EP1375636A1 - Detergent tablets - Google Patents

Detergent tablets Download PDF

Info

Publication number
EP1375636A1
EP1375636A1 EP03076738A EP03076738A EP1375636A1 EP 1375636 A1 EP1375636 A1 EP 1375636A1 EP 03076738 A EP03076738 A EP 03076738A EP 03076738 A EP03076738 A EP 03076738A EP 1375636 A1 EP1375636 A1 EP 1375636A1
Authority
EP
European Patent Office
Prior art keywords
tablet
smooth
solid
semi
region
Prior art date
Legal status (The legal status is an assumption and is not a legal conclusion. Google has not performed a legal analysis and makes no representation as to the accuracy of the status listed.)
Granted
Application number
EP03076738A
Other languages
German (de)
French (fr)
Other versions
EP1375636B1 (en
Inventor
Peter William c/o Unilever R&D Vlaardingen Appel
Daniel A. c/o Unilever R&D Vlaardingen Van Doorn
Lammert c/o Unilever R&D Vlaardingen Nauta
Current Assignee (The listed assignees may be inaccurate. Google has not performed a legal analysis and makes no representation or warranty as to the accuracy of the list.)
Unilever PLC
Unilever NV
Original Assignee
Unilever PLC
Unilever NV
Priority date (The priority date is an assumption and is not a legal conclusion. Google has not performed a legal analysis and makes no representation as to the accuracy of the date listed.)
Filing date
Publication date
Application filed by Unilever PLC, Unilever NV filed Critical Unilever PLC
Priority to EP03076738A priority Critical patent/EP1375636B1/en
Publication of EP1375636A1 publication Critical patent/EP1375636A1/en
Application granted granted Critical
Publication of EP1375636B1 publication Critical patent/EP1375636B1/en
Anticipated expiration legal-status Critical
Expired - Lifetime legal-status Critical Current

Links

Images

Classifications

    • CCHEMISTRY; METALLURGY
    • C11ANIMAL OR VEGETABLE OILS, FATS, FATTY SUBSTANCES OR WAXES; FATTY ACIDS THEREFROM; DETERGENTS; CANDLES
    • C11DDETERGENT COMPOSITIONS; USE OF SINGLE SUBSTANCES AS DETERGENTS; SOAP OR SOAP-MAKING; RESIN SOAPS; RECOVERY OF GLYCEROL
    • C11D3/00Other compounding ingredients of detergent compositions covered in group C11D1/00
    • C11D3/16Organic compounds
    • C11D3/20Organic compounds containing oxygen
    • C11D3/2075Carboxylic acids-salts thereof
    • CCHEMISTRY; METALLURGY
    • C11ANIMAL OR VEGETABLE OILS, FATS, FATTY SUBSTANCES OR WAXES; FATTY ACIDS THEREFROM; DETERGENTS; CANDLES
    • C11DDETERGENT COMPOSITIONS; USE OF SINGLE SUBSTANCES AS DETERGENTS; SOAP OR SOAP-MAKING; RESIN SOAPS; RECOVERY OF GLYCEROL
    • C11D17/00Detergent materials or soaps characterised by their shape or physical properties
    • C11D17/0047Detergents in the form of bars or tablets
    • C11D17/0065Solid detergents containing builders
    • C11D17/0073Tablets
    • C11D17/0078Multilayered tablets
    • CCHEMISTRY; METALLURGY
    • C11ANIMAL OR VEGETABLE OILS, FATS, FATTY SUBSTANCES OR WAXES; FATTY ACIDS THEREFROM; DETERGENTS; CANDLES
    • C11DDETERGENT COMPOSITIONS; USE OF SINGLE SUBSTANCES AS DETERGENTS; SOAP OR SOAP-MAKING; RESIN SOAPS; RECOVERY OF GLYCEROL
    • C11D17/00Detergent materials or soaps characterised by their shape or physical properties
    • C11D17/0047Detergents in the form of bars or tablets
    • C11D17/0065Solid detergents containing builders
    • C11D17/0073Tablets
    • C11D17/0086Laundry tablets
    • CCHEMISTRY; METALLURGY
    • C11ANIMAL OR VEGETABLE OILS, FATS, FATTY SUBSTANCES OR WAXES; FATTY ACIDS THEREFROM; DETERGENTS; CANDLES
    • C11DDETERGENT COMPOSITIONS; USE OF SINGLE SUBSTANCES AS DETERGENTS; SOAP OR SOAP-MAKING; RESIN SOAPS; RECOVERY OF GLYCEROL
    • C11D3/00Other compounding ingredients of detergent compositions covered in group C11D1/00
    • C11D3/16Organic compounds
    • C11D3/20Organic compounds containing oxygen
    • C11D3/2075Carboxylic acids-salts thereof
    • C11D3/2086Hydroxy carboxylic acids-salts thereof
    • CCHEMISTRY; METALLURGY
    • C11ANIMAL OR VEGETABLE OILS, FATS, FATTY SUBSTANCES OR WAXES; FATTY ACIDS THEREFROM; DETERGENTS; CANDLES
    • C11DDETERGENT COMPOSITIONS; USE OF SINGLE SUBSTANCES AS DETERGENTS; SOAP OR SOAP-MAKING; RESIN SOAPS; RECOVERY OF GLYCEROL
    • C11D3/00Other compounding ingredients of detergent compositions covered in group C11D1/00
    • C11D3/16Organic compounds
    • C11D3/20Organic compounds containing oxygen
    • C11D3/22Carbohydrates or derivatives thereof
    • CCHEMISTRY; METALLURGY
    • C11ANIMAL OR VEGETABLE OILS, FATS, FATTY SUBSTANCES OR WAXES; FATTY ACIDS THEREFROM; DETERGENTS; CANDLES
    • C11DDETERGENT COMPOSITIONS; USE OF SINGLE SUBSTANCES AS DETERGENTS; SOAP OR SOAP-MAKING; RESIN SOAPS; RECOVERY OF GLYCEROL
    • C11D3/00Other compounding ingredients of detergent compositions covered in group C11D1/00
    • C11D3/16Organic compounds
    • C11D3/26Organic compounds containing nitrogen
    • C11D3/32Amides; Substituted amides
    • C11D3/323Amides; Substituted amides urea or derivatives thereof

