RU2776096C1 - Method for autonomous navigation and orientation of space vehicles - Google Patents
Method for autonomous navigation and orientation of space vehicles Download PDFInfo
- Publication number
- RU2776096C1 RU2776096C1 RU2021133655A RU2021133655A RU2776096C1 RU 2776096 C1 RU2776096 C1 RU 2776096C1 RU 2021133655 A RU2021133655 A RU 2021133655A RU 2021133655 A RU2021133655 A RU 2021133655A RU 2776096 C1 RU2776096 C1 RU 2776096C1
- Authority
- RU
- Russia
- Prior art keywords
- spacecraft
- navigation
- orientation
- stars
- vector
- Prior art date
Links
- 239000000126 substance Substances 0.000 abstract 2
- 210000004279 Orbit Anatomy 0.000 abstract 1
- 238000005259 measurement Methods 0.000 abstract 1
- 101710031899 moon Proteins 0.000 abstract 1
- 230000005693 optoelectronics Effects 0.000 abstract 1
Images
Abstract
Description
Область техникиTechnical field
Изобретение относится к области космонавтики, а именно к средствам управления, ориентации и навигации космических летательных аппаратов. Наиболее эффективно изобретение может быть использовано в системах управления малых космических аппаратов.The invention relates to the field of astronautics, and in particular to the means of control, orientation and navigation of spacecraft. The invention can be most effectively used in control systems of small spacecraft.
Предшествующий уровень техникиPrior Art
Задача определения ориентации и навигации космических аппаратов при выполнении различных миссий была и остается одной из самых сложных. Актуальность решения задач ориентации и навигации в автономном режиме при выполнении миссий связанных с межпланетными переходами и миссий по исследованию дальнего космоса хорошо известна. В последние годы все большие темпы набирают исследования по обоснованию возможности создания на низкой околоземной орбите группировок, состоящих из 200 и более малых космических аппаратов, которые должны функционировать автономно, в том числе решать задачу поддержания своего орбитального положения в автономном режиме. Наиболее известным является проект британской фирмы OneWeb. В РФ аналогичные исследования проводятся в рамках проекта по созданию глобальной многоспутниковой инфокоммуникационной системы «Сфера», развертывание которой планируется на 2030 г. Учитывая сложившуюся тенденцию задача создания средств для решения задач ориентации и навигации малых космических аппаратов в автономном режиме приобретает актуальность и для миссий, выполняемых на низких околоземных орбитах.The task of determining the orientation and navigation of spacecraft during various missions has been and remains one of the most difficult. The urgency of solving problems of orientation and navigation in autonomous mode when performing missions related to interplanetary transitions and deep space exploration missions is well known. In recent years, research has been gaining momentum to substantiate the possibility of creating constellations in low Earth orbit, consisting of 200 or more small spacecraft that must operate autonomously, including solving the problem of maintaining their orbital position in an autonomous mode. The most famous is the project of the British company OneWeb. In the Russian Federation, similar studies are being carried out within the framework of the project to create a global multi-satellite infocommunication system "Sphere", the deployment of which is planned for 2030. Given the current trend, the task of creating tools for solving problems of orientation and navigation of small spacecraft in an autonomous in low earth orbits.
Одними из основных методов решения задачи ориентации и автономной навигации космического аппарата в околоземном космическом пространстве являются методы инерциальной навигации, основанные на измерении составляющих кажущегося линейного ускорения движения космического аппарата акселерометрами и нахождения по этим измерениям линейной скорости его движения. Также инерциальные приборы обеспечивают измерение угловой скорости с применением гироскопических измерителей. В общем виде решение навигационной задачи с применением методов инерциальной навигации можно записать в виде:One of the main methods for solving the problem of orientation and autonomous navigation of a spacecraft in near-Earth space are inertial navigation methods based on measuring the components of the apparent linear acceleration of the spacecraft with accelerometers and finding the linear speed of its movement from these measurements. Also, inertial devices provide measurement of angular velocity using gyroscopic meters. In general, the solution of the navigation problem using inertial navigation methods can be written as:
где r - радиус вектор летательного аппарата в инерциальном пространстве;where r is the radius vector of the aircraft in inertial space;
g - вектор гравитационного ускорения в месте положения точки;g - vector of gravitational acceleration at the location of the point;
p - первичная информация, измеряемая датчиками кажущегося линейного ускорения;p - primary information measured by sensors of apparent linear acceleration;
Навигационное решение получается двукратным интегрированием выражения 1.The navigation solution is obtained by double integration of expression 1.
