CN109818127B - A Phase Continuously Adjustable Transverse Directional Coupler - Google Patents

A Phase Continuously Adjustable Transverse Directional Coupler Download PDF

Info

Publication number
CN109818127B
CN109818127B CN201910233888.6A CN201910233888A CN109818127B CN 109818127 B CN109818127 B CN 109818127B CN 201910233888 A CN201910233888 A CN 201910233888A CN 109818127 B CN109818127 B CN 109818127B
Authority
CN
China
Prior art keywords
line
parallel
varactor
section
diode
Prior art date
Legal status (The legal status is an assumption and is not a legal conclusion. Google has not performed a legal analysis and makes no representation as to the accuracy of the status listed.)
Expired - Fee Related
Application number
CN201910233888.6A
Other languages
Chinese (zh)
Other versions
CN109818127A (en
Inventor
刘宏梅
张妍
贾潇
房少军
王钟葆
Current Assignee (The listed assignees may be inaccurate. Google has not performed a legal analysis and makes no representation or warranty as to the accuracy of the list.)
Dalian Maritime University
Original Assignee
Dalian Maritime University
Priority date (The priority date is an assumption and is not a legal conclusion. Google has not performed a legal analysis and makes no representation as to the accuracy of the date listed.)
Filing date
Publication date
Application filed by Dalian Maritime University filed Critical Dalian Maritime University
Priority to CN201910233888.6A priority Critical patent/CN109818127B/en
Publication of CN109818127A publication Critical patent/CN109818127A/en
Application granted granted Critical
Publication of CN109818127B publication Critical patent/CN109818127B/en
Expired - Fee Related legal-status Critical Current
Anticipated expiration legal-status Critical

Links

Images

Landscapes

  • Waveguide Connection Structure (AREA)
  • Waveguide Switches, Polarizers, And Phase Shifters (AREA)

Abstract

一种相位连续可调横跨定向耦合器,包括变容二极管加载平行耦合线、电长度可调并联短路线、端部跨接变容二极管和四个50欧姆输入/输出端口;所述变容二极管加载平行耦合线包括第一段变容二极管加载平行耦合线、第二段变容二极管加载平行耦合线和第三段变容二极管加载平行耦合线;所述电长度可调并联短路线包括第一段电长度可调并联短路线、第二段电长度可调并联短路线和第三段电长度可调并联短路线。本发明提供的相位连续可调型横跨定向耦合器,具有易加工、体积小和低成本的特点,适于广泛推广。

Figure 201910233888

A phase continuously adjustable spanning directional coupler, comprising a varactor diode loaded parallel coupled line, an electrical length adjustable parallel short-circuit line, a varactor diode across the end and four 50 ohm input/output ports; the varactor The diode-loaded parallel coupling line includes a first section of the varactor diode-loaded parallel coupling line, a second section of the varactor diode-loaded parallel coupled line, and a third section of the varactor diode-loaded parallel coupled line; the electrical length adjustable parallel short-circuit line includes a A section of electrical length adjustable parallel short-circuit line, a second section of electrical length adjustable parallel short-circuit line and a third section of electrical length adjustable parallel short-circuit line. The continuously adjustable phase spanning directional coupler provided by the invention has the characteristics of easy processing, small size and low cost, and is suitable for wide popularization.

