CN203299161U - Multifunctional tin plate surface property testing device - Google Patents
Multifunctional tin plate surface property testing device Download PDFInfo
- Publication number
- CN203299161U CN203299161U CN2013200960613U CN201320096061U CN203299161U CN 203299161 U CN203299161 U CN 203299161U CN 2013200960613 U CN2013200960613 U CN 2013200960613U CN 201320096061 U CN201320096061 U CN 201320096061U CN 203299161 U CN203299161 U CN 203299161U
- Authority
- CN
- China
- Prior art keywords
- tin plate
- instrument amplifier
- sheet surface
- converter
- output terminal
- Prior art date
- Legal status (The legal status is an assumption and is not a legal conclusion. Google has not performed a legal analysis and makes no representation as to the accuracy of the status listed.)
- Expired - Fee Related
Links
- 239000005028 tinplate Substances 0.000 title claims abstract description 43
- 238000012360 testing method Methods 0.000 title claims abstract description 19
- 238000005259 measurement Methods 0.000 claims abstract description 24
- 239000011248 coating agent Substances 0.000 claims abstract description 14
- 238000000576 coating method Methods 0.000 claims abstract description 14
- 230000005669 field effect Effects 0.000 claims abstract description 11
- 239000007788 liquid Substances 0.000 claims description 12
- ATJFFYVFTNAWJD-UHFFFAOYSA-N Tin Chemical compound [Sn] ATJFFYVFTNAWJD-UHFFFAOYSA-N 0.000 claims description 10
- 239000000956 alloy Substances 0.000 claims description 8
- 229910045601 alloy Inorganic materials 0.000 claims description 8
- 238000002360 preparation method Methods 0.000 claims description 8
- 239000000126 substance Substances 0.000 claims description 7
- OKTJSMMVPCPJKN-UHFFFAOYSA-N Carbon Chemical compound [C] OKTJSMMVPCPJKN-UHFFFAOYSA-N 0.000 claims description 6
- 229910052799 carbon Inorganic materials 0.000 claims description 6
- BQCADISMDOOEFD-UHFFFAOYSA-N Silver Chemical compound [Ag] BQCADISMDOOEFD-UHFFFAOYSA-N 0.000 claims description 3
- ZOMNIUBKTOKEHS-UHFFFAOYSA-L dimercury dichloride Chemical compound Cl[Hg][Hg]Cl ZOMNIUBKTOKEHS-UHFFFAOYSA-L 0.000 claims description 3
- 238000005538 encapsulation Methods 0.000 claims description 3
- 230000002572 peristaltic effect Effects 0.000 claims description 3
- 238000007789 sealing Methods 0.000 claims description 3
- 229910052709 silver Inorganic materials 0.000 claims description 3
- 239000004332 silver Substances 0.000 claims description 3
- 238000004364 calculation method Methods 0.000 abstract description 6
- 238000013461 design Methods 0.000 abstract description 4
- 238000005070 sampling Methods 0.000 abstract description 4
- VEXZGXHMUGYJMC-UHFFFAOYSA-N Hydrochloric acid Chemical compound Cl VEXZGXHMUGYJMC-UHFFFAOYSA-N 0.000 description 6
- 101100520231 Caenorhabditis elegans plc-3 gene Proteins 0.000 description 4
- 238000006243 chemical reaction Methods 0.000 description 3
- 238000010586 diagram Methods 0.000 description 3
- 238000000034 method Methods 0.000 description 3
- XEEYBQQBJWHFJM-UHFFFAOYSA-N Iron Chemical compound [Fe] XEEYBQQBJWHFJM-UHFFFAOYSA-N 0.000 description 2
- 229910000831 Steel Inorganic materials 0.000 description 2
- 230000003321 amplification Effects 0.000 description 2
- 230000007547 defect Effects 0.000 description 2
- 230000000694 effects Effects 0.000 description 2
- 238000001914 filtration Methods 0.000 description 2
- 238000003780 insertion Methods 0.000 description 2
- 230000037431 insertion Effects 0.000 description 2
- 238000003199 nucleic acid amplification method Methods 0.000 description 2
- 239000010959 steel Substances 0.000 description 2
- 238000010998 test method Methods 0.000 description 2
- VYZAMTAEIAYCRO-UHFFFAOYSA-N Chromium Chemical compound [Cr] VYZAMTAEIAYCRO-UHFFFAOYSA-N 0.000 description 1
