CN201409005Y - 多功能便携式电源装置 - Google Patents
多功能便携式电源装置 Download PDFInfo
- Publication number
- CN201409005Y CN201409005Y CN2009200552196U CN200920055219U CN201409005Y CN 201409005 Y CN201409005 Y CN 201409005Y CN 2009200552196 U CN2009200552196 U CN 2009200552196U CN 200920055219 U CN200920055219 U CN 200920055219U CN 201409005 Y CN201409005 Y CN 201409005Y
- Authority
- CN
- China
- Prior art keywords
- socket
- power supply
- supply device
- portable power
- card
- Prior art date
- Legal status (The legal status is an assumption and is not a legal conclusion. Google has not performed a legal analysis and makes no representation as to the accuracy of the status listed.)
- Expired - Lifetime
Links
- 238000005286 illumination Methods 0.000 claims description 5
- 230000006870 function Effects 0.000 description 8
- 238000010586 diagram Methods 0.000 description 6
- 238000005457 optimization Methods 0.000 description 5
- 238000013500 data storage Methods 0.000 description 3
- 238000006243 chemical reaction Methods 0.000 description 2
- 238000005516 engineering process Methods 0.000 description 2
- 230000005540 biological transmission Effects 0.000 description 1
- 230000002950 deficient Effects 0.000 description 1
- 238000007599 discharging Methods 0.000 description 1
- 230000005611 electricity Effects 0.000 description 1
Images
Landscapes
- Charge And Discharge Circuits For Batteries Or The Like (AREA)
Abstract
本实用新型涉及一种多功能便携式电源装置。现有充电器不能读卡,现有读卡器不能充电,功能单一,不便使用。为此,本多功能便携式电源装置包括壳体,壳体上分别设有USB插头或插口和电能输出插头或插口,其中USB插头或插口直接或间接与电能输出插头或插口相连,其特征在于:其还包括读卡模块,该读卡模块包括读卡器单元和至少一个插卡口,该读卡器单元分别与USB插头或插口和插卡口相连,并以USB插头或插口为信息输出端口,以插卡口为信息输入端口。本实用新型多功能便携式电源装置适合日常随身携带,特别是外出场合,例如旅游,出差等使用。
Description
技术领域
本实用新型涉及一种多功能便携式电源装置。
背景技术
为满足人们越来越高的需求,以及电子商家之间日益激烈的竞争,电子产品向体积小,功能强,易于携带的方向迅速发展。正因为电子产品功能的不断扩大,对其电池的容量需求较大,而电子产品本身体积的不断缩小,又导致其电池容量较少,因此就必须配备专用的市电充电器对其充电,在忘记携带专用充电器,或者当电子产品没电时恰好在野外等没有市电的场合,则无法对其充电;加上各种产品都有各自配置的数据卡,例如手机,照相机,摄像机等设备自带的卡,如果没有读卡器,则无法将手机,照相机及摄像机等的信息输出。以及数据信息的转化、传输,存储等诸多问题,给使用者带来各种各样的麻烦。
现有充电器不能读卡,现有读卡器不能充电,功能单一,不便使用。
实用新型内容
