CN211125967U - 一种滤波器及通信设备 - Google Patents
一种滤波器及通信设备 Download PDFInfo
- Publication number
- CN211125967U CN211125967U CN201922387602.8U CN201922387602U CN211125967U CN 211125967 U CN211125967 U CN 211125967U CN 201922387602 U CN201922387602 U CN 201922387602U CN 211125967 U CN211125967 U CN 211125967U
- Authority
- CN
- China
- Prior art keywords
- filtering
- cavity
- filter
- branch
- center
- Prior art date
- Legal status (The legal status is an assumption and is not a legal conclusion. Google has not performed a legal analysis and makes no representation as to the accuracy of the status listed.)
- Active
Links
- 238000004891 communication Methods 0.000 title claims abstract description 12
- 238000001914 filtration Methods 0.000 claims abstract description 307
- 238000006880 cross-coupling reaction Methods 0.000 claims abstract description 31
- 230000001939 inductive effect Effects 0.000 claims abstract description 17
- 238000013461 design Methods 0.000 abstract description 8
- 238000004519 manufacturing process Methods 0.000 abstract description 6
- 230000008878 coupling Effects 0.000 description 39
- 238000010168 coupling process Methods 0.000 description 39
- 238000005859 coupling reaction Methods 0.000 description 39
- 238000010586 diagram Methods 0.000 description 11
- 230000001629 suppression Effects 0.000 description 10
- 238000004088 simulation Methods 0.000 description 5
- 230000005540 biological transmission Effects 0.000 description 4
- 239000000463 material Substances 0.000 description 4
- 238000000034 method Methods 0.000 description 4
- 238000002955 isolation Methods 0.000 description 3
- 238000005516 engineering process Methods 0.000 description 2
- 239000002184 metal Substances 0.000 description 2
- 230000000694 effects Effects 0.000 description 1
- 230000007774 longterm Effects 0.000 description 1
- 238000010295 mobile communication Methods 0.000 description 1
- 238000012986 modification Methods 0.000 description 1
- 230000004048 modification Effects 0.000 description 1
- 238000005192 partition Methods 0.000 description 1
