KR20210133066A - 건물 내 에너지 최적 제어 장치 및 방법 - Google Patents
건물 내 에너지 최적 제어 장치 및 방법 Download PDFInfo
- Publication number
- KR20210133066A KR20210133066A KR1020200051773A KR20200051773A KR20210133066A KR 20210133066 A KR20210133066 A KR 20210133066A KR 1020200051773 A KR1020200051773 A KR 1020200051773A KR 20200051773 A KR20200051773 A KR 20200051773A KR 20210133066 A KR20210133066 A KR 20210133066A
- Authority
- KR
- South Korea
- Prior art keywords
- data
- energy
- control
- buildings
- building
- Prior art date
- Legal status (The legal status is an assumption and is not a legal conclusion. Google has not performed a legal analysis and makes no representation as to the accuracy of the status listed.)
- Pending
Links
Images
Classifications
-
- G—PHYSICS
- G06—COMPUTING OR CALCULATING; COUNTING
- G06Q—INFORMATION AND COMMUNICATION TECHNOLOGY [ICT] SPECIALLY ADAPTED FOR ADMINISTRATIVE, COMMERCIAL, FINANCIAL, MANAGERIAL OR SUPERVISORY PURPOSES; SYSTEMS OR METHODS SPECIALLY ADAPTED FOR ADMINISTRATIVE, COMMERCIAL, FINANCIAL, MANAGERIAL OR SUPERVISORY PURPOSES, NOT OTHERWISE PROVIDED FOR
- G06Q50/00—Information and communication technology [ICT] specially adapted for implementation of business processes of specific business sectors, e.g. utilities or tourism
- G06Q50/06—Energy or water supply
-
- G—PHYSICS
- G06—COMPUTING OR CALCULATING; COUNTING
- G06F—ELECTRIC DIGITAL DATA PROCESSING
- G06F18/00—Pattern recognition
- G06F18/20—Analysing
- G06F18/23—Clustering techniques
- G06F18/232—Non-hierarchical techniques
- G06F18/2321—Non-hierarchical techniques using statistics or function optimisation, e.g. modelling of probability density functions
- G06F18/23213—Non-hierarchical techniques using statistics or function optimisation, e.g. modelling of probability density functions with fixed number of clusters, e.g. K-means clustering
-
- G06K9/6223—
-
- G—PHYSICS
- G06—COMPUTING OR CALCULATING; COUNTING
- G06Q—INFORMATION AND COMMUNICATION TECHNOLOGY [ICT] SPECIALLY ADAPTED FOR ADMINISTRATIVE, COMMERCIAL, FINANCIAL, MANAGERIAL OR SUPERVISORY PURPOSES; SYSTEMS OR METHODS SPECIALLY ADAPTED FOR ADMINISTRATIVE, COMMERCIAL, FINANCIAL, MANAGERIAL OR SUPERVISORY PURPOSES, NOT OTHERWISE PROVIDED FOR
- G06Q10/00—Administration; Management
- G06Q10/04—Forecasting or optimisation specially adapted for administrative or management purposes, e.g. linear programming or "cutting stock problem"
-
- G—PHYSICS
- G06—COMPUTING OR CALCULATING; COUNTING
- G06Q—INFORMATION AND COMMUNICATION TECHNOLOGY [ICT] SPECIALLY ADAPTED FOR ADMINISTRATIVE, COMMERCIAL, FINANCIAL, MANAGERIAL OR SUPERVISORY PURPOSES; SYSTEMS OR METHODS SPECIALLY ADAPTED FOR ADMINISTRATIVE, COMMERCIAL, FINANCIAL, MANAGERIAL OR SUPERVISORY PURPOSES, NOT OTHERWISE PROVIDED FOR
- G06Q50/00—Information and communication technology [ICT] specially adapted for implementation of business processes of specific business sectors, e.g. utilities or tourism
- G06Q50/10—Services
-
- Y—GENERAL TAGGING OF NEW TECHNOLOGICAL DEVELOPMENTS; GENERAL TAGGING OF CROSS-SECTIONAL TECHNOLOGIES SPANNING OVER SEVERAL SECTIONS OF THE IPC; TECHNICAL SUBJECTS COVERED BY FORMER USPC CROSS-REFERENCE ART COLLECTIONS [XRACs] AND DIGESTS
- Y04—INFORMATION OR COMMUNICATION TECHNOLOGIES HAVING AN IMPACT ON OTHER TECHNOLOGY AREAS
