RU2484832C1 - Способ получения покрытого стабилизирующей оболочкой нанокристаллического диоксида церия - Google Patents
Способ получения покрытого стабилизирующей оболочкой нанокристаллического диоксида церия Download PDFInfo
- Publication number
- RU2484832C1 RU2484832C1 RU2012112921/15A RU2012112921A RU2484832C1 RU 2484832 C1 RU2484832 C1 RU 2484832C1 RU 2012112921/15 A RU2012112921/15 A RU 2012112921/15A RU 2012112921 A RU2012112921 A RU 2012112921A RU 2484832 C1 RU2484832 C1 RU 2484832C1
- Authority
- RU
- Russia
- Prior art keywords
- cerium dioxide
- cerium
- solution
- coated
- nanocrystalline
- Prior art date
Links
- CETPSERCERDGAM-UHFFFAOYSA-N ceric oxide Chemical compound O=[Ce]=O CETPSERCERDGAM-UHFFFAOYSA-N 0.000 title claims abstract description 99
- 229910000422 cerium(IV) oxide Inorganic materials 0.000 title claims abstract description 99
- 239000003381 stabilizer Substances 0.000 title claims abstract description 40
- 238000000034 method Methods 0.000 title claims abstract description 33
- 239000000243 solution Substances 0.000 claims abstract description 54
- 230000003078 antioxidant effect Effects 0.000 claims abstract description 22
- QGZKDVFQNNGYKY-UHFFFAOYSA-N Ammonia Chemical compound N QGZKDVFQNNGYKY-UHFFFAOYSA-N 0.000 claims abstract description 17
- LFQSCWFLJHTTHZ-UHFFFAOYSA-N Ethanol Chemical compound CCO LFQSCWFLJHTTHZ-UHFFFAOYSA-N 0.000 claims abstract description 17
- 229920002774 Maltodextrin Polymers 0.000 claims abstract description 16
- 239000005913 Maltodextrin Substances 0.000 claims abstract description 16
- 229940035034 maltodextrin Drugs 0.000 claims abstract description 16
- 239000002105 nanoparticle Substances 0.000 claims abstract description 13
- 239000000843 powder Substances 0.000 claims abstract description 13
- 229910052684 Cerium Inorganic materials 0.000 claims abstract description 12
- GWXLDORMOJMVQZ-UHFFFAOYSA-N cerium Chemical compound [Ce] GWXLDORMOJMVQZ-UHFFFAOYSA-N 0.000 claims abstract description 11
- 150000000703 Cerium Chemical class 0.000 claims abstract description 10
- 239000007864 aqueous solution Substances 0.000 claims abstract description 10
- 150000002576 ketones Chemical class 0.000 claims abstract description 10
- 239000002798 polar solvent Substances 0.000 claims abstract description 10
- 239000002244 precipitate Substances 0.000 claims abstract description 7
- 238000003756 stirring Methods 0.000 claims abstract description 7
- 229910021529 ammonia Inorganic materials 0.000 claims abstract description 6
- 238000001914 filtration Methods 0.000 claims abstract description 5
- 238000010908 decantation Methods 0.000 claims abstract description 4
- 230000000087 stabilizing effect Effects 0.000 claims description 27
- 230000015572 biosynthetic process Effects 0.000 claims description 14
- XLYOFNOQVPJJNP-UHFFFAOYSA-N water Substances O XLYOFNOQVPJJNP-UHFFFAOYSA-N 0.000 claims description 14
- KFZMGEQAYNKOFK-UHFFFAOYSA-N Isopropanol Chemical compound CC(C)O KFZMGEQAYNKOFK-UHFFFAOYSA-N 0.000 claims description 10
- VHUUQVKOLVNVRT-UHFFFAOYSA-N Ammonium hydroxide Chemical compound [NH4+].[OH-] VHUUQVKOLVNVRT-UHFFFAOYSA-N 0.000 claims description 9
- LYCAIKOWRPUZTN-UHFFFAOYSA-N Ethylene glycol Chemical compound OCCO LYCAIKOWRPUZTN-UHFFFAOYSA-N 0.000 claims description 9
- PEDCQBHIVMGVHV-UHFFFAOYSA-N Glycerine Chemical compound OCC(O)CO PEDCQBHIVMGVHV-UHFFFAOYSA-N 0.000 claims description 7
- ZWEHNKRNPOVVGH-UHFFFAOYSA-N 2-Butanone Chemical compound CCC(C)=O ZWEHNKRNPOVVGH-UHFFFAOYSA-N 0.000 claims description 6
- IAZDPXIOMUYVGZ-UHFFFAOYSA-N Dimethylsulphoxide Chemical compound CS(C)=O IAZDPXIOMUYVGZ-UHFFFAOYSA-N 0.000 claims description 6
- ZHNUHDYFZUAESO-UHFFFAOYSA-N Formamide Chemical compound NC=O ZHNUHDYFZUAESO-UHFFFAOYSA-N 0.000 claims description 6
- OKKJLVBELUTLKV-UHFFFAOYSA-N Methanol Chemical compound OC OKKJLVBELUTLKV-UHFFFAOYSA-N 0.000 claims description 6
- CSCPPACGZOOCGX-UHFFFAOYSA-N Acetone Chemical compound CC(C)=O CSCPPACGZOOCGX-UHFFFAOYSA-N 0.000 claims description 4
- FDPIMTJIUBPUKL-UHFFFAOYSA-N pentan-3-one Chemical compound CCC(=O)CC FDPIMTJIUBPUKL-UHFFFAOYSA-N 0.000 claims description 4
- UNJPQTDTZAKTFK-UHFFFAOYSA-K cerium(iii) hydroxide Chemical compound [OH-].[OH-].[OH-].[Ce+3] UNJPQTDTZAKTFK-UHFFFAOYSA-K 0.000 claims description 3
- 235000011187 glycerol Nutrition 0.000 claims description 3
- 239000000178 monomer Substances 0.000 claims description 3
- BDERNNFJNOPAEC-UHFFFAOYSA-N propan-1-ol Chemical compound CCCO BDERNNFJNOPAEC-UHFFFAOYSA-N 0.000 claims description 2
- 238000004220 aggregation Methods 0.000 abstract description 7
- 230000002776 aggregation Effects 0.000 abstract description 7
- 239000003814 drug Substances 0.000 abstract description 7
- 239000000126 substance Substances 0.000 abstract description 6
- 230000000694 effects Effects 0.000 abstract description 3
- 238000009835 boiling Methods 0.000 abstract description 2
- 239000002245 particle Substances 0.000 description 44
- MHAJPDPJQMAIIY-UHFFFAOYSA-N Hydrogen peroxide Chemical compound OO MHAJPDPJQMAIIY-UHFFFAOYSA-N 0.000 description 38
- 230000036542 oxidative stress Effects 0.000 description 16
- 210000004027 cell Anatomy 0.000 description 15
- 239000000047 product Substances 0.000 description 15
- 238000002360 preparation method Methods 0.000 description 14
- 239000011248 coating agent Substances 0.000 description 11
- 238000000576 coating method Methods 0.000 description 11
- 230000003287 optical effect Effects 0.000 description 11
- 238000004519 manufacturing process Methods 0.000 description 10
- ZXJXZNDDNMQXFV-UHFFFAOYSA-M crystal violet Chemical compound [Cl-].C1=CC(N(C)C)=CC=C1[C+](C=1C=CC(=CC=1)N(C)C)C1=CC=C(N(C)C)C=C1 ZXJXZNDDNMQXFV-UHFFFAOYSA-M 0.000 description 9
- 239000000203 mixture Substances 0.000 description 9
- 238000000862 absorption spectrum Methods 0.000 description 8
- 235000011114 ammonium hydroxide Nutrition 0.000 description 8
- 239000000975 dye Substances 0.000 description 8
- TUJKJAMUKRIRHC-UHFFFAOYSA-N hydroxyl Chemical compound [OH] TUJKJAMUKRIRHC-UHFFFAOYSA-N 0.000 description 7
- 230000004224 protection Effects 0.000 description 7
- 229920002245 Dextrose equivalent Polymers 0.000 description 6
- 229940079593 drug Drugs 0.000 description 6
- 239000003642 reactive oxygen metabolite Substances 0.000 description 6
- NLXLAEXVIDQMFP-UHFFFAOYSA-N Ammonium chloride Substances [NH4+].[Cl-] NLXLAEXVIDQMFP-UHFFFAOYSA-N 0.000 description 5
- 229920002307 Dextran Polymers 0.000 description 5
- CWYNVVGOOAEACU-UHFFFAOYSA-N Fe2+ Chemical compound [Fe+2] CWYNVVGOOAEACU-UHFFFAOYSA-N 0.000 description 5
- WQZGKKKJIJFFOK-GASJEMHNSA-N Glucose Natural products OC[C@H]1OC(O)[C@H](O)[C@@H](O)[C@@H]1O WQZGKKKJIJFFOK-GASJEMHNSA-N 0.000 description 5
- QVGXLLKOCUKJST-UHFFFAOYSA-N atomic oxygen Chemical compound [O] QVGXLLKOCUKJST-UHFFFAOYSA-N 0.000 description 5
- 230000008033 biological extinction Effects 0.000 description 5
- 239000008103 glucose Substances 0.000 description 5
- 239000001301 oxygen Substances 0.000 description 5
- 229910052760 oxygen Inorganic materials 0.000 description 5
- 230000009471 action Effects 0.000 description 4
- 239000003963 antioxidant agent Substances 0.000 description 4
- 230000008859 change Effects 0.000 description 4
- 238000006243 chemical reaction Methods 0.000 description 4
- 230000007423 decrease Effects 0.000 description 4
- 210000002950 fibroblast Anatomy 0.000 description 4
- 230000008569 process Effects 0.000 description 4
- 230000001681 protective effect Effects 0.000 description 4
- 238000003860 storage Methods 0.000 description 4
- UCSJYZPVAKXKNQ-HZYVHMACSA-N streptomycin Chemical compound CN[C@H]1[C@H](O)[C@@H](O)[C@H](CO)O[C@H]1O[C@@H]1[C@](C=O)(O)[C@H](C)O[C@H]1O[C@@H]1[C@@H](NC(N)=N)[C@H](O)[C@@H](NC(N)=N)[C@H](O)[C@H]1O UCSJYZPVAKXKNQ-HZYVHMACSA-N 0.000 description 4
