 represents a C1-C24 divalent saturated hydrocarbon group or the like;
- R1, R2, R3 and R4 independently in each occurrence represent a C1-C12 aliphatic hydrocarbon group, or the like; and
- Z+ represents an organic counter ion.
Description
wherein Q1 and Q2 each independently represent a fluorine atom or a C1-C6 perfluoroalkyl group;
Lb1 represents a C1-C24 divalent saturated hydrocarbon group where a methylene group can be replaced by an oxygen atom or a carbonyl group and where a hydrogen atom can be replaced by a fluorine atom or a hydroxyl group;
R1, R2, R3 and R4 independently in each occurrence represent a C1-C12 aliphatic hydrocarbon group, R1 and R2 may be bonded each other to form a C5-C20 ring together with a carbon atom attached to R1 and R2, and R3 and R4 may be bonded each other to form a C5-C20 ring together with a carbon atom attached to R3 and R4; and
Z+ represents an organic counter ion.
[2] The salt according to [1]
wherein Lb1 is one represented by formula (b1-1):
in the formula Lb2 represents a single bond or a C1-C22 divalent saturated hydrocarbon group where a hydrogen atom can be replaced by a fluorine atom,
Lb3 represents a single bond or a C1-C22 divalent saturated hydrocarbon group where a methylene group can be replaced by an oxygen atom or a carbonyl group and where a hydrogen atom can be replaced by a fluorine atom or a hydroxyl group, provided that Lb2 and Lb3 have 22 or less of carbon atoms in total; and
* represents a binding site to the methine group.
[3] The salt according to [1] or [2]
wherein Lb1 is one represented by formula (b1-5) or formula (b1-7):
in formula (b1-5), Lb9 represents a C1-C20 divalent saturated hydrocarbon group,
Lb10 represents a single bond or a C1-C19 divalent saturated hydrocarbon group where a hydrogen atom can be replaced by a fluorine atom or a hydroxyl group, provided that Lb9 and Lb10 have 20 or less of carbon atoms in total; and
* represents a binding site to the methine group;
in formula (b1-7), Lb13 represents a C1-C19 divalent saturated hydrocarbon group,
Lb14 represents a single bond or a C1-C18 divalent saturated hydrocarbon group,
Lb15 represents a single bond or a C1-C18 divalent saturated hydrocarbon group where a hydrogen atom can be replaced by a fluorine atom or a hydroxyl group, provided that Lb13, Lb14 and Lb15 have 19 or less of carbon atoms in total; and
* represents a binding site to the methine group.
[4] The salt according to any one of [1] to [3]
wherein Lb1 is *—CO—O—
where * represents a binding site to CQ1Q2.
[5] The salt according to any one of [1] to [3]
wherein Lb1 is any one represented by the following formulae:
where * represents a binding site to the methine group.
[6] The salt according to any one of [1] to [5] wherein Z+ is an arylsulfonium cation.
[7] An acid generator which comprises the salt according to any one of [1] to [6].
[8] A photoresist composition which comprises the salt according to any one of [1] to [6] and a resin having an acid-labile group.
[9] The photoresist composition according to [8] further comprising a salt which has an acidity weaker than an acid generated from the salt according to any one of [1] to [6].
[10] A process for producing a photoresist pattern comprising the following steps (1) to (5):
In formula (I), Q1 and Q2 independently each represent a fluorine atom or a C1-C6 perfluoroalkyl group.
Examples of the C1-C6 perfluoroalkyl group represented by Q1 and Q2 include a trifluoromethyl group, a perfluoroethyl group, a perfluoropropyl group, a perfluoroisopropyl group, a perfluorobutyl group, a perfluoro-sec-butyl group, a perfluoro-tert-butyl group, a perfluoropentyl group and a perfluorohexyl group.
Q1 and Q2 independently each represent preferably a fluorine atom or a trifluoromethyl group, more preferably a fluorine atom.
Lb1 represents a C1-C24 divalent saturated hydrocarbon group where a methylene group can be replaced by an oxygen atom or a carbonyl group and where a hydrogen atom can be replaced by a fluorine atom or a hydroxyl group.
Examples of the divalent saturated hydrocarbon group include a linear alkanediyl groups, branched alkanediyl groups, monocyclic or polycyclic alicyclic saturated hydrocarbon groups, and a group formed by combining two or more of them.
Specific examples of the divalent saturated hydrocarbon group include linear alkanediyl groups such as a methylene group, an ethylene group, a propane-1,3-diyl group, a butane-1,4-diyl group, a pentane-1,5-diyl group, a hexane-1,6-diyl group, a heptane-1,7-diyl group, a octane-1,8-diyl group, a nonane-1,9-diyl group, a decane-1,10-diyl group, a undecane-1,11-diyl group, a dodecane-1,12-diyl group, a tridecane-1,13-diyl group, a tetradecane-1,14-diyl group, a pentadecane-1,15-diyl group, a hexadecane-1,16-diyl group and a heptadecane-1,17-diyl groups; branched alkanediyl groups such as an ethane-1,1-diyl group, a propane-1,1-diyl group, a propane-1,2-diyl group, a propane-2,2-diyl group, a pentane-2,4-diyl group, a 2-methyl propane-1,3-diyl group, a 2-methyl propane-1,2-diyl group, a pentane-1,4-diyl group, and a 2-methyl butane-1,4-diyl group; divalent monocyclic alicyclic saturation hydrocarbon group including cycloalkanediyl groups such as a cyclobutane-1,3-diyl group, a cyclopentane-1,3-diyl group, a cyclohexane-1,4-diyl group, and a cyclooctane-1,5-diyl group; and
divalent polycyclic saturated hydrocarbon groups such as a norbornane-1,4-diyl group, a norbornane-2,5-diyl group, an adamantane-1,5-diyl group, an adamantane-2,6-diyl group.
In these formulae, * represents a binding site to the methine group of formula (I).
In formula (b1-1), Lb2 represents a single bond or a C1-C22 divalent saturated hydrocarbon group where a hydrogen atom can be replaced by a fluorine atom;
Lb3 represents a single bond or a C1-C22 divalent saturated hydrocarbon group where a hydrogen atom may be replaced by a fluorine atom or a hydroxy group, and where a methylene group can be replaced by —O— or —CO—; provided that total carbon atoms in Lb2 and Lb3 are 22 or less.
In formula (b1-2), Lb4 represents a single bond or a C1-C22 divalent saturated hydrocarbon group where a hydrogen atom can be replaced by a fluorine atom;
Lb5 represents a single bond or a C1-C22 divalent saturated hydrocarbon group where a hydrogen atom may be replaced by a fluorine atom or a hydroxy group, and where a methylene group can be replaced by —O— or —CO—; provided that total carbon atoms in Lb4 and Lb5 are 22 or less.
In formula (b1-3), Lb6 represents a single bond or a C1-C23 divalent saturated hydrocarbon group where a hydrogen atom can be replaced by a fluorine atom or a hydroxy group;
Lb7 represents a single bond or a C1-C23 divalent saturated hydrocarbon group where a hydrogen atom may be replaced by a fluorine atom or a hydroxy group, and where a methylene group can be replaced by —O— or —CO—; provided that total carbon atoms in Lb6 and Lb7 are 23 or less and —CO— is not bonded to the oxygen atom between Lb6 and Lb7.
In formulae (b1-1) to (b1-3), the number of the carbon atoms in the divalent saturated hydrocarbon groups include that of the carbon atoms in the methylene groups which have been replaced by an oxygen atom or a carbonyl group.
Specific examples of the divalent saturated hydrocarbon groups for Lb2, Lb3, Lb4, Lb5, Lb6 and Lb7 include the same as referred to for Lb1.
Lb2 is preferably a single bond.
Lb3 is preferably a C1-C4 alkanediyl group.
Lb4 is preferably a C1-C8 divalent saturated hydrocarbon group where a hydrogen atom may be replaced by a fluorine atom.
Lb5 is preferably a single bond or a C1-C8 divalent saturated hydrocarbon group.
Lb6 is preferably a single bond or a C1-C4 divalent saturated hydrocarbon group where a hydrogen atom can be replaced by a fluorine atom.
Lb7 is preferably a single bond or a C1-C18 divalent saturated hydrocarbon group where a hydrogen atom can be replaced by a fluorine atom or a hydroxy group, and where a methylene group can be replaced by —O— or —CO—.
As Lb1, the divalent saturated hydrocarbon group where a methylene group has been replaced by —O— or —CO— is preferably one represented by formula (b1-1) or (b1-3).
Examples of one represented by formula (b1-1) include those represented by formulae (b1-4) to (b1-8):
In these formulae, * represents a binding site to the methine group of formula (I).
In formula (b1-4), Lb8 represents a single bond or a C1-C22 divalent saturated hydrocarbon group where a hydrogen atom can be replaced by a fluorine atom or a hydroxy group.
In formula (b1-5), Lb9 represents a C1-C20 divalent saturated hydrocarbon group and Lb10 represents a single bond or a C1-C19 divalent saturated hydrocarbon group where a hydrogen atom can be replaced by a fluorine atom or a hydroxy group, provided that total carbon atoms in Lb9 and Lb10 are 20 or less.
In formula (b1-6), Lb11 represents a C1-C21 divalent saturated hydrocarbon group and Lb12 represents a single bond or a C1-C20 divalent saturated hydrocarbon group where a hydrogen atom can be replaced by a fluorine atom or a hydroxy group, provided that total carbon atoms in Lb11 and Lb12 are 21 or less.
In formula (b1-7), Lb13 represents a C1-C19 divalent saturated hydrocarbon group, Lb14 represents a single bond or a C1-C18 divalent saturated hydrocarbon group and Lb15 represents a single bond or a C1-C18 divalent saturated hydrocarbon group where a hydrogen atom can be replaced by a fluorine atom or a hydroxy group, provided that total carbon atoms in Lb13, Lb14 and Lb15 are 19 or less.
In formula (b1-8), Lb16 represents a C1-C18 divalent saturated hydrocarbon group, Lb17 represents a C1-C18 divalent saturated hydrocarbon group and Lb18 represents a single bond or a C1-C17 divalent saturated hydrocarbon group where a hydrogen atom can be replaced by a fluorine atom or a hydroxy group, provided that total carbon atoms in Lb16, Lb17 and Lb18 are 19 or less.
Lb8 is preferably a C1-C4 alkanediyl group.
Lb9 is preferably a C1-C8 divalent saturated hydrocarbon group.
Lb10 is preferably a single bond or a C1-C19 divalent saturated hydrocarbon group, more preferably a single bond or a C1-C8 divalent saturated hydrocarbon group.
Lb11 is preferably a C1-C8 divalent saturated hydrocarbon group
Lb12 is preferably a single bond or a C1-C8 divalent saturated hydrocarbon group.
Lb13 is preferably a C1-C12 divalent saturated hydrocarbon group.
Lb14 is preferably a single bond or a C1-C6 divalent saturated hydrocarbon group.
Lb15 is preferably a single bond or a C1-C18 divalent saturated hydrocarbon group, more preferably a single bond or a C1-C8 divalent saturated hydrocarbon group.
Lb16 is preferably a C1-C12 divalent saturated hydrocarbon group.
Lb17 is preferably a C1-C6 divalent saturated hydrocarbon group.
Lb18 is preferably a single bond or a C1-C17 divalent saturated hydrocarbon group, more preferably a single bond or a C1-C4 divalent saturated hydrocarbon group.
Examples of the group represented by formula (b1-4) include the following ones:
In each formula, * represents a binding site to the methine group of formula (I).
Examples of the group represented by formula (b1-5) include the following ones:
In each formula, *represents a binding site to the methine group of formula (I).
Examples of the group represented by formula (b1-6) include the following ones:
In each formula, * represents a binding site to the methine group of formula (I).
Examples of the group represented by formula (b1-2) include the following ones:
In each formula, * represents a binding site to the methine group of formula (I).
Examples of one represented by formula (b1-3) include those represented by formulae (b1-9) to (b1-11):
In these formulae, * represents a binding site to the methine group of formula (I).
In formula (b1-9), Lb19 represents a single bond or a C1-C23 divalent saturated hydrocarbon group where a hydrogen atom can be replaced by a fluorine atom and Lb20 represents a single bond or a C1-C23 divalent saturated hydrocarbon group where a hydrogen atom can be replaced by a fluorine atom, a hydroxy group or an acyloxy group in which a methylene group can be replaced by an oxygen atom or a carbonyl group and in which a hydrogen atom can be replaced by a hydroxy group, provided that total carbon atoms in Lb19 and Lb20 are 23 or less.