- Y04S—SYSTEMS INTEGRATING TECHNOLOGIES RELATED TO POWER NETWORK OPERATION, COMMUNICATION OR INFORMATION TECHNOLOGIES FOR IMPROVING THE ELECTRICAL POWER GENERATION, TRANSMISSION, DISTRIBUTION, MANAGEMENT OR USAGE, i.e. SMART GRIDS
- Y04S10/00—Systems supporting electrical power generation, transmission or distribution
- Y04S10/50—Systems or methods supporting the power network operation or management, involving a certain degree of interaction with the load-side end user applications
-
- Y—GENERAL TAGGING OF NEW TECHNOLOGICAL DEVELOPMENTS; GENERAL TAGGING OF CROSS-SECTIONAL TECHNOLOGIES SPANNING OVER SEVERAL SECTIONS OF THE IPC; TECHNICAL SUBJECTS COVERED BY FORMER USPC CROSS-REFERENCE ART COLLECTIONS [XRACs] AND DIGESTS
- Y04—INFORMATION OR COMMUNICATION TECHNOLOGIES HAVING AN IMPACT ON OTHER TECHNOLOGY AREAS
- Y04S—SYSTEMS INTEGRATING TECHNOLOGIES RELATED TO POWER NETWORK OPERATION, COMMUNICATION OR INFORMATION TECHNOLOGIES FOR IMPROVING THE ELECTRICAL POWER GENERATION, TRANSMISSION, DISTRIBUTION, MANAGEMENT OR USAGE, i.e. SMART GRIDS
- Y04S20/00—Management or operation of end-user stationary applications or the last stages of power distribution; Controlling, monitoring or operating thereof
- Y04S20/20—End-user application control systems
- Y04S20/222—Demand response systems, e.g. load shedding, peak shaving
-
- Y—GENERAL TAGGING OF NEW TECHNOLOGICAL DEVELOPMENTS; GENERAL TAGGING OF CROSS-SECTIONAL TECHNOLOGIES SPANNING OVER SEVERAL SECTIONS OF THE IPC; TECHNICAL SUBJECTS COVERED BY FORMER USPC CROSS-REFERENCE ART COLLECTIONS [XRACs] AND DIGESTS
- Y04—INFORMATION OR COMMUNICATION TECHNOLOGIES HAVING AN IMPACT ON OTHER TECHNOLOGY AREAS
- Y04S—SYSTEMS INTEGRATING TECHNOLOGIES RELATED TO POWER NETWORK OPERATION, COMMUNICATION OR INFORMATION TECHNOLOGIES FOR IMPROVING THE ELECTRICAL POWER GENERATION, TRANSMISSION, DISTRIBUTION, MANAGEMENT OR USAGE, i.e. SMART GRIDS
- Y04S20/00—Management or operation of end-user stationary applications or the last stages of power distribution; Controlling, monitoring or operating thereof
- Y04S20/20—End-user application control systems
- Y04S20/242—Home appliances
Landscapes
- Business, Economics & Management (AREA)
- Engineering & Computer Science (AREA)
- Economics (AREA)
- Tourism & Hospitality (AREA)
- Theoretical Computer Science (AREA)
- Human Resources & Organizations (AREA)
- Strategic Management (AREA)
- Physics & Mathematics (AREA)
- General Physics & Mathematics (AREA)
- Health & Medical Sciences (AREA)
- Marketing (AREA)
- General Business, Economics & Management (AREA)
- General Health & Medical Sciences (AREA)
- Primary Health Care (AREA)
- Data Mining & Analysis (AREA)
- Game Theory and Decision Science (AREA)
- Operations Research (AREA)
- Public Health (AREA)
- Water Supply & Treatment (AREA)
- Quality & Reliability (AREA)
- Entrepreneurship & Innovation (AREA)
- Development Economics (AREA)
- Artificial Intelligence (AREA)
- Life Sciences & Earth Sciences (AREA)
- Probability & Statistics with Applications (AREA)
- Bioinformatics & Cheminformatics (AREA)
- Bioinformatics & Computational Biology (AREA)
- Computer Vision & Pattern Recognition (AREA)
- Evolutionary Biology (AREA)
- Evolutionary Computation (AREA)
- General Engineering & Computer Science (AREA)
- Supply And Distribution Of Alternating Current (AREA)
Abstract
Description
도 2는 일 실시예에 따른, 건물 내 에너지 제어 장치를 포함한 시스템의 작동 개요를 도시한 도면이다.
도 3은 일 실시예에 따른, 건물 내 에너지 제어 장치의 구성을 도시한 도면이다.
