CN116067169B - 一种箱门传感器限位保护装置、安装方法及半导体烘箱 - Google Patents
一种箱门传感器限位保护装置、安装方法及半导体烘箱 Download PDFInfo
- Publication number
- CN116067169B CN116067169B CN202310210543.5A CN202310210543A CN116067169B CN 116067169 B CN116067169 B CN 116067169B CN 202310210543 A CN202310210543 A CN 202310210543A CN 116067169 B CN116067169 B CN 116067169B
- Authority
- CN
- China
- Prior art keywords
- door sensor
- box door
- distance
- sensor
- box
- Prior art date
- Legal status (The legal status is an assumption and is not a legal conclusion. Google has not performed a legal analysis and makes no representation as to the accuracy of the status listed.)
- Active
Links
- 239000004065 semiconductor Substances 0.000 title claims abstract description 29
- 238000000034 method Methods 0.000 title claims abstract description 20
- 238000012544 monitoring process Methods 0.000 claims abstract description 59
- 238000006073 displacement reaction Methods 0.000 claims abstract description 48
- 238000001035 drying Methods 0.000 claims description 39
- 238000012545 processing Methods 0.000 claims description 14
- 238000004891 communication Methods 0.000 claims description 5
- 101000713585 Homo sapiens Tubulin beta-4A chain Proteins 0.000 claims description 3
- 102100036788 Tubulin beta-4A chain Human genes 0.000 claims description 3
- 230000001012 protector Effects 0.000 claims 6
- 238000009434 installation Methods 0.000 abstract description 6
- 238000012423 maintenance Methods 0.000 description 16
- 238000001514 detection method Methods 0.000 description 6
- 238000013461 design Methods 0.000 description 5
- 230000000694 effects Effects 0.000 description 3
- 238000004519 manufacturing process Methods 0.000 description 3
- 238000010438 heat treatment Methods 0.000 description 2
- 230000008569 process Effects 0.000 description 2
- 230000035945 sensitivity Effects 0.000 description 2
- 230000002159 abnormal effect Effects 0.000 description 1
- 230000005856 abnormality Effects 0.000 description 1
- 239000000470 constituent Substances 0.000 description 1
- 230000007547 defect Effects 0.000 description 1
- 238000005516 engineering process Methods 0.000 description 1
- 230000002349 favourable effect Effects 0.000 description 1
- 230000006698 induction Effects 0.000 description 1
- 230000007774 longterm Effects 0.000 description 1
- 238000012986 modification Methods 0.000 description 1
- 230000004048 modification Effects 0.000 description 1
- 238000012858 packaging process Methods 0.000 description 1
- 239000011148 porous material Substances 0.000 description 1
- 230000002035 prolonged effect Effects 0.000 description 1
- 230000001960 triggered effect Effects 0.000 description 1
Images
Classifications
-
- F—MECHANICAL ENGINEERING; LIGHTING; HEATING; WEAPONS; BLASTING
- F26—DRYING
