CN112316785A - 一种用于果冻生产的搅拌装置 - Google Patents
一种用于果冻生产的搅拌装置 Download PDFInfo
- Publication number
- CN112316785A CN112316785A CN202011132390.XA CN202011132390A CN112316785A CN 112316785 A CN112316785 A CN 112316785A CN 202011132390 A CN202011132390 A CN 202011132390A CN 112316785 A CN112316785 A CN 112316785A
- Authority
- CN
- China
- Prior art keywords
- stirring
- box
- jelly
- vacuum pump
- fixedly connected
- Prior art date
- Legal status (The legal status is an assumption and is not a legal conclusion. Google has not performed a legal analysis and makes no representation as to the accuracy of the status listed.)
- Withdrawn
Links
- 235000015110 jellies Nutrition 0.000 title claims abstract description 41
- 239000008274 jelly Substances 0.000 title claims abstract description 38
- 238000004519 manufacturing process Methods 0.000 title claims abstract description 22
- 238000003756 stirring Methods 0.000 claims abstract description 129
- 108010010803 Gelatin Proteins 0.000 claims abstract description 32
- 229920000159 gelatin Polymers 0.000 claims abstract description 32
- 235000019322 gelatine Nutrition 0.000 claims abstract description 32
- 235000011852 gelatine desserts Nutrition 0.000 claims abstract description 32
- 239000008273 gelatin Substances 0.000 claims abstract description 31
- 239000000463 material Substances 0.000 claims abstract description 26
- 238000000034 method Methods 0.000 claims abstract description 8
- 238000007599 discharging Methods 0.000 claims description 13
- 238000005086 pumping Methods 0.000 claims description 6
- 230000001133 acceleration Effects 0.000 claims description 2
- 230000006978 adaptation Effects 0.000 claims description 2
- 230000005484 gravity Effects 0.000 claims description 2
- 230000009286 beneficial effect Effects 0.000 description 2
- 230000015572 biosynthetic process Effects 0.000 description 2
- 238000000605 extraction Methods 0.000 description 2
- 239000000843 powder Substances 0.000 description 2
- 239000002994 raw material Substances 0.000 description 2
- 241000251468 Actinopterygii Species 0.000 description 1