- 238000003786 synthesis reaction Methods 0.000 description 4
- UHOVQNZJYSORNB-UHFFFAOYSA-N Benzene Chemical compound C1=CC=CC=C1 UHOVQNZJYSORNB-UHFFFAOYSA-N 0.000 description 3
- YXFVVABEGXRONW-UHFFFAOYSA-N Toluene Chemical compound CC1=CC=CC=C1 YXFVVABEGXRONW-UHFFFAOYSA-N 0.000 description 3
- 239000013553 cell monolayer Substances 0.000 description 3
- 150000001875 compounds Chemical class 0.000 description 3
- 230000034994 death Effects 0.000 description 3
- 201000010099 disease Diseases 0.000 description 3
- 208000037265 diseases, disorders, signs and symptoms Diseases 0.000 description 3
- 239000002552 dosage form Substances 0.000 description 3
- 239000012467 final product Substances 0.000 description 3
- XEEYBQQBJWHFJM-UHFFFAOYSA-N iron Substances [Fe] XEEYBQQBJWHFJM-UHFFFAOYSA-N 0.000 description 3
- 239000000463 material Substances 0.000 description 3
- 239000002609 medium Substances 0.000 description 3
- VLKZOEOYAKHREP-UHFFFAOYSA-N n-Hexane Chemical compound CCCCCC VLKZOEOYAKHREP-UHFFFAOYSA-N 0.000 description 3
- 231100000252 nontoxic Toxicity 0.000 description 3
- 230000003000 nontoxic effect Effects 0.000 description 3
- 239000007858 starting material Substances 0.000 description 3
- 239000011550 stock solution Substances 0.000 description 3
- IIZPXYDJLKNOIY-JXPKJXOSSA-N 1-palmitoyl-2-arachidonoyl-sn-glycero-3-phosphocholine Chemical compound CCCCCCCCCCCCCCCC(=O)OC[C@H](COP([O-])(=O)OCC[N+](C)(C)C)OC(=O)CCC\C=C/C\C=C/C\C=C/C\C=C/CCCCC IIZPXYDJLKNOIY-JXPKJXOSSA-N 0.000 description 2
- JKMHFZQWWAIEOD-UHFFFAOYSA-N 2-[4-(2-hydroxyethyl)piperazin-1-yl]ethanesulfonic acid Chemical compound OCC[NH+]1CCN(CCS([O-])(=O)=O)CC1 JKMHFZQWWAIEOD-UHFFFAOYSA-N 0.000 description 2
- 229920000856 Amylose Polymers 0.000 description 2
- 108091003079 Bovine Serum Albumin Proteins 0.000 description 2
- 239000007995 HEPES buffer Substances 0.000 description 2
- ZDXPYRJPNDTMRX-VKHMYHEASA-N L-glutamine Chemical compound OC(=O)[C@@H](N)CCC(N)=O ZDXPYRJPNDTMRX-VKHMYHEASA-N 0.000 description 2
- 241000699666 Mus <mouse, genus> Species 0.000 description 2
- 229930182555 Penicillin Natural products 0.000 description 2
- JGSARLDLIJGVTE-MBNYWOFBSA-N Penicillin G Chemical compound N([C@H]1[C@H]2SC([C@@H](N2C1=O)C(O)=O)(C)C)C(=O)CC1=CC=CC=C1 JGSARLDLIJGVTE-MBNYWOFBSA-N 0.000 description 2
- 239000000981 basic dye Substances 0.000 description 2
- 238000004113 cell culture Methods 0.000 description 2
- XQTIWNLDFPPCIU-UHFFFAOYSA-N cerium(3+) Chemical class [Ce+3] XQTIWNLDFPPCIU-UHFFFAOYSA-N 0.000 description 2
- 238000004140 cleaning Methods 0.000 description 2
- 239000000306 component Substances 0.000 description 2
- 238000005094 computer simulation Methods 0.000 description 2
- 239000013078 crystal Substances 0.000 description 2
- 238000002296 dynamic light scattering Methods 0.000 description 2
- 238000002474 experimental method Methods 0.000 description 2
- 239000012894 fetal calf serum Substances 0.000 description 2
- 125000002791 glucosyl group Chemical group C1([C@H](O)[C@@H](O)[C@H](O)[C@H](O1)CO)* 0.000 description 2
- ZDXPYRJPNDTMRX-UHFFFAOYSA-N glutamine Natural products OC(=O)C(N)CCC(N)=O ZDXPYRJPNDTMRX-UHFFFAOYSA-N 0.000 description 2
- 229960002743 glutamine Drugs 0.000 description 2
- 239000012535 impurity Substances 0.000 description 2
- 230000002779 inactivation Effects 0.000 description 2
- BAUYGSIQEAFULO-UHFFFAOYSA-L iron(2+) sulfate (anhydrous) Chemical compound [Fe+2].[O-]S([O-])(=O)=O BAUYGSIQEAFULO-UHFFFAOYSA-L 0.000 description 2
- 230000002427 irreversible effect Effects 0.000 description 2
- 239000000787 lecithin Substances 0.000 description 2
- 235000010445 lecithin Nutrition 0.000 description 2
- 229940067606 lecithin Drugs 0.000 description 2
- 230000003859 lipid peroxidation Effects 0.000 description 2
- 210000004962 mammalian cell Anatomy 0.000 description 2
- 238000002156 mixing Methods 0.000 description 2
- 230000007170 pathology Effects 0.000 description 2
- 229940049954 penicillin Drugs 0.000 description 2
- 238000000746 purification Methods 0.000 description 2
- 239000011541 reaction mixture Substances 0.000 description 2
- 238000011160 research Methods 0.000 description 2
- 150000003839 salts Chemical class 0.000 description 2
- 239000002356 single layer Substances 0.000 description 2
- 239000001509 sodium citrate Substances 0.000 description 2
- 229960005322 streptomycin Drugs 0.000 description 2
- 239000006228 supernatant Substances 0.000 description 2
- 230000002194 synthesizing effect Effects 0.000 description 2
- DNIAPMSPPWPWGF-GSVOUGTGSA-N (R)-(-)-Propylene glycol Chemical compound C[C@@H](O)CO DNIAPMSPPWPWGF-GSVOUGTGSA-N 0.000 description 1
- YHBWXWLDOKIVCJ-UHFFFAOYSA-N 2-[2-(2-methoxyethoxy)ethoxy]acetic acid Chemical compound COCCOCCOCC(O)=O YHBWXWLDOKIVCJ-UHFFFAOYSA-N 0.000 description 1
- FHVDTGUDJYJELY-UHFFFAOYSA-N 6-{[2-carboxy-4,5-dihydroxy-6-(phosphanyloxy)oxan-3-yl]oxy}-4,5-dihydroxy-3-phosphanyloxane-2-carboxylic acid Chemical compound O1C(C(O)=O)C(P)C(O)C(O)C1OC1C(C(O)=O)OC(OP)C(O)C1O FHVDTGUDJYJELY-UHFFFAOYSA-N 0.000 description 1
- 208000024827 Alzheimer disease Diseases 0.000 description 1
- 241000894006 Bacteria Species 0.000 description 1
- 201000004569 Blindness Diseases 0.000 description 1
- 229920001661 Chitosan Polymers 0.000 description 1
- 229920002261 Corn starch Polymers 0.000 description 1
- 206010012289 Dementia Diseases 0.000 description 1
- 206010012689 Diabetic retinopathy Diseases 0.000 description 1
- KCXVZYZYPLLWCC-UHFFFAOYSA-N EDTA Chemical compound OC(=O)CN(CC(O)=O)CCN(CC(O)=O)CC(O)=O KCXVZYZYPLLWCC-UHFFFAOYSA-N 0.000 description 1
- UFHFLCQGNIYNRP-UHFFFAOYSA-N Hydrogen Chemical compound [H][H] UFHFLCQGNIYNRP-UHFFFAOYSA-N 0.000 description 1
- DGAQECJNVWCQMB-PUAWFVPOSA-M Ilexoside XXIX Chemical compound C[C@@H]1CC[C@@]2(CC[C@@]3(C(=CC[C@H]4[C@]3(CC[C@@H]5[C@@]4(CC[C@@H](C5(C)C)OS(=O)(=O)[O-])C)C)[C@@H]2[C@]1(C)O)C)C(=O)O[C@H]6[C@@H]([C@H]([C@@H]([C@H](O6)CO)O)O)O.[Na+] DGAQECJNVWCQMB-PUAWFVPOSA-M 0.000 description 1
- 241000699670 Mus sp. Species 0.000 description 1
- 208000018737 Parkinson disease Diseases 0.000 description 1
- 229920003171 Poly (ethylene oxide) Polymers 0.000 description 1
- 229920002873 Polyethylenimine Polymers 0.000 description 1
- 201000007737 Retinal degeneration Diseases 0.000 description 1
- 229920002125 Sokalan® Polymers 0.000 description 1
- 244000061456 Solanum tuberosum Species 0.000 description 1
- 235000002595 Solanum tuberosum Nutrition 0.000 description 1
- 241000700605 Viruses Species 0.000 description 1
- 239000002253 acid Substances 0.000 description 1
- 238000005903 acid hydrolysis reaction Methods 0.000 description 1
- 239000002671 adjuvant Substances 0.000 description 1
- 239000002156 adsorbate Substances 0.000 description 1
- 230000032683 aging Effects 0.000 description 1
- 229940072056 alginate Drugs 0.000 description 1
- 235000010443 alginic acid Nutrition 0.000 description 1
- 229920000615 alginic acid Polymers 0.000 description 1
- -1 aliphatic alcohols Chemical class 0.000 description 1
- 206010002026 amyotrophic lateral sclerosis Diseases 0.000 description 1
- 206010003246 arthritis Diseases 0.000 description 1
- 230000033228 biological regulation Effects 0.000 description 1
- 239000007853 buffer solution Substances 0.000 description 1
- 238000004364 calculation method Methods 0.000 description 1
- 150000001720 carbohydrates Chemical class 0.000 description 1
- 235000014633 carbohydrates Nutrition 0.000 description 1
- 229910002091 carbon monoxide Inorganic materials 0.000 description 1
- 230000003833 cell viability Effects 0.000 description 1
