CN203553673U - Leveling device for suspension equipment - Google Patents
Leveling device for suspension equipment Download PDFInfo
- Publication number
- CN203553673U CN203553673U CN201320623557.1U CN201320623557U CN203553673U CN 203553673 U CN203553673 U CN 203553673U CN 201320623557 U CN201320623557 U CN 201320623557U CN 203553673 U CN203553673 U CN 203553673U
- Authority
- CN
- China
- Prior art keywords
- panel
- motor
- slide block
- axis
- adjusting device
- Prior art date
- Legal status (The legal status is an assumption and is not a legal conclusion. Google has not performed a legal analysis and makes no representation as to the accuracy of the status listed.)
- Expired - Fee Related
Links
Images
Landscapes
- Machine Tool Units (AREA)
Abstract
本实用新型公开了一种悬挂设备用调平装置,包括有面板,面板前后调节装置、面板左右调节装置及四个支腿,面板先设置在前后调节装置或左右调节装置上,而后再将面板及前后调节装置或左右调节装置设置在左右调节装置或前后调节装置上,使得三者呈一种层状结构,而后左右调节装置或前后调节装置支撑在四个支腿上,使用本实用新型的悬挂设备用调平装置,可大幅降低工作强度,节省人力物力,可提高工作效率88%。提高安装工艺质量,满足精确度要求,避免设备在调试或运行过程出现的故障或不可逆的损坏,为企业节约运行成本。本装置适用性强,属悬挂式安装并对水平和方向有精度要求的均可使用,应用前景较广。
The utility model discloses a leveling device for suspension equipment, which comprises a panel, a front and rear adjustment device of the panel, a left and right adjustment device of the panel and four supporting legs. And the front and rear adjustment devices or the left and right adjustment devices are arranged on the left and right adjustment devices or the front and rear adjustment devices, so that the three are in a layered structure, and then the left and right adjustment devices or the front and rear adjustment devices are supported on the four legs. Using the utility model The leveling device for suspension equipment can greatly reduce the work intensity, save manpower and material resources, and can increase work efficiency by 88%. Improve the quality of the installation process, meet the accuracy requirements, avoid equipment failure or irreversible damage during commissioning or operation, and save operating costs for the enterprise. The device has strong applicability, is suspended installation and can be used in those that require precision in horizontal and direction, and has a wide application prospect.
Description
技术领域 technical field
本实用新型涉及一种设备调平装置,特别是一种悬挂设备用调平装置。 The utility model relates to a leveling device for equipment, in particular to a leveling device for hanging equipment.
背景技术 Background technique
悬挂式设备大多是电网主设备的操作机构,其安装工艺的优劣直接影响设备的健康运行。例如,隔离刀闸的机构箱安装位置不当,将使隔离开关主轴承受径向应力,当电机转动时,更会对主轴产生一扭力,长期运行后会引起主轴或其它较薄弱传动部件的的塑性变形。导致隔离开关的分、合闸操作不到位及主轴两端固定件磨损等不可逆的影响,危害设备安全运行。以泉州电业局例,自2006年至2010年每年新增隔离开关261.8组;运行中的隔离开关2000组计,刀闸最高运行寿命20年,年均技改更换数量为100组,因此每年约有361.8台的隔离开关需要安装,是一次检修工作的重要组成部分。机构箱作为隔离开关的动力源,其安装工艺优劣直接影响设备的健康运行。目前,隔离开关操作机构的安装方式多种多样,各施工队伍都没有一个规范,有在机构箱下垫木箱、液压叉车及各式增塞物固定;有用绳子将机构箱吊在隔离开关主轴上,再人为修正等。此等安装方法均无法精确满足机构箱在空间三个轴向位置的安装精度,且安全系数低、易损坏设备构件、安装工序繁琐、工作效率低下、浪费人力物力。 Most of the suspended equipment is the operating mechanism of the main equipment of the power grid, and the quality of its installation process directly affects the healthy operation of the equipment. For example, the improper installation position of the mechanism box of the isolating switch will cause the main shaft of the isolating switch to bear radial stress. When the motor rotates, it will generate a torque on the main shaft, which will cause plasticity of the main shaft or other weak transmission parts after long-term operation. out of shape. As a result, the opening and closing operations of the isolating switch are not in place and the fixing parts at both ends of the main shaft are worn out, which will endanger the safe operation of the equipment. Taking Quanzhou Electric Power Bureau as an example, from 2006 to 2010, 261.8 sets of isolating switches were added every year; 2,000 sets of isolating switches in operation, the maximum operating life of the knife switch is 20 years, and