CN109220773B - 一种耐抽薹甘蓝品种的培育方法 - Google Patents
一种耐抽薹甘蓝品种的培育方法 Download PDFInfo
- Publication number
- CN109220773B CN109220773B CN201811039069.XA CN201811039069A CN109220773B CN 109220773 B CN109220773 B CN 109220773B CN 201811039069 A CN201811039069 A CN 201811039069A CN 109220773 B CN109220773 B CN 109220773B
- Authority
- CN
- China
- Prior art keywords
- bolting
- cultivation
- cabbage
- days
- parents
- Prior art date
- Legal status (The legal status is an assumption and is not a legal conclusion. Google has not performed a legal analysis and makes no representation as to the accuracy of the status listed.)
- Active
Links
- 240000007124 Brassica oleracea Species 0.000 title claims abstract description 38
- 235000003899 Brassica oleracea var acephala Nutrition 0.000 title claims abstract description 38
- 235000011301 Brassica oleracea var capitata Nutrition 0.000 title claims abstract description 38
- 235000001169 Brassica oleracea var oleracea Nutrition 0.000 title claims abstract description 38
- 238000012364 cultivation method Methods 0.000 title description 7
- 238000000034 method Methods 0.000 claims abstract description 20
- 238000011156 evaluation Methods 0.000 claims abstract description 8
- 238000012216 screening Methods 0.000 claims abstract description 7
- 241000196324 Embryophyta Species 0.000 claims description 25
- 238000009395 breeding Methods 0.000 claims description 20
- 230000001488 breeding effect Effects 0.000 claims description 17
- 238000009331 sowing Methods 0.000 claims description 15
- 238000003306 harvesting Methods 0.000 claims description 11
- 241000607479 Yersinia pestis Species 0.000 claims description 10
- XLYOFNOQVPJJNP-UHFFFAOYSA-N water Substances O XLYOFNOQVPJJNP-UHFFFAOYSA-N 0.000 claims description 10
- 201000010099 disease Diseases 0.000 claims description 9
- 208000037265 diseases, disorders, signs and symptoms Diseases 0.000 claims description 9
- 238000009423 ventilation Methods 0.000 claims description 8
- 241000238631 Hexapoda Species 0.000 claims description 6
- 238000000746 purification Methods 0.000 claims description 6
- 238000000926 separation method Methods 0.000 claims description 6
- 241001124076 Aphididae Species 0.000 claims description 3
- 238000007710 freezing Methods 0.000 claims description 3
- 239000002728 pyrethroid Substances 0.000 claims description 3
- 239000002689 soil Substances 0.000 claims description 3
- 230000008014 freezing Effects 0.000 claims description 2
- 239000002917 insecticide Substances 0.000 claims 3