Figure 201910233888

Description

Phase continuously adjustable crossing directional coupler
Technical Field
The invention belongs to the technical field of electronics, relates to a microwave device, and particularly relates to a crossing directional coupler with continuously adjustable phase.
Background
The directional coupler is a microwave/millimeter wave device which is used for distributing or synthesizing microwave signal power and has directional coupling characteristics, and is applied to signal extraction, power monitoring, source output power amplitude stabilization, transmission and reflection frequency sweep test and the like. The microstrip directional coupler is a planar directional coupler, can be realized by printed circuit board technology, and has the characteristics of small volume, easy integration and the like. According to the position of the isolation port relative to the input port, the microstrip directional coupler can be divided into three directional couplers, namely a same-direction directional coupler, a reverse directional coupler and a cross directional coupler, and specifically, the three directional couplers are as follows: if the input end and the straight-through end are on the same transmission line, the coupling end and the isolation end are on the other transmission line, and the input end and the isolation end are on the same side, a homodromous coupler is formed; if the input end and the straight-through end are on the same transmission line, the coupling end and the isolation end are on the other transmission line, and the input end and the coupling end are on the same side, a reverse coupler is formed; if the input end and the isolation end are on the same transmission line, the coupling end and the through end are on the other transmission line, and the input end and the isolation end are on the same side, a cross directional coupler is formed.
The microstrip transverse directional coupler has the characteristics of low cost, easy processing and small volume, and meanwhile, as the coupling end and the straight-through end of the microstrip transverse directional coupler are arranged on one transmission line, circuit crossing can be avoided and the circuit layout is simplified when the microstrip transverse directional coupler is applied to a microwave circuit, so that the research of the microstrip transverse directional coupler is concerned with the extensive research and application of a Butler matrix and a power amplifier. However, the reported microstrip has fixed phase across the output ports of the directional coupler, such as 90 ° or 60 °, and the like, which limits its application in tunable beam feeding networks and power amplifiers. If the continuous adjustable phase crossing the directional coupler is realized, the beam direction of the antenna array can be flexibly adjusted, and the efficiency of the power amplifier can be obviously improved. At present, no cross directional coupler with continuously adjustable phase has been found.
Disclosure of Invention
Aiming at the problems, the invention develops a phase continuous adjustable crossing directional coupler which comprises a variable capacitance diode loading parallel coupling line, an electric length adjustable parallel short circuit line, an end part cross-connected variable capacitance diode and four 50 ohm input/output ports;
the variable capacitance diode loading parallel coupling lines comprise a first section of variable capacitance diode loading parallel coupling line, a second section of variable capacitance diode loading parallel coupling line and a third section of variable capacitance diode loading parallel coupling line; the electric length adjustable parallel short circuit line comprises a first section of electric length adjustable parallel short circuit line, a second section of electric length adjustable parallel short circuit line and a third section of electric length adjustable parallel short circuit line;
the first section of varactor diode loading parallel coupling lines comprise a first coupling line, a second coupling line and a first varactor diode; the second section of varactor diode loading parallel coupling lines comprise a third coupling line, a fourth coupling line and a second varactor diode; the third-section varactor diode loading parallel coupling lines comprise a fifth coupling line, a sixth coupling line and a third varactor diode; the first length of the parallel short-circuit line with the adjustable electrical length comprises a first fixed-length parallel short-circuit line and a fourth variable capacitance diode; the second section of the parallel short-circuit line with the adjustable electrical length comprises a second fixed-length parallel short-circuit line and a fifth variable capacitance diode; the third-section parallel short-circuit line with the adjustable electrical length comprises a third fixed-length parallel short-circuit line and a sixth variable capacitance diode; the cross-terminal varactor comprises a seventh varactor and an eighth varactor;