本实用新型要解决的技术问题是如何克服现有充电器、读卡器功能单一、不便使用的缺陷,提供一种既能读卡、又能充电的多功能便携式电源装置。
为解决上述技术问题,本多功能便携式电源装置包括壳体,壳体上分别设有USB插头或插口和电能输出插头或插口,其中USB插头或插口直接或间接与电能输出插头或插口相连,其特征在于:其还包括读卡模块,该读卡模块包括读卡器单元和至少一个插卡口,该读卡器单元分别与USB插头或插口和插卡口相连,并以USB插头或插口为信息输出端口,以插卡口为信息输入端口。所述插卡口可以是与SD卡、Mirco SD卡、TF卡、MMC卡或MS卡相配的插卡口。
电脑USB插口的输出电压只有4.5-5V,USB插头或插口与电能输出插头或插口直接连接时,可提供4.5-5V的充电电压。如果USB插头或插口与电能输出插头或插口之间增设斩波电路、变压器和交流/直流转换电路。这样可以先利用斩波电路将4.5-5V的直流电转变成方波电流,再经过变压器升压,最后再经交流/直流转换电路,就可以提供更高的充电电压。
如此设计,使用时,一方面可以利用USB插头或插口从配用电脑或其他电源上取电,通过电能输出插头或插口为配用装置充电,另一方面,读卡模块读取了信息可以通过USB插头或插口输入配用电脑或其他设备,结构紧凑,功能强大。
作为优化,USB插头或插口与电能输出插头或插口之间设有充放电电源电路,该充放电电源电路由充电模块、蓄电装置和放电模块顺次连接而成,该充放电电源电路的输入端与USB插头或插口相连,其输出端与电能输出插头或插口相接;其蓄电装置由蓄电池、电池保护电路组成,并与一个主控制模块相连,并受其控制。如此设计,在充电功能的基础上,兼具蓄电、供电功能,其电池保护电路可以提供过压、欠压及高温和短路保护,保护蓄电池。
作为优化,所述读卡模块也与主控制模块连接,受其控制。
作为优化,其还包括微型显示部件,该微型显示部件与读卡器单元相连,并与蓄电池相连,以蓄电池的端电压为监控信号,显示蓄电池剩余电量。如此设计,可以根据蓄电池的端电压,判断其剩余电量,并用微型显示部件显示出来,如同手机电量显示一样。
作为优化,其还包括数据存储模块,数据存储模块一方面接USB插头或插口,另一方面通过主控制模块接微型显示部件。如此设计,微型显示部件可以显示数据存储模块中的信息。
作为优化,其还包括应急照明装置,该应急照明装置包括照明驱动电路、应急照明开关、发光源和聚光罩,打开应急照明开关后,发光源通过主控制模块从蓄电池上取电。如此设计,可以用于野外应急照明使用。
本实用新型具备以下优点:
1.可以随身携带,在任何时候,任何条件下都可以给各种电子产品进行充电,大大的方便了使用者。
2.并且具有读取各种电子产品数据卡的功能,无需配备或者携带各种电子产品数据卡例如SD卡、Mirco SD卡、TF卡、MMC卡、MS卡的读卡器。
3.增加了数据信息的转化,输出和存储的功能,可以将各种电子产品的数据卡中的数据信息存储在数据信息存储模块中,而无需另外配备数据存储装置,例如U盘等。
4.增加了应急照明模块,特别适合在光线昏暗,夜晚,突然停电及野外等情况下使用。
5.增加了微型显示部件,通过对充电,放电,剩余电量,读卡模块工作状态,数据存储模块状态等的显示,使用者一目了然。
本实用新型多功能便携式电源装置适合日常随身携带,特别是外出场合,例如旅游,出差等使用。
附图说明
下面结合附图对本多功能便携式电源装置作进一步说明:
图1为本实用新型的外形示意图;
图2为本实用新型连接示意图;
图3为本实用新型充放电电源电路连接示意图;
图4为本实用新型读卡模块连接示意图;
图5为本实用新型数据储存模块连接示意图;
图6为本实用新型应急照明模块连接示意图;
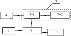
图中1为壳体,2为电能输出插口,3为控制按键,4为USB插口,5为主控制模块,6为充放电电源电路,6-1为充电模块,6-2为蓄电装置,6-2-1/为蓄电池,6-2-2/为电池保护电路,6-3为放电模块,7为读卡模块,8为数据储存模块,9为应急照明模块,9-1为照明驱动电路,9-2为发光器,9-3为聚光罩,10为微型显示部件。
具体实施方式
实施方式一,如图1-5所示:本实用新型多功能便携式电源装置包括壳体1,壳体上分别设有USB插口4和电能输出插口2,其中USB插口4与电能输出插口相连4,其特征在于:其还包括读卡模块7,该读卡模块7包括读卡器单元7-1和至少一个插卡口7-2,该读卡器单元7-1分别与USB插口4和插卡口7-2相连,并以USB插口4为信息输出端口,以插卡口7-2为信息输入端口。
如图2所示:USB插口4与电能输出插口2之间设有充放电电源电路6,该充放电电源电路6由充电模块6-1、蓄电装置6-2和放电模块6-3顺次连接而成,该充放电电源电路6的输入端与USB插口4相连,其输出端与电能输出插口2相接;其蓄电装置6-2由蓄电池6-2-1/、电池保护电路6-2-1/组成,并与一个主控制模块5相连,并受其控制。