- 230000019522 cellular metabolic process Effects 0.000 description 1
- HSJPMRKMPBAUAU-UHFFFAOYSA-N cerium(3+);trinitrate Chemical compound [Ce+3].[O-][N+]([O-])=O.[O-][N+]([O-])=O.[O-][N+]([O-])=O HSJPMRKMPBAUAU-UHFFFAOYSA-N 0.000 description 1
- ITZXULOAYIAYNU-UHFFFAOYSA-N cerium(4+) Chemical compound [Ce+4] ITZXULOAYIAYNU-UHFFFAOYSA-N 0.000 description 1
- 239000010415 colloidal nanoparticle Substances 0.000 description 1
- 239000008120 corn starch Substances 0.000 description 1
- 230000006378 damage Effects 0.000 description 1
- 238000004042 decolorization Methods 0.000 description 1
- 238000000354 decomposition reaction Methods 0.000 description 1
- 230000003247 decreasing effect Effects 0.000 description 1
- 238000013461 design Methods 0.000 description 1
- 238000010790 dilution Methods 0.000 description 1
- 239000012895 dilution Substances 0.000 description 1
- 239000012153 distilled water Substances 0.000 description 1
- 238000001035 drying Methods 0.000 description 1
- 230000004064 dysfunction Effects 0.000 description 1
- 230000002900 effect on cell Effects 0.000 description 1
- 238000005516 engineering process Methods 0.000 description 1
- 230000007071 enzymatic hydrolysis Effects 0.000 description 1
- 238000006047 enzymatic hydrolysis reaction Methods 0.000 description 1
- 206010015037 epilepsy Diseases 0.000 description 1
- 235000013305 food Nutrition 0.000 description 1
- 235000013373 food additive Nutrition 0.000 description 1
- 239000002778 food additive Substances 0.000 description 1
- 235000012041 food component Nutrition 0.000 description 1
- 239000005428 food component Substances 0.000 description 1
- 239000012634 fragment Substances 0.000 description 1
- 208000024908 graft versus host disease Diseases 0.000 description 1
- 239000001963 growth medium Substances 0.000 description 1
- 239000001257 hydrogen Substances 0.000 description 1
- 229910052739 hydrogen Inorganic materials 0.000 description 1
- 230000007062 hydrolysis Effects 0.000 description 1
- 238000006460 hydrolysis reaction Methods 0.000 description 1
- 230000001506 immunosuppresive effect Effects 0.000 description 1
- 238000000338 in vitro Methods 0.000 description 1
- 229910052500 inorganic mineral Inorganic materials 0.000 description 1
- 229910000358 iron sulfate Inorganic materials 0.000 description 1
- WVLDCUJMGWFHGE-UHFFFAOYSA-L iron(2+);sulfate;hexahydrate Chemical compound O.O.O.O.O.O.[Fe+2].[O-]S([O-])(=O)=O WVLDCUJMGWFHGE-UHFFFAOYSA-L 0.000 description 1
- 230000007774 longterm Effects 0.000 description 1
- 210000004698 lymphocyte Anatomy 0.000 description 1
- 210000002540 macrophage Anatomy 0.000 description 1
- 208000002780 macular degeneration Diseases 0.000 description 1
- 230000007257 malfunction Effects 0.000 description 1
- 238000005259 measurement Methods 0.000 description 1
- 230000007246 mechanism Effects 0.000 description 1
- 229910052751 metal Inorganic materials 0.000 description 1
- 239000002184 metal Substances 0.000 description 1
- 150000002739 metals Chemical class 0.000 description 1
- JFTBTTPUYRGXDG-UHFFFAOYSA-N methyl violet Chemical compound Cl.C1=CC(=NC)C=CC1=C(C=1C=CC(=CC=1)N(C)C)C1=CC=C(N(C)C)C=C1 JFTBTTPUYRGXDG-UHFFFAOYSA-N 0.000 description 1
- 239000000693 micelle Substances 0.000 description 1
- 238000001000 micrograph Methods 0.000 description 1
- 239000011707 mineral Substances 0.000 description 1
- 201000006417 multiple sclerosis Diseases 0.000 description 1
- 230000000626 neurodegenerative effect Effects 0.000 description 1
- 235000015097 nutrients Nutrition 0.000 description 1
- 239000003960 organic solvent Substances 0.000 description 1
- 230000003647 oxidation Effects 0.000 description 1
- 238000007254 oxidation reaction Methods 0.000 description 1
- 230000036961 partial effect Effects 0.000 description 1
- 230000008506 pathogenesis Effects 0.000 description 1
- 150000002978 peroxides Chemical class 0.000 description 1
- 239000004584 polyacrylic acid Substances 0.000 description 1
- 238000006116 polymerization reaction Methods 0.000 description 1
- 229920000036 polyvinylpyrrolidone Polymers 0.000 description 1
- 239000001267 polyvinylpyrrolidone Substances 0.000 description 1
- 235000013855 polyvinylpyrrolidone Nutrition 0.000 description 1
- 229920001592 potato starch Polymers 0.000 description 1
- 238000001556 precipitation Methods 0.000 description 1
- 238000012545 processing Methods 0.000 description 1
- 230000009979 protective mechanism Effects 0.000 description 1
- 230000001105 regulatory effect Effects 0.000 description 1
- 230000000241 respiratory effect Effects 0.000 description 1
- 230000004258 retinal degeneration Effects 0.000 description 1
- 230000002441 reversible effect Effects 0.000 description 1
- 238000000926 separation method Methods 0.000 description 1
- 210000002966 serum Anatomy 0.000 description 1
- 229910052708 sodium Inorganic materials 0.000 description 1
- 239000011734 sodium Substances 0.000 description 1
- NLJMYIDDQXHKNR-UHFFFAOYSA-K sodium citrate Chemical compound O.O.[Na+].[Na+].[Na+].[O-]C(=O)CC(O)(CC([O-])=O)C([O-])=O NLJMYIDDQXHKNR-UHFFFAOYSA-K 0.000 description 1
- 238000001179 sorption measurement Methods 0.000 description 1
- 230000006641 stabilisation Effects 0.000 description 1
- 238000011105 stabilization Methods 0.000 description 1
- 230000004936 stimulating effect Effects 0.000 description 1
- 239000000725 suspension Substances 0.000 description 1
- 238000012360 testing method Methods 0.000 description 1
- 231100000331 toxic Toxicity 0.000 description 1
- 230000002588 toxic effect Effects 0.000 description 1
- 238000004627 transmission electron microscopy Methods 0.000 description 1
- KPZSTOVTJYRDIO-UHFFFAOYSA-K trichlorocerium;heptahydrate Chemical compound O.O.O.O.O.O.O.Cl[Ce](Cl)Cl KPZSTOVTJYRDIO-UHFFFAOYSA-K 0.000 description 1
- HRXKRNGNAMMEHJ-UHFFFAOYSA-K trisodium citrate Chemical compound [Na+].[Na+].[Na+].[O-]C(=O)CC(O)(CC([O-])=O)C([O-])=O HRXKRNGNAMMEHJ-UHFFFAOYSA-K 0.000 description 1
- 229940038773 trisodium citrate Drugs 0.000 description 1
- 210000004881 tumor cell Anatomy 0.000 description 1
- 230000035899 viability Effects 0.000 description 1
- 238000005406 washing Methods 0.000 description 1
Images
Landscapes
- Medicinal Preparation (AREA)
- Pharmaceuticals Containing Other Organic And Inorganic Compounds (AREA)
Abstract
Изобретение относится к способу получения покрытого стабилизирующей оболочкой нанокристаллического диоксида церия, который характеризуется антиоксидантной активностью. Способ включает приготовление водного раствора соли церия и стабилизатора, представляющего собой мальтодекстрин, с мольным соотношением церия и стабилизатора 1 к 1÷4. Затем к полученному водному раствору по каплям при перемешивании добавляют водный раствор аммиака и медленно повышают рН полученного раствора до значения 7÷8, выдерживают в течение 1÷4 часов, к полученному коллоидному раствору наночастиц гидроксосоединений церия добавляют водный раствор аммиака и повышают рН до 11÷12 и выдерживают в течение 1÷10 часов до образования коллоидного раствора диоксида церия. После этого добавляют избыток спирта или кетона и доводят до кипения, а образовавшийся осадок неагрегированных наночастиц диоксида церия, покрытого стабилизирующей оболочкой, отделяют декантацией или фильтрованием, промывают 1-4 раза спиртом или кетоном и высушивают при температуре 50-80°С до постоянного веса. Редиспергирование полученного порошка неагрегированных наночастиц диоксида церия, покрытого стабилизирующей оболочкой, в полярном растворителе приводит к образованию агрегативно-устойчивого золя. Изобретение обеспечивает получение нанокристаллического стабилизированного диоксида церия с гидродинамическим диаметром 6-10 нм. 2 з.п. ф-лы, 7 ил., 4 пр.
