CN203219239U - Position sensorless motor control device for SDFT rotor position identification - Google Patents
Position sensorless motor control device for SDFT rotor position identification Download PDFInfo
- Publication number
- CN203219239U CN203219239U CN 201320129816 CN201320129816U CN203219239U CN 203219239 U CN203219239 U CN 203219239U CN 201320129816 CN201320129816 CN 201320129816 CN 201320129816 U CN201320129816 U CN 201320129816U CN 203219239 U CN203219239 U CN 203219239U
- Authority
- CN
- China
- Prior art keywords
- unit
- sdft
- motor control
- control device
- rotor position
- Prior art date
- Legal status (The legal status is an assumption and is not a legal conclusion. Google has not performed a legal analysis and makes no representation as to the accuracy of the status listed.)
- Expired - Fee Related
Links
- 238000005070 sampling Methods 0.000 claims abstract description 24
- 238000004804 winding Methods 0.000 claims abstract description 19
- 230000001360 synchronised effect Effects 0.000 claims abstract description 17
- 239000003990 capacitor Substances 0.000 claims abstract description 11
- 238000004146 energy storage Methods 0.000 claims abstract description 11
- 230000009466 transformation Effects 0.000 claims description 19
- 238000002955 isolation Methods 0.000 claims description 14
- 238000004891 communication Methods 0.000 claims description 6
- 238000002347 injection Methods 0.000 abstract description 2
- 239000007924 injection Substances 0.000 abstract description 2
- 230000000694 effects Effects 0.000 abstract 1
- 238000005516 engineering process Methods 0.000 abstract 1
- 238000000034 method Methods 0.000 description 5
- 238000001514 detection method Methods 0.000 description 3
- 238000009434 installation Methods 0.000 description 3
- 238000010586 diagram Methods 0.000 description 2
- 230000005284 excitation Effects 0.000 description 2
- 238000012423 maintenance Methods 0.000 description 2
- 230000007547 defect Effects 0.000 description 1
- 239000000428 dust Substances 0.000 description 1
- 230000007613 environmental effect Effects 0.000 description 1
- 239000011159 matrix material Substances 0.000 description 1
- 230000001105 regulatory effect Effects 0.000 description 1
- 238000007789 sealing Methods 0.000 description 1
Images
Landscapes
- Control Of Motors That Do Not Use Commutators (AREA)
Abstract
Description
技术领域 technical field
本实用新型涉及一种无位置传感器永磁同步电机控制装置,属于无传感器永磁同步电机矢量控制技术领域。 The utility model relates to a position sensorless permanent magnet synchronous motor control device, which belongs to the technical field of sensorless permanent magnet synchronous motor vector control. the
背景技术 Background technique
永磁同步电机具有功率密度高、结构简单、效率高、控制性能优越等优点,在数控机床、医疗器械、航空航天领域得到广泛的应用。高性能永磁同步电机交流调速系统需要获取转子瞬时位置信息以实现磁场定向。实际系统中通常采用传感器实时检测转子位置,常用的传感器有:光电编码器、旋转变压器、霍尔位置传感器等。这些独立传感器的使用不仅增加了控制系统的成本,也带来了相应的信号检测处理复杂性及可靠性问题。