Definitions

  • This invention relates to cleaning compositions in the form of tablets for example, for use in fabric washing or machine dishwashing.
  • Detergent compositions in tablet form have advantages over powdered products in that they do not require measuring and are thus easier to handle and dispense into the washload.
  • Tablets of a cleaning composition are generally made by compressing or compacting a quantity of the composition in particulate form.
  • WO 01/42416 describes the production of multi-phase moulded bodies comprising a combination of core moulded bodies and a particulate premix.
  • WO 00/61717 describes a detergent tablet which is characterised in that at least part of its outer surface is semi-solid.
  • WO 00/04129 describes a multi-phase detergent tablet comprising a first phase in the form of a shaped body having at least one mould therein and a second phase in the form of a particulate solid compressed within said mould.
  • a cleaning tablet which has a plurality of discrete regions with differing compositions, characterised in that at least one first region of the tablet is a smooth region and at least one second region of the tablet is a solid region of compacted particulate material.
  • the invention relates to a cleaning tablet comprising a smooth phase wherein the smooth phase comprises:
  • the organic material is water-soluble and/or solid at ambient temperature
  • the organic material can for example be selected from the group of sugars or citrates, more preferably the material has a molecular weight from 50 to 150, most preferably the organic material is selected from the group of urea or water-soluble lactates and acetates.
  • tablets of the invention are of cylindrical shape wherein the two main surfaces (upper side and bottom side) are substantially flat.
  • tablets of the invention can be single phase tablets, which are predominantly constituted by the smoothe phase as described above.
  • a preferred embodiment of the invention relates to a multiphase tablet wherein the smooth phase is present and additionally one or more other phases are present.
  • these additional phases can be smooth or semi-solid or solid.
  • Particularly suitable are solid phases composed of compacted partcilate solids.
  • the regions of a multi-phase tablet are possibly separate layers within a tablet. However, a discrete region of a tablet could also have other forms for example one or more core(s) or insert(s).
  • the first region is a smooth layer and the second region is a layer of compacted particulate material.
  • the first region is a core or insert of smooth or semi-solid material embedded in the second region which is a layer of compacted particulate material.
  • the smooth region is a semi-solid region as defined below.
  • the weight of this tablet will be from 5 to 100 g, more preferably from 10 to 40 g, most preferably from 15 to 35 g.
  • the tablet is a multi-phase tablet comprising the smooth or semi-solid phase of the invention then preferably the smooth or semi-solid phase is present as a distinctive region preferably having a weight of from 2 to 20 grammes, more preferred from 3 to 10 grammes.
  • the other phases together have a weight of 10 to 50 grammes, more preferred 15 to 40 grammes.
  • the first region of the tablet is a smooth region.
  • smooth phase refers to compositions which are on the one hand solid enough to retain their shape at ambient temperature and on the other hand smooth in appearance. Smooth textures are generally of low or no porosity and have -at normal viewing distance- the appearance of a continuous phase for example as opposed to porous and particulate appearance of a compacted particulate material.
  • WO99/24549 describes the use of non-compressed gelatinous portions mounted in a mold as a smooth phase. These tablets must be made with specific equipment to ensure the appropriate mold formation. Furthermore the compositions for the smooth phase as disclosed in this document contain very high levels of ingredients with a limited functionality in the wash such as dipropylennglycolbutylether or glyceroltriacetate.
  • WO 00/61717 describes (in the example) the preparation of a compressed particulate tablet on top of which a (non-compressed) layer was made by pouring a mixture of nonionic and PEG followed by hardening.
  • This formulation and its method of preparation is disadvantageous because it requires a very long hardening step in the tablet mould, during which the tablet mould cannot be used for further production, therewith significantly increasing the cost of production.
  • the smooth region of the tablet is a semi-solid region.
  • semi-solid refers to compositions which are one the one hand solid enough to retain their shape at ambient temperature but which are neither completely solid.
  • a cylindrical tablet 10 with a diameter of 45 mm and a height of 20 mm is compressed radially between the plates 12,14 of a material testing machine until the tablet fractures.
  • the plates 12, 14 contact the tablet but do not apply force to it.
  • Force is applied, as indicated by the arrows 16 to compress the tablet, the vertical speed of the upper plate is 25 mm/minute.
  • the testing machine measures the applied force (F), and also the displacement (x) of the plates towards each other as the tablet is compressed.
  • the distance (y) between the plates before force is applied which is the diameter of the tablet, is also known.
  • the tablet cracks (eg as shown at 18) and the applied force needed to maintain the displacement drops. Measurement is discontinued when the applied force needed to maintain the displacement has dropped by 25% from its maximum value as indicated 19 in Fig 2.
  • the displacement at failure (x f ) is indicated between Figs. 1a and 1b.
  • a graph of force (F) against displacement (x) has the form illustrated by Fig 2.
  • the maximum force is the force at failure (F f ).
  • the break energy is the area under the graph of force against displacement, up to the point of break. It is shown shaded in Fig 2 and is given by the equation: wherein E b is the break energy in mJoules, x is the displacement in metres and F is the applied force in Newtons at displacement x and x f is the displacement at failure.
  • Semi-solid compositions are characterised by a ratio of F f to E b of less than 1.0, more preferred from 0.1 to 0.9, most preferred from 0.2 to 0.6, while traditional tablets of compacted particulate materials are generally characterised by a ratio of F f to E b of more than 1, more generally more than 1.25 or even more than 1.5 up to say 6.
  • the smooth or semi-solid phase comprises from 25-80 wt% of surfactants (based on the total weight of said smooth or semi-solid phase), more preferred from 25 to 75 wt%, most preferred 30 to 70 wt%. It has been found that the combination of a separate smooth semi-) solid first region and these high surfactant levels provide very good dispersing and cleaning properties to the tablet.
  • the surfactants in the smooth or semi-solid first region comprise a combination of anionic surfactants (preferably non-soap anionic surfactants) and non-ionic surfactants in a weight ratio of from 5 : 1 to 1 : 5, more preferred 3 : 1 to 1 : 3, more preferred 2 : 1 to 1: 2.
  • Further surfactants for example cationic surfactants may equally be present for example at a level of 0.1 to 10 wt% based on the weight of the smooth or semi-solid part.
  • the smooth or semi-solid region may comprise soap for example at a level of 0.1 to 10 wt% based on the weight of the smooth or semi-solid part.
  • the smooth or semi-solid region also comprises organic materials having a molecular weight of less than 500.
  • organic materials are for example composed of combinations of one or more of O-H-C-N atoms, optionally the organic materials are organic salts with one or more cations.
  • the organic material is water-soluble (e.g. having a solubility of more than 10 g/l, more preferred more than 100 g/l at 20°C).
  • the organic material is solid at ambient temperature. Esepcially preferably the organic material is meltable e.g. havinga melting point of less than 100 C.
  • the organic material can for example be selected from the group of sugars for example glucose, fructose, lactose etc and citrates, more preferably the organic material has a molecular weight from 50 to 150, most preferably the organic material is selected from the group of urea, lactates and acetates or combinations thereof. Most preferred is the use of urea or acetates. Suitably water-soluble acetates will be used for example sodium acetate or potassium acetate. For the purpose of the invention molecular weight of materials is calculated excluding any crystral water that may be present.
  • the smooth or semi-solid phase comprises 20-75 wt% of these materials (based on the total weight of said smooth or semi-solid phase), more preferred from 25 to 75 wt%, most preferred 30 to 70 wt%. It has been found that low molecular weight organic materials such as mentioned above, urea or acetate or combinations thereof provide good structuring properties to the smooth or semi-solid phase, especially if this phase comprises relatively high levels of surfactants.
  • This structuring leads on the one hand to a desired firm consistency of the smooth or semi-solid phase but on the other hand retains the smooth or semi-solid nature of the phase. Furthermore the organic materials such as urea and acetate are capable of reducing the bleeding of the smooth or semi-solid phase.
  • the smooth or semi-solid region of the tablet comprises no or only low levels of diluent materials for example polyethyleneglycol or (mono-)propyleneglycol.
  • diluent materials for example polyethyleneglycol or (mono-)propyleneglycol.
  • the level of these diluents is from 0 to 10 wt%, more preferred 0 to 5, most preferred less than 2 wt% based on the weight of the smooth or semi-solid phase.
  • the smooth or semi-solid phase comprises no or only low levels of water.
  • the level of water is less than 20 wt % based on the weight of the smooth or semi-solid phase, more preferred less than 10 wt%, most preferred from 0 to 5 wt%.
  • the smooth or semi-solid phases are substantially free from water, which means that apart from low levels of moisture (e.g. for neutralisation or as crystal water) the total level of water in the smooth or semi-solid phase is less than 1 wt%, more preferred less than 0.5 wt%.
  • the total weight of surfactants in the smooth or semi-solid phase is from 2 to 20 grammes, more preferred from 3 to 10 grammes.
  • the tablet may be a multi-phase tablet wherein the phases other than the smooth or semi-solid phase as described above comprise no or only low levels of surfactants.
  • the level of surfactants in the the other phases is less than 10 wt%(based on the total weight of said phases), more preferred from 0 to 9 wt%, most preferred from 1 to 8 wt%.
  • the cleaning tablets comprise a first smooth or semi-solid region (as described above) in combination with a second region of the tablet which is a solid region, for example prepared by compression of a particulate composition.
  • the second region may comprise surfactant materials
  • this region preferably comprises ingredients of the tablet other than surfactants.
  • these ingredients are for example builders, bleach system, enzymes etc.
  • the builders in the tablet are predominantly present in the second region.
  • the bleach system is predominantly present in the second region.
  • the enzymes are predominantly present in the second region.
  • the term "predominantly present” refers to a situation wherein at least 90 wt% of an ingredient is present in the second region, more preferred more than 98 wt%, most preferred substantially 100 wt%.
  • each of the regions may be composed of a limited number of discrete regions.
  • the first smooth or semi-solid region may be a single discrete part of the tablet but may also be a limited number (say 1-5) discrete smooth or semi-solid parts.
  • each of these smooth or semi-solid parts are at least 1 gramme, also preferably each of these smooth or semi-solid parts is substantially of the same composition. If reference is made to the composition or weight of the first region it is understood that this concerns the total weight and composition of these smooth or semi-solid parts.
  • the solid second region may be composed a limited number (say 1-5) of solid parts e.g. separate layers in the tablet.
  • each of these parts has a weight of at least 10 grammes, also preferably each of the solid parts are substantially of the same composition. If reference is made to the composition or weight of the second region it is understood that this concerns the total weight and composition of these solid parts.
  • the cleaning tablets of the invention may optionally comprise further regions, for example the tablet may be partly or wholly coated.
  • Cleaning tablets according to the invention are preferably manufactured by a process comprising the steps of:
  • step (a) takes place before step (b).
  • the particulate composition is pre-compressed at a force of 0.1 to 20 kN/cm 2 between steps (a) and (b) In another preferred embodiment the particulate composition is flattened between steps (a) and (b).
  • the (co-)compression of the combination of the smooth or semi-solid and the solid region(s) takes place at a force of from 0.1 to 20 kN/cm 2 .
  • the co-compression in step (c) can advantageously be at a force of 0.1- 10 kN/cm 2 , more preferred 0.5 to 5 kN/cm 2 .
  • the co-compression preferably takes place at a force of 1- 100 kN/cm 2 ., more preferred 2-50 kN/cm 2 ., most preferred 2-10 kN/cm 2 .
  • the co-compression step of (c) leads to good adherence of the first region to the second region and avoids the need of applying an adhesive material between the smooth or semi-solid and solid region.
  • Another advantage of the method of the invention is that it can be carried out in a normal tablet press without the need of adaptation of the shape of the pressing surfaces.
  • a tablet of this invention may be intended for use in machine dishwashing.
  • Such a tablet is likely to contain surfactant in a low concentration such as 0.5 to 2 wt% based on the whole tablet, although higher concentrations ranging up to 10 wt% may be used.
  • Such will typically contain salts, such as over 60 wt%, often over 85 wt% of the tablet.
  • Water soluble salts typically used in machine dishwashing compositions are phosphates (including condensed phosphates) carbonates and silicates, generally as alkali metal salts.
  • Water soluble alkali metal salts selected from phosphates, carbonates and silicates may provide 60 wt% or more of a dishwashing composition.
  • a tablet of this invention will be intended for fabric washing.
  • the tablet will be likely to contain at least 2 wt%, probably at least 5 wt%, up to 40 or 50 wt% surfactant based on the whole tablet, and from 5 to 80 wt% detergency builder, based on the whole tablet.
  • compositions which are used in tablets of the invention will contain one or more detergent surfactants.
  • these preferably provide from 5 to 50% by weight of the overall tablet composition, more preferably from 8 or 9% by weight of the overall composition up to 40% or 50% by weight.
  • Surfactant may be anionic (soap or non-soap), cationic, zwitterionic, amphoteric, nonionic or a combination of these.
  • Anionic surfactant may be present in an amount from 0.5 to 50% by weight, preferably from 2% or 4% up to 30% or 40% by weight of the tablet composition.