Description
Изобретение относится к химической технологии, нанотехнологии и биотехнологии, а именно к антиоксидантному препарату на основе нанокристаллического диоксида церия и стабилизатора, предназначенному для защиты клеток живого организма от окислительного стресса, в частности к способу его получения.
Окислительный стресс участвует в патогенезе более 100 разных заболеваний - прежде всего нейродегенеративных, таких как болезнь Альцгеймера и другие типы деменций, болезнь Паркинсона, боковой амиотрофический склероз, эпилепсия и рассеянный склероз. Помимо перечисленных болезней окислительный стресс считается участником других патологий - артрита, кардиологических дисфункций и заболеваний, вызывающих необратимую слепоту, например диабетическую ретинопатию, макулярную и ретинальную дегенерацию. Наконец, старение любого организма сопровождается окислительным стрессом, так как активность естественной антиоксидантной системы с возрастом снижается, а концентрация продуктов перекисного окисления липидов увеличивается. Таким образом, из-за нарушения нормальной работы антиоксидантной системы организма или значительного повышения уровня экзогенных активных форм кислорода возможны крайне тяжелые последствия. В подобных ситуациях для защиты организма необходимы разного рода антиоксиданты.
С другой стороны, активные формы кислорода принимают участие в метаболизме клетки, прежде всего в дыхательных и энергетических процессах, а также в качестве компонентов защитного механизма против инородных факторов, в том числе вирусов и бактерий. Таким образом, возникает задача целенаправленного регулирования уровня активных форм кислорода в клетке.
Известно, что нанокристаллический диоксид церия проявляет высокую антиоксидантную активность [В.К.Иванов, А.Б.Щербаков и А.В.Усатенко, Успехи химии 78, (9), 924 (2009)], однако в приведенной работе отсутствуют указания на способы получения фармацевтически приемлемых лекарственных форм стабилизированного защитной оболочкой диоксида церия.
Известно также множество способов получения покрытого стабилизирующей оболочкой нанокристаллического диоксида церия, но лишь немногие из них отвечают критериям, предъявляемым к фармацевтически приемлемым лекарственным формам. Характеристики используемых препаратов определяются не только размером частиц нанокристаллического диоксида церия и состоянием его поверхности, но и свойствами стабилизирующей оболочки.
Так, известен способ синтеза водорастворимого биосовместимого стабилизированного золя нанокристаллического диоксида церия [A.S.Karakoti, N.A.Monteiro-Riviere, R.Aggarwal, et al., J. Minerals, Metals and Materials Soc. 60 (3), 33 (2008)]. Недостатком данного способа является то, что он не предлагает практический метод задания размера частиц диоксида церия для регулирования антиоксидантной активности получаемого препарата по отношению к активным формам кислорода.
В работе [Y.Т.Tsai, J.Oca-Cossio, K.Agering, et al., Nanomed. 2 (3), 325 (2007)] в качестве стабилизатора нанокристаллического диоксида церия использовали нетоксичный лецитин. Размер частиц CeO2 в полученном золе составлял 3,5 нм, при этом золь был устойчив в буферном растворе тринатрийцитрата. К недостатку предложенного способа следует отнести то, что использование лецитина в качестве стабилизатора не позволяет редиспергировать безводный продукт для получения устойчивого водного золя.
Кроме того, не предложен практический метод задания размера частиц диоксида церия для регулирования антиоксидантной активности получаемого препарата по отношению к активным формам кислорода.
В работе [S.Maensiri, С.Masingboon, P.Laokul, et al., Crystal Growth & Design, 7 (5), 950 (2007)] в качестве стабилизатора нанокристаллического диоксида церия был использован альбумин куриного яйца. К сожалению, получаемый при этом продукт оказался неустойчивым и подвергался старению за счет деградации стабилизатора, поэтому он не представляет практического интереса.
В работе [N.Izu, I.Matsubara, Т.Itoh, et al., Bull. Chem. Soc. Japan 81 (6), 761 (2008)] для стабилизации нанокристаллического диоксида церия применяли нетоксичный поливинилпирролидон (молекулярный вес 4250÷18000 г/моль), однако использование такого стабилизатора приводило к тому, что размер получаемых частиц CeO2 оказывался слишком большим (50÷100 нм), и поэтому получаемый золь нанокристаллического диоксида церия не проявлял достаточной антиоксидантной активности.
Известно изобретение [WO/2008/030815], в котором в качестве стабилизатора нанокристаллического диоксида церия используют 2-[2-(2-метоксиэтокси)этокси]уксусную кислоту или этилендиаминтетрауксусную кислоту.
Использование предложенных стабилизаторов не позволяет редиспергировать безводный продукт для получения устойчивого водного золя, что ограничивает его практическое использование. Кроме того, использование данного стабилизатора не позволяет регулировать размер частиц диоксида церия и тем самым регулировать его антиоксидантную активность по отношению к активным формам кислорода.
Известно изобретение [WO/2008/083401], в котором описан способ синтеза нанокристаллического диоксида церия в обратных мицеллах с использованием в качестве стабилизатора бис-2-этилгексилсульфосукцината натрия (АОТ) и проведением дополнительной стабилизации полученных частиц цитратом натрия.
Предложенный авторами способ позволяет получать нанокристаллический диоксид церия с размером частиц от 2 нм до 10 нм. Однако синтез осуществляется в среде токсичных органических растворителей (гексан, бензол, толуол), которые могут загрязнять получаемый продукт и препятствовать его использованию для защиты биологических объектов от окислительного стресса. Также использование АОТ не позволяет высушивать, длительно хранить и редиспергировать частицы диоксида церия.
В работе [A.S.Karakoti, S. V. N. Т. Kuchibhatla, K.S.Babu, and S.Seal, J.Phys. Chem. С 111 (46), 17232 (2007)] показано, что покрытый стабилизирующей оболочкой нанокристаллический диоксид церия может быть получен с использованием в качестве стабилизатора полигидроксильных соединений.
В изобретении [US 2010098768] теми же авторами предлагается использовать в качестве стабилизатора нанокристаллического диоксида церия полиэтиленоксид, декстран, полиэтиленимин, полиакриловую кислоту, хитозан, альгинат или их комбинацию.
Обе вышеуказанные работы не раскрывают способов варьирования размера частиц диоксида церия для целенаправленного регулирования степени защиты от окислительного стресса и не описывают способы очистки золей. В этих работах также не получены редиспергируемые формы наночастиц стабилизированного диоксида церия, что, по нашему мнению, связано с агрегированностью получаемых наночастиц.
Известен способ [J.M.Perez, A.Asati, S.Nath, and A.Kaittanis, Small, 4, 552 (2008)] получения покрытого стабилизирующей оболочкой нанокристаллического диоксида церия с использованием в качестве стабилизатора биологически-допустимого декстрана Т10, который выбран в качестве прототипа.
Данный способ получения включает в себя приготовление раствора, приготовленного смешением 5 мл раствора нитрата церия(III) (Aldrich, 99%) с концентрацией 1.0 М и 10 мл раствора декстрана Т10 с молекулярным весом 10000 г/моль (Amersham Bioscience), являющегося низкомолекулярным полигидроксильным соединением, с концентрацией 1.0 М, прикапывание приготовленного раствора к 30 мл водного раствора аммиака (Sigma Aldrich, 30%) и перемешивание полученной смеси в течение 24 ч при 25°C, центрифугирование смеси в течение 30 мин при скорости вращения ротора 4000 об/мин для отделения крупных агрегатов частиц, концентрирование и очистку полученного коллоидного раствора от свободного декстрана Т10 с помощью фильтрационной ячейки Amicon (YM 30 K; Millipore Inc.), для последующего хранения при температуре 4°C. Полученная композиция для защиты биологических объектов от окислительного стресса содержала нанокристаллический диоксид церия размером 4 нм, покрытый стабилизирующей оболочкой молекул декстрана Т10.
