EP0337490A2 - Silver halide light-sensitive photographic material - Google Patents
Silver halide light-sensitive photographic material Download PDFInfo
- Publication number
- EP0337490A2 EP0337490A2 EP89106744A EP89106744A EP0337490A2 EP 0337490 A2 EP0337490 A2 EP 0337490A2 EP 89106744 A EP89106744 A EP 89106744A EP 89106744 A EP89106744 A EP 89106744A EP 0337490 A2 EP0337490 A2 EP 0337490A2
- Authority
- EP
- European Patent Office
- Prior art keywords
- group
- photographic material
- silver halide
- color
- layer
- Prior art date
- Legal status (The legal status is an assumption and is not a legal conclusion. Google has not performed a legal analysis and makes no representation as to the accuracy of the status listed.)
- Granted
Links
Images
Classifications
-
- G—PHYSICS
- G03—PHOTOGRAPHY; CINEMATOGRAPHY; ANALOGOUS TECHNIQUES USING WAVES OTHER THAN OPTICAL WAVES; ELECTROGRAPHY; HOLOGRAPHY
- G03C—PHOTOSENSITIVE MATERIALS FOR PHOTOGRAPHIC PURPOSES; PHOTOGRAPHIC PROCESSES, e.g. CINE, X-RAY, COLOUR, STEREO-PHOTOGRAPHIC PROCESSES; AUXILIARY PROCESSES IN PHOTOGRAPHY
- G03C1/00—Photosensitive materials
- G03C1/76—Photosensitive materials characterised by the base or auxiliary layers
- G03C1/825—Photosensitive materials characterised by the base or auxiliary layers characterised by antireflection means or visible-light filtering means, e.g. antihalation
-
- G—PHYSICS
- G03—PHOTOGRAPHY; CINEMATOGRAPHY; ANALOGOUS TECHNIQUES USING WAVES OTHER THAN OPTICAL WAVES; ELECTROGRAPHY; HOLOGRAPHY
- G03C—PHOTOSENSITIVE MATERIALS FOR PHOTOGRAPHIC PURPOSES; PHOTOGRAPHIC PROCESSES, e.g. CINE, X-RAY, COLOUR, STEREO-PHOTOGRAPHIC PROCESSES; AUXILIARY PROCESSES IN PHOTOGRAPHY
- G03C1/00—Photosensitive materials
- G03C1/76—Photosensitive materials characterised by the base or auxiliary layers
- G03C1/95—Photosensitive materials characterised by the base or auxiliary layers rendered opaque or writable, e.g. with inert particulate additives
Definitions
- the present invention relates to a silver halide light-sensitive photographic material (1) having a reflective support, which exhibits excellent sharpness and edge contrast in images and excellent whitenes in non-image areas.
- the present invention relates to a color photographic pa especially suitable for rapid development processing.
- the present invention also relates to a method of forming a color i , where a reflection type color photographic material (2) (hereinafter referred to as "color phofographic paper (2)”) is imagewise exposed by scanning exposure and successively subjected to color development to form excellent line images or character images along with photographic or computer graphic) images.
- color phofographic paper (2) a reflection type color photographic material (2)
- it relates to a method of forming color images, where characters are inputted in a word processor or originals are inputted in a digitizer.
- the thus inputted information is displayed at the CRT (cathod ray tube) by a CRT exposure system and then imagewise exposed in a color photographic paper.
- the thus exposed paper is successively subjected to rapid color development processing to obtain excellent line images or character images.
- the present invention further relates to a reflection color photographic material (3) which gives a color image having excellent image sharpness, and is suitable to subject to scanning exposure.
- a reflection color photographic material (3) which gives a CG (computer graphic) image, line image and/or a character image having excellent image sharpness and edge contrast together with the photographic image, by a rapid and simple operation.
- Various means may be used to attain the improved material including, for example, use of silver halide emulsions of high sensitivity comprising fine grains, formation of plural light-sensitive layers, formation of thin light-sensitive layers, economization of the amount of silver halides to be used, use of less light-scattering silver halide emulsions, incorporation of anti-halation or anti-irradiation dyes and use of mordant layers for anti-halation or anti-irradiation dyes.
- DIR couplers or color mixing preventing agents may be used to improve the sharpness by interimage effect.
- Picture-taking photographic materials have, in many cases, a transparent plate or film support. The support itself may be dyed for anti-halation, or an anti-halation black backing layer (AHB) or an anti-halation layer (AHU) may be provided therefor.
- Methods of providing AHU in color photographic materials are also known. These methods are described in, for example, U.S. Patents 2,882,156, 2,326,057, 2,839,401 and 3,706,563 and JP-A-55-33172, JP-A-59-193447 and JP-A-62-32448.
- JP-B-58-43734 and JP-A-58-17433, JP-A-58-14830 and JP-A-61-259246 the term "JP-B” as used herein means an "examined Japanese patent publication"
- a method of forming a waterproof resin layer on a raw paper by coating a composition containing an organic compound having one or more double bonds in one molecule and polymerizable by electron rays ard a white pigment on a raw paper and hardening the composition on the paper by irradiation of electron rays thereto under heat is described in, for example, JP-A-57-27257, JP-A-57-49946, JP-A-61-262738 and JP-A-62-61043.
- Silver halide photographic materials having a mirror-reflective or secondary diffusive reflective support are also known. For example, they are described in JP-A-63-24251, JP-A-63-24253 and JP-A-63-24255.
- JP-A-63-63036 mentions the provision of a colloidal silver-containing antihalation layer in a direct positive color photographic paper or in a high-sensitivity reflective color photographic paper having a thinner reflective support than a conventional one so as to inhibit the deterioration of the sharpness due to the transmission density of the support being less than 0.8.
- JP-A-63-63040 mentions the provision of an auxiliary layer in a direct positive photographic material or in a negative photographic material containing a silver chloride-containing emulsion layer and a colloidal silver layer so as to prevent the occurrance of contact fog caused by the colloidal silver in rapid processing.
- a particular technical means is required to attain improvement, which can be apparently recognized, with respect to the image sharpness and the tone reproducibility of the highlight details in the silver halide photographic material having the reflective support, especially in the color photographic paper having a primary diffusive reflective white support, without lowering the whiteness thereof.
- a photographic original of, for example, a color negative film or color positive slide obtained by photographing using a picture-taking photographic material is printed on a color photographic paper by imagewise exposure to obtain a color print.
- a method of printing a film block copy, which has separately been prepared by printing the necessary characters on a lith film, and printing them in combination is employed.
- such a method is complicated and requires a long time to complete.
- a printed sheet formed by printing characters on a semi-transparent raw paper with a word processor may by used, but the color print obtainable therewith has a poor image quality.
- the method of printing CG, line images or character images on a color photographic paper from a memory means previously inputted as a digital information with a printer having a CRT exposure system is also known.
- printers having a CRT exposure system are disclosed in JP-A-62-43281, JP-A-62-184446, JP-A-62-295037, JP-A-62-295038 and JP-A-62-295039.
- JP-A-62-89965 discloses a printer having an FOT (fiber optics tube).
- the image quality of the photographic picture image obtained by conventional exposure printing systems is extremely high.
- the image quality of the line image or character image to be combined with the picture image is not as good as that of the picture image.
- prints obtained from color photographic papers are widely used for various kinds of cards including an ID card, license card, credit card, bank card, etc.
- Methods for preparing the cards are described, for example, in JP-A-62-50755, JP-A-62-58247, JP-A-62-58248 and JP-A-62-58249.
- Prints obtained from thin color photographic papers are also used for seal prints or post cards which are directly stuck to other supports. These are described in, for example, JP-A-60-41949 and JP-A-60-41950.
- VIDEOFIX-85 (trade name). This method is also described in, for example, JP-A-60-176385.
- Scanning exposure system are advantageous in that characters, figures and photographic images (continuous tone images) are easily digitalized for direct image synthesis or image processing or they are outputted with ease.
- such systems are disadvantageous in that the image quality of the line images, or character images formed is much poorer than the image quality of the photographic images formed.
- a silver halide emulsion having a high silver chloride content for example, 80 mol% or more of the total silver halide
- the sensitivity is hardly elevated and the sensitivity as well as the stability of latent images formed is rather inferior to that of a material having a conventional silver chlorobromide emulsion (for example, silver halide emulsion having a silver chloride content of less than 20 mol%).
- the effective sensitivity would be further lowered, and especially, the spectral sensitivity would often be lower because of the anti-color sensitizing action or because of desorption of the sensitizing dyes used.
- Silver chloride-rich silver halide emulsios almost do not have light absorption in the visible range (400 to 700 nm) and the sensitivity is essentially obtained from spectral sensitization, thus the problem of lowering the spectral sensitivity is a big broblem.
- Scanning exposure system use laser rays having light intensity in at least three different wavelength ranges, fluorescent emission, LED (luminescence emitting diode) emission or liquid crystal emission and, if desired, it is combined with color separation filters.
- fluorescent emission for example, CRT or FOT exposure system
- selection of proper fluorescent bodies with pertinent light emission intensity and efficiency for the spectral sensitivity of the respective light-sensitive layers of color photographic papers to be exposed therewith is necessary so as to accelerate, simplify and stabilize the exposure step.
- stable tungsten light, halogen lamp light or xenon lamp light is used in the photographic exposure system, and the sensitivity of the respective light-sensitive layers of color photographic papers to be exposed therewith is determined in accordance with the light source.
- the ratio of the sensitivity of the respective light-sensitive layers of conventional color photographic papers does not match with CRT or FOT exposure systems at all. In most color photographic papers, the sensitivity to light with a longer wavelength, especially red-sensitivity is relatively insufficient.
- the object of the present invention is to overcome said problems in the prior art.
- the first object is to provide a white reflective support-having photographic material (1) which has improved whiteness in the non-image part and excellent image sharpness.
- the second object is to provide a color photographic paper (1) which has excellent tone reproducibility in the highlight details.
- the third object is to provide a color photographic paper (1) which is suited for rapid development (for color development time of 90 seconds or less) and which has been improved so that the processing solution does not penetrate into the paper from the cut edge thereof to stain the photograph finished.
- the fourth object of the present invention is to provide a method of forming color images simply, rapidly and at a low production cost, for obtaining prints composed of line images and/or character images having excellent image quality, especially having high edge contrast, and CG images and/or photographic images, by using a color photographic material (2) having at least three silver halide light-sensitive layers each having a different color coupler on a support.
- Fifth object of the present invention is to provide a seal print or post card having both line images and/or character images and photographic images obtained by said method.
- the sixth object of the present invention is to provide a color photographic material (3) capable of forming CG images, line images and/or character images with excellent image quality, without lowering the effective sensitivity of the material.
- the seventh object of the present invention is to provide a color photographic material (3) capable of forming photographic picture images in combination with CG images, line images and/or character images having high images sharpness and edges contrast by rapid and simple photographic processing where the exposure time with three light sources and the color development time are shortened, as well as a method of forming color images with the color photographic material (3).
- the eighth object of the present invention is to provide a color pinting-photographic paper (3) which has a reflective support thinner than 200 u.m and which can be used for forming various cards and postcards.
- the present inventors have found that the above-mentioned first to third objects can effectively be attained by the improvement of the support to be used and the colloidal layer to be provided thereon.
- the present invention provides a silver halide light-sensitive a photographic material (1) having at least one silver halide light-sensitive layer provided on a reflective support, said reflective support containing white pigment grains in a waterproof resin layer, in which said pigment grains are in the waterproof resin layer in a density of from 10% by weight or more, the degree of dispersion of the white pigment grains in the layer is from 0.20 or less as the fluctuation coefficient (s/ R) of the possessory area ratio (%) per a unit area of 6 u.m x 6 u.m, where R means a mean possessory area ratio per the unit area and s means a standard deviation of the possessory area ratio per the unit area; and a colored layer which can be decolored by photographic processing located between the support and the silver halide light-sensitive layer.
- a method of forming a color image comprising the step of imagewise exposing a color photographic material (2) having at least one light-sensitive layer produced on a waterproof resin-containing reflective support by a scanning exposure system, wherein the reflective support contains white pigment grains in the waterproof resin located in the side coated with said light-sensitive layer in a density of 10% by weight or more, the degree of dispersion of the white pigment grains in the surface waterproof resin layer being 0.20 or less as the fluctuation coefficinet (s/ F r ) of the projected possessory area ratio (%) per a unit area of 6 u.m x 6 u.m, where IT-means a mean projected possessory area ratio per a unit area and s means a standard deviation of the projected possessory area ratio per the unit area.
- the present inventors further investigated the exposure means to be employed, factors of color photographic papers such as sensitivity thereof as well as pertinent combinations of the exposure means and color photographic papers. As a result, they have found that the sixth to eighth objects of the present invention can be attained by the following:
- the white support for use in the silver halide photographic material of the present invention can be prepared by coating a waterproof resin layer on the substrate.
- Suitable substrates include raw papers made from natural pulp or synthetic pulp or a mixture thereof as well as plastic films such as polyester films of polyethylene terephthalate or polybutylene terephthalate or cellulose triacetate film, polystyrene film, polypropylene film or other polyolefin films.
- the raw paper for use in the present invention is made from materials which are generally used for photographic papers.
- natural pulp derived from soft wood or hard wood is used as a main raw material for the paper, which may optionally contain filler such as fine grains of clay, talc, calcium carbonate or urea resin, a sizing agent such as resin, alkylketene dimer, higher fatty acid, paraffin wax or alkenylsuccinic acid, a paper reinforcing agent such as polyacrylamide and a fixing agent such as papermaker's alum earth or cationic polymer.
- a natural paper containing a reactive sizing agent such as alkylketene dimer or alkenylsuccinic.
- the natural pulp may be substituted by synthetic pulp, or a mixture comprising natural pulp and synthetic pulp in a proper ratio can also be used.
- the surface of the pulp may be sized with a film-forming polymer such as gelatin, starch, carboxymethyl cellulose, polyacrylamide, polyvinyl alcohol or modified polyvinyl alcohol.
- the modified polyvinyl alcohol includes carboxyl-modified or a silanol-modified one or a copolymer with acrylamide.
- the amount of the polymer to be coated may be from 0.1 to 5.0 g/m 2 , preferably from 0.5 to 2.0 g/m 2 .
- the film-forming polymer may contain, if desired, an antistatic agent, a fluorescent brightening agent, pigment and a defoaming agent.
- the raw paper for use in the present invention can be prepared by processing a pulp slurry comprising the pulp mentioned above and, if desired, other additives such as a filler, a sizing agent, a paper reinforcing agent and a fixing agent, with a papermaking machine such as Fourdrinier machine, followed by drying and rolling the paper strip thus formed.
- a papermaking machine such as Fourdrinier machine
- the paper strip is sized on the surface thereof, and it is subjected to calender treatment between the drying step and the rolling step.
- the calender treatment may be effected either before or after the surface-sizing treatment.
- the determination of whether the raw paper to be used as the substrate of the support for the photographic materials of the present invention is a neutral paper or not can be performed by measuring the pH value thereof using a plane-electrode type GST-5313F (manufactured by Toa Electrowave Industries, Japan) as an electrode.
- a neutral paper preferably has a pH of 5 or more, and preferably up to 9, and more preferably up to 7.
- the waterproof resin layer may also be provided in the photographic material (2) as in the photographic material (1).
- the waterproof resin layer such as a vinyl chloride resin, may be constitutes the support by itself.
- the waterproof resin for use in the present invention is one preferably having a water absorption (% by weight) of 0.5 or less, more preferably 0.1 or less, including, for example, polyalkylenes (e.g., a polymer of ethylene, or propylene or copolymer thereof), vinyl polymers or copolymers of vinyl compounds (e.g., a polymer of styrene and acrylate or copolymer thereof) and polyesters and copolyesters.
- polyalkylene resins e.g., a polymer of ethylene, or propylene or copolymer thereof
- vinyl polymers or copolymers of vinyl compounds e.g., a polymer of styrene and acrylate or copolymer thereof
- polyesters and copolyesters e.g., polyesters and copolyesters.
- Preferred are polyalkylene resins, and low density polyethylene, high density polyethylene, polypropylene and blends thereof are especially used among
- the thickness of the resin layer may be from about 5 to about 200 u.m, especially from about 10 to about 40 u.m.
- the formation of the resin layer in general, is carried out by kneading a white pigment together with the resin by a melt blending method and extruding through a melt extruder to laminate the blend on a support substrate.
- Unsaturated organic compounds having one or more polymerizable carbon-carbon double bonds on one molecule e.g., methacrylate compounds
- the polymer may be coated on a support substrate and then hardened by irradiation with electron rays to form a waterproof resin layer thereon.
- a white pigment and other additives may be dispersed in the unsaturated organic compound. Any other resins may also be dispersed into the compound.
- the waterproof resin layer on the support substrate for use in the present invention, various lamination methods as described in, for example, New Handbook for Lamination Coating (edited by Kako Kijutsu Kenkyu-kai, Japan) maya be used.
- the dry lamination method, and the nonsolvent dry lamination method can be used.
- any means selected from the gravure roll coating method, the wire bar coating method, the doctor blade coating method, the reverse roll coating method, the dip coating method, the air knife coating method, the callendar coating method, the kiss coating method, the squeeze coating method and the Fountain type coating method can be employed.
- the waterproof resin contains a white pigment.
- suitable white pigments include rutile-type titanium oxide, anatase-type titanium oxide, barium sulfate, calcium sulfate, silicon oxide, zinc oxide, titanium phosphate and aluminium oxide.
- the surface of the fine grains of the titanium oxide pigment is preferably surface-treated with an inorganic oxide such as silica or aluminium oxide and a dihydric or tetrahydric alcohol such as 2,4-dihydroxy-2-methylpentane or trimethylolethane as described in JP-A-58-17151, separately or in combination.
- the fine grains have a mean grain size of from 0.05 to 0.4 ⁇ m, and preferably from 0.1 to 0.3 um.
- the surface of the support is preferably treated by corona discharge, glow discharge or flame treatment and a protective layer group for silver halide photographic materials is provided on the thus surface-treated support.
- the total thickness of the support is preferably from 30 to 350 g/m 2 (from about 30 to 400 ⁇ m), more preferably from about 50 to 200 g/m 2 .
- the waterproof resin layer is preferably from about 5 to about 200 u.m, more preferably from about 10 to about 40 u.m.
- the support for use in the present invention contains fine grains of a white pigment (especially preferably titanium oxide) in a density of 10% by weight or more, preferably 12% by weight or more, more preferably from 15% by weight to 60% by weight, as dispersed in the waterproof resin layer.
- the fine grains of white pigment are preferably dispersed densely and uniformly (that is, in order that there is not part sparsely containing the fine grains) in the surface of the waterproof resin layer or in a thickness of 10 u.m or so from the surface of the layer.
- the surface of the resin layer or the thickness of the layer from the surface to about 0.1 u.m, preferably about 500 A is subjected to glow discharge for ion-sputtering so as to sputter the surface resin and the fine grains thus exposed are observed with an electronic microscope.
- the photographed possessory area of the fine grains on the surface of the thus treated resin layer is obtained from the electromicroscopic photograph and the fluctuation coefficient of the possessory area ratio (%) is calculated for evaluation of the intended dispersibility.
- the ion-sputtering method employable for this purpose is described in detail in Y. Murayama and K. Kashiwagi, Technique for Surface Treatment with Plasma (Kikai-no Kenkyu), Vol. 33, No. 6 (1981).
- the white pigment is fully kneaded with the resin component in the presence of a surfactant. It is also preferred that the surface of the pigment grains be pretreated with the above-mentioned di- to tetra-hydric alcohol.
- the possessory area ratio (%) of the fine white pigment grains per a determined unit area may most typically be obtained by dividing the observed area into the adjacent unit areas having a size of 6 ⁇ m x 6 u.m and determining the possessory area ratio (%) (Ri) of the fine grains as projected in the unit area.
- the fluctuation coefficient of the possessory area ratio (%) can be obtained as the ratio of (si R) of the standard deviation (s) of (Ri) to the mean value ( Fr) of (Ri).
- the number (n) of the unit areas as intended for the purpose is preferably 6 or more. Accordingly, the fluctuation coefficient (s/ R) can be obtained from the following formula:
- the fluctuation coefficient of the possessory area ratio(%) of the fine pigment grains is preferably 0.20 or less, more preferably 0.15 or less, especially preferably 0.08 or less.
- the fluctuation coefficient is 0.08 or less, the dispersion of the grains is substantially "uniform".
- the pigment density is 12% by weight or more and S/ H'is 0.15 or less.
- the photograph formed on the material would visually have a whitened background and have a worsened sharpness of the image formed.
- the strength of the primary diffusive reflected light (see Hand Book of Science of Color - (new edit.), edited by Japan Color Society: published by Tokyo Univ. Publication Association; Sept. 1985, Chap. 18) to the incident light may be elevated and the extension of the diffusive light can be reduced.
- the improved effect of the present support is displayed not only for the incident light for exposure of the photographic material but also for the incident light for visually seeing the photograph, which is one characteristic advantage attainable by the present invention.
- the colored layer may also be provided in the photographic material (3) as in the photographic material (1
- the colored layer used in the present invention can be decolored after photographic processing, e.g., development, bleach-fixation, rinsing or stabilization, is provided between the support and the silver halide photographic light-sensitive layer.
- Fixation of a light absorbent (a dye and/or colloidal silver) in the colored layer may effectively impart an anti-halation effect to the silver halide light-sensitive layer without a reduction of the spectral sensitivity nor an increase of fog.
- Suitable light absorbents included colloidal silver (black to yellow) and/or dyes. Colloidal silver and a dye are preferably used in amounts such that the colloidal silver provides reflect density of from 0.1 to 1.5, and the dye provides transmission density of from 0.1 to 1.2. Provision of the colored layer is effective for more satisfactorily inhibiting the deterioration of the sharpness of the image which would be caused by the extension of the diffused light from the support.
- a colloidal silver emulsion is preferably used as the light absorbent. Any and every colloidal silver emulsion which is generally used for picture-taking color photographic materials can be used for this purpose. Black or yellow colloidal silver can be used.
- the colloidal silver can be prepared in accordance with the methods described in, for example, U.S. Patents 2,688,601 and 3,459,563 and Belgian Patent 622,695.
- the colloidal silver for use in the present invention is preferably fully desalted to have an electroconductivity of not higher than 1800 ascm-1, after preparation.
- the content of the colloidal silver in the colloidal silver-containing layer is from 0.01 to 0.5 g/m 2 , and preferably from 0.05 to 0.2 g/m 2 , as silver.
- Dyes may also be incorporated into the colored layer, together with the colloidal silver, to inhibit irradiation, stabilize the sensitivity, improve the safelight stability and improve the spectral sensitivity distribution.
- the colored layer may contain a dye and a cationic polymer for mordanting the same, in combination.
- the polymer preferably has a molecular weight of at least 5,000.
- the cationic polymer which is preferably used in the present invention is a non-coloring polymer having at least one hydrogen-containing ammonium base in the cation site which functions as an anion exchange polymer.
- cationic polymers represented by the following general formula (I) are preferred for use in the present invention.
- A represents a monomer unit derived from a copolymerizable monomer having at least two copolymerizable ethylenic unsaturated groups, one of which is in the side chain of the monomer.
- B represents a monomer unit derived from a copolymerizable ethylenic unsaturated monomer.
- R 1 represents a hydrogen atom, a lower alkyl group or an aralkyl group.
- Q represents a single bond or an alkylene group, an arylene group, an aralkylene group, . represents an alkylene group, an arylene group or an aralkylene group.
- R represents an alkyl group.
- G represents R 2 , R 3 , R 4 , Rs, R 6 , R 7 , R 8 and Rs each represents a hydrogen atom, an alkyl group, an aryl group or an aralkyl group. These may be same as or different from each other. The above-mentioned groups may optionally be substituted.
- X e represents an anion.
- any two or more of Q, R 2 , R s , and R 4 or Q, R s , R s , R 7 , R 8 and Rg may be bonded to each other to form a ring structure together with the adjacent nitrogen atom.
- R 2 , R a , and R 4 must be a hydrogen atom.
- x, y and z each represent a molar percentage, and x is from 0 to 60, y is from 0 to 60 and z is from 30 to 100.
- Examples of the monomers A include divinylbenzene, ethylene glycol dimethacrylate, diethylene glycol dimethacrylate, triethylene glycol dimethacrylate, ethylene glycol diacrylate, diethylene glycol diacrylate, 1.6-hexanediol diacrylate, neopentylglycol dimethacrylate and tetramethylene dimethacrylate.
- divinylbenzene and ethylene glycol dimethacrylate are especially preferred.
- Examples of the ethylenic unsaturated monomers representing by B include ethylene, propylene, 1-butene, isobutene, styrene, a-methylstyrene, vinylketone, monoethylenic unsaturated esters of aliphatic acids (e.g., vinyl acetate, allyl acetate), ethylenic unsaturated monocarboxylic acid or dicarboxylic acid esters (e.g., methyl methacrylate, ethyl methacrylate, n-butyl methacrylate, n-hexyl methacrylate, cyclohexyl methacrylate, benzyl methacrylate, n-butyl acrylate, n-hexyl acrylate, 2-ethylhexyl acrylate), monoethylenic unsaturated compounds (e.g., acrylonitrile) and dienes (e.g., butadiene, is
- R 1 is preferably a hydrogen atom or a lower alkyl group having from 1 to 6 carbon atoms (e.g., methyl, ethyl, n-propyl, n-butyl, n-amyl, n-hexyl) or an aralkyl group (e.g., benzyl).
- R 1 is especially preferably a hydrogen atom or a methyl group.
- Q is preferably an optionally substituted divalent alkylene group having from 1 to 12 carbon atoms (e.g., methylene or -(CH 2 ) 6 -), an optionally substituted phenylene or an optionally substituted aralkylene having from 7 to 12 carbon atoms (e.g., In addition, the following groups are also preferred for Q.
- L represents an optionally substituted alkylene group having from 1 to 6 carbon atoms, or an optionally substituted arylene group, or an optionally substituted aralkylene group having from 7 to 12 carbon atoms. Especially preferably, it is an optionally substituted alkylene group having from 1 to 6 carbon atoms.
- R represents an alkyl group having from 1 to 6 carbon atoms.
- R 2 , Ra, R 4 , Rs, R 6 , R 7 , R 8 and Rs are the same or different and each is preferably a hydrogen atom, an alkyl group having from 1 to 20 carbon atoms, an aryl group having from 6 to 20 carbon atoms, or an aralkyl group having from 7 to 20 carbon atoms.
- the alkyl group, aryl group and aralkyl group include a substituted alkyl group, a substituted aryl group and a substituted aralkyl group, respectively.
- the unsubstituted alkyl group preferably has from 1 to 12 carbon atoms, more preferably from 4 to 10 carbon atoms, and it includes, for example, methyl, ethyl, n-propyl, isopropyl, n-butyl, isobutyl, t-butyl, n-amyl, isoamyl, n-hexyl cyclohexyl, n-heptyl, n-octyl, 2-ethylhexyl, n-nonyl, n-decyl and n-dodecyl groups.
- Example of the substituted alkyl group include an alkoxyalkyl group (e.g., methoxymethyl, methoxyethyl, methoxybutyl, ethoxyethyl, ethoxypropyl, methoxybutyl, butoxyethyl, butoxypropyl, butoxybutyl, vinylox- yethyl), a cyanoalkyl group (e.g., 2-cyanoethyl, 3-cyanopropyl, 4-cyanobutyl), a halogenated alkyl group (e.g., 2-fluoroethyl, 2-chloroethyl, 3-fluoropropyl), an alkoxycarbonylalkyl group (e.g., ethoxycarbonylmethyl), and allyl group, 2-butenyl group and propargyl group.
- alkoxyalkyl group e.g., methoxymethyl, methoxyethyl, methoxybutyl
- the aryl group includes an unsubstituted aryl group (e.g., phenyl, naphthyl) and a substituted alkyl group, for example, an alkylaryl group (e.g., 2-methylphenyl, 3-methylphenyl, 4-methylphenyl, 4-ethylphenyl, 4-isopropylphenyl, 4-tert-butylphenyl), an alkoxyaryl group (e.g., 4-methoxyphenyl, 3-methoxyphenyl, 4-ethoxyphenyl), and an aryloxyaryl group (e.g., 4-phenoxyphenyl).
- the aryl group preferably has from 6 to 14 carbon atoms, more preferably from 6 to 10 carbon atoms. It is especially preferably a phenyl group.
- the aralkyl group includes an unsubstituted aralkyl group (e.g., benzyl, phenethyl, diphenylmethyl, naphthylmethyl) and a substituted aralkyl group, for example, an alkylaralkyl group (e.g., 4-methylbenzyl, 2,5-dimethylbenzyl, 4-isopropylbenzyl), an alkoxyaralkyl group (e.g., 4-methoxybenzyt, 4-ethoxybenzyl), a cyanoaralkyl group (e.g., 4-cyanobenzyl), a perfluoroalkoxyaralkyl group (e.g., 4-pentafluoropropoxybenzyl, 4-undecafluorohexyloxybenzyl) and a halogenated aralkyl group (e.g., 4-chlorobenzyl, 4-bromobenzyl, 3-chlorobenzyl).
- X e represents an anion, for example, a halide ion (e.g., chloride or bromide ion), an alkyl- or arylsulfonate ion (e.g., methanesulfonate, ethanesulfonate, benzenesulfonate, p-toluenesulfonate), an acetate ion, a sulfate ion or a nitrate ion.
- chloride ion, acetate ion and sulfate ion are preferred.
- any two or more of Q, R 2 , R 3 , and R4 may be bonded together to form a cyclic structure together with the adjacent nitrogen atom.
- the cyclic structure include pyrrolidine ring, piperidine ring, morpholine ring, pyridine ring, imidazole ring and quinuclidine ring.
- pyrrolidine ring, morpholine ring, piperidine ring, imidazole ring and pyridine ring are especially preferred.
- any two or more of Q, R s , R s , R 7 , R s and R 9 may be bonded together to form a cyclic structure together with the adjacent nitrogen atom, and the cyclic structure is especially preferably a 6 membered or 5-membered ring.
- x indicates from 0 to 60 mol%, preferably from 0 to 40 mol%, more preferably from 0 to 30 mol%.
- y indicates from 0 to 60 mol%, preferably 0 to 40 mol%, more preferably from 0 to 30 mol%.
- z indicates from 30 to 100 mol%, preferably from 40 to 95 mol%, more preferably from 50 to 85 mol%.
- G is preferably a basic residue-having a pKa value of 4.5 or more, especially 7 or more, in an aqueous solution.
- a polymer latex is especially preferred from the view point of the film-forming quality thereof.
- a crosslinking monomer such as divinylbenzene is generally used as a monomer component.
- a crosslinking monomer is not indispensable, depending upon the kind of the monomer to be used.
- the polymers of the formula (I) for use in the present invention are generally prepared by copolymerizing the above-mentioned copolymerizable monomer having at least two ethylenic unsaturated groups and ethylenic unsaturated monomer together with an unsaturated monomer of a formula: in which Ri, R 2 , R 3 and Q have the same meanings as defined above, for example, N,N-dimethylaminoethyl methacrylate, N,N-diethylaminoethyl methacrylate, N,N-dimethylaminoethyl acrylate, N,N-diethylaminoethyl acrylate, N-(N,N-dimethylaminopropyl)acrylamide, N-(N,N-dihexylaminomethyl)-acrylamide, 3-(4-pyridyl)propyl acrylate, N,N-dimethylaminomethylstyrene, N,N
- the polymers of formula (I) for use in the present invention may also be prepared by copolymerizing the above-mentioned copolymerizable monomer having at least two ethylenic unsaturated groups and ethylenic unsaturated monomer together with an unsaturated monomer of a formula: in which Ri, R 2 , R 3 , Ra., X and Q have the same meanings as defined above, for example, N,N dimethylaminoethyl methacrylate hydrochloride, N,N-diethyl aminoethyl methacrylate sulfate, N,N-dimethylaminoethyl acrylate hydrochloride, N,N-diethylaminoethyl acrylate acetate, N,N-dimethylaminostyrene hydrochloride, N,N-diethylaminomethylstyrene sulfate, 2-vinylpyridine hydrochloride or 4-vinylpyridine hydro
- the polymers of formula (I) for use in the present invention may further be prepared by copolyme rizing the above-mentioned copolymerizable monomer having at least two ethylenic unsaturated groups and an ethylenic unsaturated monomer together with an unsaturated monomer of the formula: in which X represents a halogen atom (e.g., chlorine, bromine) or a sulfonic acid ester group (e.g., p-toluenesulfonyloxy) and Ri and Q have the same meanings as defined above, for example, ⁇ -chloroethyl methacrylate, ⁇ -p-toluenesulfonyloxyethyl methacrylate or chloromethylstyrene, followed by reacting the resulting copolymer with an amine having a structure of (where R 2 , R 3 and R 4 have the same meanings as defined above), for example, dimethylamine, diethyl
- the polymers of the formula (I) for use in the present invention can be prepared by copolymerizing the above-mentioned copolymerizable monomer having at least two ethylenic unsaturated groups and ethylenic unsaturated monomer together with an unsaturated monomer of a formula: in which R 1 , R s and Q have the same meanings as defined above, for example, methyl vinyl ketone, methyl (1-methylvinyl) ketone, ethyl vinyl ketone, ethyl (1-methylvinyl) ketone, n-propyl vinyl ketone, diacetone acrylamide or diacetone acrylate, especially preferably methyl vinyl ketone, ethyl vinyl ketone, diacetone acrylamide or diacetone acrylate, followed by reacting the resulting copolymer with a compound of a formula: in which R 6 , R 7 , R 8 and Rs have the same meanings as defined above, for example,
- the above-mentioned polymerization reaction can be carried out by any conventional method of solution polymerization, emulsion polymerization, suspension polymerization, precipitation polymerization or dispersion polymerization. Solution polymerization and emulsion polymerization are preferred.
- the emulsion polymerization can be carried out generally in the presence of at least one emulsifying agent selected from anionic surfactants (e.g., sodium dodecylsulfate, or Triton 770, a commercial product from Rhom & Haas), cationic surfactants (e.g., octadecyltrimethyl ammonium chloride), non-ionic surfactants (e.g., EMALEX NP-20, a commercial product from Nippon Emulsion), gelatin and polyvinyl alcohol, together with a radical polymerization initiator (e.g., combination of potassium persulfate and sodium hydrogen sulfite, a commercial product from Wako Pure Chemicals in the trade name of V-50), at a temperature of generally from about 30°C to about 100°C, preferably from about 40 °C to about 80 ° C.
- anionic surfactants e.g., sodium dodecylsulfate, or Triton
- the above-mentioned reaction of forming the corresponding ammonium salt from the copolymer is carried out at a temperature of generally from about -10 C to about 40°C, especially preferably from about 0 C to about 30°C.
- copolymers for use in the present invention can be prepared in one reactor vessel throughout the complete manufacture process with ease.
- the resulting solution was heated to 80 * C under a nitrogen stream.
- a solution of 0.5 g of potassium persulfate dissolved in 20 ml of distilled water was added to the vessel and successively continuously stirred for 5 hours. After cooling, 100 g of distilled water was added and the resulting mixture was filtered to obtain an aqueous polymer solution of Compound (17) having a solid content of 17.0% by weight and an amine concentration of 8.17x10 -4 eqv/g.
- a hydrophilic protective colloid may be used as a binder for the colored layer of the present invention.
- Such colloid includes, for example, gelatin, modified gelatins, gelatin derivatives and graft polymers of gelatin and other poiymers. These may be used in combination with proteins such as albumin or casein; cellulose derivatives such as hydroxyethyl cellulose, carboxymethyl cellulose or cellulose sulfates; saccharide derivatives such as dextran, sodium alginate or starch derivatives; and homopolymers or copolymers such as polyvinyl alcohol, partially acetallized polyvinyl alcohol, poly-N-vinylpyrrolidone, polyacrylamide, acrylic acid or methacrylic acid copolymers or polyvinyl pyrazole.
- gelatin is used as the hydrophilic colloid, and the gelatin may be a so-called lime-processed gelatin, acid-processed gelatin or enzyme-processed gelatin.
- the gelatin is especially preferably one having a narrow molecular weight distribution for the purpose of attaining rapid processing.
- the molecular weight distribution of gelatin can be determined by, for exaple, the GPC method (gel permeation chromatography method). Gelatin having a proportion of high molecular content of 12% by weight or more, especially 14% by weight'or more, is preferred for use in the present invention.
- the GPC method is described in detail in JP-A-62-87952 (main text and Example 1).
- the colored layer of the present invention and other hydrophilic colloid layers constituting the photographic material of the present invention are hardened with an inorganic or organic hardening agent.
- suitable hardening agents include, for example, chromium salts, aldehydes (e.g., formaldehyde, glutaraldehyde), N-methylol compounds (e.g., dimethylolurea), active vinyl compounds (e.g., 1,3,5-triacryloyl- hexahydro-s-triazine, bis(vinylsulfonyl)methylether, N,N'-methylenebis( ⁇ -vinylsulfonyl)propionamide), active halogen compounds described in, for example, U.S.
- Patent 3,325,287 e.g., 2,4-dichloro-6-hydroxy-s-triazine
- mucohalogenic acids e.g., mucochloric acid
- N-carbamoylpyridinium salts e.g., 1-morpholinocarbonyl-3- pyridinio)methanesulfonate
- haloamidinium salts e.g., 1-(1-chtoro-1-pyridinomethylene)pyrrolidinium, 2-naphthalenesulfonate.
- hardening agents having two or more vinylsulfonyl groups for example, those described in JP-B-47-24259, JP-B-49-13563 and JP-B-57-240902
- hardening agents having two or more active vinyl groups for example, those described in JP-A-53-41220, JP-A-53-57257, JP-A-59-162546 and JP-A-60-80846) as well as the compounds described in JP-A-62-222242, JP-A-62-245261 and JP-A-62-109050 and JP-A-62-295045 are especially preferably used, as these do not interfere with the cation site of the polymers to be used in the present invention.
- the dyes to be used in accordance with the present invention are those having a selected light absorption in the spectral sensitivity range of the light-sensitive layer (to which the effect of irradiation inhibition or antihalation is intended to be provided) of the color photographic material of the present invention and especially those having a molar extinction coefficient of 10 2 1.mol.cm- 1 or more.
- dyes which may be decolored by decoloration after development processings or which may be dissolved out of the photographic material during photographic processing are especially preferred as the dye.
- the dye is preferably used in an amount of from 1 to 500 mg/m 2 , and more preferably from 10 to 100 mg/m2 .
- a dye which is substantially insoluble in an aqueous solution having pH of not higher than 7.0 is preferably used as a silid fine grain like dispersion thereof in a colloid together with a dispersion aid.
- the term "solid fine grain like” as used herein means a state that the dye grains having a mean grain size (projected, circle approximate) of not more than 1 ⁇ m, and preferably from 0.01 u.m to 0.5 u.m are dispersed in a colloid layer, said dye grains being substantially non-diffusible to other adjacent layer(s) and not aggregating coarser than about 3 ⁇ m.
- nonionic surface active agents such as the compounds described in patent publications cited in JP-A-62-215272, pages 649-668, and the compounds shown as practical compounds W-1 to W-99 in JP-A-62-215272, the surface active agents described in JP-B-56-36415 and 59-31688, and the surface active agents shown by formulae [VII], [VIII], and [IX] described in Japanese Patent Application No. 62-118519 can be used.
- dispersion aid water-soluble organic solvents such as dimethylformamide, methanol, ethanol, dimethylsulfonylamide, etc.
- dispersion aid hydrophilic colloids such as gelatin, casein, hydroxyethyl cellulose, poly-N-vinylpyrrolidone, polyacrylic acid, gelatin derivatives, etc., and also alkaline water can be used.
- the solid fine grain dispersion of dye can be prepared by a method of dissolving dye solides in a water-soluble organic solvent and dispersing the solution in a neutral or acidic aqueous colloid solution, particularly preferably a method of wetting dye solids with water or an insoluble liquid, kneading the wet dye solids together with a dispersion aid, finely granulating the dye solids in a mill and dispersing them in an aqueous colloid solution, a method of fine-powdering dye solids using ultrasonic waves and dispersing the powdered dye in a colloid solution using a surface active agent as a dispersion aid, or a method of dissolving dye solids in alkaline water and dispersing the solution in an acidic aqueous colloid solution.
- the dye or the aqueous colloid solution is used together with an organic acid such as citric acid, oxalic acid, acetic acid, tartaric acid, etc.
- the silid fine grains of dye for use in this invention may be fine crystals of the dye, micell-structural fine grains of the dye, or finely aggregated particles of the dye.
- the grains size of the solide fine grains can be measured by observing the section of a colloid layer containing them using a transmission type electron microscope.
- a dye which is substantially insoluble in an aqueous solution having pH of not higher than 7 and has a hydrophilic group substantially not causing proton-dissociation at pH 7 or less but causing the dissociation at pH of at least 9, such as a hydroxy group, a carboxy group, an amino group, a sulfamoyl group, etc. is advantageously used in this invention.
- the term "substantially insoluble in an aqueous solution" as used herein means that the dispersed fine grains are insoluble to an extent capable of keeping the dispersed state in a hydrophilic colloid such as an aqueous gelatin solution having pH of not higher than 7.
- a dye having a solubility in an aqueous solution of pH 7 or less at room temperature (24 C) of not more than 10% by weight, and preferably not more than 5% by weight is preferred.
- the dyes can be selected from conventional known dyes, for example, arylidene dyes, styryl dyes, butadiene dyes, oxonole dyes, cyanine dyes, merocyanine dyes, hemicyanine dyes, diarylmethane dyes, triaryl dyes, azomethine dyes, azo dyes, metal-chelated dyes, anthraquinone dyes, styibene dyes, chalcone dyes and indophenol dyes.
- they may also be selected from the dyes described in U.S. Patents 3,880,658, 3,931,144, 3,932,380, 3,932,381 and 3,942,987 and in J. Fabian & H. Hartmann, Light Absorption of Organic Colorants (published by Springer Verlag) as well as from non-diffusive analogues thereof.
- the dyes for use in the present invention which have the coincidense with the light absorption characteristic and which can be decolored after development processings, can be selected from the functional dyes described in JP-A-63-271351, the dyes of formula (I) described in JP-A-62-21527, JP-A-62-293243 (pages 109 to 117), JP-A-63-208846 and JP-A-63-316853 and the dyes of the formula (II) described in Japanese Patent Application No. 62-226131.
- dyes having a light absorption in the spectral sensitivity wavelength range of the light-sensitive layer or layers, preferably the layer adjacent to the colored layer, to be provided on the colored layer are used; and for correction of the light-sensitivity range, dyes having a light absorption in the sensitivity wavelength range to be corrected are used.
- 80% or more of the dye to be used in the photographic emulsion layer or in other constitutional layers is preferably contained in the cationic polymer-containing layer.
- the amount of dye to be added is advantageously from 0.01 to 10, preferably from 0.2 to 1, as the number of the anion groups in the dye, per cation site of the cationic polymer.
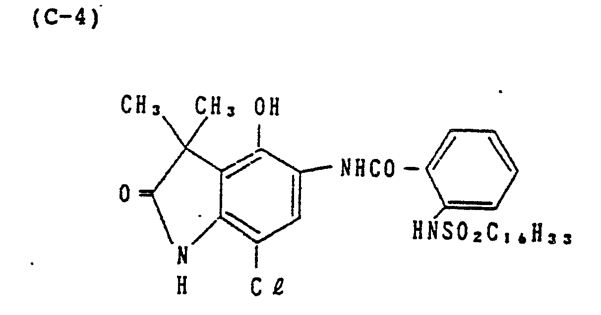
- Preferred dyes for use in the present invention include the dyes described in JP-A-63-139947, JP-A-63-244034, JP-A-63-264745, Japanese Patent Application Nos. 61-314428, 62-226121, 62-277669 and 62-284448 for anti-halation; and the dyes described in JP-A-63-200146, Japanese Patent Application Nos. 62-239032, 62-264396, 62-261052 and 62-247477 for correction of the spectral sensitivity.
- Especially preferred dyes for use in the present invention include the dyes described in JP-A-63-139949, JP-A-63-244034, JP-A-63-316853, Japanese Patent Application Nos. 62-226131, and 62-284448 and JP-A-62-123454.
