DE69818653T2 - Verfahren zur herstellung von (+/-)3-(3,4-dichlorophenol)-2-dimethylamino-2-methylpropan-1-ol oder cericlamin(inn) - Google Patents
Verfahren zur herstellung von (+/-)3-(3,4-dichlorophenol)-2-dimethylamino-2-methylpropan-1-ol oder cericlamin(inn) Download PDFInfo
- Publication number
- DE69818653T2 DE69818653T2 DE69818653T DE69818653T DE69818653T2 DE 69818653 T2 DE69818653 T2 DE 69818653T2 DE 69818653 T DE69818653 T DE 69818653T DE 69818653 T DE69818653 T DE 69818653T DE 69818653 T2 DE69818653 T2 DE 69818653T2
- Authority
- DE
- Germany
- Prior art keywords
- mol
- acid
- iii
- dichlorophenyl
- methyl
- Prior art date
- Legal status (The legal status is an assumption and is not a legal conclusion. Google has not performed a legal analysis and makes no representation as to the accuracy of the status listed.)
- Expired - Fee Related
Links
- FWYRGHMKHZXXQX-UHFFFAOYSA-N 3-(3,4-dichlorophenyl)-2-(dimethylamino)-2-methylpropan-1-ol Chemical compound CN(C)C(C)(CO)CC1=CC=C(Cl)C(Cl)=C1 FWYRGHMKHZXXQX-UHFFFAOYSA-N 0.000 title claims abstract description 23
- 229950000303 cericlamine Drugs 0.000 title claims abstract description 21
- 238000004519 manufacturing process Methods 0.000 title description 15
- 239000002253 acid Substances 0.000 claims abstract description 34
- ROSDSFDQCJNGOL-UHFFFAOYSA-N Dimethylamine Chemical compound CNC ROSDSFDQCJNGOL-UHFFFAOYSA-N 0.000 claims abstract description 25
- IHMZSAUTKBMJPH-UHFFFAOYSA-N 2-chloro-3-(3,4-dichlorophenyl)-2-methylpropanoic acid Chemical compound OC(=O)C(Cl)(C)CC1=CC=C(Cl)C(Cl)=C1 IHMZSAUTKBMJPH-UHFFFAOYSA-N 0.000 claims abstract description 24
- 150000002148 esters Chemical class 0.000 claims abstract description 19
- 150000003839 salts Chemical class 0.000 claims abstract description 17
- SDYWXFYBZPNOFX-UHFFFAOYSA-N 3,4-dichloroaniline Chemical compound NC1=CC=C(Cl)C(Cl)=C1 SDYWXFYBZPNOFX-UHFFFAOYSA-N 0.000 claims abstract description 16
- CERQOIWHTDAKMF-UHFFFAOYSA-N Methacrylic acid Chemical compound CC(=C)C(O)=O CERQOIWHTDAKMF-UHFFFAOYSA-N 0.000 claims abstract description 14
- 238000002360 preparation method Methods 0.000 claims abstract description 12
- 150000001413 amino acids Chemical class 0.000 claims abstract description 11
- 150000004678 hydrides Chemical class 0.000 claims abstract description 11
- 239000012954 diazonium Substances 0.000 claims abstract description 8
- VEXZGXHMUGYJMC-UHFFFAOYSA-M Chloride anion Chemical compound [Cl-] VEXZGXHMUGYJMC-UHFFFAOYSA-M 0.000 claims abstract description 6
- 229910052751 metal Inorganic materials 0.000 claims abstract description 6
- 239000002184 metal Substances 0.000 claims abstract description 6
- IJGRMHOSHXDMSA-UHFFFAOYSA-O diazynium Chemical compound [NH+]#N IJGRMHOSHXDMSA-UHFFFAOYSA-O 0.000 claims abstract description 5
- QVWWWVGCNIKPSE-UHFFFAOYSA-N 3-(3,4-dichlorophenyl)-2-(dimethylamino)-2-methylpropanoic acid Chemical compound CN(C)C(C)(C(O)=O)CC1=CC=C(Cl)C(Cl)=C1 QVWWWVGCNIKPSE-UHFFFAOYSA-N 0.000 claims abstract description 4
- YXFVVABEGXRONW-UHFFFAOYSA-N Toluene Chemical compound CC1=CC=CC=C1 YXFVVABEGXRONW-UHFFFAOYSA-N 0.000 claims description 112
- 238000000034 method Methods 0.000 claims description 39
- 125000002496 methyl group Chemical group [H]C([H])([H])* 0.000 claims description 31
- WSFSSNUMVMOOMR-UHFFFAOYSA-N Formaldehyde Chemical compound O=C WSFSSNUMVMOOMR-UHFFFAOYSA-N 0.000 claims description 29
- -1 (+/-) - 3- (3,4-dichlorophenyl) -2-dimethylamino-2-methylpropionic acid ester Chemical class 0.000 claims description 26
- VEXZGXHMUGYJMC-UHFFFAOYSA-N Hydrochloric acid Chemical compound Cl VEXZGXHMUGYJMC-UHFFFAOYSA-N 0.000 claims description 26
- BDAGIHXWWSANSR-UHFFFAOYSA-N methanoic acid Natural products OC=O BDAGIHXWWSANSR-UHFFFAOYSA-N 0.000 claims description 22
- 229910052739 hydrogen Inorganic materials 0.000 claims description 20
- 239000001257 hydrogen Substances 0.000 claims description 18
- WEVYAHXRMPXWCK-UHFFFAOYSA-N Acetonitrile Chemical compound CC#N WEVYAHXRMPXWCK-UHFFFAOYSA-N 0.000 claims description 16
- UFHFLCQGNIYNRP-UHFFFAOYSA-N Hydrogen Chemical compound [H][H] UFHFLCQGNIYNRP-UHFFFAOYSA-N 0.000 claims description 16
- VAYGXNSJCAHWJZ-UHFFFAOYSA-N dimethyl sulfate Chemical compound COS(=O)(=O)OC VAYGXNSJCAHWJZ-UHFFFAOYSA-N 0.000 claims description 15
- 150000001412 amines Chemical class 0.000 claims description 10
- 159000000000 sodium salts Chemical class 0.000 claims description 10
- OSWFIVFLDKOXQC-UHFFFAOYSA-N 4-(3-methoxyphenyl)aniline Chemical compound COC1=CC=CC(C=2C=CC(N)=CC=2)=C1 OSWFIVFLDKOXQC-UHFFFAOYSA-N 0.000 claims description 9
- 235000019253 formic acid Nutrition 0.000 claims description 9
- 150000002431 hydrogen Chemical class 0.000 claims description 8
- 229910052708 sodium Inorganic materials 0.000 claims description 8
- 239000011734 sodium Substances 0.000 claims description 8
- DGAQECJNVWCQMB-PUAWFVPOSA-M Ilexoside XXIX Chemical group C[C@@H]1CC[C@@]2(CC[C@@]3(C(=CC[C@H]4[C@]3(CC[C@@H]5[C@@]4(CC[C@@H](C5(C)C)OS(=O)(=O)[O-])C)C)[C@@H]2[C@]1(C)O)C)C(=O)O[C@H]6[C@@H]([C@H]([C@@H]([C@H](O6)CO)O)O)O.[Na+] DGAQECJNVWCQMB-PUAWFVPOSA-M 0.000 claims description 7
- 238000006254 arylation reaction Methods 0.000 claims description 7
- CDBYLPFSWZWCQE-UHFFFAOYSA-L Sodium Carbonate Chemical compound [Na+].[Na+].[O-]C([O-])=O CDBYLPFSWZWCQE-UHFFFAOYSA-L 0.000 claims description 6
- 229910052784 alkaline earth metal Inorganic materials 0.000 claims description 6
- 238000010438 heat treatment Methods 0.000 claims description 6
- 238000011065 in-situ storage Methods 0.000 claims description 5
- 238000007069 methylation reaction Methods 0.000 claims description 5
- 238000005576 amination reaction Methods 0.000 claims description 4
- 229910021591 Copper(I) chloride Inorganic materials 0.000 claims description 3
- 239000003513 alkali Substances 0.000 claims description 3
- 150000001342 alkaline earth metals Chemical class 0.000 claims description 3
- OXBLHERUFWYNTN-UHFFFAOYSA-M copper(I) chloride Chemical compound [Cu]Cl OXBLHERUFWYNTN-UHFFFAOYSA-M 0.000 claims description 3
- 230000011987 methylation Effects 0.000 claims description 3
- 230000032050 esterification Effects 0.000 claims description 2
- 238000005886 esterification reaction Methods 0.000 claims description 2
- QGZKDVFQNNGYKY-UHFFFAOYSA-N Ammonia Chemical compound N QGZKDVFQNNGYKY-UHFFFAOYSA-N 0.000 description 25
- 238000006243 chemical reaction Methods 0.000 description 25
- XLYOFNOQVPJJNP-UHFFFAOYSA-N water Substances O XLYOFNOQVPJJNP-UHFFFAOYSA-N 0.000 description 23
- WYURNTSHIVDZCO-UHFFFAOYSA-N Tetrahydrofuran Chemical compound C1CCOC1 WYURNTSHIVDZCO-UHFFFAOYSA-N 0.000 description 21
- 239000000203 mixture Substances 0.000 description 21
- 150000001875 compounds Chemical class 0.000 description 19
- VLKZOEOYAKHREP-UHFFFAOYSA-N n-Hexane Chemical compound CCCCCC VLKZOEOYAKHREP-UHFFFAOYSA-N 0.000 description 19
- HEMHJVSKTPXQMS-UHFFFAOYSA-M Sodium hydroxide Chemical compound [OH-].[Na+] HEMHJVSKTPXQMS-UHFFFAOYSA-M 0.000 description 18
- CSCPPACGZOOCGX-UHFFFAOYSA-N Acetone Chemical compound CC(C)=O CSCPPACGZOOCGX-UHFFFAOYSA-N 0.000 description 17
- 239000002904 solvent Substances 0.000 description 15
- 239000000543 intermediate Substances 0.000 description 13
- 239000012071 phase Substances 0.000 description 12
- 239000000243 solution Substances 0.000 description 12
- 229910021529 ammonia Inorganic materials 0.000 description 11
- 230000015572 biosynthetic process Effects 0.000 description 11
- 238000010992 reflux Methods 0.000 description 11
- 239000012280 lithium aluminium hydride Substances 0.000 description 10
- 238000003756 stirring Methods 0.000 description 10
- 238000003786 synthesis reaction Methods 0.000 description 10
- YLQBMQCUIZJEEH-UHFFFAOYSA-N tetrahydrofuran Natural products C=1C=COC=1 YLQBMQCUIZJEEH-UHFFFAOYSA-N 0.000 description 10
- LPXPTNMVRIOKMN-UHFFFAOYSA-M sodium nitrite Chemical compound [Na+].[O-]N=O LPXPTNMVRIOKMN-UHFFFAOYSA-M 0.000 description 9
- 239000008346 aqueous phase Substances 0.000 description 8
- 239000012074 organic phase Substances 0.000 description 8
- LFQSCWFLJHTTHZ-UHFFFAOYSA-N Ethanol Chemical compound CCO LFQSCWFLJHTTHZ-UHFFFAOYSA-N 0.000 description 7
- 238000006722 reduction reaction Methods 0.000 description 7
- 238000005481 NMR spectroscopy Methods 0.000 description 6
- 239000000725 suspension Substances 0.000 description 6
- QAOWNCQODCNURD-UHFFFAOYSA-N Sulfuric acid Chemical compound OS(O)(=O)=O QAOWNCQODCNURD-UHFFFAOYSA-N 0.000 description 5
- 238000001816 cooling Methods 0.000 description 5
- 239000010949 copper Substances 0.000 description 5
- 238000004821 distillation Methods 0.000 description 5
- 229910052782 aluminium Inorganic materials 0.000 description 4
- XAGFODPZIPBFFR-UHFFFAOYSA-N aluminium Chemical compound [Al] XAGFODPZIPBFFR-UHFFFAOYSA-N 0.000 description 4
- 229910052796 boron Inorganic materials 0.000 description 4
- 229910052801 chlorine Inorganic materials 0.000 description 4
