CN110393720B - 曲索芬头孢曲松钠药物制剂治疗免疫机能低下患者感染的新适应症 - Google Patents
曲索芬头孢曲松钠药物制剂治疗免疫机能低下患者感染的新适应症 Download PDFInfo
- Publication number
- CN110393720B CN110393720B CN201811005549.4A CN201811005549A CN110393720B CN 110393720 B CN110393720 B CN 110393720B CN 201811005549 A CN201811005549 A CN 201811005549A CN 110393720 B CN110393720 B CN 110393720B
- Authority
- CN
- China
- Prior art keywords
- ceftriaxone sodium
- sodium
- reaction
- ceftriaxone
- preparation
- Prior art date
- Legal status (The legal status is an assumption and is not a legal conclusion. Google has not performed a legal analysis and makes no representation as to the accuracy of the status listed.)
- Active
Links
- 229960000479 ceftriaxone sodium Drugs 0.000 title claims abstract description 96
- FDRNWTJTHBSPMW-GNXCPKRQSA-L disodium;(6r,7r)-7-[[(2e)-2-(2-amino-1,3-thiazol-4-yl)-2-methoxyiminoacetyl]amino]-3-[(2-methyl-6-oxido-5-oxo-1,2,4-triazin-3-yl)sulfanylmethyl]-8-oxo-5-thia-1-azabicyclo[4.2.0]oct-2-ene-2-carboxylate Chemical compound [Na+].[Na+].S([C@@H]1[C@@H](C(N1C=1C([O-])=O)=O)NC(=O)/C(=N/OC)C=2N=C(N)SC=2)CC=1CSC1=NC(=O)C([O-])=NN1C FDRNWTJTHBSPMW-GNXCPKRQSA-L 0.000 title claims abstract description 96
- 208000015181 infectious disease Diseases 0.000 title abstract description 7
- 230000036737 immune function Effects 0.000 title abstract description 4
- 239000000825 pharmaceutical preparation Substances 0.000 title abstract 2
- 238000002360 preparation method Methods 0.000 claims abstract description 43
- 239000012535 impurity Substances 0.000 claims abstract description 36
- 238000000034 method Methods 0.000 claims abstract description 30
- 230000008569 process Effects 0.000 claims abstract description 17
- 238000002425 crystallisation Methods 0.000 claims description 37
- 239000013078 crystal Substances 0.000 claims description 36
- 239000002904 solvent Substances 0.000 claims description 36
- 230000008025 crystallization Effects 0.000 claims description 35
- CSCPPACGZOOCGX-UHFFFAOYSA-N Acetone Chemical group CC(C)=O CSCPPACGZOOCGX-UHFFFAOYSA-N 0.000 claims description 34
- 150000001875 compounds Chemical class 0.000 claims description 26
- OKKJLVBELUTLKV-UHFFFAOYSA-N Methanol Chemical compound OC OKKJLVBELUTLKV-UHFFFAOYSA-N 0.000 claims description 24
- 239000003054 catalyst Substances 0.000 claims description 23
- HSHGZXNAXBPPDL-HZGVNTEJSA-N 7beta-aminocephalosporanic acid Chemical compound S1CC(COC(=O)C)=C(C([O-])=O)N2C(=O)[C@@H]([NH3+])[C@@H]12 HSHGZXNAXBPPDL-HZGVNTEJSA-N 0.000 claims description 18
- 150000002148 esters Chemical class 0.000 claims description 15
- OKTJSMMVPCPJKN-UHFFFAOYSA-N Carbon Chemical compound [C] OKTJSMMVPCPJKN-UHFFFAOYSA-N 0.000 claims description 14
- 229960004755 ceftriaxone Drugs 0.000 claims description 14
- VAAUVRVFOQPIGI-SPQHTLEESA-N ceftriaxone Chemical compound S([C@@H]1[C@@H](C(N1C=1C(O)=O)=O)NC(=O)\C(=N/OC)C=2N=C(N)SC=2)CC=1CSC1=NC(=O)C(=O)NN1C VAAUVRVFOQPIGI-SPQHTLEESA-N 0.000 claims description 14
- 239000002131 composite material Substances 0.000 claims description 12
- IEJIGPNLZYLLBP-UHFFFAOYSA-N dimethyl carbonate Chemical compound COC(=O)OC IEJIGPNLZYLLBP-UHFFFAOYSA-N 0.000 claims description 11
- 239000000047 product Substances 0.000 claims description 11
- 239000003963 antioxidant agent Substances 0.000 claims description 10
- 230000003078 antioxidant effect Effects 0.000 claims description 7
- VSCWAEJMTAWNJL-UHFFFAOYSA-K aluminium trichloride Chemical compound Cl[Al](Cl)Cl VSCWAEJMTAWNJL-UHFFFAOYSA-K 0.000 claims description 6
- WTEOIRVLGSZEPR-UHFFFAOYSA-N boron trifluoride Chemical compound FB(F)F WTEOIRVLGSZEPR-UHFFFAOYSA-N 0.000 claims description 6
- 239000003795 chemical substances by application Substances 0.000 claims description 6
- 229910015900 BF3 Inorganic materials 0.000 claims description 5
- UMWWHOXOVPIGFD-UHFFFAOYSA-N 2-methyl-3-sulfanylidene-1,2,4-triazinane-5,6-dione Chemical compound CN1NC(=O)C(=O)N=C1S UMWWHOXOVPIGFD-UHFFFAOYSA-N 0.000 claims description 4
- 239000007864 aqueous solution Substances 0.000 claims description 4
- 238000001914 filtration Methods 0.000 claims description 4
- 125000002496 methyl group Chemical group [H]C([H])([H])* 0.000 claims description 4
- 239000012043 crude product Substances 0.000 claims description 3
- 238000001035 drying Methods 0.000 claims description 2
- 150000003839 salts Chemical class 0.000 claims description 2
