CN114256965A - Energy router and control method thereof - Google Patents

Energy router and control method thereof Download PDF

Info

Publication number
CN114256965A
CN114256965A CN202111596372.1A CN202111596372A CN114256965A CN 114256965 A CN114256965 A CN 114256965A CN 202111596372 A CN202111596372 A CN 202111596372A CN 114256965 A CN114256965 A CN 114256965A
Authority
CN
China
Prior art keywords
gas
power
power supply
energy router
electricity
Prior art date
Legal status (The legal status is an assumption and is not a legal conclusion. Google has not performed a legal analysis and makes no representation as to the accuracy of the status listed.)
Pending
Application number
CN202111596372.1A
Other languages
Chinese (zh)
Inventor
焦丰顺
李铎
张�杰
高维杰
鲍重廷
周浩
赖昭阳
李宝华
张瑞锋
Current Assignee (The listed assignees may be inaccurate. Google has not performed a legal analysis and makes no representation or warranty as to the accuracy of the list.)
Shenzhen Power Supply Bureau Co Ltd
Original Assignee
Shenzhen Power Supply Bureau Co Ltd
Priority date (The priority date is an assumption and is not a legal conclusion. Google has not performed a legal analysis and makes no representation as to the accuracy of the date listed.)
Filing date
Publication date
Application filed by Shenzhen Power Supply Bureau Co Ltd filed Critical Shenzhen Power Supply Bureau Co Ltd
Priority to CN202111596372.1A priority Critical patent/CN114256965A/en
Publication of CN114256965A publication Critical patent/CN114256965A/en
Pending legal-status Critical Current

Links

Images

Classifications

    • HELECTRICITY
    • H02GENERATION; CONVERSION OR DISTRIBUTION OF ELECTRIC POWER
    • H02JCIRCUIT ARRANGEMENTS OR SYSTEMS FOR SUPPLYING OR DISTRIBUTING ELECTRIC POWER; SYSTEMS FOR STORING ELECTRIC ENERGY
    • H02J9/00Circuit arrangements for emergency or stand-by power supply, e.g. for emergency lighting
    • H02J9/04Circuit arrangements for emergency or stand-by power supply, e.g. for emergency lighting in which the distribution system is disconnected from the normal source and connected to a standby source
    • H02J9/06Circuit arrangements for emergency or stand-by power supply, e.g. for emergency lighting in which the distribution system is disconnected from the normal source and connected to a standby source with automatic change-over, e.g. UPS systems
    • HELECTRICITY
    • H02GENERATION; CONVERSION OR DISTRIBUTION OF ELECTRIC POWER
    • H02JCIRCUIT ARRANGEMENTS OR SYSTEMS FOR SUPPLYING OR DISTRIBUTING ELECTRIC POWER; SYSTEMS FOR STORING ELECTRIC ENERGY
    • H02J3/00Circuit arrangements for AC mains or AC distribution networks
    • H02J3/008Circuit arrangements for AC mains or AC distribution networks involving trading of energy or energy transmission rights
    • HELECTRICITY
    • H02GENERATION; CONVERSION OR DISTRIBUTION OF ELECTRIC POWER
    • H02JCIRCUIT ARRANGEMENTS OR SYSTEMS FOR SUPPLYING OR DISTRIBUTING ELECTRIC POWER; SYSTEMS FOR STORING ELECTRIC ENERGY
    • H02J3/00Circuit arrangements for AC mains or AC distribution networks
    • H02J3/02Circuit arrangements for AC mains or AC distribution networks using a single network for simultaneous distribution of power at different frequencies; using a single network for simultaneous distribution of AC power and of DC power
    • HELECTRICITY
    • H02GENERATION; CONVERSION OR DISTRIBUTION OF ELECTRIC POWER
    • H02JCIRCUIT ARRANGEMENTS OR SYSTEMS FOR SUPPLYING OR DISTRIBUTING ELECTRIC POWER; SYSTEMS FOR STORING ELECTRIC ENERGY
    • H02J9/00Circuit arrangements for emergency or stand-by power supply, e.g. for emergency lighting
    • H02J9/04Circuit arrangements for emergency or stand-by power supply, e.g. for emergency lighting in which the distribution system is disconnected from the normal source and connected to a standby source
    • H02J9/06Circuit arrangements for emergency or stand-by power supply, e.g. for emergency lighting in which the distribution system is disconnected from the normal source and connected to a standby source with automatic change-over, e.g. UPS systems
    • H02J9/061Circuit arrangements for emergency or stand-by power supply, e.g. for emergency lighting in which the distribution system is disconnected from the normal source and connected to a standby source with automatic change-over, e.g. UPS systems for DC powered loads
    • HELECTRICITY
    • H02GENERATION; CONVERSION OR DISTRIBUTION OF ELECTRIC POWER
    • H02JCIRCUIT ARRANGEMENTS OR SYSTEMS FOR SUPPLYING OR DISTRIBUTING ELECTRIC POWER; SYSTEMS FOR STORING ELECTRIC ENERGY
    • H02J9/00Circuit arrangements for emergency or stand-by power supply, e.g. for emergency lighting
    • H02J9/04Circuit arrangements for emergency or stand-by power supply, e.g. for emergency lighting in which the distribution system is disconnected from the normal source and connected to a standby source
    • H02J9/06Circuit arrangements for emergency or stand-by power supply, e.g. for emergency lighting in which the distribution system is disconnected from the normal source and connected to a standby source with automatic change-over, e.g. UPS systems
    • H02J9/062Circuit arrangements for emergency or stand-by power supply, e.g. for emergency lighting in which the distribution system is disconnected from the normal source and connected to a standby source with automatic change-over, e.g. UPS systems for AC powered loads
    • HELECTRICITY
    • H02GENERATION; CONVERSION OR DISTRIBUTION OF ELECTRIC POWER
    • H02JCIRCUIT ARRANGEMENTS OR SYSTEMS FOR SUPPLYING OR DISTRIBUTING ELECTRIC POWER; SYSTEMS FOR STORING ELECTRIC ENERGY
    • H02J9/00Circuit arrangements for emergency or stand-by power supply, e.g. for emergency lighting
    • H02J9/04Circuit arrangements for emergency or stand-by power supply, e.g. for emergency lighting in which the distribution system is disconnected from the normal source and connected to a standby source
    • H02J9/06Circuit arrangements for emergency or stand-by power supply, e.g. for emergency lighting in which the distribution system is disconnected from the normal source and connected to a standby source with automatic change-over, e.g. UPS systems
    • H02J9/08Circuit arrangements for emergency or stand-by power supply, e.g. for emergency lighting in which the distribution system is disconnected from the normal source and connected to a standby source with automatic change-over, e.g. UPS systems requiring starting of a prime-mover