- 241001465754 Metazoa Species 0.000 description 1
- 229910052804 chromium Inorganic materials 0.000 description 1
- 239000011651 chromium Substances 0.000 description 1
- 230000006378 damage Effects 0.000 description 1
- 238000005238 degreasing Methods 0.000 description 1
- 238000004090 dissolution Methods 0.000 description 1
- 230000005518 electrochemistry Effects 0.000 description 1
- 238000005868 electrolysis reaction Methods 0.000 description 1
- 238000005516 engineering process Methods 0.000 description 1
- 229910052742 iron Inorganic materials 0.000 description 1
- 238000012423 maintenance Methods 0.000 description 1
- 230000007246 mechanism Effects 0.000 description 1
- 238000012856 packing Methods 0.000 description 1
- 230000001105 regulatory effect Effects 0.000 description 1
Images
Landscapes
- Testing Resistance To Weather, Investigating Materials By Mechanical Methods (AREA)
Abstract
The utility model relates to coating test of a tin plate, particularly relates to a tin plate coating quality measurement system, and in particular relates to a multifunctional tin plate surface property testing device. The device comprises a personal computer (PC) machine, a multi-path constant current power module, a programmable logic controller (PLC) and a control measurement circuit, wherein the multi-path constant current power module is a high-precision program controlled constant direct current power module; the control measurement circuit comprises a precision sampling resistor, a first instrument amplifier, a second instrument amplifier, a third instrument amplifier, a field effect transistor, an A/D (Analog to Digital) converter and a D/A (Digital-to-Analog) converter. By adopting the design, current errors and a measurement time endpoint calculation formula are controlled through the high-precision program controlled constant direct current power module, so that the test precision of each test sample of the tin plate is comprehensively improved.
Description
Technical field
The present invention relates to the coating test of tin plate, relate in particular to tin plate quality of coating measuring system.
Background technology
" the zinc-plated amount test method of GB/T 1838-2008 ferrostan ", new national standard of working out " test method of electrolytic tinplate surface chromium ", the documents such as " tin plate guide ", " taggers tin and sheet iron of wuxi " and European Union's standard " EN10333-2005 " tin plate that packing contacts with Food ﹠ Drink with steel and humans and animals " appendix A " in 2010 provide respectively the Applied Electrochemistry method and measure tin plate sheet surface characteristic schematic diagram of device.It is lower that these measurement mechanisms are manual measurement device, complicated operation, device reliability, and be the single functional device of folk prescription method.
Number of patent application is the multifunctional measuring instrument that the application of 201110272495.X discloses a kind of all automatic measurement; it can automatically be tested tin/alloy tin, oxide film, the passivating film sample of tin plate; yet; each measuring unit of this equipment is independent of one another; use at instrument; especially in enormous quantities, scale measurement, plant maintenance, etc. aspect have open defect, simultaneously, there is no that accurate Measuring Time is controlled, computing module is also the open defect of this device.
Summary of the invention
The object of the present invention is to provide a kind ofly to can be used in enormous quantities, scale and measure, accurately the multi-functional tin plate sheet surface characteristic test device of control survey time.