где и r0 - это начальные значения вектора - априорная информация.where and r 0 are the initial values of the vector - a priori information.
Известна астроинерциальная навигационная система (патент RU 141 801 U1, дата публикации 10.06.2014) в которой реализуется способ вычисления текущих координат, скоростей и ориентации летательного аппарата. Коррекция «дрейфа нуля» и «ухода осей» осуществляется по показаниям астровизирующего устройства, входящего в состав астроинерциальной навигационной системы.Known astroinertial navigation system (patent RU 141 801 U1, publication date 06/10/2014) which implements a method for calculating the current coordinates, speeds and orientation of the aircraft. Correction of "zero drift" and "axes drift" is carried out according to the indications of the astrovising device, which is part of the astroinertial navigation system.
Накопление ошибок измерений, которое присуще любой, даже самой точной инерциальной системе, что обусловлено принципом ее работы, связанной с необходимостью постоянного интегрирования линейных ускорений и скоростей движения летательного аппарата (см. выражение 2), является основными недостатками методов инерциальной навигации. Другим существенным недостатком инерциальных систем является то, что для решения навигационной задачи требуется наличие априорной информации - константы и r0 в выражении 2.The accumulation of measurement errors, which is inherent in any, even the most accurate, inertial system, which is due to the principle of its operation, associated with the need for constant integration of linear accelerations and velocities of the aircraft (see expression 2), are the main disadvantages of inertial navigation methods. Another significant disadvantage of inertial systems is that the solution of the navigation problem requires the presence of a priori information - the constant and r 0 in
Наряду с инерциальными методами широкое распространение получили методы астрономической навигации. Это класс методов также позволяет обеспечить решение задачи определения ориентации и навигации летательного аппарата в автономном режиме. В качестве первичных навигационных параметров при реализации астрономических методов используются направления на астрономические объекты: звезды, планеты и т.д. Известным навигационным параметром, который измеряется оптическими средствами для вычисления параметров орбиты космического аппарата - это измерение углового расстояния между известной (опознанной) звездой и видимым горизонтом планеты. Известно устройство (патент RU 2 650 730 С1, дата публикации 17.04.2018) которое обеспечивает определение ориентации и решение задачи навигации космического аппарата в автономном режиме с использованием этого первичного навигационного параметра. Оптическая схема известного устройства позволяет одновременно наблюдать два пересекающихся участка звездного неба, одного со звездами, другого с горизонтом планеты (Земли, Луны). Далее изображение поступает в вычислительный блок, где обеспечивается вычисление угловых расстояний между выбранными звездами и горизонтом планеты.Along with inertial methods, astronomical navigation methods have become widespread. This class of methods also makes it possible to solve the problem of determining the orientation and navigation of an aircraft in autonomous mode. Directions to astronomical objects: stars, planets, etc. are used as primary navigational parameters in the implementation of astronomical methods. A well-known navigation parameter, which is measured by optical means to calculate the parameters of the orbit of a spacecraft, is the measurement of the angular distance between a known (identified) star and the visible horizon of the planet. A device is known (
Также известен способ определения ориентации и автономной навигации КА (патент на изобретение RU 2 318 188 C1, дата публикации 17.07.2006) для реализации которого средствами оптико-электронного прибора измеряется зенитное расстояние до двух звезд. Зенитное расстояние используется для решения задачи определения ориентации, а для решения задачи навигации в автономном режиме, дополнительно используют пространственное положение радиуса-вектора опорной (априори полагаемой) орбиты и другие элементы этой орбиты, которые определяют компьютерным расчетом.Also known is a method for determining the orientation and autonomous navigation of a spacecraft (patent for invention RU 2 318 188 C1, publication date 07/17/2006) for the implementation of which the zenith distance to two stars is measured by means of an optoelectronic device. The zenith distance is used to solve the problem of determining the orientation, and to solve the problem of navigation in offline mode, the spatial position of the radius-vector of the reference (a priori assumed) orbit and other elements of this orbit, which are determined by computer calculation, are additionally used.