In formula (b1-10), Lb21 represents a single bond or a C1-C21 divalent saturated hydrocarbon group where a hydrogen atom can be replaced by a fluorine atom, Lb22 represents a single bond or a C1-C21 divalent saturated hydrocarbon group and Lb23 represents a single bond or a C1-C21 divalent saturated hydrocarbon group where a hydrogen atom can be replaced by a fluorine atom, a hydroxy group or an acyloxy group in which a methylene group can be replaced by an oxygen atom or a carbonyl group and in which a hydrogen atom can be replaced by a hydroxy group, provided that total carbon atoms in Lb21, Lb22 and Lb23 are 21 or less.
In each formula, * represents a binding site to the methine group of formula (I).
Examples of the group represented by formula (b1-10) include the following ones:
In each formula, * represents a binding site to the methine group of formula (I).
Examples of the group represented by formula (b1-11) include the following ones:
In each formula, * represents a binding site to the methine group of formula (I).
Lb1 preferably represent a divalent saturated hydrocarbon group where a methylene group has been replaced by —O— or —CO—, more preferably a group represented by formula (b1-1), still more preferably —CO—O— as well as groups of formulae (b1-5) and (b1-7), specifically —CO—O—.
Examples of the monocyclic alicyclic hydrocarbon group include cycloalkyl groups such as a cyclopropyl group, a cyclobutyl group, a cyclopentyl group, a cyclohexyl group, a cycloheptyl group, a cyclooctyl group, a cycloheptyl group, a cyclodecyl group, a methylcyclohexyl group and a dimethylcyclohexyl group; and Examples of the polycyclic alicyclic hydrocarbon group include a hydronaphthyl group, an adamantyl group, and a norbornyl group. R1, R2, R3 and R4 are preferably a C1-C4 alkyl group, and a methyl group and an ethyl group.
R1 preferably represents the same group as R2.
R3 preferably represents the same group as R4.
More preferably, each of R1, R2, R3 and R4 represents the same group each other.
The ring formed by bonding R1 and R2 together with a carbon atom and the ring formed by bonding R3 and R4 together with a carbon atom may be an aromatic ring or an aliphatic ring, preferably an aliphatic ring. These rings may respectively be a monocyclic ring or a polycyclic ring. Preferred is a monocyclic ring.
As an aliphatic ring, C5-C18 aliphatic rings are preferred, and C5-C12 aliphatic hydrocarbon rings are more preferred.
Specifically, C5-C12 aliphatic hydrocarbon rings are preferred, and a cycloheptane ring, a cyclohexane ring and an adamantane ring are more preferred, a cyclohexane ring is still more preferred.
R1 and R2 preferably represent a ring formed by bonding them together with a carbon atom.
R3 and R4 preferably represent a ring formed by bonding them together with a carbon atom.
The ring formed by bonding R1 and R2 together with a carbon atom and the ring formed by bonding R3 and R4 together with a carbon atom are the same each other.
Examples of the anion for Salt (I) include the following ones:
wherein Rb19, Rb20 and Rb21 are independently in each occurrence a halogen atom (preferably a fluorine atom), a hydroxyl group, a C1-C18 aliphatic hydrocarbon group, C3-C18 alicyclic hydrocarbon group or a C1-C12 alkoxy group, and a hydrogen atom of the aliphatic hydrocarbon group can be replaced by a hydroxyl group, a C1-C12 alkoxy group or a C6-C18 aromatic hydrocarbon group, and a hydrogen atom of the saturated cyclic hydrocarbon group can be replaced by a halogen atom, a glycidyloxy group or a C2-C4 acyl group, and v2, w2 and x2 independently each represent an integer of 0 to 5.
Salt (I) consists of any one of the above-mentioned cations and any one of the above-mentioned anions.
Specific examples of Salt (I) are listed in Tables 1 to 5.
In each table, a symbol in each column represents the symbols for any one of the formulae as mentioned above.
For example, Salt (I-1) consists of the anion of formula (I-a-1) and the cation of formula (b2-c-1), as represented by the following one:
| TABLE 1 | ||||
| Salt (I) | Anion | Cation | ||
| (I-1) | (I-a-1) | (b2-c-1) | ||
| (I-2) | (I-a-2) | (b2-c-1) | ||
| (I-3) | (I-a-3) | (b2-c-1) | ||
| (I-4) | (I-a-4) | (b2-c-1) | ||
| (I-5) | (I-a-5) | (b2-c-1) | ||
| (I-6) | (I-a-6) | (b2-c-1) | ||
| (I-7) | (I-a-7) | (b2-c-1) | ||
| (I-8) | (I-a-8) | (b2-c-1) | ||
| (I-9) | (I-a-9) | (b2-c-1) | ||
| (I-10) | (I-a-10) | (b2-c-1) | ||
| (I-11) | (I-a-11) | (b2-c-1) | ||
| (I-12) | (I-a-12) | (b2-c-1) | ||
| (I-13) | (I-a-13) | (b2-c-1) | ||
| (I-14) | (I-a-14) | (b2-c-1) | ||
| (I-15) | (I-a-15) | (b2-c-1) | ||
| (I-16) | (I-a-16) | (b2-c-1) | ||
| (I-17) | (I-a-17) | (b2-c-1) | ||
| (I-18) | (I-a-18) | (b2-c-1) | ||
| (I-19) | (I-a-19) | (b2-c-1) | ||
| (I-20) | (I-a-20) | (b2-c-1) | ||
| (I-21) | (I-a-21) | (b2-c-1) | ||
| (I-22) | (I-a-22) | (b2-c-1) | ||
| (I-23) | (I-a-23) | (b2-c-1) | ||
| (I-24) | (I-a-24) | (b2-c-1) | ||
| (I-25) | (I-a-1) | (b2-c-10) | ||
| (I-26) | (I-a-2) | (b2-c-10) | ||
| (I-27) | (I-a-3) | (b2-c-10) | ||
| (I-28) | (I-a-4) | (b2-c-10) | ||
| (I-29) | (I-a-5) | (b2-c-10) | ||
| (I-30) | (I-a-6) | (b2-c-10) | ||
| (I-31) | (I-a-7) | (b2-c-10) | ||
| (I-32) | (I-a-8) | (b2-c-10) | ||
| (I-33) | (I-a-9) | (b2-c-10) | ||
| (I-34) | (I-a-10) | (b2-c-10) | ||
| (I-35) | (I-a-11) | (b2-c-10) | ||
| TABLE 2 | ||||
| Salt (I) | Anion | Cation | ||
| (I-36) | (I-a-12) | (b2-c-10) | ||
| (I-37) | (I-a-13) | (b2-c-10) | ||
| (I-38) | (I-a-14) | (b2-c-10) | ||
| (I-39) | (I-a-15) | (b2-c-10) | ||
| (I-40) | (I-a-16) | (b2-c-10) | ||
| (I-41) | (I-a-17) | (b2-c-10) | ||
| (I-42) | (I-a-18) | (b2-c-10) | ||
| (I-43) | (I-a-19) | (b2-c-10) | ||
| (I-44) | (I-a-20) | (b2-c-10) | ||
| (I-45) | (I-a-21) | (b2-c-10) | ||
| (I-46) | (I-a-22) | (b2-c-10) | ||
| (I-47) | (I-a-23) | (b2-c-10) | ||
| (I-48) | (I-a-24) | (b2-c-10) | ||
| (I-49) | (I-a-1) | (b2-c-12) | ||
| (I-50) | (I-a-2) | (b2-c-12) | ||
| (I-51) | (I-a-3) | (b2-c-12) | ||
| (I-52) | (I-a-4) | (b2-c-12) | ||
| (I-53) | (I-a-5) | (b2-c-12) | ||
| (I-54) | (I-a-6) | (b2-c-12) | ||
| (I-55) | (I-a-7) | (b2-c-12) | ||
| (I-56) | (I-a-8) | (b2-c-12) | ||
| (I-57) | (I-a-9) | (b2-c-12) | ||
| (I-58) | (I-a-10) | (b2-c-12) | ||
| (I-59) | (I-a-11) | (b2-c-12) | ||
| (I-60) | (I-a-12) | (b2-c-12) | ||
| (I-61) | (I-a-13) | (b2-c-12) | ||
| (I-62) | (I-a-14) | (b2-c-12) | ||
| (I-63) | (I-a-15) | (b2-c-12) | ||
| (I-64) | (I-a-16) | (b2-c-12) | ||
| (I-65) | (I-a-17) | (b2-c-12) | ||
| (I-66) | (I-a-18) | (b2-c-12) | ||
| (I-67) | (I-a-19) | (b2-c-12) | ||
| (I-68) | (I-a-20) | (b2-c-12) | ||
| (I-69) | (I-a-21) | (b2-c-12) | ||
| (I-70) | (I-a-22) | (b2-c-12) | ||
| TABLE 3 | ||||
| Salt (I) | Anion | Cation | ||
| (I-71) | (I-a-23) | (b2-c-12) | ||
| (I-72) | (I-a-24) | (b2-c-12) | ||
| (I-73) | (I-a-1) | (b2-c-14) | ||
| (I-74) | (I-a-2) | (b2-c-14) | ||
| (I-75) | (I-a-3) | (b2-c-14) | ||
| (I-76) | (I-a-4) | (b2-c-14) | ||
| (I-77) | (I-a-5) | (b2-c-14) | ||
| (I-78) | (I-a-6) | (b2-c-14) | ||
| (I-79) | (I-a-7) | (b2-c-14) | ||
| (I-80) | (I-a-8) | (b2-c-14) | ||
| (I-81) | (I-a-9) | (b2-c-14) | ||
| (I-82) | (I-a-10) | (b2-c-14) | ||
| (I-83) | (I-a-11) | (b2-c-14) | ||
| (I-84) | (I-a-12) | (b2-c-14) | ||
| (I-85) | (I-a-13) | (b2-c-14) | ||
| (I-86) | (I-a-14) | (b2-c-14) | ||
| (I-87) | (I-a-15) | (b2-c-14) | ||
| (I-88) | (I-a-16) | (b2-c-14) | ||
| (I-89) | (I-a-17) | (b2-c-14) | ||
| (I-90) | (I-a-18) | (b2-c-14) | ||
| (I-91) | (I-a-19) | (b2-c-14) | ||
| (I-92) | (I-a-20) | (b2-c-14) | ||
| (I-93) | (I-a-21) | (b2-c-14) | ||
| (I-94) | (I-a-22) | (b2-c-14) | ||
| (I-95) | (I-a-23) | (b2-c-14) | ||
| (I-96) | (I-a-24) | (b2-c-14) | ||
| (I-97) | (I-a-1) | (b2-c-27) | ||
| (I-98) | (I-a-2) | (b2-c-27) | ||
| (I-99) | (I-a-3) | (b2-c-27) | ||
| (I-100) | (I-a-4) | (b2-c-27) | ||
| (I-101) | (I-a-5) | (b2-c-21) | ||
| (I-102) | (I-a-6) | (b2-c-27) | ||
| (I-103) | (I-a-7) | (b2-c-27) | ||
| (I-104) | (I-a-8) | (b2-c-27) | ||
| (I-105) | (I-a-9) | (b2-c-27) | ||
| (I-106) | (I-a-10) | (b2-c-27) | ||
| (I-107) | (I-a-11) | (b2-c-27) | ||
| (I-108) | (I-a-12) | (b2-c-27) | ||
| (I-109) | (I-a-13) | (b2-c-27) | ||
| (I-110) | (I-a-14) | (b2-c-27) | ||
| (I-111) | (I-a-15) | (b2-c-27) | ||
| TABLE 4 | ||||
| Salt (I) | Anion | Cation | ||
| (I-112) | (I-a-16) | (b2-c-27) | ||
| (I-113) | (I-a-17) | (b2-c-27) | ||
| (I-114) | (I-a-18) | (b2-c-27) | ||
| (I-115) | (I-a-19) | (b2-c-27) | ||
| (I-116) | (I-a-20) | (b2-c-27) | ||
| (I-117) | (I-a-21) | (b2-c-27) | ||
| (I-118) | (I-a-22) | (b2-c-27) | ||
| (I-119) | (I-a-23) | (b2-c-27) | ||
| (I-120) | (I-a-24) | (b2-c-27) | ||
| (I-121) | (I-a-1) | (b2-c-30) | ||
| (I-122) | (I-a-2) | (b2-c-30) | ||
| (I-123) | (I-a-3) | (b2-c-30) | ||
| (I-124) | (I-a-4) | (b2-c-30) | ||
| (I-125) | (I-a-5) | (b2-c-30) | ||
| (I-126) | (I-a-6) | (b2-c-30) | ||
| (I-127) | (I-a-7) | (b2-c-30) | ||
| (I-128) | (I-a-8) | (b2-c-30) | ||
| (I-129) | (I-a-9) | (b2-c-30) | ||
| (I-130) | (I-a-10) | (b2-c-30) | ||
| (I-131) | (I-a-11) | (b2-c-30) | ||
| (I-132) | (I-a-12) | (b2-c-30) | ||
| (I-133) | (I-a-13) | (b2-c-30) | ||
| (I-134) | (I-a-14) | (b2-c-30) | ||
| (I-135) | (I-a-15) | (b2-c-30) | ||
| (I-136) | (I-a-16) | (b2-c-30) | ||
| (I-137) | (I-a-17) | (b2-c-30) | ||
| (I-138) | (I-a-18) | (b2-c-30) | ||
| (I-139) | (I-a-19) | (b2-c-30) | ||
| (I-140) | (I-a-20) | (b2-c-30) | ||
| (I-141) | (I-a-21) | (b2-c-30) | ||
| (I-142) | (I-a-22) | (b2-c-30) | ||
| (I-143) | (I-a-23) | (b2-c-30) | ||
| (I-144) | (I-a-24) | (b2-c-30) | ||
| (I-145) | (I-a-1) | (b2-c-31) | ||
| (I-146) | (I-a-2) | (b2-c-31) | ||