如图2所示:如图2所示:本实用新型多功能便携式电源装置还包括微型显示部件10,该微型显示部件40与读卡器单元7相连,并与蓄电池6-2-1/相连,以蓄电池6-2-1/的端电压为监控信号,显示蓄电池6-2-1/剩余电量。
如图2、5所示:本实用新型多功能便携式电源装置其还包括数据存储模块8,数据存储模块8一方面接USB插口4,另一方面通过主控制模块5接微型显示部件10。
如图6所示:本实用新型多功能便携式电源装置还包括应急照明装置,该应急照明装置包括照明驱动电路9-1、应急照明开关3/、发光源9-2和聚光罩9-3,打开应急照明开关3/后,发光源9-2通过主控制模块5从蓄电池6-2-1/上取电,其余部件和结构如实施方式一所述。
注意:在实施方式一中:使用时,USB插口4与电脑或其他设备之间需要配上带有USB插头的连接线;电能输出插口2与待充电设备(如手机等)也需要配上相应连接线,图略!
当然,USB插口4也可换成带连线的USB插头;电能输出插口2也可以换成带连线的电能输出插头,略!
Claims (6)
1、一种多功能便携式电源装置,包括壳体,壳体上分别设有USB插头或插口和电能输出插头或插口,其中USB插头或插口直接或间接与电能输出插头或插口相连,其特征在于:其还包括读卡模块,该读卡模块包括读卡器单元和至少一个插卡口,该读卡器单元分别与USB插头或插口和插卡口相连,并以USB插头或插口为信息输出端口,以插卡口为信息输入端口。
2、如权利要求1所述的多功能便携式电源装置,其特征在于:USB插头或插口与电能输出插头或插口之间设有充放电电源电路,该充放电电源电路由充电模块、蓄电装置和放电模块顺次连接而成,该充放电电源电路的输入端与USB插头或插口相连,其输出端与电能输出插头或插口相接;其蓄电装置由蓄电池、电池保护电路组成,并与一个主控制模块相连,并受其控制。
3、如权利要求2所述的多功能便携式电源装置,其特征在于:所述读卡模块也与主控制模块连接,受其控制。
4、如权利要求3所述的多功能便携式电源装置,其特征在于:其还包括微型显示部件,该微型显示部件与读卡器单元相连,并与蓄电池相连,以蓄电池的端电压为监控信号,显示蓄电池剩余电量。
5、如权利要求4所述的多功能便携式电源装置,其特征在于:其还包括数据存储模块,数据存储模块一方面接USB插头或插口,另一方面通过主控制模块接微型显示部件。
6、如权利要求2至5任一所述的多功能便携式电源装置,其特征在于:其还包括应急照明装置,该应急照明装置包括照明驱动电路、应急照明开关、发光源和聚光罩,打开应急照明开关后,发光源通过主控制模块从蓄电池上取电。
Priority Applications (1)
| Application Number | Priority Date | Filing Date | Title |
|---|---|---|---|
| CN2009200552196U CN201409005Y (zh) | 2009-04-23 | 2009-04-23 | 多功能便携式电源装置 |
Applications Claiming Priority (1)
| Application Number | Priority Date | Filing Date | Title |
|---|---|---|---|
| CN2009200552196U CN201409005Y (zh) | 2009-04-23 | 2009-04-23 | 多功能便携式电源装置 |
Publications (1)
| Publication Number | Publication Date |
|---|---|
| CN201409005Y true CN201409005Y (zh) | 2010-02-17 |
Family
ID=41679952
Family Applications (1)
| Application Number | Title | Priority Date | Filing Date |
|---|---|---|---|
| CN2009200552196U Expired - Lifetime CN201409005Y (zh) | 2009-04-23 | 2009-04-23 | 多功能便携式电源装置 |
Country Status (1)
| Country | Link |
|---|---|
| CN (1) | CN201409005Y (zh) |
Cited By (2)
| Publication number | Priority date | Publication date | Assignee | Title |