Наиболее близким по технической сущности к заявляемому изобретению следует считать способ по патенту RU 2 318 188, который принят за прототип. Общим признаком прототипа и заявляемого способа является то, что для их реализации применяется оптико-электронный прибор, жестко закрепленный к корпусу космического аппарата. Оптико-электронный прибор применяется для визирования информативного участка звездного неба и получения направления на звезды. Общим также является то, что для реализации способа прототипа и заявляемого способа, кроме направления на бесконечно удаленную звезду, требуется иметь второе направление, связанное именно с орбитальным движением космического аппарата. При реализации известного способа, в отличие от патентуемого, для получения второго направления, проводится компьютерный расчет орта радиуса-вектора опорной (априори полагаемой) орбиты. Этот орт выступает в качестве линии, связанной с орбитальным движением космического аппарата, и позволяет рассчитать зенитное расстояние звезды. Для решения задачи навигации известного способа также необходимо грубое отслеживание системой стабилизации космического аппарата направление на центр планеты.The closest in technical essence to the claimed invention should be considered a method according to
Недостатком прототипа является то, что для решения навигационной задачи требуется наличие информации об априорной орбите функционирования космического аппарата, которое рассчитывается посредством компьютерного моделирования. Погрешность решения навигационной задачи зависят от погрешностей компьютерного моделирования, которое, в свою очередь, определяется точностью знания начального вектора состояния космического аппарата. В общем случае параметры начального вектора состояния космического аппарата известны с низкой точностью, таким образом, потребуется длительный промежуток времени для уточнения априорной орбиты по измерениям первичной навигационной информации.The disadvantage of the prototype is that to solve the navigation problem requires information about the a priori orbit of the spacecraft, which is calculated by computer simulation. The error in solving the navigation problem depends on the errors of computer simulation, which, in turn, is determined by the accuracy of knowing the initial state vector of the spacecraft. In the general case, the parameters of the initial state vector of the spacecraft are known with low accuracy, so it will take a long period of time to refine the a priori orbit based on measurements of primary navigation information.
Раскрытие изобретенияDisclosure of invention
Технический результат от использования изобретения заключается в повышении точности и оперативности решения навигационной задачи космического аппарата за счет того, что для решения навигационной задачи не требуется наличия априорной информации об орбите функционирования космического аппарата. Для решения задач ориентации и навигации используется только первичная информация, получаемая средствами оптико-электронного прибора.The technical result from the use of the invention is to increase the accuracy and efficiency of solving the navigation problem of the spacecraft due to the fact that the solution of the navigation problem does not require a priori information about the orbit of the spacecraft. To solve problems of orientation and navigation, only primary information obtained by means of an optoelectronic device is used.
