CN115788399A - 高倍数水驱岩心油水相对渗透率曲线测量装置及方法 - Google Patents
高倍数水驱岩心油水相对渗透率曲线测量装置及方法 Download PDFInfo
- Publication number
- CN115788399A CN115788399A CN202211382197.0A CN202211382197A CN115788399A CN 115788399 A CN115788399 A CN 115788399A CN 202211382197 A CN202211382197 A CN 202211382197A CN 115788399 A CN115788399 A CN 115788399A
- Authority
- CN
- China
- Prior art keywords
- water
- oil
- relative permeability
- core
- displacement
- Prior art date
- Legal status (The legal status is an assumption and is not a legal conclusion. Google has not performed a legal analysis and makes no representation as to the accuracy of the status listed.)
- Granted
Links
- XLYOFNOQVPJJNP-UHFFFAOYSA-N water Substances O XLYOFNOQVPJJNP-UHFFFAOYSA-N 0.000 title claims abstract description 146
- 230000035699 permeability Effects 0.000 title claims abstract description 78
- 238000000034 method Methods 0.000 title claims abstract description 41
- 238000006073 displacement reaction Methods 0.000 claims abstract description 42
- 239000007788 liquid Substances 0.000 claims abstract description 27
- 238000000926 separation method Methods 0.000 claims abstract description 20
- 238000005259 measurement Methods 0.000 claims abstract description 19
- XEEYBQQBJWHFJM-UHFFFAOYSA-N Iron Chemical compound [Fe] XEEYBQQBJWHFJM-UHFFFAOYSA-N 0.000 claims description 10
- 229920001971 elastomer Polymers 0.000 claims description 6
- 239000011435 rock Substances 0.000 claims description 6
- 229910052742 iron Inorganic materials 0.000 claims description 5
- 230000008569 process Effects 0.000 abstract description 14
- 230000008859 change Effects 0.000 abstract description 8
- 238000004088 simulation Methods 0.000 abstract description 3
- 230000002706 hydrostatic effect Effects 0.000 abstract description 2
- 239000003921 oil Substances 0.000 description 41
- 239000012530 fluid Substances 0.000 description 12
- 239000008398 formation water Substances 0.000 description 12
- 239000000243 solution Substances 0.000 description 11
- 230000001186 cumulative effect Effects 0.000 description 10
