CN106404553B - Three-point bending sample ductile fracture toughness JIC auxiliary test device and test method - Google Patents
Three-point bending sample ductile fracture toughness JIC auxiliary test device and test method Download PDFInfo
- Publication number
- CN106404553B CN106404553B CN201610446568.5A CN201610446568A CN106404553B CN 106404553 B CN106404553 B CN 106404553B CN 201610446568 A CN201610446568 A CN 201610446568A CN 106404553 B CN106404553 B CN 106404553B
- Authority
- CN
- China
- Prior art keywords
- knife edge
- point bending
- sample
- knife
- point
- Prior art date
- Legal status (The legal status is an assumption and is not a legal conclusion. Google has not performed a legal analysis and makes no representation as to the accuracy of the status listed.)
- Active
Links
Images
Classifications
-
- G—PHYSICS
- G01—MEASURING; TESTING
- G01N—INVESTIGATING OR ANALYSING MATERIALS BY DETERMINING THEIR CHEMICAL OR PHYSICAL PROPERTIES
- G01N3/00—Investigating strength properties of solid materials by application of mechanical stress
- G01N3/20—Investigating strength properties of solid materials by application of mechanical stress by applying steady bending forces
-
- G—PHYSICS
- G01—MEASURING; TESTING
- G01N—INVESTIGATING OR ANALYSING MATERIALS BY DETERMINING THEIR CHEMICAL OR PHYSICAL PROPERTIES
- G01N3/00—Investigating strength properties of solid materials by application of mechanical stress
- G01N3/02—Details
-
- Y—GENERAL TAGGING OF NEW TECHNOLOGICAL DEVELOPMENTS; GENERAL TAGGING OF CROSS-SECTIONAL TECHNOLOGIES SPANNING OVER SEVERAL SECTIONS OF THE IPC; TECHNICAL SUBJECTS COVERED BY FORMER USPC CROSS-REFERENCE ART COLLECTIONS [XRACs] AND DIGESTS
- Y02—TECHNOLOGIES OR APPLICATIONS FOR MITIGATION OR ADAPTATION AGAINST CLIMATE CHANGE
- Y02E—REDUCTION OF GREENHOUSE GAS [GHG] EMISSIONS, RELATED TO ENERGY GENERATION, TRANSMISSION OR DISTRIBUTION
- Y02E30/00—Energy generation of nuclear origin
- Y02E30/30—Nuclear fission reactors
Landscapes
- Physics & Mathematics (AREA)
- Health & Medical Sciences (AREA)
- Life Sciences & Earth Sciences (AREA)
- Chemical & Material Sciences (AREA)
- Analytical Chemistry (AREA)
- Biochemistry (AREA)
- General Health & Medical Sciences (AREA)
- General Physics & Mathematics (AREA)
- Immunology (AREA)
- Pathology (AREA)
- Investigating Strength Of Materials By Application Of Mechanical Stress (AREA)
Abstract
Description
技术领域technical field
本发明属于金属材料断裂力学性能检测技术领域,具体涉及一种三点弯曲试样延性断裂韧性J IC测试装置及其测试方法。The invention belongs to the technical field of detection of fracture mechanical properties of metal materials, and in particular relates to a JIC test device for the ductility fracture toughness of a three-point bending sample and a test method thereof.
