CN210033980U - Liquid conveying equipment based on vacuum check valve structure - Google Patents
Liquid conveying equipment based on vacuum check valve structure Download PDFInfo
- Publication number
- CN210033980U CN210033980U CN201920123267.8U CN201920123267U CN210033980U CN 210033980 U CN210033980 U CN 210033980U CN 201920123267 U CN201920123267 U CN 201920123267U CN 210033980 U CN210033980 U CN 210033980U
- Authority
- CN
- China
- Prior art keywords
- liquid
- storage tank
- liquid storage
- outlet
- check valve
- Prior art date
- Legal status (The legal status is an assumption and is not a legal conclusion. Google has not performed a legal analysis and makes no representation as to the accuracy of the status listed.)
- Expired - Fee Related
Links
- 239000007788 liquid Substances 0.000 title claims abstract description 185
- XLYOFNOQVPJJNP-UHFFFAOYSA-N water Substances O XLYOFNOQVPJJNP-UHFFFAOYSA-N 0.000 claims abstract description 55
- 238000001914 filtration Methods 0.000 claims abstract description 18
- 239000010865 sewage Substances 0.000 claims abstract description 8
- 230000002349 favourable effect Effects 0.000 abstract description 3
- 239000008187 granular material Substances 0.000 abstract description 3
- 238000012423 maintenance Methods 0.000 abstract description 3
- 238000000746 purification Methods 0.000 abstract description 3
- 238000000034 method Methods 0.000 description 9
- 230000001502 supplementing effect Effects 0.000 description 7
- 238000005086 pumping Methods 0.000 description 6
- 230000009471 action Effects 0.000 description 4
- 230000000694 effects Effects 0.000 description 4
- 238000002347 injection Methods 0.000 description 3
- 239000007924 injection Substances 0.000 description 3
- 238000010586 diagram Methods 0.000 description 2
- 238000000605 extraction Methods 0.000 description 2
- 239000002365 multiple layer Substances 0.000 description 2
- 239000002245 particle Substances 0.000 description 2
- 230000008569 process Effects 0.000 description 2
- 238000007789 sealing Methods 0.000 description 2
- 230000005540 biological transmission Effects 0.000 description 1
- 230000008859 change Effects 0.000 description 1
- 239000012530 fluid Substances 0.000 description 1
- 238000002637 fluid replacement therapy Methods 0.000 description 1
- 238000012986 modification Methods 0.000 description 1
- 230000004048 modification Effects 0.000 description 1
- 230000003020 moisturizing effect Effects 0.000 description 1
- 239000013049 sediment Substances 0.000 description 1
Images
Landscapes
- Structures Of Non-Positive Displacement Pumps (AREA)
Abstract
The utility model provides a liquid conveying device based on a vacuum check valve structure, which comprises a liquid storage tank, wherein the top end of the liquid storage tank is provided with a water replenishing valve, and the bottom end of the liquid storage tank is provided with a sewage draining outlet; an exhaust valve is arranged at the upper part of the liquid storage tank, a liquid outlet is arranged at the lower part of the liquid storage tank, the liquid outlet is connected with a centrifugal pump through a drain pipe, and a filter screen for water outlet is arranged in the liquid storage tank corresponding to the liquid outlet; the upper part of the liquid storage tank is also provided with a liquid inlet which is communicated with a drainage tube, the drainage tube extends downwards to the position below the liquid level of the liquid to be pumped, and the tail end of the drainage tube is provided with a liquid drainage filtering unit. The utility model discloses the creation utilizes the vacuum negative pressure condition to take liquid out after the large granule object is detached in the multiple-stage filtration, and the liquid of transport is through the purification back of at least two-stage, just through the centrifugal pump, does not have the setting of water pump between the centrifugal pump, has improved equipment life greatly, and is favorable to the high-efficient continuous operation of water pump, forms a convenient and safe, the little liquid transportation system of maintenance volume.