机械传感器的使用在实际应用中具有很大的局限性,表现在以下几个方面: Permanent magnet synchronous motors have the advantages of high power density, simple structure, high efficiency, and superior control performance, and are widely used in CNC machine tools, medical equipment, and aerospace fields. The AC speed control system of high-performance permanent magnet synchronous motor needs to obtain the instantaneous position information of the rotor to realize the field orientation. In actual systems, sensors are usually used to detect the rotor position in real time. Commonly used sensors include: photoelectric encoders, resolvers, Hall position sensors, etc. The use of these independent sensors not only increases the cost of the control system, but also brings corresponding signal detection processing complexity and reliability problems. The use of mechanical sensors has great limitations in practical applications, which are manifested in the following aspects:
(1)对于一些容量小、追求低成本的设备,精度高、响应速度快的位置传感器价格昂贵,显著增加了系统成本降低了市场竞争力。 (1) For some devices with small capacity and low cost, position sensors with high precision and fast response are expensive, which significantly increases system costs and reduces market competitiveness. the
(2)传感器的精度易受温度、湿度、振动等外部环境条件干扰,在一些环境比较恶劣的场合以及高温、密封、粉尘等特殊场合无法使用。 (2) The accuracy of the sensor is easily disturbed by external environmental conditions such as temperature, humidity, and vibration, and cannot be used in some harsh environments and special occasions such as high temperature, sealing, and dust. the
(3)安装在轴上的机械式传感器不仅增加了电机转子转轴的转动惯量,增大了电机轴向空间尺寸而且安装不当会导致同心度问题,降低精度。 (3) The mechanical sensor installed on the shaft not only increases the moment of inertia of the motor rotor shaft, but also increases the axial space size of the motor, and improper installation will cause concentricity problems and reduce accuracy. the
由于在高性能电机驱动系统中转子位置信息是不可缺少的重要物理量,而机械式位置传感器的安装和使用存在上述的各种缺陷,所以研究无位置传感器永磁同步电机控制方法及装置有着重要的实际意义。 Since the rotor position information is an indispensable and important physical quantity in the high-performance motor drive system, and the installation and use of the mechanical position sensor have the above-mentioned various defects, it is important to study the control method and device of the position sensorless permanent magnet synchronous motor. practical meaning. the
发明内容 Contents of the invention
本实用新型是为了解决现有机械式位置传感器检测信号成本高、安装维护复杂、可靠性差等问题,提供一种SDFT转子位置辨识的无位置传感器电机控制装置。 The utility model aims to solve the problems of high cost, complicated installation and maintenance, and poor reliability of the existing mechanical position sensor detection signal, and provides a position sensorless motor control device for SDFT rotor position identification. the
本实用新型所采用的技术方案是: The technical scheme adopted in the utility model is:
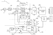
本实用新型SDFT转子位置辨识的无位置传感器永磁同步电机控制装置,它包括无位置传感器控制单元、PC机、隔离电路、母线电压采样单元、定子绕组电流采样单元、三相不控 整流桥、母线储能电容器组、IPM三相电压源型逆变器,永磁同步电动机。三相不控整流桥将三相交流电整流为直流电对母线储能电容器组进行充电,母线储能电容器组的输出经IPM三相电压源型逆变器变频后,为定子绕组提供变频电源;定子绕组电流采样单元的输出端信号为无位置传感器控制单元提供采样电流,隔离电路输出的驱动信号作为IPM三相电压源型逆变器的驱动输入信号。无位置传感器控制单元的输出端连接隔离电路的输入端,隔离电路输出的驱动信号连接IPM三相电压源型逆变器的驱动输入端,无位置传感器控制单元的通信端与PC机相连;其特征在于无位置传感器控制单元的输出端与隔离电路输入端相连,无位置传感器控制单元的输入端分别与母线电压采样单元输出端、定子绕组电流采样单元输出端相连,无位置传感器控制单元的通信端与PC机通信端相连。 