CN114880881B - 适用于充电设备的数据自动处理生成方法及系统 - Google Patents
适用于充电设备的数据自动处理生成方法及系统 Download PDFInfo
- Publication number
- CN114880881B CN114880881B CN202210779519.9A CN202210779519A CN114880881B CN 114880881 B CN114880881 B CN 114880881B CN 202210779519 A CN202210779519 A CN 202210779519A CN 114880881 B CN114880881 B CN 114880881B
- Authority
- CN
- China
- Prior art keywords
- fixed
- fixing
- force value
- area
- design area
- Prior art date
- Legal status (The legal status is an assumption and is not a legal conclusion. Google has not performed a legal analysis and makes no representation as to the accuracy of the status listed.)
- Active
Links
Images
Classifications
-
- G—PHYSICS
- G06—COMPUTING OR CALCULATING; COUNTING
- G06F—ELECTRIC DIGITAL DATA PROCESSING
- G06F30/00—Computer-aided design [CAD]
- G06F30/20—Design optimisation, verification or simulation
-
- G—PHYSICS
- G06—COMPUTING OR CALCULATING; COUNTING
- G06F—ELECTRIC DIGITAL DATA PROCESSING
- G06F17/00—Digital computing or data processing equipment or methods, specially adapted for specific functions
- G06F17/10—Complex mathematical operations
- G06F17/11—Complex mathematical operations for solving equations, e.g. nonlinear equations, general mathematical optimization problems
-
- G—PHYSICS
- G06—COMPUTING OR CALCULATING; COUNTING
- G06T—IMAGE DATA PROCESSING OR GENERATION, IN GENERAL
- G06T7/00—Image analysis
- G06T7/60—Analysis of geometric attributes
- G06T7/62—Analysis of geometric attributes of area, perimeter, diameter or volume
-
- Y—GENERAL TAGGING OF NEW TECHNOLOGICAL DEVELOPMENTS; GENERAL TAGGING OF CROSS-SECTIONAL TECHNOLOGIES SPANNING OVER SEVERAL SECTIONS OF THE IPC; TECHNICAL SUBJECTS COVERED BY FORMER USPC CROSS-REFERENCE ART COLLECTIONS [XRACs] AND DIGESTS
- Y02—TECHNOLOGIES OR APPLICATIONS FOR MITIGATION OR ADAPTATION AGAINST CLIMATE CHANGE
- Y02T—CLIMATE CHANGE MITIGATION TECHNOLOGIES RELATED TO TRANSPORTATION
- Y02T10/00—Road transport of goods or passengers
- Y02T10/60—Other road transportation technologies with climate change mitigation effect
- Y02T10/70—Energy storage systems for electromobility, e.g. batteries
-
- Y—GENERAL TAGGING OF NEW TECHNOLOGICAL DEVELOPMENTS; GENERAL TAGGING OF CROSS-SECTIONAL TECHNOLOGIES SPANNING OVER SEVERAL SECTIONS OF THE IPC; TECHNICAL SUBJECTS COVERED BY FORMER USPC CROSS-REFERENCE ART COLLECTIONS [XRACs] AND DIGESTS
- Y02—TECHNOLOGIES OR APPLICATIONS FOR MITIGATION OR ADAPTATION AGAINST CLIMATE CHANGE
- Y02T—CLIMATE CHANGE MITIGATION TECHNOLOGIES RELATED TO TRANSPORTATION
- Y02T10/00—Road transport of goods or passengers
- Y02T10/60—Other road transportation technologies with climate change mitigation effect
- Y02T10/7072—Electromobility specific charging systems or methods for batteries, ultracapacitors, supercapacitors or double-layer capacitors
-
