JP2010009166A - 固有値計算装置及び固有値計算プログラム - Google Patents
固有値計算装置及び固有値計算プログラム Download PDFInfo
- Publication number
- JP2010009166A JP2010009166A JP2008165472A JP2008165472A JP2010009166A JP 2010009166 A JP2010009166 A JP 2010009166A JP 2008165472 A JP2008165472 A JP 2008165472A JP 2008165472 A JP2008165472 A JP 2008165472A JP 2010009166 A JP2010009166 A JP 2010009166A
- Authority
- JP
- Japan
- Prior art keywords
- calculation
- diagonal component
- decomposition
- matrix
- component elements
- Prior art date
- Legal status (The legal status is an assumption and is not a legal conclusion. Google has not performed a legal analysis and makes no representation as to the accuracy of the status listed.)
- Granted
Links
Images
Landscapes
- Complex Calculations (AREA)
Abstract
【解決手段】入力行列のQR分解を行うQR分解手段21、QR分解手段21により得られた結果によるRQ演算を行った結果の対角成分要素中の1要素を除く残りの対角成分要素を求める対角成分要素演算手段22、直前の入力行列における対角成分要素の総和Dから上記対角成分要素の和の引き算を行う引き算手段23、QR分解結果を用いたRQ演算結果における対角成分要素以外の要素を求める演算を行う残要素演算手段24、分解済回数が入力QR分解回数に満たない場合には、残要素演算手段24による演算の演算結果と対角成分要素演算手段22及び引き算手段23による演算結果を入力行列としてQR分解手段21に帰還する一方、分解済回数が入力QR分解回数と一致すると、対角成分要素演算手段22と引き算手段23の演算結果を固有値として出力する制御手段25を具備する。
【選択図】 図1
Description
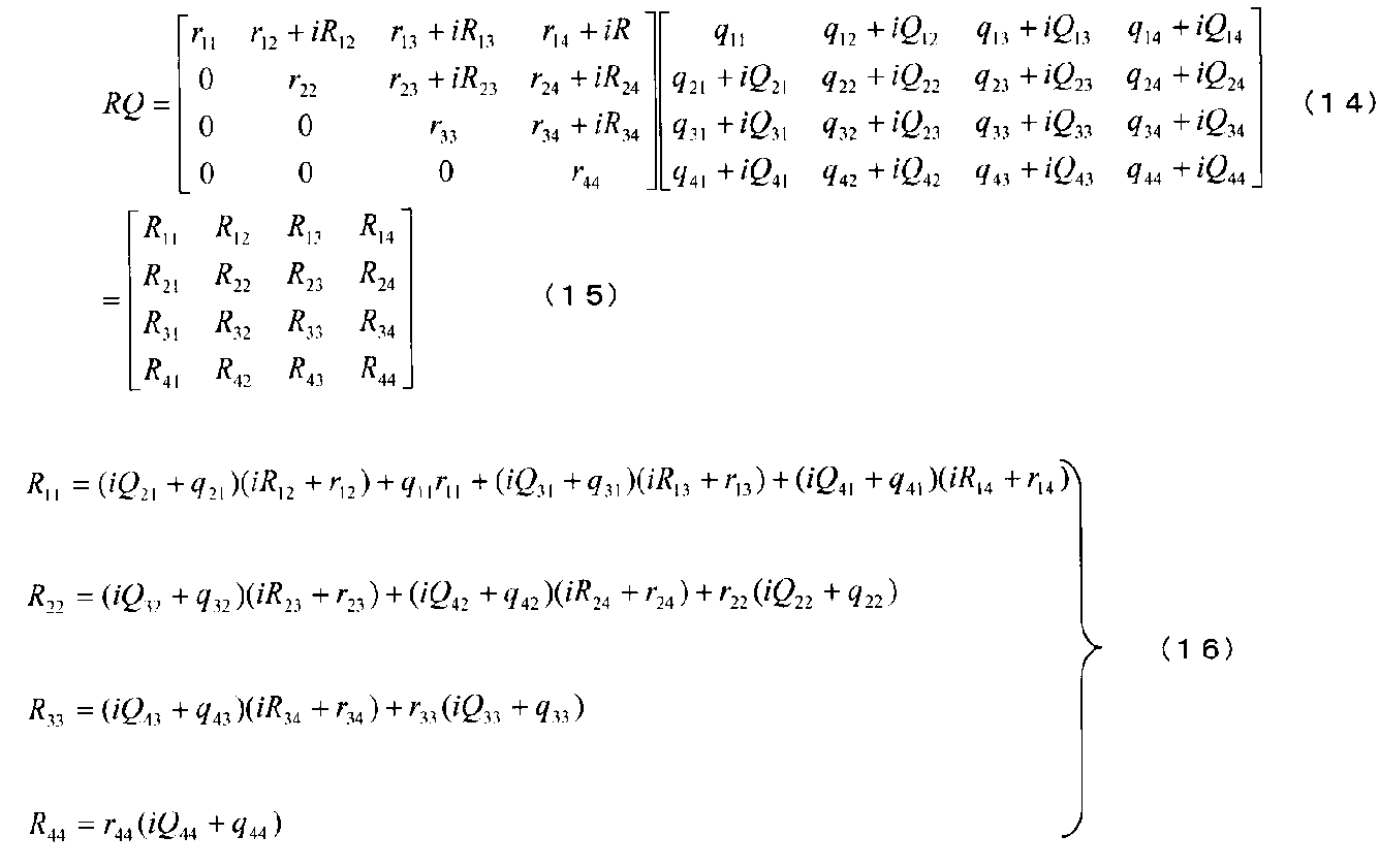
初期入力行列A1 =Aとすると、A1 についてQR分解を行い、A1 =Q1 R1 を満たすQ1 とR1 を求める。次に、Q1 とR1 を交換して、R1Q1=A2 を求める。更に、行列A2 についてQR分解を行い、同様にA2 =Q2 R2 を満たすQ2 とR2 を求める。次に、Q2 とR2 を交換してR2Q2=A3 を求める。以降、同様な繰り返し演算をk サイクル行い、Ak (K=1,2,3,・・・の任意の整数)を求める。
20 計算処理部
21 分解手段
22 対角成分要素演算手段
23 引き算手段
24 残要素演算手段
25 制御手段
Claims (4)
- 入力行列のQR分解を行うQR分解手段と、
前記QR分解手段により得られた行列Qと行列Rを用いて、RQ演算を行った結果における対角成分要素中の1要素を除く残りの対角成分要素を求める対角成分要素演算手段と、
前記QR分解手段に入力された直前の入力行列における対角成分要素全ての和Dを求め、この和Dから前記対角成分要素演算手段が求めた対角成分要素の和の引き算を行う引き算手段と、
前記QR分解手段により得られた行列Qと行列Rを用いて、RQ演算を行った結果における対角成分要素以外の要素を求める演算を行う残要素演算手段と、
QR分解回数の入力を受け、前記QR分解手段による分解済回数を監視し、分解済回数がQR分解回数に満たない場合には、前記残要素演算手段による演算を実行させて、この演算結果と前記対角成分要素演算手段及び前記引き算手段による演算結果を入力行列として前記QR分解手段に帰還する一方、分解済回数がQR分解回数に一致した場合には、前記残要素演算手段による演算を実行させることなく、前記対角成分要素演算手段及び前記引き算手段による演算結果を固有値として出力する制御手段と
を具備することを特徴とする固有値計算装置。 - 精度優先の演算指示と、サイクル優先の演算指示とのいずれかを前記制御手段へ入力するための入力部を備え、