The utility model SDFT rotor position recognition non-position sensor permanent magnet synchronous motor control device, which includes a non-position sensor control unit, a PC, an isolation circuit, a bus voltage sampling unit, a stator winding current sampling unit, a three-phase uncontrolled rectifier bridge, Bus energy storage capacitor bank, IPM three-phase voltage source inverter, permanent magnet synchronous motor. The three-phase uncontrolled rectifier bridge rectifies the three-phase alternating current into direct current to charge the bus energy storage capacitor bank, and the output of the bus energy storage capacitor bank is converted by the IPM three-phase voltage source inverter to provide variable frequency power for the stator winding; The output signal of the winding current sampling unit provides sampling current for the position sensorless control unit, and the driving signal output by the isolation circuit is used as the driving input signal of the IPM three-phase voltage source inverter. The output end of the sensorless control unit is connected to the input end of the isolation circuit, the drive signal output by the isolation circuit is connected to the drive input end of the IPM three-phase voltage source inverter, and the communication end of the sensorless control unit is connected to the PC; It is characterized in that the output end of the position sensorless control unit is connected with the input end of the isolation circuit, the input end of the position sensorless control unit is respectively connected with the output end of the bus voltage sampling unit and the output end of the stator winding current sampling unit, and the communication of the position sensorless control unit The end is connected with the communication end of the PC. the
所述的无位置传感器控制单元包括转速PI调节器、q轴电流PI调节器、d轴电流PI调节器、高频电压发生器、反Park变换单元、SVPWM脉冲调制器、解耦控制器、Clark变换单元、第一Park变换单元、低通滤波器1LPF、低通滤波器2LPF、第二Park变换单元、SDFT单元、PI调节器和积分器。无位置传感器控制单元中转子位置角和转速是通过SDFT单元和PI调节器辨识得到而不是传感器检测而来,第二Park变换单元输出的高频电流信号作为SDFT单元的输入,经过SDFT单元提取出转子位置信息,再通过PI调节器进行调制得到转速,转速通过积分器得到转子位置角。母线电压采样单元所用的是霍尔式电压传感器、定子绕组电流采样单元所用的是霍尔式电流传感器。隔离电路为光耦隔离。无位置传感器控制单元其核心微处理器型号为TI公司的32位DSP-TMS320F28335。 The position sensorless control unit includes a rotational speed PI regulator, a q-axis current PI regulator, a d-axis current PI regulator, a high-frequency voltage generator, an inverse Park transformation unit, an SVPWM pulse modulator, a decoupling controller, and a Clark A transform unit, a first Park transform unit, a low-pass filter 1LPF, a low-pass filter 2LPF, a second Park transform unit, an SDFT unit, a PI regulator, and an integrator. In the position sensorless control unit, the rotor position angle and speed are identified by the SDFT unit and the PI regulator instead of the sensor detection. The high-frequency current signal output by the second Park transformation unit is used as the input of the SDFT unit and extracted by the SDFT unit. The rotor position information is then modulated by the PI regulator to obtain the rotational speed, and the rotational speed is obtained by the integrator to obtain the rotor position angle. The bus voltage sampling unit uses a Hall-type voltage sensor, and the stator winding current sampling unit uses a Hall-type current sensor. The isolation circuit is optocoupler isolation. The core microprocessor model of the position sensorless control unit is 32-bit DSP-TMS320F28335 of TI Company. the