the average annual number of technical transformation and replacement is 100 sets, so every year About 361.8 sets of isolating switches need to be installed, which is an important part of a maintenance work. As the power source of the isolating switch, the installation process of the mechanism box directly affects the healthy operation of the equipment. At present, there are many ways to install the operating mechanism of the isolating switch, and each construction team does not have a standard. There are wooden boxes under the mechanism box, hydraulic forklifts and various plugging objects to fix it; the mechanism box is hung on the main shaft of the isolating switch with a rope. On, and then artificially corrected and so on. These installation methods cannot accurately meet the installation accuracy of the mechanism box in the three axial positions of the space, and have a low safety factor, easy damage to equipment components, cumbersome installation procedures, low work efficiency, and waste of manpower and material resources.
实用新型内容 Utility model content
本实用新型的目的在于克服现有技术的不足之处,而提供一种安装精度高、安全系数高的,安装工序简单,工作效率高,使用成本低的悬挂设备用调平装置。 The purpose of the utility model is to overcome the deficiencies of the prior art, and provide a leveling device for suspension equipment with high installation precision, high safety factor, simple installation process, high work efficiency and low use cost.
一种悬挂设备用调平装置,包括有面板,面板前后调节装置、面板左右调节装置及四个支腿,面板先设置在前后调节装置或左右调节装置上,而后再将面板及前后调节装置或左右调节装置设置在左右调节装置或前后调节装置上,使得三者呈一种层状结构,而后左右调节装置或前后调节装置支撑在四个支腿上,每一支腿包括有电机固定盒、电机、滚珠丝杆副,筒状撑腿,所述的电机固定盒固定于滑动丝杆座固定板底面的端部,电机通过安装于电机固定盒内的电机固定架设置于电机固定盒内,滚珠丝杆副中的丝杆通过联轴器与电机主轴相连,在筒状撑腿内腔设置有丝杆副,滚珠丝杆副中的丝杆穿出电机盒伸入到筒状撑腿内的丝杆副中,所述的支腿还包括有一导杆,所述的导杆与筒状撑腿平行,导杆的上端通过固定于电机盒的固定架的连接于电机盒处跟随电机盒做上下运动,在筒状撑腿处还设置有导向板,导杆穿过该导向板,在每个支腿的底部设置有虚腿检测开关,在面板的底面的中心部位设置有双轴倾角传感器,所述的悬挂设备用调平装置还包括有控制系统,所述的控制系统用于控制电机动作,并接收双轴倾角传感器及虚腿检测开关的信号。 A leveling device for suspension equipment, including a panel, a panel front and rear adjustment device, a panel left and right adjustment device and four legs, the panel is first set on the front and rear adjustment device or the left and right adjustment device, and then the panel and the front and rear adjustment device or The left and right adjustment devices are arranged on the left and right adjustment devices or the front and rear adjustment devices, so that the three are in a layered structure, and then the left and right adjustment devices or the front and rear adjustment devices are supported on four legs, and each leg includes a motor fixing box, The motor, the ball screw pair, the cylindrical support leg, the motor fixing box is fixed on the end of the bottom surface of the sliding screw seat fixing plate, the motor is arranged in the motor fixing box through the motor fixing bracket installed in the motor fixing box, The screw in the ball screw pair is connected with the main shaft of the motor through a coupling, and a screw pair is set in the inner cavity of the cylindrical support leg, and the screw rod in the ball screw pair goes out of the motor box and extends into the cylindrical support leg In the screw pair, the legs also include a guide rod, the guide rod is parallel to the cylindrical support leg, and the upper end of the guide rod follows the motor box through the connection of the fixed frame fixed to the motor box To move up and down, a guide plate is set at the cylindrical support leg, and the guide rod passes through the guide plate. A virtual leg detection switch is set at the bottom of each leg, and a biaxial inclination angle is set at the center of the bottom surface of the panel. Sensors, the leveling device for suspension equipment also includes a control system, the control system is used to control the action of the motor, and receive signals from the biaxial inclination sensor and the virtual leg detection switch.