背景技术Background technique
随着冶金质量的提高,高强高韧合金作为结构材料在工程上应用的越来越多,经常需要对其进行安全评价。平面应变断裂韧性K ІC是重要的安全评价指标和结构件设计指标,因此通过测试获得高强高韧合金的平面应变断裂韧性K ІC就显得尤为重要。但是对于高强高韧合金,直接测试平面应变断裂韧性K ІC通常是不可行的,这是由于在测试中若采用较小尺寸的断裂韧性试样,通常不满足平面应变K ІC的判定条件B≥2.5(K ІC/R p0.2)2和P max/P Q≤1.1;在测试中若采用较大尺寸的断裂韧性试样,试验机的容量通常达不到。目前对于高强高韧合金平面应变断裂韧性K ІC的测试是通过测试延性断裂韧性J IC,由转化公式获得K ІC。三点弯曲试样由于形式简单、加工快捷、代表性强等优点成为金属材料断裂力学性能检测领域中试样形式的首选,尤其三点弯曲试样的缺口位于上表面,使得COD规可以置于低温液体外,从而可以有效的保护COD规,这使得三点弯曲试样成为低温延性断裂韧性J IC测试中试样形式的唯一选择。在延性断裂韧性J IC试验过程中,需要获得施力点位移V-载荷F曲线,而对于三点弯曲试样,由于COD规只能测得水平方向的缺口张开位移,不能直接得到竖直方向的施力点位移,如图1所示,继而试验不能获得有效的延性断裂韧性J IC。目前,大多数测试者都是直接利用试验机机架位移近似代替施力点位移,由于试验机机架位移包括施力点位移、设备位移、横梁位移、试样弹性位移及试验卡具弹性位移,这就导致试验得到的试验机机架位移远远大于施力点位移,从而造成测试误差。With the improvement of metallurgical quality, high-strength and high-toughness alloys are used more and more in engineering as structural materials, and safety evaluations are often required. The plane strain fracture toughness K ІC is an important safety evaluation index and structural part design index, so it is particularly important to obtain the plane strain fracture toughness K ІC of high-strength and high-toughness alloys through testing. However, for high-strength and high-toughness alloys, it is usually not feasible to directly test the plane strain fracture toughness K ІC , because the judgment condition B ≥ 2.5( K ІC / R p0.2 ) 2 and P max / P Q ≤ 1.1; if a larger size fracture toughness sample is used in the test, the capacity of the testing machine is usually not reached. At present, the plane strain fracture toughness K ІC of high-strength and high-toughness alloys is tested by measuring the ductile fracture toughness J IC , and K ІC is obtained from the conversion formula. The three-point bending sample has become the first choice for the sample form in the field of fracture mechanical performance testing of metal materials due to its advantages of simple form, fast processing, and strong representativeness. In particular, the notch of the three-point bending sample is located on the upper surface, so that the COD gauge can be placed The COD gauge can be effectively protected outside the low-temperature liquid, which makes the three-point bending specimen the only choice for the specimen form in the JIC test of low-temperature ductility fracture toughness. During the ductile fracture toughness J IC test, it is necessary to obtain the displacement V -load F curve of the force application point, and for the three-point bending specimen, because the COD gauge can only measure the notch opening displacement in the horizontal direction, it cannot directly obtain the displacement in the vertical direction. The force application point displacement, as shown in Figure 1, and then the test cannot obtain the effective ductile fracture toughness J IC . At present, most testers directly use the displacement of the testing machine frame to approximate the displacement of the force application point. Since the displacement of the test machine frame includes the displacement of the force application point, equipment displacement, beam displacement, sample elastic displacement and test fixture elastic displacement, this The displacement of the testing machine frame obtained by the test is far greater than the displacement of the force application point, thereby causing test errors.
发明内容Contents of the invention
为了解决延性断裂韧性J IC试验中三点弯曲试样施力点位移无法测试的问题,本发明提供了一种三点弯曲试样延性断裂韧性J IC测试装置及其测试方法。该方法借助刀口辅助装置获得不同高度的COD规张开位移,计算得到三点弯曲试样的施力点位移,进而获得三点弯曲试样的延性断裂韧性J IC,使得高强高韧合的安全评价工作可以有效的开展。In order to solve the problem that the displacement of the application point of the three-point bending specimen cannot be tested in the ductile fracture toughness JIC test, the invention provides a test device and a testing method for the ductility fracture toughness JIC of the three - point bending specimen. This method obtains the opening displacement of COD gauges at different heights by means of the knife-edge auxiliary device, calculates the displacement of the force application point of the three-point bending specimen, and then obtains the ductile fracture toughness J IC of the three-point bending specimen, making the safety evaluation of high strength and high toughness Work can be carried out effectively.