the first section of electric length adjustable parallel short-circuit line is connected with the left end of a first variable capacitance diode loading parallel coupling line, the second section of electric length adjustable parallel short-circuit line is connected with the middle of a second variable capacitance diode loading parallel coupling line, the third section of electric length adjustable parallel short-circuit line is connected with the right end of a third variable capacitance diode loading parallel coupling line, the first variable capacitance diode is positioned between the first coupling line and the second coupling line, the second variable capacitance diode is positioned between the third coupling line and a fourth coupling line, the third variable capacitance diode is positioned between a fifth coupling line and a sixth coupling line, the seventh variable capacitance diode is bridged at the left end of the first section of variable capacitance diode loading parallel coupling line, and the eighth variable capacitance diode is bridged at the right end of the third section of variable capacitance diode loading parallel coupling line;
the first section of the varactor diode loading parallel coupling line, the first section of the varactor diode loading parallel coupling line and the third section of the varactor diode loading parallel coupling line have the same electrical length, and the characteristic impedances of the first fixed length parallel short circuit line, the second fixed length parallel short circuit line and the third fixed length parallel short circuit line are the same as the even mode characteristic impedances of the first section of the varactor diode loading parallel coupling line, the second section of the varactor diode loading parallel coupling line and the third section of the varactor diode loading parallel coupling line
Further, the method comprises the following steps of; the phase between the output ports of the cross directional coupler can be continuously adjusted.
Further, the method comprises the following steps of; and the phase continuous adjustment of 45 degrees to 135 degrees is realized by adjusting the capacitance values of the first variable capacitance diode, the second variable capacitance diode, the third variable capacitance diode, the fourth variable capacitance diode, the fifth variable capacitance diode, the sixth variable capacitance diode, the seventh variable capacitance diode and the eighth variable capacitance diode.
The formula deduced according to the invention can realize continuous adjustment of phase among output ports and can realize any power division ratio. Due to the adoption of the technical scheme, the crossing directional coupler with the continuously adjustable phase has the characteristics of easiness in processing, small volume and low cost, and is suitable for wide popularization.
Drawings
Fig. 1 is a schematic structural diagram of a phase continuously adjustable transverse directional coupler according to the present invention;
FIG. 2 is an equivalent circuit diagram of the even mode of the phase continuously adjustable cross directional coupler according to the present invention;
FIG. 3 is an odd-mode equivalent circuit diagram of a phase continuously adjustable cross directional coupler according to the present invention;
FIG. 4 is a graph of S11 and S31 for a phase continuously adjustable cross directional coupler according to the present invention;
FIG. 5 is a graph of S21 and S41 for a phase continuously adjustable cross directional coupler according to the present invention;
fig. 6 is a phase curve between output ports of the cross directional coupler of the phase continuously adjustable type according to the present invention.
In the figure: 11. a first varactor diode loading parallel coupling line, 12, a second varactor diode loading parallel coupling line, 13, a third varactor diode loading parallel coupling line, 21, a first variable length parallel short-circuit line, 22, a second variable length parallel short-circuit line, 23, a third variable length parallel short-circuit line, 111, a first coupling line, 112, a second coupling line, 121, a third coupling line, 122, a fourth coupling line, 131, a fifth coupling line, 132, a sixth coupling line, 211, a first fixed length parallel short-circuit line, 221, a second fixed length parallel short-circuit line, 231, a third fixed length parallel short-circuit line, 113, a first varactor diode, 123, a second varactor diode, 133, a third varactor diode, 212, a fourth varactor diode, 222, a fifth varactor diode, 232, a sixth varactor diode, 31, a seventh varactor diode, 32. an eighth varactor.
Detailed Description
In order to make the objects, technical solutions and advantages of the present invention more apparent, the present invention will be described in further detail with reference to the accompanying drawings in conjunction with the following detailed description. It should be understood that the description is intended to be exemplary only, and is not intended to limit the scope of the present invention. Moreover, in the following description, descriptions of well-known structures and techniques are omitted so as to not unnecessarily obscure the concepts of the present invention.
FIG. 1 is a schematic diagram of a termination equal complex impedance cross directional coupler of the present invention, which may include the cross directional coupler of the present example;
the variable capacitance diode load parallel coupling line, the electric length adjustable parallel short circuit line, the end part cross-over variable capacitance diode and four 50 ohm input/output ports. The varactor diode loading parallel coupling lines comprise a first section of varactor diode loading parallel coupling line 11, a second section of varactor diode loading parallel coupling line 12 and a third section of varactor diode loading parallel coupling line 13; the electric length adjustable parallel short-circuit line comprises a first section of electric length adjustable parallel short-circuit line 21, a second section of electric length adjustable parallel short-circuit line 22 and a third section of electric length adjustable parallel short-circuit line 23;