本实用新型的悬挂式设备自动调节装置,通过面板前后调节装置实现面板前后方向的调整,通过左右调节装置实现面板左右方向的调整,而后再将面板通过升降式的支腿实现高度方向的调整,同时通过在面板底部设置双轴倾角传感器,以及在支腿的底部设置虚腿检测开关,并将双轴倾角传感器及虚腿检测开关的信息传递给控制系统,然后由控制系统控制电机动作,实现水平度的调整。 The automatic adjustment device for suspended equipment of the utility model realizes the adjustment of the front and rear direction of the panel through the front and rear adjustment device of the panel, and realizes the adjustment of the left and right direction of the panel through the left and right adjustment device, and then realizes the adjustment of the height direction of the panel through the lifting legs. At the same time, by setting a dual-axis inclination sensor at the bottom of the panel and a virtual leg detection switch at the bottom of the outrigger, the information of the dual-axis tilt sensor and the virtual leg detection switch is transmitted to the control system, and then the control system controls the motor action to achieve level adjustment.
在导杆的下部设置有限位开关感应板,在导向板的下表面的导杆附近设置有限位开关。 A limit switch induction plate is arranged at the bottom of the guide rod, and a limit switch is arranged near the guide rod on the lower surface of the guide plate.
通过在导向板的下表面设置限位开关,并在导杆上设置限位开关感应板,这样就可防止支腿在调整时应调的过高而向上脱出的情况。 By setting the limit switch on the lower surface of the guide plate, and setting the limit switch induction plate on the guide rod, it can prevent the situation that the supporting leg should be adjusted too high and come out upward when adjusting.
在导向板与固定架之间还设置有用于连接两者的螺纹连接件。 A threaded connector for connecting the two is also arranged between the guide plate and the fixing frame.
在两者之间设置螺纹连接件可已进一步加强该支腿的稳定性。 A threaded connection between the two can further enhance the stability of the leg.
导杆处于导向板与固定架之间的上部位置处设置有感应板,在导向板与固定架之间的螺纹连接件上设置有限位开关。 An induction plate is arranged at the upper position of the guide rod between the guide plate and the fixed frame, and a limit switch is arranged on the threaded connection between the guide plate and the fixed frame.
通过在导向板与固定架之间设置限位开关与感应板,就可防止面板下降过低的情况发生。 By arranging a limit switch and an induction plate between the guide plate and the fixing frame, it is possible to prevent the panel from falling too low.
所述的电机为步进电机。 The motor is a stepping motor.
所述的控制系统包含有单片机、显示屏、虚腿检测开关、限位开关、步进电机驱动器,步进电机、双轴倾角传感器及显示屏,虚腿检测开关,限位开关及双轴倾角传感器将采集到的信号传递给单片机,单片机与显示屏相连,单片机与步进电机驱动器相连通过步进电机驱动器驱动步进电机动作。 The control system includes a single-chip microcomputer, a display screen, a virtual leg detection switch, a limit switch, a stepper motor driver, a stepper motor, a biaxial inclination sensor and a display screen, a virtual leg detection switch, a limit switch and a biaxial inclination angle sensor. The sensor transmits the collected signal to the single-chip microcomputer, the single-chip microcomputer is connected with the display screen, and the single-chip microcomputer is connected with the stepping motor driver to drive the stepping motor to act through the stepping motor driver.
