CN201985793U - Maximum power point following controller optimized on the basis of genetic algorithm - Google Patents
Maximum power point following controller optimized on the basis of genetic algorithm Download PDFInfo
- Publication number
- CN201985793U CN201985793U CN201120089186.4U CN201120089186U CN201985793U CN 201985793 U CN201985793 U CN 201985793U CN 201120089186 U CN201120089186 U CN 201120089186U CN 201985793 U CN201985793 U CN 201985793U
- Authority
- CN
- China
- Prior art keywords
- module
- genetic algorithm
- detection module
- current detection
- photovoltaic array
- Prior art date
- Legal status (The legal status is an assumption and is not a legal conclusion. Google has not performed a legal analysis and makes no representation as to the accuracy of the status listed.)
- Expired - Fee Related
Links
- 230000002068 genetic effect Effects 0.000 title claims abstract description 19
- 238000001514 detection method Methods 0.000 claims abstract description 23
- 238000005457 optimization Methods 0.000 claims abstract description 15
- 238000000034 method Methods 0.000 abstract description 13
- 238000006243 chemical reaction Methods 0.000 abstract description 3
- 238000010248 power generation Methods 0.000 abstract description 3
- 238000011161 development Methods 0.000 description 3
- 238000005516 engineering process Methods 0.000 description 2
- 238000003912 environmental pollution Methods 0.000 description 2
- VNWKTOKETHGBQD-UHFFFAOYSA-N methane Chemical compound C VNWKTOKETHGBQD-UHFFFAOYSA-N 0.000 description 2
- 238000013459 approach Methods 0.000 description 1
- 238000004364 calculation method Methods 0.000 description 1
- 239000003245 coal Substances 0.000 description 1
- 238000012937 correction Methods 0.000 description 1
- 238000010586 diagram Methods 0.000 description 1
- 239000000463 material Substances 0.000 description 1
- 238000005259 measurement Methods 0.000 description 1
- 239000003345 natural gas Substances 0.000 description 1
- 239000003921 oil Substances 0.000 description 1
Images
Classifications
-
- Y—GENERAL TAGGING OF NEW TECHNOLOGICAL DEVELOPMENTS; GENERAL TAGGING OF CROSS-SECTIONAL TECHNOLOGIES SPANNING OVER SEVERAL SECTIONS OF THE IPC; TECHNICAL SUBJECTS COVERED BY FORMER USPC CROSS-REFERENCE ART COLLECTIONS [XRACs] AND DIGESTS
- Y02—TECHNOLOGIES OR APPLICATIONS FOR MITIGATION OR ADAPTATION AGAINST CLIMATE CHANGE
- Y02E—REDUCTION OF GREENHOUSE GAS [GHG] EMISSIONS, RELATED TO ENERGY GENERATION, TRANSMISSION OR DISTRIBUTION
- Y02E10/00—Energy generation through renewable energy sources
- Y02E10/50—Photovoltaic [PV] energy
- Y02E10/56—Power conversion systems, e.g. maximum power point trackers
Landscapes
- Photovoltaic Devices (AREA)
- Control Of Electrical Variables (AREA)
Abstract
本实用新型是一种用于光伏发电系统的基于遗传算法优化的最大功率点跟随控制器,包括光伏阵列电压电流检测模块、基于遗传算法优化的扰动观察法模块、控制模块、PWM驱动模块和输出电压电流检测模块。本实用新型最大的特点是采用了基于遗传算法优化的扰动观察法模块,使传统的扰动观察算法能在实际环境中不断自我优化,提高转换效率。
The utility model is a maximum power point following controller based on genetic algorithm optimization for photovoltaic power generation systems, including a photovoltaic array voltage and current detection module, a disturbance observation method module based on genetic algorithm optimization, a control module, a PWM drive module and an output Voltage and current detection module. The biggest feature of the utility model is that it adopts the disturbance observation method module based on genetic algorithm optimization, so that the traditional disturbance observation algorithm can continuously self-optimize in the actual environment and improve the conversion efficiency.
Description
技术领域technical field
本实用新型涉及一种用于光伏发电系统的最大功率点跟随控制器,尤其是一种基于遗传算法优化的最大功率点跟随控制器。The utility model relates to a maximum power point following controller for a photovoltaic power generation system, in particular to a maximum power point following controller optimized based on a genetic algorithm.