further, the first segment of the varactor loading parallel coupled line 11 includes a first coupled line 111, a second coupled line 112, and a first varactor 113; the second varactor loading parallel coupled line 12 comprises a third coupled line 121, a fourth coupled line 122 and a second varactor 123; the third segment of varactor-loaded parallel coupled lines 13 include a fifth coupled line 131, a sixth coupled line 132, and a third varactor 133; the first-stage electrically-length-adjustable parallel short-circuit line 21 includes a first fixed-length parallel short-circuit line 211 and a fourth varactor 212; the second length of electrically adjustable parallel short 22 comprises a second fixed length parallel short 221 and a fifth varactor 222; the third-stage parallel short-circuit line 23 with an adjustable electrical length comprises a third fixed-length parallel short-circuit line 231 and a sixth varactor 232; the cross-terminal varactors include a seventh varactor 31 and an eighth varactor 32.
Further, the first section of the electrical length adjustable parallel short-circuit line 21 is connected to the left end of the first varactor loading parallel coupling line 11, the second section of the electrical length adjustable parallel short-circuit line 22 is connected to the middle of the second varactor loading parallel coupling line 12, the third section of the electrical length adjustable parallel short-circuit line 23 is connected to the right end of the third varactor loading parallel coupling line 13, the first varactor 113 is located between the first coupling line 111 and the second coupling line 112, the second varactor 123 is located between the third coupling line 121 and the fourth coupling line 122, the third varactor 133 is located between the fifth coupling line 131 and the sixth coupling line 132, the seventh varactor 31 is bridged to the left end of the first section of the varactor loading parallel coupling line 11, and the eighth varactor 32 is bridged to the right end of the third section of the varactor loading parallel coupling line 13.
The electrical lengths of the first varactor diode loading parallel coupling line 11, the first varactor diode loading parallel coupling line 11 and the third varactor diode loading parallel coupling line 13 are the same, and the characteristic impedances of the first fixed-length parallel short-circuit line 211, the second fixed-length parallel short-circuit line 221 and the third fixed-length parallel short-circuit line 231 are the same as the even mode characteristic impedances of the first varactor diode loading parallel coupling line 11, the second varactor diode loading parallel coupling line 12 and the third varactor diode loading parallel coupling line 13
Further, the phase continuous adjustment of 45 to 135 ° is realized by adjusting the capacitance values of the first varactor diode 113, the second varactor diode 123, the third varactor diode 133, the fourth varactor diode 212, the fifth varactor diode 222, the sixth varactor diode 232, the seventh varactor diode 31, and the eighth varactor diode 32.
Specifically, the phase between the input and output ports in this embodiment is
Figure GDA0003161990200000041
The power ratio is
Figure GDA0003161990200000042
Different power division ratios between the two output ports can be realized. And converting the four-port network of the coupler into two-port networks for analysis by using an odd-even mode analysis method, and calculating circuit parameters.
Under the excitation of the even mode, the current crossing the symmetrical plane of the directional coupler is zero, and the circuit is equivalently an open circuit. Fig. 2 shows an even-mode equivalent circuit of the present invention across a directional coupler. Z1eLoading the varactor with the characteristic impedance of the even mode of the parallel coupled lines, Z1For characteristic impedance, theta, of electrically-length-adjustable parallel-short-circuited lines1eLoading the varactor with the even mode electrical length of the parallel coupled lines, θ4The equivalent electrical length of the parallel short circuit line 21 is adjustable for the first electrical length. Theta4Electrical length theta of the parallel short circuit line 211 with the first fixed length4_fixAnd the capacitance value C of the fourth varactor 2126The following relationship is satisfied:
θ4=arccot(Z1ωC6+cotθ4_fix)
θ2for the equivalent electrical length, theta, of the second electrically length-adjustable parallel short-circuit line 222Electrical length theta of parallel short circuit line 221 with second fixed length2_fixAnd the capacitance C of the fourth varactor 2227The following relationship is satisfied:
Figure GDA0003161990200000051
θ3for the third section of the electrical length-adjustable parallel short-circuit line 23 the equivalent electrical length, theta3Electrical length θ of parallel short-circuit line 221 to third fixed length3_fixAnd the capacitance value C of the fourth varactor 2328The following relationship is satisfied:
θ3=arccot(Z1ωC8+cotθ3_fix)