所述的步进电机驱动器为双轴步进电机驱动器,一个步进电机驱动器驱动两个支腿内步进电机动作。 The stepping motor driver is a dual-axis stepping motor driver, and one stepping motor driver drives the stepping motors in the two supporting legs to move.
所述的单片机控制步进电机动作的方法为,以面板最高支撑点不动,其余的三个支撑点向其对齐的追逐调平方式进行调整。 The method for the single-chip microcomputer to control the action of the stepping motor is to adjust the highest support point of the panel in a chasing and leveling manner in which the other three support points are aligned to it.
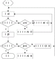
所述的支腿具体调整方法为,采用单向升高支腿的调平方法,即不确定平台的最高点,按X方向和Y方向的顺序依次调平的方法,调平的时候只调节各个方向中较低的一边,具体为先调节X方向水平,判断双轴倾角传感器的水平传感器测得的倾角α的大小,如果α<0,则可知X轴正向低于负向,固定A、D两点不动,升高B、C两点,即让BC以AD为轴作逆时针方向转动,从而使倾角α的数值逐渐减小,直到满足精度要求,即X方向达到水平,反之固定BC不动,让AD绕BC顺时针旋转从而使倾角α的数值满足精度要求,然后再调节Y方向水平,方法与X方向相同,其中ABCD为面板的四个角。 The specific adjustment method of the outriggers is to use the leveling method of raising the outriggers in one direction, that is, the highest point of the platform is not determined, and the method of leveling in the order of the X direction and the Y direction is used. When leveling, only adjust The lower side in each direction, specifically, adjust the level of the X direction first, and judge the inclination angle α measured by the level sensor of the dual-axis inclination sensor. If α<0, it can be known that the positive direction of the X-axis is lower than the negative direction, and fix A Keep the points B and D fixed, raise the points B and C, that is, let BC rotate counterclockwise with AD as the axis, so that the value of the inclination α gradually decreases until the accuracy requirements are met, that is, the X direction reaches the level, and vice versa Fix BC and let AD rotate clockwise around BC so that the value of inclination α meets the accuracy requirements, and then adjust the level of Y direction, the method is the same as that of X direction, where ABCD are the four corners of the panel.
所述的调平方法为X方向与Y方向循环重复多次调整。 The described leveling method is that the X direction and the Y direction are repeatedly adjusted repeatedly.
采用上述调平方法,在调平过程中即使有干扰或由于耦合情况出现平台的最高点发生变化,一样可以通过单方向仿次调节来达到调平的目的。单向升高支腿调平的策略,实际上是追逐法调平的改进,这种调平方法严格遵循调平过程中支腿只升不降的原则,保证了调平的稳定性与精度,同时可有效排除调平过程中的耦合性与干扰。该方法避免了多点调节时由于各支腿位移、速度各不相同,从而相互制约,具体控制算法难以实现的缺点,同时也不用找最高点,减少了系统运行时间及编程工作量。 With the above leveling method, even if there is interference or the highest point of the platform changes due to coupling, the purpose of leveling can be achieved through unidirectional quadratic adjustment. The one-way raising outrigger leveling strategy is actually an improvement of the chasing method. This leveling method strictly follows the principle that the outriggers only rise but not lower during the leveling process, ensuring the stability and accuracy of the leveling , while effectively eliminating coupling and interference during the leveling process. This method avoids the disadvantages that the displacement and speed of each leg are different during multi-point adjustment, thereby restricting each other, and the specific control algorithm is difficult to implement. At the same time, it does not need to find the highest point, which reduces the system running time and programming workload.