- F26B—DRYING SOLID MATERIALS OR OBJECTS BY REMOVING LIQUID THEREFROM
- F26B25/00—Details of general application not covered by group F26B21/00 or F26B23/00
-
- F—MECHANICAL ENGINEERING; LIGHTING; HEATING; WEAPONS; BLASTING
- F26—DRYING
- F26B—DRYING SOLID MATERIALS OR OBJECTS BY REMOVING LIQUID THEREFROM
- F26B25/00—Details of general application not covered by group F26B21/00 or F26B23/00
- F26B25/06—Chambers, containers, or receptacles
- F26B25/08—Parts thereof
- F26B25/12—Walls or sides; Doors
-
- G—PHYSICS
- G01—MEASURING; TESTING
- G01B—MEASURING LENGTH, THICKNESS OR SIMILAR LINEAR DIMENSIONS; MEASURING ANGLES; MEASURING AREAS; MEASURING IRREGULARITIES OF SURFACES OR CONTOURS
- G01B21/00—Measuring arrangements or details thereof, where the measuring technique is not covered by the other groups of this subclass, unspecified or not relevant
- G01B21/02—Measuring arrangements or details thereof, where the measuring technique is not covered by the other groups of this subclass, unspecified or not relevant for measuring length, width, or thickness
Landscapes
- Engineering & Computer Science (AREA)
- Mechanical Engineering (AREA)
- General Engineering & Computer Science (AREA)
- Physics & Mathematics (AREA)
- General Physics & Mathematics (AREA)
- Drying Of Solid Materials (AREA)
Abstract
一种箱门传感器限位保护装置、安装方法及半导体烘箱,包括箱门传感器、距离传感器、固定板和固定限位件;箱门传感器螺纹安装在固定板一侧;固定板通过固定限位件固定在箱体上;固定限位件包括螺杆、第一锁定装置和第二锁定装置,螺杆贯穿固定板和箱体,且第一锁定装置和第二锁定装置锁定在螺杆上并夹持固定板和箱体形成固定部;螺杆与箱门传感器同侧并由固定板向外延伸的部分形成限位部,限位部的高度大于箱门传感器端部到固定板的高度;距离传感器包括布置于限位部外侧面的信号发射端和布置于箱门传感器外侧面的多个信号接收端;距离传感器实时输出信号发射端与信号接收端之间的距离,用于监测箱门传感器相对其初始状态的实时位移量。
Description
技术领域
本发明属于螺纹固定及限位保护技术领域,尤其涉及一种箱门传感器限位保护装置、安装方法及半导体烘箱。
背景技术
在半导体元件生产及加工过程中,时长需要对半导体元件进行烘烤干燥,例如半导体封装过程。现有技术中的用于半导体元件的烘干设备,例如半导体烘箱/烤箱已是较为成熟的技术,但针对箱门及其相关的设计和技术相对较少。箱门的准确关闭、打开以及安全使用,不仅是产品质量的保障,也是安全生产的重要环节。烘干设备的箱门开闭状态多是采用通过箱门闭合经侧面箱门传感器感应后传输信息给设备控制器进行检测判断,而当前的箱门传感器多采用简单的机械固定和调节方式,例如普通螺纹固定和调节。虽然上述固定方式便于维修更换,但烘干设备运行一段时间后,在反复开关门及外部振动等情况下,箱门传感器容易前后伸缩而出现位置、角度等位差,不仅容易导致箱门传感器掉落或者与箱门碰触摩擦而损坏,还容易影响箱门开闭判断及烘烤时间的准确确定,特别是在临界感应状态时,箱门传感器对箱门开闭状态的检测产生误判,例如当产品已放入烘干设备,但传感器检测到箱门未闭合而不启动烘烤,或者烘烤中检测到箱门打开而中途停止烘烤等情况发生,这将影响烘烤时间的准确性,造成误工及产品异常等问题。
此外,维修人员在调校箱门传感器时,由于没有统一标准或参考物,校正位置确定困难,难以保证调校后的箱门传感器位于准确而稳定的位置,因而导致之后难以给出准确的监测结果。
螺纹部件是常用的固定部件,在箱门传感器安装固定过程中需要使用螺钉、螺栓等螺纹部件。螺纹部件也是常用的限位部件,其具有灵活的调整方式及紧固的锁定位置。但在目前的烘干设备,特别是箱门等相关设计中,没有将螺纹部件进行灵活应用而扩展其用途的设计。就相关领域来看,专利申请CN114321132A公开了一种限位螺钉,属于半导体安装技术领域,包括固定相连的螺钉头和螺杆,螺杆包括依次相连的第一螺杆段和第二螺杆段,螺钉头设置在第一螺杆段的一端;还包括限位件,限位件安装在第一螺杆段上;螺钉头和限位件的径向尺寸大于第一螺杆段的径向尺寸。该发明提供的紧固构件及电路板卡,因采用上述的限位螺钉进行安装,能更方便地进行紧密安装,以及在狭小的空间内安装及拆卸,方便后期检修拆卸。此外,专利CN110307238B公开的一种限位紧固件及其组装和使用方法、专利申请CN113719512A公开的一种适用于汽车的高强度紧固件、CN114893488A公开的一种基于锁止装置的防松紧固螺栓等。虽然上述文献均涉及螺纹部件的固定及限位设计,但这些结构较为复杂,不适于结合到烘干设备以对箱门传感器形成固定、限位保护等综合作用,并且简单的机械限位结构不能及时预警,依赖人工的辅助检查调整,一旦检查周期延长或者使用频率过高等情况出现,位差超出安全范围,箱门传感器损坏可能性非常大。