- 230000002528 anti-freeze Effects 0.000 claims 1
- 238000002360 preparation method Methods 0.000 claims 1
- 230000002068 genetic effect Effects 0.000 abstract description 5
- 239000000463 material Substances 0.000 description 18
- 238000009396 hybridization Methods 0.000 description 9
- 235000013311 vegetables Nutrition 0.000 description 6
- 238000004519 manufacturing process Methods 0.000 description 5
- 238000012360 testing method Methods 0.000 description 5
- 230000017260 vegetative to reproductive phase transition of meristem Effects 0.000 description 5
- 230000006872 improvement Effects 0.000 description 4
- 230000008569 process Effects 0.000 description 4
- 238000011161 development Methods 0.000 description 3
- 230000018109 developmental process Effects 0.000 description 3
- 230000000694 effects Effects 0.000 description 3
- 238000012986 modification Methods 0.000 description 3
- 230000004048 modification Effects 0.000 description 3
- 230000024121 nodulation Effects 0.000 description 3
- 241000255777 Lepidoptera Species 0.000 description 2
- 241000592344 Spermatophyta Species 0.000 description 2
- VXSIXFKKSNGRRO-MXOVTSAMSA-N [(1s)-2-methyl-4-oxo-3-[(2z)-penta-2,4-dienyl]cyclopent-2-en-1-yl] (1r,3r)-2,2-dimethyl-3-(2-methylprop-1-enyl)cyclopropane-1-carboxylate;[(1s)-2-methyl-4-oxo-3-[(2z)-penta-2,4-dienyl]cyclopent-2-en-1-yl] (1r,3r)-3-[(e)-3-methoxy-2-methyl-3-oxoprop-1-enyl Chemical class CC1(C)[C@H](C=C(C)C)[C@H]1C(=O)O[C@@H]1C(C)=C(C\C=C/C=C)C(=O)C1.CC1(C)[C@H](/C=C(\C)C(=O)OC)[C@H]1C(=O)O[C@@H]1C(C)=C(C\C=C/C=C)C(=O)C1 VXSIXFKKSNGRRO-MXOVTSAMSA-N 0.000 description 2
- 230000003111 delayed effect Effects 0.000 description 2
- 229940079593 drug Drugs 0.000 description 2
- 239000003814 drug Substances 0.000 description 2
- 238000005516 engineering process Methods 0.000 description 2
- 238000003898 horticulture Methods 0.000 description 2
- 230000001939 inductive effect Effects 0.000 description 2
- 239000000575 pesticide Substances 0.000 description 2
- HYJYGLGUBUDSLJ-UHFFFAOYSA-N pyrethrin Natural products CCC(=O)OC1CC(=C)C2CC3OC3(C)C2C2OC(=O)C(=C)C12 HYJYGLGUBUDSLJ-UHFFFAOYSA-N 0.000 description 2
- 229940070846 pyrethrins Drugs 0.000 description 2
- 238000011160 research Methods 0.000 description 2
- 238000012549 training Methods 0.000 description 2
- 244000304217 Brassica oleracea var. gongylodes Species 0.000 description 1
- 241000723838 Turnip mosaic virus Species 0.000 description 1
- 241000700605 Viruses Species 0.000 description 1
