EP0739748A1 - Laser addressable direct-write media - Google Patents
Laser addressable direct-write media Download PDFInfo
- Publication number
- EP0739748A1 EP0739748A1 EP96302794A EP96302794A EP0739748A1 EP 0739748 A1 EP0739748 A1 EP 0739748A1 EP 96302794 A EP96302794 A EP 96302794A EP 96302794 A EP96302794 A EP 96302794A EP 0739748 A1 EP0739748 A1 EP 0739748A1
- Authority
- EP
- European Patent Office
- Prior art keywords
- dye
- laser
- medium according
- direct write
- leuco
- Prior art date
- Legal status (The legal status is an assumption and is not a legal conclusion. Google has not performed a legal analysis and makes no representation as to the accuracy of the status listed.)
- Granted
Links
- 230000003647 oxidation Effects 0.000 claims abstract description 10
- 238000007254 oxidation reaction Methods 0.000 claims abstract description 10
- CBCKQZAAMUWICA-UHFFFAOYSA-N 1,4-phenylenediamine Chemical compound NC1=CC=C(N)C=C1 CBCKQZAAMUWICA-UHFFFAOYSA-N 0.000 claims abstract description 3
- HFACYLZERDEVSX-UHFFFAOYSA-N benzidine Chemical compound C1=CC(N)=CC=C1C1=CC=C(N)C=C1 HFACYLZERDEVSX-UHFFFAOYSA-N 0.000 claims abstract description 3
- 125000000217 alkyl group Chemical group 0.000 claims description 19
- 125000003118 aryl group Chemical group 0.000 claims description 19
- 238000003384 imaging method Methods 0.000 claims description 17
- 239000011230 binding agent Substances 0.000 claims description 16
- 125000004429 atom Chemical group 0.000 claims description 12
- 238000000034 method Methods 0.000 claims description 12
- 229910052717 sulfur Inorganic materials 0.000 claims description 12
- 229910052757 nitrogen Inorganic materials 0.000 claims description 10
- GGCZERPQGJTIQP-UHFFFAOYSA-N sodium;9,10-dioxoanthracene-2-sulfonic acid Chemical compound [Na+].C1=CC=C2C(=O)C3=CC(S(=O)(=O)O)=CC=C3C(=O)C2=C1 GGCZERPQGJTIQP-UHFFFAOYSA-N 0.000 claims description 10
- 239000000758 substrate Substances 0.000 claims description 9
- 229920002037 poly(vinyl butyral) polymer Polymers 0.000 claims description 8
- BQCADISMDOOEFD-UHFFFAOYSA-N Silver Chemical group [Ag] BQCADISMDOOEFD-UHFFFAOYSA-N 0.000 claims description 7
- 125000004122 cyclic group Chemical group 0.000 claims description 6
- 229910052709 silver Inorganic materials 0.000 claims description 6
- 239000004332 silver Substances 0.000 claims description 6
- 125000003545 alkoxy group Chemical group 0.000 claims description 5
- 125000001997 phenyl group Chemical group [H]C1=C([H])C([H])=C(*)C([H])=C1[H] 0.000 claims description 5
- 229920002554 vinyl polymer Polymers 0.000 claims description 5
- 125000000623 heterocyclic group Chemical group 0.000 claims description 4
- 229910052760 oxygen Inorganic materials 0.000 claims description 4
- 229920005989 resin Polymers 0.000 claims description 4
- 239000011347 resin Substances 0.000 claims description 4
- 125000000391 vinyl group Chemical group [H]C([*])=C([H])[H] 0.000 claims description 4
- 125000004414 alkyl thio group Chemical group 0.000 claims description 3
- 150000001450 anions Chemical group 0.000 claims description 3
- 125000005110 aryl thio group Chemical group 0.000 claims description 3
- 125000004104 aryloxy group Chemical group 0.000 claims description 3
- 229920002678 cellulose Polymers 0.000 claims description 3
- RAHZWNYVWXNFOC-UHFFFAOYSA-N Sulphur dioxide Chemical class O=S=O RAHZWNYVWXNFOC-UHFFFAOYSA-N 0.000 claims description 2
- 239000002253 acid Substances 0.000 claims description 2
- 125000002252 acyl group Chemical class 0.000 claims description 2
- 125000004448 alkyl carbonyl group Chemical group 0.000 claims description 2
- 125000005907 alkyl ester group Chemical group 0.000 claims description 2
- 125000004390 alkyl sulfonyl group Chemical group 0.000 claims description 2
- 125000005129 aryl carbonyl group Chemical group 0.000 claims description 2
- 125000004391 aryl sulfonyl group Chemical group 0.000 claims description 2
- 229910052799 carbon Inorganic materials 0.000 claims description 2
- 125000002915 carbonyl group Chemical group [*:2]C([*:1])=O 0.000 claims description 2
- 229910052736 halogen Inorganic materials 0.000 claims description 2
- 150000002367 halogens Chemical class 0.000 claims description 2
- 150000005165 hydroxybenzoic acids Chemical class 0.000 claims description 2
- 125000004433 nitrogen atom Chemical group N* 0.000 claims description 2
- 238000007248 oxidative elimination reaction Methods 0.000 claims description 2
- ISWSIDIOOBJBQZ-UHFFFAOYSA-N Phenol Chemical compound OC1=CC=CC=C1 ISWSIDIOOBJBQZ-UHFFFAOYSA-N 0.000 claims 1
- 239000000975 dye Substances 0.000 description 152
- 238000000576 coating method Methods 0.000 description 16
- 239000011248 coating agent Substances 0.000 description 12
- 239000000463 material Substances 0.000 description 11
- 238000006243 chemical reaction Methods 0.000 description 10
- 150000001875 compounds Chemical class 0.000 description 10
- 238000010521 absorption reaction Methods 0.000 description 8
- ZWEHNKRNPOVVGH-UHFFFAOYSA-N 2-Butanone Chemical compound CCC(C)=O ZWEHNKRNPOVVGH-UHFFFAOYSA-N 0.000 description 7
- 238000004061 bleaching Methods 0.000 description 7
- 150000003378 silver Chemical class 0.000 description 7
- 238000004770 highest occupied molecular orbital Methods 0.000 description 6
- 238000004768 lowest unoccupied molecular orbital Methods 0.000 description 6
- 150000002823 nitrates Chemical class 0.000 description 6
- 230000008569 process Effects 0.000 description 6
- 230000009467 reduction Effects 0.000 description 6
- 239000004615 ingredient Substances 0.000 description 5
- 230000005855 radiation Effects 0.000 description 5
- AQRYNYUOKMNDDV-UHFFFAOYSA-M silver behenate Chemical compound [Ag+].CCCCCCCCCCCCCCCCCCCCCC([O-])=O AQRYNYUOKMNDDV-UHFFFAOYSA-M 0.000 description 5
- LFQSCWFLJHTTHZ-UHFFFAOYSA-N Ethanol Chemical compound CCO LFQSCWFLJHTTHZ-UHFFFAOYSA-N 0.000 description 4
- 238000010276 construction Methods 0.000 description 4
- 230000005283 ground state Effects 0.000 description 4
- FBSFWRHWHYMIOG-UHFFFAOYSA-N methyl 3,4,5-trihydroxybenzoate Chemical compound COC(=O)C1=CC(O)=C(O)C(O)=C1 FBSFWRHWHYMIOG-UHFFFAOYSA-N 0.000 description 4
- 239000000203 mixture Substances 0.000 description 4
- 238000012545 processing Methods 0.000 description 4
- 230000001681 protective effect Effects 0.000 description 4
- QTBSBXVTEAMEQO-UHFFFAOYSA-N Acetic acid Chemical compound CC(O)=O QTBSBXVTEAMEQO-UHFFFAOYSA-N 0.000 description 3
- 239000003638 chemical reducing agent Substances 0.000 description 3
- 238000012505 colouration Methods 0.000 description 3
- KBJMLQFLOWQJNF-UHFFFAOYSA-N nickel(ii) nitrate Chemical group [Ni+2].[O-][N+]([O-])=O.[O-][N+]([O-])=O KBJMLQFLOWQJNF-UHFFFAOYSA-N 0.000 description 3
- 230000003287 optical effect Effects 0.000 description 3
- 239000007800 oxidant agent Substances 0.000 description 3
- 229920000728 polyester Polymers 0.000 description 3
- 229920006267 polyester film Polymers 0.000 description 3
- 230000027756 respiratory electron transport chain Effects 0.000 description 3
- 230000035945 sensitivity Effects 0.000 description 3
- JLZIIHMTTRXXIN-UHFFFAOYSA-N 2-(2-hydroxy-4-methoxybenzoyl)benzoic acid Chemical compound OC1=CC(OC)=CC=C1C(=O)C1=CC=CC=C1C(O)=O JLZIIHMTTRXXIN-UHFFFAOYSA-N 0.000 description 2
- CSCPPACGZOOCGX-UHFFFAOYSA-N Acetone Chemical compound CC(C)=O CSCPPACGZOOCGX-UHFFFAOYSA-N 0.000 description 2
- 108010010803 Gelatin Proteins 0.000 description 2
- UFHFLCQGNIYNRP-UHFFFAOYSA-N Hydrogen Chemical compound [H][H] UFHFLCQGNIYNRP-UHFFFAOYSA-N 0.000 description 2
- ZTHYODDOHIVTJV-UHFFFAOYSA-N Propyl gallate Chemical compound CCCOC(=O)C1=CC(O)=C(O)C(O)=C1 ZTHYODDOHIVTJV-UHFFFAOYSA-N 0.000 description 2
- AUNGANRZJHBGPY-SCRDCRAPSA-N Riboflavin Chemical compound OC[C@@H](O)[C@@H](O)[C@@H](O)CN1C=2C=C(C)C(C)=CC=2N=C2C1=NC(=O)NC2=O AUNGANRZJHBGPY-SCRDCRAPSA-N 0.000 description 2
- 239000006096 absorbing agent Substances 0.000 description 2
- 238000000862 absorption spectrum Methods 0.000 description 2
- 230000010933 acylation Effects 0.000 description 2
- 238000005917 acylation reaction Methods 0.000 description 2
- 238000007605 air drying Methods 0.000 description 2
- 150000001408 amides Chemical class 0.000 description 2
- 125000004432 carbon atom Chemical group C* 0.000 description 2
- 125000002843 carboxylic acid group Chemical group 0.000 description 2
- 239000003795 chemical substances by application Substances 0.000 description 2
- 230000000694 effects Effects 0.000 description 2
- 238000005516 engineering process Methods 0.000 description 2
- 150000002148 esters Chemical class 0.000 description 2
- 238000009472 formulation Methods 0.000 description 2
- 229920000159 gelatin Polymers 0.000 description 2
- 239000008273 gelatin Substances 0.000 description 2
- 235000019322 gelatine Nutrition 0.000 description 2
- 235000011852 gelatine desserts Nutrition 0.000 description 2
- 150000004820 halides Chemical class 0.000 description 2
- 229910052739 hydrogen Inorganic materials 0.000 description 2
- 239000001257 hydrogen Substances 0.000 description 2
- 125000004356 hydroxy functional group Chemical group O* 0.000 description 2
- 238000011065 in-situ storage Methods 0.000 description 2
- 230000003993 interaction Effects 0.000 description 2
- DZFWNZJKBJOGFQ-UHFFFAOYSA-N julolidine Chemical group C1CCC2=CC=CC3=C2N1CCC3 DZFWNZJKBJOGFQ-UHFFFAOYSA-N 0.000 description 2
- 150000002576 ketones Chemical class 0.000 description 2
- 238000011068 loading method Methods 0.000 description 2
- IBKQQKPQRYUGBJ-UHFFFAOYSA-N methyl gallate Natural products CC(=O)C1=CC(O)=C(O)C(O)=C1 IBKQQKPQRYUGBJ-UHFFFAOYSA-N 0.000 description 2
- 238000002156 mixing Methods 0.000 description 2
- 150000002825 nitriles Chemical class 0.000 description 2
- 125000000449 nitro group Chemical group [O-][N+](*)=O 0.000 description 2
- 150000002989 phenols Chemical class 0.000 description 2
- 230000001443 photoexcitation Effects 0.000 description 2
- IJAPPYDYQCXOEF-UHFFFAOYSA-N phthalazin-1(2H)-one Chemical compound C1=CC=C2C(=O)NN=CC2=C1 IJAPPYDYQCXOEF-UHFFFAOYSA-N 0.000 description 2