控制系统的工作流程为,首先进行四个虚腿检测,如检测未完成,继续检测,如检测完成,进行Z轴高度设定,如到达个位置,继续进X轴校准,如没有继续进行Z轴设定,如X轴校准满足精度,则继续进行Y轴校准,如X轴没有校准,则继续进行X轴校准,如Y轴校准满足精度,工作完成,Z轴复位。 The work flow of the control system is as follows: firstly perform four virtual leg detections, if the detection is not completed, continue the detection, if the detection is completed, set the Z-axis height, if it reaches the first position, continue to perform X-axis calibration, if not continue to perform Z-axis Axis setting, if the X-axis calibration meets the accuracy, continue to calibrate the Y-axis, if the X-axis is not calibrated, continue to perform the X-axis calibration, if the Y-axis calibration meets the accuracy, the work is completed, and the Z-axis resets.
所述的左右调节装置包括有第一滑块及滑块在其上运动的导轨,所述的第一滑块设置在面板底面的长度方向的相对侧,所述的第一滑块在两对称布置的第一滑块导轨上移动,所述的第一滑块导轨安装在第一导轨固定架上,在第一导轨固定架的下表面的两端设置有两条与第一导轨固定架相垂直的滑块固定架,在一侧的滑块固定架上表面的中部位置设置有第一滑动丝杆固定座,所述的第一滑动丝杆设置于滑动丝杆固定座中,所述的第一滑动丝杆中的第一丝杆副则设置于面板的底面。 The left and right adjustment device includes a first slider and a guide rail on which the slider moves, the first slider is arranged on the opposite side of the length direction of the bottom surface of the panel, and the first slider is symmetrical on both sides. Move on the arranged first slider guide rail, the first slider guide rail is installed on the first guide rail fixing frame, two ends of the lower surface of the first guide rail fixing frame are provided with two The vertical slider fixing frame is provided with a first sliding screw fixing seat in the middle of the upper surface of the sliding block fixing bracket on one side, and the first sliding screw is arranged in the sliding screw fixing seat. The first screw pair in the first sliding screw is arranged on the bottom surface of the panel.
这种结构的悬挂式设备调平装置,可将支腿支撑在滑块固定架下表面的四个端部,除了可实现水平度调整,还能实现面板向左向右调整。 The suspended equipment leveling device with this structure can support the outriggers on the four ends of the lower surface of the slider fixing frame. In addition to level adjustment, the panel can also be adjusted from left to right.
所述的前后调节装置为在左右调节装置的滑块固定架的下表面设置有两块以上的第二滑块,所述的第二滑块在第二滑块导轨上移动,所述的第二滑块导轨安装在第二导轨固定架上,所述的第二导轨固定架安装于与其相垂直的两滑动丝杆座固定板上,在滑块固定架的下表面设置有第二丝杆副,第二滑动丝杆固定座设置于滑动丝杆座固定板上的中部位置,第二滑动丝杆设置于第二滑动丝杆固定座中。 The front and rear adjustment devices are provided with more than two second sliders on the lower surface of the slider fixing frame of the left and right adjustment devices, and the second sliders move on the second slider guide rails. The two slider guide rails are installed on the second guide rail fixing frame, and the second guide rail fixing frame is installed on the two sliding screw seat fixing plates perpendicular to it, and the second screw rod is arranged on the lower surface of the slider fixing frame Auxiliary, the second sliding screw mandrel fixing seat is arranged on the middle position on the sliding screw mandrel seat fixing plate, and the second sliding screw mandrel is arranged in the second sliding screw mandrel fixing seat.
通过设置前后调节装置,可实现面板前后调整。 By setting the front and rear adjustment devices, the front and rear adjustment of the panel can be realized.
在滑块与导轨之间安装有滚轮。 Rollers are installed between the slide block and the guide rail.
在第一、第二滑动丝杆上设置有用于调节用的手轮。 Handwheels for adjustment are arranged on the first and second sliding screw rods.