- 230000006978 adaptation Effects 0.000 description 1
- 230000009286 beneficial effect Effects 0.000 description 1
- 230000015572 biosynthetic process Effects 0.000 description 1
- 239000008280 blood Substances 0.000 description 1
- 210000004369 blood Anatomy 0.000 description 1
- 210000004027 cell Anatomy 0.000 description 1
- 238000006243 chemical reaction Methods 0.000 description 1
- 238000001816 cooling Methods 0.000 description 1
- 238000009402 cross-breeding Methods 0.000 description 1
- 210000000805 cytoplasm Anatomy 0.000 description 1
- 208000022602 disease susceptibility Diseases 0.000 description 1
- 230000007613 environmental effect Effects 0.000 description 1
- 239000003337 fertilizer Substances 0.000 description 1
- 238000011835 investigation Methods 0.000 description 1
- 230000035800 maturation Effects 0.000 description 1
- 230000010152 pollination Effects 0.000 description 1
- 230000002265 prevention Effects 0.000 description 1
- 230000005849 recognition of pollen Effects 0.000 description 1
- 238000011084 recovery Methods 0.000 description 1
- 238000005057 refrigeration Methods 0.000 description 1
- 238000012827 research and development Methods 0.000 description 1
- 239000007787 solid Substances 0.000 description 1
- 241000894007 species Species 0.000 description 1
- 230000007480 spreading Effects 0.000 description 1
- 230000009897 systematic effect Effects 0.000 description 1
Classifications
-
- A—HUMAN NECESSITIES
- A01—AGRICULTURE; FORESTRY; ANIMAL HUSBANDRY; HUNTING; TRAPPING; FISHING
- A01H—NEW PLANTS OR NON-TRANSGENIC PROCESSES FOR OBTAINING THEM; PLANT REPRODUCTION BY TISSUE CULTURE TECHNIQUES
- A01H1/00—Processes for modifying genotypes ; Plants characterised by associated natural traits
- A01H1/02—Methods or apparatus for hybridisation; Artificial pollination ; Fertility
-
- A—HUMAN NECESSITIES
- A01—AGRICULTURE; FORESTRY; ANIMAL HUSBANDRY; HUNTING; TRAPPING; FISHING
- A01G—HORTICULTURE; CULTIVATION OF VEGETABLES, FLOWERS, RICE, FRUIT, VINES, HOPS OR SEAWEED; FORESTRY; WATERING
- A01G22/00—Cultivation of specific crops or plants not otherwise provided for
- A01G22/15—Leaf crops, e.g. lettuce or spinach
Landscapes
- Life Sciences & Earth Sciences (AREA)
- Botany (AREA)
- Environmental Sciences (AREA)
- Health & Medical Sciences (AREA)
- General Health & Medical Sciences (AREA)
- Genetics & Genomics (AREA)
- Developmental Biology & Embryology (AREA)
- Breeding Of Plants And Reproduction By Means Of Culturing (AREA)
Abstract