- 125000006239 protecting group Chemical group 0.000 description 2
- 238000003860 storage Methods 0.000 description 2
- 239000000126 substance Substances 0.000 description 2
- 150000003568 thioethers Chemical class 0.000 description 2
- 125000003396 thiol group Chemical class [H]S* 0.000 description 2
- 238000012546 transfer Methods 0.000 description 2
- 229920000178 Acrylic resin Polymers 0.000 description 1
- 239000004925 Acrylic resin Substances 0.000 description 1
- 229910017048 AsF6 Inorganic materials 0.000 description 1
- AUNGANRZJHBGPY-UHFFFAOYSA-N D-Lyxoflavin Natural products OCC(O)C(O)C(O)CN1C=2C=C(C)C(C)=CC=2N=C2C1=NC(=O)NC2=O AUNGANRZJHBGPY-UHFFFAOYSA-N 0.000 description 1
- CERQOIWHTDAKMF-UHFFFAOYSA-M Methacrylate Chemical compound CC(=C)C([O-])=O CERQOIWHTDAKMF-UHFFFAOYSA-M 0.000 description 1
- 239000004372 Polyvinyl alcohol Substances 0.000 description 1
- JUJWROOIHBZHMG-UHFFFAOYSA-N Pyridine Chemical compound C1=CC=NC=C1 JUJWROOIHBZHMG-UHFFFAOYSA-N 0.000 description 1
- XTXRWKRVRITETP-UHFFFAOYSA-N Vinyl acetate Chemical compound CC(=O)OC=C XTXRWKRVRITETP-UHFFFAOYSA-N 0.000 description 1
- BZHJMEDXRYGGRV-UHFFFAOYSA-N Vinyl chloride Chemical compound ClC=C BZHJMEDXRYGGRV-UHFFFAOYSA-N 0.000 description 1
- WETWJCDKMRHUPV-UHFFFAOYSA-N acetyl chloride Chemical compound CC(Cl)=O WETWJCDKMRHUPV-UHFFFAOYSA-N 0.000 description 1
- 239000012346 acetyl chloride Substances 0.000 description 1
- 125000005036 alkoxyphenyl group Chemical group 0.000 description 1
- 125000003277 amino group Chemical group 0.000 description 1
- XSCHRSMBECNVNS-UHFFFAOYSA-N benzopyrazine Natural products N1=CC=NC2=CC=CC=C21 XSCHRSMBECNVNS-UHFFFAOYSA-N 0.000 description 1
- 230000008859 change Effects 0.000 description 1
- 239000003153 chemical reaction reagent Substances 0.000 description 1
- 229920001577 copolymer Polymers 0.000 description 1
- 230000003247 decreasing effect Effects 0.000 description 1
- 238000002059 diagnostic imaging Methods 0.000 description 1
- 150000004985 diamines Chemical class 0.000 description 1
- 235000014113 dietary fatty acids Nutrition 0.000 description 1
- 239000006185 dispersion Substances 0.000 description 1
- 238000002474 experimental method Methods 0.000 description 1
- 239000000194 fatty acid Substances 0.000 description 1
- 229930195729 fatty acid Natural products 0.000 description 1
- 150000004665 fatty acids Chemical class 0.000 description 1
- 230000002349 favourable effect Effects 0.000 description 1
- 230000004907 flux Effects 0.000 description 1
- LNTHITQWFMADLM-UHFFFAOYSA-N gallic acid Chemical class OC(=O)C1=CC(O)=C(O)C(O)=C1 LNTHITQWFMADLM-UHFFFAOYSA-N 0.000 description 1
- 238000010438 heat treatment Methods 0.000 description 1
- 238000010348 incorporation Methods 0.000 description 1
- 238000005259 measurement Methods 0.000 description 1
- 230000007246 mechanism Effects 0.000 description 1
- 230000001404 mediated effect Effects 0.000 description 1
- 238000000302 molecular modelling Methods 0.000 description 1
- 238000012544 monitoring process Methods 0.000 description 1
- 230000007935 neutral effect Effects 0.000 description 1
- 150000007524 organic acids Chemical class 0.000 description 1
- 235000005985 organic acids Nutrition 0.000 description 1
- 239000003960 organic solvent Substances 0.000 description 1
- 150000004989 p-phenylenediamines Chemical class 0.000 description 1
- 229950000688 phenothiazine Drugs 0.000 description 1
- LFSXCDWNBUNEEM-UHFFFAOYSA-N phthalazine Chemical compound C1=NN=CC2=CC=CC=C21 LFSXCDWNBUNEEM-UHFFFAOYSA-N 0.000 description 1
- 239000002985 plastic film Substances 0.000 description 1
- 229920006255 plastic film Polymers 0.000 description 1
- 229920002451 polyvinyl alcohol Polymers 0.000 description 1
- 235000019422 polyvinyl alcohol Nutrition 0.000 description 1
- 230000000750 progressive effect Effects 0.000 description 1
- 230000002035 prolonged effect Effects 0.000 description 1
- 229940075579 propyl gallate Drugs 0.000 description 1
- 235000010388 propyl gallate Nutrition 0.000 description 1
- 239000000473 propyl gallate Substances 0.000 description 1
- 238000006479 redox reaction Methods 0.000 description 1
- 230000004044 response Effects 0.000 description 1
- 230000031070 response to heat Effects 0.000 description 1
- 239000002151 riboflavin Substances 0.000 description 1
- 229960002477 riboflavin Drugs 0.000 description 1
- 235000019192 riboflavin Nutrition 0.000 description 1
- 238000007761 roller coating Methods 0.000 description 1
- HYHCSLBZRBJJCH-UHFFFAOYSA-M sodium hydrosulfide Chemical compound [Na+].[SH-] HYHCSLBZRBJJCH-UHFFFAOYSA-M 0.000 description 1
- 238000004528 spin coating Methods 0.000 description 1
- 230000002269 spontaneous effect Effects 0.000 description 1
- 239000004094 surface-active agent Substances 0.000 description 1
- 238000010345 tape casting Methods 0.000 description 1
- 238000005979 thermal decomposition reaction Methods 0.000 description 1
- 230000008542 thermal sensitivity Effects 0.000 description 1
- 239000012780 transparent material Substances 0.000 description 1
- 238000002604 ultrasonography Methods 0.000 description 1
- -1 vinyl resins, acrylic Chemical compound 0.000 description 1
- 239000002699 waste material Substances 0.000 description 1
- 229920003169 water-soluble polymer Polymers 0.000 description 1
Images
Classifications
-
- B—PERFORMING OPERATIONS; TRANSPORTING
- B41—PRINTING; LINING MACHINES; TYPEWRITERS; STAMPS
- B41M—PRINTING, DUPLICATING, MARKING, OR COPYING PROCESSES; COLOUR PRINTING
- B41M5/00—Duplicating or marking methods; Sheet materials for use therein
- B41M5/26—Thermography ; Marking by high energetic means, e.g. laser otherwise than by burning, and characterised by the material used
- B41M5/40—Thermography ; Marking by high energetic means, e.g. laser otherwise than by burning, and characterised by the material used characterised by the base backcoat, intermediate, or covering layers, e.g. for thermal transfer dye-donor or dye-receiver sheets; Heat, radiation filtering or absorbing means or layers; combined with other image registration layers or compositions; Special originals for reproduction by thermography
- B41M5/46—Thermography ; Marking by high energetic means, e.g. laser otherwise than by burning, and characterised by the material used characterised by the base backcoat, intermediate, or covering layers, e.g. for thermal transfer dye-donor or dye-receiver sheets; Heat, radiation filtering or absorbing means or layers; combined with other image registration layers or compositions; Special originals for reproduction by thermography characterised by the light-to-heat converting means; characterised by the heat or radiation filtering or absorbing means or layers
- B41M5/465—Infrared radiation-absorbing materials, e.g. dyes, metals, silicates, C black
-
- B—PERFORMING OPERATIONS; TRANSPORTING
- B41—PRINTING; LINING MACHINES; TYPEWRITERS; STAMPS
- B41M—PRINTING, DUPLICATING, MARKING, OR COPYING PROCESSES; COLOUR PRINTING
- B41M5/00—Duplicating or marking methods; Sheet materials for use therein
- B41M5/26—Thermography ; Marking by high energetic means, e.g. laser otherwise than by burning, and characterised by the material used
- B41M5/30—Thermography ; Marking by high energetic means, e.g. laser otherwise than by burning, and characterised by the material used using chemical colour formers
- B41M5/323—Organic colour formers, e.g. leuco dyes
-
- B—PERFORMING OPERATIONS; TRANSPORTING
- B41—PRINTING; LINING MACHINES; TYPEWRITERS; STAMPS
- B41M—PRINTING, DUPLICATING, MARKING, OR COPYING PROCESSES; COLOUR PRINTING
- B41M5/00—Duplicating or marking methods; Sheet materials for use therein
- B41M5/26—Thermography ; Marking by high energetic means, e.g. laser otherwise than by burning, and characterised by the material used
- B41M5/382—Contact thermal transfer or sublimation processes
- B41M5/385—Contact thermal transfer or sublimation processes characterised by the transferable dyes or pigments
- B41M5/39—Dyes containing one or more carbon-to-nitrogen double bonds, e.g. azomethine
Definitions
- the invention relates to imaging media addressable by laser irradiation.
- the media comprise an IR-absorbing dye and a leuco dye, laser exposure at a wavelength absorbed by the IR dye resulting in conversion of the leuco dye to the corresponding dye.
- thermographic reduction of silver behenate disclosed in EP-A-0582144, EP-A-0599369 and WO95/07822, thermally-stimulated colour-forming reactions between microencapsulated agents described in Japanese publications JP-A-05 124337, JP-A-05 124338, JP-A-05 124339 and JP-A-05 124340, and the thermal decomposition of certain protected leuco dyes disclosed in US-A-4602263, 4720449, 4720450, 4745046, 4818742, 4826976, 4839335, 4904572 and 4960901.
- an IR absorbing substance converts incident laser radiation to heat which triggers the image-forming process.
- identity of the IR absorber so long as it acts as an effective photo
- the present invention provides an alternative direct-write negative acting media based on the photochemical interaction of an IR dye with a leuco dye.
- a laser-imageable direct-write medium comprising an infrared dye in photoreactive association with a leuco dye, in which irradiation at a wavelength absorbed by said infrared dye converts said leuco dye to the corresponding dye, characterised in that the said infrared dye comprises a chromophore which is formally the product of a one-electron or two-electron oxidation of a p-phenylenediamine or 4,4'-biphenylenediamine.
- the media of the present invention have a simple construction and do not require additional oxidising agents or the presence of silver salts (light sensitive or otherwise), although they may optionally be used in combination with thermographic media involving reducible silver salts, as will be described in detail hereinafter.
- a dye image is produced in direct response to laser irradiation.
- the image media is capable of high sensitivity and good stability before and after imaging.