- 238000006555 catalytic reaction Methods 0.000 claims 1
- 239000012528 membrane Substances 0.000 claims 1
- 230000015572 biosynthetic process Effects 0.000 abstract description 23
- 238000003786 synthesis reaction Methods 0.000 abstract description 23
- 239000002994 raw material Substances 0.000 abstract description 21
- 239000003814 drug Substances 0.000 abstract description 14
- 229940079593 drug Drugs 0.000 abstract description 10
- 238000004519 manufacturing process Methods 0.000 abstract description 7
- 230000009286 beneficial effect Effects 0.000 abstract description 4
- 230000000844 anti-bacterial effect Effects 0.000 abstract description 2
- 230000000857 drug effect Effects 0.000 abstract 1
- 238000006243 chemical reaction Methods 0.000 description 60
- 239000000203 mixture Substances 0.000 description 27
- XLYOFNOQVPJJNP-UHFFFAOYSA-N water Substances O XLYOFNOQVPJJNP-UHFFFAOYSA-N 0.000 description 27
- 206010061218 Inflammation Diseases 0.000 description 26
- 230000004054 inflammatory process Effects 0.000 description 26
- 238000003756 stirring Methods 0.000 description 26
- YMWUJEATGCHHMB-UHFFFAOYSA-N Dichloromethane Chemical compound ClCCl YMWUJEATGCHHMB-UHFFFAOYSA-N 0.000 description 24
- WEVYAHXRMPXWCK-UHFFFAOYSA-N Acetonitrile Chemical compound CC#N WEVYAHXRMPXWCK-UHFFFAOYSA-N 0.000 description 21
- 238000002347 injection Methods 0.000 description 20
- 239000007924 injection Substances 0.000 description 20
- XEKOWRVHYACXOJ-UHFFFAOYSA-N Ethyl acetate Chemical compound CCOC(C)=O XEKOWRVHYACXOJ-UHFFFAOYSA-N 0.000 description 18
- NKZMPZCWBSWAOX-IBTYICNHSA-M Sulbactam sodium Chemical compound [Na+].O=S1(=O)C(C)(C)[C@H](C([O-])=O)N2C(=O)C[C@H]21 NKZMPZCWBSWAOX-IBTYICNHSA-M 0.000 description 18
- WKBOTKDWSSQWDR-UHFFFAOYSA-N Bromine atom Chemical compound [Br] WKBOTKDWSSQWDR-UHFFFAOYSA-N 0.000 description 17
- 239000000243 solution Substances 0.000 description 17
- 229960000614 sulbactam sodium Drugs 0.000 description 17
- 230000000052 comparative effect Effects 0.000 description 14
- RWSXRVCMGQZWBV-WDSKDSINSA-N glutathione Chemical compound OC(=O)[C@@H](N)CCC(=O)N[C@@H](CS)C(=O)NCC(O)=O RWSXRVCMGQZWBV-WDSKDSINSA-N 0.000 description 14
- GDTBXPJZTBHREO-UHFFFAOYSA-N bromine Substances BrBr GDTBXPJZTBHREO-UHFFFAOYSA-N 0.000 description 13
- 229910052794 bromium Inorganic materials 0.000 description 13
- ZMANZCXQSJIPKH-UHFFFAOYSA-N Triethylamine Chemical compound CCN(CC)CC ZMANZCXQSJIPKH-UHFFFAOYSA-N 0.000 description 12
- 239000000843 powder Substances 0.000 description 12
- DGAQECJNVWCQMB-PUAWFVPOSA-M Ilexoside XXIX Chemical compound C[C@@H]1CC[C@@]2(CC[C@@]3(C(=CC[C@H]4[C@]3(CC[C@@H]5[C@@]4(CC[C@@H](C5(C)C)OS(=O)(=O)[O-])C)C)[C@@H]2[C@]1(C)O)C)C(=O)O[C@H]6[C@@H]([C@H]([C@@H]([C@H](O6)CO)O)O)O.[Na+] DGAQECJNVWCQMB-PUAWFVPOSA-M 0.000 description 11
- 239000011734 sodium Substances 0.000 description 11
- 229910052708 sodium Inorganic materials 0.000 description 11
- FKENQMMABCRJMK-RITPCOANSA-N sulbactam Chemical compound O=S1(=O)C(C)(C)[C@H](C(O)=O)N2C(=O)C[C@H]21 FKENQMMABCRJMK-RITPCOANSA-N 0.000 description 11
- VZSRBBMJRBPUNF-UHFFFAOYSA-N 2-(2,3-dihydro-1H-inden-2-ylamino)-N-[3-oxo-3-(2,4,6,7-tetrahydrotriazolo[4,5-c]pyridin-5-yl)propyl]pyrimidine-5-carboxamide Chemical compound C1C(CC2=CC=CC=C12)NC1=NC=C(C=N1)C(=O)NCCC(N1CC2=C(CC1)NN=N2)=O VZSRBBMJRBPUNF-UHFFFAOYSA-N 0.000 description 10
- NGHVIOIJCVXTGV-ALEPSDHESA-N 6-aminopenicillanic acid Chemical compound [O-]C(=O)[C@H]1C(C)(C)S[C@@H]2[C@H]([NH3+])C(=O)N21 NGHVIOIJCVXTGV-ALEPSDHESA-N 0.000 description 10
- NGHVIOIJCVXTGV-UHFFFAOYSA-N 6beta-amino-penicillanic acid Natural products OC(=O)C1C(C)(C)SC2C(N)C(=O)N21 NGHVIOIJCVXTGV-UHFFFAOYSA-N 0.000 description 10
- LFQSCWFLJHTTHZ-UHFFFAOYSA-N Ethanol Chemical compound CCO LFQSCWFLJHTTHZ-UHFFFAOYSA-N 0.000 description 10
- 239000007810 chemical reaction solvent Substances 0.000 description 10
- -1 2-amino-4-thiazolyl Chemical group 0.000 description 9
- 239000007800 oxidant agent Substances 0.000 description 9
- 239000002245 particle Substances 0.000 description 9
- XUKUURHRXDUEBC-SXOMAYOGSA-N (3s,5r)-7-[2-(4-fluorophenyl)-3-phenyl-4-(phenylcarbamoyl)-5-propan-2-ylpyrrol-1-yl]-3,5-dihydroxyheptanoic acid Chemical compound C=1C=CC=CC=1C1=C(C=2C=CC(F)=CC=2)N(CC[C@@H](O)C[C@H](O)CC(O)=O)C(C(C)C)=C1C(=O)NC1=CC=CC=C1 XUKUURHRXDUEBC-SXOMAYOGSA-N 0.000 description 8
- MHAJPDPJQMAIIY-UHFFFAOYSA-N Hydrogen peroxide Chemical group OO MHAJPDPJQMAIIY-UHFFFAOYSA-N 0.000 description 8