- Y—GENERAL TAGGING OF NEW TECHNOLOGICAL DEVELOPMENTS; GENERAL TAGGING OF CROSS-SECTIONAL TECHNOLOGIES SPANNING OVER SEVERAL SECTIONS OF THE IPC; TECHNICAL SUBJECTS COVERED BY FORMER USPC CROSS-REFERENCE ART COLLECTIONS [XRACs] AND DIGESTS
- Y02—TECHNOLOGIES OR APPLICATIONS FOR MITIGATION OR ADAPTATION AGAINST CLIMATE CHANGE
- Y02T—CLIMATE CHANGE MITIGATION TECHNOLOGIES RELATED TO TRANSPORTATION
- Y02T90/00—Enabling technologies or technologies with a potential or indirect contribution to GHG emissions mitigation
- Y02T90/10—Technologies relating to charging of electric vehicles
- Y02T90/12—Electric charging stations
Landscapes
- Engineering & Computer Science (AREA)
- Physics & Mathematics (AREA)
- Theoretical Computer Science (AREA)
- General Physics & Mathematics (AREA)
- Mathematical Physics (AREA)
- Data Mining & Analysis (AREA)
- Mathematical Optimization (AREA)
- Geometry (AREA)
- Pure & Applied Mathematics (AREA)
- Computational Mathematics (AREA)
- Mathematical Analysis (AREA)
- General Engineering & Computer Science (AREA)
- Software Systems (AREA)
- Databases & Information Systems (AREA)
- Algebra (AREA)
- Computer Hardware Design (AREA)
- Evolutionary Computation (AREA)
- Operations Research (AREA)
- Computer Vision & Pattern Recognition (AREA)
- Charge And Discharge Circuits For Batteries Or The Like (AREA)
Abstract
本发明公开了一种适用于充电设备的数据自动处理生成方法及系统,计算得到充电设备与固定支架间第一固定单元的第一固定力值,计算得到充电设备与固定支架间第二固定单元的第二固定力值;根据第二固定面与水平线的水平夹角,确定固定支架与墙体之间的连接固定方式;若第一固定力值和第二固定力值分别小于等于预设固定力值,基于第一数量将第一固定单元在固定支架的第一固定面阵列设置,基于第二数量、连接固定方式将第二固定单元在固定支架的第二固定面阵列设置;生成充电设备的安装工程图。本发明可以在不同的安装场景、安装情况下,自动化生成对应的安装方案,确保安装结构的稳定性,提高安全。
Description
技术领域
本发明涉及数据处理技术领域,特别是涉及一种适用于充电设备的数据自动处理生成方法及系统。
背景技术
随着新能源汽车的大范围推广,新能源汽车数量与日俱增,随之而来的新能源汽车充电问题逐渐凸显,虽然目前充电桩等充电配套设施逐渐完善,但是针对地下车库中安装的立式充电桩占用空间较大,减少了停车位置,并且立式充电桩由于驾驶人员视野盲区容易存在撞桩、碾压等情况,而且在突发恶劣天气状况下,极易发生水淹,容易引发二次事故。
现有技术中,对充电桩进行了创新,研究了一种吸顶式充电桩,通过该种方式,能够将充电桩吊起,具有占用空间少、安全性高的优势,但是吊起充电桩在实际的使用过程中,可能因为安装场景、安装情况的不同,导致安装可能会出现松动的情况,并且在持续充电拉扯的过程中,使得安装结构持续受力,造成一定的安全隐患。
发明内容
本发明克服现有技术的缺点,提供一种适用于充电设备的数据自动处理生成方法及系统,可以在安装场景、安装情况不同的情况下,自动化生成对应的安装方案,确保安装结构的稳定性,提高安全。
为了解决以上技术问题,本发明的技术方案如下:
本发明实施例提供一种适用于充电设备的数据自动处理生成方法及系统,包括:
S1、获取任意一个充电设备的工程图设计数据,提取所述工程图设计数据中,充电设备与固定支架的第一固定面的第一固定设计面积,固定支架与墙体的第二固定面的第二固定设计面积;
S2、基于所述第一固定设计面积、初始的第一固定单元的第一数量进行计算,得到充电设备与固定支架间第一固定单元的第一固定力值,基于所述第二固定设计面积、初始的第二固定单元的第二数量进行计算,得到固定支架与墙体间第二固定单元的第二固定力值;
S3、根据第二固定面与水平线的水平夹角,确定固定支架与墙体之间的连接固定方式;
S4、若所述第一固定力值和第二固定力值分别小于等于预设固定力值,基于所述第一数量将所述第一固定单元在固定支架的第一固定面阵列设置,基于所述第二数量、连接固定方式将所述第二固定单元在固定支架的第二固定面阵列设置;
S5、基于所述第一固定单元在第一固定面的设置信息,第二固定单元在第二固定面的设置信息生成充电设备的安装工程图。
本发明实施例提供一种适用于充电设备的数据自动处理生成系统,包括:
数据模块,用于获取任意一个充电设备的工程图设计数据,提取所述工程图设计数据中,充电设备与固定支架的第一固定面的第一固定设计面积,固定支架与墙体的第二固定面的第二固定设计面积;
计算模块,用于基于所述第一固定设计面积、初始的第一固定单元的第一数量进行计算,得到充电设备与固定支架间第一固定单元的第一固定力值,基于所述第二固定设计面积、初始的第二固定单元的第二数量进行计算,得到固定支架与墙体间第二固定单元的第二固定力值;
确定模块,用于根据第二固定面与水平线的水平夹角,确定固定支架与墙体之间的连接固定方式;
布置模块,用于若所述第一固定力值和第二固定力值分别小于等于预设固定力值,基于所述第一数量将所述第一固定单元在固定支架的第一固定面阵列设置,基于所述第二数量、连接固定方式将所述第二固定单元在固定支架的第二固定面阵列设置;
结果模块,用于基于所述第一固定单元在第一固定面的设置信息,第二固定单元在第二固定面的设置信息生成充电设备的安装工程图。