本发明涉及一种耐抽薹甘蓝品种的培育方法,其为在北方寒地的生态条件下结合适于抽薹环境为自交系选育条件,分别以日本品种和欧洲品种为亲本来源,筛选得到早熟、抗寒、耐先期抽薹的两组自交系作为亲本;鉴定上述两组亲本的园艺学性状,将两组亲本配置组合,所有组合设置正反交,以灰色系统理论进行灰色关联度评估,得出灰色关联度最高的组合作为当选组合,培育当选组合所涉父母本相应的自交不亲和系,配置当选组合并检验其性状表现,得到耐抽薹甘蓝品种。本发明的优点在于以遗传距离较远的两种亲本作为亲本来源,在北方寒地生态条件下高压筛选,利用灰色评估更客观、有效地选育得到耐抽薹甘蓝品种。
Description
技术领域
本发明涉及育种技术,具体是一种耐抽薹甘蓝品种的培育方法。
背景技术
甘蓝是一种世界性蔬菜,在我国南北各地均有大面积栽培。这种蔬菜作物的生长发育特性决定其在蔬菜周年生产和均衡供应上有特殊作用。广大的三北地区为我国最适合栽培甘蓝的地区之一,加之农业种植结构调整,要优先发展甘蓝这类特色的经济作物,“北菜南运”,“对俄罗斯出口”等诸多因素都决定在我国北方发展这种蔬菜作物的前景非常广阔。
现今生产上推广的一批甘蓝品种虽然在丰产、多抗、熟性等方面显示出了一定的优势,但是,在品质、商品性等方面还不能与国外品种抗衡,特别是目前缺乏我们自己的拳头产品,国际市场竞争力差,究其真正的原因就是甘蓝优异育种材料少,亲本遗传改良方法落后,育种方法仍沿用自交分离、提纯、杂交配组等老技术,使得二年生的甘蓝作物品种更替效率低。
随着人们生活水平的提高,对甘蓝这类作物新品种的特性要求也日益提高,对其研制和开发就要有较大力度的投入,从品种培育、种子生产和推广等几方面加强工作,加快科研成果转化生产力的速度。亟需从育种的基础工作抓起,引进、培育大批优质、特色的品种资源、拓宽甘蓝种质;加强育种方法的研究和加快亲本种质资源在育种中的应用速度。
发明内容
本发明提供一种耐抽薹甘蓝品种的培育方法,包括如下步骤:
以日本品种为亲本来源,在北方寒地的生态条件下结合人工创造适于抽薹的环境诱导抽薹,以早熟、抗寒、耐先期抽薹为标准,自交分离提纯,筛选得到的自交系A1、A2、……An为一组亲本;
以欧洲品种为亲本来源,在北方寒地的生态条件下结合人工创造适于抽薹的环境诱导抽薹,以早熟、抗寒、耐先期抽薹为标准,自交分离提纯,筛选得到的自交系B1、B2、……Bm为另一组亲本;
鉴定上述两组亲本的园艺学性状,将两组亲本以母本选择结实率高的自交系,父本选择花期长的自交系的标准配置组合,所有组合设置正反交,以灰色系统理论进行灰色关联度评估,得出灰色关联度最高的组合作为当选组合,培育当选组合所涉父母本相应的自交不亲和系,配置当选组合,以早熟、抗寒、耐先期抽薹,适合北方寒地栽培为选育标准检验其性状表现,得到耐抽薹甘蓝品种;
n、m为自然数。
其中,日本品种优选“夏皇”。
其中,欧洲品种优选“绿盛”。
本发明还提供所述耐抽薹甘蓝品种的栽培方法,包括如下步骤:
播种:在黑龙江省当地春天比其他甘蓝提早5-7天,于2月下旬(2月25日前后)温室播种;秋季栽培时播种期选在6月中下旬;
苗期管理:1)温度:播种后至出苗前温度保持在28~30℃,出苗60%~70%时降温防徒长,白天25℃左右,夜间18℃左右,后期,白天20~25℃,夜间不低于10℃;2)水分:播种时和移苗后浇透底水,其他时间根据天气、地温及土壤水份状况酌情浇水,不旱不浇水;在定植前5~7天进行低温干旱锻炼;
定植:春季栽培定植的苗龄不能超过7片真叶,定植密度3000~3500株/667m2;露地采用垄作栽培,保护地采用畦作栽培,行距60cm,株距50cm;
定植后管理:保护地栽培时,前期白天不高于30℃不通风,但注意防止短期高温烤苗,缓苗后及时浇缓苗水,后期高于25℃就通风;露地春天提早栽培时防冻、防干春风;露地秋天栽培时苗期防热、后期防冻;
病虫害防治:春季栽培病虫害发生较轻,保护地内栽培结合通风口的防虫网,可不用药;秋季可用一些生物制剂的杀虫剂(如Bt、菊酯类等防治鳞翅目的害虫和蚜虫);
适时采收:完全成熟后,还可以延迟3-5天收获,收获标准:保护地内,一般定植后55-60天能收获80%叶球;露地春季栽培定植后55~60天能收获70%叶球;露地秋季栽培定植后55~60天能收获75%叶球。
本发明的有益效果是:
本发明是高效、高质和多用途甘蓝新品种的培育方法:在育种的选材上,考虑到该作物为原产地中海的域外作物,本土育种必须把引进材料进行北方寒地栽培训化适应,选择遗传距离较远的日本品种和具有欧洲血统的品种作为杂交亲本,这就为杂种一代产生强大优势和育成品种的出口适应性奠定基础。其次是在育种材料的纯化鉴定方法上加以改进,优化了亲本材料的系统选择、园艺学性状的鉴定;杂交组合的配合力测定、杂种一代园艺学性状的灰色综合评估鉴定等过程,提高了育种效率和育出品种的质量。以优质、多抗、适于出口、有国际竞争力的新甘蓝品种为最终结果问世。
本发明从引进,鉴定和筛选大量甘蓝种质资源入手,培育出核心甘蓝育种材料为父、母本,试配杂交组合,通过灰色综合评估测定,筛选出优异杂交组合,进行品种比较试验和区域试验,最后培育出早熟,抗寒,耐先期抽薹,适合北方寒地栽培的出口型甘蓝品种。方法的独到之处是①亲本材料的分离、鉴定的地点和方法上:遗传距离较远的日本品种“夏皇”和荷兰品种“绿盛”在北方寒地的生态条件下分离和提纯,较其他地方选择压大,一些不抗寒、感病,结球疏松的个体在分离自交的过程中就被淘汰掉了。对亲本材料的抽薹特性进行人工诱导,创造出一个最适于抽薹的环境,筛选掉95%先期抽薹植株个体,留选5%迟抽薹植株个体。10年左右的训化过程中,分别在不同血缘的种质资源中选出了适合北方寒地生长的个体,这是培育出优良甘蓝品种的基本保障(遗传保障)。②在于配置杂交组合时,正反交对照鉴定和园艺学(商品性状)灰色评估使之更客观更有效,能有效的排除细胞质效应和环境饰变。③在品种比较鉴定过程中;本发明中首次采用在北方寒地的春秋两个生长季进行,使育成品种更好适应当地的温度,日照和空气湿度。④根据育种目标,本发明中选择了哈尔滨,东宁,绥化,佳木斯,阿城等5个甘蓝栽培生长的不同生态区进行鉴定,保证了品种能有广泛的时空推广区域。⑤在品种培育过程中同时进行该品种最佳栽培方法的摸索,做到育种育法同时进行,品种的培育成功,同时也诞生其独特的栽培方法。新品种平均产量达到72000kg/hm2,保护地产值6~7.5万元/hm2,整体外观优于目前在北方寒地推广的其他品种,符合国内北方寒地栽培和出口俄罗斯远东市场要求。