Недостатком прототипа является то, что высокая скорость процесса образования нанокристаллического диоксида церия, связанная с добавлением раствора соли церия в раствор аммиака, а не наоборот, не позволяет регулировать размер частиц нанокристаллического диоксида церия для направленного регулирования степени защиты от окислительного стресса, и отсутствуют данные о получении продукта в виде сухого порошка, который можно было бы полностью редиспергировать в воде или другом полярном растворителе, что связано с агрегированностью получаемых в коллоидном растворе наночастиц.
Изобретение направлено на изыскание способа получения препарата для защиты биологических объектов от окислительного стресса, содержащего покрытый стабилизирующей оболочкой нанокристаллический диоксид церия с гидродинамическим диаметром 6÷10 нм и размером частиц собственно нанокристаллического диоксида церия 2÷5 нм, характеризующегося возможностью получения продукта с высокой антиоксидантной активностью, дающего возможность направленно задавать размер частиц нанокристаллического диоксида церия за счет варьирования мольного отношения соли церия и стабилизатора в водном растворе для направленного регулирования степени защиты от окислительного стресса, наличием простой стадии очистки от примесей, устойчивостью получаемого продукта при хранении в безводном порошкообразном состоянии, возможностью полного редиспергирования высушенного порошка в воде или другом подходящем полярном растворителе, например диметилсульфоксиде, формамиде, этиленгликоле, глицерине, с образованием устойчивого золя как с низкой, так и с высокой концентрацией за счет создания условий для предотвращения агрегирования частиц в коллоидном растворе, а также простотой технологического оформления.
Технический результат достигается тем, что предложен способ получения покрытого стабилизирующей оболочкой нанокристаллического диоксида церия, характеризующегося антиоксидантной активностью, заключающийся в том, что готовят водный раствор соли церия и стабилизатора с мольным соотношением церия и стабилизатора 1:1÷4, в пересчете на количество мономеров в структуре стабилизатора, в качестве стабилизатора используют мальтодекстрин, при этом к полученному водному раствору по каплям при перемешивании добавляют водный раствор аммиака и медленно повышают рН полученного раствора до значения 7÷8, выдерживают в течение 1÷4 часов, к полученному коллоидному раствору наночастиц гидроксосоединений церия добавляют водный раствор аммиака и повышают рН до 11÷12, после чего выдерживают в течение 1÷10 часов до образования коллоидного раствора диоксида церия, затем добавляют избыток спирта, выбранного из ряда: метанол, этанол, изопропанол, пропанол; или кетона, выбранного из ряда: диметилкетон, метилэтилкетон, диэтилкетон; и доводят до кипения, образовавшийся осадок неагрегированных наночастиц диоксида церия, покрытого стабилизирующей оболочкой, отделяют декантацией или фильтрованием, промывают 1÷4 раза указанными спиртом или кетоном и высушивают при температуре 50÷80°С до постоянного веса, при этом редиспергирование полученного порошка неагрегированных наночастиц диоксида церия, покрытого стабилизирующей оболочкой, в полярном растворителе приводит к образованию агрегативно-устойчивого золя.
Целесообразно, что в качестве соли церия используют водорастворимые соли церия с растворимостью не менее 6×10-3 моль церия в 1 л воды.
Возможно, что в качестве полярного растворителя используют воду, диметилсульфоксид, формамид, этиленгликоль, глицерин.
Сущность изобретения заключается в том, что для получения неагрегированных форм покрытого стабилизирующей оболочкой нанокристаллического диоксида церия осуществляют медленное повышение рН раствора содержащего соль церия и стабилизатор до образования гидроксосоединений церия, путем прикапывания раствора аммиака к раствору, а не наоборот, для создания условий для предотвращения агрегирования частиц в коллоидном растворе, в дальнейшем осуществляют выдерживание полученного коллоидного раствора частиц гидроксосоединений церия, после чего повышают рН раствора для превращения гидроксосоединений церия в нанокристаллический диоксид церия (НДЦ). В отличие от прототипа очистку покрытого стабилизирующей оболочкой нанокристаллического диоксида церия проводят не непосредственно после образования коллоидного раствора, а после осаждения полученных неагрегированных частиц путем кипячения в спирте или кетоне.
Указанная техническая задача и указанный технический результат достигается благодаря использованию в качестве стабилизатора нетоксичного, доступного и недорогого мальтодекстрина, образующего в любых концентрациях невязкие растворы.
Мальтодекстрин представляет собой продукт неполного кислотного или ферментативного гидролиза картофельного или кукурузного крахмала.
Известно, что мальтодекстрин используется в качестве инертного вспомогательного вещества в производстве пищевых добавок, поскольку по данным FDA он является безопасным пищевым компонентом и одобрен для применения в сфере пищевой промышленности.
Мальтодекстрин представляет собой смесь углеводов, имеющих в своей цепи 2÷20 структурных элементов глюкозы, соединенных α-(1→4) гликозидными связями.
Кроме того, указанный стабилизатор обеспечивает получение неагрегированных частиц и стабилизацию золя за счет действия стерического фактора, препятствующего агрегированию частиц за счет пространственного разделения как наночастиц гидроксосоединений церия в ходе проведения синтеза, так и нанокристаллического диоксида церия.
Размер получаемых частиц нанокристаллического диоксида церия регулируют соотношением концентраций исходных соединений церия и стабилизатора. Полученный золь покрытого стабилизирующей оболочкой нанокристаллического диоксида церия осаждают и многократно промывают низшими алифатическими спиртами или кетонами, высушивают и хранят в соотвествующих условиях. С целью биомедицинского применения порошкообразный продукт редиспергируют в воде с образованием растворов нанокристаллического диоксида церия требуемой концентрации, либо используют в виде порошка, например, для перорального введения.
Сущность заявляемого изобретения поясняется следующими прилагаемыми иллюстрациями:
Фиг.1. Электронные микрофотографии и результаты динамического светорассеяния золей, полученных согласно Примерам 1-4.
Фиг.2. УФ-спектры поглощения полученных золей, согласно Примерам 1-4.
Фиг.3. Значение ширины запрещенной зоны покрытого стабилизирующей оболочкой нанокристаллического диоксида церия, полученного согласно Примерам 1-4.
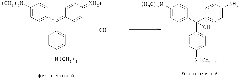
Фиг.4. Изменение оптической плотности растворов красителя метилового фиолетового и двухвалентного железа, содержащих 200 мМ покрытого стабилизирующей оболочкой нанокристаллического диоксида церия, полученного согласно Примерам 1-4, при введении пероксида водорода. Кривая «0» - контроль без введенного покрытого стабилизирующей оболочкой нанокристаллического диоксида церия.
Фиг.5. Относительное количество выживших фибробластов (%), подвергшихся воздействию пероксида водорода после обработки покрытым стабилизирующей оболочкой нанокристаллическим диоксидом церия. Номера колонок соответствуют номерам Примеров 1-4. Колонка «0» соответствует контрольному эксперименту, в котором клетки подвергали воздействию пероксида водорода в присутствии только стабилизатора мальтодекстрина без нанокристаллического диоксида церия.
Фиг.6. Компьютерная модель частицы НДЦ, стабилизированной молекулой мальтодекстрина (n=12) при различной ориентации адсорбата. А - вертикальная ориентация, Б - планарная ориентация.
Фиг.7. Изменение спектров поглощения раствора, содержащего краситель метиловый фиолетовый и соль двухвалентного железа, при введении пероксида водорода: а - исходный раствор, б - 0,01 мл N2O2, в - 0,02 мл H2O2, г - 0,05 мл H2O2, д - 0,1 мл H2O2.
Предлагаемое изобретение реализуется следующим образом. В емкости подходящего объема готовят водный раствор соли церия и мальтодекстрина с декстрозным эквивалентом ДЕ 5-20 с мольным соотношением церия и стабилизатора 1:1÷4, в пересчете на количество мономеров в структуре стабилизатора. При использовании меньшего количества стабилизатора образующийся в результате синтеза золь является агрегативно-неустойчивым, использование большего количества стабилизатора экономически нецелесообразно. При энергичном перемешивании pH раствора медленно повышают с помощью водного раствора аммиака до значения 7÷8 и поддерживают на этом уровне в течение 1÷4 часов для гидролиза соли церия (III) и частичного окисления церия (III) до церия (IV). При меньшей продолжительности данной стадии получающийся продукт при редиспергировании в воде не обладает агрегативной устойчивостью. Увеличение продолжительности данной стадии экономически нецелесообразно. Уменьшение pH раствора приведет к значительному увеличению продолжительности синтеза, что экономически нецелесообразно. Увеличение pH раствора приведет к получению продукта, содержащего полидисперсные частицы диоксида церия, что приведет к значительному снижению антиоксидантной активности конечного продукта, а также к агрегированию наночастиц. После этого pH раствора повышают до 11÷12 и выдерживают в течение 1÷10 часов для формирования нанокристаллического диоксида церия. При меньшей продолжительности данной стадии частицы диоксида церия не успеют полностью закристаллизоваться, что приведет к значительному снижению антиоксидантной активности конечного продукта. Увеличение продолжительности данной стадии не приводит к изменению свойств конечного продукта. Затем в полученный коллоидный раствор нанокристаллического диоксида церия добавляют избыток, например, двукратный по объему, низшего алифатического спирта или кетона и доводят смесь до кипения на водяной бане. При этом образуется творожистый осадок, содержащий частицы покрытого стабилизатором нанокристаллического диоксида церия. Осадок отделяют декантацией или фильтрованием, очищают от примесей и остатков исходных веществ путем промывки 2÷3 раза спиртом или кетоном и высушивают в сушильном шкафу при температуре 50÷80°C до постоянного веса. Полученный порошок хранят в сухом прохладном месте до момента использования. Препарат можно использовать в виде следующих фармацевтически приемлемых лекарственных форм: сухого порошка; золя после редиспергирования сухого порошка в полярном растворителе.