Landscapes

  • Engineering & Computer Science (AREA)
  • Power Engineering (AREA)
  • Business, Economics & Management (AREA)
  • Emergency Management (AREA)
  • Management, Administration, Business Operations System, And Electronic Commerce (AREA)

Abstract

本发明公开一种能量路由器及其控制方法,其中,能量路由器包括:用于输入燃气电力的气电输入端口和用于输入电网电力的供电输入端口;低压交流电输出端口和高压直流电输出端口;控制器和能量转换器,所述控制器用于根据接收的供电指令,控制所述能量转换器在应急供电模式和经济供电模式之间进行切换。本发明提供的能量路由器可以使用能源管理系统访问电力和燃气价格数据,并能智能管理它们的日常能源消耗;本发明的实施能够缓解电力供应压力,促进多种能源的协同效益,提高智能电网的稳定性。

Figure 202111596372

The invention discloses an energy router and a control method thereof, wherein the energy router comprises: a gas-electric input port for inputting gas power and a power supply input port for inputting grid power; a low-voltage alternating current output port and a high-voltage direct current output port; The controller and the energy converter are configured to control the energy converter to switch between the emergency power supply mode and the economical power supply mode according to the received power supply instruction. The energy router provided by the present invention can use the energy management system to access electricity and gas price data, and can intelligently manage their daily energy consumption; the implementation of the present invention can relieve the pressure of power supply, promote the synergistic benefit of multiple energy sources, and improve the efficiency of smart grids. stability.