- 238000012545 processing Methods 0.000 description 1
- 238000012827 research and development Methods 0.000 description 1
Images
Landscapes
- Control Of Motors That Do Not Use Commutators (AREA)
Abstract
本申请公开了一种滤波器及通信设备,该滤波器包括:壳体,具有第一方向和与所述第一方向垂直的第二方向;公共腔,设置在所述壳体上;第一滤波支路,与所述公共腔耦合,由依次耦合的十个滤波腔组成,所述第一滤波支路的十个滤波腔形成五个感性交叉耦合零点;第二滤波支路,与所述公共腔耦合,由依次耦合的十个滤波腔组成,所述第二滤波支路的十个滤波腔与所述第一滤波支路的十个滤波腔对称设置。通过上述方式,本申请的滤波器便于设计,能够利用同一模具生产,简化滤波器的生产工艺,降低成本。
Description
技术领域
本申请涉及通信技术领域,特别是涉及一种滤波器及通信设备。
背景技术
在移动通信设备中,所需的信号经过调制形成调制信号,并搭载在高频的载波信号上,通过发射天线发射至空中,通过接收天线接收空中的信号,接收天线接收到的信号中,不光包括所需的信号,而且还包括其它频率的谐波、噪声信号。对接收天线接收到的信号需要用滤波器滤除不需要的谐波、噪声信号。因此,设计的滤波器必须精确地控制其带宽。
本申请的发明人在长期的研发工作中发现,现有技术中滤波器设置有第一滤波支路和第二滤波支路,第一滤波支路的结构与第二滤波支路的结构完全不同,无法使用同一模具生产滤波器,导致滤波器的生产工艺复杂,成本高。
实用新型内容
本申请提供一种滤波器,以解决现有技术中滤波器成本高的技术问题。
本申请实施例提供了一种滤波器,所述滤波器包括:
壳体,具有第一方向和与所述第一方向垂直的第二方向;
公共腔,设置在所述壳体上;
第一滤波支路,与所述公共腔耦合,由依次耦合的十个滤波腔组成,所述第一滤波支路的十个滤波腔形成五个感性交叉耦合零点;
第二滤波支路,与所述公共腔耦合,由依次耦合的十个滤波腔组成,所述第二滤波支路的十个滤波腔与所述第一滤波支路的十个滤波腔对称设置。
其中,所述第一滤波支路的第二滤波腔与所述公共腔为一列且沿所述第一方向间隔设置;
所述第一滤波支路的第一滤波腔相对于所述公共腔向所述壳体在第一方向上的中分线远离,所述第一滤波支路的第一滤波腔与所述公共腔相交设置,且与所述第一滤波支路的第二滤波腔相邻设置;
所述第一滤波支路的第一滤波腔至第三滤波腔呈三角形设置,所述第一滤波支路的第三滤波腔中心在所述第一方向上的投影位于所述第一滤波支路的第一滤波腔中心和第二滤波腔中心在所述第一方向上的投影之间,所述第一滤波支路的第一滤波腔中心在所述第二方向上的投影位于所述第一滤波支路的第二滤波腔中心和第三滤波腔中心在所述第二方向上的投影之间;
所述第一滤波支路的第三滤波腔与第二滤波腔相交设置,且与所述第一滤波支路的第一滤波腔间隔设置;
所述第一滤波支路的第一滤波腔、第三滤波腔和第四滤波腔呈三角形设置。
其中,所述第一滤波支路的第四滤波腔、第六滤波腔、第七滤波腔和第十滤波腔为一列且沿所述第二方向依次排列;
所述第一滤波支路的第四滤波腔与第一滤波腔相交设置,且与所述第一滤波支路的第三滤波腔相邻设置;
所述第一滤波支路的第三滤波腔至第五滤波腔呈三角形设置,所述第一滤波支路的第五滤波腔中心在所述第一方向上的投影位于所述第一滤波支路的第三滤波腔中心和第四滤波腔中心在所述第一方向上的投影之间,所述第一滤波支路的第四滤波腔中心在所述第二方向上的投影位于所述第一滤波支路的第五滤波腔中心和第三滤波腔中心在所述第二方向上的投影之间;
所述第一滤波支路的第五滤波腔与第六滤波腔相交设置,且与所述第一滤波支路的第三滤波腔相邻设置。
其中,所述第一滤波支路的第八滤波腔分别与第五滤波腔和第七滤波腔相邻设置;
所述第一滤波支路的第八滤波腔和第九滤波腔为一列且沿所述第二方向依次排列;
所述第一滤波支路的第九滤波腔与第八滤波腔相交设置,且与所述第一滤波支路的第十滤波腔相邻设置;
所述第一滤波支路的第七滤波腔与第十滤波腔相交设置。
其中,所述第一滤波支路的第一滤波腔与第三滤波腔之间、第一滤波腔与第四滤波腔之间、第四滤波腔与第六滤波腔之间、第七滤波腔与第九滤波腔之间以及第七滤波腔与第十滤波腔之间分别感性交叉耦合,以形成所述第一滤波支路的五个感性交叉耦合零点。
其中,所述第一滤波支路的带宽范围为:823-881MHz。
其中,所述第二滤波支路的第一滤波腔与所述公共腔相交设置,所述第二滤波支路的第四滤波腔与所述第一滤波支路的第四滤波腔相邻设置,所述第二滤波支路的第七滤波腔与所述第一滤波支路的第七滤波腔相邻设置。
其中,所述第二滤波支路的第一滤波腔与第三滤波腔之间、第四滤波腔与第六滤波腔之间以及第七滤波腔与第九滤波腔之间分别容性交叉耦合,所述第二滤波支路的第一滤波腔与第四滤波腔之间以及第七滤波腔与第十滤波腔之间分别感性交叉耦合,以形成所述第二滤波支路的五个交叉耦合零点。