Description
Technical Field
The invention belongs to the technical field of liquid transmission and filtration, and particularly relates to liquid conveying equipment based on a vacuum check valve structure.
Background
The liquid inlet check valve structure of the traditional common centrifugal pump is provided with a self-filling type and a bottom valve type, the self-filling type can save the time for filling liquid and exhausting gas, can ensure that the liquid suction pipe is filled with liquid all the time, and the water pump can be automatically and rapidly started. But a large amount of the total assembly area and volume of the pump is occupied. The bottom valve can ensure that liquid can only enter the water suction pipe from the liquid supply tank and can not flow back, and the liquid in the water suction pipe can not flow into the water tank due to the action of the water suction valve, but the reliability of the liquid suction mode is influenced by the quality of the bottom valve of the water suction pump. Such as: the liquid in the water suction pipe can slowly flow into the liquid supply pool after the water pump is not closed tightly and leaks liquid, and the liquid does not exist in the water suction pipe after a long time, so that the water pump still needs to be supplemented manually when being started.
Disclosure of Invention
In view of the above, the present invention provides a liquid delivery device based on a vacuum check valve structure, which is designed to overcome the above-mentioned drawbacks of the prior art.
In order to achieve the purpose, the technical scheme of the invention is realized as follows:
a liquid conveying device based on a vacuum check valve structure comprises a liquid storage tank, wherein a water replenishing valve is arranged at the top end of the liquid storage tank, and a sewage draining outlet is arranged at the bottom end of the liquid storage tank;
an exhaust valve is arranged at the upper part of the liquid storage tank, a liquid outlet is arranged at the lower part of the liquid storage tank, the liquid outlet is connected with a centrifugal pump through a drain pipe, and a filter screen for water outlet is arranged in the liquid storage tank corresponding to the liquid outlet;
the upper part of the liquid storage tank is also provided with a liquid inlet which is communicated with a drainage tube, the drainage tube extends downwards to the position below the liquid level of the liquid to be pumped, and the tail end of the drainage tube is provided with a liquid drainage filtering unit.
Furthermore, the water replenishing valve and the exhaust valve have two states of opening and closing.
Furthermore, a plug is detachably arranged at the sewage discharge port.
Furthermore, the filter screen is obliquely arranged and integrally covers the area where the liquid outlet is located.
Further, a vacuum liquid level indicator is arranged on the liquid storage tank.
A liquid conveying method based on a vacuum check valve structure,
the method comprises the steps of firstly injecting water into a liquid storage tank through a water supplementing valve, after the liquid level is raised to the height position of an exhaust valve on the upper portion of the liquid storage tank, closing the water supplementing valve and the exhaust valve, then opening a centrifugal pump, gradually pumping out the liquid injected into the liquid storage tank, forming vacuum inside the liquid storage tank, sucking the liquid to be pumped into the liquid storage tank by utilizing the vacuum principle, and performing primary filtration through a liquid drainage filtering unit on a drainage tube before sucking the liquid into the liquid storage tank, wherein the liquid to be pumped is secondarily purified and filtered by a filtering net arranged inside the liquid storage tank before being discharged.
Compared with the prior art, the invention has the following advantages:
the invention has simple structure, unique conception and high-efficiency vacuum pumping and liquid supplementing capacity. Utilize vacuum negative pressure condition to take out behind the large granule object is got rid of with liquid through the multiple-layer filtering, the liquid of carrying is through the purification back of at least two-stage, just through the centrifugal pump, does not have the setting of water pump between the centrifugal pump, has improved equipment life greatly, and is favorable to the high-efficient continuous operation of water pump, forms a convenient and safe, the little liquid conveying system of maintenance volume.