本发明实施例提供一种电子设备,包括:存储器、处理器以及计算机程序,所述计算机程序存储在所述存储器中,所述处理器运行所述计算机程序执行上述的方法。
本发明的有益效果是:
(1)本发明会按照充电设备的工程图设计数据,按照不同的连接固定方式来自动化生成充电设备所对应的多种安装数据,然后生成充电设备的安装工程图,安装人员可以拿着安装工程图进行标准安装,且安装后的充电设备比较稳定,使用寿命较长。其中,本方案会生成第一固定设计面积和第二固定设计面积,以及对应的第一固定单元和第二固定单元,然后会确定第一固定力值和第二固定力值,对第一固定力值和第二固定力值依据连接固定方式进行判断,得到对应的固定单元阵列方式,使得安装后的充电设备较为稳定;
(2)本发明在确定第一固定单元和第二固定单元后,如果判断第一固定力值和第二固定力值超出了阈值,本方案会对第一固定设计面积和第二固定设计面积进行重新调整,从而对应性的调整第一固定单元和第二固定单元的数量,进而调整第一固定力值和第二固定力值,使得固定单元可以较稳定的对充电设备进行固定;
(3)本发明还会根据连接固定方式的不同,而调整固定单元的布局方式,在连接固定方式为水平夹角大于0度的场景下,使得上层的固定单元的数量较多,从而使每个固定单元所承受的力大概一致,进一步确保充电设备安装的稳定性。
附图说明
为了更清楚地说明本发明实施例的技术方案,下面将对实施例描述中所需要使用的附图作简单地介绍,显而易见地,下面描述中的附图仅仅是本发明的一些实施例,对于本领域普通技术人员来讲,在不付出创造性劳动性的前提下,还可以根据这些附图获得其它的附图。
图1为本发明提供的充电设备靠墙垂直安装的示意图;
图2为本发明提供的充电设备顶部水平安装示意图;
图3为本发明提供的充电设备斜面安装示意图;
图4是本发明实施例提供的一种适用于充电设备的数据自动处理生成系统的结构示意图;
图5是本发明实施例提供的一种电子设备的硬件结构示意图。
具体实施方式
为使本发明的内容更容易被清楚地理解,下面根据具体实施方式并结合附图,对本发明作出进一步详细的说明。
参见图1-图3,是本发明实施例提供的一种场景示意图,图1-图3分别是充电设备安装过程中3种不同的连接固定方式。图1固定支架与墙体之间的连接固定方式是与水平线的水平夹角为90度的连接方式;图2固定支架与墙体之间的连接固定方式是与水平线的水平夹角为0度的连接方式;图3固定支架与墙体之间的连接固定方式是与水平线的水平夹角为0-90度的连接方式。可以理解的是,由于充电设备的不同以及安装场景的不同,所需要的各种安装数据也不同,本方案为了确保安装质量,制定了以下的安装数据自动化生成方案,来确保安装结构的稳定性,提高安全。
本发明提供一种适用于充电设备的数据自动处理生成方法及系统,包括步骤S1-S5:
S1、获取任意一个充电设备的工程图设计数据,提取所述工程图设计数据中,充电设备与固定支架的第一固定面的第一固定设计面积,固定支架与墙体的第二固定面的第二固定设计面积。
本方案中的充电设备可以是图1-图3中的吸顶式充电桩,吸顶式充电桩可以减少地面空间的占用,且可以根据不同的使用场景灵活选用适配的安装支架。
其中的工程图设计数据是指充电设备安装所需要的设计数据,例如,所需要的充电设备的型号,所需要的安装支架,所需要安装的位置等数据,本方案会利用以上数据计算出第一固定设计面积和第二固定设计面积。
在一些实施例中,所述S1包括:
将充电设备与固定支架的接触区域作为第一固定面,根据所述第一固定面的第一长信息、第一宽信息得到第一固定设计面积。
将固定支架与墙体的接触区域作为第二固定面,根据所述第二固定面的第二长信息、第二宽信息得到第二固定设计面积。
可以理解的是,参见图1-图3,充电设备需要与固定支架连接,本方案会找到充电设备与固定之间的接触区域,将其作为第一固定面,然后找到第一固定面的第一长信息、第一宽信息得到第一固定设计面积。
还可以理解的是,参见图1-图3,固定支架需要与墙体连接,本方案会找到固定支架与墙体的接触区域,将其作为第二固定面,然后找到第二固定面的第二长信息、第二宽信息得到第二固定设计面积。
S2、基于所述第一固定设计面积、初始的第一固定单元的第一数量进行计算,得到充电设备与固定支架间第一固定单元的第一固定力值,基于所述第二固定设计面积、初始的第二固定单元的第二数量进行计算,得到固定支架与墙体间第二固定单元的第二固定力值。
可以理解的是,本方案的充电设备与固定支架间通过第一固定单元固定,本方案的固定支架与墙体间通过第二固定单元固定,实现对充电设备的安装。
本方案在得到第一固定设计面积后,会结合初始的第一固定单元的第一数量,计算出充电设备与固定支架间第一固定单元的第一固定力值。其中,第一固定单元可以是螺钉,第一数量可以是螺钉的数量,第一固定力值可以是每个螺钉所承受的重力值。
同理,本方案在得到第二固定设计面积后,会结合初始的第二固定单元的第二数量,计算出固定支架与墙体间第二固定单元的第二固定力值。其中,第二固定单元可以是螺钉,第二数量可以是螺钉的数量,第二固定力值可以是每个螺钉所承受的重力值。
在一些实施例中,所述S2包括S21- S23:
S21,将所述第一固定设计面积与面积区间表进行比对,得到与第一固定设计面积所对应的第一面积区间,将所述第二固定设计面积与面积区间表进行比对,得到与第二固定设计面积所对应的第二面积区间,所述面积区间表中具有每个面积区间对应的固定单元的数量。
本方案设置有面积区间表,面积区间表内预先存储有面积与固定单元数量的对应关系,例如,面积区间为0.5-0.8平方米时,固定单元数量可以是6个,面积区间为0.8-1.0平方米时,固定单元的数量可以是9个,依次类推。
S22,将与第一固定设计面积对应的固定单元的数量作为第一固定单元的第一数量,将与第二固定设计面积对应的固定单元的数量作为第二固定单元的第二数量。
本方案会找到第一固定设计面积所在的第一面积区间,然后利用面积区间表找到对应的固定单元的数量作为第一固定单元的第一数量,同理,本方案会找到第二固定设计面积所在的第二面积区间,然后利用面积区间表找到对应的固定单元的数量作为第二固定单元的第二数量。
S23,根据充电设备的质量、固定支架的质量、第一固定单元的第一数量以及第二固定单元的第二数量分别进行计算,得到第一固定力值和第二固定力值。
可以理解的是,充电设备的质量越大、固定支架的质量越大,固定单元所承受的重力就越大,第一固定单元的第一数量以及第二固定单元的第二数量越多,所分担的重力就越少。本方案会依据上述原理计算出第一固定力值和第二固定力值。
在一些实施例中,步骤S23(根据充电设备的质量、固定支架的质量、第一固定单元的第一数量以及第二固定单元的第二数量分别进行计算,得到第一固定力值和第二固定力值)包括:
根据充电设备的质量得到第一重力值,基于所述第一重力值、预设拉力值得到所述第一固定设计面积的第一预测受力值,根据所述第一预测受力值、第一固定单元的第一数量进行计算得到第一固定力值。本方案会利用充电设备的质量得到第一重力值(质量乘以重力换算值),同时,本方案会考虑到用户在使用充电设备时,会拉动充电设备的电线,会将拉力作为预设拉力值综合进来,得到第一预测受力值,然后计算第一固定力值。
根据充电设备的质量、固定支架的质量得到第二重力值,基于所述第二重力值、预设拉力值得到所述第二固定设计面积的第二预测受力值,根据所述第二预测受力值、第二固定单元的第二数量进行计算得到第二固定力值。本方案会利用充电设备的质量以及固定支架的质量得到第二重力值(质量乘以重力换算值),同时,本方案会考虑到用户在使用充电设备时,会拉动充电设备的电线,会将拉力作为预设拉力值综合进来,得到第二预测受力值,然后计算第二固定力值。
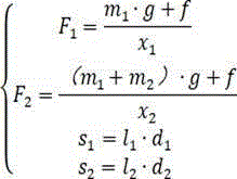
通过以下公式计算第一固定力值、第二固定力值、第一固定设计面积以及第二固定设计面积,
其中,为第一固定力值,为充电设备的质量,为重力换算值,为预设拉力
值,为第一固定单元的第一数量,为第二固定力值,为固定支架的质量,为第二
固定单元的第二数量,为第一固定设计面积,为第一长信息,为第一宽信息,为第
二固定设计面积,为第二长信息,为第二宽信息。
上述公式中:
S3、根据第二固定面与水平线的水平夹角,确定固定支架与墙体之间的连接固定方式。
可以理解的是,参见图1-图3,分别是3中不同的连接固定方式,图1固定支架与墙体之间的连接固定方式是与水平线的水平夹角为90度的连接方式,这种连接方式下,由于力矩的关系,位于固定支架最上方的螺钉所承受的重力值最大;图2固定支架与墙体之间的连接固定方式是与水平线的水平夹角为0度的连接方式,这种连接方式下,每个螺钉所承受的重力值是相等的;图3固定支架与墙体之间的连接固定方式是与水平线的水平夹角为0-90度的连接方式,这种连接方式下,由于力矩的关系,位于固定支架最上方的螺钉所承受的重力值最大。
在一些实施例中,所述S3包括:
获取所述第二固定面与水平线的水平夹角;
若判断所述水平夹角为0度,则确定固定支架与墙体之间的连接固定方式为水平连接固定方式。参见图2,固定支架与墙体之间的连接固定方式是与水平线的水平夹角为0度的连接方式,本方案将这种连接方式作为水平连接固定方式。
若判断所述水平夹角大于0度,则确定固定支架与墙体之间的连接固定方式为非水平连接固定方式。参见图1和图3,固定支架与墙体之间的连接固定方式是与水平线的水平夹角不为0度,本方案将这种连接方式作为非水平连接固定方式。
S4、若所述第一固定力值和第二固定力值分别小于等于预设固定力值,基于所述第一数量将所述第一固定单元在固定支架的第一固定面阵列设置,基于所述第二数量、连接固定方式将所述第二固定单元在固定支架的第二固定面阵列设置。
可以理解的是,第一固定力值和第二固定力值分别小于等于预设固定力值,说明重力在第一固定单元和第二固定单元所能承受的重力范围内,第一固定单元和第二固定单元不易松动也不易脱丝。
这种情况下,本方案会将第一数量的第一固定单元在固定支架的第一固定面阵列设置,第一数量可以是9个,例如以3*3的形式在固定支架的第一固定面阵列设置。第二固定面阵列设置的原理类似,不再赘述。
在一些实施例中,所述S4包括S41- S44:
S41,根据所述第一固定面的第一长信息和第一宽信息计算得到第一长宽比,对所述第一长宽比进行整数化处理。例如,第一固定面是1平方米,第一长信息为1米、第一宽信息为1米,那么第一长宽比为1:1,可以理解的是,有些情况下计算的第一长宽比不为整数,例如2.1:1.1,对其进行整数化处理得到2:1的值即可。
S42,根据所述第一长宽比对第一数量的第一固定单元在固定支架的第一固定面阵列设置。例如,第一数量为9,第一长宽比为1,那么会形成3*3的阵列布局;又例如,第一数量为8,第一长宽比为2:1,那么会形成2*4的阵列布局,即沿长度方向上是4个,宽度方向上是2排;再例如,第一数量为9,第一长宽比为2:1,那么会形成2*4的阵列布局,然后多余的一个可以设置在2行中的任一行,即一行设置有5个,一个设置有4个,在实际应用中,对应5个的一行中,5个第一固定单元之间可以间隔均匀设置,同理,4个第一固定单元之间也可以间隔均匀设置。
S43,根据所述第二固定面的第二长信息和第二宽信息计算得到第二长宽比,对所述第二长宽比进行整数化处理。与步骤S41同理,得到第二长宽比。
S44,根据所述第二长宽比对第二数量的第二固定单元在固定支架的第二固定面阵列设置,若判断所述连接固定方式为水平夹角为0度,则不对所述第二固定单元的设置方式进行修正。
与步骤S42类似,本方案会依据第二长宽比和第二数量得出第二固定单元在固定支架的第二固定面阵列方案。
需要说明的是,由于充电设备与固定支架之间都是水平连接的,而支架与墙体之间可能出现连接固定方式为水平夹角为0度(参见图2)以及连接固定方式为水平夹角大于0度(参见图1和图3)的两种情况,在连接固定方式为水平夹角为0度的情况下,各螺钉的受理情况一致,无需对第二固定单元的设置方式进行修正;而在连接固定方式为水平夹角大于0度的情况下,位于上方的螺钉受力情况要大于下方,因此需要对其排列方式修正,降低上方的螺钉的受力情况,使得连接结构较为稳定。
本方案为了对第二固定单元的设置方式进行修正,在上述实施例的基础上,还包括步骤S45-S49:
S45,若判断所述连接固定方式为水平夹角大于0度,则计算所述水平夹角与90度差值的绝对值,得到第一角度偏差值。
可以理解的是,第一角度偏差值,需要修正的幅度也就越大。
S46,统计长度方向上每一行的第二固定单元作为一个单元行,获取高度最高的单元行的当前设置数量。
示例性的,以3*3的排列方式举例说明,本方案会获取到高度最高的单元行的当前设置数量,当前设置数量例如是3个。
S47,根据所述当前设置数量、第一角度偏差值生成相对应的调整数量。
本方案在得到当前设置数量后,会利用当前设置数量、第一角度偏差值生成相对应的调整数量。
其中,所述根据所述当前设置数量、第一角度偏差值生成相对应的调整数量,包括:
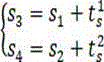
将所述当前设置数量减去最低标准数量,得到可变化数量。可以理解的是,本方案考虑到每一行至少要留一个固定单元作为固定,不能把最后一行中所有的固定单元都调整到上方去,因此会设置有最低标准数量,计算出可变化数量。例如,最后一行的当前设置数量例如是3个,最低标准数量为1个,那么得到的可变化数量为2个。
基于所述第一角度偏差值进行计算得到初步计算数量,通过以下公式计算初步计算数量,
对所述初步计算数量整数化处理,若所述初步计算数量小于等于可变化数量,则将所述初步计算数量作为调整数量。本方案考虑到计算出的初步计算数量可能不是整数,因此会对其进行整数化处理。可以理解的是,如果本方案计算出来的初步计算数量小于等于可变化数量,直接将初步计算数量作为调整数量即可。