Ниже приведены примеры реализации заявляемого изобретения. Примеры иллюстрируют, но не ограничивают предложенный способ.
Пример 1
1. В трехгорлую колбу, содержащую капельную воронку, электрод pH-метра и мешалку, поместили 3.7 г (0.01 М) гептагидрата хлорида церия (III), 7.3 г мальтодекстрина ДЕ 10-12 (~0.04 М в пересчете на глюкозу) и 200 мл бидистиллированной воды.
2. Включили мешалку и перемешивали систему до полного растворения компонентов.
3. В капельную воронку объемом 50 мл поместили 1 N раствор аммиака, включили pH-метр и при интенсивном перемешивании в реакционную смесь по каплям добавили раствор аммиака.
4. Поддерживали постоянное значение водородного показателя (pH 8). Прозрачный коллоидный раствор при этом приобретал соломенно-желтый цвет, постепенно переходящий в темно-коричневый. Следующую порцию аммиака добавляли после того, как pH раствора опускался ниже pH 7.5.
5. После того как водородный показатель раствора перестал снижаться, прикапывание аммиака прекратили и смесь перемешивали в течение 2 часов.
6. В реакционную смесь добавили водный раствор аммиака до значения водородного показателя pH 12 и перемешивали систему в течение 8 часов.
7. Удалили капельную воронку и электрод pH-метра.
8. Ввели в систему 400 мл изопропилового спирта.
9. При включенной мешалке довели смесь до кипения на водяной бане.
10. Остановили перемешивание и дали возможность сформироваться белому творожистому осадку.
11. Слили надосадочную жидкость и дополнительно ввели в колбу 100 мл изопропилового спирта. Дважды повторили процедуры 9÷10.
12. Осадок количественно перенесли в чашку Петри и сушили в сушильном шкафу при температуре 60°C до постоянного веса (примерно 2÷3 часа).
13. Выход продукта составил около 8 г (~88% от теоретического).
14. Полученный продукт хранили в плотно закрытом флаконе в прохладном месте, защищенном от прямых солнечных лучей.
15. Продукт полностью редиспергировали в полярном растворителе и получали препарат в виде агрегативно-устойчивого золя.
Размер частиц нанокристаллического диоксида церия составил 2 нм, а гидродинамический диаметр частиц покрытого стабилизирующей оболочкой нанокристаллического диоксида церия составил 6 нм (Фиг.1). Спектр поглощения полученного золя в единицах молярной экстинкции приведен на Фиг.2 (кривая 1). Величина ширины запрещенной зоны полученного нанокристаллического диоксида церия составила 3.30 эВ (Фиг.3). Зависимость оптической плотности раствора метилового фиолетового и двухвалентного железа в присутствии полученного таким образом покрытого оболочкой нанокристаллического диоксида церия от объема добавленной к раствору перекиси водорода приведена на Фиг.4 (кривая 1). Достижение технического результата, а именно антиоксидантной активности полученного препарата, показано на Фиг.5.
Дополнительно свойства сухого препарата (размер частиц нанокристаллического диоксида церия и ширина запрещенной зоны), свойства препарата после редиспергирования в воде (гидродинамический диаметр частиц покрытого стабилизирующей оболочкой нанокристаллического диоксида церия, степень защиты от окислительного стресса) были повторно определены после хранения препарата в течение 6 месяцев при температуре 4°C. Оказалось, что характеристики препарата после хранения не отличаются от характеристик исходного препарата более чем на 2%.
Пример 2
Способ получения реализовали аналогично описанному в Примере 1, за исключением того, что количество мальтодекстрина было 5.7 г (~0.03 М в пересчете на глюкозу).
Размер частиц нанокристаллического диоксида церия составил 3 нм, а гидродинамический диаметр частиц покрытого стабилизирующей оболочкой нанокристаллического диоксида церия составил 7 нм (Фиг.1). Спектр поглощения полученного золя в единицах молярной экстинкции приведен на Фиг.2 (кривая 2). Величина ширины запрещенной зоны полученного нанокристаллического диоксида церия составила 3.45 эВ (Фиг.3). Зависимость оптической плотности раствора метилового фиолетового и двухвалентного железа в присутствии полученного таким образом покрытого оболочкой нанокристаллического диоксида церия от объема добавленной к раствору перекиси водорода приведена на Фиг.4 (кривая 2). Достижение технического результата, а именно антиоксидантной активности полученного препарата, показано на Фиг.5.
Пример 3
Способ получения реализовали аналогично описанному в Примере 1, за исключением того, что количество мальтодекстрина было 4 г (~0.022 М в пересчете на глюкозу).
Размер частиц нанокристаллического диоксида церия составил 4 нм, а гидродинамический диаметр частиц покрытого стабилизирующей оболочкой нанокристаллического диоксида церия составил 7.5 нм (Фиг.1). Спектр поглощения полученного золя в единицах молярной экстинкции приведен на Фиг.2 (кривая 3). Величина ширины запрещенной зоны полученного нанокристаллического диоксида церия составила 3.55 эВ (Фиг.3). Зависимость оптической плотности раствора метилового фиолетового и двухвалентного железа в присутствии полученного таким образом покрытого оболочкой нанокристаллического диоксида церия от объема добавленной к раствору перекиси водорода приведена на Фиг.4 (кривая 3). Достижение технического результата, а именно антиоксидантной активности полученного препарата, показано на Фиг.5.
Пример 4
Способ получения реализовали аналогично описанному в Примере 1, за исключением того, что количество мальтодекстрина было 2.3 г (~0.013 М в пересчете на глюкозу).
Размер частиц нанокристаллического диоксида церия составил 5 нм, а гидродинамический диаметр частиц покрытого стабилизирующей оболочкой нанокристаллического диоксида церия составил 10 нм (Фиг.1). Спектр поглощения полученного золя в единицах молярной экстинкции приведен на Фиг.2 (кривая 4). Величина ширины запрещенной зоны полученного нанокристаллического диоксида церия составила 3.62 эВ (Фиг.3). Зависимость оптической плотности раствора метилового фиолетового и двухвалентного железа в присутствии полученного таким образом покрытого оболочкой нанокристаллического диоксида церия от объема добавленной к раствору перекиси водорода приведена на Фиг.4 (кривая 4). Достижение технического результата, а именно антиоксидантной активности полученного препарата, показано на Фиг.5.
Полученные частицы покрытого стабилизирующей оболочкой нанокристаллического диоксида церия проанализировали с помощью методов динамического светорассеяния (в растворе) и просвечивающей электронной микроскопии (Фиг.1). Видно, что, в зависимости от количества использованного стабилизатора, размер частиц варьирует в пределах 2÷5 нм, а их гидродинамический диаметр - в пределах 6÷10 нм. Декстрозный эквивалент (ДЕ) и средняя степень полимеризации (СП) мальдотекстринов связаны соотношением ДЕ×СП=120, следовательно, используемый мальтодекстрин с ДЕ10-12 состоит из амилозных фрагментов, содержащих 10-12 фрагментов глюкозы. Компьютерное моделирование частицы размером 2 нм, стабилизированной низкомолекулярным полигодроксильным соединением амилозой, содержащей соответствующее количество глюкозных звеньев, показывает, что в зависимости от ориентации молекулы стабилизатора размер частицы при адсорбции увеличивается на 2÷6 нм (Фиг.6). Результаты расчета хорошо согласуются с полученными экспериментальными данными. Таким образом, меняя количество стабилизатора, можно целенаправленно управлять размером частиц покрытого стабилизирующей оболочкой нанокристаллического диоксида церия.
От размера частиц диоксида церия зависят кислородная стехиометрия и электронные свойства нанокристаллического диоксида церия [В.К.Иванов, А.Б.Щербаков и А.В.Усатенко, Успехи химии 78, (9), 924 (2009)]. На Фиг.2 приведены спектры поглощения полученных золей (в единицах молярной экстинкции). На Фиг.3 указана ширина запрещенной зоны полученных частиц. Соответственно, кислородная стехиометрия и электронные свойства НДЦ определяют способность частиц участвовать в окислительно-восстановительных процессах, а также способность инактивировать свободные радикалы и защищать от окислительного стресса.
Антиоксидантная активность покрытого стабилизирующей оболочкой нанокристаллического диоксида церия подтверждена следующими исследованиями. Описание методик и результаты проведенных исследований приведены ниже.