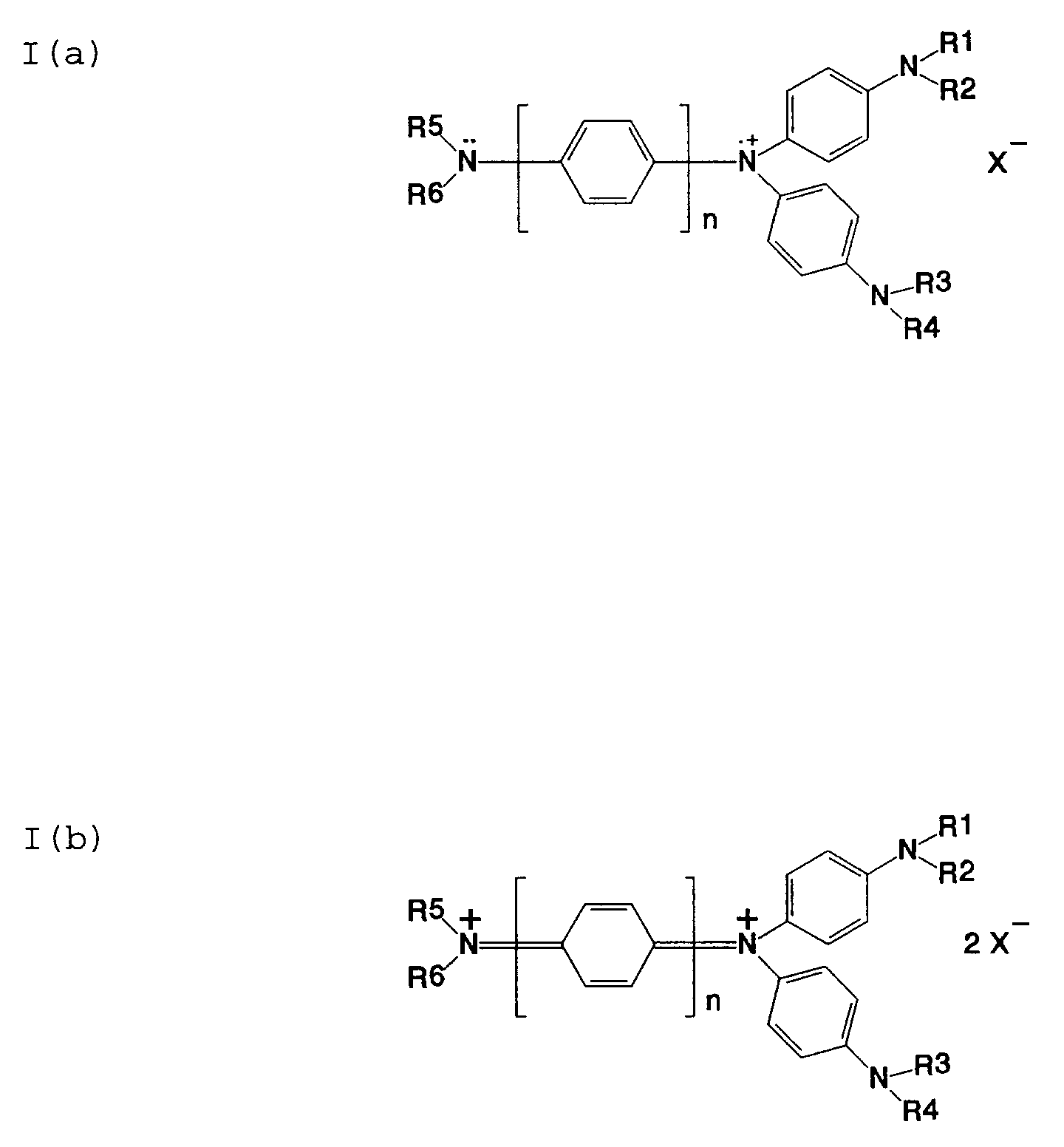
- Preferred infrared dyes suitable for use in the invention have a nucleus represented by formula I(a) or I(b):- in which n is 1 or 2;
- the rings and substitutents R 1 -R 6 may optionally bear one or more additional substitutents, such as alkyl groups, aryl groups (including fused aryl rings), hydroxy, alkoxy, thioether, mercapto, nitrile, nitro, halide, ketone, ester, amide and carboxylic acid groups.
- n 1 and X is an anion such as Cl0 4 , CF 3 S0 3 , BF 4 , PF 6 , AsF 6 .
- each amino group has associated with it a lone pair of electrons which are in conjugated with the delocalised pi-system of the adjacent aromatic ring. Removal of one electron from the system (i.e., one-electron oxidation) gives compounds which may be represented as the amine cation radicals I(a), and removal of a second electron (two-electron oxidation) gives compounds which may be represented as the quinoneimmonium di-cations I(b). It will be appreciated that each of formulae I(a) and I(b) represents only one of many possible resonance structures, and these formulae must be interpreted as being inclusive of said resonance structures.
- compounds of formula I(b) could equally well be depicted as bis(amine cation radicals), and compounds of formula I(a) as quinoneimmonium monocations.
- a further complicating factor is the fact that dyes of formula I(a) may disproportionate to a 1:1 mixture of I(b) and I(c).
- dyes used in the invention will be depicted as quinoneimmonium di-cations as in formula I(b), but this should not be interpreted as excluding monocationic species I(a), nor the presence of significant amounts of the fully-reduced form I(c).
- Infrared dyes of formula I(a) and/or I(b) are disclosed in numerous publications, notably US-4656121, WO90/12342, JP63319191 and EP-0599369, and are variously known as diamine dication dyes, amine cation radical dyes, bis(amine cation radical) dyes, immonium dyes, di-immonium dyes etc.
- amine cation radical dye will be used to denote the infrared dyes suitable for use in the invention.
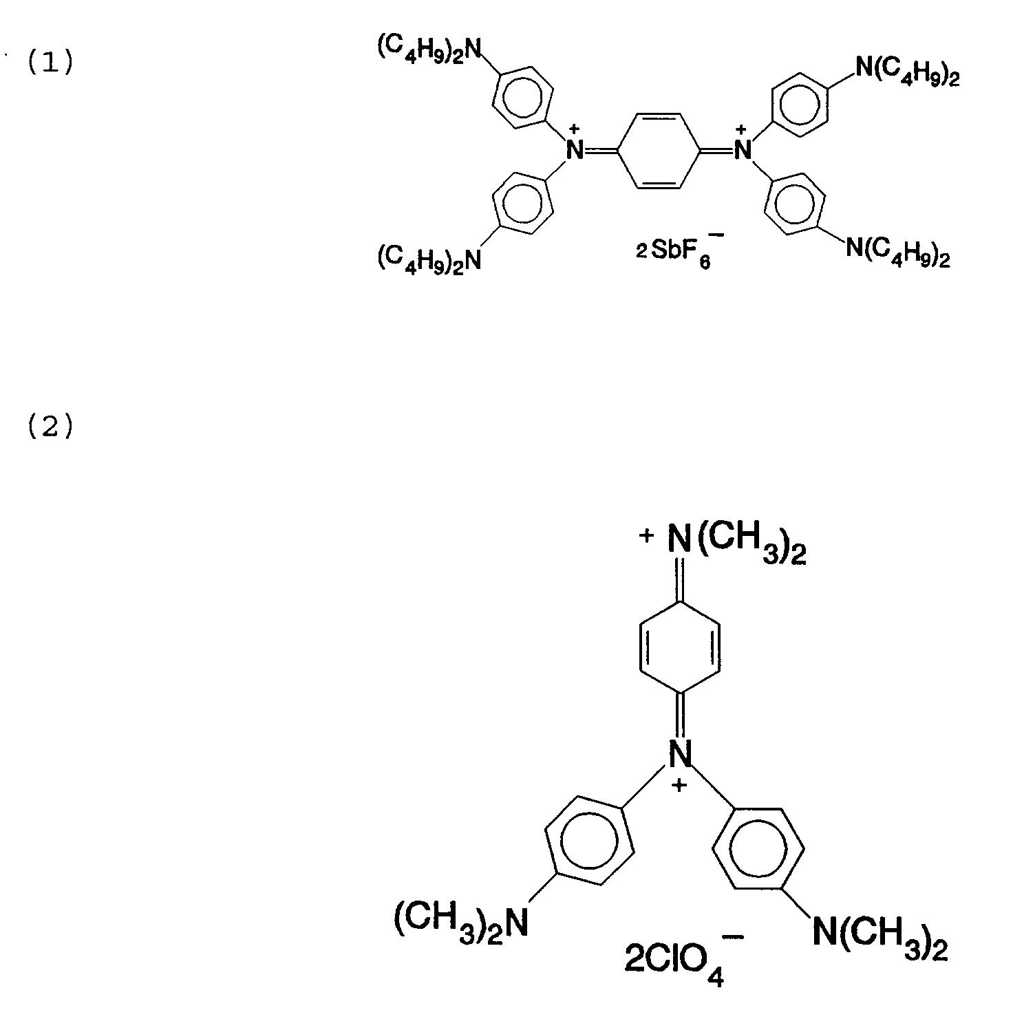
- amine cation radical dyes of Formula I suitable for use in the invention include:-
- Compound (1) is available commercially under the trade name Cyasorb IR 165 from Glendale Protective Technologies Inc.
- Leuco dyes suitable for use in the invention are the essentially colourless reduced forms of visible-absorbing dyes, so that conversion of the leuco to the corresponding dye provides a visible colouration.
- the leuco dye must be stable to storage at ambient or moderately elevated temperatures in the presence of the IR dye in its ground state. For this reason "protected" leuco dyes, for example, acyl or sulphonyl derivatives are preferred.
- the leuco dye converts to the corresponding visible dye. It is believed this process involves transfer of an electron from a molecule of the leuco dye to a photoexcited molecule of the IR dye, followed by loss of hydrogen (or the protecting group, if present) to form a molecule of visible dye. The net result is bleaching of the IR dye with concomitant build-up of colour from the visible dye.
- Leuco dyes suitable for use in the invention are capable of transferring an electron to a photoexcited dye.
- the HOMO (highest occupied molecular orbital) of the leuco dye has a higher energy than the LUMO (lowest unoccupied molecular orbital) of the photoexcited IR dye.
- the relationship between the energy of these orbitals is illustrated in Figure 1 of the accompanying drawings.
- A represents the relevant orbitals of the IR dye in its ground state with the HOMO at energy E and the LUMO at higher energy E*.
- E the LUMO
- E leuco energy of the HOMO of the leuco dye
- the ideal situation occurs when the IR dye and leuco dye are selected so that E ⁇ E leuco ⁇ E* so that electron transfer from the leuco dye to the IR dye tends to occur when the IR dye is in its photoexcited state. If the energy level of the HOMO of the leuco dye is too high, i.e., E leuco is greater than E*, electron transfer will tend to occur in the absence of photoexcitation, being energetically favourable. This leads to spontaneous bleaching of the IR dye on mixing of the IR dye with the leuco dye. This situation may be alleviated to a certain extent by coating the IR dye and the leuco dye in separate layers and/or using sterically hindered leuco dyes to inhibit the ground state reaction.
- IR dye and leuco dye may be screened empirically by coating roughly equimolar amounts of each on a suitable substrate (in the same or adjacent layers, with or without added binder) and monitoring the absorption spectrum before and after irradiation at or near the absorption maximum of the IR dye.
- a suitable substrate in the same or adjacent layers, with or without added binder
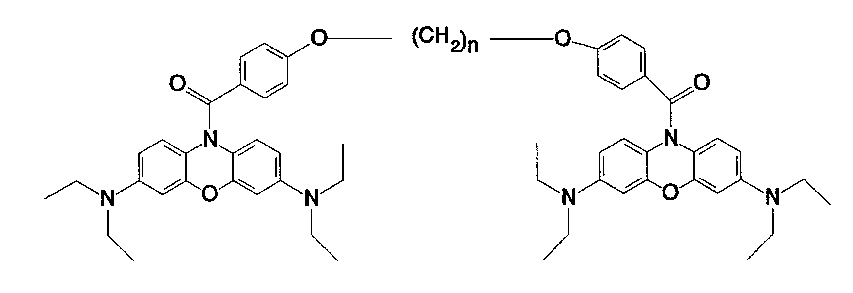
- a preferred class of leuco dye suitable for use with dyes such as compound (1), are N-acyl or N-sulphonyl derivatives of leuco-phenazine, -phenoxazine and -phenothiazine dyes. These have a nucleus of formula
- alkyl, alkoxy and alkylthio groups contain up to 15, preferably up to 5, carbon atoms; and aryl, aryloxy and arylthio groups contain up to 10, preferably up to 6, carbon atoms.
- the rings and substitutents may optionally bear one or more additional substitutents, such as alkyl groups, aryl groups including fused aryl rings, hydroxy, alkoxy, thioether, mercapto, nitrile, nitro, halide, ketone, ester, amide and carboxylic acid groups.
- X represents a carbonyl group and R 11 represents an alkyl or aryl group, most preferably aryl, such as phenyl or alkoxyphenyl.
- R 11 may represent a polyvalent residue linking together two or more leuco-azine structures.
- R 9 and R 10 represent alkyl groups, Y represents NR 9 R 10 , and Z represents O, or NR 13 where R 13 is alkyl or aryl.
- Leuco dyes of Formula II have been disclosed in connection with thermographic media employing nitrate salts as oxidising agents in US-A-4563415, and in photothermographic media of the "dry silver” type employing silver salts as oxidising agents in US-A-4594307 and EP-A-0671393 and EP-A-0681210.