Figure 202111596372

Description

Energy router and control method thereof
Technical Field
The invention belongs to the technical field of energy Internet, and particularly relates to an energy router and a control method thereof.
Background
The rapid growth of renewable energy sources and the access of novel high-power random loads such as electric vehicles have certain difficulties in the operation and control of power systems. To meet these challenges, the trend is toward a complementary gas-electricity integrated energy system by comprehensively utilizing the existing energy infrastructure such as electricity and natural gas from the economical and environmental viewpoints. The gas-electricity complementary comprehensive energy system is an energy network which comprises a plurality of energy coupling sources such as power supply, gas supply and the like, and can realize coordination and optimization of various energy sources such as electric power, natural gas and the like, thereby improving the operation efficiency of the whole energy system.
The energy router is a novel key power distribution device facing the global energy Internet, is a fusion power grid physical system based on a fully flexible framework, has the functions of calculation, communication, accurate control, remote coordination, autonomy, plug and play and the like, and integrates multi-port alternating current and direct current seamless hybrid power distribution and utilization devices with the functions of power quality control, energy management, communication and the like.
Currently, the energy router has no unified implementation standard, has no mature product, and is mostly in an experimental prototype stage. The existing energy router has the defects of high manufacturing difficulty, low power, low efficiency and the like, and also has the problems of high current loss, serious heating, high manufacturing cost, poor equipment compatibility and the like.
Disclosure of Invention
The technical problem to be solved by the present invention is to provide an energy router and a control method thereof, so as to ensure the safety of user power consumption and economic power consumption.
To solve the above technical problem, the present invention provides an energy router, including:
the gas-electricity input port is used for inputting gas-electricity power and the power supply input port is used for inputting power of a power grid;
a low-voltage alternating current output port and a high-voltage direct current output port;
the controller is used for controlling the energy converter to switch between an emergency power supply mode and an economic power supply mode according to the received power supply instruction.
Further, the gas electric input port is used for inputting 380V gas electric power, and the power supply input port is used for inputting 380V power grid electric power.
Further, the low-voltage alternating current output port is specifically a 220V alternating current output port, and the high-voltage direct current output port is specifically a 750V direct current output port.
The invention also provides a control method of the energy router, which comprises the following steps:
a step S1 of providing an energy router according to any one of claims 1-3;
step S2, establishing a time-of-use electricity price function and a time-of-use gas electricity price function according to the trend graph of the daily electricity price and the gas electricity price;
and step S3, judging whether emergency power supply or economic power supply is needed according to the power consumption requirement, and correspondingly switching the power supply mode.
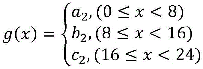
Further, the time-of-use electricity price function f (x) and the time-of-use electricity price function g (x) established in the step S2 are as follows:
Figure BDA0003430522710000021
Figure BDA0003430522710000022
wherein x is the power consumption time period in one day, a1、b1、c1、d1、e1、a2、b2、c2Corresponding to electricity prices and gas electricity prices for different time periods.
Further, the time-of-use electricity price function f (x) and the time-of-use gas price function g (x) are specifically:
Figure BDA0003430522710000023
Figure BDA0003430522710000024
further, when the electricity utilization time is from 8 hours to 16 hours, the gas electric power is input into the energy router through the power supply input port, and the energy router outputs the gas electric power to the corresponding output port.
Further, the step S3 specifically includes:
step S31, judging whether the received power demand is an emergency power supply instruction, if so, executing step S32, otherwise, executing step S33;
step S32, the energy router is switched to an emergency power supply mode, so that the gas power is input into the energy router through the gas-electric input port and is output to the corresponding output port;
step S33, judging the relationship between the current electricity price and the gas price according to the time-of-use electricity price function and the time-of-use gas electricity price function, if the current electricity price is larger than the gas electricity price, adopting gas for power supply, and enabling the gas electricity to be input into the energy router through the gas-electricity input port and output to the corresponding output port; otherwise, the power is supplied by the power grid, so that the power of the power grid is input into the energy router through the gas-electric input port and is output to the corresponding output port.
Further, the emergency power supply instruction is generated when the power of the power grid is interrupted.
Further, the control method further includes: and under the economic power supply mode, if the starting and stopping cost of the energy router is more than the gas power generation cost, the gas power supply is not adopted.
The implementation of the invention has the following beneficial effects: the invention provides a management scheme for the energy converter between emergency power supply and economic power supply, realizes intelligent management on the energy demand side, and promotes the synergistic benefits of various energy sources; the energy router provided by the invention can access electric power and gas price data by using an energy management system and can intelligently manage the daily energy consumption of the electric power and gas price data; the implementation of the invention can relieve the power supply pressure and improve the stability of the smart grid.
Drawings
In order to more clearly illustrate the embodiments of the present invention or the technical solutions in the prior art, the drawings used in the description of the embodiments or the prior art will be briefly described below, it is obvious that the drawings in the following description are only some embodiments of the present invention, and for those skilled in the art, other drawings can be obtained according to the drawings without creative efforts.
Fig. 1 is a schematic diagram of a routing structure of an energy router according to an embodiment of the present invention.
Fig. 2 is a flowchart illustrating a control method of an energy router according to another embodiment of the present invention.
Fig. 3 is a daily power price and gas price trend chart in the embodiment of the present invention.
Fig. 4 is a graph illustrating the electricity purchase price and the gas purchase price in the example of the present invention.