- 239000000460 chlorine Substances 0.000 description 4
- 238000002425 crystallisation Methods 0.000 description 4
- 230000008025 crystallization Effects 0.000 description 4
- 125000002147 dimethylamino group Chemical group [H]C([H])([H])N(*)C([H])([H])[H] 0.000 description 4
- 239000002198 insoluble material Substances 0.000 description 4
- 229910052757 nitrogen Inorganic materials 0.000 description 4
- 239000012299 nitrogen atmosphere Substances 0.000 description 4
- 239000000047 product Substances 0.000 description 4
- 235000010288 sodium nitrite Nutrition 0.000 description 4
- ZWCWCFVOZXCYOX-QMMMGPOBSA-N (2s)-2-(benzylideneamino)propanoic acid Chemical compound OC(=O)[C@H](C)N=CC1=CC=CC=C1 ZWCWCFVOZXCYOX-QMMMGPOBSA-N 0.000 description 3
- QTBSBXVTEAMEQO-UHFFFAOYSA-N Acetic acid Chemical compound CC(O)=O QTBSBXVTEAMEQO-UHFFFAOYSA-N 0.000 description 3
- ZOXJGFHDIHLPTG-UHFFFAOYSA-N Boron Chemical compound [B] ZOXJGFHDIHLPTG-UHFFFAOYSA-N 0.000 description 3
- ZAMOUSCENKQFHK-UHFFFAOYSA-N Chlorine atom Chemical compound [Cl] ZAMOUSCENKQFHK-UHFFFAOYSA-N 0.000 description 3
- XEEYBQQBJWHFJM-UHFFFAOYSA-N Iron Chemical compound [Fe] XEEYBQQBJWHFJM-UHFFFAOYSA-N 0.000 description 3
- OKKJLVBELUTLKV-UHFFFAOYSA-N Methanol Chemical compound OC OKKJLVBELUTLKV-UHFFFAOYSA-N 0.000 description 3
- 229910052783 alkali metal Inorganic materials 0.000 description 3
- 125000000217 alkyl group Chemical group 0.000 description 3
- 230000029936 alkylation Effects 0.000 description 3
- 238000005804 alkylation reaction Methods 0.000 description 3
- 239000003153 chemical reaction reagent Substances 0.000 description 3
- 239000003638 chemical reducing agent Substances 0.000 description 3
- XTEGARKTQYYJKE-UHFFFAOYSA-N chloric acid Chemical compound OCl(=O)=O XTEGARKTQYYJKE-UHFFFAOYSA-N 0.000 description 3
- 229940005991 chloric acid Drugs 0.000 description 3
- 238000006193 diazotization reaction Methods 0.000 description 3
- 238000001704 evaporation Methods 0.000 description 3
- 238000001914 filtration Methods 0.000 description 3
- 229910052736 halogen Inorganic materials 0.000 description 3
- 150000002367 halogens Chemical class 0.000 description 3
- 239000011541 reaction mixture Substances 0.000 description 3
- YZIFVWOCPGPNHB-UHFFFAOYSA-N 1,2-dichloro-4-(chloromethyl)benzene Chemical compound ClCC1=CC=C(Cl)C(Cl)=C1 YZIFVWOCPGPNHB-UHFFFAOYSA-N 0.000 description 2
- AJUAASWQUWIMHM-UHFFFAOYSA-N 1-(3,4-dichlorophenyl)propan-2-one Chemical compound CC(=O)CC1=CC=C(Cl)C(Cl)=C1 AJUAASWQUWIMHM-UHFFFAOYSA-N 0.000 description 2
- KNIXHJOJUYQEQE-UHFFFAOYSA-N 2-amino-3-(3,4-dichlorophenyl)-2-methylpropanoic acid Chemical group OC(=O)C(N)(C)CC1=CC=C(Cl)C(Cl)=C1 KNIXHJOJUYQEQE-UHFFFAOYSA-N 0.000 description 2
- IJGRMHOSHXDMSA-UHFFFAOYSA-N Atomic nitrogen Chemical compound N#N IJGRMHOSHXDMSA-UHFFFAOYSA-N 0.000 description 2
- RYGMFSIKBFXOCR-UHFFFAOYSA-N Copper Chemical compound [Cu] RYGMFSIKBFXOCR-UHFFFAOYSA-N 0.000 description 2
- IAZDPXIOMUYVGZ-UHFFFAOYSA-N Dimethylsulphoxide Chemical compound CS(C)=O IAZDPXIOMUYVGZ-UHFFFAOYSA-N 0.000 description 2
- KFZMGEQAYNKOFK-UHFFFAOYSA-N Isopropanol Chemical compound CC(C)O KFZMGEQAYNKOFK-UHFFFAOYSA-N 0.000 description 2
- WHXSMMKQMYFTQS-UHFFFAOYSA-N Lithium Chemical compound [Li] WHXSMMKQMYFTQS-UHFFFAOYSA-N 0.000 description 2
- CSNNHWWHGAXBCP-UHFFFAOYSA-L Magnesium sulfate Chemical compound [Mg+2].[O-][S+2]([O-])([O-])[O-] CSNNHWWHGAXBCP-UHFFFAOYSA-L 0.000 description 2
- 238000007192 Meerwein reaction reaction Methods 0.000 description 2
- BAVYZALUXZFZLV-UHFFFAOYSA-N Methylamine Chemical compound NC BAVYZALUXZFZLV-UHFFFAOYSA-N 0.000 description 2
- KWYUFKZDYYNOTN-UHFFFAOYSA-M Potassium hydroxide Chemical compound [OH-].[K+] KWYUFKZDYYNOTN-UHFFFAOYSA-M 0.000 description 2
- VYPSYNLAJGMNEJ-UHFFFAOYSA-N Silicium dioxide Chemical compound O=[Si]=O VYPSYNLAJGMNEJ-UHFFFAOYSA-N 0.000 description 2
- HEDRZPFGACZZDS-MICDWDOJSA-N Trichloro(2H)methane Chemical compound [2H]C(Cl)(Cl)Cl HEDRZPFGACZZDS-MICDWDOJSA-N 0.000 description 2
- 230000002378 acidificating effect Effects 0.000 description 2
- 150000007513 acids Chemical class 0.000 description 2
- 150000001298 alcohols Chemical class 0.000 description 2
- 125000005083 alkoxyalkoxy group Chemical group 0.000 description 2
- 150000001408 amides Chemical class 0.000 description 2
- HTZCNXWZYVXIMZ-UHFFFAOYSA-M benzyl(triethyl)azanium;chloride Chemical compound [Cl-].CC[N+](CC)(CC)CC1=CC=CC=C1 HTZCNXWZYVXIMZ-UHFFFAOYSA-M 0.000 description 2
- 238000009835 boiling Methods 0.000 description 2
- 150000001649 bromium compounds Chemical class 0.000 description 2
- 239000003054 catalyst Substances 0.000 description 2
- 229910052802 copper Inorganic materials 0.000 description 2
- 150000001989 diazonium salts Chemical class 0.000 description 2
- 230000000694 effects Effects 0.000 description 2
- 238000011031 large-scale manufacturing process Methods 0.000 description 2
- 239000007788 liquid Substances 0.000 description 2
- 229910052744 lithium Inorganic materials 0.000 description 2
- 229910001507 metal halide Inorganic materials 0.000 description 2
- 150000005309 metal halides Chemical class 0.000 description 2
- 230000001035 methylating effect Effects 0.000 description 2
- 230000000144 pharmacologic effect Effects 0.000 description 2
- 229940072033 potash Drugs 0.000 description 2
- BWHMMNNQKKPAPP-UHFFFAOYSA-L potassium carbonate Substances [K+].[K+].[O-]C([O-])=O BWHMMNNQKKPAPP-UHFFFAOYSA-L 0.000 description 2
- 235000015320 potassium carbonate Nutrition 0.000 description 2
- 238000001228 spectrum Methods 0.000 description 2
- 239000000126 substance Substances 0.000 description 2
- FYSNRJHAOHDILO-UHFFFAOYSA-N thionyl chloride Chemical compound ClS(Cl)=O FYSNRJHAOHDILO-UHFFFAOYSA-N 0.000 description 2
- JOXIMZWYDAKGHI-UHFFFAOYSA-N toluene-4-sulfonic acid Chemical compound CC1=CC=C(S(O)(=O)=O)C=C1 JOXIMZWYDAKGHI-UHFFFAOYSA-N 0.000 description 2
- 238000011282 treatment Methods 0.000 description 2
- 125000006273 (C1-C3) alkyl group Chemical group 0.000 description 1
- 238000005160 1H NMR spectroscopy Methods 0.000 description 1
- CQMPCYJCDKPQQD-UHFFFAOYSA-N 2-amino-3-(3,4-dichlorophenyl)-2-methylpropan-1-ol Chemical compound OCC(N)(C)CC1=CC=C(Cl)C(Cl)=C1 CQMPCYJCDKPQQD-UHFFFAOYSA-N 0.000 description 1
- ZWUSBSHBFFPRNE-UHFFFAOYSA-N 3,4-dichlorobenzaldehyde Chemical compound ClC1=CC=C(C=O)C=C1Cl ZWUSBSHBFFPRNE-UHFFFAOYSA-N 0.000 description 1
- MCCSLNXGIUCKJJ-UHFFFAOYSA-N 3,4-dichlorobenzenediazonium Chemical class ClC1=CC=C([N+]#N)C=C1Cl MCCSLNXGIUCKJJ-UHFFFAOYSA-N 0.000 description 1
- 125000004189 3,4-dichlorophenyl group Chemical group [H]C1=C([H])C(Cl)=C(Cl)C([H])=C1* 0.000 description 1
- PKYQJDAWRDEGIW-UHFFFAOYSA-N 5-[(3,4-dichlorophenyl)methyl]-5-methylimidazolidine-2,4-dione Chemical compound C=1C=C(Cl)C(Cl)=CC=1CC1(C)NC(=O)NC1=O PKYQJDAWRDEGIW-UHFFFAOYSA-N 0.000 description 1
- 238000006820 Bouveault-Blanc reduction reaction Methods 0.000 description 1
- WKBOTKDWSSQWDR-UHFFFAOYSA-N Bromine atom Chemical compound [Br] WKBOTKDWSSQWDR-UHFFFAOYSA-N 0.000 description 1
- 238000006150 Bucherer-Bergs reaction Methods 0.000 description 1
- BVKZGUZCCUSVTD-UHFFFAOYSA-L Carbonate Chemical compound [O-]C([O-])=O BVKZGUZCCUSVTD-UHFFFAOYSA-L 0.000 description 1
- ZAFNJMIOTHYJRJ-UHFFFAOYSA-N Diisopropyl ether Chemical compound CC(C)OC(C)C ZAFNJMIOTHYJRJ-UHFFFAOYSA-N 0.000 description 1
- IAZDPXIOMUYVGZ-WFGJKAKNSA-N Dimethyl sulfoxide Chemical compound [2H]C([2H])([2H])S(=O)C([2H])([2H])[2H] IAZDPXIOMUYVGZ-WFGJKAKNSA-N 0.000 description 1
- 206010013786 Dry skin Diseases 0.000 description 1
- 238000006824 Eschweiler-Clarke methylation reaction Methods 0.000 description 1
- 239000002841 Lewis acid Substances 0.000 description 1
- PWHULOQIROXLJO-UHFFFAOYSA-N Manganese Chemical compound [Mn] PWHULOQIROXLJO-UHFFFAOYSA-N 0.000 description 1
- 239000002262 Schiff base Substances 0.000 description 1
- 150000004753 Schiff bases Chemical class 0.000 description 1
- XUIMIQQOPSSXEZ-UHFFFAOYSA-N Silicon Chemical compound [Si] XUIMIQQOPSSXEZ-UHFFFAOYSA-N 0.000 description 1
- 238000007059 Strecker synthesis reaction Methods 0.000 description 1
- QAOWNCQODCNURD-UHFFFAOYSA-L Sulfate Chemical compound [O-]S([O-])(=O)=O QAOWNCQODCNURD-UHFFFAOYSA-L 0.000 description 1
- 230000006978 adaptation Effects 0.000 description 1
- 150000001335 aliphatic alkanes Chemical class 0.000 description 1
- 150000001340 alkali metals Chemical class 0.000 description 1
- 125000003545 alkoxy group Chemical group 0.000 description 1
- 230000002152 alkylating effect Effects 0.000 description 1
- 125000005219 aminonitrile group Chemical group 0.000 description 1
- 150000001450 anions Chemical class 0.000 description 1
- 230000001430 anti-depressive effect Effects 0.000 description 1
- 239000000935 antidepressant agent Substances 0.000 description 1
- 229940005513 antidepressants Drugs 0.000 description 1
