CN202938862U - 科里奥利质量流量计 - Google Patents
科里奥利质量流量计 Download PDFInfo
- Publication number
- CN202938862U CN202938862U CN 201220566541 CN201220566541U CN202938862U CN 202938862 U CN202938862 U CN 202938862U CN 201220566541 CN201220566541 CN 201220566541 CN 201220566541 U CN201220566541 U CN 201220566541U CN 202938862 U CN202938862 U CN 202938862U
- Authority
- CN
- China
- Prior art keywords
- coriolis mass
- output interface
- vibrating tube
- mass flowmeters
- pedestal
- Prior art date
- Legal status (The legal status is an assumption and is not a legal conclusion. Google has not performed a legal analysis and makes no representation as to the accuracy of the status listed.)
- Expired - Fee Related
Links
- 238000002955 isolation Methods 0.000 claims abstract description 7
- 230000005284 excitation Effects 0.000 claims abstract description 4
- NJPPVKZQTLUDBO-UHFFFAOYSA-N novaluron Chemical compound C1=C(Cl)C(OC(F)(F)C(OC(F)(F)F)F)=CC=C1NC(=O)NC(=O)C1=C(F)C=CC=C1F NJPPVKZQTLUDBO-UHFFFAOYSA-N 0.000 claims description 13
- 238000005452 bending Methods 0.000 claims description 9
- 238000000034 method Methods 0.000 claims description 9
- 230000008569 process Effects 0.000 claims description 7
- 239000007788 liquid Substances 0.000 abstract description 3
- 238000006243 chemical reaction Methods 0.000 abstract 1
- 238000005259 measurement Methods 0.000 abstract 1
- 230000001133 acceleration Effects 0.000 description 5
- 239000002245 particle Substances 0.000 description 4
- 239000012530 fluid Substances 0.000 description 3
- 238000010586 diagram Methods 0.000 description 2
- 238000005516 engineering process Methods 0.000 description 2
- 238000004519 manufacturing process Methods 0.000 description 2
- 230000007704 transition Effects 0.000 description 2
- 238000010923 batch production Methods 0.000 description 1
- 230000008901 benefit Effects 0.000 description 1
- 150000001875 compounds Chemical class 0.000 description 1
- 230000001186 cumulative effect Effects 0.000 description 1
- 230000007812 deficiency Effects 0.000 description 1
- 230000000694 effects Effects 0.000 description 1
- 230000004907 flux Effects 0.000 description 1
- 239000007789 gas Substances 0.000 description 1