若所述初步计算数量大于可变化数量,则将所述可变化数量作为调整数量。可以理解的是,如果本方案计算出来的初步计算数量大于可变化数量,说明超出了可调范围,直接将初步计算数量作为调整数量即可。
S48,将水平最低的单元行内调整数量的第二固定单元,调整至高度最高的单元行内,使得水平最低的单元行内具有第一调整数量的第二固定单元,水平最高的单元行内具有第二调整数量的第二固定单元。
可以理解的是,本方案可以将3*3的初始排布方式调整为最高的单元行内有4个、中间的单元行内有3个、最低的单元行内有2个的布局方式。
S49,对第一调整数量的第二固定单元在水平最低的单元行内均匀设置,对第二调整数量的第二固定单元在水平最高的单元行内均匀设置。
可以理解的是,本方案在调整好数量后,需要确定下第二固定单元之间的距离,需要将每一行的第二固定单元均匀排布。示例性的,最高的单元行内有3个,每个间隔4cm,调整后的最高的单元行内有4个,每个间隔3cm。
本方案通过上述方式可以对螺钉之间的承受值进行调整,得到较为合理的螺钉布局方案,同时可以确保充电设备的稳定性。
在实际应用中,在上述实施例的基础上还包括以下方案,包括步骤A1-A5:
A1,若所述第一固定力值或第二固定力值大于预设固定力值,则获取所述第一固定力值或第二固定力值与预设固定力值之间的差值,得到固定力差值。
可以理解的是,当第一固定力值或第二固定力值大于预设固定力值时,说明固定单元所承受的力大于了阈值,本方案需要对其重新调整,首先,本方案会计算出第一固定力值或第二固定力值与预设固定力值之间的差值,得到固定力差值。
A2,基于所述固定力差值得到调整面积,基于所述调整面积对固定支架的第一固定设计面积或第二固定设计面积进行增加调整,得到第三固定设计面积或第四固定设计面积。
可以理解的是,单位面积内所设置的固定单元不易过多,不然会影响充电设备的质量,因此本方案设计了增加面积来重新调整螺钉的数量的方案。
其中,所述基于所述固定力差值得到调整面积,基于所述调整面积对固定支架的第一固定设计面积或第二固定设计面积进行增加调整,得到第三固定设计面积或第四固定设计面积,包括:
通过以下公式计算调整面积,
上述公式中:
代表第一固定力值与预设固定力值之间的差值,即固定力差值,可以理解
的是,固定力差值越大,说明需要增加的固定单元的数量越多,则需要增加的面积也就越
大,本方案通过上述方式计算出第一固定设计面积的调整面积;同理,计算出第二固定
设计面积的调整面积;其中,第一调整权重值和第二调整权重值可以是人为设置
的。
根据所述第一宽信息和第一固定设计面积的调整面积,得到第一调整长信息,根据所述第一宽信息和所述第一调整长信息得到第一形状,将所述调整面积按照第一形状与第一固定面结合,得到具有第三固定设计面积的第一固定面。例如,第一宽信息为1米,第一固定设计面积的调整面积为0.1平方米,那么得到的第一调整长信息为0.1米,则第一形状就是宽为1米,长为0.1米的形状。
根据所述第二宽信息和第二固定设计面积的调整面积,得到第二调整长信息,根据所述第二宽信息和所述第二调整长信息得到第二形状,将所述调整面积按照第二形状与第二固定面结合,得到具有第四固定设计面积的第二固定面。例如,第一宽信息为2米,第一固定设计面积的调整面积为0.1平方米,那么得到的第一调整长信息为0.05米,则第一形状就是宽为2米,长为0.05米的形状。
通过以下公式计算第三固定设计面积和第四固定设计面积,
A3,根据所述第三固定设计面积、第一固定单元的第三数量进行计算,得到第三固定力值。
本方案在得到第三固定设计面积后,可以利用面积区间表找到对应的第一固定单元的第三数量,然后计算出第三固定力值。
A4,根据所述第四固定设计面积、第二固定单元的第四数量进行计算,得到第四固定力值。
与步骤A3同理,本方案在得到第四固定设计面积后,可以利用面积区间表找到对应的第二固定单元的第四数量,然后计算出第四固定力值。
A5,若所述第三固定力值和第四固定力值分别小于等于预设固定力值,则将第三固定设计面积的第一固定面作为最终的第一固定面,将第四固定设计面积的第二固定面作为最终的第二固定面。
可以理解的是,在确定固定单元所承受的力在阈值内后,可以将第三固定设计面积的第一固定面作为最终的第一固定面,将第四固定设计面积的第二固定面作为最终的第二固定面。
S5、基于所述第一固定单元在第一固定面的设置信息,第二固定单元在第二固定面的设置信息生成充电设备的安装工程图。
可以理解的是,本方案通过上述步骤可以确定出需要安装充电设备的多种数据,然后生成充电设备的安装工程图,安装人员可以拿着安装工程图进行标准安装,且安装后的充电设备比较稳定,使用寿命较长。
参见图4,是本发明实施例提供的适用于充电设备的数据自动处理生成系统的结构示意图,该适用于充电设备的数据自动处理生成系统包括:
数据模块,用于获取任意一个充电设备的工程图设计数据,提取所述工程图设计数据中,充电设备与固定支架的第一固定面的第一固定设计面积,固定支架与墙体的第二固定面的第二固定设计面积;
计算模块,用于基于所述第一固定设计面积、初始的第一固定单元的第一数量进行计算,得到充电设备与固定支架间第一固定单元的第一固定力值,基于所述第二固定设计面积、初始的第二固定单元的第二数量进行计算,得到充电设备与固定支架间第二固定单元的第二固定力值;
确定模块,用于根据第二固定面与水平线的水平夹角,确定固定支架与墙体之间的连接固定方式;
布置模块,用于若所述第一固定力值和第二固定力值分别小于等于预设固定力值,基于所述第一数量将所述第一固定单元在固定支架的第一固定面阵列设置,基于所述第二数量、连接固定方式将所述第二固定单元在固定支架的第二固定面阵列设置;
结果模块,用于基于所述第一固定单元在第一固定面的设置信息,第二固定单元在第二固定面的设置信息生成充电设备的安装工程图。
图4所示实施例的装置对应地可用于执行上述方法实施例中的步骤,其实现原理和技术效果类似,此处不再赘述。
参见图5,是本发明实施例提供的一种电子设备的硬件结构示意图,该电子设备50包括:处理器51、存储器52和计算机程序;其中
存储器52,用于存储所述计算机程序,该存储器还可以是闪存(flash)。所述计算机程序例如是实现上述方法的应用程序、功能模块等。
处理器51,用于执行所述存储器存储的计算机程序,以实现上述方法中设备执行的各个步骤。具体可以参见前面方法实施例中的相关描述。
可选地,存储器52既可以是独立的,也可以跟处理器51集成在一起。
当所述存储器52是独立于处理器51之外的器件时,所述设备还可以包括:
总线53,用于连接所述存储器52和处理器51。