为实现上述技术目的,所采用的技术方案是:三点弯曲试样延性断裂韧性JIC辅助测试装置,设有两组对两个COD规分别夹紧的刀口刃组,两个刀口刃组呈不同高度设置,下刀口刃组的两个刀口刃对称设在三点弯曲试样缺口的两侧,并开设在三点弯曲试样上,上刀口刃组的两个刀口刃分别设置在两个对称设置的三点弯曲试样缺口两侧的刀口辅助装置上,刀口辅助装置的两侧的卡臂分别通过螺栓夹设在三点弯曲试样上,在测试前,上刀口刃组的两个刀口刃和下刀口刃组的两个刀口刃在水平方向上对齐,在同一侧的两个刀口刃组的两个刀口刃在竖直方向上对齐。In order to achieve the above technical purpose, the technical solution adopted is: the JIC auxiliary test device for the ductility and fracture toughness of the three-point bending sample is equipped with two sets of knife-edge sets that clamp the two COD gauges respectively, and the two knife-edge sets are different. The height is set, the two blades of the lower blade group are symmetrically arranged on both sides of the notch of the three-point bending sample, and are set on the three-point bending sample, and the two blades of the upper blade group are respectively arranged on two symmetrical On the knife-edge auxiliary devices on both sides of the notch of the three-point bending sample, the clamping arms on both sides of the knife-edge auxiliary device are respectively clamped on the three-point bending sample by bolts. Before the test, the two knife-edges of the upper knife-edge group The two edge edges of the edge and the lower edge edge group are aligned in the horizontal direction, and the two edge edges of the two edge edge groups on the same side are aligned in the vertical direction.
本发明所述的螺栓和三点弯曲试样之间设有垫片。Gaskets are provided between the bolts of the present invention and the three-point bending sample.
本发明所述的螺栓的螺栓头为弧面,垫片的中心设有与螺栓头相匹配的凹槽。The bolt head of the bolt described in the present invention is an arc surface, and the center of the washer is provided with a groove matching the bolt head.
三点弯曲试样延性断裂韧性JIC辅助测试装置的测试方法,包括以下步骤:The test method of the JIC auxiliary test device for the ductility and fracture toughness of three-point bending specimens comprises the following steps:
步骤一、将两个刀口辅助装置分别对称安装在三点弯曲试样缺口的两侧,在三点弯曲试样的三点弯曲试样缺口的两侧开设相对称的刀口刃组,两个刀口辅助装置组成的刀口刃组高于三点弯曲试样的刀口刃组,上刀口刃组的两个刀口刃和下刀口刃组的两个刀口刃在水平方向上对齐,在同一侧的两个刀口刃组的两个刀口刃在竖直方向上对齐,两个刀口刃组分别夹紧一个COD规;
步骤二、利用三点弯曲试验机对三点弯曲试样施加载荷,两个COD规给两个刀口刃组施加张力,使刀口辅助装置相对三点弯曲试样不发生滑动,测试上刀口刃组的张开位移V 1和下刀口刃组的张开位移V 2,由公式 (2)
式中:In the formula:
q-施力点位移; q - the displacement of the force application point;
S-三点弯曲试样跨距; S - span of three-point bending specimen;
V 1 -上刀口刃组的两个刀口刃的张开位移; V 1 - the opening displacement of the two cutting edges of the upper cutting edge group;
V 2-下刀口刃组的两个刀口刃的张开位移; V 2 - the opening displacement of the two cutting edges of the lower cutting edge group;
z 1-下刀口和三点弯曲试样表面之间的距离; z 1 - the distance between the lower knife edge and the surface of the three-point bending specimen;
z 2-上刀口和三点弯曲试样表面之间的距离; z2 - the distance between the upper knife edge and the surface of the three-point bending specimen;
即可获得三点弯曲试样的施力点位移q,采用多试样法获得三点弯曲试样的Δa-J阻力曲线、延性断裂韧性J IC和平面应变断裂韧性K IC。The force application point displacement q of the three-point bending sample can be obtained, and the Δ a - J resistance curve, ductile fracture toughness J IC and plane strain fracture toughness K IC of the three-point bending sample can be obtained by using the multi-sample method.
本发明有益效果是:The beneficial effects of the present invention are:
该方法借助刀口辅助装置,通过测试不同高度的COD规张开位移,利用几何原理计算得到三点弯曲试样的施力点位移,继而得到试样的延性断裂韧性J IC,得到的数据准确性高、误差低。这使得高强高韧合金的安全评价工作可以有效的开展。同时该装置具有拆卸方便,可以重复使用等优点。With the aid of the knife-edge auxiliary device, by testing the opening displacement of COD gauges at different heights, the displacement of the force application point of the three-point bending specimen is calculated by using geometric principles, and then the ductile fracture toughness J IC of the specimen is obtained, and the obtained data are highly accurate , Low error. This enables the safety evaluation of high-strength and high-toughness alloys to be carried out effectively. At the same time, the device has the advantages of convenient disassembly and reusability.