  • Synthetic (i.e. non-soap) anionic surfactants are well known to those skilled in the art.
  • alkylbenzene sulphonates particularly sodium linear alkylbenzene sulphonates having an alkyl chain length of C 8 -C 15 ; olefin sulphonates; alkane sulphonates; dialkyl sulphosuccinates; and fatty acid ester sulphonates.
  • Primary alkyl sulphate having the formula ROSO 3 - M + in which R is an alkyl or alkenyl chain of 8 to 18 carbon atoms especially 10 to 14 carbon atoms and M + is a solubilising cation, is commercially significant as an anionic surfactant.
  • Linear alkyl benzene sulphonate of the formula where R is linear alkyl of 8 to 15 carbon atoms and M + is a solubilising cation, especially sodium, is also a commercially significant anionic surfactant.
  • such linear alkyl benzene sulphonate or primary alkyl sulphate of the formula above, or a mixture thereof will be the desired anionic surfactant and may provide 75 to 100 wt% of any anionic non-soap surfactant in the composition.
  • the amount of non-soap anionic surfactant lies in a range from 5 to 20 wt% of the tablet composition.
  • soaps of fatty acids are preferably sodium soaps derived from naturally occurring fatty acids, for example, the fatty acids from coconut oil, beef tallow, sunflower or hardened rapeseed oil.
  • Suitable nonionic surfactant compounds which may be used include in particular the reaction products of compounds having a hydrophobic group and a reactive hydrogen atom, for example, aliphatic alcohols, acids, amides or alkyl phenols with alkylene oxides, especially ethylene oxide.
  • Nonionic surfactant compounds are alkyl (C 8-22 ) phenol-ethylene oxide condensates, the condensation products of linear or branched aliphatic C 8-20 primary or secondary alcohols with ethylene oxide, and products made by condensation of ethylene oxide with the reaction products of propylene oxide and ethylene-diamine.
  • the primary and secondary alcohol ethoxylates especially the C 9-11 and C 12-15 primary and secondary alcohols ethoxylated with an average of from 5 to 20 moles of ethylene oxide per mole of alcohol.
  • the amount of nonionic surfactant lies in a range from 4 to 40%, better 4 or 5 to 30% by weight of the whole tablet.
  • nonionic surfactants are liquids. These may be absorbed onto particles of the composition.
  • the surfactant may be wholly nonionic, in an amount below 5 wt% of the whole tablet although it is known to include some anionic surfactant and to use up to 10 wt% surfactant in total.
  • a composition which is used in tablets of the invention will contain from 5 to 80%, more usually 15 to 60% by weight of detergency builder. This may be provided wholly by water soluble materials, or may be provided in large part or even entirely by water-insoluble material with water-softening properties. Water-insoluble detergency builder may be present as 5 to 80 wt%, better 5 to 60 wt% of the composition.
  • Alkali metal aluminosilicates are strongly favoured as environmentally acceptable water-insoluble builders for fabric washing.
  • Alkali metal (preferably sodium) aluminosilicates may be either crystalline or amorphous or mixtures thereof, having the general formula: 0.8 - 1.5 Na 2 O.Al 2 O 3 . 0.8 - 6 SiO 2 . xH 2 O
  • xH2O calcium ion exchange capacity
  • the preferred sodium aluminosilicates contain 1.5-3.5 SiO 2 units (in the formula above). Both the amorphous and the crystalline materials can be prepared readily by reaction between sodium silicate and sodium aluminate, as amply described in the literature.
  • Suitable crystalline sodium aluminosilicate ion-exchange detergency builders are described, for example, in GB 1429143 (Procter & Gamble).
  • the preferred sodium aluminosilicates of this type are the well known commercially available zeolites A and X, the novel zeolite P described and claimed in EP 384070 (Unilever) and mixtures thereof.
  • a water-insoluble detergency builder could be a layered sodium silicate as described in US 4664839.
  • NaSKS-6 is the trademark for a crystalline layered silicate marketed by Hoechst (commonly abbreviated as "SKS-6").
  • KSKS-6 has the delta-Na 2 SiO 5 morphology form of layered silicate. It can be prepared by methods such as described in DE-A-3,417,649 and DE-A-3,742,043.
  • layered silicates such as those having the general formula NaMSi x O 2x+1 .yH 2 O wherein M is sodium or hydrogen, x is a number from 1.9 to 4, preferably 2, and y is a number from 0 to 20, preferably 0 can be used.
  • Water-soluble phosphorous-containing inorganic detergency builders include the alkali-metal orthophosphates, metaphosphates, pyrophosphates and polyphosphates.
  • Specific examples of inorganic phosphate builders include sodium and potassium tripolyphosphates, orthophosphates and hexametaphosphates.
  • Non-phosphorous water-soluble builders may be organic or inorganic.
  • Inorganic builders that may be present include alkali metal (generally sodium) carbonate; while organic builders include polycarboxylate polymers, such as polyacrylates, acrylic/maleic copolymers, and acrylic phosphonates, monomeric polycarboxylates such as citrates, gluconates, oxydisuccinates, glycerol mono- di- and trisuccinates, carboxymethyloxysuccinates, carboxymethyloxymalonates, dipicolinates and hydroxyethyliminodiacetates.
  • alkali metal generally sodium
  • organic builders include polycarboxylate polymers, such as polyacrylates, acrylic/maleic copolymers, and acrylic phosphonates, monomeric polycarboxylates such as citrates, gluconates, oxydisuccinates, glycerol mono- di- and trisuccinates, carboxymethyloxysuccinates, carboxymethyloxymalonates, dip
  • At least one region (preferably the second region) of a fabric washing tablet preferably include polycarboxylate polymers, more especially polyacrylates and acrylic/maleic copolymers which can function as builders and also inhibit unwanted deposition onto fabric from the wash liquor.
  • Tablets according to the invention may contain a bleach system in at least one region of a tablet, preferably in the second region.
  • This preferably comprises one or more peroxy bleach compounds, for example, inorganic persalts or organic peroxyacids, which may be employed in conjunction with activators to improve bleaching action at low wash temperatures. If any peroxygen compound is present, the amount is likely to lie in a range from 10 to 25% by weight of the composition.
  • Preferred inorganic persalts are sodium perborate monohydrate and tetrahydrate, and sodium percarbonate, advantageously employed together with an activator.
  • Bleach activators also referred to as bleach precursors
  • Preferred examples include peracetic acid precursors, for example, tetraacetylethylene diamine (TAED), now in widespread commercial use in conjunction with sodium perborate; and perbenzoic acid precursors.
  • TAED tetraacetylethylene diamine
  • perbenzoic acid precursors perbenzoic acid precursors.
  • the quaternary ammonium and phosphonium bleach activators disclosed in US 4751015 and US 4818426 are also of interest.
  • bleach activator which may be used, but which is not a bleach precursor, is a transition metal catalyst as disclosed in EP-A-458397, EP-A-458398 and EP-A-549272.
  • a bleach system may also include a bleach stabiliser (heavy metal sequestrant) such as ethylenediamine tetramethylene phosphonate and diethylenetriamine pentamethylene phosphonate.
  • a bleach is present and is a water-soluble inorganic peroxygen bleach, the amount may well be from 10% to 25% by weight of the composition.
  • the detergent tablets of the invention may also contain (preferably in the second region) one of the detergency enzymes well known in the art for their ability to degrade and aid in the removal of various soils and stains.
  • Suitable enzymes include the various proteases, cellulases, lipases, amylases, and mixtures thereof, which are designed to remove a variety of soils and stains from fabrics.
  • suitable proteases are Maxatase (Trade Mark), as supplied by Gist-Brocades N.V., Delft, Holland, and Alcalase (Trade Mark), and Savinase (Trade Mark), as supplied by Novo Industri A/S, Copenhagen, Denmark.
  • Detergency enzymes are commonly employed in the form of granules or marumes, optionally with a protective coating, in amount of from about 0.1% to about 3.0% by weight of the composition; and these granules or marumes present no problems with respect to compaction to form a tablet.
  • the detergent tablets of the invention may also contain (preferably in the second region) a fluorescer (optical brightener), for example, Tinopal (Trade Mark) DMS or Tinopal CBS available from Ciba-Geigy AG, Basel, Switzerland.
  • a fluorescer optical brightener
  • Tinopal DMS is disodium 4,4'bis-(2-morpholino-4-anilino-s-triazin-6-ylamino) stilbene disulphonate
  • Tinopal CBS is disodium 2,2'-bis-(phenyl-styryl) disulphonate.
  • An antifoam material is advantageously included (preferably in the second region), especially if a detergent tablet is primarily intended for use in front-loading drum-type automatic washing machines.
  • Suitable antifoam materials are usually in granular form, such as those described in EP 266863A (Unilever).
  • Such antifoam granules typically comprise a mixture of silicone oil, petroleum jelly, hydrophobic silica and alkyl phosphate as antifoam active material, absorbed onto a porous absorbed water-soluble carbonate-based inorganic carrier material.
  • Antifoam granules may be present in an amount up to 5% by weight of the composition.
  • a detergent tablet of the invention includes an amount of an alkali metal silicate, particularly sodium ortho-, meta- or disilicate.
  • an alkali metal silicate particularly sodium ortho-, meta- or disilicate.
  • the presence of such alkali metal silicates at levels, for example, of 0.1 to 10 wt%, may be advantageous in providing protection against the corrosion of metal parts in washing machines, besides providing some measure of building and giving processing benefits in manufacture of the particulate material which is compacted into tablets.
  • a tablet for fabric washing will generally not contain more than 15 wt% silicate.
  • a tablet for machine dishwashing will often contain more than 20 wt% silicate.
  • the silicate is present in the second region of the tablet.
  • ingredients which can optionally be employed in a region of a fabric washing detergent of the invention tablet include anti-redeposition agents such as sodium carboxymethylcellulose, straight-chain polyvinyl pyrrolidone and the cellulose ethers such as methyl cellulose and ethyl hydroxyethyl cellulose, fabric-softening agents; heavy metal sequestrants such as EDTA; perfumes; and colorants or coloured speckles.
  • anti-redeposition agents such as sodium carboxymethylcellulose, straight-chain polyvinyl pyrrolidone and the cellulose ethers such as methyl cellulose and ethyl hydroxyethyl cellulose, fabric-softening agents
  • heavy metal sequestrants such as EDTA
  • perfumes and colorants or coloured speckles.
  • dispersing aids are water-swellable polymers (e.g. SCMC) highly soluble materials (e.g. sodium citrate, potassium carbonate or sodium acetate) or sodium tripolyphospate with preferably at least 40% of the anhydrous phase I form.
  • SCMC water-swellable polymers
  • highly soluble materials e.g. sodium citrate, potassium carbonate or sodium acetate
  • sodium tripolyphospate preferably at least 40% of the anhydrous phase I form.
  • the second region of a detergent tablet of this invention is a preferably a matrix of compacted particles.
  • the particulate composition has an average particle size in the range from 200 to 2000 ⁇ m, more preferably from 250 to 1400 ⁇ m. Fine particles, smaller than 180 ⁇ m or 200 ⁇ m may be eliminated by sieving before tableting, if desired, although we have observed that this is not always essential.
  • the starting particulate composition may in principle have any bulk density
  • the present invention is especially relevant to tablets made by compacting powders of relatively high bulk density, because of their greater tendency to exhibit disintegration and dispersion problems.
  • Such tablets have the advantage that, as compared with a tablet derived from a low bulk density powder, a given dose of composition can be presented as a smaller tablet.
  • the starting particulate composition may suitably have a bulk density of at least 400 g/litre, preferably at least 500 g/litre, and perhaps at least 600 g/litre.
  • Tableting machinery able to carry out the manufacture of tablets of the invention is known, for example suitable tablet presses are available from Fette and from Korch.
  • Tableting may be carried out at ambient temperature or at a temperature above ambient which may allow adequate strength to be achieved with less applied pressure during compaction.
  • the particulate composition is preferably supplied to the tableting machinery at an elevated temperature. This will of course supply heat to the tableting machinery, but the machinery may be heated in some other way also.
  • the size of a tablet will suitably range from 10 to 160 grams, preferably from 15 to 60 g, depending on the conditions of intended use, and whether it represents a dose for an average load in a fabric washing or dishwashing machine or a fractional part of such a dose.
  • the tablets may be of any shape. However, for ease of packaging they are preferably blocks of substantially uniform cross-section, such as cylinders or cuboids.
  • the overall density of a tablet preferably lies in a range from 1040 or 1050gm/litre up to 1600gm/litre.
  • a mixture was prepared by mixing an anionic surfactant (LAS, dobanic acis 103 ex Chemproha) with a nonionic surfactant (lutensol 7EO ex BASF) at a temperature of 75 to 80 C in the ratios as indicated below.
  • the mixtures are subsequently neutralised to a pH of 6 using a 50 % NaOH solution in water.
  • the mixture was manually mixed with milled urea prills (ex Kemira) in the amounts as indicated below.
  • a mixture was prepared by mixing 7 weight parts of an anionic surfactant (LAS, dobanic acis 103 ex Chemproha) with 6 weight parts of a nonionic surfactant (lutensol 7EO ex BASF) at a temperature of 75 to 80 C. The mixture is subsequently neutralised to a pH of 6 using a 50 % NaOH solution in water and 5% soap (pristerene C4916 ex Uniqema) is added.
  • LAS anionic surfactant
  • lutensol 7EO ex BASF a nonionic surfactant
  • Cleaning tablets of 5 g each were prepared by extruding tablets with a diameter of 20 mm and a height of about 15 mm.
  • the dissolution properties of the samples was measured in a 600 ml container containing 500 ml water at 20 C. One cleaning tablet was added to the water and stirred at a rate of 200 per minute. The residual weight of the samples was measured at 5 minute intervals and the P90 (time at which 90 wt% of the samples was solubilised) was determined by plotting a graph of weight of the sample versus time.
  • a detergent powder was made of the following composition by pregranulating the granule ingredients, followed by post-dosing the rest of the ingredients Ingredient Parts by weight Granules Na-las 1.1 Nonionic 7EO 0.5 C12 soap 0.1 NaAc.3aq 0.3 Zeolite A24 2.4 Light soda ash 0.4 Moisture/minors 0.4 Post-dose EAG (17% silicone) 3.0 Fluorescer (15%) 2.2 STP 62.4 Na-disilicate (80%) 3.8 TAED (83%) 4.3 Percarbonate 16.9 Dequest 2047 1.9 Minors/ enzymes/colour to 100
  • Na LAS is dobanic acid 103 ex Chemproha
  • nonionic surfactant is lutensol 7EO ex BASF.
  • Na-acetate 3 aq has a molecular weight of 82 (excluding the crystal water) urea has a molecular weight of 60.
  • the tablets were made in 2 different ways:

Landscapes

  • Chemical & Material Sciences (AREA)
  • Life Sciences & Earth Sciences (AREA)
  • Engineering & Computer Science (AREA)
  • Chemical Kinetics & Catalysis (AREA)
  • Oil, Petroleum & Natural Gas (AREA)
  • Wood Science & Technology (AREA)
  • Organic Chemistry (AREA)
  • Health & Medical Sciences (AREA)
  • Emergency Medicine (AREA)
  • Molecular Biology (AREA)
  • Detergent Compositions (AREA)

Abstract

A cleaning tablet comprising a smooth phase wherein the smooth phase comprises:
  • (a) from 25 to 90 wt% of surfactants; and
  • (b) from 10 to 90 wt% of organic material having a molecular weight of less than 500; and
  • (c) from 0 to 20 wt% of water
  • Description

    • This invention relates to cleaning compositions in the form of tablets for example, for use in fabric washing or machine dishwashing.
    • Detergent compositions in tablet form have advantages over powdered products in that they do not require measuring and are thus easier to handle and dispense into the washload.
    • Tablets of a cleaning composition are generally made by compressing or compacting a quantity of the composition in particulate form.
    • Tablets comprising two or more separate regions have also been described. For example WO 01/42416 describes the production of multi-phase moulded bodies comprising a combination of core moulded bodies and a particulate premix. WO 00/61717 describes a detergent tablet which is characterised in that at least part of its outer surface is semi-solid. WO 00/04129 describes a multi-phase detergent tablet comprising a first phase in the form of a shaped body having at least one mould therein and a second phase in the form of a particulate solid compressed within said mould.
    • It is an object of the present invention to provide a cleaning tablet comprising a smooth phase, wherein said smooth phase comprises high level of surfactants and wherein said cleaning tablet has good dispersing properties of the smooth phase and wherein the smooth phase has a suitable texture (preferably between soft and hard).
    • Although the invention can relate to a single phase smooth tablet, according to a preferred embodiment of the present invention there is provided a cleaning tablet which has a plurality of discrete regions with differing compositions, characterised in that at least one first region of the tablet is a smooth region and at least one second region of the tablet is a solid region of compacted particulate material.
    • In a first aspect the invention relates to a cleaning tablet comprising a smooth phase wherein the smooth phase comprises:
    • (a) from 25 to 90 wt% of surfactants; and
    • (b) from 10 to 75 wt% of organic material having a molecular weight of less than 500; and
    • (c) from 0 to 20 wt% of water.
    • Preferably the organic material is water-soluble and/or solid at ambient temperature The organic material can for example be selected from the group of sugars or citrates, more preferably the material has a molecular weight from 50 to 150, most preferably the organic material is selected from the group of urea or water-soluble lactates and acetates.
    • Preferably tablets of the invention are of cylindrical shape wherein the two main surfaces (upper side and bottom side) are substantially flat.
    • As indicated above, tablets of the invention can be single phase tablets, which are predominantly constituted by the smoothe phase as described above. However a preferred embodiment of the invention relates to a multiphase tablet wherein the smooth phase is present and additionally one or more other phases are present. Suitably these additional phases can be smooth or semi-solid or solid. Particularly suitable are solid phases composed of compacted partcilate solids.
    • The regions of a multi-phase tablet are possibly separate layers within a tablet. However, a discrete region of a tablet could also have other forms for example one or more core(s) or insert(s). In a preferred embodiment the first region is a smooth layer and the second region is a layer of compacted particulate material. In a further advantageous embodiment the first region is a core or insert of smooth or semi-solid material embedded in the second region which is a layer of compacted particulate material.
    • Preferably the smooth region is a semi-solid region as defined below.
    • If the tablet is a single phase smooth or semi-solid tablet, then preferably the weight of this tablet will be from 5 to 100 g, more preferably from 10 to 40 g, most preferably from 15 to 35 g.
    • If the tablet is a multi-phase tablet comprising the smooth or semi-solid phase of the invention then preferably the smooth or semi-solid phase is present as a distinctive region preferably having a weight of from 2 to 20 grammes, more preferred from 3 to 10 grammes. Preferably the other phases together have a weight of 10 to 50 grammes, more preferred 15 to 40 grammes.
    • The first region of the tablet is a smooth region. For the purpose of this invention the term smooth phase refers to compositions which are on the one hand solid enough to retain their shape at ambient temperature and on the other hand smooth in appearance. Smooth textures are generally of low or no porosity and have -at normal viewing distance- the appearance of a continuous phase for example as opposed to porous and particulate appearance of a compacted particulate material.
    • WO99/24549 describes the use of non-compressed gelatinous portions mounted in a mold as a smooth phase. These tablets must be made with specific equipment to ensure the appropriate mold formation. Furthermore the compositions for the smooth phase as disclosed in this document contain very high levels of ingredients with a limited functionality in the wash such as dipropylennglycolbutylether or glyceroltriacetate.
    • WO 00/61717 describes (in the example) the preparation of a compressed particulate tablet on top of which a (non-compressed) layer was made by pouring a mixture of nonionic and PEG followed by hardening. This formulation and its method of preparation is disadvantageous because it requires a very long hardening step in the tablet mould, during which the tablet mould cannot be used for further production, therewith significantly increasing the cost of production.
    • Preferably the smooth region of the tablet is a semi-solid region.
    • For the purpose of this invention the term semi-solid refers to compositions which are one the one hand solid enough to retain their shape at ambient temperature but which are neither completely solid.
    • A suitable test to check if a composition can be considered as semi-solid can be described with reference to the accompanying drawings which diagrammatically illustrate the testing of a cylindrical tablet:
    • Fig 1a shows a tablet when first contacted by the platens of an Instron testing machine,
    • Fig 1b shows the tablet at the point of failure,
    • Fig 2 diagrammatically illustrates the form of a graph obtained during testing.
    • A cylindrical tablet 10 with a diameter of 45 mm and a height of 20 mm is compressed radially between the plates 12,14 of a material testing machine until the tablet fractures. At the starting position shown in Fig 1a, the plates 12, 14 contact the tablet but do not apply force to it. Force is applied, as indicated by the arrows 16 to compress the tablet, the vertical speed of the upper plate is 25 mm/minute. The testing machine measures the applied force (F), and also the displacement (x) of the plates towards each other as the tablet is compressed. The distance (y) between the plates before force is applied, which is the diameter of the tablet, is also known. At failure, illustrated in Fig 1b the tablet cracks (eg as shown at 18) and the applied force needed to maintain the displacement drops. Measurement is discontinued when the applied force needed to maintain the displacement has dropped by 25% from its maximum value as indicated 19 in Fig 2. The displacement at failure (xf) is indicated between Figs. 1a and 1b.
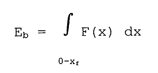
    • A graph of force (F) against displacement (x) has the form illustrated by Fig 2. The maximum force is the force at failure (Ff). The break energy is the area under the graph of force against displacement, up to the point of break. It is shown shaded in Fig 2 and is given by the equation:
      Figure 00060001
      wherein Eb is the break energy in mJoules, x is the displacement in metres and F is the applied force in Newtons at displacement x and xf is the displacement at failure.
    • Semi-solid compositions are characterised by a ratio of Ff to Eb of less than 1.0, more preferred from 0.1 to 0.9, most preferred from 0.2 to 0.6, while traditional tablets of compacted particulate materials are generally characterised by a ratio of Ff to Eb of more than 1, more generally more than 1.25 or even more than 1.5 up to say 6.
    • In an advantageous embodiment of the invention the smooth or semi-solid phase comprises from 25-80 wt% of surfactants (based on the total weight of said smooth or semi-solid phase), more preferred from 25 to 75 wt%, most preferred 30 to 70 wt%. It has been found that the combination of a separate smooth semi-) solid first region and these high surfactant levels provide very good dispersing and cleaning properties to the tablet.
    • Preferably the surfactants in the smooth or semi-solid first region comprise a combination of anionic surfactants (preferably non-soap anionic surfactants) and non-ionic surfactants in a weight ratio of from 5 : 1 to 1 : 5, more preferred 3 : 1 to 1 : 3, more preferred 2 : 1 to 1: 2. Further surfactants, for example cationic surfactants may equally be present for example at a level of 0.1 to 10 wt% based on the weight of the smooth or semi-solid part. Also advantageously the smooth or semi-solid region may comprise soap for example at a level of 0.1 to 10 wt% based on the weight of the smooth or semi-solid part.
    • The smooth or semi-solid region also comprises organic materials having a molecular weight of less than 500. Suitably organic materials are for example composed of combinations of one or more of O-H-C-N atoms, optionally the organic materials are organic salts with one or more cations. Preferably the organic material is water-soluble (e.g. having a solubility of more than 10 g/l, more preferred more than 100 g/l at 20°C). Also preferably the organic material is solid at ambient temperature. Esepcially preferably the organic material is meltable e.g. havinga melting point of less than 100 C.
    • The organic material can for example be selected from the group of sugars for example glucose, fructose, lactose etc and citrates, more preferably the organic material has a molecular weight from 50 to 150, most preferably the organic material is selected from the group of urea, lactates and acetates or combinations thereof. Most preferred is the use of urea or acetates. Suitably water-soluble acetates will be used for example sodium acetate or potassium acetate. For the purpose of the invention molecular weight of materials is calculated excluding any crystral water that may be present.
    • Preferably the smooth or semi-solid phase comprises 20-75 wt% of these materials (based on the total weight of said smooth or semi-solid phase), more preferred from 25 to 75 wt%, most preferred 30 to 70 wt%. It has been found that low molecular weight organic materials such as mentioned above, urea or acetate or combinations thereof provide good structuring properties to the smooth or semi-solid phase, especially if this phase comprises relatively high levels of surfactants.
    • This structuring leads on the one hand to a desired firm consistency of the smooth or semi-solid phase but on the other hand retains the smooth or semi-solid nature of the phase. Furthermore the organic materials such as urea and acetate are capable of reducing the bleeding of the smooth or semi-solid phase.
    • If the organic materials are present in the smooth or semi-solid phase then it is generally no longer needed to incorporate diluent materials in said phase/ Therefore advantageously the smooth or semi-solid region of the tablet comprises no or only low levels of diluent materials for example polyethyleneglycol or (mono-)propyleneglycol. Preferable the level of these diluents is from 0 to 10 wt%, more preferred 0 to 5, most preferred less than 2 wt% based on the weight of the smooth or semi-solid phase.