- Leuco dyes of Formula II may be prepared by reduction of the corresponding azine dyes, for example, with sodium hydrosulphide and in situ reaction with a compound of formula R 11 -X-Cl, where R 11 and X have the same meanings as before, as described, for example, in US-A-4563415 and references therein.
- Formula II does not include all the leuco dyes suitable for use in the invention. Others include:- L6 (yellow)
- Compound L6 may be prepared from riboflavin by reduction with Zn/acetic acid followed immediately by acylation with acetyl chloride.
- Direct write imaging elements in accordance with the invention comprise a substrate bearing, in one or more coated layers, the amine cation radical IR dye as described above in photoreactive association with one or more leuco dyes.
- the substrate may be any suitable dimensionally-stable material, such as paper or plastic film.
- a preferred material is polyester film of about 50-200 microns, particularly of about 100 micron thickness.
- Photoreactive association means that the IR dye and the leuco dye must be capable of reacting with each other during laser irradiation of the former. This is clearly possible if both are coated in the same layer, and is also possible when they are coated in separate layers, provided the separate layers melt or otherwise permit mixing of the reagents at the elevated temperatures generated by laser irradiation. As indicated previously, coating the ingredients in separate layers can inhibit unwanted ground state reactions.
- the ingredients may be coated with or without binders, suitable binders including polyvinylbutyral, vinyl resins, cellulose esters and the like.
- the leuco dye is coated as an underlayer in a binder comprising a vinyl resin such as a copolymer of vinyl chloride and vinyl acetate for example, of the type supplied by Union Carbide under the trade name "VYNS", while the IR dye is coated as an upper layer in a binder comprising polyvinylbutyral for example, of the type supplied by Monsanto under the trade name "Butvar".
- a vinyl resin such as a copolymer of vinyl chloride and vinyl acetate for example, of the type supplied by Union Carbide under the trade name "VYNS”
- the IR dye is coated as an upper layer in a binder comprising polyvinylbutyral for example, of the type supplied by Monsanto under the trade name "Butvar”.
- a protective topcoat may be added, which may be any transparent material capable of being coated without disturbing the IR dye/leuco dye layer(s). Since the latter are normally coated from organic solvents such as acetone, MEK and the like, preferred topcoats are water soluble polymers such as polyvinylalcohol or gelatin.
- the IR dye is generally present in an amount sufficient to provide an optical density of at least 0.5 at the intended imaging wavelength, a thin layer containing a high loading of dye being preferable to a thicker layer with a lower loading of dye.
- the leuco dye is generally present in an amount corresponding to at least one molar equivalent of the IR dye, preferably to at least two molar equivalents, most preferably three molar equivalents. It is a surprising feature of the invention that one molecule of IR dye can apparently convert two or more molecules of leuco dyes to the corresponding dye when the conversion is, as previously theoretically demonstrated not purely thermal. Depending on the desired colour of the generated image, two or more different leuco dyes may be combined in the same coating, for example, to give a black image.
- Nitrate salts may be incorporated in the media, especially when the leuco dye is of the type depicted in Formula II.
- a preferred nitrate salt is nickel nitrate, although any of the nitrate salts disclosed in US-A-4563415 may be used.
- the effect of adding a nitrate salt is to facilitate thermal oxidation of the leuco dye to the corresponding dye, in addition to the photochemical oxidation mediated by the IR dye.
- the nitrate salt is preferably coated in the same layer as the leuco dye, in an amount corresponding to roughly 50% by weight of the leuco dye.
- any of the well known coating techniques may be used, such as knife coating, slot coating, roller coating, bar coating or spin coating.
- Materials in accordance with the invention are imaged by exposure to laser radiation. Any laser emitting in the near IR may be used, but diode lasers and YAG lasers are particularly suitable. In exposed areas, the absorption due to the IR dye disappears, to be replaced by a shorter wavelength absorption corresponding to the oxidised form of the leuco dye(s) originally present in the coating. No thermal or other type of processing is necessary. Furthermore, the density of the image produced is directly proportional to the intensity of the laser exposure, and so continuous tone imaging is possible. Hence the materials are particularly useful in medical imaging applications, for example to record the output of digital X-ray equipment, magnetic resonance scanners, CAT scanners and ultrasound scanners.
- Best results are obtained from a relatively high intensity laser exposure, for example, of at least 10 17 photons/cm 2 /sec. For a laser diode emitting at 830 nm, this corresponds approximately to an output of 0.1W focused to a 20 micron spot. In the case of YAG laser exposure at 1064nm, a flux of at least 3X10 18 photons/cm 2 /sec is preferred, corresponding roughly to an output of 2W focused to a 20 micron spot.
- any of the known scanning devices may be used, such as flat-bed scanners, external drum scanners or internal drum scanners.
- the material to be imaged is secured to the drum or bed for example, by vacuum hold-down and the laser beam is focused to a spot of about 20 microns diameter on the IR-absorbing layer. This spot is scanned over the entire area to be imaged while the laser output is modulated in accordance with electronically stored image information.
- Two or more lasers may scan different areas of the coating simultaneously, and if necessary, the output of two or more lasers may be combined optically into a single spot of higher intensity.
- Laser address is normally from the coated side, but alternatively may be through the substrate if the latter is transparent to the laser radiation.
- the imaging media of the invention may be used in combination with thermographic media comprising a silver salt and a developer capable of reducing said silver salt.
- thermographic media comprising a silver salt and a developer capable of reducing said silver salt.
- Thermographic media based on the reduction to silver metal of light-insensitive silver salts (such as silver salts of fatty acids) by reducing agents (such as gallate esters, hindered phenols etc.) are well known, and provide a black image on a colourless background in response to heat.
- reducing agents such as gallate esters, hindered phenols etc.
- EP0582144, EP0599369 and WO95/07822 disclose the incorporation of infrared-absorbing dyes in such media, enabling address by a scanning laser, absorption of the laser radiation by the IR dye generating sufficient heat to trigger the redox reaction between the developer and silver salt.
- Amine cation radical dyes are among the IR dyes disclosed as suitable for this purpose.
- the media disclosed EP0582144, EP0599369 and WO95/07822 are of the direct-write type in that image density is generated directly by laser exposure, but it is also possible to amplify the directly-formed image by a uniform, post-exposure heat treatment, as disclosed in European Patent Application No. 94115226.6, filed September 27 1994.
- a problem associated with media of this type is the colour (tone) of the silver image formed. Ideally, this should be a neutral black, but in practice is frequently found to be brown, even when toning agents such as phthalazine or phthalazinone are present.
- the problem may be solved by additionally incorporating in the media leuco dye capable of photoreducing said amine cation radical dye with concomitant generation of a visible dye, in accordance with the invention described hereinbefore.
- the colouration provided by the photogenerated dye augments the thermographic silver image and serves to modify its tone.
- cyan-forming leuco dyes are particularly preferred in this embodiment of the invention, as they can convert a yellowish-brown image tone to a pleasing blue-black.
- Imaging elements in accordance with this aspect of the invention typically comprise a substrate bearing, in one or more coated layers, a laser-imageable direct-write medium as defined previously, which medium additionally comprising a binder, a silver salt and a developer which is a reducing agent for said silver salt.
- the substrate may be any suitable dimensionally-stable material, as described previously, but is preferably a polyester film with a thickness of about 50 to 100 ⁇ m.
- the binder, silver salt and developer may be selected from the relevant materials disclosed in the prior art e.g., as disclosed in EP0582144, EP0599369 and WO95/07822 (which are hereby incorporated by reference).
- Preferred binders are polyvinylbutyral, vinyl resins, acrylic resins, cellulose esters and the like.
- Preferred silver salts are light-insensitive silver salts of organic acids, notably silver behenate.
- Preferred developers are hindered phenols or alkyl esters of hydroxybenzoic acids such as methyl gallate, propyl gallate etc.
- Other ingredients may also be present, such as toners, surfactants, coating aids etc. as described in the prior art. The relative proportions of the various ingredients are also as described in the prior art.
- the leuco dye and amine cation radical dye constituting the direct-write media of the invention may be coated separately from the thermographic silver salt media (e.g., as a topcoat), or may be added to the layer(s) comprising the thermographic media.
- a preferred construction comprises (in sequence) a transparent polyester film substrate, a first layer comprising silver behenate, developer and leuco dye dispersed in a binder, and a second layer comprising IR-absorbing amine cation radical dye in binder.
- a protective topcoat e.g., of gelatin, polyvinylacohol etc. may be added, but is not essential.
- Imaging may be carried out using the methods and apparatus detailed earlier.
- the imaged element may be subjected to uniform thermal processing (e.g., at about 70 to 130°C for about 5 to 30 seconds) to intensify the silver image.
- IR165 refers to "Cyasorb IR165" which is a bis(amine cation radical) dye as shown in structure (1) above, and was obtained from Glendale Protective Technologies Inc.
- Leuco dyes L1-L6 had the structure shown above, and were prepared from the corresponding dyes by reduction followed by acylation in situ, according to known methods as disclosed in US-A-4563415, and British patent application nos. 9404805.5 and 9404806.3.
- This example compares the ability of various IR dyes to oxidise leuco-phenoxazines to the corresponding dyes as a result of laser irradiation.
- Two-layer constructions were prepared by coating unsubbed polyester base with an underlayer comprising a binder and leuco dye, air drying, then applying a topcoat of IR165 in a binder. Both coatings were made by wire-wound bar at 12 microns wet thickness.
- the layer compositions were as follows:-
- This example shows the effect of varying the ratio of IR dye to leuco dye.
- a first series of coatings were made, similar to Element 4 of Example 2 except that the quantity of IR165 in the top layer was varied from 0.01g to 0.20g.
- a second series was also prepared, identical to the first except that the underlayer additionally comprised 0.1g nickel nitrate.
- Sensitivity is seen to increase with increasing amounts of IR dye until the molar ratio of IR dye to leuco dye reaches approximately 1:3, at which point it levels off.
- This example demonstrates the continuous tone properties of media in accordance with the invention.
- Element 4 was imaged via the 830nm laser diode with the laser power modulated during scans between 1mW and 116mW in 256 steps in accordance with image information at 1200 dpi in order to simulate continuous tone exposure.
- the scan speed was 150 cm/sec. This produced a blue-green image of excellent tonal graduation and resolution, with Dmax of 2.4.
- Element 8 which was prepared in identical fashion to Element 4 - 7 except that instead of a single leuco dye, the underlayer comprised 0.1g each of L1 and L5. In this case a dark blue-grey image was obtained, with Dmax 1.2.
- binder solution 4.5g silver behenate (10%w/w dispersion in 2-butanone) 3.0g phthalazinone 0.05g leuco dye L1 0.15g methyl gallate 0.075g
- binder solution 0.5g IR165 0.2g 2-butanone 5.5g
- binder solution refers to a 20%w/w solution in 2-butanone of poly(tetrahydrophyranyl methacrylate), prepared as described in WO92/09934.
- Imaging was carried out as described in Example 4 using the 987 nm laser diode source, and the imaged element placed in an oven at 85°C for 20 seconds. A dense blue-black image was obtained for scan speeds of 600 cm/sec or less.
- a similar element was prepared without the leuco dye, and was subjected to the same imaging and processing routine. Although a silver image of similar density was obtained, it was noticeably browner in appearance.
Landscapes
- Physics & Mathematics (AREA)
- Optics & Photonics (AREA)
- Chemical & Material Sciences (AREA)
- Chemical Kinetics & Catalysis (AREA)
- General Chemical & Material Sciences (AREA)
- Heat Sensitive Colour Forming Recording (AREA)
- Non-Silver Salt Photosensitive Materials And Non-Silver Salt Photography (AREA)
Abstract
Description
- The invention relates to imaging media addressable by laser irradiation. In particular, the media comprise an IR-absorbing dye and a leuco dye, laser exposure at a wavelength absorbed by the IR dye resulting in conversion of the leuco dye to the corresponding dye.
- There is a substantial interest in laser addressable imaging materials, particularly to produce digitally stored image information in a convenient manner. Materials which do not require further processing following image-forming exposure and which do not generate waste in the imaging process which would require disposal are particularly useful. However, the majority of known laser addressable systems involve physical transfer of a colourant from a donor sheet to a receptor sheet, with the donor sheet then being discarded.