In order to achieve the above object, the present invention is achieved in that
A kind of multi-functional tin plate sheet surface characteristic test device, it comprises that a PC, multiple constant current power module, PLC, described PC and this PLC connect, and by this PLC control linkage, have: plumbous needed sample preparation liquid totally four automatic measurement subsystems of measuring in the zinc-plated amount of tin plate sheet surface or alloy tin measurement amount, passivating film amount, oxide film amount and coating; Described PLC also is connected with an air-path control system; In the zinc-plated amount of described tin plate sheet surface or alloy tin measurement amount, passivating film amount, oxide film amount and coating, the needed sample preparation liquid measurement subsystem of plumbous mensuration all comprises separately:
Electrolytic tank, electrolytic tank consists of the sub-electrolytic tank in two of left and right, and groove is nested with an O-ring seal that contacts with tin plate plate face to be measured, and tin plate to be measured bottom is provided with backstay;
Two cover electrodes, use the silver electrode of inserting electrolytic tank or mercurous chloride electrode as contrast electrode, inserts the carbon electrode of electrolytic tank for introducing steady current;
A chemical tank, contain electrolytic stripping liquid in chemical tank, and by peristaltic pump, be communicated with electrolytic tank;
In described coating, the needed sample preparation liquid measurement subsystem of plumbous mensuration also comprises a sample divider that connects this subsystem electrolytic tank;
Described air-path control system comprises that a pneumatic valve and one are used for the sealing of close encapsulation circle, tin plate to be measured and carry out bar;
described multiple constant current power module is high-precision program control continuous current DC power supplier, this module also comprises the control survey circuit, and described control survey circuit comprises accurate sample resistance, first instrument amplifier, second instrument amplifier, the 3rd instrument amplifier, field effect transistor, A/D converter, D/A converter, field effect transistor is connected with contrast electrode, the output terminal of the 3rd instrument amplifier, accurate sample resistance is in parallel with field effect transistor respectively, the positive input terminal of the 3rd instrument amplifier is connected with the output terminal of first instrument amplifier, the output terminal of the negative input end of the 3rd instrument amplifier and second instrument amplifier, the output terminal of A/D converter is in parallel, the positive input terminal of second instrument amplifier, negative input end is connected to the two ends of accurate sample resistance, the positive input terminal of first instrument amplifier is connected with the output terminal of D/A converter, the negative input end of first instrument amplifier is parallel to the output terminal of first instrument amplifier, the output terminal of A/D converter, D/A converter is connected with the CPU of PC respectively, the positive pole of described control survey circuit is connected with carbon electrode, and negative pole is connected with contrast electrode.
The present invention adopts above-mentioned design, by high-precision program control continuous current DC power supplier, controls current error and Measuring Time endpoint calculation formula, comprehensively improves the measuring accuracy of each sample of tin plate.
Description of drawings
Fig. 1 is process flow diagram of the present invention;
Fig. 2 is that the zinc-plated amount of tin plate sheet surface or alloy tin measurement amount, passivating film amount, oxide film measure quantized system;
Fig. 3 is the schematic diagram of control survey circuit of the present invention.
Embodiment
Below further illustrate the present invention by specific embodiment.
As shown in Figure 1 and Figure 2, a kind of tin plate sheet surface quality of coating full-automatic multi-functional measuring system, it comprises a PC 1 and a constant current supply 2, described constant current supply 2 is the multi-path digital-control constant current supply, described full-automatic multi-functional measuring system also comprises: a PLC 3, described PC 1 connects with this PLC 3, and by these PLC 3 control linkages, has: plumbous needed sample preparation liquid 7 totally four automatic measurement subsystems of measuring in the zinc-plated amount of tin plate sheet surface or alloy tin measurement amount 4, passivating film amount 5, oxide film amount 6 and coating; Described PLC 3 also is connected with an air-path control system 8.
Described a kind of tin plate sheet surface quality of coating full-automatic multi-functional measuring system, in the zinc-plated amount of described tin plate sheet surface or alloy tin measurement amount, passivating film amount, oxide film amount and coating, the needed sample preparation liquid measurement subsystem 4,5,6,7 of plumbous mensuration includes independent electrolytic measurement groove separately;
Electrolytic tank 11, electrolytic tank 11 consists of the sub-electrolytic tank in two of left and right, and groove is nested with an O-ring seal 12 that contacts with tin plate 9 plate faces to be measured, and tin plate to be measured 9 bottoms are provided with backstay 10;
One cover electrode, electrode insertion groove 11 inside are as the carbon electrode of working electrode 13, and the silver electrode of insertion electrolytic tank 11 or mercurous chloride electrode are as contrast electrode 14;
A chemical tank 16, contain electrolytic stripping liquid in chemical tank 16, and by peristaltic pump 17, be communicated with electrolytic tank 11;
Described air-path control system 8 comprises that a pneumatic valve 81 and one are used for the sealing of close encapsulation circle 12, tin plate to be measured 9 and carry out bar 82.