    • The smooth or semi-solid phase comprises no or only low levels of water. Preferably the level of water is less than 20 wt % based on the weight of the smooth or semi-solid phase, more preferred less than 10 wt%, most preferred from 0 to 5 wt%. Most preferably the smooth or semi-solid phases are substantially free from water, which means that apart from low levels of moisture (e.g. for neutralisation or as crystal water) the total level of water in the smooth or semi-solid phase is less than 1 wt%, more preferred less than 0.5 wt%.
    • Preferably the total weight of surfactants in the smooth or semi-solid phase is from 2 to 20 grammes, more preferred from 3 to 10 grammes.
    • In a preferred embodiment of the invention the tablet may be a multi-phase tablet wherein the phases other than the smooth or semi-solid phase as described above comprise no or only low levels of surfactants. Preferably the level of surfactants in the the other phases is less than 10 wt%(based on the total weight of said phases), more preferred from 0 to 9 wt%, most preferred from 1 to 8 wt%.
    • In an advantageous embodiment of the invention the cleaning tablets comprise a first smooth or semi-solid region (as described above) in combination with a second region of the tablet which is a solid region, for example prepared by compression of a particulate composition.
    • Although the second region may comprise surfactant materials, this region preferably comprises ingredients of the tablet other than surfactants. Examples of these ingredients are for example builders, bleach system, enzymes etc. Preferably the builders in the tablet are predominantly present in the second region. Preferably the bleach system is predominantly present in the second region. Preferably the enzymes are predominantly present in the second region. For the purpose of this invention, unless stated otherwise, the term "predominantly present" refers to a situation wherein at least 90 wt% of an ingredient is present in the second region, more preferred more than 98 wt%, most preferred substantially 100 wt%.
    • The above description of the tablet has been given with reference to a tablet constituted by two regions. It will however be understood that each of the regions may be composed of a limited number of discrete regions. For example the first smooth or semi-solid region may be a single discrete part of the tablet but may also be a limited number (say 1-5) discrete smooth or semi-solid parts. Preferably each of these smooth or semi-solid parts are at least 1 gramme, also preferably each of these smooth or semi-solid parts is substantially of the same composition. If reference is made to the composition or weight of the first region it is understood that this concerns the total weight and composition of these smooth or semi-solid parts.
    • Similarly the solid second region may be composed a limited number (say 1-5) of solid parts e.g. separate layers in the tablet. Preferably each of these parts has a weight of at least 10 grammes, also preferably each of the solid parts are substantially of the same composition. If reference is made to the composition or weight of the second region it is understood that this concerns the total weight and composition of these solid parts.
    • In addition to the smooth or semi-solid first region and the solid second region the cleaning tablets of the invention may optionally comprise further regions, for example the tablet may be partly or wholly coated.
    • Cleaning tablets according to the invention are preferably manufactured by a process comprising the steps of:
    • (a) inserting a particulate composition into a tablet mould
    • (b) inserting one or more smooth or semi-solid parts into said tablet mould
    • (c) co-compression of the particulate composition and the smooth or semi-solid parts to form a compressed tablet comprising discrete regions, wherein the first region is formed by said compressed smooth or semi-solid parts and the second region is formed by said compressed particulate composition.
    • Preferably step (a) takes place before step (b).
    • In a preferred embodiment of the invention the particulate composition is pre-compressed at a force of 0.1 to 20 kN/cm2 between steps (a) and (b) In another preferred embodiment the particulate composition is flattened between steps (a) and (b).
    • Preferably the (co-)compression of the combination of the smooth or semi-solid and the solid region(s) takes place at a force of from 0.1 to 20 kN/cm2. Especially if the solid region has been pre-compressed the co-compression in step (c) can advantageously be at a force of 0.1- 10 kN/cm2, more preferred 0.5 to 5 kN/cm2. If the solid region has not been pre-compressed, the co-compression preferably takes place at a force of 1- 100 kN/cm2., more preferred 2-50 kN/cm2., most preferred 2-10 kN/cm2.
    • One advantage of the method of the present invention is that . the co-compression step of (c) leads to good adherence of the first region to the second region and avoids the need of applying an adhesive material between the smooth or semi-solid and solid region. Another advantage of the method of the invention is that it can be carried out in a normal tablet press without the need of adaptation of the shape of the pressing surfaces.
    • A tablet of this invention may be intended for use in machine dishwashing. Such a tablet is likely to contain surfactant in a low concentration such as 0.5 to 2 wt% based on the whole tablet, although higher concentrations ranging up to 10 wt% may be used. Such will typically contain salts, such as over 60 wt%, often over 85 wt% of the tablet.
    • Water soluble salts typically used in machine dishwashing compositions are phosphates (including condensed phosphates) carbonates and silicates, generally as alkali metal salts. Water soluble alkali metal salts selected from phosphates, carbonates and silicates may provide 60 wt% or more of a dishwashing composition.
    • Another preferred possibility is that a tablet of this invention will be intended for fabric washing. In this event the tablet will be likely to contain at least 2 wt%, probably at least 5 wt%, up to 40 or 50 wt% surfactant based on the whole tablet, and from 5 to 80 wt% detergency builder, based on the whole tablet.
    • Materials which may be used in tablets of this invention will now be discussed in more detail.
    • Surfactant Compounds
    • Compositions which are used in tablets of the invention will contain one or more detergent surfactants. In a fabric washing composition, these preferably provide from 5 to 50% by weight of the overall tablet composition, more preferably from 8 or 9% by weight of the overall composition up to 40% or 50% by weight. Surfactant may be anionic (soap or non-soap), cationic, zwitterionic, amphoteric, nonionic or a combination of these.
    • Anionic surfactant may be present in an amount from 0.5 to 50% by weight, preferably from 2% or 4% up to 30% or 40% by weight of the tablet composition.
    • Synthetic (i.e. non-soap) anionic surfactants are well known to those skilled in the art. Examples include alkylbenzene sulphonates, particularly sodium linear alkylbenzene sulphonates having an alkyl chain length of C8-C15; olefin sulphonates; alkane sulphonates; dialkyl sulphosuccinates; and fatty acid ester sulphonates.
    • Primary alkyl sulphate having the formula ROSO3 - M+ in which R is an alkyl or alkenyl chain of 8 to 18 carbon atoms especially 10 to 14 carbon atoms and M+ is a solubilising cation, is commercially significant as an anionic surfactant.
      Figure 00130001
      Linear alkyl benzene sulphonate of the formula
      where R is linear alkyl of 8 to 15 carbon atoms and M+ is a solubilising cation, especially sodium, is also a commercially significant anionic surfactant.
    • Frequently, such linear alkyl benzene sulphonate or primary alkyl sulphate of the formula above, or a mixture thereof will be the desired anionic surfactant and may provide 75 to 100 wt% of any anionic non-soap surfactant in the composition.
    • In some forms of this invention the amount of non-soap anionic surfactant lies in a range from 5 to 20 wt% of the tablet composition.
    • It may also be desirable to include one or more soaps of fatty acids. These are preferably sodium soaps derived from naturally occurring fatty acids, for example, the fatty acids from coconut oil, beef tallow, sunflower or hardened rapeseed oil.
    • Suitable nonionic surfactant compounds which may be used include in particular the reaction products of compounds having a hydrophobic group and a reactive hydrogen atom, for example, aliphatic alcohols, acids, amides or alkyl phenols with alkylene oxides, especially ethylene oxide.
    • Specific nonionic surfactant compounds are alkyl (C8-22) phenol-ethylene oxide condensates, the condensation products of linear or branched aliphatic C8-20 primary or secondary alcohols with ethylene oxide, and products made by condensation of ethylene oxide with the reaction products of propylene oxide and ethylene-diamine.
    • Especially preferred are the primary and secondary alcohol ethoxylates, especially the C9-11 and C12-15 primary and secondary alcohols ethoxylated with an average of from 5 to 20 moles of ethylene oxide per mole of alcohol.
    • In some fabric washing tablets of this invention, the amount of nonionic surfactant lies in a range from 4 to 40%, better 4 or 5 to 30% by weight of the whole tablet.
    • Many nonionic surfactants are liquids. These may be absorbed onto particles of the composition.
    • In a machine dishwashing tablet the surfactant may be wholly nonionic, in an amount below 5 wt% of the whole tablet although it is known to include some anionic surfactant and to use up to 10 wt% surfactant in total.
    • Detergency Builder
    • A composition which is used in tablets of the invention will contain from 5 to 80%, more usually 15 to 60% by weight of detergency builder. This may be provided wholly by water soluble materials, or may be provided in large part or even entirely by water-insoluble material with water-softening properties. Water-insoluble detergency builder may be present as 5 to 80 wt%, better 5 to 60 wt% of the composition.
    • Alkali metal aluminosilicates are strongly favoured as environmentally acceptable water-insoluble builders for fabric washing. Alkali metal (preferably sodium) aluminosilicates may be either crystalline or amorphous or mixtures thereof, having the general formula: 0.8 - 1.5 Na2O.Al2O3. 0.8 - 6 SiO2. xH2O
    • These materials contain some bound water (indicated as "xH2O" and are required to have a calcium ion exchange capacity of at least 50 mg CaO/g. The preferred sodium aluminosilicates contain 1.5-3.5 SiO2 units (in the formula above). Both the amorphous and the crystalline materials can be prepared readily by reaction between sodium silicate and sodium aluminate, as amply described in the literature.
    • Suitable crystalline sodium aluminosilicate ion-exchange detergency builders are described, for example, in GB 1429143 (Procter & Gamble). The preferred sodium aluminosilicates of this type are the well known commercially available zeolites A and X, the novel zeolite P described and claimed in EP 384070 (Unilever) and mixtures thereof.
    • Conceivably a water-insoluble detergency builder could be a layered sodium silicate as described in US 4664839.
      NaSKS-6 is the trademark for a crystalline layered silicate marketed by Hoechst (commonly abbreviated as "SKS-6"). NaSKS-6 has the delta-Na2SiO5 morphology form of layered silicate. It can be prepared by methods such as described in DE-A-3,417,649 and DE-A-3,742,043. Other such layered silicates, such as those having the general formula NaMSixO2x+1.yH2O wherein M is sodium or hydrogen, x is a number from 1.9 to 4, preferably 2, and y is a number from 0 to 20, preferably 0 can be used.
    • Water-soluble phosphorous-containing inorganic detergency builders, include the alkali-metal orthophosphates, metaphosphates, pyrophosphates and polyphosphates. Specific examples of inorganic phosphate builders include sodium and potassium tripolyphosphates, orthophosphates and hexametaphosphates.