附图说明Description of drawings
图 1为现有技术中COD规测缺口张开位移示意图;Figure 1 is a schematic diagram of the opening displacement of the COD measurement gap in the prior art;
图2为本发明施力点位移测试原理图;Fig. 2 is the schematic diagram of force application point displacement test of the present invention;
图3为本发明刀口辅助装置装配平面示意图;Fig. 3 is a schematic diagram of the assembly plane of the knife-edge auxiliary device of the present invention;
图4为本发明刀口辅助装置的侧视结构示意图;Fig. 4 is a side view structural schematic diagram of the knife-edge auxiliary device of the present invention;
图5为本发明刀口辅助装置装配立体示意图;Fig. 5 is a three-dimensional schematic diagram of the assembly of the knife-edge auxiliary device of the present invention;
图6为本发明刀口辅助装置的立体结构示意图;Fig. 6 is a three-dimensional structural schematic diagram of the knife-edge auxiliary device of the present invention;
图7 为本发明实施例X70管线钢断裂韧性J IC试样正视形式及尺寸;Fig. 7 is the front view form and size of the fracture toughness J IC sample of X70 pipeline steel according to the embodiment of the present invention;
图8为本发明实施例X70管线钢断裂韧性J IC试样俯视形式及尺寸;Fig. 8 is the top view form and size of the fracture toughness J IC sample of X70 pipeline steel according to the embodiment of the present invention;
图9为本发明1#试样COD规张开位移V 1/V 2-载荷F曲线;Fig. 9 is the opening displacement V 1 / V 2 - load F curve of the 1# sample COD gauge of the present invention;
图10为本发明1#试样施力点位移q-载荷F曲线;Fig. 10 is the displacement q -load F curve of 1# sample force application point of the present invention;
图11为本发明X70管线钢J积分与裂纹扩展量Δa的关系曲线图;Fig. 11 is a graph showing the relationship between J integral and crack growth Δ a of X70 pipeline steel of the present invention;
图12为本发明螺栓的结构示意图;Fig. 12 is the structural representation of bolt of the present invention;
图13为本发明垫片的立体结构示意图;Fig. 13 is a schematic diagram of the three-dimensional structure of the gasket of the present invention;
图中:1、刀口辅助装置,101、卡臂,102、螺栓,1021、螺栓头,2、上刀口刃组,3、下刀口刃组,4、三点弯曲试样缺口,5、三点弯曲试样,6、COD规,7、垫片,701、凹槽,8、刀口刃组。In the figure: 1. Knife edge auxiliary device, 101, clamp arm, 102, bolt, 1021, bolt head, 2, upper knife edge group, 3, lower knife edge group, 4, three-point bending specimen notch, 5, three points Bending specimen, 6, COD gauge, 7, spacer, 701, groove, 8, knife edge group.
具体实施方式Detailed ways
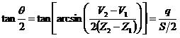
三点弯曲试样延性断裂韧性JIC辅助测试装置及其测试方法,通过测试不同高度的COD规张开位移,利用几何原理计算得到三点弯曲试样的施力点位移,测试原理见图2,施力点位移q可由公式(2)计算获得。Three-point bending specimen ductility fracture toughness JIC auxiliary test device and its testing method, by testing the opening displacement of COD gauges of different heights, using geometric principles to calculate the displacement of the force point of the three-point bending specimen, the test principle is shown in Figure 2, the application The force point displacement q can be calculated by formula (2).
(1) (1)
(2) (2)
式中:In the formula:
q-施力点位移; q - the displacement of the force application point;
S-三点弯曲试样跨距; S - span of three-point bending specimen;
V 1,V 2-两个刀口的张开位移; V 1 , V 2 - the opening displacement of the two blades;
z 1,z 2-两个刀口和试样表面之间的距离; z 1 , z 2 - the distance between the two knife edges and the specimen surface;
施力点位移的测试借助刀口辅助装置来实现。刀口辅助装置包括一对刀口刃、垫片和螺栓等。一对刀口刃分别对称置于三点弯曲J IC试样缺口的两侧,由四个垫片和四个螺栓分别从前、后、左、右固定刀口辅助装置,另一对刀品刃开设在三点弯曲试样上,保证试样缺口两侧的刀口在同一个水平线上,如图3、4、5所示,并且在COD规给两个刀口刃组施加张力时保证其相对试样不发生滑动。The test of the displacement of the point of application of force is realized by means of the knife-edge auxiliary device. The knife-edge auxiliary device includes a pair of knife-edge blades, gaskets and bolts. A pair of knife-edge blades are symmetrically placed on both sides of the notch of the three-point bending JIC specimen. Four gaskets and four bolts are used to fix the knife-edge auxiliary device from the front, back, left, and right respectively. The other pair of knife-edge blades are set on On the three-point bending sample, ensure that the knife edges on both sides of the notch of the sample are on the same horizontal line, as shown in Figure 3, 4, and 5, and when the COD gauge applies tension to the two knife edge groups, ensure that they are not opposite to the sample. Sliding occurs.