Указанный технический результат достигается способом решения задачи навигации и ориентации космического аппарата, включающим измерение приборных координат и яркости звезд, попавших в поле зрения жестко закрепленного на корпусе космического аппарата оптико-электронного прибора, звезды распознают и используют для определения ориентации корпуса космического аппарата относительно текущей орбитальной системы координат, в котором, в соответствии с изобретением, для решения навигационной задачи используют орт радиуса-вектора направления на специализированный астрономический объект, измеряемый средствами того же оптико-электронного прибора, который используется для распознавания звезд при решении задачи ориентации корпуса космического аппарата, при этом светочувствительная матрица оптико-электронного прибора обеспечивает визирование специализированного астрономического объекта и звезд с единым временем экспонирования, что позволяет обеспечить привязку радиуса-вектора направления на специализированный астрономический объект к инерциальному базису с точностью, достаточной для решения навигационной задачи.The specified technical result is achieved by a method for solving the problem of navigation and orientation of the spacecraft, including measuring the instrumental coordinates and brightness of the stars that fall into the field of view of an optical-electronic device rigidly fixed on the spacecraft body, the stars are recognized and used to determine the orientation of the spacecraft body relative to the current orbital system coordinates, in which, in accordance with the invention, to solve the navigation problem, the unit vector of the radius-vector of the direction to a specialized astronomical object is used, measured by means of the same optoelectronic device that is used to recognize stars when solving the problem of orientation of the spacecraft body, while photosensitive the matrix of the optoelectronic device provides sighting of a specialized astronomical object and stars with a single exposure time, which makes it possible to bind the radius-direction vector to a specialized astronomical object to the inertial basis with an accuracy sufficient to solve the navigation problem.
Создание способа с указанным выше техническим результатом стало возможно благодаря разработке нового оптико-электронного прибора, программно-аппаратные средства которого обеспечивает получение изображений с высоким динамическим диапазоном достаточным для визирования информативных участков небесной сферы, содержащих изображения звезд и Луны в одном кадре, полученном с единым временем экспонирования яркой Луны и тусклых звезд. В состав нового оптико-электронного прибора входит светочувствительная матрица, которая обеспечивает получение двух изображений с одним временем экспонирования, но с разными коэффициентами усиления, из которых один коэффициент усиления оптимизирован для получения качественного изображения яркой Луны, другой коэффициент усиления оптимизирован для получения качественного изображения самого тусклой звезды в пределах визируемого изображения. Окончательное изображение с высоким динамическим диапазоном, достаточным для выделения объектов и вычисления вектора направления на них составляется из двух этих изображений. Это позволяет обеспечить привязку изображения Луны к изображению звезд и вычислить вектор направления на Луну в инерциальной системе координат с высокой точностью. Именно вычисление орта вектора направления на Луну в инерциальной системе координаты с высокой точностью позволяет реализовать предлагаемый способ и получить приемлемую точность и оперативность решения навигационной задачи при выполнении целевых задач большинства известных космических миссий.The creation of a method with the above technical result became possible due to the development of a new optoelectronic device, the software and hardware of which provides images with a high dynamic range sufficient for sighting informative sections of the celestial sphere containing images of stars and the moon in one frame, obtained with a single time exposure of the bright moon and dim stars. The new optoelectronic device includes a photosensitive matrix that provides two images with the same exposure time, but with different gain factors, of which one gain factor is optimized to obtain a high-quality image of the bright Moon, the other gain is optimized to obtain a high-quality image of the dimmest stars within the scoped image. The final image with a high dynamic range, sufficient to select objects and calculate the direction vector on them, is composed of these two images. This makes it possible to link the image of the Moon to the image of the stars and calculate the direction vector to the Moon in the inertial coordinate system with high accuracy. It is the calculation of the orth of the direction vector to the Moon in the inertial coordinate system with high accuracy that makes it possible to implement the proposed method and obtain acceptable accuracy and efficiency in solving the navigation problem when fulfilling the targets of most known space missions.
Краткое описание чертежаBrief description of the drawing
На чертеже представлено графическое представление решения навигационной задачи. Принятые здесь обозначения точек и векторов используются далее при описании соотношений, по которым рассчитываются параметры орбиты.The drawing shows a graphical representation of the solution to the navigation problem. The designations of points and vectors adopted here are used below to describe the relations by which the orbit parameters are calculated.