- Dye-18, Dye-37 and Dye-43 described above are suitable for the solid fine grain dispersion and furthermore, Dye-45 can be also used for the solid fine grain dispersion.
- the dyes for use in this invention shown by formulae (II), (III), (IV), (V) and (VI) described above are particularly preferred for the solid fine grain dispersion.
- a foresaid dye is used for a colored layer (e.g., a colored layer utilizing colloidal silver and a layer colored by utilizing a cation polymer capable of providing cation site as a mordant), the following features can be obtained.
- the filter layer is properly formed while changing the layer construction of light-sensitive layers constituting the color photographic material, such as a blue-sensitive layer (BL), a green-sensitive layer (GL), and a red-sensitive layer (RL).
- BL blue-sensitive layer
- GL green-sensitive layer
- RL red-sensitive layer
- a filter layer can be formed by incorporating the solid fine grains of the dye in an interlayer.
- Dyes which are used for preparing a solid fine grain dispersion can be selected from the compounds shown by following formulae (II), (III), (IV), (V) and (VI);
- the carboxyphenyl group of the acidic nucleus shown by A 2 and the carboxyphenyl group of the electron attractive group shown by X 3 or Y 3 include not only a phenyl group having only one carboxy group but also a phenyl group having 2 or 3 carboxy groups.
- the sulfamoylphenyl group, the sulfonamidophenyl group, and the hydroxyphenyl group of the acid nucleus shown by A 2 and of the electron attractive group shown by X 3 or Y 3 each includes not only a phenyl group having only one sufamoyl group, sulfanamido group or hydroxy group but also a phenyl group having 2 or 3 sufamoyl groups, sulfonamido groups, or hydroxy groups.
- the aforesaid carboxyphenyl group or the sulfamoylphenyl group, sulfonamidophenyl group and hydroxyphenyl group each may further have other substituent than the aforesaid groups [as to the substituent, there is no particular restriction if the substituent is a dissociative substituent having pKa (acid dissociation constant) in a solution of water and ethanol (1 : 1 by volume ratio) of at least 4 or a non-dissociative substituent].
- pKa acid dissociation constant
- the carboxyalkyl group of the acidic nucleus shown by A 2 or of the electron attractive group shown by X 3 or Y 3 has preferably from 1 to 10 carbon atoms and specific examples thereof are carboxymethyl, 2-carboxyethyl, 3-carboxypropyl, 2-carboxypropyl, 4-carboxybutyl, and 8-carboxoctyl.
- the alkyl group shown by R 40 , R 43 , or R 46 has preferably from 1 to 10 carbon atoms and specific examples thereof are methyl, ethyl, n-propyl, isoamyl, and n-octyl.
- the alkyl group shown by R 41 or R 42 has preferably from 1 to 20 carbon atoms and specific examples thereof are methyl, ethyl, n-propyl, n-butyl, n-octyl, n-octadecyl, isobutyl, and isopropyl.
- the alkyl group may have a substituent [such as a halogen atom (e.g., chlorine, bromine, etc.), a nitro group, a cyano group, a hydroxy group, a carboxy group, an alkoxy group (e.g., methoxy and ethoxy), an alkoxycarbonyl group (e.g...
- methoxycarbonyl and i-propoxycarbonyl an aryloxy group (e.g., phenoxy), a phenyl group, and amido group (e.g., acetylamino and methanesulfonamido), a carbamoyl group (e.g., methylcarbamoyl and ethylcarbamoyl), and a sulfamoyl group (e.g., methylsulfamoyl and phenylsulfamoyl)].
- an aryloxy group e.g., phenoxy
- a phenyl group e.g., and amido group (e.g., acetylamino and methanesulfonamido)
- carbamoyl group e.g., methylcarbamoyl and ethylcarbamoyl
- a sulfamoyl group e
- the aryl group shown by R41 or R 42 is preferably a phenyl group or a naphthyl group and may have a substituent such as the group illustrated above as the substituent for the alkyl group shown by R 4 . 1 or R 42 and an alkyl group (e.g., methyl and ethyl).
- the acyl group shown by R 41 or R 42 has preferably from 2 to 10 carbon atoms and specific examples thereof are acetyl, propionyl, n-octanoyl, n-decanoyl, isobutanoyl, and benzoyl.
- alkylsulfonyl group and the arylsulfonyl group shown by R 4 , and R 4 . 2 there are methanesulfonyl, ethanesulfonyl, n-butanesulfonyl, n-octanesulfonyl, benzenesulfonyl, p-toluenesulfonyl, o-carboxybenzeen- sulfonyl, etc.
- the alkoxy group shown by R 43 or R 46 has preferably from 1 to 10 carbon atoms and specific examples thereof are methoxy, ethoxy, n-butoxy, n-octoxy, 2-ethylhexyloxy, isobutoxy, and isoporpoxy.
- halogen atom shown by R 43 or R 46 there are chlorine, bromine, and fluorine.
- ring formed by R 4 , and R44 or by R 42 and R 4s there is, for example, a durolysine ring.
- examples of the 5- or 6-membered ring formed by R 41 and R 42 are, for example, a piperidine ring, a morpholine ring, and a pyrrolidine ring.
- the methine group shown by L), L 2 , and L 3 may have a substituent such as methyl, ethyl, cyano. phenyl, hydroxypropyl, chlorine atom, etc.
- the electron attractive groups shown by X 3 and Y 3 which may be the same or different, each is a cyano group, a carboxy group, an alkylcarbonyl group which may be substituted (e.g., acetyl, propionyl, heptanoyl, dodecanoyl, hexadecanoyl, and 1-oxo-7-chloroheptyl), an arylcarbonyl group which may be substituted (e.g., benzoyl, 4-ethoxycarbonylbenzoyl, and 3-chlorobenzoyl), an alkoxycarbonyl group which may be substituted (e.g., methoxycarbonyl, ethoxycarbonyl, butoxycarbonyl, t-amyloxycarbonyl, hexyloxycarbonyl, 2-ethylhexyloxycarbonyl, octyloxycarbonyl, decyloxycarbonyl, dodecyloxy
- the aforesaid dyes for use in this invention can be easily synthesized by the methods described in PCT Patent WO 88/04794, European Patent EP 274,723A1, JP-A-52-92716, 55-155350, 55-155351, 61-205934, and 48-68623, U.S. Patents 2,527,583, 3,486,897, 3,746,539, 3,933,798, 4,130,429, and 4,040,841 and by similar manners to the aforesaid methods.
- the cationic polymer is dispersed in the hydrophilic colloid in the form of an aqueous solution or a latex.
- a dye may further be added to give a coating liquid for the colored layer.
- a master coating liquid to which previously a dye is added may be diluted and dispersed in the hydrophilic colloid to form a coating liquid.
- the dispersion containing a water-soluble cationic polymer would coagulate relatively easily, thus, a small amount of dye is used relative to the cationic polymer.
- the amount of the cationic polymer to be used is, although this can vary in accordance with the condition in the use thereof, preferably from about 1 g to about 100 g, more preferably from about 1 to about 50 g, especially preferably from about 1 to about 20 g, per 100 g of the hydrophilic protective colloid.
- the cationic polymer is used in an amount of 0.1 or more, preferably from 0.3 to 50, especially preferably from 1 to 30, as the number of the cation sites of the polymer, per one anionic group of the anionic compound of the dye to be used.
- the amount of the water-soluble cationic polymer to be used is preferably from 1 to 20 g per 100 g of the hydrophilic protective colloid, and it corresponds to from 5 to 30 cation sites of the polymer to one anionic group of an acidic dye.
- the coating liquid for the colored layer contains a non-ionic, ampholytic or anionic surfactant, and preferably it contains a cationic surfactant.
- a water-soluble cationic polymer it is preferably combined with a polymer latex dispersion, especially with a cationic polymer latex dispersion.
- the water soluble cationic polymer and the cationic polymer latex dispersion may be used in an optional proportion, however, it is preferable that the weight ratio of the amount of the polymer in the latex dispersion to the amount of the water soluble cationic polymer is not more than 1/2.
- the mean grain size of the fine grains of the cationic polymer latex for use in the present invention is 1 u.m or less, preferably from 1 to 0.001 ⁇ rn, especially from 0.2 to 0.01 urn, and the grain size distribution of the grains is preferably narrow.
- Other polymer latexes as described in U.S. Patents 3,411,911 and 3,411,912 and JP-B-45-5331 can also be co-used in the photographic constitutional layers. For instance, when an anionic compound such as an acidic dye is adsorbed on the polymer and dispersed, it is preferred that the anionic compound is previously adsorbed on the cation site of the polymer and then dispersed. By such a dispersion method, the anionic compound is prevented from being desorbed by the action of the coexisting anionic surfactant and the anionic group for the hydrophilic colloid itself.
- the colored layer is coated on the support, and it may be directly coated on the white pigment-containing waterproof resin layer and dried thereon. It is preferred to provide an interlayer between the support and the colored layer. Any other silver halide light-sensitive layer may be inserted between the two layers. Two or more colored layers may be provided in a photographic material. It is preferred to provide the colored layer between the support and a silver halide light-sensitive layer closest to the support. It is also preferred that the colored layer is provided so that the spectral sensitivity distribution of the silver halide light-sensitive layer between the colored laeyr and the support may be corrected.
- dyes included therein are usually and preferably differ from each other.
- the colored layer may be provided between the support and the blue sensitive layer.
- the colored layer acts as an antihalation layer.
- the colored layer may also be provided between two emulsion layers, for example, between the green sensitive layer and the red sensitive layer.
- the colored layer acts as an antihalation layer for the red sensitive layer and also acts as an irradiation inhititing layer having light filtering effect for the green and blue sensitive layers (also acts as an antihalation layer).
- the thickness of the colored layer is from 0.1 to 10 u.m, preferably from 0.2 to 5 /.I.m.
- the maximum spectral reflection density thereof is preferably 0.2 or more, especially preferably from 0.3 to 1.5.
- the silver halide emulsion to be used for preparing the photographic material of the present invention is preferably a silver chlorobromide emulsion, and it may be prepared in accordance with the methods described in P. Glafkides, Chimie et Physique Photographique (published by Paul Montel, 1967), G.F. Duffin, Photographic Emulsion Chemistry (published by Focal Press, 1966), V.L. Zelikman et al, Making and Coating Photographic Emulsion (published by Focal Press, 1964). Specifically, it may be prepared by any method including the acid method, neutral method and ammonia method, but it is preferably prepared by the acid method.
- the reaction of the soluble silver salt and soluble halide(s), can be carried out by methods including the single jet method, double jet method or combination thereof.
- the double jet method is especially preferred so as to obtain the monodispersed grains for use in the present invention.
- a so-called reverse mixing method where grains are formed under conditions of excess silver ions can also be employed.
- One type of the double jet method i.e., a so-called controlled double jet method, where the silver ion concentration in the liquid phase to form silver chlorobromide is kept constant, may also be used.
- a mono-dispersed silver chlorobromide emulsion which comprises grains having a regular crystal form and having a narrow grain size distribution and which is suited for use in the present invention can be obtained.
- Suitable silver halide composition include compositions having a silver chloride content of 15 mol% or more.
- the silver chloride content is preferably 95 mol% or more, and more preferably 98 mol% or more for the photographic material which is required to have rapid processability.
- the composition of the silver halide may contain silver iodide in an amount not exceeding 1 mol%, but the photographic material which is required to have rapid processability desirably contains no silver iodide.
- the silver hallide grains for use in the present invention are silver chlorobromide grains having a silver chloride content of 90 mol% or more, they are preferably hetero-structural grains having a "locallized phase" where the silver bromide content is different from that in the adjacent phase.
- the localized phase may be in the inside and/or on the surface of the silver halide grain.
- the localized phase may be on the surface of the grain non-uniformly or discontinuously or isolated from others on the surface Above all, the localized phase is preferably on the surface of the silver halide grain non-uniformly or is isolated from others.
- the silver bromide content in the locallized phase is preferably at least 5 mol%, more preferably 10 mol% or more, esepcially preferably 20 mol% or more.
- the upper limit is preferably 70 mol%. If the silver bromide content is too high, the material would be desensitized under pressure, or the sensitivity or gradation would fluctuate in continuous development processing.
- the silver bromide content in the locallized phase as well as the difference in the silver bromide content between the locallized phase and the base phase (area other than the locallized phase in the grain) is varied depending on the proportion of the silver bromide to the total silver halide, the molar ratio of the bromide used, the speed of feeding the water-soluble bromide to base grains and the pAg and pH of the reaction solution in forming the silver halide grains.
- a silver nitrate solution and a halogen ion are added at a determined ratio, during the step of forming the base grain or after forming the same, while properly controlling the pAg and pH values in the reaction system.
- the silver chloride on the surface of the grain may be substituted by silver bromide by halogen substitution.
- the hetero-structual grains for use in the present invention advantageously contain a metal ion selected from metal ions Group VIII in the Periodic Table, for example, an iron ion, rhodium ion, iridium ion or platinum ion.
- the metal ion is preferred to be incorporated into the locallized phase or the base phase of the silver halide grains in a different concentration.
- iridium ion or iron ion is incorporated into the locallized phase while a different metal ion selected form osmium, iridium, platinium, ruthenium, palladium, cobalt and nickel ions or a complex ion thereof is incorporated into the base phase in combination.
- metal ions of cadmium, zinc, lead, mercury and thallium ions may also be used.
- the amount of the metal ion to be incorporated into the silver halide grain is from 10- 8 to 10- 5 mol per mol of silver halide.
- the silver bromide content in the locallized phase can be analyzed by an X-ray diffraction method (for example, as described in "New Experimental Chemistry, Lecture Vt. Analysis of Structure” (edited by Japan Chemical Society and published from Maruzen, Japan) or XPS method (for example, as described in “Surface Analysis - Application of IMA, Auger Electron and Photoelectronic Spectrography” (published by Kodansha,Japan).
- the silver bromide content in the locallized phase as existing non-uniformly or being isolated on the surface of the silver halide grain, especially in the edges or corners thereof, can be determined by the EDX (energy dispersive X-ray analysis) method (for example, described in H. Soejima, Electron Ray Microanalysis, published from Nikkan Kogyo Newspaper Co., 1987), with an EXD spectrometer as installed in a transmission type electron microscope, up to an accuracy of about 5 mol% with an aperture of from about 0.1 to about 0.2 u.m diameter.
- EDX energy dispersive X-ray analysis
- the silver halide grains for use in the present invention may be regular crystal grains, for example, cubic or 6-hedral or 14-hedral grains having (100) plane on 8-hedral grains having (111) plane, or may also be tabular grains.
- Such silver halide grains can selectively be formed by properly adjusting the pAg or pH value in the reaction solution for forming the silver halide grains, or by selectively using CR-compounds having a function of selectively adsorbing to (100) plane or (111) plane (for example, described in the above-mentioned patent specifications) or using any other appropriate organic compounds.
- 6- hedral or 14-hedral silver halide grains having (100) plane and having the locallized phase in the corner parts of the surface thereof as well as tabular silver halide grains having the locallized phase in the corner parts or edge parts of the surface thereof are preferred for use in the present invention.
- the color photographic paper of the present invention is processed by a "printer processor" as described in, for example, JP-A-62-184446 to form an image. It is first imagewise exposed, for example, with a CRT exposure system and then, generally, immediately subjected to color development.
- the color photographic paper of the present invention which contains a silver chloride-rich silver halide emulsion is especially preferred to be rapidly processed.
- the balance of the red-sensitivity (S R ), green-sensitivity (S G ) and blue-sensitivity (S B ) in general color photographic papers is low in the order of S 8 , S ⁇ and S R .
- the light emitted from red-fluorescent bodies has a wavelength falling near the range of from 600 to 630 nm and near 700 nm, and therefore the bodies could hardly match with the red-sensitive wavelength for color photographic materials.
- elevation of the spectral sensitivity of color photographic materials (3) as well as improvement of the proper wavelength distribution of the spectral sensitivity thereof is especially important.
- the characteristic aspects of the color photographic materials (3) of the present invention are as follows: First, a silver chlorobromide emulsion having a high silver chloride content is used for the purpose of attaining rapid processing of the material. Second, multi-layered silver halide grains (halogen composition distribution) are used and the grains are particularly chemically sensitized and spectrally sensitized, for the purpose of obtaining a sufficient spectral sensitivity necessary for compensating the sensitivity as lowered because of the dye added to the material so as to efficiently inhibit the diffusion of the luminous flux of the light applied to the material for exposure thereof. Third, an anti-halation layer is provided on a new support.
- the silver chloride-rich silver chlorobromide emulsion for use in the present invention is preferably one which can form a latent iamge mainly on the surface of the silver chlorobromide grains.
- the silver chlorobromide emulsion for use in the photographic material (3) of the present invention is one substantially comprising silver chloride or silver chlorobromide, and it has a silver iodide content of 2 mol% or less, preferably 1 mol% or less, especially preferably 0.1 mol% or less. It has a silver chloride content of at least 50 mol% or more, preferably 80 mol% or more, more preferably 90 mol% or more, especially preferably 95 mol% or more.
- the balance component may be silver bromide, silver iodide or silver rhodanide.
- the halogen components preferably form layers in the inside or surface of the silver halide grains, or are preferred to be differently and discontinuously isolated from others.
- a silver bromide-locallized phase which has a higher silver bromide content than the adjacent phases and is near the surface of the grain in layers or is discontinuously isolated from others, is used.
- the silver content in the localized phase is 5 mol% or more, preferably 10 mol% or more, especially preferably from 20 mol% to 70 mol%.
- the silver halide grains to be contained in the silver halide emulsion for use in the photographic material (3) of the present invention may have any crystal habit, but they are preferably regular crystal grains such as cubic, 14-hedral or 8-hedral grains or tabular grains rather than spherical grains or polymorphic grains.
- the silver halide grains are preferably multi-layered grains having different crystal structures in the inside of the grain or near the surface thereof. Especially preferred are grains having a layered structure composed of different halogen compositions or grains having a silver bromide-locallized phase near the surface of the grain.
- the grains are core/shell grains, it is preferred that the silver chloride content in the core part is higher than that in the shell part.
- high silver chloride grains for use in the photographic material of the present invention are generally formed only in the form of cubic grains composed of (100) plane, but they may be obtained also in the form of 8-hedral grains having (111) plane or tabular grains, as the case may be, by any particular means.
- Preparation of 8-hedral grains having (111) plane is disclosed in JP-A-63-212932, JP-A-55-26589, Claes et al, Journal of Photographic Science, Vol. 21, page 39 (1973) and Wyrsh, International Congress of Photographic Science, III-13, page 122 (1978). The method described in JP-A-63-212932 is preferred.
- pages 2 to 6 is preferably added during formation of the grains, especially preferably during the step of growing the grains after formation of the core grains, thereby to control the crystal habit of the grains to be formed.
- X represents a divalent group, including an alkylene, arylene, alkenylene, -50 2 -, -SO-, -0-, -S-, -CO-or -NR 3 -
- R represents a hydrogen atom, an alkyl group, an aryl group or a heterocyclic group
- R 2 represents a hydroxyl group, an alkyl group, an aryl group, a heterocyclic group, an amino group, an alkoxy group or an arylthio group
- Y represents -CO- or -S0 2 -
- m represents 0 or 1
- R 3 represents a hydrogen atom, an alkyl group or an aryl group, and the groups may optionally be further substituted, as described in JP-A-63-41845
- the chloride concentration in the aqueous gelatin solution to be added during formation of the core grains is advantageously low, i.e., 0.15 mol/liter or less.
- the chloride concentration during the step of growing the grains is preferably 5 mol/liter or less, especially from 0.07 to 3 mol/liter.
- the silver chlorobromide grains for use in the photographic material (3) can be formed by growing grains after forming of core grains by adding silver ion and a chloride or bromide or a mixture thereof thereto preferably in the presence of the above-mentioned crystal habit-controlling compound.
- fine silver halide grains for example fine silver bromide grains or fine silver chloride grains or a mixture thereof may be blended with a silver chloride, silver bromide or silver chlorobromide emulsion.
- layer-structured grains or grains having an isolated and localized phase in the surface of the grain can be formed. Formation of the grains is preferably effected at 10 to 95 C, especially at 40 to 90 C.
- Suitable silver halide solvents which can be used in formation of the grains include thiocyanates, thioethers and thioureas. Ammonia may also be used in an amount which does not badly interfer with the formation of the grains.
- thiocyanates for example, those described in U.S. Patents 2,222,264, 2,448,534 and 3.320.069
- thioether compounds for example, those described in U.S. Patents 3,271,157, 3,574,628, 3,704.130, 4,297,439 and 4,276,34
- thione compounds for example, those described in JP-A-53-144319, JP-A-53-82408 and JP-A-55-77737
- amine compounds for example, those described in JP-A-10071
- a cadmium salt, a zinc salt, a lead salt, a thallium salt, an indium salt or a complex salt thereof, a rhodium salt or a complex salt thereof, or an iron salt or a complex salt thereof may be added.
- use of an iridium salt, rhodium salt, iron salt or complex salt thereof is preferred.
- a silver salt solution for example, aqueous AgN0 3 solution
- a halide solution for example, aqueous NaCl solution
- the addition speed, the amount of the solutions to be added and the concentration of the solutions are elevated so as to accelerate the speed of grain formation.
- the structure of the surface and near the surface of the high silver chloride grains of the present invention is important for the sensitivity, stability and reciprocity characteristics of the emulsions and for the stability of the latent images to be formed.
- the method of forming grains as well as CR-compounds (inhibitor for halogen conversion or chemical sensitization) described in Japanese Patent Application No.s 62-86252, 62-329265 and 62-152330 are preferably employed.
- the halide is preferably a halogen-donor which can control the feeding speed of chloride ion or bromide ion or control the amount of the ion to be fed.
- a silver bromide-locallized phase which has a silver bromide content different from the adjacent phase may be formed in the surface and/or near the surface of the silver halide grain.
- the high silver chloride emulsion of the photographic material contain silver halide grains having a diameter preferably of from 0.1 to 3 u. or so as the diameter of a circle corresponding to the projected area of the grain, in an amount of 50% or more of the total grains as the projected area thereof.
- the ratio of the circle-corresponding diameter to the grain thickness is preferably 2 or more, more preferably from 3 to 10, especially preferably from 5 to 8.
- the high silver chloride emulsion of the present invention is preferably a monodispersed emulsion, and the emulsion preferably has a dispersion coefficient of the circle-corresponding diameter (ratio of the standard deviation of the circle- corresponding diameter to the mean grain size) of 0.15 or less.
- Another characteristic feature of the present invention resides in the method of chemical sensitization of the silver halide grains.
- the emulsion containing high silver chloride grains having a localized phase is subjected to gold sensitization, especially to a combination of sulfur sensitization and gold sensitization, in the presence of a compound for controlling the chemical sensitization.
- This method is especially preferred to apply for production of the photographic material (3).
- the high silver chloride emulsion to be subjected to gold sensitization is especially a green-sensitive emulsion and a red-sensitive emulsion. Especially preferably, a red-sensitive emulsion is gold-sensitized.
- the conditions (e.g., pH, pAg, temperature, time) for gold sensitization for the emulsions of the present invention is not specifically limited, but the pH value is preferably from 3.0 to 8.5, especially from 5.0 to 7.5, the pAg value is preferably from 5.0 to 9.0, especially from 5.5 to 7.5, the temperature is preferably from 40 to 85 C, especially from 45 to 75' C, and the time is preferably from 10 to 200 minutes, especially from 30 to 120 minutes.
- Preferred gold sensitizer compounds include the compounds described in U.S. Patents 2,399,083, 2,540,085, 2,540,086 and 2,597,856.
- suitable compounds include chloroauric acid and salts thereof, potassium gold cyanide, potassium gold thiocyanate and gold sulfide.
- Suitable sulfur sensitizers which can be used in combination with the-gold sensitizers include, for example, thiosulfates, sulfinic acid salts, thioureas, thiazoles, rhodanines and other compounds described in U.S. Patents 1,574,944, 2,410,689, 2,728,668 and 3,656,955.
- sulfur-containing compounds described in U.S. Patents 3,857,711, 4,266,018 and 4,054,457 can also be used for the purpose.
- the amount of the gold sensitizer to be used in accordance with the present invention is from about 10- 8 mol to about 10- 5 mol per mol of silver halide and is selected so that it may elevate sensitivity with low fog. By combination with a chemical sensitization-inhibitor, it may be used in a relatively small amount to attain a high sensitivity with low fog. Use of the gold sensitizer in a relatively small amount in accordance with the intended sensitivity is preferred.
- an optimum amount may be selected in accordance with the grain size, temperature of chemical sensitization, and other conditions of pAg and pH.
- the sulfur sensitizer may be used in an amount of from 10- 7 to 10- 3 mol, preferably from 5x10 -7 to 10 -4 mol, more preferably from 5 x 10-7 to 10- 5 mol, per mol of silver halide.
- the chemical sensitization is preferably conducted in the presence of sulfur sensitizer and gold sensitizer in a ratio of at least 100/250 by mol%.
- the silver halide emulsion of the present invention can be processed with an oxidizing agent, after the formation of the grains. This method is discussed in JP-A-60-136736. Hydrogen peroxide can be used as the oxidizing agent.
- At least one compound represented by anyone of the following formulae (S-I) to (S-III) is preferably added to the high silver chloride emulsion for use in the present invention, especially when a gold sensitizer is used, to noticeably effectively inhibite fog formation. It may be added to the emulsion at any time in the step of forming grains, the step of desalting, the step of chemical-ripening or immediately before coating. Especially preferably, it is added in. the step of forming grains, desalting or chemical-ripening, and particularly before the addition of the gold sensitizer to the emulsion. Compounds containing a thiosulfonyl group of formulae (S-I), (S-II) and (S-III) are mentioned below. (S-I) Z-SO 2 S-M
- Z represents an alkyl group, an aryl group or a heterocyclic group, which are or are not further substituted.
- Y represents an atomic group necessary for forming an aromatic ring or hetero ring, which is or is not further substituted.
- M represents a metal atom or an organic cation.
- n represents an integer of from 2 to 10.
- Substituents for the alkyl group, aryl group, aromatic ring or heterocyclic ring include a lower alkyl group such as methyl or ethyl group, an aryl group such as phenyl group, an alkoxy group having from 1 to 8 carbon atoms, a halogen atom such as chlorine, a nitro group, an amino group and a carboxyl group.
- the alkyl group for Z has from 1 to 18 carbon atoms; and the aryl group and aromatic ring for Z and Y independently have of from 6 to 18 carbon atoms.
- the hetero ring represented by Z and that including Y include thiazole, benzothiazole, imidazole, benzimidazole and oxazole rings.
- M is a metal cation
- M preferably represents alkali metal cations such as sodium or potassium ion as well as organic cations such as ammonium or guanidinium ions.
- the compounds of the formulae (S-I), (S-II) and (S-III) can be used together with sulfites or sulfinic acid salts such as alkylsulfinic acid salts, arylsulfinic acid salts or heterocyclic sulfinic acid salts.
- the silver halide emulsion for use in the present invention is preferably physically ripened in the presence of a known silver halide solvent (for example, ammonia, potassium thiocyanate or thioether or thione compounds described in U.S. Patent 3,271,157 and JP-A-51-12360, JP-A-53-82408, JP-A-53-144319, JP-A-54-100717 and JP-A-54-155828), whereby it may be converted into a monodispersed silver halide emulsion having a regular crystal shape and a narrow grain size distribution.
- a known silver halide solvent for example, ammonia, potassium thiocyanate or thioether or thione compounds described in U.S. Patent 3,271,157 and JP-A-51-12360, JP-A-53-82408, JP-A-53-144319, JP-A-54-100717 and JP-A-54-155828
- the emulsion may be subjected to noodle washing, flocculation precipitation or ultrafiltration.
- the silver halide emulsion for use in the present invention can be chemically sensitized by sulfur sensitization, selenium sensitization, reduction sensitization and/or noble metal sensitization. Such chemical sensitization methods may be effected singly or in combination.
- the emulsion may be treated by a sulfur sensitization method using a sulfur-containing compound capable of reacting with active gelatin or silver ion (e.g., thiosulfates, thiourea compounds, mercapto compounds, rhodanine compounds), reduction sensitization method using a reducing substance (e.g., stannous salts, amines, hydrazine derivatives, foramidinesulfinic acids, silane compounds) and/or noble metal sensitization method using a metal compound (e.g., gold complexes or complexes of metals of VIII group of the Periodic Table such as Pt, Ir, Pd, Rh or Fe). These method can be used singly or in combination thereof.
- a monodispersed silver chlorobromide emulsion is preferably sensitized by sulfur sensitization or selenium sensitization, advantageously in the presence of a hydroxyazaindene compound.
- the monodispersed degree of the silver chlorobromide emulsion is preferably 0.15 or less, especially 0.1 or less, as the fluctuation coefficient thereof.
- Chemical sensitization of the silver halide emulsion for use in the present invention can be effected by the conventional methods mentioned above.
- the chemical sensitization of the emulsion is required to be properly controlled by providing the locallized phase on the base grain.
- Control methods described in EP 0273404, EP 0273429 and EP 0273430 may be employed.
- the method using CR-compounds is helpful (a CR-compound is used at. the final step of the grain formation to restrain the halogen conversion at the grain surface or is used to restrain chemical sensitization : see EP 273429 or EP 273430).
- the photographic materials of the present invention can contain various stabilizer compounds.
- various known stabilizer compounds include, for example, azoles such as benzothiazolium salts, nitroindazoles, triazoles, benzotriazoles, benzimidazoles (especially nitro- or halogen-substituted derivatives); heterocyclic mercapto compounds such as mercaptothiazoles, mercaptobenzothiazoles, mercaptobenzimidazoles, mercaptothiadiazoles, mercaptotetrazoles (especially 1-phenyl-5-mercaptotetrazole), mercapto pyrimidines; the above-mentioned heterocyclic mercapto compounds having a water-soluble group such as carboxyl group or sulfone group; thioketo compounds such as oxazolinethione; azaindenes such as tetraazaindenes (especially 4-hydroxy substituted (1,3,3a,7)tetraazainden
- conventional methine dyes can be used for spectral sensitization.
- Particular monomethine, trimethine or pentamethine dyes or merocyanine dyes as described in Japanese Patent Application Nos. 62-86252, 62-152330 and 62-329265 are advantageously adsorbed to the high silver chloride grains during the step of grain growth or the step of chemical sensitization thereof, as a chemical sensitization controlling agent.
- the dyes to be used for spectrally sensitizing the silver halaide emulsion for use in the present invention include cyanine dyes, merocyanine dyes, complex cyanine dyes, complex merocyanine dyes, holopolar cyanine dyes, hemicyanine dyes, styryl dyes and hemioxonole dyes. Cyanine dyes, merocyanine dyes and complex merocyanine dyes are especially useful. Any and every nuclei which are usually utilized for cyanine dyes as basic heterocyclic nuclei can be applied to these dyes.
- nuclei include pyrroline nuclei, oxazoline nuclei, thiazoline nuclei, pyrrole nuclei, oxazole nuclei, thiazole nuclei, selenazole nuclei, imidazole nuclei, tetrazole nuclei and pyridine nuclei; the nuclei obtained by fusing alicyclic hydrocarbon rings to these nuclei; and the nuclei obtained by fusing aromatic hydrocarbon rings to these nuclei, such as indolenine nuclei, benzindolenine nuclei, indole nuclei, benzoxadole nuclei, naphthoxazole nuclei, benzothiazole nuclei, naphthothiazole nuclei, benzoselenazole nuclei, benzimidazole nuclei and quinoline nuclei. These nuclei may be substituted on the carbon atom of the dye.
- 5-membered or 6-membered heterocyclic nuclei can be applied to the merocyanine dyes or complex merocyanine dyes.
- Suitable heterocyclic nuclei include pyrazolin-5-one nuclei, thiohydantoin nuclei, 2-thiooxazolidine-2,4-dione nuclei, thiazolidine-2,4-dione nuclei, rhodanine nuclei and thiobarbituric acid nuclei, as nuclei having a ketomethylene structure.
- Specific examples of such spectral sensitizing dyes include the compounds of the formulae (llla), (Illb) and (Illc) described in Japanese Patent Application No. 62-227338.
- the amount of the dye to be added may be from 1 x 10- 6 to 8x 1 0-3 mol per mol of silver halide in the emulsion layer.
- the amount may be more effectively from about 5x10 15 to 2x10- 3 mol per mol of the silver halide.
- the tabular silver halide emulsion is preferred to be spectrally sensitized in a blue range and used in the blue-sensitive emulsion layer.
- Spectral sensitization in a blue range means that the emulsion contains a spectrally sensitizing dye which may give at least one absorption peak in the range of from 400 to 500 nm, preferably from 430 to 490 nm, more preferably from 445 to 490 nm, when adsorbed to the emulsion grains.
- spectrally sensitizing dye include the compounds of the formulae (Illa) and (Illc) where n 31 is 0 (zero) described in Japanese Patent Application No. 62-227338.
- the compounds include the compounds (111-1) to (III-8) and (III-29) to (III-32) described in Application No. 62-227338.
- High silver chloride-tabular grains formed in the presence of such dyes are preferably used in the present invention.
- High silver chloride-tabular grains formed in the presence of the dye can be confirmed by the spectral sensitivity distribution of the grains.
- the resulting emulsion may give a sharp J-band for the methine dyes of the formulae (Illa) and (Illb), or the resulting emulsion may give a sharp monomer band (M-band) for the merocyanine dyes of the formula (Illc).
- the emulsion formed in the presence of the dye may give a sharp spectral sensitivity distribution.
- the spectral sensitizing dyes can be used singly or in combination. They are preferably used in combination with supersensitizers.
- aminostilbene compounds e.g., those described in U.S. Patents 2,933,390, 3,635,721, 3,615,613, 3,615,641, 3,617,295 and 3,635,721, and JP-A-63-239449 as well as aromatic or heterocyclic mercapto compounds are preferably used as supersensitizers for the high silver chloride emulsion.
- sensitizing dyes having a reduction potential of -1.27 (V. vs SCE) or a value more anodic than the value are preferred since they give excellent sensitivity and high stability of sensitivity and latent images.
- V. vs SCE reduction potential of -1.27
- a value more anodic than the value are preferred since they give excellent sensitivity and high stability of sensitivity and latent images.
- pentamethinecyanine dyes having a ring-condensed structure via one or more methine chains as conjugated between nitrogen atoms 4-quinoline nucleus-having trimethine- cyanine dyes, as well as tetramethine-merocyanine dyes and 4-quionoline nucleus-having dimethinemerocyanine dyes are preferred.
- Determination of reduction potential of the dyes can be effected by phase differentiation secondary higher harmonics alternate current polarography, where a dropping mercury electrode is used as the working electrode, a saturated calomel electrode as the reference electrode and a platinum as the counter electrode.
- a dropping mercury electrode is used as the working electrode
- a saturated calomel electrode as the reference electrode
- a platinum as the counter electrode.
- hydroquinone, catechol, aminophenol, silver halide-adsorbing formylhydrazine compounds or derivatives thereof are preferably used in combination. The details of the formhydrazine compounds are described in Japanese Patent Application No. 63-97905.
- the high silver chloride emulsion used in the present invention has a lower intrinsic sensitivity in a visible ray range than any other high silver bromide emulsion.
- the high silver chloride emulsion has a silver chloride content of 80 mol% or more, it may achieve the sensitivity substantially by spectral sensitization.
- the spectral sensitivity in the blue wavelength of the silver halide emulsion of the present invention is not mixed with the green-spectral sensitivity or red-spectral sensitivity, a method with ease of elevating the intrinsic sensitivity of the silver halide emulsion to substantially elevate the spectral sensitivity thereof, may be necessary.
- a compound having a mercapto group may preferably be added to the silver halide emulsion of the present invention, whereby fog of the photographic material may be reduced, storage stability of the raw film may be improved and the storage stability of the emulsion coating composition before preparation of photographic materials may be improved.
- tetrazaindenes are generally used, and it has heretofore been considered that mercapto-containing compounds should be added only in an extremely small amount (only in a determined amount) for this purpose.
- the mercapto compounds would be ineffective in an amount lower than the optimum range while they would noticeably cause desensitization when used in an amount higher than the optimum range.
- the addition of the mercapto compounds, which have heretofore been considered to have a strong adverse effect, to the emulsion of the photographic material (3) is preferred for the above-mentioned purpose, and the mercapto compounds do not cause desensitization and inhibition of development.
- the compounds may be used together with sensitizing dyes to attain supersensitization.
- Mercapto-containing compounds which are preferably used in the present invention are represented by the following general formula (S): wherein M 1 represents a hydrogen atom, a cation or a protective group for mercapto group which may be cleaved by the action of an alkali; and Zi represents an atomic group necessary for forming a 5-membered or 6-membered hetero-ring.
- the hetero-ring may have substituent(s) or may also be condensed.
- M 1 represents a hydrogen atom, a cation (for example, sodium ion, potassium ion, ammonium ion) or a protective group for mercapto group which may be cleaved by the action of an alkali (for example, -COR , -COOR or -CH 2 CH 2 COR , in which R represents a hydrogen atom, an alkyl group, an aralkyl group or an aryl group).
- a cation for example, sodium ion, potassium ion, ammonium ion
- a protective group for mercapto group which may be cleaved by the action of an alkali (for example, -COR , -COOR or -CH 2 CH 2 COR , in which R represents a hydrogen atom, an alkyl group, an aralkyl group or an aryl group).
- Z 1 represents an atomic group necessary for forming a 5-membered or 6-membered hetero-ring.
- the hetero-ring contains sulfur, selenium, nitrogen and/or oxygen atoms as a hetero atom, and this may be condensed and does or does not have substituent(s) on the hetero-ring or condensed-ring.
- hetero-ring including Z examples include tetrazole, triazole, imidazole, oxazole, thiadiazole, pyridine, pyrimidine, triazine, azabenzimidazole, purine, tetrazaindene, triazaindene, pentazaindene, benzotriazole, benzimidazole, benzoxazole, benzothiazole, benzoselenazole and naphthoimidazole.
- Suitable substituents for the rings include an alkyl group (e.g., methyl, ethyl, n-hexyl, hydroxyethyl, carboxyethyl), an alkenyl group (e.g., allyi), an aralkyl group (e.g., benzyl, phenethyl), an aryl group (e.g., phenyl, naphthyl, p-acetamidophenyl, p-carboxyphenyl, m-hydroxyphenyl, p-sulfamoylphenyl, p-acetylphenyl, o-methoxyphenyl, 2,4-diethylaminophenyl, 2,4-dichlorophenyl), an alkylthio group (e.g., methylthio, ethylthio, n-butylthio), an arylthio group (e.g., pheny
- the amount of the mercapto-containing compound to be added is preferably 10- 3 mol or less, per mol of silver halide.
- mercapto group-having nitrogen-containing heterocyclic compounds which may be applied to the present invention include (A-374) to (A-827) described in JP-A-62-215272, pages 51 to 68.
- the color couplers for use in the present invention are required to satisfy the general requirements for forming dyes having a sufficient color hue and a high extinction coefficient and are additionally required to have sufficiently high activity to maintain a sufficient coupling coloring reaction with the oxidation product of a color developing agent such as paraphenylenediamine derivatives, since the developing speed of the emulsion of the present invention is high.
- a color developing agent such as paraphenylenediamine derivatives
- R 1 , R 4 and Rs each represent an aliphatic group, an aromatic group, a heterocyclic group, an aromatic amino group or a heterocyclic amino group;
- R 2 and R 3 , and R s and R 6 may be bonded to each other to form a 5-, 6- or 7-membered ring.
- R i , R 2 , R 3 or Y 1 ; R 4 , R s , R 6 or Y 2 ; R 7 R s Rg or Y 3 ; R io , Za, Zb or Y 4 ; and Q or Y s may form a dimer or a higher polymer.
- Rs and R 6 are preferably be bonded to each other to form a 5-membered ring to give oxyindole or indazolin-2-one cyan couplers.
- R 1 , R 2 , R 3 , R 4 , Rs, R 6 , R 7 , R s , Rg, R io , Za, Zb, Q 1 , Y i , Y 2 , Y 3 and Y 4 in formulae (Cup-1), (Cup-2), (Cup-3), (Cup-4) and (Cup-5) are same as those in formulae (I), (II), (III), (IV) and (V) mentioned in JP-A-63-11939, pages 4 to 24.
- color couplers include compounds (C-1) to (C-40), (M-1) to (M-42) and (Y-1) to (Y-46) described in JP-A-63-11939, pages 11 to 24.
- the standard amount of the color coupler to be used is from 0.001 to 1 mol per mol of the light-sensitive silver halide. Preferably, it is from 0.01 to 0.5 mol for yellow couplers, from 0.003 to 0.3 mol for magenta couplers, and from 0.002 to 0.3 mol for cyan couplers.
- the preferred total amount of the silver halide in the material is from 0.1 g/m 2 to 1.5 g/m 2.
- the color coupler can be incorporated into the emulsion layer, as dispersed in the layer together with at least one high boiling point organic solvent.
- the solvents preferably have a boiling point higher than 150 C, and more preferably higehr than 170 C.
- high boiling point solvents as represented by the following general formulae (A) to (E) are used for the purpose.
- W 2 and W 3 each represent a substituted or unsubstituted alkyl, cycloalkyl alkenyl, aryl or heterocyclic group;
- W 1 and W 2 may form a condensed ring.
- the photographic material of the present invention can contain, as a color-fogging inhibitor or a color mixing preventing agent, hydroquionone derivatives, aminophenol derivatives, amines, gallic acid derivatives, catechol derivatives, ascorbic acid derivatives, colorless couplers and sulfonamidophenol derivatives.
- the photographic material 'of the present invention can contain a known anti-fading agent.
- organic anti-fading agents which can be used in the present invention include hindered phenols such as hydroquinones, 6-hydroxychromans, 5-hydroxycoumarans, spirochromans, p-alkoxyphenols and bisphenols, as well as gallic acid derivatives, dioxyphenylmethylenes, aminophenols and hindered amines and ether and ester derivatives of the compounds obtained by silylating or alkylating the phenolic hydroxyl group of the compound.
- metal complexes such as (bis-salicylaldoximato)nickel complexes and (bis-N,N-dialkyldithiocarbamato)nickel complexes may also be used.
- Image stabilizers described in JPA-59-125732 are advantageous for the stabilization of magenta images formed from pyrazolotriazole magenta couplers.
- benzotriazole ultraviolet absorbents are preferably used.
- the ultraviolet absorbents can be co-emulsified with the cyan couplers.
- the amount of the ultraviolet absorbent to be used is an amount that is sufficient for imparting light stability to the cyan dye images. If the absorbent is used in too large amount, it will cause yellowing in the non-exposed area (white background area) of the color photographic material. Accordingly, the amount is generally determined to fall within the range of from 1 ⁇ 10 ⁇ mol/m 2 to 2x 10- 3 mol/m 2 , especially from 5xlO- 4 mol/m 2 to 1.5x10- 3 mol/m 2 .
- any one of the both layers adjacent to the cyan coupler-containing red-sensitive emulsion layer contains an ultraviolet absorbent.
- the ultraviolet absorbent When the ultraviolet absorbent is incorporated into the interlayer between the green-sensitive layer and the red-sensitive layer, it may be co-emulsified with a color mixing preventing agent.
- another protective layer When the ultraviolet absorbent is added to the protective layer, another protective layer may be formed thereover as an outermost layer.
- the outermost protective layer may contain a mat agent having any desired grain size or a latex having a different grain size in combination.
- the photographic material of the present invention can contain an ultraviolet absorbent in the hydrophilic colloid layer.
- the photographic material of the present invention can further contain other various compounds, including stabilizers, stain inhibitors, developing agents or precursors thereof, development accelerators or precursors thereof, lubricants, mordant agents, mat agents, antistatic agents, plasticizers, as well as other additives which are useful for photographic materials.
- additives include stabilizers, stain inhibitors, developing agents or precursors thereof, development accelerators or precursors thereof, lubricants, mordant agents, mat agents, antistatic agents, plasticizers, as well as other additives which are useful for photographic materials.
- Specific examples of such additives are described in Research Disclosure, Item 17643 (December 1978) and ibid., Item 18716 (November 1979).
- the photographic material of the present invention can contain a brightening agent of stilbene, triazine, oxazole or coumarin compounds, in the photographic emulsion layers or in any other hydrophilic colloid layers.