- 230000001590 oxidative effect Effects 0.000 description 8
- OSORMYZMWHVFOZ-UHFFFAOYSA-N phenethyl benzoate Chemical compound C=1C=CC=CC=1C(=O)OCCC1=CC=CC=C1 OSORMYZMWHVFOZ-UHFFFAOYSA-N 0.000 description 8
- 159000000000 sodium salts Chemical class 0.000 description 8
- HMUNWXXNJPVALC-UHFFFAOYSA-N 1-[4-[2-(2,3-dihydro-1H-inden-2-ylamino)pyrimidin-5-yl]piperazin-1-yl]-2-(2,4,6,7-tetrahydrotriazolo[4,5-c]pyridin-5-yl)ethanone Chemical compound C1C(CC2=CC=CC=C12)NC1=NC=C(C=N1)N1CCN(CC1)C(CN1CC2=C(CC1)NN=N2)=O HMUNWXXNJPVALC-UHFFFAOYSA-N 0.000 description 7
- 108010024636 Glutathione Proteins 0.000 description 7
- CPELXLSAUQHCOX-UHFFFAOYSA-N Hydrogen bromide Chemical compound Br CPELXLSAUQHCOX-UHFFFAOYSA-N 0.000 description 7
- 206010061598 Immunodeficiency Diseases 0.000 description 7
- 239000002253 acid Substances 0.000 description 7
- 229960003180 glutathione Drugs 0.000 description 7
- 150000003457 sulfones Chemical class 0.000 description 7
- 238000012360 testing method Methods 0.000 description 7
- OEOIWYCWCDBOPA-UHFFFAOYSA-N 6-methyl-heptanoic acid Chemical compound CC(C)CCCCC(O)=O OEOIWYCWCDBOPA-UHFFFAOYSA-N 0.000 description 6
- ZMXDDKWLCZADIW-UHFFFAOYSA-N N,N-Dimethylformamide Chemical compound CN(C)C=O ZMXDDKWLCZADIW-UHFFFAOYSA-N 0.000 description 6
- NBIIXXVUZAFLBC-UHFFFAOYSA-N Phosphoric acid Chemical compound OP(O)(O)=O NBIIXXVUZAFLBC-UHFFFAOYSA-N 0.000 description 6
- 241000700159 Rattus Species 0.000 description 6
- DWAQJAXMDSEUJJ-UHFFFAOYSA-M Sodium bisulfite Chemical group [Na+].OS([O-])=O DWAQJAXMDSEUJJ-UHFFFAOYSA-M 0.000 description 6
- FAPWRFPIFSIZLT-UHFFFAOYSA-M Sodium chloride Chemical compound [Na+].[Cl-] FAPWRFPIFSIZLT-UHFFFAOYSA-M 0.000 description 6
- YXFVVABEGXRONW-UHFFFAOYSA-N Toluene Chemical compound CC1=CC=CC=C1 YXFVVABEGXRONW-UHFFFAOYSA-N 0.000 description 6
- 238000009472 formulation Methods 0.000 description 6
- 238000002156 mixing Methods 0.000 description 6
- 238000003860 storage Methods 0.000 description 6
- 239000008215 water for injection Substances 0.000 description 6
- 241000699660 Mus musculus Species 0.000 description 5
- 229910052736 halogen Inorganic materials 0.000 description 5
- 238000011580 nude mouse model Methods 0.000 description 5
- 235000010267 sodium hydrogen sulphite Nutrition 0.000 description 5
- HEMHJVSKTPXQMS-UHFFFAOYSA-M sodium hydroxide Inorganic materials [OH-].[Na+] HEMHJVSKTPXQMS-UHFFFAOYSA-M 0.000 description 5
- 238000000967 suction filtration Methods 0.000 description 5
- TWRXJAOTZQYOKJ-UHFFFAOYSA-L Magnesium chloride Chemical compound [Mg+2].[Cl-].[Cl-] TWRXJAOTZQYOKJ-UHFFFAOYSA-L 0.000 description 4
- CSNNHWWHGAXBCP-UHFFFAOYSA-L Magnesium sulfate Chemical compound [Mg+2].[O-][S+2]([O-])([O-])[O-] CSNNHWWHGAXBCP-UHFFFAOYSA-L 0.000 description 4
- 241000699670 Mus sp. Species 0.000 description 4
- CTQNGGLPUBDAKN-UHFFFAOYSA-N O-Xylene Chemical group CC1=CC=CC=C1C CTQNGGLPUBDAKN-UHFFFAOYSA-N 0.000 description 4
- URLKBWYHVLBVBO-UHFFFAOYSA-N Para-Xylene Chemical group CC1=CC=C(C)C=C1 URLKBWYHVLBVBO-UHFFFAOYSA-N 0.000 description 4
- 239000008280 blood Substances 0.000 description 4
- 210000004369 blood Anatomy 0.000 description 4
- 238000005893 bromination reaction Methods 0.000 description 4
- 238000001816 cooling Methods 0.000 description 4
- 239000012065 filter cake Substances 0.000 description 4
- 239000007788 liquid Substances 0.000 description 4
- 238000000746 purification Methods 0.000 description 4
- 238000011160 research Methods 0.000 description 4
- LPXPTNMVRIOKMN-UHFFFAOYSA-M sodium nitrite Chemical compound [Na+].[O-]N=O LPXPTNMVRIOKMN-UHFFFAOYSA-M 0.000 description 4
- 239000000126 substance Substances 0.000 description 4
- 229960005256 sulbactam Drugs 0.000 description 4
- 108010048233 Procalcitonin Proteins 0.000 description 3
- 230000002378 acidificating effect Effects 0.000 description 3
- 239000004480 active ingredient Substances 0.000 description 3
- 229910000147 aluminium phosphate Inorganic materials 0.000 description 3
- 239000002775 capsule Substances 0.000 description 3
- 238000006193 diazotization reaction Methods 0.000 description 3
- 230000000694 effects Effects 0.000 description 3
- 239000000706 filtrate Substances 0.000 description 3
- 229910000042 hydrogen bromide Inorganic materials 0.000 description 3
- 239000012982 microporous membrane Substances 0.000 description 3