under the excitation of an odd mode, the voltage across the symmetrical plane of the directional coupler is zero, and the effect is equivalent to short circuit. Figure 3 shows the odd-mode equivalent circuit of the present invention across a directional coupler. Z1oLoading the varactor with the odd-mode characteristic impedance, Z, of the parallel coupled lines1For characteristic impedance, theta, of electrically-length-adjustable parallel-short-circuited lines1oLoading the varactor with the odd mode electrical length of the parallel coupled lines, θ4For the equivalent electrical length, theta, of the first electrically length-adjustable parallel short-circuit line 212For the equivalent electrical length, theta, of the second electrically length-adjustable parallel short-circuit line 223The equivalent electrical length of the parallel short-circuit line 23 is adjustable for the third segment electrical length. C1Is the capacitance value, C, of the first varactor diode 1132Is the capacitance value, C, of the second varactor 1233Is the capacitance value, C, of the third varactor 1334Is the capacitance value, C, of the seventh varactor diode 315The capacitance value of the eighth varactor 32.
Two transmission matrices can be obtained from the two-port network of fig. 2 and 3, and the two transmission matrices are solved according to the characteristics of the cross directional coupler, so as to obtain the design formula of the cross directional coupler of the present invention, wherein the solving steps are as follows:
step 1: the transmission matrix under even mode excitation is substituted into the following expression,
Figure GDA0003161990200000052
Figure GDA0003161990200000053
the equivalent electrical length theta of the parallel short-circuit line 23 is adjustable by the third segment electrical length3And the even mode characteristic impedance Z of the loaded parallel coupling line of the variable capacitance diode1eAs a free variable, the equivalent electrical lengths theta of the first and second-stage electrically length-adjustable parallel short-circuit lines 22 of the parallel coupling line 1 corresponding to the phase difference between the different output ports are obtained2And theta4The expression of (a) is:
Figure GDA0003161990200000061
Figure GDA0003161990200000062
Figure GDA0003161990200000063
Figure GDA0003161990200000064
Figure GDA0003161990200000065
Figure GDA0003161990200000066
drawing out theta3Not at the same time, theta2And theta4With Z1eThe optimal even-mode characteristic impedance Z of the varactor loaded parallel coupling line can be selected1e
Step 2: the transmission matrix under odd mode excitation is substituted into the following expression,
Ae=-Do
Be/Z0=-Co·Z0
Ce·Z0=-Bo/Z0
De=-Ao
wherein
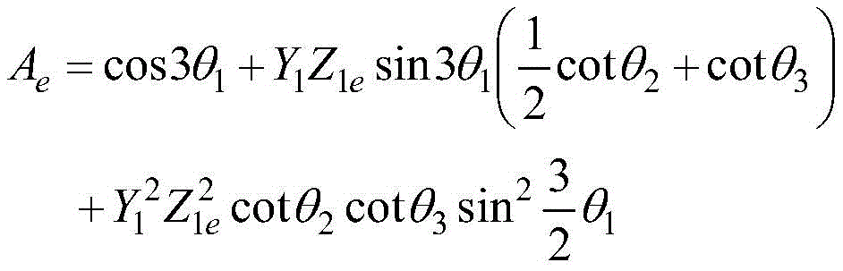
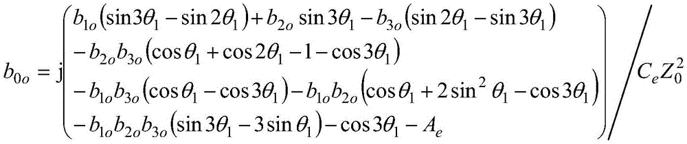
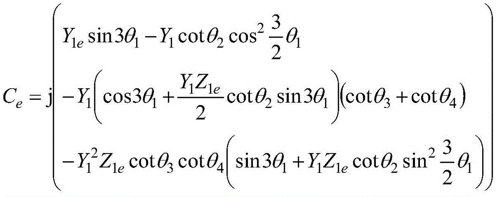
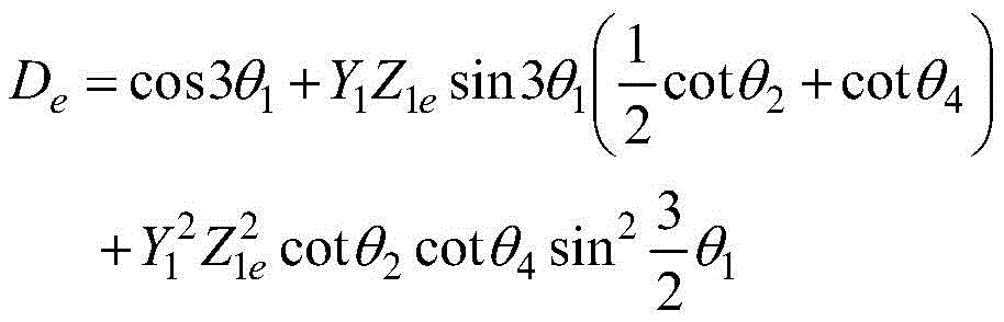
Figure GDA0003161990200000067
Figure GDA0003161990200000071
Figure GDA0003161990200000072
Figure GDA0003161990200000073
With the capacitance values, C, of the first varactor diode 113, the second varactor diode 123 and the third varactor diode 1331,C2,C3The odd-mode characteristic impedance Z of the loaded parallel coupling line of the variable capacitance diode can be obtained as a free variable1oCapacitance value C of the seventh varactor 314And an eighth varactor diode 32 with a capacitance value C5Expression (c):
Figure GDA0003161990200000074
Figure GDA0003161990200000075
Figure GDA0003161990200000076
wherein
b0o=2ωC5-Y1 cotθ4
b4o=2ωC4-Y1 cotθ3
And step 3: the capacitance value C of the first varactor 113, the second varactor 123 and the third varactor 133 is selected as appropriate1,C2,C3Loading the varactor diode with the odd-mode characteristic impedance Z of the parallel coupling line1oThe characteristic impedance Z of the even mode is less than that of the loaded parallel coupling line of the variable capacitance diode1eFurther obtain the capacitance value C of the seventh variable capacitance diode 314And an eighth varactor diode 32 with a capacitance value C5
In the specific embodiment of the present invention, the center frequency of the cross directional coupler is 1.6GHz, the coupling degree is 3dB (power division ratio k is 1), and circuit parameter values corresponding to phase differences between different output ports are obtained according to the above formula and the solving step, as shown in table 1.
TABLE 1 values of circuit parameters corresponding to phase differences between different output ports
Figure GDA0003161990200000081
The phase continuously adjustable type transverse directional coupler is designed according to the obtained characteristic impedance, the electrical length and the capacitance value of the variable capacitance diode. As shown in fig. 4-6, the phase-continuously adjustable cross directional coupler of this embodiment has a phase adjustable range of 45 ° to 135 °. And during phase adjustment, the return loss and the isolation at the central frequency point are both more than 20dB, and the coupling degree is 3.5 +/-0.5 dB.
The above description is only for the preferred embodiment of the present invention, but the scope of the present invention is not limited thereto, and any person skilled in the art should be considered to be within the technical scope of the present invention, and the technical solutions and the inventive concepts thereof according to the present invention should be equivalent or changed within the scope of the present invention.