本实用新型的优点是:无需机械式位置传感器,利用电机的凸极性注入高频电压激励,定子绕组中感应出包含转子位置信息的高频电流响应信号,通过SDFT(Slide Discrete Fourier Transform)提取出d、q轴高频电流分量的幅值并进行简单的代数运算即可得到转子位置角度,相比现有的外差法无需同步轴系坐标变换和带通滤波器、高通滤波器的使用,结构简单,且不受注入信号初始相位的影响,精度高、响应快,造价低,方便维护具有广泛的实用性。 The utility model has the advantages that no mechanical position sensor is needed, the salient polarity of the motor is used to inject high-frequency voltage excitation, and the high-frequency current response signal containing rotor position information is induced in the stator winding, which is extracted by SDFT (Slide Discrete Fourier Transform) The rotor position angle can be obtained by obtaining the amplitude of the high-frequency current components of the d and q axes and performing simple algebraic operations. Compared with the existing heterodyne method, there is no need for synchronous axis coordinate transformation and the use of band-pass filters and high-pass filters. , the structure is simple, and it is not affected by the initial phase of the injection signal, the precision is high, the response is fast, the cost is low, the maintenance is convenient, and it has wide practicability. the
附图说明 Description of drawings
图1为本实用新型的结构原理示意框图。 Fig. 1 is a schematic block diagram of the structure principle of the utility model. the
图2为本实用新型中的SDFT转子位置辨识无位置传感器控制单元结构示意图。 Fig. 2 is a structural schematic diagram of the SDFT rotor position identification sensorless control unit in the present invention. the
具体实施方式 Detailed ways
具体实施方式一:下面结合图1说明本实施方式,本实施方式所述SDFT转子位置辨识的无位置传感器电机控制装置,它包括无位置传感器控制单元1、PC机2、隔离电路3、母 线电压采样单元4、定子绕组电流采样单元5、三相不控整流桥6、母线储能电容器组7、IPM三相电压源型逆变器8、永磁同步电动机9。本装置在连接三相交流电源前将母线储能电容器组7预充电电路中的开关K1断开,上电后三相交流电源经三相不控整流桥6对母线储能电容器组7进行充电,预充电结束后闭合开关K1,为IPM三相电压源型逆变器8提供直流电源,母线电压采样单元4使用LEM公司的LV28-P霍尔式电压传感器,其输入端与母线储能电容器组7相连,输出端送入无位置传感器控制单1中,IPM三相电压源型逆变器8与永磁同步电机9相连,在连接线上串联定子绕组电流采样单元5,定子绕组电流采样单元5使用的是LA28-NP霍尔式电流传感器,其输出端与无位置传感器控制单元1中Clark变换单元108的输入端相连,无位置传感器控制单元1输出端经隔离电路3后将脉冲调制信号输入到IPM三相电压源型逆变器8驱动输入端为功率器件提供开关信号,无位置传感器控制单元1的通信端与PC机2连接。
Specific embodiment one: the present embodiment is described below in conjunction with Fig. 1, the position sensorless motor control device of the SDFT rotor position identification described in the present embodiment, it comprises a position sensorless control unit 1,
具体实施方式二:下面结合图2说明本实施方式,本实施方式为基于实施方式一所述SDFT转子位置辨识的永磁同步电机无位置传感器控制装置的无位置传感器控制单元,它包括转速PI调节器101、q轴电流PI调节器102、d轴电流PI调节器103、高频电压发生器104、反Park变换单元105、SVPWM脉冲调制器106、解耦控制器107、Clark变换单元108、第一Park变换单元109、低通滤波器1LPF110、低通滤波器2LPF111、第二Park变换单元112、SDFT单元113、PI调节器114、积分器115。设定的ωref与SDFT辨识得到的ω相比较,经过转速PI调节器101输出q轴电流值iqref,idref是d轴电流设定值,通过定子绕组电流采样单元5检测到的永磁同步电机9定子绕组中的电流ia、ib,经Clark变换单元108、第一Park变换单元109、低通滤波器1LPF110、低通滤波器2LPF111得到电流id、iq,分别将其与iqref,idref比较后经过各自的电流PI调节器101、102输出ud、uq,再和解耦控制器107的输出、高频电压发生器104的输出组合后得到电压指令值,再经反Park变换单元105得到在两相静止坐标系下的电压指令值最后经SVPWM脉冲调制器106输出开关信号,从定子绕组电流采样单元得到的电流ia、ib,经Clark变换单元108、第二Park变换单元109得到包含位置信息的高频电流经SDFT单元113提取幅值后进行简单的代数运算得到包含位置信息的误差信号最后经PI调节器114得到转子位置角再经过积分器115输出转速信号ω。
Specific embodiment 2: The present embodiment is described below in conjunction with FIG. 2 . This embodiment is a position sensorless control unit of a permanent magnet synchronous motor position sensorless control device based on the SDFT rotor position identification described in Embodiment 1, which includes a rotational
下面对实施方式二中的SDFT转子位置辨识的方法进行具体阐述,在图2中注入的高频电压激励如公式1所示:
The method for identifying the position of the SDFT rotor in
式中为注入的高频电压,ui为注入信号的幅值,ωi为注入信号的频率。 In the formula is the injected high-frequency voltage, u i is the amplitude of the injected signal, and ω i is the frequency of the injected signal.