- 229920006395 saturated elastomer Polymers 0.000 description 8
- 239000011148 porous material Substances 0.000 description 7
- 230000015572 biosynthetic process Effects 0.000 description 4
- 238000004364 calculation method Methods 0.000 description 3
- 238000012512 characterization method Methods 0.000 description 3
- 238000010586 diagram Methods 0.000 description 3
- 230000007423 decrease Effects 0.000 description 2
- 238000011161 development Methods 0.000 description 2
- 238000000691 measurement method Methods 0.000 description 2
- 230000009286 beneficial effect Effects 0.000 description 1
- 238000007796 conventional method Methods 0.000 description 1
- 230000008570 general process Effects 0.000 description 1
- 238000002347 injection Methods 0.000 description 1
- 239000007924 injection Substances 0.000 description 1
- 230000003993 interaction Effects 0.000 description 1
- 238000012417 linear regression Methods 0.000 description 1
- 230000000704 physical effect Effects 0.000 description 1
- 238000011084 recovery Methods 0.000 description 1
- 238000012360 testing method Methods 0.000 description 1
Images
Landscapes
- Investigation Of Foundation Soil And Reinforcement Of Foundation Soil By Compacting Or Drainage (AREA)
Abstract
本发明公开了高倍数水驱岩心油水相对渗透率曲线的测量装置及方法,所述装置特征在于,基于流体静力学原理,将油水分离器、高精度计量管及软管串接成连通器,与固定装置构成高倍数水驱油水分离高精度连续式计量单元,其中,油水分离器置于高精度计量管之上,通过调整软管高度控制连通器内液面高度,从而实现油水自动分离与精确、连续计量;所述方法特征在于,应用高倍数水驱油水分离高精度连续式计量单元测量不同驱替倍数下相渗端点值的变化,从而插值得到高倍数水驱岩心油水相对渗透率曲线,操作简单,且对中间过程的表征更为准确,有望应用到考虑相渗时变的油藏数值模拟研究。
Description
技术领域
本发明属于油气藏开发技术领域,涉及高倍数水驱岩心油水相对渗透率曲线测量装置及方法。
背景技术
油水相对渗透率是反应岩石与油、水相互作用的动态参数,也是油藏工程中最为重要的参数。主要有非稳态法及稳态法两种测量方法,非稳态法凭借其快速、准确的特点,占据了相对渗透率曲线测量中的主流地位,其中又以JBN方法最为常用。其一般过程为:在油藏岩样上进行恒压差或恒速度水驱油试验,在岩样出口端记录每种流体的产量和岩样两端的压力差随时间的变化,用“J.B.N.”方法计算得到油-水相对渗透率,并绘制油-水相对渗透率与含水饱和度的关系曲线。
经过数十年的注水开发,我国大多数油田已进入高含水后期,明确储层物性尤其是相对渗透率的变化规律,对提高采收率至关重要。但常规的相对渗透率测量装置及方法无法实现高倍数水驱过程中油水的自动分离与精确、连续计量。
据2013年实施的标准《岩石中两相流体相对渗透率测定方法》(GB/T 28912-2012),测量过程中油水分离器下端需定时打开阀门放水,无法实现连续计量,不适用于驱替倍数达30PV以上的相对渗透率曲线测量。同时,市面上常用的油水分离器不具备计量功能,需要将油相转移到单独的计量管中,操作复杂且误差较大。另外,部分兼具油水分离与计量功能的装置,其精度难以表征高倍数水驱岩心相渗端点值的微小变化。