Fig. 5 is a schematic flow chart of switching between the emergency power supply mode and the economic power supply mode in the embodiment of the present invention.
Detailed Description
The following description of the embodiments refers to the accompanying drawings, which are included to illustrate specific embodiments in which the invention may be practiced.
Referring to fig. 1, an embodiment of the invention provides an energy router, including:
the gas-electricity input port is used for inputting gas-electricity power and the power supply input port is used for inputting power of a power grid;
a low-voltage alternating current output port and a high-voltage direct current output port;
the controller is used for controlling the energy converter to switch between an emergency power supply mode and an economic power supply mode according to the received power supply instruction.
Specifically, in this embodiment, the input end of the energy router is power grid power and gas power, the gas-power input port is used for inputting 380V gas power, and the power supply input port is used for inputting 380V power grid power; the output end meets the load requirements of low-voltage alternating current and high-voltage direct current, the low-voltage alternating current output port is specifically a 220V alternating current output port, and the high-voltage direct current output port is specifically a 750V direct current output port.
Furthermore, the energy router also comprises an alternating current-direct current converter, an inverter, a direct current bus and an energy manager; the AC/DC converter is used for converting AC and DC, the DC bus is mainly a DC port connecting wire, and the energy manager is used for storing management information and executing control of AC/DC conversion.
Referring to fig. 2, an embodiment of the present invention provides a method for controlling an energy router, where the method includes:
step S1, providing an energy router according to the first embodiment of the present invention;
step S2, establishing a time-of-use electricity price function and a real-time gas and electricity price function according to the trend graph of the daily electricity price and the gas and electricity price;
and step S3, judging whether emergency power supply or economic power supply is needed according to the power consumption requirement, and correspondingly switching the power supply mode.
Specifically, fig. 3 is a daily trend chart of electricity prices and gas electricity prices, and it can be seen that the gas electricity prices and the electricity prices are different, thereby forming a time-of-use electricity price function f (x) and a time-of-use gas electricity price function g (x):
Figure BDA0003430522710000041
Figure BDA0003430522710000042
wherein x is the power consumption time period in one day, a1、b1、c1、d1、e1、a2、b2、c2Corresponding to electricity prices and gas electricity prices for different time periods. The economic power supply is mainly based on the relationship between the electricity price and the gas electricity price, the low-price power is correspondingly input into the input port of the energy router, for example, the electricity price is low, the power of the power grid is input into the energy router through the power supply input port; if the gas electricity price is low, the gas electricity is input into the energy router through the gas electricity input port.
As an example, the time-of-use electricity price function f (x) and the time-of-use gas price function g (x) are specifically:
Figure BDA0003430522710000051
Figure BDA0003430522710000052
it can be understood that the time-of-use electricity price function f (x) and the time-of-use gas price function g (x) are both piecewise functions, and are obtained according to the statistical data of relevant departments, such as the curve diagram of the electricity price and the gas price shown in fig. 4. It can be seen that when the electricity utilization time is from 8 hours to 16 hours, the electricity price is higher than the gas electricity price, and the energy router uses the gas to generate electricity for power utilization.
Please refer to fig. 5, this embodiment provides a switching mechanism between an emergency power supply mode and an economic power supply mode, where the emergency power supply mode can preferentially ensure the power supply requirement of the user, and the economic power supply mode can provide the most economic power for the user in real time. Generally, as described above, the grid power or the gas power is selected to supply power according to the magnitude relation between the electricity price and the gas electricity price; and once the energy router receives the emergency power supply instruction, the emergency power supply mode is switched to, so that the gas power is input into the energy router through the gas-power input port to form a link from the gas power generation to the load terminal. It will be appreciated that emergency power commands are typically generated when grid power is interrupted or emergency power is required for other reasons. Thus, step S3 specifically includes:
step S31, judging whether the received power demand is an emergency power supply instruction, if so, executing step S32, otherwise, executing step S33;
step S32, the energy router is switched to an emergency power supply mode, so that the gas power is input into the energy router through the gas-electric input port and is output to the corresponding output port;
step S33, judging the relationship between the current electricity price and the gas price according to the time-of-use electricity price function and the time-of-use gas electricity price function, if the current electricity price is larger than the gas electricity price, adopting gas for power supply, and enabling the gas electricity to be input into the energy router through the gas-electricity input port and output to the corresponding output port; otherwise, the power is supplied by the power grid, so that the power of the power grid is input into the energy router through the gas-electric input port and is output to the corresponding output port.
The economic power supply mode also considers the start-stop cost of the energy router, the service life of the gas turbine is shortened when the gas turbine is started and stopped for generating power every time, and then some start-stop costs are formed, and if the start-stop costs are larger than the gas power generation costs, the gas turbine is not used for generating power.
Compared with the prior art, the intelligent management system has the advantages that a management scheme is provided for the energy converter between emergency power supply and economic power supply, intelligent management of the energy demand side is achieved, and the synergistic benefits of multiple energy sources are promoted; the energy router provided by the invention can access electric power and gas price data by using an energy management system and can intelligently manage the daily energy consumption of the electric power and gas price data; the implementation of the invention can relieve the power supply pressure and improve the stability of the smart grid.
The above disclosure is only for the purpose of illustrating the preferred embodiments of the present invention, and it is therefore to be understood that the invention is not limited by the scope of the appended claims.