- 230000001464 adherent effect Effects 0.000 description 1
- 230000004075 alteration Effects 0.000 description 1
- 239000002537 cosmetic Substances 0.000 description 1
- 239000003814 drug Substances 0.000 description 1
- 230000000694 effects Effects 0.000 description 1
- 238000005516 engineering process Methods 0.000 description 1
- 230000002349 favourable effect Effects 0.000 description 1
- 235000013305 food Nutrition 0.000 description 1
- 239000007788 liquid Substances 0.000 description 1
- 238000012986 modification Methods 0.000 description 1
- 230000004048 modification Effects 0.000 description 1
- 238000006467 substitution reaction Methods 0.000 description 1
Images
Classifications
-
- B—PERFORMING OPERATIONS; TRANSPORTING
- B01—PHYSICAL OR CHEMICAL PROCESSES OR APPARATUS IN GENERAL
- B01F—MIXING, e.g. DISSOLVING, EMULSIFYING OR DISPERSING
- B01F27/00—Mixers with rotary stirring devices in fixed receptacles; Kneaders
- B01F27/80—Mixers with rotary stirring devices in fixed receptacles; Kneaders with stirrers rotating about a substantially vertical axis
- B01F27/90—Mixers with rotary stirring devices in fixed receptacles; Kneaders with stirrers rotating about a substantially vertical axis with paddles or arms
-
- B—PERFORMING OPERATIONS; TRANSPORTING
- B01—PHYSICAL OR CHEMICAL PROCESSES OR APPARATUS IN GENERAL
- B01F—MIXING, e.g. DISSOLVING, EMULSIFYING OR DISPERSING
- B01F27/00—Mixers with rotary stirring devices in fixed receptacles; Kneaders
- B01F27/05—Stirrers
- B01F27/11—Stirrers characterised by the configuration of the stirrers
- B01F27/112—Stirrers characterised by the configuration of the stirrers with arms, paddles, vanes or blades
- B01F27/1125—Stirrers characterised by the configuration of the stirrers with arms, paddles, vanes or blades with vanes or blades extending parallel or oblique to the stirrer axis
- B01F27/11251—Stirrers characterised by the configuration of the stirrers with arms, paddles, vanes or blades with vanes or blades extending parallel or oblique to the stirrer axis having holes in the surface