因此,如何在现有的具有箱门传感器的烘干设备的基础上,利用螺杆组件,实现部件固定的同时,为箱门传感器提供更简便有效的限位保护方式,更准确的箱门开闭状态判断,简化箱门传感器调校过程,对箱门传感器进行有效保护,防止使用中摩擦或碰撞等损坏箱门传感器及箱门,成为本领域亟待解决的技术问题。
发明内容
针对上述现有技术中存在的缺陷,本发明的目的在于提供一种箱门传感器限位保护装置、安装方法及半导体烘箱,具有所述限位保护装置的半导体烘干设备及其使用方法。利用螺纹组件及控制技术在现有包括箱门传感器的烘干设备的基础上,对箱门传感器从机械结构上进行限位保护,同时通过检测箱门传感器位移量判断箱门传感器是否在安全位移范围,从而利用监测控制手段对箱门传感器形成了更为精确的监测保护。并且,在调校箱门传感器的位置时,可根据其初始状态所对应的螺杆位置进行调校,简便准确。此外,通过综合箱门传感器和距离传感器的监测结果,有效判断箱门的实际开闭状态,增加设备安全性,且避免因检测误差导致误工而出现产品异常问题。
第一方面,本发明提供一种箱门传感器限位保护装置,包括箱门传感器、距离传感器、固定板和固定限位件;
箱门传感器螺纹安装在固定板一侧,用于监测箱门传感器与箱门之间的实时距离;
固定板通过固定限位件固定在与箱门对应的箱体上;所述固定限位件包括螺杆、第一锁定装置和第二锁定装置,所述螺杆贯穿固定板和箱体,且第一锁定装置和第二锁定装置锁定在螺杆上并夹持固定板和箱体形成固定部;所述螺杆与箱门传感器同侧并由固定板向外延伸的部分形成限位部,限位部的高度大于箱门传感器端部到固定板的高度;
距离传感器包括布置于限位部外侧面的信号发射端和布置于箱门传感器外侧面的多个信号接收端;多个信号接收端沿箱门传感器的长度方向间距布置,距离传感器实时输出信号发射端与信号接收端之间的距离,用于监测箱门传感器相对其初始状态的实时位移量。
进一步的,第一锁定装置和第二锁定装置分别包括中心螺母和防松螺母;
中心螺母,在其面向固定板的端部具有法兰座,在沿中心轴线的另一端部具有外斜面,在法兰座和外斜面之间形成具有第一螺距P1的第一内螺纹和具有第二螺距P2的第一外螺纹;所述外斜面与水平方向的夹角α;
防松螺母,具有与中心螺母的第一外螺纹结合的第二内螺纹,以及在其远离固定板的端部内侧的内斜面,内斜面与水平方向的夹角为β,且β>α。通过上述设置,中心螺母与防松螺母相结合并锁定在螺杆外侧时,内斜面挤压外斜面。
进一步的,中心螺母的外斜面为非对称结构,外斜面与水平方向的夹角α在β-5°至β-1°之间连续变化。
进一步的,在中心螺母的外斜面上,沿径向对称设置至少2个槽。
进一步的,还包括处理组件,处理组件与箱门传感器和距离传感器通信连接;处理组件根据箱门传感器的监测结果和距离传感器的实时输出结果,判断箱门的开闭状态,包括:
实时采集距离传感器监测的信号发射端与各个信号接收端之间距离,以及箱门传感器监测的箱门传感器与箱门的距离;
基于实时采集的信号发射端与各个信号接收端之间距离得到箱门传感器相对初始状态的位移量;
根据箱门传感器相对初始状态的位移量和箱门传感器的初始监测结果得到箱门传感器的预计监测结果;
根据箱门传感器的预计监测结果和实时采集的箱门传感器与箱门的距离判断箱门的开闭状态;
其中,初始监测结果为箱门传感器和箱门分别处于初始状态和闭合状态时,箱门传感器监测的其与箱门之间的距离;
根据箱门传感器的预计监测结果和实时采集的箱门传感器与箱门的距离判断箱门的开闭状态,具体包括:
在实时采集的箱门传感器与箱门的距离小于等于预计监测结果时,箱门为闭合状态;
在实时采集的箱门传感器与箱门的距离大于预计监测结果时,箱门为开启状态。
进一步的,根据箱门传感器的监测结果和距离传感器的输出结果,生成相应的操作指令,包括:
实时采集距离传感器监测的信号发射端与各个信号接收端之间距离,以及箱门传感器监测的箱门传感器与箱门的距离;
基于实时采集的信号发射端与各个信号接收端之间距离得到箱门传感器相对初始状态的位移量;
根据箱门传感器相对初始状态的位移量,以及箱门传感器与箱门的距离,生成相应的操作指令,具体满足以下关系:
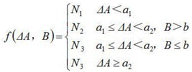
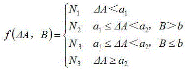
其中,f(ΔA,B)为生成的操作指令,ΔA为箱门传感器相对初始状态的位移量,a1为第一预定告警位移,a2为第二预定告警位移,B为实时采集的箱门传感器与箱门的距离,b为预定告警距离,N1表示无操作的第一指令,N2表示触发告警操作的第二指令,N3表示触发告警和更换操作的第三指令;根据生成的操作指令触发烘干设备相应的操作。
进一步的,距离传感器包括一个信号发射端和两个信号接收端;
箱门传感器的预计监测结果,满足以下关系:
式中,h1为箱门传感器的预计监测结果,S10和S20分别为箱门传感器处于初始状态时,采集的信号发射端与两个信号接收端之间的初始距离,S1和S2分别为实施采集的信号发射端与两个信号接收端之间的距离,l为两个信号接收端之间的距离,h0为箱门传感器的初始监测结果。
进一步的,所述箱体内独立地设有多个烘烤空间;所述箱门具有多个,每个箱门独立的与每个烘烤空间匹配,并与箱体配合以开启或闭合对应烘烤空间。
第二方面,本发明还提供一种所述箱门传感器限位保护装置的安装方法,包括如下步骤:
S1:将箱门传感器以初始状态固定在固定板一侧;
S2:将固定板通过固定限位件固定在箱门对应的箱体上,包括:
S2.1:将第一锁定装置锁定在螺杆预定位置,以确定限位部到固定板的高度;
S2.2:将螺杆安装贯穿固定板和箱体,用第二锁定装置锁定螺杆,使得第一锁定装置和第二锁定装置锁定在螺杆上并夹持固定板和箱体形成固定部;
S2.3:根据箱门传感器在初始状态时到固定板的高度,在限位部对应位置标记;
S3:将距离传感器的信号发射端设置于限位部外侧面,且距离传感器的多个信号接收端沿箱门传感器的长度方向间距布置;距离传感器实时输出信号发射端与信号接收端之间的距离,用于监测箱门传感器相对其初始状态的实时位移量。
第三方面,本发明还提供一种半导体烘干设备,特别是一种半导体烘箱,具有前述的箱门传感器限位保护装置。
进一步的,包括独立设置的多个烘烤空间;所述箱门和箱门传感器限位保护装置分别具有多个,每个箱门及箱门传感器限位保护装置独立的与每个烘烤空间匹配。
基于前述半导体烘干设备,本发明的第四方面还提供了一种半导体烘干设备的使用方法,包括如下步骤:
S1:将待烘干物放置于烘干设备的箱体内;
S2:将处理组件与箱门传感器和距离传感器通信连接,根据距离传感器输出的实时位移量,判断箱门传感器是否在安全位移范围;并根据箱门传感器监测的实时距离结果和距离传感器输出的实时位移量,判断箱门的开闭状态,并生成相应的操作指令。