| (I-147) | (I-a-3) | (b2-c-31) | ||
| (I-148) | (I-a-4) | (b2-c-31) | ||
| (I-149) | (I-a-5) | (b2-c-31) | ||
| (I-150) | (I-a-6) | (b2-c-31) | ||
| (I-151) | (I-a-7) | (b2-c-31) | ||
| (I-152) | (I-a-8) | (b2-c-31) | ||
| (I-153) | (I-a-9) | (b2-c-31) | ||
| (I-154) | (I-a-10) | (b2-c-31) | ||
| (I-155) | (I-a-11) | (b2-c-31) | ||
| TABLE 5 | ||||
| Salt (I) | Anion | Cation | ||
| (I-156) | (I-a-12) | (b2-c-31) | ||
| (I-157) | (I-a-13) | (b2-c-31) | ||
| (I-158) | (I-a-14) | (b2-c-31) | ||
| (I-159) | (I-a-15) | (b2-c-31) | ||
| (I-160) | (I-a-16) | (b2-c-31) | ||
| (I-161) | (I-a-17) | (b2-c-31) | ||
| (I-162) | (I-a-18) | (b2-c-31) | ||
| (I-163) | (I-a-19) | (b2-c-31) | ||
| (I-164) | (I-a-20) | (b2-c-31) | ||
| (I-165) | (I-a-21) | (b2-c-31) | ||
| (I-166) | (I-a-22) | (b2-c-31) | ||
| (I-167) | (I-a-23) | (b2-c-31) | ||
| (I-168) | (I-a-24) | (b2-c-31) | ||
| (I-169) | (I-a-25) | (b2-c-1) | ||
| (I-170) | (I-a-25) | (b2-c-10) | ||
| (I-171) | (I-a-25) | (b2-c-12) | ||
| (I-172) | (I-a-25) | (b2-c-14) | ||
| (I-173) | (I-a-25) | (b2-c-27) | ||
| (I-174) | (I-a-25) | (b2-c-30) | ||
| (I-175) | (I-a-25) | (b2-c-31) | ||
| (I-176) | (I-a-26) | (b2-c-1) | ||
| (I-177) | (I-a-26) | (b2-c-10) | ||
| (I-178) | (I-a-26) | (b2-c-12) | ||
| (I-179) | (I-a-26) | (b2-c-14) | ||
| (I-180) | (I-a-26) | (b2-c-27) | ||
| (I-181) | (I-a-26) | (b2-c-30) | ||
| (I-182) | (I-a-26) | (b2-c-31) | ||
| (I-183) | (I-a-27) | (b2-c-1) | ||
| (I-184) | (I-a-27) | (b2-c-10) | ||
| (I-185) | (I-a-27) | (b2-c-12) | ||
| (I-186) | (I-a-27) | (b2-c-14) | ||
| (I-187) | (I-a-27) | (b2-c-27) | ||
| (I-188) | (I-a-27) | (b2-c-30) | ||
| (I-189) | (I-a-27) | (b2-c-31) | ||
| (I-190) | (I-a-28) | (b2-c-1) | ||
| (I-191) | (I-a-28) | (b2-c-10) | ||
| (I-192) | (I-a-28) | (b2-c-12) | ||
| (I-193) | (I-a-28) | (b2-c-14) | ||
| (I-194) | (I-a-28) | (b2-c-27) | ||
| (I-195) | (I-a-28) | (b2-c-30) | ||
| (I-196) | (I-a-28) | (b2-c-31) | ||
Among the salts as listed above, preferred are Salt (I-1), Salt (I-2), Salt (I-25), Salt (I-26), Salt (I-49), Salt (I-50), Salt (I-73), Salt (I-74), Salt (I-97), Salt (I-98), Salt (I-121), Salt (I-122), Salt (I-145) and Salt (I-146).
where Q1, Q2, R2, R3, R4, Lb2, Lb3 and Z+ are the same as defined above.
When Salt (I) is represented by formula (I2) which corresponds to formula (I) where Lb1 is *—CO—O— [* represents a binding site to CQ1Q2], it can be produced by reacting a salt represented by formula (I2-a) with a compound represented by formula (I2-b) in a solvent such as chloroform or tetrahydrofuran:
where Q1, Q2, R1, R2, R3, R4 and Z+ are the same as defined above.
Examples of the compound represented by formula (I1-b) include the following ones:
The salt represented by formula (I1-a) can be produced by reacting a salt represented by formula (I1-c) with a salt represented by formula (I1-d) in a solvent such as chloroform or tetrahydrofuran:
wherein Q1, Q2, Lb2 and Z+ are the same as defined above.
Examples of the compound represented by formula (I1-c) include the following ones:
The salt represented by formula (I1-c) can be produced according to a method described in US2008/044738 A1.
<Acid Generator>
wherein Q21b and Q22b independently each represent a fluorine atom or a C1-C6 perfluoroalkyl group;
L21b represents a C1-C24 divalent hydrocarbon group where a methylene group can be replaced by an oxygen atom or a carbonyl group and where a hydrogen atom can be replaced by a fluorine atom or a hydroxyl group; and
Y21 represents a methyl group or a C3-C18 alicyclic hydrocarbon group where a methylene group can be replaced by an oxygen atom, a carbonyl group or a sulfonyl group and where a hydrogen atom can be replaced by a substituent such as a fluorine atom or a hydroxyl group.
wherein Ra1, Ra2 and Ra3 independently each represent a C1-C8 alkyl group, a C3-C20 alicyclic hydrocarbon group or a group consisting of them, and Ra1 and Ra2 can be bonded each other to form a C2-C20 divalent hydrocarbon group, na represents an integer of 0 or 1, and * represents a binding site; and
a group represented by formula (2):
wherein Ra1′ and Ra2′ independently each represent a hydrogen atom or a C1-C12 hydrocarbon group, and Ra3′ represents a C1-C20 hydrocarbon group, and Ra2′ and Ra3′ can be bonded each other to form a C2-C20 divalent hydrocarbon group, and one or more —CH2— in the hydrocarbon group and the divalent hydrocarbon group can be replaced by —O—, —S— or —CO—, X represents an oxygen atom or a sulfur atom, and * represents a binding site.
In each formula, La01, La1 and La2 each independently represent —O— or *—O—(CH2)k1—CO—O— in which k1 represents an integer of 1 to 7 and * represents a binding site to —CO—,
Ra01, Ra4 and Ra5 each independently represent a hydrogen atom or a methyl group,
Ra02, Ra03, Ra04, Ra4, Ra6 and Ra7 each independently represent a C1-C8 alkyl group, a C3-C18 alicyclic hydrocarbon group, or a group formed by combining them,
m1 represents an integer of 0 to 14,
n1 represents an integer of 0 to 10, and
n1′ represents an integer of 0 to 3.
Hereinafter, the structural units represented by formulae (a1-0), (a1-1) and (a1-2) are respectively referred to as “structural unit (a1-0)”, “structural unit (a1-1)” and “structural unit (a1-2)”. Resin (A) may comprise two or more of such structural units.
La01 is preferably *—O— or *—O—(CH2)f1—CO—O— in which * represents a binding site to —CO—, and f1 represents an integer of 1 to 4, and is more preferably *—O— or *—O—CH2—CO—O—, and is especially preferably *—O—.
Ra01 is preferably a methyl group.
For Ra02, Ra03 and Ra04, examples of the alkyl group, the alicyclic hydrocarbon group and the group formed by combining them include the same as referred for Ra1, Ra2 and Ra3.
The alkyl group preferably has 1 to 6 carbon atoms.
The alicyclic hydrocarbon group preferably has 3 to 8 carbon atoms and more preferably 3 to 6 carbon atoms. The alicyclic hydrocarbon group is preferably a saturated aliphatic cyclic hydrocarbon group.
Examples of the structural unit (a1-0) further include such groups that a methyl group is replaced by a hydrogen atom in any one of formulae (a1-0-1) to (a1-0-12).
When Resin (A) comprises a structural unit (a1-0), its content is preferably 3 to 60% by mole, and more preferably 4 to 55% by mole, based on 100% by mole of all the structural units of the resin.
Examples of the monomer from which the structural unit (a1-1) is derived include the monomers described in JP2010-204646A1, and the following monomers represented by the formulae (a1-1-1) to (a1-1-8), preferably the following monomers represented by the formulae (a1-1-1) to (a1-1-4).
Examples of the monomer from which the structural unit (a1-2) is derived include 1-ethylcyclopentan-1-yl acrylate, 1-ethylcyclopentan-1-yl methacrylate, 1-ethylcyclohexan-1-yl acrylate, 1-ethylcyclohexan-1-yl methacrylate, 1-ethylcycloheptan-1-yl acrylate, 1-ethylcycloheptan-1-yl methacrylate, 1-methylcyclopentan-1-yl acrylate, 1-methylcyclopentan-1-yl methacrylate, 1-isopropylcyclopentan-1-yl acrylate and 1-isopropylcyclopentan-1-yl methacrylate, preferably the monomers represented by formulae (a1-2-1) to (a1-2-12), more preferably the monomers represented by formulae (a1-2-3), (a1-2-4), (a1-2-9) and (a1-2-10), still more preferably the monomers represented by formulae (a1-2-3) and (a1-2-9).
wherein Ra9 represents a hydrogen atom, a carboxyl group, a cyano group, a C1-C3 aliphatic hydrocarbon group which can have a hydroxyl group, or a group represented by —COORa13 group in which Ra13 represents a C1-C8 alkyl group or a C3-C20 alicyclic hydrocarbon group, and a group composed of a C1-C8 aliphatic hydrocarbon group and a C3-C20 alicyclic hydrocarbon group, and the aliphatic hydrocarbon group and the alicyclic hydrocarbon group can have a hydroxyl group, and a methylene in the alkyl group and the alicyclic hydrocarbon group can be replaced by —O— or —CO—,
Ra10, Ra11 and Ra12 each independently represent a C1-C12 alkyl group or a C3-C20 alicyclic hydrocarbon group, and Ra10 and Ra11 can be bonded each other to form a C3-C20 ring together with the carbon atom to which Ra10 and Ra11 are bonded, and the alkyl group and the alicyclic hydrocarbon group can have a hydroxyl group, and a methylene group in alkyl group and the alicyclic hydrocarbon group can be replaced by —O— or —CO—.
wherein Ra32 represents a hydrogen atom, a halogen atom, a C1-C6 alkyl group or a C1-C6 halogenated alkyl group,
Ra33 is independently in each occurrence a halogen atom, a hydroxy group, a C1-C6 alkyl group, a C1-C6 alkoxy group, a C2-C4 acyl group, a C2-C4 acyloxy group, an acryloyl group or a methacryloyl group, la represents an integer of 0 to 4,
Ra34 and Ra35 each independently represent a hydrogen atom or a C1-C12 hydrocarbon group, Ra36 represents a C1-C20 aliphatic hydrocarbon group in which a methylene group can be replaced by —O— or —S—, and Ra35 and Ra36 are bonded to each other to jointly represent a C2-C20 divalent hydrocarbon group in which a methylene group can be replaced by —O— or —S—.
Examples of halogen atom represented by Ra32 and Ra33 include a fluorine atom, a chlorine atom, and a bromine atom.
Examples of the groups represented by Ra34 and Ra35 include those as referred to for Ra1′ and Ra2′.
Examples of the groups represented by Ra36 include those as referred to for Ra3′.
Ra32 preferably represents a hydrogen atom.
Ra33 is preferably a C1-C4 alkoxy group, more preferably a methoxy group and an ethoxy group, and still more preferably a methoxy group.
The symbol “la” preferably represents 0 or 1, more preferably 1.
Ra34 preferably represents a hydrogen atom.