- 239000007864 aqueous solution Substances 0.000 description 1
- 150000004945 aromatic hydrocarbons Chemical class 0.000 description 1
- 238000010533 azeotropic distillation Methods 0.000 description 1
- 239000002585 base Substances 0.000 description 1
- 238000007664 blowing Methods 0.000 description 1
- GDTBXPJZTBHREO-UHFFFAOYSA-N bromine Substances BrBr GDTBXPJZTBHREO-UHFFFAOYSA-N 0.000 description 1
- 229910052794 bromium Inorganic materials 0.000 description 1
- 230000005587 bubbling Effects 0.000 description 1
- 239000006227 byproduct Substances 0.000 description 1
- 125000003178 carboxy group Chemical group [H]OC(*)=O 0.000 description 1
- 238000009903 catalytic hydrogenation reaction Methods 0.000 description 1
- 239000007795 chemical reaction product Substances 0.000 description 1
- 239000007810 chemical reaction solvent Substances 0.000 description 1
- 150000001805 chlorine compounds Chemical class 0.000 description 1
- JZTJOEROXDVCPU-UHFFFAOYSA-N chloroform;ethanol;hexane Chemical compound CCO.ClC(Cl)Cl.CCCCCC JZTJOEROXDVCPU-UHFFFAOYSA-N 0.000 description 1
- 229910017052 cobalt Inorganic materials 0.000 description 1
- 239000010941 cobalt Substances 0.000 description 1
- GUTLYIVDDKVIGB-UHFFFAOYSA-N cobalt atom Chemical compound [Co] GUTLYIVDDKVIGB-UHFFFAOYSA-N 0.000 description 1
- 239000000356 contaminant Substances 0.000 description 1
- ORTQZVOHEJQUHG-UHFFFAOYSA-L copper(II) chloride Chemical compound Cl[Cu]Cl ORTQZVOHEJQUHG-UHFFFAOYSA-L 0.000 description 1
- 239000012043 crude product Substances 0.000 description 1
- 238000005695 dehalogenation reaction Methods 0.000 description 1
- 239000012024 dehydrating agents Substances 0.000 description 1
- FDSGHYHRLSWSLQ-UHFFFAOYSA-N dichloromethane;propan-2-one Chemical compound ClCCl.CC(C)=O FDSGHYHRLSWSLQ-UHFFFAOYSA-N 0.000 description 1
- 238000004455 differential thermal analysis Methods 0.000 description 1
- 229960001760 dimethyl sulfoxide Drugs 0.000 description 1
- 238000006073 displacement reaction Methods 0.000 description 1
- 238000001035 drying Methods 0.000 description 1
- 238000010828 elution Methods 0.000 description 1
- 125000004185 ester group Chemical group 0.000 description 1
- DZGCGKFAPXFTNM-UHFFFAOYSA-N ethanol;hydron;chloride Chemical compound Cl.CCO DZGCGKFAPXFTNM-UHFFFAOYSA-N 0.000 description 1
- 238000000605 extraction Methods 0.000 description 1
- 230000002349 favourable effect Effects 0.000 description 1
- 239000008098 formaldehyde solution Substances 0.000 description 1
- 239000007789 gas Substances 0.000 description 1
- 125000000623 heterocyclic group Chemical group 0.000 description 1
- KDCIHNCMPUBDKT-UHFFFAOYSA-N hexane;propan-2-one Chemical compound CC(C)=O.CCCCCC KDCIHNCMPUBDKT-UHFFFAOYSA-N 0.000 description 1
- 229930195733 hydrocarbon Natural products 0.000 description 1
- 150000002430 hydrocarbons Chemical class 0.000 description 1
- 230000007062 hydrolysis Effects 0.000 description 1
- 238000006460 hydrolysis reaction Methods 0.000 description 1
- 239000003112 inhibitor Substances 0.000 description 1
- 239000013067 intermediate product Substances 0.000 description 1
- 229910052742 iron Inorganic materials 0.000 description 1
- 239000012948 isocyanate Substances 0.000 description 1
- 125000002462 isocyano group Chemical group *[N+]#[C-] 0.000 description 1
- 238000002955 isolation Methods 0.000 description 1
- 150000002576 ketones Chemical class 0.000 description 1
- 150000007517 lewis acids Chemical class 0.000 description 1
- 229910052943 magnesium sulfate Inorganic materials 0.000 description 1
- 229910052748 manganese Inorganic materials 0.000 description 1
- 239000011572 manganese Substances 0.000 description 1
- 238000002844 melting Methods 0.000 description 1
- 230000008018 melting Effects 0.000 description 1
- 150000004702 methyl esters Chemical class 0.000 description 1
- 150000002825 nitriles Chemical class 0.000 description 1
- 239000003921 oil Substances 0.000 description 1
- 239000003444 phase transfer catalyst Substances 0.000 description 1
- 239000000843 powder Substances 0.000 description 1
- 239000002243 precursor Substances 0.000 description 1
- 150000003138 primary alcohols Chemical class 0.000 description 1
- 125000002924 primary amino group Chemical group [H]N([H])* 0.000 description 1
- BDERNNFJNOPAEC-UHFFFAOYSA-N propan-1-ol Chemical compound CCCO BDERNNFJNOPAEC-UHFFFAOYSA-N 0.000 description 1
- 239000002994 raw material Substances 0.000 description 1
- 230000009257 reactivity Effects 0.000 description 1
- 150000003333 secondary alcohols Chemical class 0.000 description 1
- 230000000697 serotonin reuptake Effects 0.000 description 1
- 238000007086 side reaction Methods 0.000 description 1
- 229910052710 silicon Inorganic materials 0.000 description 1
- 239000010703 silicon Substances 0.000 description 1
- 239000000377 silicon dioxide Substances 0.000 description 1
- 235000012239 silicon dioxide Nutrition 0.000 description 1
- 239000012279 sodium borohydride Substances 0.000 description 1
- 229910000033 sodium borohydride Inorganic materials 0.000 description 1
- 239000007787 solid Substances 0.000 description 1
- 239000011877 solvent mixture Substances 0.000 description 1
- 239000007858 starting material Substances 0.000 description 1
- CZDYPVPMEAXLPK-UHFFFAOYSA-N tetramethylsilane Chemical compound C[Si](C)(C)C CZDYPVPMEAXLPK-UHFFFAOYSA-N 0.000 description 1
- 231100000331 toxic Toxicity 0.000 description 1
- 230000002588 toxic effect Effects 0.000 description 1
Classifications
-
- C—CHEMISTRY; METALLURGY
- C07—ORGANIC CHEMISTRY
- C07C—ACYCLIC OR CARBOCYCLIC COMPOUNDS
- C07C215/00—Compounds containing amino and hydroxy groups bound to the same carbon skeleton
- C07C215/02—Compounds containing amino and hydroxy groups bound to the same carbon skeleton having hydroxy groups and amino groups bound to acyclic carbon atoms of the same carbon skeleton
- C07C215/22—Compounds containing amino and hydroxy groups bound to the same carbon skeleton having hydroxy groups and amino groups bound to acyclic carbon atoms of the same carbon skeleton the carbon skeleton being unsaturated
- C07C215/28—Compounds containing amino and hydroxy groups bound to the same carbon skeleton having hydroxy groups and amino groups bound to acyclic carbon atoms of the same carbon skeleton the carbon skeleton being unsaturated and containing six-membered aromatic rings
-
- C—CHEMISTRY; METALLURGY
- C07—ORGANIC CHEMISTRY
- C07C—ACYCLIC OR CARBOCYCLIC COMPOUNDS
- C07C213/00—Preparation of compounds containing amino and hydroxy, amino and etherified hydroxy or amino and esterified hydroxy groups bound to the same carbon skeleton
-
- A—HUMAN NECESSITIES
- A61—MEDICAL OR VETERINARY SCIENCE; HYGIENE
- A61P—SPECIFIC THERAPEUTIC ACTIVITY OF CHEMICAL COMPOUNDS OR MEDICINAL PREPARATIONS
- A61P25/00—Drugs for disorders of the nervous system
- A61P25/24—Antidepressants
-
- C—CHEMISTRY; METALLURGY
- C07—ORGANIC CHEMISTRY
- C07C—ACYCLIC OR CARBOCYCLIC COMPOUNDS
- C07C229/00—Compounds containing amino and carboxyl groups bound to the same carbon skeleton
- C07C229/02—Compounds containing amino and carboxyl groups bound to the same carbon skeleton having amino and carboxyl groups bound to acyclic carbon atoms of the same carbon skeleton
- C07C229/34—Compounds containing amino and carboxyl groups bound to the same carbon skeleton having amino and carboxyl groups bound to acyclic carbon atoms of the same carbon skeleton the carbon skeleton containing six-membered aromatic rings
-
- C—CHEMISTRY; METALLURGY
- C07—ORGANIC CHEMISTRY
- C07C—ACYCLIC OR CARBOCYCLIC COMPOUNDS
- C07C57/00—Unsaturated compounds having carboxyl groups bound to acyclic carbon atoms
- C07C57/52—Unsaturated compounds having carboxyl groups bound to acyclic carbon atoms containing halogen
- C07C57/58—Unsaturated compounds having carboxyl groups bound to acyclic carbon atoms containing halogen containing six-membered aromatic rings
Landscapes
- Chemical & Material Sciences (AREA)
- Organic Chemistry (AREA)
- Health & Medical Sciences (AREA)
- Pain & Pain Management (AREA)
- Psychiatry (AREA)
- Engineering & Computer Science (AREA)
- Bioinformatics & Cheminformatics (AREA)
- Biomedical Technology (AREA)
- Neurology (AREA)
- Neurosurgery (AREA)
- Chemical Kinetics & Catalysis (AREA)
- General Chemical & Material Sciences (AREA)
- Medicinal Chemistry (AREA)
- Nuclear Medicine, Radiotherapy & Molecular Imaging (AREA)
- Pharmacology & Pharmacy (AREA)
- Life Sciences & Earth Sciences (AREA)
- Animal Behavior & Ethology (AREA)
- General Health & Medical Sciences (AREA)
- Public Health (AREA)
- Veterinary Medicine (AREA)
- Organic Low-Molecular-Weight Compounds And Preparation Thereof (AREA)
- Acyclic And Carbocyclic Compounds In Medicinal Compositions (AREA)
Description
- Die Erfindung betrifft ein Verfahren zur Herstellung von Cericlamin (INN), die Zwischenproduktsyntheseverbindungen des Verfahrens und deren Herstellung.