-
- B—PERFORMING OPERATIONS; TRANSPORTING
- B01—PHYSICAL OR CHEMICAL PROCESSES OR APPARATUS IN GENERAL
- B01F—MIXING, e.g. DISSOLVING, EMULSIFYING OR DISPERSING
- B01F33/00—Other mixers; Mixing plants; Combinations of mixers
- B01F33/70—Mixers specially adapted for working at sub- or super-atmospheric pressure, e.g. combined with de-foaming
-
- B—PERFORMING OPERATIONS; TRANSPORTING
- B01—PHYSICAL OR CHEMICAL PROCESSES OR APPARATUS IN GENERAL
- B01F—MIXING, e.g. DISSOLVING, EMULSIFYING OR DISPERSING
- B01F35/00—Accessories for mixers; Auxiliary operations or auxiliary devices; Parts or details of general application
- B01F35/10—Maintenance of mixers
- B01F35/12—Maintenance of mixers using mechanical means
- B01F35/123—Maintenance of mixers using mechanical means using scrapers for cleaning mixers
-
- B—PERFORMING OPERATIONS; TRANSPORTING
- B01—PHYSICAL OR CHEMICAL PROCESSES OR APPARATUS IN GENERAL
- B01F—MIXING, e.g. DISSOLVING, EMULSIFYING OR DISPERSING
- B01F35/00—Accessories for mixers; Auxiliary operations or auxiliary devices; Parts or details of general application
- B01F35/20—Measuring; Control or regulation
- B01F35/21—Measuring
- B01F35/211—Measuring of the operational parameters
- B01F35/2113—Pressure
-
- B—PERFORMING OPERATIONS; TRANSPORTING
- B01—PHYSICAL OR CHEMICAL PROCESSES OR APPARATUS IN GENERAL
- B01F—MIXING, e.g. DISSOLVING, EMULSIFYING OR DISPERSING
- B01F35/00—Accessories for mixers; Auxiliary operations or auxiliary devices; Parts or details of general application
- B01F35/75—Discharge mechanisms
- B01F35/754—Discharge mechanisms characterised by the means for discharging the components from the mixer
-
- B—PERFORMING OPERATIONS; TRANSPORTING
- B01—PHYSICAL OR CHEMICAL PROCESSES OR APPARATUS IN GENERAL
- B01F—MIXING, e.g. DISSOLVING, EMULSIFYING OR DISPERSING
- B01F2101/00—Mixing characterised by the nature of the mixed materials or by the application field
- B01F2101/06—Mixing of food ingredients
Landscapes
- Chemical & Material Sciences (AREA)
- Chemical Kinetics & Catalysis (AREA)
- Engineering & Computer Science (AREA)