Claims (10)

1. An energy router, comprising:
the gas-electricity input port is used for inputting gas-electricity power and the power supply input port is used for inputting power of a power grid;
a low-voltage alternating current output port and a high-voltage direct current output port;
the controller is used for controlling the energy converter to switch between an emergency power supply mode and an economic power supply mode according to the received power supply instruction.
2. The energy router of claim 1, wherein the gas-electric input port is configured to input 380V of gas-electric power, and the power supply input port is configured to input 380V of grid-electric power.
3. The energy router of claim 1, wherein the low voltage ac output port is in particular a 220V ac output port and the high voltage dc output port is in particular a 750V dc output port.
4. A method for controlling an energy router, comprising:
a step S1 of providing an energy router according to any one of claims 1-3;
step S2, establishing a time-of-use electricity price function and a time-of-use gas electricity price function according to the trend graph of the daily electricity price and the gas electricity price;
and step S3, judging whether emergency power supply or economic power supply is needed according to the power consumption requirement, and correspondingly switching the power supply mode.
5. The control method according to claim 4, wherein the time-of-use electricity price function f (x) and the time-of-use gas price function g (x) established in step S2 are as follows:
Figure FDA0003430522700000011
Figure FDA0003430522700000012
wherein x is the power consumption time period in one day, a1、b1、c1、d1、e1、a2、b2、c2Corresponding to electricity prices and gas electricity prices for different time periods.
6. The control method according to claim 5, wherein the time-of-use electricity price function f (x) and the time-of-use gas price function g (x) are specifically:
Figure FDA0003430522700000021
Figure FDA0003430522700000022
7. the control method according to claim 6, wherein when the power consumption time is from 8 hours to 16 hours, the gas electric power is input to the energy router through the power supply input port, and the energy router outputs the gas electric power to the corresponding output port.
8. The control method according to claim 4, wherein the step S3 specifically includes:
step S31, judging whether the received power demand is an emergency power supply instruction, if so, executing step S32, otherwise, executing step S33;
step S32, the energy router is switched to an emergency power supply mode, so that the gas power is input into the energy router through the gas-electric input port and is output to the corresponding output port;
step S33, judging the relationship between the current electricity price and the gas price according to the time-of-use electricity price function and the time-of-use gas electricity price function, if the current electricity price is larger than the gas electricity price, adopting gas for power supply, and enabling the gas electricity to be input into the energy router through the gas-electricity input port and output to the corresponding output port; otherwise, the power is supplied by the power grid, so that the power of the power grid is input into the energy router through the gas-electric input port and is output to the corresponding output port.
9. The control method of claim 8, wherein the emergency power command is generated upon a grid power outage.
10. The control method according to claim 4, characterized by further comprising: and under the economic power supply mode, if the starting and stopping cost of the energy router is more than the gas power generation cost, the gas power supply is not adopted.
CN202111596372.1A 2021-12-24 2021-12-24 Energy router and control method thereof Pending CN114256965A (en)

Priority Applications (1)

Application Number Priority Date Filing Date Title
CN202111596372.1A CN114256965A (en) 2021-12-24 2021-12-24 Energy router and control method thereof