- Gebiet der Erfindung und Stand der Technik
-
- Die Herstellung von Cericlamin ist im wesentlichen im Patent
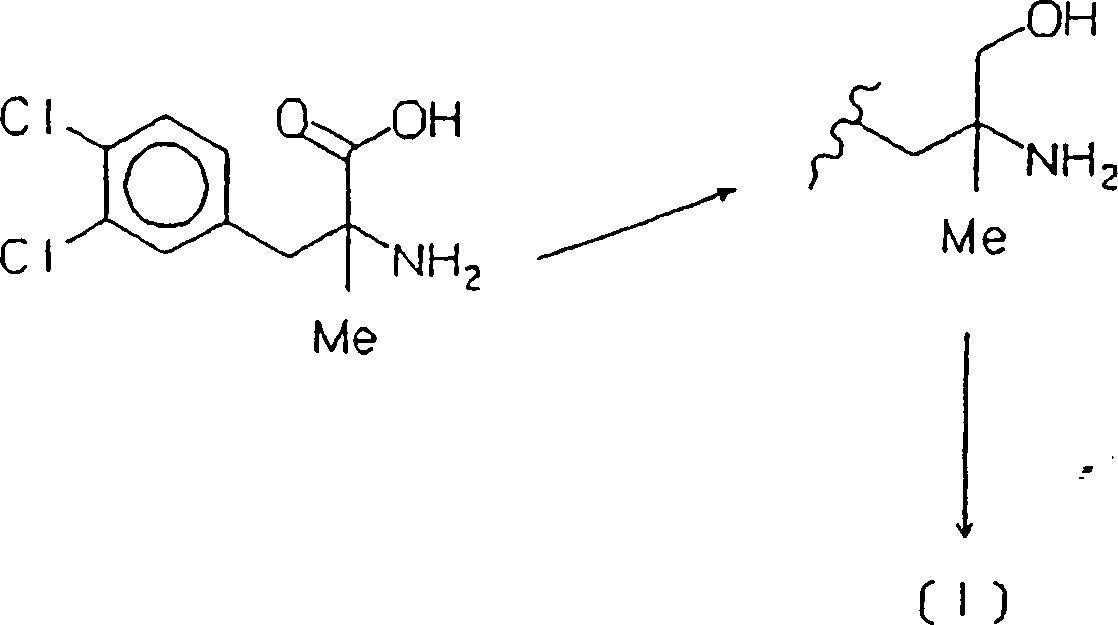
, veröffentlicht am 16. September 1987, sowie der Veröffentlichung, die in J. Chem. Soc. Perkin Trans. I, 1966, S. 1495–1498 erschien, beschrieben. In diesen zwei Dokumenten ist die entscheidende Vorläuferverbindung von Cericlamin 2-Amino-3-(3,4-dichlorphenyl)-2-methylpropionsäure, die in ähnlicher Weise in einer ersten Stufe durch Borhydrid zu 2-Amino-3-(3,4-dichlorphenyl)-2-methylpropan-1-ol reduziert wird, wobei diese Verbindung in einer zweiten Stufe durch eine Reaktion mit Formaldehyd und Ameisensäure N,N-dimethyliert wird, was im folgenden Reaktionsschema 1 angegeben ist.EP 237 366 - In deren erster Stufe benötigt diese Synthese starke Reduktionsmittel und energetische Bedingungen, um die Carboxylfunktion effizient zu reduzieren. Diese Bedingungen begünstigen Nebenreaktionen, die zu Nebenprodukten führen, insbesondere ausgehend von Dehalogenierungen, die beispielsweise im im vorhergehenden genannten J. Chem. Soc. Perkin Trans. I angegeben sind, Produkte, deren Entfernung für die Ausbeute nur nachteilig sein kann, und die, wenn sie in Form von Spuren im Endprodukt vorhanden sind, aus dem pharmakologischen Blickwinkel als möglicherweise toxische Verunreinigungen betrachtet werden.
- Im Hinblick auf die Herstellung von 2-Amino-3-(3,4-dichlorphenyl)-2-methylpropionsäure, einer entscheidenden Verbindung dieser Verfahren:
- – gibt das Patent
eine Herstellung gemäß dem in dem Patent FR 77 02360 beschriebenen Verfahren an, das aus dem Alkylieren eines Isocyanoesters der Formel CH3-CH-(NC)-COOR mit einem 3,4-Dichlorbenzylhalogenid und dem anschließenden Durchführen einer gleichzeitigen Hydrolyse der Isocyano- und Estergruppe an dem erhaltenen Zwischenprodukt unter Bildung der Amin- bzw. Säurefunktion der Aminosäure besteht.EP 237 366 - Diese Synthese scheint wegen der beteiligten Reagentien, deren Verfügbarkeit im Handel unwahrscheinlich ist, oder die delikate Zubereitung davon, insbesondere sofern die Herstellung des Isocyanoesters betroffen ist, nur mit Schwierigkeiten an eine großtechnische Produktion anpassbar zu sein.
- – beschreibt die Veröffentlichung J. Chem. Soc. Perkin Trans. I, 1994, S. 1495–1498 eine Synthese ausgehend von dem Amid von N-Benzylidenalanin, das durch 3,4-Dichlorbenzylchlorid alkyliert wird, wobei ein Zwischenprodukt erhalten wird, das zwei aufeinanderfolgenden Hydrolysen unterzogen wird, zunächst der der Schiff'schen Base und dann der Amidfunktion, wobei schließlich die Aminosäure erhalten wird.
- In der gleichen Weise wie das Verfahren von FR 77 02360 weist diese Synthese größere Nachteile, beispielsweise die Notwendigkeit der Herstellung des Amins von N-Benzylidenalanin, auf.
- Alternative Verfahren zur Herstellung dieser entscheidenden Verbindung können ins Auge gefasst werden. Daher ist es ausgehend von 1-(3,4-Dichlorphenyl)propan-2-on möglich, entweder durch Strecker-Reaktion ein Aminonitril zu erhalten, das hydrolysiert zur Säure führt, oder insbesondere durch eine Bucherer-Bergs-Reaktion 5-(3,4-Dichlorbenzyl)-5-methylhydantoin herzustellen, das in einem alkalischen Medium hydrolysiert in ähnlicher Weise zur Säure führt. Dieses letztere Verfahren kann durch eine geringfügige Anpassung des im Patent
beschriebenen Verfahrens ohne weiteres durchgeführt werden. Diese Synthesen hängen jedoch von der Bildung von 1-(3,4-Dichlorphenyl)-propan-2-on ab, das, ungeachtet der ins Auge genommenen Herstellung eine wirtschaftlich nachteilige mehrstufige Synthese, beispiels weise die von 3,4-Dichlorbenzaldehyd ausgehende, die in Chimie Ther., 3, 1968, S. 313–320 beschrieben ist, benötigt.EP 569 276 - Zum Zwecke der Entwicklung und Kommerzialisierung von Cericlamin als pharmazeutisch wirksamen Grundstoff, der für die Behandlung von Depression beim Menschen verwendet werden soll, scheint im Hinblick auf diesen Stand der Technik Bedarf nach einem großtechnischen Herstellungsverfahren zu bestehen, das zuverlässig und von unwidersprochen wirtschaftlicher Signifikanz ist.
- Zusammenfassung der Erfindung
- Im Gegensatz zum Stand der Technik, der ungeachtet des Verfahrens arbeitsaufwändige Ausgangsverbindungen verlangt, die selbst schwierige und kostenaufwändige Herstellungsverfahren benötigen, ist die vorliegende Erfindung auf ein Verfahren zur Herstellung von Cericlamin auf einem neuen Weg gerichtet, das nur vier Synthesestufen ausgehend von derzeit im Handel vertriebenen Reagentien benötigt. Ferner führt das Verfahren zu chemischen Zwischenprodukten, die noch nicht veröffentlicht sind.
- Daher zielt die Erfindung in ihrer Hauptaufgabe auf ein neues Verfahren zur Herstellung von Cericlamin und in einem zweiten Aspekt auf neue chemische Verbindungen, die Zwischenprodukte zur Durchführung des Verfahrens sind.
- Die Hauptaufgabe der Erfindung ist, wie im obigen Reaktionsschema 2 gezeigt, auf ein Verfahren zur Herstellung von Cericlamin gerichtet, wobei das Verfahren aus den folgenden Stufen besteht:
- i) Arylieren von Methacrylsäure mit dem Diazoniumchlorid von in situ hergestelltem 3,4-Dichloranilin, wobei (+/–)-2-Chlor-3-(3,4-dichlorphenyl)-2-methylpropionsäure (IV) erhalten wird,
- ii) Aminieren der Säure (IV) mit einem Amin HNR1R2, worin R1 und R2 unabhängig voneinander Wasserstoff oder Methyl sind, wobei eine Aminosäure (III) erhalten wird, worin M ein Alkali- oder Erdalkalimetall oder sonst Wasserstoff ist und R1 und R2 wie im vorhergehenden definiert sind,
- iii) Verestern der Säure (III) und anschließend, wenn R1 und/oder R2 Wasserstoff sind, Methylieren des Amins mit Formaldehyd und Ameisensäure, wobei ein Ester von (+/–)-3-(3,4-Dichlorphenyl)-2-dimethyl-amino-2-methylpropionsäureester (II) erhalten wird, worin R C1-C3-Alkyl ist,
- iv) Reduzieren des Esters (II) durch ein Metall- oder Organometallhydrid, wobei (+/–)-3-(3,4-Dichlorphenyl)-2-dimethylamino-2-methylpropan-1-ol oder Cericlamin (INN) der Formel (I) erhalten wird, und Herstellen des Additionssalzes mit Salzsäure.
- In einem zweiten Aspekt ist die Erfindung über chemische Zwischenproduktverbindungen des Verfahrens auf die Verbindungen der Formel (V) gerichtet, worin
A eine Dimethylaminogruppe oder Chlor ist, mit dem Vorbehalt, dass B OH ist,
B OM ist, worin M ein Alkali- oder Erdalkalimetall oder Wasserstoff ist, oder B OR ist, worin R ein C1-C3-Alkylrest ist. - Detaillierte Beschreibung der Erfindung
- Das Verfahren der Erfindung ermöglicht, wie angegeben, die Herstellung von Cericlamin in vier Stufen ausgehend von 3,4-Dichloranilin, was im Hinblick auf die bis jetzt durchgeführte eine unvergleichlich vorteilhafte Synthese bildet.
- Genauer gesagt wird, sofern es um die Verfahrensstufen geht, die erste, die aus der Herstellung der Halogensäure (IV) durch Arylieren von Methacrylsäure mit einem Diazoniumsalz von 3,4-Dichloranilin (oder einem 3,4-Dichlorbenzoldiazoniumsalz) besteht, gemäß der Meerwein-Reaktion durchgeführt, wobei diese in großem Umfang, insbesondere in Org. React., 11, 189 (1960) & 24, 225–259 (1976) dokumentiert ist. Gemäß dieser Reaktion stellen G. Theodoridis et al. (J. Heterocyclic Chem., 28, 849 (1991)) den Methylester entsprechend dem chlorierten Zwischenprodukt (IV) des Verfahrens her. Es zeigt sich, dass dieser Ester, der am erfindungsgemäßen Verfahren beteiligt ist, in der Aminierungsstufe wegen der unkontrollierbaren Instabilität und/oder Reaktivität, die zu Gemischen von Verbindungen führen, die im Zusammenhang eines Verfahrens einer großtechnischen Anwendung nicht verwendbar sind, enttäuschend ist.
- Gemäß der Durchfühung in der vorliegenden Erfindung besteht die Meerwein-Reaktion aus der Herstellung des Diazoniumsalzes von 3,4-Dichloranilin in einer ersten Stufe in einer herkömmlichen Weise mit Natriumnitrit in saurem Medium und dann in einer zweiten Stufe in situ in der Durchführung des Arylierens der Methacrylsäure, das durch ein Metallhalogenid, das aus den Chloriden oder Bromiden von Cobalt, von Mangan oder alternativ von Eisen oder von Kupfer, die bevorzugt sind, ausgewählt ist, katalysiert wird. Wenn der Katalysator ein Bromid von Cu+ oder Cu++ ist, wird das bromierte Analogon der Säure (IV) erhalten; günstigerweise wird die Diazotierung in salzsaurem Medium durchgeführt und das Arylieren der Methacrylsäure dann durch Fe++-Chlorid oder ein Chorid von Kupfer, wobei Cu+ bevorzugt ist, katalysiert, wobei die 2-Chlor-3-dichlorphenyl-2-methylpropionsäure (IV) erhalten wird.
- In der Praxis findet die Diazotierungsreaktion in Aceton bei einer Temperatur von niedriger als 10°C unter Verwendung eines Überschusses von 3 bis 5 und günstigerweise von 4 mol der Säure in Bezug auf 3,4-Dichloranilin und einer Menge von 1 bis 1,5 mol Natriumnitrit statt. Das anschließende Arylieren wird durch Reaktion eines Überschusses von 1,25 bis 2 mol und günstigerweise 1,5 mol Methacrylsäure durchgeführt, wobei die Reaktion durch die Zugabe von 0,05 bis 0,005 mol und vorzugsweise 0,02 mol des gewählten Metallhalogenids katalysiert wird.