- 239000012074 organic phase Substances 0.000 description 3
- 239000012286 potassium permanganate Substances 0.000 description 3
- CWCXERYKLSEGEZ-KDKHKZEGSA-N procalcitonin Chemical compound C([C@@H](C(=O)N1CCC[C@H]1C(=O)N[C@@H](CCC(N)=O)C(=O)N[C@H](C(=O)N[C@@H](C)C(=O)N[C@@H]([C@@H](C)CC)C(=O)NCC(=O)N[C@@H](C(C)C)C(=O)NCC(=O)N[C@@H](C)C(=O)N1[C@@H](CCC1)C(=O)NCC(O)=O)[C@@H](C)O)NC(=O)[C@@H](NC(=O)[C@H](CC=1NC=NC=1)NC(=O)[C@H](CC=1C=CC=CC=1)NC(=O)[C@H](CCCCN)NC(=O)[C@H](CC(N)=O)NC(=O)[C@H](CC=1C=CC=CC=1)NC(=O)[C@H](CC(O)=O)NC(=O)[C@H](CCC(N)=O)NC(=O)[C@@H](NC(=O)[C@H](CC=1C=CC(O)=CC=1)NC(=O)[C@@H](NC(=O)CNC(=O)[C@H](CC(C)C)NC(=O)[C@H](CCSC)NC(=O)[C@H]1NC(=O)[C@H]([C@@H](C)O)NC(=O)[C@H](CO)NC(=O)[C@H](CC(C)C)NC(=O)[C@H](CC(N)=O)NC(=O)CNC(=O)[C@@H](N)CSSC1)[C@@H](C)O)[C@@H](C)O)[C@@H](C)O)C1=CC=CC=C1 CWCXERYKLSEGEZ-KDKHKZEGSA-N 0.000 description 3
- 239000011780 sodium chloride Substances 0.000 description 3
- JVBXVOWTABLYPX-UHFFFAOYSA-L sodium dithionite Chemical compound [Na+].[Na+].[O-]S(=O)S([O-])=O JVBXVOWTABLYPX-UHFFFAOYSA-L 0.000 description 3
- 239000003826 tablet Substances 0.000 description 3
- 238000005303 weighing Methods 0.000 description 3
- BMYNFMYTOJXKLE-UHFFFAOYSA-N 3-azaniumyl-2-hydroxypropanoate Chemical compound NCC(O)C(O)=O BMYNFMYTOJXKLE-UHFFFAOYSA-N 0.000 description 2
- VHUUQVKOLVNVRT-UHFFFAOYSA-N Ammonium hydroxide Chemical compound [NH4+].[OH-] VHUUQVKOLVNVRT-UHFFFAOYSA-N 0.000 description 2
- 229930186147 Cephalosporin Natural products 0.000 description 2
- RTZKZFJDLAIYFH-UHFFFAOYSA-N Diethyl ether Chemical compound CCOCC RTZKZFJDLAIYFH-UHFFFAOYSA-N 0.000 description 2
- 208000030453 Drug-Related Side Effects and Adverse reaction Diseases 0.000 description 2
- QUSNBJAOOMFDIB-UHFFFAOYSA-N Ethylamine Chemical compound CCN QUSNBJAOOMFDIB-UHFFFAOYSA-N 0.000 description 2
- VEXZGXHMUGYJMC-UHFFFAOYSA-N Hydrochloric acid Chemical compound Cl VEXZGXHMUGYJMC-UHFFFAOYSA-N 0.000 description 2
- 241000191967 Staphylococcus aureus Species 0.000 description 2
- QAOWNCQODCNURD-UHFFFAOYSA-N Sulfuric acid Chemical compound OS(O)(=O)=O QAOWNCQODCNURD-UHFFFAOYSA-N 0.000 description 2
- HCHKCACWOHOZIP-UHFFFAOYSA-N Zinc Chemical compound [Zn] HCHKCACWOHOZIP-UHFFFAOYSA-N 0.000 description 2
- 239000006096 absorbing agent Substances 0.000 description 2
- 235000011114 ammonium hydroxide Nutrition 0.000 description 2
- NDCUAPJVLWFHHB-UHNVWZDZSA-N avibactam Chemical group C1N2[C@H](C(N)=O)CC[C@@]1([H])N(OS(O)(=O)=O)C2=O NDCUAPJVLWFHHB-UHNVWZDZSA-N 0.000 description 2
- 229960002379 avibactam Drugs 0.000 description 2
- 230000008901 benefit Effects 0.000 description 2
- 238000010504 bond cleavage reaction Methods 0.000 description 2
- 230000031709 bromination Effects 0.000 description 2
- 230000015556 catabolic process Effects 0.000 description 2
- 229940124587 cephalosporin Drugs 0.000 description 2
- 150000001780 cephalosporins Chemical class 0.000 description 2
- 239000007795 chemical reaction product Substances 0.000 description 2
- 238000009833 condensation Methods 0.000 description 2
- 238000004042 decolorization Methods 0.000 description 2
- 238000006731 degradation reaction Methods 0.000 description 2
- 238000004090 dissolution Methods 0.000 description 2
- 230000008030 elimination Effects 0.000 description 2
- 238000003379 elimination reaction Methods 0.000 description 2
- 238000004108 freeze drying Methods 0.000 description 2
- 239000008187 granular material Substances 0.000 description 2
- 150000002367 halogens Chemical class 0.000 description 2
- 230000006872 improvement Effects 0.000 description 2
- 238000001802 infusion Methods 0.000 description 2
- 238000001990 intravenous administration Methods 0.000 description 2
- 230000007774 longterm Effects 0.000 description 2
- GBMDVOWEEQVZKZ-UHFFFAOYSA-N methanol;hydrate Chemical compound O.OC GBMDVOWEEQVZKZ-UHFFFAOYSA-N 0.000 description 2
- 150000007522 mineralic acids Chemical class 0.000 description 2
- 238000010172 mouse model Methods 0.000 description 2
- 229940078552 o-xylene Drugs 0.000 description 2
- 230000003647 oxidation Effects 0.000 description 2
- 238000007254 oxidation reaction Methods 0.000 description 2
- 238000004806 packaging method and process Methods 0.000 description 2
- 239000012071 phase Substances 0.000 description 2
- 239000006187 pill Substances 0.000 description 2
- 229920000642 polymer Polymers 0.000 description 2
- 238000001556 precipitation Methods 0.000 description 2