前記制御手段は、前記入力部から精度優先の演算指示を受けた場合には、前記対角成分要素演算手段に対し、対角成分要素を得る場合に演算回数の多い要素から求める演算を実行させて対角成分要素中の1要素を除く残りの対角成分要素を求めさせ、前記入力部からサイクル優先の演算指示を受けた場合には、前記対角成分要素演算手段に対し、対角成分要素を得る場合に演算回数の少ない要素から求める演算を実行させて対角成分要素中の1要素を除く残りの対角成分要素を求めさせることを特徴とする請求項1に記載の固有値計算装置。 - 種々の数値演算により固有値計算を行うためにコンピュータを、
入力行列のQR分解を行うQR分解手段、
前記QR分解手段により得られた行列Qと行列Rを用いて、RQ演算を行った結果における対角成分要素中の1要素を除く残りの対角成分要素を求める対角成分要素演算手段、
前記QR分解手段に入力された直前の入力行列における対角成分要素全ての和Dを求め、この和Dから前記対角成分要素演算手段が求めた対角成分要素の和の引き算を行う引き算手段、
前記QR分解手段により得られた行列Qと行列Rを用いて、RQ演算を行った結果における対角成分要素以外の要素を求める演算を行う残要素演算手段、及び
QR分解回数の入力を受け、前記QR分解手段による分解済回数を監視し、分解済回数がQR分解回数に満たない場合には、前記残要素演算手段による演算を実行させて、この演算結果と前記対角成分要素演算手段及び前記引き算手段による演算結果を入力行列として前記QR分解手段に帰還する一方、分解済回数がQR分解回数に一致した場合には、前記残要素演算手段による演算を実行させることなく、前記対角成分要素演算手段及び前記引き算手段による演算結果を固有値として出力する制御手段、
として機能させることを特徴とする固有値計算プログラム。 - 制御手段は、精度優先の演算指示と、サイクル優先の演算指示とのいずれかを入力するための入力部から受け取るように機能し、
前記制御手段は、前記入力部から精度優先の演算指示を受けた場合には、前記対角成分要素演算手段に対し、対角成分要素を得る場合に演算回数の多い要素から求める演算を実行させて対角成分要素中の1要素を除く残りの対角成分要素を求めさせ、前記入力部からサイクル優先の演算指示を受けた場合には、前記対角成分要素演算手段に対し、対角成分要素を得る場合に演算回数の少ない要素から求める演算を実行させて対角成分要素中の1要素を除く残りの対角成分要素を求めさせるように機能することを特徴とする請求項3に記載の固有値計算プログラム。
Priority Applications (1)
| Application Number | Priority Date | Filing Date | Title |
|---|---|---|---|
| JP2008165472A JP5311895B2 (ja) | 2008-06-25 | 2008-06-25 | 固有値計算装置及び固有値計算プログラム |
Applications Claiming Priority (1)
| Application Number | Priority Date | Filing Date | Title |
|---|---|---|---|
| JP2008165472A JP5311895B2 (ja) | 2008-06-25 | 2008-06-25 | 固有値計算装置及び固有値計算プログラム |
Publications (2)
| Publication Number | Publication Date |
|---|---|
| JP2010009166A true JP2010009166A (ja) | 2010-01-14 |
| JP5311895B2 JP5311895B2 (ja) | 2013-10-09 |
Family
ID=41589614
Family Applications (1)
| Application Number | Title | Priority Date | Filing Date |
|---|---|---|---|
| JP2008165472A Expired - Fee Related JP5311895B2 (ja) | 2008-06-25 | 2008-06-25 | 固有値計算装置及び固有値計算プログラム |
Country Status (1)
| Country | Link |
|---|---|
| JP (1) | JP5311895B2 (ja) |
-
2008
- 2008-06-25 JP JP2008165472A patent/JP5311895B2/ja not_active Expired - Fee Related
Non-Patent Citations (2)
| Title |
|---|