- Die zweite Stufe des Verfahrens betrifft das Aminieren einer Halogensäure und insbesondere das der Chlorsäure (IV) durch ein Amin HNR1R2, worin R1, R2 Wasserstoff oder Methyl sind. Dieser Reaktionstyp ist allgemein in der Arbeit "Advanced Organic Chemistry", J. March, 3. Auflage (Hrsg. J. Wiley Intersciences) S. 364 ff. dokumentiert und er besteht im Zusammenhang der vorliegenden Erfindung aus der Reaktion eines Amins, das aus Ammoniak, Methylamin und Dimethylamin gewählt ist, mit dem Zwischenprodukt (IV). Aus im wesentlichen praktischen Gründen sind Ammoniak und insbesondere Dimethylamin bevorzugt, wobei es möglich ist, dass die Reaktion in verschiedenen Lösemitteln durchgeführt wird, die aus Wasser, Alkoholen, halogenierten Kohlenwasserstoffen eines niedrigen Siedepunkts, aromatischen Kohlenwasserstoffen oder alternativ alphatischen Ketonen oder Nitrilen ausgewählt sind, die insbesondere Aceton und Acetonitril umfassen, die die bevorzugten Lösemittel sind.
- In der Praxis besteht die Durchführung der Reaktion aus dem Lösen oder Dispergieren des Zwischenprodukts (IV) in dem gewählten Lösemittel oder Lösemittelgemisch und im Zugeben von 0,1 bis 3 mol und vorteilhafterweise 1 mol Pottasche oder besser Soda in Chips und optional 0,01 bis 0,2 mol eines sog. Phasentransferkatalysators, wie Benzyltriethylammoniumchlorid, pro 1 mol (IV). Das betrachtete Amin wird in das auf 0°C gekühlte Gemisch entweder in flüssiger Form oder durch Einblasen in Gasform und in einer Menge von 2 bis 100 mol in Bezug auf (IV) eingeführt. Günstigerweise werden 30 bis 70 mol im Überschuss verwendet, wenn Ammoniak beteiligt ist, und 3 bis 10 mol im Überschuss verwendet, wenn Dimethylamin verwendet wird. Für letzteres besteht eine Alternative darin, dieses in Form von dessen Additionssalz mit einer Säure, beispielsweise in der Form von dessen Hydrochlorid, in festem Zustand einzuführen, wobei in diesem Fall eine äquimolare Menge von Pottasche oder Soda zu dem Medium gegeben wird, um in situ das Dimethylamin aus dessen Salz zu verdrängen.
- Die Reaktion wird in einem hermetisch verschlossenen Reaktor unter Rühren bei einer Temperatur von 20 bis 80°C während 4 bis 48 h durchgeführt. Unter günstigen Bedingungen ist die Reaktion durch Erhitzen auf 30 bis 50°C und vorzugsweise 40°C nach einem Kontakt von 20 bis 20 h vollständig. Nach dem Abkühlen des Reaktors auf 10°C wird das überschüssige Amin durch Hindurchperlen einer geeigneten Flüssigkeit, die Wasser oder ein niederer Alkohol sein kann, als Abluft entfernt, und danach wird das Reaktionsgemisch eingedampft, wobei ein Rückstand erhalten wird, der das Alkalimetallsalz der erwarteten Aminsäure (III), in der R1, R2 dem verwendeten Amin entsprechen, umfasst, wobei das Salz entweder, so wie es ist, in der folgenden Stufe des Verfahrens verwendet wird, wenn es ausreichend rein ist, oder behandelt wird, um die Säure durch Verdrängen aus deren Salz zu erhalten, was durch Auflösen des Rückstands in einem minimalen Volumen Wasser und anschließendes Ansäuern der Lösung auf den isoelektrischen pH-Wert der Säure (III) mit einer stark konzentrierten Säure, wie Salzsäure oder Schwefelsäure, einen pH-Wert, bei dem die unlösliche Säure (III) isoliert werden kann, durchgeführt wird. Aus praktischen Gründen großtechnischer und wirtschaftlicher Natur ist es jedoch bevorzugt, das nicht-isolierte Alkalimetallsalz in der folgenden Stufe direkt zu verwenden.
- Die dritte Stufe des Verfahrens besteht darin, das Zwischenprodukt (III) in Salzform oder nicht in Salzform zu verestern und anschließend optional das Amin zu N,N-dimethylieren, wenn R1 und/oder R2 Wasserstoff sind. Die möglichen Veresterungsverfahren sind unterschiedlich, und eine allgemeine Übersicht findet sich beispielsweise in der Arbeit "Advanced Organic Chemistry", J. March, 3. Auflage (Hrsg. J. Wiley Intersciences) S. 348 ff.. Es ist möglich, u. a. die Reaktionen mit den niederen primären Alkoholen, wie Methanol, Ethanol, Propanol, oder alternativ mit einem sekundären Alkohol, wie Isopropanol, durch Erhitzen der Säure (III) mit einem dieser Alkohole und derzeit verwendeten Katalysatoren, wie konzentrierte Schwefelsäure, p-Toluolsulfonsäure, oder alternativ Thionylchlorid zu verwenden, oder weiter alternativ durch Entfernen des durch die Reaktion gebildeten Wassers mit einem Dehydratisierungsmittel oder alternativ durch azeotrope Destillation fortzufahren, wobei diese Reaktionen zu den Aminoestern (II), in denen R ein C1-C3-Niederalkyl ist, führen.
- In der Praxis wird das Alkylieren der Säuren (III) durch Alkylierungsreagentien der Formel W-(R)n durchgeführt, wobei n einen Wert von 1 oder 2 aufweist, R Methyl bedeutet, wenn n 1 oder 2 ist, oder, wenn n 2 ist, einer der zwei Reste R optional Wasserstoff sein kann, während der andere Methyl ist, W ein Rest eines einwertigen Anions ist, wenn n einen Wert von 1 aufweist, und das dann ein Halogen, wie vorzugsweise Brom, Chlor, ist, oder alternativ W vom zweiwertigen Typ ist, wenn n 2 ist, beispielsweise ein Carbonat oder ein Sulfat, wobei das letztere besonders bevorzugt ist.
- Die Implementierung des Verfahrens ist eine Anpassung des Patents FR 71 08700, sofern die Alkylierung der Säuren (III) durch Dimethylsulfat betroffen ist. Sie besteht aus der Reaktion von 1 mol von (III) in Säureform oder vorzugsweise in Salzform, und worin R1, R2 Methyl sind, in Toluol mit 0,9 bis 2,5 mol Dimethylsulfat, und, wenn R1 und/oder R2 Wasserstoff sind, in der Reaktion von (III) mit 1,2 bis 3,5 mol Dimethylsulfat. Vorzugsweise werden, wenn in (III) R1 und R2 Methyl sind, 1,2 bis 2,0 mol verwendet, um einen Aminoester (II) zu erhalten, worin R, R1, R2 Methyl sind, und, wenn in (III) R1 und/oder R2 Wasserstoff sind, 1,4 bis 2,8 mol Dimethylsulfat verwendet. In diesem letzteren Fall wird ein Gemisch von Zwischenproduktestern erhalten, worin R Methyl ist, R1 und/oder R2 Wasserstoff oder Methyl sind, wobei diese Verbindungen ohne Isolierung einer ergänzenden N-Methylierung durch eine Reaktion des Eschweiler-Clarke-Typs mit Formaldehyd und Ameisensäure unterzogen werden. In der Praxis besteht das Arbeitsverfahren der Reaktion aus dem Dispergieren der Säure (III), vorzugsweise in der Form von deren Natriumsalz in Toluol und dem anschließenden Einführen von Dimethylsulfat bei der Rückflusstemperatur des Lösemittels. Das Reaktionsgemisch wird dann 1 bis 5 h bei Rückflusstemperatur gehalten, danach mit Wasser versetzt, und nach einer alkalischen Extraktion, die die Gewinnung des Esters in der Toluolphase ermöglicht, wird das Lösemittel abgedampft und der N,N-dimethylierte Aminoester (II) erhalten. Optional wird die Toluolphase einer ergänzenden Methylierung unterzogen. Hierzu werden Formaldehyd in einer wässrigen Lösung und anschließend reine Ameisensäure zugegeben. Das Gemisch wird unter wirksamem Rühren 30 min bis 3 h auf Rückflusstemperatur gebracht, was eine vollständige Durchführung der Methylierung und die Gewinnung des Dimethylaminoesters (II) ermöglicht.
- In Bezug auf die folgende Reduktionsstufe des Esters finden sich allgemeine Angaben bei "Advanced Organic Chemistry", J. March, 3. Auflage (Hrsg. J. Wiley Intersciences) S. 1093 ff.. Die Struktur des Esters (II) und insbesondere das Vorhandensein der Chlordisubstitution verbietet die Verwendung von Reduktionsmitteln und/oder scharfen Bedingungen, wie die einer katalytischen Hydrierung oder einer sog. Bouveault-Blanc-Reaktion. Daher bestehen die am besten geeigneten Verfahren aus der Reduktion von (II) mit Metall- oder Organometallhydriden, die für die Monometallhydride die allgemeine Formel M1(H)y1(R3)z1, worin M1 Aluminium oder Bor ist, R3 ein lineares oder verzweigtkettiges C1-C4-Niederalkyl ist, y1 1, 2 oder 3 ist, z1 0, 1 oder 2 ist, wobei die Summe y1 + z1 in jedem Fall gleich 3 ist, aufweisen oder ansonsten von Silicium abgeleitete Hydride sind, beispielsweise das Hydrid von Polymethylhydroxysiloxan, dessen Wirkung durch einen Metallreduktionsmittelkomplex, der beispielsweise in der Veröffentlichung WO 96/12694 beschrieben ist, katalysiert wird. Die für die Reduktion von (II) verwendeten Dimetallkomplexhydride weisen die Formel M2M1(H)y2(R3)z2 auf, worin M1 Aluminium oder Bor ist, M2 ein Alkalimetall, insbesondere Lithium oder Natrium ist, R3 ein lineares oder verzweigtkettiges C2-C4-Niederalkyl oder auch ein lineares oder verzweigtkettiges C2-C4-Niederalkoxy oder alternativ Alkoxyalkoxy ist, y2 2, 3 oder 4 ist, z2 0, 1, 2 oder 3 ist, wobei die Summe y2 + z2 in jedem Fall gleich 4 ist.
- Von diesen Hydriden sind diejenigen, die Dimetallhydride sind, bevorzugt und diejenigen, worin z2 0 ist, diejenigen, worin M1 Aluminium und M2 Lithium ist, oder auch diejenigen, worin M1 Bor und M2 Natrium ist, d. h. im letzteren Fall Natriumborhydrid, das günstigerweise in Gegenwart einer Lewis-Säure, wie AlCl3, oder in Gegenwart einer starken Säure, wie Schwefelsäure, verwendet wird, bevorzugt. In Bezug auf die Hydride, worin z2 1, 2 oder 3 ist, sind diejenigen bevorzugt, worin z2 den Wert 2 aufweist, M2 Natrium ist, M1 Aluminium ist und R3 Alkoxyalkoxy, beispielsweise die Methoxyethoxygruppe, ist.
- Das besonders bevorzugte Hydrid ist Lithiumaluminiumhydrid (LAH), das in Form von dessen Assoziierungskomplex mit Tetrahydrofuran (THF) verwendet wird, einem Komplex, der in Toluol, das das bevorzugte Reaktionslösemittel ist, löslich ist. Daher besteht das Verfahren aus einer ersten Stufe des Herstellens des LAH-THF-Komplexes in Toluol durch die Zugabe von 3 bis 10 Moläquivalenten THF zu 1 mol LAH und, nach der Bildung des löslichen Komplexes, dem anschließenden Einführen von 1,5 bis 2,0 mol des Esters (II) und vorzugsweise von 1,65 bis 1,75 mol dieses Esters pro 1 mol des verwendeten LAH. Die Reaktion wird unter Stickstoffatmosphäre durchgeführt, wobei während 30 min bis 24 h eine Temperatur zwischen 10 bis 110°C beibehalten wird. Die bevorzugten Bedingungen für diese Reduktion sind 1 bis 3 h bei 60 bis 110°C, und anschließend werden die Komplexe durch Wasser in einem alkalischen Medium zersetzt und Cericlamin (I) wird nach dem Filtrieren der Salze und Abdampfen der Lösemittel isoliert. Das im rohen Zustand erhaltene Produkt wird durch Kristallisation in Alkanen eines Siedepunkts zwischen 50 und 100°C, wie Hexan, gereinigt und dann nach für die Industrie angepassten herkömmlichen Verfahren durch Salzsäure in ein Salz überführt.