as shown in Figure 3, described multiple constant current power module is high-precision program control continuous current DC power supplier, this module also comprises the control survey circuit, and described control survey circuit comprises accurate sample resistance 22, first instrument amplifier 19, second instrument amplifier 20, the 3rd instrument amplifier 21, field effect transistor 25, A/D converter 17, D/A converter 18, field effect transistor 25 is connected with contrast electrode 14, the output terminal of the 3rd instrument amplifier 21, accurate sample resistance 22 is in parallel with field effect transistor 25 respectively, the positive input terminal of the 3rd instrument amplifier 21 is connected with the output terminal of first instrument amplifier 19, the output terminal of the negative input end of the 3rd instrument amplifier 17 and second instrument amplifier 20, the output terminal of A/D converter 17 is in parallel, the positive input terminal of second instrument amplifier 20, negative input end is connected to the two ends of accurate sample resistance 22, the positive input terminal of first instrument amplifier 19 is connected with the output terminal of D/A converter 18, the negative input end of first instrument amplifier 19 is parallel to the output terminal of first instrument amplifier 19, the output terminal of A/D converter 17, D/A converter 18 is connected with the CPU26 of PC 1 respectively, the positive pole of described control survey circuit is connected with carbon electrode (working electrode) 13, and negative pole is connected with contrast electrode 14.
The principle of control survey circuit is: the current signal that accurate sample resistance will be flowed through converts corresponding voltage signal to and sends into the second instrument amplifier and carry out the ratio amplification; Second, third instrument amplifier forms reverse amplification circuit jointly, by negative feedback drive field effect transistor with the electric current preliminarily stabilised on setting value, so, realized constant current source output.In circuit, the second instrument amplifier is sent into CPU with the magnitude of voltage of the electric current of correspondence output simultaneously after the A/D converter sampling.CPU carries out accurate comparison with itself and the electric current branch of setting, and error signal is exported through D/A converter, after the first instrument amplifier buffer, send the positive input terminal as the 3rd instrument amplifier, thereby the constant current source output current value is regulated accurately.So, form closed-loop control and provide and simultaneously tin plate is carried out the way of two-sided test.
Described multi-functional tin plate sheet surface characteristic test device also comprises the computing method of measuring terminal:
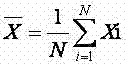
At first the data that gather are carried out the arithmetic mean filtering algorithm, and introduce its formula and be
, wherein, N=3, xi are the efficiently sampling data.
As can be seen from the above equation, filter effect depends on sampling number N, and N is larger, and filter effect is better, but along with the increase of N, more obvious to the destruction of data unique point, when N=3, on curve, data characteristics point is the most obvious.After filtering, then data are carried out differential calculation one time, the curve that goes out in 2 maximal values corresponding be exactly the unique point in potential-time curve, the position according to it in curve just can record dissolution time.Just can measure the parameters such as zinc-plated amount of steel plate sample according to parameters such as current density, reaction areas again.
The present invention adopts above-mentioned design, during use, according to following step, carries out:
Step 1, sample is carried out chemical degreasing;
Step 2, zinc-plated amount detect;
Step 2.1, sample is put into electrolytic tank;
Step 2.2, tester are closed electrolytic tank;
Step 2.3, tester add electrolytic tank with hydrochloric acid,, until fill it up with, stop liquid feeding;
Step 2.4, at sample and two contrast electrodes, add simultaneously default steady current; Start electrolysis detin reaction;
Step 2.5, the voltage of sample and two test electrodes is carried out record, and measure terminal computing judgement; Until the feature current potential that the detin of reflection sample is completed occurs;
After step 2.6, feature current potential occur, stop test, disconnect steady current, and open reactive tank, emptying hydrochloric acid
Step 2.7, according to current value, the time that the feature current potential occurs, the area equivalent calculation of sample and hydrochloric acid contact reaction part goes out zinc-plated amount.
The present invention adopts above-mentioned design, by high-precision program control continuous current DC power supplier, controls current error and Measuring Time endpoint calculation formula, comprehensively improves the measuring accuracy of each sample of tin plate.
Claims (6)
1. multi-functional tin plate sheet surface characteristic test device, it comprises that a PC, multiple constant current power module, PLC, described PC and this PLC connect, and by this PLC control linkage, have: plumbous needed sample preparation liquid totally four automatic measurement subsystems of measuring in the zinc-plated amount of tin plate sheet surface or alloy tin measurement amount, passivating film amount, oxide film amount and coating.
2. multi-functional tin plate sheet surface characteristic test device according to claim 1, it is characterized in that: described PLC also is connected with an air-path control system.