其中,所述第二滤波支路的带宽范围为:886-946MHz。
本申请实施例还提供了一种通信设备,该通信设备包括天线和与所述天线连接的射频单元,所述射频单元包括上述的滤波器,用于对射频信号进行滤波。
区别于现有技术的情况,本申请的第二滤波支路的十个滤波腔与第一滤波支路的十个滤波腔对称设置,便于设计,能够利用同一模具生产,简化滤波器的生产工艺,降低成本;另外,第一滤波支路和第二滤波支路均与公共腔耦合,共用抽头,因此减少滤波器的抽头数量,减少抽头所占用滤波器的空间,缩小滤波器的体积,降低成本。此外,第一滤波支路的十个滤波腔形成五个感性交叉耦合零点,仅使用感性交叉耦合,从而第一滤波支路的交叉耦合所需物料可以保持一致,减少物料的种类,加工方便。
附图说明
为了更清楚地说明本申请实施例或现有技术中的技术方案,下面将对实施例中所需要使用的附图作简单地介绍,显而易见地,下面描述中的附图仅仅是本申请的一些实施例,对于本领域普通技术人员来讲,在不付出创造性劳动的前提下,还可以根据这些附图获得其他的附图。
图1是本申请提供的滤波器一实施例的结构示意图;
图2是本申请提供的第一滤波支路的拓扑结构示意图;
图3是本申请提供的滤波器的仿真结果示意图;
图4是本申请提供的第二滤波支路的拓扑结构示意图;
图5是本申请提供的通信设备一实施例的结构示意图。
具体实施方式
下面结合附图和实施例,对本申请作进一步的详细描述。特别指出的是,以下实施例仅用于说明本申请,但不对本申请的范围进行限定。同样的,以下实施例仅为本申请的部分实施例而非全部实施例,本领域普通技术人员在没有作出创造性劳动前提下所获得的所有其它实施例,都属于本申请保护的范围。
本申请的说明书和权利要求书及上述附图中的术语“第一”、“第二”、“第三”、“第四”等(如果存在)是用于区别类似的对象,而不必用于描述特定的顺序或先后次序。应该理解这样使用的数据在适当情况下可以互换,以便这里描述的本申请的实施例,例如能够以除了在这里图示或描述的那些以外的顺序实施。此外,术语“包括”和“具有”以及他们的任何变形,意图在于覆盖不排他的包含,例如,包含了一系列步骤或单元的过程、方法、系统、产品或设备不必限于清楚地列出的那些步骤或单元,而是可包括没有清楚地列出的或对于这些过程、方法、产品或设备固有的其它步骤或单元。
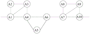
请参阅图1,图1是本申请提供的滤波器一实施例的结构示意图。本实施例的滤波器包括壳体11、公共腔12、第一滤波支路13和第二滤波支路14,壳体11具有第一方向L1和与第一方向L1垂直的第二方向L2,第一方向L1可以为壳体11的长度方向,第二方向L2可以为壳体11的宽度方向。
如图1所示,公共腔12设置在壳体11上,第一滤波支路13与公共腔12耦合,第二滤波支路14与公共腔12耦合,即第一滤波支路13和第二滤波支路14共用抽头,因此减少滤波器的抽头数量,减少抽头所占用滤波器的空间,缩小滤波器的体积,降低成本。
其中,第一滤波支路13由依次耦合的十个滤波腔组成,第一滤波支路13的十个滤波腔为第一滤波支路13的第一滤波腔A1、第二滤波腔A2、第三滤波腔A3、第四滤波腔A4、第五滤波腔A5、第六滤波腔A6、第七滤波腔A7、第八滤波腔A8、第九滤波腔A9和第十滤波腔A10;第一滤波支路13的十个滤波腔形成五个感性交叉耦合零点,为纯感性交叉耦合,仅使用感性交叉耦合,从而第一滤波支路13的交叉耦合所需物料可以保持一致,减少物料的种类,降低滤波器的复杂度。
第二滤波支路14由依次耦合的十个滤波腔组成,第二滤波支路14的十个滤波腔为第二滤波支路14的第一滤波腔B1、第二滤波腔B2、第三滤波腔B3、第四滤波腔B4、第五滤波腔B5、第六滤波腔B6、第七滤波腔B7、第八滤波腔B8、第九滤波腔B9和第十滤波腔B10。第二滤波支路14的十个滤波腔与第一滤波支路13的十个滤波腔对称设置,即第二滤波支路14的十个滤波腔基于中分线L与第一滤波支路13的十个滤波腔对称设置,便于设计,能够利用同一模具生产,简化滤波器的生产工艺,降低成本。
如图1所示,第一滤波支路13的第二滤波腔A2、公共腔12和第二滤波支路14的第二滤波腔B2为一列且沿第一方向L1间隔设置;第一滤波支路13的第一滤波腔A1相对于公共腔12向壳体11在第一方向L1上的中分线L远离,第一滤波支路13的第一滤波腔A1与公共腔12相交设置,且与第一滤波支路13的第二滤波腔A2相邻设置。第一滤波支路13的第一滤波腔A1与公共腔12相交设置,以形成相交点D和E,第一滤波腔A1和公共腔12相交位置为耦合窗口(图未示),该耦合窗口的宽度等于相交点D和E之间的距离。通过滤波腔之间的相交设置,避免了传统滤波器中耦合的两个滤波腔之间需设置隔离墙,然后再在隔离墙上开设耦合窗口,减少了物料,加工方便,节省成本;此外,缩减了滤波器中耦合的两个滤波腔之间的距离,提高两个滤波腔之间耦合强度。其他的两个滤波腔之间相交设置至少具有相同的有益效果,不再一一赘述。