- Die Gesamtheit der aufeinanderfolgenden Reaktionen, die zur Herstellung von Cericlamin ausgehend von 3,4-Dichloranilin in vier Stufen besonders geeignet sind, sind:
- i) Durchführen der Diazotierung des 3,4-Dichlor-anilins in Aceton in salzsaurem Medium bei einer Temperatur von niedriger als 10°C unter Verwendung von 4 mol Säure, bezogen auf 3,4-Dichloranilin und von 1 bis 1,5 mol Natriumnitrit, anschließendes Umsetzen von 1,5 mol Methacrylsäure, wobei die Arylierung durch 0,02 mol Kupferchlorid katalysiert wird, wobei das chlorierte Säurezwischenprodukt (IV) erhalten wird, anschließend
- ii) Aminieren des Zwischenprodukts (IV) mit Ammoniak oder vorzugsweise Dimethylamin in Aceton oder vorzugsweise Ace tonitril durch Auflösen oder Dispergieren von (IV) in dem Lösemittel und Zugeben von 1 mol Soda in Chips, anschließend Einführen von entweder 30 bis 70 mol Ammoniak oder vorzugsweise 3 bis 10 mol Dimethylamin bei einer Temperatur von über 0°C, anschließendes Erhitzen des Gemischs unter Rühren und unter Druck bei 30 bis 50°C und vorzugsweise 40°C während 15 bis 20 h, anschließendes Eindampfen des Reaktionsgemischs unter Bildung des Natriumsalzes der Aminosäure (III), worin R1, R2 Wasserstoff sind, wenn mit Ammoniak aminiert wurde, und vorzugsweise Methyl sind, wenn mit Dimethylamin aminiert wurde, anschließend
- iii) Methylieren des Natriumsalzes einer Aminosäure (III) durch Reaktion von Toluol mit 1 mol des Säuresalzes (III), worin R1, R2 Methyl sind, mit 1,2 bis 2,0 mol Dimethylsulfat unter Erhitzen unter Rückflusskühlung, wobei der Ester (II) gebildet wird, worin R, R1 und R2 Methyl sind, und, wenn in (III) R1, R2 Wasserstoff sind, Reaktion mit 1,4 bis 2,8 mol Dimethylsulfat, und anschließendes N-Methylieren des erhaltenen Estergemischs, wobei R Methyl ist, R1 und/oder R2 Wasserstoff oder Methyl sind, ohne Isolierung mit Formaldehyd und Ameisensäure, wobei der Ester (II) gebildet wird, und anschließend
- iv) Reduzieren des Esters (II) mit Lithiumaluminiumhydrid (LAH) in Form des Assoziierungskomplexes mit Tetrahydrofuran (THF) in Toluol und unter Stickstoffatmosphäre, was aus der Zugabe von 3 bis 10 Moläquivalenten THF zu 1 mol LAH besteht, anschließendes Einführen von 1,65 bis 1,75 mol des Esters (II) und anschließendes Durchführen einer Reduktion während 1 bis 3 h bei einer Temperatur von 60 bis 100°C, anschließendes Zersetzen der Komplexe mit Wasser in einem alkalischen Medium und nach dem Abdampfen der Lösemittel die Gewinnung von Cericlamin (I), das durch Kristallisation aus Hexan gereinigt und dann gemäß für die Industrie angepassten Verfahren mit Salzsäure in ein Salz umgewandelt wird.
- Ferner ist die Verbindung speziell auf neue chemische Verbindungen der Formel (V), die Zwischenprodukte des Verfahrens sind, gerichtet:
(+/–)-2-Chlor-3-(3,4-dichlorphenyl)-2-dimethylpropionsäure,
(+/–)-3-(3,4-Dichlorphenyl)-2-dimethylamino-2-methyl-propionsäure und dessen Natriumsalz, und
Methyl-(+/–)-3-(3,4-Dichlorphenyl)-2-dimethylamino-2-methylpropionat. - Der folgende experimentelle Abschnitt erläutert das bevorzugte Verfahren zur Herstellung von Cericlamin ausgehend von 3,4-Dichloranilin und Methacrylsäure, ohne dieses zu beschränken.
- Experimenteller Abschnitt
- Allgemeine Punkte in der Beschreibung der folgenden Beispiele:
- – Trocknen der Lösemittel soll bedeuten, dass wasserfreies MgSO4 in ausreichender Menge zugegeben und danach dieses Produkt durch Filtration abgetrennt wird.
- – Destillieren oder Entfernen durch Destillation der Lösemittel soll bedeuten, dass deren Arbeitsgänge unter einem Vakuum von 25 bis 50 mm Hg durchgeführt werden.
- – Die angegebenen Schmelzpunkte sind unkorrigiert und wurden durch Differentialthermoanalyse bestimmt (Mettler-Gerät, Typ-20-Ofen, TC11-Programmiervorrichtung).
- – Die chromatographische Reinheit wird auf Dünnschichten (DC) aus Siliciumdioxid (Lieferant Merck) bestimmt, wobei die qualitative und anteilmäßige Zusammensetzung der Elutionsgemische angegeben ist.
- – Die Protonenresonanzspektren werden auf einem Gerät Varian EM 360 (60 MHz) erhalten, wobei die Verbindungen in Deuterochloroform oder deuteriertem Dimethylsulfoxid gelöst und TMS als innerer Standard verwendet werden. Die Spektren sind in den Beispielen durch die Verschiebung der Signale in ppm in Bezug auf TMS, ihr Aussehen und die Zahl der Protonen, für die sie stehen, angegeben.
- Beispiel 1 (bevorzugt):
- i) Herstellung von (+/–)-2-Chlor-3-(3,4-dichlor-phenyl)-2-methylpropionsäure [(IV), Verbindung (V) für A = Cl, B = OH]
- In einem Reaktor werden 60,0 g (0,37 mol) 3,4-Dichloranilin in 300 ml Aceton gelöst. Ohne 20°C zu überschreiten, werden 125 ml 36%-ige HCl in 10 min zugegeben. Das Gemisch wird auf 0°C gekühlt und Stickstoffatmosphäre wird eine Lösung von 27,7 g (0,39 mol) von 97% Natriumnitrit in 74 ml Wasser innerhalb von 15 min zugegeben und das Gemisch zwischen 0 und 5°C gehalten. 47,8 g (0,56 mol) Methacrylsäure und 104 ml reine Essigsäure werden dann nacheinander zugegeben und danach wird zwischen 3 und 5°C eine Lösung von 0,76 g (7,4 mmol) Kupfer(I)-chlorid in 24 ml 10%-iger HCl zugegeben. Diese Zugabe ist exotherm und sie wird von einer Stickstoffentwicklung begleitet. Das Gemisch wird dann 2 h gerührt, wobei 20°C erreicht werden, und danach mit 74 ml Wasser versetzt.
- Die untere organische Phase wird abgezogen und die wässrige Phase wird zweimal mit 200 ml Toluol extrahiert. 740 ml Wasser werden zu den vereinigten organischen Phasen gegeben und 150 ml einer 30%-igen NaOH-Lösung werden bei t < 25°C zugegeben. Die alkalische Phase wird abgetrennt und die Toluolphase wird mit 200 ml Wasser extrahiert.
- Die vereinigten alkalischen wässrigen Phasen werden bei t < 25°C mit 60 ml 93%-iger H2SO4 angesäuert und das Gemisch wird mit 750 ml Toluol extrahiert. Die saure Phase wird abgetrennt, mit 350 ml Toluol extrahiert, und danach werden die vereinigten organischen Phasen getrocknet und das Lösemittel durch Destillation entfernt. Der Rückstand (106 g) wird mit 110 ml Hexan bei etwa 50°C aufgenommen und danach wird die Lösung unter Rühren auf 0°C gekühlt. Das unlösliche Material wird abfiltriert, zweimal mit 30 ml Hexan bei 0°C gewaschen und dann bei 40°C unter Vakuum zu konstantem Gewicht getrocknet. Gewicht: 80,2 g. Ausbeute = 80,9%.
Fp = 105,2°C
DC: Rf = 0,10 bis 0,40 (Hexan-Aceton V/V)
1H-NMR δ ppm: 1,7 (s, 3H); 3,25 (s, 2H); 7,2 (m, 3H); 9,7 (s, 1H). - ii) Herstellung von (+/–)-3-(3,4-Dichlorphenyl)-2-dimethylamino-2-methylpropionsäure und von dessen Natriumsalz [(III) M = H Oder Na, Verbindung (V) für A = Dimethylamino, B = OM]
- 50,0 ml Acetonitril, in das zuvor 10,0 g (220 mmol) Dimethylamin bei 0°C gegeben wurden, werden in einen Reaktor mit konstantem Volumen gegeben, und danach werden 1,5 g (37, 5 mmol) NaOH in Chips und 10,0 g der in der vorherigen Stufe erhaltenen Chlorsäure gegeben. Der Reaktor wird geschlossen und dann unter Rühren 17 h auf 40°C erhitzt, im Verlaufe dessen der Druck zunächst steigt und dann im Laufe des Fortschreitens der Reaktion abfällt. Der Reaktor wird auf etwa 10°C gekühlt, dann geöffnet und das Gemisch wird unter Vakuum destilliert. 50 ml Toluol werden zu dem Rückstand gegeben, die entfernt werden, und der Rückstand wird erneut unter Rühren mit 30 ml Toluol aufgenommen. Das unlösliche Natrium-(+/–)-3-(3,4-dichlorphenyl)-2-dimethylamino-2-methyl-propionat wird abfiltriert und unter Vakuum getrocknet. Gewicht: 8,6 g. Ausbeute = 76,9%. Fp = 255–260 °C
DC: Rf = 0,20 bis 0,30 (Chloroform-Methanol-Toluol-konz. Ammoniak 30/20/20/1,5 V/V)
1H-NMR δ ppm: 1,4 (s, 3H); 2,85 (s, 6H); 3,1 (s, 2H); 7,3 (m, 3H). - Die Säure wird durch Auflösen von 7,5 g (25 mmol) des Natriumsalzes in 40 ml Wasser und anschließendes Ansäuern auf einen pH-Wert von 6,5–6,6 mit 36%-iger HCl erhalten. Die Suspension wird 2 h unter Rühren bei 5°C gehalten, und danach wird die Säure (III) abfiltriert und unter Vakuum getrocknet.
Gewicht: 6,6 g. Ausbeute = 95%. Fp = 250°C
1H-NMR δ ppm: 1,45 (s, 3H); 3,0 (s, 6H); 3,2 (s, 2H); 7,4 (m, 3H); 9,75 (s, 1H). - iii) Herstellung von Methyl-(+/–)-3-(3,4-dichlorphenyl)-2-dimethylamino-2-methylpropionat [(II), R = CH3; Verbindung (V) für A = Dimethylamino, B = OR]
- 7,0 g (23 mmol) des in der vorherigen Stufe erhaltenen Natriumsalzes in 21,0 ml Toluol werden in einen Reaktor gegeben. Die Suspension wird unter Rückflusskühlung erhitzt und 4,2 g (33 mmol) Dimethylsulfat werden dann innerhalb von 15 min zugegeben. Das Aussehen des Mediums ändert sich und es werden zwei Phasen erhalten; es wird 2 h bei Rückflusstemperatur gehalten, auf 70°C gekühlt, mit 10 ml Wasser versetzt und das Gemisch wird 12 h bei 20–25°C gerührt.
- Die wässrige Phase wird dann abgetrennt und die Toluolphase wird zweimal mit 10 ml Wasser extrahiert. Die vereinigten wässrigen Phasen werden bei t < 25°C mit 6 ml 30%-iger Sodalauge alkalisch gemacht und dann mit 30 ml Toluol extrahiert. Die organische Phase wird abgetrennt. Die wässrige Phase wird zweimal mit 10 ml Toluol extrahiert und die vereinigten organischen Phasen werden mit 10 ml Wasser gewaschen.