- 125000002924 primary amino group Chemical group [H]N([H])* 0.000 description 2
- 239000008213 purified water Substances 0.000 description 2
- 230000009467 reduction Effects 0.000 description 2
- 239000012266 salt solution Substances 0.000 description 2
- 229920006395 saturated elastomer Polymers 0.000 description 2
- JHJLBTNAGRQEKS-UHFFFAOYSA-M sodium bromide Chemical compound [Na+].[Br-] JHJLBTNAGRQEKS-UHFFFAOYSA-M 0.000 description 2
- 235000011121 sodium hydroxide Nutrition 0.000 description 2
- 235000010288 sodium nitrite Nutrition 0.000 description 2
- GEHJYWRUCIMESM-UHFFFAOYSA-L sodium sulfite Chemical compound [Na+].[Na+].[O-]S([O-])=O GEHJYWRUCIMESM-UHFFFAOYSA-L 0.000 description 2
- 239000007787 solid Substances 0.000 description 2
- 229960003865 tazobactam Drugs 0.000 description 2
- LPQZKKCYTLCDGQ-WEDXCCLWSA-N tazobactam Chemical compound C([C@]1(C)S([C@H]2N(C(C2)=O)[C@H]1C(O)=O)(=O)=O)N1C=CN=N1 LPQZKKCYTLCDGQ-WEDXCCLWSA-N 0.000 description 2
- 239000002351 wastewater Substances 0.000 description 2
- NAWXUBYGYWOOIX-SFHVURJKSA-N (2s)-2-[[4-[2-(2,4-diaminoquinazolin-6-yl)ethyl]benzoyl]amino]-4-methylidenepentanedioic acid Chemical compound C1=CC2=NC(N)=NC(N)=C2C=C1CCC1=CC=C(C(=O)N[C@@H](CC(=C)C(O)=O)C(O)=O)C=C1 NAWXUBYGYWOOIX-SFHVURJKSA-N 0.000 description 1
- FFRBMBIXVSCUFS-UHFFFAOYSA-N 2,4-dinitro-1-naphthol Chemical compound C1=CC=C2C(O)=C([N+]([O-])=O)C=C([N+]([O-])=O)C2=C1 FFRBMBIXVSCUFS-UHFFFAOYSA-N 0.000 description 1
- NLARCUDOUOQRPB-UHFFFAOYSA-N 2-(2-amino-1,3-thiazol-4-yl)-2-methoxyiminoacetic acid Chemical compound CON=C(C(O)=O)C1=CSC(N)=N1 NLARCUDOUOQRPB-UHFFFAOYSA-N 0.000 description 1
- 206010056519 Abdominal infection Diseases 0.000 description 1
- 206010061695 Biliary tract infection Diseases 0.000 description 1
- 206010005940 Bone and joint infections Diseases 0.000 description 1
- OYPRJOBELJOOCE-UHFFFAOYSA-N Calcium Chemical compound [Ca] OYPRJOBELJOOCE-UHFFFAOYSA-N 0.000 description 1
- BHPQYMZQTOCNFJ-UHFFFAOYSA-N Calcium cation Chemical compound [Ca+2] BHPQYMZQTOCNFJ-UHFFFAOYSA-N 0.000 description 1
- 241000588724 Escherichia coli Species 0.000 description 1
- 241000588747 Klebsiella pneumoniae Species 0.000 description 1
- 206010024971 Lower respiratory tract infections Diseases 0.000 description 1
- 201000009906 Meningitis Diseases 0.000 description 1
- MKYBYDHXWVHEJW-UHFFFAOYSA-N N-[1-oxo-1-(2,4,6,7-tetrahydrotriazolo[4,5-c]pyridin-5-yl)propan-2-yl]-2-[[3-(trifluoromethoxy)phenyl]methylamino]pyrimidine-5-carboxamide Chemical compound O=C(C(C)NC(=O)C=1C=NC(=NC=1)NCC1=CC(=CC=C1)OC(F)(F)F)N1CC2=C(CC1)NN=N2 MKYBYDHXWVHEJW-UHFFFAOYSA-N 0.000 description 1
- NIPNSKYNPDTRPC-UHFFFAOYSA-N N-[2-oxo-2-(2,4,6,7-tetrahydrotriazolo[4,5-c]pyridin-5-yl)ethyl]-2-[[3-(trifluoromethoxy)phenyl]methylamino]pyrimidine-5-carboxamide Chemical compound O=C(CNC(=O)C=1C=NC(=NC=1)NCC1=CC(=CC=C1)OC(F)(F)F)N1CC2=C(CC1)NN=N2 NIPNSKYNPDTRPC-UHFFFAOYSA-N 0.000 description 1
- AFCARXCZXQIEQB-UHFFFAOYSA-N N-[3-oxo-3-(2,4,6,7-tetrahydrotriazolo[4,5-c]pyridin-5-yl)propyl]-2-[[3-(trifluoromethoxy)phenyl]methylamino]pyrimidine-5-carboxamide Chemical compound O=C(CCNC(=O)C=1C=NC(=NC=1)NCC1=CC(=CC=C1)OC(F)(F)F)N1CC2=C(CC1)NN=N2 AFCARXCZXQIEQB-UHFFFAOYSA-N 0.000 description 1
- 206010058674 Pelvic Infection Diseases 0.000 description 1
- 206010070834 Sensitisation Diseases 0.000 description 1
- 206010040047 Sepsis Diseases 0.000 description 1
- VMHLLURERBWHNL-UHFFFAOYSA-M Sodium acetate Chemical compound [Na+].CC([O-])=O VMHLLURERBWHNL-UHFFFAOYSA-M 0.000 description 1
- UIIMBOGNXHQVGW-DEQYMQKBSA-M Sodium bicarbonate-14C Chemical compound [Na+].O[14C]([O-])=O UIIMBOGNXHQVGW-DEQYMQKBSA-M 0.000 description 1
- 206010062255 Soft tissue infection Diseases 0.000 description 1
- 206010041925 Staphylococcal infections Diseases 0.000 description 1
- 241000191940 Staphylococcus Species 0.000 description 1
- 229920002472 Starch Polymers 0.000 description 1
- 241000194017 Streptococcus Species 0.000 description 1
- 125000000218 acetic acid group Chemical group C(C)(=O)* 0.000 description 1
- MEMUCXUKCBNISQ-UHFFFAOYSA-N acetonitrile;trifluoroborane Chemical compound CC#N.FB(F)F MEMUCXUKCBNISQ-UHFFFAOYSA-N 0.000 description 1
- 239000003377 acid catalyst Substances 0.000 description 1
- 230000004913 activation Effects 0.000 description 1
- 239000000654 additive Substances 0.000 description 1
- 238000005054 agglomeration Methods 0.000 description 1