Claims (1)

1. A phase continuous adjustable crossing directional coupler is characterized by comprising a variable capacitance diode loading parallel coupling line, an electric length adjustable parallel short circuit line, a variable capacitance diode with the end part connected in a bridging manner and four 50 ohm input and output ports;
the variable capacitance diode loading parallel coupling lines comprise a first variable capacitance diode loading parallel coupling line (11), a second variable capacitance diode loading parallel coupling line (12) and a third variable capacitance diode loading parallel coupling line (13) which are sequentially arranged from left to right; the electric length adjustable parallel short circuit line comprises a first section of electric length adjustable parallel short circuit line (21), a second section of electric length adjustable parallel short circuit line (22) and a third section of electric length adjustable parallel short circuit line (23);
the first segment of varactor loaded parallel coupled lines (11) comprise a first coupled line (111), a second coupled line (112) and a first varactor (113); the first varactor (113) is connected between a first coupled line (111) and a second coupled line (112); the second-section varactor loading parallel coupled line (12) comprises a third coupled line (121), a fourth coupled line (122) and a second varactor (123), and the second varactor (123) is connected between the third coupled line (121) and the fourth coupled line (122); the third-stage varactor loading parallel coupled line (13) comprises a fifth coupled line (131), a sixth coupled line (132) and a third varactor (133), and the third varactor (133) is connected between the fifth coupled line (131) and the sixth coupled line (132); the first length of electrically adjustable parallel short line (21) comprises a first fixed length parallel short line (211) and a fourth varactor (212), the first fixed length parallel short line (211) and the fourth varactor (212) being connected in parallel; the second length of electrically adjustable parallel short line (22) comprises a second fixed length parallel short line (221) and a fifth varactor (222), the second fixed length parallel short line (221) and the fifth varactor (222) being connected in series; the third section of the electric-length-adjustable parallel short-circuit line (23) comprises a third fixed-length parallel short-circuit line (231) and a sixth varactor (232), the third fixed-length parallel short-circuit line (231) and the sixth varactor (232) are connected in parallel, and the third fixed-length parallel short-circuit line (231) and the sixth varactor (232) are connected in parallel; the cross-over terminal variable capacitance diode comprises a seventh variable capacitance diode (31) and an eighth variable capacitance diode (32), the seventh variable capacitance diode (31) is connected in parallel to the right ends of the fifth coupling line (131) and the sixth coupling line (132), and the eighth variable capacitance diode (32) is connected in parallel to the left ends of the first coupling line (111) and the second coupling line (112);
the first section of electric length adjustable parallel short-circuit line (21) is connected with the left end of the first variable capacitance diode loading parallel coupling line (11), the second section of electric length adjustable parallel short-circuit line (22) is connected with the middle of the second variable capacitance diode loading parallel coupling line (12), the third section of electric length adjustable parallel short-circuit line (23) is connected with the right end of the third variable capacitance diode loading parallel coupling line (13), the eighth variable capacitance diode (32) is bridged at the left end of the first section of variable capacitance diode loading parallel coupling line (11), and the seventh variable capacitance diode (31) is bridged at the right end of the third section of variable capacitance diode loading parallel coupling line (13);
the electric lengths of the first-section varactor diode loading parallel coupling line (11), the second-section varactor diode loading parallel coupling line (12) and the third-section varactor diode loading parallel coupling line (13) are the same, and the characteristic impedances of the first-section varactor diode loading parallel coupling line (211), the second-section varactor diode loading parallel coupling line (221) and the third-section varactor diode loading parallel coupling line (231) are respectively the same as the even mode characteristic impedances of the first-section varactor diode loading parallel coupling line (11), the second-section varactor diode loading parallel coupling line (12) and the third-section varactor diode loading parallel coupling line (13);
the phase continuous adjustment of 45-135 degrees is realized by adjusting the capacitance values of a first variable capacitance diode (113), a second variable capacitance diode (123), a third variable capacitance diode (133), a fourth variable capacitance diode (212), a fifth variable capacitance diode (222), a sixth variable capacitance diode (232), a seventh variable capacitance diode (31) and an eighth variable capacitance diode (32);
the four 50-ohm input/output ports comprise an input port, a coupling end, an isolation end and a through port, and the phase difference between the coupling port and the through port is
Figure FDA0003196188500000021
The power division ratio between the coupled port and the through port is
Figure FDA0003196188500000022