- There are few examples of "direct-write" media, namely single-sheet materials in which an image forms directly as a result of laser exposure, particularly negative-acting materials in which irradiated areas develop image density. Known examples include the thermographic reduction of silver behenate disclosed in EP-A-0582144, EP-A-0599369 and WO95/07822, thermally-stimulated colour-forming reactions between microencapsulated agents described in Japanese publications JP-A-05 124337, JP-A-05 124338, JP-A-05 124339 and JP-A-05 124340, and the thermal decomposition of certain protected leuco dyes disclosed in US-A-4602263, 4720449, 4720450, 4745046, 4818742, 4826976, 4839335, 4904572 and 4960901. In each case, an IR absorbing substance converts incident laser radiation to heat which triggers the image-forming process. There are few restrictions on the identity of the IR absorber so long as it acts as an effective photothermal converter since the image-forming reaction is purely thermal.
- Our British Patent Application No. 9508027.1 describes photochemical interactions between IR dyes and leuco dyes, where the leuco dye acts as a reducing agent leading to bleaching of the IR dye. However, in that application it is desirable that the leuco dyes do not themselves generate colour images on exposure.
- The present invention provides an alternative direct-write negative acting media based on the photochemical interaction of an IR dye with a leuco dye.
- In accordance with the present invention there is provided a laser-imageable direct-write medium comprising an infrared dye in photoreactive association with a leuco dye, in which irradiation at a wavelength absorbed by said infrared dye converts said leuco dye to the corresponding dye, characterised in that the said infrared dye comprises a chromophore which is formally the product of a one-electron or two-electron oxidation of a p-phenylenediamine or 4,4'-biphenylenediamine.
- The media of the present invention have a simple construction and do not require additional oxidising agents or the presence of silver salts (light sensitive or otherwise), although they may optionally be used in combination with thermographic media involving reducible silver salts, as will be described in detail hereinafter. A dye image is produced in direct response to laser irradiation. The image media is capable of high sensitivity and good stability before and after imaging.
-
- X is an anion derived from a strong acid;
- R1-R4 are independently selected from H, alkyl groups (of up to 15 carbons, preferably up to 6 carbons) heterocyclic groups (of up to 10, preferably 6, atoms selected from C,N,O,S), or R1 together with R2 and/or R3 together with R4 may complete a cyclic structure of up to 10 (preferably up to 6) skeletal atoms selected from C,N,O,S, or any of R1-R4 or R1 and R2 or R3 and R4 may complete a ring fused to the phenyl ring to which the relevant N atom is bonded (e.g. R1 and R2 may complete a julolidine ring system); and
- R5 and R6 independently represent 4-(R7R8N)-C6H4- (where R7 and R8 have the same definition as R1-R4), alkyl groups (of up to 15 carbons, preferably of up to 5 carbons), aryl groups (of up to 10, preferably 6 carbons), heterocyclic groups (of up to 10, preferably 5 or 6, atoms selected from C,N,O,S), or R5 together with R6 may complete a cyclic structure of up to 10 (preferably up to 6) skeletal atoms selected from C,N,O,S or R5 and/or R6 may complete a ring fused to the phenyl ring to which R5R6N is bonded (e.g., R5 and R6 may complete a julolidine ring system).
- In the above formula, the rings and substitutents R1-R6 may optionally bear one or more additional substitutents, such as alkyl groups, aryl groups (including fused aryl rings), hydroxy, alkoxy, thioether, mercapto, nitrile, nitro, halide, ketone, ester, amide and carboxylic acid groups. Preferably n=1 and X is an anion such as Cl04, CF3S03, BF4, PF6, AsF6.
- Dyes of formula I(a) may be regarded as the products of a one-electron oxidation of the p-phenylenediamines (n=1) or 4,4'-biphenylenediamines (n=2) of formula I(c) (in which n and R1 - R6 have the same meanings as before), while dyes of formula I(b) may be regarded as the products of a two-electron oxidation of the compounds of formula I(c).
- In compounds of formula I(c), each amino group has associated with it a lone pair of electrons which are in conjugated with the delocalised pi-system of the adjacent aromatic ring. Removal of one electron from the system (i.e., one-electron oxidation) gives compounds which may be represented as the amine cation radicals I(a), and removal of a second electron (two-electron oxidation) gives compounds which may be represented as the quinoneimmonium di-cations I(b). It will be appreciated that each of formulae I(a) and I(b) represents only one of many possible resonance structures, and these formulae must be interpreted as being inclusive of said resonance structures. For example, compounds of formula I(b) could equally well be depicted as bis(amine cation radicals), and compounds of formula I(a) as quinoneimmonium monocations. A further complicating factor is the fact that dyes of formula I(a) may disproportionate to a 1:1 mixture of I(b) and I(c). Thus, for the sake of simplicity, dyes used in the invention will be depicted as quinoneimmonium di-cations as in formula I(b), but this should not be interpreted as excluding monocationic species I(a), nor the presence of significant amounts of the fully-reduced form I(c).
- Infrared dyes of formula I(a) and/or I(b) are disclosed in numerous publications, notably US-4656121, WO90/12342, JP63319191 and EP-0599369, and are variously known as diamine dication dyes, amine cation radical dyes, bis(amine cation radical) dyes, immonium dyes, di-immonium dyes etc. Hereinafter, the term "amine cation radical dye" will be used to denote the infrared dyes suitable for use in the invention.
-
- Compound (1) is available commercially under the trade name Cyasorb IR 165 from Glendale Protective Technologies Inc.
- Leuco dyes suitable for use in the invention are the essentially colourless reduced forms of visible-absorbing dyes, so that conversion of the leuco to the corresponding dye provides a visible colouration. The leuco dye must be stable to storage at ambient or moderately elevated temperatures in the presence of the IR dye in its ground state. For this reason "protected" leuco dyes, for example, acyl or sulphonyl derivatives are preferred.
- In the presence of the photoexcited IR dye, the leuco dye converts to the corresponding visible dye. It is believed this process involves transfer of an electron from a molecule of the leuco dye to a photoexcited molecule of the IR dye, followed by loss of hydrogen (or the protecting group, if present) to form a molecule of visible dye. The net result is bleaching of the IR dye with concomitant build-up of colour from the visible dye.
- This reaction has been shown to work for IR dyes of the amine cation radical type described above, but not for others. Thus, IR dyes of other types, such as cyanines and squaryliums, undergo bleaching when irradiated in the presence of leuco dyes but do not convert the leuco dyes to the corresponding visible dyes to an appreciable extent. This suggests that initial electron transfer takes place as described above, but thereafter the conditions do not favour the loss of hydrogen or the protecting group. Why the situation should be different in the case of the amine cation radical dyes is not clear, although the presence of a double positive charge in the chromophore may be significant. It is also noteworthy that dyes such as (1) and (2) can undergo one-electron reduction to form species that are themselves IR-absorbing. Hence two-photon processes may be involved. In any event, the fact that the choice of IR dye is critical provides evidence of the photochemical nature of the process. If it were purely thermal (as is the case in direct-write media of the prior art), then any substance capable of absorbing IR radiation and converting it to heat would be effective.
- Leuco dyes suitable for use in the invention are capable of transferring an electron to a photoexcited dye. This indicates that the HOMO (highest occupied molecular orbital) of the leuco dye has a higher energy than the LUMO (lowest unoccupied molecular orbital) of the photoexcited IR dye. The relationship between the energy of these orbitals is illustrated in Figure 1 of the accompanying drawings. In Figure 1, A represents the relevant orbitals of the IR dye in its ground state with the HOMO at energy E and the LUMO at higher energy E*. On photoexcitation, an electron is promoted to the higher energy orbital leaving a vacancy in the lower energy orbital at energy E, which may now be described as the LUMO of the photoexcited dye. This is represented by B in the figure. A number of possibilities for the energy of the HOMO of the leuco dye (Eleuco) are represented by C. If this Eleuco is higher than the energy level E of the LUMO of the photoexcited dye (B), an electron is transferred from the HOMO of the leuco to the LUMO of the photoexcited dye.
- The ideal situation occurs when the IR dye and leuco dye are selected so that E<Eleuco<E* so that electron transfer from the leuco dye to the IR dye tends to occur when the IR dye is in its photoexcited state. If the energy level of the HOMO of the leuco dye is too high, i.e., Eleuco is greater than E*, electron transfer will tend to occur in the absence of photoexcitation, being energetically favourable. This leads to spontaneous bleaching of the IR dye on mixing of the IR dye with the leuco dye. This situation may be alleviated to a certain extent by coating the IR dye and the leuco dye in separate layers and/or using sterically hindered leuco dyes to inhibit the ground state reaction.
- The relevant energy levels may be estimated by techniques familiar to those skilled in the art, such as molecular modelling using appropriate computer software e.g., CAChe, available from Tectronix, or measurements of oxidation potential. Alternatively or additionally, candidate combinations of IR dye and leuco dye may be screened empirically by coating roughly equimolar amounts of each on a suitable substrate (in the same or adjacent layers, with or without added binder) and monitoring the absorption spectrum before and after irradiation at or near the absorption maximum of the IR dye. Prior to irradiation, there should be a stable, intense IR absorption, with little or no build up of visible colour. Subsequent to irradiation, there should be an immediate visible colouration.
-
- in which X represents
- Y represents H, NR9R10, alkoxy, alkylthio, aryloxy, arylthio, alkyl, aryl or halogen;
- Z represents O, S, or NR13;
- R12 represents H, alkyl or aryl;
- R9, R10 and R13 are independently selected from H, alkyl, aryl, alkylcarbonyl, arylcarbonyl, alkylsulphonyl or arylsulphonyl, or
- R9 and R10 represents the atoms necessary to complete a cyclic structure fused to the nucleus having skeletal atoms selected from C, N, O and S; and R11 represents any group which will not prevent oxidative cleavage of the X-N bond.
- In the above definitions, alkyl, alkoxy and alkylthio groups contain up to 15, preferably up to 5, carbon atoms; and aryl, aryloxy and arylthio groups contain up to 10, preferably up to 6, carbon atoms. In the above formula, the rings and substitutents may optionally bear one or more additional substitutents, such as alkyl groups, aryl groups including fused aryl rings, hydroxy, alkoxy, thioether, mercapto, nitrile, nitro, halide, ketone, ester, amide and carboxylic acid groups.
- In preferred structures in accordance with Formula II, X represents a carbonyl group and R11 represents an alkyl or aryl group, most preferably aryl, such as phenyl or alkoxyphenyl. R11 may represent a polyvalent residue linking together two or more leuco-azine structures. Also in preferred structures, R9 and R10 represent alkyl groups, Y represents NR9R10, and Z represents O, or NR13 where R13 is alkyl or aryl.
- Leuco dyes of Formula II have been disclosed in connection with thermographic media employing nitrate salts as oxidising agents in US-A-4563415, and in photothermographic media of the "dry silver" type employing silver salts as oxidising agents in US-A-4594307 and EP-A-0671393 and EP-A-0681210.
-
- Leuco dyes of Formula II may be prepared by reduction of the corresponding azine dyes, for example, with sodium hydrosulphide and in situ reaction with a compound of formula R11-X-Cl, where R11 and X have the same meanings as before, as described, for example, in US-A-4563415 and references therein.
-
- Compound L6 may be prepared from riboflavin by reduction with Zn/acetic acid followed immediately by acylation with acetyl chloride.
- Direct write imaging elements in accordance with the invention comprise a substrate bearing, in one or more coated layers, the amine cation radical IR dye as described above in photoreactive association with one or more leuco dyes. The substrate may be any suitable dimensionally-stable material, such as paper or plastic film. A preferred material is polyester film of about 50-200 microns, particularly of about 100 micron thickness.
- "Photoreactive association" means that the IR dye and the leuco dye must be capable of reacting with each other during laser irradiation of the former. This is clearly possible if both are coated in the same layer, and is also possible when they are coated in separate layers, provided the separate layers melt or otherwise permit mixing of the reagents at the elevated temperatures generated by laser irradiation. As indicated previously, coating the ingredients in separate layers can inhibit unwanted ground state reactions. The ingredients may be coated with or without binders, suitable binders including polyvinylbutyral, vinyl resins, cellulose esters and the like. In a preferred construction, the leuco dye is coated as an underlayer in a binder comprising a vinyl resin such as a copolymer of vinyl chloride and vinyl acetate for example, of the type supplied by Union Carbide under the trade name "VYNS", while the IR dye is coated as an upper layer in a binder comprising polyvinylbutyral for example, of the type supplied by Monsanto under the trade name "Butvar".