Ra35 is preferably a C1-C12 monovalent hydrocarbon group, more preferably a methyl group and an ethyl group.
The hydrocarbon group represented by Ra36 includes a C1-C18 alkyl group, a C3-C18 monovalent alicyclic hydrocarbon group, a C6-C18 monovalent aromatic hydrocarbon group, and any combination of them, and preferably a C1-C18 alkyl group, a C3-C18 monovalent alicyclic hydrocarbon group and a C7-C18 aralkyl group. These groups may be unsubstituted or substituted. The alkyl group and the monovalent alicyclic hydrocarbon group are preferably unsubstituted. As the substituent for the monovalent aromatic hydrocarbon group, a C6-C10 aryloxy group is preferred.
When Resin (A) comprises a structural unit represented by formula (a1-4), its content is usually 10 to 95% by mole, preferably 15 to 90% by mole and more preferably 20 to 85% by mole based on 100% by mole of all the structural units of the resin.
In formula (1-5), Ra8 represents a hydrogen atom, a halogen atom, or a C1-C6 alkyl group which may have a halogen atom,
Za1 represents a single bond or *—(CH2)h3—CO-L54- in which k1 represents an integer of 1 to 4 and * represents a binding site to L54,
L51, L52, L53 and L54 each independently represent an oxygen atom or a sulfur atom,
s1 represents an integer of 1 to 3, and s1′ represents an integer of 0 to 3.
Herein, the structural unit represented by formula (a-5) is sometimes referred to as “structural unit (a-5)”.
Examples of halogen atoms include a fluorine atom and chlorine atom, preferably a fluorine atom.
Examples of the alkyl group which may have a halogen atom include a methyl group, an ethyl group, n-propyl group, an isopropyl group, n-butyl group, sec-butyl group, tert-butyl group, a pentyl group, a hexyl group, a heptyl group, a 2-ethylhexyl group, an octyl group, a fluoromethyl group, and a trifluoromethyl group.
In the formula (a-5), Ra8 preferably represents a hydrogen atom, a methyl group, or trifluoromethyl group.
L51 represents preferably an oxygen atom.
It is preferred that one of L52 and L53 represents an oxygen atom, while the other represents a sulfur atom.
s1 preferably represents 1. s1′ represents an integer of 0 to 2.
Za1 preferably represents a single bond or *—CH2—CO—O— wherein * represents a binding site to L51.
Examples of the monomer from which the structural unit (a-5) is derived include one mentioned in JP2010-61117A1 and the following ones:
When Resin (A) comprises a structural unit (a-5), its content is usually 1 to 50% by mole, preferably 3 to 45% by mole and more preferably 5 to 40% by mole based on 100% by mole of all the structural units of the resin.
Resin (A) comprises preferably one or more of the structural units (a-0), (a-1), (a-2) and (a-5), more preferably at least one of the structural units (a-1), (a-2) and (a-5), still more preferably two or more of the structural units (a-1), (a-2) and (a-5), and further more preferably the structural units (a-1) and (a-2) or the structural units (a-1) and (a-5).
Resin (A) comprises preferably the structural unit (a-1).
The structural unit (s) is derived from a monomer having no acid-labile group.
As to the monomer having no acid-labile group, monomers which have been known to in the art can be used as such monomer, and they are not limited to any specific one provided that it has no acid-labile group.
In formula (a2-0), Ra30 represents a hydrogen atom, a halogen atom, a C1-C6 alkyl group or a C1-C6 halogenated alkyl group, Ra31 is independently in each occurrence a halogen atom, a hydroxyl group, a C1-C6 alkyl group, a C1-C6 alkoxy group, a C2-C4 acyl group, a C2-C4 acyloxy group, an acryloyl group or a methacryloyl group, ma represents an integer of 0 to 4.
Resin (A) which comprises a structural unit represented by formula (a2-0) can be produced, for example, by polymerizing a monomer where its phenolic hydroxyl group has been protected with a suitable protecting group, followed by deprotection. Examples of the protecting group for a phenolic hydroxyl group include an acetyl group.
When Resin (A) comprises the structural unit represented by formula (a2-0), its content is usually 5 to 95% by mole and preferably 10 to 85% by mole and more preferably 15 to 80% by mole based on total molar of all the structural units of the resin.
Examples of the structural unit (a2) having an alcoholic hydroxy group include one represented by formula (a2-1):
wherein Ra14 represents a hydrogen atom or a methyl group, Ra15 and Ra16 each independently represent a hydrogen atom, a methyl group or a hydroxyl group, La3 represents *—O— or *—O—(CH2)k2—CO—O— in which * represents a binding site to —CO—, and k2 represents an integer of 1 to 7, and o1 represents an integer of 0 to 10. Hereinafter, the structural unit represented by formula (a2-1) is referred to as “structural unit (a2-1)”.
As to La8 and La9, examples of the alkanediyl group include a methylene group, an ethylene group, a propane-1,3-diyl group, a butane-1,4-diyl group, a pentane-1,5-diyl group and a hexane-1,6-diyl group, a butane-1,3-diyl group, 2-methylpropane-1,3-diyl group, a 2-methylpropane-1,2-diyl group, a pentane-1,4-diyl group and a 2-methylbutane-1,4-diyl group.
The structural unit (a3) is preferably one of formulae (a3-1-1) to (a3-1-4), formulae (a3-2-1) to (a3-2-4), formulae (a3-3-1) to (a3-3-4) and formulae (a3-4-1) to (a3-4-6), more preferably one of formulae (a3-1-1), formula (a3-1-2), formulae (a3-2-3) to (a3-2-4) and formulae (a3-4-1) to (a3-4-2), and still more preferably one of formulae (a3-1-1), (a3-2-3) and (a3-4-2).
When Resin (A) comprises the structural unit (a3), its content thereof is preferably 5 to 70% by mole, and more preferably 10 to 65% by mole and more preferably 10 to 60% by mole, based on total molar of all the structural units of the resin.
Examples of another structural unit having no acid-labile group include a structural unit having a fluorine atom and a structural unit which has a hydrocarbon not being removed therefrom by action of an acid.
wherein R5 represents a hydrogen atom or a methyl group;
L4 represents a single bond or a C1-C4 aliphatic saturated hydrocarbon group, preferably a C1-C4 aliphatic saturated hydrocarbon group;
L3 represents a C1-C8 perfluoroalkanediyl group or a C3-C12 alicyclic perfluorohydrocarbon group; and
R6 represents a hydrogen atom or a fluorine atom.
Examples of the perfluoroalkanediyl group for L3 include a difluoromethylene group, a perfluoroethylene group, a (perfluoroethyl)fluorometylene group, a perfluoropropane-1,3-diyl group, a perfluoropropane-1,2-diyl group, a perfluorobutane-1,4-diyl group, a perfluoropentane-1,5-diyl group, a perfluorohexane-1,6-diyl group, a perfluoroheptane-1,7-diyl group, and a perfluorooctane-1,8-diyl group.
Examples of the alicyclic perfluorohydrocarbon group for L3 include a perfluoroadamantandiyl group.
L4 is preferably a methylene group or an ethylene group, more preferably a methylene group.
L3 is preferably a C1-C6 perfluoroalkanediyl group, more preferably a C1-C3 perfluoroalkanediyl group.
Examples of the structural unit (a4-0) include the following ones and those which a methyl group has been replaced by a hydrogen atom in each of the following formulae:
wherein Ra41 represents a hydrogen atom or a methyl group;
Aa41 represents a C1-C6 divalent alkanediyl group which may have a substituent or a moiety represented by formula (a-g1):
-Aa42 Xa41-Aa43 SXa42-Aa44- (a-g1)
in which s represents an integer of 0 to 1,
Aa42 and Aa44 respectively represent a C1-C5 divalent hydrocarbon group which may have a substituent,
Aa43 represents a single bond or a C1-C5 divalent hydrocarbon group which may have a substituent,
Xa41 and Xa42 respectively represent —O—, —CO—, —CO—O—, or —O—CO—, provided that the sum of carbon atoms of Aa42, Aa43, Aa44, Xa41 and Xa42 is 6 or less;
Ra42 represents a C1-C20 monovalent hydrocarbon group which may have a substituent, provided that each or both of Aa41 and Ra42 have a halogen atom; and
Aa44 is bonded to —O—CO—Ra42.
Examples of halogen atom for formula (a4-1) include a fluorine atom, a chlorine atom, a bromine atom and an iodine atom.
The divalent hydrocarbon group is preferably a divalent saturated hydrocarbon group while it may have a carbon-carbon double bond. Examples of the divalent saturated hydrocarbon group include alkandiyl groups which may be a linear or branched one, divalent alicyclic hydrocarbon groups, and combination of them.
Examples of the monovalent hydrocarbon group for Ra42 include monovalent chain or cyclic saturated hydrocarbon groups, a monovalent aromatic hydrocarbon group, and combination of them.
Examples of monovalent chain hydrocarbon group include a methyl group, an ethyl group, a propyl group, a butyl group, a pentyl group, a hexyl group, a heptyl group, an octyl group, a decyl group, a dodecyl group, a hexadecyl group, a pentadecyl group, a hexyldecyl group, heptadecyl group and an octadecyl group.
Examples of monovalent cyclic hydrocarbons include cycloalkyl groups such as a cyclopentyl group, a cyclohexyl group, a cycloheptyl group and a cyclooctyl group; and monovalent polycyclic hydrocarbon groups such as a decahydronaphthyl group, an adamantyl group, a norbornyl group, and the following groups where * represents a binding position.
Examples of monovalent aromatic hydrocarbon groups include a phenyl group, a naphthyl group, an anthryl group, a biphenylyl group, a phenanthryl group and a fluorenyl group.
The monovalent hydrocarbon group for Ra42 is preferably monovalent chain and cyclic hydrocarbon groups and combination of them, which may have a carbon-carbon double bond, and more preferably a monovalent chain hydrocarbon group and cyclic hydrocarbon group and combination of them.
Ra42 is preferably a monovalent aliphatic hydrocarbon group which has a substituent, more preferably a monovalent aliphatic hydrocarbon group which has a halogen atom and/or a group represented by formula (a-g3):
—Xa43-Aa45 (a-g3)
in which Xa43 represents an oxygen atom, a carbonyl group, a carbonyloxy group or an oxycarbonyl group,
Aa45 represents a C3-C17 monovalent saturated hydrocarbon group which may have a fluorine atom.
When Ra42 is a monovalent saturated hydrocarbon group which has a group represented by formula (a-g3), Ra42 has preferably 15 or less carbon atoms, more preferably 12 or less carbon atoms in total including the carbon atoms of formula (a-g3). If Ra42 has a group represented by formula (a-g3), the number of the group is preferably 1.
The monovalent saturated hydrocarbon group which has a group represented by formula (a-g3) is preferably a compound represented by formula (a4-g2):
-Aa46-Xa44-Aa47 (a-g2)
in which Aa46 represents a C3-C17 divalent saturated hydrocarbon group which may have a fluorine atom, Xa44 represents a carbonyloxy group or an oxycarbonyl group, and Aa47 represents a C3-C17 divalent saturated hydrocarbon group which may have a fluorine atom, provided that Aa46, Aa47 and Xa44 have 18 or less of carbon atoms in total and one or both of Aa46 and Aa47 have a fluorine atom.
The halogen-containing saturated hydrocarbon group represented by Ra42 is preferably a monovalent fluorine-containing saturated hydrocarbon group, more preferably a perfluoroalkyl group or a perfluorocycloalkyl group, still more preferably a C1-C6 perfluoroalkyl group, and further more preferably a C1-C3 perfluoroalkyl group.
Examples of perfluoroalkyl group include a perfluoromethyl group, a perfluoroethyl group, a perfluoropropyl group, a perfluorobutyl group, a perfluoropentyl group, a perfluorohexyl group, a perfluoroheptyl group, and a perfluorooctyl group. Examples of the perfluorocycloalkyl group include perfluorocyclohexyl group.
The divalent saturated hydrocarbon group represented by Aa46 has preferably 1 to 6, more preferably 1 to 3 carbon atoms.
The monovalent saturated hydrocarbon group represented by Aa47 has preferably 4 to 15, more preferably 5 to 12 carbon atoms. Aa47 is more preferably a cyclohexyl group or an adamantyl group.
Examples of the moiety represented by -Aa46-Xa44-Aa47 include the following ones:
In each formula, * represents a binding position to a carbonyl group.
Examples of Aa41 typically include a C1-C6 alkanediyl group which may be a linear chain or branched chain. Specific examples of them include linear chain alkanediyl groups such as a methylene group, an ethylene group, a propane-1,3-diyl group, a butane-1,4-diyl group, a pentane-1,5-diyl group, or a hexane-1,6-diyl group; and branched chain alkanediyl groups such as a propane-1,3-diyl group, a butane-1,3-diyl group, a 1-methylbutane-1,2-diyl group, or a 2-methylbutane-1,4-diyl group. Examples of the substituents which such alkanediyl group may have include a hydroxyl group or a C1-C6 alkoxy group.