Realizing different power division ratios between two ports, converting the four-port network of the coupler into two-port networks by using an odd-even mode analysis method for analysis, calculating circuit parameters,
under the excitation of even mode, the current across the symmetrical plane of the directional coupler is zero, which is equivalent to open circuit, Z1eThe characteristic impedance of the even mode, Z, of the first-section varactor diode loaded parallel coupling line (11), the second-section varactor diode loaded parallel coupling line (12) or the third-section varactor diode loaded parallel coupling line (13)1The characteristic impedance theta of a first section of the parallel short-circuit line (21) with the adjustable electric length, a second section of the parallel short-circuit line (22) with the adjustable electric length or a third section of the parallel short-circuit line (23) with the adjustable electric length1eA parallel coupling line (11) is loaded on the first stage of the variable capacitance diode, a parallel coupling line (12) is loaded on the second stage of the variable capacitance diode or a third stage of the variable capacitance diode is addedThe even-mode electrical length, theta, of the parallel-coupled line (13)4For the equivalent electrical length, theta, of the first electrically length-adjustable parallel short-circuit line (21)4An electrical length theta of the short-circuit line (211) in parallel with the first fixed length4_fixAnd the capacitance C of the fourth varactor diode (212)6The following relationship is satisfied:
θ4=arccot(Z1ωC6+cotθ4_fix)
θ2is the equivalent electrical length, theta, of the second segment electrical length adjustable parallel short circuit line (22)2An electrical length theta of the short-circuit line (221) in parallel with the second fixed length2_fixAnd the capacitance C of the fifth varactor diode (222)7The following relationship is satisfied:
Figure FDA0003196188500000031
θ3is the equivalent electrical length theta of the third section of the electrical length adjustable parallel short-circuit line (23)3An electrical length theta of the short-circuit line (221) in parallel with the third fixed length3_fixAnd the capacitance C of the sixth varactor (232)8The following relationship is satisfied:
θ3=arccot(Z1ωC8+cotθ3_fix)
under the excitation of an odd mode, the voltage across the symmetrical plane of the directional coupler is zero and is equivalent to a short circuit, Z1oThe odd-mode characteristic impedance, Z, of the first-stage varactor diode loaded parallel coupling line (11), the second-stage varactor diode loaded parallel coupling line (12) or the third-stage varactor diode loaded parallel coupling line (13)1The characteristic impedance theta of a first section of the parallel short-circuit line (21) with the adjustable electric length, a second section of the parallel short-circuit line (22) with the adjustable electric length or a third section of the parallel short-circuit line (23) with the adjustable electric length1oThe odd-mode electrical length theta of the first-stage varactor loaded parallel coupling line (11), the second-stage varactor loaded parallel coupling line (12) or the third-stage varactor loaded parallel coupling line (13)4For the equivalent electrical length, theta, of the first electrically length-adjustable parallel short-circuit line (21)2For the second section to be electrically length-adjustableEquivalent electrical length, theta, of the parallel short-circuit line (22)3The equivalent electrical length of the third section of the electrical length-adjustable parallel short-circuit line (23), C1Is the capacitance value, C, of the first varactor diode (113)2Is the capacitance value, C, of the second varactor (123)3Is the capacitance value, C, of the third varactor diode (133)4Is the capacitance value, C, of the seventh varactor diode (31)5Is the capacitance value of the eighth varactor (32);
solving the transmission matrix under the excitation of the even mode and the odd mode respectively according to the characteristics of the crossing directional coupler to obtain a design formula of the crossing directional coupler, wherein the solving steps are as follows:
step 1: the transmission matrix under even mode excitation is substituted into the following expression,
Figure FDA0003196188500000032
Figure FDA0003196188500000033
wherein
Figure FDA0003196188500000034
Figure FDA0003196188500000041
Figure FDA0003196188500000042
Figure FDA0003196188500000043
At theta3And Z1eAs freeVariable, get θ2And theta4The expression of (a) is:
Figure FDA0003196188500000044
Figure FDA0003196188500000045
Figure FDA0003196188500000046
Figure FDA0003196188500000047
Figure FDA0003196188500000048
drawing out theta3Not at the same time, theta2And theta4With Z1eThe optimal even-mode characteristic impedance Z of the varactor loaded parallel coupling line can be selected1e
Step 2: solving the circuit parameters under the excitation of the odd mode to obtain the following expression:
Figure FDA0003196188500000051
Figure FDA0003196188500000052
Figure FDA0003196188500000053
wherein
b0o=2ωC5-Y1cotθ4
b4o=2ωC4-Y1cotθ3
And step 3: selecting proper capacitance values C of the first variable capacitance diode (113), the second variable capacitance diode (123) and the third variable capacitance diode (133)1,C2,C3Let Z be1oLess than Z1eFurther obtain the capacitance value C of the seventh variable capacitance diode (31)4And an eighth varactor (32) capacitance value C5
CN201910233888.6A 2019-03-26 2019-03-26 A Phase Continuously Adjustable Transverse Directional Coupler Expired - Fee Related CN109818127B (en)