- 230000006872 improvement Effects 0.000 description 1
- 238000012423 maintenance Methods 0.000 description 1
- 239000000463 material Substances 0.000 description 1
- 230000004048 modification Effects 0.000 description 1
- 238000012986 modification Methods 0.000 description 1
- 239000007787 solid Substances 0.000 description 1
- 238000010200 validation analysis Methods 0.000 description 1
Images
Landscapes
- Measuring Volume Flow (AREA)
Abstract
本实用新型公开一种科里奥利质量流量计,属于测量液体及气体流量技术领域。科里奥利质量流量计由流量传感器和转换器两部分组成。所述流量传感器的测量管中装有两根振动管,所述两根振动管相互平行的安装于基座上,该两根平行设置的振动管的中点装有驱动线圈,且两根振动管两端均装有拾振线圈。所述两根振动管的根部装有两块隔振板及温度传感器。转换器主要由振动激励系统的振动信号发生单元、信号检测和信号处理单元等组成;确保流量计算机则还有组态设定、工程单位换算、信号显示和与上位机通信等功能。
Description
技术领域
本实用新型涉及一种测量液体及中高压气体流量的流量计,尤其是一种科里奥利质量流量计。
背景技术
流量计(flowmeter),全国科学技术名词审定委员会把它定义为指示被测流量和(或)在选定的时间间隔内流体总量的仪表。简单来说就是用于测量管道或明渠中流体流量的一种仪表,工程上常用单位m3/h,它可分为瞬时流量(Flow Rate)和累计流量(Total Flow),瞬时流量即单位时间内过封闭管道或明渠有效截面的量,流过的物质可以是气体、液体、固体;累计流量即为在某一段时间间隔内(一天、一周、一月、一年)流体流过封闭管道或明渠有效截面的累计量。通过瞬时流量对时间积分亦可求得累计流量,所以瞬时流量计和累计流量计之间也是可以相互转化的。
目前,现有科里奥利质量流量传感器采用的双振动管有各种各样形状,虽然其精度和稳定性已有较大改进,但其产品加工难度较大,生产中对工艺要求高,不易形成批量生产。
由此,本发明人考虑对现有的科里奥利质量流量计进行改进,本案由此产生。
发明内容
针对现有技术的不足,本实用新型提供了一种结构合理、使用方便快捷、精度高、稳定性好、生产工艺简单及成本低的科里奥利质量流量计。
为达到上述目的,本实用新型是通过以下技术方案实现的:
科里奥利质量流量计,其包括流量传感器及转换器;所述流量传感器的测量管中装有两根振动管,所述两根振动管相互平行的安装于基座上,该两根平行设置的振动管的中点装有驱动线圈,且两根振动管两端均装有拾振线圈。所述两根振动管的根部装有两块隔振板及温度传感器。
进一步,所述转换器主要由振动激励系统的振动信号发生单元、信号检测和信号处理单元组成。
进一步,所述振动管与基座直接相连,减小中间过渡件,使流量计不易产生应力。
进一步,所述两根振动管与驱动线圈、拾振线圈相对设置并分别由利用相应导线与转换电路连接。
进一步,所述转换电路包括与转换电路连接的处理显示电路,该处理显示电路包括微处理器、显示器及输出接口;所述微处理器的输入端与模-数转换电路连接,所述显示器及输出接口分别与微处理器相应输出端连接。
进一步,所述输出接口可为脉冲输出接口、4-20mA输出接口、RS232输出接口、RS485输出接口中的任一个或任多个。
进一步,所述两根振动管通过弯曲导管焊接于基座上,该弯曲导管的弯曲形状有很强的科氏力信号,可进行高灵敏度的质量流量检测。
进一步,所述基座采用整体加工方式。
进一步,所述弯曲导管平行地焊在基座上并采用整体隔振板。
采用上述技术方案后,本实用新型的优点:
本新型中的流量腔体结构容易加工,可降低产品的生产费用,管道内不易堵塞,产品的维护成本小,此弯曲导管形状科氏力信号强,可进行高灵敏度的质量流量检测,并具有良好准确性及长期稳定性。
附图说明
图1是本实用新型正视图。
图2是图1的侧视图。
图3是图2沿A-A的剖面图。
图4是图3沿B-B的剖面图。
图5是科里奥利力示意图。
图6是处理显示电路框图。
具体实施方式
下面结合附图对本实用新型作进一步说明:
实施例:请参阅图1所示,科里奥利质量流量计,其包括流量传感器1及转换器;所述流量传感器1的测量管11中装有两根振动管12,所述两根振动管12相互平行的直接安装于基座13上,减小中间过渡件,使流量计不易产生应力,该两根平行设置的振动管12的中点装有驱动线圈14,且两根振动管12两端均装有拾振线圈15。所述两根振动管12的根部装有两块隔振板16及温度传感器17;所述转换器主要由振动激励系统的振动信号发生单元、信号检测和信号处理单元组成,确保流量计算机则还有组态设定、工程单位换算、信号显示和与上位机通信等功能。