X, Y, Z - оси геоцентрической инерциальной системы координат (инерциальный базис);X, Y, Z - axes of the geocentric inertial coordinate system (inertial basis);
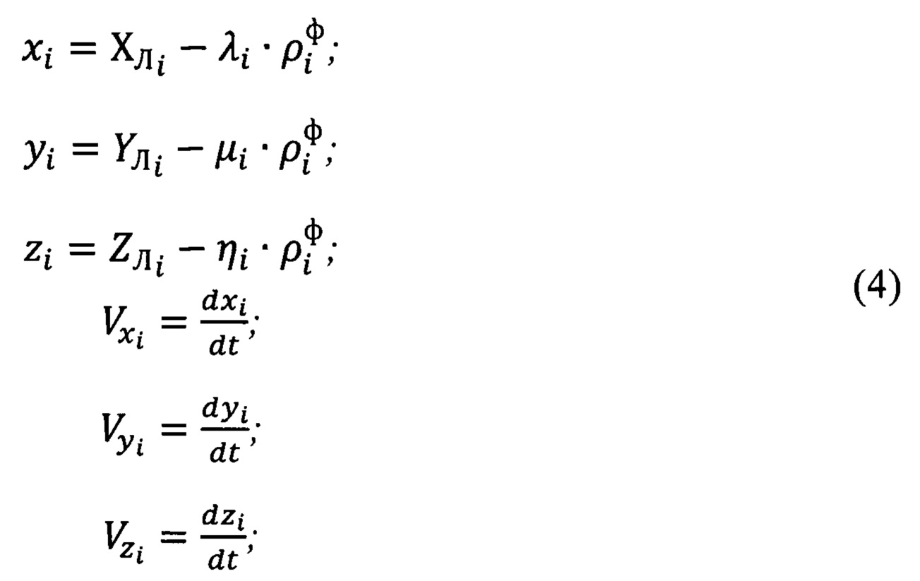
- орт радиуса-вектора направления на Луну измеренный относительно инерциального базиса средствами оптико-электронного прибора; - unit vector of the radius-vector of the direction to the Moon, measured relative to the inertial basis by means of an optoelectronic device;
Тнач…Ткон - начальная и конечная эпоха, ограничивающие период, в который проведены измерения орта радиуса-вектора Луны;T start ...T end - the initial and final epoch, limiting the period in which measurements were made of the unit vector of the radius-vector of the Moon;
- искомый вектор положения космического аппарата в инерциальном базисе; - desired position vector of the spacecraft in the inertial basis;
- известный радиус-вектор Луны, который рассчитывается по известной модели движения Луны. is the known radius vector of the Moon, which is calculated from the known model of the Moon's motion.
На чертеже в центре изображения располагается Земля поз. 1. Полюс инерциальной геоцентрической системы координат X, Y, Z совпадает с центром Земли. Также на чертеже схематично указаны: орбита КА поз. 2, орбита Луны поз. 3, положение космического аппарата и Луны поз. 4 и поз. 5 соответственно, а также приводятся положение основных векторов, которые используются при решении навигационной задачи космического аппарата.In the drawing, in the center of the image is the Earth pos. 1. The pole of the inertial geocentric coordinate system X, Y, Z coincides with the center of the Earth. Also in the drawing schematically indicated: the spacecraft orbit pos. 2, orbit of the Moon pos. 3, the position of the spacecraft and the moon pos. 4 and pos. 5, respectively, as well as the position of the main vectors that are used in solving the navigation problem of the spacecraft.
Осуществление изобретенияImplementation of the invention
Способ включает измерение приборных координат и яркости звезд, попавших в поле зрения жестко закрепленного на корпусе космического аппарата оптико-электронного прибора звезды распознают и используют для определения ориентации корпуса космического аппарата относительно текущей орбитальной системы координат. Для решения навигационной задачи дополнительно используют орт радиуса-вектора направления на специализированный астрономический объект, который связан с орбитальным движением космического аппарата. При этом орт радиуса-вектора измеряется средствами того же оптико-электронного прибора, который используется для распознавания звезд при решении задачи ориентации корпуса космического аппарата. Светочувствительная матрица оптико-электронного прибора обеспечивает визирование специализированного астрономического объекта и звезд с единым временем экспонирования, что позволяет обеспечить привязку радиуса-вектора направления на специализированный астрономический объект к инерциальному базису с точностью, достаточной для решения навигационной задачи.The method includes measuring the instrumental coordinates and brightness of stars that have fallen into the field of view of an optical-electronic device rigidly fixed on the spacecraft body. The stars are recognized and used to determine the orientation of the spacecraft body relative to the current orbital coordinate system. To solve the navigation problem, the unit vector of the radius-vector of the direction to a specialized astronomical object, which is associated with the orbital motion of the spacecraft, is additionally used. In this case, the unit vector of the radius vector is measured by means of the same optoelectronic device that is used to recognize stars when solving the problem of orientation of the spacecraft body. The photosensitive matrix of the optoelectronic device provides sighting of a specialized astronomical object and stars with a single exposure time, which makes it possible to bind the radius-direction vector to a specialized astronomical object to an inertial basis with an accuracy sufficient to solve a navigation problem.