具体实施方式
以下实施例用于说明本发明,但不用来限制本发明的范围。所涉日本品种“夏皇”和荷兰品种“绿盛”均为公知公用品种,可市购获得。
实施例1
亲本材料从国外引进品种中训化、留种:2月初播种,3月初移植,4月中上旬定植于塑料大棚中,40×50cm的密度,肥水管理正常,及时中耕,前期管理注意提高地温,后期管理注意降低气温,地温度不低于8℃,棚温不超过28℃。定植后50-55天开始进行园艺学性状的调查,调查后按标准陆续收获采种母株。种株晾晒3-5天,放到4℃低温冷库,预冷春化60-80天。8月中旬母株定植在花盆中,9月中旬抽薹开花、授粉后60-80天收获种子。
1、本是从日本品种“夏皇”自交后代中选育出来的;“夏皇”引入后经过栽培繁殖、自交分离出18个株系(P1、P2……P18),从叶球紧实的P3系统中优选出了园艺学性状优良的株系P3-1,10年(5世代)左右育成3个候选母本“17-1019”、“17-1020”和“17-1021”。
2、父本是从荷兰品种“绿盛”自交后代中选育出来的;“绿盛”引入后栽培繁殖、自交分离出24个株系(B1、B2……B24),其中B8系统整齐、纯度高、叶球特别紧实又能当地采种、抗病虫且园艺学性优良,9年(5世代)稳定后育成4个候选父本“17-1030”、“17-1031”、“17-1032”、“17-1036”和“17-1040”。
亲本材料的自交不亲和性测定:从选育出父、母本的自交不亲和株开始,选出两组亲本材料“17-1019”、“17-1020”和“17-1021”,以及“17-1030”、“17-1031”、“17-1032”、“17-1036”和“17-1040”采种母株中的健康和典型植株,在开花时每株选择40朵花,在蕾期作蕾自交、蕾混交,在花期作花自交、花混交,计算出亲和指数。花期亲和指数≤1,蕾期亲和指数≥5的植株定为自交不亲和株。然后,同系统中10株自交不亲和株蕾期混合授粉,保持成为相应自交不亲和系。
亲本材料耐抽薹特性的鉴定:两组亲本材料“17-1019”、“17-1020”和“17-1021”,以及“17-1030”、“17-1031”、“17-1032”、“17-1036”和“17-1040”两组亲本材料每个材料各1000株幼苗在8片真叶时,5~8℃人工气候室内低温处理45天诱导抽薹,计算出从处理到开花的天数来评价亲本材料耐抽薹的特性,淘汰95%前期抽薹的植株,留选5%迟抽薹的植株,待开花结实后留种(大约各留选50株)。
经过9-10年的培育,选育出园艺学性状优良、耐先期抽薹的两组亲本材料“17-1019”、“17-1020”和“17-1021”,以及“17-1030”、“17-1031”、“17-1032”、“17-1036”和“17-1040”自交不亲和系亲本材料。
杂交组合的性状鉴定:配置“17-1021×17-1030”,“17-1030×17-1021”,“17-1019×17-1030”,“17-1020×17-1030”,“17-1030×17-1020”,“17-1020×17-1032”,“17-1020×17-1036”,“17-1021×17-1036”,“17-1021×17-1040”和“17-1019×17-1036”等中早熟结球甘蓝组合,加上对照京丰一号。对各组合和对照其进行产量性状、球形,生长期,单球重,中心柱,紧实度等9个园艺学性状及商品性进行灰色综合评估,选出最接近理想参考品种的杂交组合。
构造参考(虚拟最优)品种:根据甘蓝育种目标,确定各性状上限指标,据此构造出参考品种及其参考数列x0,x1,x2,......x11,计算出参考品种及供试杂交组合园艺学性状的平均值。
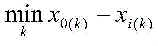
对供试11个杂交组合的9个园艺学性状数值进行无量纲化处理(x0/xi),求出x0与xi的绝对差值:△X1,△X2,△X3........△X11。
计算供试组合与参考品种之间的关联系数与关联度:利用公式(1),(2)
取值范围在0~1,一般取p=0.5;称为二级最小差的绝对值,其中表示x0数列与xi数列在对应点差值中的最小差,在一级最小差的基础上再找出其中最小差就是二级最小差;表示二级最大差的绝对值,ri表示关联度,根据ri的大小,就可以确定比较数列与参考数列的相似程度,从而判断比较数列(组合)优劣。结果:11个组合的灰色关联度分为:0.6621,0.6673,0.6689,0.6749,0.6854,0.7441,0.7231,0.7315,0.7522,0.7578和0.7561。
其中“17-1021×17-1030”与构造的虚拟理想品种的灰色关联度最高为0.7561;第二为对照品种;第三为反交组合“17-1030×17-1021”。附加育种经验,从而确立了“17-1021×17-1030”杂交组合的升级地位。
春秋两季进行2个杂交组合,2个点次,3次重复,小区随机排列的品种比较试验。分别以春中熟品种“8398”为对照;秋中熟的“京丰一号”为对照。具体结果见表1所示,春秋栽培其产量均超过当地对照。
表1 17-1021×17-1030杂交组合春秋两季产量
在黑龙江省5个生态区秋天进行2年的区域试验,对该品种(组合)的生态适应性进行考核评价,结果见表2所示两年结果均超过对照(京丰一号)25%以上。
表2 17-1021×17-1030杂交组合多点适应性试验表现