도 4는 일 실시예에 따른, 건물 내 에너지 제어 방법의 흐름도이다.
도 5는 일 실시예에 따른, 전처리 단계의 흐름도이다.
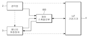
도 6은 일 실시예에 따른, 제어 스케줄링부, 에너지저장장치, 기기 및 그와 상호 작용하는 장치를 나타낸 블록도이다.
도 7은 일 실시예에 따른, 건물 내 에너지 최적 제어 장치의 하드웨어 구성을 도시한 도면이다.
도면의 설명과 관련하여, 동일 또는 유사한 구성요소에 대해서는 동일 또는 유사한 참조 부호가 사용될 수 있다.
200 : 예측부
300 : 오차값 분석부
400 : 시간대별 가중치 계산부
500 : 사용자 선호도 계산부
600 : 제어 스케줄링부
1100 : 데이터 전처리 단계
1200 : 소비전력량 및 발전량 예측 단계
1300 : 오차값 분석 단계
1400 : 시간대별 가중치 계산 단계
1500 : 사용자 선호도 계산 단계
1600 : 에너지저장장치 및 IoT가전기기 제어 스케줄링 단계
10 : 에너지 데이터
11 : 실외환경 데이터
12 : 실내환경 데이터
13 : 실측 데이터
20 : 전처리 데이터
30 : 예측 데이터
40 : 예비력
50 : 시간대별 가중치
60 : 사용자 선호도
Claims (20)
- 건물 내 에너지 제어 장치에 있어서,
에너지 변환 장치로부터 수집된 에너지 데이터 중 손상된 데이터를 감지하고, 상기 손상된 데이터에 복원 작업을 수행하여 전처리 데이터를 생성하는 데이터 전처리부;
상기 전처리 데이터를 이용하여 발전량 및 소비전력량을 예측하고 예측데이터를 생성하는 예측부;
상기 예측데이터와 실측 데이터를 비교한 오차값을 분석하여 예비력를 생성하는 오차값 분석부; 및
상기 예비력를 이용하여 에너지저장장치 및 기기들을 제어하는 제어 스케줄링부;
를 포함하는 건물 내 에너지 제어 장치.
- 제 1항에 있어서,
상기 데이터 전처리부는 K-mean clustering 알고리즘 기술을 사용하여 손상된 데이터에 대한 복원 작업을 수행하는
건물 내 에너지 제어 장치.
- 제 1항에 있어서,
상기 데이터 전처리부는 실외환경데이터를 이용하여 상기 손상된 에너지 데이터를 복원하는
건물 내 에너지 제어 장치.
- 제 1항에 있어서,
상기 데이터 전처리부는 상기 오차값 분석부에서 분석한 오차값 데이터를 이용하여 데이터 전처리부 알고리즘을 업데이트하는
건물 내 에너지 제어 장치.
- 제 1항에 있어서,
상기 예측부는 예측 데이터를 생성하는 알고리즘으로 시간적 특징을 추출할 수 있는 인공지능 기반 기술을 사용하는
건물 내 에너지 제어 장치.
- 제 1항에 있어서,
상기 오차값 분석부는 몬테 카를로 시뮬레이션 기술을 이용하여 상기 예비력을 생성하는
건물 내 에너지 제어 장치.
- 제 1항에 있어서,
시간대별로 발생하는 오차가 전체 시스템의 안정성에 미치는 영향을 분석하여 시간대별 가중치를 생성하는 시간대별 가중치 계산부;
를 더 포함하고,
상기 제어 스케줄링부는 상기 시간대별 가중치를 추가로 이용하여 에너지저장장치 및 기기들을 제어하는
건물 내 에너지 제어 장치.
- 제 7항에 있어서,
상기 시간대별 가중치 계산부는 시계열 전력 요금과 피크부하를 고려하여 생성되는 상기 시간대별 가중치를 생성하는
건물 내 에너지 제어 장치.
- 제 1항에 있어서,
각 사용자별 선호도를 사전에 학습하여 기기별 제어 여부에 따른 사용자 선호도를 생성하는 사용자 선호도 계산부;
를 더 포함하고,
상기 제어 스케줄링부는 상기 사용자 선호도를 추가로 이용하여 에너지저장장치 및 기기들을 제어하는
건물 내 에너지 제어 장치.