因此,有必要开发适用于高倍数水驱岩心油水相对渗透率曲线测量装置及方法,解决高倍数水驱岩心相渗端点值变化难以表征的问题。
发明内容
本发明的目的在于:提供了一种适用于高倍数水驱岩心油水相对渗透率曲线测量装置及方法,克服了传统油-水相对渗透率测量过程中无法同时实现油水自动分离与精确、连续计量的难点,解决了高倍数水驱岩心不同驱替倍数下相渗端点值测量精度不高的问题,操作简单,且对中间过程的表征更为准确,有望应用到相渗时变数值模拟研究。
本发明采用的技术方案如下:
高倍数水驱岩心油水相对渗透率曲线测量装置,所述装置包括依次连接的ISCO泵、六通阀Ⅰ、中间容器、六通阀Ⅱ、岩心夹持器及高倍数水驱油水分离高精度连续式计量单元;
作为上述技术方案的进一步限定,所述岩心夹持器的中部通过管线与压力传感器、手摇泵连接;所述岩心夹持器两端通过管线连接有压力传感器;
作为上述技术方案的进一步限定,所述高倍数水驱油水分离高精度连续式计量单元,包括连通器与固定装置,其左端设有数码相机与计算机,数码相机用于拍照记录,计算机会自动储存相片;其右端设有烧杯、天平、与计算机,烧杯用于收集连通器内排出液,天平用于对烧杯内液体实时称重,计算机用于对重量数据进行记录;
作为上述技术方案的进一步限定,所述连通器由油水分离器、转接口Ⅰ、高精度计量管、转接口Ⅱ与软管构成;油水分离器上端为开口,驱替装置出液端由油水分离器上端插入并置于其底部,下端通过转接口Ⅰ与高精度计量管相连,高精度计量管下端通过转接口Ⅱ与软管相连;
作为上述技术方案的进一步限定,所述固定装置由万能夹、铁架台、十字夹、橡皮筋构成,万能夹用于固定高精度计量管,铁架台用于支撑连通器,十字夹用于调整连通器内液面高度,橡皮筋用于固定软管;
本发明还提供高倍数水驱岩心油水相对渗透率曲线测量方法,包括以下步骤:
S1、配制模拟油、模拟地层水,测量粘度、密度,分别记为μo、μw、ρo、ρw,并分别对其进行过滤、抽真空处理后装入中间容器;测量岩心长度、直径和质量,分别记为L、D、m0;将岩心抽真空,并使用模拟地层水对岩心进行饱和处理,饱和后称重,质量记为m1,计算横截面积A、孔隙体积Vp、孔隙度
S3、将饱和后的岩心装入岩心夹持器中,连接驱替流程,利用模拟地层油驱替饱和模拟地层水的岩心至束缚水状态,用模拟地层油驱替岩心,待出口不再产水且产油速度达到稳定,记录此时出口的累计产水体积Vwc,驱替速度Q,驱替压差Δpc,最后得出束缚水状态下的饱和度Swc及油相渗透率ko;
S4、将岩心置于岩心夹持器中老化不少于2天;使用非稳态法进行相渗测定:用模拟地层水驱替岩心,驱替速度Q。记录见水时间T、见水时刻的累产油量VO、累产液量Qo以及岩心两端的驱替压差Δpo;见水初期,加密记录,随着出油量的不断下降,逐渐加长记录的时间间隔,含水率达99.9%后,测定残余油下的水相渗透率;
S5、使用高精度计量管,持续计量不同驱替倍数下的累产油量V(t)、累产液量Q(t)以及岩心两端的驱替压差Δp(t);
S6、利用不同驱替倍数下的残余油饱和度及水相相对渗透率进行插值,得到对应驱替倍数下的相对渗透率曲线。
作为上述技术方案的进一步限定,步骤S2中岩心横截面积、岩心体积、孔隙体积、孔隙度计算公式如下:
Vb=LA
其中,D为测得的岩心直径,cm;L为测得的岩心长度,cm;m0为测得的岩心干重,g;m1为测得的岩心饱和模拟地层水时的湿重,g;ρw为模拟地层水的密度,g/cm3。
作为上述技术方案的进一步限定,步骤S3中,束缚水饱和度及束缚水饱和度下的渗透率计算公式如下:
式中:Ko(Swi)为束缚水状态下油相渗透率,mD;Q为油的流量,mL/s;μo为测定温度下油粘度,mPa·s;L为岩心长度,cm;A为岩心截面积,cm2;Δpc为岩心驱替压差,MPa。
作为上述技术方案的进一步限定,步骤S4中,驱替速度通过下式进行确定:
Lμovw≥1
作为上述技术方案的进一步限定,步骤S4中,油、水相对渗透率通过下式进行计算:
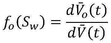
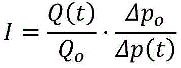
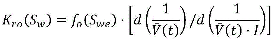
式中:Kro(Sw)为采出液饱和度下的油相相对渗透率,无量纲;Krw(Sw)为采出液饱和度下的水相相对渗透率,无量纲;为累计驱替孔隙体积倍数,无量纲;为累计采出孔隙体积倍数,无量纲;fo(Sw)为采出液含油率(产油量与总产液量的比值),无量纲;Swe,Swi分别为采出液含水饱和度、岩心束缚水饱和度,无量纲;I为任意时刻与初始时刻流动能力比值;Q(t)为t时刻采出液量,cm3/s;Qo为初始时刻(见水时刻)采出液量,cm3/s;Δp(t)为t时刻岩心两端压差,MPa;Δpo为初始时刻(见水时刻)岩心两端压差,MPa。
作为上述技术方案的进一步限定,油、水相对渗透率通过下式进行归一化:
其中:
与现有技术相比该发明的有益效果如下:
高倍数水驱岩心油水相对渗透率曲线测量装置及方法,基于流体静力学原理设计了高倍数水驱油水分离高精度连续式计量单元,并应用该装置测量不同驱替倍数下相渗端点值变化,从而插值得到高倍数水驱岩心不同驱替倍数下的油水相对渗透率曲线。
所述装置与常规相对渗透率测量装置相比,增设了数码相机、计算机、连通器,具有操作简单、记录方便、连续计量的特点;与市面上常用的油水分离器相比,兼具油水自动分离与精确计量的功能;与部分兼具油水分离与计量功能的装置相比,精度更高,达0.01mL。
所述方法与常规测多条相对渗透率曲线的方法相比,只用测一条相对渗透率曲线,连续测量水驱岩心不同驱替倍数下相渗端点值变化,插值得到不同驱替倍数下的相对渗透率曲线,操作简单,省时省力,且对中间过程的表征更为准确。
所述装置及方法克服了传统油水相对渗透率测量过程中无法同时实现油水自动分离与精确、连续计量的难点,解决了高倍数水驱岩心不同驱替倍数下相渗端点值测量精度不高的问题,且操作简单、对中间过程的表征更为准确,有望应用到相渗时变数值模拟研究。
附图说明
为了更清楚地说明本发明实施例的技术方案,下面将对实施例中所需要使用的附图作简单地介绍,应当理解,以下附图仅示出了本发明的某些实施例,因此不应被看作是对范围的限定,对于本领域普通技术人员来讲,在不付出创造性劳动的前提下,还可以根据这些附图获得其他相关的附图,其中:
图1是高倍数水驱岩心油水相对渗透率测量装置示意图;
图2是高倍数水驱油水分离高精度连续式计量装置的结构示意图;
图3是本发明实施例一的油相体积随时间变化曲线图;
图4是本发明实施例一的水相体积随时间变化曲线图;
图5是本发明实施例一的标准化油水相对渗透率曲线图;
图6是本发明实施例一的不同驱替倍数下的油水相对渗透率曲线图。
具体实施方式
为了使本发明的目的、技术方案及优点更加清楚明白,以下结合附图及实施例,对本发明进行进一步详细说明。应当理解,此处所描述的具体实施例仅用以解释本发明,并不用于限定本发明,即所描述的实施例只是本发明的一部分实施例,而不是全部的实施例。通常在此处描述和附图中示出的本发明实施例的组件可以以各种不同的配置来布置和设计。
因此,以下对在附图中提供的本发明的实施例的详细描述并非旨在限制要求保护的本发明的范围,而是仅仅表示本发明的选定实施例。基于本发明的实施例,本领域技术人员在没有做出创造性劳动的前提下所获得的所有其他实施例,都属于本发明保护的范围。
需要说明的是,术语“第一”和“第二”等之类的关系术语仅仅用来将一个实体或者操作与另一个实体或操作区分开来,而不一定要求或者暗示这些实体或操作之间存在任何这种实际的关系或者顺序。而且,术语“包括”、“包含”或者其任何其他变体意在涵盖非排他性的包含,从而使得包括一系列要素的过程、方法、物品或者设备不仅包括那些要素,而且还包括没有明确列出的其他要素,或者是还包括为这种过程、方法、物品或者设备所固有的要素。在没有更多限制的情况下,由语句“包括一个……”限定的要素,并不排除在包括所述要素的过程、方法、物品或者设备中还存在另外的相同要素。
以下具体实施方式中,高倍数水驱岩心油水相对渗透率曲线测量装置,其特征在于,如图1、2所示,包括依次连接的ISCO泵(1)、六通阀Ⅰ(2)、中间容器(3、4)、六通阀Ⅱ(5)、岩心夹持器(7)及高倍数水驱油水分离高精度连续式计量单元;岩心夹持器(7)的中部通过管线与压力传感器(8)、手摇泵(9)连接;岩心夹持器(7)两端通过管线连接有压力传感器(6、10);
进一步的,所述高倍数水驱油水分离高精度连续式计量单元,包括连通器(12)与固定装置,其左端设有数码相机(20)与计算机(19),数码相机用于拍照记录,计算机(20)会自动储存相片;其右端设有烧杯(17)、天平(18)、与计算机(19),烧杯(17)用于收集连通器内排出液,天平(18)用于对烧杯内液体实时称重,计算机(19)用于对重量数据进行记录;
更进一步的,所述连通器(12)由油水分离器(121)、转接口Ⅰ(122)、高精度计量管(123)、转接口Ⅱ(124)与软管(125)构成;油水分离器(121)上端为开口,驱替装置出液端由油水分离器(121)上端插入并置于其底部,下端通过转接口Ⅰ(122)与高精度计量管相连(123),高精度计量管下端通过转接口Ⅱ(124)与软管(125)相连;
更进一步的,所述固定装置由万能夹(13)、铁架台(14)、十字夹(15)、橡皮筋(16)构成,万能夹(13)用于固定高精度计量管(123),铁架台(14)用于支撑连通器(12),十字夹(15)用于调整连通器内液面高度,橡皮筋(16)用于固定软管(125);
实施例1
高倍数水驱岩心油水相对渗透率曲线测量方法,包括以下步骤:
S1、配制模拟油、模拟地层水,使用旋转粘度计测量二者粘度分别1mpa·s、9.31mpa·s,使用比重瓶测量密度分别为0.826g/cm3、1.007g/cm3,并分别对其进行过滤、抽真空处理后装入中间容器;测量岩心长度、直径和质量,分别为5.001cm、2.515cm、52.1913g;将岩心抽真空,并使用模拟地层水对岩心进行饱和处理,饱和后称重,质量为56.2218g,按照下式计算可得横截面积为4.98cm2、岩心体积24.84cm3、孔隙体积4.51cm3、孔隙度0.181;
Vb=LA
其中,D为测得的岩心直径,cm;L为测得的岩心长度,cm;m0为测得的岩心干重,g;m1为测得的岩心饱和模拟地层水时的湿重,g;ρw为模拟地层水的密度,g/cm3。
S2、将饱和后的岩心装入岩心夹持器中,连接驱替流程,利用模拟地层油驱替饱和模拟地层水的岩心至束缚水状态,用模拟地层油驱替岩心,待出口不再产水且产油速度达到稳定,记录此时出口的累计产水体积2.85mL,驱替速度1mL/min,驱替压差0.043MPa,最后得出束缚水状态下的饱和度0.3648及油相渗透率239mD;
束缚水饱和度及束缚水饱和度下的渗透率计算公式如下:
式中:Ko(Swi)为束缚水状态下油相渗透率,mD;Q为油的流量,mL/s;μo为测定温度下油粘度,mPa·s;L为岩心长度,cm;A为岩心截面积,cm2;Δpc为岩心驱替压差,MPa。
S3:将岩心置于岩心夹持器中老化不少于2天;使用非稳态法进行相渗测定:用模拟地层水驱替岩心,驱替速度1mL/min。记录见水时间54s、见水时刻的累产油量0.9mL、累产液量0.9mL以及岩心两端的驱替压差0.082MPa;见水初期,加密记录,随着出油量的不断下降,逐渐加长记录的时间间隔,含水率达99.9%后,测定残余油下的水相渗透率;
测量记录数据按照下式进行处理得到油水相对渗透率曲线:
式中:Kro(Sw)为采出液饱和度下的油相相对渗透率,无量纲;Krw(Sw)为采出液饱和度下的水相相对渗透率,无量纲;为累计驱替孔隙体积倍数,无量纲;为累计采出孔隙体积倍数,无量纲;fo(Sw)为采出液含油率(产油量与总产液量的比值),无量纲;Swe,Swi分别为采出液含水饱和度、岩心束缚水饱和度,无量纲;I为任意时刻与初始时刻流动能力比值;Q(t)为t时刻采出液量,cm3/s;Qo为初始时刻(见水时刻)采出液量,cm3/s;Δp(t)为t时刻岩心两端压差,MPa;Δpo为初始时刻(见水时刻)岩心两端压差,MPa。
通过下式对油-水相对渗透率数据进行归一化:
其中:
为便于拟合,对上式两边取自然对数,可以得到:
S4:使用分度值为0.01mL的高精度计量管,持续计量30PV、100PV、300PV、500PV、700PV、1000PV时刻的累产油量V(t)、累产液量Q(t)以及岩心两端的驱替压差Δp(t),如图3、4所示;
S5:利用高倍数水驱过程的数据点,进行相渗端点插值,如图6所示,得到水驱岩心不同驱替倍数下的相对渗透率曲线。
Claims (6)
1.高倍数水驱岩心油水相对渗透率曲线测量装置,其特征在于,包括依次连接的ISCO泵(1)、六通阀Ⅰ(2)、中间容器(3、4)、六通阀Ⅱ(5)、岩心夹持器(7)及高倍数水驱油水分离高精度连续式计量单元;岩心夹持器(7)的中部通过管线与压力传感器(8)、手摇泵(9)连接;岩心夹持器(7)两端通过管线连接有压力传感器(6、10)。
2.根据权利要求1所述的高倍数水驱岩心油水相对渗透率曲线测量装置,其特征在于,所述高倍数水驱油水分离高精度连续式计量单元,包括连通器(12)与固定装置,其左端设有数码相机(20)与计算机(19),数码相机(20)用于拍照记录,计算机(20)用于储存相片;其右端设有烧杯(17)、天平(18)、与计算机(19),烧杯(17)用于收集连通器内排出液,天平(18)用于对烧杯内液体实时称重,计算机(19)用于对重量数据进行记录。
3.根据权利要求2所述的高倍数水驱油水分离高精度连续式计量单元,其特征在于,所述连通器(12)由油水分离器(121)、转接口Ⅰ(122)、高精度计量管(123)、转接口Ⅱ(124)与软管(125)构成;油水分离器(121)上端为开口,驱替装置出液端由油水分离器(121)上端插入并置于其底部,下端通过转接口Ⅰ(122)与高精度计量管相连(123),高精度计量管下端通过转接口Ⅱ(124)与软管(125)相连。
4.根据权利要求2所述的高倍数水驱油水分离高精度连续式计量单元,其特征在于,所述固定装置由万能夹(13)、铁架台(14)、十字夹(15)、橡皮筋(16)构成,万能夹(13)用于固定高精度计量管(123),铁架台(14)用于支撑连通器(12),十字夹(15)用于控制连通器内液面高度,橡皮筋(16)用于固定软管(125)。
5.高倍数水驱岩心油水相对渗透率曲线测量方法,其特征在于,包括以下步骤:
S1、使用非稳态法对岩样进行常规油水相对渗透率曲线测量;
S2、常规油水相对渗透率曲线测量结束后,更换装置为高倍数水驱岩心油水相对渗透率曲线测量装置继续驱替,计量不同驱替倍数下(>30PV)的残余油饱和度及水相相对渗透率;