- Das Toluol wird durch Destillation entfernt und die Verbindung (II) wird roh in Form eines blassgelben viskosen Öls in einem Reinheitszustand, der zur Verwendung in der folgenden Reduktionsstufe ausreichend ist, erhalten.
Gewicht: 4,3 g. Ausbeute = 63,2
DC: Rf = 0,75 (Chloroform-Methanol-Toluol-konz. Ammoniak 30/30/30/1,5 V/V)
1H-NMR δ ppm: 1,2 (t, 3H); 2,4 (s, 6H); 3,1 (q, 2H); 3,75 (s, 3H); 7,3 (m, 3H). - iv) Herstellung von (+/–)-3-(3,4-Dichlorphenyl)-2-dimethylamino-2-methylpropan-1-ol (I) oder Cericlamin (INN)
- 0,35 g (8,74 mmol) Lithiumaluminiumhydrid als Pulver in 8,5 ml von vollständig trockenem Toluol werden in einen trockenen Reaktor vor Feuchtigkeit geschützt und unter Stickstoffatmosphäre eingeführt. 1,4 ml trockenes Tetrahydrofuran werden dann tropfenweise zu der Suspension gegeben. Die Zugabe ist leicht exotherm und danach wird eine Lösung von 4,3 g (15 mmol) des in der vorherigen Stufe iii) hergestellten Dimethylaminoesters in 4,3 mol Toluol zugegeben. Diese Zugabe ist in ähnlicher Weise exotherm und die Temperatur steigt von 23 auf 32°C.
- Das Gemisch wird dann unter Rühren 2 h 30 bei 20°C gehal ten, anschließend 1 h 30 auf 60°C erhitzt und dann erneut 1 h bei der Rückflusstemperatur des Toluols gehalten, bevor es 16 h stehengelassen wird. Danach werden 0,33 ml Wasser tropfenweise bei t < 18°C, anschließend eine Lösung von 0,06 g NaOH-Chips in 0,33 ml Wasser und anschließend 1,00 ml Wasser zugegeben. Die Suspension wird 30 min gerührt. Das unlösliche Material wird abfiltriert, in zwei aufeinanderfolgenden Wiederholungsschritten mit 15,5 ml Toluol aufgenommen und filtriert.
- Die vereinigten Toluolphasen werden eingedampft und der Rückstand wird bei Rückflusstemperatur in 16 ml Hexan gelöst, und beim Abkühlen ist gegen 40°C eine Kristallisation offensichtlich. Nach dem Abkühlen auf 20°C wird die Suspension 2 h bei t < 5°C gehalten. Das unlösliche Material wird abfiltriert, mit kaltem Hexan gewaschen und dann bei 50°C unter Vakuum auf konstantes Gewicht getrocknet.
Gewicht: 3,40 g. Ausbeute = 87,8%. Fp = 86,3°C
DC: Rf = 0,10–0,40 (Ethanol-Hexan-Chloroform V/V/V)
1H-NMR δ ppm: 0,8 (s, 3H); 2,05 (s, 1H); 2,4 (s, 6H); 2,75 (s, 2H); 2,3 (s, 2H); 7,3 (m, 3H). - Hydrochlorid: 2,0 g (7,63 mmol) der erhaltenen Verbindung (I) werden bei 40°C in 5,2 ml trockenem Ethanol gelöst. Nach dem Abkühlen auf 30°C werden 2,5 g von 11,8-igem (Gew./V) salzsaurem Ethanol (8,01 mmol) zugegeben und danach wird die Lösung auf 50°C erhitzt und mit 8,0 ml Diisopropylether versetzt. Die Lösung wird unter Rühren gekühlt, eine Kristallisation findet bei 35°C statt und das Gemisch wird 2 h bei dieser Temperatur gehalten und dann auf 10°C gekühlt. Nach 2 h wird das unlösliche Material abfiltriert, gewaschen und unter Vakuum auf konstantes Gewicht getrocknet.
Gewicht: 1,9 g. Ausbeute = 83,3%. Fp = 173,3°C
DC: Rf = 0,40–0,60 (Chloroform-Ethanol-Hexan-konz. Ammoniak 30-30-30-1,5 V/V) - Beispiel 2:
- i) (+/–)-2-Chlor-3-(3,4-dichlorphenyl)-2-methyl-propionsäure [(IV), Herstellung gemäß der Beschreibung in i) des obigen Beispiels 1]
- ii) Herstellung von Natrium-(+/–)-2-amino-3-(3,4-dichlorphenyl)-2-methylpropionat [(III) M = Na, R1 =, R2 = H]
- Die Reaktion wird gemäß dem Arbeitsverfahren, das in ii) von Beispiel 1 beschrieben ist, ausgehend von 10,0 g (0,037 mol) der Chlorsäure (IV) und 35,0 g (2,06 mol) Ammoniak durchgeführt. Nach den Behandlungen wird das Natriumsalz des Produkts erhalten. Gewicht: 8,3 g. Ausbeute = 82,2%.
Fp = 275–280°C
DC: Rf = 0,30–0,40 (Chloroform-Ethanol-Hexan-konz. Ammoniak 30-30-30-1,5 V/V)
1H-NMR δ ppm: 1,35 (s, 3H); 2,1 (s, 2H); 3,0 (q, 2H); 7,4 (m, 3H). - iii) Herstellung von Methyl-(+/–)-3-(3,4-dichlor-phenyl)-2-dimethylamino-2-methylpropionat [(II), R = CH3; Verbindung (V) für A = Dimethylamino, B = OR]
-
- iii.a) 7,0 g (26 mmol) des oben erhaltenen Natriumsalzes der Säure in 21 ml trockenem Toluol werden in einen Reaktor eingeführt. Die Suspension wird unter Rühren auf Rückflusstemperatur gebracht und 4,6 g (36 mmol) Dimethylsulfat werden tropfenweise zugegeben. Das Gemisch wird 2 h bei Rückflusstemperatur gehalten und dann auf 40°C gekühlt und mit 10 ml Wasser versetzt, und danach wird das Gemisch auf 20 °C gekühlt. Das Gemisch wird 15 min gerührt und dann 16 h stehengelassen. Die wässrige Phase wird abgetrennt und die Toluolphase wird zweimal mit 6 ml Wasser extrahiert. Die vereinigten wässrigen Phasen werden bei t < 25°C mit 4,2 ml 30%-iger Sodalauge alkalisch gemacht und danach mit 20 ml Toluol extrahiert. Die organische Phase wird abgetrennt und die wässrige Phase wird zweimal mit 5 ml Toluol extrahiert, und danach werden die vereinigten organischen Phasen mit 6 ml Wasser gewaschen.
- iii.b) 7,8 g (78 mmol) einer 30%-igen Formaldehydlösung werden in einem Reaktor zu den erhaltenen Toluolphasen gegeben. Das Gemisch wird unter Rühren auf Rückflussitemperatur gebracht und danach mit 5,8 g (101 mmol) 80%-iger Ameisensäure unter Beibehalten einer Temperatur von 8590°C versetzt.
- Das Gemisch wird 1 h 30 unter Rühren auf 85–90°C erhitzt und nach dem Abkühlen auf 35°C mit 8,4 ml 30%-iger Sodalauge bei t < 35°C versetzt. Die organische Phase wird abgetrennt und die wässrige Phase wird zweimal mit 8 ml Toluol extrahiert, und danach werden die vereinigtenl Toluolphasen dreimal mit 6 ml Wasser gewaschen und das Toluol wird durch Destillation entfernt. Der Dimethylaminoester (II) wird roh in einem DC-Reinheitszustand, der zur Verwendung desselben in der letzten Reduktionsstufe ausreichend ist, erhalten.
Gewicht: 4,3 g. Ausbeute = 57,2
DC: Rf = 0,40–0,60 (Dichlormethan-Aceton 85/15 V/V)
1H-NMR: identisch zu der Verbindung, die in iii) von Beispiel 1 erhalten wurde - iv) Herstellung von (+/–)-3-(3,4-Dichlorphenyl)-2-dimethylamino-2-methylpropan-1-ol (I) oder Cericlamin (INN).
- Das Produkt wird gemäß der Beschreibung in iv) von Beispiel 1 hergestellt.
Claims (7)
- Verfahren zur Herstellung von (+/–)-3-(3,4-Dichlorphenyl)-2-dimethylamino-2-methylpropan-1-ol (I) oder Cericlamin, das aus den folgenden Stufen besteht: i) Arylieren von Methacrylsäure mit dem Diazoniumchlorid von in situ hergestelltem 3,4-Dichloranilin, wobei (+/–)-2-Chlor-3-(3,4-dichlorphenyl)-2-methylpropionsäure (IV) erhalten wird, ii) Aminieren der Säure (IV) mit einem Amin HNR1R2, worin R1 und R2 unabhängig voneinander Wasserstoff oder Methyl sind, wobei eine Aminosäure (III) erhalten worin M ein Alkali- oder Erdalkalimetall oder auch Wasserstoff ist und R1 und R2 wie im vorhergehenden definiert sind, iii) anschließendes Verestern der Säure (III) und anschließend, wenn R1 und/oder R2 Wasserstoff sind, Methylieren des Amins mit Formaldehyd und Ameisensäure, wobei ein (+/–)-3-(3,4-Dichlorphenyl)-2-dimethylamino-2-methylpropionsäureester (II) erhalten wird, wird worin R C1-C3-Alkyl ist, iv) anschließendes Reduzieren des Esters (II) durch ein Metall- oder Organometallhydrid, wobei (+/–)-3-(3,4-Dichlorphenyl)-2-dimethylamino-2-methylpropan-1-ol oder Cericlamin (INN) der Formel (I) erhalten wird, und Herstellen des Additionssalzes mit Salzsäure.
- Verfahren nach Anspruch 1, wobei das Diazoniumchlorid von 3,4-Dichloranilin mit einer Rate von 1 mol zur Arylierung mit 1,5 mol Methacrylsäure in Gegenwart von 0,02 mol Kupfer(I)-chlorid zur Bildung der Säure (IV) verwendet wird.
- Verfahren nach Anspruch 1 oder 2, wobei 1 mol der Säure (IV) in Acetonitril durch Erhitzen unter Druck bei 40°C während 15 bis 20 h mit 1 mol Soda und 3–10 mol Dimethylamin aminiert wird, wobei die Aminosäure (III), in der M Natrium ist und R1 und R2 beide Methyl sind, erhalten wird.
- Verfahren nach Anspruch 1 oder 3, wobei 1 mol der Aminosäure (III) in Toluol mit 1,4 bis 2,8 mol Dimethylsulfat verestert und anschließend, wenn in (III) R1 und R2 Wasserstoff sind, mit Formaldehyd und Ameisensäure und, wenn in (III) R1 und R2 Methyl sind, mit 1,2 bis 2,0 mol Dimethylsulfat N-methyliert wird, wobei der Aminoester (II), worin R, R1 und R2 Methyl sind, erhalten wird.
- Verfahren nach Anspruch 1 oder 4, wobei 1,65 bis 1,75 mol des Aminoesters (II) in Toluol mit einem Lithiumaluminiumhydrid-Tetrahydrofuran-Additionskomplex, der ausgehend von 1 mol Hydrid hergestellt wurde, reduziert werden, wobei (+/–)-3-(3,4-Dichlorphenyl)-2-dimethylamino-2-methylpropan-1-ol (I) oder Cericlamin erhalten wird, das optional mit Salzsäure in ein Salz umgewandelt wird.