Aa41 is preferably a C1-C4 alkanediyl group, more preferably a C2-C4 alkanediyl group, and still more preferably an ethylene group. Examples of the alkanediyl group represented by Aa42, Aa43 and Aa44 include a methylene group, an ethylene group, a propane-1,3-diyl group, a butane-1,4-diyl group, a 2-methylpropane-1,3-diyl group, or a 2-methylbutane-1,4-diyl group. Examples of the substituents which such alkanediyl group may have include a hydroxyl group or a C1-C6 alkoxy group.
Xa42 represents —O—, —CO—, —CO—O—, or −O−CO—.
Examples of the moiety represented by formula (a-g1) where Xa42 is an oxygen atom, a carbonyl group, a carbonyloxy group or an oxycarbonyl group include the following ones:
in which * and ** represent binding sites, and ** represents a binding site to —O—CO—Ra42.
The structural unit represented by formula (a-g1) is preferably one represented by formula (a4-2) or (a4-3).
In formula, Rf1 represents a hydrogen atom or a methyl group.
Af1 represents a C1-C6 alkanediyl group.
Rf2 represents a C1-C20, preferably C1-C10, monovalent hydrocarbon group having a fluorine atom.
The alkanediyl groups represented by Af1 may be a linear chain or branched chain. Specific examples of them include linear chain alkanediyl groups such as a methylene group, an ethylene group, a propane-1,3-diyl group, a butane-1,4-diyl group, a pentane-1,5-diyl group, or a hexane-1,6-diyl group; and branched chain alkanediyl groups such as a propane-1,3-diyl group, a butane-1,3-diyl group, a 1-methylbutane-1,2-diyl group, or a 2-methylbutane-1,4-diyl group. Examples of the substituents which such alkanediyl group may have include a hydroxyl group or a C1-C6 alkoxy group.
The monovalent hydrocarbon group represented by Rf2 includes monovalent saturated hydrocarbon groups and monovalent aromatic hydrocarbon groups. The monovalent saturated hydrocarbon groups may be a chain or cyclic saturated hydrocarbon group, or a combined group of them.
The monovalent saturated hydrocarbon groups are preferably an alkyl group or a monovalent alicyclic hydrocarbon group.
Examples of the alkyl group include a methyl group, an ethyl group, n-propyl group, isopropyl group, n-butyl group, sec-butyl group, a tert-butyl group, a pentyl group, a hexyl group and 2-ethylhexyl group.
The monovalent alicyclic hydrocarbon groups may be monocyclic or polycyclic groups. Examples of monovalent monocyclic hydrocarbon groups include a cyclopropyl group, a cyclobutyl group, a cyclopentyl group, a cyclohexyl group, a methylcyclohexyl group, a dimethylcyclohexyl group, a cycloheptyl group, a cyclooctyl group, a cycloheptyl group and a cyclodecyl group.
Examples of monovalent polycyclic hydrocarbon groups include a decahydronaphthyl group, an adamantyl group, a norbornyl group, and an isobornyl group.
Examples of the combined group of the above-mentioned hydrocarbon group include a 2-alkyladamantane-2-yl group, a 1-(adamantane-1-yl)alkane-1-yl group, and a methylnorbornyl group. Examples of monovalent hydrocarbon groups having a fluorine atom for Rf2 include monovalent fluoroalkyl groups and monovalent fluorine atom-containing alicyclic hydrocarbon groups.
Specific examples of monovalent fluoroalkyl groups include a fluoromethyl group, a trifluoromethyl group, 1,1-difluoroethyl group, 2,2-difluoroethyl group, 2,2,2-trifluoroethyl group, perfluoroethyl group, 1,1,2,2-tetrafluoropropyl group, 1,1,2,2,3,3-hexafluoropropyl group, perfluoroethylmethyl group, 1-(trifluoromethyl)-1,2,2,2-tetrafluoroethyl group, perfluoropropyl group, 1,1,2,2-tetrafluorobutyl group, 1,1,2,2,3,3-hexafluorobutyl group, 1,1,2,2,3,3,4,4-octafluorobutyl group, perfluorobutyl group, 1,1-bis(trifluoro)methyl-2,2,2-trifluoroethyl group, 2-(perfluoropropyl)ethyl group, 1,1,2,2,3,3,4,4-octafluoropentyl group, perfluoropentyl group, 1,1,2,2,3,3,4,4,5,5-decafluoropentyl group, 1,1-bis(trifluoromethyl)-2,2,3,3,3-pentafluoropropyl group, 2-(perfluorobutyl)ethyl group, 1,1,2,2,3,3,4,4,5,5-decafluorohexyl group, 1,1,2,2,3,3,4,4,5,5,6,6-dodecafluorohexyl group, a perfluoropentylmethyl group and a perfluorohexyl group. Specific examples of monovalent fluorine-containing alicyclic hydrocarbon groups include fluorocycloalkyl groups such as a perfluorocyclohexyl group and a perfluoroadamantyl group.
In formula (a4-2), Af1 is preferably a C2-C4 alkylene group, and more preferably an ethylene group.
In formula, Rf11 represents a hydrogen atom or a methyl group.
Af11 represents a C1-C6 alkanediyl group.
Af13 represents a C1-C18 divalent saturated hydrocarbon group which may have a fluorine atom.
Xf12 represents a carbonyloxy group or an oxycarbonyl group.
Af14 represents a C1-C17 divalent saturated hydrocarbon group which may have a fluorine atom, provided that one or both of Af13 and Af14 represents a fluorine-containing saturated hydrocarbon group. Examples of the alkanediyl group represented by Af11 include those as referred to for Af12.
As to Af13, the divalent saturated hydrocarbon group includes chain saturated hydrocarbon groups, cyclic saturated hydrocarbon groups and combined groups of these groups.
As to Af13, the divalent saturated hydrocarbon group which may have a fluorine atom is preferably a divalent saturated chain hydrocarbon group which may have a fluorine atom, more preferably a perfluoroalkanediyl group.
Examples of the divalent aliphatic hydrocarbon group which may have a fluorine atom include an alkandiyl group such as a methyl group, an ethylene group, a propanediyl group, a butanediyl group and pentanediyl group; and a perfluoroalkandiyl group such as a difluoromethylene group, a perfluoroethylene group, a perfluoropropanediyl group, a perfluorobutanediyl group and perfluoropentanediyl group.
The divalent cyclic hydrocarbon group which may have a fluorine atom may be a divalent monocyclic or polycyclic group.
Examples of the divalent monocyclic hydrocarbon group which may have a fluorine atom include a cyclohexanediyl group and a perfluorocyclohexanediyl group.
Examples of the divalent polycyclic hydrocarbon group which may have a fluorine atom include an adamantanediyl group, norbornanediyl group, and a perfluoroadamantanediyl group.
In the group represented by Af14, the monovalent saturated hydrocarbon group includes chain saturated hydrocarbon groups, cyclic saturated hydrocarbon groups and combined groups of these saturated hydrocarbon groups.
As to Af14, the monovalent aliphatic hydrocarbon group which may have a fluorine atom is preferably a monovalent saturated aliphatic hydrocarbon group which may have a fluorine atom, more preferably a perfluoroalkanediyl group.
Examples of the monovalent aliphatic hydrocarbon group which may have a fluorine atom include a trifluoromethyl group, a fluoromethyl group, a methyl group, a perfluoroethyl group, a 1,1,1-trifluoroethyl group, a 1,1,2,2-tetrafluoroethyl group, an ethyl group, a perfluoropropyl group, a 1,1,1,2,2-pentafluoropropyl group, propyl group, a perfluorobutyl group, 1,1,2,2,3,3,4,4-octafluorobutyl group, a butyl group, a perfluoropentyl group, 1,1,1,2,2,3,3,4,4-nonafluoropentyl group, a pentyl group, a hexyl group, a perfluorohexyl group, a heptyl group, a perfluoroheptyl group, an octyl group and a perfluorooctyl group.
The monovalent cyclic hydrocarbon group which may have a fluorine atom may be monocyclic or polycyclic monovalent group.
Examples of the monovalent monocyclic cyclic hydrocarbon group which may have a fluorine atom include a cyclopropyl group, cyclopentyl group, cyclohexyl group, and perfluorocyclohexyl group. Examples of the monovalent polycyclic hydrocarbon group which may have a fluorine atom include an adamantyl group, a norbornyl group, and a perfluoroadamantyl group.
Examples of the combined groups of the above-mentioned aliphatic hydrocarbon group include a cyclopropylmethyl group, a cyclobutylmethyl group, an adamantylmethyl group, a norbornylmethyl group and a perfluoroadamantylmethyl group.
In formula (a4-3), Af11 is preferably an ethylene group.
The divalent aliphatic hydrocarbon group represented by Af13 has preferably 6 or less, more preferably 2 to 3, of carbon atoms. The monovalent aliphatic hydrocarbon group represented by Af14 has preferably 3 to 12, more preferably 3 to 10, of carbon atoms. Af14 has preferably a C3-C12 monovalent alicyclic hydrocarbon group, more preferably a cyclopropylmethyl group, a cyclopentyl group, a cyclohexyl group, a norbornyl group or an adamantyl group.
Examples of the structural unit of formula (a4-2) include preferably those represented by formulae (a4-1-1) to (a4-1-22).
Examples of the structural unit (a4-3) include preferably those represented by formulae (a4-1′-1) to (a4-1′-22).
In formula (a4-4), wherein Rf21 represents a hydrogen atom or a methyl group;
Af21 represents —(CH2)j1—, —(CH2)j2—O—(CH2)3— or —(CH2)4—CO—O—(CH2)5 where j1, j2, j3, j4 or j5 each independently represent an integer of 1 to 6; and
Rf22 represents a C1-C10 monovalent hydrocarbon group having a fluorine atom.
For Rf22, examples of monovalent hydrocarbon group having a fluorine atom include those as referred to for Rf22.
Rf22 is preferably a C1-C10 monovalent alkyl group having a fluorine atom or a C3-C10 monovalent alicyclic hydrocarbon group having a fluorine atom, more preferably a C1-C10 monovalent alkyl group having a fluorine atom, and still more preferably a C1-C6 monovalent alkyl group having a fluorine atom.
In formula (a4-4), Af21 is preferably —(CH2)j1—, more preferably a methylene or ethylene group, and still more preferably a methylene group.
Examples of the structural unit (a4-4) include preferably the following ones:
When Resin (A) comprises the structural unit (a4), its content is preferably 1 to 20% by mole, more preferably 2 to 15% by mole and still more preferably 3 to 10% by mole based on 100% by mole of all the structural units of the resin.
Resin (A) may comprise another structural unit than those as specifically mentioned above. Examples of such another structural unit include those as known in the art.
When Resin (A) comprises such another structural unit, its content is preferably 1 to 50% by mole, more preferably 3 to 40% by mole based on 100% by mole of all the structural units of the resin.
Other examples of the structural unit having no acid-labile group include one having an acid-stable hydrocarbon group.
Herein, the term “acid-stable hydrocarbon group” means such a hydrocarbon group that is not removed from the structural unit having the group by action of an acid generated from an acid generator as described later.
The acid-stable hydrocarbon group may be a linear, branched or cyclic hydrocarbon group.
The structural unit which has a hydrocarbon not being removed therefrom by action of an acid may have a linear, branched or cyclic hydrocarbon, preferably an alicyclic hydrocarbon group.
Examples of the structural unit having an acid-stable hydrocarbon group include one represented by formula (a5-1):
where R51 represents a hydrogen atom or a methyl group;
R52 represents a C3-C18 monovalent alicyclic hydrocarbon group which may have a C1-C8 monovalent aliphatic hydrocarbon group as a substituent, provided that the alicyclic hydrocarbon group has no substituent on the carbon atom bonded to L51; and
L51 represents a single bond or a C1-C18 divalent saturated hydrocarbon group where a methylene group can be replaced by an oxygen atom or carbonyl group.
The alicyclic hydrocarbon group represented by R52 may be monocyclic or polycyclic one.
Examples of the alicyclic hydrocarbon group include a monocyclic hydrocarbon group such as a C3-C18 cycloalkyl group (e.g. a cyclopropyl group, a cyclobutyl group, a cyclopentyl group, a cyclohexyl group) and a polycyclic alicyclic hydrocarbon group such as an adamantyl group, or a norbornyl group.
Examples of the aliphatic hydrocarbon group include an alkyl groups such as a methyl group, an ethyl group, n-propyl group, isopropyl group, n-butyl group, sec-butyl group, tert-butyl group, a pentyl group, a hexyl group, an octyl group and 2-ethylhexyl group.