第一滤波支路13的第一滤波腔A1至第三滤波腔A3呈三角形设置,第一滤波支路13的第三滤波腔A3中心在第一方向L1上的投影位于第一滤波支路13的第一滤波腔A1中心和第二滤波腔A2中心在第一方向L1上的投影之间,第一滤波支路13的第一滤波腔A1中心在第二方向L2上的投影位于第一滤波支路13的第二滤波腔A2中心和第三滤波腔A3中心在第二方向L2上的投影之间;第一滤波支路13的第三滤波腔A3与第二滤波腔A2相交设置,且与第一滤波支路13的第一滤波腔A1间隔设置。第一滤波支路13的第一滤波腔A1、第三滤波腔A3和第四滤波腔呈三角形设置,第一滤波腔A1中心在第一方向L1上的投影位于第三滤波腔A3中心和第四滤波腔A4中心在第一方向L1上的投影之间,第三滤波腔A3中心在第二方向L2上的投影位于第一滤波腔A1中心和第四滤波腔A4中心在第二方向L2上的投影之间。第一滤波支路13的第四滤波腔A4、第六滤波腔A6、第七滤波腔A7和第十滤波腔A10为一列且沿第二方向依次排列,规则排列,便于设计,缩小滤波器的体积。第一滤波支路13的第四滤波腔A4与第一滤波腔A1相交设置,且与第一滤波支路13的第三滤波腔A3相邻设置;第一滤波支路13的第三滤波腔A3至第五滤波腔A5呈三角形设置,第一滤波支路13的第五滤波腔A5中心在第一方向L1上的投影位于第一滤波支路13的第三滤波腔A3中心和第四滤波腔A4中心在第一方向L1上的投影之间,第一滤波支路13的第四滤波腔A4中心在第二方向L2上的投影位于第一滤波支路13的第五滤波腔A5中心和第三滤波腔A3中心在第二方向L2上的投影之间;第一滤波支路13的第五滤波腔A5与第六滤波腔A6相交设置,且与第一滤波支路13的第三滤波腔A3相邻设置。本实施例的两个滤波腔之间相邻设置,可以缩小两个滤波腔之间的距离,实现紧密排列,缩小滤波器的体积。
第一滤波支路13的第八滤波腔A8分别与第五滤波腔A5和第七滤波腔A7相邻设置;第一滤波支路13的第八滤波腔A8和第九滤波腔A9为一列且沿第二方向L2依次排列;第一滤波支路13的第九滤波腔A9与第八滤波腔A8相交设置,且与第一滤波支路13的第十滤波腔A10相邻设置;第一滤波支路13的第七滤波腔A7与第十滤波腔A10相交设置。
请进一步参见图1和图2所示,图2是本申请提供的第一滤波支路的拓扑结构示意图,第一滤波支路13的第一滤波腔A1与第三滤波腔A3之间、第一滤波腔A1与第四滤波腔A4之间、第四滤波腔A4与第六滤波腔A6之间、第七滤波腔A7与第九滤波腔A9之间以及第七滤波腔A7与第十滤波腔A10之间分别感性交叉耦合,以形成第一滤波支路13的五个感性交叉耦合零点。通常感性交叉耦合元件可以为金属耦合筋,也即第一滤波腔A1与第三滤波腔A3之间设置有金属耦合筋。其中,第一滤波支路13通过设置五个感性交叉耦合零点实现零点抑制,以使第一滤波支路13达到设计要求,便于调试。
其中,交叉耦合零点也称为传输零点。传输零点是滤波器传输函数等于零,即在传输零点对应的频点上电磁能量不能通过网络,因而起到完全隔离作用,对通带外的信号起到抑制作用,能更好的实现多个通带间的高度隔离。
其中,壳体11进一步设置有第一端口(图未示)和第二端口(图未示),第一滤波支路13的第十滤波腔A10与第一端口耦合,第二滤波支路14的第十滤波腔B10与第二端口耦合。其中,第一端口和第二端口均可以为滤波器的抽头。
在第一滤波支路13中,公共腔12与第一滤波腔A1之间的耦合带宽范围为:56-67MHz;第一滤波腔A1与第二滤波腔A2之间的耦合带宽范围为:9-15MHz;第一滤波腔A1与第三滤波腔A3之间的耦合带宽范围为:32-41MHz;第一滤波腔A1与第四滤波腔A4之间的耦合带宽范围为:25-32MHz;第二滤波腔A2与第三滤波腔A3之间的耦合带宽范围为:0-4MHz;第三滤波腔A3与第四滤波腔A4之间的耦合带宽范围为:20-27MHz;第四滤波腔A4与第五滤波腔A5之间的耦合带宽范围为:21-29MHz;第四滤波腔A4与第六滤波腔A6之间的耦合带宽范围为:13-20MHz;第五滤波腔A5与第六滤波腔A6之间的耦合带宽范围为:21-28MHz;第六滤波腔A6与第七滤波腔A7之间的耦合带宽范围为:26-34MHz;第七滤波腔A7与第八滤波腔A8之间的耦合带宽范围为:14-20MHz;第七滤波腔A7与第九滤波腔A9之间的耦合带宽范围为:21-28MHz;第七滤波腔A7与第十滤波腔A10之间的耦合带宽范围为:10-16MHz;第八滤波腔A8与第九滤波腔A9之间的耦合带宽范围为:12-18MHz;第九滤波腔A9与第十滤波腔A10之间的耦合带宽范围为:42-51MHz;第十滤波腔A10与第一端口之间的耦合带宽范围为:56-67MHz。