3. multi-functional tin plate sheet surface characteristic test device according to claim 1 is characterized in that: plumbously in the zinc-plated amount of described tin plate sheet surface or alloy tin measurement amount, passivating film amount, oxide film amount and coating measure needed sample preparation liquid measurement subsystem and all comprise separately:
Electrolytic tank, electrolytic tank consists of the sub-electrolytic tank in two of left and right, and groove is nested with an O-ring seal that contacts with tin plate plate face to be measured, and tin plate to be measured bottom is provided with backstay;
Two cover electrodes, use the silver electrode of inserting electrolytic tank or mercurous chloride electrode as contrast electrode, inserts the carbon electrode of electrolytic tank for introducing steady current;
A chemical tank, contain electrolytic stripping liquid in chemical tank, and by peristaltic pump, be communicated with electrolytic tank.
4. multi-functional tin plate sheet surface characteristic test device according to claim 1 is characterized in that: plumbously in described coating measure needed sample preparation liquid measurement subsystem and also comprise a sample divider that connects this subsystem electrolytic tank.
5. multi-functional tin plate sheet surface characteristic test device according to claim 2 is characterized in that: described air-path control system comprises that a pneumatic valve and one are used for the sealing of close encapsulation circle, tin plate to be measured and carry out bar.
6. multi-functional tin plate sheet surface characteristic test device according to claim 1, it is characterized in that: multiple constant current power module wherein is high-precision program control continuous current DC power supplier, this module also comprises the control survey circuit, and described control survey circuit comprises accurate sample resistance, first instrument amplifier, second instrument amplifier, the 3rd instrument amplifier, field effect transistor, A/D converter, D/A converter, field effect transistor is connected with contrast electrode, the output terminal of the 3rd instrument amplifier, accurate sample resistance is in parallel with field effect transistor respectively, the positive input terminal of the 3rd instrument amplifier is connected with the output terminal of first instrument amplifier, the output terminal of the negative input end of the 3rd instrument amplifier and second instrument amplifier, the output terminal of A/D converter is in parallel, the positive input terminal of second instrument amplifier, negative input end is connected to the two ends of accurate sample resistance, the positive input terminal of first instrument amplifier is connected with the output terminal of D/A converter, the negative input end of first instrument amplifier is parallel to the output terminal of first instrument amplifier, the output terminal of A/D converter, D/A output translator is connected with the CPU of PC respectively, the positive pole of described control survey circuit is connected with carbon electrode, and negative pole is connected with contrast electrode.
Priority Applications (1)
| Application Number | Priority Date | Filing Date | Title |
|---|---|---|---|
| CN2013200960613U CN203299161U (en) | 2013-03-04 | 2013-03-04 | Multifunctional tin plate surface property testing device |
Applications Claiming Priority (1)
| Application Number | Priority Date | Filing Date | Title |
|---|---|---|---|
| CN2013200960613U CN203299161U (en) | 2013-03-04 | 2013-03-04 | Multifunctional tin plate surface property testing device |
Publications (1)
| Publication Number | Publication Date |
|---|---|
| CN203299161U true CN203299161U (en) | 2013-11-20 |
Family
ID=49575166
Family Applications (1)
| Application Number | Title | Priority Date | Filing Date |
|---|---|---|---|
| CN2013200960613U Expired - Fee Related CN203299161U (en) | 2013-03-04 | 2013-03-04 | Multifunctional tin plate surface property testing device |
Country Status (1)
| Country | Link |
|---|---|
| CN (1) | CN203299161U (en) |
Cited By (4)
| Publication number | Priority date | Publication date | Assignee | Title |
|---|---|---|---|---|
| CN104034760A (en) * | 2013-03-04 | 2014-09-10 | 上海宝钢工业技术服务有限公司 | Multifunctional tin plate surface characteristic testing device and use method thereof |
| CN105353011A (en) * | 2015-11-17 | 2016-02-24 | 武汉钢铁(集团)公司 | Analyzer for metal oxide film |