Инактивирование гидроксильного радикала.
Высокореакционный короткоживущий гидроксильный радикал (*OH) является одной из самых опасных активных форм кислорода. Гидроксильный радикал легко образуется в процессе реакции Фентона: Fe2++H2O2→Fe3++*OH+OH-.
Данный радикал окисляет многие органические вещества, инициирует цепные реакции перекисного окисления липидов и обесцвечивает красители. Например, с красителем метиловым фиолетовым происходит следующая реакция:
По скорости обесцвечивания красителя метилового фиолетового можно регистрировать образование и расходование в системе гидроксильного радикала [Ying Xue, Qingfen Luan, Dan Yang, Xin Yao, Kebin Zhou, J. Phys. Chem. C, 2011, 115 (11), pp. 4433-4438]. На Фиг.7 приведен набор кривых, характеризующих изменение оптической плотности раствора красителя метилового фиолетового и соли Fe2+ при добавлении различного количества пероксида водорода.
Материалы и методы
Сульфат железа (II) гексагидрат, свежеприготовленный базовый раствор 0,2 М. Пероксид водорода, базовый раствор 0,5 М. Метиловый фиолетовый, базовый раствор 50 мкМ. Порошки покрытого стабилизирующей оболочкой нанокристаллического диоксида церия, полученные согласно методикам, приведенным в Примерах 1-4.
Выполнение эксперимента
К 100 мл базового раствора красителя добавляли 1 мл раствора сульфата железа и регистрировали оптическую плотность. Затем, при перемешивании, к данному раствору добавляли последовательно раствор пероксида водорода (общее количество в системе 0,1 мл; 0,4 мл; 1,0 мл; 2,0 мл; 3,0 мл и т.д.). После каждого добавления H2O2 регистрировали спектр поглощения раствора.
Навеску покрытого стабилизирующей оболочкой нанокристаллического диоксида церия брали таким образом, чтобы независимо от массовой доли основного вещества в образце, содержание диоксида церия в нем было постоянным (200 мкМ). Данное количество вносили в 100 мл базового раствора красителя и выполняли исследование, как описано в предыдущем пункте.
Результаты и выводы
Результаты измерений показаны на Фиг.4.
Из Фиг.4 видно, что покрытый стабилизирующей оболочкой нанокристаллический диоксид церия тормозит разложение красителя под действием гидроксильного радикала, образующегося в системе по реакции Фентона, причем в зависимости от методики получения скорость инактивирования гидроксильного радикала последовательно изменяется. Таким образом, данное изобретение позволяет целенаправленно получать покрытый стабилизирующей оболочкой нанокристаллический диоксид церия с заданными антиоксидантными свойствами по отношению к активным формам кислорода.
Защита клеток млекопитающих от окислительного стресса.
Пероксид водорода является еще одной распространенной формой активных форм кислорода, в том числе исходным веществом для образования гидроксильного радикала в биологической клетке. Известно, что пероксид водорода вызывает необратимые повреждения клеток и гибель по механизму окситоза.
Материалы и методы.
Пероксид водорода, 0.1 М раствор. Клетки мышиных фибробластов (L929). Порошки покрытого стабилизирующей оболочкой нанокристаллического диоксида церия, полученные согласно методикам, приведенным в Примерах 1-4.
Влияние на жизнеспособность клеток покрытого стабилизирующей оболочкой нанокристаллического диоксида церия изучали, используя референтную клеточную линию фибробластов мышей (L929) из музея клеточных культур Института экспериментальной патологии, онкологии и радиобиологии им. Р.Е.Кавецкого НАН Украины.
Для формирования монослоя клеток в лунки планшетов (96-луночные платы «Costar», США) вносили по 0,1 мл суспензии, содержащей 5×105 клеток/мл, и инкубировали 24 часа при 37°C в термостате ТС-80 М-2, в атмосфере с влажностью 98%, содержащей 5% CO2. В качестве среды роста использовали синтетическую питательную среду 199 («Биотестлаборатория», Украина), содержащую 5 - 10% эмбриональной сыворотки телят («Sigma», США), 25 мМ HEPES, 10 мМ глютамина, пенициллина и стрептомицина (по 100 ед/мл каждого).
В состав поддерживающей среды входили: среда 199, 2% эмбриональной сыворотки телят, 25 мМ HEPES, 10 мМ глютамина, пенициллин и стрептомицин (по 100 ед/мл каждого). Для промывки монослоя клеток использовали среду 199 без сыворотки.
Эффект защиты исследуемых золей покрытого стабилизирующей оболочкой нанокристаллического диоксида церия от окислительного стресса определяли по изменению жизнеспособности клеток L929. Каждое разведение исследуемого вещества испытывали трехкратно.
Покрытый стабилизирующей оболочкой нанокристаллический диоксид церия вносили к сформированному монослою клеток за 24 часа до обработки. Навеску покрытого стабилизирующей оболочкой нанокристаллического диоксида церия брали таким образом, чтобы независимо от массовой доли основного вещества в образце, содержание диоксида церия в лунке было постоянным (1 мМ).
Через 4 часа после внесения перекиси водорода в 96-луночные платы со сформированным монослоем (конечная концентрация в лунке составила 0,5 мМ) определяли количество выживших клеток, которое оценивалось по интенсивности окраски клеток кристаллическим фиолетовым согласно [Medvedev A.E., Fuchs В.В., Rakhmilevich A.L. A study of the action of immunosuppressive factors from tumor cells on lymphocytes and macrophages in vitro and on the graft-versus-host reaction in mice // Biomed. Sci. - 1990. - V.3, N.1. - P.261-266].
Для этого из лунок удаляли надосадочную жидкость, а к клеткам на 15 минут вносили 0,2% раствор красителя Crystal Violet («Sigma», США) в 2% этаноле. Краситель удаляли, а окрашенный монослой клеток промывали дистиллированной водой и высушивали. Оптическую плотность окрашенных клеток измеряли на спектрофотометре с вертикальным лучом LabsystemMultiscan (Великобритания) при длине волны 540 нм. Процент окрашенных клеток в опытных лунках определяли по формуле
(Поп-Пкп/Пконтр-Пкп)*100, где
Поп - показатели оптической плотности опытных лунок,
Пконтр - оптическая плотность в интактных, контрольных лунках,
Пкп - оптическая плотность в лунках контроля действия перекиси.
Статистическая обработка данных произведена в соответствии с рекомендациями [Гланц С. Медико-биологическая статистика. - М.: «Практика», 1998. - 459 с., Гублер Е.В., Генкин А.А. Применение непараметрических критериев статистики в медико-биологических исследованиях. - М.: «Медицина», 1973. - 142 с.] с использованием программного комплекса BioStat 2009 Professional 5.8.1. Числовые данные представлены в виде медианы и первого и третьего интерквартильного интервала.
Результаты и выводы по исследованию антиоксидантной активности.
Результаты исследований приведены на Фиг.5. Номера по оси абсцисс соответствуют номерам Примеров. Количество живых клеток без обработки пероксидом водорода и нанокристаллическим диоксидом церия принято за 100%. Значение «0» соответствует контролю культуры, обработанной только пероксидом водорода и стабилизатором (мальтодекстрином) без введения покрытого стабилизирующей оболочкой нанокристаллического диоксида церия. В последнем случае наблюдается отсутствие какого-либо защитного действия и полная гибель культуры клеток.
Из рисунка видно, что покрытый стабилизирующей оболочкой нанокристаллический диоксид церия защищает клетки млекопитающих от гибели под действием пероксида водорода, причем в зависимости от методики получения эффективность защитного действия последовательно изменяется. В ряде случаев (Примеры 1 и 2) после обработки нанокристаллическим диоксидом церия, покрытым стабилизирующей оболочкой и пероксидом водорода, количество живых фибробластов больше, чем в необработанной культуре (значения выше 100%). То есть имеет место не только защитное, но и стимулирующее действие нанокристаллического диоксида церия, полученного согласно предложенному способу. Таким образом, данное изобретение позволяет целенаправленно получать покрытый стабилизирующей оболочкой нанокристаллический диоксид церия с заданными свойствами в отношении к защите биологических объектов от окислительного стресса.
Предложенное изобретение позволяет получить препарат для защиты биологических объектов от окислительного стресса с высокой антиоксидантной активностью, с возможностью направленно варьировать размер частиц диоксида церия, устойчивый при хранении в безводном порошкообразном состоянии, возможностью полного редиспергирования получаемого продукта в воде или другом полярном растворителе, с образованием устойчивого неагрегированного золя как с низкой, так и с высокой концентрацией, а также простотой технологического оформления.