|---|---|---|---|---|
| CN103840525A (zh) * | 2014-03-13 | 2014-06-04 | 深圳市华宝新能源有限公司 | 移动存储电源 |
| CN104638708A (zh) * | 2013-11-15 | 2015-05-20 | 鸿富锦精密电子(天津)有限公司 | 便携式电子装置 |
-
2009
- 2009-04-23 CN CN2009200552196U patent/CN201409005Y/zh not_active Expired - Lifetime
Cited By (4)
| Publication number | Priority date | Publication date | Assignee | Title |
|---|---|---|---|---|
| CN104638708A (zh) * | 2013-11-15 | 2015-05-20 | 鸿富锦精密电子(天津)有限公司 | 便携式电子装置 |
| CN103840525A (zh) * | 2014-03-13 | 2014-06-04 | 深圳市华宝新能源有限公司 | 移动存储电源 |
| CN103840525B (zh) * | 2014-03-13 | 2016-09-28 | 深圳市华宝新能源有限公司 | 移动存储电源 |
| US9667072B2 (en) | 2014-03-13 | 2017-05-30 | Shenzhen Hello Tech Energy Co., Ltd. | Mobile power device with memory storage feature which switches between master and slave roles |
Similar Documents
| Publication | Publication Date | Title |
|---|---|---|
| CN203522279U (zh) | 一种多用途移动电源 | |
| CN204131178U (zh) | 便携式移动电源 | |
| CN202817803U (zh) | 一种单个usb接口充放电移动电源 | |
| CN202333918U (zh) | 一种便携式备用电源 | |
| CN201409005Y (zh) | 多功能便携式电源装置 | |
| CN202474947U (zh) | 一种便携式移动电源 | |
| CN201278360Y (zh) | 可照明锂电充电器 | |
| CN206293924U (zh) | 移动电源 | |
| CN206136002U (zh) | 多媒体模块装置 | |
| CN201877848U (zh) | 一种太阳能万能充电器 | |
| CN206041535U (zh) | 一种大功率移动电源 | |
| CN202719386U (zh) | 多功能充电式led日光灯 | |
| CN206640346U (zh) | 一种给大型vr游戏背包供电的移动电源 | |
| CN211405577U (zh) | 一种太阳能移动电源 | |
| CN207588473U (zh) | 一种汽车应急电源 | |
| CN203261072U (zh) | 一种太阳能移动电源 | |
| CN202888902U (zh) | 一种多功能移动电源 | |
| CN203261075U (zh) | 一种便携式移动电源 | |
| CN201156569Y (zh) | 应急充电器 | |
| CN214756063U (zh) | 一种新型储能电源 | |
| CN214707207U (zh) | 一种多功能光伏板环保型充电宝 | |
| CN223079775U (zh) | 一种带快充功能的移动电源控制电路及移动电源 | |
| CN217335109U (zh) | 电源转换装置 | |
| CN203911530U (zh) | 一种交流式智能型移动电源 | |
| CN203839983U (zh) | 多功能汽车移动电源 |
Legal Events
| Date | Code | Title | Description |
|---|---|---|---|
| C14 | Grant of patent or utility model | ||
| GR01 | Patent grant | ||
| CX01 | Expiry of patent term |
Granted publication date: 20100217 |
|
| CX01 | Expiry of patent term |