| CN105445357A (en) * | 2015-12-25 | 2016-03-30 | 宝山钢铁股份有限公司 | Device and method for measuring concentration of graphite in insulating oil during mill roll electro-discharge texturing process |
| CN110707508A (en) * | 2019-11-29 | 2020-01-17 | 徐晶 | Indoor decoration electric wire ration tinning stack |
-
2013
- 2013-03-04 CN CN2013200960613U patent/CN203299161U/en not_active Expired - Fee Related
Cited By (6)
| Publication number | Priority date | Publication date | Assignee | Title |
|---|---|---|---|---|
| CN104034760A (en) * | 2013-03-04 | 2014-09-10 | 上海宝钢工业技术服务有限公司 | Multifunctional tin plate surface characteristic testing device and use method thereof |
| CN105353011A (en) * | 2015-11-17 | 2016-02-24 | 武汉钢铁(集团)公司 | Analyzer for metal oxide film |
| CN105445357A (en) * | 2015-12-25 | 2016-03-30 | 宝山钢铁股份有限公司 | Device and method for measuring concentration of graphite in insulating oil during mill roll electro-discharge texturing process |
| CN105445357B (en) * | 2015-12-25 | 2019-03-29 | 宝山钢铁股份有限公司 | During roll electric spark texturing in insulating oil graphite concentration measurement method |
| CN110707508A (en) * | 2019-11-29 | 2020-01-17 | 徐晶 | Indoor decoration electric wire ration tinning stack |
| CN110707508B (en) * | 2019-11-29 | 2020-11-13 | 绍兴纤逸纺织科技有限公司 | Indoor decoration electric wire ration tinning stack |
Similar Documents
| Publication | Publication Date | Title |
|---|---|---|
| CN203299161U (en) | Multifunctional tin plate surface property testing device | |
| CN105547989B (en) | A kind of electro-chemical test experimental provision of metal Dynamic Corrosion | |
| CN108181200A (en) | Mud shale adsorption isotherm experiment curve correcting method and device | |
| CN105355946B (en) | The in-situ monitoring method and system of vanadium cell both positive and negative polarity electrolyte state-of-charge | |
| CN102879543B (en) | Multi-parameter integrated continuous online monitoring system for water quality of underground water | |
| CN202770745U (en) | In-situ observation experimental device for electrochemical corrosion measurement | |
| CN105424769A (en) | Trace dissolved oxygen tester on-line calibrating device and calibration method thereof | |
| CN104034760A (en) | Multifunctional tin plate surface characteristic testing device and use method thereof | |
| CN109709261B (en) | Method and instrument for measuring degree of hydrolysis of sulfonate-containing polyacrylamide polymer | |
| CN107064223B (en) | Online measurement and calibration system and method adopting intelligent trace dissolved oxygen analyzer | |
| CN203949973U (en) | A kind of impedance measurement device | |
| CN108318570B (en) | A modular electric field fingerprint detection system and detection method based on coupons | |
| CN207318002U (en) | A kind of automation calibration of pressure sensor and test equipment | |
| CN106442257A (en) | A new complex structure well seepage electrical simulation system based on ionic liquid | |
| CN102706947B (en) | Portable pH instrument | |
| CN107490604A (en) | Analyzer of water content and utilization impedance type principle measurement measurement of water ratio method | |
| CN203101324U (en) | Device for detecting lead in water on line based on sequential injection | |
| CN102998470B (en) | Tin plate sheet surface quality of coating full-automatic multi-functional measuring system | |
| CN105277598A (en) | Testing device and testing method for thickness of oxide film of copper rod for electrician | |
| CN103604844B (en) | A deep-sea corrosion test device that can measure and adjust the oxygen content of corrosive liquid | |
| CN103933781B (en) | A kind of water filter element life Online Transaction Processing | |
| CN203275361U (en) | Instrument for analyzing heavy metal concentration of water | |
| CN103901082B (en) | Tin plate sheet surface chromium amount electrolysis self-operated measuring unit and mensuration endpoint method | |
| CN204255801U (en) | A shale gas diffusion capacity tester | |
| CN202854235U (en) | Device for measuring solution conductivity by using two waveform excitation signals |
Legal Events
| Date | Code | Title | Description |
|---|---|---|---|
| C14 | Grant of patent or utility model | ||
| GR01 | Patent grant | ||
| CF01 | Termination of patent right due to non-payment of annual fee |
Granted publication date: 20131120 Termination date: 20200304 |
|
| CF01 | Termination of patent right due to non-payment of annual fee |