Priority Applications (1)

Application Number Priority Date Filing Date Title
CN201910233888.6A CN109818127B (en) 2019-03-26 2019-03-26 A Phase Continuously Adjustable Transverse Directional Coupler

Applications Claiming Priority (1)

Application Number Priority Date Filing Date Title
CN201910233888.6A CN109818127B (en) 2019-03-26 2019-03-26 A Phase Continuously Adjustable Transverse Directional Coupler

Publications (2)

Publication Number Publication Date
CN109818127A CN109818127A (en) 2019-05-28
CN109818127B true CN109818127B (en) 2021-10-01

Family

ID=66610372

Family Applications (1)

Application Number Title Priority Date Filing Date
CN201910233888.6A Expired - Fee Related CN109818127B (en) 2019-03-26 2019-03-26 A Phase Continuously Adjustable Transverse Directional Coupler

Country Status (1)

Country Link
CN (1) CN109818127B (en)

Families Citing this family (7)

* Cited by examiner, † Cited by third party
Publication number Priority date Publication date Assignee Title
CN113036384B (en) * 2019-12-24 2025-04-25 大富科技(安徽)股份有限公司 Coupler, coupling circuit and communication device thereof
CN111710950B (en) 2020-06-15 2021-04-23 北京邮电大学 Coupled line hybrid ring Rat-Race with smooth in-phase and anti-phase characteristics
CN111600109B (en) * 2020-07-03 2024-12-17 深圳市前海派速科技有限公司 Broadband quadrature coupler
CN111786068B (en) * 2020-08-05 2021-06-29 大连海事大学 A Broadband Directional Coupler with Harmonic Suppression
CN112366436B (en) * 2020-10-30 2021-12-03 大连海事大学 Filtering type crossing directional coupler with broadband pass response and design method
CN112563712B (en) * 2020-11-30 2021-12-03 大连海事大学 Terminating complex impedance directional coupler with harmonic suppression function and design method
CN113140882B (en) * 2021-03-09 2022-05-10 大连海事大学 Miniaturized filtering crossing directional coupler

Citations (2)

* Cited by examiner, † Cited by third party
Publication number Priority date Publication date Assignee Title
CN103972632A (en) * 2014-05-23 2014-08-06 大连海事大学 A frequency tunable microstrip spanning directional coupler
CN108470968A (en) * 2018-04-11 2018-08-31 大连海事大学 A Terminated Equivalent Complex Impedance Transverse Directional Coupler

Family Cites Families (3)

* Cited by examiner, † Cited by third party
Publication number Priority date Publication date Assignee Title
CN104852112B (en) * 2015-03-26 2018-08-03 广东顺德中山大学卡内基梅隆大学国际联合研究院 A kind of frequency and the restructural hybrid coupler and its design method of phase
US10187029B1 (en) * 2016-03-09 2019-01-22 Google Llc Phase shifter
CN109216848B (en) * 2018-08-09 2021-04-06 佛山市顺德区中山大学研究院 Hybrid branch line coupler capable of simultaneously realizing frequency and power division specific structure

Patent Citations (2)

* Cited by examiner, † Cited by third party
Publication number Priority date Publication date Assignee Title
CN103972632A (en) * 2014-05-23 2014-08-06 大连海事大学 A frequency tunable microstrip spanning directional coupler
CN108470968A (en) * 2018-04-11 2018-08-31 大连海事大学 A Terminated Equivalent Complex Impedance Transverse Directional Coupler

Also Published As

Publication number Publication date
CN109818127A (en) 2019-05-28

Similar Documents

Publication Publication Date Title
CN109818127B (en) A Phase Continuously Adjustable Transverse Directional Coupler
Jensen et al. Coupled transmission lines as impedance transformer
CN106129571B (en) Double-frequency branch line coupler
CN108470968B (en) A Terminated Equal Complex Impedance Across Directional Coupler
CN108172958B (en) Periodic slow wave transmission line unit based on coplanar waveguide
CN113972457B (en) Frequency-independent broadband phase-inverting phase shifter and filtering full-passband isolation balun
CN110474142B (en) Dual-frequency Wilkinson power divider terminating frequency-conversion complex impedance
CN104810576A (en) Millimeter wave broadband 0-pi phase shifter
CN105720345B (en) Highly selective broadband coupler in crossing shape
CN105870566A (en) Terminating complex impedance branch line directional coupler
Fan et al. Half-height pins-a new pin form in gap waveguide for easy manufacturing
CN110085959A (en) Based on H-type defect the miniaturization harmonics restraint etc. of artificial transmission line divides power splitter
CN112563712B (en) Terminating complex impedance directional coupler with harmonic suppression function and design method
CN111786068B (en) A Broadband Directional Coupler with Harmonic Suppression
KR101002624B1 (en) High frequency power divider
WO2015042974A1 (en) Broadband phase shifter and broadband beam-forming network
WO2001056108A9 (en) Balun formed from symmetrical couplers and method for making same
CN114335952B (en) Filtering power divider with reconfigurable phase difference and distribution ratio and antenna system
CN114464973B (en) Reconfigurable filter attenuator based on continuously adjustable center frequency
CN116404386B (en) A filter-type broadband unequal power divider with no reflection at the input port
CN201518346U (en) Micro-strip band pass filter having sector shaped open circuit structure
CN116722337A (en) A broadband four-way filter power divider with no reflection at the input port
CN104201441A (en) Coupling line broadband phase shifter for LTE system
CN211063582U (en) Power divider circuit and power divider
Mandal et al. Low insertion loss, wideband bandpass filters with sharp rejection characteristics

Legal Events

Date Code Title Description
PB01 Publication
PB01 Publication
SE01 Entry into force of request for substantive examination
SE01 Entry into force of request for substantive examination
GR01 Patent grant
GR01 Patent grant
CF01 Termination of patent right due to non-payment of annual fee
CF01 Termination of patent right due to non-payment of annual fee

Granted publication date: 20211001