- a brightening agent of stilbene, triazine, oxazole or coumarin compounds in the photographic emulsion layers or in any other hydrophilic colloid layers.
- Water-soluble compounds can be used, or water-insoluble compounds can also be used in the form of a dispersion, as brightening agents.
- the color photographic material of the present invention preferably has a yellow coupler-containing blue-sensitive silver halide light-sensitive layer, a magenta coupler-containing green-sensitive silver halide light-sensitive layer and a cyan coupler-containing red-sensitive silver halide light-sensitive layer formed on a support, and the order of the layers on the support may freely be varied in accordance with the object. Since the high silver chloride silver halide has only a slight intrinsic sensitivity in the blue-sensitive wavelength range (400 to 500 nm), the order of the layers on the support may be easily varied. For instance, red-sensitive layers, green-sensitive layers and blue-sensitive layers may be formed on a support in this order, or alternatively, a blue-sensitive layer, a red-sensitive layer and a green-sensitive layer may be formed thereon in this order.
- the color sensitivity of the respective light-sensitive layers of the color photographic material of the present invention is selected in accordance with the light source for scanning exposure to be employed for the material, and the material is preferably exposed through the respective color separation filters. For instance, a combination of blue-sensitive, green-sensitive and red-sensitive layers or a combination of green-sensitive, red-sensitive and infrared-sensitive layers are'mentioned.
- the color photographic materials (1) and (3) of the present invention are also preferably exposed by scanning exposure and then processed for color development.
- the sensitizing dye for use in the present invention is preferably added during the step of chemical sensitization or before the same, or during the formation of the silver halide grains or after the formation of the same.
- the silver chlorobromide emulsion for use in the present invention contains high silver chloride-tabular grains as in the photographic material (3), selection of the time of adding the dye is extremely important. Addition of the dye is to be effected prior to completion of formation of the silver halide precipitate, but the following method may also be employed. Generally, the dye is added after completion of the chemical sensitization but prior to coating. However, the dye may be added together with the chemical sensitizer for simultaneous spectral sensitization and chemical sensitization, as described in U.S. Patents 3,628,969 and 4,225,666. Alternatively, the dye may be added prior to chemical sensitization, as described in JP-A-58-113298.
- the dye may be divided into parts, and a part thereof may be added prior to chemical sensitization and the remaining part thereof may be added after chemical sensitization, which is taught in U.S. Patent 4,225,666.
- the method as taught in U.S. Patent 4,183,756 may also be applied to the present invention.
- the dye may be added to the silver halide grains in any stage of grain formation.
- the cationic polymer for use in the present invention acts to capture the iodide ion to be dissolved out from the photographic material during development or fixation thereof, thereby to accelerate development processing speed.
- the polymer acts to capture the bromide ion to be dissolved out from the photographic material during development processing thereof or the bromide ion as existing in the developer or to be carried thereinto from the outside, thereby to stabilize the color developing processing and to elevate the development processing speed.
- the polymer noticeably acts to inhibit fluctuation of the photographic property of the photographic material processed under variable processing conditions. In particular, the stability of the gradation of the toe or shoulder in the characteristic curve can be improved by the action of the polymer.
- the said effect of the polymer is especially noticeable when a high silver chloride emulsion having a locallized silver bromide phase on the surface of the grain (preferably, silver chlorobromide emulsion having AgCI content of 98 mol% or more) is used and the photographic material is rapidly processed at a higher temperature.
- the photographic material of the present invention when the total amount of the silver halide is reduced to 0.9 g/m 2 or less, preferably 0.7 g/m 2 or less (not less than 0.4 g/m 2 ) as silver, or when the light transmittance of the material is elevated by properly selecting the size and the shape of the silver halide grains, the improved image sharpness and color reproducibility due to the provision of the polymer-containing colored layer is more noticeable.
- the color photographic materials of the present invention generally contains yellow couplers, magenta couplers and cyan couplers which may form yellow, magenta and cyan colors, respectively, by coupling with the oxidation product of an aromatic amine color developing agent.
- Preferred yellow couplers for use in the present invention include acylacetamide derivatives such as benzoylacetanilide or pivaloylacetanilide.
- X represents a hydrogen atom or a coupling-releasing group
- R 21 represents a non-diffusive group having a total carbon number of from 8 to 32
- R 22 represents a halogen atom, a lower alkyl group, a lower alkoxy group or a non-diffusive group having a total carbon number of from 8 to 32
- R 23 represents a substituent
- n and n represent 0 or an integer of from 1 to 4
- n represents 0 or an integer of from 1 to 5.
- R24 represents a halogen atom, an alkoxy group, a trifluoromethyl group or an aryl group
- R 25 represents a hydrogen atom, a halogen atom or an alkoxy group
- R 26 represents -NHCOR 27 , -NHS0 2 R 27 , -S0 2 NHR 27 , -COOR 27 , and (wherein R 27 and R 28 each represents an alkyl group, an aryl group or an acyl group).
- pivaloylacetanilide yellow couplers include compounds (Y-1) to (Y-39) described in the aforesaid U.S. Patent 4,622,287, columns 37 to-54. Above all, compounds (Y-1), (Y-4), (Y-6), (Y-7), (Y-15), (Y-21), (Y-22), (Y-23), (Y-26), (Y-35), (Y-36), (Y-37), (Y-38) and (Y-39) are especially preferred.
- Couplers include compound (34) described in U.S. Patent 3,408,194, column 6, compounds (16) and (19) described in U.S. Patent 3,933,501, column 8, compound (9) described in U.S. Patent 4,046,575, columns 7 to 8, compound (1) described in U.S. Patent 4,133,958, columns 5 to 6, compound (1) described in U.S. Patent 4,401,752, column 5, and compounds (a) to (g) described in Japanese Patent Application No. 62-263318, pages 29 to 30.
- Suitable magenta couplers for use in the present invention include oil-protect type indazolone or cyanoacetyl couplers, preferably 5-pyrazolone or pyrazoloazole couplers such as pyrazolotriazoles.
- 5-pyrazolone couplers wherein the 3-position is substituted by an arylamino or acylamino group are preferred from the view point of the hue and the density of the dyes to be formed therefrom.
- Specific examples of such couplers are described in U.S. Patents 2,311,082, 2,343,703, 2,600,788, 2,908,573, 3,062,653, 3,152,896 and 3,936,015.
- Preferred releasing groups in 2-equivalent 5-pyrazolone couplers include the nitrogen atom-releasing groups described in U.S. Patent 4,310,619 and the arylthio groups described in U.S. Patent 4,351,897. Ballast group-having 5-pyrazolone couplers described in European Patent 73,636 are preferred as giving a high color density.
- Suitable pyrazoloazole couplers include pyrazolobenzimidazoles described in U.S. Patent 3,369,879, preferably pyrazolo[5,1-c][1,2,4]triazoles described in U.S. Patent 3,725,067, pyrazolotetrazoles described in Research Disclosure, Item 24220 (June, 1985) and pyrazolopyrazoles described in Research Disclosure, Item 24230 (June, 1984).
- the above-mentioned couplers may all be in the form of polymer couplers.
- R 3 represents a non-diffusive group having a total carbon number of from 8 to 32;
- R 32 represents a phenyl group or a substituted phenyl group.
- R 33 represents a hydrogen atom or a substituent.
- Z represents a non-metallic atomic group necessary for forming a 5-membered azole ring containing from 2 to 4 nitrogen atoms, and the azole ring may have substituent(s) including condensed ring-(s).
- X 2 represents a hydrogen atom or a releasing group.
- p ⁇ razoloazole couplers preferred are the imidazo[1,2-b]pyrazoles described in U.S. Patent 4,500,630 because of the small yellow side-absorption of the dye formed and the high light-fastness thereof.
- pyrazolo[1,5-b][1,2,4]triazoles described in U.S. Patent 4,540,654 are especially preferred.
- pyrazolotriazole couplers where a branched alkyl group is directly bonded to the 2-, 3- or 6- position of the pyrazolotriazole ring described in JP-A-61-65245; pyrazoloazole couplers containing a sulfonamido group in the molecule described in JP-A-61-65246; pyrazoloazole couplers having an alkox- yphenylsulfonamido ballast group described in JP-A-61-147254; and pyrazolotriazole couplers having an alkoxy group or an aryloxy group in the 6-position described in European Patent 226,849 are also preferably used in the present invention.
- Typical cyan couplers for use in the present invention include phenol cyan couplers and naphthol cyan couplers.
- Suitable phenol couplers include phenol compounds (including polymer couplers) having an acylamino group in the 2-position of the phenol nucleus and an alkyl group in the 5-position thereof described in U.S. Patents 2,369,929, 4,518,687, 4,511,647 and 3,772,002.
- Typical examples of such compounds include the coupler of Example 2 of Canadian Patent 625,822, compound (1) described in U.S. Patent 3,772.002, compounds (1-4) and (1-5) described in U.S. Patent 4,564,590, compounds (1), (2), (3) and (24) described in JP-A-61-39045, and compound (C-2) described in JP-A-62-70846.
- Phenol cyan couplers include 2,5-diacylaminophenol couplers described in U.S. Patents 2,772,162, 2,895.826, 4,334,011 and 4,500,653 and JP-A-59-164555. Specific examples of such couplers include compound (V) described in U.S. Patent 2,895,826, compound (17) described in U.S. Patent 4,557,999, compounds (2) and (12) described in U.S. Patent 4,565,777, compound (4) described in U.S. Patent 4,124.396 and compound (1-19) described in U.S. Patent 4,613,564.
- Suitable phenol cyan couplers include condensed phenol couplers where a nitrogen-containing heterocyclic ring has been condensed to the phenol nucleus described in U.S. Patents 4,327,173, 4,564,586 and 4,430,423, JP-A-61-390441 and JP-A-62-257158.
- Specific examples of such couplers include couplers (1) and (3) described in U.S. Patent 4,327,173, compounds (3) and (16) described in U.S. Patent 4,564,586, compounds (1) and (3) described in U.S. Patent 4,430,423 and the following compounds.
- phenol cyan couplers for use in the present invention include ureido couplers described in U.S. Patents 4,333,999, 4,451,559, 4,444,872, 4,427,767 and 4,579,813 and European Patent 067,689 B1.
- couplers include coupler (7) described in U.S. Patent 4,333,999, coupler (1) described in U.S. Patent 4,451,559, coupler (14) described in U.S. Patent 4,444,872, coupler (3) described in U.S. Patent 4,427,767, couplers (6) and (24) described in U.S. Patent 4,609,619, couplers (1) and (11) described in U.S. Patent 4,579,813, couplers (45) and (50) described in European Patent 067,689 81, and coupler (3) described in JP-A-61-42658.
- Suitable naphthol cyan couplers for use in the present invention include naphthol compounds having an N-alkyl-N-arylcarbamoyl group at the 2-position of the naphthol nucleus (for example, those described in U.S. Patent 2,313,586), those having an alkylcarbamoyl group at the 2-position (for example, those described in U.S.
- Patents 2,474,293 and 4,282,312 those having an arylcarbamoyl group at the 2-position (for example, those described in JP-B-50-14523), those having a carbonamido or sulfonamido group at the 5-position (for example, those described in JP-A-60-237448, JP-A-61-145557, JP-A-61-153640), those having an aryloxy- releasing group (for example, those described in U.S. Patent 3,476,563), those having a. substituted alkoxy-releasing group (for example, those described in U.S. Patent 4,296,199), and those having a glycolic acid-releasing group (for example, those described in JP-B-60-39217).
- arylcarbamoyl group at the 2-position for example, those described in JP-B-50-14523
- carbonamido or sulfonamido group at the 5-position for example, those described in JP-A-60-23
- Diphenylimidazole cyan couplers described in European Patent 0,249,453 A2 can also be used in the present invention singly or in combination with the aforesaid cyan couplers.
- the photographic materials of the present invention can contain hydroquinone derivatives, aminophenol derivatives, gallic acid derivatives and ascorbic acid derivatives as color-fogging inhibitors.
- catechol derivatives for example, those described in JP-A-59-125732 and JP-A-60-262159, as color image stabilizers.
- the photographic materials of the present invention can contain an ultraviolet absorbent in the hydrophilic colloid layer.
- an ultraviolet absorbent for instance, aryl group-substituted benzotriazole compounds (for example, those described in U.S. Patent 3,533,794), 4-thiazolidone compounds (for example, those described in U.S. Patents 3,314,794 and 3,352,681), benzophenone compounds (for example, those described in JP-A-46-2784), cinnamic acid ester compounds (for example, those described in U.S. Patents 3,705,805 and 3,707,375), butadiene compounds (for example, those described in U.S. Patent 4,045,229) or benzoxidol compounds (for example, those described in U.S.
- Patent 3,700,455 can be used for this purpose.
- Ultraviolet-absorbing couplers for example, a-naphthol cyan dye-forming couplers
- ultraviolet-absorbing polymers may also be used.
- the ultraviolet absorbent can be mordanted in a particular layer.
- the color photographic material of the present invention has plural layers of a subbing layer, at least three silver halide light-sensitive layers, an interlayer, ultraviolet absorbing layer and protective layer, coated on the reflective support, and therefore the improved effect of the antihalation layer is noticeable.
- the cationic polymer-containing layer can be provided without layer condition problems by forming the interlayer (substantially not containing light-sensitive silver halide grains) adjacent to the polymer-containing layer.
- an interlayer not containing light-sensitive silver halide grains is preferably provided between the two layers.
- the interlayer comprises a hydrophilic colloid which may contain a color mixing inhibiting agent, an ultraviolet absorbing agent, a coupler for preventing color mixing, a stain inhibiting agent, a polymer latex and/or a dye.
- the thickness of the interlayer is preferably from 0.1 IJ.m to 3 ⁇ m, and more preferably from 0.1 um to 2 u.m.
- the photographic material of the present invention can contain, if desired, various surfactants as coating aids, an emulsifying and dispersing agent or an anti-blocking agent to improve photographic properties (for example, acceleration of developability, elevation of contrast and elevation of sensitivity) and static charge prevention and improvement of slide properties.
- various surfactants as coating aids, an emulsifying and dispersing agent or an anti-blocking agent to improve photographic properties (for example, acceleration of developability, elevation of contrast and elevation of sensitivity) and static charge prevention and improvement of slide properties.
- such surfactants include non-ionic surfactants, for example, saponins (steroid type), alkyleneoxide derivatives (e.g., polyethylene glycol, polyethylene glycol/polypropylene glycol condensed product, polyethylene glycol alkylethers or polyethylene glycol alkylarylethers, polyethylene glycol esters, polyethylene glycol sorbitan esters, polyalkylene glycol alkylamides or amides, siliconepolyethyleneoxide adducts), glycidol derivatives (e.g., alkenylsuccinic acid polyglyceride, alkylphenol polyglyceride), fatty acid esters of polyhydric alcohols, and alkyl esters of saccharides; anionic surfactants containing an acid group such as a carboxyl, sulfo, phospho, sulfate or phosphate group, for example, alkylcarboxylic acid salts, alkylsulfonic acid salts,
- combinations of the cationic polymer dispersion of the present invention and the above-mentioned cationic surfactants are effective for improving layer properties, film quality and adhesiveness to the adjacent iayer.
- the color photographic materials of the present invention can contain various other additives. Additives which can be used in the present invention are described in Research Disclosure, Item 17643 (December, 1978) and Item 18716 (November, 1979). The relevant parts of the foregoing references are discussed below.
- the present invention is suited for color photographic materials, especially printing color photographic materials.
- a color developer is used for development of the photographic materials of the present invention.
- the color developer for use in the present invention is preferably an alkaline aqueous solution comprising essentially of an aromatic primary amine color developing agent.
- color developing agents for the developer are phenylenediamine compounds, although aminophenol compounds are useful.
- the compounds include 3-methyl-4-amino-N,N-diethylaniline, 3-methyl-4-amino-N-ethyl-N-,8-hydroxyethylaniline, 3-methyl-4-amino-N-ethyl-N-e-methanesulfonamidoethyl-aniline, 3-methyl-4-amino-N-ethyl-N-p-methoxyethylaniline and sulfates, hydrochlorides and p-toluenesulfonates thereof. Two or more of these compounds may be used in combination, in accordance with the object thereof.
- “Scanning exposure system” as referred to herein means an image exposure performed by a scanning system.
- a “Scanning system” means a system of restructuring an image to be reproduced on a plane by combining image elements as resolved in accordance with a determined rule into a time-dependent sequence in accordance with a reversely determined rule. Details of the system are described in, for example, Image Electronics Handbook (edited by Image Electronics Association of Japan), Introduction, 3rd Chap., pages 45 to 55.
- a laser ray, CRT or LED (luminescence emitting diode) can be used for image exposure.
- the color photographic paper has at least three silver halide light-sensitive layers on a support, such as, the photographic material (3), and the emitted wavelength of maximum strength from CRT is matched with the respective maximum wavelength of the different spectral sensitivity of each silver halide compound in the layers, in scanning exposure of the paper.
- a support such as, the photographic material (3)
- the emitted wavelength of maximum strength from CRT is matched with the respective maximum wavelength of the different spectral sensitivity of each silver halide compound in the layers, in scanning exposure of the paper.
- at least three laser rays selected from He-Cd laser, Ar-gas laser, He-Ne gas laser and GaAs, GaAsxPrx, InP and the like semiconductor lasers are preferably used.
- a sufficiently high quantity of light can be obtained from CRT of a relatively low output.
- the apparatus for the system is compact and inexpensive.
- a high quality color CRT and black-and-white CRT are advan- tageougly used.
- a suitable CRT has a high resolving power, having little strain, being able to obtain a picture on the whole fluorescent surface and has little spot halo.
- a black-and-white CRT which has a fluorescent body capable of emitting in blue, green and red wavelength ranges so as to elevate the density of the image elements, is especially preferred.
- image elements are inputted from a memory means of already inputted digital information, for example, a floppy disk, or are directly inputted without such means and the thus inputted information is displayed on a black-and-white CRT as photographic images, CG images, line images and/or character images, whereupon the images are formed on the surface of the light-sensitive layer of a color photographic paper via an optical lens and a shutter through blue, green and red filters in order.
- the fluorescent body to be used is one which intensely emits fluorescent light under high voltage and high current density conditions and which has excellent current saturation characteristics and temperature stability.
- the fluorescent body can be selected from those used for projection tubes. Suitable industrially stable available fluorescent bodies which can be employed in the present invention include, Y 2 0 3 :Eu and Y 2 0 2 S:Eu for red, Zn z Si0 4 :Mn and Gd 2 0 2 S:Tb, in particular, Y 2 SiGeOs:Tb and Y 2 AisOi 2 :Tb for blue, and ZnS:Ag and CI or ZnS:Ag or AI or blue.
- the exposure time for the respective blue image, green image and red image obtainable through the blue, green and red filters is inversely proportional to the spectral sensitivity of the respective light-sensitive layers of the color photographic paper by high-intensity and short-time multi-exposure.
- the number of image elements is generally from about (500 to 1000) x (500 to 1500)
- the emitting time for one image element is from about 1 x 1 0-3 to 1 X 10- 7 second
- from 10 to 100 emissions are effected for one exposure to the respective light-sensitive layers.
- the beam diameter of the emission for one image element is from about 20 to 100 u..
- Exposure may also be effected by the use of the abovesaid FOT or CRT.
- a particular means for color separation between blue, green and red colors for example, a liquid crystal filter can be used for contact exposure.
- FIG. 1 A flow sheet illustarting a process for forming prints by a CRT exposure system of the present invention is illustrated in Fig. 1.
- Character image-inputting means (12) is composed of a console having a CRT and a keyboard. Character information is inputted by operating the keyboard and watching the CRT. The inputted character information can be memorized in a memory medium (for example, a floppy disk). Initiation of CRT exposure can be indicated by the means (12).
- Figure image-inputting means (13) comprises a digitizer, by which line images and computer graphics (CG) images can be inputted. The data of the inputted figure images can be memorized in a floppy disk. Initiation of CRT exposure can be indicated by means (13).
- a photographic image may be exposed by a separate photographic image-exposing system, or alternatively, information or a photographic image inputted by an electronic steel camera can be inputted by means of a digitizer.
- Picture-synthesizing means (11) is composed of a microcomputer, where the data is read out in a determined order from the portrait image-inputting means (10), character image-inputting means (12) and/or figure image-inputting means (13) and they are laid out in a determined position and are thereafter inputted into the CRT controller (14).
- the CRT controller (14) functions to control the color monitor (15) and the black-and-white CRT (16) for exposure.
- the synthesized image date is outputted in only the color monitor (15) and a positive image is displayed on the display surface.
- the synthesized image is reversed to a negative image and outputted to the black-and-white CRT (16). Then, electron beams are shifted to the direction opposite to the normal direction so that the synthesized image is reversed (turned right to left).
- the black-and-white CRT image is inserted by synchronizing optical filters B, G and R with the emission on the black-and-white CRT display surface through optical lens (18), whereupon the filters are also synchronized with shutter (17). Accordingly, the color photographic paper (19) is printed for a determined period of time by a three-color face-ordered exposure system. Afterwards, the thus printed paper is subjected to a determined color development process through the photographic processing device (20).
- the fluorescent body used for the black-and-white CRT is one having a wavelength of maximum luminance which corresponds to the main wavelength of the spectral sensitivity of the respective three light-sensitive layers of the color photographic paper to be processed.
- the fluorescent body also has a short afterimage time or has no afterimage and has a small flare on the display surface.
- a CRT exposure system can be combined with a photographic exposure system to give synthesized images comprising photographic picture images and CG images, line images and character images.
- the luminous flux as emitted from image elements by the fluorescent body on the CRT surface is hardly focused.
- the color photographic paper to be employed in the system has plural light-sensitive layers on a reflective support, the layers each containing a dispersion of different couplers and silver halide grains.
- the degree of diffusion of the luminous flux to be emitted from the image elements of CRT frequently differs in the respective light-sensitive layers.
- Japanese letters have more edges and thinner lines than alphabet letters so that the reproduction of the former letters is generally difficult. Accordingly, a special means is required for elevating the resolving power and edge contrast and for inhibiting color bleeding in the edges of letters, in the reproduction of Japanese letters.
- the color photographic paper of the present invention has been improved in the point of the said requirements.
- the color photographic paper of the present invention is therefore especially suited for use in cards and post cards.
- the support of the paper ipreferably has a thickness of from about 50 n to about 200u..
- the color photographic paper preferably has a support having a smaller thickness than that of conventional color photographic paper.
- the total thickness of the support is 220 u. or more, as the paper may have an increased whiteness and is free from color transference from the substrate paper, and additionally it may have improved image sharpness.
- the paper When a post card is prepared from the printed image of the photographic paper of the present invention, the paper preferably has a conventional support having a thickness of 220 a or less.
- the post card print preferably has a weight of 6 g or less, a length of from 140 to 150 mm and a width of from 90 to 100 mm.
- a print obtained from the color photographic paper of the present invention is cut to have a weight of 6 g or less, and it is attached to a post card support with an adhesive. The thus attached sheet may be cut into a determined size for the post card.
- a seal print may also be obtained from the color photographic paper of the present invention, for example, in accordance with the techniques of Japanese Patent Application Nos. 61-231481 and 62-4765.
- the color photographic paper of the present invention may also be processed into cards, in accordance with the technique described in, for example, JP-A-62-58248.
- the color developer generally contains a pH buffer such as alkali metal carbonates, borates or phosphates, and development inhibitors or an anti-foggants such as bromides, iodides, benzimidazoles, benzothiazoles or mercapto compounds.
- the developer may further contain, if desired, various kinds of preservatives, such as hydroxylamine, diethylhydroxylamine, sulfates, hydrazines, hydrazides, phenylsemicarbazides, triethanolamine, catecholsulfonic acids, triethylenediamine (1,4-diazabicyclo(2,2,2]-octanes).
- hydrazines and hydrazides are preferred. These compounds correspond to those of the formula (II) described in Japanese Patent Application No. 63-11295. Specific examples thereof include the compounds shown in the same Application No. 62-11295, pages 27 to 47.
- the amount of the compound to be added is preferably from 0.01 to 50 g, especially from 0.1 to 30 g, per liter of developer.
- the amount of hydroxylamines to be added is preferably from 0 to 10 g, especially from 0 to 5 g, per liter of the developer.
- the amount of compound added is preferably small, provided that the stability of the color developer can be maintained.
- ethylene glycol or diethylene glycol including ethylene glycol or diethylene glycol; a development accelerator such as benzyl alcohol, polyethylene glycol, quaternary ammonium salts or amines; dye-forming couplers; competing couplers; a foggant such as sodium boronhydride; an auxiliary developing agent such as 1-phenyl-3-pyrazolidone; a tickener; as well as various kinds of chelating agents such as aminopolycarboxylic acids, aminopolyphosphonic acids, alkylphosphonic acids or phosphonocarboxylic acids, e.g., ethylenediaminetetraacetic acid, nitrilo-triacetic acid, diethylenetriamine-pentaacetic acid, cyclohexanediaminetetraacetic acid, hydroxyethylimino-diacetic acid, 1-hydroxyethylidene-1,1-diphosphonic acid, nitrilo-N,N,N-t
- the processing temperature of the material of the present invention with the color developer is preferably from 30°C to 50 c, more preferably from 33°C to 42 C.
- the amount of the replenisher used in processing is 2000 ml or less, preferably 1500 ml or less, per m 2 of the photographic material being processed.
- the amount of the replenisher is preferably small in order to decrease the water liquid to be drained.
- the photographic material of the present invention is preferably developed with a color developer substantially not containing benzyl alcohol.
- a color developer substantially not containing benzyl alcohol.
- the inclusion of benzyl alcohol is disadvantageous since it causes environmental pollution, deterioration of storage stability of color images formed and increases staining of the material processed, by a rapid development procedure.
- the color developing system preferably contains a restoring agent for the oxidation product of the color developing agent and a capturing agent for the oxidation product of the restoring agent, as described in JP-A-63-113537.
- the color developer to be used for processing the photographic material of the present invention preferably does not substantially contain iodide ion.
- the "color developer substantially not containing iodide ion” means that the content of the iodide ion in the developer is less than 1 mg/liter.
- the color developer for use in the present invention also preferably does not substantially contain sulfite ion.
- the "color developer substantially not containing a sulfite ion” means that the sulfite ion content in the developer is 0.02 mol/liter or less.
- the color developer generally has a pH value of from 9 to 12, preferably from 10 to 11.
- the amount of the replenisher to the developer is generally 3 liters or less per m 2 of the material being processed. By lowering the bromide ion concentration in the replenisher, the amount may be 500 ml or lower. When the amount of the replenisher to be added is lowered, it is desirable to prevent the evaporation and aerial oxidation of the processing solution by reducing the contact surface area of the processing tank with air. In addition, the amount of the replenisher to be added may also be reduced by suppressing the accumulation of bromide ion in the developer.
- the photographic emulsion layer is generally bleached.
- Bleaching may be carried out simultaneously with fixation (bleach-fixation) or separately from the latter. In order to accelerate the photographic processing, bleaching may be followed by bleach-fixation.
- bleach-fixation in continuous two processing tanks fixation prior to bleach-fixation or bleaching followed by bleach-fixation may also be used to process the photographic materials of the present invention, in accordance with the object thereof.
- Suitable bleaching agents include, for example, compounds of polyvalent metals such as iron (III), cobalt(III), chromium (VI) or copper(II), as well as peracids, quinones and nitro compounds.
- the bleaching agent include ferricyanides; bichromates; organic complexes of iron(III) or cobalt (111), for example, complexes with aminopolycarboxylic acids such as ethylenediaminetetraacetic acid, diethylenetriamine-pentaacetic acid, cyclohexanediamine-tetraacetic acid, methyliminodiacetic acid, 1,3-diaminopropane-tetraacetic acid or glycolether-diamine-tetraacetic acid, as well as with citric acid, tartaric acid or malic acid; persulfates; bromates; permanganates; and nitrobenzenes.
- aminopolycarboxylic acids such as ethylenediaminetetraacetic acid, diethylenetriamine-pentaacetic acid, cyclohexanediamine-tetraacetic acid, methyliminodiacetic acid, 1,3-diaminopropane-tetraacetic acid or glycolether-
- aminopolycarboxylic acid iron(III) complexes such as ethylenediamine-tetraacetic acid/iron (III) complex as well as persulfates are preferred in view of the rapid processability thereof and of the prevention of environmental pollution.
- the aminopolycarboxylic acid/iron(III) complexes are especially useful both in a bleaching solution and in a bleach-fixing solution.
- the bleaching solution or bleach-fixing solution containing such bleaching agents generally has a pH value of from 5.5 to 8, but the solution may have a lower pH value for rapid processing.
- advantageous bleaching accelerators for use in the present invention include compounds containing a mercapto group or a disulfide group such as those described in U.S. Patent 3,893,858, West German Patent 1,290,812, JP-A-53-95630 and Research Disclosure, Item 17129 (July 1978); thiazolidine derivatives described in JP-A-50-140129; thiourea derivatives described in U.S. Patent 3,706,561; iodides described in JP-A-58-16235; polyoxyethylene compounds described in West German Patent 2,748,430; and polyamine compounds described in JP-B-45-8836.
- a mercapto group or a disulfide group such as those described in U.S. Patent 3,893,858, West German Patent 1,290,812, JP-A-53-95630 and Research Disclosure, Item 17129 (July 1978); thiazolidine derivatives described in JP-A-50-140129; thiourea derivatives described in U.S.
- mercapto group- or disulfide group-containing compounds are preferred as having sufficient accelerating effect, and in particular, the compounds described in U.S. Patent 3,893,858, West German Patent 1,290,812 and JP-A-53-95630 are especially preferred. In addition, the compounds described in U.S. Patent 4,552,834 are also preferred.
- the bleaching accelerator can be incorporated into the photographic material. The bleaching accelerators are especially advantageously used for bleach-fixation of picture-taking color photographic materials.
- Suitable fixing agents include thiosulfates, thiocyanates, thioether compounds, thioureas and a large amount of iodides. Among them, thiosulfates are generally used, and in particular, ammonium thiosulfate is most widely used.
- Preferred preservative for the bleach-fixing solution include sulfites, bisulfites and carbonyl-bisulfite adducts.
- the silver halide color photographic materials of the present invention are generally rinsed with water and / or stabilized, after being desilvered.
- the amount of the water to be used in the rinsing step can be set in a broad range, in accordance with the characteristics of the photographic material being processed (for example, depending upon the raw material components, such as the coupler and so on) or the use of the material, as well as the temperature of the rinsing water, the number of the rinsing tanks (the number of the rinsing stages), the replenishment system of normal current or countercurrent and other various kinds of conditions.
- the relationship between the number of the rinsing tanks and the amount of the rinsing water in a multi-stage countercurrent rinsing system can be determined by the method described in Journal of the Society of Motion Picture and Television Engineers, Vol. 64, pages 248 to 253 (May, 1955).
- the amount of the rinsing water to be used can be reduced noticeably, but because of the prolongation of the residence time of the water in the rinsing tank, bacteria would propagate in the tank so that the floating substances generated by the propagation of bacteria would adhere to the surface of the material as it was processed.
- the method of reducing calcium and magnesium ions which is described in Japanese Patent Application No. 62-288838, can be effectively used for overcoming the foregoing problem during the processing the photographic materials of the present invention.
- the pH value of the rinsing water to be used for processing the photographic materials of the present invention is from 4 to 9, preferably from 5 to 8.
- the temperature of the rinsing water and the rinsing time can be variably set in accordance with the characteristics of the photographic material being processed as well as the use thereof. In general, the temperature is from 15 to 45 °C and the time is from 20 seconds to 10 minutes, and preferably the temperature is from 25 to 40 C and the time is from 30 seconds to 5 minutes.
- the photographic materials of the present invention may also be processed directly with a stabilizing solution in place of being rinsed with water. Suitable stabilization methods include, for example, those described in JP-A-57-8543, JP-A-58-14834 and JP-A-60-220345.
- the material can also be stabilized, following the rinsing step.
- a stabilizing bath containing formalin and a surfactant can be used as a final bath for color photographic materials.
- the stabilizing bath may also contain various chelating agents and fungicides.
- the overflow from the rinsing and/or stabilizing solutions because of addition of replenishers thereto may be re-used in the other steps such as the desilvering step.
- the silver halide color photographic materials of the present invention can contain a color developing agent for the purpose of simplifying and accelerating the processing of the materials.
- a color developing agent for incorporation of color developing agents into the photographic materials, various precursors of the agents are preferably used.
- suitable precursors include the indoaniline compounds described in U.S. Patent 3,342,597, the Schiff base compounds described in U.S. Patent 3,342,599 and Research Disclosure Items 14850 and 15159, the aldole compounds described in Research Disclosure Item 13924, the metal complexes described in U.S. Patent 3,719,492 and the urethane compounds described in JP-A-53-135628.
- the silver halide color photographic materials of the present invention can contain various kinds of 1-phenyl-3-pyrazolidones, if desired, for the purpose of .accelerating the color developability thereof. Specific examples of these compounds are described in JP-A-56-64339, JP-A-57-144547 and JP-A-58-115438.
- the processing solutions for the photographic materials of the invention are used at 10 C to 50 C.
- a processing temperature of from 35 C to 38° C is standard, but the temperature may be made higher so as to accelerate the processing or to shorten the processing time, or on the contrary, the temperature may be made lower so as to improve the quality of images formed and to improve the stability of the processing solutions used.
- the cobalt intensification or hydrogen peroxide intensification described in West German Patent 2,226,770 and U.S. Patent 3,674,499 may be employed in processing the photographic materials of the present invention.
- the materials are processed with a color developer which does not substantially contain benzyl alcohol and which contains bromide ion in an amount of 0.002 mol/liter or less, within a development time of 2 minutes and 30 seconds or less.
- the complete process from color development to drying via desilvering and rinsing can be effected within 120 seconds, in the photographic processing procedure for the photographic material (3) of the present invention.
- the "color developer which does not substantially contain benzyl alcohol” means that it contains benzyl alcohol in an amount of 2 ml/liter or less, preferably 0.5 ml/liter or less, and most preferably, it contains no benzyl alcohol.
- a waterproof titanium oxide-containing white pigment resin layer comprising the composition mentioned below was formed on the surface of a white raw paper made of 100% LBKP for photographic paper (hardwood, bleached sulfate pulp) (weight 175 g/m 2 , thickness about 180 u.), to prepare supports (A) and (A-I) to (A-VI).
- titanium oxide white pigment was surface-treated with silicon oxide and aluminium oxide was added to 90 parts by weight of polyethylene composition (i) (density 0.920 g/cc, melt index (MI) 5.0 g / 10 min) and kneaded.
- polyethylene composition (i) density 0.920 g/cc, melt index (MI) 5.0 g / 10 min
- MI melt index
- the resulting blend was coated on the raw paper by melt-extrusion coating to form a 30 ⁇ m waterproof resin layer thereon.
- the back surface of the white raw paper was coated with only a polyethylene composition (ii) (density 0.950 g/cc, MI 8.0 g/10 min) to form a 20 ⁇ m waterproof resin layer thereon.
- the same titanium oxide powder as that used in preparation of support (A) was dipped in an ethanol solution of 2,4-dihydroxy-2-methylpentane and then heated. After the evaporation of ethanol, a surface-treated titanium oxide white pigment was obtained. The alcohol adhered to the titanium oxide in an amount of about 1% by weight to coat the surface of the grains. The back surface of the white raw paper was coated with the same polyethylene composition (ii) as that used for the preparation of support (A) to form a waterproof resin layer thereon.
- Supports (A-II) and (A-V) were prepared in the same manner as above, but using the compositions indicated in Table A-1 below.
- the thus coated layer was treated by irradiation of an electron ray in an amount corresponding to an absorption dose of 5 megarad under an accelerated voltage of 200 kv, to prepare support (A-VI).
- the surface of the waterproof resin layer as coated on each of the supports thus prepared was etched to a depth of about 0.05 ⁇ m from the surface thereof by ion-sputtering, and the white pigment grains thus exposed were observed with an electron microscope so as to evaluate the degree of dispersion of the white pigment grains in the layer.
- the projected area ratio (Ri) of each grain was determined for the continuous six unit areas (each having a size of 6 ⁇ m x 6 u.m), and the standard deviation (s) as well as the mean grain possessory area ratio (%) (R) was obtained from the following formulae:
- Each of supports (A) and (A-I) to (A-V) was subjected to corona discharge and a subbing layer (gelatin layer) was provided thereon. Next, a colored layer, silver halide light-sensitive layers, interlayers and a protective layer were formed on the support, as mentioned below.
- Color photographic paper samples (A-a) to (A-g) and (A-1) to (A-6) were thus prepared.
- the numeral for the amount coated is expressed by the unit of g/m 2 .
- the silver halide emulsion is expressed by the amount of silver therein.
- Second Layer Blue-sensitive Silver Halide Emulsion Layer
- each sample thus prepared was sensitometrically wedgewise exposed with a sensitometer (FWH type Sensitometer manufactured by Fuji Photo Film Co., color temperature in light source 3,200 K), using blue, green and red filters.
- FWH type Sensitometer manufactured by Fuji Photo Film Co., color temperature in light source 3,200 K
- CTF resolving power
- the density was obtained from the strip thus developed, and Dmin (minimum density in non-image area) was obtained.
- the whiteness was evaluated by visual observation and on the basis of Dmin (yellow) as obtained from the blue filter density. The results are shown in Table 4 below.
- the photographic processing process employed here comprised the following steps:
- the processing solutions used in the steps had the following compositions.
- the color photographic paper samples (Samples (c) to (g) and Samples (1) to (7)) having the support of the present invention have improved whiteness and resolving power, as compared with comparative samples having the conventional support.
- the color photographic paper samples (Samples (1) to (7)) having the colored layer of the present invention have a synergestically improved resolving power.
- Sample (6) is noted to have a sufficient resolving power and an excellent whiteness, as it has a support containing a large amount of titanium oxide grains with a small fluctuation coefficient and it has a colored layer containing a cationic latex polymer having at least one hydrogen-having ammonium group at the cation site.
- Samples (h) and (8) to (10) were prepared in the same manner as in Example 1, using supports (A), (A-I), (A-III) and (A-VI).
- the layer constitution of the samples was as follows. Unless otherwise specifically indicated, the amount coated is expressed by the unit of g/m 2 .
- the silver halide is expressed by the amount of silver therein.
- Second Layer Blue-sensitive Silver Halide Emulsion Layer
- Example A-1 Each of these samples was wedgewise exposed for sensitometry and further exposed for determination of the resolving power, in the same manner as in Example A-1.
- color negative originals formed by photographing a person image, a Mackbeth Color Chart or a living flower on Fuji Color SUPER HR-100 were printed on each sample.
- the silver halide color photographic materials of the present invention (Samples 8 to 10) had improved image sharpness without lowering the degree of the whiteness thereof.
- the apparent whiteness (visual whiteness degree) may be further strengthened.
- Processing solutions used in the steps of the procedure had the following compositions.
- Wood pulp comprising 20 parts of LBSP (hard wood bleached sulfurous acid pulp) and 80 parts of LBKP (hard wood bleached sulfate pulp) was beaten with a disc refiner to a Canadian freeness of 300 cc. 1.0 part of sodium stearate, 1.0 part of anion polyacrylamide, 1.5 parts of aluminium sulfate and 0.5 part of polyamide-polyamine-epichlorohydrin were added thereto.
- LBSP hard wood bleached sulfurous acid pulp
- LBKP hard wood bleached sulfate pulp
- the "part” is by absolute dry weight to wood pulp.
- the resulting mixture was made into a paper (weight: 180 g/m 2 ) by the use of Fourdrinier machine, whereupon polyvinyl alcohol (PVA) was added as a sizing agent in an amount of 1 g/m 2 .
- PVA polyvinyl alcohol
- the density of the paper made was adjusted to be 1.0 g/m 2 by the use of a machine calender.
- the paper made had a pH value of 4.3.
- the acid paper thus formed was used as a paper substrate, and a waterproof resin layer (25 u.m thick) containing 15% by weight of trimethylolethane-surface-treated anatase-type titanium oxide was formed on the substrate in accordance with the method used to prepare the above-mentioned support (A-II), to prepare support (A-III).
- Wood pulp comprising 20 parts of LBSP and 80 parts of LBKP was beaten with a disc refiner to a Canadian freeness of 300 cc.
- Polyamide-polyamine-epichlorohydrin (fixing agent KYMENE 557, commercial product of DIC-HERCULES CHEMICALS Inc.) was added to the foregoing in an amount of 0.5% (by weight to absolute dry pulp - the same shall apply hereunder) and then cationic polyacrylamide (POLYSTRON 705, commercial product of Arakawa Chemical) and anionic polyacrylamide (POLYACRON ST-13, commercial product of Hamano Industries) each in an amount of 0.5% were added.
- alkylketene dimer (AQUAPEL, commercial product of DIC-HERCULES CHEMICALS Inc.) was added thereto in an amount of 0.5%.
- the resulting mixture was made into a paper(weight: 180 g/m 2 ) by the use of Fourdrinier machine, whereupon PVA was added as a sizing agent in an amount of 1 g/m 2 .
- the density of the paper was adjusted to be 1.0 g/cm 3 by the use of a machine calender.
- the paper made had a pH value of 5.5.
- the neutral paper thus formed was used as a paper substrate, and a waterproof white pigment-containing resin layer was formed thereon by the same method used in preparing the above-mentioned support (A-VII).
- Each of supports (A-VII) and (A-Vlll) was subjected to corona discharge, and a colored layer having the composition mentioned below was formed thereon.
- Example A-2 the same second to ninth layers as those in Example A-2 were formed on the first layer and dried to prepare color photographic material Samples (11) and (12), where 1,2-bis(vinylsulfonyl)ethane was used as the hardening agent.
- Example A-7 Each sample was cut into 12 cm wide strip and rolled. This was imagewise exposed and rolled, and the cut edge was rubbed under the same condition. Next, this was color-developed in the same manner as in Example A-2. The rolled print thus obtained was stored for 5 days at 40 C, and the cut edge was observed to determine whether or not it was stained. (That is, the side edge of the rolled sample was visually observed and checked.) The results are shown in Table A-7 below.
- Sample (i) was prepared as follows: Support (B) was prepared in the same manner as Support (A-VII), except that the same waterproof white pigment-containing resin layer as that used for preparing the above-mentioned Sample (A) was formed. Sample (i) was prepared in the same manner as Sample (11), except that Support (B) was used in place of Support (A-VII).
- Photographic material (1) gives photographic prints having excellent whiteness, image sharpness and highlight detail color tone reproducibility. In addition, the prints obtained from the photographic material (1) of the present invention are hardly stained by photographic processing.
- the dye crystal composition shown below was kneaded and ground by a sand mill.
- the ground mixture was dispersed in 25 ml of an aqueous solution of 10% lime-processed gelatin containing 1 g of citric acid dissolved therein and sands used for the sand mill were removed using a glass filter.
- the dyes adsorbed to the sands on the glass filter were recovered by using warm water and added to the dispersion to provide 100 ml of the dispersion containing 7% gelatin with the addition of water.
- Example A-1 and Example A-3 were subjected to a corona discharging treatment, and after forming thereon a gelatin subbing layer, a first layer (colored layer) shown in Table A-8 below was formed and then the second layer to the ninth layer as in Example A-2 were formed thereon to provide Samples 13 to 16.
- the cross section of a piece of Sample 13 was observed using a transmission type electron microscope.
- the mean grain size of the fine dye powder in Sample 13 was about 0.3 u.m. Also, the fine dye powder existed in the first layer and was not observed in the adjacent layers.
- Example A-1 each of the sample was subjected to the sensitometric stage exposure and the exposure for measuring resolving power and then subjected to quick processing as shown in Example A-2.
- the occurrence of residual color and yellow stain in each sample was less than those of Samples 11 and 12 in Example 3.
- the results obtained are shown in Table A-9.
- compositions of the dye crystals shown below were kneaded with a dispersion aid, ground by a ball mill, and the ground composition was dispersed in 25 ml of an aqueous solution of 10% lime-processed bone gelatin containing 1 g of citric acid dissolved therein.
- the beads used for grinding were removed from the mixture using a filter, the dyes adsorbed to the beads and the filter were recovered by warm water and added to the dispersion to provide 100 ml of the aqueous dispersion containing 7% gelatin.