- Mechanical Engineering (AREA)
- Jellies, Jams, And Syrups (AREA)
Abstract
本发明公开了一种用于果冻生产的搅拌装置,包括工作台,所述工作台的上表面设置有搅拌箱,所述搅拌箱为开口向上的箱体,所述搅拌箱的上表面设置有箱盖,所述箱盖通过紧固螺栓固定连接在搅拌箱的两侧,所述箱盖的上表面设置有固定箱,所述固定箱的内顶壁固定连接有电机,所述电机的输出端固定连接有搅拌杆,所述搅拌杆的表面固定连接有若干个搅拌臂。该用于果冻生产的搅拌装置,通过设置真空泵,便于对搅拌箱中的气体进行抽出并输送到收集箱中,使搅拌箱中形成真空状态,减少在搅拌过程中形成的气泡,通过设置搅拌臂,搅拌臂的表面开设有通孔,便于使明胶与其他材料搅拌的更加均匀,提高搅拌效率。
Description
技术领域
本发明涉及搅拌器械技术领域,具体为一种用于果冻生产的搅拌装置。
背景技术
明胶是一种具有高粘稠度、强粘附性的胶状物质,常常被用作食品、药品及化妆品中的基质。使用明胶制作果冻是较常用的方法。常用明胶的商品名有白明胶、明胶片、结力粉、结力片、鱼胶粉等。实际使用时要参照不同原料使用说明来使用。
而明胶在调制果冻液中需要与其他材料一起搅拌均匀,目前现有的搅拌装置存在搅拌过后的明胶存在大量气泡的问题,从而影响其他材料无法在明胶中均匀分散,影响成品的质量,同时成品具有粘附性,搅拌过后的成品容易附着在搅拌箱的内壁上,难以处理。
为此,我们提出一种用于果冻生产的搅拌装置。
发明内容
本发明的目的在于提供一种用于果冻生产的搅拌装置,以解决上述背景技术中提出的问题。
为实现上述目的,本发明提供如下技术方案:一种用于果冻生产的搅拌装置,包括工作台,所述工作台的上表面设置有搅拌箱,所述搅拌箱为开口向上的箱体,所述搅拌箱的上表面设置有箱盖,所述箱盖通过紧固螺栓固定连接在搅拌箱的两侧,所述箱盖的上表面设置有固定箱,所述固定箱的内顶壁固定连接有电机,所述电机的输出端固定连接有搅拌杆,所述搅拌杆远离电机的一端贯穿箱盖的上表面并延伸至搅拌箱的内部,所述搅拌杆的表面固定连接有若干个搅拌臂,所述搅拌臂的表面开设有通孔,所述搅拌箱的内底壁固定连接有两个固定板,所述箱盖的上表面开设有两个长孔,所述长孔的内壁滑动连接有伸缩杆,所述伸缩杆的底端固定连接有刮板,所述刮板的一侧与搅拌箱的左右内壁滑动连接,所述箱盖的上表面固定连接有固定块,所述固定块的左右两侧滑动连接有限位杆,所述伸缩杆靠近固定块的一侧开设有与限位杆相适配的凹槽。
优选的,所述工作台的上表面设置有收集箱,所述收集箱的上表面设置有真空泵,所述真空泵的输出端通过管道与收集箱的内部相连通。
优选的,所述真空泵的输入端连通有真空管,所述真空管远离真空泵的一端贯穿箱盖的上表面与搅拌箱的内部相连通。
优选的,所述搅拌箱的内底壁开设有出料管,所述出料管远离搅拌箱内底壁的一端贯穿工作台并延伸至工作台的下表面,所述出料管的内壁固定连接有高粘度电磁阀。
优选的,所述工作台的下表面设置有成品箱,所述出料管远离搅拌箱的一端与成品箱的上表面相连通。
优选的,所述工作台的下表面固定连接支撑腿,所述支撑腿的数量为四个,所述箱盖的上表面设置有进料漏斗。
有益效果
本发明提供了一种用于果冻生产的搅拌装置,具备以下有益效果:
1.该用于果冻生产的搅拌装置,通过设置真空泵,便于对搅拌箱中的气体进行抽出并输送到收集箱中,使搅拌箱中形成真空状态,减少在搅拌过程中形成的气泡,通过设置搅拌臂,搅拌臂的表面开设有通孔,便于使明胶与其他材料搅拌的更加均匀,提高搅拌效率,同时该搅拌臂的通孔也可以减少气泡的形成,提高产品质量。
2.该用于果冻生产的搅拌装置,通过设置固定板,便于将搅拌箱中的所有明胶和材料都进行搅拌,避免搅拌箱底部的明胶和材料无法搅拌,也无法通过出料管流出,造成浪费的情况,通过设置伸缩杆和刮板,便于将附着在搅拌箱内壁的成品向下刮除,并通过出料管流出,避免搅拌箱内壁附着的成品难以处理的情况出现,方便快捷。
附图说明
图1为本发明正剖结构示意图;
图2为本发明立体结构示意图;
图3为图1中A处结构放大示意图。
图中:1工作台、2搅拌箱、3箱盖、4固定箱、5电机、6搅拌杆、7搅拌臂、8固定板、9收集箱、10真空泵、11真空管、12出料管、13高粘度电磁阀、14成品箱、15进料漏斗、16伸缩杆、17刮板、18固定块、19限位杆。
具体实施方式
下面将结合本发明实施例中的附图,对本发明实施例中的技术方案进行清楚、完整地描述,显然,所描述的实施例仅仅是本发明一部分实施例,而不是全部的实施例。基于本发明中的实施例,本领域普通技术人员在没有做出创造性劳动前提下所获得的所有其他实施例,都属于本发明保护的范围。