| CSNG200800810011; 大黒昭宜ほか: 'QR分解のハードウェア化' 電子情報通信学会技術研究報告 第108巻 第106号, 20080619, 63-68頁, 社団法人電子情報通信学会 * |
| JPN6013011398; 大黒昭宜ほか: 'QR分解のハードウェア化' 電子情報通信学会技術研究報告 第108巻 第106号, 20080619, 63-68頁, 社団法人電子情報通信学会 * |
Also Published As
| Publication number | Publication date |
|---|---|
| JP5311895B2 (ja) | 2013-10-09 |
Similar Documents
| Publication | Publication Date | Title |
|---|---|---|
| Banjac et al. | Embedded code generation using the OSQP solver | |
| Appleby et al. | Sufficient conditions for polynomial asymptotic behaviour of the stochastic pantograph equation | |
| Zhang et al. | Sageattention2: Efficient attention with thorough outlier smoothing and per-thread int4 quantization | |
| Tošner et al. | Computer-intensive simulation of solid-state NMR experiments using SIMPSON | |
| Buckwar et al. | A structural analysis of asymptotic mean-square stability for multi-dimensional linear stochastic differential systems | |
| Bostan et al. | Complexity estimates for two uncoupling algorithms | |
| Nagano et al. | Quench dynamics of the Schwinger model via variational quantum algorithms | |
| JPWO2019088072A1 (ja) | 情報処理装置、情報処理方法及びプログラム | |
| Kalali et al. | Near-precise parameter approximation for multiple multiplications on a single dsp block | |
| US8909687B2 (en) | Efficient FIR filters | |
| Knagge et al. | ASIC and FPGA implementation strategies for model predictive control | |
| Xu et al. | Towards a scalable hierarchical high-order CFD solver | |
| JP5311895B2 (ja) | 固有値計算装置及び固有値計算プログラム | |
| Batselier et al. | A tensor-based Volterra series black-box nonlinear system identification and simulation framework | |
| Wu et al. | Stable iterative refinement for solving linear systems with inaccurate computation | |
| Nehab et al. | Parallel recursive filtering of infinite input extensions | |
| Becker et al. | Reducing the amount of pivoting in symmetric indefinite systems | |
| Tridgell et al. | Braiding: A scheme for resolving hazards in kernel adaptive filters | |
| Wu et al. | Stable iterative refinement algorithms for solving linear systems | |
| Bartha et al. | Fixed points of a destabilized Kuramoto–Sivashinsky equation | |