两根振动管12与驱动线圈14、拾振线圈15相对设置并分别由利用相应导线与转换电路连接,而转换电路包括与转换电路连接的处理显示电路2,该处理显示电路2包括微处理器21、显示器22及输出接口23;所述微处理器21的输入端与模-数转换电路连接,所述显示器22及输出接口23分别与微处理器21相应输出端连接,且上述输出接口23可为脉冲输出接口、4-20mA输出接口、RS232输出接口、RS485输出接口中的任一个或任多个。
两根振动管12通过弯曲导管18焊接于基座13上,该弯曲导管18的弯曲形状有很强的科氏力信号,可进行高灵敏度的质量流量检测。而弯曲导管18平行地焊在基座13上并采用整体隔振板。所述基座13采用整体加工方式。
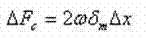
科里奥利力与质量流量计流量的关系:
当质量为m的质点以速度υ在对p轴作角速度ω旋转的管道内移动时,质点受到两个分量的加速度及其力:
a、法向加速度即向心力加速度αr,其量值等于ω2r,方向朝向P轴;
b、切向加速度αt 即科里奥利加速度,其量值等于2ωυ,方向与αr垂直。由于复合运动,在质点的αt方向上作用着科里奥利Fc=2ωυm,管道对质点作用着一个反向力-Fc= -2ωυm。
当密度为ρ的流体在旋转管道中以恒定速度υ流动时,任何一段长度Δx的管道都将受到一个ΔFc的切向科里奥利力,
上式中 A为管道的流通内截面积。
以上所记载,仅为利用本创作技术内容的实施例,任何熟悉本项技艺者运用本创作所做的修饰、变化,皆属本创作主张的专利范围,而不限于实施例所揭示者。
Claims (8)
1.科里奥利质量流量计,其特征在于:其包括流量传感器及转换器;所述流量传感器的测量管中装有两根振动管,所述两根振动管相互平行的安装于基座上,该两根平行设置的振动管的中点装有驱动线圈,且两根振动管两端均装有拾振线圈,所述两根振动管的根部装有两块隔振板及温度传感器。
2.根据权利要求1所述的科里奥利质量流量计,其特征在于:所述两根振动管与驱动线圈、拾振线圈相对设置并分别由利用相应导线与转换电路连接。
3.根据权利要求2所述的科里奥利质量流量计,其特征在于:所述转换电路包括与转换电路连接的处理显示电路,该处理显示电路包括微处理器、显示器及输出接口;所述微处理器的输入端与模-数转换电路连接,所述显示器及输出接口分别与微处理器相应输出端连接。
4.根据权利要求3所述的科里奥利质量流量计,其特征在于:所述输出接口可为脉冲输出接口、4-20mA输出接口、RS232输出接口、RS485输出接口中的任一个或任多个。
5.根据权利要求1所述的科里奥利质量流量计,其特征在于:所述两根振动管通过弯曲导管焊接于基座上。
6.根据权利要求1或5所述的科里奥利质量流量计,其特征在于:所述基座采用整体加工方式。
7.根据权利要求5所述的科里奥利质量流量计,其特征在于:所述弯曲导管平行地焊在基座上并采用整体隔振板。
8.根据权利要求1所述的科里奥利质量流量计,其特征在于:所述转换器主要由振动激励系统的振动信号发生单元、信号检测和信号处理单元组成。
Priority Applications (1)
| Application Number | Priority Date | Filing Date | Title |
|---|---|---|---|
| CN 201220566541 CN202938862U (zh) | 2012-10-31 | 2012-10-31 | 科里奥利质量流量计 |
Applications Claiming Priority (1)
| Application Number | Priority Date | Filing Date | Title |
|---|---|---|---|
| CN 201220566541 CN202938862U (zh) | 2012-10-31 | 2012-10-31 | 科里奥利质量流量计 |
Publications (1)
| Publication Number | Publication Date |
|---|---|
| CN202938862U true CN202938862U (zh) | 2013-05-15 |
Family
ID=48323096
Family Applications (1)
| Application Number | Title | Priority Date | Filing Date |
|---|---|---|---|
| CN 201220566541 Expired - Fee Related CN202938862U (zh) | 2012-10-31 | 2012-10-31 | 科里奥利质量流量计 |
Country Status (1)
| Country | Link |
|---|---|
| CN (1) | CN202938862U (zh) |
Cited By (4)
| Publication number | Priority date | Publication date | Assignee | Title |
|---|---|---|---|---|