第一滤波支路13的第一滤波腔A1至第十滤波腔A10的谐振频率依次位于以下范围内:850-852MHz、880-882MHz、868-870MHz、847-849MHz、866-868MHz、848-850MHz、847-849MHz、875-877MHz、857-859MHz以及850-852MHz。
因此,本实施例的第一滤波支路13的带宽位于823-881MHz的范围内,能够精确地控制第一滤波支路13的带宽,满足滤波器的设计要求。
如图1所示,第二滤波支路14的第一滤波腔B1相对于公共腔12向壳体11在第一方向L1上的中分线L远离,第二滤波支路14的第一滤波腔B1与公共腔12相交设置,且与第二滤波支路14的第二滤波腔B2相邻设置。第二滤波支路14的第一滤波腔B1至第三滤波腔B3呈三角形设置,第二滤波支路14的第三滤波腔B3中心在第一方向L1上的投影位于第二滤波支路14的第一滤波腔B1中心和第二滤波腔B2中心在第一方向L1上的投影之间,第二滤波支路14的第一滤波腔B1中心在第二方向L2上的投影位于第二滤波支路14的第二滤波腔B2中心和第三滤波腔B3中心在第二方向L2上的投影之间;第二滤波支路14的第三滤波腔B3与第二滤波腔B2相交设置,且与第二滤波支路14的第一滤波腔B1间隔设置。第二滤波支路14的第一滤波腔B1、第三滤波腔B3和第四滤波腔呈三角形设置,第一滤波腔B1中心在第一方向L1上的投影位于第三滤波腔B3中心和第四滤波腔B4中心在第一方向L1上的投影之间,第三滤波腔B3中心在第二方向L2上的投影位于第一滤波腔B1中心和第四滤波腔B4中心在第二方向L2上的投影之间。第二滤波支路14的第四滤波腔B4、第六滤波腔B6、第七滤波腔B7和第十滤波腔B10为一列且沿第二方向依次排列,规则排列,便于设计,缩小滤波器的体积。第二滤波支路14的第四滤波腔B4与第一滤波腔B1相交设置,且与第二滤波支路144的第三滤波腔B3相邻设置;第二滤波支路14的第三滤波腔B3至第五滤波腔B5呈三角形设置,第二滤波支路14的第五滤波腔B5中心在第一方向L1上的投影位于第二滤波支路14的第三滤波腔B3中心和第四滤波腔B4中心在第一方向L1上的投影之间,第二滤波支路14的第四滤波腔B4中心在第二方向L2上的投影位于第二滤波支路14的第五滤波腔B5中心和第三滤波腔B3中心在第二方向L2上的投影之间;第二滤波支路14的第五滤波腔B5与第六滤波腔B6相交设置,且与第二滤波支路14的第三滤波腔B3相邻设置。本实施例的两个滤波腔之间相邻设置,可以缩小两个滤波腔之间的距离,实现紧密排列,缩小滤波器的体积。
第二滤波支路14的第八滤波腔B8分别与第五滤波腔B5和第七滤波腔B7相邻设置;第二滤波支路14的第八滤波腔B8和第九滤波腔B9为一列且沿第二方向L2依次排列;第二滤波支路14的第九滤波腔B9与第八滤波腔B8相交设置,且与第二滤波支路14的第十滤波腔B10相邻设置;第二滤波支路14的第七滤波腔B7与第十滤波腔B10相交设置。第二滤波支路14的第四滤波腔B4与第一滤波支路13的第四滤波腔A4相邻设置,第二滤波支路14的第七滤波腔B7与第一滤波支路13的第七滤波腔A7相邻设置。
请进一步参见图1和4所示,图4是本申请提供的第二滤波支路的拓扑结构示意图,第二滤波支路14的第一滤波腔B1与第三滤波腔B3之间、第四滤波腔B4与第六滤波腔B6之间以及第七滤波腔B7与第九滤波腔B9之间分别容性交叉耦合,第二滤波支路14的第一滤波腔B1与第四滤波腔B4之间以及第七滤波腔B7与第十滤波腔B10之间分别感性交叉耦合,以形成第二滤波支路14的五个交叉耦合零点。通常容性交叉耦合元件可以为飞杆,也即第一滤波腔B1与第三滤波腔B3之间设置有飞杆。其中,第二滤波支路14通过设置五个交叉耦合零点实现零点抑制,以使第二滤波支路14达到设计要求,便于调试。
如图1所示,第一滤波支路13的第一滤波腔A1至第六滤波腔A6呈反3字形设置,第一滤波支路13的第五滤波腔A5至第十滤波腔A10呈反5字形设置;第二滤波支路14的第一滤波腔B1至第六滤波腔B6呈3字形设置,第二滤波支路14的第五滤波腔B5至第十滤波腔B10呈反5字形设置,以实现第二滤波支路14的十个滤波腔与第一滤波支路13的十个滤波腔对称设置,在壳体11的第一方向L1和第二方向L2的长度固定的情况下,本申请能够将不同带宽的第一滤波支路13和第二滤波支路14以对称的方式设置在壳体11内,避免设置多个滤波器,进而减少滤波器所占用的空间。