S3、通过测量测得的残余油饱和度及水相相对渗透率数据进行插值,计算得到高倍数水驱岩心不同驱替倍数下的油水相对渗透率曲线。
6.根据权利要求5所述的高倍数水驱岩心油水相对渗透率曲线测量方法,其特征在于,所述更换装置为高倍数水驱岩心油水相对渗透率曲线装置继续驱替,包括以下操作:
S21、驱替之前,通过调整十字夹控制软管高度,使连通器液面高度超过驱替装置出液端;
S22、开始驱替,通过烧杯内液体质量判断驱替倍数,在需要计量的节点停止驱替,控制十字夹调整软管高度,使液面下降至高精度计量管的可读数区间内,使用数码相机拍照并上传至计算机,然后再次调整软管高度,使液面返回油水分离器中;
S23、继续驱替,待下一个需要计量的时间节点,重复上述操作。
Priority Applications (1)
| Application Number | Priority Date | Filing Date | Title |
|---|---|---|---|
| CN202211382197.0A CN115788399B (zh) | 2022-11-07 | 2022-11-07 | 高倍数水驱岩心油水相对渗透率曲线测量装置及方法 |
Applications Claiming Priority (1)
| Application Number | Priority Date | Filing Date | Title |
|---|---|---|---|
| CN202211382197.0A CN115788399B (zh) | 2022-11-07 | 2022-11-07 | 高倍数水驱岩心油水相对渗透率曲线测量装置及方法 |
Publications (2)
| Publication Number | Publication Date |
|---|---|
| CN115788399A true CN115788399A (zh) | 2023-03-14 |
| CN115788399B CN115788399B (zh) | 2024-02-09 |
Family
ID=85435769
Family Applications (1)
| Application Number | Title | Priority Date | Filing Date |
|---|---|---|---|
| CN202211382197.0A Active CN115788399B (zh) | 2022-11-07 | 2022-11-07 | 高倍数水驱岩心油水相对渗透率曲线测量装置及方法 |
Country Status (1)
| Country | Link |
|---|---|
| CN (1) | CN115788399B (zh) |
Cited By (2)
| Publication number | Priority date | Publication date | Assignee | Title |
|---|---|---|---|---|
| CN116201538A (zh) * | 2023-03-15 | 2023-06-02 | 西南石油大学 | 一种基于采出程度的全生命周期储层损害评价方法 |
| CN120177313A (zh) * | 2025-03-21 | 2025-06-20 | 深地科学与工程云龙湖实验室 | 改性岩石采动应力-渗流特性试验装置及方法 |
Citations (9)
| Publication number | Priority date | Publication date | Assignee | Title |
|---|---|---|---|---|
| CN2697602Y (zh) * | 2004-04-26 | 2005-05-04 | 大庆油田有限责任公司 | 一种用于高含水、低产油的微量计量器 |
| CN103573234A (zh) * | 2012-08-06 | 2014-02-12 | 中国石油化工股份有限公司 | 一种确定完整油水相对渗透率曲线的方法 |
| CN204267017U (zh) * | 2014-11-03 | 2015-04-15 | 中国石油大学(北京) | 一种油水分离计量装置 |
| CN107727553A (zh) * | 2017-10-31 | 2018-02-23 | 中国石油大学(北京) | 一种稠油启动压力梯度以及渗流规律测量装置与方法 |
| CN110160932A (zh) * | 2019-06-03 | 2019-08-23 | 西南石油大学 | 一种油水相对渗透率曲线测试装置及测试方法 |
| CN110307880A (zh) * | 2018-03-27 | 2019-10-08 | 中国石油化工股份有限公司 | 适用于高含水实验的计量装置及计量方法 |