- 제 9항에 있어서,
상기 사용자 선호도 계산부는
개별 기기의 일정 시간동안 평균 전력사용량;
건물 전체에서 일정 시간동안 소비하는 평균 전력사용량; 및
IoT 가전기기 제어 시 소비자가 느끼게 되는 불만족도를 요금으로 표현한 보조 변수;
를 이용하여 상기 사용자 선호도를 생성하는
건물 내 에너지 제어 장치.
- 건물 내 에너지 제어 방법에 있어서,
에너지 변환 장치로부터 수집된 에너지 데이터 중 손상된 데이터를 감지하고, 상기 손상된 데이터에 복원 작업을 수행하여 전처리 데이터를 생성하는 데이터 전처리 단계;
상기 전처리 데이터를 이용하여 발전량 및 소비전력량을 예측하고 예측데이터를 생성하는 예측 단계;
상기 예측데이터와 실측 데이터를 비교한 오차값을 분석하여 예비력를 생성하는 오차값 분석 단계; 및
상기 예비력를 이용하여 에너지저장장치 및 기기들을 제어하는 제어 스케줄링 단계;
를 포함하는 건물 내 에너지 제어 방법.
- 제 11항에 있어서,
상기 데이터 전처리 단계는 K-mean clustering 알고리즘 기술을 사용하여 복원 작업을 수행하는
건물 내 에너지 제어 방법.
- 제 11항에 있어서,
상기 데이터 전처리 단계는 실외환경데이터를 이용하여 상기 손상된 에너지 데이터를 복원하는
건물 내 에너지 제어 방법.
- 제 11항에 있어서,
상기 데이터 전처리 단계는 상기 오차값 분석에 의한 데이터를 이용하여 고리즘을 업데이트하는
건물 내 에너지 제어 방법.
- 제 11항에 있어서,
상기 예측 단계는 예측데이터를 생성하는 알고리즘으로 시간적 특징을 추출할 수 있는 인공지능 기반 기술을 사용하는
건물 내 에너지 제어 방법.
- 제 11항에 있어서,
상기 오차값 분석 단계는 몬테 카를로 시뮬레이션 기술을 이용하여 상기 예비력을 생성하는
건물 내 에너지 제어 방법.
- 제 11항에 있어서,
시간대별로 발생하는 오차가 전체 시스템의 안정성에 미치는 영향을 분석하여 시간대별 가중치를 생성하는 시간대별 가중치 계산 단계;
를 더 포함하고,
상기 제어 스케줄링 단계는 상기 시간대별 가중치를 추가로 이용하여 에너지저장장치 및 기기들을 제어하는
건물 내 에너지 제어 방법.
- 제 17항에 있어서,
상기 시간대별 가중치 계산 단계는 시계열 전력 요금과 피크부하를 고려하여 상기 시간대별 가중치를 생성하는
건물 내 에너지 제어 방법.
- 제 11항에 있어서,
각 사용자별 선호도를 사전에 학습하여 기기별 제어 여부에 따른 사용자 선호도를 생성하는 사용자 선호도 계산 단계;
를 더 포함하고,
상기 제어 스케줄링 단계에서 상기 사용자 선호도를 추가로 이용하여 에너지저장장치 및 기기들을 제어하는
건물 내 에너지 제어 방법.
- 제 19항에 있어서,
상기 사용자 선호도 계산 단계는
개별 기기의 일정 시간동안 평균 전력사용량;
건물 전체에서 일정 시간동안 소비하는 평균 전력사용량; 및
IoT 가전기기 제어 시 소비자가 느끼게 되는 불만족도를 요금으로 표현한 보조 변수; 를 이용하여 상기 사용자 선호도를 생성하는
건물 내 에너지 제어 방법.