在上述设备的实施例中,应理解,处理器可以是中央处理单元(英文:CentralProcessing Unit,简称:CPU),还可以是其他通用处理器、数字信号处理器(英文:DigitalSignal Processor,简称:DSP)、专用集成电路(英文:Application Specific IntegratedCircuit,简称:ASIC)等。通用处理器可以是微处理器或者该处理器也可以是任何常规的处理器等。结合本发明所公开的方法的步骤可以直接体现为硬件处理器执行完成,或者用处理器中的硬件及软件模块组合执行完成。
除上述实施例外,本发明还可以有其他实施方式;凡采用等同替换或等效变换形成的技术方案,均落在本发明要求的保护范围。
Claims (10)
1.适用于充电设备的数据自动处理生成方法,其特征在于,包括:
S1、获取任意一个充电设备的工程图设计数据,提取所述工程图设计数据中,充电设备与固定支架的第一固定面的第一固定设计面积,固定支架与墙体的第二固定面的第二固定设计面积;
S2、基于所述第一固定设计面积、初始的第一固定单元的第一数量进行计算,得到充电设备与固定支架间第一固定单元的第一固定力值,基于所述第二固定设计面积、初始的第二固定单元的第二数量进行计算,得到固定支架与墙体间第二固定单元的第二固定力值;
S3、根据所述第二固定面与水平线的水平夹角,确定固定支架与墙体之间的连接固定方式;
S4、若所述第一固定力值和第二固定力值分别小于等于预设固定力值,基于所述第一数量将所述第一固定单元在固定支架的第一固定面阵列设置,基于所述第二数量、连接固定方式将所述第二固定单元在固定支架的第二固定面阵列设置;
S5、基于所述第一固定单元在第一固定面的设置信息,第二固定单元在第二固定面的设置信息生成充电设备的安装工程图;
所述S4包括:
根据所述第一固定面的第一长信息和第一宽信息计算得到第一长宽比,对所述第一长宽比进行整数化处理;
根据所述第一长宽比对第一数量的第一固定单元在固定支架的第一固定面阵列设置;
根据所述第二固定面的第二长信息和第二宽信息计算得到第二长宽比,对所述第二长宽比进行整数化处理;
根据所述第二长宽比对第二数量的第二固定单元在固定支架的第二固定面阵列设置,若判断所述连接固定方式为水平夹角为0度,则不对所述第二固定单元的设置方式进行修正;
还包括:
若所述第一固定力值或第二固定力值大于预设固定力值,则获取所述第一固定力值或第二固定力值与预设固定力值之间的差值,得到固定力差值;
基于所述固定力差值得到调整面积,基于所述调整面积对固定支架的第一固定设计面积或第二固定设计面积进行增加调整,得到第三固定设计面积或第四固定设计面积;
在得到第三固定设计面积后,利用面积区间表找到对应的第一固定单元的第三数量,在得到第四固定设计面积后,利用面积区间表找到对应的第二固定单元的第四数量;
根据所述第三固定设计面积、第一固定单元的第三数量进行计算,得到第三固定力值;
根据所述第四固定设计面积、第二固定单元的第四数量进行计算,得到第四固定力值;
若所述第三固定力值和第四固定力值分别小于等于预设固定力值,则将第三固定设计面积的第一固定面作为最终的第一固定面,将第四固定设计面积的第二固定面作为最终的第二固定面。
2.根据权利要求1所述的适用于充电设备的数据自动处理生成方法,其特征在于,
所述S1包括:
将充电设备与固定支架的接触区域作为第一固定面,根据所述第一固定面的第一长信息、第一宽信息得到第一固定设计面积;
将固定支架与墙体的接触区域作为第二固定面,根据所述第二固定面的第二长信息、第二宽信息得到第二固定设计面积。
3.根据权利要求2所述的适用于充电设备的数据自动处理生成方法,其特征在于,
所述S2包括:
将所述第一固定设计面积与面积区间表进行比对,得到与第一固定设计面积所对应的第一面积区间,将所述第二固定设计面积与面积区间表进行比对,得到与第二固定设计面积所对应的第二面积区间,所述面积区间表中具有每个面积区间对应的固定单元的数量;
将与第一固定设计面积对应的固定单元的数量作为第一固定单元的第一数量,将与第二固定设计面积对应的固定单元的数量作为第二固定单元的第二数量;
根据充电设备的质量、固定支架的质量、第一固定单元的第一数量以及第二固定单元的第二数量分别进行计算,得到第一固定力值和第二固定力值。
4.根据权利要求3所述的适用于充电设备的数据自动处理生成方法,其特征在于,
所述根据充电设备的质量、固定支架的质量、第一固定单元的第一数量以及第二固定单元的第二数量分别进行计算,得到第一固定力值和第二固定力值,包括:
根据充电设备的质量得到第一重力值,基于所述第一重力值、预设拉力值得到所述第一固定设计面积的第一预测受力值,根据所述第一预测受力值、第一固定单元的第一数量进行计算得到第一固定力值;
根据充电设备的质量、固定支架的质量得到第二重力值,基于所述第二重力值、预设拉力值得到所述第二固定设计面积的第二预测受力值,根据所述第二预测受力值、第二固定单元的第二数量进行计算得到第二固定力值;
通过以下公式计算第一固定力值、第二固定力值、第一固定设计面积以及第二固定设计面积,
5.根据权利要求4所述的适用于充电设备的数据自动处理生成方法,其特征在于,
所述S3包括:
获取所述第二固定面与水平线的水平夹角;
若判断所述水平夹角为0度,则确定固定支架与墙体之间的连接固定方式为水平连接固定方式;
若判断所述水平夹角大于0度,则确定固定支架与墙体之间的连接固定方式为非水平连接固定方式。
6.根据权利要求5所述的适用于充电设备的数据自动处理生成方法,其特征在于,还包括:
若判断所述连接固定方式为水平夹角大于0度,则计算所述水平夹角与90度差值的绝对值,得到第一角度偏差值;
统计长度方向上每一行的第二固定单元作为一个单元行,获取高度最高的单元行的当前设置数量;
根据所述当前设置数量、第一角度偏差值生成相对应的调整数量;
将水平最低的单元行内调整数量的第二固定单元,调整至高度最高的单元行内,使得水平最低的单元行内具有第一调整数量的第二固定单元,水平最高的单元行内具有第二调整数量的第二固定单元;
对第一调整数量的第二固定单元在水平最低的单元行内均匀设置,对第二调整数量的第二固定单元在水平最高的单元行内均匀设置。
8.根据权利要求5所述的适用于充电设备的数据自动处理生成方法,其特征在于,
所述基于所述固定力差值得到调整面积,基于所述调整面积对固定支架的第一固定设计面积或第二固定设计面积进行增加调整,得到第三固定设计面积或第四固定设计面积,包括:
通过以下公式计算调整面积,
根据所述第一宽信息和第一固定设计面积的调整面积,得到第一调整长信息,根据所述第一宽信息和所述第一调整长信息得到第一形状,将所述调整面积按照第一形状与第一固定面结合,得到具有第三固定设计面积的第一固定面;
根据所述第二宽信息和第二固定设计面积的调整面积,得到第二调整长信息,根据所述第二宽信息和所述第二调整长信息得到第二形状,将所述调整面积按照第二形状与第二固定面结合,得到具有第四固定设计面积的第二固定面;