综上所述的,本实用新型相比现有技术如下优点: In summary, the utility model has the following advantages compared with the prior art:
使用本实用新型的悬挂设备用调平装置,可大幅降低工作强度,节省人力物力,可提高工作效率88%。提高安装工艺质量,满足精确度要求,避免设备在调试或运行过程出现的故障或不可逆的损坏,为企业节约运行成本。本装置适用性强,属悬挂式安装并对水平和方向有精度要求的均可使用,应用前景较广。 Using the leveling device for suspension equipment of the utility model can greatly reduce the working intensity, save manpower and material resources, and can increase the working efficiency by 88%. Improve the quality of the installation process, meet the accuracy requirements, avoid equipment failure or irreversible damage during commissioning or operation, and save operating costs for the enterprise. The device has strong applicability, is suspended installation and can be used in those that require precision in horizontal and direction, and has a wide application prospect.
附图说明 Description of drawings
图1为本实用新型悬挂设备用调平装置的正视图。 Figure 1 is a front view of the leveling device for the suspension equipment of the present invention.
图2是图1的揭去面板的俯视图。 Figure 2 is a top view of Figure 1 with the panel removed.
图3是图1的左视图。 Fig. 3 is a left side view of Fig. 1 .
图4是本实用新型装置的立体图。 Fig. 4 is a perspective view of the device of the present invention.
图5是本实用新型装置的电气原理框图。 Fig. 5 is an electric principle block diagram of the device of the present invention.
图6是本实用新型装置的电路示意图。 Fig. 6 is a schematic circuit diagram of the device of the present invention.
图7是本实用新型装置的单向升高支腿的调平流程图。 Fig. 7 is a flow chart of the leveling of the one-way raising leg of the device of the present invention.
图8是本实用新型装置的控制系统的控制流程图。 Fig. 8 is a control flow chart of the control system of the utility model device.
图9是X方向与Y方向调平原理图。 Fig. 9 is a schematic diagram of leveling in the X direction and the Y direction.
标号说明 1面板2支腿3电机固定盒4步进电机5滚珠丝杆副6筒状撑腿7滑动丝杆座固定板8导杆9导向板10手轮11虚腿检测开关12限位开关感应板13限位开关14左右调节装置141第一滑块142第一滑块导轨143第一导轨固定架144滑块固定架15第一滑动丝杆固定座151第一滑动丝杆16前后调节装置161第二滑块162第二滑块导轨163第二导轨固定架。
Explanation of
具体实施方式 Detailed ways