背景技术Background technique
能源是人类世界的最重要的物质基础。在目前全世界能源主要还是依赖石油、天然气、煤炭等这些对环境污染严重且资源非常有限的石化能源,因此加快可再生新能源的开发和利用成为了当今世界发展的必然趋势。太阳能是作为资源最丰富的可再生能源,对缓解能源危机和减少环境污染具有极其重要的意义,并具有广阔的应用前景。在当前全球石化能源日益紧缺,价格飞涨的情况下,许多国家采取优惠的政策鼓励太阳能技术的开发和应用。在我国十五能源规划中新能源规划从2009年到2020年,整体规划到2020年新能源产业在国内的投资总额将超过3万亿元,太阳能将成为未来几年能源产业领域中发展最快,新技术应用的新型能源之一。目前应用太阳能最方要的方式是光伏发电。由于光伏阵列受到日照强度和环境温度影响的特性,逆变器必须通过调节让光伏阵列输出电压趋近最大功率点输出电压才能保证光伏阵列获得最大的能源。目前对于光伏系统,最重要的就是调节光伏阵列输出(PV端)电压,使其它达到最大功率点,扰动观察法因为其算法简单,测量参数少,实现容易而得到极其广泛的应用,但也具有明显的缺点:一是即便运行在最大功率点附近,扰动仍不能停止,二是光强快速变化时容易发生错误判断。Energy is the most important material basis of the human world. At present, the world's energy mainly depends on petrochemical energy such as oil, natural gas, coal, etc., which have serious environmental pollution and very limited resources. Therefore, accelerating the development and utilization of renewable new energy has become an inevitable trend in the development of the world today. Solar energy is the most abundant renewable energy resource, which is of great significance to alleviating the energy crisis and reducing environmental pollution, and has broad application prospects. In the current situation of global petrochemical energy shortage and price soaring, many countries have adopted preferential policies to encourage the development and application of solar energy technology. In my country's Tenth Five-Year Energy Plan, the new energy plan is from 2009 to 2020. The overall plan is that by 2020, the total domestic investment in the new energy industry will exceed 3 trillion yuan, and solar energy will become the fastest growing energy industry in the next few years. , one of the new energy sources for new technology applications. At present, the most important way to apply solar energy is photovoltaic power generation. Since the photovoltaic array is affected by the intensity of sunlight and the ambient temperature, the inverter must adjust the output voltage of the photovoltaic array to approach the output voltage of the maximum power point to ensure that the photovoltaic array can obtain the maximum energy. At present, for the photovoltaic system, the most important thing is to adjust the voltage of the photovoltaic array output (PV terminal) to make it reach the maximum power point. The perturbation and observation method is widely used because of its simple algorithm, few measurement parameters, and easy implementation. Obvious disadvantages: First, even if it operates near the maximum power point, the disturbance cannot be stopped, and second, it is prone to misjudgment when the light intensity changes rapidly.
实用新型内容Utility model content
本实用新型的目的是提供一种采用基于遗传算法优化的扰动观察法,使传统的扰动观察算法能在实际环境中不断自我优化,提高转换效率的最大功率点跟随控制器。The purpose of this utility model is to provide a maximum power point follower controller that adopts a genetic algorithm-based optimization-based disturbance-and-observation method, so that the traditional disturbance-and-observation algorithm can continuously self-optimize in the actual environment and improve conversion efficiency.