本发明,优点具体在于:
(1)在现有半导体烘干设备结构和组成的基础上,无损、低成本的设置了对箱门传感器进行检测和保护的固定限位件及距离传感器等部件,能够提供结构型限位保护功能,并及时反馈箱门传感器的位移状态,必要时报警停工避免损坏;同时还能够有效判断箱门的实际开闭状态,避免因检测误差导致误工而出现产品异常问题,或引发生产安全问题。
(2)采用由螺杆和锁定装置组成的固定限位件,其实质上是一种结构简单、操作方便的螺杆组件,既可替代采用普通螺钉、螺栓等螺纹部件将固定板固定在烘干箱体上,同时,锁定装置采用中心螺母和防松螺母组合的防松方式,强力锁定螺杆,保证距离传感器的位置稳定性,从而提供对箱门传感器的精确检测、有效保护以及调校参照物。
(3)采用螺纹连接方式设置箱门传感器,便于调校维护及更换,为烘干设备的长期稳定使用提供条件。此外,考虑箱门传感器灵敏度等要求,避免对其使用类似固定限位件的强力固定方式。因而通过本发明的限位保护装置能够保证箱门传感器的灵敏度、灵活性及安全性。
附图说明
通过参考附图1-5阅读下文的详细描述,本公开示例性实施方式的上述以及其他目的、特征和优点将变得易于理解。在附图中,以示例性而非限制性的方式示出了本公开的若干实施方式,并且相同或对应的标号表示相同或对应的部分,其中:
图1是本发明的箱门传感器设置于固定板的示意图;
图2是本发明的箱门传感器限位保护装置固定到烘干设备箱体的正视图;
图3是本发明的箱门传感器限位保护装置固定到烘干设备箱体的侧视图;
图4是本发明第一锁定装置或第二锁定装置与螺杆配合的示意图;
图5是本发明的中心螺母和防松螺母锁紧前和锁紧完成的示意图。
附图标记说明:1.箱体、2.限位保护装置、3.箱门传感器、4.距离传感器、41.信号发射端、42.信号接收端、5.固定板、6.螺丝、7.固定限位件、8.螺杆、9.第一锁定装置、10.第二锁定装置、11.中心螺母、12.防松螺母、110.法兰座、111.外斜面、112.第一内螺纹、113.第一外螺纹、120.第二内螺纹、121.内斜面。
具体实施方式
为了使本发明的目的、技术方案和优点更加清楚,下面将结合附图对本发明作进一步地详细描述。
本公开说明书和权利要求书及上述附图、下述具体实施方式中的术语“第一”、“第二”等是用于区别类似的对象,而不必用于描述特定的顺序或先后次序。应该理解这样使用的数据在适当情况下可以互换。
此外,术语“包括”和“具有” 以及他们的任何变形,意图在于覆盖不排他的包含。除非另有说明,术语“若干”表示至少一个,“多个”表示两个或两个以上。
本发明中未具体描述的烘干设备(例如烘箱、烤箱等)的组成部件及其连接方式,例如加热单元、循环单元、温度/压力控制系统等,皆为本领域的通用技术。
一种箱门传感器限位保护装置2,主要用于烘干设备,例如半导体烘箱等,以对需要反复开启/关闭的箱门检测的箱门传感器进行保护。实际使用中,并不限于烘干设备,可扩展到对门类部件的开闭状态需要准确监测的装置或使用场景中。
所述箱门传感器限位保护装置2包括箱门传感器3、距离传感器4、固定板5和固定限位件7;
箱门传感器3螺纹安装在固定板5一侧,用于监测箱门传感器3与箱门之间的实时距离;
固定板5通过固定限位件7固定在箱门对应的箱体1上,例如烘干设备的箱体上;所述固定限位件7包括螺杆8、第一锁定装置9和第二锁定装置10,所述螺杆8贯穿固定板5和箱体1,且第一锁定装置9和第二锁定装置10锁定在螺杆8上并夹持固定板5和箱体1形成固定部;所述螺杆8与箱门传感器3同侧并由固定板5向外延伸的部分形成限位部,限位部的高度大于箱门传感器3端部到固定板5的高度;限位部顶端与箱门传感器2顶端之间的高度差约为2-8mm,从结构上形成对箱门传感器2的限位保护。对于固定限位件7的设置个数,可根据实际需要进行选择,通常情况下,设置一组固定限位件7即可。
固定板5采用为待固定部件提供螺纹连接方式的固定板,在其固定区域设有多个螺纹孔以提供固定位置,如图1所示,在固定箱门传感器3的区域即为固定区域,所述的多个螺纹孔可以相同,也可以具有不同的组合,例如各孔的孔径大小不同和/或螺纹参数不同,亦或是暂未形成螺纹,后续根据需要形成螺纹。固定板5周边还包括安装区域,该区域设置标准螺孔,用于将该固定板与其他部件,例如烘干设备的箱体,进行固定连接。如图2所述,本发明的固定限位件7即是借助原有的螺孔安装在安装区域,安装区域其余的固定位置仍可采用螺丝6或者其他螺纹元件进行固定。
第一锁定装置9和第二锁定装置10可以采用相同结构或不同结构,总体目标是将螺杆8相对固定板5和烘干箱体1固定,从而以此为参照物,对箱门传感器2进行标定、检测和保护。
第一锁定装置9和第二锁定装置10均包括中心螺母11和防松螺母12。中心螺母11在其面向固定板5的端部具有法兰座110,例如六边形法兰座,在沿中心轴线的另一端部具有外斜面111,在法兰座110和外斜面111之间形成具有第一螺距P1的第一内螺纹112和具有第二螺距P2的第一外螺纹113,且P1>P2;所述外斜面111与水平方向的夹角α;防松螺母12具有与中心螺母11的第一外螺纹113结合的第二内螺纹120,以及在其远离固定板5的端部内侧的内斜面121,内斜面121与水平方向的夹角为β,且β>α,且β比α大约1°至5°,优选β比α大约1°至3°;α可选40°至50°,优选45°。适配的,前述螺杆8的螺距采用第一螺距P1,防松螺母12的第二内螺纹采用第二螺距P2,选择P1>P2,拧紧防松螺母12时,有利于在螺杆8与中心螺母11之间实现更大的贴合力。中心螺母11与防松螺母12相结合并锁定在螺杆8外侧时,致使中心螺母11的外斜面111被防松螺母12的内斜面121挤压,锁定后外斜面111和内斜面121基本统一为与水平方向呈β夹角,提高了紧固力,达到可靠的螺母防松效果。上述结构的使用即无需再使用单独的弹簧垫圈等部件,操作方便,节省成本和损耗。
为了进一步提高紧固效果,本发明的中心螺母11的外斜面111为非对称结构,外斜面111与水平方向的夹角α在β-5°至β-1°之间连续变化,优选在β-3°至β-1°之间连续变化。通过非对称的结构,可以最大限度地减少外部振动引起的螺母构件的松动现象。此外,在中心螺母11的外斜面111上,沿径向(或放射状)对称设置至少2个槽,根据加工的简便性,最好在2-6个范围内加工偶数。所述槽的设计,在中心螺母11弹性变形的同时,中心螺母11和防松螺母12可以牢固而均匀地贴合。