- 230000002776 aggregation Effects 0.000 description 1
- 239000003513 alkali Substances 0.000 description 1
- 229940095564 anhydrous calcium sulfate Drugs 0.000 description 1
- 239000000729 antidote Substances 0.000 description 1
- 239000008346 aqueous phase Substances 0.000 description 1
- QVGXLLKOCUKJST-UHFFFAOYSA-N atomic oxygen Chemical compound [O] QVGXLLKOCUKJST-UHFFFAOYSA-N 0.000 description 1
- 244000052616 bacterial pathogen Species 0.000 description 1
- 230000003115 biocidal effect Effects 0.000 description 1
- 239000011575 calcium Substances 0.000 description 1
- 229910052791 calcium Inorganic materials 0.000 description 1
- 229910001424 calcium ion Inorganic materials 0.000 description 1
- 230000003197 catalytic effect Effects 0.000 description 1
- 230000008859 change Effects 0.000 description 1
- 239000012320 chlorinating reagent Substances 0.000 description 1
- 208000003167 cholangitis Diseases 0.000 description 1
- 238000004581 coalescence Methods 0.000 description 1
- 230000003247 decreasing effect Effects 0.000 description 1
- 230000018044 dehydration Effects 0.000 description 1
- 238000006297 dehydration reaction Methods 0.000 description 1
- 239000006196 drop Substances 0.000 description 1
- 238000009509 drug development Methods 0.000 description 1
- 239000002158 endotoxin Substances 0.000 description 1
- 238000005516 engineering process Methods 0.000 description 1
- 230000007613 environmental effect Effects 0.000 description 1
- 238000003912 environmental pollution Methods 0.000 description 1
- 125000004185 ester group Chemical group 0.000 description 1
- 238000011156 evaluation Methods 0.000 description 1
- 230000002349 favourable effect Effects 0.000 description 1
- 238000011049 filling Methods 0.000 description 1
- 229910001385 heavy metal Inorganic materials 0.000 description 1
- 230000002949 hemolytic effect Effects 0.000 description 1
- 229910000039 hydrogen halide Inorganic materials 0.000 description 1
- 239000012433 hydrogen halide Substances 0.000 description 1
- 229910001629 magnesium chloride Inorganic materials 0.000 description 1
- 239000011259 mixed solution Substances 0.000 description 1
- 239000012046 mixed solvent Substances 0.000 description 1
- 230000004048 modification Effects 0.000 description 1
- 238000012986 modification Methods 0.000 description 1
- 229910052760 oxygen Inorganic materials 0.000 description 1
- 239000001301 oxygen Substances 0.000 description 1
- 230000000144 pharmacologic effect Effects 0.000 description 1
- 239000002244 precipitate Substances 0.000 description 1
- 238000011084 recovery Methods 0.000 description 1
- 238000007789 sealing Methods 0.000 description 1
- 230000008313 sensitization Effects 0.000 description 1
- 206010040872 skin infection Diseases 0.000 description 1
- 235000015424 sodium Nutrition 0.000 description 1
- 239000001632 sodium acetate Substances 0.000 description 1
- 235000017281 sodium acetate Nutrition 0.000 description 1
- HRZFUMHJMZEROT-UHFFFAOYSA-L sodium disulfite Chemical compound [Na+].[Na+].[O-]S(=O)S([O-])(=O)=O HRZFUMHJMZEROT-UHFFFAOYSA-L 0.000 description 1
- 229940001584 sodium metabisulfite Drugs 0.000 description 1
- 235000010262 sodium metabisulphite Nutrition 0.000 description 1
- 235000010265 sodium sulphite Nutrition 0.000 description 1
- 208000015339 staphylococcus aureus infection Diseases 0.000 description 1
- 239000008107 starch Substances 0.000 description 1
- 238000011146 sterile filtration Methods 0.000 description 1
- 125000000446 sulfanediyl group Chemical group *S* 0.000 description 1
- 239000000725 suspension Substances 0.000 description 1
- 230000002195 synergetic effect Effects 0.000 description 1
- 238000010189 synthetic method Methods 0.000 description 1
- 230000001225 therapeutic effect Effects 0.000 description 1
- 231100000331 toxic Toxicity 0.000 description 1
- 230000002588 toxic effect Effects 0.000 description 1
- 238000012546 transfer Methods 0.000 description 1
- UCPYLLCMEDAXFR-UHFFFAOYSA-N triphosgene Chemical compound ClC(Cl)(Cl)OC(=O)OC(Cl)(Cl)Cl UCPYLLCMEDAXFR-UHFFFAOYSA-N 0.000 description 1
- 210000001635 urinary tract Anatomy 0.000 description 1
- 210000003462 vein Anatomy 0.000 description 1
- 238000005406 washing Methods 0.000 description 1
Images
Classifications
-
- A—HUMAN NECESSITIES
- A61—MEDICAL OR VETERINARY SCIENCE; HYGIENE