- the mean grain sizes of the fine crystal grains of the dyes in Dispersion Methods B, C, D and E were 0.1 ⁇ m, 0.3 ⁇ m, 0.15 u.m, 0.2 u.m, respectively. That is, the mean grain sizes were all 0.3 u.m or less and haze was slight or none.
- each of the first layers having the compositions shown in Table A-10 below was formed on each of the supports shown in Table A-10.
- Samples 17 and 18 each contained the dispersion of the fine dye grains in this invention prepared by Dispersion Methods B and C, respectively.
- the second layer to the ninth layer as in Example A-2 were also formed thereon.
- the ninth layer of Sample 19 contained fine grains of Dye IV-24 formed by Dispersion Method D.
- Example A-10 Each of the samples thus prepared was subjected to the sensitometric stage exposure and the exposure for measuring resolving power as in Example A-2 and then subjected to quick color photographic processing as in Example A-2. The density of each sample thus processed was measured and the results obtained are shown in Table A-10 below.
- Safelight Filter 103A for color paper (made by Fuji Photo Film, Co., Ltd.) was mounted on an electric bulb of 10 watts (100 volts) and after irradiating one piece of each sample by the electric bulb in the direction perpendicular to the light-sensitive surface thereof for 20 minutes, the piece of the sample was subjected to color photographic processing together with another piece of the sample.
- a waterproof titanium oxide-containing white pigment resin layer comprising the composition mentioned below was formed on the surface of a white raw paper made of 100% LBKP for photographic paper (hardwood, bleached sulfate pulp) (weight 175 g/m 2 , thickness about 180 ⁇ ), to prepare supports (B-I).
- titanium oxide white pigment was surface-treated with silicon oxide and aluminium oxide was added to 90 parts by weight of polyethylene composition (i) (density 0.920 g/cc, melt index (MI) 5.0 g/10 min) and kneaded.
- polyethylene composition (i) density 0.920 g/cc, melt index (MI) 5.0 g/10 min
- MI melt index
- the resulting blend was coated on the raw paper by melt-extrusion coating to form a 30 ⁇ m waterproof resin layer thereon.
- the back surface of the white raw paper was coated with only a polyethylene composition (ii) (density 0.950 g/cc, MI 8.0 g/10 min) to form a 20 ⁇ m waterproof resin layer thereon.
- the same titanium oxide powder as that used in preparation of support (B-1) was dipped in an ethanol solution of 2,4-dihydroxy-2-methylpentane and then heated. After the evaporation of ethanol, a surface-treated titanium oxide white pigment was obtained. The alcohol adhered to the titanium oxide in an amount of about 1% by weight to coat the surface of the grains. The back surface of the white raw paper was coated with the same polyethylene composition (ii) as that used for the preparation of support (B-I) to form a waterproof resin layer thereon.
- Support B-III was prepared in the same manner as support B-II, except that titanium oxide containing 3% by weight of zinc oxide was used in an amount of 12 parts by weight to 88 parts by weight ofthe polyethylene composition, in place of the anatase-type titanium oxide white pigment in support B-II.
- a composition comprising 50 parts by weight of dipentaerythritol propyleneoxide (12 mols)-hexaacrylate ester adduct and 50parts by weight of rutile-type titanium oxide was blended and dispersed in a ball mill for 20 hours or more and the resulting blend was coated and dried on the raw paper mentioned below in a dry film thickness of 20 ⁇ m.
- the raw paper used here was prepared by coating a 20 u.m polyethylene composition layer on the same white raw paper as that used in preparation of support (B-I), the back surface of the paper being coated with a 20 ⁇ m polyethylene layer (density 0.960 g/cc, MI 25 g/10 min).
- the thus coated layer was treated by irradiation of an electron ray in an amount corresponding to an absorption dose of 5 megarad under an accelerated voltage of 200 kv, to prepare support (B-IV).
- the second to eighth layers include two kinds of (a) and (b) as indicated in Table B-1 above.
- Sample (a) is a silver bromide-rich material
- sample (b) is a silver chloride-rich material.
- the compositions of sample (a) and sample (b) are mentioned below.
- Second Layer Blue-sensitive Silver Halide Emulsion Layer
- sample (b) The same additives as those used in the preparation of sample (a) were used for sample (b), except the compounds (Sen-6) and (Sen-7) which were as follows.
- Sample (E) as exposed in FVP600 was taken out from FVP600 before the development step, without being fogged with light, and processed in accordance with the following procedure.
- Table B-1 The samples of Table B-1 were tested in accordance with the procedure mentioned below.
- Each of samples (A) to (G) was set in a video printer FVP 600 (manufactured by Fuji Photo Film Co., Ltd.) and color name cards were prepared.
- the flow sheet of the equipment is same as that shown in Fig. 1.
- a portrait image signal and a character image signal were introduced from the respective inputting means and these were outputted in the CRT screen in FVP 600 and were printed to the sample through the lens system.
- All the samples thus printed, except sample (E) were developed, fixed and dried in the processing device as equipped in the machine, in accordance with the processing conditions mentioned above.
- the exposure time for each sample is shown in Table B-5 below. As the optinum exposure time varies for every sample, the exposure amount was varied in the level of high exposure, middle exposure and low exposure.
- the sharpness of the thus finished samples (A) to (G) was evaluated by determining the density profile of the character as printed in each sample with a microdensitometer.
- the microdensitometer used was a reflection mode of FMP-S Type transmission-reflection microdensitometer (manufactured by Union Optical Co., Japan).
- the measurement condition were as follows.
- the objective lens had five magnifications. Fiber illumination with incident angle of 45 degrees was used. Two different filters each for visual ray and red ray were used.
- the size of the measurement slit was 10 u.m x 100 ⁇ rn.
- the object to be printed was a Japanese character of 13th degree Ming-style type. This was scanned in the position and direction as indicated in Fig. 2.
- the transition width "L” is a criterion of the blurred degree of the edge of the image and is obtained from the mean density gradient G of the transition area, in accordance with the following formula: "Ac” is defined as follows: Accordingly, the value “Ac” becomes higher when the blurred degree of "L” is smaller and the effective density difference "Ds" of image is larger.
- the resolving power and response function may be used as a criterion of sharpness, but the acutance as employed herein was the optimum function in the present case because of the following two reasons. The first is that the evaluation value can be expressed by one numeral. The second is that the acutance can be calcualted by measuring the object itself to be examined, and printing of any other particular pattern for evaluation is unnecessary.
- Sample (E) of Example B-5 and Sample (F) of Example B-6 were prepared.
- a printer comprising a combination of the CRT exposure system of Fig. 1 and the portrait exposure system with light path switch-over means as described in JP-A-62-184446, a portrait was combined with Japanese characters.
- the characters were inputted from the character-inputting means and were displayed on the black-and-white CRT through the CRT controller, and printed on each of samples (E) and (F) to prepare a New Year's Card.
- the spectral sensitivity curve of sample (F) is shown in Fig. 4-a; and that of sample (E) in Fig. 4-b.
- a mixture of fluorescent substances of P-22R and P45 (code numbers of EIA; Electronic Industries Association) were used, and the relative emission strength was shown in Fig. 5.
- Fig. 6 shows spectral transmittance curves of B, G, R and Y filters used in the present example.
- sample (F) was developed with the developer (for processing (i) mentioned above) as filled in Video Printer FVP-600 (manufactured by Fuji Photo Film Co., Ltd.).
- sample (E) was, after printing, developed with the processing solutions (for processing (ii) mentioned above) as filled in a modified Video Printer FVP-600 where. the rack and other parts had been reformed so as to be suited for the processing (ii).
- the thus obtained print having both portrait and characters was cut into a size of.about 150 mm (length) x about 100 mm (width).
- An aqueous adhesive was applied to the back surface of the resulting print and this was attached to a postal card (as described in the Example of JP-A-63-104050). This was cut into a size of 145 mx98 mm to give a print-attached postcard having a dry weight of 5.8 ⁇ g.
- Sample (A) of Example B-1 was also processed in the same manner as Sample (F) to obtain a print-attached postcard.
- those obtained from samples (F) and (E) exhibited excellent image quality of the character images.
- the latter postcards from samples (F) and (E) had a combination of a portrait photograph and character images which were comparable to the character images obtained by offset printing using lith film and a PS plate.
- These print-attached postcards from samples (F) and (E) had a high quality appearance.
- character-combined photograph prints can be provided, which have excellent image sharpness and excellent tone reproducibility of highlight details.
- the dye crystal composition shown below was kneaded and finely ground by a sand mill.
- the ground composition was dispersed in 25 ml of an aqueous solution of 10% lime-processed gelatin containing 1 g of citric acid dissolved therein and sands used for grinding were removed using a glass filter.
- the dyes adsorbed to sands on the glass filter were recovered using warm water and added to the dispersion to provide 100 ml of the solid fine grain dispersion of the dyes containing 7% gelatin.
- Example B-2 After applying a corona discharging treatment onto the support as Support B-II in Example B-3 and forming thereon a subbing layer, a colored layer was formed thereon using the aforesaid solid fine grain dispersion of the dyes as the first layer in Example B-2.
- 2,4-dichloro-5-hydroxy-1,3,4-triazine sodium salt was used as a hardening agent.
- composition of the first layer was as follows.
- the mean grain size of the solid fine grains of the dyes observed by a transmission type electron microscope (200 kV) was about 0.25 ⁇ m and aggregates having grain sizes of larger than about 3 ⁇ m were not observed.
- Example B-6 Furthermore; the second layer to the eighth layer as in Examples B-2, B-4, and B-6 were formed thereon to provide Sample H.
- Sample H was subjected to the sensitometry as in Example B-2 and also the printing time for printing CRT images was determined using the aforesaid video printer FVP-600 as in Example 6 and the Ac value was determined as in Example B-6.
- the results obtained are shown in Table B-11 below.
- Sample H shows the excellent Ac value as compared with Sample F at the same exposure time.
- the first layer (colored layer) containing the solid fine grain dispersion was formed using the solid fine grain dispersion of the dyes shown in Example B-9. Then, the second layer to the eighth layer of Sample (b) as in Example B-5 were formed thereon to provide Samples I, J, K and L, respectively.
- Example B-5 each sample was processed by Processing (ii) as shown in Example B-5, the exposure time for printing in the aforesaid video printer FVP-600 was determined as Example B-5 and the Ac value was determined as in Example B-5.
- Table B-12 The results obtained are shown in Table B-12 below.
- the method of the present invention can provide a silver halide photographic material capable of giving photographic prints having less stain by processing, having excellent whiteness, having excellent sharpness of images, and being excellent in tone reproducibility of details of the highlight.
- a waterproof titanium oxide-containing white pigment resin layer comprising the composition mentioned below was formed on the surface of a white raw paper made of 100% LBKP for photographic paper (hardwood, bleached sulfate pulp) (weight 175 g/m 2 , thickness about 180 ⁇ ), to prepare supports (C-I).
- titanium oxide white pigment was surface-treated with silicon oxide and aluminium oxide was added to 90 parts by weight of polyethylene composition (i) (density 0.920 glcc, melt index (MI) 5.0 g/10 min) and kneaded.
- polyethylene composition (i) density 0.920 glcc, melt index (MI) 5.0 g/10 min
- MI melt index
- the resulting blend was coated on the raw paper by melt-extrusion coating to form a 30 ⁇ m waterproof resin layer thereon.
- the back surface of the white raw paper was coated with only a polyethylene composition (ii) (density 0.950 g/cc, MI 8.0 g/10 min) to form a 20 u.m waterproof resin layer thereon.
- the same titanium oxide powder as that used in preparation of support (C-I) was dipped in an ethanol solution of trimethylol ethane and then heated. After the evaporation of ethanol, a surface-treated titanium oxide white pigment was obtained. The alcohol adhered to the titanium oxide in an amount of about 1 % by weight to coat the surface of the grains. The back surface of the white raw paper was coated with the same polyethylene composition (ii) as that used for the preparation of support (C-I) to form a waterproof resin layer thereon.
- Support C-III was prepared in the same manner as support C-II, except that titanium oxide containing 3% by weight of zinc oxide was used in an amount of 12 parts by weight to 80 parts by weight ofthe polyethylene composition, in place of the anatase-type titanium oxide white pigment in support C-II.
- a composition comprising 50 parts by weight of dipentaerythritol propyleneoxide (12 mols)-hexaacrylate ester adduct and 50parts by weight of rutile-type titanium oxide was blended and dispersed in a ball mill for 20 hours or more and the resulting blend was coated and dried on the raw paper mentioned below in a dry film thickness of 20 ⁇ m.
- the raw paper used here was prepared by coating a 20 ⁇ m polyethylene composition layer on the same white raw paper as that used in preparation of support (C-I), the back surface of the paper being coated with a 20 u.m polyethylene layer (density 0.960 g/cc, MI 25 g / 10 min).
- the thus coated layer was treated by irradiation of an electron ray in an amount corresponding to an absorption dose of 5 megarad under an accelerated voltage of 200 kv, to prepare support (C-VI).
- Supports (C-I), (C-II) and (C-III) contained ultramarine in an amount of about 0.3% by weight to the total of the polyethylene and white pigment grains; and support (C-IV) contained the same in an amount of about 0.15% by weight.
- Silver halide emulsions (1) to (6) were prepared as mentioned below.
- Ex DyeB( as CR-compound) was added to the emulsion (i) in an amount of 2.3x10 -4 mol per mol of the silver halide at 58 C, and then sodium thiosulfate, chloroauric acid and ammonium rhodanide were added for optimum chemical sensitization for obtaining a surface latent image type emulsion. Afterwards, 4-hydroxy-6-methyl-1,3,3a,7-tetrazaindene (as stabilizer) was added. The resulting emulsion was called emulsion (1).
- Emulsions (2) to (6) were prepared in the same manner as emulsion (1), whereupon the temperature for grain formation and the CR-compound were varied as indicated in Table C-2 below. When silver bromide was added, the amount of the chloroauric acid was halved for effecting the optimum chemical sensitization.
- Plural layers each having the composition mentioned below were formed on a paper support both surfaces of which were coated with polyethylene (support C-II) to prepare a multilayer color photographic paper sample.
- the coating compositions were prepared by blending a silver halide emulsion, chemicals and a coupler-containing emulsion. The method of preparing the compositions is discussed below.
- magenta, cyan and interlayer emulsions were prepared in the same manner.
- Stabilizer (Ex-3d) was added to the blue-sensitive emulsion layer in an amount of 2.5x10-4 mol per mol of the silver halide.
- the gelatin hardening agent used for each layer was 1-hydroxy-3,5-dichloro-s-triazine sodium salt.
- compound (Ex-3c) was added to the red-sensitive emulsion layer in an amount of 2.6x10- 3 mol per mol of the silver halide.
- composition of the layers constituting each of samples (1) to (4) are mentioned below.
- the numeral indicates the amount coated by the unit of g/m 2.
- the silver halide coated is expressed by the amount of silver therein.
- Second Laver Blue-sensitive Layer
- each of the samples was sensitometrically wedgewise exposed with a sensitometer (FWH Type Sensitometer manufactured by Fuji Photo Film co., Ltd.; color temperature of light source 3200°K) through a green filter.
- the exposure time was 1/10 second, and the exposure amount was 250 CMS.
- Sample (4) is noted to be superior to sample (1), as the blue-sensitivity, green-sensitivity and red-sensitivity were well balanced at a high level and the fog was suppressed.
- ExDyeR in emulsion (6) was replaced by ExDyeR-1, and the same result was also obtained.
- UV-1 Ultraviolet Absorbent (2/9/8 by weight mixture of the following compounds)
- color photographic paper samples (5), (6) and (7) were prepared in the same manner as the photographic material of sample (3) prepared in Example C-1. These samples were subjected to the same sensitometry as that carried out in Example C-2. In addition, the same rectangular wave pattern for CTF determination used in Example C-2 was applied to the surface of each of samples (5), (6) and (7) and the resolving power of each sample was determined in the same manner as in Example C-2. The results obtained are shown in Table C-6 below.
- Table C-6 demonstrate that the color photographic paper samples (6) and (7) having support (C-III) and (C-IV), respectively are superior to sample (5) having support (C-I) with respect to the sensitivity and resolving power.
- Emulsions (8) and (9) were prepared as follows: First, emulsion (i) was prepared in the same manner as in Example C-2, and the above-mentioned ExDyeR-1 (as CR-compound) was added thereto in an amount of 1.5X10 -4 mol/mol-Ag at 42° C. Next, fine silver halide grains were added and heated and then sodium thiosulfate, chloroauric acid and ammonium rhodanide were added following the process of preparing emulsion (6) in Example C-2.
- sample (8) and sample (9) were prepared, respectively.
- Photographic material samples (1) to (4) prepared in Example C-2 and samples (8) and (9) prepared in Example C-4 were tested in accordance with the procedure mentioned below.
- FVP 600 manufactured by Fuji Photo Film Co., Ltd.
- color name cards composed of a portrait'image, a CG image and a character image were prepared.
- the flow sheet of FVP600 is shown in Fig. 1. Precisely, the portrait image is displayed in the color monitor and the black-and-white CRT as digital information, while the CG image and the character image are synthesized in the image synthesizing means and are also displayed in the color monitor and the black-and-white CRT through the CRT controller.
- the yellow image, green image and red image as displayed in the black-and-white CRT were passed through the lens system and printed on the sample via the three color filters of (B + Y) filter, G filter and R filter which have the spectral transmittance as shown in Fig. 6 and which are synchronized with the color images.
- a blend of the fluorescent bodies (P-22R and P-45) which gave the spectral emission intensity as shown in Fig. 5 were used in the black-and-white CRT.
- the printing time for the respective blue, green and red lights were previously determined in accordance with the spectral sensitivity of BL, GL and RL of each sample. The printing time was shown in Table C-8 below.
- the image quality of the character images obtained from samples (2) to (4) and samples (8) and (9) was superior to that of the character images obtained from sample (1), especially with respect to the sharpness and the edge contrast.
- Each of samples (3) and (4) was cut into a roll having a width of 102 mm.
- the resulting roll was charged in a printer equipped with CRT exposure system and photographic image exposure system, following the description of JP-A-62-184446.
- a portrait image was printed on the role by a photographic image exposure system while character images were simultaneously printed thereon by a CRT exposure system.
- Example C-2 the thus printed roll was passed through the photographic processing device to complete the color development mentioned in Example C-2, whereby a photographic print with written characters was obtained. This was cut to a size of 98 u.mx148 mm to obtain a print for a postcard.
- the image quality of the character images printed was comparable to that obtained by conventional lithographic printing.
- the thus prepared print was attached to a lottery postal card to form a print-attached lottery postal card, following the description of JP-A-63-70858.
- the dye crystal composition shown below was kneaded and finely ground by a sand mill.
- the ground mixture was dispersed in 25 ml of an aqueous solution of 10% lime-processed gelatin containing 1 g of citric acid dissolved therein and sands used for the sand mill were removed using a glass filter.
- the dyes adsorbed to the sands on the glass filter were recovered using warm water and added to the dispersion to provide 100 ml of the solid fine grain dispersion of dyes containing 7% gelatin.
- Example C-2 After applying a corona discharging treatment onto the support C-II as in Example C-2 and forming thereon a gelatin subbing layer, a colored layer was formed thereon the first layer having the composition shown below as in Example C-2.
- 2,4-dichloro-5-hydroxy-1,3,4-triazine sodium salt was used as a hardening agent.
- the mean grain size of the solid fine grains of the dyes by a transmission type electron microscopic observation was about 0.25 /.Lm and aggregates of larger than about 3 u.m were not observed.
- Example C-2 When the sample was immersed in a color developer as used in Example C-2, the dyes were decolored within about 15 seconds and when the sample was immersed in a bleach-fixation solution as in Example C-2, decoloring was observed to a considerably extent.
- Example C-2 Furthermore, the second layer to eighth layer as shown in Example C-2 were formed on the first layer of the sample to provide Sample 10. The sample was subjected to the sensitometric exposure and CTF measurement as the cases of Samples 1 to 4 in Example C-2 and the results obtained are shown in Table C-9.
- Dispersion Method A shown in Example C-6 dye crystals shown in Table C-10 below and a dispersion aid were kneaded, the dye crystals were ground by a ball mill, and the ground crystals were dispersed in 25 ml of an aqueous solution of 10% lime-processed bone gelatin containing 1 g of citric acid dissolved therein.
- the beads used for grinding were removed by filtration and the dyes adsorbed to the filter and the beads were recovered and added to the dispersion to provide 100 ml of the solid fine grain dispersion of dyes containing 7% gelatin.
- Example C-3 On each of the supports as Support C-III and C-IV in Example C-3 was formed a first layer using the aforesaid solid fine grain (fine crystal) dispersion prepared above. Furthermore, the second layer to the eighth layer as Samples 6 and 7 in Example C-2 were formed thereon to provide Samples 11 to 15, respectively.
- Sample 16 was subjected to the sensitometry as applied to Sample 9 in Examples C-4 and C-5 and also the printing times at blue light, green light, and red light were determined using a video printer FVP-600. The results obtained are shown in Table C-11 below.
- a color print having not only photographic picture images with excellent image sharpness but also line images and character images with high edge contrast can be obtained rapidly and easily.
- a so-called mini-laboratory system composed of a CRT exposure system printer and a photographic processing device can efficiently be used for processing the photographic material of the invention, and a print having not only photographic picture images with excellent image quality but also CG images, line images and/or character images with improved image sharpness can be formed easily in a short period of time of about 4 minutes or less.
- the photographic material of the invention is therefore especially convenient for forming printed postal cards.
Landscapes
- Chemical & Material Sciences (AREA)
- Engineering & Computer Science (AREA)
- Materials Engineering (AREA)
- Physics & Mathematics (AREA)
- General Physics & Mathematics (AREA)
- Silver Salt Photography Or Processing Solution Therefor (AREA)
Abstract
Description
- The present invention relates to a silver halide light-sensitive photographic material (1) having a reflective support, which exhibits excellent sharpness and edge contrast in images and excellent whitenes in non-image areas. In particular, the present invention relates to a color photographic pa especially suitable for rapid development processing.
- The present invention also relates to a method of forming a color i , where a reflection type color photographic material (2) (hereinafter referred to as "color phofographic paper (2)") is imagewise exposed by scanning exposure and successively subjected to color development to form excellent line images or character images along with photographic or computer graphic) images. In particular, it relates to a method of forming color images, where characters are inputted in a word processor or originals are inputted in a digitizer. The thus inputted information is displayed at the CRT (cathod ray tube) by a CRT exposure system and then imagewise exposed in a color photographic paper. The thus exposed paper is successively subjected to rapid color development processing to obtain excellent line images or character images.
- The present invention further relates to a reflection color photographic material (3) which gives a color image having excellent image sharpness, and is suitable to subject to scanning exposure. In particular, it relates to a reflection color photographic material (3) which gives a CG (computer graphic) image, line image and/or a character image having excellent image sharpness and edge contrast together with the photographic image, by a rapid and simple operation.
- With the recent popularization of silver halide photographic materials, the demand for silver halide photographic materials which can be rapidly and simply processed to produce a product of excellent quality, as compared with other image-forming systems, is increasing. Picture-taking photographic materials have heretofore been improved for gradation reproducibility, image graininess and image sharpness. Various means may be used to attain the improved material including, for example, use of silver halide emulsions of high sensitivity comprising fine grains, formation of plural light-sensitive layers, formation of thin light-sensitive layers, economization of the amount of silver halides to be used, use of less light-scattering silver halide emulsions, incorporation of anti-halation or anti-irradiation dyes and use of mordant layers for anti-halation or anti-irradiation dyes. For color photographic materials, DIR couplers or color mixing preventing agents may be used to improve the sharpness by interimage effect. Picture-taking photographic materials have, in many cases, a transparent plate or film support. The support itself may be dyed for anti-halation, or an anti-halation black backing layer (AHB) or an anti-halation layer (AHU) may be provided therefor.
- Various dyes used in color printing photographic materials for the purpose of color reproduction, tone reproduction, rapid processing and anti-irradiation have been improved. For instance, the improvement of these dyes is referred to in JP-A-50-145125, JP-A-52-20830, JP-A-50-147712, JP-A-59-111641, JP-A-61-148448, JP-A-61-161538, JP-A-61-151649, JP-A-61-151650, JP A-61-151651, JP-A-61-170742, JP-A-61-175638, JP-A-61-235837, JP-A-61-248044, JP-A-62-164043, JP-A-62-253145, JP-A-62-253146, JP-A-62-253142, JP-A-62-275262 and JP-A-62-283336 and Research Disclosure RD-17643 (December 1978, page 22) and RD-18716 (November 1979, page 647), (the term "JP-A" as used herein means an "unexamined published Japanese patent application"). Methods of providing AHU in color photographic materials are also known. These methods are described in, for example, U.S. Patents 2,882,156, 2,326,057, 2,839,401 and 3,706,563 and JP-A-55-33172, JP-A-59-193447 and JP-A-62-32448.
- Also, method of using water-insoluble dyes as dispersions of the fine crystals thereof are disclosed in JP-A-55-155350, 55-155351, 56-12639, and 63-197943, and European Patent 15,601.
- Furthermore, methods of using dyes adsorbed on fine metal salt grains are disclosed in U.S. Patents 2,719,088, 2,496,841, and 2,496,843, and JP A-60-45237.
- Color printing photographic materials naturally utilize baryta paper as the support. Recently, however, a waterproof support formed by coating polyethylene on the both surfaces of a raw paper is often used in place of the baryta paper for the purpose of rapid processing. In order to improve the whiteness of the polyethylene-laminated paper support to achieve that of the barytapaper, titanium oxide grains or titanium oxide grains which have been surface-treated with aluminium oxide or silicon oxide may be incorporated into the polyethylene layer. However, the image sharpness of the titanium oxide-containing polyethylene-laminated paper support is still inferior to that of baryta paper. The improvement of titanium oxide-containing polyethylene layers is described in, for example, JP-B-58-43734 and JP-A-58-17433, JP-A-58-14830 and JP-A-61-259246 (the term "JP-B" as used herein means an "examined Japanese patent publication").
- A method of forming a waterproof resin layer on a raw paper by coating a composition containing an organic compound having one or more double bonds in one molecule and polymerizable by electron rays ard a white pigment on a raw paper and hardening the composition on the paper by irradiation of electron rays thereto under heat is described in, for example, JP-A-57-27257, JP-A-57-49946, JP-A-61-262738 and JP-A-62-61043.
- Silver halide photographic materials having a mirror-reflective or secondary diffusive reflective support are also known. For example, they are described in JP-A-63-24251, JP-A-63-24253 and JP-A-63-24255.
- JP-A-63-63036 mentions the provision of a colloidal silver-containing antihalation layer in a direct positive color photographic paper or in a high-sensitivity reflective color photographic paper having a thinner reflective support than a conventional one so as to inhibit the deterioration of the sharpness due to the transmission density of the support being less than 0.8. JP-A-63-63040 mentions the provision of an auxiliary layer in a direct positive photographic material or in a negative photographic material containing a silver chloride-containing emulsion layer and a colloidal silver layer so as to prevent the occurrance of contact fog caused by the colloidal silver in rapid processing.
- A particular technical means is required to attain improvement, which can be apparently recognized, with respect to the image sharpness and the tone reproducibility of the highlight details in the silver halide photographic material having the reflective support, especially in the color photographic paper having a primary diffusive reflective white support, without lowering the whiteness thereof.
- The use of conventional anti-irradiation dyes or colloidal silver for anti-irradiation causes various problems including, fogging, an increase in the occurrence of staining, the remains of unnecessary colors and lowering of sensitivity. Additionally, it is limitative for improvement of sharpness.
- In general, a photographic original of, for example, a color negative film or color positive slide obtained by photographing using a picture-taking photographic material is printed on a color photographic paper by imagewise exposure to obtain a color print. Recently, the demand for photographs having both a photographic image and a character image in combination is greatly increasing. In order to combine characters of excellent image quality and a picture in one photographic print, in general, a method of printing a film block copy, which has separately been prepared by printing the necessary characters on a lith film, and printing them in combination is employed. However, such a method is complicated and requires a long time to complete.
- In place of a film block copy, a printed sheet formed by printing characters on a semi-transparent raw paper with a word processor may by used, but the color print obtainable therewith has a poor image quality. The method of printing CG, line images or character images on a color photographic paper from a memory means previously inputted as a digital information with a printer having a CRT exposure system, is also known. For instance, printers having a CRT exposure system are disclosed in JP-A-62-43281, JP-A-62-184446, JP-A-62-295037, JP-A-62-295038 and JP-A-62-295039. JP-A-62-89965 discloses a printer having an FOT (fiber optics tube).
- The image quality of the photographic picture image obtained by conventional exposure printing systems is extremely high. However, the image quality of the line image or character image to be combined with the picture image is not as good as that of the picture image.
- On the other hand, prints obtained from color photographic papers are widely used for various kinds of cards including an ID card, license card, credit card, bank card, etc. Methods for preparing the cards are described, for example, in JP-A-62-50755, JP-A-62-58247, JP-A-62-58248 and JP-A-62-58249. Prints obtained from thin color photographic papers are also used for seal prints or post cards which are directly stuck to other supports. These are described in, for example, JP-A-60-41949 and JP-A-60-41950.
- A method of directly photographing and recording a photographic image as displayed on a CRT with an instant photographic material has already been put to practical use, for example, as VIDEOFIX-85 (trade name). This method is also described in, for example, JP-A-60-176385.
- Scanning exposure system are advantageous in that characters, figures and photographic images (continuous tone images) are easily digitalized for direct image synthesis or image processing or they are outputted with ease. However, on the contrary, such systems are disadvantageous in that the image quality of the line images, or character images formed is much poorer than the image quality of the photographic images formed.
- If a silver halide emulsion having a high silver chloride content (for example, 80 mol% or more of the total silver halide) is used in at least one layer of the color photographic material of the present invention so as to accelerate and simplify the color development procedure of the material, the sensitivity is hardly elevated and the sensitivity as well as the stability of latent images formed is rather inferior to that of a material having a conventional silver chlorobromide emulsion (for example, silver halide emulsion having a silver chloride content of less than 20 mol%). If a large amount of dyes are used for the purpose of anti-irradiation or anti-halation, the effective sensitivity would be further lowered, and especially, the spectral sensitivity would often be lower because of the anti-color sensitizing action or because of desorption of the sensitizing dyes used. Silver chloride-rich silver halide emulsios almost do not have light absorption in the visible range (400 to 700 nm) and the sensitivity is essentially obtained from spectral sensitization, thus the problem of lowering the spectral sensitivity is a big broblem.
- Scanning exposure system use laser rays having light intensity in at least three different wavelength ranges, fluorescent emission, LED (luminescence emitting diode) emission or liquid crystal emission and, if desired, it is combined with color separation filters. Especially in a scanning exposure system with fluorescent emission, for example, CRT or FOT exposure system, selection of proper fluorescent bodies with pertinent light emission intensity and efficiency for the spectral sensitivity of the respective light-sensitive layers of color photographic papers to be exposed therewith is necessary so as to accelerate, simplify and stabilize the exposure step. In general, stable tungsten light, halogen lamp light or xenon lamp light is used in the photographic exposure system, and the sensitivity of the respective light-sensitive layers of color photographic papers to be exposed therewith is determined in accordance with the light source. However, the ratio of the sensitivity of the respective light-sensitive layers of conventional color photographic papers does not match with CRT or FOT exposure systems at all. In most color photographic papers, the sensitivity to light with a longer wavelength, especially red-sensitivity is relatively insufficient.
- The object of the present invention is to overcome said problems in the prior art.
- Specifically, the first object is to provide a white reflective support-having photographic material (1) which has improved whiteness in the non-image part and excellent image sharpness.
- The second object is to provide a color photographic paper (1) which has excellent tone reproducibility in the highlight details.
- The third object is to provide a color photographic paper (1) which is suited for rapid development (for color development time of 90 seconds or less) and which has been improved so that the processing solution does not penetrate into the paper from the cut edge thereof to stain the photograph finished.
- The fourth object of the present invention is to provide a method of forming color images simply, rapidly and at a low production cost, for obtaining prints composed of line images and/or character images having excellent image quality, especially having high edge contrast, and CG images and/or photographic images, by using a color photographic material (2) having at least three silver halide light-sensitive layers each having a different color coupler on a support.
- Fifth object of the present invention is to provide a seal print or post card having both line images and/or character images and photographic images obtained by said method.
- The sixth object of the present invention is to provide a color photographic material (3) capable of forming CG images, line images and/or character images with excellent image quality, without lowering the effective sensitivity of the material.
- The seventh object of the present invention is to provide a color photographic material (3) capable of forming photographic picture images in combination with CG images, line images and/or character images having high images sharpness and edges contrast by rapid and simple photographic processing where the exposure time with three light sources and the color development time are shortened, as well as a method of forming color images with the color photographic material (3).
- The eighth object of the present invention is to provide a color pinting-photographic paper (3) which has a reflective support thinner than 200 u.m and which can be used for forming various cards and postcards.
- Other objects will be apparent to one skilled in the art from the following description.
- The present inventors have found that the above-mentioned first to third objects can effectively be attained by the improvement of the support to be used and the colloidal layer to be provided thereon.
- The present invention provides a silver halide light-sensitive a photographic material (1) having at least one silver halide light-sensitive layer provided on a reflective support, said reflective support containing white pigment grains in a waterproof resin layer, in which said pigment grains are in the waterproof resin layer in a density of from 10% by weight or more, the degree of dispersion of the white pigment grains in the layer is from 0.20 or less as the fluctuation coefficient (s/ R) of the possessory area ratio (%) per a unit area of 6 u.m x 6 u.m, where R means a mean possessory area ratio per the unit area and s means a standard deviation of the possessory area ratio per the unit area; and a colored layer which can be decolored by photographic processing located between the support and the silver halide light-sensitive layer.
- The above-mentioned fourth and fifth objects of the present invention have effectively been attained by the following method.
- A method of forming a color image comprising the step of imagewise exposing a color photographic material (2) having at least one light-sensitive layer produced on a waterproof resin-containing reflective support by a scanning exposure system, wherein the reflective support contains white pigment grains in the waterproof resin located in the side coated with said light-sensitive layer in a density of 10% by weight or more, the degree of dispersion of the white pigment grains in the surface waterproof resin layer being 0.20 or less as the fluctuation coefficinet (s/ Fr) of the projected possessory area ratio (%) per a unit area of 6 u.m x 6 u.m, where IT-means a mean projected possessory area ratio per a unit area and s means a standard deviation of the projected possessory area ratio per the unit area.
- The present inventors further investigated the exposure means to be employed, factors of color photographic papers such as sensitivity thereof as well as pertinent combinations of the exposure means and color photographic papers. As a result, they have found that the the sixth to eighth objects of the present invention can be attained by the following:
- A reflection color photographic material (3) comprising;
- at least one color coupler-containing silver halide light-sensitive layer provided on a reflective support, wherein the silver halide light-sensitive layer contains a silver chlorobromide emulsion having a mean silver chloride content of 50 mol% or more and having a silver bromide-locallized phase in the inside and/or surface of the emulsion grain; and
- a colored layer which can be decolored by color development processing provided between said light-sensitive layer and said reflective support.
-
- Fig. 1 shows a flow sheet of one embodiment of a process of forming prints by a CRT exposure system.
- Fig. 2 shows the scanning exposure direction for a Japanese character and the position for determination of the density of the parts of the character.
- Fig. 3 is a spectral graph to show the relation between the visual density and the position of the scanning direction in determination of the density of the Japanese character by means of scanning exposure system with a microdensitometer. The axis of the ordinate indicates the visual density of fine lines constituting the character and that of the abscissa indicates the position of the scanning direction.
- Fig. 4-a and Fig. 4-b show spectral sensitivity curves of samples (F) and (E) of Examples B-5 and B-6, respectively, where B (.........), G (------) and R ( ) mean the relative spectral sensitivity of blue-sensitive layer, green-sensitive layer and red-sensitive layer, respectively. The value for R is a 12-magnified one. The axis of the ordinate indicates the relative spectral sensitivity, and that of the abscissa indicates the wavelength (nm).
- Fig. 5 shows relative emission strength distribution of the mixture of fluorescent substances of P-22R and P-45. The axis of the ordinate indicates the relative emission strength, and that of the abscissa indicates the wavelength (nm).
- Fig. 6 shows spectral transmittance curves of B, G, R and Y filters. The axis of the ordinate indicates the transmittance, and that of the abscissa indicates the wavelength (nm).
- Fig. 7 is a graph to explain the evaluation method of edge sharpness, where the axis of the ordinate indicates the density and that of the abscissa indicates the distance. Ds means the density difference, and L means the transition width of the stepwise image with Ds.
- The present invention will be explained in detail hereunder.
- The white support for use in the silver halide photographic material of the present invention can be prepared by coating a waterproof resin layer on the substrate. Suitable substrates include raw papers made from natural pulp or synthetic pulp or a mixture thereof as well as plastic films such as polyester films of polyethylene terephthalate or polybutylene terephthalate or cellulose triacetate film, polystyrene film, polypropylene film or other polyolefin films.
- The raw paper for use in the present invention is made from materials which are generally used for photographic papers. Specifically, natural pulp derived from soft wood or hard wood is used as a main raw material for the paper, which may optionally contain filler such as fine grains of clay, talc, calcium carbonate or urea resin, a sizing agent such as resin, alkylketene dimer, higher fatty acid, paraffin wax or alkenylsuccinic acid, a paper reinforcing agent such as polyacrylamide and a fixing agent such as papermaker's alum earth or cationic polymer. In particular, a natural paper containing a reactive sizing agent such as alkylketene dimer or alkenylsuccinic. acid and having a pH of from 5 to 7 (determined by conventional manner, that is, water is dropped on the paper, placing a plane electrode, for example, a pH-meter having a plane-electrode type GST-5313F manufactured by Toa Electrowave Industries (Japan), and the pH at the portion where water is dropped is measured after pH becomes constant) is preferred. The natural pulp may be substituted by synthetic pulp, or a mixture comprising natural pulp and synthetic pulp in a proper ratio can also be used.
- The surface of the pulp may be sized with a film-forming polymer such as gelatin, starch, carboxymethyl cellulose, polyacrylamide, polyvinyl alcohol or modified polyvinyl alcohol. The modified polyvinyl alcohol includes carboxyl-modified or a silanol-modified one or a copolymer with acrylamide. For surface-sizing with such a film-forming polymer, the amount of the polymer to be coated may be from 0.1 to 5.0 g/m2, preferably from 0.5 to 2.0 g/m2. The film-forming polymer may contain, if desired, an antistatic agent, a fluorescent brightening agent, pigment and a defoaming agent.
- The raw paper for use in the present invention can be prepared by processing a pulp slurry comprising the pulp mentioned above and, if desired, other additives such as a filler, a sizing agent, a paper reinforcing agent and a fixing agent, with a papermaking machine such as Fourdrinier machine, followed by drying and rolling the paper strip thus formed. Either before or after the drying step, the paper strip is sized on the surface thereof, and it is subjected to calender treatment between the drying step and the rolling step. When the surface-sizing treatment is carried out after drying, the calender treatment may be effected either before or after the surface-sizing treatment.
- The determination of whether the raw paper to be used as the substrate of the support for the photographic materials of the present invention is a neutral paper or not can be performed by measuring the pH value thereof using a plane-electrode type GST-5313F (manufactured by Toa Electrowave Industries, Japan) as an electrode. In the determination, a neutral paper preferably has a pH of 5 or more, and preferably up to 9, and more preferably up to 7.
- The waterproof resin layer may also be provided in the photographic material (2) as in the photographic material (1).
- The waterproof resin layer, such as a vinyl chloride resin, may be constitutes the support by itself.
- The waterproof resin for use in the present invention is one preferably having a water absorption (% by weight) of 0.5 or less, more preferably 0.1 or less, including, for example, polyalkylenes (e.g., a polymer of ethylene, or propylene or copolymer thereof), vinyl polymers or copolymers of vinyl compounds (e.g., a polymer of styrene and acrylate or copolymer thereof) and polyesters and copolyesters. Preferred are polyalkylene resins, and low density polyethylene, high density polyethylene, polypropylene and blends thereof are especially used among them. If desired, the resins may contain additives including fluorescent brightening agents, antioxidants, antistatic agents and releasing agents. The thickness of the resin layer may be from about 5 to about 200 u.m, especially from about 10 to about 40 u.m. The formation of the resin layer, in general, is carried out by kneading a white pigment together with the resin by a melt blending method and extruding through a melt extruder to laminate the blend on a support substrate.
- Unsaturated organic compounds having one or more polymerizable carbon-carbon double bonds on one molecule (e.g., methacrylate compounds) as described in JP-A-57-27257, JP-A-57-49946 and JP-A-61-262738, and di-, tri-or tetra-acrylates as represented by the general formula described in JP-A-61-262738 can also be used. In this case, the polymer may be coated on a support substrate and then hardened by irradiation with electron rays to form a waterproof resin layer thereon. A white pigment and other additives may be dispersed in the unsaturated organic compound. Any other resins may also be dispersed into the compound.
- For formation of the waterproof resin layer on the support substrate for use in the present invention, various lamination methods as described in, for example, New Handbook for Lamination Coating (edited by Kako Kijutsu Kenkyu-kai, Japan) maya be used. For instance, the dry lamination method, and the nonsolvent dry lamination method can be used. For coating the resin blend on the surface of the substrate, any means selected from the gravure roll coating method, the wire bar coating method, the doctor blade coating method, the reverse roll coating method, the dip coating method, the air knife coating method, the callendar coating method, the kiss coating method, the squeeze coating method and the Fountain type coating method can be employed.
- In accordance with the present invention, the waterproof resin contains a white pigment. For instance, suitable white pigments include rutile-type titanium oxide, anatase-type titanium oxide, barium sulfate, calcium sulfate, silicon oxide, zinc oxide, titanium phosphate and aluminium oxide. The surface of the fine grains of the titanium oxide pigment is preferably surface-treated with an inorganic oxide such as silica or aluminium oxide and a dihydric or tetrahydric alcohol such as 2,4-dihydroxy-2-methylpentane or trimethylolethane as described in JP-A-58-17151, separately or in combination. Generally, the fine grains have a mean grain size of from 0.05 to 0.4 µm, and preferably from 0.1 to 0.3 um.
- The surface of the support is preferably treated by corona discharge, glow discharge or flame treatment and a protective layer group for silver halide photographic materials is provided on the thus surface-treated support.
- The total thickness of the support is preferably from 30 to 350 g/m2 (from about 30 to 400 µm), more preferably from about 50 to 200 g/m2. Of the total thickness, the waterproof resin layer is preferably from about 5 to about 200 u.m, more preferably from about 10 to about 40 u.m.
- One characteristic feature of the support for use in the present invention is that it contains fine grains of a white pigment (especially preferably titanium oxide) in a density of 10% by weight or more, preferably 12% by weight or more, more preferably from 15% by weight to 60% by weight, as dispersed in the waterproof resin layer. In particular, the fine grains of white pigment are preferably dispersed densely and uniformly (that is, in order that there is not part sparsely containing the fine grains) in the surface of the waterproof resin layer or in a thickness of 10 u.m or so from the surface of the layer.
- To evaluate the dispersion of the fine white pigment grains in the resin layer, the surface of the resin layer or the thickness of the layer from the surface to about 0.1 u.m, preferably about 500 A is subjected to glow discharge for ion-sputtering so as to sputter the surface resin and the fine grains thus exposed are observed with an electronic microscope. The photographed possessory area of the fine grains on the surface of the thus treated resin layer is obtained from the electromicroscopic photograph and the fluctuation coefficient of the possessory area ratio (%) is calculated for evaluation of the intended dispersibility. The ion-sputtering method employable for this purpose is described in detail in Y. Murayama and K. Kashiwagi, Technique for Surface Treatment with Plasma (Kikai-no Kenkyu), Vol. 33, No. 6 (1981).
- In order to control the fluctuation coefficient of the fine white pigment grains to be 0.20 or less. in accordance with the present invention, it is preferred that the white pigment is fully kneaded with the resin component in the presence of a surfactant. It is also preferred that the surface of the pigment grains be pretreated with the above-mentioned di- to tetra-hydric alcohol.