距离传感器4包括布置于限位部外侧面的信号发射端41和布置于箱门传感器3外侧面的多个信号接收端42;多个信号接收端42沿箱门传感器3的长度方向间距布置,距离传感器4实时输出信号发射端41与信号接收端42之间的距离,用于监测箱门传感器3相对其初始状态的实时位移量。
处理组件,与箱门传感器3、距离传感器4和电磁锁芯通信连接,根据距离传感器4输出的实时位移量,判断箱门传感器3是否在安全位移范围;并根据箱门传感器3的监测结果和距离传感器4的实时输出结果,判断箱门的开闭状态,并生成相应的操作指令。
所述处理组件的工作原理具体为:
根据箱门传感器3的监测结果和距离传感器4的实时输出结果,判断箱门的开闭状态,包括:
实时采集距离传感器4监测的信号发射端41与各个信号接收端42之间距离,以及箱门传感器3监测的箱门传感器3与箱门的距离;
基于实时采集的信号发射端41与各个信号接收端42之间距离得到箱门传感器3相对初始状态的位移量;
根据箱门传感器3相对初始状态的位移量和箱门传感器3的初始监测结果得到箱门传感器3的预计监测结果;
根据箱门传感器3的预计监测结果和实时采集的箱门传感器3与箱门的距离判断箱门的开闭状态;
其中,初始监测结果为箱门传感器3和箱门分别处于初始状态和闭合状态时,箱门传感器3监测的其与箱门之间的距离;箱门传感器3处于初始状态为将箱门传感器3通过螺纹安装于固定板5时的状态,该状态可以是未进行检修调整的出厂状态,也可以是进行检修调整并将其螺纹固定后的状态;
根据箱门传感器3的预计监测结果和实时采集的箱门传感器3与箱门的距离判断箱门的开闭状态,具体包括:
在实时采集的箱门传感器3与箱门的距离小于等于预计监测结果时,箱门为闭合状态;
在实时采集的箱门传感器3与箱门的距离大于预计监测结果时,箱门为开启状态。
根据箱门传感器3的监测结果和距离传感器4的输出结果,生成相应的操作指令,包括:
实时采集距离传感器4监测的信号发射端41与各个信号接收端42之间距离,以及箱门传感器3监测的箱门传感器3与箱门的距离;
基于实时采集的信号发射端41与各个信号接收端42之间距离得到箱门传感器3相对初始状态的位移量;
根据箱门传感器3相对初始状态的位移量,以及箱门传感器3与箱门的距离,生成相应的操作指令;
根据生成的操作指令触发烘干设备相应的操作;
生成相应的操作指令,具体满足以下关系:
其中,f(ΔA,B)为生成的操作指令,ΔA为箱门传感器3相对初始状态的位移量,a1为第一预定告警位移,a1>0,a2为第二预定告警位移,该第二预定告警位移可以为初始状态时,箱门传感器端部和固定限位件端部的高度差,也可以是根据箱门传感器的结构和参数确定的最大位移量,B为实时采集的箱门传感器3与箱门的距离,b为预定告警距离,N1表示无操作的第一指令,N2表示触发告警操作的第二指令,N3表示触发告警和更换操作的第三指令。第一指令表示箱门传感器3的位置,以及箱门传感器3与箱门之间的距离满足预定要求,生成相应的操作指令为第一指令时,该第一指令并不触发报警和更换检修的操作。第二指令表示箱门传感器与箱门之间的距离满足预定要求,但是箱门传感器3的所在位置存在损坏或无法监测的可能,并且箱门传感器3即将位移至危险位置,因此,生成相应的操作指令为第二指令时,通过生成的第二指令,可以提示工作人员对箱门传感器3进行检修,或者,计算预计检修时间发送给工作人员;预计检修时间是根据箱门传感器3的位移量ΔA,和箱门关闭状态下箱门传感器3产生位移量ΔA的时间,得到箱门传感器3的预估运动速度,再根据该预估运动速度得到箱门传感器3运动至第二预定告警位移的预计检修时间;将预计检修时间发送给工作人员的目的为:提示工作人员该箱门传感器3处于易损坏或监测不准确的位置,使得工作人员可以选择在预计检修时间内完成检修更换,也可以选择在预计检修时间后或生成第三指令时进行检修更换。第三指令表示箱门传感器3的位置,以及箱门传感器3与箱门之间的距离均不满足预定要求,当生成相应的操作指令为第三指令时,该第三指令可以通过处理组件向工作人员发送告警信号,以提示工作人员进行检修更换,也可以直接发送至管理平台进行实现前述功能;对于箱门传感器3的检修更换可以由工作人员完成,也可以设置相应结构进行实现;例如,电机通过齿轮驱动螺纹丝杆的方式实现箱门传感器3的轴向移动,从而使得箱门传感器3运动至初始状态。
具体而言,生成相应的操作指令可以包括以下步骤:
步骤A、实时采集距离传感器4监测的信号发射端41与各个信号接收端42之间距离,以及箱门传感器3监测的箱门传感器3与箱门的距离;
步骤B、基于实时采集的信号发射端41与各个信号接收端42之间距离得到箱门传感器3相对初始状态的位移量;
步骤C、判断箱门传感器3相对初始状态的位移量是否大于等于第一预定告警位移,若是,则进入步骤D,若否,则重复步骤C;
步骤D、判断箱门传感器3相对初始状态的位移量是否小于第二预定告警位移,若是,则进入步骤E,若否,则触发告警和更换操作;
步骤E、判断箱门传感器3与箱门的距离是否小于等于预定告警距离,若是,则触发告警和更换操作,若否,则触发告警操作。
触发告警操作时控制箱门对应烘烤空间内的烘烤组件强制断电;在箱门传感器3与箱门之间的距离大于预定告警距离后(例如通过维修调整的方式),烘烤组件可以按照正常烘烤程序进行烘烤空间内的加热。
本实施例在通过距离传感器4监测箱门传感器3并得到箱门传感器3的预计监测结果时,可以对距离传感器4的结构进行相应设置,以使得本实施例可以确定箱门传感器3的预计监测结果,该距离传感器4可以包括一个信号发射端41和两个信号接收端42;
本实施例的处理组件在得到箱门传感器3的预计监测结果时,该预计监测结果满足以下关系:
式中,h1为箱门传感器3的预计监测结果,S10和S20分别为箱门传感器3处于初始状态时,采集的信号发射端41与两个信号接收端42之间的初始距离,S1和S2分别为实施采集的信号发射端41与两个信号接收端42之间的距离,l为两个信号接收端42之间的距离,h0为箱门传感器3的初始监测结果。本实施例通过上述关系得到的预计监测结果可以大于初始监测结果也可以小于初始监测结果,当得到的结果为小于初始监测结果时,其表示的含义为箱门传感器3相对于初始状态朝远离烘干箱体的方向发生位移;当得到的结果为大于初始监测结果时,其表示的含义为箱门传感器3相对于初始状态朝向烘干箱体内部发生位移。
一种所述箱门传感器限位保护装置2的安装方法,至少包括如下步骤:
S1:将箱门传感器3以初始状态固定在固定板5一侧;
S2:将固定板5通过固定限位件7固定在箱门对应的箱体1上,包括:
S2.1:将第一锁定装置9锁定在螺杆8预定位置,以确定限位部到固定板5的高度;
S2.2:将螺杆8安装贯穿固定板5和箱体1,用第二锁定装置10锁定螺杆8,使得第一锁定装置9和第二锁定装置10锁定在螺杆8上并夹持固定板5和箱体1形成固定部;