- A protective topcoat may be added, which may be any transparent material capable of being coated without disturbing the IR dye/leuco dye layer(s). Since the latter are normally coated from organic solvents such as acetone, MEK and the like, preferred topcoats are water soluble polymers such as polyvinylalcohol or gelatin.
- The IR dye is generally present in an amount sufficient to provide an optical density of at least 0.5 at the intended imaging wavelength, a thin layer containing a high loading of dye being preferable to a thicker layer with a lower loading of dye. The leuco dye is generally present in an amount corresponding to at least one molar equivalent of the IR dye, preferably to at least two molar equivalents, most preferably three molar equivalents. It is a surprising feature of the invention that one molecule of IR dye can apparently convert two or more molecules of leuco dyes to the corresponding dye when the conversion is, as previously theoretically demonstrated not purely thermal. Depending on the desired colour of the generated image, two or more different leuco dyes may be combined in the same coating, for example, to give a black image.
- Nitrate salts may be incorporated in the media, especially when the leuco dye is of the type depicted in Formula II. A preferred nitrate salt is nickel nitrate, although any of the nitrate salts disclosed in US-A-4563415 may be used. The effect of adding a nitrate salt is to facilitate thermal oxidation of the leuco dye to the corresponding dye, in addition to the photochemical oxidation mediated by the IR dye. Hence there is an increase in overall imaging speed, although this may be accompanied by a decrease in shelf stability due to the increased thermal sensitivity. Thus, there may be a perceptible increase in Dmin on prolonged storage before or after imaging. If used, the nitrate salt is preferably coated in the same layer as the leuco dye, in an amount corresponding to roughly 50% by weight of the leuco dye.
- Any of the well known coating techniques may be used, such as knife coating, slot coating, roller coating, bar coating or spin coating.
- Materials in accordance with the invention are imaged by exposure to laser radiation. Any laser emitting in the near IR may be used, but diode lasers and YAG lasers are particularly suitable. In exposed areas, the absorption due to the IR dye disappears, to be replaced by a shorter wavelength absorption corresponding to the oxidised form of the leuco dye(s) originally present in the coating. No thermal or other type of processing is necessary. Furthermore, the density of the image produced is directly proportional to the intensity of the laser exposure, and so continuous tone imaging is possible. Hence the materials are particularly useful in medical imaging applications, for example to record the output of digital X-ray equipment, magnetic resonance scanners, CAT scanners and ultrasound scanners.
- Best results are obtained from a relatively high intensity laser exposure, for example, of at least 1017 photons/cm2/sec. For a laser diode emitting at 830 nm, this corresponds approximately to an output of 0.1W focused to a 20 micron spot. In the case of YAG laser exposure at 1064nm, a flux of at least 3X1018 photons/cm2/sec is preferred, corresponding roughly to an output of 2W focused to a 20 micron spot.
- Any of the known scanning devices may be used, such as flat-bed scanners, external drum scanners or internal drum scanners. In these devices, the material to be imaged is secured to the drum or bed for example, by vacuum hold-down and the laser beam is focused to a spot of about 20 microns diameter on the IR-absorbing layer. This spot is scanned over the entire area to be imaged while the laser output is modulated in accordance with electronically stored image information. Two or more lasers may scan different areas of the coating simultaneously, and if necessary, the output of two or more lasers may be combined optically into a single spot of higher intensity. Laser address is normally from the coated side, but alternatively may be through the substrate if the latter is transparent to the laser radiation.
- In a further embodiment of the invention, the imaging media of the invention may be used in combination with thermographic media comprising a silver salt and a developer capable of reducing said silver salt. Thermographic media based on the reduction to silver metal of light-insensitive silver salts (such as silver salts of fatty acids) by reducing agents (such as gallate esters, hindered phenols etc.) are well known, and provide a black image on a colourless background in response to heat. EP0582144, EP0599369 and WO95/07822 disclose the incorporation of infrared-absorbing dyes in such media, enabling address by a scanning laser, absorption of the laser radiation by the IR dye generating sufficient heat to trigger the redox reaction between the developer and silver salt. Amine cation radical dyes (as used in the present invention) are among the IR dyes disclosed as suitable for this purpose. The media disclosed EP0582144, EP0599369 and WO95/07822 are of the direct-write type in that image density is generated directly by laser exposure, but it is also possible to amplify the directly-formed image by a uniform, post-exposure heat treatment, as disclosed in European Patent Application No. 94115226.6, filed September 27 1994. A problem associated with media of this type is the colour (tone) of the silver image formed. Ideally, this should be a neutral black, but in practice is frequently found to be brown, even when toning agents such as phthalazine or phthalazinone are present. When an amine cation radical dye is used as the IR absorber, the problem may be solved by additionally incorporating in the media leuco dye capable of photoreducing said amine cation radical dye with concomitant generation of a visible dye, in accordance with the invention described hereinbefore. The colouration provided by the photogenerated dye augments the thermographic silver image and serves to modify its tone. Thus, cyan-forming leuco dyes are particularly preferred in this embodiment of the invention, as they can convert a yellowish-brown image tone to a pleasing blue-black. Imaging elements in accordance with this aspect of the invention typically comprise a substrate bearing, in one or more coated layers, a laser-imageable direct-write medium as defined previously, which medium additionally comprising a binder, a silver salt and a developer which is a reducing agent for said silver salt.
- The substrate may be any suitable dimensionally-stable material, as described previously, but is preferably a polyester film with a thickness of about 50 to 100µm. The binder, silver salt and developer may be selected from the relevant materials disclosed in the prior art e.g., as disclosed in EP0582144, EP0599369 and WO95/07822 (which are hereby incorporated by reference). Preferred binders are polyvinylbutyral, vinyl resins, acrylic resins, cellulose esters and the like. Preferred silver salts are light-insensitive silver salts of organic acids, notably silver behenate. Preferred developers are hindered phenols or alkyl esters of hydroxybenzoic acids such as methyl gallate, propyl gallate etc. Other ingredients may also be present, such as toners, surfactants, coating aids etc. as described in the prior art. The relative proportions of the various ingredients are also as described in the prior art.
- All the ingredients may be contained within a single coated layer, or may be distributed over two or more layers. The leuco dye and amine cation radical dye constituting the direct-write media of the invention may be coated separately from the thermographic silver salt media (e.g., as a topcoat), or may be added to the layer(s) comprising the thermographic media. A preferred construction comprises (in sequence) a transparent polyester film substrate, a first layer comprising silver behenate, developer and leuco dye dispersed in a binder, and a second layer comprising IR-absorbing amine cation radical dye in binder. A protective topcoat (e.g., of gelatin, polyvinylacohol etc.) may be added, but is not essential.
- Imaging may be carried out using the methods and apparatus detailed earlier. Optionally, the imaged element may be subjected to uniform thermal processing (e.g., at about 70 to 130°C for about 5 to 30 seconds) to intensify the silver image.
- The invention is hereinafter described by way of example only with reference to Figure 2 which shows the changes in density occurring in the IR and 670 nm region on laser address when addressed off-peak (830 nm) and on-peak (987 nm).
- In the following examples, IR165 refers to "Cyasorb IR165" which is a bis(amine cation radical) dye as shown in structure (1) above, and was obtained from Glendale Protective Technologies Inc.
- Leuco dyes L1-L6 had the structure shown above, and were prepared from the corresponding dyes by reduction followed by acylation in situ, according to known methods as disclosed in US-A-4563415, and British patent application nos. 9404805.5 and 9404806.3.
- This example compares the ability of various IR dyes to oxidise leuco-phenoxazines to the corresponding dyes as a result of laser irradiation.
- The following formulations were coated on unsubbed 100 micron polyester base at 12 micron wet thickness using a wire wound bar, and air dried:-
Each coated element had an optical density (OD) at 830nm in the range 1.0-1.8.Element 1 Element 2(c) Element 3(c) 2-butanone 4.0g 4.0g 4.0g ethanol 0.4g 0.3g 0.4g IR165 0.2g - - Dye A - 0.08g - Dye B - - 0.1g L2 0.01g - - L3 - 0.05g 0.1g (c) = control
Dye A and Dye B had the following structures:-
Dye A
Dye B - Samples of each coating were mounted on an external drum scanner and imaged with a laser diode delivering 110 mw at 830nm, focused to a 20 micron spot, then examined spectrophotometrically. The following table records the observed changes in OD, both in the IR and at 670nm, that resulted from line scans at 200 cm/sec:-
Element Change in OD IR 670nm 1 -1.3 +1.0 2(c) -1.2 <0.1 3(c) -0.8 <0.1 (c) = control - The results show that all three coatings suffered extensive bleaching in the IR, but only Element 1 showed significant conversion of the leuco dye to the corresponding dye. These results are not consistent with a simple thermographic mechanism.
- This example demonstrates the use of a variety of leuco dyes in the invention.
- Two-layer constructions were prepared by coating unsubbed polyester base with an underlayer comprising a binder and leuco dye, air drying, then applying a topcoat of IR165 in a binder. Both coatings were made by wire-wound bar at 12 microns wet thickness. The layer compositions were as follows:-
- Underlayer - leuco dye (0.2g), VYNS (0.1G), 2-butanone (4.4g).
- Toplayer - IR165 (0.2g), Butvar B-76 (0.1g), ethanol (0.4g), 2-butanone (4.0g)
- [VYNS is a vinyl resin supplied by Union Carbide, and Butvar B-76 is a polyvinylbutyral supplied by Monsanto]
- Samples were imaged as described in Example 1, and the following table records the identity of the leuco dyes tested, the colour produced in imaged areas, and the optical density generated by line scans at 200cms/sec:-
Element Leuco Dye Colour OD 4 L1 cyan 2.4 5 L4 magenta 1.45 6 L5 magenta 0.55 7 L6 yellow 0.6 - This example shows the effect of varying the ratio of IR dye to leuco dye. A first series of coatings were made, similar to Element 4 of Example 2 except that the quantity of IR165 in the top layer was varied from 0.01g to 0.20g.
- A second series was also prepared, identical to the first except that the underlayer additionally comprised 0.1g nickel nitrate.
- Imaging was carried out as described previously, and the following table records the molar percentage of IR dye (relative to the leuco) and the corresponding OD generated at 670nm:-
IR DYE (mol%) OD(670nm) OD(670nm)(with NiNO3) 2 0.1 nd 4 0.1 0.55 8 0.8 0.95 17 1.2 2.35 25 2.3 2.45 33 2.3 nd nd = not determined - Sensitivity is seen to increase with increasing amounts of IR dye until the molar ratio of IR dye to leuco dye reaches approximately 1:3, at which point it levels off.
- There is also a clear increase in sensitivity when nickel nitrate is present.
- This example demonstrates the continuous tone properties of media in accordance with the invention.
- Samples of Element 4 of Example 2 were imaged as described previously at a number of different scan rates in the range 200 - 1000 cm/sec. The absorption spectrum of the exposed coatings were recorded in each case, and Fig. 2(a) shows the results. As the scan rate decreased (i.e. energy input increased), there was a progressive build-up of dye density at 670nm and a corresponding bleaching of the IR dye absorption band.
- The experiment was repeated using a different laser diode delivering 167mW at 987nm which was more closely matched to the absorption maximum of IR165. The results are shown in Fig. 2(b). For a given scan rate, the build-up of cyan density is greater for exposure at 987 rather than 830nm. Surprisingly, the bleaching of the IR absorption is less efficient, but this does not affect the usefulness of the invention.
- A further sample of Element 4 was imaged via the 830nm laser diode with the laser power modulated during scans between 1mW and 116mW in 256 steps in accordance with image information at 1200 dpi in order to simulate continuous tone exposure. The scan speed was 150 cm/sec. This produced a blue-green image of excellent tonal graduation and resolution, with Dmax of 2.4.
- The process was repeated using Element 8, which was prepared in identical fashion to Element 4 - 7 except that instead of a single leuco dye, the underlayer comprised 0.1g each of L1 and L5. In this case a dark blue-grey image was obtained, with Dmax 1.2.