Drawings
The accompanying drawings, which are incorporated in and constitute a part of this specification, illustrate embodiments of the invention and, together with the description, serve to explain the invention without limitation. In the drawings:
FIG. 1 is a schematic structural diagram of the present invention;
FIG. 2 is a schematic diagram of a water injection process according to an embodiment of the present invention;
FIG. 3 is a schematic view illustrating water being injected to the exhaust valve according to the embodiment of the present invention;
FIG. 4 is a schematic view of the present invention illustrating water pumping from the inside of the liquid storage tank to the outside;
FIG. 5 is a schematic view of the draft tube drawing water from the feed reservoir in accordance with an embodiment of the present invention.
Description of reference numerals:
1-a liquid storage tank; 2-a water replenishing valve; 3-a sewage draining outlet; 4-an exhaust valve; 5-a centrifugal pump; 6, filtering a screen; 7-a drainage tube; 8-a liquid drainage filtration unit; 9-liquid supply pool.
Detailed Description
It should be noted that the embodiments and features of the embodiments of the present invention may be combined with each other without conflict.
In the description of the present invention, it is to be understood that the terms "central," "longitudinal," "lateral," "upper," "lower," "front," "rear," "left," "right," "vertical," "horizontal," "top," "bottom," "inner," "outer," and the like are used in the orientation or positional relationship indicated in the drawings, which are merely for convenience in describing the invention and to simplify the description, and are not intended to indicate or imply that the referenced device or element must have a particular orientation, be constructed and operated in a particular orientation, and are therefore not to be construed as limiting the invention. Furthermore, the terms "first", "second", etc. are used for descriptive purposes only and are not to be construed as indicating or implying relative importance or implicitly indicating the number of technical features indicated. Thus, a feature defined as "first," "second," etc. may explicitly or implicitly include one or more of that feature. In the description of the invention, the meaning of "a plurality" is two or more unless otherwise specified.
In the description of the invention, it is to be noted that, unless otherwise explicitly specified or limited, the terms "mounted", "connected" and "connected" are to be construed broadly, e.g. as being fixed or detachable or integrally connected; can be mechanically or electrically connected; they may be connected directly or indirectly through intervening media, or they may be interconnected between two elements. The specific meaning of the above terms in the creation of the present invention can be understood by those of ordinary skill in the art through specific situations.
The invention will be described in detail with reference to the following examples.
A liquid conveying device based on a vacuum check valve structure is shown in figures 1 to 5 and comprises a liquid storage tank 1, wherein a water replenishing valve 2 is arranged at the top end of the liquid storage tank, and a sewage discharge outlet 3 is arranged at the bottom end of the liquid storage tank;
an exhaust valve 4 is arranged at the upper part of the liquid storage tank, a liquid outlet is arranged at the lower part of the liquid storage tank, the liquid outlet is connected with a centrifugal pump 5 through a drain pipe, and a filter screen 6 for water outlet is arranged in the liquid storage tank corresponding to the position of the liquid outlet;
the upper part of the liquid storage tank is also provided with a liquid inlet which is communicated with a drainage tube 7, the drainage tube extends downwards to the position below the liquid level of liquid needing to be pumped in a liquid supply pool 9, and the tail end of the drainage tube is provided with a liquid drainage filtering unit 8. Under vacuum negative pressure, liquid is introduced into the liquid storage tank through the drainage tube, and primary filtration can be performed through the liquid drainage filtering unit when the liquid enters the drainage tube.
Preferably, the water replenishing valve and the exhaust valve have two states of opening and closing. Specifically, the water replenishing valve may include a water inlet, and a plug or a cover that can be opened and closed is installed on the water inlet. The exhaust valve can adopt a one-way exhaust valve, and can also be provided with a cover body, so that the sealing performance of the water replenishing valve and the exhaust valve can be reliably ensured when a vacuum state is formed.
Preferably, the end cap is installed to sewage drain department detachable, when needing the clearance liquid storage pot, only needs to pull down the end cap, adds water through the moisturizing valve, washes the bottom of liquid storage pot, and the sediment filth of discharge.