| CN213517134U (zh) * | 2020-12-10 | 2021-06-22 | 西南石油大学 | 一种岩心驱替实验装置 |
| CN113431537A (zh) * | 2021-06-30 | 2021-09-24 | 延安大学 | 一种非稳态变流速大尺度岩心水驱气相对渗透率测试方法 |
| CN113933478A (zh) * | 2020-07-13 | 2022-01-14 | 中国石油化工股份有限公司 | 一种高温高压可视化油水计量装置及方法 |
-
2022
- 2022-11-07 CN CN202211382197.0A patent/CN115788399B/zh active Active
Patent Citations (9)
| Publication number | Priority date | Publication date | Assignee | Title |
|---|---|---|---|---|
| CN2697602Y (zh) * | 2004-04-26 | 2005-05-04 | 大庆油田有限责任公司 | 一种用于高含水、低产油的微量计量器 |
| CN103573234A (zh) * | 2012-08-06 | 2014-02-12 | 中国石油化工股份有限公司 | 一种确定完整油水相对渗透率曲线的方法 |
| CN204267017U (zh) * | 2014-11-03 | 2015-04-15 | 中国石油大学(北京) | 一种油水分离计量装置 |
| CN107727553A (zh) * | 2017-10-31 | 2018-02-23 | 中国石油大学(北京) | 一种稠油启动压力梯度以及渗流规律测量装置与方法 |
| CN110307880A (zh) * | 2018-03-27 | 2019-10-08 | 中国石油化工股份有限公司 | 适用于高含水实验的计量装置及计量方法 |
| CN110160932A (zh) * | 2019-06-03 | 2019-08-23 | 西南石油大学 | 一种油水相对渗透率曲线测试装置及测试方法 |
| CN113933478A (zh) * | 2020-07-13 | 2022-01-14 | 中国石油化工股份有限公司 | 一种高温高压可视化油水计量装置及方法 |
| CN213517134U (zh) * | 2020-12-10 | 2021-06-22 | 西南石油大学 | 一种岩心驱替实验装置 |
| CN113431537A (zh) * | 2021-06-30 | 2021-09-24 | 延安大学 | 一种非稳态变流速大尺度岩心水驱气相对渗透率测试方法 |
Non-Patent Citations (9)
| Title |
|---|
| 于洪敏;王友启;聂俊;吕成远;崔文富;张莉;: "高注水倍数相对渗透率曲线校正方法研究及应用", 石油钻探技术, no. 04, 19 July 2018 (2018-07-19) * |
| 王曙光, 赵国忠, 余碧君: "大庆油田油水相对渗透率统计规律及其应用", 石油学报, no. 03, 25 May 2005 (2005-05-25) * |
| 王林明;: "低渗油藏渗流机理研究", 胜利油田职工大学学报, no. 03, 15 June 2009 (2009-06-15) * |
| 王树涛;: "强底水油藏水驱倍数定量表征及大幅提液研究", 新疆石油天然气, no. 02, 15 June 2020 (2020-06-15) * |
| 贾虎;邓力珲;: "基于流线聚类人工智能方法的水驱油藏流场识别", 石油勘探与开发, no. 02, 15 January 2018 (2018-01-15) * |
| 赵明月: "强边底水油藏高倍数水驱的数值模拟方法实现及应用", 《中国优秀硕士学位论文全文数据库工程科技I辑》, no. 4, pages 16 - 30 * |
| 郭文敏;李治平;吕道平;贾国澜;寇根;: "基于一维岩心实验参数的三维油藏采收率预测方法及应用", 油气地质与采收率, no. 06, 25 November 2014 (2014-11-25) * |
| 韩洁;宋新民;李军;鞠斌山;李华君;: "扶余油田水驱开发储层参数变化实验研究", 科学技术与工程, no. 14, 18 May 2013 (2013-05-18) * |
| 黄向东, 伊向艺, 赵之波, 朱金堂: "两种油水自动计量方法研究及其装置的实现", 石油仪器, no. 04 * |
Cited By (3)
| Publication number | Priority date | Publication date | Assignee | Title |
|---|---|---|---|---|