- The possessory area ratio (%) of the fine white pigment grains per a determined unit area may most typically be obtained by dividing the observed area into the adjacent unit areas having a size of 6 µm x 6 u.m and determining the possessory area ratio (%) (Ri) of the fine grains as projected in the unit area. The fluctuation coefficient of the possessory area ratio (%) can be obtained as the ratio of (si R) of the standard deviation (s) of (Ri) to the mean value ( Fr) of (Ri). The number (n) of the unit areas as intended for the purpose is preferably 6 or more. Accordingly, the fluctuation coefficient (s/ R) can be obtained from the following formula:
- In accordance with the present invention, the fluctuation coefficient of the possessory area ratio(%) of the fine pigment grains is preferably 0.20 or less, more preferably 0.15 or less, especially preferably 0.08 or less. When the fluctuation coefficientis 0.08 or less, the dispersion of the grains is substantially "uniform".
- It is particularly preferred that in the photographic material (3), the pigment density is 12% by weight or more and S/ H'is 0.15 or less.
- In general, when the above-mentioned white pigment is incorporated into the support of a silver halide photographic material, the photograph formed on the material would visually have a whitened background and have a worsened sharpness of the image formed. As opposed to this, when the density of the white pigment and the degree of the dispersion thereof satisfy the conditions as defined in accordance with the present invention, the strength of the primary diffusive reflected light (see Hand Book of Science of Color - (new edit.), edited by Japan Color Society: published by Tokyo Univ. Publication Association; Sept. 1985, Chap. 18) to the incident light may be elevated and the extension of the diffusive light can be reduced. The improved effect of the present support is displayed not only for the incident light for exposure of the photographic material but also for the incident light for visually seeing the photograph, which is one characteristic advantage attainable by the present invention.
- The colored layer may also be provided in the photographic material (3) as in the photographic material (1
- The colored layer used in the present invention can be decolored after photographic processing, e.g., development, bleach-fixation, rinsing or stabilization, is provided between the support and the silver halide photographic light-sensitive layer.
- Fixation of a light absorbent (a dye and/or colloidal silver) in the colored layer may effectively impart an anti-halation effect to the silver halide light-sensitive layer without a reduction of the spectral sensitivity nor an increase of fog. Suitable light absorbents included colloidal silver (black to yellow) and/or dyes. Colloidal silver and a dye are preferably used in amounts such that the colloidal silver provides reflect density of from 0.1 to 1.5, and the dye provides transmission density of from 0.1 to 1.2. Provision of the colored layer is effective for more satisfactorily inhibiting the deterioration of the sharpness of the image which would be caused by the extension of the diffused light from the support.
- As the colored layer of the present invention, a colloidal silver emulsion is preferably used as the light absorbent. Any and every colloidal silver emulsion which is generally used for picture-taking color photographic materials can be used for this purpose. Black or yellow colloidal silver can be used.
- The colloidal silver can be prepared in accordance with the methods described in, for example, U.S. Patents 2,688,601 and 3,459,563 and Belgian Patent 622,695. The colloidal silver for use in the present invention is preferably fully desalted to have an electroconductivity of not higher than 1800 ascm-1, after preparation. The content of the colloidal silver in the colloidal silver-containing layer is from 0.01 to 0.5 g/m2, and preferably from 0.05 to 0.2 g/m2, as silver.
- Dyes may also be incorporated into the colored layer, together with the colloidal silver, to inhibit irradiation, stabilize the sensitivity, improve the safelight stability and improve the spectral sensitivity distribution.
- Another preferred embodiment of the present invention, is that the colored layer may contain a dye and a cationic polymer for mordanting the same, in combination. The polymer preferably has a molecular weight of at least 5,000.
- The cationic polymer which is preferably used in the present invention is a non-coloring polymer having at least one hydrogen-containing ammonium base in the cation site which functions as an anion exchange polymer.
-
- In the formula (I), A represents a monomer unit derived from a copolymerizable monomer having at least two copolymerizable ethylenic unsaturated groups, one of which is in the side chain of the monomer. B represents a monomer unit derived from a copolymerizable ethylenic unsaturated monomer. R1 represents a hydrogen atom, a lower alkyl group or an aralkyl group. Q represents a single bond or an alkylene group, an arylene group, an aralkylene group,
. represents an alkylene group, an arylene group or an aralkylene group. R represents an alkyl group. G represents R2, R3, R4, Rs, R6, R7, R8 and Rs each represents a hydrogen atom, an alkyl group, an aryl group or an aralkyl group. These may be same as or different from each other. The above-mentioned groups may optionally be substituted. Xe represents an anion. - Any two or more of Q, R2, Rs, and R4 or Q, Rs, Rs, R7, R8 and Rg may be bonded to each other to form a ring structure together with the adjacent nitrogen atom.
-
- x, y and z each represent a molar percentage, and x is from 0 to 60, y is from 0 to 60 and z is from 30 to 100.
- The compounds of the formula (I) will be explained in more detail hereunder.
- Examples of the monomers A include divinylbenzene, ethylene glycol dimethacrylate, diethylene glycol dimethacrylate, triethylene glycol dimethacrylate, ethylene glycol diacrylate, diethylene glycol diacrylate, 1.6-hexanediol diacrylate, neopentylglycol dimethacrylate and tetramethylene dimethacrylate. Among the foregoing, divinylbenzene and ethylene glycol dimethacrylate are especially preferred.
- Examples of the ethylenic unsaturated monomers representing by B include ethylene, propylene, 1-butene, isobutene, styrene, a-methylstyrene, vinylketone, monoethylenic unsaturated esters of aliphatic acids (e.g., vinyl acetate, allyl acetate), ethylenic unsaturated monocarboxylic acid or dicarboxylic acid esters (e.g., methyl methacrylate, ethyl methacrylate, n-butyl methacrylate, n-hexyl methacrylate, cyclohexyl methacrylate, benzyl methacrylate, n-butyl acrylate, n-hexyl acrylate, 2-ethylhexyl acrylate), monoethylenic unsaturated compounds (e.g., acrylonitrile) and dienes (e.g., butadiene, isoprene). Among them, styrene, n-butyl methacrylate and cyclohexyl methacrylate are especially preferred. B may contain two or more of the monomer units.
- R1 is preferably a hydrogen atom or a lower alkyl group having from 1 to 6 carbon atoms (e.g., methyl, ethyl, n-propyl, n-butyl, n-amyl, n-hexyl) or an aralkyl group (e.g., benzyl). In particular, R1 is especially preferably a hydrogen atom or a methyl group.
- Q is preferably an optionally substituted divalent alkylene group having from 1 to 12 carbon atoms (e.g., methylene or -(CH2)6-), an optionally substituted phenylene or an optionally substituted aralkylene having from 7 to 12 carbon atoms (e.g.,
In addition, the following groups are also preferred for Q. - In the formulae, L represents an optionally substituted alkylene group having from 1 to 6 carbon atoms, or an optionally substituted arylene group, or an optionally substituted aralkylene group having from 7 to 12 carbon atoms. Especially preferably, it is an optionally substituted alkylene group having from 1 to 6 carbon atoms. R represents an alkyl group having from 1 to 6 carbon atoms.
-
- In the formulae, R2, Ra, R4, Rs, R6, R7, R8 and Rs are the same or different and each is preferably a hydrogen atom, an alkyl group having from 1 to 20 carbon atoms, an aryl group having from 6 to 20 carbon atoms, or an aralkyl group having from 7 to 20 carbon atoms. The alkyl group, aryl group and aralkyl group include a substituted alkyl group, a substituted aryl group and a substituted aralkyl group, respectively.
- The unsubstituted alkyl group preferably has from 1 to 12 carbon atoms, more preferably from 4 to 10 carbon atoms, and it includes, for example, methyl, ethyl, n-propyl, isopropyl, n-butyl, isobutyl, t-butyl, n-amyl, isoamyl, n-hexyl cyclohexyl, n-heptyl, n-octyl, 2-ethylhexyl, n-nonyl, n-decyl and n-dodecyl groups. Example of the substituted alkyl group include an alkoxyalkyl group (e.g., methoxymethyl, methoxyethyl, methoxybutyl, ethoxyethyl, ethoxypropyl, methoxybutyl, butoxyethyl, butoxypropyl, butoxybutyl, vinylox- yethyl), a cyanoalkyl group (e.g., 2-cyanoethyl, 3-cyanopropyl, 4-cyanobutyl), a halogenated alkyl group (e.g., 2-fluoroethyl, 2-chloroethyl, 3-fluoropropyl), an alkoxycarbonylalkyl group (e.g., ethoxycarbonylmethyl), and allyl group, 2-butenyl group and propargyl group.
- The aryl group includes an unsubstituted aryl group (e.g., phenyl, naphthyl) and a substituted alkyl group, for example, an alkylaryl group (e.g., 2-methylphenyl, 3-methylphenyl, 4-methylphenyl, 4-ethylphenyl, 4-isopropylphenyl, 4-tert-butylphenyl), an alkoxyaryl group (e.g., 4-methoxyphenyl, 3-methoxyphenyl, 4-ethoxyphenyl), and an aryloxyaryl group (e.g., 4-phenoxyphenyl). The aryl group preferably has from 6 to 14 carbon atoms, more preferably from 6 to 10 carbon atoms. It is especially preferably a phenyl group.
- The aralkyl group includes an unsubstituted aralkyl group (e.g., benzyl, phenethyl, diphenylmethyl, naphthylmethyl) and a substituted aralkyl group, for example, an alkylaralkyl group (e.g., 4-methylbenzyl, 2,5-dimethylbenzyl, 4-isopropylbenzyl), an alkoxyaralkyl group (e.g., 4-methoxybenzyt, 4-ethoxybenzyl), a cyanoaralkyl group (e.g., 4-cyanobenzyl), a perfluoroalkoxyaralkyl group (e.g., 4-pentafluoropropoxybenzyl, 4-undecafluorohexyloxybenzyl) and a halogenated aralkyl group (e.g., 4-chlorobenzyl, 4-bromobenzyl, 3-chlorobenzyl). The aralkyl group preferably has from 7 to 15 carbon atoms, more preferably from 7 to 11 carbon atoms. Among them, a benzyl group or a phenethyl group is especially preferable.
- Xe represents an anion, for example, a halide ion (e.g., chloride or bromide ion), an alkyl- or arylsulfonate ion (e.g., methanesulfonate, ethanesulfonate, benzenesulfonate, p-toluenesulfonate), an acetate ion, a sulfate ion or a nitrate ion. Especially, chloride ion, acetate ion and sulfate ion are preferred.
- Any two or more of Q, R2, R3, and R4, may be bonded together to form a cyclic structure together with the adjacent nitrogen atom. Preferable examples of the cyclic structure include pyrrolidine ring, piperidine ring, morpholine ring, pyridine ring, imidazole ring and quinuclidine ring. Especially preferred are pyrrolidine ring, morpholine ring, piperidine ring, imidazole ring and pyridine ring.
- Any two or more of Q, Rs, Rs, R7, Rs and R9 may be bonded together to form a cyclic structure together with the adjacent nitrogen atom, and the cyclic structure is especially preferably a 6 membered or 5-membered ring.
- x indicates from 0 to 60 mol%, preferably from 0 to 40 mol%, more preferably from 0 to 30 mol%. y indicates from 0 to 60 mol%, preferably 0 to 40 mol%, more preferably from 0 to 30 mol%. z indicates from 30 to 100 mol%, preferably from 40 to 95 mol%, more preferably from 50 to 85 mol%.
- In formula (I), G is preferably a basic residue-having a pKa value of 4.5 or more, especially 7 or more, in an aqueous solution.
- As the cationic polymer of the formula (I), a polymer latex is especially preferred from the view point of the film-forming quality thereof.
-
- In the formation of a dispersion of fine grains of the cationic polymer, a crosslinking monomer such as divinylbenzene is generally used as a monomer component. However, such a crosslinking monomer is not indispensable, depending upon the kind of the monomer to be used.
-
- The polymers of the formula (I) for use in the present invention are generally prepared by copolymerizing the above-mentioned copolymerizable monomer having at least two ethylenic unsaturated groups and ethylenic unsaturated monomer together with an unsaturated monomer of a formula:
in which Ri, R2, R3 and Q have the same meanings as defined above, for example, N,N-dimethylaminoethyl methacrylate, N,N-diethylaminoethyl methacrylate, N,N-dimethylaminoethyl acrylate, N,N-diethylaminoethyl acrylate, N-(N,N-dimethylaminopropyl)acrylamide, N-(N,N-dihexylaminomethyl)-acrylamide, 3-(4-pyridyl)propyl acrylate, N,N-dimethylaminomethylstyrene, N,N-diethylaminomethyl styrene, N,N-dihexylaminomethylstyrene, 2-vinylpyridine or 4-vinylpyridine, especially preferably N,N-diethylaminoethyl methacrylate, N,N-dimethylaminomethylstyrene or N,N-diethylaminomethylstyrene, followed by reacting the resulting copolymer with a compound having a structure of R4.-X (where R4 and X have the same meanings as defined above, for example, hydrochloric acid, sulfuric acid, nitric acid, acetic acid, p- toluenesulfonic acid) to give the corresponding ammonium salt. - The polymers of formula (I) for use in the present invention may also be prepared by copolymerizing the above-mentioned copolymerizable monomer having at least two ethylenic unsaturated groups and ethylenic unsaturated monomer together with an unsaturated monomer of a formula:
in which Ri, R2, R3, Ra., X and Q have the same meanings as defined above, for example, N,N dimethylaminoethyl methacrylate hydrochloride, N,N-diethyl aminoethyl methacrylate sulfate, N,N-dimethylaminoethyl acrylate hydrochloride, N,N-diethylaminoethyl acrylate acetate, N,N-dimethylaminostyrene hydrochloride, N,N-diethylaminomethylstyrene sulfate, 2-vinylpyridine hydrochloride or 4-vinylpyridine hydrochloride. - The polymers of formula (I) for use in the present invention may further be prepared by copolyme rizing the above-mentioned copolymerizable monomer having at least two ethylenic unsaturated groups and an ethylenic unsaturated monomer together with an unsaturated monomer of the formula:
in which X represents a halogen atom (e.g., chlorine, bromine) or a sulfonic acid ester group (e.g., p-toluenesulfonyloxy) and Ri and Q have the same meanings as defined above, for example, β-chloroethyl methacrylate, β-p-toluenesulfonyloxyethyl methacrylate or chloromethylstyrene, followed by reacting the resulting copolymer with an amine having a structure of (where R2, R3 and R4 have the same meanings as defined above), for example, dimethylamine, diethylamine, di-n-propylamine, di-n-butylamine, morpholine or piperidine, to give the corresponding ammonium salt. -
- Specifically, the polymers of the formula (I) for use in the present invention can be prepared by copolymerizing the above-mentioned copolymerizable monomer having at least two ethylenic unsaturated groups and ethylenic unsaturated monomer together with an unsaturated monomer of a formula:
in which R1, Rs and Q have the same meanings as defined above, for example, methyl vinyl ketone, methyl (1-methylvinyl) ketone, ethyl vinyl ketone, ethyl (1-methylvinyl) ketone, n-propyl vinyl ketone, diacetone acrylamide or diacetone acrylate, especially preferably methyl vinyl ketone, ethyl vinyl ketone, diacetone acrylamide or diacetone acrylate, followed by reacting the resulting copolymer with a compound of a formula: in which R6, R7, R8 and Rs have the same meanings as defined above, for example, aminoguanidine bicarbonate, or N-amino-N -methylguanidine bicarbonate, especially preferably aminoguanidine bicarbonate, and further with a compound H-X (where H-X has the same meaning as defined above, for example, hydrogen chloride, hydrogen bromide, sulfuric acid, acetic acid, nitric acid), to give the corresponding guanidium salt. - The above-mentioned polymerization reaction can be carried out by any conventional method of solution polymerization, emulsion polymerization, suspension polymerization, precipitation polymerization or dispersion polymerization. Solution polymerization and emulsion polymerization are preferred.
- Of the above-mentioned polymerization reaction methods, for example, the emulsion polymerization can be carried out generally in the presence of at least one emulsifying agent selected from anionic surfactants (e.g., sodium dodecylsulfate, or Triton 770, a commercial product from Rhom & Haas), cationic surfactants (e.g., octadecyltrimethyl ammonium chloride), non-ionic surfactants (e.g., EMALEX NP-20, a commercial product from Nippon Emulsion), gelatin and polyvinyl alcohol, together with a radical polymerization initiator (e.g., combination of potassium persulfate and sodium hydrogen sulfite, a commercial product from Wako Pure Chemicals in the trade name of V-50), at a temperature of generally from about 30°C to about 100°C, preferably from about 40 °C to about 80 ° C.
- The above-mentioned reaction of forming the corresponding ammonium salt from the copolymer is carried out at a temperature of generally from about -10 C to about 40°C, especially preferably from about 0 C to about 30°C.
- The copolymers for use in the present invention can be prepared in one reactor vessel throughout the complete manufacture process with ease.
- Examples of production of some typical copolymers for use in the present invention are discussed below.
- 1100 g of distilled water was put in a reactor vessel, which was then degassed using nitrogen gas. 16.6 g of sodium dodecylsulfate, 1.9 g of sodium hydroxide, 1.4 g of sodium sulfite, 33.6 g of divinyl benzene and 195.7 g of diethylaminomethylstyrene were added to the vessel and stirred.
- After heating the vessel to 60 C, a solution of 0.9 g of potassium persulfate dissolved in 60 g of distilled water was added to the vessel every one hour four times in all, and the whole was then continuously stirred for 2 hours. Afterwards, it was cooled to room temperature, and a solution of 48.9 g of concentrated sulfuric acid dissolved in 313 g of distilled water was added thereto. The resulting mixture was filtered to obtain a polymer dispersion having a solid concentration of 15.4% by .weight and an amine content of 5.29x10-4 eqv/g.
- The polymer grains had a mean grain size of 0.054 µm and a fluctuation coefficient (standard deviation/mean grain size = 0.011/0.054) of about 0.20.
- 2.8 g of emulsifier (Nissan TRAX H-54, a commercial product from Nippon Fats and Oils), 75 g of distilled water, 5.95 g of ethylene glycol dimethacrylate, 4.98 g of butyl methacrylate and 5.34 g of chloromethylstyrene were put in a reactor vessel and stirred. After heating the vessel up to 60* C, 0.2 g of polymerization initiator V-50 (commercial product from Wako Pure Chemicals) was added and continuously stirred for 3 hours. Afterwards, the reaction mixture was cooled to 40* C, and 108 g of distilled water and 62 g of isopropyl alcohol were dropwise added thereto over a period of 15 minutes. The whole was then continuously stirred for 2 hours at 40 °C and then filtered to obtain a polymer dispersion having a solid concentration of 8.16% by weight and an amine content of 1.31 x10-4 eqv/g.
- 108 g of distilled water was put in a reactor vessel, which was then degassed using nitrogen gas. The vessel was then heated to 60. C under a nitrogen stream, and 7.9 g of octadecyltrimethylammonium chloride (23%), 0.04 g of polyvinyl alcohol (saponification degree 95%), 0.78 g of styrene, 2.94 g of divinylbenzene and 20.63 g of N,N-diethylaminoethyl methacrylate were added thereto and stirred. A solution of 0.44 g of potassium persulfate and 0.14 g of sodium hydrogen sulfite was dissolved in 10.8 g of distilled water degassed with nitrogen gas, was added thereto and then continuously stirred for about 5 hours. Afterwards, the resulting mixture was cooled to room temperature, and a solution of 10.6 g of concentrated hydrochloric acid dissolved in 100 g of distilled water was added thereto. The mixture was then filtered to obtain a polymer dispersion having a solid concentration of 14.0% by weight and an amine content of 4.59x10-4 eqv/g.
- 50.7 g of concentrated hydrochloric acid (hydrogen chloride content: 36% by weight) and 350 ml of distilled water were put in a reactor vessel, and 85 g of N,N-dimethylaminopropylmethacrylamide was gradually added thereto with stirring at room temperature.
- The resulting solution was heated to 80* C under a nitrogen stream. A solution of 0.5 g of potassium persulfate dissolved in 20 ml of distilled water was added to the vessel and successively continuously stirred for 5 hours. After cooling, 100 g of distilled water was added and the resulting mixture was filtered to obtain an aqueous polymer solution of Compound (17) having a solid content of 17.0% by weight and an amine concentration of 8.17x10-4 eqv/g.
- Other polymers for use in the present invention can also be prepared in accordance with the production methods discussed above.
- A hydrophilic protective colloid may be used as a binder for the colored layer of the present invention. Such colloid includes, for example, gelatin, modified gelatins, gelatin derivatives and graft polymers of gelatin and other poiymers. These may be used in combination with proteins such as albumin or casein; cellulose derivatives such as hydroxyethyl cellulose, carboxymethyl cellulose or cellulose sulfates; saccharide derivatives such as dextran, sodium alginate or starch derivatives; and homopolymers or copolymers such as polyvinyl alcohol, partially acetallized polyvinyl alcohol, poly-N-vinylpyrrolidone, polyacrylamide, acrylic acid or methacrylic acid copolymers or polyvinyl pyrazole. Especially preferably, gelatin is used as the hydrophilic colloid, and the gelatin may be a so-called lime-processed gelatin, acid-processed gelatin or enzyme-processed gelatin. The gelatin is especially preferably one having a narrow molecular weight distribution for the purpose of attaining rapid processing.
- The molecular weight distribution of gelatin can be determined by, for exaple, the GPC method (gel permeation chromatography method). Gelatin having a proportion of high molecular content of 12% by weight or more, especially 14% by weight'or more, is preferred for use in the present invention. The GPC method is described in detail in JP-A-62-87952 (main text and Example 1).
- The colored layer of the present invention and other hydrophilic colloid layers constituting the photographic material of the present invention are hardened with an inorganic or organic hardening agent. Suitable hardening agents include, for example, chromium salts, aldehydes (e.g., formaldehyde, glutaraldehyde), N-methylol compounds (e.g., dimethylolurea), active vinyl compounds (e.g., 1,3,5-triacryloyl- hexahydro-s-triazine, bis(vinylsulfonyl)methylether, N,N'-methylenebis(β-vinylsulfonyl)propionamide), active halogen compounds described in, for example, U.S. Patent 3,325,287 (e.g., 2,4-dichloro-6-hydroxy-s-triazine), mucohalogenic acids (e.g., mucochloric acid), N-carbamoylpyridinium salts (e.g., 1-morpholinocarbonyl-3- pyridinio)methanesulfonate), and haloamidinium salts (e.g., 1-(1-chtoro-1-pyridinomethylene)pyrrolidinium, 2-naphthalenesulfonate). These can be used singly or in combination. In accordance with the present invention, hardening agents having two or more vinylsulfonyl groups (for example, those described in JP-B-47-24259, JP-B-49-13563 and JP-B-57-240902), hardening agents having two or more active vinyl groups (for example, those described in JP-A-53-41220, JP-A-53-57257, JP-A-59-162546 and JP-A-60-80846) as well as the compounds described in JP-A-62-222242, JP-A-62-245261 and JP-A-62-109050 and JP-A-62-295045 are especially preferably used, as these do not interfere with the cation site of the polymers to be used in the present invention.
- The dyes to be used in accordance with the present invention are those having a selected light absorption in the spectral sensitivity range of the light-sensitive layer (to which the effect of irradiation inhibition or antihalation is intended to be provided) of the color photographic material of the present invention and especially those having a molar extinction coefficient of 102 1.mol.cm-1 or more. In the color photographic materials having a reflective support, dyes which may be decolored by decoloration after development processings or which may be dissolved out of the photographic material during photographic processing are especially preferred as the dye.
- The dye is preferably used in an amount of from 1 to 500 mg/m2, and more preferably from 10 to 100 mg/m2.
- As the light absorbent for use in this invention, a dye which is substantially insoluble in an aqueous solution having pH of not higher than 7.0 is preferably used as a silid fine grain like dispersion thereof in a colloid together with a dispersion aid. The term "solid fine grain like" as used herein means a state that the dye grains having a mean grain size (projected, circle approximate) of not more than 1µm, and preferably from 0.01 u.m to 0.5 u.m are dispersed in a colloid layer, said dye grains being substantially non-diffusible to other adjacent layer(s) and not aggregating coarser than about 3 µm.
- As the dispersion aid, ordinary nonionic surface active agents, anionic surface active agents, and amphoteric surface active agents, such as the compounds described in patent publications cited in JP-A-62-215272, pages 649-668, and the compounds shown as practical compounds W-1 to W-99 in JP-A-62-215272, the surface active agents described in JP-B-56-36415 and 59-31688, and the surface active agents shown by formulae [VII], [VIII], and [IX] described in Japanese Patent Application No. 62-118519 can be used.
-
- Also, as the dispersion aid, water-soluble organic solvents such as dimethylformamide, methanol, ethanol, dimethylsulfonylamide, etc., can be used. Furthermore, as the dispersion aid, hydrophilic colloids such as gelatin, casein, hydroxyethyl cellulose, poly-N-vinylpyrrolidone, polyacrylic acid, gelatin derivatives, etc., and also alkaline water can be used.
- The solid fine grain dispersion of dye can be prepared by a method of dissolving dye solides in a water-soluble organic solvent and dispersing the solution in a neutral or acidic aqueous colloid solution, particularly preferably a method of wetting dye solids with water or an insoluble liquid, kneading the wet dye solids together with a dispersion aid, finely granulating the dye solids in a mill and dispersing them in an aqueous colloid solution, a method of fine-powdering dye solids using ultrasonic waves and dispersing the powdered dye in a colloid solution using a surface active agent as a dispersion aid, or a method of dissolving dye solids in alkaline water and dispersing the solution in an acidic aqueous colloid solution.
- It is preferred that for the dye or the aqueous colloid solution is used together with an organic acid such as citric acid, oxalic acid, acetic acid, tartaric acid, etc.
- The silid fine grains of dye for use in this invention may be fine crystals of the dye, micell-structural fine grains of the dye, or finely aggregated particles of the dye. The grains size of the solide fine grains can be measured by observing the section of a colloid layer containing them using a transmission type electron microscope.
- For dispersing solid fine grains of dye, a dye which is substantially insoluble in an aqueous solution having pH of not higher than 7 and has a hydrophilic group substantially not causing proton-dissociation at
pH 7 or less but causing the dissociation at pH of at least 9, such as a hydroxy group, a carboxy group, an amino group, a sulfamoyl group, etc., is advantageously used in this invention. The term "substantially insoluble in an aqueous solution" as used herein means that the dispersed fine grains are insoluble to an extent capable of keeping the dispersed state in a hydrophilic colloid such as an aqueous gelatin solution having pH of not higher than 7. - A dye having a solubility in an aqueous solution of
pH 7 or less at room temperature (24 C) of not more than 10% by weight, and preferably not more than 5% by weight is preferred. - The dyes can be selected from conventional known dyes, for example, arylidene dyes, styryl dyes, butadiene dyes, oxonole dyes, cyanine dyes, merocyanine dyes, hemicyanine dyes, diarylmethane dyes, triaryl dyes, azomethine dyes, azo dyes, metal-chelated dyes, anthraquinone dyes, styibene dyes, chalcone dyes and indophenol dyes. In addition, they may also be selected from the dyes described in U.S. Patents 3,880,658, 3,931,144, 3,932,380, 3,932,381 and 3,942,987 and in J. Fabian & H. Hartmann, Light Absorption of Organic Colorants (published by Springer Verlag) as well as from non-diffusive analogues thereof.
- The dyes for use in the present invention, which have the coincidense with the light absorption characteristic and which can be decolored after development processings, can be selected from the functional dyes described in JP-A-63-271351, the dyes of formula (I) described in JP-A-62-21527, JP-A-62-293243 (pages 109 to 117), JP-A-63-208846 and JP-A-63-316853 and the dyes of the formula (II) described in Japanese Patent Application No. 62-226131. For the antihalation purpose of the present invention, dyes having a light absorption in the spectral sensitivity wavelength range of the light-sensitive layer or layers, preferably the layer adjacent to the colored layer, to be provided on the colored layer are used; and for correction of the light-sensitivity range, dyes having a light absorption in the sensitivity wavelength range to be corrected are used. 80% or more of the dye to be used in the photographic emulsion layer or in other constitutional layers is preferably contained in the cationic polymer-containing layer. The amount of dye to be added is advantageously from 0.01 to 10, preferably from 0.2 to 1, as the number of the anion groups in the dye, per cation site of the cationic polymer.
- Preferred dyes for use in the present invention, include the dyes described in JP-A-63-139947, JP-A-63-244034, JP-A-63-264745, Japanese Patent Application Nos. 61-314428, 62-226121, 62-277669 and 62-284448 for anti-halation; and the dyes described in JP-A-63-200146, Japanese Patent Application Nos. 62-239032, 62-264396, 62-261052 and 62-247477 for correction of the spectral sensitivity.
- Especially preferred dyes for use in the present invention, include the dyes described in JP-A-63-139949, JP-A-63-244034, JP-A-63-316853, Japanese Patent Application Nos. 62-226131, and 62-284448 and JP-A-62-123454.
-
- Dye-18, Dye-37 and Dye-43 described above are suitable for the solid fine grain dispersion and furthermore, Dye-45 can be also used for the solid fine grain dispersion.
- The dyes for use in this invention shown by formulae (II), (III), (IV), (V) and (VI) described above are particularly preferred for the solid fine grain dispersion. In particular, when the aforesaid dye is used for a colored layer (e.g., a colored layer utilizing colloidal silver and a layer colored by utilizing a cation polymer capable of providing cation site as a mordant), the following features can be obtained.
- (1) Proper spectral absorption characteristics can be easily selected according to the using purpose of the colored layer, such as, for example, a filter layer and an antihalation layer.
- (2) The dye is photochemically inactive and thus the dye does not chemically desensitize and fog an adjacent silver halide light-sensitive emulsion layer and does not fade latent images.
- (3) The dye is easily dissolved off and decolored at photographic processing. Residual color or stain can not be seen.
- (4) The solid fine grains of the dye do not diffuse into other layer(s). The solid fine grains have a high stability with the passage of time and further do not cause discoloring and fading.
- These features are useful for the antihalation layer and the filter layer for correcting spectral sensitization distribution of color photographic materials for color print using a reflective support, such as color photographic papers, direct positive color photographic papers, and color reversal photographic papers. In the case of using the dye for the filter layer, it is preferred that the filter layer is properly formed while changing the layer construction of light-sensitive layers constituting the color photographic material, such as a blue-sensitive layer (BL), a green-sensitive layer (GL), and a red-sensitive layer (RL). Usually, a filter layer can be formed by incorporating the solid fine grains of the dye in an interlayer. Furthermore, it is preferred to use a combination of the solid fine grains of the dye and the aforesaid acidic dye.
-
- wherein A2 (two A2 groups may be the same or different) represents an acid nucleus having at least one substituent selected from a carboxyphenyl group, a sulfamoylphenyl group, a sulfonamidophenyl group, a carboxyalkyl group, and a hydroxyphenyl group (said acid nuclei may further have a substituent in addition to the aforesaid group), said acid nucleus being selected from 2-pyrazolin-5-one, rhodanine, hydantoin, thiohydantoin, 2,4-oxazolinedione, isoxazolinedinone, barbituric acid, thiobarbituric acid, indandione, and hydroxypyrridlone;
- 82 represents a basic nucleus having at least one substituent selected from a carboxy group, a sulfamoyl group, and a sulfonamido group (said basic nuclei may further have a substituent in addition to the aforesaid group), said basic nuclei being selected from pyridine, quinoline, indolenine, oxazole, benzoxazole, naphthoxazole, and pyrrole; R4o represents a hydrogen atom or an alkyl group; R41 and R42 each represents a substituted or unsubstituted alkyl group, a substituted or unsubstituted aryl group, an acyl group, or a sulfonyl group, said R4, and R42 may combined with each other to form a 5- or 6-membered ring; R43 and R46 each represents a hydrogen atom, a hydroxy group, an alkoxy group or a halogen atom; R44 and R45 each represents a hydrogen atom; or R4, and R44 or R42 and R45 form a non-metallic atomic group necessary for forming a 5- or 6-membered ring by the combination thereof; Li, L2, and L3 each represents a substituted or unsubstituted methine group; X3 and Y3 each represents an electron attractive group, either X3 or Y3 having at least one carboxyphenyl group, sulfamoylphenyl group, sulfonamidophenyl group, carboxyalkyl group, or hydroxyphenyl group; m represents 0 or 1; n represents 0, 1, or 2; and p represents 0 or 1, when p is 0, said R43 represents a hydroxy group or a carboxy group and said R44 and R45 represent a hydrogen atom.
- Then, the formulae (II), (III), (IV), (V), and (VI) described above are explained in detail.
- The carboxyphenyl group of the acidic nucleus shown by A2 and the carboxyphenyl group of the electron attractive group shown by X3 or Y3 include not only a phenyl group having only one carboxy group but also a phenyl group having 2 or 3 carboxy groups. Also, the sulfamoylphenyl group, the sulfonamidophenyl group, and the hydroxyphenyl group of the acid nucleus shown by A2 and of the electron attractive group shown by X3 or Y3 each includes not only a phenyl group having only one sufamoyl group, sulfanamido group or hydroxy group but also a phenyl group having 2 or 3 sufamoyl groups, sulfonamido groups, or hydroxy groups. The aforesaid carboxyphenyl group or the sulfamoylphenyl group, sulfonamidophenyl group and hydroxyphenyl group each may further have other substituent than the aforesaid groups [as to the substituent, there is no particular restriction if the substituent is a dissociative substituent having pKa (acid dissociation constant) in a solution of water and ethanol (1 : 1 by volume ratio) of at least 4 or a non-dissociative substituent].
- Practical examples of these groups are 4-carboxyphenyl, 3,5-dicarboxylphenyl, 2,4-dicarboxyphenyl, 3-carboxyphenyl, 2-methyl-3-carboxyphenyl, 3-ethylsulfamoylphenyl, 4-phenylsulfamoylphenyl, 2-carboxyphenyl, 2,5-dicarboxyphenyl, 2,4,6-trihydroxyphenyl, 3-benzenesulfonamidophenyl, 4-(p-cyanobenzenesul- fonamido)phenyl, 3-hydroxyphenyl, 2-hydroxyphenyl, 4-hydroxyphenyl, 2,4-dihydroxyphenyl, 3,4,5-trihydroxyphenyl, 2-hydroxy-4-carboxyphenyl, 3-methoxy-4-carboxyphenyl, and 2-methyl-4-phe- nyisulfamoylphenyl. Such a group may be bonded to the acidic nuclei or the electron attractive group directly or through a methylene group, an ethylene group, or a propylene group.
- The carboxyalkyl group of the acidic nucleus shown by A2 or of the electron attractive group shown by X3 or Y3 has preferably from 1 to 10 carbon atoms and specific examples thereof are carboxymethyl, 2-carboxyethyl, 3-carboxypropyl, 2-carboxypropyl, 4-carboxybutyl, and 8-carboxoctyl.
- The alkyl group shown by R40, R43, or R46 has preferably from 1 to 10 carbon atoms and specific examples thereof are methyl, ethyl, n-propyl, isoamyl, and n-octyl.
- The alkyl group shown by R41 or R42 has preferably from 1 to 20 carbon atoms and specific examples thereof are methyl, ethyl, n-propyl, n-butyl, n-octyl, n-octadecyl, isobutyl, and isopropyl. The alkyl group may have a substituent [such as a halogen atom (e.g., chlorine, bromine, etc.), a nitro group, a cyano group, a hydroxy group, a carboxy group, an alkoxy group (e.g., methoxy and ethoxy), an alkoxycarbonyl group (e.g.. methoxycarbonyl and i-propoxycarbonyl), an aryloxy group (e.g., phenoxy), a phenyl group, and amido group (e.g., acetylamino and methanesulfonamido), a carbamoyl group (e.g., methylcarbamoyl and ethylcarbamoyl), and a sulfamoyl group (e.g., methylsulfamoyl and phenylsulfamoyl)].
- The aryl group shown by R41 or R42 is preferably a phenyl group or a naphthyl group and may have a substituent such as the group illustrated above as the substituent for the alkyl group shown by R4.1 or R42 and an alkyl group (e.g., methyl and ethyl).
- The acyl group shown by R41 or R42 has preferably from 2 to 10 carbon atoms and specific examples thereof are acetyl, propionyl, n-octanoyl, n-decanoyl, isobutanoyl, and benzoyl.
- As the alkylsulfonyl group and the arylsulfonyl group shown by R4, and R4.2, there are methanesulfonyl, ethanesulfonyl, n-butanesulfonyl, n-octanesulfonyl, benzenesulfonyl, p-toluenesulfonyl, o-carboxybenzeen- sulfonyl, etc.
- The alkoxy group shown by R43 or R46 has preferably from 1 to 10 carbon atoms and specific examples thereof are methoxy, ethoxy, n-butoxy, n-octoxy, 2-ethylhexyloxy, isobutoxy, and isoporpoxy.
- As the halogen atom shown by R43 or R46, there are chlorine, bromine, and fluorine.
- As the ring formed by R4, and R44 or by R42 and R4s, there is, for example, a durolysine ring.
- Also, examples of the 5- or 6-membered ring formed by R41 and R42 are, for example, a piperidine ring, a morpholine ring, and a pyrrolidine ring.
- The methine group shown by L), L2, and L3 may have a substituent such as methyl, ethyl, cyano. phenyl, hydroxypropyl, chlorine atom, etc.
- The electron attractive groups shown by X3 and Y3, which may be the same or different, each is a cyano group, a carboxy group, an alkylcarbonyl group which may be substituted (e.g., acetyl, propionyl, heptanoyl, dodecanoyl, hexadecanoyl, and 1-oxo-7-chloroheptyl), an arylcarbonyl group which may be substituted (e.g., benzoyl, 4-ethoxycarbonylbenzoyl, and 3-chlorobenzoyl), an alkoxycarbonyl group which may be substituted (e.g., methoxycarbonyl, ethoxycarbonyl, butoxycarbonyl, t-amyloxycarbonyl, hexyloxycarbonyl, 2-ethylhexyloxycarbonyl, octyloxycarbonyl, decyloxycarbonyl, dodecyloxycarbonyl, hexadecylox- ycarbonyl, octadecyloxycarbonyl, 2-butoxyethoxycarbonyl, 2-methylsulfonylethoxycarbonyl, 2-cyanoethoxycarbonyl, 2-(2-chloroethoxy)ethoxycarbonyl, and 2-[2-(2-chloroethoxy)ethoxy]ethoxycarbonyl), an aryloxycarbonyl group which may be substituted (e.g., phenoxycarbonyl, 3-ethylphenoxycarbonyl, 4-ethylphenoxycarbonyl, 4-fluorophenoxycarbonyl, 4-nitrophenoxycarbonyl, 4-methoxyphenoxycarbonyl, and 2,4-di(t-amyl)phenoxycarbonyl), a carbamoyl group which may be substituted (e.g., carbamoyl, ethylcarbamoyl, dodecylcarbamoyl, phenylcarbamoyl, 4-methoxyphenylcarbamoyl, 2-bromophenylcarbamoyl, 4-chlorophenylcarbamoyl, 4-ethoxycarbonylphenylcarbamoyl, 4-propylsulfonylphenylcarbamoyl, 4-cyanophenylcarbamoyl, 3-methylphenylcarbamoyl, 4-hexyloxyphenylcarbamoyl, 2,4-di-(t-amyl)-phenylcarbamoyl, 2-chloro-3-(dodecyloxycarbonyl)phenyl carbamoyl, and 3-(hexyloxycarbonyl)-phenylcarbamoyl), a sulfonyl group (e.g., methylsulfonyl and phenylsulfonyl), or a sulfamoyl group which may be substituted (e.g., sulfamoyl and methylsulfamoyl).
-
- The aforesaid dyes for use in this invention can be easily synthesized by the methods described in PCT Patent WO 88/04794, European Patent EP 274,723A1, JP-A-52-92716, 55-155350, 55-155351, 61-205934, and 48-68623, U.S. Patents 2,527,583, 3,486,897, 3,746,539, 3,933,798, 4,130,429, and 4,040,841 and by similar manners to the aforesaid methods.
- In accordance with the present invention, the cationic polymer is dispersed in the hydrophilic colloid in the form of an aqueous solution or a latex. In the former case of a water-soluble cationic polymer, a dye may further be added to give a coating liquid for the colored layer. In the latter case of a cationic polymer latex, a master coating liquid to which previously a dye is added may be diluted and dispersed in the hydrophilic colloid to form a coating liquid. The dispersion containing a water-soluble cationic polymer would coagulate relatively easily, thus, a small amount of dye is used relative to the cationic polymer. The amount of the cationic polymer to be used is, although this can vary in accordance with the condition in the use thereof, preferably from about 1 g to about 100 g, more preferably from about 1 to about 50 g, especially preferably from about 1 to about 20 g, per 100 g of the hydrophilic protective colloid. The cationic polymer is used in an amount of 0.1 or more, preferably from 0.3 to 50, especially preferably from 1 to 30, as the number of the cation sites of the polymer, per one anionic group of the anionic compound of the dye to be used. The amount of the water-soluble cationic polymer to be used is preferably from 1 to 20 g per 100 g of the hydrophilic protective colloid, and it corresponds to from 5 to 30 cation sites of the polymer to one anionic group of an acidic dye.
- The coating liquid for the colored layer contains a non-ionic, ampholytic or anionic surfactant, and preferably it contains a cationic surfactant. In the case of a water-soluble cationic polymer, it is preferably combined with a polymer latex dispersion, especially with a cationic polymer latex dispersion. The water soluble cationic polymer and the cationic polymer latex dispersion may be used in an optional proportion, however, it is preferable that the weight ratio of the amount of the polymer in the latex dispersion to the amount of the water soluble cationic polymer is not more than 1/2.
- The mean grain size of the fine grains of the cationic polymer latex for use in the present invention is 1 u.m or less, preferably from 1 to 0.001 µrn, especially from 0.2 to 0.01 urn, and the grain size distribution of the grains is preferably narrow. Other polymer latexes as described in U.S. Patents 3,411,911 and 3,411,912 and JP-B-45-5331 can also be co-used in the photographic constitutional layers. For instance, when an anionic compound such as an acidic dye is adsorbed on the polymer and dispersed, it is preferred that the anionic compound is previously adsorbed on the cation site of the polymer and then dispersed. By such a dispersion method, the anionic compound is prevented from being desorbed by the action of the coexisting anionic surfactant and the anionic group for the hydrophilic colloid itself.
- The colored layer is coated on the support, and it may be directly coated on the white pigment-containing waterproof resin layer and dried thereon. It is preferred to provide an interlayer between the support and the colored layer. Any other silver halide light-sensitive layer may be inserted between the two layers. Two or more colored layers may be provided in a photographic material. It is preferred to provide the colored layer between the support and a silver halide light-sensitive layer closest to the support. It is also preferred that the colored layer is provided so that the spectral sensitivity distribution of the silver halide light-sensitive layer between the colored laeyr and the support may be corrected.
- Depending on the position of the colored layers, dyes included therein are usually and preferably differ from each other.
- When a blue sensitive layer, a green sensitive layer, a red sensitive layer and a protective layer, for example, are provided on a support in this order, the colored layer may be provided between the support and the blue sensitive layer. In this case the colored layer acts as an antihalation layer. The colored layer may also be provided between two emulsion layers, for example, between the green sensitive layer and the red sensitive layer. In this case the colored layer acts as an antihalation layer for the red sensitive layer and also acts as an irradiation inhititing layer having light filtering effect for the green and blue sensitive layers (also acts as an antihalation layer).
- The thickness of the colored layer is from 0.1 to 10 u.m, preferably from 0.2 to 5 /.I.m. The maximum spectral reflection density thereof is preferably 0.2 or more, especially preferably from 0.3 to 1.5.
- The silver halide emulsion to be used for preparing the photographic material of the present invention is preferably a silver chlorobromide emulsion, and it may be prepared in accordance with the methods described in P. Glafkides, Chimie et Physique Photographique (published by Paul Montel, 1967), G.F. Duffin, Photographic Emulsion Chemistry (published by Focal Press, 1966), V.L. Zelikman et al, Making and Coating Photographic Emulsion (published by Focal Press, 1964). Specifically, it may be prepared by any method including the acid method, neutral method and ammonia method, but it is preferably prepared by the acid method. The reaction of the soluble silver salt and soluble halide(s), can be carried out by methods including the single jet method, double jet method or combination thereof. The double jet method is especially preferred so as to obtain the monodispersed grains for use in the present invention. A so-called reverse mixing method where grains are formed under conditions of excess silver ions can also be employed. One type of the double jet method, i.e., a so-called controlled double jet method, where the silver ion concentration in the liquid phase to form silver chlorobromide is kept constant, may also be used. According to the method, a mono-dispersed silver chlorobromide emulsion which comprises grains having a regular crystal form and having a narrow grain size distribution and which is suited for use in the present invention can be obtained.