S2.3:根据箱门传感器3在初始状态时到固定板5的高度,在限位部对应位置标记;
S3:将距离传感器4的信号发射端41设置于限位部外侧面,且距离传感器4的多个信号接收端42沿箱门传感器3的长度方向间距布置;距离传感器4实时输出信号发射端41与信号接收端42之间的距离,用于监测箱门传感器3相对其初始状态的实时位移量。
一种烘干设备,特别是半导体烘干设备,例如半导体烘箱或半导体烤箱,具有上述箱门传感器限位保护装置2,具体可包括:箱体1、箱门及门锁组件(未示出)等;门锁组件与箱门匹配,包括电磁锁芯,电磁锁芯在通电时磁吸箱门。还可包括独立设置的多个烘烤空间;所述箱门和箱门传感器限位保护装置2分别具有多个,每个箱门及箱门传感器限位保护装置2独立的与每个烘烤空间匹配,并与箱体1配合以开启或闭合对应烘烤空间。例如设有2-4个烘烤空间,相应设置2-4个箱门及2-4套箱门传感器限位保护装置3。门锁组件与箱门匹配,即每个箱门对应设置一组门锁组件。门锁组件的电磁锁芯可采用本领域常用结构,例如包括电磁线圈、电磁开关和控制元件,电磁线圈和电磁开关通过电路连接,控制元件根据处理组件的指令控制电磁开关的通断,以调节电磁线圈的磁力大小。
基于上述半导体烘干设备的设置,本发明半导体烘干设备的使用方法,包括:
S1:将待烘干物放置于烘干设备的箱体内;
S2:将处理组件与箱门传感器和距离传感器通信连接,根据距离传感器输出的实时位移量,判断箱门传感器是否在安全位移范围;并根据箱门传感器监测的实时距离结果和距离传感器输出的实时位移量,判断箱门的开闭状态,并生成相应的操作指令。
当完成相应操作后,箱门为闭合状态,控制电磁锁芯磁吸箱门,启动烘干设备烘烤程序。
其中,生成相应的操作指令,并执行相应操作时,该操作指令可以是上述的第一指令、第二指令和第三指令,也可以是人为观测箱门闭合后,以固定限位件和箱门为参照,判断箱门传感器是否需要进行调整或更换,还可以是其他实现箱门闭合状态监测和维护的任意方式,在此不作限定。另外,本实施例在控制电磁锁芯磁吸箱门前,进行执行相应操作的目的是为了保证半导体烘干设备的使用可靠性;例如,在实际应用时,若不执行相应操作,则在启动烘干设备烘烤程序后,箱门传感器无法准确判断箱门的开闭状态,从而使得半导体烘干设备进行临时开闭箱门后,导致无法准确判断箱门是否闭合,出现未闭合的情况,导致半导体烘干设备内的半导体出现质量问题。
以上介绍了本发明的较佳实施方式,旨在使得本发明的精神更加清楚和便于理解,并不是为了限制本发明,凡在本发明的精神和原则之内,所做的修改、替换、改进,均应包含在本发明所附的权利要求概括的保护范围之内。
Claims (8)
1.一种箱门传感器限位保护装置,其特征在于,包括箱门传感器、距离传感器、固定板和固定限位件;
箱门传感器螺纹安装在固定板一侧,用于监测箱门传感器与箱门之间的实时距离;
固定板通过固定限位件固定在与箱门对应的箱体上;所述固定限位件包括螺杆、第一锁定装置和第二锁定装置,所述螺杆贯穿固定板和箱体,且第一锁定装置和第二锁定装置锁定在螺杆上并夹持固定板和箱体形成固定部;所述螺杆与箱门传感器同侧并由固定板向外延伸的部分形成限位部,限位部的高度大于箱门传感器端部到固定板的高度;
距离传感器包括布置于限位部外侧面的信号发射端和布置于箱门传感器外侧面的多个信号接收端;多个信号接收端沿箱门传感器的长度方向间距布置,距离传感器实时输出信号发射端与信号接收端之间的距离,用于监测箱门传感器相对其初始状态的实时位移量;
所述箱门传感器限位保护装置还包括处理组件,处理组件与箱门传感器和距离传感器通信连接;处理组件根据箱门传感器的监测结果和距离传感器的实时输出结果,判断箱门的开闭状态,包括:
实时采集距离传感器监测的信号发射端与各个信号接收端之间距离,以及箱门传感器监测的箱门传感器与箱门的距离;
基于实时采集的信号发射端与各个信号接收端之间距离得到箱门传感器相对初始状态的位移量;
根据箱门传感器相对初始状态的位移量和箱门传感器的初始监测结果得到箱门传感器的预计监测结果;
根据箱门传感器的预计监测结果和实时采集的箱门传感器与箱门的距离判断箱门的开闭状态;
其中,初始监测结果为箱门传感器和箱门分别处于初始状态和闭合状态时,箱门传感器监测的其与箱门之间的距离;
根据箱门传感器的预计监测结果和实时采集的箱门传感器与箱门的距离判断箱门的开闭状态,具体包括:
在实时采集的箱门传感器与箱门的距离小于等于预计监测结果时,箱门为闭合状态;
在实时采集的箱门传感器与箱门的距离大于预计监测结果时,箱门为开启状态;
距离传感器包括一个信号发射端和两个信号接收端;
箱门传感器的预计监测结果,满足以下关系:
式中,h1为箱门传感器的预计监测结果,S10和S20分别为箱门传感器处于初始状态时,采集的信号发射端与两个信号接收端之间的初始距离,S1和S2分别为实施采集的信号发射端与两个信号接收端之间的距离,l为两个信号接收端之间的距离,h0为箱门传感器的初始监测结果。
2.如权利要求1所述的箱门传感器限位保护装置,其特征在于,第一锁定装置和第二锁定装置分别包括中心螺母和防松螺母;
中心螺母,在其面向固定板的端部具有法兰座,在沿中心轴线的另一端部具有外斜面,在法兰座和外斜面之间形成具有第一螺距P1的第一内螺纹和具有第二螺距P2的第一外螺纹;所述外斜面与水平方向的夹角α;
防松螺母,具有与中心螺母的第一外螺纹结合的第二内螺纹,以及在其远离固定板的端部内侧的内斜面,内斜面与水平方向的夹角为β,且β>α。
3.如权利要求2所述的箱门传感器限位保护装置,其特征在于,中心螺母的外斜面为非对称结构,外斜面与水平方向的夹角α在β-5°至β-1°之间连续变化。
4.如权利要求2或3所述的箱门传感器限位保护装置,其特征在于,在中心螺母的外斜面上,沿径向对称设置至少2个槽。
5.如权利要求1所述的箱门传感器限位保护装置,其特征在于,根据箱门传感器的监测结果和距离传感器的输出结果,生成相应的操作指令,包括:
实时采集距离传感器监测的信号发射端与各个信号接收端之间距离,以及箱门传感器监测的箱门传感器与箱门的距离;
基于实时采集的信号发射端与各个信号接收端之间距离得到箱门传感器相对初始状态的位移量;
根据箱门传感器相对初始状态的位移量,以及箱门传感器与箱门的距离,生成相应的操作指令,具体满足以下关系:
其中,f(ΔA,B)为生成的操作指令,ΔA为箱门传感器相对初始状态的位移量,a1为第一预定告警位移,a2为第二预定告警位移,B为实时采集的箱门传感器与箱门的距离,b为预定告警距离,N1表示无操作的第一指令,N2表示触发告警操作的第二指令,N3表示触发告警和更换操作的第三指令;根据生成的操作指令触发烘干设备相应的操作。