- This Example demonstrates the combination of direct-write media in accordance with the invention with silver behenate thermographic media.
- The following formulation was coated on unsubbed polyester base at 36µm wet thickness using a wire-wound bar:
binder solution 4.5g silver behenate (10%w/w dispersion in 2-butanone) 3.0g phthalazinone 0.05g leuco dye L1 0.15g methyl gallate 0.075g - After air drying, the following solution was applied as a topcoat at 12µm wet thickness using a wire-wound bar:
binder solution 0.5g IR165 0.2g 2-butanone 5.5g - For both layers, "binder solution" refers to a 20%w/w solution in 2-butanone of poly(tetrahydrophyranyl methacrylate), prepared as described in WO92/09934.
- Imaging was carried out as described in Example 4 using the 987 nm laser diode source, and the imaged element placed in an oven at 85°C for 20 seconds. A dense blue-black image was obtained for scan speeds of 600 cm/sec or less.
- A similar element was prepared without the leuco dye, and was subjected to the same imaging and processing routine. Although a silver image of similar density was obtained, it was noticeably browner in appearance.
Claims (15)
- A laser-imageable direct write medium comprising an infrared dye in photoreactive association with a leuco dye, in which irradiation of the medium at a wavelength absorbed by said infrared dye converts said leuco dye to the corresponding dye, characterised in that the said infrared dye comprises a chromophore which is formally the product of a one-electron or two-electron oxidation of a p-phenylenediamine or a 4,4'-biphenylenediamine.
- A laser-imageable direct write medium according to Claim 1 wherein said infrared dye has a nucleus of formula I(a) or I(b) below:-
wherein X is an anion derived from a strong acid;R1-R4 are independently selected from H, alkyl groups of up to 15 carbons, heterocyclic groups of up to 10 atoms selected from C,N,O,S, or R1 together with R2 and/or R3 together with R4 may complete a cyclic structure of up to 10 skeletal atoms selected from C,N,O,S, or any of R1-R4 or R1 and R2 or R3 and R4 may complete a ring fused to the phenyl ring to which the relevant N atom is bonded; and
R5 and R6 independently represent 4-(R7R8N)-C6H4- (where R7 and R8 have the same definition as R1-R4), alkyl groups of up to 15 carbons, aryl groups of up to 10 carbons, heterocyclic groups of up to 10 atoms selected from C,N,O,S, or R5 together with R6 may complete a cyclic structure of up to 10 skeletal atoms selected from C,N,O,S or R5 and/or R6 may complete a ring fused to the phenyl ring to which R5R6N is bonded. - A laser-imageable direct write medium according to any preceding claim, wherein said leuco dye is a protected leuco dye, preferably an acyl or sulphonyl derivative.
- A laser-imageable direct write medium according to Claim 4 wherein said leuco dye has a nucleus of formula II:
wherein X representsY represents H, NR9R10, alkoxy, alkylthio, aryloxy, arylthio, alkyl, aryl or halogen;Z represents O, S, or NR13;R12 represents H, alkyl or aryl;R9, R10 and R13 are independently selected from H, alkyl, aryl, alkylcarbonyl, arylcarbonyl, alkylsulphonyl or arylsulphonyl, or
R9 and R10 represents the atoms necessary to complete a cyclic structure fused to the nucleus having skeletal atoms selected from C, N, O and S; and R11 represents any group which will not prevent oxidative cleavage of the X-N bond. - A laser-imageable direct write medium according to Claim 5 wherein:X is a carbonyl groupR11 is an alkyl or aryl group.R9 and R10 represent alkyl groupsY represents NR9R10, and 2 represents O or NR13 where R13 is alkyl or aryl.
- A laser-imageable direct write medium according to any preceding claim wherein either:
said IR dye and said leuco dye are present in the same layer on a substrate or
said IR dye and said leuco dye are coated in separate layers on a substrate. - A laser-imageable direct write medium according to Claim 9 wherein said dye layer(s) additionally comprise a binder selected from polyvinylbutyral, vinyl resins and cellulose esters.
- A laser-imageable direct write medium according to any preceding claim wherein said leuco dye is present in an amount corresponding to at least one preferably at least three, molar equivalent of the IR dye.
- A laser-imageable direct write medium according to any preceding claim additionally comprising a silver salt and a developer capable of reducing said silver salt.
- A laser-imageable direct write medium according to Claim 12 wherein said silver salt is silver behanate and said developer is hindered phenol or alkyl ester of hydroxybenzoic acids.
- A method of imaging a photographic medium comprises exposing a laser-imageable direct-write medium according to any preceding claim to laser irradiation.
- A method of imaging a photographic medium according to Claim 14 wherein said laser irradiation has an intensity of at least 1017 photons/cm2/sec.
Applications Claiming Priority (2)
| Application Number | Priority Date | Filing Date | Title |
|---|---|---|---|
| GBGB9508028.9A GB9508028D0 (en) | 1995-04-20 | 1995-04-20 | Laser addressable direct-write media |
| GB9508028 | 1995-04-20 |
Publications (2)
| Publication Number | Publication Date |
|---|---|
| EP0739748A1 true EP0739748A1 (en) | 1996-10-30 |
| EP0739748B1 EP0739748B1 (en) | 1999-03-31 |
Family
ID=10773245
Family Applications (1)
| Application Number | Title | Priority Date | Filing Date |
|---|---|---|---|
| EP19960302794 Expired - Lifetime EP0739748B1 (en) | 1995-04-20 | 1996-04-19 | Laser addressable direct-write media |
Country Status (4)
| Country | Link |
|---|---|
| EP (1) | EP0739748B1 (en) |
| JP (1) | JPH08297346A (en) |
| DE (1) | DE69601891T2 (en) |
| GB (1) | GB9508028D0 (en) |
Cited By (17)
| Publication number | Priority date | Publication date | Assignee | Title |
|---|---|---|---|---|
| WO1998007576A1 (en) * | 1996-08-20 | 1998-02-26 | Minnesota Mining And Manufacturing Company | Laser absorbable photobleachable compositions |
| EP0841189A1 (en) * | 1996-11-08 | 1998-05-13 | Eastman Kodak Company | Laser-imageable element having a stablising infrared-absorbing dye |
| WO2003056507A1 (en) | 2001-12-24 | 2003-07-10 | Digimarc Id Systems, Llc | Systems, compositions, and methods for full color laser engraving of id documents |
| EP1519223A1 (en) * | 2003-09-12 | 2005-03-30 | Konica Minolta Medical & Graphic Inc. | Silver salt photothermographic dry imaging material |
| US6958181B1 (en) | 2003-09-05 | 2005-10-25 | Hewlett-Packard Development Company, L.P. | Protected activators for use in leuco dye compositions |
| WO2005108102A1 (en) * | 2004-04-27 | 2005-11-17 | Hewlett-Packard Development Company, L.P. | Multilayered color-forming compositions and imaging methods |
| US7172992B2 (en) | 2003-09-26 | 2007-02-06 | Eastman Kodak Company | Biguanide bleaching agent for a thermal-imaging receptor element |
| US7317577B2 (en) | 2004-05-14 | 2008-01-08 | Eastman Kodak Company | Methods for producing a black matrix on a lenticular lens |
| US8142987B2 (en) | 2004-04-10 | 2012-03-27 | Eastman Kodak Company | Method of producing a relief image for printing |
| EP2463096A1 (en) * | 2010-12-07 | 2012-06-13 | Agfa-Gevaert | Security documents and colour laser marking methods for securing them |
| WO2012076493A1 (en) | 2010-12-07 | 2012-06-14 | Agfa-Gevaert | Colour laser marking of articles and security documents precursors |
| EP2535201A1 (en) * | 2011-06-17 | 2012-12-19 | Agfa-Gevaert | Colour laser marking of articles and security documents |
| CN103228455A (en) * | 2010-12-07 | 2013-07-31 | 爱克发-格法特公司 | Colour laser marking methods of security document precursors |
| US8786651B2 (en) | 2010-12-07 | 2014-07-22 | Agfa-Gevaert N.V. | Colour laser marking methods of security document precursors |
| US8796583B2 (en) | 2004-09-17 | 2014-08-05 | Eastman Kodak Company | Method of forming a structured surface using ablatable radiation sensitive material |
| CN104169099A (en) * | 2012-03-16 | 2014-11-26 | 爱克发-格法特公司 | Colour laser markable laminates and documents |
| US9067450B2 (en) | 2011-09-12 | 2015-06-30 | Agfa-Gevaert N.V. | Colour laser marking methods of security document precursors |
Families Citing this family (9)
| Publication number | Priority date | Publication date | Assignee | Title |
|---|---|---|---|---|
| US5935758A (en) | 1995-04-20 | 1999-08-10 | Imation Corp. | Laser induced film transfer system |
| US7063264B2 (en) | 2001-12-24 | 2006-06-20 | Digimarc Corporation | Covert variable information on identification documents and methods of making same |
| WO2003055638A1 (en) | 2001-12-24 | 2003-07-10 | Digimarc Id Systems, Llc | Laser etched security features for identification documents and methods of making same |
| US7728048B2 (en) | 2002-12-20 | 2010-06-01 | L-1 Secure Credentialing, Inc. | Increasing thermal conductivity of host polymer used with laser engraving methods and compositions |
| AU2003221894A1 (en) | 2002-04-09 | 2003-10-27 | Digimarc Id Systems, Llc | Image processing techniques for printing identification cards and documents |
| US7824029B2 (en) | 2002-05-10 | 2010-11-02 | L-1 Secure Credentialing, Inc. | Identification card printer-assembler for over the counter card issuing |
| AU2003298731A1 (en) | 2002-11-26 | 2004-06-18 | Digimarc Id Systems | Systems and methods for managing and detecting fraud in image databases used with identification documents |
| DE602004030434D1 (en) | 2003-04-16 | 2011-01-20 | L 1 Secure Credentialing Inc | THREE-DIMENSIONAL DATA STORAGE |
| JP2008261809A (en) * | 2007-04-13 | 2008-10-30 | Fujifilm Corp | Image detection method, signal conversion method, ink, product or substrate authenticity verification method, mineral oil, heat ray blocking material, polymer welding method, lithographic printing plate manufacturing method |
Citations (6)
| Publication number | Priority date | Publication date | Assignee | Title |
|---|---|---|---|---|
| US3404995A (en) * | 1965-09-20 | 1968-10-08 | Columbia Ribbon Carbon Mfg | Hectograph products and processes |
| EP0181085A1 (en) * | 1984-10-01 | 1986-05-14 | Minnesota Mining And Manufacturing Company | Stabilized leuco phenazine dyes and their use in an imaging system |
| EP0331890A2 (en) * | 1988-03-07 | 1989-09-13 | Seiko Instruments Inc. | Multi-color transfer printing medium |
| EP0366461A2 (en) * | 1988-10-28 | 1990-05-02 | Nippon Paper Industries Co., Ltd. | Optical recording medium |
| EP0384665A2 (en) * | 1989-02-20 | 1990-08-29 | Nippon Paper Industries Co., Ltd. | Optical recording medium |
| EP0599369A1 (en) * | 1992-11-16 | 1994-06-01 | Agfa-Gevaert N.V. | Thermosensitive recording material |
-
1995
- 1995-04-20 GB GBGB9508028.9A patent/GB9508028D0/en active Pending
-
1996
- 1996-04-12 JP JP8090908A patent/JPH08297346A/en active Pending
- 1996-04-19 EP EP19960302794 patent/EP0739748B1/en not_active Expired - Lifetime
- 1996-04-19 DE DE1996601891 patent/DE69601891T2/en not_active Expired - Fee Related
Patent Citations (6)
| Publication number | Priority date | Publication date | Assignee | Title |
|---|---|---|---|---|
| US3404995A (en) * | 1965-09-20 | 1968-10-08 | Columbia Ribbon Carbon Mfg | Hectograph products and processes |
| EP0181085A1 (en) * | 1984-10-01 | 1986-05-14 | Minnesota Mining And Manufacturing Company | Stabilized leuco phenazine dyes and their use in an imaging system |