- The above-mentioned grains which are preferably used in the present invention are desirably prepared on the basis of the double jet method. Suitable silver halide composition include compositions having a silver chloride content of 15 mol% or more. The silver chloride content is preferably 95 mol% or more, and more preferably 98 mol% or more for the photographic material which is required to have rapid processability. The composition of the silver halide may contain silver iodide in an amount not exceeding 1 mol%, but the photographic material which is required to have rapid processability desirably contains no silver iodide.
- When the silver hallide grains for use in the present invention are silver chlorobromide grains having a silver chloride content of 90 mol% or more, they are preferably hetero-structural grains having a "locallized phase" where the silver bromide content is different from that in the adjacent phase.
- The localized phase may be in the inside and/or on the surface of the silver halide grain. The localized phase may be on the surface of the grain non-uniformly or discontinuously or isolated from others on the surface Above all, the localized phase is preferably on the surface of the silver halide grain non-uniformly or is isolated from others. The silver bromide content in the locallized phase is preferably at least 5 mol%, more preferably 10 mol% or more, esepcially preferably 20 mol% or more. The upper limit is preferably 70 mol%. If the silver bromide content is too high, the material would be desensitized under pressure, or the sensitivity or gradation would fluctuate in continuous development processing. The silver bromide content in the locallized phase as well as the difference in the silver bromide content between the locallized phase and the base phase (area other than the locallized phase in the grain) is varied depending on the proportion of the silver bromide to the total silver halide, the molar ratio of the bromide used, the speed of feeding the water-soluble bromide to base grains and the pAg and pH of the reaction solution in forming the silver halide grains. For forming a locallized phase in the silver halide grain as a layer, a silver nitrate solution and a halogen ion are added at a determined ratio, during the step of forming the base grain or after forming the same, while properly controlling the pAg and pH values in the reaction system. Alternatively, the silver chloride on the surface of the grain may be substituted by silver bromide by halogen substitution. The so-called CR-compounds described in, for example, EP 0273404, EP 0273429, EP 0274330, BP 2,206,974 and JP-A-63-235939 are used and a water-soluble bromide and silver nitrate are added to the base grains or fine silver bromide grains are added thereto for physical-ripening, whereby the nonuniform or isolated locallized phase, which are especially advantageous for the silver halide grains for use in the present invention, is formed on the base grain.
- The hetero-structual grains for use in the present invention advantageously contain a metal ion selected from metal ions Group VIII in the Periodic Table, for example, an iron ion, rhodium ion, iridium ion or platinum ion. Especially, the metal ion is preferred to be incorporated into the locallized phase or the base phase of the silver halide grains in a different concentration. For instance, it is preferred that iridium ion or iron ion is incorporated into the locallized phase while a different metal ion selected form osmium, iridium, platinium, ruthenium, palladium, cobalt and nickel ions or a complex ion thereof is incorporated into the base phase in combination. Other metal ions of cadmium, zinc, lead, mercury and thallium ions may also be used. The amount of the metal ion to be incorporated into the silver halide grain is from 10-8 to 10-5 mol per mol of silver halide.
- The silver bromide content in the locallized phase can be analyzed by an X-ray diffraction method (for example, as described in "New Experimental Chemistry, Lecture Vt. Analysis of Structure" (edited by Japan Chemical Society and published from Maruzen, Japan) or XPS method (for example, as described in "Surface Analysis - Application of IMA, Auger Electron and Photoelectronic Spectrography" (published by Kodansha,Japan).
- The silver bromide content in the locallized phase as existing non-uniformly or being isolated on the surface of the silver halide grain, especially in the edges or corners thereof, can be determined by the EDX (energy dispersive X-ray analysis) method (for example, described in H. Soejima, Electron Ray Microanalysis, published from Nikkan Kogyo Newspaper Co., 1987), with an EXD spectrometer as installed in a transmission type electron microscope, up to an accuracy of about 5 mol% with an aperture of from about 0.1 to about 0.2 u.m diameter.
- The silver halide grains for use in the present invention may be regular crystal grains, for example, cubic or 6-hedral or 14-hedral grains having (100) plane on 8-hedral grains having (111) plane, or may also be tabular grains. Such silver halide grains can selectively be formed by properly adjusting the pAg or pH value in the reaction solution for forming the silver halide grains, or by selectively using CR-compounds having a function of selectively adsorbing to (100) plane or (111) plane (for example, described in the above-mentioned patent specifications) or using any other appropriate organic compounds. In particular, 6- hedral or 14-hedral silver halide grains having (100) plane and having the locallized phase in the corner parts of the surface thereof as well as tabular silver halide grains having the locallized phase in the corner parts or edge parts of the surface thereof are preferred for use in the present invention.
- The color photographic paper of the present invention is processed by a "printer processor" as described in, for example, JP-A-62-184446 to form an image. It is first imagewise exposed, for example, with a CRT exposure system and then, generally, immediately subjected to color development. The color photographic paper of the present invention which contains a silver chloride-rich silver halide emulsion is especially preferred to be rapidly processed.
- The balance of the red-sensitivity (SR), green-sensitivity (SG) and blue-sensitivity (SB) in general color photographic papers is low in the order of S8, Sα and SR. The light emitted from red-fluorescent bodies has a wavelength falling near the range of from 600 to 630 nm and near 700 nm, and therefore the bodies could hardly match with the red-sensitive wavelength for color photographic materials. In accordance with the present invention, elevation of the spectral sensitivity of color photographic materials (3) as well as improvement of the proper wavelength distribution of the spectral sensitivity thereof is especially important.
- The characteristic aspects of the color photographic materials (3) of the present invention are as follows: First, a silver chlorobromide emulsion having a high silver chloride content is used for the purpose of attaining rapid processing of the material. Second, multi-layered silver halide grains (halogen composition distribution) are used and the grains are particularly chemically sensitized and spectrally sensitized, for the purpose of obtaining a sufficient spectral sensitivity necessary for compensating the sensitivity as lowered because of the dye added to the material so as to efficiently inhibit the diffusion of the luminous flux of the light applied to the material for exposure thereof. Third, an anti-halation layer is provided on a new support.
- The silver chloride-rich silver chlorobromide emulsion for use in the present invention is preferably one which can form a latent iamge mainly on the surface of the silver chlorobromide grains.
- The silver chlorobromide emulsion for use in the photographic material (3) of the present invention is one substantially comprising silver chloride or silver chlorobromide, and it has a silver iodide content of 2 mol% or less, preferably 1 mol% or less, especially preferably 0.1 mol% or less. It has a silver chloride content of at least 50 mol% or more, preferably 80 mol% or more, more preferably 90 mol% or more, especially preferably 95 mol% or more. The balance component may be silver bromide, silver iodide or silver rhodanide. The halogen components preferably form layers in the inside or surface of the silver halide grains, or are preferred to be differently and discontinuously isolated from others. Especially preferably, a silver bromide-locallized phase which has a higher silver bromide content than the adjacent phases and is near the surface of the grain in layers or is discontinuously isolated from others, is used. The silver content in the localized phase is 5 mol% or more, preferably 10 mol% or more, especially preferably from 20 mol% to 70 mol%.
- The silver halide grains to be contained in the silver halide emulsion for use in the photographic material (3) of the present invention may have any crystal habit, but they are preferably regular crystal grains such as cubic, 14-hedral or 8-hedral grains or tabular grains rather than spherical grains or polymorphic grains. The silver halide grains are preferably multi-layered grains having different crystal structures in the inside of the grain or near the surface thereof. Especially preferred are grains having a layered structure composed of different halogen compositions or grains having a silver bromide-locallized phase near the surface of the grain. When the grains are core/shell grains, it is preferred that the silver chloride content in the core part is higher than that in the shell part.
- Silver halide grains having a high silver chloride content (hereinafter referred to as "high silver chloride grains" for use in the photographic material of the present invention are generally formed only in the form of cubic grains composed of (100) plane, but they may be obtained also in the form of 8-hedral grains having (111) plane or tabular grains, as the case may be, by any particular means. Preparation of 8-hedral grains having (111) plane is disclosed in JP-A-63-212932, JP-A-55-26589, Claes et al, Journal of Photographic Science, Vol. 21, page 39 (1973) and Wyrsh, International Congress of Photographic Science, III-13, page 122 (1978). The method described in JP-A-63-212932 is preferred.
- For forming regular crystal grains having (111) plane, the compound as represented by the general formula (I) or (II) mentioned in JP-A-63-212932, or a compound of a formula:
where Z1 represents an atomic group which comprises carbon, nitrogen, oxygen and/or sulfur atoms to form a 3-membered to 8-membered hetero ring together with the sulfur atom in the formula.or a compound of a formula: where n represents an integer of from 1 to 3 and Z2 represents an atomic group for forming a'3-membered to 8-membered ring together with the oxygen atom and the thiocarbonyl group in the formula, as described in JP-A-63-25643,pages 2 to 6 is preferably added during formation of the grains, especially preferably during the step of growing the grains after formation of the core grains, thereby to control the crystal habit of the grains to be formed. For formation of tabular grains for use in the present invention, the above-mentioned sulfur-containing heterocyclic compound or a compound of a formula: R1 - S - (X)m - Y - R2
where X represents a divalent group, including an alkylene, arylene, alkenylene, -502-, -SO-, -0-, -S-, -CO-or -NR3-, R, represents a hydrogen atom, an alkyl group, an aryl group or a heterocyclic group, R2 represents a hydroxyl group, an alkyl group, an aryl group, a heterocyclic group, an amino group, an alkoxy group or an arylthio group, Y represents -CO- or -S02-, m represents 0 or 1, R3 represents a hydrogen atom, an alkyl group or an aryl group, and the groups may optionally be further substituted, as described in JP-A-63-41845, is preferably added during the formation of the grains for the purpose of controlling the crystal habit of the grains to be formed. In particular, in formation of high silver chloride-tabular grains, the chloride concentration in the aqueous gelatin solution to be added during formation of the core grains is advantageously low, i.e., 0.15 mol/liter or less. The chloride concentration during the step of growing the grains is preferably 5 mol/liter or less, especially from 0.07 to 3 mol/liter. - The silver chlorobromide grains for use in the photographic material (3) can be formed by growing grains after forming of core grains by adding silver ion and a chloride or bromide or a mixture thereof thereto preferably in the presence of the above-mentioned crystal habit-controlling compound. Preferably, for forming the grains fine silver halide grains, for example fine silver bromide grains or fine silver chloride grains or a mixture thereof may be blended with a silver chloride, silver bromide or silver chlorobromide emulsion. By recrystallization or halogen-conversion of the silver halide, layer-structured grains or grains having an isolated and localized phase in the surface of the grain can be formed. Formation of the grains is preferably effected at 10 to 95 C, especially at 40 to 90 C.
- Suitable silver halide solvents which can be used in formation of the grains include thiocyanates, thioethers and thioureas. Ammonia may also be used in an amount which does not badly interfer with the formation of the grains.
- For instance, thiocyanates (for example, those described in U.S. Patents 2,222,264, 2,448,534 and 3.320.069), thioether compounds (for example, those described in U.S. Patents 3,271,157, 3,574,628, 3,704.130, 4,297,439 and 4,276,347), thione compounds (for example, those described in JP-A-53-144319, JP-A-53-82408 and JP-A-55-77737) and amine compounds (for example, those described in JP-A-100717) can be used for this purpose.
- In the step of forming the silver halide grains or in the step of physical ripening of the grains formed, a cadmium salt, a zinc salt, a lead salt, a thallium salt, an indium salt or a complex salt thereof, a rhodium salt or a complex salt thereof, or an iron salt or a complex salt thereof may be added. In particular, use of an iridium salt, rhodium salt, iron salt or complex salt thereof is preferred.
- In the step of preparing the silver halide grains for use in the present invention, a silver salt solution (for example, aqueous AgN03 solution) and a halide solution (for example, aqueous NaCl solution) are added for the purpose of accelerating the speed of grain formation. Preferably, the addition speed, the amount of the solutions to be added and the concentration of the solutions are elevated so as to accelerate the speed of grain formation.
- Details of this method, for example, are disclosed in British Patent 1,335,925, U.S. Patents 3,672,900, 3,650.757 and 4,242,445 and JP-A-55-142329, JP-A-55-158124, JP-A-58-113297, JP-A-58-113928, JP-A-58-111934 and JP-A-58-111936.
- The structure of the surface and near the surface of the high silver chloride grains of the present invention is important for the sensitivity, stability and reciprocity characteristics of the emulsions and for the stability of the latent images to be formed. In the final step of forming the silver halide grains, for example, after 85 mol% or more of the total silver halide grains have been grown up to the intended degree, the method of forming grains as well as CR-compounds (inhibitor for halogen conversion or chemical sensitization) described in Japanese Patent Application No.s 62-86252, 62-329265 and 62-152330 are preferably employed.
- If a halide is added to the silver halide grains, after the CR-compound (discussed hereinafter) has been adsorbed thereto, the halide is preferably a halogen-donor which can control the feeding speed of chloride ion or bromide ion or control the amount of the ion to be fed. According to the method, a silver bromide-locallized phase which has a silver bromide content different from the adjacent phase may be formed in the surface and/or near the surface of the silver halide grain.
- The high silver chloride emulsion of the photographic material contain silver halide grains having a diameter preferably of from 0.1 to 3 u. or so as the diameter of a circle corresponding to the projected area of the grain, in an amount of 50% or more of the total grains as the projected area thereof. When the grains are tabular grains, the ratio of the circle-corresponding diameter to the grain thickness (hereinafter referred to as "aspect ratio") is preferably 2 or more, more preferably from 3 to 10, especially preferably from 5 to 8. The high silver chloride emulsion of the present invention is preferably a monodispersed emulsion, and the emulsion preferably has a dispersion coefficient of the circle-corresponding diameter (ratio of the standard deviation of the circle- corresponding diameter to the mean grain size) of 0.15 or less.
- Another characteristic feature of the present invention resides in the method of chemical sensitization of the silver halide grains. Specifically, in accordance with the chemical sensitization of the present invention, the emulsion containing high silver chloride grains having a localized phase is subjected to gold sensitization, especially to a combination of sulfur sensitization and gold sensitization, in the presence of a compound for controlling the chemical sensitization. This method is especially preferred to apply for production of the photographic material (3).
- The high silver chloride emulsion to be subjected to gold sensitization is especially a green-sensitive emulsion and a red-sensitive emulsion. Especially preferably, a red-sensitive emulsion is gold-sensitized.
- The conditions (e.g., pH, pAg, temperature, time) for gold sensitization for the emulsions of the present invention is not specifically limited, but the pH value is preferably from 3.0 to 8.5, especially from 5.0 to 7.5, the pAg value is preferably from 5.0 to 9.0, especially from 5.5 to 7.5, the temperature is preferably from 40 to 85 C, especially from 45 to 75' C, and the time is preferably from 10 to 200 minutes, especially from 30 to 120 minutes.
- Preferred gold sensitizer compounds include the compounds described in U.S. Patents 2,399,083, 2,540,085, 2,540,086 and 2,597,856. For example, suitable compounds include chloroauric acid and salts thereof, potassium gold cyanide, potassium gold thiocyanate and gold sulfide. Intensification of gold sensitization by the combined use of thiocyanates as well as use of tetra-substituted thiourea compounds in combination with the gold sensitizer for gold sensitization, as described in JP-B-59-11892, is also advantageous.
- Suitable sulfur sensitizers which can be used in combination with the-gold sensitizers include, for example, thiosulfates, sulfinic acid salts, thioureas, thiazoles, rhodanines and other compounds described in U.S. Patents 1,574,944, 2,410,689, 2,728,668 and 3,656,955. In addition, the sulfur-containing compounds described in U.S. Patents 3,857,711, 4,266,018 and 4,054,457 can also be used for the purpose.
- The amount of the gold sensitizer to be used in accordance with the present invention is from about 10-8 mol to about 10-5 mol per mol of silver halide and is selected so that it may elevate sensitivity with low fog. By combination with a chemical sensitization-inhibitor, it may be used in a relatively small amount to attain a high sensitivity with low fog. Use of the gold sensitizer in a relatively small amount in accordance with the intended sensitivity is preferred.
- Regarding the amount of the sulfur sensitizer to be used together with the gold sensitizer, an optimum amount may be selected in accordance with the grain size, temperature of chemical sensitization, and other conditions of pAg and pH. For instance, the sulfur sensitizer may be used in an amount of from 10-7 to 10-3 mol, preferably from 5x10-7 to 10-4 mol, more preferably from 5 x 10-7 to 10-5 mol, per mol of silver halide. When gold/sulfur sensitization is effected in combination, the chemical sensitization is preferably conducted in the presence of sulfur sensitizer and gold sensitizer in a ratio of at least 100/250 by mol%.
- The silver halide emulsion of the present invention can be processed with an oxidizing agent, after the formation of the grains. This method is discussed in JP-A-60-136736. Hydrogen peroxide can be used as the oxidizing agent.
- At least one compound represented by anyone of the following formulae (S-I) to (S-III) is preferably added to the high silver chloride emulsion for use in the present invention, especially when a gold sensitizer is used, to noticeably effectively inhibite fog formation. It may be added to the emulsion at any time in the step of forming grains, the step of desalting, the step of chemical-ripening or immediately before coating. Especially preferably, it is added in. the step of forming grains, desalting or chemical-ripening, and particularly before the addition of the gold sensitizer to the emulsion. Compounds containing a thiosulfonyl group of formulae (S-I), (S-II) and (S-III) are mentioned below. (S-I) Z-SO2S-M
- In these formulae, Z represents an alkyl group, an aryl group or a heterocyclic group, which are or are not further substituted. Y represents an atomic group necessary for forming an aromatic ring or hetero ring, which is or is not further substituted. M represents a metal atom or an organic cation. n represents an integer of from 2 to 10.
- Substituents for the alkyl group, aryl group, aromatic ring or heterocyclic ring include a lower alkyl group such as methyl or ethyl group, an aryl group such as phenyl group, an alkoxy group having from 1 to 8 carbon atoms, a halogen atom such as chlorine, a nitro group, an amino group and a carboxyl group.
- The alkyl group for Z has from 1 to 18 carbon atoms; and the aryl group and aromatic ring for Z and Y independently have of from 6 to 18 carbon atoms.
- The hetero ring represented by Z and that including Y include thiazole, benzothiazole, imidazole, benzimidazole and oxazole rings. When M is a metal cation, M preferably represents alkali metal cations such as sodium or potassium ion as well as organic cations such as ammonium or guanidinium ions.
-
- k L-cysteine-disulfoxide
- t H5C2·SO2·S·K
- m H17C8·SO2SNa
- The compounds of the formulae (S-I), (S-II) and (S-III) can be used together with sulfites or sulfinic acid salts such as alkylsulfinic acid salts, arylsulfinic acid salts or heterocyclic sulfinic acid salts.
- The silver halide emulsion for use in the present invention is preferably physically ripened in the presence of a known silver halide solvent (for example, ammonia, potassium thiocyanate or thioether or thione compounds described in U.S. Patent 3,271,157 and JP-A-51-12360, JP-A-53-82408, JP-A-53-144319, JP-A-54-100717 and JP-A-54-155828), whereby it may be converted into a monodispersed silver halide emulsion having a regular crystal shape and a narrow grain size distribution.
- In order to remove soluble silver salts from the physically ripened emulsion, the emulsion may be subjected to noodle washing, flocculation precipitation or ultrafiltration.
- The silver halide emulsion for use in the present invention can be chemically sensitized by sulfur sensitization, selenium sensitization, reduction sensitization and/or noble metal sensitization. Such chemical sensitization methods may be effected singly or in combination. Specifically, the emulsion may be treated by a sulfur sensitization method using a sulfur-containing compound capable of reacting with active gelatin or silver ion (e.g., thiosulfates, thiourea compounds, mercapto compounds, rhodanine compounds), reduction sensitization method using a reducing substance (e.g., stannous salts, amines, hydrazine derivatives, foramidinesulfinic acids, silane compounds) and/or noble metal sensitization method using a metal compound (e.g., gold complexes or complexes of metals of VIII group of the Periodic Table such as Pt, Ir, Pd, Rh or Fe). These method can be used singly or in combination thereof. A monodispersed silver chlorobromide emulsion is preferably sensitized by sulfur sensitization or selenium sensitization, advantageously in the presence of a hydroxyazaindene compound.
- In accordance with the present invention, the monodispersed degree of the silver chlorobromide emulsion is preferably 0.15 or less, especially 0.1 or less, as the fluctuation coefficient thereof.
- Chemical sensitization of the silver halide emulsion for use in the present invention can be effected by the conventional methods mentioned above. When the silver halide grains of the emulsion have silver bromide-locallized phase on the surface or sub-surface of the grains, the chemical sensitization of the emulsion is required to be properly controlled by providing the locallized phase on the base grain. Control methods described in EP 0273404, EP 0273429 and EP 0273430 may be employed. In particular, the method using CR-compounds is helpful (a CR-compound is used at. the final step of the grain formation to restrain the halogen conversion at the grain surface or is used to restrain chemical sensitization : see EP 273429 or EP 273430).
- The photographic materials of the present invention can contain various stabilizer compounds. For instance, various known stabilizer compounds include, for example, azoles such as benzothiazolium salts, nitroindazoles, triazoles, benzotriazoles, benzimidazoles (especially nitro- or halogen-substituted derivatives); heterocyclic mercapto compounds such as mercaptothiazoles, mercaptobenzothiazoles, mercaptobenzimidazoles, mercaptothiadiazoles, mercaptotetrazoles (especially 1-phenyl-5-mercaptotetrazole), mercapto pyrimidines; the above-mentioned heterocyclic mercapto compounds having a water-soluble group such as carboxyl group or sulfone group; thioketo compounds such as oxazolinethione; azaindenes such as tetraazaindenes (especially 4-hydroxy substituted (1,3,3a,7)tetraazaindenes); benzenethiosulfonic acids; and benzenesulfinic acids.
- In accordance with the present invention, conventional methine dyes can be used for spectral sensitization. Particular monomethine, trimethine or pentamethine dyes or merocyanine dyes as described in Japanese Patent Application Nos. 62-86252, 62-152330 and 62-329265 are advantageously adsorbed to the high silver chloride grains during the step of grain growth or the step of chemical sensitization thereof, as a chemical sensitization controlling agent.
- The dyes to be used for spectrally sensitizing the silver halaide emulsion for use in the present invention include cyanine dyes, merocyanine dyes, complex cyanine dyes, complex merocyanine dyes, holopolar cyanine dyes, hemicyanine dyes, styryl dyes and hemioxonole dyes. Cyanine dyes, merocyanine dyes and complex merocyanine dyes are especially useful. Any and every nuclei which are usually utilized for cyanine dyes as basic heterocyclic nuclei can be applied to these dyes. That is, such nuclei include pyrroline nuclei, oxazoline nuclei, thiazoline nuclei, pyrrole nuclei, oxazole nuclei, thiazole nuclei, selenazole nuclei, imidazole nuclei, tetrazole nuclei and pyridine nuclei; the nuclei obtained by fusing alicyclic hydrocarbon rings to these nuclei; and the nuclei obtained by fusing aromatic hydrocarbon rings to these nuclei, such as indolenine nuclei, benzindolenine nuclei, indole nuclei, benzoxadole nuclei, naphthoxazole nuclei, benzothiazole nuclei, naphthothiazole nuclei, benzoselenazole nuclei, benzimidazole nuclei and quinoline nuclei. These nuclei may be substituted on the carbon atom of the dye.
- 5-membered or 6-membered heterocyclic nuclei can be applied to the merocyanine dyes or complex merocyanine dyes. Suitable heterocyclic nuclei include pyrazolin-5-one nuclei, thiohydantoin nuclei, 2-thiooxazolidine-2,4-dione nuclei, thiazolidine-2,4-dione nuclei, rhodanine nuclei and thiobarbituric acid nuclei, as nuclei having a ketomethylene structure. Specific examples of such spectral sensitizing dyes include the compounds of the formulae (llla), (Illb) and (Illc) described in Japanese Patent Application No. 62-227338.
- The amount of the dye to be added may be from 1 x 10-6 to
8x 1 0-3 mol per mol of silver halide in the emulsion layer. When the silver halide grains have a preferred grain size of from 0.2 to 1.2 u.m, the amount may be more effectively from about 5x1015 to 2x10-3 mol per mol of the silver halide. - The tabular silver halide emulsion is preferred to be spectrally sensitized in a blue range and used in the blue-sensitive emulsion layer. "Spectral sensitization in a blue range" as referred to herein means that the emulsion contains a spectrally sensitizing dye which may give at least one absorption peak in the range of from 400 to 500 nm, preferably from 430 to 490 nm, more preferably from 445 to 490 nm, when adsorbed to the emulsion grains. Examples of such blue-spectrally sensitizing dye include the compounds of the formulae (Illa) and (Illc) where n31 is 0 (zero) described in Japanese Patent Application No. 62-227338. Specific examples of the compounds include the compounds (111-1) to (III-8) and (III-29) to (III-32) described in Application No. 62-227338. High silver chloride-tabular grains formed in the presence of such dyes are preferably used in the present invention.
- High silver chloride-tabular grains formed in the presence of the dye can be confirmed by the spectral sensitivity distribution of the grains. In general, it is difficult for high silver chloride emulsions to give a sharp spectral sensitivity distribution. However, when the grains are formed in the presence of the dye in accordance with the present invention, the resulting emulsion may give a sharp J-band for the methine dyes of the formulae (Illa) and (Illb), or the resulting emulsion may give a sharp monomer band (M-band) for the merocyanine dyes of the formula (Illc). Anyway, the emulsion formed in the presence of the dye may give a sharp spectral sensitivity distribution.
- Accordingly, formation of the grains in the presence of the dye can be confirmed by identification of the peak wavelength, the spectral sensitivity distribution and the kind of the dye used. The details of "J-band" and "M-band" are described in T.H. James, Theory of Photographic Processing, Chap. 8 (published by Macmillan. 1977).
- The spectral sensitizing dyes can be used singly or in combination. They are preferably used in combination with supersensitizers. For instance, aminostilbene compounds (e.g., those described in U.S. Patents 2,933,390, 3,635,721, 3,615,613, 3,615,641, 3,617,295 and 3,635,721, and JP-A-63-239449) as well as aromatic or heterocyclic mercapto compounds are preferably used as supersensitizers for the high silver chloride emulsion.
- For red-spectral sensitization or spectral sensitization in the wavelength range of from 580 to 750 nm, sensitizing dyes having a reduction potential of -1.27 (V. vs SCE) or a value more anodic than the value are preferred since they give excellent sensitivity and high stability of sensitivity and latent images. Regarding the chemical structure of the compounds, pentamethinecyanine dyes having a ring-condensed structure via one or more methine chains as conjugated between nitrogen atoms, 4-quinoline nucleus-having trimethine- cyanine dyes, as well as tetramethine-merocyanine dyes and 4-quionoline nucleus-having dimethinemerocyanine dyes are preferred. Determination of reduction potential of the dyes can be effected by phase differentiation secondary higher harmonics alternate current polarography, where a dropping mercury electrode is used as the working electrode, a saturated calomel electrode as the reference electrode and a platinum as the counter electrode. Together with the sensitizing dyes, hydroquinone, catechol, aminophenol, silver halide-adsorbing formylhydrazine compounds or derivatives thereof are preferably used in combination. The details of the formhydrazine compounds are described in Japanese Patent Application No. 63-97905.
- The high silver chloride emulsion used in the present invention has a lower intrinsic sensitivity in a visible ray range than any other high silver bromide emulsion. When the high silver chloride emulsion has a silver chloride content of 80 mol% or more, it may achieve the sensitivity substantially by spectral sensitization. On the other hand, since the spectral sensitivity in the blue wavelength of the silver halide emulsion of the present invention is not mixed with the green-spectral sensitivity or red-spectral sensitivity, a method with ease of elevating the intrinsic sensitivity of the silver halide emulsion to substantially elevate the spectral sensitivity thereof, may be necessary.
- Accordingly, it is extremely advantageous to combine gold sensitization for elevating the intrinsic sensitivity of the silver halide emulsion and the above-mentioned spectral sensitization, whereby the spectral sensitivity of the respective blue, green and red light-sensitive layers may well be balanced therebetween.
- A compound having a mercapto group may preferably be added to the silver halide emulsion of the present invention, whereby fog of the photographic material may be reduced, storage stability of the raw film may be improved and the storage stability of the emulsion coating composition before preparation of photographic materials may be improved.
- For this purpose, tetrazaindenes are generally used, and it has heretofore been considered that mercapto-containing compounds should be added only in an extremely small amount (only in a determined amount) for this purpose. The mercapto compounds would be ineffective in an amount lower than the optimum range while they would noticeably cause desensitization when used in an amount higher than the optimum range. Unexpectedly, the addition of the mercapto compounds, which have heretofore been considered to have a strong adverse effect, to the emulsion of the photographic material (3) is preferred for the above-mentioned purpose, and the mercapto compounds do not cause desensitization and inhibition of development. For the high silver chloride emulsion, the compounds may be used together with sensitizing dyes to attain supersensitization.
- Mercapto-containing compounds which are preferably used in the present invention are represented by the following general formula (S):
wherein M1 represents a hydrogen atom, a cation or a protective group for mercapto group which may be cleaved by the action of an alkali; and Zi represents an atomic group necessary for forming a 5-membered or 6-membered hetero-ring. The hetero-ring may have substituent(s) or may also be condensed. Preferably, M1 represents a hydrogen atom, a cation (for example, sodium ion, potassium ion, ammonium ion) or a protective group for mercapto group which may be cleaved by the action of an alkali (for example, -COR , -COOR or -CH2CH2COR , in which R represents a hydrogen atom, an alkyl group, an aralkyl group or an aryl group). - Z1 represents an atomic group necessary for forming a 5-membered or 6-membered hetero-ring. The hetero-ring contains sulfur, selenium, nitrogen and/or oxygen atoms as a hetero atom, and this may be condensed and does or does not have substituent(s) on the hetero-ring or condensed-ring.
- Examples of the hetero-ring including Z include tetrazole, triazole, imidazole, oxazole, thiadiazole, pyridine, pyrimidine, triazine, azabenzimidazole, purine, tetrazaindene, triazaindene, pentazaindene, benzotriazole, benzimidazole, benzoxazole, benzothiazole, benzoselenazole and naphthoimidazole. Suitable substituents for the rings include an alkyl group (e.g., methyl, ethyl, n-hexyl, hydroxyethyl, carboxyethyl), an alkenyl group (e.g., allyi), an aralkyl group (e.g., benzyl, phenethyl), an aryl group (e.g., phenyl, naphthyl, p-acetamidophenyl, p-carboxyphenyl, m-hydroxyphenyl, p-sulfamoylphenyl, p-acetylphenyl, o-methoxyphenyl, 2,4-diethylaminophenyl, 2,4-dichlorophenyl), an alkylthio group (e.g., methylthio, ethylthio, n-butylthio), an arylthio group (e.g., phenylthio, naphthylthio), an aralkylthio group (e.g., benzylthio) and a mercapto group. The condensed rings may also have other substituents including a nitro group, an amino group, a halogen atom, a carboxyl group and a sulfo group, in addition to the aforesaid substituents.
- The amount of the mercapto-containing compound to be added is preferably 10-3 mol or less, per mol of silver halide.
- Specific examples of the mercapto group-having nitrogen-containing heterocyclic compounds which may be applied to the present invention include (A-374) to (A-827) described in JP-A-62-215272, pages 51 to 68.
- Color couplers for use in the present invention will be mentioned hereunder.
- Use of high active color couplers is preferred in the photographic material (3). Specifically, the color couplers for use in the present invention are required to satisfy the general requirements for forming dyes having a sufficient color hue and a high extinction coefficient and are additionally required to have sufficiently high activity to maintain a sufficient coupling coloring reaction with the oxidation product of a color developing agent such as paraphenylenediamine derivatives, since the developing speed of the emulsion of the present invention is high. Use of couplers of the following formulae (Cup-1), (Cup-2), (Cup-3), (Cup-4) and (Cup-5) are preferred.
- In these formulae, R1, R4 and Rs each represent an aliphatic group, an aromatic group, a heterocyclic group, an aromatic amino group or a heterocyclic amino group;
- R2 represents an aliphatic group;
- R3 and Rs each represent a hydrogen atom, a halogen atom, an aliphatic group, an aliphatic-oxy group or an acylamino group;
- R7 and R9 each represents a substituted or unsubstituted phenyl group;
- R8 represents a hydrogen atom, an aliphatic or aromatic acyl group, or an aliphatic or aromatic sulfonyl group;
- R10 represents a hydrogen atom or a substituent;
- Q represents a substituted or unsubstituted N-phenylcarbamoyl group;
- Za and Zb each represents a methine group, a substituted methine group or = N-;
- Y1, Y2 and Y4 each represents a halogen atom or a group which can be released in coupling reaction with the oxidation product of a developing agent (hereinafter referred to as a "releasing group");
- Y3 represents a hydrogen atom or a releasing group; and
- Ys represents a releasing group.
- In formulae (Cup-1) and (Cup-2), R2 and R3, and Rs and R6 may be bonded to each other to form a 5-, 6- or 7-membered ring.
- Ri, R2, R3 or Y1; R4, Rs, R6 or Y2; R7 Rs Rg or Y3; Rio, Za, Zb or Y4; and Q or Ys may form a dimer or a higher polymer. Rs and R6 are preferably be bonded to each other to form a 5-membered ring to give oxyindole or indazolin-2-one cyan couplers.
- The details of R1, R2, R3, R4, Rs, R6, R7, Rs, Rg, Rio, Za, Zb, Q1, Yi, Y2, Y3 and Y4 in formulae (Cup-1), (Cup-2), (Cup-3), (Cup-4) and (Cup-5) are same as those in formulae (I), (II), (III), (IV) and (V) mentioned in JP-A-63-11939,
pages 4 to 24. - Specific examples of the color couplers include compounds (C-1) to (C-40), (M-1) to (M-42) and (Y-1) to (Y-46) described in JP-A-63-11939,
pages 11 to 24. - The standard amount of the color coupler to be used is from 0.001 to 1 mol per mol of the light-sensitive silver halide. Preferably, it is from 0.01 to 0.5 mol for yellow couplers, from 0.003 to 0.3 mol for magenta couplers, and from 0.002 to 0.3 mol for cyan couplers.
- When the color coupler of the aforesaid formula (Cup-1), (Cup-2), (Cup-3), (Cup-4) or (Cup-5) is added to the photographic material, the preferred total amount of the silver halide in the material is from 0.1 g/m2 to 1.5 g/m2.
- The color coupler can be incorporated into the emulsion layer, as dispersed in the layer together with at least one high boiling point organic solvent. The solvents preferably have a boiling point higher than 150 C, and more preferably higehr than 170 C. Preferably, high boiling point solvents as represented by the following general formulae (A) to (E) are used for the purpose.
- In these formulae Wi, W2 and W3 each represent a substituted or unsubstituted alkyl, cycloalkyl alkenyl, aryl or heterocyclic group;
- W4. represents Wi, OW1 or S-W1;
- n represents an integer of from 1 to 5, and when n is 2 or more, plural W4's may be the same or different.
- In the formula (E), W1 and W2 may form a condensed ring.
- The photographic material of the present invention can contain, as a color-fogging inhibitor or a color mixing preventing agent, hydroquionone derivatives, aminophenol derivatives, amines, gallic acid derivatives, catechol derivatives, ascorbic acid derivatives, colorless couplers and sulfonamidophenol derivatives.
- The photographic material 'of the present invention can contain a known anti-fading agent. Specific examples of organic anti-fading agents which can be used in the present invention include hindered phenols such as hydroquinones, 6-hydroxychromans, 5-hydroxycoumarans, spirochromans, p-alkoxyphenols and bisphenols, as well as gallic acid derivatives, dioxyphenylmethylenes, aminophenols and hindered amines and ether and ester derivatives of the compounds obtained by silylating or alkylating the phenolic hydroxyl group of the compound. In addition, metal complexes such as (bis-salicylaldoximato)nickel complexes and (bis-N,N-dialkyldithiocarbamato)nickel complexes may also be used.
- For the protection of yellow dye images from heat, moisture and light, compounds having both the structures of a hindered amine and a hindered phenol in one molecule as described in U.S. Patent 4,268,593 are preferred. For the protection of magenta dye images especially from heat, spiroindanes described in JP-A-56-159644 and hydroquinone-diether or monoether-substituted chromans described in JP-A-55-89835 are preferred.
- Image stabilizers described in JPA-59-125732 are advantageous for the stabilization of magenta images formed from pyrazolotriazole magenta couplers.
- In order to improve the storage stability, especially light-fastness, of cyan images, benzotriazole ultraviolet absorbents are preferably used. The ultraviolet absorbents can be co-emulsified with the cyan couplers.
- The amount of the ultraviolet absorbent to be used is an amount that is sufficient for imparting light stability to the cyan dye images. If the absorbent is used in too large amount, it will cause yellowing in the non-exposed area (white background area) of the color photographic material. Accordingly, the amount is generally determined to fall within the range of from 1×10→ mol/m2 to 2x 10-3 mol/m2, especially from 5xlO-4 mol/m2 to 1.5x10-3 mol/m2.
- In the layers constituting conventional photographic color papers, any one of the both layers adjacent to the cyan coupler-containing red-sensitive emulsion layer, preferably both of them, contains an ultraviolet absorbent. When the ultraviolet absorbent is incorporated into the interlayer between the green-sensitive layer and the red-sensitive layer, it may be co-emulsified with a color mixing preventing agent. When the ultraviolet absorbent is added to the protective layer, another protective layer may be formed thereover as an outermost layer. The outermost protective layer may contain a mat agent having any desired grain size or a latex having a different grain size in combination.
- The photographic material of the present invention can contain an ultraviolet absorbent in the hydrophilic colloid layer.
- In addition to the above-mentioned additives, the photographic material of the present invention can further contain other various compounds, including stabilizers, stain inhibitors, developing agents or precursors thereof, development accelerators or precursors thereof, lubricants, mordant agents, mat agents, antistatic agents, plasticizers, as well as other additives which are useful for photographic materials. Specific examples of such additives are described in Research Disclosure, Item 17643 (December 1978) and ibid., Item 18716 (November 1979).
- The photographic material of the present invention can contain a brightening agent of stilbene, triazine, oxazole or coumarin compounds, in the photographic emulsion layers or in any other hydrophilic colloid layers. Water-soluble compounds can be used, or water-insoluble compounds can also be used in the form of a dispersion, as brightening agents.
- The color photographic material of the present invention preferably has a yellow coupler-containing blue-sensitive silver halide light-sensitive layer, a magenta coupler-containing green-sensitive silver halide light-sensitive layer and a cyan coupler-containing red-sensitive silver halide light-sensitive layer formed on a support, and the order of the layers on the support may freely be varied in accordance with the object. Since the high silver chloride silver halide has only a slight intrinsic sensitivity in the blue-sensitive wavelength range (400 to 500 nm), the order of the layers on the support may be easily varied. For instance, red-sensitive layers, green-sensitive layers and blue-sensitive layers may be formed on a support in this order, or alternatively, a blue-sensitive layer, a red-sensitive layer and a green-sensitive layer may be formed thereon in this order.
- The color sensitivity of the respective light-sensitive layers of the color photographic material of the present invention is selected in accordance with the light source for scanning exposure to be employed for the material, and the material is preferably exposed through the respective color separation filters. For instance, a combination of blue-sensitive, green-sensitive and red-sensitive layers or a combination of green-sensitive, red-sensitive and infrared-sensitive layers are'mentioned.
- The color photographic materials (1) and (3) of the present invention are also preferably exposed by scanning exposure and then processed for color development.
- The sensitizing dye for use in the present invention is preferably added during the step of chemical sensitization or before the same, or during the formation of the silver halide grains or after the formation of the same.
- When the silver chlorobromide emulsion for use in the present invention contains high silver chloride-tabular grains as in the photographic material (3), selection of the time of adding the dye is extremely important. Addition of the dye is to be effected prior to completion of formation of the silver halide precipitate, but the following method may also be employed. Generally, the dye is added after completion of the chemical sensitization but prior to coating. However, the dye may be added together with the chemical sensitizer for simultaneous spectral sensitization and chemical sensitization, as described in U.S. Patents 3,628,969 and 4,225,666. Alternatively, the dye may be added prior to chemical sensitization, as described in JP-A-58-113298. Furthermore, the dye may be divided into parts, and a part thereof may be added prior to chemical sensitization and the remaining part thereof may be added after chemical sensitization, which is taught in U.S. Patent 4,225,666. The method as taught in U.S. Patent 4,183,756 may also be applied to the present invention. Anyway, the dye may be added to the silver halide grains in any stage of grain formation.
- The cationic polymer for use in the present invention acts to capture the iodide ion to be dissolved out from the photographic material during development or fixation thereof, thereby to accelerate development processing speed.
- In addition, the polymer acts to capture the bromide ion to be dissolved out from the photographic material during development processing thereof or the bromide ion as existing in the developer or to be carried thereinto from the outside, thereby to stabilize the color developing processing and to elevate the development processing speed. In addition, in accordance with the present invention, the polymer noticeably acts to inhibit fluctuation of the photographic property of the photographic material processed under variable processing conditions. In particular, the stability of the gradation of the toe or shoulder in the characteristic curve can be improved by the action of the polymer. The said effect of the polymer is especially noticeable when a high silver chloride emulsion having a locallized silver bromide phase on the surface of the grain (preferably, silver chlorobromide emulsion having AgCI content of 98 mol% or more) is used and the photographic material is rapidly processed at a higher temperature.
- In the photographic material of the present invention when the total amount of the silver halide is reduced to 0.9 g/m2 or less, preferably 0.7 g/m2 or less (not less than 0.4 g/m2) as silver, or when the light transmittance of the material is elevated by properly selecting the size and the shape of the silver halide grains, the improved image sharpness and color reproducibility due to the provision of the polymer-containing colored layer is more noticeable.
- The color photographic materials of the present invention generally contains yellow couplers, magenta couplers and cyan couplers which may form yellow, magenta and cyan colors, respectively, by coupling with the oxidation product of an aromatic amine color developing agent.
- Preferred yellow couplers for use in the present invention include acylacetamide derivatives such as benzoylacetanilide or pivaloylacetanilide.
-
- In these formulae, X represents a hydrogen atom or a coupling-releasing group; R21 represents a non-diffusive group having a total carbon number of from 8 to 32; R22 represents a halogen atom, a lower alkyl group, a lower alkoxy group or a non-diffusive group having a total carbon number of from 8 to 32; R23 represents a substituent; and n and n represent 0 or an integer of from 1 to 4; and n represents 0 or an integer of from 1 to 5. When the formula (Y-1) or (Y-2) has two or more R22 or R23 groups, respectively, they may be same or different. R24 represents a halogen atom, an alkoxy group, a trifluoromethyl group or an aryl group; R25 represents a hydrogen atom, a halogen atom or an alkoxy group; and R26 represents -NHCOR27, -NHS02R27, -S02NHR27, -COOR27, and
(wherein R27 and R28 each represents an alkyl group, an aryl group or an acyl group). - The details of pivaloylacetanilide yellow couplers are described in U.S. Patent 4,622,287, from
column 3,line 15, to column 8, line 39, and U.S. Patent 4,623,616, fromcolumn 14, line 50 tocolumn 19, line 41. - The details of benzoylacetanilide yellow couplers are described in U.S. Patents 3,408,194, 3,933,501, 4,046,575, 4,133,958 and 4,401,752.
- Specific examples of pivaloylacetanilide yellow couplers include compounds (Y-1) to (Y-39) described in the aforesaid U.S. Patent 4,622,287, columns 37 to-54. Above all, compounds (Y-1), (Y-4), (Y-6), (Y-7), (Y-15), (Y-21), (Y-22), (Y-23), (Y-26), (Y-35), (Y-36), (Y-37), (Y-38) and (Y-39) are especially preferred.