- Verfahren nach Anspruch 1, wobei: – das Diazoniumchlorid von 3,4-Dichloranilin mit einer Rate von 1 mol zur Arylierung mit 1,5 mol Methacrylsäure in Gegenwart von 0,02 mol Kupfer(I)-chlorid zur Bildung der Säure (IV) verwendet wird, – 1 mol der Säure (IV) in Acetonitril durch Erhitzen unter Druck bei 40°C während 15 bis 20 h mit 1 mol Soda und 3 bis 10 mol Dimethylamin aminiert wird, wobei die Aminosäure (III), in der M Natrium ist und R1 und R2 beide Methyl sind, gebildet wird, – 1 mol Aminosäure (III) in Toluol mit 1,4 bis 2,8 mol Dimethylsulfat verestert und anschließend, wenn in (III) R1 und R2 Wasserstoff sind, mit Formaldehyd und Ameisensäure und, wenn in (III) R1 und R2 Methyl sind, mit 1,2 bis 2,0 mol Dimethylsulfat N-methyliert wird, wobei der Aminoester (II), worin R, R1 und R2 Methyl sind, gebildet wird, – 1,65 bis 1,75 mol des Aminoesters (II) in Toluol mit einem Lithiumaluminiumhydrid-Tetrahydrofuran-Additionskomplex, der ausgehend von 1 mol Hydrid hergestellt wurde, reduziert werden, wobei (+/–)-3-(3,4-Dichlorphenyl)-2-dimethylamino-2-methylpropan-1- ol (I) oder Cericlamin erhalten wird, das optional mit Salzsäure in ein Salz umgewandelt wird.
- Verbindung, die ausgewählt ist aus: (+/–)-2-Chlor-3-(3,4-dichlorphenyl)-2-methylpropionsäure, (+/–)-3-(3,4-Dichlorphenyl)-2-dimethylamino-2-methylpropionsäure und dessen Natriumsalz, und Methyl-(+/–)-3-(3,4-dichlorphenyl)-2-dimethylamino-2-methylpropionat.
Applications Claiming Priority (3)
| Application Number | Priority Date | Filing Date | Title |
|---|---|---|---|
| FR9704311A FR2761686B1 (fr) | 1997-04-07 | 1997-04-07 | Nouveau procede de preparation du (+/-)3-(3,4- dichlorophenyl)-2-dimethylamino-2-methyl-propan-1-ol ou cericlamine (inn) |
| FR9704311 | 1997-04-07 | ||
| PCT/EP1998/002213 WO1998045248A1 (en) | 1997-04-07 | 1998-04-06 | Novel process for the preparation of (+/-)3- (3,4-dichlorophenyl)-2- dimethylamino-2-methylpropan-1-ol or cericlamine (inn) |
Publications (2)
| Publication Number | Publication Date |
|---|---|
| DE69818653D1 DE69818653D1 (de) | 2003-11-06 |
| DE69818653T2 true DE69818653T2 (de) | 2004-08-19 |
Family
ID=9505666
Family Applications (1)
| Application Number | Title | Priority Date | Filing Date |
|---|---|---|---|
| DE69818653T Expired - Fee Related DE69818653T2 (de) | 1997-04-07 | 1998-04-06 | Verfahren zur herstellung von (+/-)3-(3,4-dichlorophenol)-2-dimethylamino-2-methylpropan-1-ol oder cericlamin(inn) |
Country Status (21)
| Country | Link |
|---|---|
| US (1) | US6121491A (de) |
| EP (1) | EP0973724B1 (de) |
| JP (1) | JP2001519799A (de) |
| KR (1) | KR20010006073A (de) |
| AT (1) | ATE251116T1 (de) |
| AU (1) | AU728636B2 (de) |
| BR (1) | BR9811459A (de) |
| CA (1) | CA2277874A1 (de) |
| DE (1) | DE69818653T2 (de) |
| DK (1) | DK0973724T3 (de) |
| EA (1) | EA004399B1 (de) |
| ES (1) | ES2209137T3 (de) |
| FR (1) | FR2761686B1 (de) |
| HU (1) | HUP0001753A3 (de) |
| IL (1) | IL130813A (de) |
| NZ (1) | NZ337588A (de) |
| PL (1) | PL336041A1 (de) |
| PT (1) | PT973724E (de) |
| SK (1) | SK284184B6 (de) |
| WO (1) | WO1998045248A1 (de) |
| ZA (1) | ZA982927B (de) |
Families Citing this family (1)
| Publication number | Priority date | Publication date | Assignee | Title |
|---|---|---|---|---|
| EP2343073A3 (de) | 2003-12-11 | 2011-10-12 | Sepracor Inc. | Kombination eines Beruhigungsmittels und eines Neurotransmittermodulators und Verfahren zur Verbesserung der Schlafqualität und Behandlung von Depressionen |
Family Cites Families (6)
| Publication number | Priority date | Publication date | Assignee | Title |
|---|---|---|---|---|
| FR2378746A1 (fr) * | 1977-01-28 | 1978-08-25 | Synthelabo | Derives d'acides a-amines |
| JPS6078921A (ja) * | 1983-10-05 | 1985-05-04 | Toyo Soda Mfg Co Ltd | ハロゲン含有エチルベンゼン誘導体の製造方法 |
| JPS61204150A (ja) * | 1985-03-08 | 1986-09-10 | Sagami Chem Res Center | α―ハロ―α―トリフルオロメチル―β―アリールプロピオン酸 |
| FR2593499B1 (fr) * | 1986-01-30 | 1988-08-12 | Jouveinal Sa | Aminoalcools, leur procede de preparation et leurs applications, notamment en therapeutique |
| US5472970A (en) * | 1992-05-05 | 1995-12-05 | Institut De Recherche Jouveinal S.A. | Allylaminoesters and their application in therapeutics |
| FR2690916B1 (fr) * | 1992-05-05 | 1994-06-17 | Jouveinal Inst Rech | Nouveaux enantiomeres derives du (s)-amino-2-(dichloro-3,4-benzyl)-2-propanol-1. |
-
1997
- 1997-04-07 FR FR9704311A patent/FR2761686B1/fr not_active Expired - Fee Related
-
1998
- 1998-04-06 CA CA002277874A patent/CA2277874A1/en not_active Abandoned
- 1998-04-06 AU AU75259/98A patent/AU728636B2/en not_active Ceased
- 1998-04-06 DE DE69818653T patent/DE69818653T2/de not_active Expired - Fee Related
- 1998-04-06 EA EA199900906A patent/EA004399B1/ru not_active IP Right Cessation
- 1998-04-06 IL IL13081398A patent/IL130813A/xx active IP Right Grant
- 1998-04-06 EP EP98922719A patent/EP0973724B1/de not_active Expired - Lifetime
- 1998-04-06 HU HU0001753A patent/HUP0001753A3/hu unknown
- 1998-04-06 ZA ZA9802927A patent/ZA982927B/xx unknown
- 1998-04-06 SK SK1360-99A patent/SK284184B6/sk unknown
- 1998-04-06 ES ES98922719T patent/ES2209137T3/es not_active Expired - Lifetime
- 1998-04-06 KR KR1019997009151A patent/KR20010006073A/ko not_active Ceased
- 1998-04-06 PT PT98922719T patent/PT973724E/pt unknown
- 1998-04-06 US US09/381,118 patent/US6121491A/en not_active Expired - Fee Related
- 1998-04-06 AT AT98922719T patent/ATE251116T1/de not_active IP Right Cessation
- 1998-04-06 BR BR9811459-0A patent/BR9811459A/pt not_active IP Right Cessation
- 1998-04-06 NZ NZ337588A patent/NZ337588A/xx unknown
- 1998-04-06 PL PL98336041A patent/PL336041A1/xx unknown
- 1998-04-06 JP JP54241598A patent/JP2001519799A/ja active Pending
- 1998-04-06 WO PCT/EP1998/002213 patent/WO1998045248A1/en not_active Ceased
- 1998-04-06 DK DK98922719T patent/DK0973724T3/da active
Also Published As
| Publication number | Publication date |
|---|---|
| NZ337588A (en) | 2000-05-26 |
| ATE251116T1 (de) | 2003-10-15 |
| DE69818653D1 (de) | 2003-11-06 |
| HUP0001753A3 (en) | 2000-12-28 |
| HUP0001753A2 (hu) | 2000-11-28 |
| IL130813A0 (en) | 2001-01-28 |
| AU728636B2 (en) | 2001-01-11 |
| PT973724E (pt) | 2004-02-27 |
| SK284184B6 (sk) | 2004-10-05 |
| SK136099A3 (en) | 2000-05-16 |
| EP0973724A1 (de) | 2000-01-26 |
| BR9811459A (pt) | 2000-09-19 |
| FR2761686B1 (fr) | 1999-05-14 |
| FR2761686A1 (fr) | 1998-10-09 |
| US6121491A (en) | 2000-09-19 |
| PL336041A1 (en) | 2000-06-05 |
| CA2277874A1 (en) | 1998-10-15 |
| EA004399B1 (ru) | 2004-04-29 |
| KR20010006073A (ko) | 2001-01-15 |
| IL130813A (en) | 2003-07-06 |
| EP0973724B1 (de) | 2003-10-01 |
| DK0973724T3 (da) | 2004-02-02 |
| EA199900906A1 (ru) | 2000-08-28 |
| AU7525998A (en) | 1998-10-30 |
| JP2001519799A (ja) | 2001-10-23 |
| WO1998045248A1 (en) | 1998-10-15 |
| ZA982927B (en) | 1999-07-15 |
| ES2209137T3 (es) | 2004-06-16 |
Similar Documents
| Publication | Publication Date | Title |
|---|---|---|
| DE69210141T2 (de) | Herstellung von Fluoxetin und Zwischenverbindungen | |
| DE60004126T2 (de) | Verfahren zur Herstellung von (1R, 2S, 4R)-(-)-2-[(2'-(N,N-dimethylamino)-ethoxy)]-2-[phenyl]-1,7,7-tri-[methyl]-bicyclo[2.2.1]heptan und ihre pharmazeutisch akzeptierbaren Säure-Additions-Salze | |
| EP1636199A2 (de) | Verfahren zur herstellung von phenylessig derivaten | |
| DE69818653T2 (de) | Verfahren zur herstellung von (+/-)3-(3,4-dichlorophenol)-2-dimethylamino-2-methylpropan-1-ol oder cericlamin(inn) | |
| EP0217018A1 (de) | Verfahren zur Herstellung von 3-Aminoacrylsäureestern | |
| EP0790251B1 (de) | Herstellung und Verwendung von (3-Alkoxyphenyl)magnesiumchloriden | |
| DE2932198A1 (de) | Verfahren zur herstellung von o-(2,6-dichloranilino)-phenylessigsaeure und neue zwischenprodukte zur durchfuehrung des verfahrens | |
| EP0630886B1 (de) | Verfahren zur Herstellung von Aminopropionitrilen | |
| DE2602846C2 (de) | Verfahren zur Herstellung von 2-(2-Thienyl)äthylaminen | |
| EP1765766B1 (de) | Verfahren zur herstellung von enantiomeren 3-hydroxy-3- phenyl-propylaminen | |
| DE10160721A1 (de) | Verfahren zur Herstellung von Deoxybenzoinen | |
| DD285349A5 (de) | Verfahren zur herstellung von substituierten pyridylalkylketonen | |
| EP1902042B1 (de) | Verfahren zur herstellung von 3,4-dichlor-isothiazolcarbonsäure | |
| EP0028375B1 (de) | Verfahren zur Herstellung von Phenylessigsäure und von deren einfachen Derivaten | |
| DE3433524C2 (de) | ||
| DE3815046A1 (de) | 3-chlor-2-methylphenethylaminoderivate | |
| EP0006140B1 (de) | Verfahren zur Herstellung von alpha-Hydroxycarbonsäureamiden | |
| EP1833814B1 (de) | Verfahren zur herstellung von substituierten 2-alkoxycarbonyl-3-aminothiophenen | |
| DE102006041941A1 (de) | Verfahren zur Herstellung von 1,2-Diolen aus Carbonyl-Verbindungen | |
| CH653322A5 (de) | Verfahren zur herstellung von phenylethanolaminen. | |
| EP1019356A2 (de) | Verfahren zur herstellung von 3-hydroxy-2-methylbenzoesäure | |
| DE2714255A1 (de) | Verfahren zur herstellung von m-aminophenolen und deren verwendung | |
| DE69803241T2 (de) | Verfahren zur Herstellung von N,N-Dialkylaminophenylalkanolen | |
| DE10237285A1 (de) | Verfahren zur Herstellung von 3-Amino-4,4,4-trifluorcrotonsäureestern | |
| CH696238A5 (de) | Verfahren zur Herstellung von Zimtaldehydverbindungen. |
Legal Events
| Date | Code | Title | Description |
|---|---|---|---|
| 8364 | No opposition during term of opposition | ||
| 8339 | Ceased/non-payment of the annual fee |