本实用新型采取的技术方案:The technical scheme that the utility model takes:
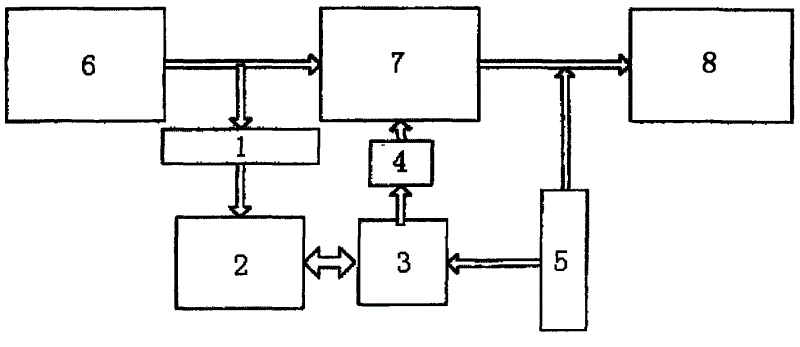
本实用新型包括光伏阵列电压电流检测模块1、基于遗传算法优化的扰动观察法模块2、控制模块3、PWM驱动模块4和输出电压电流检测模块5。The utility model includes a photovoltaic array voltage and current detection module 1, a disturbance observation method module 2 based on genetic algorithm optimization, a control module 3, a
其中光伏阵列电压电流检测模块1的输入端连接光伏阵列6,光伏阵列电压电流检测模块1的输出端与基于遗传算法优化的扰动观察法模块2连接,基于遗传算法优化的扰动观察法模块2再与控制模块3连接,控制模块3通过PWM驱动模块4与IGBT模块7连接,输出电压电流检测模块5的输出端与控制模块3连接,输出电压电流检测模块5的输入端与公用电网8的三相电压输入端连接。Wherein the input terminal of the photovoltaic array voltage and current detection module 1 is connected to the
本实用新型的特点及优点:Features and advantages of the utility model:
本实用新型最大的特点是采用了基于遗传算法优化的扰动观察法,使传统的扰动观察算法能在实际环境中不断自我优化,提高转换效率。The biggest feature of the utility model is that the disturbance observation method based on genetic algorithm optimization is adopted, so that the traditional disturbance observation algorithm can continuously self-optimize in the actual environment and improve the conversion efficiency.
附图说明Description of drawings
图1是本实用新型的原理图。Fig. 1 is a schematic diagram of the utility model.
具体实施方式Detailed ways
本实用新型包括光伏阵列电压电流检测模块1、基于遗传算法优化的扰动观察法模块2、控制模块3、PWM驱动模块4和输出电压电流检测模块5。The utility model includes a photovoltaic array voltage and current detection module 1, a disturbance observation method module 2 based on genetic algorithm optimization, a control module 3, a
其中光伏阵列电压电流检测模块1的输入端连接光伏阵列6,光伏阵列电压电流检测模块1的输出端与基于遗传算法优化的扰动观察法模块2连接,基于遗传算法优化的扰动观察法模块2再与控制模块3连接,控制模块3通过PWM驱动模块4与IGBT模块7连接,输出电压电流检测模块5的输出端与控制模块3连接,输出电压电流检测模块5的输入端与公用电网8的三相电压输入端连接。光伏阵列电压电流检测模块1对接光伏阵列6的输出电压和电流进行检测,把检测到的参数值传到基于遗传算法优化的扰动观察法模块2进行优化计算,然后将结果传送到控制模块3中,控制模块3将其结果与输出电压电流检测模块5检测传回的输出端电压电流参数结合进行判断,控制模块3再通过PWM驱动模块4对IGBT模块7进行控制,将符合要求的电能输送到电网上,最后控制模块3再将控制参数和输出电压电流检测模块5检测的电网的电流电压参数回传到遗传算法优化的扰动观察法模块2进行不断修正,从而实现最大功率点跟随控制功能。Wherein the input terminal of the photovoltaic array voltage and current detection module 1 is connected to the
Claims (1)
Priority Applications (1)
| Application Number | Priority Date | Filing Date | Title |
|---|---|---|---|
| CN201120089186.4U CN201985793U (en) | 2011-03-30 | 2011-03-30 | Maximum power point following controller optimized on the basis of genetic algorithm |
Applications Claiming Priority (1)
| Application Number | Priority Date | Filing Date | Title |
|---|---|---|---|
| CN201120089186.4U CN201985793U (en) | 2011-03-30 | 2011-03-30 | Maximum power point following controller optimized on the basis of genetic algorithm |
Publications (1)
| Publication Number | Publication Date |
|---|---|
| CN201985793U true CN201985793U (en) | 2011-09-21 |
Family
ID=44613243
Family Applications (1)
| Application Number | Title | Priority Date | Filing Date |
|---|---|---|---|
| CN201120089186.4U Expired - Fee Related CN201985793U (en) | 2011-03-30 | 2011-03-30 | Maximum power point following controller optimized on the basis of genetic algorithm |
Country Status (1)
| Country | Link |
|---|---|
| CN (1) | CN201985793U (en) |
Cited By (4)
| Publication number | Priority date | Publication date | Assignee | Title |
|---|---|---|---|---|
| CN102608413A (en) * | 2012-04-26 | 2012-07-25 | 上海交通大学 | Method and device for detecting maximum power point of photovoltaic power generation |
| CN102969737A (en) * | 2012-11-20 | 2013-03-13 | 广西地凯科技有限公司 | Stop priority control method used for photovoltaic inversion system |
| CN103973221A (en) * | 2014-05-20 | 2014-08-06 | 河海大学 | Photovoltaic array parameter identification method based on measured data |
| CN114003082A (en) * | 2021-10-29 | 2022-02-01 | 平高集团智能电力科技有限公司 | CT energy obtaining method and device based on maximum power point tracking and CT energy obtaining system |