6.一种如权利要求1-5任一项所述箱门传感器限位保护装置的安装方法,其特征在于,包括如下步骤:
S1:将箱门传感器以初始状态固定在固定板一侧;
S2:将固定板通过固定限位件固定在箱门对应的箱体上,包括:
S2.1:将第一锁定装置锁定在螺杆预定位置,以确定限位部到固定板的高度;
S2.2:将螺杆安装贯穿固定板和箱体,用第二锁定装置锁定螺杆,使得第一锁定装置和第二锁定装置锁定在螺杆上并夹持固定板和箱体形成固定部;
S2.3:根据箱门传感器在初始状态时到固定板的高度,在限位部对应位置标记;
S3:将距离传感器的信号发射端设置于限位部外侧面,且距离传感器的多个信号接收端沿箱门传感器的长度方向间距布置;距离传感器实时输出信号发射端与信号接收端之间的距离,用于监测箱门传感器相对其初始状态的实时位移量。
7.一种半导体烘箱,具有权利要求1-5任一项所述的箱门传感器限位保护装置。
8.如权利要求7所述的半导体烘箱,其特征在于,包括独立设置的多个烘烤空间;所述箱门和箱门传感器限位保护装置分别具有多个,每个箱门及箱门传感器限位保护装置独立的与每个烘烤空间匹配。
Priority Applications (1)
| Application Number | Priority Date | Filing Date | Title |
|---|---|---|---|
| CN202310210543.5A CN116067169B (zh) | 2023-03-07 | 2023-03-07 | 一种箱门传感器限位保护装置、安装方法及半导体烘箱 |
Applications Claiming Priority (1)
| Application Number | Priority Date | Filing Date | Title |
|---|---|---|---|
| CN202310210543.5A CN116067169B (zh) | 2023-03-07 | 2023-03-07 | 一种箱门传感器限位保护装置、安装方法及半导体烘箱 |
Publications (2)
| Publication Number | Publication Date |
|---|---|
| CN116067169A CN116067169A (zh) | 2023-05-05 |
| CN116067169B true CN116067169B (zh) | 2023-06-16 |
Family
ID=86173362
Family Applications (1)
| Application Number | Title | Priority Date | Filing Date |
|---|---|---|---|
| CN202310210543.5A Active CN116067169B (zh) | 2023-03-07 | 2023-03-07 | 一种箱门传感器限位保护装置、安装方法及半导体烘箱 |
Country Status (1)
| Country | Link |
|---|---|
| CN (1) | CN116067169B (zh) |
Citations (3)
| Publication number | Priority date | Publication date | Assignee | Title |
|---|---|---|---|---|
| JP2002255311A (ja) * | 2001-02-28 | 2002-09-11 | Daifuku Co Ltd | 棚設備の出し入れ装置 |
| CN111351514A (zh) * | 2020-04-01 | 2020-06-30 | 杭州福廷科技有限公司 | 一种传感器用安装机构 |
| CN214463463U (zh) * | 2021-01-06 | 2021-10-22 | 吉林惠利现代轻工装备有限公司 | 一种干燥箱电动门开关装置 |
Family Cites Families (9)
| Publication number | Priority date | Publication date | Assignee | Title |
|---|---|---|---|---|
| KR19990021261U (ko) * | 1997-11-29 | 1999-06-25 | 양재신 | 자동차의 충격감지센서 장착용 브라켓 |
| CN204101064U (zh) * | 2014-10-16 | 2015-01-14 | 麦格思维特(上海)流体工程有限公司 | 传感器保护装置 |
| CN208999578U (zh) * | 2018-12-21 | 2019-06-18 | 浙江杭叉智能科技有限公司 | 一种自动引导运输车、货叉及其用以检测物体的装置 |
| CN109655780A (zh) * | 2019-01-02 | 2019-04-19 | 国网河南省电力公司濮阳供电公司 | 一种电能计量箱运行状态监测装置及方法 |
| CN214066145U (zh) * | 2021-02-04 | 2021-08-27 | 三一汽车起重机械有限公司 | 传感器安装支架 |
| CN113442085B (zh) * | 2021-08-30 | 2021-10-29 | 江苏感测通电子科技有限公司 | 一种用于传感器组装的定位式压配工装 |
| CN113719512A (zh) * | 2021-09-28 | 2021-11-30 | 上海东风汽车专用件有限公司 | 一种适用于汽车的高强度紧固件 |
| CN114322883B (zh) * | 2021-12-21 | 2024-12-13 | 北京华卓精科科技股份有限公司 | 传感器安装装置及自动化设备 |
| CN114321132A (zh) * | 2021-12-29 | 2022-04-12 | 杭州广立微电子股份有限公司 | 一种限位螺钉及紧固构件、电路板卡 |
-
2023
- 2023-03-07 CN CN202310210543.5A patent/CN116067169B/zh active Active
Patent Citations (3)
| Publication number | Priority date | Publication date | Assignee | Title |