    • Non-phosphorous water-soluble builders may be organic or inorganic. Inorganic builders that may be present include alkali metal (generally sodium) carbonate; while organic builders include polycarboxylate polymers, such as polyacrylates, acrylic/maleic copolymers, and acrylic phosphonates, monomeric polycarboxylates such as citrates, gluconates, oxydisuccinates, glycerol mono- di- and trisuccinates, carboxymethyloxysuccinates, carboxymethyloxymalonates, dipicolinates and hydroxyethyliminodiacetates.
    • At least one region (preferably the second region) of a fabric washing tablet preferably include polycarboxylate polymers, more especially polyacrylates and acrylic/maleic copolymers which can function as builders and also inhibit unwanted deposition onto fabric from the wash liquor.
    • Bleach System
    • Tablets according to the invention may contain a bleach system in at least one region of a tablet, preferably in the second region. This preferably comprises one or more peroxy bleach compounds, for example, inorganic persalts or organic peroxyacids, which may be employed in conjunction with activators to improve bleaching action at low wash temperatures. If any peroxygen compound is present, the amount is likely to lie in a range from 10 to 25% by weight of the composition.
    • Preferred inorganic persalts are sodium perborate monohydrate and tetrahydrate, and sodium percarbonate, advantageously employed together with an activator. Bleach activators, also referred to as bleach precursors, have been widely disclosed in the art. Preferred examples include peracetic acid precursors, for example, tetraacetylethylene diamine (TAED), now in widespread commercial use in conjunction with sodium perborate; and perbenzoic acid precursors. The quaternary ammonium and phosphonium bleach activators disclosed in US 4751015 and US 4818426 (Lever Brothers Company) are also of interest. Another type of bleach activator which may be used, but which is not a bleach precursor, is a transition metal catalyst as disclosed in EP-A-458397, EP-A-458398 and EP-A-549272. A bleach system may also include a bleach stabiliser (heavy metal sequestrant) such as ethylenediamine tetramethylene phosphonate and diethylenetriamine pentamethylene phosphonate.
    • As indicated above, if a bleach is present and is a water-soluble inorganic peroxygen bleach, the amount may well be from 10% to 25% by weight of the composition.
    • Other Detergent Ingredients
    • The detergent tablets of the invention may also contain (preferably in the second region) one of the detergency enzymes well known in the art for their ability to degrade and aid in the removal of various soils and stains. Suitable enzymes include the various proteases, cellulases, lipases, amylases, and mixtures thereof, which are designed to remove a variety of soils and stains from fabrics. Examples of suitable proteases are Maxatase (Trade Mark), as supplied by Gist-Brocades N.V., Delft, Holland, and Alcalase (Trade Mark), and Savinase (Trade Mark), as supplied by Novo Industri A/S, Copenhagen, Denmark. Detergency enzymes are commonly employed in the form of granules or marumes, optionally with a protective coating, in amount of from about 0.1% to about 3.0% by weight of the composition; and these granules or marumes present no problems with respect to compaction to form a tablet.
    • The detergent tablets of the invention may also contain (preferably in the second region) a fluorescer (optical brightener), for example, Tinopal (Trade Mark) DMS or Tinopal CBS available from Ciba-Geigy AG, Basel, Switzerland. Tinopal DMS is disodium 4,4'bis-(2-morpholino-4-anilino-s-triazin-6-ylamino) stilbene disulphonate; and Tinopal CBS is disodium 2,2'-bis-(phenyl-styryl) disulphonate.
    • An antifoam material is advantageously included (preferably in the second region), especially if a detergent tablet is primarily intended for use in front-loading drum-type automatic washing machines. Suitable antifoam materials are usually in granular form, such as those described in EP 266863A (Unilever). Such antifoam granules typically comprise a mixture of silicone oil, petroleum jelly, hydrophobic silica and alkyl phosphate as antifoam active material, absorbed onto a porous absorbed water-soluble carbonate-based inorganic carrier material. Antifoam granules may be present in an amount up to 5% by weight of the composition.
    • It may also be desirable that a detergent tablet of the invention includes an amount of an alkali metal silicate, particularly sodium ortho-, meta- or disilicate. The presence of such alkali metal silicates at levels, for example, of 0.1 to 10 wt%, may be advantageous in providing protection against the corrosion of metal parts in washing machines, besides providing some measure of building and giving processing benefits in manufacture of the particulate material which is compacted into tablets.
    • A tablet for fabric washing will generally not contain more than 15 wt% silicate. A tablet for machine dishwashing will often contain more than 20 wt% silicate. Preferably the silicate is present in the second region of the tablet.
    • Further ingredients which can optionally be employed in a region of a fabric washing detergent of the invention tablet (preferably the second region) include anti-redeposition agents such as sodium carboxymethylcellulose, straight-chain polyvinyl pyrrolidone and the cellulose ethers such as methyl cellulose and ethyl hydroxyethyl cellulose, fabric-softening agents; heavy metal sequestrants such as EDTA; perfumes; and colorants or coloured speckles.
    • Further ingredients which can optionally be used in tablets of the invention, preferably in the second region are dispersing aids. Examples of suitable dispersing aids are water-swellable polymers (e.g. SCMC) highly soluble materials (e.g. sodium citrate, potassium carbonate or sodium acetate) or sodium tripolyphospate with preferably at least 40% of the anhydrous phase I form.
    • Particle Size and Distribution
    • The second region of a detergent tablet of this invention, is a preferably a matrix of compacted particles.
    • Preferably the particulate composition has an average particle size in the range from 200 to 2000 µm, more preferably from 250 to 1400 µm. Fine particles, smaller than 180 µm or 200 µm may be eliminated by sieving before tableting, if desired, although we have observed that this is not always essential.
    • While the starting particulate composition may in principle have any bulk density, the present invention is especially relevant to tablets made by compacting powders of relatively high bulk density, because of their greater tendency to exhibit disintegration and dispersion problems. Such tablets have the advantage that, as compared with a tablet derived from a low bulk density powder, a given dose of composition can be presented as a smaller tablet.
    • Thus the starting particulate composition may suitably have a bulk density of at least 400 g/litre, preferably at least 500 g/litre, and perhaps at least 600 g/litre.
    • Tableting machinery able to carry out the manufacture of tablets of the invention is known, for example suitable tablet presses are available from Fette and from Korch.
    • Tableting may be carried out at ambient temperature or at a temperature above ambient which may allow adequate strength to be achieved with less applied pressure during compaction. In order to carry out the tableting at a temperature which is above ambient, the particulate composition is preferably supplied to the tableting machinery at an elevated temperature. This will of course supply heat to the tableting machinery, but the machinery may be heated in some other way also.
    • The size of a tablet will suitably range from 10 to 160 grams, preferably from 15 to 60 g, depending on the conditions of intended use, and whether it represents a dose for an average load in a fabric washing or dishwashing machine or a fractional part of such a dose. The tablets may be of any shape. However, for ease of packaging they are preferably blocks of substantially uniform cross-section, such as cylinders or cuboids. The overall density of a tablet preferably lies in a range from 1040 or 1050gm/litre up to 1600gm/litre.
    • Example 1
    • A mixture was prepared by mixing an anionic surfactant (LAS, dobanic acis 103 ex Chemproha) with a nonionic surfactant (lutensol 7EO ex BASF) at a temperature of 75 to 80 C in the ratios as indicated below. The mixtures are subsequently neutralised to a pH of 6 using a 50 % NaOH solution in water.
    • The mixture was manually mixed with milled urea prills (ex Kemira) in the amounts as indicated below.
    • As a comparison a mixture was prepared by mixing 7 weight parts of an anionic surfactant (LAS, dobanic acis 103 ex Chemproha) with 6 weight parts of a nonionic surfactant (lutensol 7EO ex BASF) at a temperature of 75 to 80 C. The mixture is subsequently neutralised to a pH of 6 using a 50 % NaOH solution in water and 5% soap (pristerene C4916 ex Uniqema) is added.
    • Cleaning tablets of 5 g each were prepared by extruding tablets with a diameter of 20 mm and a height of about 15 mm.
    • The dissolution properties of the samples was measured in a 600 ml container containing 500 ml water at 20 C. One cleaning tablet was added to the water and stirred at a rate of 200 per minute. The residual weight of the samples was measured at 5 minute intervals and the P90 (time at which 90 wt% of the samples was solubilised) was determined by plotting a graph of weight of the sample versus time.
    • The following results were obtained:
      Weight ratio anionic: nonionic Weight ratio of surfactants to urea P90 (in minutes)
      7 : 6 1 : 1 9 to 10
      7 : 6 3 : 5 6 to 7
      4 : 9 1 : 1 10 to 11
      4 : 9 3 : 5 10 to 11
      7 : 6 1 :2 4 to 5
      7 : 6 Comparison: 5 % soap 21 to 22
    • Example II: multi-phase tablets
    • A detergent powder was made of the following composition by pregranulating the granule ingredients, followed by post-dosing the rest of the ingredients
      Ingredient Parts by weight
      Granules
      Na-las 1.1
      Nonionic 7EO 0.5
      C12 soap 0.1
      NaAc.3aq 0.3
      Zeolite A24 2.4
      Light soda ash 0.4
      Moisture/minors 0.4
      Post-dose
      EAG (17% silicone) 3.0
      Fluorescer (15%) 2.2
      STP 62.4
      Na-disilicate (80%) 3.8
      TAED (83%) 4.3
      Percarbonate 16.9
      Dequest 2047 1.9
      Minors/ enzymes/colour to 100
    • Smooth and semi-solid parts of 5 gramme each were prepared of the following composition by moulding the composition at 80 C into moulds followed by cooling to 20 C to form smooth,semi-solid parts of about 32 diameter and 6 mm high :
      Ingredient II A; weight parts II B; weight parts
      Na las 7 7
      Nonionic 6 6
      Urea 13 -
      Na-acetate3aq - 13
    • Na LAS is dobanic acid 103 ex Chemproha, nonionic surfactant is lutensol 7EO ex BASF.
      Na-acetate 3 aq has a molecular weight of 82 (excluding the crystal water) urea has a molecular weight of 60.
    • The tablets were made in 2 different ways:
    • (I) 20 grammes of the powder are inserted into a 45 mm die of a tabletting machine, optionally followed by a flattening step, followed by addition of a single smooth,semi-solid part on top of the powder bed. After addition of the smooth semi-solid onto the powder bed or flattened powder, the whole material is compressed at 30kN into a single tablet, followed by ejection of the tablet. This results in a tablet with a smooth, semi-solid part embedded in the cleaning tablet. The density of the powdered region is 1.5 kg/litre, the density of the smooth, semi-solid part is 1.0 kg/litre. The height of the smooth, semi-solid part after compression is 3.4 mm, of the powdered part 11 mm.
    • (II) Another way of making a tablet with a smooth, semi-solid part is to put a single smooth, semi-solid part as above onto 20 grammes of the (optionally pre-compressed at 4 kN) powdered composition in a die of 45 mm diameter followed by a final compression step at 30 kN. During the final compression step, the smooth, semi-solid part flows by the compaction forces to form a 3.4 mm smooth,semi-solid layer adhered on top of the particulate layer. The density of the powdered region is 1.5 kg/litre, the density of the smooth, semi-solid part is 1.0 kg/litre. The height of the powdered part after compression is 11 mm.