采用辅助装置间接测试三点弯曲试样的施力点位移时存在以下问题:1.三点弯曲试样缺口每一侧的两个刀口刃在竖直方向上需对齐,如图2所示,A1和B1需在一条线上,A2和B2也需在一条线上,这样才能保证根据相似三角形转化得到的施力点位移是正确的。2.三点弯曲试样缺口两侧的刀口在水平方向上需对齐,如图2所示,A1和A2需在一条水平线上,B1和B2也需在一条水平线上,同理也才能保证根据相似三角形转化得到的施力点位移是正确的。3.在COD规对刀口施加向缺口两侧的张力时,刀口相对试样不能发生相对滑动,这样才能保证在试验过程中采集的所有数据,经相似三角形转化的施力点位移是有效的。综上,1.本发明中的刀口辅助装置采用线切割一次成型,保证两个对称设置的刀口辅助装置的两个刀口刃在一条线上;2. 两个刀口辅助装置采用左右匹配设计,对应尺寸均一样,而且螺栓定位尺寸也一样,这样就可以保证缺口两侧的刀刃在同一条水平线上;3.采用螺栓定位,在螺栓和试样之间采用垫片大面积接触受力,可以保证刀口辅助装置和试样不发生相对滑动。The following problems exist when the auxiliary device is used to indirectly test the displacement of the force application point of the three-point bending specimen: 1. The two cutting edges on each side of the notch of the three-point bending specimen must be aligned in the vertical direction, as shown in Figure 2, A1 It needs to be on the same line with B1, and A2 and B2 also need to be on the same line, so as to ensure that the displacement of the applied force point obtained according to the transformation of similar triangles is correct. 2. The knife edges on both sides of the notch of the three-point bending specimen must be aligned in the horizontal direction. As shown in Figure 2, A1 and A2 must be on the same horizontal line, and B1 and B2 must also be on the same horizontal line. The force application point displacement obtained by similar triangle transformation is correct. 3. When the COD gauge applies tension to both sides of the notch on the knife edge, the knife edge can not slide relative to the sample, so as to ensure that all the data collected during the test, the displacement of the force point converted by the similar triangle is valid. To sum up, 1. The knife-edge auxiliary device in the present invention adopts wire cutting to form at one time, so as to ensure that the two knife-edge edges of the two symmetrically arranged knife-edge auxiliary devices are on the same line; 2. The two knife-edge auxiliary devices adopt a left-right matching design, corresponding to The size is the same, and the bolt positioning size is also the same, so that the blades on both sides of the notch can be guaranteed to be on the same horizontal line; The knife-edge auxiliary device and the sample do not slide relative to each other.
如图6、12、13所示,三点弯曲试样延性断裂韧性JIC辅助测试装置。借助的刀口辅助装置包括用于安装一个COD规的上刀口刃组,以及用于定位和安装刀口辅助装置的带有中心凹槽的垫片和带有弧面螺栓头的螺栓。As shown in Figures 6, 12, and 13, the JIC auxiliary test device for ductility and fracture toughness of three-point bending specimens. The edge aids used include the upper edge set for mounting a COD gauge, and spacers with center grooves and bolts with arcuate bolt heads for locating and installing the edge aids.