| EP0331890A2 (en) * | 1988-03-07 | 1989-09-13 | Seiko Instruments Inc. | Multi-color transfer printing medium |
| EP0366461A2 (en) * | 1988-10-28 | 1990-05-02 | Nippon Paper Industries Co., Ltd. | Optical recording medium |
| EP0384665A2 (en) * | 1989-02-20 | 1990-08-29 | Nippon Paper Industries Co., Ltd. | Optical recording medium |
| EP0599369A1 (en) * | 1992-11-16 | 1994-06-01 | Agfa-Gevaert N.V. | Thermosensitive recording material |
Cited By (36)
| Publication number | Priority date | Publication date | Assignee | Title |
|---|---|---|---|---|
| WO1998007576A1 (en) * | 1996-08-20 | 1998-02-26 | Minnesota Mining And Manufacturing Company | Laser absorbable photobleachable compositions |
| EP0841189A1 (en) * | 1996-11-08 | 1998-05-13 | Eastman Kodak Company | Laser-imageable element having a stablising infrared-absorbing dye |
| EP1459246A4 (en) * | 2001-12-24 | 2006-09-06 | Digimarc Id Systems Llc | SYSTEMS, COMPOSITIONS AND METHODS FOR COLOR LASER ETCHING IDENTIFICATION DOCUMENTS |
| WO2003056507A1 (en) | 2001-12-24 | 2003-07-10 | Digimarc Id Systems, Llc | Systems, compositions, and methods for full color laser engraving of id documents |
| US6958181B1 (en) | 2003-09-05 | 2005-10-25 | Hewlett-Packard Development Company, L.P. | Protected activators for use in leuco dye compositions |
| EP1519223A1 (en) * | 2003-09-12 | 2005-03-30 | Konica Minolta Medical & Graphic Inc. | Silver salt photothermographic dry imaging material |
| US7138225B2 (en) | 2003-09-12 | 2006-11-21 | Konica Minolta Medical & Graphic, Inc. | Silver salt photothermographic dry imaging material |
| US7364841B2 (en) | 2003-09-12 | 2008-04-29 | Konica Minolta & Medical Graphic, Inc. | Silver salt photothermographic dry imaging material |
| US7172992B2 (en) | 2003-09-26 | 2007-02-06 | Eastman Kodak Company | Biguanide bleaching agent for a thermal-imaging receptor element |
| US8142987B2 (en) | 2004-04-10 | 2012-03-27 | Eastman Kodak Company | Method of producing a relief image for printing |
| US8530117B2 (en) | 2004-04-10 | 2013-09-10 | Eastman Kodak Company | Method of producing a relief image for printing |
| US8409790B2 (en) | 2004-04-10 | 2013-04-02 | Eastman Kodak Company | Method of producing a relief image for printing |
| WO2005108102A1 (en) * | 2004-04-27 | 2005-11-17 | Hewlett-Packard Development Company, L.P. | Multilayered color-forming compositions and imaging methods |
| US7317577B2 (en) | 2004-05-14 | 2008-01-08 | Eastman Kodak Company | Methods for producing a black matrix on a lenticular lens |
| US8796583B2 (en) | 2004-09-17 | 2014-08-05 | Eastman Kodak Company | Method of forming a structured surface using ablatable radiation sensitive material |
| CN103228455A (en) * | 2010-12-07 | 2013-07-31 | 爱克发-格法特公司 | Colour laser marking methods of security document precursors |
| US8912118B2 (en) | 2010-12-07 | 2014-12-16 | Agfa-Gevaert N.V. | Colour laser marking of articles and security document precursors |
| CN103228445B (en) * | 2010-12-07 | 2015-10-21 | 爱克发-格法特公司 | Security document and the color laser labeling method making its safety |
| WO2012076493A1 (en) | 2010-12-07 | 2012-06-14 | Agfa-Gevaert | Colour laser marking of articles and security documents precursors |
| CN103228445A (en) * | 2010-12-07 | 2013-07-31 | 爱克发-格法特公司 | Security documents and colour laser marking methods for securing them |
| CN103260888A (en) * | 2010-12-07 | 2013-08-21 | 爱克发-格法特公司 | Security Document Precursor for Colored Laser Marked Articles |
| WO2012076406A1 (en) * | 2010-12-07 | 2012-06-14 | Agfa-Gevaert | Security documents and colour laser marking methods for securing them |
| CN103260888B (en) * | 2010-12-07 | 2015-05-06 | 爱克发-格法特公司 | Process for color laser marking of articles with polymer foils and articles comprising polymer foils and colorless layers |
| US8786651B2 (en) | 2010-12-07 | 2014-07-22 | Agfa-Gevaert N.V. | Colour laser marking methods of security document precursors |
| EP2463096A1 (en) * | 2010-12-07 | 2012-06-13 | Agfa-Gevaert | Security documents and colour laser marking methods for securing them |
| CN103228455B (en) * | 2010-12-07 | 2015-04-01 | 爱克发-格法特公司 | Colour laser marking methods of security document precursors |
| US8975211B2 (en) | 2010-12-07 | 2015-03-10 | Agfa-Gevaert N.V. | Security documents and colour laser marking methods for securing them |
| US8921265B2 (en) | 2010-12-07 | 2014-12-30 | Agfa-Gevaert N.V. | Colour laser marking methods of security documents |
| US8921266B2 (en) | 2011-06-17 | 2014-12-30 | Agfa-Gevaert N.V. | Colour laser marking of articles and security documents |
| WO2012171728A1 (en) * | 2011-06-17 | 2012-12-20 | Agfa-Gevaert | Colour laser marking of articles and security documents |
| CN103608184A (en) * | 2011-06-17 | 2014-02-26 | 爱克发-格法特公司 | Colour laser marking of articles and security documents |
| EP2535201A1 (en) * | 2011-06-17 | 2012-12-19 | Agfa-Gevaert | Colour laser marking of articles and security documents |
| CN103608184B (en) * | 2011-06-17 | 2015-11-25 | 爱克发-格法特公司 | Color laser mark goods and secure file |
| US9067450B2 (en) | 2011-09-12 | 2015-06-30 | Agfa-Gevaert N.V. | Colour laser marking methods of security document precursors |
| CN104169099A (en) * | 2012-03-16 | 2014-11-26 | 爱克发-格法特公司 | Colour laser markable laminates and documents |
| CN104169099B (en) * | 2012-03-16 | 2017-03-22 | 爱克发-格法特公司 | Colour laser markable laminates, documents and method for manufacturing colour laser markable documents |
Also Published As
| Publication number | Publication date |
|---|---|
| DE69601891D1 (en) | 1999-05-06 |
| JPH08297346A (en) | 1996-11-12 |
| GB9508028D0 (en) | 1995-06-07 |
| EP0739748B1 (en) | 1999-03-31 |
| DE69601891T2 (en) | 1999-08-19 |
Similar Documents
| Publication | Publication Date | Title |
|---|---|---|
| EP0739748B1 (en) | Laser addressable direct-write media | |
| EP0582144B1 (en) | Laser addressable thermal recording material | |
| US5948600A (en) | Method and material for the formation of a heat mode image | |
| EP0537912B1 (en) | Positive-acting photothermographic materials | |
| EP0783726B1 (en) | Laser addressable thermographic elements | |
| EP0738930A2 (en) | UV-absorbable media bleachable IR-radiation | |
| WO1998007576A1 (en) | Laser absorbable photobleachable compositions | |
| MXPA97002044A (en) | Thermographic elements addressable with the | |
| JP2653680B2 (en) | Photothermographic emulsion | |
| US5863859A (en) | Heat-sensitive material suited for use in direct thermal recording | |
| JP3576553B2 (en) | Methods and materials for forming heat mode images | |
| US5493327A (en) | Method and apparatus for producing image reproducing materials using photothermographic material sensitive to radiation in the red region and transparent to radiation in the ultraviolet range of the electromagnetic spectrum | |
| US5411929A (en) | Thermally-processable image recording materials including substituted purine compounds | |
| EP0738609B1 (en) | Laser absorbable photobleachable compositions | |
| EP0599369B1 (en) | Thermosensitive recording material | |
| EP0764877A1 (en) | Laser addressable imaging elements | |
| US5840469A (en) | Gallic acid as a laser direct thermal developer | |
| US6632584B1 (en) | Laser-imageable printing members and methods for wet lithographic printing | |
| JP2889173B2 (en) | Heat-sensitive recording material with image stabilizing properties | |
| EP0583165B1 (en) | Thermal transfer imaging | |
| EP0568267A2 (en) | Thermal transfer materials | |
| EP0751006A1 (en) | New method for the formation of a heat mode image | |
| US5506093A (en) | Imaging element for reductive laser-imaging | |
| EP0704318A1 (en) | Imaging method for thermal-sensitive material | |
| EP0730196A2 (en) | Heat-sensitive recording material having image-stabilization properties |
Legal Events
| Date | Code | Title | Description |
|---|---|---|---|
| PUAI | Public reference made under article 153(3) epc to a published international application that has entered the european phase |
Free format text: ORIGINAL CODE: 0009012 |
|
| AK | Designated contracting states |
Kind code of ref document: A1 Designated state(s): DE FR GB IT |
|
| 17P | Request for examination filed |
Effective date: 19970417 |
|
| GRAG | Despatch of communication of intention to grant |
Free format text: ORIGINAL CODE: EPIDOS AGRA |
|
| 17Q | First examination report despatched |
Effective date: 19980707 |
|
| GRAG | Despatch of communication of intention to grant |
Free format text: ORIGINAL CODE: EPIDOS AGRA |
|
| GRAH | Despatch of communication of intention to grant a patent |
Free format text: ORIGINAL CODE: EPIDOS IGRA |
|
| GRAH | Despatch of communication of intention to grant a patent |
Free format text: ORIGINAL CODE: EPIDOS IGRA |
|
| GRAA | (expected) grant |
Free format text: ORIGINAL CODE: 0009210 |
|
| AK | Designated contracting states |
Kind code of ref document: B1 Designated state(s): DE FR GB IT |
|
| REF | Corresponds to: |
Ref document number: 69601891 Country of ref document: DE Date of ref document: 19990506 |
|
| ET | Fr: translation filed | ||
| PLBE | No opposition filed within time limit |
Free format text: ORIGINAL CODE: 0009261 |
|
| STAA | Information on the status of an ep patent application or granted ep patent |
Free format text: STATUS: NO OPPOSITION FILED WITHIN TIME LIMIT |
|
| 26N | No opposition filed | ||
| REG | Reference to a national code |
Ref country code: GB Ref legal event code: IF02 |
|
| PGFP | Annual fee paid to national office [announced via postgrant information from national office to epo] |
Ref country code: DE Payment date: 20070531 Year of fee payment: 12 |
|
| PGFP | Annual fee paid to national office [announced via postgrant information from national office to epo] |
Ref country code: GB Payment date: 20070425 Year of fee payment: 12 |
|
| PGFP | Annual fee paid to national office [announced via postgrant information from national office to epo] |
Ref country code: IT Payment date: 20070522 Year of fee payment: 12 |
|
| PGFP | Annual fee paid to national office [announced via postgrant information from national office to epo] |
Ref country code: FR Payment date: 20070417 Year of fee payment: 12 |
|
| GBPC | Gb: european patent ceased through non-payment of renewal fee |
Effective date: 20080419 |
|
| PG25 | Lapsed in a contracting state [announced via postgrant information from national office to epo] |
Ref country code: DE Free format text: LAPSE BECAUSE OF NON-PAYMENT OF DUE FEES Effective date: 20081101 |
|
| REG | Reference to a national code |
Ref country code: FR Ref legal event code: ST Effective date: 20081231 |
|
| PG25 | Lapsed in a contracting state [announced via postgrant information from national office to epo] |
Ref country code: FR Free format text: LAPSE BECAUSE OF NON-PAYMENT OF DUE FEES Effective date: 20080430 |
|
| PG25 | Lapsed in a contracting state [announced via postgrant information from national office to epo] |
Ref country code: GB Free format text: LAPSE BECAUSE OF NON-PAYMENT OF DUE FEES Effective date: 20080419 |
|
| PG25 | Lapsed in a contracting state [announced via postgrant information from national office to epo] |
Ref country code: IT Free format text: LAPSE BECAUSE OF NON-PAYMENT OF DUE FEES Effective date: 20080419 |