选育结果:培育出的甘蓝新杂交品种“17-1021×17-1030”适于出口栽培,该品种植株生长势旺,整齐度高,叶球近圆形,耐先期抽薹,适合保护地和露地栽培,叶质脆嫩、叶球紧实度达到0.60左右,生长期55~58天,平均单球重2.0kg,中心柱小于求高的1/2,平均亩产5000kg,保护地产值4000~5000元/667m2,露地产值1500~2000元/667m2,植株外叶数9~10片,开展度50~55cm,耐裂球,Vc含量为39.0mg/100g鲜重,固形物含量为5.0%,干物质含量为6.41%,抗TuMV的病情指数为5.4,抗黑腐病的病情指数为23.23。适于我国北方寒地和俄罗斯远东地区栽培。
该品种具备早熟和耐先期抽薹的特性,在黑龙江省当地春天可提早5-7天播种,2月下旬温室播种。秋季栽培时播种期选在6月中下旬,播种早了,苗期遇高温,会得病毒病和黑腐病;播晚了,结球后期会遇低温受冻。
苗期管理:“17-1021×17-1030”杂交组合优异园艺学性状的形成,育苗的环节是关键:在苗期管理过程中,重点管控温度和水分。温度:播种后至出苗前保持在28~30℃,出苗60%~70%时降温防徒长,白天25℃左右,夜间18℃左右,后期,白天20~25℃,夜间不低于10℃。水份,播种时和移苗后浇透底水,其他时间根据天气、地温及土壤水份状况酌情浇水,不旱不浇水。在定植前5~7天进行低温干旱锻炼。
定植:春季栽培为了防止遇低温未结球先期抽薹,定植的苗龄不能超过7片真叶(茎粗〈0.6cm)。定植密度一般在3000~3500株/667m2,比正常栽培的春甘蓝密度(3500~4500株/667m2)要小,这样才能保证每一个结球植株个体充分发挥其杂种优势,产量和抗性才能充分形成。露地采用垄作栽培,保护地采用畦作栽培。行距60cm,株距50cm。
定植后管理:保护地栽培时,前期白天不高于30℃不通风,但注意防止短期高温烤苗。缓苗后及时浇缓苗水,后期高于25℃就通风。露地春天提早栽培时防冻、防干春风。露地秋天栽培时苗期防热、后期防冻。
病虫害防治:该品种杂种优势强,对病虫害具有一定的抵抗能力,春季栽培病虫害发生较轻,保护地内栽培结合通风口的防虫网,可以不用药。秋季可用一些生物制剂的杀虫剂如Bt、菊酯类等防治鳞翅目的害虫和蚜虫。
适时采收:该品种的耐裂球性比常规栽培的品种要好,所以其完全成熟后,还可以延迟3-5天收获。收获标准:保护地内,一般定植后55-60天能收获80%叶球;露地春季栽培定植后55~60天能收获70%叶球;露地秋季栽培定植后55~60天能收获75%叶球。
以上所述仅是本发明的优选实施方式,应当指出,对于本技术领域的技术人员来说,在不脱离本发明技术原理的前提下,还可以做出部分改进和润饰,这些改进和润饰也应视为本发明的保护范围。
Claims (2)
1.一种耐抽薹甘蓝品种的培育方法,其特征在于,包括如下步骤:
以“夏皇”为亲本来源,春秋两季在北方寒地的生态条件下结合人工创造适于抽薹的环境诱导抽薹,以早熟、抗寒、耐先期抽薹为标准,自交分离提纯,筛选得到的自交系A1、A2、……An为亲本组;
以“绿盛”为亲本来源,春秋两季在北方寒地的生态条件下结合人工创造适于抽薹的环境诱导抽薹,以早熟、抗寒、耐先期抽薹为标准,自交分离提纯,筛选得到的自交系B1、B2、……Bm为另一组亲本组,n、m为自然数;
鉴定上述两组亲本的园艺学性状,将两组亲本配置组合,所有组合设置正反交,以灰色系统理论进行灰色关联度评估,得出灰色关联度最高的组合作为当选组合,培育当选组合所涉父母本相应的自交不亲和系,配置当选组合,以早熟、抗寒、耐先期抽薹,适合北方寒地栽培为选育标准检验其性状表现,得到耐抽薹甘蓝品种;
选择哈尔滨,东宁,绥化,佳木斯作为甘蓝栽培生长的不同生态区,对所述耐抽薹甘蓝品种进行鉴定;
所述灰色关联度评估,包括:使用球形,生长期,单球重,中心柱,紧实度及商品性进行灰色关联度综合评估;构造虚拟最优品种:根据甘蓝育种目标,确定各性状上限指标,据此构造出参考品种及其参考数列x0,x1,x2,......xn,计算出参考品种及供试杂交组合园艺学性状的平均值;
对供试各杂交组合的园艺学性状数值进行无量纲化处理(x0/xi),求出x0与xi的绝对差值:△X1,△X2,△X3........△Xn;
利用公式(1),(2),计算供试组合与参考品种之间的关联系数与关联度:
2.栽培权利要求1所述耐抽薹甘蓝品种的方法,包括如下步骤:
播种:在黑龙江省当地春天比其他甘蓝提早5-7天播种,2月下旬温室播种;秋季栽培时播种期选在6月中下旬;
苗期管理:1)温度:播种后至出苗前温度保持在28~30℃,出苗60%~70%时降温防徒长,白天25℃,夜间18℃,后期,白天20~25℃,夜间不低于10℃;2)水分:播种时和移苗后浇透底水,根据天气、地温及土壤水份状况浇水,不旱不浇水;在定植前5~7天进行低温干旱锻炼;
定植:春季栽培定植的苗龄不超过7片真叶,定植密度3000~3500株/667m2;露地采用垄作栽培,保护地采用畦作栽培,行距60cm,株距50cm;
定植后管理:保护地栽培时,前期白天高于30℃进行通风,防止短期高温烤苗,缓苗后及时浇缓苗水,后期高于25℃通风;露地春天提早栽培时防冻、防干春风;露地秋天栽培时苗期防热、后期防冻;
病虫害防治:春季栽培病虫害发生较轻,保护地内栽培结合通风口的防虫网;秋季用生物制剂的杀虫剂,所述杀虫剂为防治鳞翅目害虫和蚜虫的Bt、菊酯杀虫剂;
适时采收:完全成熟后,延迟3-5天收获,收获标准:保护地内,定植后55-60天收获80%叶球;露地春季栽培定植后55~60天收获70%叶球;露地秋季栽培定植后55~60天收获75%叶球。
Priority Applications (1)
| Application Number | Priority Date | Filing Date | Title |
|---|---|---|---|
| CN201811039069.XA CN109220773B (zh) | 2018-09-06 | 2018-09-06 | 一种耐抽薹甘蓝品种的培育方法 |