- In addition, there are also mentioned compounds (Y-1) to (Y-23) described in the aforesaid U.S. Patent 4,623,616,
columns 19 to 24. Above all, compounds (Y- 2), (Y-7), (Y-8), (Y-12), (Y-20), (Y-21), (Y-23) and (Y-29) are preferred. - Other preferred couplers include compound (34) described in U.S. Patent 3,408,194,
column 6, compounds (16) and (19) described in U.S. Patent 3,933,501, column 8, compound (9) described in U.S. Patent 4,046,575,columns 7 to 8, compound (1) described in U.S. Patent 4,133,958,columns 5 to 6, compound (1) described in U.S. Patent 4,401,752,column 5, and compounds (a) to (g) described in Japanese Patent Application No. 62-263318, pages 29 to 30. - Suitable magenta couplers for use in the present invention include oil-protect type indazolone or cyanoacetyl couplers, preferably 5-pyrazolone or pyrazoloazole couplers such as pyrazolotriazoles. 5-pyrazolone couplers wherein the 3-position is substituted by an arylamino or acylamino group are preferred from the view point of the hue and the density of the dyes to be formed therefrom. Specific examples of such couplers are described in U.S. Patents 2,311,082, 2,343,703, 2,600,788, 2,908,573, 3,062,653, 3,152,896 and 3,936,015. Preferred releasing groups in 2-equivalent 5-pyrazolone couplers include the nitrogen atom-releasing groups described in U.S. Patent 4,310,619 and the arylthio groups described in U.S. Patent 4,351,897. Ballast group-having 5-pyrazolone couplers described in European Patent 73,636 are preferred as giving a high color density.
- Suitable pyrazoloazole couplers include pyrazolobenzimidazoles described in U.S. Patent 3,369,879, preferably pyrazolo[5,1-c][1,2,4]triazoles described in U.S. Patent 3,725,067, pyrazolotetrazoles described in Research Disclosure, Item 24220 (June, 1985) and pyrazolopyrazoles described in Research Disclosure, Item 24230 (June, 1984). The above-mentioned couplers may all be in the form of polymer couplers.
-
- In these formulae, R3 represents a non-diffusive group having a total carbon number of from 8 to 32; R32 represents a phenyl group or a substituted phenyl group. R33 represents a hydrogen atom or a substituent. Z represents a non-metallic atomic group necessary for forming a 5-membered azole ring containing from 2 to 4 nitrogen atoms, and the azole ring may have substituent(s) including condensed ring-(s). X2 represents a hydrogen atom or a releasing group.
- The details of the substituents for R33 and the substituents for the azole ring are described in, for example, U.S. Patent 4,540,654, from
column 2, line 41 to column 8, line 27. - Among the pýrazoloazole couplers, preferred are the imidazo[1,2-b]pyrazoles described in U.S. Patent 4,500,630 because of the small yellow side-absorption of the dye formed and the high light-fastness thereof. In particular, pyrazolo[1,5-b][1,2,4]triazoles described in U.S. Patent 4,540,654 are especially preferred.
- In addition, pyrazolotriazole couplers where a branched alkyl group is directly bonded to the 2-, 3- or 6- position of the pyrazolotriazole ring described in JP-A-61-65245; pyrazoloazole couplers containing a sulfonamido group in the molecule described in JP-A-61-65246; pyrazoloazole couplers having an alkox- yphenylsulfonamido ballast group described in JP-A-61-147254; and pyrazolotriazole couplers having an alkoxy group or an aryloxy group in the 6-position described in European Patent 226,849 are also preferably used in the present invention.
- Typical cyan couplers for use in the present invention include phenol cyan couplers and naphthol cyan couplers.
- Suitable phenol couplers include phenol compounds (including polymer couplers) having an acylamino group in the 2-position of the phenol nucleus and an alkyl group in the 5-position thereof described in U.S. Patents 2,369,929, 4,518,687, 4,511,647 and 3,772,002. Typical examples of such compounds include the coupler of Example 2 of Canadian Patent 625,822, compound (1) described in U.S. Patent 3,772.002, compounds (1-4) and (1-5) described in U.S. Patent 4,564,590, compounds (1), (2), (3) and (24) described in JP-A-61-39045, and compound (C-2) described in JP-A-62-70846.
- Phenol cyan couplers include 2,5-diacylaminophenol couplers described in U.S. Patents 2,772,162, 2,895.826, 4,334,011 and 4,500,653 and JP-A-59-164555. Specific examples of such couplers include compound (V) described in U.S. Patent 2,895,826, compound (17) described in U.S. Patent 4,557,999, compounds (2) and (12) described in U.S. Patent 4,565,777, compound (4) described in U.S. Patent 4,124.396 and compound (1-19) described in U.S. Patent 4,613,564.
- Suitable phenol cyan couplers include condensed phenol couplers where a nitrogen-containing heterocyclic ring has been condensed to the phenol nucleus described in U.S. Patents 4,327,173, 4,564,586 and 4,430,423, JP-A-61-390441 and JP-A-62-257158. Specific examples of such couplers include couplers (1) and (3) described in U.S. Patent 4,327,173, compounds (3) and (16) described in U.S. Patent 4,564,586, compounds (1) and (3) described in U.S. Patent 4,430,423 and the following compounds.
- Further phenol cyan couplers for use in the present invention include ureido couplers described in U.S. Patents 4,333,999, 4,451,559, 4,444,872, 4,427,767 and 4,579,813 and European Patent 067,689 B1. Specific examples of such couplers include coupler (7) described in U.S. Patent 4,333,999, coupler (1) described in U.S. Patent 4,451,559, coupler (14) described in U.S. Patent 4,444,872, coupler (3) described in U.S. Patent 4,427,767, couplers (6) and (24) described in U.S. Patent 4,609,619, couplers (1) and (11) described in U.S. Patent 4,579,813, couplers (45) and (50) described in European Patent 067,689 81, and coupler (3) described in JP-A-61-42658.
- Suitable naphthol cyan couplers for use in the present invention include naphthol compounds having an N-alkyl-N-arylcarbamoyl group at the 2-position of the naphthol nucleus (for example, those described in U.S. Patent 2,313,586), those having an alkylcarbamoyl group at the 2-position (for example, those described in U.S. Patents 2,474,293 and 4,282,312), those having an arylcarbamoyl group at the 2-position (for example, those described in JP-B-50-14523), those having a carbonamido or sulfonamido group at the 5-position (for example, those described in JP-A-60-237448, JP-A-61-145557, JP-A-61-153640), those having an aryloxy- releasing group (for example, those described in U.S. Patent 3,476,563), those having a. substituted alkoxy-releasing group (for example, those described in U.S. Patent 4,296,199), and those having a glycolic acid-releasing group (for example, those described in JP-B-60-39217).
- Diphenylimidazole cyan couplers described in European Patent 0,249,453 A2 can also be used in the present invention singly or in combination with the aforesaid cyan couplers.
-
- The photographic materials of the present invention can contain hydroquinone derivatives, aminophenol derivatives, gallic acid derivatives and ascorbic acid derivatives as color-fogging inhibitors.
- In addition, they may also contain catechol derivatives, for example, those described in JP-A-59-125732 and JP-A-60-262159, as color image stabilizers.
- The photographic materials of the present invention can contain an ultraviolet absorbent in the hydrophilic colloid layer. For instance, aryl group-substituted benzotriazole compounds (for example, those described in U.S. Patent 3,533,794), 4-thiazolidone compounds (for example, those described in U.S. Patents 3,314,794 and 3,352,681), benzophenone compounds (for example, those described in JP-A-46-2784), cinnamic acid ester compounds (for example, those described in U.S. Patents 3,705,805 and 3,707,375), butadiene compounds (for example, those described in U.S. Patent 4,045,229) or benzoxidol compounds (for example, those described in U.S. Patent 3,700,455) can be used for this purpose. Ultraviolet-absorbing couplers (for example, a-naphthol cyan dye-forming couplers) and ultraviolet-absorbing polymers may also be used. The ultraviolet absorbent can be mordanted in a particular layer.
- The color photographic material of the present invention has plural layers of a subbing layer, at least three silver halide light-sensitive layers, an interlayer, ultraviolet absorbing layer and protective layer, coated on the reflective support, and therefore the improved effect of the antihalation layer is noticeable.
- On the other hand, in the multi-layered color photographic material of the present invention, the cationic polymer-containing layer can be provided without layer condition problems by forming the interlayer (substantially not containing light-sensitive silver halide grains) adjacent to the polymer-containing layer. In particular, when the silver halide light-sensitive layer is combined with the cationic polymer-containing layer, an interlayer not containing light-sensitive silver halide grains is preferably provided between the two layers. The interlayer comprises a hydrophilic colloid which may contain a color mixing inhibiting agent, an ultraviolet absorbing agent, a coupler for preventing color mixing, a stain inhibiting agent, a polymer latex and/or a dye. The thickness of the interlayer is preferably from 0.1 IJ.m to 3 µm, and more preferably from 0.1 um to 2 u.m.
- The photographic material of the present invention can contain, if desired, various surfactants as coating aids, an emulsifying and dispersing agent or an anti-blocking agent to improve photographic properties (for example, acceleration of developability, elevation of contrast and elevation of sensitivity) and static charge prevention and improvement of slide properties.
- For instance, such surfactants include non-ionic surfactants, for example, saponins (steroid type), alkyleneoxide derivatives (e.g., polyethylene glycol, polyethylene glycol/polypropylene glycol condensed product, polyethylene glycol alkylethers or polyethylene glycol alkylarylethers, polyethylene glycol esters, polyethylene glycol sorbitan esters, polyalkylene glycol alkylamides or amides, siliconepolyethyleneoxide adducts), glycidol derivatives (e.g., alkenylsuccinic acid polyglyceride, alkylphenol polyglyceride), fatty acid esters of polyhydric alcohols, and alkyl esters of saccharides; anionic surfactants containing an acid group such as a carboxyl, sulfo, phospho, sulfate or phosphate group, for example, alkylcarboxylic acid salts, alkylsulfonic acid salts, alkylbenzenesulfonic acid salts, alkylnaphthalenesulfonic acid salts, alkylsulfuric acid esters, alkylphosphoric acid esters, N-acyl-N-alkyltauric acids, sulfosuccinic acid esters, sulfoalkylpolyox- yethylene alkylphenylethers, polyoxy ethylene alkylphosphoric acid esters; ampholytic surfactants, for example, amino acids, aminoalkylsulfonic acids, aminoalkylsulfuric acid esters or phosphoric acid esters, alkylbetaines, amineoxides; and cationic surfactants, for example, alkylamine salts, aliphatic or aromatic quaternary ammoniums salts, heterocyclic quaternry ammonium salts such as pyridinium or imidazoliums, and aliphatic or heterocyclic phosphonium or sulfonium salts. Among these surfactants, polyoxyethylene surfactants and fluorine-containing surfactants are especially preferably used.
- In particular, combinations of the cationic polymer dispersion of the present invention and the above-mentioned cationic surfactants are effective for improving layer properties, film quality and adhesiveness to the adjacent iayer.
- The color photographic materials of the present invention can contain various other additives. Additives which can be used in the present invention are described in Research Disclosure, Item 17643 (December, 1978) and Item 18716 (November, 1979). The relevant parts of the foregoing references are discussed below.
- The present invention is suited for color photographic materials, especially printing color photographic materials.
- A color developer is used for development of the photographic materials of the present invention. The color developer for use in the present invention is preferably an alkaline aqueous solution comprising essentially of an aromatic primary amine color developing agent. Preferably, color developing agents for the developer are phenylenediamine compounds, although aminophenol compounds are useful. Specific examples of the compounds include 3-methyl-4-amino-N,N-diethylaniline, 3-methyl-4-amino-N-ethyl-N-,8-hydroxyethylaniline, 3-methyl-4-amino-N-ethyl-N-e-methanesulfonamidoethyl-aniline, 3-methyl-4-amino-N-ethyl-N-p-methoxyethylaniline and sulfates, hydrochlorides and p-toluenesulfonates thereof. Two or more of these compounds may be used in combination, in accordance with the object thereof.
- "Scanning exposure system" as referred to herein means an image exposure performed by a scanning system. A "Scanning system" means a system of restructuring an image to be reproduced on a plane by combining image elements as resolved in accordance with a determined rule into a time-dependent sequence in accordance with a reversely determined rule. Details of the system are described in, for example, Image Electronics Handbook (edited by Image Electronics Association of Japan), Introduction, 3rd Chap., pages 45 to 55. A laser ray, CRT or LED (luminescence emitting diode) can be used for image exposure.
- In accordance with the present invention, the use of a scanning exposure system by CRT is preferred Preferably, the color photographic paper has at least three silver halide light-sensitive layers on a support, such as, the photographic material (3), and the emitted wavelength of maximum strength from CRT is matched with the respective maximum wavelength of the different spectral sensitivity of each silver halide compound in the layers, in scanning exposure of the paper. For instance, at least three laser rays selected from He-Cd laser, Ar-gas laser, He-Ne gas laser and GaAs, GaAsxPrx, InP and the like semiconductor lasers are preferably used. In scanning exposure, since the light emission of the respective image elements comprises repetition of light emission of from several m.sec to several u..sec, a sufficiently high quantity of light can be obtained from CRT of a relatively low output. The apparatus for the system is compact and inexpensive. In the present invention, a high quality color CRT and black-and-white CRT are advan- tageougly used. For example, a suitable CRT has a high resolving power, having little strain, being able to obtain a picture on the whole fluorescent surface and has little spot halo. A black-and-white CRT which has a fluorescent body capable of emitting in blue, green and red wavelength ranges so as to elevate the density of the image elements, is especially preferred. In the system, image elements are inputted from a memory means of already inputted digital information, for example, a floppy disk, or are directly inputted without such means and the thus inputted information is displayed on a black-and-white CRT as photographic images, CG images, line images and/or character images, whereupon the images are formed on the surface of the light-sensitive layer of a color photographic paper via an optical lens and a shutter through blue, green and red filters in order.
- Because of the necessity of short time exposure, the fluorescent body to be used is one which intensely emits fluorescent light under high voltage and high current density conditions and which has excellent current saturation characteristics and temperature stability. The fluorescent body can be selected from those used for projection tubes. Suitable industrially stable available fluorescent bodies which can be employed in the present invention include, Y203:Eu and Y202S:Eu for red, ZnzSi04:Mn and Gd202S:Tb, in particular, Y2SiGeOs:Tb and Y2AisOi2:Tb for blue, and ZnS:Ag and CI or ZnS:Ag or AI or blue.
- The exposure time for the respective blue image, green image and red image obtainable through the blue, green and red filters is inversely proportional to the spectral sensitivity of the respective light-sensitive layers of the color photographic paper by high-intensity and short-time multi-exposure. In accordance with the CRT to be applied to the method of the present invention, the number of image elements is generally from about (500 to 1000) x (500 to 1500), the emitting time for one image element is from about 1 x 1 0-3 to 1 X 10-7 second, and from 10 to 100 emissions are effected for one exposure to the respective light-sensitive layers. The beam diameter of the emission for one image element is from about 20 to 100 u..
- Exposure may also be effected by the use of the abovesaid FOT or CRT. In such case, a particular means for color separation between blue, green and red colors, for example, a liquid crystal filter can be used for contact exposure.
- A flow sheet illustarting a process for forming prints by a CRT exposure system of the present invention is illustrated in Fig. 1.
- Character image-inputting means (12) is composed of a console having a CRT and a keyboard. Character information is inputted by operating the keyboard and watching the CRT. The inputted character information can be memorized in a memory medium (for example, a floppy disk). Initiation of CRT exposure can be indicated by the means (12). Figure image-inputting means (13) comprises a digitizer, by which line images and computer graphics (CG) images can be inputted. The data of the inputted figure images can be memorized in a floppy disk. Initiation of CRT exposure can be indicated by means (13). In portrait image-inputting means (10), a photographic image may be exposed by a separate photographic image-exposing system, or alternatively, information or a photographic image inputted by an electronic steel camera can be inputted by means of a digitizer.
- Picture-synthesizing means (11) is composed of a microcomputer, where the data is read out in a determined order from the portrait image-inputting means (10), character image-inputting means (12) and/or figure image-inputting means (13) and they are laid out in a determined position and are thereafter inputted into the CRT controller (14). The CRT controller (14) functions to control the color monitor (15) and the black-and-white CRT (16) for exposure. Before the initiation of exposure, the synthesized image date is outputted in only the color monitor (15) and a positive image is displayed on the display surface. In exposure, the synthesized image is reversed to a negative image and outputted to the black-and-white CRT (16). Then, electron beams are shifted to the direction opposite to the normal direction so that the synthesized image is reversed (turned right to left).
- The black-and-white CRT image is inserted by synchronizing optical filters B, G and R with the emission on the black-and-white CRT display surface through optical lens (18), whereupon the filters are also synchronized with shutter (17). Accordingly, the color photographic paper (19) is printed for a determined period of time by a three-color face-ordered exposure system. Afterwards, the thus printed paper is subjected to a determined color development process through the photographic processing device (20).
- Preferably, the fluorescent body used for the black-and-white CRT is one having a wavelength of maximum luminance which corresponds to the main wavelength of the spectral sensitivity of the respective three light-sensitive layers of the color photographic paper to be processed. Preferably, the fluorescent body also has a short afterimage time or has no afterimage and has a small flare on the display surface.
- In accordance with the present invention, a CRT exposure system can be combined with a photographic exposure system to give synthesized images comprising photographic picture images and CG images, line images and character images. The luminous flux as emitted from image elements by the fluorescent body on the CRT surface is hardly focused. The color photographic paper to be employed in the system has plural light-sensitive layers on a reflective support, the layers each containing a dispersion of different couplers and silver halide grains. The degree of diffusion of the luminous flux to be emitted from the image elements of CRT frequently differs in the respective light-sensitive layers. Japanese letters have more edges and thinner lines than alphabet letters so that the reproduction of the former letters is generally difficult. Accordingly, a special means is required for elevating the resolving power and edge contrast and for inhibiting color bleeding in the edges of letters, in the reproduction of Japanese letters.
- The color photographic paper of the present invention has been improved in the point of the said requirements. The color photographic paper of the present invention is therefore especially suited for use in cards and post cards. The support of the paper ipreferably has a thickness of from about 50 n to about 200u.. In particular, the color photographic paper preferably has a support having a smaller thickness than that of conventional color photographic paper. The total thickness of the support is 220 u. or more, as the paper may have an increased whiteness and is free from color transference from the substrate paper, and additionally it may have improved image sharpness.
- When a post card is prepared from the printed image of the photographic paper of the present invention, the paper preferably has a conventional support having a thickness of 220 a or less. The post card print preferably has a weight of 6 g or less, a length of from 140 to 150 mm and a width of from 90 to 100 mm. Using the apparatus as described in, for example, JP-A-63-34545 and JP-A-63-70858 a print obtained from the color photographic paper of the present invention is cut to have a weight of 6 g or less, and it is attached to a post card support with an adhesive. The thus attached sheet may be cut into a determined size for the post card.
- A seal print may also be obtained from the color photographic paper of the present invention, for example, in accordance with the techniques of Japanese Patent Application Nos. 61-231481 and 62-4765. The color photographic paper of the present invention may also be processed into cards, in accordance with the technique described in, for example, JP-A-62-58248.
- The color developer generally contains a pH buffer such as alkali metal carbonates, borates or phosphates, and development inhibitors or an anti-foggants such as bromides, iodides, benzimidazoles, benzothiazoles or mercapto compounds. In addition, the developer may further contain, if desired, various kinds of preservatives, such as hydroxylamine, diethylhydroxylamine, sulfates, hydrazines, hydrazides, phenylsemicarbazides, triethanolamine, catecholsulfonic acids, triethylenediamine (1,4-diazabicyclo(2,2,2]-octanes).
- Above all, the use of hydrazines and hydrazides is preferred. These compounds correspond to those of the formula (II) described in Japanese Patent Application No. 63-11295. Specific examples thereof include the compounds shown in the same Application No. 62-11295, pages 27 to 47. The amount of the compound to be added is preferably from 0.01 to 50 g, especially from 0.1 to 30 g, per liter of developer. The amount of hydroxylamines to be added is preferably from 0 to 10 g, especially from 0 to 5 g, per liter of the developer. The amount of compound added is preferably small, provided that the stability of the color developer can be maintained.
- Other compound may be added to the color developer for use in the present invention including ethylene glycol or diethylene glycol; a development accelerator such as benzyl alcohol, polyethylene glycol, quaternary ammonium salts or amines; dye-forming couplers; competing couplers; a foggant such as sodium boronhydride; an auxiliary developing agent such as 1-phenyl-3-pyrazolidone; a tickener; as well as various kinds of chelating agents such as aminopolycarboxylic acids, aminopolyphosphonic acids, alkylphosphonic acids or phosphonocarboxylic acids, e.g., ethylenediaminetetraacetic acid, nitrilo-triacetic acid, diethylenetriamine-pentaacetic acid, cyclohexanediaminetetraacetic acid, hydroxyethylimino-diacetic acid, 1-hydroxyethylidene-1,1-diphosphonic acid, nitrilo-N,N,N-trimethylenephosphonic acid, ethylenediamine-N,N,N N -tetramethylenephosphonic acid, ethylenediamine-di(o-hydroxyphenylacetic acid) and salts thereof.
- The processing temperature of the material of the present invention with the color developer is preferably from 30°C to 50 c, more preferably from 33°C to 42 C. The amount of the replenisher used in processing is 2000 ml or less, preferably 1500 ml or less, per m2 of the photographic material being processed. The amount of the replenisher is preferably small in order to decrease the water liquid to be drained.
- The photographic material of the present invention is preferably developed with a color developer substantially not containing benzyl alcohol. The inclusion of benzyl alcohol .is disadvantageous since it causes environmental pollution, deterioration of storage stability of color images formed and increases staining of the material processed, by a rapid development procedure. Thus, the color developing system preferably contains a restoring agent for the oxidation product of the color developing agent and a capturing agent for the oxidation product of the restoring agent, as described in JP-A-63-113537.
- The color developer to be used for processing the photographic material of the present invention preferably does not substantially contain iodide ion. The "color developer substantially not containing iodide ion" means that the content of the iodide ion in the developer is less than 1 mg/liter. The color developer for use in the present invention also preferably does not substantially contain sulfite ion. The "color developer substantially not containing a sulfite ion" means that the sulfite ion content in the developer is 0.02 mol/liter or less.
- The color developer generally has a pH value of from 9 to 12, preferably from 10 to 11. The amount of the replenisher to the developer is generally 3 liters or less per m2 of the material being processed. By lowering the bromide ion concentration in the replenisher, the amount may be 500 ml or lower. When the amount of the replenisher to be added is lowered, it is desirable to prevent the evaporation and aerial oxidation of the processing solution by reducing the contact surface area of the processing tank with air. In addition, the amount of the replenisher to be added may also be reduced by suppressing the accumulation of bromide ion in the developer.
- After being color developed, the photographic emulsion layer is generally bleached. Bleaching may be carried out simultaneously with fixation (bleach-fixation) or separately from the latter. In order to accelerate the photographic processing, bleaching may be followed by bleach-fixation. In addition, bleach-fixation in continuous two processing tanks, fixation prior to bleach-fixation or bleaching followed by bleach-fixation may also be used to process the photographic materials of the present invention, in accordance with the object thereof. Suitable bleaching agents include, for example, compounds of polyvalent metals such as iron (III), cobalt(III), chromium (VI) or copper(II), as well as peracids, quinones and nitro compounds. Specific examples of the bleaching agent include ferricyanides; bichromates; organic complexes of iron(III) or cobalt (111), for example, complexes with aminopolycarboxylic acids such as ethylenediaminetetraacetic acid, diethylenetriamine-pentaacetic acid, cyclohexanediamine-tetraacetic acid, methyliminodiacetic acid, 1,3-diaminopropane-tetraacetic acid or glycolether-diamine-tetraacetic acid, as well as with citric acid, tartaric acid or malic acid; persulfates; bromates; permanganates; and nitrobenzenes. Among them, aminopolycarboxylic acid iron(III) complexes such as ethylenediamine-tetraacetic acid/iron (III) complex as well as persulfates are preferred in view of the rapid processability thereof and of the prevention of environmental pollution. The aminopolycarboxylic acid/iron(III) complexes are especially useful both in a bleaching solution and in a bleach-fixing solution. The bleaching solution or bleach-fixing solution containing such bleaching agents generally has a pH value of from 5.5 to 8, but the solution may have a lower pH value for rapid processing.
- Specific examples of advantageous bleaching accelerators for use in the present invention include compounds containing a mercapto group or a disulfide group such as those described in U.S. Patent 3,893,858, West German Patent 1,290,812, JP-A-53-95630 and Research Disclosure, Item 17129 (July 1978); thiazolidine derivatives described in JP-A-50-140129; thiourea derivatives described in U.S. Patent 3,706,561; iodides described in JP-A-58-16235; polyoxyethylene compounds described in West German Patent 2,748,430; and polyamine compounds described in JP-B-45-8836. Above all, mercapto group- or disulfide group-containing compounds are preferred as having sufficient accelerating effect, and in particular, the compounds described in U.S. Patent 3,893,858, West German Patent 1,290,812 and JP-A-53-95630 are especially preferred. In addition, the compounds described in U.S. Patent 4,552,834 are also preferred. The bleaching accelerator can be incorporated into the photographic material. The bleaching accelerators are especially advantageously used for bleach-fixation of picture-taking color photographic materials.
- Suitable fixing agents include thiosulfates, thiocyanates, thioether compounds, thioureas and a large amount of iodides. Among them, thiosulfates are generally used, and in particular, ammonium thiosulfate is most widely used. Preferred preservative for the bleach-fixing solution include sulfites, bisulfites and carbonyl-bisulfite adducts.
- The silver halide color photographic materials of the present invention are generally rinsed with water and/or stabilized, after being desilvered. The amount of the water to be used in the rinsing step can be set in a broad range, in accordance with the characteristics of the photographic material being processed (for example, depending upon the raw material components, such as the coupler and so on) or the use of the material, as well as the temperature of the rinsing water, the number of the rinsing tanks (the number of the rinsing stages), the replenishment system of normal current or countercurrent and other various kinds of conditions. Among these conditions, the relationship between the number of the rinsing tanks and the amount of the rinsing water in a multi-stage countercurrent rinsing system can be determined by the method described in Journal of the Society of Motion Picture and Television Engineers, Vol. 64, pages 248 to 253 (May, 1955).
- According to the multi-stage countercurrent system described in the above-reference, the amount of the rinsing water to be used can be reduced noticeably, but because of the prolongation of the residence time of the water in the rinsing tank, bacteria would propagate in the tank so that the floating substances generated by the propagation of bacteria would adhere to the surface of the material as it was processed. The method of reducing calcium and magnesium ions, which is described in Japanese Patent Application No. 62-288838, can be effectively used for overcoming the foregoing problem during the processing the photographic materials of the present invention. In addition, the isothiazolone compounds and thiaben- dazoles described in JP-A-57-8542; chlorine-containing bactericides such as chlorinated sodium isocyanurates; and benzotriazoles and other bactericides described in H. Horiguchi, Chemistry of Bactericidal and Fungicidal Agents, and Bactericidal and Fungicidal Techniques to Microorganisms, edited by Association of Sanitary Technique, Japan, and Encyclopedia of Bactericidal and Fungicidal Agents, edited by Nippon Bactericide and Fungicide Association, can also be used.
- The pH value of the rinsing water to be used for processing the photographic materials of the present invention is from 4 to 9, preferably from 5 to 8. The temperature of the rinsing water and the rinsing time can be variably set in accordance with the characteristics of the photographic material being processed as well as the use thereof. In general, the temperature is from 15 to 45 °C and the time is from 20 seconds to 10 minutes, and preferably the temperature is from 25 to 40 C and the time is from 30 seconds to 5 minutes. Alternatively, the photographic materials of the present invention may also be processed directly with a stabilizing solution in place of being rinsed with water. Suitable stabilization methods include, for example, those described in JP-A-57-8543, JP-A-58-14834 and JP-A-60-220345.
- In addition, the material can also be stabilized, following the rinsing step. For example, a stabilizing bath containing formalin and a surfactant, can be used as a final bath for color photographic materials. The stabilizing bath may also contain various chelating agents and fungicides.
- The overflow from the rinsing and/or stabilizing solutions because of addition of replenishers thereto may be re-used in the other steps such as the desilvering step.
- The silver halide color photographic materials of the present invention can contain a color developing agent for the purpose of simplifying and accelerating the processing of the materials. For incorporation of color developing agents into the photographic materials, various precursors of the agents are preferably used. For example, suitable precursors include the indoaniline compounds described in U.S. Patent 3,342,597, the Schiff base compounds described in U.S. Patent 3,342,599 and Research Disclosure Items 14850 and 15159, the aldole compounds described in Research Disclosure Item 13924, the metal complexes described in U.S. Patent 3,719,492 and the urethane compounds described in JP-A-53-135628.
- The silver halide color photographic materials of the present invention can contain various kinds of 1-phenyl-3-pyrazolidones, if desired, for the purpose of .accelerating the color developability thereof. Specific examples of these compounds are described in JP-A-56-64339, JP-A-57-144547 and JP-A-58-115438.
- The processing solutions for the photographic materials of the invention are used at 10 C to 50 C. In general, a processing temperature of from 35 C to 38° C is standard, but the temperature may be made higher so as to accelerate the processing or to shorten the processing time, or on the contrary, the temperature may be made lower so as to improve the quality of images formed and to improve the stability of the processing solutions used. For the purpose of economization of silver in the photographic materials, the cobalt intensification or hydrogen peroxide intensification described in West German Patent 2,226,770 and U.S. Patent 3,674,499 may be employed in processing the photographic materials of the present invention.
- In order to most optimize the excellent characteristics of the silver halide photographic materials of the present invention, the materials are processed with a color developer which does not substantially contain benzyl alcohol and which contains bromide ion in an amount of 0.002 mol/liter or less, within a development time of 2 minutes and 30 seconds or less. The complete process from color development to drying via desilvering and rinsing can be effected within 120 seconds, in the photographic processing procedure for the photographic material (3) of the present invention.
- The "color developer which does not substantially contain benzyl alcohol" means that it contains benzyl alcohol in an amount of 2 ml/liter or less, preferably 0.5 ml/liter or less, and most preferably, it contains no benzyl alcohol.
- The following examples are intended to illustrate the present invention in more detail but not to limit it in any way.
- A waterproof titanium oxide-containing white pigment resin layer comprising the composition mentioned below was formed on the surface of a white raw paper made of 100% LBKP for photographic paper (hardwood, bleached sulfate pulp) (weight 175 g/m2, thickness about 180 u.), to prepare supports (A) and (A-I) to (A-VI).
- 10 parts by weight of titanium oxide white pigment was surface-treated with silicon oxide and aluminium oxide was added to 90 parts by weight of polyethylene composition (i) (density 0.920 g/cc, melt index (MI) 5.0
g /10 min) and kneaded. The resulting blend was coated on the raw paper by melt-extrusion coating to form a 30 µm waterproof resin layer thereon. On the other hand, the back surface of the white raw paper was coated with only a polyethylene composition (ii) (density 0.950 g/cc, MI 8.0 g/10 min) to form a 20 µm waterproof resin layer thereon. - 11 parts by weight of anatase-type titanium oxide white pigment (surface-treated as indicated in Table 1 below) was added to 89 parts by weight of the polyethylene composition (i) used in preparation of support (A) and blended analogously. The resulting blend was coated on the raw paper by melt-extrusion coating to form a 30 u.m waterproof resin layer thereon.
- The same titanium oxide powder as that used in preparation of support (A) was dipped in an ethanol solution of 2,4-dihydroxy-2-methylpentane and then heated. After the evaporation of ethanol, a surface-treated titanium oxide white pigment was obtained. The alcohol adhered to the titanium oxide in an amount of about 1% by weight to coat the surface of the grains. The back surface of the white raw paper was coated with the same polyethylene composition (ii) as that used for the preparation of support (A) to form a waterproof resin layer thereon.
-
- A composition comprising 50 parts by weight of dipentaerythritol propyleneoxide (12 mols)-hexaacrylate ester adduct and 50parts by weight of rutile-type titanium oxide was blended and dispersed in a ball mill for 20 hours or more and the resulting blend was coated and dried on the raw paper mentioned below in a dry film thickness of 20 µm. The raw paper used here was prepared by coating a 20 µm polyethylene composition layer on the same white raw paper as that used in preparation of support (A), the back surface of the paper being coated with a 20 u.m polyethylene layer (density 0.960 g/cc, MI 25 g/10 min).
- The thus coated layer was treated by irradiation of an electron ray in an amount corresponding to an absorption dose of 5 megarad under an accelerated voltage of 200 kv, to prepare support (A-VI).
- The surface of the waterproof resin layer as coated on each of the supports thus prepared was etched to a depth of about 0.05 µm from the surface thereof by ion-sputtering, and the white pigment grains thus exposed were observed with an electron microscope so as to evaluate the degree of dispersion of the white pigment grains in the layer. The projected area ratio (Ri) of each grain was determined for the continuous six unit areas (each having a size of 6 µm x 6 u.m), and the standard deviation (s) as well as the mean grain possessory area ratio (%) (R) was obtained from the following formulae:
-
- As is obvious from the results in Table A-I-a, the degree of dispersion of white pigment in supports (A-I) to (A-VI) was superior to that in support (A). In particular, it is noted that the white pigment grains were substantially uniformly dispersed in supports (A-I), (A-VI) and (A-VI).
- Each of supports (A) and (A-I) to (A-V) was subjected to corona discharge and a subbing layer (gelatin layer) was provided thereon. Next, a colored layer, silver halide light-sensitive layers, interlayers and a protective layer were formed on the support, as mentioned below. Color photographic paper samples (A-a) to (A-g) and (A-1) to (A-6) were thus prepared.
- The numeral for the amount coated is expressed by the unit of g/m2. The silver halide emulsion is expressed by the amount of silver therein.
- See Table A-3 below.
-
-
-
-
-
-
-
-
- The definition of the above-mentioned fluctuation coefficient and the method for determining the same are described in T.H. James, "The Theory of the Photographic Process", (published by Macmillan Company), 3rd Ed. (1966), page 39.
-
- Each sample thus prepared was sensitometrically wedgewise exposed with a sensitometer (FWH type Sensitometer manufactured by Fuji Photo Film Co., color temperature in light source 3,200 K), using blue, green and red filters. On the other hand, each sample was exposed for determination of its resolving power (CTF) and then processed by the process mentioned below.
-
-
-
- As is obvious from the results in Table 4, the color photographic paper samples (Samples (c) to (g) and Samples (1) to (7)) having the support of the present invention have improved whiteness and resolving power, as compared with comparative samples having the conventional support. In addition, the color photographic paper samples (Samples (1) to (7)) having the colored layer of the present invention have a synergestically improved resolving power. Above all, Sample (6) is noted to have a sufficient resolving power and an excellent whiteness, as it has a support containing a large amount of titanium oxide grains with a small fluctuation coefficient and it has a colored layer containing a cationic latex polymer having at least one hydrogen-having ammonium group at the cation site.
- When ExC-2, ExC-3 or ExC-4 was used as the cyan coupler in place of ExC-1, the same results were obtained.
- Samples (h) and (8) to (10) were prepared in the same manner as in Example 1, using supports (A), (A-I), (A-III) and (A-VI). The layer constitution of the samples was as follows. Unless otherwise specifically indicated, the amount coated is expressed by the unit of g/m2. The silver halide is expressed by the amount of silver therein.
-
-
-
-
-
-
-
-
-
-
-
- (Cpd-1) and (Cpd-9) used in Example 1 were added to the above-mentioned emulsions (EM-7) to (EM-9).
- Each of these samples was wedgewise exposed for sensitometry and further exposed for determination of the resolving power, in the same manner as in Example A-1. In addition, color negative originals formed by photographing a person image, a Mackbeth Color Chart or a living flower on Fuji Color SUPER HR-100 were printed on each sample.
-
- As is obvious from the results in Table A-6 above, the silver halide color photographic materials of the present invention (Samples 8 to 10) had improved image sharpness without lowering the degree of the whiteness thereof.
- By observation of the characteristic curve of each sample processed, it is noted that Sample (10) had a lower Dmin than Sample (h) and the gradation of the toe was sharply cut and extended in the former Sample (10). By visual observation of the printed photograph, it is noted that the detail gradation of the highlight area was excellently reproduced in the samples of the present invention.
- When a blueish colorant such as ultramarine is applied to the support of the present invention, the apparent whiteness (visual whiteness degree) may be further strengthened.
-
-
- Wood pulp comprising 20 parts of LBSP (hard wood bleached sulfurous acid pulp) and 80 parts of LBKP (hard wood bleached sulfate pulp) was beaten with a disc refiner to a Canadian freeness of 300 cc. 1.0 part of sodium stearate, 1.0 part of anion polyacrylamide, 1.5 parts of aluminium sulfate and 0.5 part of polyamide-polyamine-epichlorohydrin were added thereto. (The "part" is by absolute dry weight to wood pulp.) The resulting mixture was made into a paper (weight: 180 g/m2) by the use of Fourdrinier machine, whereupon polyvinyl alcohol (PVA) was added as a sizing agent in an amount of 1 g/m2. The density of the paper made was adjusted to be 1.0 g/m2 by the use of a machine calender. The paper made had a pH value of 4.3.
- The acid paper thus formed was used as a paper substrate, and a waterproof resin layer (25 u.m thick) containing 15% by weight of trimethylolethane-surface-treated anatase-type titanium oxide was formed on the substrate in accordance with the method used to prepare the above-mentioned support (A-II), to prepare support (A-III).
- Wood pulp comprising 20 parts of LBSP and 80 parts of LBKP was beaten with a disc refiner to a Canadian freeness of 300 cc. Polyamide-polyamine-epichlorohydrin (fixing agent KYMENE 557, commercial product of DIC-HERCULES CHEMICALS Inc.) was added to the foregoing in an amount of 0.5% (by weight to absolute dry pulp - the same shall apply hereunder) and then cationic polyacrylamide (POLYSTRON 705, commercial product of Arakawa Chemical) and anionic polyacrylamide (POLYACRON ST-13, commercial product of Hamano Industries) each in an amount of 0.5% were added. Further, alkylketene dimer (AQUAPEL, commercial product of DIC-HERCULES CHEMICALS Inc.) was added thereto in an amount of 0.5%. The resulting mixture was made into a paper(weight: 180 g/m2) by the use of Fourdrinier machine, whereupon PVA was added as a sizing agent in an amount of 1 g/m2. The density of the paper was adjusted to be 1.0 g/cm3 by the use of a machine calender. The paper made had a pH value of 5.5.
- The neutral paper thus formed was used as a paper substrate, and a waterproof white pigment-containing resin layer was formed thereon by the same method used in preparing the above-mentioned support (A-VII).
-
- Next, the same second to ninth layers as those in Example A-2 were formed on the first layer and dried to prepare color photographic material Samples (11) and (12), where 1,2-bis(vinylsulfonyl)ethane was used as the hardening agent.
- Each sample was cut into 12 cm wide strip and rolled. This was imagewise exposed and rolled, and the cut edge was rubbed under the same condition. Next, this was color-developed in the same manner as in Example A-2. The rolled print thus obtained was stored for 5 days at 40 C, and the cut edge was observed to determine whether or not it was stained. (That is, the side edge of the rolled sample was visually observed and checked.) The results are shown in Table A-7 below.
- Sample (i) was prepared as follows: Support (B) was prepared in the same manner as Support (A-VII), except that the same waterproof white pigment-containing resin layer as that used for preparing the above-mentioned Sample (A) was formed. Sample (i) was prepared in the same manner as Sample (11), except that Support (B) was used in place of Support (A-VII).
- The results of Table A-7 above indicate that neutral paper is more advantageous than is acid paper as the support substrate for obtaining a higher degree of whiteness in the color photographic material of the present invention. From the results, therefore, it is presumed that the additives and sizing agent added to the support substrate as well as the pH value of the substrate have some influence on the degree of whiteness of the photographic material formed on the support.
- Photographic material (1) gives photographic prints having excellent whiteness, image sharpness and highlight detail color tone reproducibility. In addition, the prints obtained from the photographic material (1) of the present invention are hardly stained by photographic processing.
-
- Furthermore, the ground mixture was dispersed in 25 ml of an aqueous solution of 10% lime-processed gelatin containing 1 g of citric acid dissolved therein and sands used for the sand mill were removed using a glass filter. The dyes adsorbed to the sands on the glass filter were recovered by using warm water and added to the dispersion to provide 100 ml of the dispersion containing 7% gelatin with the addition of water.
- Each of the supports as used in Example A-1 and Example A-3 was subjected to a corona discharging treatment, and after forming thereon a gelatin subbing layer, a first layer (colored layer) shown in Table A-8 below was formed and then the second layer to the ninth layer as in Example A-2 were formed thereon to provide Samples 13 to 16.
- The cross section of a piece of Sample 13 was observed using a transmission type electron microscope. The mean grain size of the fine dye powder in Sample 13 was about 0.3 u.m. Also, the fine dye powder existed in the first layer and was not observed in the adjacent layers.
- According to the manners shown in Example A-1, each of the sample was subjected to the sensitometric stage exposure and the exposure for measuring resolving power and then subjected to quick processing as shown in Example A-2. The occurrence of residual color and yellow stain in each sample was less than those of
11 and 12 in Example 3. The results obtained are shown in Table A-9.Samples - Also, when the samples having the subbing layer and the first layer only in Samples 13 to 16 were immersed in the color developer, it was observed taht the dyes in the first layer were quickly (from about 15 seconds to 20 seconds) decolored and dissolved off.
- Each of the compositions of the dye crystals shown below was kneaded with a dispersion aid, ground by a ball mill, and the ground composition was dispersed in 25 ml of an aqueous solution of 10% lime-processed bone gelatin containing 1 g of citric acid dissolved therein. The beads used for grinding were removed from the mixture using a filter, the dyes adsorbed to the beads and the filter were recovered by warm water and added to the dispersion to provide 100 ml of the aqueous dispersion containing 7% gelatin.
- The mean grain sizes of the fine crystal grains of the dyes in Dispersion Methods B, C, D and E were 0.1 µm, 0.3 µm, 0.15 u.m, 0.2 u.m, respectively. That is, the mean grain sizes were all 0.3 u.m or less and haze was slight or none.
- Each of the first layers having the compositions shown in Table A-10 below was formed on each of the supports shown in Table A-10. In this example,
Samples 17 and 18 each contained the dispersion of the fine dye grains in this invention prepared by Dispersion Methods B and C, respectively. Furthermore, the second layer to the ninth layer as in Example A-2 were also formed thereon. In this case, however, the ninth layer ofSample 19 contained fine grains of Dye IV-24 formed by Dispersion Method D. - Each of the samples thus prepared was subjected to the sensitometric stage exposure and the exposure for measuring resolving power as in Example A-2 and then subjected to quick color photographic processing as in Example A-2. The density of each sample thus processed was measured and the results obtained are shown in Table A-10 below.
- As is clear from the results shown in the above table, it can be seen that
17, 18, and 19 give less Dmin' give neither residual color nor stain, and are excellent in whiteness (visual observation) and resolving power as compared with other samples.Samples - Two pieces of each of
9, 16, 17, and 19 were subjected to a stage exposure (200 CMS, 0.1 second) through a sensitometric red filter and one of the two pieces of each sample was subjected to a sensitization test by safelight, another piece being used as a comparison contrast.Samples - That is, Safelight Filter 103A for color paper (made by Fuji Photo Film, Co., Ltd.) was mounted on an electric bulb of 10 watts (100 volts) and after irradiating one piece of each sample by the electric bulb in the direction perpendicular to the light-sensitive surface thereof for 20 minutes, the piece of the sample was subjected to color photographic processing together with another piece of the sample.
- After processing, the density of each sample was measured the increased density of each sample at the point of the image exposure amount corresponding to 0.5 in the reflection cyan image density of the contrast sample was compared with those of other samples and the results obtained are shown in Table A-11 below. The value is a measure of the resistivity to the safelight.
- From the results shown in Table A-11 above, it can be seen that
Sample 19 has strong resistivity to safelight and given low background density after processing. -
- In the following examples, reference is made to Table B-1 above.