В общем виде решение навигационной задачи, согласно изобретению, описывается зависимостью (1).In general, the solution of the navigation problem, according to the invention, is described by dependence (1).
Неизвестным в выражении 3 является расстояние между Луной и космическим аппаратом ρ. Для вычисления расстояния ρ при реализации способа автономной навигации в соответствии с изобретением не требуется наличия информации об априорной орбите космического аппарата. Определение этого параметра реализуется в три этапа.The unknown in
На первом этапе проводится приблизительная оценка расстояния исходя из предположения, что космический аппарат движется по кеплеровской невозмущенной орбите. Для решения этой задачи можно воспользоваться моделью, предложенной Лапласом для определения гелиоцентрических расстояний до планеты по серии измерений восхождения и склонения планеты, описанной в справочнике (Душобин Г.Н. Справочное руководство по небесной механике и астродинамике. - М.: Наука, - главная редакция физико-математической литературы, - 1976 г. - 864 с). Для этого модель модифицируется в части переноса начала отсчета инерциального базиса в центр Земли. Кроме того, вместо прямого восхождения и склонения планеты поляризуются измерения вектора направления на Луну.At the first stage, a rough estimate of the distance is made based on the assumption that the spacecraft moves along a Keplerian unperturbed orbit. To solve this problem, you can use the model proposed by Laplace to determine the heliocentric distances to the planet from a series of measurements of the ascension and declination of the planet described in the reference book (Dushobin G.N. Reference guide to celestial mechanics and astrodynamics. - M .: Nauka, - main edition physical and mathematical literature, - 1976 - 864 p.). To do this, the model is modified in terms of transferring the origin of the inertial basis to the center of the Earth. Also, instead of right ascension and declination of the planet, the measurements of the direction vector to the Moon are polarized.
На втором этапе проводится фильтрация полученных на первом этапе решений, например, с применением сглаживающего «интерполяционного» фильтра третьей степени, который дает достаточно хорошие результаты сглаживания для дуги круговой орбиты. На этом этапе множество ρi, где i - порядковый номер решения, полученного в момент времени ti ∈ (Тнач…Ткон), полученных на первом этапе, используется для вычисления коэффициентов интерполяционного фильтра. После фильтрации полученное множество значений (), используются для решения навигационной задачи в виде шестимерного вектора состояния космического аппарата.At the second stage, the solutions obtained at the first stage are filtered, for example, using a smoothing "interpolation" filter of the third degree, which gives fairly good smoothing results for the arc of a circular orbit. At this stage, the set ρ i , where i is the ordinal number of the solution obtained at time t i ∈ (T start ...T end ), obtained at the first stage, is used to calculate the coefficients of the interpolation filter. After filtering, the resulting set of values ( ) are used to solve the navigation problem in the form of a six-dimensional spacecraft state vector.