通过以下公式计算第三固定设计面积和第四固定设计面积,
9.适用于充电设备的数据自动处理生成系统,其特征在于,包括:
数据模块,用于获取任意一个充电设备的工程图设计数据,提取所述工程图设计数据中,充电设备与固定支架的第一固定面的第一固定设计面积,固定支架与墙体的第二固定面的第二固定设计面积;
计算模块,用于基于所述第一固定设计面积、初始的第一固定单元的第一数量进行计算,得到充电设备与固定支架间第一固定单元的第一固定力值,基于所述第二固定设计面积、初始的第二固定单元的第二数量进行计算,得到固定支架与墙体间第二固定单元的第二固定力值;
确定模块,用于根据第二固定面与水平线的水平夹角,确定固定支架与墙体之间的连接固定方式;
布置模块,用于若所述第一固定力值和第二固定力值分别小于等于预设固定力值,基于所述第一数量将所述第一固定单元在固定支架的第一固定面阵列设置,基于所述第二数量、连接固定方式将所述第二固定单元在固定支架的第二固定面阵列设置;
结果模块,用于基于所述第一固定单元在第一固定面的设置信息,第二固定单元在第二固定面的设置信息生成充电设备的安装工程图;
所述布置模块用于:
根据所述第一固定面的第一长信息和第一宽信息计算得到第一长宽比,对所述第一长宽比进行整数化处理;
根据所述第一长宽比对第一数量的第一固定单元在固定支架的第一固定面阵列设置;
根据所述第二固定面的第二长信息和第二宽信息计算得到第二长宽比,对所述第二长宽比进行整数化处理;
根据所述第二长宽比对第二数量的第二固定单元在固定支架的第二固定面阵列设置,若判断所述连接固定方式为水平夹角为0度,则不对所述第二固定单元的设置方式进行修正;
还包括:
若所述第一固定力值或第二固定力值大于预设固定力值,则获取所述第一固定力值或第二固定力值与预设固定力值之间的差值,得到固定力差值;
基于所述固定力差值得到调整面积,基于所述调整面积对固定支架的第一固定设计面积或第二固定设计面积进行增加调整,得到第三固定设计面积或第四固定设计面积;
在得到第三固定设计面积后,利用面积区间表找到对应的第一固定单元的第三数量,在得到第四固定设计面积后,利用面积区间表找到对应的第二固定单元的第四数量;
根据所述第三固定设计面积、第一固定单元的第三数量进行计算,得到第三固定力值;
根据所述第四固定设计面积、第二固定单元的第四数量进行计算,得到第四固定力值;
若所述第三固定力值和第四固定力值分别小于等于预设固定力值,则将第三固定设计面积的第一固定面作为最终的第一固定面,将第四固定设计面积的第二固定面作为最终的第二固定面。
10.电子设备,其特征在于,包括:存储器、处理器以及计算机程序,所述计算机程序存储在所述存储器中,所述处理器运行所述计算机程序执行权利要求1至8任一所述的方法。
Priority Applications (1)
| Application Number | Priority Date | Filing Date | Title |
|---|---|---|---|
| CN202210779519.9A CN114880881B (zh) | 2022-07-04 | 2022-07-04 | 适用于充电设备的数据自动处理生成方法及系统 |
Applications Claiming Priority (1)
| Application Number | Priority Date | Filing Date | Title |
|---|---|---|---|
| CN202210779519.9A CN114880881B (zh) | 2022-07-04 | 2022-07-04 | 适用于充电设备的数据自动处理生成方法及系统 |
Publications (2)
| Publication Number | Publication Date |
|---|---|
| CN114880881A CN114880881A (zh) | 2022-08-09 |
| CN114880881B true CN114880881B (zh) | 2022-09-23 |
Family
ID=82682963
Family Applications (1)
| Application Number | Title | Priority Date | Filing Date |
|---|---|---|---|
| CN202210779519.9A Active CN114880881B (zh) | 2022-07-04 | 2022-07-04 | 适用于充电设备的数据自动处理生成方法及系统 |
Country Status (1)
| Country | Link |
|---|---|
| CN (1) | CN114880881B (zh) |
Citations (4)
| Publication number | Priority date | Publication date | Assignee | Title |
|---|---|---|---|---|
| CN104821613A (zh) * | 2015-02-10 | 2015-08-05 | 中国建材国际工程集团有限公司 | 基于新型电动交通工具的充电系统 |
| CN106787030A (zh) * | 2017-03-28 | 2017-05-31 | 安徽易威斯新能源科技股份有限公司 | 一种新能源汽车充电桩 |
| JP2017208923A (ja) * | 2016-05-18 | 2017-11-24 | 本田技研工業株式会社 | 車両用充電口構造 |
| KR20210129532A (ko) * | 2020-04-20 | 2021-10-28 | 대영채비(주) | 충전케이블의 높이 및 각도조절수단이 구비된 전기차 충전장치 |
Family Cites Families (12)
| Publication number | Priority date | Publication date | Assignee | Title |
|---|---|---|---|---|
| JP5182996B2 (ja) * | 2011-02-21 | 2013-04-17 | 株式会社豊田自動織機 | 車両充電装置 |
| CN204316120U (zh) * | 2014-12-02 | 2015-05-06 | 普天新能源(深圳)有限公司 | 充电设备及充电平台 |
| CN106130446B (zh) * | 2016-07-01 | 2019-02-12 | 盐城工学院 | 用于充电桩的太阳能板支架 |
| CN206954026U (zh) * | 2017-06-12 | 2018-02-02 | 江苏安方电力科技有限公司 | 一种用于壁挂式充电桩的固定结构 |