在第二滤波支路14中,公共腔12与第一滤波腔B1之间的耦合带宽范围为:59-70MHz;第一滤波腔B1与第二滤波腔B2之间的耦合带宽范围为:26-34MHz;第一滤波腔B1与第三滤波腔B3之间的耦合带宽范围为:(-43)-(-34)MHz;第一滤波腔B1与第四滤波腔B4之间的耦合带宽范围为:9-14MHz;第二滤波腔B2与第三滤波腔B3之间的耦合带宽范围为:10-16MHz;第三滤波腔B3与第四滤波腔B4之间的耦合带宽范围为:28-36MHz;第四滤波腔B4与第五滤波腔B5之间的耦合带宽范围为:22-29MHz;第四滤波腔B4与第六滤波腔B6之间的耦合带宽范围为:(-21)-(-14)MHz;第五滤波腔B5与第六滤波腔B6之间的耦合带宽范围为:22-29MHz;第六滤波腔B6与第七滤波腔B7之间的耦合带宽范围为:28-36MHz;第七滤波腔B7与第八滤波腔B8之间的耦合带宽范围为:6-11MHz;第七滤波腔B7与第九滤波腔B9之间的耦合带宽范围为:(-28)-(-21)MHz;第七滤波腔B7与第十滤波腔B10之间的耦合带宽范围为:24-32MHz;第八滤波腔B8与第九滤波腔B9之间的耦合带宽范围为:3-8MHz;第九滤波腔B9与第十滤波腔B10之间的耦合带宽范围为:37-46MHz;第十滤波腔B10与第一端口之间的耦合带宽范围为:59-70MHz。
第二滤波支路14的第一滤波腔B1至第十滤波腔B10的谐振频率依次位于以下范围内:916-918MHz、889-891MHz、912-914MHz、918-920MHz、899-901MHz、918-920MHz、919-921MHz、886-888MHz、897-899MHz以及916-918MHz。
因此,本实施例的第二滤波支路14的带宽位于886-946MHz的范围内,能够精确地控制第二滤波支路14的带宽,满足滤波器的设计要求。
如图3所示,图3是本申请提供的滤波器的仿真结果示意图。第一滤波支路13仿真带宽如图3中的频带曲线31,可得到第一滤波支路13仿真的带宽位于823-881MHz的范围内;第二滤波支路14仿真带宽如图3中的频带曲线32,可得到第二滤波支路14仿真的带宽位于886-946MHz的范围内,符合滤波器的设计要求,能够精准控制第一滤波支路13和第二滤波支路14的带宽。第一滤波支路13在频段范围为887.5-892.5MHz时,抑制大于102dB;第一滤波支路13在频段范围为882.5-887.5MHz时,抑制大于47dB,即第一滤波支路13在第二滤波支路14的频带范围时抑制大于47dB;第二滤波支路14在频段范围为875.5-880.5MHz时,抑制大于87dB;第二滤波支路14在频段范围为880.5-885.5MHz时,抑制大于32dB,即第二滤波支路14在第一滤波支路13的频带范围时抑制大于32dB;因此能够提高第一滤波支路13和第二滤波支路14的带外抑制等性能,提高第一滤波支路13和第二滤波支路14之间的隔离度,进而提高本申请滤波器的射频性能指标。
需要注意的是,本实施例的两个或者多个交叉耦合零点的参数(如频点及抑制)可能相同;在仿真图中,相同参数的交叉耦合零点展示为同一个交叉耦合零点。
本实施例的第一滤波支路13和第二滤波支路14设置在同一滤波器内,能够提高滤波器的空间利用率,避免本实施例的第一滤波支路13和第二滤波支路14对应设置两个滤波器。
本实施例的第一滤波支路13和第二滤波支路14均可以为发射滤波支路或者接收滤波支路。
本申请还提供一种通信设备,如图5所示,图5是本申请提供的通信设备一实施例的结构示意图。本实施例的通信设备包括天线62和射频单元61。其中,天线62和射频单元61可以安装于基站上,还可以安装在路灯等物体上;天线62与射频单元(Remote Radio Unit,RRU)61连接。该射频单元61包括上述实施例所揭示的滤波器,用于对射频信号进行滤波。
在其他的一些实施例中,射频单元61可以集成到天线62进而形成有源天线单元(Active Antenna Unit,AAU)。
需要说明的是,本申请的一些实施方式称本申请为滤波器,也可以称为合路器,也即双频合路器,在其他一些实施方式中也可以被称为双工器。
以上仅为本申请的实施方式,并非因此限制本申请的专利范围,凡是利用本申请说明书及附图内容所作的等效结构或等效流程变换,或直接或间接运用在其他相关的技术领域,均同理包括在本申请的专利保护范围内。
Claims (10)
1.一种滤波器,其特征在于,所述滤波器包括:
壳体,具有第一方向和与所述第一方向垂直的第二方向;
公共腔,设置在所述壳体上;
第一滤波支路,与所述公共腔耦合,由依次耦合的十个滤波腔组成,所述第一滤波支路的十个滤波腔形成五个感性交叉耦合零点;
第二滤波支路,与所述公共腔耦合,由依次耦合的十个滤波腔组成,所述第二滤波支路的十个滤波腔与所述第一滤波支路的十个滤波腔对称设置。
2.根据权利要求1所述的滤波器,其特征在于,
所述第一滤波支路的第二滤波腔与所述公共腔为一列且沿所述第一方向间隔设置;
所述第一滤波支路的第一滤波腔相对于所述公共腔向所述壳体在第一方向上的中分线远离,所述第一滤波支路的第一滤波腔与所述公共腔相交设置,且与所述第一滤波支路的第二滤波腔相邻设置;
所述第一滤波支路的第一滤波腔至第三滤波腔呈三角形设置,所述第一滤波支路的第三滤波腔中心在所述第一方向上的投影位于所述第一滤波支路的第一滤波腔中心和第二滤波腔中心在所述第一方向上的投影之间,所述第一滤波支路的第一滤波腔中心在所述第二方向上的投影位于所述第一滤波支路的第二滤波腔中心和第三滤波腔中心在所述第二方向上的投影之间;