    Claims (10)

    1. A cleaning tablet comprising a smooth phase wherein the smooth phase comprises:
      (a) from 25 to 90 wt% of surfactants; and
      (b) from 10 to 90 wt% of organic material having a molecular weight of less than 500; and
      (c) from 0 to 20 wt% of water.
    2. A cleaning tablet according to claim 1, wherein the organic material is water soluble, for example having a solubility in water at 20 C of more than 10 g/l, more preferred more than 100 g/l.
    3. A cleaning tablet according to claim 1, wherein the organic material is solid at ambient temperature.
    4. A cleaning tablet according to claim 1, wherein the organic material has a molecular weight of from 50 to 150.
    5. A cleaning tablet according to claim 1, wherein the organic material comprises one or more sugars or citrates.
    6. A cleaning tablet according to claim 4, wherein the organic material is selected from urea or water-soluble lactates or acetates or combinations thereof.
    7. A cleaning tablet according to claim 1, wherein the organic material is urea or sodium acetate or potassium acetate.
    8. A cleaning tablet according to claim 1, wherein the smooth phase comprises 30 to 70 wt% of surfactants.
    9. A cleaning tablet according to claim 1, being a multi-phase tablet wherein at least one of the phases is a smooth phase according to claim 1.
    10. Use of a cleaning tablet according to one or more of the preceding claims for fabric washing.
    EP03076738A 2002-06-14 2003-06-04 Detergent tablets Expired - Lifetime EP1375636B1 (en)

    Priority Applications (1)

    Application Number Priority Date Filing Date Title
    EP03076738A EP1375636B1 (en) 2002-06-14 2003-06-04 Detergent tablets

    Applications Claiming Priority (3)

    Application Number Priority Date Filing Date Title
    EP02077444 2002-06-14
    EP02077444 2002-06-14
    EP03076738A EP1375636B1 (en) 2002-06-14 2003-06-04 Detergent tablets

    Publications (2)

    Publication Number Publication Date
    EP1375636A1 true EP1375636A1 (en) 2004-01-02
    EP1375636B1 EP1375636B1 (en) 2008-02-13

    Family

    ID=39105508

    Family Applications (1)

    Application Number Title Priority Date Filing Date
    EP03076738A Expired - Lifetime EP1375636B1 (en) 2002-06-14 2003-06-04 Detergent tablets

    Country Status (4)

    Country Link
    EP (1) EP1375636B1 (en)
    AT (1) ATE386100T1 (en)
    DE (1) DE60319033D1 (en)
    ES (1) ES2301755T3 (en)

    Cited By (10)

    * Cited by examiner, † Cited by third party
    Publication number Priority date Publication date Assignee Title
    EP1405900B1 (en) * 2002-10-01 2006-03-08 Unilever Plc Detergent compositions
    EP1669438A1 (en) 2004-12-08 2006-06-14 Unilever N.V. Detergent tablet
    EP1676904A1 (en) 2005-01-04 2006-07-05 Unilever N.V. Detergent tablets
    EP1705240A1 (en) 2005-03-23 2006-09-27 Unilever N.V. Detergent tablets
    EP1705241A1 (en) 2005-03-23 2006-09-27 Unilever N.V. Detergent compositions in tablet form
    EP1746152A1 (en) 2005-07-20 2007-01-24 Unilever N.V. Detergent compositions
    EP1746151A1 (en) 2005-07-20 2007-01-24 Unilever N.V. Detergent tablet compositions
    WO2012069895A1 (en) 2010-11-12 2012-05-31 Dental Care Innovation Gmbh Soluble tablet, containing abrasive media
    WO2014118113A1 (en) 2013-01-31 2014-08-07 Purac Biochem Bv Slow release gelled lactic acid bodies
    US10959931B2 (en) 2017-02-02 2021-03-30 Water Pik, Inc. Tablet including abrasive for dental cleaning

    Citations (5)

    * Cited by examiner, † Cited by third party
    Publication number Priority date Publication date Assignee Title
    GB2155031A (en) * 1984-02-29 1985-09-18 Unilever Plc Detergent gel compositions
    GB2223028A (en) * 1988-06-28 1990-03-28 Unilever Plc Detergent composition including fabric softening clay
    WO1999024548A1 (en) * 1997-11-10 1999-05-20 The Procter & Gamble Company Detergent tablet
    WO1999027064A1 (en) * 1997-11-26 1999-06-03 The Procter & Gamble Company Detergent tablet
    WO2000061717A1 (en) * 1999-04-09 2000-10-19 The Procter Gamble Company Detergent tablet

    Patent Citations (5)

    * Cited by examiner, † Cited by third party
    Publication number Priority date Publication date Assignee Title
    GB2155031A (en) * 1984-02-29 1985-09-18 Unilever Plc Detergent gel compositions
    GB2223028A (en) * 1988-06-28 1990-03-28 Unilever Plc Detergent composition including fabric softening clay
    WO1999024548A1 (en) * 1997-11-10 1999-05-20 The Procter & Gamble Company Detergent tablet
    WO1999027064A1 (en) * 1997-11-26 1999-06-03 The Procter & Gamble Company Detergent tablet
    WO2000061717A1 (en) * 1999-04-09 2000-10-19 The Procter Gamble Company Detergent tablet

    Cited By (13)

    * Cited by examiner, † Cited by third party
    Publication number Priority date Publication date Assignee Title
    EP1405900B1 (en) * 2002-10-01 2006-03-08 Unilever Plc Detergent compositions
    EP1669438A1 (en) 2004-12-08 2006-06-14 Unilever N.V. Detergent tablet
    EP1676904A1 (en) 2005-01-04 2006-07-05 Unilever N.V. Detergent tablets
    EP1705240A1 (en) 2005-03-23 2006-09-27 Unilever N.V. Detergent tablets
    EP1705241A1 (en) 2005-03-23 2006-09-27 Unilever N.V. Detergent compositions in tablet form
    EP1746151A1 (en) 2005-07-20 2007-01-24 Unilever N.V. Detergent tablet compositions
    EP1746152A1 (en) 2005-07-20 2007-01-24 Unilever N.V. Detergent compositions
    WO2012069895A1 (en) 2010-11-12 2012-05-31 Dental Care Innovation Gmbh Soluble tablet, containing abrasive media
    DE102010051226A1 (en) 2010-11-12 2012-05-31 Dental Care Innovation Gmbh Rinse-off tray with abrasive components
    US9493731B2 (en) 2010-11-12 2016-11-15 Dental Care Innovation Gmbh Soluble tablet, containing abrasive media
    WO2014118113A1 (en) 2013-01-31 2014-08-07 Purac Biochem Bv Slow release gelled lactic acid bodies
    US10959931B2 (en) 2017-02-02 2021-03-30 Water Pik, Inc. Tablet including abrasive for dental cleaning
    US11596587B2 (en) 2017-02-02 2023-03-07 Water Pik, Inc. Tablet including abrasive for dental cleaning

    Also Published As

    Publication number Publication date
    ES2301755T3 (en) 2008-07-01
    DE60319033D1 (en) 2008-03-27
    ATE386100T1 (en) 2008-03-15
    EP1375636B1 (en) 2008-02-13

    Similar Documents

    Publication Publication Date Title
    EP1382668B1 (en) Detergent tablets
    EP1705241B1 (en) Detergent compositions in tablet form
    US6472362B1 (en) Detergent compositions in tablet form
    EP1511834B1 (en) Detergent tablets
    US6380141B1 (en) Water-softening and detergent compositions
    EP1375636B1 (en) Detergent tablets
    EP1418224B1 (en) Method for producing a cleaning tablet
    EP1405902A1 (en) Detergent compositions
    EP1405901B1 (en) Detergent compositions
    EP1405900B1 (en) Detergent compositions
    EP1669438B1 (en) Detergent tablet
    EP1371720B1 (en) Detergent tablets
    US6310028B1 (en) Water-softening and detergent compositions containing partially hydrated Na acetate
    EP1491622B1 (en) Detergent compositions
    EP1574563B1 (en) Use of detergent tablets
    EP1496105B1 (en) Detergent compositions
    EP1516916A1 (en) Detergent compositions
    EP1469061B1 (en) Method for the Preparation of multiphase cleaning tablet comprising a smooth phase
    EP1522575B1 (en) Detergent compositions
    EP1676904B1 (en) Detergent tablets
    EP1746151A1 (en) Detergent tablet compositions
    EP1466964A1 (en) Cleaning compositions
    EP1496106A1 (en) Detergent compositions
    EP1466965A1 (en) Cleaning compositions
    EP1568762A1 (en) Detergent tablet compositions and their manufacture

    Legal Events

    Date Code Title Description
    PUAI Public reference made under article 153(3) epc to a published international application that has entered the european phase

    Free format text: ORIGINAL CODE: 0009012

    17P Request for examination filed

    Effective date: 20031031

    AK Designated contracting states

    Kind code of ref document: A1

    Designated state(s): AT BE BG CH CY CZ DE DK EE ES FI FR GB GR HU IE IT LI LU MC NL PT RO SE SI SK TR

    AX Request for extension of the european patent

    Extension state: AL LT LV MK

    RAP1 Party data changed (applicant data changed or rights of an application transferred)

    Owner name: UNILEVER N.V.