| CN107323293A (zh) * | 2017-07-13 | 2017-11-07 | 安徽易威斯新能源科技股份有限公司 | 一种防盗防破坏的电动汽车充电桩 |
| CN110497813A (zh) * | 2019-08-31 | 2019-11-26 | 郑州森源新能源科技有限公司 | 交流充电桩及其外壳 |
| CN110901445B (zh) * | 2019-12-11 | 2021-09-17 | 嘉兴久珥科技有限公司 | 一种可防止误碰和盗用的新能源汽车用智能型充电桩 |
| CN211127273U (zh) * | 2020-02-13 | 2020-07-28 | 莆田学院 | 一种智能充电桩 |
| CN111251917B (zh) * | 2020-03-25 | 2025-06-13 | 浙江西威自动化有限公司 | 一种电动汽车适用的安全充电设备 |
| CN112277704B (zh) * | 2020-11-20 | 2021-12-24 | 赫胜(山东)智能产业技术研究院有限公司 | 一种智能自动充电桩 |
| KR102331365B1 (ko) * | 2021-06-01 | 2021-12-01 | 대영채비(주) | 전기차 충전기 |
| CN216507972U (zh) * | 2022-04-14 | 2022-05-13 | 东阳市光明电力建设有限公司 | 一种吸顶式充电桩 |
-
2022
- 2022-07-04 CN CN202210779519.9A patent/CN114880881B/zh active Active
Patent Citations (4)
| Publication number | Priority date | Publication date | Assignee | Title |
|---|---|---|---|---|
| CN104821613A (zh) * | 2015-02-10 | 2015-08-05 | 中国建材国际工程集团有限公司 | 基于新型电动交通工具的充电系统 |
| JP2017208923A (ja) * | 2016-05-18 | 2017-11-24 | 本田技研工業株式会社 | 車両用充電口構造 |
| CN106787030A (zh) * | 2017-03-28 | 2017-05-31 | 安徽易威斯新能源科技股份有限公司 | 一种新能源汽车充电桩 |
| KR20210129532A (ko) * | 2020-04-20 | 2021-10-28 | 대영채비(주) | 충전케이블의 높이 및 각도조절수단이 구비된 전기차 충전장치 |
Also Published As
| Publication number | Publication date |
|---|---|
| CN114880881A (zh) | 2022-08-09 |
Similar Documents
| Publication | Publication Date | Title |
|---|---|---|
| JPWO2013118266A1 (ja) | 分散型発電装置の制御装置および制御方法 | |
| CN109614659B (zh) | 一种悬垂绝缘子串风偏荷载调整系数确定方法 | |
| CN114880881B (zh) | 适用于充电设备的数据自动处理生成方法及系统 | |
| CN113419567A (zh) | 一种跟踪支架的跟踪角度优化方法及系统 | |
| CN109902351A (zh) | 一种覆冰导线动态风偏的简化计算方法 | |
| CN110233592A (zh) | 实现发电与用电匹配的光伏幕墙的设计方法 | |
| JP6623085B2 (ja) | 配電系統の電圧調整装置,電圧調整方法および電圧調整システム | |
| CN113060037A (zh) | 充电桩的充电方法及充电装置 | |
| CN116502475A (zh) | 最优角避风角风保自切换的光伏支架基础一体化计算方法 | |
| JP2022066022A (ja) | 負荷周波数制御装置および方法 | |
| JP2013021781A (ja) | 電力供給システム | |
| CN114326915B (zh) | 最大功率点追踪mppt控制器的安装方法和光伏系统 | |
| WO2019142534A1 (ja) | 再生可能エネルギーハイブリッド発電システム及びその制御方法 | |
| CN120237716B (zh) | 一种考虑暂态电压稳定性的多场站新能源机组低电压穿越参数的优化方法及系统 | |
| TWI726590B (zh) | 充放電裝置和充放電方法 | |
| JP4643759B1 (ja) | 発電シミュレーション装置、発電シミュレーション方法、及びプログラム | |
| CN117878982B (zh) | 一种构网型光储一体发电系统 | |
| CN111740428A (zh) | 一种风电机组集群的无功调压控制方法 | |
| CN209603144U (zh) | 基坑对撑结构的轴力主动控制系统 | |
| CN114117351A (zh) | 光伏组件离地高度计算方法及光伏组件的安装方法 | |
| CN112116866A (zh) | 一种l型夹具钢管标识牌伸缩架 | |
| CN102790402B (zh) | 一种用于风电场并网点电压控制的风机选择方法 | |
| CN109345142B (zh) | 一种获取电力系统线路阻塞的方法及系统 | |
| CN210027078U (zh) | 外挂式交流充电座的安装支架 | |
| CN116797600B (zh) | 光伏组件尘损失评估方法 |
Legal Events
| Date | Code | Title | Description |
|---|---|---|---|
| PB01 | Publication | ||
| PB01 | Publication | ||
| SE01 | Entry into force of request for substantive examination | ||
| SE01 | Entry into force of request for substantive examination | ||
| GR01 | Patent grant | ||
| GR01 | Patent grant |















































