Applications Claiming Priority (1)
| Application Number | Priority Date | Filing Date | Title |
|---|---|---|---|
| CN201811039069.XA CN109220773B (zh) | 2018-09-06 | 2018-09-06 | 一种耐抽薹甘蓝品种的培育方法 |
Publications (2)
| Publication Number | Publication Date |
|---|---|
| CN109220773A CN109220773A (zh) | 2019-01-18 |
| CN109220773B true CN109220773B (zh) | 2021-11-02 |
Family
ID=65067520
Family Applications (1)
| Application Number | Title | Priority Date | Filing Date |
|---|---|---|---|
| CN201811039069.XA Active CN109220773B (zh) | 2018-09-06 | 2018-09-06 | 一种耐抽薹甘蓝品种的培育方法 |
Country Status (1)
| Country | Link |
|---|---|
| CN (1) | CN109220773B (zh) |
Citations (8)
| Publication number | Priority date | Publication date | Assignee | Title |
|---|---|---|---|---|
| CN1097090A (zh) * | 1994-02-07 | 1995-01-11 | 中国农业科学院蔬菜花卉研究所 | 一种甘蓝杂交制种的方法 |
| CN1736170A (zh) * | 2005-08-11 | 2006-02-22 | 西北农林科技大学 | 一种抗抽薹大白菜的选育方法 |
| CN1788543A (zh) * | 2004-12-14 | 2006-06-21 | 东北农业大学 | 一种耐抽薹出口专用型甘蓝品种的培育方法 |
| CN101191132A (zh) * | 2006-11-20 | 2008-06-04 | 上海市农业科学院 | 与甘蓝未熟抽薹基因相连锁的分子标记及其建立方法 |
| CN104026004A (zh) * | 2014-06-30 | 2014-09-10 | 镇江瑞繁农艺有限公司 | 一种耐抽苔春甘蓝高效育种方法 |
| CN106962195A (zh) * | 2017-04-22 | 2017-07-21 | 张家口市农业科学院 | 一种甘蓝制种技术 |
| CN107148907A (zh) * | 2017-06-02 | 2017-09-12 | 邢台双环种业有限公司 | 农机农艺一体式甘蓝制种方法 |
| CN107432243A (zh) * | 2017-09-08 | 2017-12-05 | 江苏丘陵地区镇江农业科学研究所 | 一种耐寒、耐抽薹结球甘蓝的选育方法 |
Family Cites Families (6)
| Publication number | Priority date | Publication date | Assignee | Title |
|---|---|---|---|---|
| CN1125588C (zh) * | 1999-02-11 | 2003-10-29 | 杨连 | 一种甘蓝杂交种的选育方法 |
| US7989676B2 (en) * | 2006-08-31 | 2011-08-02 | Ceres, Inc. | Nucleotide sequences and corresponding polypeptides conferring modulated plant characteristics |
| CN101408533A (zh) * | 2008-01-03 | 2009-04-15 | 江苏中江种业股份有限公司 | 一种水稻品种综合评价方法 |
| CN103856600B (zh) * | 2012-12-04 | 2016-09-28 | 中兴通讯股份有限公司 | 一种内置搜索语音短信功能的移动终端及其搜索方法 |
| CN103270940A (zh) * | 2013-05-08 | 2013-09-04 | 安阳工学院 | 作物定量化育种技术流程及方法 |
| CN103226666B (zh) * | 2013-05-10 | 2016-12-28 | 天津市市政工程设计研究院 | 复杂功能互通立体交叉系统功效评价方法 |
-
2018
- 2018-09-06 CN CN201811039069.XA patent/CN109220773B/zh active Active
Patent Citations (8)
| Publication number | Priority date | Publication date | Assignee | Title |
|---|---|---|---|---|
| CN1097090A (zh) * | 1994-02-07 | 1995-01-11 | 中国农业科学院蔬菜花卉研究所 | 一种甘蓝杂交制种的方法 |
| CN1788543A (zh) * | 2004-12-14 | 2006-06-21 | 东北农业大学 | 一种耐抽薹出口专用型甘蓝品种的培育方法 |
| CN1736170A (zh) * | 2005-08-11 | 2006-02-22 | 西北农林科技大学 | 一种抗抽薹大白菜的选育方法 |