如图5所示,刀口辅助装置的安装顺序为:将左刀口辅助装置和右刀口辅助装置分别安装在距离三点弯曲试样缺口5mm的左右两侧,在前左、前右、后左、后右四个位置加上带有中心凹槽的垫片,并从四个位置同时安装螺栓,将螺栓头压设在垫片上,安装过程中保证左右两侧的刀口辅助装置保持水平状态。As shown in Figure 5, the installation sequence of the knife-edge auxiliary device is: install the left knife-edge auxiliary device and the right knife-edge auxiliary device on the left and right sides of the gap 5mm away from the three-point bending specimen, and install them on the front left, front right, rear left, Add spacers with central grooves to the rear right four positions, and install bolts from four positions at the same time, press the bolt heads on the spacers, and ensure that the knife-edge auxiliary devices on the left and right sides remain horizontal during the installation process.
实施例1Example 1
一种三点弯曲试样延性断裂韧性J IC测试装置发明成功后,对多种牌号及不同厚度管线钢材料,进行了空气与海水环境下的延性断裂韧性J IC试验。下面以一个管线钢材料的试验作为实施例。After the successful invention of a JIC test device for ductility fracture toughness of three-point bending specimens, JIC tests of ductility fracture toughness in air and seawater environments were carried out for various grades and pipeline steel materials with different thicknesses. The test of a pipeline steel material is taken as an example below.
1、试验材料:X70管线钢1. Test material: X70 pipeline steel
2、热处理状态:调质2. Heat treatment state: Quenched and tempered
3、试验温度:23~25℃ 环境相对湿度:40~50%3. Test temperature: 23~25℃ Relative humidity: 40~50%
4、试样类型:SE(B)试样,其形状尺寸见图7、8。4. Sample type: SE(B) sample, its shape and size are shown in Figures 7 and 8.
5、试验项目:延性断裂韧性J IC试验5. Test item: ductility fracture toughness J IC test
6、试验方法:将刀口辅助装置安装在X70管线钢SE(B)试样上,在缺口两侧开设下刀口刃组,采用两个COD规测试两个刀口刃组的张开位移V 1和V 2,由公式(2)即可获得试样的施力点位移q,采用多试样法获得X70管线钢的Δa-J阻力曲线、延性断裂韧性J IC和平面应变断裂韧性K IC。6. Test method: Install the knife edge auxiliary device on the X70 pipeline steel SE(B) sample, set up the lower knife edge groups on both sides of the gap, and use two COD gauges to test the opening displacement V 1 and V 2 , the force application point displacement q of the sample can be obtained from the formula (2), and the Δ a - J resistance curve, ductile fracture toughness J IC and plane strain fracture toughness K IC of X70 pipeline steel are obtained by using the multi-sample method.
7、试验结果:7. Test results:
7.1、施力点位移q 7.1. Displacement q of force application point
由于各试样获得施力点位移q的方法一样,以下只给出1#试样施力点位移q的试验结果。试验机自动采集的1#试样COD规张开位移V 1/V 2-载荷F曲线见图9,经由公式(1)处理得到的1#试样施力点位移q-载荷F曲线见图10。Since the methods for obtaining the displacement q of the application point of each sample are the same, only the test results of the displacement q of the application point of the 1# sample are given below. The opening displacement V 1 / V 2 -load F curve of the 1# sample COD gauge automatically collected by the testing machine is shown in Figure 9, and the displacement q -load F curve of the 1# sample force application point obtained through the processing of formula (1) is shown in Figure 10 .
7.2、试验数据7.2. Test data
由施力点位移q-载荷F曲线可以得到各试样停机点载荷F s和塑性分量U p,通过测量可以得到各试样的厚度B、宽度W、初始裂纹长度a 0和裂纹扩展量Δa,通过公式计算可以得到各试样的J值。试验数据见表1。The load F s and plastic component U p of each sample can be obtained from the displacement q -load F curve of the force application point, and the thickness B , width W , initial crack length a 0 and crack growth Δ a of each sample can be obtained through measurement , the J value of each sample can be obtained by formula calculation. See Table 1 for test data.
表 1 试验数据Table 1 Test data
7.3、X70管线钢Δa-J阻力曲线(见图11)7.3. X70 pipeline steel Δ a - J resistance curve (see Figure 11)
7.4、X70管线钢Δa-J阻力曲线方程7.4. X70 pipeline steel Δ a - J resistance curve equation
J=312.07×Δa 0.5784 (R=0.9893) J =312.07×Δ a 0.5784 ( R =0.9893)
7.5、试验结果(见表2)7.5. Test results (see Table 2)
表 2 试验结果Table 2 Test results
。 .