下面结合实施例对本实用新型进行更详细的描述。 Below in conjunction with embodiment the utility model is described in more detail.
实施例1 Example 1
一种悬挂设备用调平装置,包括有面板1,面板前后调节装置16、面板左右调节装置14及四个支腿2,面板先设置在左右调节装置上,而后再将面板及左右调节装置设置在前后调节装置上,使得三者呈一种层状结构,而后前后调节装置支撑在四个支腿上,每一支腿包括有电机固定盒3、电机4、滚珠丝杆副5,筒状撑腿6,所述的电机固定盒固定于滑动丝杆座固定板7底面的端部,电机通过安装于电机固定盒内的电机固定架设置于电机固定盒内,滚珠丝杆副中的丝杆通过联轴器与电机主轴相连,在筒状撑腿内腔设置有丝杆副,滚珠丝杆副中的丝杆穿出电机盒伸入到筒状撑腿内的丝杆副中,所述的支腿还包括有一导杆8,所述的导杆与筒状撑腿平行,导杆的上端通过固定于电机盒的固定架的连接于电机盒处跟随电机盒做上下运动,在筒状撑腿处还设置有导向板9,导杆穿过该导向板,在每个支腿的底部设置有虚腿检测开关11,在面板的底面的中心部位设置有双轴倾角传感器,所述的悬挂设备用调平装置还包括有控制系统,所述的控制系统用于控制电机动作,并接收双轴倾角传感器、限位开关及虚腿检测开关的信号。在导杆的下部设置有限位开关感应板12,在导向板的下表面的导杆附近设置有限位开关13。在导向板与固定架之间还设置有用于连接两者的螺纹连接件。导杆处于导向板与固定架之间的上部位置处设置有感应板,在导向板与固定架之间的螺纹连接件上设置有限位开关。所述的控制系统包含有单片机、显示屏、虚腿检测开关、限位开关、步进电机驱动器,步进电机、双轴倾角传感器及显示屏,虚腿检测开关,限位开关及双轴倾角传感器将采集到的信号传递给单片机,单片机与显示屏相连,单片机与步进电机驱动器相连通过步进电机驱动器驱动步进电机动作。所述的步进电机驱动器为双轴步进电机驱动器,一个步进电机驱动器驱动两个支腿内步进电机动作。所述的单片机控制步进电机动作的方法为,以面板最高支撑点不动,其余的三个支撑点向其对齐的追逐调平方式进行调整。所述的支腿具体调整方法为,采用单向升高支腿的调平方法,即不确定平台的最高点,按X方向和Y方向的顺序依次调平的方法,调平的时候只调节各个方向中较低的一边,具体为先调节X方向水平,判断双轴倾角传感器的水平传感器测得的倾角α的大小,如果α<0,则可知X轴正向低于负向,固定A、D两点不动,升高B、C两点,即让BC以AD为轴作逆时针方向转动,从而使倾角α的数值逐渐减小,直到满足精度要求,即X方向达到水平,反之固定BC不动,让AD绕BC顺时针旋转从而使倾角α的数值满足精度要求,然后再调节Y方向水平,方法与X方向相同,其中ABCD为面板的四个角。所述的调平方法为X方向与Y方向循环重复多次调整。控制系统的工作流程为,首先进行四个虚腿检测,如检测未完成,继续检测,如检测完成,进行Z轴高度设定,如到达个位置,继续进X轴校准,如没有继续进行Z轴设定,如X轴校准满足精度,则继续进行Y轴校准,如X轴没有校准,则继续进行X轴校准,如Y轴校准满足精度,工作完成,Z轴复位。所述的左右调节装置14包括有第一滑块141及滑块在其上运动的导轨142,所述的第一滑块设置在面板底面的长度方向的相对侧,所述的第一滑块在两对称布置的第一滑块导轨上移动,所述的第一滑块导轨安装在第一导轨固定架143上,在第一导轨固定架的下表面的两端设置有两条与第一导轨固定架相垂直的滑块固定架144,在一侧的滑块固定架上表面的中部位置设置有第一滑动丝杆固定座15,所述的第一滑动丝杆151设置于滑动丝杆固定座中,所述的第一滑动丝杆中的第一丝杆副则设置于面板的底面。所述的前后调节装置16为在左右调节装置的滑块固定架的下表面设置有两块以上的第二滑块161,所述的第二滑块在第二滑块导轨162上移动,所述的第二滑块导轨安装在第二导轨固定架163上,所述的第二导轨固定架安装于与其相垂直的两滑动丝杆座固定板上,在滑块固定架的下表面设置有第二丝杆副,第二滑动丝杆固定座设置于滑动丝杆座固定板上的中部位置,第二滑动丝杆设置于第二滑动丝杆固定座中。在滑块与导轨之间安装有滚轮。在第一、第二滑动丝杆上设置有用于调节用的手轮10。
A leveling device for suspension equipment, including a
本实施例未述部分与现有技术相同。 The parts not described in this embodiment are the same as the prior art.