Examples of the alicyclic hydrocarbon group having a substituent include a 3-hydroxyadamantyl group, and a 3-methyladamantyl group. R52 is preferably a C3-C18 unsubstituted alicyclic hydrocarbon group, more preferably an adamantyl group, a norbornyl group or a cyclohexyl group.
Examples of the divalent saturated hydrocarbon group represented by L51 include divalent aliphatic hydrocarbon groups and divalent alicyclic hydrocarbon groups, preferably divalent aliphatic hydrocarbon groups.
Examples of divalent aliphatic hydrocarbon groups include alkanediyl groups such as a methylene group, an ethylene group, a propanediyl group, a butanediyl group and a pentanediyl group.
The divalent alicyclic hydrocarbon groups may be monocyclic or polycyclic one.
Examples of divalent monocyclic hydrocarbon groups include cycloalkanediyl groups such as a cyclopentanediyl group and a cyclohexanediyl group. Examples of divalent polycyclic alicyclic hydrocarbon groups include an adamantanediyl group and a norbornanediyl group.
Examples of the divalent hydrocarbon group where a methylene group has been replaced by an oxygen atom or carbonyl group include those represented by formulae (L1-1) to (L1-4).
In these formulae, * represents a binding position to an oxygen atom.
Xx1 is a carbonyloxy group or an oxycarbonyl group; and
Lx1 is a C1-C16 divalent saturated hydrocarbon group, and Lx2 is a single bond or a C1-C15 divalent aliphatic saturated hydrocarbon group, provided that the total number of the carbon atoms in Lx1 and Lx2 is 16 or less.
Lx3 is a C1-C17 divalent saturated hydrocarbon group, and Lx4 is a single bond or a C1-C16 divalent aliphatic saturated hydrocarbon group, provided that the total number of the carbon atoms in Lx3 and Lx4 is 17 or less.
Lx5 is a C1-C15 divalent saturated hydrocarbon group, and Lx6 and Lx7 is a single bond or a C1-C14 divalent aliphatic saturated hydrocarbon group, provided that the total number of the carbon atoms in Lx5, Lx6 and Lx7 is 15 or less.
Lx8 and Lx9 are each independently a single bond or a C1-C12 divalent aliphatic saturated hydrocarbon group, and Wx1 is a C3-C15 divalent cyclic saturated hydrocarbon group, provided that the total number of the carbon atoms in Lx8, Lx9 and Wx1 is 15 or less.
Lx1 is preferably a C1-C8 divalent saturated hydrocarbon group, more preferably a methylene group or an ethylene group.
Lx2 is preferably a single bond, or a C1-C8 divalent saturated hydrocarbon group, more preferably a single bond.
Lx3 is preferably a C1-C8 divalent saturated hydrocarbon group, more preferably a methylene group or an ethylene group.
Lx4 is preferably a single bond or a C1-C8 divalent saturated hydrocarbon group, more preferably a single bond, a methylene group or an ethylene group.
Lx5 is preferably a C1-C8 divalent saturated hydrocarbon group, more preferably a methylene group or an ethylene group.
Lx6 is preferably a single bond or a C1-C8 divalent saturated hydrocarbon group, more preferably a methylene group or an ethylene group.
Lx7 is preferably a single bond or a C1-C8 divalent saturated hydrocarbon group, more preferably a methylene group or an ethylene group.
Lx8 is preferably a single bond or a C1-C8 divalent saturated hydrocarbon group, more preferably a single bond or a methylene group.
Lx9 is preferably a single bond or a C1-C8 divalent saturated hydrocarbon group, more preferably a single bond or a methylene group.
Wx1 is a preferably C3-C10 divalent cyclic saturated hydrocarbon group, more preferably a cyclohexanediyl group or an adamantanediyl group.
Examples of the divalent hydrocarbon group represented by formula (L1-1) include the following ones:
In these formulae, * represents a binding position to an oxygen atom.
Examples of the divalent hydrocarbon group represented by formula (L1-2) include the following ones:
In these formulae, * represents a binding position to an oxygen atom.
Examples of the divalent hydrocarbon group represented by formula (L1-3) include the following ones:
In these formulae, * represents a binding position to an oxygen atom.
Examples of the divalent hydrocarbon group represented by formula (L1-4) include the following ones:
In these formulae, * represents a binding position to an oxygen atom.
L51 is preferably a single bond or a group represented by formula (L1-1).
Examples of the structural unit represented by formula (a5-1) include the following ones and those where a methyl group has been replaced by a hydrogen atom in each formula.
In formula (D), RD1 and RD2 respectively represent a C1-C12 monovalent hydrocarbon group, a C1-C6 alkoxy group, a C2-C7 acyl group, a C2-C7 acyloxy group, a C2-C7 alkoxycarbonyl group, a nitro group or a halogen atom.
The symbols m′ and n′ each independently represent an integer of 0 to 4.
The hydrocarbon group represented by RD1 and RD2 includes a C1-C12 alkyl group, a C3-C12 monovalent alicyclic hydrocarbon group, a C6-C12 monovalent aromatic hydrocarbon group, and any combination of them.
Examples of the monovalent hydrocarbon group include alkyl groups such as a methyl group, an ethyl group, n-propyl group, an isopropyl group, n-butyl group, sec-butyl group, tert-butyl group, a pentyl group, a hexyl group, a heptyl group, an octyl group, a nonyl group. Examples of the alicyclic hydrocarbon group, which may be a monocyclic or polycyclic one, include cycloalkyl groups such as a cyclopropyl group, a cyclobutyl group, a cyclopentyl group, a cyclohexyl group, a cycloheptyl group, a cyclooctyl group, a cycloheptyl group, a cyclodecyl group, and norbonyl group and adamantyl group. Examples of the aromatic hydrocarbon group include an aryl group such as a phenyl group, a 1-naphthyl group, a 2-naphthyl group, a 2-methylphenyl group, a 3-methylphenyl group, 4-methylphenyl group, a 4-ethylphenyl group, a 4-propylphenyl group, a 4-isopropylphenyl group, a 4-butylphenyl group, a 4-t-butylphenyl group, a 4-hexylphenyl group, a 4-cyclohexylphenyl group, an anthryl group, a p-adamantylphenyl group, a tolyl group, a xylyl group, a cumenyl group, a mesityl group, a biphenyl group, a phenanthryl group, a 2,6-diethylphenyl group and a 2-methyl-6-ethylphenyl group. Examples of the combination include alkyl-cycloalkyl groups, cycloalkyl-alkyl groups, aralkyl groups such as a benzyl group, a 1-phenylethyl group, a 2-phenylethyl group, a 1-phenyl-1-propyl group, a 1-phenyl-2-propyl group, a 2-phenyl-2-propyl group, a 3-phenyl-1-propyl group, a 4-phenyl-1-butyl, a 5-phenyl-1-pentyl group and 6-phenyl-1-hexyl group.
Examples of alkoxy groups include a methoxy group and an ethoxy group.
Examples of acyl groups include an acetyl group, a propanoyl group, a benzoyl group, a cyclohexanecarbonyl group.
Examples of acyloxy group include groups where an oxy group [—O—] is attached to any one of the acyl groups as mentioned above. Examples of alkoxycarbonyl group include groups where a carbonyl group [—CO—] is attached to any one of the alkoxy groups as mentioned above.
Examples of halogen atoms include fluorine atoms, a chlorine atom, and a bromine atom.
Examples of the compounds of formula (D) include the following ones:
To a reactor, 5 parts of the salt represented by formula (I-1-1), 8.56 parts of the compound represented by formula (I-1-2) and 25 parts of dimethylformamide were added and then they were stirred at 23° C. for 30 minutes.
To the resultant mixture, 0.63 parts of p-toluenesulfonic acid was added and then stirred at 23° C. for 3 hours.
To the obtained reaction mixture, 200 parts of ethyl acetate was added and 25 parts of 10% aqueous potassium carbonate solution was fed thereinto, followed by stirring at 23° C. for 30 minutes. Then the mixture was set still and separated into an organic phase. To the organic phase, 50 parts of ion-exchanged water were fed, stirred at 23° C. for 30 minutes and sat still, followed by separating into an organic phase therefrom for washing: The washing step was conducted three times.
The separated organic phase was concentrated to obtain 5.66 parts of the compound represented by formula (I-1-3).
To the obtained compound, 5 parts of the compound represented by formula (I-1-4) and 25 parts of chloroform were added and then stirred at 23° C. for 30 minutes. To the reaction mixture, 2.03 parts of the compound represented by formula (I-1-5) was added thereto was added and then heated to 60° C. and then stirred at 60° C. for an hour to obtain a solution which contained the compound represented by formula (I-1-6).
To the obtained solution, 3.97 parts of the compound represented by formula (I-1-3) were added and then stirred at 50° C. for 4 hours. To the obtained reaction mixture, 110 parts of chloroform and 55 parts of ion-exchanged water were added and then stirred at 23° C. for 30 minutes, followed by separating into an organic phase. To the obtained organic phase, 55 parts of ion-exchanged water were added and then stirred at 23° C. for 30 minutes, followed by separating into an organic phase for washing: The washing step was conducted 6 times.
The collected organic phase, 1 part of active carbon was added and then they were stirred, followed by conducting filtration. The collected filtrate was concentrated. To the obtained residue, 5.77 parts of acetonitrile was added and then 70 parts of tert-butylmethylether were added and stirred at 23° C. for 30 minutes, followed by removing its supernatant therefrom. Then the residue was concentrated to obtain 4.59 parts of the salt represented by formula (I-1).
MS (ESI(+) Spectrum): M+ 263.1
MS (ESI(−) Spectrum): M− 389.1
To a reactor, 50 parts of the salt represented by formula (I-2-1), 118.48 parts of the compound represented by formula (1-2-2) and 158 parts of methanol were added and then they were stirred at 23° C. for 30 minutes.
To the resultant mixture, 6.25 parts of p-toluenesulfonic acid were added and then stirred at 23° C. for 3 hours.
To the obtained reaction mixture, 1500 parts of ethyl acetate were added and 250 parts of 10% aqueous potassium carbonate solution was fed thereinto, followed by stirring at 23° C. for 30 minutes. Then the mixture was set still and separated into an organic phase. To the organic phase, 500 parts of ion-exchanged water were fed, stirred at 23° C. for 30 minutes and sat still, followed by separating into an organic phase therefrom for washing: The washing step was conducted three times.
The separated organic phase was concentrated to obtain 69.35 parts of the compound represented by formula (I-2-3).
To the obtained compound, 5 parts of the compound represented by formula (I-2-4) and 25 parts of chloroform were added and then stirred at 23° C. for 30 minutes. To the obtained mixture, 2.03 parts of the compound represented by formula (I-2-5) was added thereto was added and then heated to 60° C. and then stirred at 60° C. for an hour to obtain a solution which contained the salt represented by formula (I-2-6).
To the obtained solution, 5.34 parts of the compound represented by formula (I-2-3) were added and then stirred at 50° C. for 8 hours. To the obtained reaction mixture, 75 parts of chloroform and 37.5 parts of ion-exchanged water were added and then stirred at 23° C. for 30 minutes, followed by separating into an organic phase. To the obtained organic phase, 37.5 parts of ion-exchanged water were added and then stirred at 23° C. for 30 minutes, followed by separating into an organic phase for washing: The washing step was conducted 6 times.
The collected organic phase, 1 part of active carbon was added and then they were stirred, followed by conducting filtration. The collected filtrate was concentrated. To the obtained residue, 2.95 parts of acetonitrile was added and then 35 parts of tert-butylmethylether were added and stirred at 23° C. for 30 minutes, followed by removing its supernatant therefrom. Then the residue was concentrated to obtain 3.5 parts of the salt represented by formula (I-2).
MS (ESI(+) Spectrum): M+ 263.1
MS (ESI(−) Spectrum): M− 469.1
In a reactor, 30.00 parts of the salt represented by formula (I-174-2) which had been produced according to the method described in JP 2008-209917A1, 35.50 parts of the salt represented by formula (I-174-1), 100 parts of chloroform and 50 parts of ion-exchanged water were fed and stirred at 23° C. for 15 hours. From the obtained reaction mixture which had two phases, a chloroform phase was collected with separation.
The chloroform phase was washed with ion-exchanged water five times. The washed chloroform phase was concentrated. To the obtained residue, 100 parts of tert-butylmethylether were added and then stirred at 23° C. for 30 minutes, followed by being filtrated to obtain 48.57 parts of the salt represented by formula (I-174-3).
Into a reactor, 14.66 parts of the salt represented by formula (I-174-3) and 60 parts of acetonitrile were fed and then they were stirred at 23° C. for 30 minutes.