Claims (3)
Priority Applications (1)
| Application Number | Priority Date | Filing Date | Title |
|---|---|---|---|
| CN201610446568.5A CN106404553B (en) | 2016-06-21 | 2016-06-21 | Three-point bending sample ductile fracture toughness JIC auxiliary test device and test method |
Applications Claiming Priority (1)
| Application Number | Priority Date | Filing Date | Title |
|---|---|---|---|
| CN201610446568.5A CN106404553B (en) | 2016-06-21 | 2016-06-21 | Three-point bending sample ductile fracture toughness JIC auxiliary test device and test method |
Publications (2)
| Publication Number | Publication Date |
|---|---|
| CN106404553A CN106404553A (en) | 2017-02-15 |
| CN106404553B true CN106404553B (en) | 2023-06-30 |
Family
ID=58005855
Family Applications (1)
| Application Number | Title | Priority Date | Filing Date |
|---|---|---|---|
| CN201610446568.5A Active CN106404553B (en) | 2016-06-21 | 2016-06-21 | Three-point bending sample ductile fracture toughness JIC auxiliary test device and test method |
Country Status (1)
| Country | Link |
|---|---|
| CN (1) | CN106404553B (en) |
Families Citing this family (3)
| Publication number | Priority date | Publication date | Assignee | Title |
|---|---|---|---|---|
| CN105938072B (en) * | 2016-06-21 | 2018-12-25 | 中国船舶重工集团公司第七二五研究所 | A kind of Three Points Bending Specimen ductile fracture toughness JIC test device and test method |
| CN108333045B (en) * | 2018-01-11 | 2020-01-17 | 中国石油大学(北京) | A method for testing the fracture toughness of double cantilever beams capable of inducing intrinsic sharp cracks |
| CN112748002A (en) * | 2020-12-17 | 2021-05-04 | 杭州电子科技大学 | Method for measuring notch opening amount in measurement of fracture toughness of pyrolytic carbon for artificial heart valve |
Citations (7)
| Publication number | Priority date | Publication date | Assignee | Title |
|---|---|---|---|---|
| JPH0518877A (en) * | 1991-06-10 | 1993-01-26 | Sumitomo Metal Ind Ltd | Saddle type gage for detecting bending deformation of test |
| JPH05322723A (en) * | 1992-05-21 | 1993-12-07 | Saginomiya Seisakusho Inc | Measuring method for value of elastoplastic fracture toughness |
| CN101694436A (en) * | 2009-11-03 | 2010-04-14 | 中国船舶重工集团公司第七二五研究所 | Strain control method of cantilever bending and loading low-circle fatigue test |
| CN103926153A (en) * | 2014-04-08 | 2014-07-16 | 武汉钢铁(集团)公司 | System and method for testing fracture toughness of three-point bending sample in corrosion environment |
| CN104568605A (en) * | 2014-12-31 | 2015-04-29 | 国际竹藤中心 | Method of testing rattan fracture toughness based on three-point bending mode |
| CN204330501U (en) * | 2014-12-25 | 2015-05-13 | 上海市机械制造工艺研究所有限公司 | A kind of three point bending test tooling device |
| CN205719814U (en) * | 2016-06-21 | 2016-11-23 | 中国船舶重工集团公司第七二五研究所 | Three Points Bending Specimen ductile fracture toughness JIC auxiliary test unit |
-
2016
- 2016-06-21 CN CN201610446568.5A patent/CN106404553B/en active Active
Patent Citations (7)
| Publication number | Priority date | Publication date | Assignee | Title |
|---|---|---|---|---|
| JPH0518877A (en) * | 1991-06-10 | 1993-01-26 | Sumitomo Metal Ind Ltd | Saddle type gage for detecting bending deformation of test |
| JPH05322723A (en) * | 1992-05-21 | 1993-12-07 | Saginomiya Seisakusho Inc | Measuring method for value of elastoplastic fracture toughness |
| CN101694436A (en) * | 2009-11-03 | 2010-04-14 | 中国船舶重工集团公司第七二五研究所 | Strain control method of cantilever bending and loading low-circle fatigue test |
| CN103926153A (en) * | 2014-04-08 | 2014-07-16 | 武汉钢铁(集团)公司 | System and method for testing fracture toughness of three-point bending sample in corrosion environment |
| CN204330501U (en) * | 2014-12-25 | 2015-05-13 | 上海市机械制造工艺研究所有限公司 | A kind of three point bending test tooling device |