请参阅图1-3,本发明提供一种技术方案:一种用于果冻生产的搅拌装置,包括工作台1,工作台1的下表面固定连接支撑腿,支撑腿的数量为四个,工作台1的上表面设置有搅拌箱2,搅拌箱2为开口向上的箱体,搅拌箱2的上表面设置有箱盖3,箱盖3的上表面设置有进料漏斗15,箱盖3通过紧固螺栓固定连接在搅拌箱2的两侧,箱盖3的上表面设置有固定箱4,固定箱4的内顶壁固定连接有电机5,电机5的输出端固定连接有搅拌杆6,搅拌杆6远离电机5的一端贯穿箱盖3的上表面并延伸至搅拌箱2的内部,搅拌杆6的表面固定连接有若干个搅拌臂7,搅拌臂7的表面开设有通孔,通过设置搅拌臂7,便于使明胶与其他材料搅拌的更加均匀,提高搅拌效率,同时该搅拌臂7的通孔也可以减少气泡的形成,提高产品质量。
搅拌箱2的内底壁固定连接有两个固定板8,通过设置固定板8,便于将搅拌箱2中的所有明胶和材料都进行搅拌,避免搅拌箱2底部的明胶和材料无法充分搅拌的情况出现,箱盖3的上表面开设有两个长孔,长孔的内壁滑动连接有伸缩杆16,伸缩杆16的底端固定连接有刮板17,刮板17的一侧与搅拌箱2的左右内壁滑动连接,箱盖3的上表面固定连接有固定块18,固定块18的左右两侧滑动连接有限位杆19,伸缩杆16靠近固定块18的一侧开设有与限位杆19相适配的凹槽,通过设置伸缩杆16和刮板17,便于将附着在搅拌箱2内壁的成品向下刮除,并通过出料管12流出,避免搅拌箱2内壁附着的成品难以处理的情况出现,方便快捷。
工作台1的上表面设置有收集箱9,收集箱9的上表面设置有真空泵10,真空泵10的输出端通过管道与收集箱9的内部相连通,真空泵10的输入端连通有真空管11,真空管11远离真空泵10的一端贯穿箱盖3的上表面与搅拌箱2的内部相连通,通过设置真空泵10,便于对搅拌箱2中的气体进行抽出并输送到收集箱9中,使搅拌箱2中形成真空状态,减少在搅拌过程中形成的气泡,搅拌箱2的内底壁开设有出料管12,出料管12远离搅拌箱2内底壁的一端贯穿工作台1并延伸至工作台1的下表面,出料管12的内壁固定连接有高粘度电磁阀13,工作台1的下表面设置有成品箱14,出料管12远离搅拌箱2的一端与成品箱14的上表面相连通。
工作原理:当该用于果冻生产的搅拌装置使用时,首先将明胶和其他材料从进料漏斗15中放入,然后对进料漏斗15进行密封,打开真空泵10,真空泵10通过真空管11将搅拌箱2中的气体抽出,使搅拌箱2内部形成一个真空腔,打开电机5,电机5输出端带动搅拌杆6转动,搅拌杆6上的搅拌臂7将明胶和其他材料一起搅拌均匀,固定板8可以避免搅拌箱2底部的明胶和材料无法充分搅拌的情况出现,搅拌结束后,打开高粘度电磁阀13,搅拌完成的成品从出料管12流出至成品箱14中,同时拉开伸缩杆16,并将限位杆19从固定块18中抽出,向下压动伸缩杆16,刮板17可以将附着在搅拌箱2内壁的成品刮除干净,并通过出料管12流出,使用该用于果冻生产的搅拌装置,真空泵10和搅拌臂7可以充分减少明胶与其他材料在搅拌的过程中产生的气泡,提高产品的整体质量,同时搅拌臂7上的通孔有利于其他材料充分在明胶中均匀分散,增加搅拌效率,固定板8可以避免搅拌箱2底部的明胶和材料无法充分搅拌和无法自然流出的问题,避免人工处理的繁琐,该搅拌装置结构简单,较为实用,适合推广。
在一个实施例中,所述搅拌装置还包括控制器;
为了保证在制作不同果冻加入不同材料时所述真空泵10抽取的真空程度可以保持相同,则首先根据在进料漏斗15中放入的所述明胶和其他材料的量,得到所述真空泵10需要抽取的气体体积,并且为了保证所述真空泵10抽取气体的时间相同,则根据所述需要抽取的气体体积以及规定的抽气时间得到所述真空泵10的抽取真空的速度,从而保证在相同的时间下对不同材料的果冻可以抽取相同的真空度;抽取真空完成后,为了保证所述果冻在搅拌过程中搅拌均匀,在所述搅拌臂7上加装压力传感器,通过采集所述传感器数值得到所述果冻当前的搅拌均匀程度,根据所述搅拌均匀程度判断当前搅拌的均匀状态。具体地,控制器执行如下步骤:
步骤A1:利用公式1根据所述明胶和其他材料的量得到所述真空泵10需要抽取的气体体积:
其中V表示所述真空泵10需要抽取的气体体积;R表示所述进料漏斗15底部出料口的半径,g表示重力加速度;N表示所述明胶和其他材料加入的数量;N0表示单位时间内所述进料漏斗15所能漏出的所述明胶和其他材料的数量;
步骤A2:利用公式2根据所述真空泵10需要抽取的气体体积得到所述真空泵10的抽取真空的速度:
其中v表示所述真空泵10的抽取真空的速度具体表示为抽取所述一个真空管11内所有空气与抽取完成所用的时间的比值;a表示所述搅拌箱2的长度;b表示所述搅拌箱2的宽度;h表示所述搅拌箱2的高度;r表示所述真空管11的管道半径;l表示所述真空管11的管道长度;t表示所述真空泵10抽取的气体体积的规定时间;
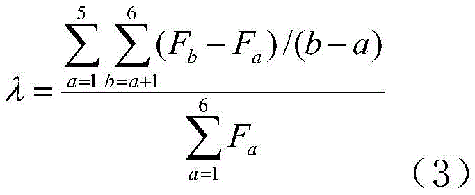
步骤A3:抽完真空后为了检测所述果冻当前搅拌均匀程度则利用公式3根据所述传感器的数值得到所述果冻当前的搅拌均匀程度:
其中λ表示所述果冻当前的搅拌均匀程度;Fa表示所述搅拌杆6上的第a个搅拌臂7;Fb表示所述搅拌杆6上的第b个搅拌臂7;F1,F2,F3,F4,F5,F6依次表示所述搅拌杆6从上到下的搅拌臂7;
根据上述公式和步骤得到的所述果冻当前的搅拌均匀程度值进行如下判断:
当λ>0.6时表示所述果冻当前还未搅拌均匀,则继续进行搅拌;
当λ≤0.6时表示所述果冻当前已经搅拌均匀,则通过控制所述电机5的转动停止,从而停止搅拌,搅拌过程完成。
上述技术方案的有益效果是:利用步骤A1中的公式1得到所述真空泵10需要抽取的气体体积,目的是通过分析加入的所述明胶和其他材料的量得到对应的需要抽取的气体体积;然后再利用步骤A2的公式2根据所述真空泵10需要抽取的气体体积得到所述真空泵10的抽取真空的速度,从而完成在加入不同数量明胶和其他材料的情况下可以在相同时间内达到相同真空程度的目的;最后利用步骤A3中的公式3根据所述传感器的数值得到所述果冻当前的搅拌均匀程度,从而根据所述搅拌均匀程度来判断所述搅拌是否完成;上述公式和步骤可以保证在对不同果冻进行搅拌前可以在相同时间下抽取成相同的真空度,提高了工作效率以及自动化的统一。
尽管已经示出和描述了本发明的实施例,对于本领域的普通技术人员而言,可以理解在不脱离本发明的原理和精神的情况下可以对这些实施例进行多种变化、修改、替换和变型,本发明的范围由所附权利要求及其等同物限定。
Claims (7)
1.一种用于果冻生产的搅拌装置,包括工作台(1),其特征在于:所述工作台(1)的上表面设置有搅拌箱(2),所述搅拌箱(2)为开口向上的箱体,所述搅拌箱(2)的上表面设置有箱盖(3),所述箱盖(3)通过紧固螺栓固定连接在搅拌箱(2)的两侧,所述箱盖(3)的上表面设置有固定箱(4),所述固定箱(4)的内顶壁固定连接有电机(5),所述电机(5)的输出端固定连接有搅拌杆(6),所述搅拌杆(6)远离电机(5)的一端贯穿箱盖(3)的上表面并延伸至搅拌箱(2)的内部,所述搅拌杆(6)的表面固定连接有若干个搅拌臂(7),所述搅拌臂(7)的表面开设有通孔,所述搅拌箱(2)的内底壁固定连接有两个固定板(8),所述箱盖(3)的上表面开设有两个长孔,所述长孔的内壁滑动连接有伸缩杆(16),所述伸缩杆(16)的底端固定连接有刮板(17),所述刮板(17)的一侧与搅拌箱(2)的左右内壁滑动连接,所述箱盖(3)的上表面固定连接有固定块(18),所述固定块(18)的左右两侧滑动连接有限位杆(19),所述伸缩杆(16)靠近固定块(18)的一侧开设有与限位杆(19)相适配的凹槽。
2.根据权利要求1所述的一种用于果冻生产的搅拌装置,其特征在于:所述工作台(1)的上表面设置有收集箱(9),所述收集箱(9)的上表面设置有真空泵(10),所述真空泵(10)的输出端通过管道与收集箱(9)的内部相连通。
3.根据权利要求2所述的一种用于果冻生产的搅拌装置,其特征在于:所述真空泵(10)的输入端连通有真空管(11),所述真空管(11)远离真空泵(10)的一端贯穿箱盖(3)的上表面与搅拌箱(2)的内部相连通。
4.根据权利要求1所述的一种用于果冻生产的搅拌装置,其特征在于:所述搅拌箱(2)的内底壁开设有出料管(12),所述出料管(12)远离搅拌箱(2)内底壁的一端贯穿工作台(1)并延伸至工作台(1)的下表面,所述出料管(12)的内壁固定连接有高粘度电磁阀(13)。
5.根据权利要求1所述的一种用于果冻生产的搅拌装置,其特征在于:所述工作台(1)的下表面设置有成品箱(14),所述出料管(12)远离搅拌箱(2)的一端与成品箱(14)的上表面相连通。
6.根据权利要求1所述的一种用于果冻生产的搅拌装置,其特征在于:所述工作台(1)的下表面固定连接支撑腿,所述支撑腿的数量为四个,所述箱盖(3)的上表面设置有进料漏斗(15)。
7.根据权利要求1所述的一种用于果冻生产的搅拌装置,其特征在于:
所述搅拌装置还包括控制器;
在所述搅拌臂(7)上加装压力传感器;
所述控制器,用于执行如下步骤:
步骤A1:利用公式(1)根据所述明胶和其他材料的量得到所述真空泵(10)需要抽取的气体体积:
其中V表示所述真空泵(10)需要抽取的气体体积;R表示所述进料漏斗(15)底部出料口的半径,g表示重力加速度;N表示所述明胶和其他材料加入的数量;N0表示单位时间内所述进料漏斗(15)所能漏出的所述明胶和其他材料的数量;
步骤A2:利用公式(2)根据所述真空泵(10)需要抽取的气体体积得到所述真空泵(10)的抽取真空的速度:
其中v表示所述真空泵(10)的抽取真空的速度(具体表示为抽取所述一个真空管(11)内所有空气与抽取完成所用的时间的比值);a表示所述搅拌箱(2)的长度;b表示所述搅拌箱(2)的宽度;h表示所述搅拌箱(2)的高度;r表示所述真空管(11)的管道半径;l表示所述真空管(11)的管道长度;t表示所述真空泵(10)抽取的气体体积的规定时间;
步骤A3:抽完真空后为了检测所述果冻当前搅拌均匀程度则利用公式(3)根据所述传感器的数值得到所述果冻当前的搅拌均匀程度:
其中λ表示所述果冻当前的搅拌均匀程度;Fa表示所述搅拌杆(6)上的第a个搅拌臂(7);Fb表示所述搅拌杆(6)上的第b个搅拌臂(7);F1,F2,F3,F4,F5,F6依次表示所述搅拌杆(6)从上到下的搅拌臂(7);
根据上述公式和步骤得到的所述果冻当前的搅拌均匀程度值进行如下判断:
当λ>0.6时表示所述果冻当前还未搅拌均匀,则继续进行搅拌;
当λ≤0.6时表示所述果冻当前已经搅拌均匀,则通过控制所述电机5的转动停止,从而停止搅拌,搅拌过程完成。
Priority Applications (1)
| Application Number | Priority Date | Filing Date | Title |
|---|---|---|---|
| CN202011132390.XA CN112316785A (zh) | 2020-10-21 | 2020-10-21 | 一种用于果冻生产的搅拌装置 |
Applications Claiming Priority (1)
| Application Number | Priority Date | Filing Date | Title |
|---|---|---|---|
| CN202011132390.XA CN112316785A (zh) | 2020-10-21 | 2020-10-21 | 一种用于果冻生产的搅拌装置 |
Publications (1)
| Publication Number | Publication Date |
|---|---|
| CN112316785A true CN112316785A (zh) | 2021-02-05 |
Family
ID=74311964
Family Applications (1)
| Application Number | Title | Priority Date | Filing Date |
|---|---|---|---|
| CN202011132390.XA Withdrawn CN112316785A (zh) | 2020-10-21 | 2020-10-21 | 一种用于果冻生产的搅拌装置 |
Country Status (1)
| Country | Link |
|---|---|
| CN (1) | CN112316785A (zh) |
Citations (8)
| Publication number | Priority date | Publication date | Assignee | Title |
|---|---|---|---|---|
| US20080032013A1 (en) * | 2001-09-07 | 2008-02-07 | Paumen Lawrence J | Food Tumbler |
| CN108943416A (zh) * | 2018-10-09 | 2018-12-07 | 蔡玮 | 一种搅拌效率高的混合搅拌机 |
| CN208213003U (zh) * | 2018-04-13 | 2018-12-11 | 浙江果源康品生物科技有限公司 | 一种果胶搅拌装置 |
| CN109173784A (zh) * | 2018-08-31 | 2019-01-11 | 张俊霞 | 一种制取红枣果冻的装置及方法 |
| CN208684500U (zh) * | 2018-06-29 | 2019-04-02 | 上海未来企业股份有限公司 | 一种可消泡的絮凝池搅拌机 |
| CN209810133U (zh) * | 2019-03-29 | 2019-12-20 | 海南希睿达生物技术有限公司 | 一种新型硅凝胶生产装置 |
| CN210332311U (zh) * | 2018-11-27 | 2020-04-17 | 平顶山泰克斯特高级润滑油有限公司 | 一种润滑油生产搅拌设备 |
| CN211537337U (zh) * | 2019-12-13 | 2020-09-22 | 重庆旭天生物科技有限公司 | 一种凝胶剂生产用搅拌装置 |
-
2020
- 2020-10-21 CN CN202011132390.XA patent/CN112316785A/zh not_active Withdrawn
Patent Citations (8)
| Publication number | Priority date | Publication date | Assignee | Title |
|---|---|---|---|---|
| US20080032013A1 (en) * | 2001-09-07 | 2008-02-07 | Paumen Lawrence J | Food Tumbler |