Preferably, the filter screen is obliquely arranged to integrally cover the area where the liquid outlet is located, generally, the highest point of the filter screen is located in the middle of the height of the liquid storage tank, and the lowest point of the filter screen is connected to the middle of the bottom of the liquid storage tank, so that the obliquely arranged filter screen can adsorb suspended matters or particles in liquid by the filter screen to the greatest extent along with the descending of the liquid level. Because of the suction effect of the centrifugal pump, the liquid in the liquid storage tank tends to be close to the liquid outlet (including suspended matters or particles in the liquid), so that the liquid entering the centrifugal pump can be filtered, purified and filtered again, and the dirt suspended in the liquid can be uniformly coated on the filter screen from top to bottom in sequence. The filter structure design mode in this conveying equipment, than the filter screen of putting flatly, the effect is better.
When the liquid is added to the liquid level of the exhaust valve port through the water supplementing valve, the liquid is stopped from being added, and then the liquid in the device is reduced to a certain height in the tank under the action of the water pump (centrifugal pump), so that vacuum negative pressure can be generated, and at the moment, the liquid to be pumped is sucked into the liquid storage tank under the action of the negative pressure and is sucked into the centrifugal pump after passing through the filter screen.
Preferably, the liquid storage tank is provided with a vacuum liquid level indicator.
Liquid is poured into the liquid storage tank through the water replenishing valve, exhaust valve can play the exhaust effect at the water injection in-process, guarantee that liquid pours into the jar smoothly into, carry out the sealing process back to the liquid storage tank, take the liquid of injection out through the centrifugal pump, the liquid level descends in the liquid storage tank, produce the vacuum, form certain negative pressure space, under the atmospheric pressure effect, the liquid that needs the pump sending is impressed in the liquid storage tank through the drainage tube, when the centrifugal pump is liquid in the extraction jar in succession, the liquid height can descend again in the jar, thereby produce the negative pressure space once more, make inside liquid incessant flow in the liquid storage tank through the drainage tube, liquid extraction and fluid replacement reach the balance.
A liquid conveying method based on a vacuum check valve structure,
the method comprises the steps of firstly injecting water into a liquid storage tank through a water supplementing valve, after the liquid level is raised to the height position of an exhaust valve on the upper portion of the liquid storage tank, closing the water supplementing valve and the exhaust valve, then opening a centrifugal pump, gradually pumping out the liquid injected into the liquid storage tank, forming vacuum inside the liquid storage tank, sucking the liquid to be pumped into the liquid storage tank by utilizing the vacuum principle, and performing primary filtration through a liquid drainage filtering unit on a drainage tube before sucking the liquid into the liquid storage tank, wherein the liquid to be pumped is secondarily purified and filtered by a filtering net arranged inside the liquid storage tank before being discharged.
When liquid is conveyed, as shown in fig. 2, the exhaust valve is opened first, and then water is added from the water replenishing valve.
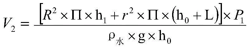
As shown in fig. 3, when the fluid level rises to the exhaust (vacuum level indicator) valve, the refill valve closes. The radius of the vacuum check valve body is set as R, and the radius of the drainage tube is set as R. The volume of the space above the liquid level in the vacuum check valve body is as follows:
V1’=R2×Π×h1
the volume of the drainage tube is as follows:
Vpipe=r2×Π×h0+r2×Π×L
The total volume of the cavity is then:
v Total ═ R2×Π×h1+r2×Π×(h0+L)
At this point pressure P1 is at the local standard atmospheric pressure.