| CN104316122A (zh) * | 2014-10-24 | 2015-01-28 | 成都安迪生测量有限公司 | 一种高稳定性液体流量计 |
| CN113108855A (zh) * | 2021-04-13 | 2021-07-13 | 合肥精大仪表股份有限公司 | 一种基于科里奥利原理的质量流量计 |
| CN113962109A (zh) * | 2021-11-24 | 2022-01-21 | 华科电子股份有限公司 | 应用于粘性阻塞流的蒸汽源的可显示蒸汽质量流量计 |
| CN114563050A (zh) * | 2022-04-18 | 2022-05-31 | 江苏大学 | 一种流量计及流量测量方法 |
-
2012
- 2012-10-31 CN CN 201220566541 patent/CN202938862U/zh not_active Expired - Fee Related
Cited By (4)
| Publication number | Priority date | Publication date | Assignee | Title |
|---|---|---|---|---|
| CN104316122A (zh) * | 2014-10-24 | 2015-01-28 | 成都安迪生测量有限公司 | 一种高稳定性液体流量计 |
| CN113108855A (zh) * | 2021-04-13 | 2021-07-13 | 合肥精大仪表股份有限公司 | 一种基于科里奥利原理的质量流量计 |
| CN113962109A (zh) * | 2021-11-24 | 2022-01-21 | 华科电子股份有限公司 | 应用于粘性阻塞流的蒸汽源的可显示蒸汽质量流量计 |
| CN114563050A (zh) * | 2022-04-18 | 2022-05-31 | 江苏大学 | 一种流量计及流量测量方法 |
Similar Documents
| Publication | Publication Date | Title |
|---|---|---|
| CN103499706B (zh) | 扭秤式流动测量仪及其测量方法 | |
| CN202938862U (zh) | 科里奥利质量流量计 | |
| CN203657862U (zh) | 一种科里奥利质量流量计的分流主体 | |
| CN202562533U (zh) | 一种从“零”计量的气体流量测量装置 | |
| CN205619978U (zh) | 一种基于插入式超声波流量计的温压流一体化流量计装置 | |
| CN107588813A (zh) | 一种靶式流量计 | |
| CN101109686A (zh) | 一种对通过管道的流体粘度进行检测的装置及方法 | |
| CN203177899U (zh) | 一种新型涡轮流量计 | |
| CN202057360U (zh) | 复合式气体流量计 | |
| CN108731750A (zh) | 一种涡街流量计 | |
| CN203929147U (zh) | 一种双参量质量流量计 | |
| CN101349580B (zh) | 大口径涡街流量计 | |
| CN201007660Y (zh) | 便携式流量计量仪 | |
| CN205015025U (zh) | 卫生型浮子流量计 | |
| CN203191004U (zh) | 一种涡轮流量计 | |
| CN204043735U (zh) | 科氏质量流量计传感器及其分流器装置 | |
| CN201081738Y (zh) | 一种涡街流量计 | |
| CN203216542U (zh) | 新型插入式涡街流量计 | |
| CN201707086U (zh) | 混合气体的流量测量计 | |
| CN203405244U (zh) | 温压补偿式高温旋进漩涡流量计 | |
| CN204881710U (zh) | 一种基于流体推力的动量式流量计 | |
| CN203587154U (zh) | 交叉形分合流器及其流量计 | |
| CN202748064U (zh) | 一种新型对射式超声波流量计 | |
| CN202533108U (zh) | 宽量程气体涡轮流量计 | |
| CN204729082U (zh) | 一种降粘流量计量装置 |
Legal Events
| Date | Code | Title | Description |
|---|---|---|---|
| C14 | Grant of patent or utility model | ||
| GR01 | Patent grant | ||
| CF01 | Termination of patent right due to non-payment of annual fee |
Granted publication date: 20130515 Termination date: 20151031 |
|
| EXPY | Termination of patent right or utility model |