To the resultant mixture, 3.4 parts of the compound represented by formula (I-2-5) were added and then stirred at 60° C. for 1 hour. The obtained mixture was filtrated and then the filtrates were concentrated.
To the concentrates, 30 parts of chloroform and 15 parts of ion-exchanged water were added and then stirred at 23° C. for 30 minutes. Then the organic phase was collected by separation.
To the organic layer, 15 parts of ion-exchanged water were added and then stirred at 23° C. for 30 minutes, followed by collecting an organic phase by separation: This washing step was further conducted three times.
The collected organic phase, 1 part of active carbon was added and then they were stirred at 23° C. for 30 minutes, followed by conducting filtration. The collected filtrate was concentrated. To the obtained residue, 200 parts of tert-butylmethylether were added and stirred, followed by being filtrated to obtain 16.24 parts of the salt represented by formula (I-174-4).
To an reactor, 8.27 parts of the salt represented by formula (I-174-4) and 30 parts of acetonitrile were fed and then stirred at 23° C. for 30 minutes.
To the reaction mixture, 3.12 parts of the compound represented by formula (I-2-3) was added thereto was added and then stirred at 60° C. for 12 hours. Then the obtained reaction mixture was concentrated.
To the obtained concentrates, 60 parts of chloroform and 30 parts of 2% aqueous oxalic acid solution were added and then stirred at 23° C. for 30 minutes, followed by separating into an organic phase therefrom.
Then to the organic layer, 30 parts of ion-exchanged water was added and stirred at 23° C. for 30 minutes for washing, followed by separating into an organic phase therefrom: This washing step was conducted further five times.
After washing, 0.85 part of active carbon were added and then they were stirred at 23° C. for 30 minutes, followed by conducting filtration. The collected filtrate was concentrated.
To the obtained residue, 30 parts of ethyl acetate were added and stirred, followed by removed its supernatant therefrom. The residue was concentrated. Then 20 parts of tert-butylmethylether were added to the concentrates and stirred, followed by removing its supernatant therefrom. The residue was concentrated.
The obtained concentrates were dissolved in acetonitrile and then concentrated to obtain 9.48 parts of the salt represented by formula (I-174).
MS (ESI(+) Spectrum): M+ 393.1
MS (ESI(−) Spectrum): M+ 677.2
To a reactor, 2.92 parts of the salt represented by formula (I-174), 0.28 parts of the compound represented by formula (I-173-a) and 250 parts of monochlorobenzene were added, and then they were stirred at 23° C. for 30 minutes.
To the obtained mixture, 0.02 parts of copper (II) dibenzoic acid were added and then stirred at 100° C. for an hour.
The reaction mixture was concentrated. To the obtained concentrates, 20 parts of chloroform and 5 parts of ion-exchanged water were added and then stirred at 23° C. for 30 minutes, followed by separating into an organic phase therefrom.
To the organic layer, 5 parts of ion-exchanged water were added and then stirred at 23° C. for 30 minutes, followed by separating into an organic phase therefrom: This washing was conducted five times. Then the organic layer was concentrated.
To the obtained residue, 10 parts of tert-butylmethylether were added and stirred, followed by removing its supernatant therefrom. The obtained residues were concentrated. The obtained concentrates were dissolved in acetonitrile and then concentrated to obtain 1.68 parts of the salt represented by formula (I-173).
MS (ESI(+) Spectrum): M+ 237.1
MS (ESI(−) Spectrum): M− 677.2
To a reactor, 6 parts of the compound represented by formula (I-12-1) and 30 parts of chloroform were added and then they were stirred at 23° C. for 30 minutes, and then 5.51 parts of the compound represented by formula (I-2-5) were added thereto, followed by being stirred at 60° C. for one hour to obtain a solution containing a compound represented by formula (I-12-2).
The obtained mixture was cooled to 23° C., a mixture of 8.68 parts of the compound represented by formula (I-2-3) and 8.68 parts of chloroform were dropped thereto over 30 minutes, and then stirred at 23° C. for 12 hours.
To the obtained reaction mixture, 15 parts of ion-exchanged water were fed and stirred, followed by separating into an organic phase therefrom for washing: The washing step was conducted three times. The separated organic phase was filtrated and the filtrates were concentrated to obtain 8.98 parts of the compound represented by formula (I-12-3).
To a reactor, 7.92 parts of the compound represented by formula (I-12-3) and 30 parts of acetonitrile were added and then stirred at 23° C. for 30 minutes.
The obtained mixture was cooled to 0° C., and then a mixture of 0.31 parts of sodium borohydride and 3.07 parts of ion-exchanged water were dropped over 10 minutes and then stirred at 0° C. for 2 hours, followed by being concentrated.
To the reaction mixture, 8.11 parts of 1N hydrogen chloride were fed and then stirred at 23° C. for 30 minutes, followed by being concentrated.
The obtained concentrates, 50 parts of chloroform and 12.5 parts of ion-exchanged water were added, followed by being stirred and separated: This washing step was conducted three times.
The separated organic phase was filtrated and the filtrates were concentrated. To the concentrates, 40 parts of N-heptane were added and stirred, followed by removing its supernatant therefrom.
The obtained residues were dissolved in chloroform and then concentrated to obtain 5.27 parts of the compound represented by formula (I-12-4).
The salt represented by formula (I-12-5) was produced according to the method described in JP 2008-127367A1.
In a reactor, 3.87 parts of the salt represented by formula (I-12-5) and 19.41 parts of acetonitrile were fed and stirred at 30° C. for 30 minutes and then 1.71 parts of the compound represented by formula (I-2-5) were fed and stirred at 80° C. for one hour to obtain a solution containing a compound of formula (I-12-6).
The solution was cooled to 23° C., and then a mixture of 5.17 parts of the compound represented by formula (I-12-4) and 5.17 parts of acetonitrile was added thereto and then stirred at 80° C. for 12 hours.
The reaction mixture was concentrated. Then to the obtained concentrates, 40 parts of chloroform and 10 parts of ion-exchanged water were fed and stirred, followed by conducting separation. The washing step was conducted five times.
The collected organic phase, 1 part of active carbon was added and then they were stirred at 23° C. for 30 minutes, followed by conducting filtration. The collected filtrate was concentrated. To the obtained residue, 40 parts of tert-butylmethylether were added and stirred, followed by removing its supernatant therefrom. Then the residue was dissolved in acetonitrile and concentrated. Then to the obtained concentrates, 2 parts of acetonitrile and 30 parts of tert-butylmethylether were added and stirred, followed by removing its supernatant therefrom.
Then the residue was dissolved in chloroform and concentrated to obtain 3.68 parts of the salt represented by formula (I-12).
MS (ESI(+) Spectrum): M+ 263.1
MS (ESI(−) Spectrum): M− 647.2
To the washed chloroform layer, 3.88 parts of active carbon was added and then they were stirred, followed by conducting filtration. The collected filtrate was concentrated. To the obtained residue, 125.87 parts of acetonitrile was added and stirred, followed by being concentrated.
To the obtained residue, 20.62 parts of acetonitrile and 309.30 parts of tert-butylmethylether were added and stirred at 23° C. for 30 minutes, followed by removing its supernatant therefrom. Then To the residue, 200 parts of n-heptane was added and stirred at 23° C. for 30 minutes, followed by being filtrated to obtain 61.54 parts of the salt represented by formula (B1-5).
MS (ESI(+) Spectrum): M+ 375.2
MS (ESI(−) Spectrum): M− 339.1
Into a reactor, 20.00 parts of the salt represented by formula (B1-21-c), 2.84 parts of the compound represented by formula (B1-21-d) and 250 parts of monochlorobenzene were fed and then they were stirred at 23° C. for 30 minutes.
To the resultant mixture, 0.21 part of copper (II) dibenzoate was added. The resultant mixture was stirred at 100° C. for 1 hour. The mixture was concentrated, and then 200 parts of chloroform and 50 parts of ion-exchanged water were added to the obtained residue, followed by being stirred at 23° C. for 30 minutes. Then the organic phase was collected by separation. The organic layer was washed with 50 parts of ion-exchanged water and then they were stirred at 23° C. for 30 minutes, followed by collecting an organic phase by separation: This washing was conducted five times.
The washed organic layer was concentrated. To the residue, 53.51 parts of acetonitrile was added, and the resultant mixture was concentrated. To the residue, 113.05 parts of tert-butylmethylether was added and then they were stirred, followed by being filtrated to obtain 10.47 parts of the salt represented by formula (B1-21).
MS (ESI(+) Spectrum): M+ 237.1
MS (ESI(−) Spectrum): M− 339.1
Into a reactor, 11.26 parts of the salt represented by formula (B1-22-a), 10.00 parts of the compound represented by formula (B1-22-b), 50 parts of chloroform and 25 parts of ion-exchanged water was fed and then they were stirred at 23° C. for 15 hours. From the obtained reaction mixture which had two phases, a chloroform phase was collected with separation.
The chloroform phase was washed with 15 parts of ion-exchanged water for washing: This washing was conducted five times.
The washed chloroform phase was concentrated. To the obtained residue, 50 parts of tert-butylmethylether was added and then stirred at 23° C. for 30 minutes, followed by being filtrated to obtain 11.75 parts of the salt represented by formula (B1-22-c).
Into a reactor, 11.71 parts of the salt represented by formula (B1-22-c), 1.70 parts of the compound represented by formula (B1-22-d) and 46.84 parts of monochlorobenzene were fed and then they were stirred at 23° C. for 30 minutes.
To the resultant mixture, 0.12 part of copper (II) dibenzoate was added. The resultant mixture was stirred at 100° C. for 30 minutes. The mixture was concentrated, and then 50 parts of chloroform and 12.50 parts of ion-exchanged water were added to the obtained residue, followed by being stirred at 23° C. for 30 minutes. Then the organic phase was collected by separation. The organic layer was washed with 12.50 parts of ion-exchanged water and then they were stirred at 23° C. for 30 minutes, followed by collecting an organic phase by separation: This washing was conducted eight times. The washed organic layer was concentrated. To the residue, 50 parts of tert-butylmethylether was added, followed by being filtrated to obtain 6.84 parts of the salt represented by formula (B1-22).
MS (ESI(+) Spectrum): M+ 237.1
MS (ESI(−) Spectrum): M− 323.0
Here, each of the compounds are referred as to “monomer (X)” where “X” is the symbol of the formula representing the monomer.
As a result, a resin having a weight-average molecular weight of about 7.6×103 was obtained in yield of 68%. This resin is called as Resin A1. Resin A1 had the following structural units.
Then the filtrates were dissolved in propyleneglycolmonomethylether acetate and poured the resultant solution into a large amount of a mixture of methanol and water to cause precipitation, followed by being filtrated: This operation was conducted twice for purification.
As a result, a resin having a weight-average molecular weight of about 9.1×103 was obtained in yield of 66%. This resin is called as resin A2. Resin A2 had the following structural units.
| TABLE 6 | |||||
| Resin | Acid | Salt (I) | Quencher | ||
| (kind/ | generator | (kind/ | (kind/ | ||
| Comp. | amount | (kind/amount | amount | amount | PB (° C.)/ |
| No. | (part)) | (part)) | (part)) | (part)) | PEB (° C.) |
| Comp. 1 | A1/10 | B1-21/0.40 | I-1/0.2 | D1/0.28 | 90/85 |
| X1/0.7 | B1-22/0.40 | ||||
| Comp. 2 | A1/10 | B1-5/0.20 | I-1/0.2 | D1/0.28 | 90/85 |
| X1/0.7 | B1-22/0.40 | ||||
| Comp. 3 | A1/10 | B1-21/0.40 | I-2/0.2 | D1/0.28 | 90/85 |
| X1/0.7 | B1-22/0.40 | ||||
| Comp. 4 | A1/10 | B1-5/0.20 | I-2/0.2 | D1/0.28 | 90/85 |
| X1/0.7 | B1-22/0.40 | ||||
| Comp. 5 | A2/10 | B1-21/0.40 | I-2/0.2 | D1/0,28 | 90/85 |
| X1/0.7 | B1-22/0.40 | ||||
| Comp. 6 | A2/10 | None | I-2/0.6 | D1/0.28 | 105/100 |
| Comp. 7 | A1/10 | B1-21/0.40 | I-2/0.2 | D1/0.28 | 90/85 |
| X2/0.7 | B1-22/0.40 | ||||
| Comp. 8 | A1/10 | B1-21/0.40 | I-2/0.2 | D1/0.28 | 90/85 |
| X3/0.7 | B1-22/0.40 | ||||
| Comp. 9 | A1/10 | B1-21/0.40 | I-174/0.2 | D1/0.28 | 90/85 |
| X3/0.7 | B1-22/0.40 | ||||
| Comp. 10 | A1/10 | B1-21/0.40 | I-173/0.4 | D1/0.28 | 90/85 |
| X3/0.7 | B1-22/0,40 | ||||
| Comp. 11 | A1/10 | B1-21/0.40 | I-12/0.2 | D1/0.28 | 90/85 |
| X3/0.7 | B1-22/0.40 | ||||
| Compar. | A2/10 | B1-X/0.60 | None | D1/0.28 | 105/100 |
| Comp. 1 | |||||
In Table 6, each of symbols represents the following component:
<Resin>
A1: Resin A1, A2: Resin A2, X1: Resin X1, X2: Resin X2, X3: Resin X3
<Salt (I)>
I-1: Salt represented by formula (I-1)
<Acid Generator>
B1-5: Salt represented by formula (B1-5)
B1-21: Salt represented by formula (B1-21)
B1-22: Salt represented by formula (B1-22)
B1-x: The salt as shown below, produced according to Examples of JP2012-193160A1
<Quencher>
D1: The compound of the following formula, which was manufactured by Tokyo Chemical Industries, Co., Ltd.