As shown in fig. 4, after the centrifugal pump is turned on, liquid will be drawn out of the vacuum check valve body. At the moment, the pressure in the vacuum check valve is reduced, and the liquid in the water guide pipe moves upwards under the action of the external atmospheric pressure to balance the pressure change. When the liquid in the pipe rises to the critical value of the liquid level, the sum of the volume in the vacuum check valve body and the volume in the transverse pipe L is as follows:
V2=R2×Π×h2+r2×Π×L
the pressure P2 now equals the water column pressure of height h0,
i.e. P2=ρWater (W)×g×h0。
For a certain mass of ideal gas with constant temperature, the following equation of state can be obtained according to the ideal gas:
since the temperature T1-T2, V1-vtotal,
the following can be obtained: v total P1=V2P2
R-radius of vacuum check valve
r-radius of drainage tube
h 0-height of Water column
g-constant g ═ 9.8N/kg
As shown in FIG. 5, when the water pump continues to pump the liquid in the vacuum check valve, the volume of the space above the liquid level in the vacuum check valve exceeds the critical value V2To V2' (i.e., V)2’>V2) When the vacuum check valve is used, liquid in the drainage tube is sucked into the vacuum check valve from the liquid supply pool. The radius r of the drainage tube and the length L + h of the drainage tube can be known0Radius R of vacuum check valve body and liquid level h1When known, it can be found that2Height h under the condition2. In actual design at h2On the basis of the method, the safety allowable redundancy is added, so that the liquid to be pumped can be ensured to be sucked into a liquid storage tank (equivalent to a vacuum check valve) from a drainage tube, the cavitation of a water pump is prevented, and the liquid can be continuously and circularly supplied to the centrifugal pump. The method has strong feasibility in the implementation of specific projects.
The invention has simple structure but unique conception, and designs a set of liquid conveying equipment by imitating the structure of the vacuum check valve, but the technical personnel in the field can not easily apply the structure of the vacuum check valve (the non-vacuum check valve per se) to pumping equipment according to the prior art.
The equipment has the capacity of high-efficiency vacuum pumping and liquid supplementing. Utilize vacuum negative pressure condition to take out behind the large granule object is got rid of with liquid through the multiple-layer filtering, the liquid of carrying is through the purification back of at least two-stage, just through the centrifugal pump, does not have the setting of water pump between the centrifugal pump, has improved equipment life greatly, and is favorable to the high-efficient continuous operation of water pump, forms a convenient and safe, the little liquid conveying system of maintenance volume.
The above description is only for the purpose of illustrating the preferred embodiments of the present invention and should not be taken as limiting the invention, so that any modifications, equivalents, improvements and the like, which are within the spirit and principle of the present invention, should be included in the scope of the present invention.
Claims (5)
1. A liquid conveying equipment based on vacuum check valve structure which characterized in that: comprises a liquid storage tank, wherein the top end of the liquid storage tank is provided with a water replenishing valve, and the bottom end of the liquid storage tank is provided with a sewage draining outlet;
an exhaust valve is arranged at the upper part of the liquid storage tank, a liquid outlet is arranged at the lower part of the liquid storage tank, the liquid outlet is connected with a centrifugal pump through a drain pipe, and a filter screen for water outlet is arranged in the liquid storage tank corresponding to the liquid outlet;
the upper part of the liquid storage tank is also provided with a liquid inlet which is communicated with a drainage tube, the drainage tube extends downwards to the position below the liquid level of the liquid to be pumped, and the tail end of the drainage tube is provided with a liquid drainage filtering unit.
2. The liquid delivery apparatus based on vacuum check valve structure as claimed in claim 1, wherein: the water replenishing valve and the exhaust valve have opening and closing states.
3. The liquid delivery apparatus based on vacuum check valve structure as claimed in claim 1, wherein: and a plug is detachably arranged at the sewage discharge port.
4. The liquid delivery apparatus based on vacuum check valve structure as claimed in claim 1, wherein: the filter screen is obliquely arranged and integrally covers the area where the liquid outlet is located.
5. The liquid delivery apparatus based on vacuum check valve structure as claimed in claim 1, wherein: and a vacuum liquid level indicator is arranged on the liquid storage tank.