为阐述该方法的理论依据,在dq坐标系基础上,引入一个新的坐标系其按照旋转,其中θ为转子实际位置角,为辨识得到的转子位置角,则在该坐标系下感应产生的高频电流响应如公式2所示: In order to illustrate the theoretical basis of this method, a new coordinate system is introduced on the basis of the dq coordinate system its according to Rotation, where θ is the actual position angle of the rotor, In order to identify the obtained rotor position angle, the high-frequency current response induced in this coordinate system is shown in Equation 2:
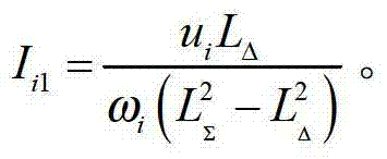
式中Ld、Lq分别表示交直轴电感,LΣ=(Ld+Lq)/2,L△=(Lq-Ld)/2, 则经SDFT单元113提取出的d、q轴高频电流幅值可以表示成公式3形式:
In the formula, L d and L q represent the inductance of the orthogonal and direct axes respectively, L Σ =(L d +L q )/2, L △ =(L q -L d )/2, Then the d and q axis high-frequency current amplitudes extracted by the
(公式3) ...
根据公式3,若用PI调节器114将误差信号闭环调节至0用于提取转子位置角,误差项需要化简为sin(2θ)形式。因此,可将转化成坐标系,变换矩阵为公式4所示:
According to
只需将第二Park变换单元112的输入角度减去π/4即可实现上述坐标系的转换,则在坐标系中
The transformation of the above-mentioned coordinate system can be realized only by subtracting π/4 from the input angle of the second
经PI调节器114调节后时输出的即为转子位置角再经过积分器115得到转速 信号ω。
After being regulated by
注意事项:本实用新型中所提及的角度均为电角度。 Note: the angles mentioned in this utility model are all electrical angles. the
Claims (7)
Priority Applications (1)
| Application Number | Priority Date | Filing Date | Title |
|---|---|---|---|
| CN 201320129816 CN203219239U (en) | 2013-03-21 | 2013-03-21 | Position sensorless motor control device for SDFT rotor position identification |
Applications Claiming Priority (1)
| Application Number | Priority Date | Filing Date | Title |
|---|---|---|---|
| CN 201320129816 CN203219239U (en) | 2013-03-21 | 2013-03-21 | Position sensorless motor control device for SDFT rotor position identification |
Publications (1)
| Publication Number | Publication Date |
|---|---|
| CN203219239U true CN203219239U (en) | 2013-09-25 |
Family
ID=49208740
Family Applications (1)
| Application Number | Title | Priority Date | Filing Date |
|---|---|---|---|
| CN 201320129816 Expired - Fee Related CN203219239U (en) | 2013-03-21 | 2013-03-21 | Position sensorless motor control device for SDFT rotor position identification |
Country Status (1)
| Country | Link |
|---|---|
| CN (1) | CN203219239U (en) |
Cited By (4)
| Publication number | Priority date | Publication date | Assignee | Title |
|---|---|---|---|---|
| CN103825525A (en) * | 2014-03-17 | 2014-05-28 | 江苏吉泰科电气股份有限公司 | Improved sensor-less permanent magnetic synchronous motor speed estimation method |
| CN103916062A (en) * | 2014-04-01 | 2014-07-09 | 合肥工业大学 | Vector control type electric actuator based on DSP |
| CN105932912A (en) * | 2016-05-17 | 2016-09-07 | 厦门理工学院 | Method for detecting initial position of rotor of PMSM (permanent magnet synchronous motor) |
| CN108494309A (en) * | 2018-05-04 | 2018-09-04 | 中车青岛四方车辆研究所有限公司 | Threephase asynchronous machine speed-adjusting and control system and control method based on high frequency injection |
-
2013
- 2013-03-21 CN CN 201320129816 patent/CN203219239U/en not_active Expired - Fee Related
Cited By (5)
| Publication number | Priority date | Publication date | Assignee | Title |
|---|---|---|---|---|
| CN103825525A (en) * | 2014-03-17 | 2014-05-28 | 江苏吉泰科电气股份有限公司 | Improved sensor-less permanent magnetic synchronous motor speed estimation method |
| CN103916062A (en) * | 2014-04-01 | 2014-07-09 | 合肥工业大学 | Vector control type electric actuator based on DSP |
| CN103916062B (en) * | 2014-04-01 | 2016-06-22 | 合肥工业大学 | A kind of vector controlled YE based on DSP |
| CN105932912A (en) * | 2016-05-17 | 2016-09-07 | 厦门理工学院 | Method for detecting initial position of rotor of PMSM (permanent magnet synchronous motor) |