| CN101191132A (zh) * | 2006-11-20 | 2008-06-04 | 上海市农业科学院 | 与甘蓝未熟抽薹基因相连锁的分子标记及其建立方法 |
| CN104026004A (zh) * | 2014-06-30 | 2014-09-10 | 镇江瑞繁农艺有限公司 | 一种耐抽苔春甘蓝高效育种方法 |
| CN106962195A (zh) * | 2017-04-22 | 2017-07-21 | 张家口市农业科学院 | 一种甘蓝制种技术 |
| CN107148907A (zh) * | 2017-06-02 | 2017-09-12 | 邢台双环种业有限公司 | 农机农艺一体式甘蓝制种方法 |
| CN107432243A (zh) * | 2017-09-08 | 2017-12-05 | 江苏丘陵地区镇江农业科学研究所 | 一种耐寒、耐抽薹结球甘蓝的选育方法 |
Non-Patent Citations (3)
| Title |
|---|
| "十一五"我国甘蓝遗传育种研究进展;杨丽梅等;《中国蔬菜》;20110115(第2期);第1-10页 * |
| "春甘蓝耐抽薹性研究进展";杨小明等;《北方园艺》;20090115(第1期);第111-114页 * |
| Zijian Sun等."Site-Specifc Gene Targeting Using Transcription Activator-Like Effector(TALE)-Based Nuclease in Brassica oleracea ".《Journal of Integrative Plant Biology》.2013,第55卷(第11期),第1092-1103页. * |
Also Published As
| Publication number | Publication date |
|---|---|
| CN109220773A (zh) | 2019-01-18 |
Similar Documents
| Publication | Publication Date | Title |
|---|---|---|
| Hisao Aruga | Principles of sericulture | |
| CN106962195B (zh) | 一种甘蓝制种方法 | |
| CN106856966B (zh) | 一种光周期敏感型苏丹草的杂交选育方法 | |
| Yakushiji et al. | Ceratocystis canker resistance in BC1 populations of interspecific hybridization of fig (Ficus carica) and F. erecta | |
| CN105850717A (zh) | 一种不结球白菜抗根肿病的种质资源获取的方法 | |
| CN111631131A (zh) | 1年3代加速强冬性小麦杂交育种进程的方法 | |
| CN104823832A (zh) | 一种抗病优质菜用大豆新品种的选育方法 | |
| CN104472344B (zh) | 一种大果型日中性草莓的选育方法 | |
| CN104255445A (zh) | 一种春播生态型菜用大豆新品种的选育方法 | |
| CN101513171A (zh) | 线辣椒杂交后代的一种快速纯化、选择方法 | |
| CN109329043A (zh) | 一种小籽型南瓜砧木品种的选育方法 | |
| Clercq et al. | Leek: advances in agronomy and breeding. | |
| CN101904300B (zh) | 一种西葫芦杂交育种方法 | |
| CN102771386B (zh) | 一种水稻育种方法 | |
| CN109220773B (zh) | 一种耐抽薹甘蓝品种的培育方法 | |
| CN104756859A (zh) | 一种高效和准确率高的大白菜杂交组合的测配方法 | |
| CN104488701A (zh) | 一种早熟高产耐储的半高桩紫皮洋葱选育方法 | |
| Liu | Plum production in China | |
| CN101433179A (zh) | 一种二倍体无籽西瓜的生产方法 | |
| CN106212036A (zh) | 一种与玉米间作种植的野生豆育种后代的方法 | |
| CN116548301B (zh) | 一种复合抗病西瓜新品种(系)的选育方法及应用 | |
| CN106613902B (zh) | 一种利用甘蓝cms和dh系选育早熟新品种的方法 | |
| CN101904269B (zh) | 一种西葫芦周年三代自交系选育方法 | |
| CN111990248B (zh) | 一种培育观赏矮秆甘蔗新种质的育种方法 | |
| CN110313396A (zh) | 一种利用芦笋雄性两性株获得超雄株的方法 |
Legal Events
| Date | Code | Title | Description |
|---|---|---|---|
| PB01 | Publication | ||
| PB01 | Publication | ||
| SE01 | Entry into force of request for substantive examination | ||
| SE01 | Entry into force of request for substantive examination | ||
| GR01 | Patent grant | ||
| GR01 | Patent grant |