|---|---|---|---|---|
| JP2002255311A (ja) * | 2001-02-28 | 2002-09-11 | Daifuku Co Ltd | 棚設備の出し入れ装置 |
| CN111351514A (zh) * | 2020-04-01 | 2020-06-30 | 杭州福廷科技有限公司 | 一种传感器用安装机构 |
| CN214463463U (zh) * | 2021-01-06 | 2021-10-22 | 吉林惠利现代轻工装备有限公司 | 一种干燥箱电动门开关装置 |
Also Published As
| Publication number | Publication date |
|---|---|
| CN116067169A (zh) | 2023-05-05 |
Similar Documents
| Publication | Publication Date | Title |
|---|---|---|
| EP2229322B1 (en) | A method and component for determining load on a latch assembly | |
| US8944478B2 (en) | Locking apparatus having a tumbler for safety doors | |
| EP3315771B1 (en) | Method, apparatus and system for detecting fatigue state of toothed belt of wind generator set | |
| US20100070077A1 (en) | Programmed calibration and mechanical impulse response application iin robotic automation systems | |
| CN111856169A (zh) | 一种变压器故障检测方法及系统 | |
| KR102875507B1 (ko) | 이상 진단 장치 및 이상 진단 방법 | |
| CN116067169B (zh) | 一种箱门传感器限位保护装置、安装方法及半导体烘箱 | |
| GB2523474A (en) | Real time monitoring of rotor or stator shape change for rotating machines | |
| CN105067150A (zh) | 一种动车轴箱温度检测系统及方法 | |
| CN117650447A (zh) | 一种基于配电箱空调单元自动控制的智能实时监测方法 | |
| CN105793187B (zh) | 电梯制动器的制动力监视器 | |
| CN113739843B (zh) | 电磁打桩锤的状态监测系统及状态监测方法 | |
| CN110849616B (zh) | 操作装置和用于识别操作装置动力传动系机械故障的方法 | |
| US12292161B2 (en) | Machine tool and machine tool system | |
| CN117477384B (zh) | 一种可自锁的智能电气柜及其控制方法 | |
| CN117387808A (zh) | 一种螺栓预紧力传感器及螺栓预紧力传感器系统 | |
| CN221408180U (zh) | 一种基于配电箱空调单元自动控制的智能实时监测系统 | |
| CN112832608A (zh) | 一种用于气压舱的安全联锁装置 | |
| CN117189936A (zh) | 一种阀芯高压变形检测系统及其补偿系统 | |
| CN211452652U (zh) | 一种10kv中压电力电缆温度电力运行维护检测装置 | |
| CN111220204A (zh) | 一种防喘调节控制系统预错防错检测装置 | |
| KR20100022848A (ko) | 분전함의 내부 이상 검출 진단 시스템 및 방법 | |
| KR102405600B1 (ko) | 지중 배전선로의 전력공급 차단시스템 제공방법 | |
| CN217080579U (zh) | 一种预防十字头杆脱落的预警装置 | |
| CN216977777U (zh) | 主机lvdt位移传感器整体防松动装置 |
Legal Events
| Date | Code | Title | Description |
|---|---|---|---|
| PB01 | Publication | ||
| PB01 | Publication | ||
| SE01 | Entry into force of request for substantive examination | ||
| SE01 | Entry into force of request for substantive examination | ||
| GR01 | Patent grant | ||
| GR01 | Patent grant | ||
| CP03 | Change of name, title or address |
Address after: Room F1066, 1st Floor, Building 1 (South), No. 368 Liuhe Road, Puyan Street, Binjiang District, Hangzhou City, Zhejiang Province Patentee after: Hangzhou Xinyun Semiconductor Group Co.,Ltd. Country or region after: China Address before: Room F1066, 1st Floor, Building 1 (South), No. 368 Liuhe Road, Puyan Street, Binjiang District, Hangzhou City, Zhejiang Province Patentee before: Hangzhou Xinyun Semiconductor Technology Co.,Ltd. Country or region before: China |
|
| CP03 | Change of name, title or address |