- A61K—PREPARATIONS FOR MEDICAL, DENTAL OR TOILETRY PURPOSES
- A61K31/00—Medicinal preparations containing organic active ingredients
- A61K31/33—Heterocyclic compounds
- A61K31/395—Heterocyclic compounds having nitrogen as a ring hetero atom, e.g. guanethidine or rifamycins
- A61K31/54—Heterocyclic compounds having nitrogen as a ring hetero atom, e.g. guanethidine or rifamycins having six-membered rings with at least one nitrogen and one sulfur as the ring hetero atoms, e.g. sulthiame
- A61K31/542—Heterocyclic compounds having nitrogen as a ring hetero atom, e.g. guanethidine or rifamycins having six-membered rings with at least one nitrogen and one sulfur as the ring hetero atoms, e.g. sulthiame ortho- or peri-condensed with heterocyclic ring systems
- A61K31/545—Compounds containing 5-thia-1-azabicyclo [4.2.0] octane ring systems, i.e. compounds containing a ring system of the formula:, e.g. cephalosporins, cefaclor, or cephalexine
- A61K31/546—Compounds containing 5-thia-1-azabicyclo [4.2.0] octane ring systems, i.e. compounds containing a ring system of the formula:, e.g. cephalosporins, cefaclor, or cephalexine containing further heterocyclic rings, e.g. cephalothin
-
- A—HUMAN NECESSITIES
- A61—MEDICAL OR VETERINARY SCIENCE; HYGIENE
- A61P—SPECIFIC THERAPEUTIC ACTIVITY OF CHEMICAL COMPOUNDS OR MEDICINAL PREPARATIONS
- A61P31/00—Antiinfectives, i.e. antibiotics, antiseptics, chemotherapeutics
- A61P31/04—Antibacterial agents
-
- C—CHEMISTRY; METALLURGY
- C07—ORGANIC CHEMISTRY
- C07D—HETEROCYCLIC COMPOUNDS
- C07D501/00—Heterocyclic compounds containing 5-thia-1-azabicyclo [4.2.0] octane ring systems, i.e. compounds containing a ring system of the formula:, e.g. cephalosporins; Such ring systems being further condensed, e.g. 2,3-condensed with an oxygen-, nitrogen- or sulfur-containing hetero ring
- C07D501/02—Preparation
- C07D501/04—Preparation from compounds already containing the ring or condensed ring systems, e.g. by dehydrogenation of the ring, by introduction, elimination or modification of substituents
- C07D501/06—Acylation of 7-aminocephalosporanic acid
-
- C—CHEMISTRY; METALLURGY
- C07—ORGANIC CHEMISTRY
- C07D—HETEROCYCLIC COMPOUNDS
- C07D501/00—Heterocyclic compounds containing 5-thia-1-azabicyclo [4.2.0] octane ring systems, i.e. compounds containing a ring system of the formula:, e.g. cephalosporins; Such ring systems being further condensed, e.g. 2,3-condensed with an oxygen-, nitrogen- or sulfur-containing hetero ring
- C07D501/02—Preparation
- C07D501/12—Separation; Purification
-
- C—CHEMISTRY; METALLURGY
- C07—ORGANIC CHEMISTRY
- C07D—HETEROCYCLIC COMPOUNDS
- C07D501/00—Heterocyclic compounds containing 5-thia-1-azabicyclo [4.2.0] octane ring systems, i.e. compounds containing a ring system of the formula:, e.g. cephalosporins; Such ring systems being further condensed, e.g. 2,3-condensed with an oxygen-, nitrogen- or sulfur-containing hetero ring
- C07D501/14—Compounds having a nitrogen atom directly attached in position 7
- C07D501/16—Compounds having a nitrogen atom directly attached in position 7 with a double bond between positions 2 and 3
- C07D501/20—7-Acylaminocephalosporanic or substituted 7-acylaminocephalosporanic acids in which the acyl radicals are derived from carboxylic acids
- C07D501/24—7-Acylaminocephalosporanic or substituted 7-acylaminocephalosporanic acids in which the acyl radicals are derived from carboxylic acids with hydrocarbon radicals, substituted by hetero atoms or hetero rings, attached in position 3
- C07D501/36—Methylene radicals, substituted by sulfur atoms
Landscapes
- Chemical & Material Sciences (AREA)
- Organic Chemistry (AREA)
- Health & Medical Sciences (AREA)
- General Health & Medical Sciences (AREA)
- Veterinary Medicine (AREA)
- Pharmacology & Pharmacy (AREA)
- Life Sciences & Earth Sciences (AREA)
- Animal Behavior & Ethology (AREA)
- Medicinal Chemistry (AREA)
- Public Health (AREA)
- Epidemiology (AREA)
- Communicable Diseases (AREA)
- Oncology (AREA)
- Chemical Kinetics & Catalysis (AREA)
- General Chemical & Material Sciences (AREA)
- Nuclear Medicine, Radiotherapy & Molecular Imaging (AREA)
- Pharmaceuticals Containing Other Organic And Inorganic Compounds (AREA)
Abstract
Description
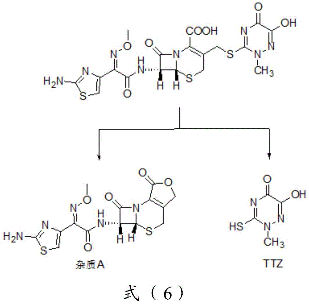
| 组别 | 显效 | 有效 | 无效 |
| 试验组 | 30 | 16 | 4 |
| 对照组 | 0 | 5 | 45 |
Claims (1)
Priority Applications (1)
| Application Number | Priority Date | Filing Date | Title |