Priority Applications (1)
| Application Number | Priority Date | Filing Date | Title |
|---|---|---|---|
| KR1020200051773A KR20210133066A (ko) | 2020-04-28 | 2020-04-28 | 건물 내 에너지 최적 제어 장치 및 방법 |
Applications Claiming Priority (1)
| Application Number | Priority Date | Filing Date | Title |
|---|---|---|---|
| KR1020200051773A KR20210133066A (ko) | 2020-04-28 | 2020-04-28 | 건물 내 에너지 최적 제어 장치 및 방법 |
Publications (1)
| Publication Number | Publication Date |
|---|---|
| KR20210133066A true KR20210133066A (ko) | 2021-11-05 |
Family
ID=78507989
Family Applications (1)
| Application Number | Title | Priority Date | Filing Date |
|---|---|---|---|
| KR1020200051773A Pending KR20210133066A (ko) | 2020-04-28 | 2020-04-28 | 건물 내 에너지 최적 제어 장치 및 방법 |
Country Status (1)
| Country | Link |
|---|---|
| KR (1) | KR20210133066A (ko) |
Cited By (6)
| Publication number | Priority date | Publication date | Assignee | Title |
|---|---|---|---|---|
| CN114820233A (zh) * | 2022-05-07 | 2022-07-29 | 内蒙古电力(集团)有限责任公司内蒙古电力科学研究院分公司 | 一种基于神经网络的cps园区综合能源管控系统 |
| KR102476028B1 (ko) * | 2022-04-29 | 2022-12-08 | 경북대학교 산학협력단 | 심층강화학습을 이용한 태양광 에너지 관리방법 및 그 시스템 |
| KR102533508B1 (ko) * | 2022-10-12 | 2023-05-17 | 세종대학교산학협력단 | 합성곱 신경망과 게이트 순환 유닛을 활용하여 기상 데이터를 통한 에너지 생산 데이터 예측 방법 및 그 장치 |
| KR20230093678A (ko) * | 2021-12-20 | 2023-06-27 | 주식회사 스피랩 | 강화학습을 이용한 건물의 에너지를 관리하는 장치 및 방법 |
| CN119090225A (zh) * | 2024-09-04 | 2024-12-06 | 镇江嘉琪电力科技有限公司 | 用电网络储能数据匹配管理系统 |
| WO2025009722A1 (ko) * | 2023-07-04 | 2025-01-09 | 에스케이텔레콤 주식회사 | 에너지 저장 장치를 위한 강화학습 기반의 충방전 개선 방법 및 이를 지원하는 전력 제어 장치 |
-
2020
- 2020-04-28 KR KR1020200051773A patent/KR20210133066A/ko active Pending
Cited By (9)
| Publication number | Priority date | Publication date | Assignee | Title |
|---|---|---|---|---|
| KR20230093678A (ko) * | 2021-12-20 | 2023-06-27 | 주식회사 스피랩 | 강화학습을 이용한 건물의 에너지를 관리하는 장치 및 방법 |
| WO2023120967A1 (ko) * | 2021-12-20 | 2023-06-29 | 주식회사 스피랩 | 강화학습을 이용한 건물의 에너지를 관리하는 장치 및 방법 |
| KR102476028B1 (ko) * | 2022-04-29 | 2022-12-08 | 경북대학교 산학협력단 | 심층강화학습을 이용한 태양광 에너지 관리방법 및 그 시스템 |
| US12372931B2 (en) | 2022-04-29 | 2025-07-29 | Kyungpook National University Industry-Academic Cooperation Foundation | Solar energy management method and system using deep reinforcement learning |
| CN114820233A (zh) * | 2022-05-07 | 2022-07-29 | 内蒙古电力(集团)有限责任公司内蒙古电力科学研究院分公司 | 一种基于神经网络的cps园区综合能源管控系统 |
| KR102533508B1 (ko) * | 2022-10-12 | 2023-05-17 | 세종대학교산학협력단 | 합성곱 신경망과 게이트 순환 유닛을 활용하여 기상 데이터를 통한 에너지 생산 데이터 예측 방법 및 그 장치 |
| WO2025009722A1 (ko) * | 2023-07-04 | 2025-01-09 | 에스케이텔레콤 주식회사 | 에너지 저장 장치를 위한 강화학습 기반의 충방전 개선 방법 및 이를 지원하는 전력 제어 장치 |
| KR20250007074A (ko) * | 2023-07-04 | 2025-01-14 | 에스케이텔레콤 주식회사 | 에너지 저장 장치를 위한 강화학습 기반의 충방전 개선 방법 및 이를 지원하는 전력 제어 장치 |
| CN119090225A (zh) * | 2024-09-04 | 2024-12-06 | 镇江嘉琪电力科技有限公司 | 用电网络储能数据匹配管理系统 |
Similar Documents
| Publication | Publication Date | Title |
|---|---|---|
| KR20210133066A (ko) | 건물 내 에너지 최적 제어 장치 및 방법 | |
| Yuce et al. | ANN–GA smart appliance scheduling for optimised energy management in the domestic sector | |
| CN119783997A (zh) | 一种虚拟电厂调峰优化调度方法、系统、电子设备及介质 | |
| CN119029963A (zh) | 一种用于多场景的微电网虚拟储能优化运行方法及系统 | |
| Yahya et al. | Short-term electric load forecasting using recurrent neural network (study case of load forecasting in central java and special region of yogyakarta) | |
| CN117439101A (zh) | 一种用于电网中新能源与柔性负荷互动的智能网络 | |