所述第一滤波支路的第三滤波腔与第二滤波腔相交设置,且与所述第一滤波支路的第一滤波腔间隔设置;
所述第一滤波支路的第一滤波腔、第三滤波腔和第四滤波腔呈三角形设置。
3.根据权利要求2所述的滤波器,其特征在于,
所述第一滤波支路的第四滤波腔、第六滤波腔、第七滤波腔和第十滤波腔为一列且沿所述第二方向依次排列;
所述第一滤波支路的第四滤波腔与第一滤波腔相交设置,且与所述第一滤波支路的第三滤波腔相邻设置;
所述第一滤波支路的第三滤波腔至第五滤波腔呈三角形设置,所述第一滤波支路的第五滤波腔中心在所述第一方向上的投影位于所述第一滤波支路的第三滤波腔中心和第四滤波腔中心在所述第一方向上的投影之间,所述第一滤波支路的第四滤波腔中心在所述第二方向上的投影位于所述第一滤波支路的第五滤波腔中心和第三滤波腔中心在所述第二方向上的投影之间;
所述第一滤波支路的第五滤波腔与第六滤波腔相交设置,且与所述第一滤波支路的第三滤波腔相邻设置。
4.根据权利要求3所述的滤波器,其特征在于,
所述第一滤波支路的第八滤波腔分别与第五滤波腔和第七滤波腔相邻设置;
所述第一滤波支路的第八滤波腔和第九滤波腔为一列且沿所述第二方向依次排列;
所述第一滤波支路的第九滤波腔与第八滤波腔相交设置,且与所述第一滤波支路的第十滤波腔相邻设置;
所述第一滤波支路的第七滤波腔与第十滤波腔相交设置;
所述第一滤波支路的第一滤波腔至第六滤波腔呈反3字形设置,所述第一滤波支路的第五滤波腔至第十滤波腔呈反5字形设置。
5.根据权利要求1-4任一项所述的滤波器,其特征在于,
所述第一滤波支路的第一滤波腔与第三滤波腔之间、第一滤波腔与第四滤波腔之间、第四滤波腔与第六滤波腔之间、第七滤波腔与第九滤波腔之间以及第七滤波腔与第十滤波腔之间分别感性交叉耦合,以形成所述第一滤波支路的五个感性交叉耦合零点。
6.根据权利要求5所述的滤波器,其特征在于,
所述第一滤波支路的带宽范围为:823-881MHz。
7.根据权利要求5所述的滤波器,其特征在于,所述第二滤波支路的第一滤波腔与所述公共腔相交设置,所述第二滤波支路的第四滤波腔与所述第一滤波支路的第四滤波腔相邻设置,所述第二滤波支路的第七滤波腔与所述第一滤波支路的第七滤波腔相邻设置;
所述第二滤波支路的第一滤波腔至第六滤波腔呈3字形设置,所述第二滤波支路的第五滤波腔至第十滤波腔呈5字形设置。
8.根据权利要求7所述的滤波器,其特征在于,
所述第二滤波支路的第一滤波腔与第三滤波腔之间、第四滤波腔与第六滤波腔之间以及第七滤波腔与第九滤波腔之间分别容性交叉耦合,所述第二滤波支路的第一滤波腔与第四滤波腔之间以及第七滤波腔与第十滤波腔之间分别感性交叉耦合,以形成所述第二滤波支路的五个交叉耦合零点。
9.根据权利要求8所述的滤波器,其特征在于,
所述第二滤波支路的带宽范围为:886-946MHz。
10.一种通信设备,其特征在于,所述通信设备包括天线和与所述天线连接的射频单元,所述射频单元包括权利要求1-9任一项所述的滤波器,用于对射频信号进行滤波。
Priority Applications (1)
| Application Number | Priority Date | Filing Date | Title |
|---|---|---|---|
| CN201922387602.8U CN211125967U (zh) | 2019-12-25 | 2019-12-25 | 一种滤波器及通信设备 |
Applications Claiming Priority (1)
| Application Number | Priority Date | Filing Date | Title |
|---|---|---|---|
| CN201922387602.8U CN211125967U (zh) | 2019-12-25 | 2019-12-25 | 一种滤波器及通信设备 |
Publications (1)
| Publication Number | Publication Date |
|---|---|
| CN211125967U true CN211125967U (zh) | 2020-07-28 |
Family
ID=71704495
Family Applications (1)
| Application Number | Title | Priority Date | Filing Date |
|---|---|---|---|
| CN201922387602.8U Active CN211125967U (zh) | 2019-12-25 | 2019-12-25 | 一种滤波器及通信设备 |
Country Status (1)
| Country | Link |
|---|---|