-
2011
- 2011-03-30 CN CN201120089186.4U patent/CN201985793U/en not_active Expired - Fee Related
Cited By (5)
| Publication number | Priority date | Publication date | Assignee | Title |
|---|---|---|---|---|
| CN102608413A (en) * | 2012-04-26 | 2012-07-25 | 上海交通大学 | Method and device for detecting maximum power point of photovoltaic power generation |
| CN102969737A (en) * | 2012-11-20 | 2013-03-13 | 广西地凯科技有限公司 | Stop priority control method used for photovoltaic inversion system |
| CN103973221A (en) * | 2014-05-20 | 2014-08-06 | 河海大学 | Photovoltaic array parameter identification method based on measured data |
| CN114003082A (en) * | 2021-10-29 | 2022-02-01 | 平高集团智能电力科技有限公司 | CT energy obtaining method and device based on maximum power point tracking and CT energy obtaining system |
| CN114003082B (en) * | 2021-10-29 | 2023-09-12 | 平高集团智能电力科技有限公司 | CT energy-taking method and device based on maximum power point tracking and CT energy-taking system |
Similar Documents
| Publication | Publication Date | Title |
|---|---|---|
| CN102608413B (en) | Method and device for detecting maximum power point of photovoltaic power generation | |
| CN201985793U (en) | Maximum power point following controller optimized on the basis of genetic algorithm | |
| CN201672588U (en) | Building wind, solar and power complementary type electric heating system | |
| CN204332198U (en) | A photovoltaic power generation grid-connected simulation device | |
| CN201985549U (en) | Multi-input and multi-level photovoltaic inverter | |
| CN103812140A (en) | Wind energy, solar energy and commercial power complementary electric vehicle charging system | |
| CN104898753B (en) | Series-connected solar cells current matching circuit and control method thereof | |
| CN202197140U (en) | A heat pump system seamlessly connected with solar photovoltaic and grid power supply | |
| CN201601519U (en) | Wind-solar hybrid type household electricity supply device | |
| CN204005678U (en) | A kind of energy-saving solar street lamp | |
| CN203722248U (en) | Household wind-solar complementary grid-connected power generation system | |
| CN202167890U (en) | Dual power fish tank power supply system based on solar energy and mains power | |
| CN205070582U (en) | Intelligence house power supply unit with complementary generating function of scene | |
| CN203632339U (en) | Residential solar photovoltaic power supply device | |
| CN104659897A (en) | Photovoltaic grid-connected power supply system used for sport clubhouse | |
| CN204089217U (en) | A kind of photovoltaic power generation grid-connecting apparatus | |
| CN202474994U (en) | Solar and mains supply complementary power supply controller | |
| CN205283227U (en) | Complementary electricity generation coordinated control system of scene | |
| CN215646333U (en) | A multi-energy complementary intelligent off-grid power supply system | |
| CN204334368U (en) | A kind of photovoltaic generating system | |
| CN206099360U (en) | A photovoltaic micro-inverter based on xCore | |
| CN203645389U (en) | A photovoltaic grid-connected power supply system used for a sport clubhouse | |
| CN204836033U (en) | Wind energy and solar electric system | |
| CN203278325U (en) | Solar LED Road Lighting System | |
| CN205681328U (en) | A kind of shunt chopper control system for photovoltaic generation |
Legal Events
| Date | Code | Title | Description |
|---|---|---|---|
| C14 | Grant of patent or utility model | ||
| GR01 | Patent grant | ||
| CF01 | Termination of patent right due to non-payment of annual fee | ||
| CF01 | Termination of patent right due to non-payment of annual fee |
Granted publication date: 20110921 Termination date: 20180330 |