где λ, μ, η - компоненты орта радиуса-вектора направления на Луну измеренный относительно инерциального базиса средствами оптико-электронного прибора;where λ, μ, η are the components of the vector of the radius-vector of the direction to the Moon, measured relative to the inertial basis by means of an optoelectronic device;
х, у, z - координаты искомого радиуса-вектора положения космического аппарата;x, y, z - coordinates of the desired radius-vector of the position of the spacecraft;
XЛ, YЛ, ZЛ - радиус-вектор положения Луны;X L , Y L , Z L - position vector of the Moon;
На третьем этапе полученные решения, в виде шестимерного вектора, описываемого выражением 4, поступают на вход модели, описывающей возмущенное движение космического аппарата. Для каждого i-того вектора состояния, полученного на выходе второго этапа, вычисляется прогноз положения космического аппарата, а также расстояние космический аппарат-Луна. Исходя из такой постановки, на выходе третьего этапа реализации методики имеем массив [N, i] решений навигационной задачи, включая расстояний космический аппарат-Луна ().At the third stage, the obtained solutions, in the form of a six-dimensional vector described by
Для каждого решения вычисляется функционал в соответствии с выражением 5:For each solution, the functional is calculated in accordance with expression 5:
В качестве решения навигационной задачи выбирается то решение, при котором достигает минимального значения.As a solution to the navigation problem, the solution is chosen for which reaches the minimum value.
Наиболее эффективно способ может быть использован для создания автономных астронавигационных систем, повышения оперативности решения задач навигации космических аппаратов, без знания априорной информации об орбите функционирования.The most effective method can be used to create autonomous astro-navigation systems, increase the efficiency of solving spacecraft navigation problems, without knowing a priori information about the functioning orbit.
Claims (2)
Publications (1)
| Publication Number | Publication Date |
|---|---|
| RU2776096C1 true RU2776096C1 (en) | 2022-07-13 |
Family
ID=
Cited By (1)
| Publication number | Priority date | Publication date | Assignee | Title |
|---|---|---|---|---|
| CN118089707A (en) * | 2024-04-28 | 2024-05-28 | 四川腾盾科技有限公司 | Single-star positioning method based on astronomical navigation |
Citations (8)
| Publication number | Priority date | Publication date | Assignee | Title |
|---|---|---|---|---|
| US5109346A (en) * | 1990-02-01 | 1992-04-28 | Microcosm, Inc. | Autonomous spacecraft navigation system |
| RU2318188C1 (en) * | 2006-07-17 | 2008-02-27 | Военно-космическая академия имени А.Ф. Можайского | Method for autonomous navigation and orientation of spacecrafts |
| RU2454631C1 (en) * | 2010-10-28 | 2012-06-27 | Государственное образовательное учреждение высшего профессионального образования Военно-космическая академия имени А.Ф. Можайского | Method for autonomous navigation and orientation of spacecraft based on virtual measurements of zenith distances of stars |
| RU141801U1 (en) * | 2013-12-13 | 2014-06-10 | Общество с ограниченной ответственностью "Научно-производственный комплекс "Электрооптика" (ООО "НПК "Электрооптика") | ASTROINERCIAL NAVIGATION SYSTEM |
| CN102607564B (en) * | 2012-03-09 | 2014-12-17 | 北京航空航天大学 | Small satellite autonomous navigation system based on starlight/ geomagnetism integrated information and navigation method thereof |
| RU2542599C2 (en) * | 2013-06-18 | 2015-02-20 | Федеральное государственное казенное военное образовательное учреждение высшего профессионального образования "Военно-космическая академия имени А.Ф. Можайского" Министерства обороны Российской Федерации | Method for independent determination of orbit and orientation of spacecraft body in space without prior information |
| CN108827323A (en) * | 2018-08-16 | 2018-11-16 | 西安空间无线电技术研究所 | A kind of unidirectional autonomous navigation method of cislunar space spacecraft |
| CN111739049B (en) * | 2020-08-05 | 2020-12-01 | 北京控制与电子技术研究所 | Image-based spacecraft navigation method and system and image edge point extraction method |
Patent Citations (8)
| Publication number | Priority date | Publication date | Assignee | Title |