Claims (3)
1. Способ получения покрытого стабилизирующей оболочкой нанокристаллического диоксида церия, характеризующегося антиоксидантной активностью, заключающийся в том, что готовят водный раствор соли церия и стабилизатора с мольным соотношением церия и стабилизатора 1:1÷4, в пересчете на количество мономеров в структуре стабилизатора, отличающийся тем, что в качестве стабилизатора используют мальтодекстрин, при этом к полученному водному раствору по каплям при перемешивании добавляют водный раствор аммиака и медленно повышают рН полученного раствора до значения 7÷8, выдерживают в течение 1÷4 ч, к полученному коллоидному раствору наночастиц гидроксосоединений церия добавляют водный раствор аммиака и повышают рН до 11÷12, после чего выдерживают в течение 1÷10 ч до образования коллоидного раствора диоксида церия, затем добавляют избыток спирта, выбранного из ряда: метанол, этанол, изопропанол, пропанол; или кетона, выбранного из ряда: диметилкетон, метилэтилкетон, диэтилкетон; и доводят до кипения, образовавшийся осадок неагрегированных наночастиц диоксида церия, покрытого стабилизирующей оболочкой, отделяют декантацией или фильтрованием, промывают 1÷4 раза указанным спиртом или кетоном и высушивают при температуре 50÷80°С до постоянного веса, при этом редиспергирование полученного порошка неагрегированных наночастиц диоксида церия, покрытого стабилизирующей оболочкой, в полярном растворителе приводит к образованию агрегативно-устойчивого золя.
2. Способ по п.1, отличающийся тем, что в качестве соли церия используют водорастворимые соли церия с растворимостью не менее 6·10-3 моль церия в 1 л воды.
3. Способ по п.1, отличающийся тем, что в качестве полярного растворителя используют воду, диметилсульфоксид, формамид, этиленгликоль, глицерин.
Priority Applications (1)
| Application Number | Priority Date | Filing Date | Title |
|---|---|---|---|
| RU2012112921/15A RU2484832C1 (ru) | 2012-04-04 | 2012-04-04 | Способ получения покрытого стабилизирующей оболочкой нанокристаллического диоксида церия |
Applications Claiming Priority (1)
| Application Number | Priority Date | Filing Date | Title |
|---|---|---|---|
| RU2012112921/15A RU2484832C1 (ru) | 2012-04-04 | 2012-04-04 | Способ получения покрытого стабилизирующей оболочкой нанокристаллического диоксида церия |
Publications (1)
| Publication Number | Publication Date |
|---|---|
| RU2484832C1 true RU2484832C1 (ru) | 2013-06-20 |
Family
ID=48786153
Family Applications (1)
| Application Number | Title | Priority Date | Filing Date |
|---|---|---|---|
| RU2012112921/15A RU2484832C1 (ru) | 2012-04-04 | 2012-04-04 | Способ получения покрытого стабилизирующей оболочкой нанокристаллического диоксида церия |
Country Status (1)
| Country | Link |
|---|---|
| RU (1) | RU2484832C1 (ru) |
Cited By (3)
| Publication number | Priority date | Publication date | Assignee | Title |
|---|---|---|---|---|
| RU2615688C1 (ru) * | 2016-04-01 | 2017-04-06 | Федеральное государственное бюджетное учреждение науки Институт общей и неорганической химии им. Н.С. Курнакова Российской академии наук (ИОНХ РАН) | Способ получения стабильных водных коллоидных растворов наночастиц диоксида церия |
| RU2753699C1 (ru) * | 2021-01-26 | 2021-08-19 | Общество с ограниченной ответственностью "ТЕРАБИОТИКС" | Композиция для трансдермальной доставки наночастиц |
| CN118620383A (zh) * | 2024-05-22 | 2024-09-10 | 普宁市文略家居有限公司 | 一种耐高温的塑料及其制备方法 |
Citations (1)
| Publication number | Priority date | Publication date | Assignee | Title |
|---|---|---|---|---|
| WO2008083401A1 (en) * | 2007-01-02 | 2008-07-10 | University Of Central Florida Research Foundation Inc. | Methods and materials for stimulating proliferation of stem cells |
-
2012
- 2012-04-04 RU RU2012112921/15A patent/RU2484832C1/ru not_active IP Right Cessation
Patent Citations (1)
| Publication number | Priority date | Publication date | Assignee | Title |
|---|---|---|---|---|
| WO2008083401A1 (en) * | 2007-01-02 | 2008-07-10 | University Of Central Florida Research Foundation Inc. | Methods and materials for stimulating proliferation of stem cells |
Non-Patent Citations (4)
| Title |
|---|
| ASATI A.R. «Synthesis of biocompatible antioxidant polymer coated cerium oxide nanoparticles, its oxidase like behavior and cellular uptake studies» Fall Term 2009 [онлайн]. Зефиров Н.С. Химическая энциклопедия, т.4, 1995. Кнунянц И.Л. Химическая энциклопедия, т.2, 1990, с.376-378. * |
| PEREZ J.M. «Synthesis of biocompatible dextran-coated nanoceria with pH-dependent antioxidant properties». Small. 2008 No.4(5) стр.552-556. * |
| PEREZ J.M. «Synthesis of biocompatible dextran-coated nanoceria with pH-dependent antioxidant properties». Small. 2008 №4(5) стр.552-556. ASATI A.R. «Synthesis of biocompatible antioxidant polymer coated cerium oxide nanoparticles, its oxidase like behavior and cellular uptake studies» Fall Term 2009 [онлайн]. * |
| Зефиров Н.С. Химическая энциклопедия, т.4, 1995. Кнунянц И.Л. Химическая энциклопедия, т.2, 1990, с.376-378. * |
Cited By (3)
| Publication number | Priority date | Publication date | Assignee | Title |
|---|---|---|---|---|
| RU2615688C1 (ru) * | 2016-04-01 | 2017-04-06 | Федеральное государственное бюджетное учреждение науки Институт общей и неорганической химии им. Н.С. Курнакова Российской академии наук (ИОНХ РАН) | Способ получения стабильных водных коллоидных растворов наночастиц диоксида церия |
| RU2753699C1 (ru) * | 2021-01-26 | 2021-08-19 | Общество с ограниченной ответственностью "ТЕРАБИОТИКС" | Композиция для трансдермальной доставки наночастиц |
| CN118620383A (zh) * | 2024-05-22 | 2024-09-10 | 普宁市文略家居有限公司 | 一种耐高温的塑料及其制备方法 |
Similar Documents
| Publication | Publication Date | Title |
|---|---|---|
| Ivanov et al. | Structure-sensitive properties and biomedical applications of nanodispersed cerium dioxide | |
| Taheri et al. | The use of cellulose nanocrystals for potential application in topical delivery of hydroquinone | |
| Kumar et al. | Rapid green synthesis of silver nanoparticles (AgNPs) using (Prunus persica) plants extract: exploring its antimicrobial and catalytic activities | |
| Sowmya et al. | A critical review on nano-selenium based materials: synthesis, biomedicine applications and biocompatibility assessment | |
| Muthulakshmi et al. | Green synthesis of ionic liquid assisted ytterbium oxide nanoparticles by Couroupita guianensis abul leaves extract for biological applications | |
| Cavalu et al. | Preparation, structural characterisation and release study of novel hybrid microspheres entrapping nanoselenium, produced by green synthesis | |
| Shcherbakov et al. | Nanocrystalline ceria based materials—Perspectives for biomedical application | |
| Cui et al. | Cu, Zn, I-doped carbon dots with boosted triple antioxidant nanozyme activity for treatment of DSS-induced colitis | |
| US9624237B2 (en) | Oridonin functionalized selenium nanoparticles and method of preparation thereof | |
| Sharpe et al. | Artificial nanoparticle antioxidants | |
| Bell et al. | Nanoparticle characterization of traditional homeopathically-manufactured silver (Argentum Metallicum) medicines and placebo controls | |
| Wang et al. | Pectin mediated green synthesis of Fe3O4/Pectin nanoparticles under ultrasound condition as an anti-human colorectal carcinoma bionanocomposite | |
| Hamrayev et al. | Biopolymer-based green synthesis of zinc oxide (ZnO) nanoparticles | |
| Abuelsamen et al. | Novel Pluronic F‐127‐coated ZnO nanoparticles: Synthesis, characterization, and their in‐vitro cytotoxicity evaluation | |
| RU2484832C1 (ru) | Способ получения покрытого стабилизирующей оболочкой нанокристаллического диоксида церия | |
| Prashanth et al. | Zinc oxide nanostructures: illuminating the potential in biomedical applications: a brief overview | |
| Shirokikh et al. | Bioavailability of nanoemulsions modified with curcumin and cerium dioxide nanoparticles | |
| Wan et al. | Review of metal–polyphenol self-assembled nanoparticles: synthesis, properties, and biological applications in inflammatory diseases | |
| Gul | Fozia | |
| Elemike et al. | Surface characterisation and reaction kinetics of silver nanoparticles mediated by the leaf and flower extracts of French marigold (Tagetes patula) | |
| Kowalska et al. | Gold nanoparticles and chitosan as innovative compounds in medicine and cosmetology: A review of current applications | |
| Lade et al. | Effect of β-cyclodextrin stabilized silver nanoparticles on gills, kidney, liver of danio rerio | |
| Ugli et al. | Synthesis, Characterization, and Cytotoxic Activity of Stable Selenium Nanoparticles‐Incorporated Carboxymethylcellulose Solution | |
| Khalid et al. | Cytotoxicity of zinc oxide nanoparticles coupled with folic acid and polyethylene glycol. | |
| Jonaidi et al. | Synergistic effects of doxorubicin and nanocellulose-functionalized iron oxide nanozymes: Catalytic efficiency and chemo/chemodynamic cancer therapy approaches |
Legal Events
| Date | Code | Title | Description |
|---|---|---|---|
| MM4A | The patent is invalid due to non-payment of fees |
Effective date: 20200405 |