| CN119582206B (zh) | 分布式储能网络资源调控决策方法 | |
| CN120433207B (zh) | 低压台区的储能系统优化方法、装置、设备及存储介质 | |
| Wu et al. | Design of a battery energy management system for capacity charge reduction | |
| Al Karim et al. | A machine learning based optimized energy dispatching scheme for restoring a hybrid microgrid | |
| CN120127625A (zh) | 多层次数据关联融合的光储直柔系统短期负荷预测方法 | |
| CN119358858B (zh) | 一种基于深度学习的新能源电力分配策略决策方法 | |
| CN119647920A (zh) | 基于虚拟电厂的分布式能源动态负荷调节方法及系统 | |
| CN119906052A (zh) | 基于ai技术的分布式光伏储能系统智能调度方法及系统 | |
| CN120012577A (zh) | 一种基于群体智能优化算法的光伏发电系统参数辨识方法及系统 | |
| CN120123313A (zh) | 一种分布式资源的生命周期评估与动态更新的方法 | |
| Majeed et al. | Data-Driven Optimized Load Forecasting: An LSTM Based RNN Approach for Smart Grids | |
| Perera et al. | Developing a Reinforcement Learning model for energy management of microgrids in Python | |
| CN120377317B (zh) | 面向多源新能源的并网功率波动主动平抑控制方法及系统 | |
| Padmaja et al. | Prediction and Electricity Forecasting on the Individual Household Level based on PSO-LSSVM Approach | |
| Fathi et al. | Enhanced global solar irradiance and temperature forecasting for rooftop PV power generation prediction using multi-step LSTM and GRU based hybrid models | |
| Songpu et al. | Domestic demand predictions considering influence of external environmental parameters | |
| CN117477614A (zh) | 光伏储能系统的容量配置方法、装置、设备及存储介质 | |
| KR20210015168A (ko) | 태양광 발전 및 제어 시스템, 그리고 태양광 발전 및 제어 시스템의 운영 방법 | |
| CN118282030A (zh) | 一种分布式新能源集群风险主动预警方法及系统 |
Legal Events
| Date | Code | Title | Description |
|---|---|---|---|
| PA0109 | Patent application |
St.27 status event code: A-0-1-A10-A12-nap-PA0109 |
|
| PN2301 | Change of applicant |
St.27 status event code: A-3-3-R10-R13-asn-PN2301 St.27 status event code: A-3-3-R10-R11-asn-PN2301 |
|
| R18-X000 | Changes to party contact information recorded |
St.27 status event code: A-3-3-R10-R18-oth-X000 |
|
| P22-X000 | Classification modified |
St.27 status event code: A-2-2-P10-P22-nap-X000 |
|
| PG1501 | Laying open of application |
St.27 status event code: A-1-1-Q10-Q12-nap-PG1501 |
|
| A201 | Request for examination | ||
| PA0201 | Request for examination |
St.27 status event code: A-1-2-D10-D11-exm-PA0201 |
|
| P22-X000 | Classification modified |
St.27 status event code: A-2-2-P10-P22-nap-X000 |
|
| P22-X000 | Classification modified |
St.27 status event code: A-2-2-P10-P22-nap-X000 |
|
| R18-X000 | Changes to party contact information recorded |
St.27 status event code: A-3-3-R10-R18-oth-X000 |
|
| R18-X000 | Changes to party contact information recorded |
St.27 status event code: A-3-3-R10-R18-oth-X000 |
|
| D13-X000 | Search requested |
St.27 status event code: A-1-2-D10-D13-srh-X000 |
|
| D14-X000 | Search report completed |
St.27 status event code: A-1-2-D10-D14-srh-X000 |
|
| E902 | Notification of reason for refusal | ||
| PE0902 | Notice of grounds for rejection |
St.27 status event code: A-1-2-D10-D21-exm-PE0902 |
|
| E13-X000 | Pre-grant limitation requested |
St.27 status event code: A-2-3-E10-E13-lim-X000 |
|
| P11-X000 | Amendment of application requested |
St.27 status event code: A-2-2-P10-P11-nap-X000 |
|
| D22 | Grant of ip right intended |
Free format text: ST27 STATUS EVENT CODE: A-1-2-D10-D22-EXM-PE0701 (AS PROVIDED BY THE NATIONAL OFFICE) |
|
| PE0701 | Decision of registration |
St.27 status event code: A-1-2-D10-D22-exm-PE0701 |