| CN108494309A (en) * | 2018-05-04 | 2018-09-04 | 中车青岛四方车辆研究所有限公司 | Threephase asynchronous machine speed-adjusting and control system and control method based on high frequency injection |
Similar Documents
| Publication | Publication Date | Title |
|---|---|---|
| CN103269198B (en) | Permanent magnet synchronous motor control method and system based on encoder automatic zero set | |
| Noguchi et al. | Initial rotor position estimation method of sensorless PM synchronous motor with no sensitivity to armature resistance | |
| CN107171608B (en) | A sensorless initial position detection method for permanent magnet synchronous motor | |
| CN102158158B (en) | Soft measurement and suspension system construction method for rotor displacement of bearingless synchronous reluctance motor | |
| CN102075131B (en) | Low-speed and zero-speed rotor position observation method and device during fault-tolerant operation of synchronous motor | |
| CN103825525B (en) | A kind of permagnetic synchronous motor without sensor speed estimation method of improvement | |
| CN101615876B (en) | Timing control system and method for non-salient pole permanent magnet synchronous motor | |
| CN203251268U (en) | Permanent magnet synchronous motor control system based on automatic zero set of encoder | |
| CN103986393B (en) | Method for detecting initial position of rotor of permanent magnet synchronous motor | |
| CN103199788B (en) | Permanent magnet synchronous motor rotor position observer | |
| CN105450127A (en) | PMSM (permanent magnet synchronous motor) rotor position detection method based on high frequency signal injection | |
| CN104360171A (en) | Method for measuring inductance parameter of permanent magnet synchronous motor | |
| CN105811831A (en) | Tracking method of rotor position of salient pole permanent magnet synchronous motor in motion state | |
| CN104320034B (en) | Permanent magnet brushless direct current motor low-speed and zero-speed rotor position observing method | |
| CN108390611B (en) | Permanent magnet synchronous motor sensorless control method based on rotary high-frequency injection | |
| CN108288936A (en) | A kind of permanent-magnetism linear motor low speed method for controlling position-less sensor | |
| CN102401626A (en) | A Method for Estimating Installation Deviation of Rotor Position Sensor of Permanent Magnet Synchronous Motor | |
| CN203219239U (en) | Position sensorless motor control device for SDFT rotor position identification | |
| Zhao et al. | Sensorless control of surface-mounted permanent-magnet synchronous machines for low-speed operation based on high-frequency square-wave voltage injection | |
| CN104009697A (en) | A method for substation inspection robot to detect position information using hybrid observation device | |
| CN102361430A (en) | Position sensor-free vector control device for built-in permanent magnetic synchronous motor | |
| CN105450106B (en) | Magneto alternator rotor position estimation method | |
| CN108258963A (en) | Permanent-magnet synchronous motor rotor position discrimination method | |
| CN104283482B (en) | Permanent-magnet brushless DC electric machine low speed and zero-speed rotor-position observation system | |
| WO2021114993A1 (en) | Position-sensorless control method and system for permanent magnet synchronous motor |
Legal Events
| Date | Code | Title | Description |
|---|---|---|---|
| C14 | Grant of patent or utility model | ||
| GR01 | Patent grant | ||
| C17 | Cessation of patent right | ||
| CF01 | Termination of patent right due to non-payment of annual fee |
Granted publication date: 20130925 Termination date: 20140321 |