| Das et al. | Mamba Models a possible replacement for Transformers? | |
| Tsukada et al. | An Overflow/Underflow-Free Fixed-Point Bit-Width Optimization Method for OS-ELM Digital Circuit | |
| Rajkó et al. | Distance algorithm based procedure for non‐negative least squares | |
| Ranganadh et al. | Case study of Grigoryan FFT onto FPGAs and DSPs | |
| Hilaire et al. | Error analysis methods for the fixed-point implementation of linear systems |
Legal Events
| Date | Code | Title | Description |
|---|---|---|---|
| A621 | Written request for application examination |
Free format text: JAPANESE INTERMEDIATE CODE: A621 Effective date: 20110118 |
|
| A977 | Report on retrieval |
Free format text: JAPANESE INTERMEDIATE CODE: A971007 Effective date: 20130228 |
|
| A131 | Notification of reasons for refusal |
Free format text: JAPANESE INTERMEDIATE CODE: A131 Effective date: 20130312 |
|
| A521 | Request for written amendment filed |
Free format text: JAPANESE INTERMEDIATE CODE: A523 Effective date: 20130513 |
|
| TRDD | Decision of grant or rejection written | ||
| A01 | Written decision to grant a patent or to grant a registration (utility model) |
Free format text: JAPANESE INTERMEDIATE CODE: A01 Effective date: 20130702 |
|
| A61 | First payment of annual fees (during grant procedure) |
Free format text: JAPANESE INTERMEDIATE CODE: A61 Effective date: 20130702 |
|
| R150 | Certificate of patent or registration of utility model |
Ref document number: 5311895 Country of ref document: JP Free format text: JAPANESE INTERMEDIATE CODE: R150 |
|
| R250 | Receipt of annual fees |
Free format text: JAPANESE INTERMEDIATE CODE: R250 |
|
| R250 | Receipt of annual fees |
Free format text: JAPANESE INTERMEDIATE CODE: R250 |
|
| R250 | Receipt of annual fees |
Free format text: JAPANESE INTERMEDIATE CODE: R250 |
|
| R250 | Receipt of annual fees |
Free format text: JAPANESE INTERMEDIATE CODE: R250 |
|
| R250 | Receipt of annual fees |
Free format text: JAPANESE INTERMEDIATE CODE: R250 |
|
| LAPS | Cancellation because of no payment of annual fees |