| CN116201538A (zh) * | 2023-03-15 | 2023-06-02 | 西南石油大学 | 一种基于采出程度的全生命周期储层损害评价方法 |
| CN116201538B (zh) * | 2023-03-15 | 2023-09-12 | 西南石油大学 | 一种基于采出程度的全生命周期储层损害评价方法 |
| CN120177313A (zh) * | 2025-03-21 | 2025-06-20 | 深地科学与工程云龙湖实验室 | 改性岩石采动应力-渗流特性试验装置及方法 |
Also Published As
| Publication number | Publication date |
|---|---|
| CN115788399B (zh) | 2024-02-09 |
Similar Documents
| Publication | Publication Date | Title |
|---|---|---|
| CN112417787B (zh) | 非常规油藏两相相对渗透率曲线测定装置及方法 | |
| CN104237099B (zh) | 测定致密岩心径向渗透率的装置及方法 | |
| CN115788399A (zh) | 高倍数水驱岩心油水相对渗透率曲线测量装置及方法 | |
| CN206609743U (zh) | 水驱气藏水侵动态储量损失实验测试系统 | |
| CN104568678A (zh) | 高温高压高含硫气藏气液硫相渗曲线测试装置及方法 | |
| CN210264648U (zh) | 一种多功能的岩心驱替装置 | |
| CN115078355B (zh) | 模拟多孔介质中原油注气相态特征的可视化装置及方法 | |
| BRPI0813744B1 (pt) | Método para rechear uma primeira coluna com uma suspensão espessa de um meio cromatográfico para obter uma altura de leito desejada de meio recheado dentro da coluna | |
| CN207114389U (zh) | 一种岩心自发渗吸驱油实验装置 | |
| CN109507081B (zh) | 基质渗吸与驱油的同步测量系统及方法 | |
| CN109883894A (zh) | 一种超高温超高压稳态气水相渗测试装置及测试方法 | |
| CN105372150A (zh) | 一种油藏动态毛管力曲线的测定方法及设备 | |
| CN108226008A (zh) | 自循环变水头达西渗透实验仪 | |
| CN111855522A (zh) | 一种岩心夹持器、高温高压岩心自发渗吸实验装置及方法 | |
| Christensen | Permeability-capillary potential curves for three prairie soils | |
| CN203422371U (zh) | 岩心测量系统 | |
| CN208076347U (zh) | 岩石渗透率和压缩系数联测装置 | |
| CN204649589U (zh) | 一种原状土样渗透系数测定装置 | |
| CN109799177A (zh) | 一种多组岩样低速非达西渗流试验同时测量的装置和方法 | |
| CN114139470B (zh) | 一种致密砂岩气藏气体相对渗透率计算方法 | |
| CN207937313U (zh) | 一种测量三维岩心流动油水相渗曲线的装置 | |
| CN204267017U (zh) | 一种油水分离计量装置 | |
| CN117664804B (zh) | 一种考虑端面效应的相对渗透率曲线校正方法及其应用 | |
| CN113075110A (zh) | 一种岩心驱替实验用多功能精确计量装置 | |
| CN210037534U (zh) | 一种超高温超高压稳态气水相渗测试装置 |
Legal Events
| Date | Code | Title | Description |
|---|---|---|---|
| PB01 | Publication | ||
| PB01 | Publication | ||
| SE01 | Entry into force of request for substantive examination | ||
| SE01 | Entry into force of request for substantive examination | ||
| GR01 | Patent grant | ||
| GR01 | Patent grant |













