| propyleneglycolmonomethylether acetate | 265 | parts | ||
| propyleneglycolmonomethylether | 20 | parts | ||
| 2-heptanone | 20 | parts | ||
| γ-butyrolactone | 3.5 | parts | ||
<Evaluation>
| TABLE 7 | |||
| Ex. No. | Composition | CDU | |
| Ex. 6 | Comp. 1 | ∘ (1.84) | |
| Ex. 7 | Comp. 2 | ∘ (1.86) | |
| Ex. 8 | Comp. 3 | ∘ (1.79) | |
| Ex. 9 | Comp. 4 | ∘ (1.82) | |
| Ex. 10 | Comp. 5 | ∘ (1.98) | |
| Ex. 11 | Comp. 6 | ∘ (2.01) | |
| Ex. 12 | Comp. 7 | ∘ (1.78) | |
| Ex. 13 | Comp. 8 | ∘ (1.77) | |
| Ex. 14 | Comp. 9 | ∘ (1.89) | |
| Ex. 15 | Comp. 10 | ∘ (1.71) | |
| Ex. 16 | Comp. 11 | ∘ (1.75) | |
| Comp. Ex. 1 | Compar. Comp. 1 | x (2.28) | |
Claims (10)
Applications Claiming Priority (2)
| Application Number | Priority Date | Filing Date | Title |
|---|---|---|---|
| JP2013-257742 | 2013-12-13 | ||
| JP2013257742 | 2013-12-13 |
Publications (2)
| Publication Number | Publication Date |
|---|---|
| US20150168828A1 US20150168828A1 (en) | 2015-06-18 |
| US9229321B2 true US9229321B2 (en) | 2016-01-05 |
Family
ID=53368267
Family Applications (1)
| Application Number | Title | Priority Date | Filing Date |
|---|---|---|---|
| US14/565,538 Active US9229321B2 (en) | 2013-12-13 | 2014-12-10 | Salt and photoresist composition comprising the same |
Country Status (4)
| Country | Link |
|---|---|
| US (1) | US9229321B2 (en) |
| JP (1) | JP6432327B2 (en) |
| KR (1) | KR102231604B1 (en) |
| TW (1) | TWI632129B (en) |
Cited By (1)
| Publication number | Priority date | Publication date | Assignee | Title |
|---|---|---|---|---|
| US10670963B2 (en) * | 2017-03-08 | 2020-06-02 | Sumitomo Chemical Company, Limited | Salt and photoresist composition containing the same |
Families Citing this family (10)
| Publication number | Priority date | Publication date | Assignee | Title |
|---|---|---|---|---|
| TWI738775B (en) * | 2016-05-13 | 2021-09-11 | 日商住友化學股份有限公司 | Photoresist composition and method for producing photoresist pattern |
| JP6922509B2 (en) * | 2016-07-29 | 2021-08-18 | 住友化学株式会社 | Method for producing salt, acid generator, resist composition and resist pattern |
| JP7056024B2 (en) * | 2016-07-29 | 2022-04-19 | 住友化学株式会社 | Methods for Producing Compounds, Resins, Resist Compositions and Resist Patterns |
| JP7124340B2 (en) * | 2017-03-09 | 2022-08-24 | 住友化学株式会社 | Salt, acid generator, resist composition and method for producing resist pattern |
| JP7091760B2 (en) * | 2017-05-24 | 2022-06-28 | 住友化学株式会社 | Method for producing salt, acid generator, resist composition and resist pattern |
| JP7344727B2 (en) * | 2018-09-26 | 2023-09-14 | 住友化学株式会社 | Salt, acid generator, resist composition, and method for producing resist pattern |
| CN111689941A (en) * | 2020-06-16 | 2020-09-22 | 徐州博康信息化学品有限公司 | Trifluoro sulfonamide 1, 4-dioxospiro [4,5] decane photoresist resin monomer and preparation method thereof |
| CN113173873A (en) * | 2021-03-18 | 2021-07-27 | 河北凯诺中星科技有限公司 | Preparation method of triphenylsulfur perfluorobutane sulfonate sulfonium salt |
| CN113149872A (en) * | 2021-03-18 | 2021-07-23 | 河北凯诺中星科技有限公司 | Preparation method of perfluorobutane sulfonic acid p-iodonium salt |
| CN113173870A (en) * | 2021-03-18 | 2021-07-27 | 河北凯诺中星科技有限公司 | Preparation method of camphor sulfonic acid p-iodonium salt |
Citations (3)
| Publication number | Priority date | Publication date | Assignee | Title |
|---|---|---|---|---|
| US20120088190A1 (en) * | 2010-10-06 | 2012-04-12 | Sumitomo Chemical Company, Limited | Salt and photoresist composition comprising the same |
| US20120135351A1 (en) | 2010-11-30 | 2012-05-31 | Sumitomo Chemical Company, Limited | Salt and photoresist composition comprising the same |
| US8741544B2 (en) * | 2011-08-22 | 2014-06-03 | Sumitomo Chemical Company, Limited | Salt, photoresist composition and method for producing photoresist pattern |
Family Cites Families (5)
| Publication number | Priority date | Publication date | Assignee | Title |
|---|---|---|---|---|
| JP4031323B2 (en) * | 2002-08-27 | 2008-01-09 | 富士フイルム株式会社 | Positive resist composition |
| JP5664328B2 (en) * | 2010-03-03 | 2015-02-04 | 住友化学株式会社 | Salt and resist composition |
| JP5538120B2 (en) * | 2010-07-30 | 2014-07-02 | 富士フイルム株式会社 | Actinic ray-sensitive or radiation-sensitive resin composition, film, and pattern forming method using the composition |
| EP2472324A1 (en) * | 2010-12-31 | 2012-07-04 | Rohm and Haas Electronic Materials LLC | Monomers, polymers, photoresist compositions and methods of forming photolithographic patterns |
| KR102070057B1 (en) * | 2012-03-19 | 2020-01-29 | 제이에스알 가부시끼가이샤 | Photoresist composition, compound and method for producing same |
-
2014
- 2014-12-10 US US14/565,538 patent/US9229321B2/en active Active
- 2014-12-11 TW TW103143221A patent/TWI632129B/en active
- 2014-12-11 KR KR1020140178766A patent/KR102231604B1/en active Active
- 2014-12-11 JP JP2014250654A patent/JP6432327B2/en active Active
Patent Citations (4)
| Publication number | Priority date | Publication date | Assignee | Title |
|---|---|---|---|---|
| US20120088190A1 (en) * | 2010-10-06 | 2012-04-12 | Sumitomo Chemical Company, Limited | Salt and photoresist composition comprising the same |
| US20120135351A1 (en) | 2010-11-30 | 2012-05-31 | Sumitomo Chemical Company, Limited | Salt and photoresist composition comprising the same |
| JP2012193160A (en) | 2010-11-30 | 2012-10-11 | Sumitomo Chemical Co Ltd | Salt, resist composition, and production method of resist pattern |
| US8741544B2 (en) * | 2011-08-22 | 2014-06-03 | Sumitomo Chemical Company, Limited | Salt, photoresist composition and method for producing photoresist pattern |
Cited By (1)
| Publication number | Priority date | Publication date | Assignee | Title |
|---|---|---|---|---|
| US10670963B2 (en) * | 2017-03-08 | 2020-06-02 | Sumitomo Chemical Company, Limited | Salt and photoresist composition containing the same |
Also Published As
| Publication number | Publication date |
|---|---|
| KR102231604B1 (en) | 2021-03-24 |
| KR20150069543A (en) | 2015-06-23 |
| TWI632129B (en) | 2018-08-11 |
| JP2015131804A (en) | 2015-07-23 |
| JP6432327B2 (en) | 2018-12-05 |
| TW201529542A (en) | 2015-08-01 |
| US20150168828A1 (en) | 2015-06-18 |
Similar Documents
| Publication | Publication Date | Title |
|---|---|---|
| US9229321B2 (en) | Salt and photoresist composition comprising the same | |
| JP7651288B2 (en) | Salt, acid generator, resist composition and method for producing resist pattern | |
| US11820735B2 (en) | Salt, acid generator, resist composition and method for producing resist pattern | |
| US8420294B2 (en) | Salt and photoresist composition comprising the same | |
| US9260407B2 (en) | Salt and photoresist composition comprising the same | |
| US9809669B2 (en) | Salt, resin, resist composition and method for producing resist pattern | |
| JP7135457B2 (en) | Salt, acid generator, resist composition and method for producing resist pattern | |
| US8889333B2 (en) | Salt, photoresist composition, and method for producing photoresist pattern | |
| US8617790B2 (en) | Photoresist composition and method for producing photoresist pattern | |
| US8802352B2 (en) | Salt, photoresist composition and method for producing photoresist pattern | |
| US10599033B2 (en) | Salt, acid generator, resin, resist composition and method for producing resist pattern | |
| US20190137873A1 (en) | Salt, acid generator, resist composition and method for producing resist pattern | |
| US20160195809A1 (en) | Photoresist composition and method for producing photoresist pattern | |
| US11378883B2 (en) | Salt, acid generator, resist composition and method for producing resist pattern | |
| JP2018039794A (en) | Salt, resist composition and method for producing resist pattern | |
| US8921028B2 (en) | Salt, resist composition and method for producing resist pattern | |
| US10816902B2 (en) | Salt and photoresist composition containing the same | |
| US10670963B2 (en) | Salt and photoresist composition containing the same | |
| US11550218B2 (en) | Salt, acid generator, resist composition and method for producing resist pattern | |
| US11782342B2 (en) | Salt and photoresist composition containing the same | |
| US11947257B2 (en) | Salt, acid generator, resist composition and method for producing resist pattern | |
| US11366387B2 (en) | Salt, acid generator, resist composition and method for producing resist pattern | |
| US10838300B2 (en) | Salt and photoresist composition containing the same | |
| US12174537B2 (en) | Salt, acid generator, resist composition and method for producing resist pattern | |
| JP7478540B2 (en) | Resist composition and method for producing resist pattern |
Legal Events
| Date | Code | Title | Description |
|---|---|---|---|
| AS | Assignment |
Owner name: SUMITOMO CHEMICAL COMPANY, LIMITED, JAPAN Free format text: ASSIGNMENT OF ASSIGNORS INTEREST;ASSIGNORS:MASUYAMA, TATSURO;ICHIKAWA, KOJI;ARAKI, KAORU;REEL/FRAME:034668/0706 Effective date: 20141222 |
|
| FEPP | Fee payment procedure |
Free format text: PAYOR NUMBER ASSIGNED (ORIGINAL EVENT CODE: ASPN); ENTITY STATUS OF PATENT OWNER: LARGE ENTITY |
|
| STCF | Information on status: patent grant |
Free format text: PATENTED CASE |
|
| MAFP | Maintenance fee payment |
Free format text: PAYMENT OF MAINTENANCE FEE, 4TH YEAR, LARGE ENTITY (ORIGINAL EVENT CODE: M1551); ENTITY STATUS OF PATENT OWNER: LARGE ENTITY Year of fee payment: 4 |
|
| MAFP | Maintenance fee payment |
Free format text: PAYMENT OF MAINTENANCE FEE, 8TH YEAR, LARGE ENTITY (ORIGINAL EVENT CODE: M1552); ENTITY STATUS OF PATENT OWNER: LARGE ENTITY Year of fee payment: 8 |








































































































































