Claims (10)
Priority Applications (1)
| Application Number | Priority Date | Filing Date | Title |
|---|---|---|---|
| CN201320623557.1U CN203553673U (en) | 2013-10-10 | 2013-10-10 | Leveling device for suspension equipment |
Applications Claiming Priority (1)
| Application Number | Priority Date | Filing Date | Title |
|---|---|---|---|
| CN201320623557.1U CN203553673U (en) | 2013-10-10 | 2013-10-10 | Leveling device for suspension equipment |
Publications (1)
| Publication Number | Publication Date |
|---|---|
| CN203553673U true CN203553673U (en) | 2014-04-16 |
Family
ID=50471742
Family Applications (1)
| Application Number | Title | Priority Date | Filing Date |
|---|---|---|---|
| CN201320623557.1U Expired - Fee Related CN203553673U (en) | 2013-10-10 | 2013-10-10 | Leveling device for suspension equipment |
Country Status (1)
| Country | Link |
|---|---|
| CN (1) | CN203553673U (en) |
Cited By (2)
| Publication number | Priority date | Publication date | Assignee | Title |
|---|---|---|---|---|
| CN103683053A (en) * | 2013-10-10 | 2014-03-26 | 国家电网公司 | Leveling device for suspension equipment |
| CN111313296A (en) * | 2019-10-16 | 2020-06-19 | 浙江季布电力工程有限公司 | A kind of installation device of high-voltage cabinet in power engineering |
-
2013
- 2013-10-10 CN CN201320623557.1U patent/CN203553673U/en not_active Expired - Fee Related
Cited By (2)
| Publication number | Priority date | Publication date | Assignee | Title |
|---|---|---|---|---|
| CN103683053A (en) * | 2013-10-10 | 2014-03-26 | 国家电网公司 | Leveling device for suspension equipment |
| CN111313296A (en) * | 2019-10-16 | 2020-06-19 | 浙江季布电力工程有限公司 | A kind of installation device of high-voltage cabinet in power engineering |
Similar Documents
| Publication | Publication Date | Title |
|---|---|---|
| CN103742765A (en) | Leveling device for suspension equipment | |
| CN203656515U (en) | Leveling device of suspension equipment | |
| CN117146157A (en) | Mechanical and electrical equipment lifting brackets for easy installation | |
| CN103683053A (en) | Leveling device for suspension equipment | |
| CN203743775U (en) | Automatic leveling device for suspended equipment | |
| JP2021025992A (en) | Photovoltaic generation array gradient measuring facility | |
| CN103742768B (en) | Suspension type equipment automatic plumbing device | |
| CN202073323U (en) | Supporting frame for regulating installing horizontality of embedded part | |
| CN203553673U (en) | Leveling device for suspension equipment | |
| CN203807920U (en) | Track shape simulation equipment for precision calibration of track detection equipment | |
| CN217765027U (en) | A spatial position adjustment device for photoelectric detection equipment | |
| CN103147564B (en) | Intelligent tiling machine | |
| CN105735342B (en) | A kind of device of pre-buried plant dust catcher basis anchor (bolt) hole | |
| CN107471504A (en) | A kind of micro-structural hits the regulation platform and its adjusting method of a machining tool light-conducting board mold | |
| CN103760915A (en) | Suspension-device leveling method | |
| CN209339544U (en) | A kind of construction wall plastering levelling device | |
| CN211061610U (en) | Device for monitoring electromagnetic radiation environment of industrial area | |
| CN104806864B (en) | A kind of full-automatic turntable leveling system | |
| CN208902098U (en) | Shield tunnel vertical shaft measurement of higher degree structure | |
| CN208621732U (en) | A kind of motor is to dragging test equipment | |
| CN106760420B (en) | A wall plastering machine with automatic vertical adjustment and a method for automatic vertical adjustment of the wall plastering machine | |
| CN207164097U (en) | Insulating bar test bracket | |
| CN205192968U (en) | Novel monitoring of bridge health state device | |
| CN215558700U (en) | Bridge maintenance is with jacking device based on bridge security performance | |
| CN204212415U (en) | Shuttering supporting post-rod |
Legal Events
| Date | Code | Title | Description |
|---|---|---|---|
| C14 | Grant of patent or utility model | ||
| GR01 | Patent grant | ||
| CF01 | Termination of patent right due to non-payment of annual fee |
Granted publication date: 20140416 Termination date: 20201010 |
|
| CF01 | Termination of patent right due to non-payment of annual fee |