    Owner name: UNILEVER PLC

    AKX Designation fees paid

    Designated state(s): AT BE BG CH CY CZ DE DK EE ES FI FR GB GR HU IE IT LI LU MC NL PT RO SE SI SK TR

    GRAP Despatch of communication of intention to grant a patent

    Free format text: ORIGINAL CODE: EPIDOSNIGR1

    GRAS Grant fee paid

    Free format text: ORIGINAL CODE: EPIDOSNIGR3

    GRAA (expected) grant

    Free format text: ORIGINAL CODE: 0009210

    AK Designated contracting states

    Kind code of ref document: B1

    Designated state(s): AT BE BG CH CY CZ DE DK EE ES FI FR GB GR HU IE IT LI LU MC NL PT RO SE SI SK TR

    REG Reference to a national code

    Ref country code: GB

    Ref legal event code: FG4D

    REG Reference to a national code

    Ref country code: CH

    Ref legal event code: EP

    REG Reference to a national code

    Ref country code: IE

    Ref legal event code: FG4D

    REF Corresponds to:

    Ref document number: 60319033

    Country of ref document: DE

    Date of ref document: 20080327

    Kind code of ref document: P

    REG Reference to a national code

    Ref country code: ES

    Ref legal event code: FG2A

    Ref document number: 2301755

    Country of ref document: ES

    Kind code of ref document: T3

    PG25 Lapsed in a contracting state [announced via postgrant information from national office to epo]

    Ref country code: FI

    Free format text: LAPSE BECAUSE OF FAILURE TO SUBMIT A TRANSLATION OF THE DESCRIPTION OR TO PAY THE FEE WITHIN THE PRESCRIBED TIME-LIMIT

    Effective date: 20080213

    NLV1 Nl: lapsed or annulled due to failure to fulfill the requirements of art. 29p and 29m of the patents act
    PG25 Lapsed in a contracting state [announced via postgrant information from national office to epo]

    Ref country code: AT

    Free format text: LAPSE BECAUSE OF FAILURE TO SUBMIT A TRANSLATION OF THE DESCRIPTION OR TO PAY THE FEE WITHIN THE PRESCRIBED TIME-LIMIT

    Effective date: 20080213

    ET Fr: translation filed
    PG25 Lapsed in a contracting state [announced via postgrant information from national office to epo]

    Ref country code: SI

    Free format text: LAPSE BECAUSE OF FAILURE TO SUBMIT A TRANSLATION OF THE DESCRIPTION OR TO PAY THE FEE WITHIN THE PRESCRIBED TIME-LIMIT

    Effective date: 20080213

    PG25 Lapsed in a contracting state [announced via postgrant information from national office to epo]

    Ref country code: PT

    Free format text: LAPSE BECAUSE OF FAILURE TO SUBMIT A TRANSLATION OF THE DESCRIPTION OR TO PAY THE FEE WITHIN THE PRESCRIBED TIME-LIMIT

    Effective date: 20080714

    Ref country code: NL

    Free format text: LAPSE BECAUSE OF FAILURE TO SUBMIT A TRANSLATION OF THE DESCRIPTION OR TO PAY THE FEE WITHIN THE PRESCRIBED TIME-LIMIT

    Effective date: 20080213

    Ref country code: CZ

    Free format text: LAPSE BECAUSE OF FAILURE TO SUBMIT A TRANSLATION OF THE DESCRIPTION OR TO PAY THE FEE WITHIN THE PRESCRIBED TIME-LIMIT

    Effective date: 20080213

    Ref country code: DK

    Free format text: LAPSE BECAUSE OF FAILURE TO SUBMIT A TRANSLATION OF THE DESCRIPTION OR TO PAY THE FEE WITHIN THE PRESCRIBED TIME-LIMIT

    Effective date: 20080213

    Ref country code: SE

    Free format text: LAPSE BECAUSE OF FAILURE TO SUBMIT A TRANSLATION OF THE DESCRIPTION OR TO PAY THE FEE WITHIN THE PRESCRIBED TIME-LIMIT

    Effective date: 20080513

    Ref country code: SK

    Free format text: LAPSE BECAUSE OF FAILURE TO SUBMIT A TRANSLATION OF THE DESCRIPTION OR TO PAY THE FEE WITHIN THE PRESCRIBED TIME-LIMIT

    Effective date: 20080213

    PG25 Lapsed in a contracting state [announced via postgrant information from national office to epo]

    Ref country code: RO

    Free format text: LAPSE BECAUSE OF FAILURE TO SUBMIT A TRANSLATION OF THE DESCRIPTION OR TO PAY THE FEE WITHIN THE PRESCRIBED TIME-LIMIT

    Effective date: 20080213

    PLBE No opposition filed within time limit

    Free format text: ORIGINAL CODE: 0009261

    STAA Information on the status of an ep patent application or granted ep patent

    Free format text: STATUS: NO OPPOSITION FILED WITHIN TIME LIMIT

    26N No opposition filed

    Effective date: 20081114

    PG25 Lapsed in a contracting state [announced via postgrant information from national office to epo]

    Ref country code: DE

    Free format text: LAPSE BECAUSE OF FAILURE TO SUBMIT A TRANSLATION OF THE DESCRIPTION OR TO PAY THE FEE WITHIN THE PRESCRIBED TIME-LIMIT

    Effective date: 20080514

    Ref country code: MC

    Free format text: LAPSE BECAUSE OF NON-PAYMENT OF DUE FEES

    Effective date: 20080630

    REG Reference to a national code

    Ref country code: CH

    Ref legal event code: PL

    PG25 Lapsed in a contracting state [announced via postgrant information from national office to epo]

    Ref country code: BG

    Free format text: LAPSE BECAUSE OF FAILURE TO SUBMIT A TRANSLATION OF THE DESCRIPTION OR TO PAY THE FEE WITHIN THE PRESCRIBED TIME-LIMIT

    Effective date: 20080513

    Ref country code: IE

    Free format text: LAPSE BECAUSE OF NON-PAYMENT OF DUE FEES

    Effective date: 20080604

    Ref country code: EE

    Free format text: LAPSE BECAUSE OF FAILURE TO SUBMIT A TRANSLATION OF THE DESCRIPTION OR TO PAY THE FEE WITHIN THE PRESCRIBED TIME-LIMIT

    Effective date: 20080213

    PG25 Lapsed in a contracting state [announced via postgrant information from national office to epo]

    Ref country code: CH

    Free format text: LAPSE BECAUSE OF NON-PAYMENT OF DUE FEES

    Effective date: 20080630

    Ref country code: LI

    Free format text: LAPSE BECAUSE OF NON-PAYMENT OF DUE FEES

    Effective date: 20080630

    PG25 Lapsed in a contracting state [announced via postgrant information from national office to epo]

    Ref country code: CY

    Free format text: LAPSE BECAUSE OF FAILURE TO SUBMIT A TRANSLATION OF THE DESCRIPTION OR TO PAY THE FEE WITHIN THE PRESCRIBED TIME-LIMIT

    Effective date: 20080213

    PG25 Lapsed in a contracting state [announced via postgrant information from national office to epo]

    Ref country code: IT

    Free format text: LAPSE BECAUSE OF FAILURE TO SUBMIT A TRANSLATION OF THE DESCRIPTION OR TO PAY THE FEE WITHIN THE PRESCRIBED TIME-LIMIT

    Effective date: 20080213

    PG25 Lapsed in a contracting state [announced via postgrant information from national office to epo]

    Ref country code: LU

    Free format text: LAPSE BECAUSE OF NON-PAYMENT OF DUE FEES

    Effective date: 20080604

    Ref country code: HU

    Free format text: LAPSE BECAUSE OF FAILURE TO SUBMIT A TRANSLATION OF THE DESCRIPTION OR TO PAY THE FEE WITHIN THE PRESCRIBED TIME-LIMIT

    Effective date: 20080814

    PG25 Lapsed in a contracting state [announced via postgrant information from national office to epo]

    Ref country code: TR

    Free format text: LAPSE BECAUSE OF FAILURE TO SUBMIT A TRANSLATION OF THE DESCRIPTION OR TO PAY THE FEE WITHIN THE PRESCRIBED TIME-LIMIT

    Effective date: 20080213

    PG25 Lapsed in a contracting state [announced via postgrant information from national office to epo]

    Ref country code: GR

    Free format text: LAPSE BECAUSE OF FAILURE TO SUBMIT A TRANSLATION OF THE DESCRIPTION OR TO PAY THE FEE WITHIN THE PRESCRIBED TIME-LIMIT

    Effective date: 20080514

    PGFP Annual fee paid to national office [announced via postgrant information from national office to epo]

    Ref country code: ES

    Payment date: 20110628

    Year of fee payment: 9

    Ref country code: FR

    Payment date: 20110629

    Year of fee payment: 9

    PGFP Annual fee paid to national office [announced via postgrant information from national office to epo]

    Ref country code: GB

    Payment date: 20110628

    Year of fee payment: 9

    PGFP Annual fee paid to national office [announced via postgrant information from national office to epo]

    Ref country code: BE

    Payment date: 20110627

    Year of fee payment: 9

    BERE Be: lapsed

    Owner name: UNILEVER N.V.

    Effective date: 20120630

    GBPC Gb: european patent ceased through non-payment of renewal fee

    Effective date: 20120604

    REG Reference to a national code

    Ref country code: FR

    Ref legal event code: ST

    Effective date: 20130228

    PG25 Lapsed in a contracting state [announced via postgrant information from national office to epo]

    Ref country code: FR

    Free format text: LAPSE BECAUSE OF NON-PAYMENT OF DUE FEES

    Effective date: 20120702

    Ref country code: BE

    Free format text: LAPSE BECAUSE OF NON-PAYMENT OF DUE FEES

    Effective date: 20120630

    Ref country code: GB

    Free format text: LAPSE BECAUSE OF NON-PAYMENT OF DUE FEES

    Effective date: 20120604

    REG Reference to a national code

    Ref country code: ES

    Ref legal event code: FD2A

    Effective date: 20131021

    PG25 Lapsed in a contracting state [announced via postgrant information from national office to epo]

    Ref country code: ES

    Free format text: LAPSE BECAUSE OF NON-PAYMENT OF DUE FEES

    Effective date: 20120605