Applications Claiming Priority (1)

Application Number Priority Date Filing Date Title
CN202111596372.1A CN114256965A (en) 2021-12-24 2021-12-24 Energy router and control method thereof

Publications (1)

Publication Number Publication Date
CN114256965A true CN114256965A (en) 2022-03-29

Family

ID=80794886

Family Applications (1)

Application Number Title Priority Date Filing Date
CN202111596372.1A Pending CN114256965A (en) 2021-12-24 2021-12-24 Energy router and control method thereof

Country Status (1)

Country Link
CN (1) CN114256965A (en)

Citations (5)

* Cited by examiner, † Cited by third party
Publication number Priority date Publication date Assignee Title
CN202613843U (en) * 2012-02-24 2012-12-19 东南大学 Alternating current and gas engine parallel connection dual-drive heat pump device
US20130088084A1 (en) * 2011-10-06 2013-04-11 GCCA Inc. Networklized DC Power System
CN106253268A (en) * 2016-08-11 2016-12-21 国网江西省电力公司电力科学研究院 Based on many power supplys multi-voltage grade load domestic intelligent energy router device
CN209233485U (en) * 2018-10-23 2019-08-09 北京燃气能源发展有限公司 A kind of novel micro-capacitance sensor power supply system
CN110276486A (en) * 2019-06-14 2019-09-24 国网湖北省电力有限公司电力科学研究院 A kind of integrated energy system dispatching method based on price incentive

Patent Citations (5)

* Cited by examiner, † Cited by third party
Publication number Priority date Publication date Assignee Title
US20130088084A1 (en) * 2011-10-06 2013-04-11 GCCA Inc. Networklized DC Power System
CN202613843U (en) * 2012-02-24 2012-12-19 东南大学 Alternating current and gas engine parallel connection dual-drive heat pump device
CN106253268A (en) * 2016-08-11 2016-12-21 国网江西省电力公司电力科学研究院 Based on many power supplys multi-voltage grade load domestic intelligent energy router device
CN209233485U (en) * 2018-10-23 2019-08-09 北京燃气能源发展有限公司 A kind of novel micro-capacitance sensor power supply system
CN110276486A (en) * 2019-06-14 2019-09-24 国网湖北省电力有限公司电力科学研究院 A kind of integrated energy system dispatching method based on price incentive

Similar Documents

Publication Publication Date Title
CN113232546B (en) A power intelligent distribution charging system and control method
CN111224402B (en) DC multi-microgrid system and control method
CN111463807B (en) Distributed direct-current coupling hydrogen production system and control method thereof
CN103872701A (en) Energy-storage type alternating current and direct current mixed micro-grid and control method thereof
CN106130058B (en) Bipolar multilayer low-voltage direct-current power distribution system for building
TW201316641A (en) Networked DC power system
CN103219726A (en) Microgrid topology structure based on energy storage
CN205921397U (en) Microgrid Networking Based on AC Bus
CN109888774A (en) An optimal scheduling system and method for an Internet of Things energy router
CN104079008A (en) Power supply method and system based on microgrid
CN105470960A (en) SDN-based electric energy router dispatching method
CN102738887B (en) System for intelligently allocating power supply from renewable energy power and grid power
CN103576633A (en) Method and system for conducting power supply control on intelligent home systems in community micro grid
CN207320834U (en) A kind of circuit topological structure of alternating current-direct current mixing distribution system
CN112821402A (en) Power supply system, control method and storage medium
CN104821594A (en) Transformation and distribution station connected with energy storage system
CN114256965A (en) Energy router and control method thereof
CN105939022B (en) A kind of grid-connected off-network compatible switching system for photovoltaic generating system
CN204559131U (en) Be connected to the transformer and distribution power station of energy-storage system
CN106786744A (en) A kind of circuit topology of the single-point type electric power energy collector of integrated distributed plant-grid connection
CN205986178U (en) Bipolar multilayer low-voltage direct-current power distribution system for building
CN107465209B (en) Distribution network system and method based on energy router
CN113872232B (en) DC power distribution network topological structure of data center
CN117458476A (en) A low-voltage energy router with high power supply reliability and its control method
CN107769211A (en) A kind of twin voltage grade alternating current-direct current mixes distribution system

Legal Events

Date Code Title Description
PB01 Publication
PB01 Publication
SE01 Entry into force of request for substantive examination
SE01 Entry into force of request for substantive examination