|---|---|---|---|---|
| US5109346A (en) * | 1990-02-01 | 1992-04-28 | Microcosm, Inc. | Autonomous spacecraft navigation system |
| RU2318188C1 (en) * | 2006-07-17 | 2008-02-27 | Военно-космическая академия имени А.Ф. Можайского | Method for autonomous navigation and orientation of spacecrafts |
| RU2454631C1 (en) * | 2010-10-28 | 2012-06-27 | Государственное образовательное учреждение высшего профессионального образования Военно-космическая академия имени А.Ф. Можайского | Method for autonomous navigation and orientation of spacecraft based on virtual measurements of zenith distances of stars |
| CN102607564B (en) * | 2012-03-09 | 2014-12-17 | 北京航空航天大学 | Small satellite autonomous navigation system based on starlight/ geomagnetism integrated information and navigation method thereof |
| RU2542599C2 (en) * | 2013-06-18 | 2015-02-20 | Федеральное государственное казенное военное образовательное учреждение высшего профессионального образования "Военно-космическая академия имени А.Ф. Можайского" Министерства обороны Российской Федерации | Method for independent determination of orbit and orientation of spacecraft body in space without prior information |
| RU141801U1 (en) * | 2013-12-13 | 2014-06-10 | Общество с ограниченной ответственностью "Научно-производственный комплекс "Электрооптика" (ООО "НПК "Электрооптика") | ASTROINERCIAL NAVIGATION SYSTEM |
| CN108827323A (en) * | 2018-08-16 | 2018-11-16 | 西安空间无线电技术研究所 | A kind of unidirectional autonomous navigation method of cislunar space spacecraft |
| CN111739049B (en) * | 2020-08-05 | 2020-12-01 | 北京控制与电子技术研究所 | Image-based spacecraft navigation method and system and image edge point extraction method |
Cited By (1)
| Publication number | Priority date | Publication date | Assignee | Title |
|---|---|---|---|---|
| CN118089707A (en) * | 2024-04-28 | 2024-05-28 | 四川腾盾科技有限公司 | Single-star positioning method based on astronomical navigation |
Similar Documents
| Publication | Publication Date | Title |
|---|---|---|
| EP3346234A1 (en) | Autonomous navigation method for mars probe | |
| CN100533065C (en) | Interstellar cruising self-navigation method based on multi-star road sign | |
| CN103335654B (en) | A kind of autonomous navigation method of planetary power descending branch | |
| Rad et al. | Optimal attitude and position determination by integration of INS, star tracker, and horizon sensor | |
| RU2592715C1 (en) | Astronomical navigation system | |
| Raol et al. | On the orbit determination problem | |
| RU2318188C1 (en) | Method for autonomous navigation and orientation of spacecrafts | |
| CN108490973A (en) | Spacecraft formation relative orbit determines method and device | |
| CN102607563B (en) | System for performing relative navigation on spacecraft based on background astronomical information | |
| Alexander et al. | A terrain relative navigation sensor enabled by multi-core processing | |
| Dennison et al. | Autonomous asteroid characterization through nanosatellite swarming | |
| RU2776096C1 (en) | Method for autonomous navigation and orientation of space vehicles | |
| Sigel et al. | Star tracker celestial localization system for a lunar rover | |
| Adams et al. | Lost in space and time | |
| Muñoz et al. | Preparations and strategy for navigation during Rosetta comet phase | |
| RU2759026C1 (en) | Method for determining the sequence of flights between space debris objects in the vicinity of a geostationary orbit | |
| Verweld | Relative optical navigation for a lunar lander mission | |
| Kaplan | New technology for celestial navigation | |
| Zhang et al. | Navigation performance of the libration point satellite navigation system for future Mars exploration | |
| Dionne | Improving autonomous optical navigation for small body exploration using range measurement | |
| Kim et al. | Satellite celestial navigation using star-tracker and earth sensor | |
| Olson | Sequential estimation methods for small body optical navigation | |
| RU2327111C2 (en) | Plane table for observation object selection from an orbiting space vehicle | |
| Schneider et al. | A manual method for space rendezvous navigation and guidance. | |
| Zhibin et al. | Autonomous optical navigation of Mars probe aided by one-way Doppler measurements in capture stage |