- A waterproof titanium oxide-containing white pigment resin layer comprising the composition mentioned below was formed on the surface of a white raw paper made of 100% LBKP for photographic paper (hardwood, bleached sulfate pulp) (weight 175 g/m2, thickness about 180 µ), to prepare supports (B-I).
- 10 parts by weight of titanium oxide white pigment was surface-treated with silicon oxide and aluminium oxide was added to 90 parts by weight of polyethylene composition (i) (density 0.920 g/cc, melt index (MI) 5.0 g/10 min) and kneaded. The resulting blend was coated on the raw paper by melt-extrusion coating to form a 30 µm waterproof resin layer thereon. On the other hand, the back surface of the white raw paper was coated with only a polyethylene composition (ii) (density 0.950 g/cc, MI 8.0 g/10 min) to form a 20 µm waterproof resin layer thereon.
- 15 parts by weight of anatase-type titanium oxide white pigment (surface-treated as indicated in Table 1 below) was added to 85 parts by weight of the polyethylene composition (i) used in preparation of support (B-I) and blended analogously. The resulting blend was coated on the raw paper by melt-extrusion coating to form a 30 u.m waterproof resin layer thereon.
- The same titanium oxide powder as that used in preparation of support (B-1) was dipped in an ethanol solution of 2,4-dihydroxy-2-methylpentane and then heated. After the evaporation of ethanol, a surface-treated titanium oxide white pigment was obtained. The alcohol adhered to the titanium oxide in an amount of about 1% by weight to coat the surface of the grains. The back surface of the white raw paper was coated with the same polyethylene composition (ii) as that used for the preparation of support (B-I) to form a waterproof resin layer thereon.
- Support B-III was prepared in the same manner as support B-II, except that titanium oxide containing 3% by weight of zinc oxide was used in an amount of 12 parts by weight to 88 parts by weight ofthe polyethylene composition, in place of the anatase-type titanium oxide white pigment in support B-II.
- A composition comprising 50 parts by weight of dipentaerythritol propyleneoxide (12 mols)-hexaacrylate ester adduct and 50parts by weight of rutile-type titanium oxide was blended and dispersed in a ball mill for 20 hours or more and the resulting blend was coated and dried on the raw paper mentioned below in a dry film thickness of 20 µm. The raw paper used here was prepared by coating a 20 u.m polyethylene composition layer on the same white raw paper as that used in preparation of support (B-I), the back surface of the paper being coated with a 20 µm polyethylene layer (density 0.960 g/cc, MI 25 g/10 min).
- The thus coated layer was treated by irradiation of an electron ray in an amount corresponding to an absorption dose of 5 megarad under an accelerated voltage of 200 kv, to prepare support (B-IV).
-
- As is obvious from the results in Table B-2, the degree of dispersion of the white pigment in support samples (B-II) to (B-VI) was superior to that in support sample (B-I). In particular, it is noted that the white pigment grains were substantially uniformly dispersed in samples (B-II), (B-III) and (B-IV).
- Using supports (B-I) to (B-IV) color photographic paper samples (A) to (G) were prepared in the same manner as in Example A-1.
-
- The second to eighth layers include two kinds of (a) and (b) as indicated in Table B-1 above. Sample (a) is a silver bromide-rich material, and sample (b) is a silver chloride-rich material. The compositions of sample (a) and sample (b) are mentioned below.
- The same as the second to eighth layer in Example A-1.
- Following the above-mentioned sample (a), plural layers having the compositions mentioned below were formed on support (B-II) to prepare photographic material sample (E). Unless otherwise sepcifically indicated, the numeral for the amount coated is expressed by the unit of g/m2. The silver halide emulsion is expressed by the amount of silver therein.
-
-
-
-
-
-
-
-
-
-
-
- (Cpd-1) and (Cpd-9) used in preparation of sample (a) were added to the above-mentioned emulsions (EM-7) to (EM-9).
- Processing conditions for processing (i) and (ii) indicated in Table 1 above are as follows.
- The same as in Example A-1.
-
-
- The samples of Table B-1 were tested in accordance with the procedure mentioned below. Each of samples (A) to (G) was set in a video printer FVP 600 (manufactured by Fuji Photo Film Co., Ltd.) and color name cards were prepared. The flow sheet of the equipment is same as that shown in Fig. 1. Precisely, a portrait image signal and a character image signal were introduced from the respective inputting means and these were outputted in the CRT screen in
FVP 600 and were printed to the sample through the lens system. All the samples thus printed, except sample (E), were developed, fixed and dried in the processing device as equipped in the machine, in accordance with the processing conditions mentioned above. The exposure time for each sample is shown in Table B-5 below. As the optinum exposure time varies for every sample, the exposure amount was varied in the level of high exposure, middle exposure and low exposure. - The sharpness of the thus finished samples (A) to (G) was evaluated by determining the density profile of the character as printed in each sample with a microdensitometer. The microdensitometer used was a reflection mode of FMP-S Type transmission-reflection microdensitometer (manufactured by Union Optical Co., Japan). The measurement condition were as follows. The objective lens had five magnifications. Fiber illumination with incident angle of 45 degrees was used. Two different filters each for visual ray and red ray were used. The size of the measurement slit was 10 u.m x 100 αrn. The object to be printed was a Japanese character of 13th degree Ming-style type. This was scanned in the position and direction as indicated in Fig. 2. From the density profile thus obtained, acutance "Ac" which will be explained hereunder is calculated out, and this was used as the value for evaluating the sharpness. "Ac" is defined as follows, for example, in accordance with the description of The Theory of the Photographic Process (by T.H. James) (published by the Macmillan Company), 4th Ed., 1967, page 602. In Fig. 7 "L" means the transition width of the stepwise image having a density difference "Ds". The transition width "L" is a criterion of the blurred degree of the edge of the image and is obtained from the mean density gradient G of the transition area, in accordance with the following formula:
"Ac" is defined as follows: Accordingly, the value "Ac" becomes higher when the blurred degree of "L" is smaller and the effective density difference "Ds" of image is larger. - The accurate definition of "Ac" is applied to the image where the hemi-planes of each of the low density side and the high density side are stepwise connected to each other. Althogh the character as examined in the present examples does not always satisfy the said condition, it could be interpreted that the definition of "Ac" as defined by formula (2) be applied to the both edges of the lines with a limited width of the character-constituting elements. Accordingly, since the actual "Ac" depends upon the line width, comparison between the characters with the same line width can be effected accurately.
- In general, the resolving power and response function may be used as a criterion of sharpness, but the acutance as employed herein was the optimum function in the present case because of the following two reasons. The first is that the evaluation value can be expressed by one numeral. The second is that the acutance can be calcualted by measuring the object itself to be examined, and printing of any other particular pattern for evaluation is unnecessary.
-
- The cyan coupler, ExC-2, ExC-3 or ExC-4 were used in preparation of samples (A) to (G) in place of ExC-1, and the same results were also obtained.
- As is obvious from the results in Table B-5 above, samples (B) to (G) were superior to the comparative sample (A) with respect to the actuance (Ac). The actuance (Ac) somewhat differed in accordance with the exposure amount and in the parts of the image. The values shown in Table B-5 were mean values obtained in the optimum exposure range of the respective samples. That is, in the exposure range of giving "Ds" of from 1.5 to 2.5. The profile of the third edge and that of the fifth edge of the character as shown in Fig. 2 were evaluated, and the mean values obtained were employed for the results in Table B-5.
- As is noted from the results in Table B-5, "Ac" by the red filter was generally inferior to that by the visual filter. In particular, the difference therebetween in samples (A) to (C) and samples (D) to (G) was great. This may be because of the synergistic action of the exposure blur by so-called halation to be directed to the direction of the incident ray from the support and the blur caused by the light-scattering in viewing the finished print. The great difference means that the two blurs are especially great for red light. This could be understood from the fact that the red-sensitive layer is positioned in the uppermost layer which is most remote from the support in constituting the color light-sensitive layers of the present color photographic paper. In fact, sample (A) had noticeable bleeding of the cyan color around the character, while such bleeding was small in samples (B), (C), (D), (E), (F) and (G). Such bleeding could not be seen in samples (D) to (G).
- Sample (E) of Example B-5 and Sample (F) of Example B-6 were prepared. Using a printer comprising a combination of the CRT exposure system of Fig. 1 and the portrait exposure system with light path switch-over means as described in JP-A-62-184446, a portrait was combined with Japanese characters. The characters were inputted from the character-inputting means and were displayed on the black-and-white CRT through the CRT controller, and printed on each of samples (E) and (F) to prepare a New Year's Card. The spectral sensitivity curve of sample (F) is shown in Fig. 4-a; and that of sample (E) in Fig. 4-b. In the black-and-white CRT in the CRT exposure system as used in the present example, a mixture of fluorescent substances of P-22R and P45 (code numbers of EIA; Electronic Industries Association) were used, and the relative emission strength was shown in Fig. 5. Fig. 6 shows spectral transmittance curves of B, G, R and Y filters used in the present example. After printing, sample (F) was developed with the developer (for processing (i) mentioned above) as filled in Video Printer FVP-600 (manufactured by Fuji Photo Film Co., Ltd.). On the other hand, sample (E) was, after printing, developed with the processing solutions (for processing (ii) mentioned above) as filled in a modified Video Printer FVP-600 where. the rack and other parts had been reformed so as to be suited for the processing (ii).
- The thus obtained print having both portrait and characters was cut into a size of.about 150 mm (length) x about 100 mm (width). An aqueous adhesive was applied to the back surface of the resulting print and this was attached to a postal card (as described in the Example of JP-A-63-104050). This was cut into a size of 145 mx98 mm to give a print-attached postcard having a dry weight of 5.8·g.
- Sample (A) of Example B-1 was also processed in the same manner as Sample (F) to obtain a print-attached postcard. As compared with the postcard obtained from sample (A), those obtained from samples (F) and (E) exhibited excellent image quality of the character images. The latter postcards from samples (F) and (E) had a combination of a portrait photograph and character images which were comparable to the character images obtained by offset printing using lith film and a PS plate. These print-attached postcards from samples (F) and (E) had a high quality appearance.
- In accordance with the method of the present invention, character-combined photograph prints can be provided, which have excellent image sharpness and excellent tone reproducibility of highlight details.
-
- The ground composition was dispersed in 25 ml of an aqueous solution of 10% lime-processed gelatin containing 1 g of citric acid dissolved therein and sands used for grinding were removed using a glass filter. The dyes adsorbed to sands on the glass filter were recovered using warm water and added to the dispersion to provide 100 ml of the solid fine grain dispersion of the dyes containing 7% gelatin.
- After applying a corona discharging treatment onto the support as Support B-II in Example B-3 and forming thereon a subbing layer, a colored layer was formed thereon using the aforesaid solid fine grain dispersion of the dyes as the first layer in Example B-2. In this
case 2,4-dichloro-5-hydroxy-1,3,4-triazine sodium salt was used as a hardening agent. -
- The mean grain size of the solid fine grains of the dyes observed by a transmission type electron microscope (200 kV) was about 0.25 µm and aggregates having grain sizes of larger than about 3 µm were not observed.
- Also, when the sample having the aforesaid colored layer was subjected to process (a) described in Example B-1, the colored layer formed was almost completely decolored.
- Furthermore; the second layer to the eighth layer as in Examples B-2, B-4, and B-6 were formed thereon to provide Sample H. Sample H was subjected to the sensitometry as in Example B-2 and also the printing time for printing CRT images was determined using the aforesaid video printer FVP-600 as in Example 6 and the Ac value was determined as in Example B-6. The results obtained are shown in Table B-11 below.
- It can be seen that Sample H shows the excellent Ac value as compared with Sample F at the same exposure time.
- Using each of Supports B-1, B-II, and B-IV described above, the first layer (colored layer) containing the solid fine grain dispersion was formed using the solid fine grain dispersion of the dyes shown in Example B-9. Then, the second layer to the eighth layer of Sample (b) as in Example B-5 were formed thereon to provide Samples I, J, K and L, respectively.
-
- In Samples I to L, the colored layers were almost completely decolored in spite of quick processing. Also, the colored layers have a tendency of giving the higher Ac value as compared with colored layers (1), (2) and (3).
- Also, when the cross section of a piece of Sample J was observed by a transmission type electron microscope (200 KV), it was confirmed that the solid fine grain dispersion of the dyes was not diffused into the adjacent layers.
- As described above, the method of the present invention can provide a silver halide photographic material capable of giving photographic prints having less stain by processing, having excellent whiteness, having excellent sharpness of images, and being excellent in tone reproducibility of details of the highlight.
- A waterproof titanium oxide-containing white pigment resin layer comprising the composition mentioned below was formed on the surface of a white raw paper made of 100% LBKP for photographic paper (hardwood, bleached sulfate pulp) (weight 175 g/m2, thickness about 180 µ), to prepare supports (C-I).
- 10 parts by weight of titanium oxide white pigment was surface-treated with silicon oxide and aluminium oxide was added to 90 parts by weight of polyethylene composition (i) (density 0.920 glcc, melt index (MI) 5.0 g/10 min) and kneaded. The resulting blend was coated on the raw paper by melt-extrusion coating to form a 30 µm waterproof resin layer thereon. On the other hand, the back surface of the white raw paper was coated with only a polyethylene composition (ii) (density 0.950 g/cc, MI 8.0 g/10 min) to form a 20 u.m waterproof resin layer thereon.
- 12 parts by weight of anatase-type titanium oxide white pigment (surface-treated as indicated in Table C-1 below) was added to 88 parts by weight of the polyethylene composition (i) used in preparation of support (C-I) and blended analogously. The resulting blend was coated on the raw paper by melt-extrusion coating to form a 30 µm waterproof resin layer thereon.
- The same titanium oxide powder as that used in preparation of support (C-I) was dipped in an ethanol solution of trimethylol ethane and then heated. After the evaporation of ethanol, a surface-treated titanium oxide white pigment was obtained. The alcohol adhered to the titanium oxide in an amount of about 1 % by weight to coat the surface of the grains. The back surface of the white raw paper was coated with the same polyethylene composition (ii) as that used for the preparation of support (C-I) to form a waterproof resin layer thereon.
- Support C-III was prepared in the same manner as support C-II, except that titanium oxide containing 3% by weight of zinc oxide was used in an amount of 12 parts by weight to 80 parts by weight ofthe polyethylene composition, in place of the anatase-type titanium oxide white pigment in support C-II.
- A composition comprising 50 parts by weight of dipentaerythritol propyleneoxide (12 mols)-hexaacrylate ester adduct and 50parts by weight of rutile-type titanium oxide was blended and dispersed in a ball mill for 20 hours or more and the resulting blend was coated and dried on the raw paper mentioned below in a dry film thickness of 20 µm. The raw paper used here was prepared by coating a 20 µm polyethylene composition layer on the same white raw paper as that used in preparation of support (C-I), the back surface of the paper being coated with a 20 u.m polyethylene layer (density 0.960 g/cc, MI 25
g /10 min). - The thus coated layer was treated by irradiation of an electron ray in an amount corresponding to an absorption dose of 5 megarad under an accelerated voltage of 200 kv, to prepare support (C-VI).
- Supports (C-I), (C-II) and (C-III) contained ultramarine in an amount of about 0.3% by weight to the total of the polyethylene and white pigment grains; and support (C-IV) contained the same in an amount of about 0.15% by weight.
-
- As is obvious from the results in Table C-1, the degree of dispersion of white pigment grains in each of Supports (C-II) to (C-IV) was superior to that in Support (C-I). In particular, it is noted that the grains were substantially uniformly dispersed in Supports (C-III) and (C-IV).
-
- (Solution-1) was heated to 55 °C, and (solution-2) was added thereto. Next, (solution-3) and (solution-4) were simultaneously added over a period of 10 minutes. After 10 minutes, (solution-5) and (solution-6) were simultaneously added over a period of 35 minutes. 5 minutes after completion of the addition, the temperature was lowered for desalting.
- Water and gelatin for dispersion were added to the above-obtained resultant and the pH value was adjusted at 6.2. A monodispersed cubic silver chlorobromide emulsion (i) having a mean grain size of 0.70 u. and a fluctuation coefficient (value obtained by dividing the standard deviation by the mean grain size) of 0.13 was obtained.
- Next, Ex DyeB( as CR-compound) was added to the emulsion (i) in an amount of 2.3x10-4 mol per mol of the silver halide at 58 C, and then sodium thiosulfate, chloroauric acid and ammonium rhodanide were added for optimum chemical sensitization for obtaining a surface latent image type emulsion. Afterwards, 4-hydroxy-6-methyl-1,3,3a,7-tetrazaindene (as stabilizer) was added. The resulting emulsion was called emulsion (1).
- Emulsions (2) to (6) were prepared in the same manner as emulsion (1), whereupon the temperature for grain formation and the CR-compound were varied as indicated in Table C-2 below. When silver bromide was added, the amount of the chloroauric acid was halved for effecting the optimum chemical sensitization.
- Plural layers each having the composition mentioned below were formed on a paper support both surfaces of which were coated with polyethylene (support C-II) to prepare a multilayer color photographic paper sample.
- The coating compositions were prepared by blending a silver halide emulsion, chemicals and a coupler-containing emulsion. The method of preparing the compositions is discussed below.
- 27.2 cc of ethyl acetate and 7.7 cc of solvent (Solv-1) were added to 19.1 g of yellow coupler (Ex Y) and 4.4 g of color image stabilizer (Cpd-1). The resulting solution was dispersed by emulsification in 185 cc of an aqueous 10% gelatin solution containing 8 cc of 10% sodium dodecylbenzenesulfonate.
- Other magenta, cyan and interlayer emulsions were prepared in the same manner.
- Stabilizer (Ex-3d) was added to the blue-sensitive emulsion layer in an amount of 2.5x10-4 mol per mol of the silver halide.
- The gelatin hardening agent used for each layer was 1-hydroxy-3,5-dichloro-s-triazine sodium salt.
- Dyes (Ex-3a) and (Ex-3b) were added to the emulsion layers for anti-irradiation.
- Further, compound (Ex-3c) was added to the red-sensitive emulsion layer in an amount of 2.6x10-3 mol per mol of the silver halide.
-
- The composition of the layers constituting each of samples (1) to (4) are mentioned below. The numeral indicates the amount coated by the unit of g/m2. The silver halide coated is expressed by the amount of silver therein.
- Polyethylene-Coated Paper (Support (C-II) (This contained white pigment (Ti02) and blueish dye (ultramarine) in the polyethylene in the side coated with the first layer.)
-
-
-
-
-
-
-
-
- In order to examine the photographic characteristics of the thus prepared photographic material samples, the samples were subjected to the following tests.
- First, each of the samples was sensitometrically wedgewise exposed with a sensitometer (FWH Type Sensitometer manufactured by Fuji Photo Film co., Ltd.; color temperature of light source 3200°K) through a green filter. The exposure time was 1/10 second, and the exposure amount was 250 CMS.
-
-
-
- As is obvious from the results in Table C-4, the relative sensitivity of sample (2) was noticeably lower than sample (1) because of provision of the antihalation colored layer on the support. In particular, B-sensitivity and G-sensitivity were relatively noticeably lowered. In sample (3), the sensitivity of the emulsions used was elevated and the fog thereof was suppressed, whereby the sensitivity of sample (3) was kept almost the same as that of sample (1) while the fog of sample (3) was also suppressed.
- Sample (4) is noted to be superior to sample (1), as the blue-sensitivity, green-sensitivity and red-sensitivity were well balanced at a high level and the fog was suppressed.
- For determination of the resolving power of each sample, a rectangular wave pattern for CTF determination was attached to the surface of each sample. Each sample was then exposed with the photometer. Subsequently, the thus exposed sample was processed as mentioned above, and the density of the processed sample was determined with a microdensitometer. The results obtained are shown in Table C-5 below.
- As is obvious from the results in Table C-5, samples (3) and (4) are superior to sample (1) with respect to the resolving power.
- Other samples were prepared, following samples (3) and (4), except that ExM2, ExM3 or ExM4 was used in place of ExM1 in the fourth layer, and ExC3, ExC4 or ExC5 was used in place of the blend of ExC1 and ExC2 in the sixth layer. These samples were also found to have the same properties.
- In addition, ExDyeR in emulsion (6) was replaced by ExDyeR-1, and the same result was also obtained.
- The compounds used in preparation of the above-mentioned samples are mentioned below.
-
-
-
-
-
-
-
-
-
-
-
-
-
-
-
-
-
-
-
-
-
-
-
-
-
- Using supports (C-I), (C-III) and (C-IV) in place of support (C-II), color photographic paper samples (5), (6) and (7) were prepared in the same manner as the photographic material of sample (3) prepared in Example C-1. These samples were subjected to the same sensitometry as that carried out in Example C-2. In addition, the same rectangular wave pattern for CTF determination used in Example C-2 was applied to the surface of each of samples (5), (6) and (7) and the resolving power of each sample was determined in the same manner as in Example C-2. The results obtained are shown in Table C-6 below.
- The results in Table C-6 demonstrate that the color photographic paper samples (6) and (7) having support (C-III) and (C-IV), respectively are superior to sample (5) having support (C-I) with respect to the sensitivity and resolving power.
- Emulsions (8) and (9) were prepared as follows: First, emulsion (i) was prepared in the same manner as in Example C-2, and the above-mentioned ExDyeR-1 (as CR-compound) was added thereto in an amount of 1.5X10-4 mol/mol-Ag at 42° C. Next, fine silver halide grains were added and heated and then sodium thiosulfate, chloroauric acid and ammonium rhodanide were added following the process of preparing emulsion (6) in Example C-2. Further, 10 mg/mol-Ag of the aforesaid thiosulfonyl group-containing compound (g) or 15 mg/mol-Ag of compound (i) was added for optimum chemical sensitization to obtain a surface latent-image type emulsion. Last, 4-hydroxy-6-methyl-1,3,3a,7-tetrazaindene and compound (Ex-3f) mentioned in Example C-3 were added to obtain emulsions (7) and (8).
- Using emulsion (7) or emulsion (8) in place of emulsion (6) in sample (4) in Example C-2, sample (8) and sample (9) were prepared, respectively.
-
- Samples (8) and (9) had the same resolving power as sample (4). As is obvious from the results in Table C-7, the red-sensitive layer (RL) containing the conpound having the thiosulfonyl group containing emulsion (7) or (8) had an extremely elevated sensitivity with noticeably lowered fog in samples (8) or (9), respectively.
- Photographic material samples (1) to (4) prepared in Example C-2 and samples (8) and (9) prepared in Example C-4 were tested in accordance with the procedure mentioned below.
- Each of the six kinds of samples was set in a video printer FVP 600 (manufactured by Fuji Photo Film Co., Ltd.) and color name cards composed of a portrait'image, a CG image and a character image were prepared. The flow sheet of FVP600 is shown in Fig. 1. Precisely, the portrait image is displayed in the color monitor and the black-and-white CRT as digital information, while the CG image and the character image are synthesized in the image synthesizing means and are also displayed in the color monitor and the black-and-white CRT through the CRT controller. The yellow image, green image and red image as displayed in the black-and-white CRT were passed through the lens system and printed on the sample via the three color filters of (B + Y) filter, G filter and R filter which have the spectral transmittance as shown in Fig. 6 and which are synchronized with the color images. A blend of the fluorescent bodies (P-22R and P-45) which gave the spectral emission intensity as shown in Fig. 5 were used in the black-and-white CRT. The printing time for the respective blue, green and red lights were previously determined in accordance with the spectral sensitivity of BL, GL and RL of each sample. The printing time was shown in Table C-8 below.
- It is noted from the results in Table C-8, that the printing time for samples (8) and (9) was reduced to 0.3 to 0.7 time of that for samples (1) to (4).
- The image quality of the character images obtained from samples (2) to (4) and samples (8) and (9) was superior to that of the character images obtained from sample (1), especially with respect to the sharpness and the edge contrast.
- Each of samples (3) and (4) was cut into a roll having a width of 102 mm. The resulting roll was charged in a printer equipped with CRT exposure system and photographic image exposure system, following the description of JP-A-62-184446. A portrait image was printed on the role by a photographic image exposure system while character images were simultaneously printed thereon by a CRT exposure system.
- Subsequently, the thus printed roll was passed through the photographic processing device to complete the color development mentioned in Example C-2, whereby a photographic print with written characters was obtained. This was cut to a size of 98 u.mx148 mm to obtain a print for a postcard. The image quality of the character images printed was comparable to that obtained by conventional lithographic printing.
- The thus prepared print was attached to a lottery postal card to form a print-attached lottery postal card, following the description of JP-A-63-70858.
-
- Furthermore, the ground mixture was dispersed in 25 ml of an aqueous solution of 10% lime-processed gelatin containing 1 g of citric acid dissolved therein and sands used for the sand mill were removed using a glass filter. The dyes adsorbed to the sands on the glass filter were recovered using warm water and added to the dispersion to provide 100 ml of the solid fine grain dispersion of dyes containing 7% gelatin.
- After applying a corona discharging treatment onto the support C-II as in Example C-2 and forming thereon a gelatin subbing layer, a colored layer was formed thereon the first layer having the composition shown below as in Example C-2. In this case, 2,4-dichloro-5-hydroxy-1,3,4-triazine sodium salt was used as a hardening agent.
-
- The mean grain size of the solid fine grains of the dyes by a transmission type electron microscopic observation was about 0.25 /.Lm and aggregates of larger than about 3 u.m were not observed.
- When the sample was immersed in a color developer as used in Example C-2, the dyes were decolored within about 15 seconds and when the sample was immersed in a bleach-fixation solution as in Example C-2, decoloring was observed to a considerably extent.
- Furthermore, the second layer to eighth layer as shown in Example C-2 were formed on the first layer of the sample to provide
Sample 10. The sample was subjected to the sensitometric exposure and CTF measurement as the cases ofSamples 1 to 4 in Example C-2 and the results obtained are shown in Table C-9. - From the results shown in Table C-9, it can be seen in the comparison with the results shown in Table C-4 and Table C-5 described above that the application of the solid fine grain dispersion method in this invention gives higher resolving power and lower fog.
- According the Dispersion Method A shown in Example C-6, dye crystals shown in Table C-10 below and a dispersion aid were kneaded, the dye crystals were ground by a ball mill, and the ground crystals were dispersed in 25 ml of an aqueous solution of 10% lime-processed bone gelatin containing 1 g of citric acid dissolved therein. The beads used for grinding were removed by filtration and the dyes adsorbed to the filter and the beads were recovered and added to the dispersion to provide 100 ml of the solid fine grain dispersion of dyes containing 7% gelatin.
- On each of the supports as Support C-III and C-IV in Example C-3 was formed a first layer using the aforesaid solid fine grain (fine crystal) dispersion prepared above. Furthermore, the second layer to the eighth layer as
6 and 7 in Example C-2 were formed thereon to provideSamples Samples 11 to 15, respectively. - Each of the samples was subjected to the sensitometry and CTF measurement as in Example C-2. The results obtained are shown in Table C-10 below.
- As is clear from the comparison of the results shown in Table 10 below with the results shown in Tables C-4 and C-5 in Example C-2 described above, it can be seen that the samples using the solid fine grain dispersions of the dyes in this invention show less desensitization and give sufficiently high resolving power as compared with the samples (
Samples 2 and 3) having each colored layer using black colloid silver. In particular, it can be seen that inSample 15, the color separation between the green-sensitive layer and the red-sensitive layer is improved and the resistivity to safelight is improved. - Then, the cross section of each piece of
Samples 11 to 15 was observed by a transmission type electron microscope (200 kV). The solid fine crystal dispersion of the dyes contained in the colored layer (first layer) or the eighth layer was not diffused into adjacent layers and also aggregates having a mean grain size of larger than about 3 u.m were not observed. - By following the same procedure as the case of preparing
Sample 11 in Example C-7 using the support C-III and the first layer (colored layer) as inSample 11 and forming the second layer to the eighth layer as in Sample 9 in Example C-4,Sample 16 was prepared. -
- As is clear from the results shown in Table C-11 above, it can be seen that the printing times for
Sample 16 are same as or faster than those for Sample 9. Also, the fog inSample 16 was less as 0.08 in the blue-sensitive layer, the green-sensitive layer, and the red-sensitive layer. - Using the color photographic material (3) of the present invention, a color print having not only photographic picture images with excellent image sharpness but also line images and character images with high edge contrast can be obtained rapidly and easily. In particular, a so-called mini-laboratory system composed of a CRT exposure system printer and a photographic processing device can efficiently be used for processing the photographic material of the invention, and a print having not only photographic picture images with excellent image quality but also CG images, line images and/or character images with improved image sharpness can be formed easily in a short period of time of about 4 minutes or less. The photographic material of the invention is therefore especially convenient for forming printed postal cards.
- While the invention has been described in detail and with reference to specific embodiments thereof, it will be apparent to one skilled in the art that various changes and modifications can be made therein without departing from the spirit and scope thereof.
Claims (41)
Applications Claiming Priority (12)
| Application Number | Priority Date | Filing Date | Title |
|---|---|---|---|
| JP9280488 | 1988-04-15 | ||
| JP92804/88 | 1988-04-15 | ||
| JP14549288 | 1988-06-13 | ||
| JP145492/88 | 1988-06-13 | ||
| JP15179188 | 1988-06-20 | ||
| JP151791/88 | 1988-06-20 | ||
| JP63255425A JPH07111558B2 (en) | 1988-04-15 | 1988-10-11 | Silver halide photographic light-sensitive material |
| JP255425/88 | 1988-10-11 | ||
| JP27894/89 | 1989-02-07 | ||
| JP1027894A JP2533367B2 (en) | 1988-06-20 | 1989-02-07 | Reflective color photosensitive material and its color image forming method. |
| JP1030405A JP2879106B2 (en) | 1988-06-13 | 1989-02-09 | Color image forming method |
| JP30405/89 | 1989-02-09 |
Publications (3)
| Publication Number | Publication Date |
|---|---|
| EP0337490A2 true EP0337490A2 (en) | 1989-10-18 |
| EP0337490A3 EP0337490A3 (en) | 1990-08-08 |
| EP0337490B1 EP0337490B1 (en) | 1995-12-20 |
Family
ID=27549372
Family Applications (1)
| Application Number | Title | Priority Date | Filing Date |
|---|---|---|---|
| EP19890106744 Expired - Lifetime EP0337490B1 (en) | 1988-04-15 | 1989-04-14 | Silver halide light-sensitive photographic material |
Country Status (2)
| Country | Link |
|---|---|
| EP (1) | EP0337490B1 (en) |
| DE (1) | DE68925144T2 (en) |
Cited By (16)
| Publication number | Priority date | Publication date | Assignee | Title |
|---|---|---|---|---|
| US5187051A (en) * | 1990-01-29 | 1993-02-16 | Fuji Photo Film Co., Ltd. | Method for processing a silver halide color photographic material |
| EP0544323A1 (en) | 1991-11-27 | 1993-06-02 | Fuji Photo Film Co., Ltd. | Silver halide color photographic lightsensitive material |
| EP0544322A1 (en) | 1991-11-27 | 1993-06-02 | Fuji Photo Film Co., Ltd. | Silver halide color photographic light-sensitive material |
| US5252424A (en) * | 1992-09-04 | 1993-10-12 | Eastman Kodak Company | Photographic paper |
| EP0578173A1 (en) | 1992-07-06 | 1994-01-12 | Fuji Photo Film Co., Ltd. | Silver halide color photographic material and method for forming a color image |
| US5368996A (en) * | 1992-07-06 | 1994-11-29 | Fuji Photo Film Co., Ltd. | Color photographic material |
| EP0628867A1 (en) | 1993-06-08 | 1994-12-14 | Fuji Photo Film Co., Ltd | Silver halide color photographic material |
| EP0631185A1 (en) | 1993-06-11 | 1994-12-28 | Fuji Photo Film Co., Ltd. | Method for continuously processing silver halide color photosensitive material |
| EP0578249A3 (en) * | 1992-07-09 | 1995-02-08 | Fuji Photo Film Co Ltd | Silver halide color photographic light-sensitive material. |
| EP0643328A1 (en) * | 1993-09-09 | 1995-03-15 | Fuji Photo Film Co., Ltd. | Silver halide photographic material and color image forming process |
| EP0578248A3 (en) * | 1992-07-09 | 1995-03-29 | Fuji Photo Film Co Ltd | Silver halide color photographic light-sensitive material. |
| EP0706086A1 (en) | 1994-10-07 | 1996-04-10 | Fuji Photo Film Co., Ltd. | Silver halide photographic material |
| US5565310A (en) * | 1994-01-27 | 1996-10-15 | Fuji Photo Film Co., Ltd. | Silver halide color light-sensitive material |
| EP0800113A2 (en) | 1996-04-05 | 1997-10-08 | Fuji Photo Film Co., Ltd. | Silver halide color photographic light-sensitive material |
| EP1251395A1 (en) | 2001-04-17 | 2002-10-23 | Fuji Photo Film Co., Ltd. | Silver halide photographic material and methine dye |
| EP1914594A2 (en) | 2004-01-30 | 2008-04-23 | FUJIFILM Corporation | Silver halide color photographic light-sensitive material and color image-forming method |
Family Cites Families (10)
| Publication number | Priority date | Publication date | Assignee | Title |
|---|---|---|---|---|
| US2527583A (en) * | 1946-02-07 | 1950-10-31 | Eastman Kodak Co | Merocyanine filter and backing dyes |
| US3486897A (en) * | 1966-07-22 | 1969-12-30 | Eastman Kodak Co | Merocyanine dyes as filter dyes and spectral sensitizers |
| US3560214A (en) * | 1968-03-07 | 1971-02-02 | Minnesota Mining & Mfg | Dye-containing photographic elements |
| JPS5010726B1 (en) * | 1970-12-24 | 1975-04-24 | ||
| GB1563809A (en) * | 1976-01-16 | 1980-04-02 | Agfa Gevaert | Light-absorbing dyes for silver halide material |
| JPS5830571B2 (en) * | 1978-05-30 | 1983-06-30 | 富士写真フイルム株式会社 | silver halide photographic emulsion |
| DE3022451A1 (en) * | 1980-06-14 | 1982-01-07 | Felix Schoeller jr. GmbH & Co KG, 4500 Osnabrück | WATERPROOF PHOTOGRAPHIC PAPER |
| JPS5875151A (en) * | 1981-10-29 | 1983-05-06 | Fuji Photo Film Co Ltd | Manufacture of resin coated paper for photographic printing paper |
| DE3409445A1 (en) * | 1984-03-15 | 1985-09-19 | Agfa-Gevaert Ag, 5090 Leverkusen | SILVER CHLORIDE-EMULSION, PHOTOGRAPHIC RECORDING MATERIAL AND METHOD FOR PRODUCING PHOTOGRAPHIC RECORDS |
| EP0258903B1 (en) * | 1986-09-04 | 1995-01-11 | Konica Corporation | Silver halide photographic light-sensitive material having a reflective base |
-
1989
- 1989-04-14 EP EP19890106744 patent/EP0337490B1/en not_active Expired - Lifetime
- 1989-04-14 DE DE1989625144 patent/DE68925144T2/en not_active Expired - Fee Related
Cited By (18)
| Publication number | Priority date | Publication date | Assignee | Title |
|---|---|---|---|---|
| US5187051A (en) * | 1990-01-29 | 1993-02-16 | Fuji Photo Film Co., Ltd. | Method for processing a silver halide color photographic material |
| EP0544323A1 (en) | 1991-11-27 | 1993-06-02 | Fuji Photo Film Co., Ltd. | Silver halide color photographic lightsensitive material |
| EP0544322A1 (en) | 1991-11-27 | 1993-06-02 | Fuji Photo Film Co., Ltd. | Silver halide color photographic light-sensitive material |
| EP0578173A1 (en) | 1992-07-06 | 1994-01-12 | Fuji Photo Film Co., Ltd. | Silver halide color photographic material and method for forming a color image |
| US5368996A (en) * | 1992-07-06 | 1994-11-29 | Fuji Photo Film Co., Ltd. | Color photographic material |
| EP0578248A3 (en) * | 1992-07-09 | 1995-03-29 | Fuji Photo Film Co Ltd | Silver halide color photographic light-sensitive material. |
| EP0578249A3 (en) * | 1992-07-09 | 1995-02-08 | Fuji Photo Film Co Ltd | Silver halide color photographic light-sensitive material. |
| US5252424A (en) * | 1992-09-04 | 1993-10-12 | Eastman Kodak Company | Photographic paper |
| US5300415A (en) * | 1992-09-04 | 1994-04-05 | Eastman Kodak Company | Photographic paper |
| EP0628867A1 (en) | 1993-06-08 | 1994-12-14 | Fuji Photo Film Co., Ltd | Silver halide color photographic material |
| EP0631185A1 (en) | 1993-06-11 | 1994-12-28 | Fuji Photo Film Co., Ltd. | Method for continuously processing silver halide color photosensitive material |
| EP0643328A1 (en) * | 1993-09-09 | 1995-03-15 | Fuji Photo Film Co., Ltd. | Silver halide photographic material and color image forming process |
| US5580708A (en) * | 1993-09-09 | 1996-12-03 | Fuji Photo Film Co., Ltd. | Silver halide photographic material and color image forming process |
| US5565310A (en) * | 1994-01-27 | 1996-10-15 | Fuji Photo Film Co., Ltd. | Silver halide color light-sensitive material |
| EP0706086A1 (en) | 1994-10-07 | 1996-04-10 | Fuji Photo Film Co., Ltd. | Silver halide photographic material |
| EP0800113A2 (en) | 1996-04-05 | 1997-10-08 | Fuji Photo Film Co., Ltd. | Silver halide color photographic light-sensitive material |
| EP1251395A1 (en) | 2001-04-17 | 2002-10-23 | Fuji Photo Film Co., Ltd. | Silver halide photographic material and methine dye |
| EP1914594A2 (en) | 2004-01-30 | 2008-04-23 | FUJIFILM Corporation | Silver halide color photographic light-sensitive material and color image-forming method |
Also Published As
| Publication number | Publication date |
|---|---|
| EP0337490A3 (en) | 1990-08-08 |
| EP0337490B1 (en) | 1995-12-20 |
| DE68925144D1 (en) | 1996-02-01 |
| DE68925144T2 (en) | 1996-06-13 |
Similar Documents
| Publication | Publication Date | Title |
|---|---|---|
| EP0337490B1 (en) | Silver halide light-sensitive photographic material | |
| US5057405A (en) | Silver-halide color photographic light-sensitive material | |
| JP2964013B2 (en) | Silver halide color photographic materials | |
| DE69016059T2 (en) | Photographic material containing silver halide. | |
| JP2665618B2 (en) | Silver halide color photographic materials | |
| DE69023164T2 (en) | Color photographic silver halide material. | |
| JPH07111558B2 (en) | Silver halide photographic light-sensitive material | |
| JP2533367B2 (en) | Reflective color photosensitive material and its color image forming method. | |
| EP1215533A2 (en) | Polyolefin base display material with tone enhancing layer | |
| US5290668A (en) | Silver halide color photographic material | |
| US4894321A (en) | Photographic support and color photosensitive material | |
| JP2879106B2 (en) | Color image forming method | |
| JPH0324541A (en) | Silver halide color photographic sensitive material | |
| US5962208A (en) | Silver halide color photographic material containing a yellow coupler and a mercapto compound | |
| JP2002196455A (en) | Display material coated on both sides of semitransparent support body having specified sensitivity difference between sides | |
| US5206125A (en) | Silver halide color photographic material | |
| JPS59820B2 (en) | photographic printing materials | |
| US5312724A (en) | Silver halide photographic photosensitive materials | |
| US5415980A (en) | Image forming method | |
| JP2665619B2 (en) | Silver halide color photographic materials | |
| JP2913508B2 (en) | Silver halide color photographic materials | |
| US5312723A (en) | Silver halide photographic photosensitive materials | |
| JP2687263B2 (en) | Multilayer silver halide color photographic light-sensitive material | |
| US5352569A (en) | Silver halide color photographic material | |
| JP2704464B2 (en) | Silver halide color photographic materials |
Legal Events
| Date | Code | Title | Description |
|---|---|---|---|
| PUAI | Public reference made under article 153(3) epc to a published international application that has entered the european phase |
Free format text: ORIGINAL CODE: 0009012 |
|
| AK | Designated contracting states |
Kind code of ref document: A2 Designated state(s): DE FR GB IT NL |
|
| PUAL | Search report despatched |
Free format text: ORIGINAL CODE: 0009013 |
|
| AK | Designated contracting states |
Kind code of ref document: A3 Designated state(s): DE FR GB IT NL |
|
| 17P | Request for examination filed |
Effective date: 19910205 |
|
| 17Q | First examination report despatched |
Effective date: 19930617 |
|
| GRAA | (expected) grant |
Free format text: ORIGINAL CODE: 0009210 |
|
| AK | Designated contracting states |
Kind code of ref document: B1 Designated state(s): DE FR GB IT NL |
|
| PG25 | Lapsed in a contracting state [announced via postgrant information from national office to epo] |
Ref country code: NL Free format text: LAPSE BECAUSE OF FAILURE TO SUBMIT A TRANSLATION OF THE DESCRIPTION OR TO PAY THE FEE WITHIN THE PRESCRIBED TIME-LIMIT Effective date: 19951220 Ref country code: FR Effective date: 19951220 Ref country code: IT Free format text: LAPSE BECAUSE OF FAILURE TO SUBMIT A TRANSLATION OF THE DESCRIPTION OR TO PAY THE FEE WITHIN THE PRE;WARNING: LAPSES OF ITALIAN PATENTS WITH EFFECTIVE DATE BEFORE 2007 MAY HAVE OCCURRED AT ANY TIME BEFORE 2007. THE CORRECT EFFECTIVE DATE MAY BE DIFFERENT FROM THE ONE RECORDED.SCRIBED TIME-LIMIT Effective date: 19951220 |
|
| REF | Corresponds to: |
Ref document number: 68925144 Country of ref document: DE Date of ref document: 19960201 |
|
| EN | Fr: translation not filed | ||
| NLV1 | Nl: lapsed or annulled due to failure to fulfill the requirements of art. 29p and 29m of the patents act | ||
| PLBE | No opposition filed within time limit |
Free format text: ORIGINAL CODE: 0009261 |
|
| STAA | Information on the status of an ep patent application or granted ep patent |
Free format text: STATUS: NO OPPOSITION FILED WITHIN TIME LIMIT |
|
| 26N | No opposition filed | ||
| REG | Reference to a national code |
Ref country code: GB Ref legal event code: IF02 |
|
| PGFP | Annual fee paid to national office [announced via postgrant information from national office to epo] |
Ref country code: GB Payment date: 20040414 Year of fee payment: 16 |
|
| PGFP | Annual fee paid to national office [announced via postgrant information from national office to epo] |
Ref country code: DE Payment date: 20040422 Year of fee payment: 16 |
|
| PG25 | Lapsed in a contracting state [announced via postgrant information from national office to epo] |
Ref country code: GB Free format text: LAPSE BECAUSE OF NON-PAYMENT OF DUE FEES Effective date: 20050414 |
|
| PG25 | Lapsed in a contracting state [announced via postgrant information from national office to epo] |
Ref country code: DE Free format text: LAPSE BECAUSE OF NON-PAYMENT OF DUE FEES Effective date: 20051101 |
|
| GBPC | Gb: european patent ceased through non-payment of renewal fee |
Effective date: 20050414 |












































































































































































































































































































































































