Priority Applications (1)
| Application Number | Priority Date | Filing Date | Title |
|---|---|---|---|
| CN201920123267.8U CN210033980U (en) | 2019-01-24 | 2019-01-24 | Liquid conveying equipment based on vacuum check valve structure |
Applications Claiming Priority (1)
| Application Number | Priority Date | Filing Date | Title |
|---|---|---|---|
| CN201920123267.8U CN210033980U (en) | 2019-01-24 | 2019-01-24 | Liquid conveying equipment based on vacuum check valve structure |
Publications (1)
| Publication Number | Publication Date |
|---|---|
| CN210033980U true CN210033980U (en) | 2020-02-07 |
Family
ID=69352367
Family Applications (1)
| Application Number | Title | Priority Date | Filing Date |
|---|---|---|---|
| CN201920123267.8U Expired - Fee Related CN210033980U (en) | 2019-01-24 | 2019-01-24 | Liquid conveying equipment based on vacuum check valve structure |
Country Status (1)
| Country | Link |
|---|---|
| CN (1) | CN210033980U (en) |
Cited By (1)
| Publication number | Priority date | Publication date | Assignee | Title |
|---|---|---|---|---|
| CN109667797A (en) * | 2019-01-24 | 2019-04-23 | 福建热心环保科技有限公司 | A kind of equipment for liquid transportation based on vacuum control check valve structure |
-
2019
- 2019-01-24 CN CN201920123267.8U patent/CN210033980U/en not_active Expired - Fee Related
Cited By (1)
| Publication number | Priority date | Publication date | Assignee | Title |
|---|---|---|---|---|
| CN109667797A (en) * | 2019-01-24 | 2019-04-23 | 福建热心环保科技有限公司 | A kind of equipment for liquid transportation based on vacuum control check valve structure |
Similar Documents
| Publication | Publication Date | Title |
|---|---|---|
| CN105148567A (en) | Floating down-flow type environmental-friendly oil absorber | |
| CN210033980U (en) | Liquid conveying equipment based on vacuum check valve structure | |
| CN209740693U (en) | Brake fluid vacuum intelligent filling equipment | |
| CN209083576U (en) | A kind of water-cooling apparatus of vacuum pump | |
| CN108869310A (en) | A gas-liquid separation device for centrifugal pump | |
| CN111573751A (en) | Filtering circulation water tank | |
| CN210021257U (en) | Oil-water separator is used in production of medical intermediate | |
| CN206874572U (en) | Vacant vacuum liquid pump | |
| CN220133055U (en) | Deep automatic drainage system | |
| CN109667797A (en) | A kind of equipment for liquid transportation based on vacuum control check valve structure | |
| CN207429926U (en) | For the bubble distributing air filtration unit of power plant water manufacturing system sweet-water tank | |
| CN215756824U (en) | Filter for sewage treatment | |
| CN209237427U (en) | A kind of gas fractionation unit | |
| CN212292865U (en) | Filtering circulation water tank | |
| CN205516653U (en) | Steam and water separator | |
| CN216703434U (en) | Waste water treatment device that draws water | |
| CN113757191A (en) | Water drainage device | |
| CN202789647U (en) | Siphoning decontamination device with centrifugal pump | |
| CN214577745U (en) | Suction tube type submerged pump capable of filling pump | |
| CN112112810A (en) | Pump priming system and method of centrifugal pump system | |
| CN222507945U (en) | Battery liquid filling device and battery liquid filling equipment | |
| CN216236304U (en) | A new type of reverse osmosis water treatment equipment | |
| CN203175878U (en) | High-suction-height self-priming pump | |
| CN213977180U (en) | Reverse osmosis water purifier with built-in water tank | |
| CN223047303U (en) | A gas-liquid mixed liquid discharge filtering device |
Legal Events
| Date | Code | Title | Description |
|---|---|---|---|
| GR01 | Patent grant | ||
| CF01 | Termination of patent right due to non-payment of annual fee | ||
| CF01 | Termination of patent right due to non-payment of annual fee |
Granted publication date: 20200207 Termination date: 20220124 |