| CN (1) | CN211125967U (zh) |
Cited By (1)
| Publication number | Priority date | Publication date | Assignee | Title |
|---|---|---|---|---|
| CN113036355A (zh) * | 2019-12-25 | 2021-06-25 | 深圳市大富科技股份有限公司 | 一种滤波器及通信设备 |
-
2019
- 2019-12-25 CN CN201922387602.8U patent/CN211125967U/zh active Active
Cited By (1)
| Publication number | Priority date | Publication date | Assignee | Title |
|---|---|---|---|---|
| CN113036355A (zh) * | 2019-12-25 | 2021-06-25 | 深圳市大富科技股份有限公司 | 一种滤波器及通信设备 |
Similar Documents
| Publication | Publication Date | Title |
|---|---|---|
| CN211719756U (zh) | 一种滤波器及通信设备 | |
| CN211125967U (zh) | 一种滤波器及通信设备 | |
| CN211125984U (zh) | 一种滤波器及通信设备 | |
| CN211125985U (zh) | 一种滤波器及通信设备 | |
| CN211125965U (zh) | 一种滤波器及通信设备 | |
| CN211125972U (zh) | 一种滤波器及通信设备 | |
| CN211125968U (zh) | 一种滤波器及通信设备 | |
| CN211125971U (zh) | 一种滤波器及通信设备 | |
| CN211125976U (zh) | 一种滤波器及通信设备 | |
| CN211125966U (zh) | 一种滤波器及通信设备 | |
| CN211125969U (zh) | 一种滤波器及通信设备 | |
| CN113036355A (zh) | 一种滤波器及通信设备 | |
| CN211125981U (zh) | 一种滤波器及通信设备 | |
| CN113131145A (zh) | 一种滤波器及通信设备 | |
| CN113054346A (zh) | 一种滤波器及通信设备 | |
| CN113131132A (zh) | 一种滤波器及通信设备 | |
| CN113131136A (zh) | 一种滤波器及通信设备 | |
| CN113054341A (zh) | 通信设备及其滤波器 | |
| CN113054340A (zh) | 一种滤波器及通信设备 | |
| CN113054383A (zh) | 一种滤波器及通信设备 | |
| CN113054350A (zh) | 一种滤波器及通信设备 | |
| CN113036341A (zh) | 一种滤波器及通信设备 | |
| CN113054347A (zh) | 一种滤波器及通信设备 | |
| CN113036350A (zh) | 通信设备及其滤波器 | |
| CN113054376A (zh) | 一种滤波器及通信设备 |
Legal Events
| Date | Code | Title | Description |
|---|---|---|---|
| GR01 | Patent grant | ||
| GR01 | Patent grant | ||
| CP03 | Change of name, title or address | ||
| CP03 | Change of name, title or address |
Address after: 233000 building 4, national financial incubation Industrial Park, 17 Yannan Road, high tech Zone, Bengbu City, Anhui Province Patentee after: Dafu Technology (Anhui) Co., Ltd Address before: 518104 First, Second and Third Floors of A1, A2, A3 101, A4 of Shajing Street, Shajing Street, Baoan District, Shenzhen City, Guangdong Province Patentee before: SHENZHEN TATFOOK TECHNOLOGY Co.,Ltd. |