| CN208213003U (zh) * | 2018-04-13 | 2018-12-11 | 浙江果源康品生物科技有限公司 | 一种果胶搅拌装置 |
| CN208684500U (zh) * | 2018-06-29 | 2019-04-02 | 上海未来企业股份有限公司 | 一种可消泡的絮凝池搅拌机 |
| CN109173784A (zh) * | 2018-08-31 | 2019-01-11 | 张俊霞 | 一种制取红枣果冻的装置及方法 |
| CN108943416A (zh) * | 2018-10-09 | 2018-12-07 | 蔡玮 | 一种搅拌效率高的混合搅拌机 |
| CN210332311U (zh) * | 2018-11-27 | 2020-04-17 | 平顶山泰克斯特高级润滑油有限公司 | 一种润滑油生产搅拌设备 |
| CN209810133U (zh) * | 2019-03-29 | 2019-12-20 | 海南希睿达生物技术有限公司 | 一种新型硅凝胶生产装置 |
| CN211537337U (zh) * | 2019-12-13 | 2020-09-22 | 重庆旭天生物科技有限公司 | 一种凝胶剂生产用搅拌装置 |
Similar Documents
| Publication | Publication Date | Title |
|---|---|---|
| CN208003827U (zh) | 一种用于农药等量配料混合装置 | |
| CN213611213U (zh) | 一种调味品生产用物料自动化定量输送混合装置 | |
| CN112316785A (zh) | 一种用于果冻生产的搅拌装置 | |
| CN214032518U (zh) | 葡萄糖基甜菊糖苷转化工艺用酶精确配比装置 | |
| CN104577035A (zh) | 一种用于铅酸蓄电池的真空灌注电解液装置 | |
| CN209005736U (zh) | 一种带进料搅拌的反应釜搅拌结构 | |
| CN209530607U (zh) | 双材料混合搅拌罐 | |
| CN209333689U (zh) | 一种自动高效的液罐配液装置 | |
| CN211281666U (zh) | 一种具有搅拌功能的食品加工用灌装机 | |
| CN215743055U (zh) | 一种免擦拭洗车液生产系统 | |
| CN213913768U (zh) | 一种制备纳米材料的生产线 | |
| CN214553087U (zh) | 一种生物化学溶液共轴乳化搅拌机 | |
| CN207271196U (zh) | 一种胶水粘度调节装置 | |
| CN107626253A (zh) | 一种连续和膏机 | |
| CN207781735U (zh) | 水平电池灌酸传动结构 | |
| CN217918771U (zh) | 一种带水平搅拌机构的半流体包装机 | |
| CN215075218U (zh) | 一种压片糖果包衣机 | |
| CN210679151U (zh) | 一种商品混凝土配比装置 | |
| CN204333104U (zh) | 一种用于铅酸蓄电池的真空灌注电解液装置 | |
| CN223366782U (zh) | 一种助剂混合循环装置 | |
| CN220563007U (zh) | 联苯苄唑乳膏灌装装置 | |
| CN220940397U (zh) | 一种便于均匀加料的2,3戊二酮生产搅拌装置 | |
| CN219744642U (zh) | 一种涂料混合机 | |
| CN219502018U (zh) | 一种医药中间体制备用萃取装置 | |
| CN217828920U (zh) | 一种生产间氨基苯酚用真空蒸馏装置 |
Legal Events
| Date | Code | Title | Description |
|---|---|---|---|
| PB01 | Publication | ||
| PB01 | Publication | ||
| SE01 | Entry into force of request for substantive examination | ||
| SE01 | Entry into force of request for substantive examination | ||
| WW01 | Invention patent application withdrawn after publication | ||
| WW01 | Invention patent application withdrawn after publication |
Application publication date: 20210205 |