|---|---|---|---|
| CN201811005549.4A CN110393720B9 (zh) | 2018-08-30 | 2018-08-30 | 曲索芬头孢曲松钠化合物药物制剂及治疗免疫机能低下患者感染的新适应症 |
Applications Claiming Priority (1)
| Application Number | Priority Date | Filing Date | Title |
|---|---|---|---|
| CN201811005549.4A CN110393720B9 (zh) | 2018-08-30 | 2018-08-30 | 曲索芬头孢曲松钠化合物药物制剂及治疗免疫机能低下患者感染的新适应症 |
Publications (3)
| Publication Number | Publication Date |
|---|---|
| CN110393720A CN110393720A (zh) | 2019-11-01 |
| CN110393720B true CN110393720B (zh) | 2020-09-25 |
| CN110393720B9 CN110393720B9 (zh) | 2020-12-29 |
Family
ID=68322150
Family Applications (1)
| Application Number | Title | Priority Date | Filing Date |
|---|---|---|---|
| CN201811005549.4A Active CN110393720B9 (zh) | 2018-08-30 | 2018-08-30 | 曲索芬头孢曲松钠化合物药物制剂及治疗免疫机能低下患者感染的新适应症 |
Country Status (1)
| Country | Link |
|---|---|
| CN (1) | CN110393720B9 (zh) |
Families Citing this family (2)
| Publication number | Priority date | Publication date | Assignee | Title |
|---|---|---|---|---|
| WO2021234094A1 (en) * | 2020-05-20 | 2021-11-25 | Xellia Pharmaceuticals Aps | Ceftriaxone compositions with magnesium component |
| CN112442048B (zh) * | 2020-11-10 | 2022-04-08 | 华北制药河北华民药业有限责任公司 | 一种头孢匹胺钠的制备方法 |
Family Cites Families (4)
| Publication number | Priority date | Publication date | Assignee | Title |
|---|---|---|---|---|
| CN102048740B (zh) * | 2010-12-02 | 2012-06-13 | 郝志艳 | 头孢曲松钠他唑巴坦钠药物组合物脂质体注射剂 |
| CN104130273B (zh) * | 2014-08-18 | 2016-10-26 | 哈药集团制药总厂 | 一种头孢曲松钠的合成方法 |
| CN105585581B (zh) * | 2016-03-09 | 2018-10-09 | 上海宁瑞生化技术有限公司 | 一种合成头孢曲松钠的方法 |
| CN107982244A (zh) * | 2017-12-27 | 2018-05-04 | 石药集团中诺药业(石家庄)有限公司 | 一种新的注射用头孢曲松钠 |
-
2018
- 2018-08-30 CN CN201811005549.4A patent/CN110393720B9/zh active Active
Also Published As
| Publication number | Publication date |
|---|---|
| CN110393720A (zh) | 2019-11-01 |
| CN110393720B9 (zh) | 2020-12-29 |
Similar Documents
| Publication | Publication Date | Title |
|---|---|---|
| CN102180890B (zh) | 头孢硫脒结晶物及其用途 | |
| CN110393720B (zh) | 曲索芬头孢曲松钠药物制剂治疗免疫机能低下患者感染的新适应症 | |
| CN110393721B (zh) | 一种头孢噻肟钠的制备方法 | |
| JP5771152B2 (ja) | セフジニル酸式複塩化合物を含む経口投与製剤およびその調製方法 | |
| AU2002253642B2 (en) | Amorphous cefditoren pivoxil composition and process for producing the same | |
| CN104844625A (zh) | 头孢孟多酯钠的一种新晶型及其结晶制备方法 | |
| CN110393719B (zh) | 头孢哌酮钠舒巴坦钠组合物药物制剂及治疗感染性心内膜炎的新适应症 | |
| JPS6119605B2 (zh) | ||
| CN111499658B (zh) | 头孢哌酮化合物药物制剂及治疗子宫内膜炎及其他妇科生殖道感染的新适应症 | |
| CN108440569B (zh) | 头孢曲松钠球形晶体的制备方法 | |
| CN102746324B (zh) | 一种盐酸头孢替安的纯化方法及盐酸头孢替安无菌粉针剂 | |
| CN101418015B (zh) | 头孢曲松磷酰化衍生物 | |
| CN110396101B (zh) | 曲索芬头孢曲松钠药物制剂治疗细菌性内膜炎的新适应症 | |
| CN103497204B (zh) | 一种头孢地尼化合物,其分散片及制备方法 | |
| CN110396104B (zh) | 泰司汀头孢他啶药物制剂治疗妇科感染的新适应症 | |
| CN111560028A (zh) | 盐酸头孢吡肟药物制剂治疗中耳炎的新适应症 | |
| CN110684038B (zh) | 曲索芬头孢曲松钠化合物药物制剂及治疗盆腔炎的新适应症 | |
| US20110118462A1 (en) | N-heterocyclic substituent-containing antibiotic, preparation and use thereof | |
| CN101143871B (zh) | 头孢菌素衍生物 | |
| US20140128359A1 (en) | N-Heterocyclic Substituent-Containing Antibiotic, Preparation and Use Thereof | |
| CN101143872B (zh) | 3-卤素取代头孢菌素衍生物 | |
| CN101418016B (zh) | 膦酰化头孢衍生物 | |
| CN111053755B (zh) | 一种高渗透性的头孢克肟胶囊制剂制备方法 | |
| CN101362757A (zh) | 磺酰基取代的碳青霉烯类化合物 | |
| CN101214244B (zh) | 一种含有阿莫西林纳米粒和克拉维酸钾的抗生素药物 |
Legal Events
| Date | Code | Title | Description |
|---|---|---|---|
| PB01 | Publication | ||
| PB01 | Publication | ||
| SE01 | Entry into force of request for substantive examination | ||
| SE01 | Entry into force of request for substantive examination | ||
| GR01 | Patent grant | ||
| GR01 | Patent grant | ||
| CI03 | Correction of invention patent |
Correction item: Denomination of Invention|Description Correct: New indications of trazofene and ceftriaxone sodium in the treatment of infections in immunocompromised patients|Correct False: New indications of trazofene ceftriaxone sodium in the treatment of infections in patients with immunocompromised function|error Number: 39-02 Page: full text Volume: 36 Correction item: Denomination of Invention Correct: New indications of trazofene and ceftriaxone sodium in the treatment of infections in immunocompromised patients False: New indications of trazofene ceftriaxone sodium in the treatment of infections in patients with immunocompromised function Number: 39-02 Volume: 36 |
|
| CI03 | Correction of invention patent |
