| CN104568605A (en) * | 2014-12-31 | 2015-04-29 | 国际竹藤中心 | Method of testing rattan fracture toughness based on three-point bending mode |
| CN205719814U (en) * | 2016-06-21 | 2016-11-23 | 中国船舶重工集团公司第七二五研究所 | Three Points Bending Specimen ductile fracture toughness JIC auxiliary test unit |
Non-Patent Citations (4)
| Title |
|---|
| 三点弯曲单试样测定高强高韧钢断裂韧度 J_(IC) 的柔度方法.东北大学学报(自然科学版).1997,(第05期),全文. * |
| 姜风春,刘瑞堂,张晓欣,沙桂英.动态弹塑性断裂韧度J_(Ⅰd)测试方法研究.机械强度.2002,(第03期),全文. * |
| 张亚军.柔度法测量三点弯曲试样弹性模量的影响因素.材料开发与应用.2005,(第05期),全文. * |
| 李远睿,黄荣,黄本多,邱绍宇,李卫军.Ti-Al-Zr钛合金锻材的断裂韧度测定及分析.核动力工程.2003,(第05期),全文. * |
Also Published As
| Publication number | Publication date |
|---|---|
| CN106404553A (en) | 2017-02-15 |
Similar Documents
| Publication | Publication Date | Title |
|---|---|---|
| CN106813819B (en) | A kind of method of supercritical ultrasonics technology measurement curve surface work pieces residual stress | |
| CN106092785B (en) | Method for Testing Fatigue Crack Growth Rate Using Asymmetric Cracks | |
| CN111122308B (en) | Tensile sample elongation after fracture measuring method and auxiliary measuring device | |
| CN106404553B (en) | Three-point bending sample ductile fracture toughness JIC auxiliary test device and test method | |
| CN108168761A (en) | A kind of method based on residual stress release amount of warpage prediction sheet metal residual stress | |
| CN105300799A (en) | A quasi-static uniaxial compression test method and device | |
| CN105938072A (en) | Three-point bending sample ductile fracture toughness (JIC) testing device and test method thereof | |
| CN103063571A (en) | Method and system for measuring interface binding energy of thin-film material with bulge method | |
| CN101819113A (en) | Side bend test method | |
| CN106644712A (en) | Testing method for automatically measuring thickness thinning rate by adopting tensile testing machine | |
| CN205719814U (en) | Three Points Bending Specimen ductile fracture toughness JIC auxiliary test unit | |
| CN109540694B (en) | Prefabricated crack bias three-point bending test device for testing fracture toughness of II type crack | |
| CN109870355B (en) | Method for automatic measurement of elongation after fracture of metal plate specimens under uniaxial tension | |
| CN205091201U (en) | A quasi-static uniaxial compression experimental device | |
| CN109556971A (en) | The cold spraying sample bending property experimental rig of direct-reading bending angle | |
| CN106769439B (en) | Method for testing yield strength of pipeline steel hot-rolled coil | |
| CN105067461A (en) | Method for improving hardness determination accuracy of large metal parts | |
| CN111351710A (en) | A method for measuring Poisson's ratio of viscoelastic materials | |
| CN202522482U (en) | Extensometer for measuring yield strength of plate-shaped tensile test sample of pipeline steel | |
| CN205719813U (en) | A kind of Three Points Bending Specimen ductile fracture toughness JIC test device | |
| Weiss et al. | Measurement of bending properties in strip for roll forming | |
| CN103196759B (en) | Detection apparatus and detection method of displacement of force application point used for testing rock fracture toughness | |
| CN206546296U (en) | A kind of through groove fixture for micro- gauge length lamellar sample extension test | |
| CN117664756A (en) | Small punch testing method for fracture toughness and ductile-brittle transition temperature of anisotropic material | |
| CN106755811B (en) | A kind of method for testing metal material quenching degree |
Legal Events
| Date | Code | Title | Description |
|---|---|---|---|
| C06 | Publication | ||
| PB01 | Publication | ||
| C10 | Entry into substantive examination | ||
| SE01 | Entry into force of request for substantive examination | ||
| GR01 | Patent grant | ||
| GR01 | Patent grant |





